KEMENTERIAN PENDIDIKAN DAN KEBUDAYAAN
POLITEKNIK NEGERI BANDUNG
Jln. Gegerkalong Hilir, Ds. Ciwaruga, Bandung 40012, Kotak Pos 1234, Telepon (022) 2013789, Fax. (022)
2013889 Homepage :www.polban.ac.id Email : polban@polban.ac.id
Dokumentasi Tugas Akhir Mata Kuliah
Lembar Sampul Dokumen
Judul Dokumen
Dokumen B300: “Sistem Kendali Suhu Ruangan Berbasis
Arduino,LM35 dan TRIAC”
Jenis Dokumen B300
Nomor Dokumen B300 – 01
Nomor Revisi 01
Nama File 171311025_RIZKYAHMADFAUZY_B300.docx
Tanggal
Penerbitan 26 April 2019
Unit Penerbit
Jumlah Halaman 4
Data Pengusul
Pengusul Nama Jabatan Mahasiswa D – III
Teknik Elektronika
Rizky Ahmad Fauzy(171311025)
Tanggal 26/04/2019
Tanda
Tangan
Lembaga Politeknik Negeri Bandung
Alamat Jln. Gegerkalong Hilir, Ds. Ciwaruga Bandung 40012, Kotak Pos 1234,
Telepon (022) 2013789, Fax. (022) 2013889
Telepon : 022-
2013789
Faks : 022-
2013889
Email : polban@polban.ac.id
2
DAFTAR ISI
1 PENGANTAR ............................................ERROR! BOOKMARK NOT DEFINED.
1.1 RINGKASAN ISI DOKUMEN ..............................ERROR! BOOKMARK NOT DEFINED.
1.2 TUJUAN PENULISAN ........................................ERROR! BOOKMARK NOT DEFINED.
2 PENGEMBANGAN PROPOSAL............ERROR! BOOKMARK NOT DEFINED.
2.1 LATAR BELAKANG ..........................................ERROR! BOOKMARK NOT DEFINED.
2.2 TUJUAN ...........................................................ERROR! BOOKMARK NOT DEFINED.
2.3 DESKRIPSI ALAT .............................................ERROR! BOOKMARK NOT DEFINED.
3 PENUTUP...................................................ERROR! BOOKMARK NOT DEFINED.
1. Pengantar
Dokumen ini berisi proposal pengembangan kontrol PID “Sistem Kendali Suhu Ruangan
Berbasis Arduino, TRIAC dan LM35” ditujukan untuk projek mandiri mata kuliah Sistem
Kendali Digital. Dokumen ini ditulis berdasarkan pada ide pengembangan yang berisi antara
lain : konsep, desain dan fitur dari prototype kontrol PID kendali suhu ruangan berbasis
Arduino yang direncanakan akan dikembangkan, peralatan/tools yang akan digunakan dan
rencana pengembangan dari awal pengembangan hingga produk akhir projek ini.
Dokumen B100 ini juga berisi tentang sebagai syarat kelengkapan dokumen
pengembangan dari segi analisa dan perancangan yang dikaitkan dengan tugas mata kuliah
Elektronika Industri sebagai ‘sistem plant’, Instrumentasi Elektronika sebagai ‘sistem
pendeteksi’ dan tugas akhir mata kuliah Sistem Kendali Digital sebagai ‘kontroller PID’.
Dokumen B100 berisi tentang rancangan sistem yang akan dibuat.
1.1. Ringkasan Isi Dokumen
Dokumen ini terdiri dari dua bagian, diantaranya :
1. Bab Pengantar
Bab pengantar ini menjelaskan mengenai ringkasan isi dokumen, tujuan penulisan
dokumen, agar pembacaan dan pemahaman isi dokumen dapat dipahami dengan
mudah.
2. Bab Pengembangan Perancangan Proyek
Bab ini berisi tentang pendahuluan yang menunjang proyek yang dibuat, perancangan
perangkat keras dan perancangan perangkat lunak.
1.2. Tujuan Penulisan
Pembuatan dokumen ini secara umum bertujuan sebagai pemenuhan syarat
kelengkapan dokumen pembuatan alat yang meliputi analisa dan perancangan alat baik dari
sisi perancangan perangkat keras, didalamnya mencakup aspek mekanik dan aspek elektronik,
maupun perancangan perangkat lunak, didalamnya mencakup aspek komputer dan
pemrograman juga aspek sistem kendali.
3
Melengkapi tujuan umum tersebut, dokumen ini juga memiliki tujuan khusus, yaitu:
• Mempermudah pemahaman pembaca mengenai alat yang akan dibuat,
• Sebagai acuan dalam pengerjaan proyek,
• Sebagai acuan dalam pengembangan proyek dalam jangka panjang.
2. Proposal Pengembangan Produk Sistem Elektronik dan Mekanik
2.1 Pendahuluan
Proposal pengembangan alat yang dibuat berisi tentang perancangan alat baik
perangkat lunak maupun perangkat keras sebagai landasan dalam pembuatan alat,
sehingga pembuatan alat pada setiap tahap akan lebih mudah. Dengan begitu pembuataan
alat yang mengacu pada perancangan pada dokumen ini dapat menuntun pengusul agar
dapat tetap melaksanakan pengerjaan proyek sesuai dengan fungsi dan tujuan awal
walaupun dalam pengerjaannya nanti mengalami sedikit perubahan.
2.2 Perancangan Perangkat Lunak
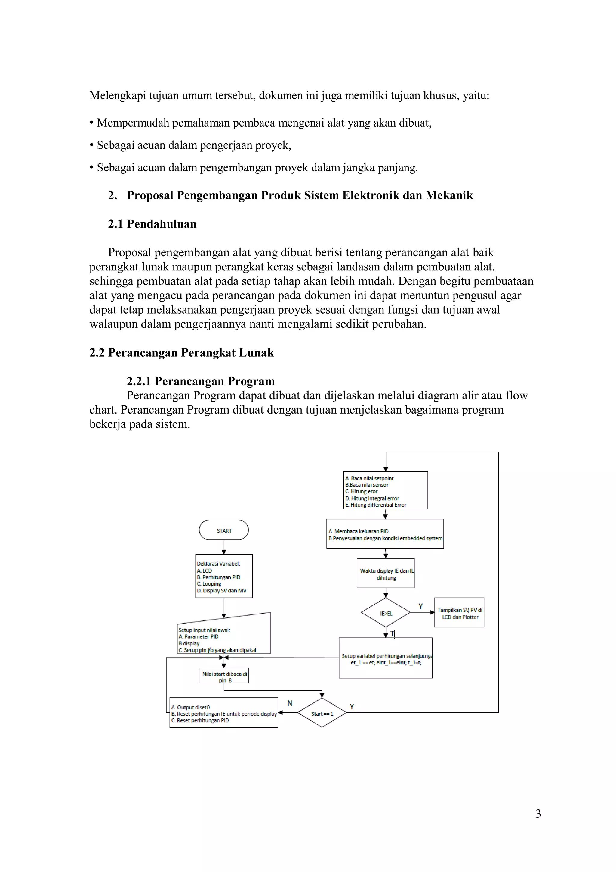
2.2.1 Perancangan Program
Perancangan Program dapat dibuat dan dijelaskan melalui diagram alir atau flow
chart. Perancangan Program dibuat dengan tujuan menjelaskan bagaimana program
bekerja pada sistem.
4
2.2.2 Perancangan Sistem Kendali
Perancangan perangkat lunak bagian sistem kendali dapat dijelaskan melalui
diagram blok di bawah ini :
3.2 Diagram Blok Perancangan Sistem Kendali
2.3 Perancangan Perangkat Keras
2.3.1 Perancangan Mekanik
Perancangan Mekanik pada dokumen ini dibuat sesederhana mungkin hal tersebut
dimaksudkan agar perancangan yang dibuat dapat dengan mudah menyesuaikan
kebutuhan orang-orang yang ingin membuatnya. Perancangan mekanik menggunakan
potongan papan triplek sebagai dinding penyanggah sensor, lampu halogen yang dipasang
menyesuaikan tempat pemasangan komponen.

Sistem Kendali Suhu Ruangan dengan Metode PID Menggunakan LM35 dan Triac Berbasis Arduino_B300

  • 1.
    KEMENTERIAN PENDIDIKAN DANKEBUDAYAAN POLITEKNIK NEGERI BANDUNG Jln. Gegerkalong Hilir, Ds. Ciwaruga, Bandung 40012, Kotak Pos 1234, Telepon (022) 2013789, Fax. (022) 2013889 Homepage :www.polban.ac.id Email : polban@polban.ac.id Dokumentasi Tugas Akhir Mata Kuliah Lembar Sampul Dokumen Judul Dokumen Dokumen B300: “Sistem Kendali Suhu Ruangan Berbasis Arduino,LM35 dan TRIAC” Jenis Dokumen B300 Nomor Dokumen B300 – 01 Nomor Revisi 01 Nama File 171311025_RIZKYAHMADFAUZY_B300.docx Tanggal Penerbitan 26 April 2019 Unit Penerbit Jumlah Halaman 4 Data Pengusul Pengusul Nama Jabatan Mahasiswa D – III Teknik Elektronika Rizky Ahmad Fauzy(171311025) Tanggal 26/04/2019 Tanda Tangan Lembaga Politeknik Negeri Bandung Alamat Jln. Gegerkalong Hilir, Ds. Ciwaruga Bandung 40012, Kotak Pos 1234, Telepon (022) 2013789, Fax. (022) 2013889 Telepon : 022- 2013789 Faks : 022- 2013889 Email : polban@polban.ac.id
  • 2.
    2 DAFTAR ISI 1 PENGANTAR............................................ERROR! BOOKMARK NOT DEFINED. 1.1 RINGKASAN ISI DOKUMEN ..............................ERROR! BOOKMARK NOT DEFINED. 1.2 TUJUAN PENULISAN ........................................ERROR! BOOKMARK NOT DEFINED. 2 PENGEMBANGAN PROPOSAL............ERROR! BOOKMARK NOT DEFINED. 2.1 LATAR BELAKANG ..........................................ERROR! BOOKMARK NOT DEFINED. 2.2 TUJUAN ...........................................................ERROR! BOOKMARK NOT DEFINED. 2.3 DESKRIPSI ALAT .............................................ERROR! BOOKMARK NOT DEFINED. 3 PENUTUP...................................................ERROR! BOOKMARK NOT DEFINED. 1. Pengantar Dokumen ini berisi proposal pengembangan kontrol PID “Sistem Kendali Suhu Ruangan Berbasis Arduino, TRIAC dan LM35” ditujukan untuk projek mandiri mata kuliah Sistem Kendali Digital. Dokumen ini ditulis berdasarkan pada ide pengembangan yang berisi antara lain : konsep, desain dan fitur dari prototype kontrol PID kendali suhu ruangan berbasis Arduino yang direncanakan akan dikembangkan, peralatan/tools yang akan digunakan dan rencana pengembangan dari awal pengembangan hingga produk akhir projek ini. Dokumen B100 ini juga berisi tentang sebagai syarat kelengkapan dokumen pengembangan dari segi analisa dan perancangan yang dikaitkan dengan tugas mata kuliah Elektronika Industri sebagai ‘sistem plant’, Instrumentasi Elektronika sebagai ‘sistem pendeteksi’ dan tugas akhir mata kuliah Sistem Kendali Digital sebagai ‘kontroller PID’. Dokumen B100 berisi tentang rancangan sistem yang akan dibuat. 1.1. Ringkasan Isi Dokumen Dokumen ini terdiri dari dua bagian, diantaranya : 1. Bab Pengantar Bab pengantar ini menjelaskan mengenai ringkasan isi dokumen, tujuan penulisan dokumen, agar pembacaan dan pemahaman isi dokumen dapat dipahami dengan mudah. 2. Bab Pengembangan Perancangan Proyek Bab ini berisi tentang pendahuluan yang menunjang proyek yang dibuat, perancangan perangkat keras dan perancangan perangkat lunak. 1.2. Tujuan Penulisan Pembuatan dokumen ini secara umum bertujuan sebagai pemenuhan syarat kelengkapan dokumen pembuatan alat yang meliputi analisa dan perancangan alat baik dari sisi perancangan perangkat keras, didalamnya mencakup aspek mekanik dan aspek elektronik, maupun perancangan perangkat lunak, didalamnya mencakup aspek komputer dan pemrograman juga aspek sistem kendali.
  • 3.
    3 Melengkapi tujuan umumtersebut, dokumen ini juga memiliki tujuan khusus, yaitu: • Mempermudah pemahaman pembaca mengenai alat yang akan dibuat, • Sebagai acuan dalam pengerjaan proyek, • Sebagai acuan dalam pengembangan proyek dalam jangka panjang. 2. Proposal Pengembangan Produk Sistem Elektronik dan Mekanik 2.1 Pendahuluan Proposal pengembangan alat yang dibuat berisi tentang perancangan alat baik perangkat lunak maupun perangkat keras sebagai landasan dalam pembuatan alat, sehingga pembuatan alat pada setiap tahap akan lebih mudah. Dengan begitu pembuataan alat yang mengacu pada perancangan pada dokumen ini dapat menuntun pengusul agar dapat tetap melaksanakan pengerjaan proyek sesuai dengan fungsi dan tujuan awal walaupun dalam pengerjaannya nanti mengalami sedikit perubahan. 2.2 Perancangan Perangkat Lunak 2.2.1 Perancangan Program Perancangan Program dapat dibuat dan dijelaskan melalui diagram alir atau flow chart. Perancangan Program dibuat dengan tujuan menjelaskan bagaimana program bekerja pada sistem.
  • 4.
    4 2.2.2 Perancangan SistemKendali Perancangan perangkat lunak bagian sistem kendali dapat dijelaskan melalui diagram blok di bawah ini : 3.2 Diagram Blok Perancangan Sistem Kendali 2.3 Perancangan Perangkat Keras 2.3.1 Perancangan Mekanik Perancangan Mekanik pada dokumen ini dibuat sesederhana mungkin hal tersebut dimaksudkan agar perancangan yang dibuat dapat dengan mudah menyesuaikan kebutuhan orang-orang yang ingin membuatnya. Perancangan mekanik menggunakan potongan papan triplek sebagai dinding penyanggah sensor, lampu halogen yang dipasang menyesuaikan tempat pemasangan komponen.