Comsats Institute of Information
Technology Lahore
Repatriates training and their Adjustment
Final Assignment of International Business
13-Dec-13
Muhammad Naeem(Principal Author) (FA12-MBT-059)
Muhammad Afzal (FA11-MBT-119)
Muhammad Ubair (FA12-MBT-061)
Niqash Mudassar (FA12-MBT-073)
Jamil Younus (FA11-MBT-151)
Submitted To: Sir Shahzad Ghafoor
COMSATS INSTITUTE OF INFORMATION TECNOLOGY
RIWAND ROAD OFF DEFENC ROAD LAHORE
The topic is concern: Repatriates Training and Their Adjustment
Author(s): Muhammad Naeem (principal) and Niqash Mudassar, Muhammad Afzal, Muhammad
Ubair, Jamil younus
Source: The data collected from the JSTORE research papers
Stable URL: http://www.jstor.org
Date: 09/12/2013
Key words:
 Repatriates Training
 Integrated Model
 Subsequently
 Frustrated Repatriate
 Mitigate
 Proactive repatriate
 Intention to leave
 Intervention
 Hagiography
 Culture assimilator
Research Objective:
 Find the Method of repatriation
training
 Different type of approaches for
training
 Integrated model of training
 Repatriation problems
 Cross culture difficulties
 Theoretical frame work of
repatriation
 Variation in repatriation
experience
 Repatriates adjustments
Definition:
Repatriation is the process of returning a person to their place
of origin or nationality. This includes the procedure of
returning refugees or soldiers or some special agent of
Government or organization that provided some special
overseas project.
Abstract:
This paper reviews that about the repatriation training and their
adjustment and also tells us about the method of training
according to the foreign assignment process and the nature of
assignment. The training process also depend on the time
period of the repatriates in which suggests that the major
determinant of repatriate preservation is the availability of
repatriation support programs; and an emerging one, which
focuses on individual career activism in a changing
employment situation. It tells us about the different problems
of the repatriates that they face after completion of their
assignment. There are so many method of training are available
but some method use in this paper that how we can train the
repatriates for different project and overseas assignment. In
which we discuss the integrated repatriation model and
different type of approaches for train purpose, each approach
has a different type of training those are use for the training of
repatriates. As well as the literature contain the degree of
integration, that tells us the time period of the project that
assigned by the organization. The repatriates training and their
adjustment depend on the all approaches of the training, the
paper contain different type of hypotheses that we make during
the training process of the repatriates.
Research Question
 How we can solve the domestic problems of repatriates
after completion their overseas project??
 How we can define the best approach of repatriates training
for overseas project for the long period of time??
Literature:
Repatriates Training and Their
Adjustment
The process of repatriation has many
difficulties for both an individual employee
and a corporation. For an individual
employee, the repatriation gives undesirable
culture shock in which include the failure of
social status at work and as well as at home
(Howard 1980; Kendall 1981; Kepler et al.
1983), and different type of problems related
with career, like loss of technical skills, lake
of culture confidence less skills about
specific return assignment, and promotion
absence (Adler 1981; Howard 1980; Kendall
1981; Kepler et al. 1983). As well as for
international business the corporate face
many difficulties to integrate their business
and employee into local work environment
and how to learning newly acquired
knowledge and skill from employees
(Mendenhall, Dunbar, and Oddou 1987;
Rogers 1984). First examine the difference
aspects a person move from New York to
Washington and a person move from United
States to kingdom. Both moves can involve
adjustment to new job, a new organization
culture, a new set of co-worker and a new
general environment .thus in the both cases
the organization and novelty factor are
affecting adjustment process. An initial
support for previous assentation on four
value scale, result indicate that variance on
these dimension within countries is much
smaller than between countries
.Hofstede[1980] this is an average variation
in political system, language, social
structure and economic system. The period
absence is generally two to five years
[Napier&Peterson1991;Tung 1981] During
the lack period the changes in individual like
(attitude, values, habits) and a other variety
of element in home country like(technology,
social norms, organizational culture) these
are the critical factor in why most employee
report that re-entry into their home country
and company was more difficult the initial
move overseas[Adler1981] time away from
the home country is a critical factor in
theoretical framework of the repatriation
alteration. The just about 25% repatriated
employee leaves the organization within one
year of returning back in U.S [Black1989].
This turnover rate is significant because the
average expatriate manager costs $300,000
per year or two to three times an equivalent
manager in the U.S. [Lublin 1989]. This
may total over $1.2 million during a typical
four-year assignment. This represents a
significant human resource loss and
replacement cost to U.S. firms.
Repatriation of overseas assignment
Despite the important repatriation issues, the
literature of repatriation is very
comprehensive so only discuss very few
cases. There has been no struggle to evaluate
repatriation systematically, no hypotheses
involved to examine the difficulties. Nearby
three important questions mostly the
literature does not address. Very first is that,
it is very difficult to examine the repatriation
problems might be linked to other stages of
overseas perceptive, i.e. selection and
recruitment, or abroad adaptation. Lithe
experience of Kepler et al. (1983) the
currently studies trends defined one or two
stage of overseas experience; they don’t join
to identify pattern between or across all
three stages. Second the literature doesn’t
define the issues of variation in repatriation
practice. We identify our initial work (
Briody and Baba 1989) that not all the
repatriation experience is problematic. Let
say it is not possible that the literature
identifies or observe the all repatriation
experience or their career path. Finally the
literature does not identify our growing
knowledge for overseas assignment to a
highly understanding the ideology and
behavior like in large and complex
organization and different multinational
companies. The first purpose of this paper is
to provide a comprehensive review of the
extant empirical literature on cross-cultural
training. This review suggests that cross-
cultural training has a positive impact on the
individual's development of skills, on his or
her adjustment to the cross-cultural
situation, and on his or her job performance
in the cross-cultural situation. However,
compared to the training literature in general
(see Latham, 1988, for a review), the area of
cross-cultural training has received little
empirical attention. Because most past
empirical research on cross-cultural training
has lacked theoretical grounding, generally,
(Adler, 1983; Beaty & Mendenhall, 1989).
We presented the results of an inductive
research project focusing on the overseas
assignment. The organization of the paper
parallels the iterative discovery process that
we experienced in our effort to understand
the interrelationships among complex
organizational phenomena. When our initial
phase of data collection and hypothesis
testing failed to pro-duce satisfying results,
we broadened our data-collection net to
include semi structured discussions with a
wider range of managerial employees
representing several different organizational
units and classification levels (Gregory
1983; Trend 1978). Furthermore, an iterative
approach enabled us to seek and
subsequently test more complex
explanations for repatriation variation. Our
interviews with GM managers also
permitted us to conceptualize two different
patterns of relationships among
organizational structure, ideology, and
behavior. These patterns were holistic in
several respects. The discovery of the
decoupled pattern was facilitated by the
prior discovery of the coupled pattern. Once
we recognized the existence of the three
interwoven elements in the coupled system
of structure (international linkages),
ideology (pro-international), and behavior
(positive repatriation experiences), it was
possible to predict an alternative model-the
decoupled system. We found that the
decoupled or anti-pattern phenomenon was
associated with the existence of units with
few, if any, international linkages, an anti-
international ideology, and negative
repatriation experiences. The length and
complexity of procedures required
discovering and recognizing patterns and
anti-patterns reflect the complexity of
organizational phenomena, and underscore
the need for anthropologically informed
methodologies in organizational research.
Implications for Anthropological and
Organizational Theory Our problem-
oriented research demonstrate the relevance
of anthropological theory to the study of
organizations.
Explicit Hypotheses relating to Variation
in Repatriation Experiences
The very first stage of data collection, for
the purpose of our understanding the extent
the types of problems related with
repatriation was aided largely by the often
spontaneous generation of some specific
hypotheses by our ISP and managerial
interviews. We quickly found that their
description for repatriation difficulties was
embedded in feedback to questions
pertaining to job satisfaction and career
enhancement. (See Briody and Baba 1989
for a more complete discussion): The list of
different hypotheses as below:
 Generalist versus specialist
 Size and structure of overseas
Operation
 Length of stay abroad
 Maintenance of content with the
domestic organization
 Classification of high potential
employees
 Type of home unit
The greatest single aid in the social
rehabilitation of the repatriate has been, as
might be expected, the cohesive force
exerted. Next in importance have been the
repatriate organizations, which have
appeared in many forms, all designed to
unite individuals with similar backgrounds
and ideas, and ranging in size from local
groups with only a handful of members to
national associations with memberships in
the tens of thousands. They can be classified
in three main categories: those organized for
a specific purpose, such as the Northern
Friends Society, a direct-action group of
repatriate. An others thing is that
Repatriation has been offered as a strategy
to mitigate hence restrictions since the end
of slavery in the western hemisphere.
Kwame Tour 6 and his All African people’s
revolutionary party instituted he most ardent
proponent so holistic pan-African is and
repatriation. Tours asserts that the only way
for Diaspora Africans to gain political-
economic self-determination lies in the
establishment to faland-base in Africa
(Carmichael 1969; Tour6 n.d.). Like Marcus
Garvey (Garvey 1971; Martin 1983) before
him, Tour6 does not advocate the mass
migration of diaspora Africans to Africa, but
con-tends that Diaspora Africans find
themselves at a perpetual cultural and
material disadvantage outside of a land that
they can call their own (Tour6 n.d.)
The overview of repatriation turnover as a
important source of concern for repatriates
and their companies has been invariably
appear in the literature for several decades
now. Our paper explain, compares, and
contrasts the traditional and the emerging
propositions of the literature, the former
should be focus on the role of organization,
and the later sketch concentration to the
roles of individual and environmental
factors that involved in all process.
According to the past research about the
repatriation there are some scenario are
available to define and explain the
repatriation process so the explanation of
those scenarios are as follow:
First scenario is Frustrated Repatriate
According to this scenario the repatriation is
source of frustration because of a large
number of unexpected professionals and as
well as personals problems closely related
with the repatriates’ reintegration to their
home country and home office (Baughn,
1995; Sanchez et al., 2000; Adler, 2002).
According to the personal decision many
repatriates experience face reverse culture
shock (Gullahorn and Gullahorn, 1963), the
result is that the unrealistic expectation that
nothing in their home country has changed
and as well as one thing is most important
that they are same people they were before
they left for assignment (Forster, 1994;
Black et al., 1999; Sanchez et al., 2000;
Scullion and Brewster, 2001; Adler, 2002).
According to the researcher point of view
there are some factors that directly effect on
the repatriates in which include personal
settlement problems, surprising changes in
life style, decline in cash flow, disposable
income, problem associated with loss of
social status and lifestyle changes (Kendall,
1981; Harvey, 1982; Gomez-Mejia and
Balkin, 1987; Black and Gregersen, 1991;
Engen, 1995; Stroh et al., 1998; Poe, 2000).
Second scenario is proactive repatriate
According to the researcher research of last
few years an unconventional perception has
emerged that challenges the supremacy of
this view. Research has recommended that
our investigations of the repatriate practice
would benefit greatly if they moved ahead
of organizational predictors of repatriation
outcomes to include variables related to the
individual and the situation within which
repatriation took place ( Leiba -O'Sullivan,
2002; Yan et al., 2002). Today, international
familiarity has high intrinsic value. The
person is rewarded by the knowledge itself
rather than by being offered a rewarding
promotion back at headquarters ( Inkson
etal., 1997; Sanchez etal., 2000; Stahl and
Cerdin, 2004). This perspective suggests
that individual plan and career goals take
preference over managerial decisions.
Existing well-liked press articles have hailed
stints abroad as the ticket to the board-room'
(Fenby, 2000) and as stepping stone for the
hopeful executive' (Ball, 1999).
International know-how is a tradable asset
that repatriates can use to advance their
careers - either with the company that sent
them abroad, or elsewhere (Tung, 1998a).
Thus, while quitting the company may be an
expression of poor organizational efforts to
reintegrate the individual, it may also be
encouraged by pursuing external
opportunities that provide the best fit with
one's career objectives.
Facets in repatriation adjustment
In the process of repatriation adjustment
three distinct facets must be consider
adjustment to work, adjustment to
interacting with home nationals, and
adjustment to the general environment and
culture Black and Gregersen [1991] [Black,
Mendenhall & Oddou 1991; Oberg 1960;
Torbiorn 1982] have argued that moving
into a new environment creates a significant
level of uncertainty and that people in
general have a need to reduce that
uncertainty. The last major component of
our study concerns is antecedents variable
like individual, job related, organizational,
non-work variables that influence
repatriation adjustment process. Although it
might seem that readjustment to the home
country might be relatively simple, and
thereby, make these different facets of
adjustment less relevant during repatriation,
Adler [1981].Predictive control is the ability
to make sense of, or predict, one's
environment in terms of (1) the ability to
predict how one is expected to behave and
(2) the ability to understand and predict
rewards and punish-mints associated with
specific behaviors [Bell & Staw
1989].Behavioral control is the ability to
control one's own behaviors that have an
important impact on the current
environment. In effect, behavioral control is
an indirect attempt at environmental or
outcome control [Bell & Staw 1989].The
last major component of our theoretical
framework of repatriation adjustment
concerns the general classes of antecedent
variables. Our review of the repositioning,
expatriation, and individual control
literatures suggest that there are four main
categories of variables [Glisson & Durrick
1988].Assume some changes in
Home country environment when individual
time away from home country can
significantly inhibit the formation of
accurate anticipatory expectations [Black &
Gregersen1 991].the greater the rate of
change the more likely the expectations f
repatriating managers are to be inaccurate.
Another variable that expected to have
impact on preventive expectation in the task
interdependency between repatriates and
home country operation.
[Black&Mendenhall1990].Additionally, the
content of training would determination the
relationship between training and specific
sides of anticipatory expectation and in-
country repatriation adjustment. However, if
training focused only on one facet, for
example the general environment, it would
be expected to be most strongly to general
repatriation adjustment perhaps at all to
interaction r work repatriation adjustment.
Variable
There are various variables that are directly
or indirectly interrelated with the
repatriation guidance and repatriation
procedure in which there is some variable
talk about are as follow
Intention to leave
Intention to leave was deliberate with a six-
item level based on Wayne et al. (1997). A
model item is 'I am seriously thinking about
quitting my job'. The scale anchors ranged
from 1 to 5, where 1=strongly disagree,
3=neutral, 5=strongly agree. The internal
consistency of the measure was α =0.83.
Company provide repatriation support
The support of company that may be
provided to the repatriates should be depend
on recent work on the repatriation that has
indentify the list of policies and practices
most often associated with a successful
repatriation program (Lazarova and
Caligiuri, 2001). In the example of
repatriation practices include some
important point such as
 Pre-repatriation briefings
 Career planning sessions
 Repatriation agreements outline
 Type of position
The repatriation agreements outlining the
type of position that expatriates will be
placed in upon repatriation. The training
respondent were asked to know about which
of the practices or training included in the
list were made available to them by their
company upon their return of foreign
assignments by checking “yes” or “no” in
the appropriate box that should be related
and according to the work of person who
should be selected for foreign assignment.
The items were assigned a score of 1 if it
means the practices were available to the
participant upon repatriation, and if the
score is 0 that mean it show that the practice
of repatriation was not available. All these
type of averaged score show the repatriation
support availability from organization side.
Hypothesis1:Company-provided
repatriation support is negatively related to
intention to leave after repatriation.
Hypothesis 2: The availability of alternative
employment opportunities is absolutely
related to intention to leave after
repatriation.
Hypothesis 3: Proactive career development
behaviors are significantly related to
intention to leave after repatriation.
With the help of table we can show the repatriation support practices availability %
Table:
Practice Availability (%)
Continuous communication with home office 49.2
Contact with home office about the details of the repatriation process 41.1
Sessions of career planning 40.2
Agreement outlining the type of position expatriates will be placed in 33.5
Upon repatriation
Life style assistance and counseling on changes likely to occur in 33.6
Expatriates lifestyles upon retune
Advance briefing on what expect during the repatriation 31.0
Visible signs that company values international experience 25.1
Financial counseling and financial/tax assistance 9.7
Programs of mentoring while on assignment 8.8
Reorientation program (about the changes in the company) 8.6
Repatriation training seminars on the emotional response of repatriation 8.1
Mean availability (average across all practices) 26.6
Source: journal of international business studies
Alternative employment opportunity
Substitute employment opportunities were
deliberated with a six-item scale based on
measures designed by Billings and
Women’s (1983) and from Peters et al.
(1981). A model item from the scale is 'If I
have to go away this job, I would have one
more job as good as this one within a
month'. The scale anchors ranged from 1 to
5, where I-strongly disagree, 3=neutral,
5=strongly agree. The dependability of the
measure was α=0.75.
Proactive career development behaviors
Earlier period literature on repatriation
offers no precise guidance as to the suitable
construct to be used to point out proactive
career development behaviors. In organize
to operationalize the previous variable of
attention in this study a measure of an
analogous construct, career activism
(Krieger, 1995), was used. Career activism
has been defined in the home context as
measures taken by an individual to take
charge of or be in organizing of one's career.
As a motivational build, it is internal to the
human being, is based on the internal want
for individual manage, and is deliberate with
look upon to the behaviors that designate its
attendance or magnitude. As a career
construct, career activism is the
demonstration of an individual's desire to
take charge of his or her own career. The
construct is considered by the steps taken to
see that the career follows the individual's
apparent desired career path (Krieger, 1995:
30). We judge that career activism, as
defined above, properly captures the build
we want to explore. Krieger (1995)
hypothesized that career activism was a
multidimensional construct consisting of
five facets:
(1) Advice and intervention;
(2) Strategic planning;
(3) Outside information-gathering;
(4) In-house development; and
(5) General career information-gathering
The ethnographical data comes from two
year of framework field conducted in Berlin
1994-1995. Aussiedler sitting in their
hostels and apartments, extensive interviews
concerning their experiences coming to
Germany can be taken and also met with
authorities and community leaders who
worked with Aussiedler bureaucrat, official,
and teacher. Aussiedler told story that
justify their repatriation. They discussed that
they had suffering, deserving, or that they
were legally unrestricted to the payback they
received. Such claims to authority were
most regularly posed in differentiation to the
stories of other applicant to German wealth
or kindness, whether it was the refugees
from the war in Bosnia, members of the
Russian Mafia. Such differentiation is
important to Aussiedler because their legal
claims to German belonging are primarily
different from those of other immigrants.
Germany is suitable for migrant in part
because it offer citizens and foreign
inhabitants nearly equal access to the social
welfare system (halfmann, 1997)
In World War 1, the imitation of the
population has been seen as serious to the
life of the German state. Such War had
result in an assortment of eco-crises,
demographic that appeared to cry out for
Administration. The family was seen a thing
in emergency from which whole new
category of person arises war widows, war
orphans, and soldiers wives as well as new
project for social welfare institution both
public and private (hong, 1996) The future
of our land only depends when we resolve
population problem, which has also the
question of economic and political power
(dickinson, 1918:106)
The useful separation at the spirit of modern
state-building lead to the making of new
constituency group with claim to place
assets and help them in situational
reflection in the welfare state (Halfmann,
1994) At the end of World War II, Germany
initiate itself in so far another fake
emergency, as it took on the task of
incorporate the millions of displaced person
who had cut and run before the Russian, or
who had been compulsory to travel in
accordance with the Potsdam Accords.
Members of the German Volk, inside the
sense of such law, are those who in their
homeland have maintain and recognized
German identity and can confirm it through
such proof as a language or culture.
The first strategic planning for return and
repatriation can be presented in HIWG
meeting, formulated in close discussion with
the parties, and examined the phasing out of
temporary protection measures in the
situation of the implementation of General
Framework Agreement for Peace in Bosnia
and Herzegovina. The main objective of the
come back and repatriation operation is to
make sure that permanent solutions are
found for displaced persons and refugees
through a process of before time, passive,
orderly and phased return to a place of their
choice in Bosnia and Herzegovina. Such
struggle will be made to help the
reintegration of persons and families into
stable communities where their essential
human rights will be protected and where
their basic needs are to be completed.
Another objective is steadily to phase out
the provision of kind assistance to refugees,
displaced persons, and the war-affected, as a
function of the consolidation of peace and
stability, and progress in treatment and
modernization. Planned promotion of
controlled repatriation is frequently
preceded by the facilitation of unplanned
return i-e providing support, as appropriate,
to refugees who return happily under
conditions which are not yet helpful to
organized repatriation. Generally, UNHCR
will monitor nationality aspects particularly
as related to repatriation to Bosnia and
Herzegovina and to other countries in the
nearest region. Finally, it must be known
that the problems of refugees and displaced
persons influence not only Bosnia and
Herzegovina, but also the Federal Republic
of Yugoslavia, the previous Yugoslav state
of Macedonia, Croatia, and Slovenia. A
local and fair approach to assistance will
continue to be necessary. (BIJLEVELD,
1996)
Repatriation belonging to those persons who
by cause of his age or their physical
condition is unable to become restored in the
monetary situation (Michigan State Welfare
Department). The Mexican people who are
working as a labor are willing to work for
salary less than those which citizens would
accept. (Humphrey, (Sep., 1941))
When, during the hopelessness, lower salary
became general, the imported Mexican
found himself a disliked opponent for jobs,
and an equally candidate for help. (Paul)
Those Returning Mexicans, who cross the
border at El Paso in 1931, viewed the
repatriates as consisting of four classes.
 First come the deport Mexicans.
 According to the approximate of the
Mexican ambassador, between30-40
Mexicans a month are deported from the
31 region with head office at Los
Angeles.
 The approximate for the whole country
set by the Department of Labor for the
fiscal year ending June 30 is 18,500 .The
group made up of those called voluntary
returns, the group made up of those who
are also here are legal.
 The fourth class is formed of poor
Mexicans who have not the money to
return to their homeland. (McLean)
The Mexican peoples go back to their home
just because of the monetary depression. For
months he has listened to the tapping of the
people who take them. But some of the
Mexican people not to be agree to do back,
the important reason is that in the United
States superior security and better
opportunity exists for living. It is
conventional that children have better
potential here for learning preparation which
will provide them for life work. After the
first run of candidate for goes back to
Mexico, the number quickly decrease, and
mail were in print by repatriates
communicate their dissatisfaction both with
the mode of journey offer and with the
services offered for modification when they
at home in Mexico. Repatriation was the
most suitable method of conduct the
problems of Mexicans on release received
considerable momentum and various
pressures in various forms were use to attain
the goal. On one side , The plan of Mexican
repatriation occur, as an economy
determine for frequent to the home a large
national group brought into this country as
low-priced labor with the coming of the
despair was not skilled of self support . On
other side, the plan linked in with the large
ideas of social welfare of the supervision of
Mexico. . Repatriation as an intended
measure may well be traditional to the best
standards of case work procedure, but really
in the transport out of the plan, unqualified
case workers use pressures in some case.
(Malekian, (2007))
Generally, the crowd repatriation of the
Armenian-Iranians in 1946- 1947 did not
play a positive role in the lives of the
migrants. They faced serious difficulties in
their past land. The terrible post-war
economic conditions directly affected the
newcomers' lives and severely influenced
the process of adjustment to the new
realities, which were completely unfamiliar
to the Armenians of Iran.
(Charles W. Havens, JANUARY 1971))
At the end of May, An agreement can be
signed by the both parties. In such
agreement, this statement was to be cleared
that there is no forced repatriation of any
enemy. But all prisoners of both side bear
pain of capturing and many of the prisoners
were died in such period. Prisoners’ of war
must be released and repatriate after the
cessation of completed hostilities. Such
article also stated with the deal with the cost
of repatriation. in such article it is to be
declared that those prisoners who were to be
captured by a long time may also be released
according to direct repatriation .all prisoners
of war who have remained in custody longer
than eighteen months should be repatriated
by the defeater. There are now thousands of
North Vietnamese and Viet Cong and
hundreds of American prisoners of war who
have been jailed for more than two years,
and there is no end of their imprisonment in
sight. The Geneva Convention should
provide a solution for this situation. It is
logical to terminate that eighteen months of
imprisonment with no chance of release in
sight is enough to require accommodation in
a neutral country. The Americans under
arrest in North Vietnam and those under
arrest by the Viet Cong in South Vietnam
would hold a result that many of them are
badly sick or wounded and allowed to direct
repatriation.
(Holme, (2001)) Such paper shows the
repatriation of Kateri as an imposing symbol
through narrative. It can be suggested that
Kateri, a peace and repeat character in the
17th-century Jesuit accounts, is given voice
by her modern spiritual in four unified
narrative ways:
 First, by the rescripting of her last words
 Second, by their daily interview and
communication with the protestant ,
meet which are commonly imaginary as
marvelous
 Third, by the division of these wonder
stories with other fans
 Fourth, by the group's popular public
statement of Kateri's full sainthood, an
agreement which face the Vatican's
accepting of purity.
Hagiography becomes more than only
identical stories about saints, but also stories
about personality, both the executive and
the popular personality who conveys and
decodes Kateri's narratives ((cf. Orsi,
1996)Counter hagiography, I look for to
emphasize the numerous, changing and
frequently opposing conversation which
inform a saint's life. Such a concept of
counter hagiography moves the fairy-tale of
a saint's life away from the traditional
hagiographical practices which do not
apparent a Saint ((Woodward, & cf. Noble
and Head). In such time period of the
repatriation of a colonial mythico historic
form through modern devotional narratives,
it becomes clear that Kateri story is not
linear; there are many narratives with
several endings ((Behar)
Source: journal of international business studies
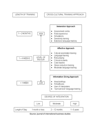
Cross-cultural Training Approach
It is true that the huge difference between
the domestic and foreign culture so it
necessary for the organization to provide the
training to the employee of the organization
those are selected for the overseas project or
assignment, for this purpose there are three
approaches are used for the training of
repatriates. All the approaches of the
training depend on the time period of the
individual or (Krieger, 1995) repatriates
project so according to the time period we
provide training to the repatriates.
The three approaches of training of
repatriates are as under:
 Immersion Approach
 Affective Approach
 Information Giving Approach
There three main approaches that contain the
all training process and as well as each
approach contains the different content that
include in training.
Information Giving Approach
This approach is very initial approach that is
use for the very short period time in which
the repatriates solve or complete their
project. It is very general approach in which
only information delivered to the person
who have the foreign project in which some
important steps are used, in which very first
we describe the area briefing to the
employee in which who perform their
activities and then provided the related
material to the employee that gives helps in
solving the project assignment and one thing
is important the survival language training
also provided because every culture has
different language and different life style.
(Yan et al., 2002)
Affective Approach:
This approach is use when the project time
period is medium, i.e. within a year. This
approach also contains some steps that used
in this approach training process. This
approach is very help full for organization as
well as repatriates those have medium
overseas project. Those uses in this
approach are as under:
Culture Assimilator Training
Language Training
Role Playing
Critical Incidents
Case Studies
Stress Reduction Training
Moderate Language Training
In the medium term of assignment this type
of approach is used for repatriates training,
in which all steps should be follow by the
organization culture assimilator and describe
the host culture to their project holder and
language training provide to the individuals
(Stahl and Cerdin, 2004) and guide the
person what role play in the host culture and
how mange the project that given by
company and how follow the instruction
provide the case studies that provide the
helps to repatriates in project solving, and
the company describe how individual
control the stress of reduction training
process. (Stevens et al., 2005).
Immersion Approach:
For the intention of the cross culture training
this approach is use for high level of
integration of the repatriates, according to
this approach those people or project holder
have a long period assignment or project
then this type of approach is use for the
purpose of training and this type of approach
has also contain some important training
step that include in this approach.
Assessment Center
Field Experience
Simulations
Sensitivity Training
Extensive Language Training
All the above points that used in immersion
approach are use in this training process, an
assessment center made for learning
different type of skills, gives the field
experience to the repatriates, as well as
simulations delivered, sensitivity of training
maintain in training process because the
project period to long so sensitivity in the
training is very necessary and in this
approach the last step is that we consternate
on the extensive language that are using in
the host culture. (Pedhazur, 1997).
Degree of Integration
The degree of integration show the time
period of repatriates that who spend for
solving of completing their project. In this
there are three level include first is low
level, second is moderate level and last is
high level these level show the different
time period the low level is use for one
month project and moderate is use for one to
12 month and last is use for one to three year
project is high.
Integrated repatriation model
According to the advance field of expatriate
management, we should shift away from
studying background of repatriate
preservation and talk about the outcomes of
repatriate preservation in a larger context.
To that end, we propose an integrative
framework to show future research. The
framework is based on an integration of
appropriate themes from the repatriation,
career, and information transfer literatures,
and on Kraimer and Shaffer's (2004) latest
assessment of repatriation achievement from
a careers perception. In addition to vigilantly
examining an expanded set of previous
circumstances and acknowledging the multi-
faceted nature of victory upon repatriation,
future work should inspect outcomes of
repatriation longitudinally. We found that
repatriates who participated in this study had
an overpoweringly positive measurement of
the effect of their assignment on career
growth. Providing only a snapshot, however,
our study presents repatriates' expectations
but not their experience
In a analysis of the current state of career
hypothesis, Sullivan (1999) pointed out that
there are 'dark sides' to boundary-less
careers that tend to get disregarded, and
remain unexpectedly under-researched to
this day (Brousseau et al., 1996). Dany
(2003) questioned the ability of individuals
to act as free agents, and invent and reinvent
their careers unfettered by
career boundaries. They keep up those
empirical facts supporting the boundary less
career model comes from a limited number
of studies of the Careers of a few
advantaged (mostly) Professional groups,
and is thus inadequate. Stumpy these
opinions, Dany et al. (2003) have
recommended that studying more different
samples and accounting for issues of
discrepancy power and resources would
likely demonstrate that, in actuality, careers
have multiple boundaries. Recent research
has thus recommended that the expression
boundary-less careers may be somewhat
removed from organizational reality (Pringle
and Mallon, 2003). In the context of such
debate, hypothetical distinctions between the
objective and subjective aspects of
individual victory upon repatriation and
experimental work that examines both
aspects are critically necessary.
Social Learning Theory and Cross-
Cultural Training
This article presented SLT as a theoretical
framework. In the process of examining
SLT in relation to cross-cultural training,
Some important new insights about SLT
have emerged. Although it does not seem
that the context of international training
compared to the context of domestic training
challenges any fundamental assumptions of
SLT or presents any totally new variables
that should be incorporated into SLT, the
international context does seem to rearrange
the importance of various factors within
SLT. Although novelty plays an important
role in SLT within the domestic training
context, it plays a critical role in the
international training context (Bandura,
1977; Hilgard & Bower, 1975). The degree
of novelty of new behaviors is significantly
higher in the international context. In both
domestic and inter-national contexts new
work-related behaviors must be learned;
however, in most cross-cultural training
situations new non-work behaviors must be
learned as well. First, given that in a cross-
cultural training situation, in general, an
individual will be required to learn
behaviors of greater breadth and depth of
novelty, the attention and retention aspects
of the SLT become much more important in
the international con-text. In an international
context, because of the generally higher
level of behavior novelty, low levels of
attention and retention may render the
trainee unable to reproduce the modeled
behavior in any fashion. Because most
domestic training situations involve
behaviors that are familiar, the sequencing
of symbolic or participative modeling
processes and whether the processes are
used in combination or separately seem less
important in domestic versus international
contexts. The results of the study by
Gudykunst et al. (1977) suggest that
symbolic modeling should precede
participative modeling; symbolic modeling
alone may not be sufficient for the training
to have a positive and significant impact on
outcomes, such as cross-cultural adjustment.
Given that the depth and breadth of novelty
in international contexts are greater than in
domestic training contexts, a higher
minimum level of motivation may be
necessary in order for effective attention and
retention processes to occur during cross-
cultural training situations. Cross-cultural
training effectiveness in the studies
reviewed may be explained partly by almost
all the trainees being volunteers for the
cross-cultural work situation and, therefore,
being more likely to be motivated than
randomly selected individuals. Finally,
another variable of SLT that seems to
operate differently in an international
context is self-efficacy. First, based on the
published empirical evidence, it seems that
cross-cultural training is effective in
developing important cross-cultural skills, in
facilitating cross-cultural adjustment, and in
enhancing job performance. Davis and
Luthans (1980),
Repatriation Problems for Executives
Organizational/career issue
Financial pressures
Pressure
Family problems
Executive Psychological Stress
(Resulting from)
* Career Issues
* Financial Pressures
* Family Stress
* Re-entry Process Itself
Executive/Job Issues
Career and specialized changes are essential
for the repatriate; at the same time economic
burdens may create the highest level of
pressure [Kiechel1 983]. On repatriation the
uncertainty of a new place, if available, as
well as the change in career path will be of
the extreme fear to repatriated executives
[Murry1 978; Doltish 1982].
Economic Stresses
Economic difficulties for the repatriated
executive center on the difference in foreign
compensation levels and loss of overseas
allowances. When
Foreign assignments demand rise in pay for
External Service; the loss of that salary
difference enhances pressure to repatriation
because the expatriate's normal existing
naturally was familiar while abroad. This
quick solidity of throwaway revenue
compounded with higher cost of living than
when the expatriate left the local
market, creates a compounded effect on the
administrative and family members when
they are struggling to settle to the local
situation[H arvey1 983].
Culture shock
Culture shock is the personal confusion a
person may feel when experiencing an
unfamiliar way of life due to immigration or
a visit to a new country, a move between
social environments, or simply travel to
Repatriated Executives
Impact on
organization
Organizational
Reaction
Indicates the
direction of influence
another type of life One of the most
common causes of culture shock involves
individuals in a foreign environment.
Culture shock can be described as consisting
of at least one of four distinct phases:
Honeymoon, Negotiation, Adjustment, and
Mastery when individual enter into a new
environment are often not know what is
acceptable or not acceptable, the adjustment
process involve the reduction of that
uncertainty by learning what is acceptable
and able to act accordingly [Brisslin 1981]
The phenomenon of "culture shock" is
largely a set of negative affective reactions
to encounters that demonstrate to individuals
in a new, foreign environment that they lack
a complete and accurate set of schemata’s
for understanding and appropriately acting
in the new, current situation [Oberg 1960;
Torbiorn 1982].Manager often lack of
current understanding of the home country
and that process is a central component of
repatriation adjustment Harvey [1983] and
Adler [1981]Typically, the u-curve and w-
curve hypotheses have been described in
terms of three general stages of adjustment.
The first stage is often denoted to as the
honeymoon stage and are believed to last
less than two months [ Adler1986;
Gullahorn and Gullahorn 1963 Harris &
Moran 1989; Torbiorn 1982 ] .During this
stage, most of what is different in the new
scenario is seen as “interesting" and "
stimulating." This stage is followed by
dissatisfaction stage or culture shock.
During this stage , the individual must
survive within the new environment on a
daily basis , and the innovations in the new
environment and lack of sufficient
understanding of them and their relationship
with suitable and inappropriate behavior
leads to emotional reactions anxiety and
obstruction , which are common indicators
of culture shock[ Adler 1986; Brislin 1981 ,
the Church 1982 ] .
Culture shock is the personal confusion a
person may feel when experiencing an
unfamiliar way of life due to immigration or
a visit to a new country, a move between
social environments, or simply travel to
another type of life One of the most
common causes of culture shock involves
individuals in a foreign environment.
Culture shock can be described as consisting
of at least one of four distinct phases:
Honeymoon, Negotiation, Adjustment, and
Mastery when individual enter into a new
environment are often not know what is
acceptable or not acceptable, the adjustment
process involve the reduction of that
uncertainty by learning what is acceptable
and able to act accordingly [Brisslin 1981]
The phenomenon of "culture shock" is
largely a set of negative affective reactions
to encounters that demonstrate to individuals
in a new, foreign environment that they lack
a complete and accurate set of schemata’s
for understanding and appropriately acting
in the new, current situation [Oberg 1960;
Torbiorn 1982].Manager often lack of
current understanding of the home country
and that process is a central component of
repatriation adjustment Harvey [1983] and
Adler [1981]Typically, the u-curve and w-
curve hypotheses have been described in
terms of three general stages of adjustment.
The first stage is often denoted to as the
honeymoon stage and are believed to last
less than two months [ Adler1986;
Gullahorn and Gullahorn 1963 Harris &
Moran 1989; Torbiorn 1982 ] .During this
stage, most of what is different in the new
scenario is seen as “interesting" and "
stimulating." This stage is followed by
dissatisfaction stage or culture shock.
During this stage , the individual must
survive within the new environment on a
daily basis , and the innovations in the new
environment and lack of sufficient
understanding of them and their relationship
with suitable and inappropriate behavior
leads to emotional reactions anxiety and
obstruction , which are common indicators
of culture shock[ Adler 1986; Brislin 1981 ,
the Church 1982 ] .
The third stage is often call adaptation step
is categorized by the gradual understanding
new culture and the ability to “fit in" with
time. Researchers have estimated that takes
about a year for a -and-a - half of the year
for the full repatriation adjustment [ Adler
1986; Copeland and Griggs 1985, Harris &
Moran 1989].The international management,
organizational behavior, and career
literatures all have faced the question of
what the outcome variables are appropriate
measures to adapt to changes in work
[Mendenhall and Oddou 1985,
Brett,Feldman and Weingart 1990; Pander
and Schroeder 1987, Feldman 1988]After
Feldman [1991], we suggest that there are
four critical variables that are reasonable
indicators of adjustment to new job
assignments. Further aspects of anticipation
and country setting, the above comments
intercultural adjustment of expatriate
literature have pointed four general
categories in which various background
adjustment can be placed [Church 1982;
Mendenhall and Oddou 1985; Stenting
1979]. They are (1) individual factors, (2)
factors of work, (3) organizational factors
(4) non-work factors. By combining these
four categories of background with the
notion of anticipatory adaptation in the
country, it is possible have certain
individual, for example, which are
individual anticipatory factors and some that
are in the country the individual factors
relating to repatriation adjustment[Brett
1980; Black & Mendenhall 1990; Dawis &
Lofquist 1984; Nicholson 1984; Torbiorn
1982] have claimed that moving into a new
environment generates an important level of
uncertainty and that people in general have a
need to reduce uncertainty to a more
tolerable level.
The third stage is often call adaptation step
is categorized by the gradual understanding
new culture and the ability to “fit in" with
time. Researchers have estimated that takes
about a year for a -and-a - half of the year
for the full repatriation adjustment [ Adler
1986; Copeland and Griggs 1985, Harris &
Moran 1989].The international management,
organizational behavior, and career
literatures all have faced the question of
what the outcome variables are appropriate
measures to adapt to changes in work
[Mendenhall and Oddou 1985, Brett,
Feldman and Weingart 1990; Pinder and
Schroeder 1987, Feldman 1988]After
Feldman [1991], we suggest that there are
four critical variables that are reasonable
indicators of adjustment to new job
assignments. Further aspects of anticipation
and country setting, the above comments
intercultural adjustment of expatriate
literature have pointed four general
categories in which various background
adjustment can be placed [Church 1982;
Mendenhall and Oddou 1985; Stenting
1979]. They are (1) individual factors, (2)
factors of work, (3) organizational factors
(4) non-work factors. By combining these
four categories of background with the
notion of anticipatory adaptation in the
country, it is possible have certain
individual, for example, which are
individual anticipatory factors and some that
are in the country the individual factors
relating to repatriation adjustment[Brett
1980; Black & Mendenhall 1990; Dawis &
Lofquist 1984; Nicholson 1984; Torbiorn
1982] have claimed that moving into a new
environment generates an important level of
uncertainty and that people in general have a
need to reduce uncertainty to a more
tolerable level.
The children have problems in reintegrating
themselves into schools and becoming
known in societal groups. This is mostly
marked in children returning to high school
in their junior and senior years. They may
not be able to make an adjustment in
academic standards and probably more
profound is their helplessness to contribute
in additional activities such as sports,
cheerleading, band and the like. These
children may frequently experience
problems educationally because of their
"social frustration." The problems of the
children normally translate into extra
stress/pressure for the parents. [Adler
1983b]
Executive Psychological Pressure
Burdens that are created by organizational/
career doubt, economic pressures and family
difficulties can encourage administrative
pressure [Harvey and Lusch 1982b]. In
addition he reentry process itself may also
increase the level of psychological tension in
the executive. If the institute does not have a
well-articulated repatriation program the
executive may have to deal with the reentry
problems without Organizational support.
There might be a deficiency of funding from
complements in the institute because they
do not identify the related set of
complications repatriates must overcome
their return [Wilpert1 974].
Adjustment problems
Organizational Carrier and professional
adjustment are necessary for repatriates but
financial pressure are the highest level of
stress[ Kiechel1 983].On repatriation
ambiguity f a new position, I f available, a s
well as the modification in career will be of
the utmost concern o repatriated [ Murry1
978; Dotlich 1982Re-establishing
themselves in the domestic organization
normally takes time and also some changes
in individual personal and professional
lifestyle .a manager working with less
authority that was experience in overseas
position[Carroll, Painea ndI vancevich1
972].if this tension persist the individual
normally experience a Brownout in many
cases and leave the organization[Harvey and
lusch 1982b].one of the most disturbing
experience of the repatriates is being place
in holding pattern when retiring from
foreign assignment[Murry 1978].The carrier
objective of the repatriates are damage due
to the possible reduction in productivity and
carrier progress may be
changed[Greenberg1 982; Harvey1 983].
Psychological Pressure that created by
organizational carrier uncertainty and
financial pressure family problem can
arouse individual stress [Harvey and Lusch
1982b.] .reentry process can also increase
the tension level in individual mind. There
may also be a lack of support from
colleagues in the organization because they
do not identify the interrelated problem
repatriates overcome upon their return
[Wilper 1984.] This lack of support and
recognition from fellow employee may
result in the repatriated individual
developing a feeling of unfaithfulness by the
company. The individual face the re-entry
problem the organization can terminate them
from organization before they influence
others in firm. Some organization may
accelerate retirement [Tung1984].The
children’s of individuals feel difficulty to
adjust in new school and in new social
groups. The problem of children can be
cause of additional stress for parents
Repatriates training are needed to
expatriates to adjust in domestic
environment. The unexpected problem with
children and other family member cost of
restarting household and individual unhappy
in the work may complicate the relationship
with family [Adler1983b.] .The organization
may have several negative significance
stemming from repatriates employee that
could affect its domestic and international
operation. The repatriates employee are not
performing efficiently and the lack of
performance reduce the probability of
success. This view point makes it more
difficult to attract others to take foreign
assignment as a means to push their career
ahead [Tung 1984].
Research Methodology
Exploratory studies
This study is most apposite when there is no
existence of an apparent theory, if there is a
little research in the area, when the
significant uniqueness and relations are
difficult to resolve and when the issue is
difficult to distinguish (Collis and Hussey,
2003).
Descriptive research
This research can be an expansion of
exploratory research. Saunders et al. (2003,
p 97) states that prior to collect data, it is
essential to be very clear of the experience
on which you want to do research. It
answers questions of “who, what, where,
how and when”. According to Collis &
Hussey (2003) states that “descriptive
research is most suitable when the problem
is clearly structured and when there are no
intentions to find relationships between
causes and effects”.
Explanatory research
Explanatory studies are studies that establish
causal relations among variables (Saunders
et al., 2003, p 97). It answers questions
based on “how and why” (Yin, 2003). This
study involves all of the three purposes
discussed above; Exploratory, since I
explore the problem and circumstance and
since my aim is to achieve understanding of
factors that facilitate expatriates adjustment;
descriptive as well because I collected data
and analyzed; and also explanatory because
I am going to compare current
characteristics with the literature and theory
and examine the finding out of these.
Research Philosophy
“Philosophy can be defined as the
questioning of basic fundamental concepts
and the need to embrace a meaningful
understanding of a particular field” (Burke,
2007).Research philosophies can be divided
into three approaches: Positivism,
interpretism and realism and these are
functional for three reasons: these visibly
communicate the posture of research, let
others to rapidly recognize context and
allow clearly too eloquent the consequence
of research (Burke, 2007). In this research
realism is used as research philosophy.
Positivism
“Positivist research generally attempt to test
theory, in an attempt to increase the
predictive understanding of phenomena and
in this approach facts are clearly defined and
result are measurable” (Myers, 1997).
Positivists presume absolutely and openly
that reality can be evaluated by screening it
through a one way, value free mirror and
researchers should be objective in their
research and must avoid interference of their
ideas and values with research process
(Sobh and Perry, 2005).
Research Strategy- Case Study
Selecting a suitable research strategy is very
important in order to get answer of research
question. Saunders et al (2003) states many
research strategies which includes
“experiment, survey, case study, grounded
theory, action research, ethnography, cross
sectional, longitudinal, exploratory,
descriptive and explanatory studies”. This
research utilizes a case study as research
strategy and this is done in order to assist me
in achieving an increased understanding of
the expatriation phenomenon. For this
research there are several reasons for
choosing a case study. Case study is
regarded the most suitable when answering
research questions in form of how and why
there is no control over behavioral events
with a clear focus on contemporary events.
(Yin, 1994). Since my intention was to find
detailed answers to the research questions, I
had to go in-depth. For this reason, a case
study might be a suitable research strategy,
to gain a rich understanding in my field of
investigation. A case study considers much
data to evaluate problems and to find
solutions (Blohm & Fowler, 2004). Finally,
my case study was an explanatory study as
well, because I intended to find out
relationships among several variables
(Saunders et al., 2003).
Research Approach
According to Collis & Hussey (2003)
research can be divided into two approaches
where the qualitative approach is the one
chosen for this research due to nature of
subject as well as due to gain a deeper
considerate of area researched. Qualitative
research is the assembled name for a number
of different types of disciplines such as,
sociology, social anthropology and social
psychology. Collis & Hussey (2003) states
factors that distinguish a qualitative
approach from other approaches: Qualitative
research is more suitable for descriptive
purposes and analysis conducted through the
use of Conceptualization: Qualitative
research is most often associated with
research in a smaller scale, since it has
relatively limited dimension and involves
relatively few situations.
Data Collection
Secondary Data
My source of secondary data was mainly
articles and journal. For all my literature
review, I read many journals and articles.
Few of the most recognized scholars in
expatriation research are lee, Tung,
Medenhall, Black, Downs, Salmer and
Waxin. These researchers are only a few
samples of many scholars who have
conducted research and surveys in this field
of investigation. Secondary data normally
collected from books, journals, articles,
survey reports, news papers, magazines and
used to answer the current research question
by re analyzing it (Evaluating Socio
Economic Development, 2005
Primary Data
In order to carry out research there is need
of primary data. There are two kind of
primary data Qualitative and Quantitative.
“The qualitative data is based on meaning
expressed through words, where as
quantitative data based on meanings derived
from numbers” (Saunders, 2003). In this
research only qualitative data has been
selected due to the nature of research
question.
Sample Selection
This section provides the reader with the
factors that were considered decisive for
selecting companies, respondents, and
documentation used in this research.
Data Analysis
Miles and Huberman (1994) states that in
qualitative research words are the main units
used in an analysis.
According to them, the elements of data
analysis are:
• “Data reduction” • “Data display” •
“Conclusion drawing and verification” The
first element, data reduction, refers to the
“process of selecting, focusing, simplifying,
abstracting and transforming the data that
appear in written-up field nits or
transcription” (Miles & Huberman, 1994).
They say it actually begin before
the collection of information when
researcher decides which research question
to be used. Second element Data display is
described as an “organized and compressed
assembly of information that permits
conclusions drawing and action” (Miles &
Huberman, 1994). The last flows of analysis
activity
leads the researcher to start sorting out the
collected data and intercept it, this is made
by noting regulations, patterns, comparison,
explanations, casual flows and propositions
(Miles & Huberman, 1994).
Conceptual Model
Fig. 1 self analysis
According to the diagram we select six variables in which one is dependent and others are
independent. Main variable is Repatriation that is dependent variable and others life style, career
issues, social status, family issues and culture shock are independent variable. Those independent
variable directly effect on the repatriation. In this we want to explore the relationship between
the dependent and independent variables.
Repatriation
Culture
shock
Social
status
Career
Issue
Life stlye
Family
Issue
SPSS Analysis Report
Line Graph
Descriptive Analysis
In this diagram show the mean of all independent variable and standard deviation of all
independent variable.
Descriptive Statistics
Mean Std. Deviation N
repatriation 2.7000 1.32192 100
Culture Shock 4.0000 1.12815 100
Career Issue 3.6500 .89188 100
lifestyle 3.6500 .89188 100
Social status 3.6500 .89188 100
Financial Issue 3.8600 1.24738 100
Model summary
Model Summary
Model R R Square Adjusted R Square Std. Error of the Estimate
1 .811a
.657 .646 .78630
a. Predictors: (Constant), financial, social status, culture shock,
career Issue,
b. This diagram show the standard of error
ANOVA b
Model Sum of Squares df Mean Square F Sig.
1 Regression 29.969 5 5.994 5.704 .000a
Residual 98.781 94 1.051
Total 128.750 99
a. Predictors: (Constant), financial, career, lifestyle, culture Issue, social status
b. Dependent Variable: repatriation
Reliability
F>3 there for our regression test is valid and significant level is less than 0.05 so, overall model
is significant and all independent variable have significant impact on dependent variable.
Coefficients
Model
95.0% Confidence Interval for B
Lower Bound Upper Bound
1 (Constant) 1.872 3.763
Culture Shock -.093 .421
Career Issue -.933 -.383
lifestyle -.125 .220
social status .146 1.056
Financial Issue -.276 .090
a. Dependent Variable: repatriation
Conclusion
This paper contains the repatriation training method and as well as describe the all problem face
in repatriation process. The appropriate method of adjustment use in this paper and we create
different hypotheses on different variable and the analyze the variable at the end of the paper we
define the research methodology, and conceptual model of dependent and independent variable
and generate the data analysis on SPSS and fine the research analysis in which find the relation
between the dependent and independent variable and fine the means of different variable and as
well as find the regression of all independent variable the result is significant.
References:
 Adler, N. (1983) Cross-cultural management research: The ostrich and the trend.
Academy of Management Review, 8, 226-232.
 Adler, N.J. (2002) International Dimensions of Organizational Behavior, 4th end, South-
Western: Cincinnati, OH.
 Adler, N.J. 1981 Re-Entry: Managing Cross-Cultural Transitions. Group and
Organizational Studies 6(3):341-356.
 Adler, Nancy. 1981. R e-entry: Managing cross-cultural transitions. Groupand
Organizational Studies, 6(3): 341-56. _____. 1986. International dimensions of
organizational behavior. Boston: Kent
 Adler, Nancy. 1981. Re-entry: Managing cross-cultural transitions. Groupand
Organizational Studies, 6(3): 341-56.
 Baba, M. L. 1990 Organizational Culture: Revisiting the Small Society Metaphor.
Anthropology of Work Review 10(3):7-10. Briody, E. K., and M. L. Baba 1989 and
Overview of the Overseas Assignment at General Motors Corporation: Issues and
Recommendations. Warren, MI: General Motors Research Laboratories Publication
6754,
 Ball, B.j. (1999) 'Daimler Chrysler's Transfer Woes: Workers Resist Moves Abroad - and
Here', Wall Street Journal, 24 August, B1.
 Baughn, C. (1995) 'Personal and organizational factors associated with effective
repatriation', in J. Selmer (ed.) Expatriate Management: New Ideas for International
Business, Quorum Books: Westport, pp. 215-230.
 Billings, R. and Wemmens, V. (1983) 'The role of alternatives in process models of
withdrawal', Proceedings of the 26th Annual Conference of the Midwestern Academy of
Management', pp. 18-29.
 Black, J.S., Gregersen, H.B. and Mendenhall, M.E. (1992) Global Assignments’
successfully expatriating and repatriating international Managers, 1st end, Jossey-Bass:
San Francisco.
 Black, J.S., Gregersen, H.B., Mendenhall, M.E. and Stroh, L.K. (1999) Globalizing
People through International Assignments, Addison-Wesley: Reading, MA
 Brislin, Richard W. 1981. Cross-cultural encounters. New York: Pergamum Press
 Caligiuri, P. and DiSanto, V. (2001) 'Global competence: what is it, and can it be
developed through global assignments?' Human Resource Planning 24(3): 27-35.
 Carmichaels tokely. 1969. Pan- Africanism land and power Black Scholar: Journal of
Black Studies and Research 1(1): 36-43.
 Carroll, S., F. Paine & J. Ivancevich. 1972. The relative effectiveness of methods-expert
opinion and research. Personnel Psychology, 25:495-509.
 Chemers, M. M. (1969) Cross-cultural training as a means of improving situational
favorableness. Human Relations, 22, 531-546. Bandura, A. (1977) Social learning theory.
Englewood Cliffs, NJ: Prentice-Hall.
 Clague, L. & N. Krupp. 1978. International personnel: T he repatriation problem.
Personnel Administration, 23:29-33.
 Davis, T., & Luthans, F. (1980) A social learning approach to organizational behavior.
Academy of Management Re-view, 5, 281-290.
 Dawis, Rene V. & Lloyd Lofquist. 1984 A psychological theory of work adjustment.
Minneapolis, Minn.: University of Minnesota Press
 Engen, J.R. (1995) 'Coming home', Training 32(3): 37-40.
 Fenby, J. (2000) 'Make that foreign posting your ticket to the boardroom', Management
Today July, pp: 48-53.
 Forster, N. (1994) 'The forgotten employees? The experiences of expatriate staff
returning to the UK', International Journal of Human Resource Management 5(2): 405-
425.
 Garvey, Amy Jacques. 1971. Philosophy and opinions of Marcus Garvey. New York:
Atheneum.
 Gomez-Mejia, L. and Balkin, D.B. (1987) 'The determinants of managerial satisfaction
with the expatriation and repatriation process', journal of Management Development 6(1):
7-17.
 Gullahorn, J. R./Gullahorn, J. E., An extension of the U-curve hypothesis, Journal of
Social Issues, 14, 1963, pp. 33^7.
 Gullahorn, J.T. and Gullahorn, J.E. (1963) 'An extension of the U-curve hypothesis',
Journal of Social Issues 19(3): 33-47.
 Gullahorn, John R. & Joanne E. Gullahorn. 1962. An extension of the u-curve
hypothesis. Journaal of Social Issues, 3: 33-47Torbiorn, Ingamar. 1982. Living abroad.
New York: WileyChurc, AustinT. 1982. Sojourner adjustment. Psychological Bulletin, 9:
540-72.
 Harvey, M. (1989) 'Repatriation of corporate executives: an empirical study', journal of
International Business tudies2 0(1): 131-144.
 Harvey, M. 1982a. The multinational corporations' expatriate problem: An application of
Murphy's Law. Business Horizons, November-December: 71-78.
 Harvey, M. 1983. The other side of foreign assignments: Dealing with the repatriation
dilemma. Columbia Journal of World Business, spring: 53-59.
 Harvey, M.C. (1982) 'the other side of foreign assignments: dealing with the repatriation
Dilemma', Columbia journal of World Business 17(1): 53-59.
 Harvey, Michael. 1983. The other side of foreign assignments: Dealing with the
repatriation problem. Columbia Journal of World Business, 17: 53-59.
 Hofstede, Geert. 1980. Culture's consequences. Beverly Hills: Sage Publications
 Howard, C. G. 1980 the Expatriate Manager and the Role of the MNC. Personnel Journal
59(10):838-844.
 Hull, W. F., Foreign students in the United States of America: Coping behavior within
the educational environment, New York: Praeger 1978. Kealey, D. J., A study of cross
cultural effectiveness: Theoretical issues, practical applications, Inter- national Journal of
Intercultural Relations, 13, 3, 1989, pp. 387-428.
 Inkson, K. and Arthur, M.B. (2001) 'How to be a successful career capitalist',
Organizational Dynamics 30(1): 48-61. Inkson, K., Pringle, J., Arthur, M.B. and Barry, S.
(1997) 'Expatriate assignment versus overseas experience: contrasting models of
international human resource development', Journal of World Business 32(4): 351-368.
 Intercultural Relations, 10, 1986, pp. 235-254Sussman, N. M., Re-entry research and
training: Methods and implications, International Journal of Intercultural Relations, 10,
1986, pp.
 July 31. 1992 Evolving Organizational Structures and Ideologies at General Motors
Corporation: The Overseas Assignment. In Studying Corporate Cultures. W. E. Sibley,
ed. Boulder, CO: West-view Press. (In press.)
 Kendall, D. W. 1981 Repatriation: An Ending and a Beginning. Business Horizons
24(6):21-25.
 Kendall, D.W. (1981) 'Repatriation: an ending and a beginning', Business Horizons
24(6): 21-25.
 Kepler, J. Z., P.J. Kepler, O. D. Gaither, and M. L. Gaither 1983 Americans Abroad: A
Handbook for Living and Working Overseas. New York: Praeger
 Kiechel, W. 1983. Our person in Pomparippa. Fortune, October 17:213-18.
 Krieger, W.D. (1995) 'Career Activism: The Role of Individual Activity in Career
Management (Personal Control)', Unpublished PhD dissertation, New York University,
New York
 Lazarova, M. and Tarique, I. (2005) 'Knowledge transfer upon repatriation', Journal of
World Business
 Leiba-O'Sullivan, S. (2002) 'The protean approach to managing repatriation transitions',
International Journal of Manpower 23(7): 597-616.
 Martin, J. N./Bradford, L./Rohrhch, B., Comparing predeparture expectations Ana post-
sojourn re- ports: A longitudinal study of U.S. students abroad, International Journal of
Intercultural Relations, 19, 1, 1995, pp. 87 -110.
 Mendenhall, M. E., E. Dunbar, and G. Oddou 1987 Expatriate Selection, Training and
Career-Pathing: A Review and a Critique. Human
 Mendenhall, Mark & Gary Oddou. 1985. The dimensions of expatriate acculturation: A
review. Academiy of Management Review, 10: 39-48.
 Murry, J. 1978. International personnel repatriation: Culture shock in reverse. MSU
Business Topics, 21:29- 33.
 Murry, J. 1978. International personnel repatriation’s Culture shock in reverse. MSU
Business Topics, 21:29- 33.
 Napier, Nancy K. & Richard B. Peterson.1 991. Expatriate e-entry: What do repatriates
have to say? Human Resource Planning, 14(1): 18-28.
 Nicholson, Nigel. 1984. A theory of work role transitions. Adminiiaistrative Science
Quarterly, 29: 172-91
 Oberg, K. 1960. Culture shock: Adjustment to new cultural environment. Practical
Anathropologist, 7: 177-82
 Peters, L.H., Jackofsky, E.F. and Salter, J.R. (1981) 'Predicting turnover: a comparison of
part-time and full-time employees', journal of Occupational Behavior 2(2): 89-98.
 Peters, L.H., Jackofsky, E.F. and Salter, J.R. (1981) 'Predicting turnover: a comparison of
part-time and full-time employees', journal of Occupational Behavior 2(2): 89-98.
 Poe, A.C. (2000) 'Welcome back', HR Magazine 45(3): 94-105.
 Randall S. and Giuffrida A., in press. 'Forced migration, s? Dentarisation and social
change: Malian Kel Tamasheq'. In: D. Chatty (ed.), Nomadic Societies in the Middle East
and North Africa. Leiden: Brill.
 Rogers, J. R. 1984 Managing the Multinational Firm: Finding the Right Expatriate for the
Job. In Anthropology and International Business. H. Serried, ed. Studies in Third World
Societies, No. 28. Pp. 17-34. Williamsburg, VA: Department of Anthropology, College
of William and Mary.
 Sanchez, Jell. Specter, P.E. and Cooper, C.L. (2000) 'Adapting to a boundary less world:
a developmental expatriate model', Academy of Management Executive 14(2): 96-106.
 Scullion, H. and Brewster, C. (2001) 'the management of expatriates: messages from
Europe?' Journal of World Business 36(4): 346-365.
 Stahl, G.K. and Cerdin, J.-L. (2004) 'Global careers in French and German multinational
corporations', Journal of Management Development 23(9): 885-902.
 Stahl, G.K., Miller, E.L. and Tung, R.L. (2002) 'toward the boundary less career: a closer
look at the expatriate career concept and the perceived implications of an international
assignment', Journal of World Business 37(3): 216-227.
 Stening, Bruce W. 1979. Problems of cross-cultural contact: A literature review.
International Journial of Intercultural Relationas, 3: 269-313.
 Stroh, L.K., Gregersen, H.B. and Black, j.S. (1998) 'closing the gap: expectations versus
reality among repatriates', Journal of World Business 33(2): 111-124.
 Sussman, N. M., Re-entry research and training: Methods and implications, International
Journal of 235-254
 Torbiorn, Ingamar. 1982. Living abroad. New York: Wiley
 Torbiorn, Ingamar. 1982. Living abroad. New York: Wiley
 Tung, R.L. (1998a) 'American expatriates abroad: from Neo-phytes to Cosmopolitans',
Journal of World Business 33(2): 125-144.
 Tung, R.L. (1e998b) 'A contingency framework of selection and training of expatriates
revisited', Human Resource Management Review 8(1): 23-37.
 Tung, Rosalie. 1982. Selecting and training procedure so f U.S., European, and Japanese
multinational corporations. California Management Review, 2 5(1): 57-71.
 Wayne, S.J., Shore, L.M. and Linden, R.C. (1997) 'Perceived organizational support and
leader-member exchange: a social exchange perspective', Academy of Management
Journal 40(1): 82-111.
 Wilbert, B. 1974.P anticipation in organizations: Evidence from international
comparative research. International Social Science Journal, 36:355-66.
 Yan, A., Zhu, G. and Hall, D.T. (2002) 'International assignments for career building: a
model of agency relationships and psychological contracts', Academy of Management
Review 27(3): 373-391.
 Zimmerman,' Webb on Reburial: A North American Perspective," Antiquity6 1 (1987):

Repatriation Training and Their Adjustment

  • 1.
    Comsats Institute ofInformation Technology Lahore Repatriates training and their Adjustment Final Assignment of International Business 13-Dec-13 Muhammad Naeem(Principal Author) (FA12-MBT-059) Muhammad Afzal (FA11-MBT-119) Muhammad Ubair (FA12-MBT-061) Niqash Mudassar (FA12-MBT-073) Jamil Younus (FA11-MBT-151) Submitted To: Sir Shahzad Ghafoor
  • 2.
    COMSATS INSTITUTE OFINFORMATION TECNOLOGY RIWAND ROAD OFF DEFENC ROAD LAHORE The topic is concern: Repatriates Training and Their Adjustment Author(s): Muhammad Naeem (principal) and Niqash Mudassar, Muhammad Afzal, Muhammad Ubair, Jamil younus Source: The data collected from the JSTORE research papers Stable URL: http://www.jstor.org Date: 09/12/2013
  • 3.
    Key words:  RepatriatesTraining  Integrated Model  Subsequently  Frustrated Repatriate  Mitigate  Proactive repatriate  Intention to leave  Intervention  Hagiography  Culture assimilator Research Objective:  Find the Method of repatriation training  Different type of approaches for training  Integrated model of training  Repatriation problems  Cross culture difficulties  Theoretical frame work of repatriation  Variation in repatriation experience  Repatriates adjustments Definition: Repatriation is the process of returning a person to their place of origin or nationality. This includes the procedure of returning refugees or soldiers or some special agent of Government or organization that provided some special overseas project. Abstract: This paper reviews that about the repatriation training and their adjustment and also tells us about the method of training according to the foreign assignment process and the nature of assignment. The training process also depend on the time period of the repatriates in which suggests that the major determinant of repatriate preservation is the availability of repatriation support programs; and an emerging one, which focuses on individual career activism in a changing employment situation. It tells us about the different problems of the repatriates that they face after completion of their assignment. There are so many method of training are available but some method use in this paper that how we can train the repatriates for different project and overseas assignment. In which we discuss the integrated repatriation model and different type of approaches for train purpose, each approach has a different type of training those are use for the training of repatriates. As well as the literature contain the degree of integration, that tells us the time period of the project that assigned by the organization. The repatriates training and their adjustment depend on the all approaches of the training, the paper contain different type of hypotheses that we make during the training process of the repatriates. Research Question  How we can solve the domestic problems of repatriates after completion their overseas project??  How we can define the best approach of repatriates training for overseas project for the long period of time??
  • 4.
    Literature: Repatriates Training andTheir Adjustment The process of repatriation has many difficulties for both an individual employee and a corporation. For an individual employee, the repatriation gives undesirable culture shock in which include the failure of social status at work and as well as at home (Howard 1980; Kendall 1981; Kepler et al. 1983), and different type of problems related with career, like loss of technical skills, lake of culture confidence less skills about specific return assignment, and promotion absence (Adler 1981; Howard 1980; Kendall 1981; Kepler et al. 1983). As well as for international business the corporate face many difficulties to integrate their business and employee into local work environment and how to learning newly acquired knowledge and skill from employees (Mendenhall, Dunbar, and Oddou 1987; Rogers 1984). First examine the difference aspects a person move from New York to Washington and a person move from United States to kingdom. Both moves can involve adjustment to new job, a new organization culture, a new set of co-worker and a new general environment .thus in the both cases the organization and novelty factor are affecting adjustment process. An initial support for previous assentation on four value scale, result indicate that variance on these dimension within countries is much smaller than between countries .Hofstede[1980] this is an average variation in political system, language, social structure and economic system. The period absence is generally two to five years [Napier&Peterson1991;Tung 1981] During the lack period the changes in individual like (attitude, values, habits) and a other variety of element in home country like(technology, social norms, organizational culture) these are the critical factor in why most employee report that re-entry into their home country and company was more difficult the initial move overseas[Adler1981] time away from the home country is a critical factor in theoretical framework of the repatriation alteration. The just about 25% repatriated employee leaves the organization within one year of returning back in U.S [Black1989]. This turnover rate is significant because the average expatriate manager costs $300,000 per year or two to three times an equivalent manager in the U.S. [Lublin 1989]. This may total over $1.2 million during a typical four-year assignment. This represents a significant human resource loss and replacement cost to U.S. firms. Repatriation of overseas assignment Despite the important repatriation issues, the literature of repatriation is very comprehensive so only discuss very few cases. There has been no struggle to evaluate repatriation systematically, no hypotheses involved to examine the difficulties. Nearby three important questions mostly the literature does not address. Very first is that, it is very difficult to examine the repatriation problems might be linked to other stages of overseas perceptive, i.e. selection and recruitment, or abroad adaptation. Lithe
  • 5.
    experience of Kepleret al. (1983) the currently studies trends defined one or two stage of overseas experience; they don’t join to identify pattern between or across all three stages. Second the literature doesn’t define the issues of variation in repatriation practice. We identify our initial work ( Briody and Baba 1989) that not all the repatriation experience is problematic. Let say it is not possible that the literature identifies or observe the all repatriation experience or their career path. Finally the literature does not identify our growing knowledge for overseas assignment to a highly understanding the ideology and behavior like in large and complex organization and different multinational companies. The first purpose of this paper is to provide a comprehensive review of the extant empirical literature on cross-cultural training. This review suggests that cross- cultural training has a positive impact on the individual's development of skills, on his or her adjustment to the cross-cultural situation, and on his or her job performance in the cross-cultural situation. However, compared to the training literature in general (see Latham, 1988, for a review), the area of cross-cultural training has received little empirical attention. Because most past empirical research on cross-cultural training has lacked theoretical grounding, generally, (Adler, 1983; Beaty & Mendenhall, 1989). We presented the results of an inductive research project focusing on the overseas assignment. The organization of the paper parallels the iterative discovery process that we experienced in our effort to understand the interrelationships among complex organizational phenomena. When our initial phase of data collection and hypothesis testing failed to pro-duce satisfying results, we broadened our data-collection net to include semi structured discussions with a wider range of managerial employees representing several different organizational units and classification levels (Gregory 1983; Trend 1978). Furthermore, an iterative approach enabled us to seek and subsequently test more complex explanations for repatriation variation. Our interviews with GM managers also permitted us to conceptualize two different patterns of relationships among organizational structure, ideology, and behavior. These patterns were holistic in several respects. The discovery of the decoupled pattern was facilitated by the prior discovery of the coupled pattern. Once we recognized the existence of the three interwoven elements in the coupled system of structure (international linkages), ideology (pro-international), and behavior (positive repatriation experiences), it was possible to predict an alternative model-the decoupled system. We found that the decoupled or anti-pattern phenomenon was associated with the existence of units with few, if any, international linkages, an anti- international ideology, and negative repatriation experiences. The length and complexity of procedures required discovering and recognizing patterns and anti-patterns reflect the complexity of organizational phenomena, and underscore the need for anthropologically informed methodologies in organizational research. Implications for Anthropological and Organizational Theory Our problem- oriented research demonstrate the relevance
  • 6.
    of anthropological theoryto the study of organizations. Explicit Hypotheses relating to Variation in Repatriation Experiences The very first stage of data collection, for the purpose of our understanding the extent the types of problems related with repatriation was aided largely by the often spontaneous generation of some specific hypotheses by our ISP and managerial interviews. We quickly found that their description for repatriation difficulties was embedded in feedback to questions pertaining to job satisfaction and career enhancement. (See Briody and Baba 1989 for a more complete discussion): The list of different hypotheses as below:  Generalist versus specialist  Size and structure of overseas Operation  Length of stay abroad  Maintenance of content with the domestic organization  Classification of high potential employees  Type of home unit The greatest single aid in the social rehabilitation of the repatriate has been, as might be expected, the cohesive force exerted. Next in importance have been the repatriate organizations, which have appeared in many forms, all designed to unite individuals with similar backgrounds and ideas, and ranging in size from local groups with only a handful of members to national associations with memberships in the tens of thousands. They can be classified in three main categories: those organized for a specific purpose, such as the Northern Friends Society, a direct-action group of repatriate. An others thing is that Repatriation has been offered as a strategy to mitigate hence restrictions since the end of slavery in the western hemisphere. Kwame Tour 6 and his All African people’s revolutionary party instituted he most ardent proponent so holistic pan-African is and repatriation. Tours asserts that the only way for Diaspora Africans to gain political- economic self-determination lies in the establishment to faland-base in Africa (Carmichael 1969; Tour6 n.d.). Like Marcus Garvey (Garvey 1971; Martin 1983) before him, Tour6 does not advocate the mass migration of diaspora Africans to Africa, but con-tends that Diaspora Africans find themselves at a perpetual cultural and material disadvantage outside of a land that they can call their own (Tour6 n.d.) The overview of repatriation turnover as a important source of concern for repatriates and their companies has been invariably appear in the literature for several decades now. Our paper explain, compares, and contrasts the traditional and the emerging propositions of the literature, the former should be focus on the role of organization, and the later sketch concentration to the roles of individual and environmental factors that involved in all process. According to the past research about the repatriation there are some scenario are available to define and explain the repatriation process so the explanation of those scenarios are as follow:
  • 7.
    First scenario isFrustrated Repatriate According to this scenario the repatriation is source of frustration because of a large number of unexpected professionals and as well as personals problems closely related with the repatriates’ reintegration to their home country and home office (Baughn, 1995; Sanchez et al., 2000; Adler, 2002). According to the personal decision many repatriates experience face reverse culture shock (Gullahorn and Gullahorn, 1963), the result is that the unrealistic expectation that nothing in their home country has changed and as well as one thing is most important that they are same people they were before they left for assignment (Forster, 1994; Black et al., 1999; Sanchez et al., 2000; Scullion and Brewster, 2001; Adler, 2002). According to the researcher point of view there are some factors that directly effect on the repatriates in which include personal settlement problems, surprising changes in life style, decline in cash flow, disposable income, problem associated with loss of social status and lifestyle changes (Kendall, 1981; Harvey, 1982; Gomez-Mejia and Balkin, 1987; Black and Gregersen, 1991; Engen, 1995; Stroh et al., 1998; Poe, 2000). Second scenario is proactive repatriate According to the researcher research of last few years an unconventional perception has emerged that challenges the supremacy of this view. Research has recommended that our investigations of the repatriate practice would benefit greatly if they moved ahead of organizational predictors of repatriation outcomes to include variables related to the individual and the situation within which repatriation took place ( Leiba -O'Sullivan, 2002; Yan et al., 2002). Today, international familiarity has high intrinsic value. The person is rewarded by the knowledge itself rather than by being offered a rewarding promotion back at headquarters ( Inkson etal., 1997; Sanchez etal., 2000; Stahl and Cerdin, 2004). This perspective suggests that individual plan and career goals take preference over managerial decisions. Existing well-liked press articles have hailed stints abroad as the ticket to the board-room' (Fenby, 2000) and as stepping stone for the hopeful executive' (Ball, 1999). International know-how is a tradable asset that repatriates can use to advance their careers - either with the company that sent them abroad, or elsewhere (Tung, 1998a). Thus, while quitting the company may be an expression of poor organizational efforts to reintegrate the individual, it may also be encouraged by pursuing external opportunities that provide the best fit with one's career objectives. Facets in repatriation adjustment In the process of repatriation adjustment three distinct facets must be consider adjustment to work, adjustment to interacting with home nationals, and adjustment to the general environment and culture Black and Gregersen [1991] [Black, Mendenhall & Oddou 1991; Oberg 1960; Torbiorn 1982] have argued that moving into a new environment creates a significant level of uncertainty and that people in general have a need to reduce that uncertainty. The last major component of our study concerns is antecedents variable like individual, job related, organizational, non-work variables that influence
  • 8.
    repatriation adjustment process.Although it might seem that readjustment to the home country might be relatively simple, and thereby, make these different facets of adjustment less relevant during repatriation, Adler [1981].Predictive control is the ability to make sense of, or predict, one's environment in terms of (1) the ability to predict how one is expected to behave and (2) the ability to understand and predict rewards and punish-mints associated with specific behaviors [Bell & Staw 1989].Behavioral control is the ability to control one's own behaviors that have an important impact on the current environment. In effect, behavioral control is an indirect attempt at environmental or outcome control [Bell & Staw 1989].The last major component of our theoretical framework of repatriation adjustment concerns the general classes of antecedent variables. Our review of the repositioning, expatriation, and individual control literatures suggest that there are four main categories of variables [Glisson & Durrick 1988].Assume some changes in Home country environment when individual time away from home country can significantly inhibit the formation of accurate anticipatory expectations [Black & Gregersen1 991].the greater the rate of change the more likely the expectations f repatriating managers are to be inaccurate. Another variable that expected to have impact on preventive expectation in the task interdependency between repatriates and home country operation. [Black&Mendenhall1990].Additionally, the content of training would determination the relationship between training and specific sides of anticipatory expectation and in- country repatriation adjustment. However, if training focused only on one facet, for example the general environment, it would be expected to be most strongly to general repatriation adjustment perhaps at all to interaction r work repatriation adjustment. Variable There are various variables that are directly or indirectly interrelated with the repatriation guidance and repatriation procedure in which there is some variable talk about are as follow Intention to leave Intention to leave was deliberate with a six- item level based on Wayne et al. (1997). A model item is 'I am seriously thinking about quitting my job'. The scale anchors ranged from 1 to 5, where 1=strongly disagree, 3=neutral, 5=strongly agree. The internal consistency of the measure was α =0.83. Company provide repatriation support The support of company that may be provided to the repatriates should be depend on recent work on the repatriation that has indentify the list of policies and practices most often associated with a successful repatriation program (Lazarova and Caligiuri, 2001). In the example of repatriation practices include some important point such as  Pre-repatriation briefings  Career planning sessions  Repatriation agreements outline  Type of position The repatriation agreements outlining the type of position that expatriates will be
  • 9.
    placed in uponrepatriation. The training respondent were asked to know about which of the practices or training included in the list were made available to them by their company upon their return of foreign assignments by checking “yes” or “no” in the appropriate box that should be related and according to the work of person who should be selected for foreign assignment. The items were assigned a score of 1 if it means the practices were available to the participant upon repatriation, and if the score is 0 that mean it show that the practice of repatriation was not available. All these type of averaged score show the repatriation support availability from organization side. Hypothesis1:Company-provided repatriation support is negatively related to intention to leave after repatriation. Hypothesis 2: The availability of alternative employment opportunities is absolutely related to intention to leave after repatriation. Hypothesis 3: Proactive career development behaviors are significantly related to intention to leave after repatriation. With the help of table we can show the repatriation support practices availability % Table: Practice Availability (%) Continuous communication with home office 49.2 Contact with home office about the details of the repatriation process 41.1 Sessions of career planning 40.2 Agreement outlining the type of position expatriates will be placed in 33.5 Upon repatriation Life style assistance and counseling on changes likely to occur in 33.6 Expatriates lifestyles upon retune Advance briefing on what expect during the repatriation 31.0 Visible signs that company values international experience 25.1 Financial counseling and financial/tax assistance 9.7 Programs of mentoring while on assignment 8.8 Reorientation program (about the changes in the company) 8.6 Repatriation training seminars on the emotional response of repatriation 8.1 Mean availability (average across all practices) 26.6 Source: journal of international business studies Alternative employment opportunity
  • 10.
    Substitute employment opportunitieswere deliberated with a six-item scale based on measures designed by Billings and Women’s (1983) and from Peters et al. (1981). A model item from the scale is 'If I have to go away this job, I would have one more job as good as this one within a month'. The scale anchors ranged from 1 to 5, where I-strongly disagree, 3=neutral, 5=strongly agree. The dependability of the measure was α=0.75. Proactive career development behaviors Earlier period literature on repatriation offers no precise guidance as to the suitable construct to be used to point out proactive career development behaviors. In organize to operationalize the previous variable of attention in this study a measure of an analogous construct, career activism (Krieger, 1995), was used. Career activism has been defined in the home context as measures taken by an individual to take charge of or be in organizing of one's career. As a motivational build, it is internal to the human being, is based on the internal want for individual manage, and is deliberate with look upon to the behaviors that designate its attendance or magnitude. As a career construct, career activism is the demonstration of an individual's desire to take charge of his or her own career. The construct is considered by the steps taken to see that the career follows the individual's apparent desired career path (Krieger, 1995: 30). We judge that career activism, as defined above, properly captures the build we want to explore. Krieger (1995) hypothesized that career activism was a multidimensional construct consisting of five facets: (1) Advice and intervention; (2) Strategic planning; (3) Outside information-gathering; (4) In-house development; and (5) General career information-gathering The ethnographical data comes from two year of framework field conducted in Berlin 1994-1995. Aussiedler sitting in their hostels and apartments, extensive interviews concerning their experiences coming to Germany can be taken and also met with authorities and community leaders who worked with Aussiedler bureaucrat, official, and teacher. Aussiedler told story that justify their repatriation. They discussed that they had suffering, deserving, or that they were legally unrestricted to the payback they received. Such claims to authority were most regularly posed in differentiation to the stories of other applicant to German wealth or kindness, whether it was the refugees from the war in Bosnia, members of the Russian Mafia. Such differentiation is important to Aussiedler because their legal claims to German belonging are primarily different from those of other immigrants. Germany is suitable for migrant in part because it offer citizens and foreign inhabitants nearly equal access to the social welfare system (halfmann, 1997) In World War 1, the imitation of the population has been seen as serious to the life of the German state. Such War had result in an assortment of eco-crises, demographic that appeared to cry out for Administration. The family was seen a thing in emergency from which whole new category of person arises war widows, war
  • 11.
    orphans, and soldierswives as well as new project for social welfare institution both public and private (hong, 1996) The future of our land only depends when we resolve population problem, which has also the question of economic and political power (dickinson, 1918:106) The useful separation at the spirit of modern state-building lead to the making of new constituency group with claim to place assets and help them in situational reflection in the welfare state (Halfmann, 1994) At the end of World War II, Germany initiate itself in so far another fake emergency, as it took on the task of incorporate the millions of displaced person who had cut and run before the Russian, or who had been compulsory to travel in accordance with the Potsdam Accords. Members of the German Volk, inside the sense of such law, are those who in their homeland have maintain and recognized German identity and can confirm it through such proof as a language or culture. The first strategic planning for return and repatriation can be presented in HIWG meeting, formulated in close discussion with the parties, and examined the phasing out of temporary protection measures in the situation of the implementation of General Framework Agreement for Peace in Bosnia and Herzegovina. The main objective of the come back and repatriation operation is to make sure that permanent solutions are found for displaced persons and refugees through a process of before time, passive, orderly and phased return to a place of their choice in Bosnia and Herzegovina. Such struggle will be made to help the reintegration of persons and families into stable communities where their essential human rights will be protected and where their basic needs are to be completed. Another objective is steadily to phase out the provision of kind assistance to refugees, displaced persons, and the war-affected, as a function of the consolidation of peace and stability, and progress in treatment and modernization. Planned promotion of controlled repatriation is frequently preceded by the facilitation of unplanned return i-e providing support, as appropriate, to refugees who return happily under conditions which are not yet helpful to organized repatriation. Generally, UNHCR will monitor nationality aspects particularly as related to repatriation to Bosnia and Herzegovina and to other countries in the nearest region. Finally, it must be known that the problems of refugees and displaced persons influence not only Bosnia and Herzegovina, but also the Federal Republic of Yugoslavia, the previous Yugoslav state of Macedonia, Croatia, and Slovenia. A local and fair approach to assistance will continue to be necessary. (BIJLEVELD, 1996) Repatriation belonging to those persons who by cause of his age or their physical condition is unable to become restored in the monetary situation (Michigan State Welfare Department). The Mexican people who are working as a labor are willing to work for salary less than those which citizens would accept. (Humphrey, (Sep., 1941)) When, during the hopelessness, lower salary became general, the imported Mexican found himself a disliked opponent for jobs, and an equally candidate for help. (Paul)
  • 12.
    Those Returning Mexicans,who cross the border at El Paso in 1931, viewed the repatriates as consisting of four classes.  First come the deport Mexicans.  According to the approximate of the Mexican ambassador, between30-40 Mexicans a month are deported from the 31 region with head office at Los Angeles.  The approximate for the whole country set by the Department of Labor for the fiscal year ending June 30 is 18,500 .The group made up of those called voluntary returns, the group made up of those who are also here are legal.  The fourth class is formed of poor Mexicans who have not the money to return to their homeland. (McLean) The Mexican peoples go back to their home just because of the monetary depression. For months he has listened to the tapping of the people who take them. But some of the Mexican people not to be agree to do back, the important reason is that in the United States superior security and better opportunity exists for living. It is conventional that children have better potential here for learning preparation which will provide them for life work. After the first run of candidate for goes back to Mexico, the number quickly decrease, and mail were in print by repatriates communicate their dissatisfaction both with the mode of journey offer and with the services offered for modification when they at home in Mexico. Repatriation was the most suitable method of conduct the problems of Mexicans on release received considerable momentum and various pressures in various forms were use to attain the goal. On one side , The plan of Mexican repatriation occur, as an economy determine for frequent to the home a large national group brought into this country as low-priced labor with the coming of the despair was not skilled of self support . On other side, the plan linked in with the large ideas of social welfare of the supervision of Mexico. . Repatriation as an intended measure may well be traditional to the best standards of case work procedure, but really in the transport out of the plan, unqualified case workers use pressures in some case. (Malekian, (2007)) Generally, the crowd repatriation of the Armenian-Iranians in 1946- 1947 did not play a positive role in the lives of the migrants. They faced serious difficulties in their past land. The terrible post-war economic conditions directly affected the newcomers' lives and severely influenced the process of adjustment to the new realities, which were completely unfamiliar to the Armenians of Iran. (Charles W. Havens, JANUARY 1971)) At the end of May, An agreement can be signed by the both parties. In such agreement, this statement was to be cleared that there is no forced repatriation of any enemy. But all prisoners of both side bear pain of capturing and many of the prisoners were died in such period. Prisoners’ of war must be released and repatriate after the cessation of completed hostilities. Such article also stated with the deal with the cost of repatriation. in such article it is to be declared that those prisoners who were to be captured by a long time may also be released according to direct repatriation .all prisoners of war who have remained in custody longer
  • 13.
    than eighteen monthsshould be repatriated by the defeater. There are now thousands of North Vietnamese and Viet Cong and hundreds of American prisoners of war who have been jailed for more than two years, and there is no end of their imprisonment in sight. The Geneva Convention should provide a solution for this situation. It is logical to terminate that eighteen months of imprisonment with no chance of release in sight is enough to require accommodation in a neutral country. The Americans under arrest in North Vietnam and those under arrest by the Viet Cong in South Vietnam would hold a result that many of them are badly sick or wounded and allowed to direct repatriation. (Holme, (2001)) Such paper shows the repatriation of Kateri as an imposing symbol through narrative. It can be suggested that Kateri, a peace and repeat character in the 17th-century Jesuit accounts, is given voice by her modern spiritual in four unified narrative ways:  First, by the rescripting of her last words  Second, by their daily interview and communication with the protestant , meet which are commonly imaginary as marvelous  Third, by the division of these wonder stories with other fans  Fourth, by the group's popular public statement of Kateri's full sainthood, an agreement which face the Vatican's accepting of purity. Hagiography becomes more than only identical stories about saints, but also stories about personality, both the executive and the popular personality who conveys and decodes Kateri's narratives ((cf. Orsi, 1996)Counter hagiography, I look for to emphasize the numerous, changing and frequently opposing conversation which inform a saint's life. Such a concept of counter hagiography moves the fairy-tale of a saint's life away from the traditional hagiographical practices which do not apparent a Saint ((Woodward, & cf. Noble and Head). In such time period of the repatriation of a colonial mythico historic form through modern devotional narratives, it becomes clear that Kateri story is not linear; there are many narratives with several endings ((Behar)
  • 14.
    Source: journal ofinternational business studies
  • 15.
    Cross-cultural Training Approach Itis true that the huge difference between the domestic and foreign culture so it necessary for the organization to provide the training to the employee of the organization those are selected for the overseas project or assignment, for this purpose there are three approaches are used for the training of repatriates. All the approaches of the training depend on the time period of the individual or (Krieger, 1995) repatriates project so according to the time period we provide training to the repatriates. The three approaches of training of repatriates are as under:  Immersion Approach  Affective Approach  Information Giving Approach There three main approaches that contain the all training process and as well as each approach contains the different content that include in training. Information Giving Approach This approach is very initial approach that is use for the very short period time in which the repatriates solve or complete their project. It is very general approach in which only information delivered to the person who have the foreign project in which some important steps are used, in which very first we describe the area briefing to the employee in which who perform their activities and then provided the related material to the employee that gives helps in solving the project assignment and one thing is important the survival language training also provided because every culture has different language and different life style. (Yan et al., 2002) Affective Approach: This approach is use when the project time period is medium, i.e. within a year. This approach also contains some steps that used in this approach training process. This approach is very help full for organization as well as repatriates those have medium overseas project. Those uses in this approach are as under: Culture Assimilator Training Language Training Role Playing Critical Incidents Case Studies Stress Reduction Training Moderate Language Training In the medium term of assignment this type of approach is used for repatriates training, in which all steps should be follow by the organization culture assimilator and describe the host culture to their project holder and language training provide to the individuals (Stahl and Cerdin, 2004) and guide the person what role play in the host culture and how mange the project that given by company and how follow the instruction provide the case studies that provide the helps to repatriates in project solving, and the company describe how individual control the stress of reduction training process. (Stevens et al., 2005). Immersion Approach: For the intention of the cross culture training this approach is use for high level of integration of the repatriates, according to this approach those people or project holder
  • 16.
    have a longperiod assignment or project then this type of approach is use for the purpose of training and this type of approach has also contain some important training step that include in this approach. Assessment Center Field Experience Simulations Sensitivity Training Extensive Language Training All the above points that used in immersion approach are use in this training process, an assessment center made for learning different type of skills, gives the field experience to the repatriates, as well as simulations delivered, sensitivity of training maintain in training process because the project period to long so sensitivity in the training is very necessary and in this approach the last step is that we consternate on the extensive language that are using in the host culture. (Pedhazur, 1997). Degree of Integration The degree of integration show the time period of repatriates that who spend for solving of completing their project. In this there are three level include first is low level, second is moderate level and last is high level these level show the different time period the low level is use for one month project and moderate is use for one to 12 month and last is use for one to three year project is high. Integrated repatriation model According to the advance field of expatriate management, we should shift away from studying background of repatriate preservation and talk about the outcomes of repatriate preservation in a larger context. To that end, we propose an integrative framework to show future research. The framework is based on an integration of appropriate themes from the repatriation, career, and information transfer literatures, and on Kraimer and Shaffer's (2004) latest assessment of repatriation achievement from a careers perception. In addition to vigilantly examining an expanded set of previous circumstances and acknowledging the multi- faceted nature of victory upon repatriation, future work should inspect outcomes of repatriation longitudinally. We found that repatriates who participated in this study had an overpoweringly positive measurement of the effect of their assignment on career growth. Providing only a snapshot, however, our study presents repatriates' expectations but not their experience In a analysis of the current state of career hypothesis, Sullivan (1999) pointed out that there are 'dark sides' to boundary-less careers that tend to get disregarded, and remain unexpectedly under-researched to this day (Brousseau et al., 1996). Dany (2003) questioned the ability of individuals to act as free agents, and invent and reinvent their careers unfettered by
  • 17.
    career boundaries. Theykeep up those empirical facts supporting the boundary less career model comes from a limited number of studies of the Careers of a few advantaged (mostly) Professional groups, and is thus inadequate. Stumpy these opinions, Dany et al. (2003) have recommended that studying more different samples and accounting for issues of discrepancy power and resources would likely demonstrate that, in actuality, careers have multiple boundaries. Recent research has thus recommended that the expression boundary-less careers may be somewhat removed from organizational reality (Pringle and Mallon, 2003). In the context of such debate, hypothetical distinctions between the objective and subjective aspects of individual victory upon repatriation and experimental work that examines both aspects are critically necessary. Social Learning Theory and Cross- Cultural Training This article presented SLT as a theoretical framework. In the process of examining SLT in relation to cross-cultural training,
  • 18.
    Some important newinsights about SLT have emerged. Although it does not seem that the context of international training compared to the context of domestic training challenges any fundamental assumptions of SLT or presents any totally new variables that should be incorporated into SLT, the international context does seem to rearrange the importance of various factors within SLT. Although novelty plays an important role in SLT within the domestic training context, it plays a critical role in the international training context (Bandura, 1977; Hilgard & Bower, 1975). The degree of novelty of new behaviors is significantly higher in the international context. In both domestic and inter-national contexts new work-related behaviors must be learned; however, in most cross-cultural training situations new non-work behaviors must be learned as well. First, given that in a cross- cultural training situation, in general, an individual will be required to learn behaviors of greater breadth and depth of novelty, the attention and retention aspects of the SLT become much more important in the international con-text. In an international context, because of the generally higher level of behavior novelty, low levels of attention and retention may render the trainee unable to reproduce the modeled behavior in any fashion. Because most domestic training situations involve behaviors that are familiar, the sequencing of symbolic or participative modeling processes and whether the processes are used in combination or separately seem less important in domestic versus international contexts. The results of the study by Gudykunst et al. (1977) suggest that symbolic modeling should precede participative modeling; symbolic modeling alone may not be sufficient for the training to have a positive and significant impact on outcomes, such as cross-cultural adjustment. Given that the depth and breadth of novelty in international contexts are greater than in domestic training contexts, a higher minimum level of motivation may be necessary in order for effective attention and retention processes to occur during cross- cultural training situations. Cross-cultural training effectiveness in the studies reviewed may be explained partly by almost all the trainees being volunteers for the cross-cultural work situation and, therefore, being more likely to be motivated than randomly selected individuals. Finally, another variable of SLT that seems to operate differently in an international context is self-efficacy. First, based on the published empirical evidence, it seems that cross-cultural training is effective in developing important cross-cultural skills, in facilitating cross-cultural adjustment, and in enhancing job performance. Davis and Luthans (1980),
  • 19.
    Repatriation Problems forExecutives Organizational/career issue Financial pressures Pressure Family problems Executive Psychological Stress (Resulting from) * Career Issues * Financial Pressures * Family Stress * Re-entry Process Itself Executive/Job Issues Career and specialized changes are essential for the repatriate; at the same time economic burdens may create the highest level of pressure [Kiechel1 983]. On repatriation the uncertainty of a new place, if available, as well as the change in career path will be of the extreme fear to repatriated executives [Murry1 978; Doltish 1982]. Economic Stresses Economic difficulties for the repatriated executive center on the difference in foreign compensation levels and loss of overseas allowances. When Foreign assignments demand rise in pay for External Service; the loss of that salary difference enhances pressure to repatriation because the expatriate's normal existing naturally was familiar while abroad. This quick solidity of throwaway revenue compounded with higher cost of living than when the expatriate left the local market, creates a compounded effect on the administrative and family members when they are struggling to settle to the local situation[H arvey1 983]. Culture shock Culture shock is the personal confusion a person may feel when experiencing an unfamiliar way of life due to immigration or a visit to a new country, a move between social environments, or simply travel to Repatriated Executives Impact on organization Organizational Reaction Indicates the direction of influence
  • 20.
    another type oflife One of the most common causes of culture shock involves individuals in a foreign environment. Culture shock can be described as consisting of at least one of four distinct phases: Honeymoon, Negotiation, Adjustment, and Mastery when individual enter into a new environment are often not know what is acceptable or not acceptable, the adjustment process involve the reduction of that uncertainty by learning what is acceptable and able to act accordingly [Brisslin 1981] The phenomenon of "culture shock" is largely a set of negative affective reactions to encounters that demonstrate to individuals in a new, foreign environment that they lack a complete and accurate set of schemata’s for understanding and appropriately acting in the new, current situation [Oberg 1960; Torbiorn 1982].Manager often lack of current understanding of the home country and that process is a central component of repatriation adjustment Harvey [1983] and Adler [1981]Typically, the u-curve and w- curve hypotheses have been described in terms of three general stages of adjustment. The first stage is often denoted to as the honeymoon stage and are believed to last less than two months [ Adler1986; Gullahorn and Gullahorn 1963 Harris & Moran 1989; Torbiorn 1982 ] .During this stage, most of what is different in the new scenario is seen as “interesting" and " stimulating." This stage is followed by dissatisfaction stage or culture shock. During this stage , the individual must survive within the new environment on a daily basis , and the innovations in the new environment and lack of sufficient understanding of them and their relationship with suitable and inappropriate behavior leads to emotional reactions anxiety and obstruction , which are common indicators of culture shock[ Adler 1986; Brislin 1981 , the Church 1982 ] . Culture shock is the personal confusion a person may feel when experiencing an unfamiliar way of life due to immigration or a visit to a new country, a move between social environments, or simply travel to another type of life One of the most common causes of culture shock involves individuals in a foreign environment. Culture shock can be described as consisting of at least one of four distinct phases: Honeymoon, Negotiation, Adjustment, and Mastery when individual enter into a new environment are often not know what is acceptable or not acceptable, the adjustment process involve the reduction of that uncertainty by learning what is acceptable and able to act accordingly [Brisslin 1981] The phenomenon of "culture shock" is largely a set of negative affective reactions to encounters that demonstrate to individuals in a new, foreign environment that they lack a complete and accurate set of schemata’s for understanding and appropriately acting in the new, current situation [Oberg 1960; Torbiorn 1982].Manager often lack of current understanding of the home country and that process is a central component of repatriation adjustment Harvey [1983] and Adler [1981]Typically, the u-curve and w- curve hypotheses have been described in terms of three general stages of adjustment. The first stage is often denoted to as the honeymoon stage and are believed to last less than two months [ Adler1986; Gullahorn and Gullahorn 1963 Harris &
  • 21.
    Moran 1989; Torbiorn1982 ] .During this stage, most of what is different in the new scenario is seen as “interesting" and " stimulating." This stage is followed by dissatisfaction stage or culture shock. During this stage , the individual must survive within the new environment on a daily basis , and the innovations in the new environment and lack of sufficient understanding of them and their relationship with suitable and inappropriate behavior leads to emotional reactions anxiety and obstruction , which are common indicators of culture shock[ Adler 1986; Brislin 1981 , the Church 1982 ] . The third stage is often call adaptation step is categorized by the gradual understanding new culture and the ability to “fit in" with time. Researchers have estimated that takes about a year for a -and-a - half of the year for the full repatriation adjustment [ Adler 1986; Copeland and Griggs 1985, Harris & Moran 1989].The international management, organizational behavior, and career literatures all have faced the question of what the outcome variables are appropriate measures to adapt to changes in work [Mendenhall and Oddou 1985, Brett,Feldman and Weingart 1990; Pander and Schroeder 1987, Feldman 1988]After Feldman [1991], we suggest that there are four critical variables that are reasonable indicators of adjustment to new job assignments. Further aspects of anticipation and country setting, the above comments intercultural adjustment of expatriate literature have pointed four general categories in which various background adjustment can be placed [Church 1982; Mendenhall and Oddou 1985; Stenting 1979]. They are (1) individual factors, (2) factors of work, (3) organizational factors (4) non-work factors. By combining these four categories of background with the notion of anticipatory adaptation in the country, it is possible have certain individual, for example, which are individual anticipatory factors and some that are in the country the individual factors relating to repatriation adjustment[Brett 1980; Black & Mendenhall 1990; Dawis & Lofquist 1984; Nicholson 1984; Torbiorn 1982] have claimed that moving into a new environment generates an important level of uncertainty and that people in general have a need to reduce uncertainty to a more tolerable level. The third stage is often call adaptation step is categorized by the gradual understanding new culture and the ability to “fit in" with time. Researchers have estimated that takes about a year for a -and-a - half of the year for the full repatriation adjustment [ Adler 1986; Copeland and Griggs 1985, Harris & Moran 1989].The international management, organizational behavior, and career literatures all have faced the question of what the outcome variables are appropriate measures to adapt to changes in work [Mendenhall and Oddou 1985, Brett, Feldman and Weingart 1990; Pinder and Schroeder 1987, Feldman 1988]After Feldman [1991], we suggest that there are four critical variables that are reasonable indicators of adjustment to new job assignments. Further aspects of anticipation and country setting, the above comments intercultural adjustment of expatriate literature have pointed four general
  • 22.
    categories in whichvarious background adjustment can be placed [Church 1982; Mendenhall and Oddou 1985; Stenting 1979]. They are (1) individual factors, (2) factors of work, (3) organizational factors (4) non-work factors. By combining these four categories of background with the notion of anticipatory adaptation in the country, it is possible have certain individual, for example, which are individual anticipatory factors and some that are in the country the individual factors relating to repatriation adjustment[Brett 1980; Black & Mendenhall 1990; Dawis & Lofquist 1984; Nicholson 1984; Torbiorn 1982] have claimed that moving into a new environment generates an important level of uncertainty and that people in general have a need to reduce uncertainty to a more tolerable level. The children have problems in reintegrating themselves into schools and becoming known in societal groups. This is mostly marked in children returning to high school in their junior and senior years. They may not be able to make an adjustment in academic standards and probably more profound is their helplessness to contribute in additional activities such as sports, cheerleading, band and the like. These children may frequently experience problems educationally because of their "social frustration." The problems of the children normally translate into extra stress/pressure for the parents. [Adler 1983b] Executive Psychological Pressure Burdens that are created by organizational/ career doubt, economic pressures and family difficulties can encourage administrative pressure [Harvey and Lusch 1982b]. In addition he reentry process itself may also increase the level of psychological tension in the executive. If the institute does not have a well-articulated repatriation program the executive may have to deal with the reentry problems without Organizational support. There might be a deficiency of funding from complements in the institute because they do not identify the related set of complications repatriates must overcome their return [Wilpert1 974]. Adjustment problems Organizational Carrier and professional adjustment are necessary for repatriates but financial pressure are the highest level of stress[ Kiechel1 983].On repatriation ambiguity f a new position, I f available, a s well as the modification in career will be of the utmost concern o repatriated [ Murry1 978; Dotlich 1982Re-establishing themselves in the domestic organization normally takes time and also some changes in individual personal and professional lifestyle .a manager working with less authority that was experience in overseas position[Carroll, Painea ndI vancevich1 972].if this tension persist the individual normally experience a Brownout in many cases and leave the organization[Harvey and lusch 1982b].one of the most disturbing experience of the repatriates is being place in holding pattern when retiring from foreign assignment[Murry 1978].The carrier objective of the repatriates are damage due to the possible reduction in productivity and carrier progress may be changed[Greenberg1 982; Harvey1 983].
  • 23.
    Psychological Pressure thatcreated by organizational carrier uncertainty and financial pressure family problem can arouse individual stress [Harvey and Lusch 1982b.] .reentry process can also increase the tension level in individual mind. There may also be a lack of support from colleagues in the organization because they do not identify the interrelated problem repatriates overcome upon their return [Wilper 1984.] This lack of support and recognition from fellow employee may result in the repatriated individual developing a feeling of unfaithfulness by the company. The individual face the re-entry problem the organization can terminate them from organization before they influence others in firm. Some organization may accelerate retirement [Tung1984].The children’s of individuals feel difficulty to adjust in new school and in new social groups. The problem of children can be cause of additional stress for parents Repatriates training are needed to expatriates to adjust in domestic environment. The unexpected problem with children and other family member cost of restarting household and individual unhappy in the work may complicate the relationship with family [Adler1983b.] .The organization may have several negative significance stemming from repatriates employee that could affect its domestic and international operation. The repatriates employee are not performing efficiently and the lack of performance reduce the probability of success. This view point makes it more difficult to attract others to take foreign assignment as a means to push their career ahead [Tung 1984].
  • 24.
    Research Methodology Exploratory studies Thisstudy is most apposite when there is no existence of an apparent theory, if there is a little research in the area, when the significant uniqueness and relations are difficult to resolve and when the issue is difficult to distinguish (Collis and Hussey, 2003). Descriptive research This research can be an expansion of exploratory research. Saunders et al. (2003, p 97) states that prior to collect data, it is essential to be very clear of the experience on which you want to do research. It answers questions of “who, what, where, how and when”. According to Collis & Hussey (2003) states that “descriptive research is most suitable when the problem is clearly structured and when there are no intentions to find relationships between causes and effects”. Explanatory research Explanatory studies are studies that establish causal relations among variables (Saunders et al., 2003, p 97). It answers questions based on “how and why” (Yin, 2003). This study involves all of the three purposes discussed above; Exploratory, since I explore the problem and circumstance and since my aim is to achieve understanding of factors that facilitate expatriates adjustment; descriptive as well because I collected data and analyzed; and also explanatory because I am going to compare current characteristics with the literature and theory and examine the finding out of these. Research Philosophy “Philosophy can be defined as the questioning of basic fundamental concepts and the need to embrace a meaningful understanding of a particular field” (Burke, 2007).Research philosophies can be divided into three approaches: Positivism, interpretism and realism and these are functional for three reasons: these visibly communicate the posture of research, let others to rapidly recognize context and allow clearly too eloquent the consequence of research (Burke, 2007). In this research realism is used as research philosophy. Positivism “Positivist research generally attempt to test theory, in an attempt to increase the predictive understanding of phenomena and in this approach facts are clearly defined and result are measurable” (Myers, 1997). Positivists presume absolutely and openly that reality can be evaluated by screening it through a one way, value free mirror and researchers should be objective in their research and must avoid interference of their ideas and values with research process (Sobh and Perry, 2005). Research Strategy- Case Study Selecting a suitable research strategy is very important in order to get answer of research question. Saunders et al (2003) states many research strategies which includes “experiment, survey, case study, grounded theory, action research, ethnography, cross sectional, longitudinal, exploratory, descriptive and explanatory studies”. This research utilizes a case study as research strategy and this is done in order to assist me in achieving an increased understanding of the expatriation phenomenon. For this research there are several reasons for choosing a case study. Case study is regarded the most suitable when answering research questions in form of how and why there is no control over behavioral events with a clear focus on contemporary events.
  • 25.
    (Yin, 1994). Sincemy intention was to find detailed answers to the research questions, I had to go in-depth. For this reason, a case study might be a suitable research strategy, to gain a rich understanding in my field of investigation. A case study considers much data to evaluate problems and to find solutions (Blohm & Fowler, 2004). Finally, my case study was an explanatory study as well, because I intended to find out relationships among several variables (Saunders et al., 2003). Research Approach According to Collis & Hussey (2003) research can be divided into two approaches where the qualitative approach is the one chosen for this research due to nature of subject as well as due to gain a deeper considerate of area researched. Qualitative research is the assembled name for a number of different types of disciplines such as, sociology, social anthropology and social psychology. Collis & Hussey (2003) states factors that distinguish a qualitative approach from other approaches: Qualitative research is more suitable for descriptive purposes and analysis conducted through the use of Conceptualization: Qualitative research is most often associated with research in a smaller scale, since it has relatively limited dimension and involves relatively few situations. Data Collection Secondary Data My source of secondary data was mainly articles and journal. For all my literature review, I read many journals and articles. Few of the most recognized scholars in expatriation research are lee, Tung, Medenhall, Black, Downs, Salmer and Waxin. These researchers are only a few samples of many scholars who have conducted research and surveys in this field of investigation. Secondary data normally collected from books, journals, articles, survey reports, news papers, magazines and used to answer the current research question by re analyzing it (Evaluating Socio Economic Development, 2005 Primary Data In order to carry out research there is need of primary data. There are two kind of primary data Qualitative and Quantitative. “The qualitative data is based on meaning expressed through words, where as quantitative data based on meanings derived from numbers” (Saunders, 2003). In this research only qualitative data has been selected due to the nature of research question. Sample Selection This section provides the reader with the factors that were considered decisive for selecting companies, respondents, and documentation used in this research. Data Analysis Miles and Huberman (1994) states that in qualitative research words are the main units used in an analysis. According to them, the elements of data analysis are: • “Data reduction” • “Data display” • “Conclusion drawing and verification” The first element, data reduction, refers to the “process of selecting, focusing, simplifying, abstracting and transforming the data that appear in written-up field nits or transcription” (Miles & Huberman, 1994). They say it actually begin before the collection of information when researcher decides which research question to be used. Second element Data display is described as an “organized and compressed assembly of information that permits conclusions drawing and action” (Miles & Huberman, 1994). The last flows of analysis activity leads the researcher to start sorting out the collected data and intercept it, this is made by noting regulations, patterns, comparison, explanations, casual flows and propositions (Miles & Huberman, 1994).
  • 26.
    Conceptual Model Fig. 1self analysis According to the diagram we select six variables in which one is dependent and others are independent. Main variable is Repatriation that is dependent variable and others life style, career issues, social status, family issues and culture shock are independent variable. Those independent variable directly effect on the repatriation. In this we want to explore the relationship between the dependent and independent variables. Repatriation Culture shock Social status Career Issue Life stlye Family Issue
  • 27.
    SPSS Analysis Report LineGraph Descriptive Analysis In this diagram show the mean of all independent variable and standard deviation of all independent variable. Descriptive Statistics Mean Std. Deviation N repatriation 2.7000 1.32192 100 Culture Shock 4.0000 1.12815 100 Career Issue 3.6500 .89188 100 lifestyle 3.6500 .89188 100 Social status 3.6500 .89188 100 Financial Issue 3.8600 1.24738 100
  • 28.
    Model summary Model Summary ModelR R Square Adjusted R Square Std. Error of the Estimate 1 .811a .657 .646 .78630 a. Predictors: (Constant), financial, social status, culture shock, career Issue, b. This diagram show the standard of error ANOVA b Model Sum of Squares df Mean Square F Sig. 1 Regression 29.969 5 5.994 5.704 .000a Residual 98.781 94 1.051 Total 128.750 99 a. Predictors: (Constant), financial, career, lifestyle, culture Issue, social status b. Dependent Variable: repatriation Reliability F>3 there for our regression test is valid and significant level is less than 0.05 so, overall model is significant and all independent variable have significant impact on dependent variable. Coefficients Model 95.0% Confidence Interval for B Lower Bound Upper Bound 1 (Constant) 1.872 3.763 Culture Shock -.093 .421 Career Issue -.933 -.383 lifestyle -.125 .220 social status .146 1.056 Financial Issue -.276 .090 a. Dependent Variable: repatriation
  • 29.
    Conclusion This paper containsthe repatriation training method and as well as describe the all problem face in repatriation process. The appropriate method of adjustment use in this paper and we create different hypotheses on different variable and the analyze the variable at the end of the paper we define the research methodology, and conceptual model of dependent and independent variable and generate the data analysis on SPSS and fine the research analysis in which find the relation between the dependent and independent variable and fine the means of different variable and as well as find the regression of all independent variable the result is significant.
  • 30.
    References:  Adler, N.(1983) Cross-cultural management research: The ostrich and the trend. Academy of Management Review, 8, 226-232.  Adler, N.J. (2002) International Dimensions of Organizational Behavior, 4th end, South- Western: Cincinnati, OH.  Adler, N.J. 1981 Re-Entry: Managing Cross-Cultural Transitions. Group and Organizational Studies 6(3):341-356.  Adler, Nancy. 1981. R e-entry: Managing cross-cultural transitions. Groupand Organizational Studies, 6(3): 341-56. _____. 1986. International dimensions of organizational behavior. Boston: Kent  Adler, Nancy. 1981. Re-entry: Managing cross-cultural transitions. Groupand Organizational Studies, 6(3): 341-56.  Baba, M. L. 1990 Organizational Culture: Revisiting the Small Society Metaphor. Anthropology of Work Review 10(3):7-10. Briody, E. K., and M. L. Baba 1989 and Overview of the Overseas Assignment at General Motors Corporation: Issues and Recommendations. Warren, MI: General Motors Research Laboratories Publication 6754,  Ball, B.j. (1999) 'Daimler Chrysler's Transfer Woes: Workers Resist Moves Abroad - and Here', Wall Street Journal, 24 August, B1.  Baughn, C. (1995) 'Personal and organizational factors associated with effective repatriation', in J. Selmer (ed.) Expatriate Management: New Ideas for International Business, Quorum Books: Westport, pp. 215-230.  Billings, R. and Wemmens, V. (1983) 'The role of alternatives in process models of withdrawal', Proceedings of the 26th Annual Conference of the Midwestern Academy of Management', pp. 18-29.  Black, J.S., Gregersen, H.B. and Mendenhall, M.E. (1992) Global Assignments’ successfully expatriating and repatriating international Managers, 1st end, Jossey-Bass: San Francisco.  Black, J.S., Gregersen, H.B., Mendenhall, M.E. and Stroh, L.K. (1999) Globalizing People through International Assignments, Addison-Wesley: Reading, MA  Brislin, Richard W. 1981. Cross-cultural encounters. New York: Pergamum Press  Caligiuri, P. and DiSanto, V. (2001) 'Global competence: what is it, and can it be developed through global assignments?' Human Resource Planning 24(3): 27-35.  Carmichaels tokely. 1969. Pan- Africanism land and power Black Scholar: Journal of Black Studies and Research 1(1): 36-43.  Carroll, S., F. Paine & J. Ivancevich. 1972. The relative effectiveness of methods-expert opinion and research. Personnel Psychology, 25:495-509.
  • 31.
     Chemers, M.M. (1969) Cross-cultural training as a means of improving situational favorableness. Human Relations, 22, 531-546. Bandura, A. (1977) Social learning theory. Englewood Cliffs, NJ: Prentice-Hall.  Clague, L. & N. Krupp. 1978. International personnel: T he repatriation problem. Personnel Administration, 23:29-33.  Davis, T., & Luthans, F. (1980) A social learning approach to organizational behavior. Academy of Management Re-view, 5, 281-290.  Dawis, Rene V. & Lloyd Lofquist. 1984 A psychological theory of work adjustment. Minneapolis, Minn.: University of Minnesota Press  Engen, J.R. (1995) 'Coming home', Training 32(3): 37-40.  Fenby, J. (2000) 'Make that foreign posting your ticket to the boardroom', Management Today July, pp: 48-53.  Forster, N. (1994) 'The forgotten employees? The experiences of expatriate staff returning to the UK', International Journal of Human Resource Management 5(2): 405- 425.  Garvey, Amy Jacques. 1971. Philosophy and opinions of Marcus Garvey. New York: Atheneum.  Gomez-Mejia, L. and Balkin, D.B. (1987) 'The determinants of managerial satisfaction with the expatriation and repatriation process', journal of Management Development 6(1): 7-17.  Gullahorn, J. R./Gullahorn, J. E., An extension of the U-curve hypothesis, Journal of Social Issues, 14, 1963, pp. 33^7.  Gullahorn, J.T. and Gullahorn, J.E. (1963) 'An extension of the U-curve hypothesis', Journal of Social Issues 19(3): 33-47.  Gullahorn, John R. & Joanne E. Gullahorn. 1962. An extension of the u-curve hypothesis. Journaal of Social Issues, 3: 33-47Torbiorn, Ingamar. 1982. Living abroad. New York: WileyChurc, AustinT. 1982. Sojourner adjustment. Psychological Bulletin, 9: 540-72.  Harvey, M. (1989) 'Repatriation of corporate executives: an empirical study', journal of International Business tudies2 0(1): 131-144.  Harvey, M. 1982a. The multinational corporations' expatriate problem: An application of Murphy's Law. Business Horizons, November-December: 71-78.  Harvey, M. 1983. The other side of foreign assignments: Dealing with the repatriation dilemma. Columbia Journal of World Business, spring: 53-59.  Harvey, M.C. (1982) 'the other side of foreign assignments: dealing with the repatriation Dilemma', Columbia journal of World Business 17(1): 53-59.  Harvey, Michael. 1983. The other side of foreign assignments: Dealing with the repatriation problem. Columbia Journal of World Business, 17: 53-59.  Hofstede, Geert. 1980. Culture's consequences. Beverly Hills: Sage Publications
  • 32.
     Howard, C.G. 1980 the Expatriate Manager and the Role of the MNC. Personnel Journal 59(10):838-844.  Hull, W. F., Foreign students in the United States of America: Coping behavior within the educational environment, New York: Praeger 1978. Kealey, D. J., A study of cross cultural effectiveness: Theoretical issues, practical applications, Inter- national Journal of Intercultural Relations, 13, 3, 1989, pp. 387-428.  Inkson, K. and Arthur, M.B. (2001) 'How to be a successful career capitalist', Organizational Dynamics 30(1): 48-61. Inkson, K., Pringle, J., Arthur, M.B. and Barry, S. (1997) 'Expatriate assignment versus overseas experience: contrasting models of international human resource development', Journal of World Business 32(4): 351-368.  Intercultural Relations, 10, 1986, pp. 235-254Sussman, N. M., Re-entry research and training: Methods and implications, International Journal of Intercultural Relations, 10, 1986, pp.  July 31. 1992 Evolving Organizational Structures and Ideologies at General Motors Corporation: The Overseas Assignment. In Studying Corporate Cultures. W. E. Sibley, ed. Boulder, CO: West-view Press. (In press.)  Kendall, D. W. 1981 Repatriation: An Ending and a Beginning. Business Horizons 24(6):21-25.  Kendall, D.W. (1981) 'Repatriation: an ending and a beginning', Business Horizons 24(6): 21-25.  Kepler, J. Z., P.J. Kepler, O. D. Gaither, and M. L. Gaither 1983 Americans Abroad: A Handbook for Living and Working Overseas. New York: Praeger  Kiechel, W. 1983. Our person in Pomparippa. Fortune, October 17:213-18.  Krieger, W.D. (1995) 'Career Activism: The Role of Individual Activity in Career Management (Personal Control)', Unpublished PhD dissertation, New York University, New York  Lazarova, M. and Tarique, I. (2005) 'Knowledge transfer upon repatriation', Journal of World Business  Leiba-O'Sullivan, S. (2002) 'The protean approach to managing repatriation transitions', International Journal of Manpower 23(7): 597-616.  Martin, J. N./Bradford, L./Rohrhch, B., Comparing predeparture expectations Ana post- sojourn re- ports: A longitudinal study of U.S. students abroad, International Journal of Intercultural Relations, 19, 1, 1995, pp. 87 -110.  Mendenhall, M. E., E. Dunbar, and G. Oddou 1987 Expatriate Selection, Training and Career-Pathing: A Review and a Critique. Human  Mendenhall, Mark & Gary Oddou. 1985. The dimensions of expatriate acculturation: A review. Academiy of Management Review, 10: 39-48.  Murry, J. 1978. International personnel repatriation: Culture shock in reverse. MSU Business Topics, 21:29- 33.
  • 33.
     Murry, J.1978. International personnel repatriation’s Culture shock in reverse. MSU Business Topics, 21:29- 33.  Napier, Nancy K. & Richard B. Peterson.1 991. Expatriate e-entry: What do repatriates have to say? Human Resource Planning, 14(1): 18-28.  Nicholson, Nigel. 1984. A theory of work role transitions. Adminiiaistrative Science Quarterly, 29: 172-91  Oberg, K. 1960. Culture shock: Adjustment to new cultural environment. Practical Anathropologist, 7: 177-82  Peters, L.H., Jackofsky, E.F. and Salter, J.R. (1981) 'Predicting turnover: a comparison of part-time and full-time employees', journal of Occupational Behavior 2(2): 89-98.  Peters, L.H., Jackofsky, E.F. and Salter, J.R. (1981) 'Predicting turnover: a comparison of part-time and full-time employees', journal of Occupational Behavior 2(2): 89-98.  Poe, A.C. (2000) 'Welcome back', HR Magazine 45(3): 94-105.  Randall S. and Giuffrida A., in press. 'Forced migration, s? Dentarisation and social change: Malian Kel Tamasheq'. In: D. Chatty (ed.), Nomadic Societies in the Middle East and North Africa. Leiden: Brill.  Rogers, J. R. 1984 Managing the Multinational Firm: Finding the Right Expatriate for the Job. In Anthropology and International Business. H. Serried, ed. Studies in Third World Societies, No. 28. Pp. 17-34. Williamsburg, VA: Department of Anthropology, College of William and Mary.  Sanchez, Jell. Specter, P.E. and Cooper, C.L. (2000) 'Adapting to a boundary less world: a developmental expatriate model', Academy of Management Executive 14(2): 96-106.  Scullion, H. and Brewster, C. (2001) 'the management of expatriates: messages from Europe?' Journal of World Business 36(4): 346-365.  Stahl, G.K. and Cerdin, J.-L. (2004) 'Global careers in French and German multinational corporations', Journal of Management Development 23(9): 885-902.  Stahl, G.K., Miller, E.L. and Tung, R.L. (2002) 'toward the boundary less career: a closer look at the expatriate career concept and the perceived implications of an international assignment', Journal of World Business 37(3): 216-227.  Stening, Bruce W. 1979. Problems of cross-cultural contact: A literature review. International Journial of Intercultural Relationas, 3: 269-313.  Stroh, L.K., Gregersen, H.B. and Black, j.S. (1998) 'closing the gap: expectations versus reality among repatriates', Journal of World Business 33(2): 111-124.  Sussman, N. M., Re-entry research and training: Methods and implications, International Journal of 235-254  Torbiorn, Ingamar. 1982. Living abroad. New York: Wiley  Torbiorn, Ingamar. 1982. Living abroad. New York: Wiley  Tung, R.L. (1998a) 'American expatriates abroad: from Neo-phytes to Cosmopolitans', Journal of World Business 33(2): 125-144.
  • 34.
     Tung, R.L.(1e998b) 'A contingency framework of selection and training of expatriates revisited', Human Resource Management Review 8(1): 23-37.  Tung, Rosalie. 1982. Selecting and training procedure so f U.S., European, and Japanese multinational corporations. California Management Review, 2 5(1): 57-71.  Wayne, S.J., Shore, L.M. and Linden, R.C. (1997) 'Perceived organizational support and leader-member exchange: a social exchange perspective', Academy of Management Journal 40(1): 82-111.  Wilbert, B. 1974.P anticipation in organizations: Evidence from international comparative research. International Social Science Journal, 36:355-66.  Yan, A., Zhu, G. and Hall, D.T. (2002) 'International assignments for career building: a model of agency relationships and psychological contracts', Academy of Management Review 27(3): 373-391.  Zimmerman,' Webb on Reburial: A North American Perspective," Antiquity6 1 (1987):