Chapter - 9
Ray optics and
optical instruments
RAY OPTICS
1. Refraction of Light
2. Laws of Refraction
3. Principle of Reversibility of Light
4. Refraction through a Parallel Slab
5. Refraction through a Compound Slab
6. Apparent Depth of a Liquid
7. Total Internal Reflection
8. Refraction at Spherical Surfaces - Introduction
9. Assumptions and Sign Conventions
10.Refraction at Convex and Concave Surfaces
11.Lens Maker’s Formula
12.First and Second Principal Focus
13.Thin Lens Equation (Gaussian Form)
14.Linear Magnification
Reflection
Most things we see are thanks to reflections, since most objects don’t
produce their own visible light. Much of the light incident on an object is
absorbed but some is reflected. the wavelengths of the reflected light
determine the colors we see. When white light hits an apple, for instance,
primarily red wavelengths are reflected, while much of the others are
absorbed.
A ray of light heading towards an object is called an incident ray. If it
reflects off the object, it is called a reflected ray. A perpendicular line
drawn at any point on a surface is called a normal (just like with normal
force). The angle between the incident ray and normal is called the angle of
incidence, i, and the angle between the reflected ray and the normal ray is
called the angle of reflection, r. The law of reflection states that the angle
of incidence is always equal to the angle of reflection.
Refraction of Light:
Refraction is the phenomenon of change in the path of light as it travels
from one medium to another (when the ray of light is incident obliquely).
It can also be defined as the phenomenon of change in speed of light
Rarer
Rarer
N
N
Denser
r
i
r
i
from one medium to another.
Laws of Refraction:
I.Law: The incident ray, the normal to
the refracting surface at the point of
incidence and the refracted ray all lie in
the same plane.
II.Law: For a given pair of media and for
light of a given wavelength, the ratio of
the sine of the angle of incidence to the
sine of the angle of refraction is a
constant. (Snell’s Law)
n =
sin i
sin r
(The constant n is called refractive index of the medium,
i is the angle of incidence and r is the angle of refraction.)
µ
μ = 1 / sin ic ( when sin r = 1
for r = 90o )
Advanced sun rise and delayed sun set
The sun appears about two minutes earlier than actual sunrise and the sun
remains visible for about two minutes after actual sunset because of
atmospheric refraction. When the sun is below horizon, the rays have to
pass from rarer to denser medium. So rays bend towards the normal. As a
result the sun appears higher than its actual position. The apparent
flattening of the Sun’s disc at sunrise and sunset is also due to the same
phenomenon.
Total Internal Reflection:
Total Internal Reflection (TIR) is the phenomenon of complete reflection of
light back into the same medium for angles of incidence greater than the
critical angle of that medium.
N N N N
O
r = 90°
ic i > ic
i
Rarer
(air)
Denser
(glass)
µg
µa
Conditions for TIR:
1. The incident ray must be in optically denser medium.
2. The angle of incidence in the denser medium must be greater than the
critical angle for the pair of media in contact.
Mirage: On hot summer days, the air near the ground becomes hotter than the air at
higher levels. The refractive index of air increases with its density. Hotter air is less
dense, and has smaller refractive index than the cooler air. If the air currents are small,
that is, the air is still, the optical density at different layers of air increases with height.
As a result, light from a tall object such as a tree, passes through a medium whose
refractive index decreases towards the ground. Thus, a ray of light from such an
object successively bends away from the normal and undergoes total internal
reflection, if the angle of incidence for the air near the ground exceeds the critical
angle. To a distant observer, the light appears to be coming from somewhere below
the ground. The observer naturally assumes that light is being reflected from the
ground
Diamond: Diamonds are known for their spectacular brilliance. Their
brilliance is mainly due to the total internal reflection of light inside them.
The critical angle for diamond-air interface (≅ 24.4°) is very small, therefore
once light enters a diamond, it is very likely to undergo total internal
reflection inside it. Diamonds found in nature rarely exhibit the brilliance for
which they are known. It is the technical skill of a diamond cutter which
makes diamonds to sparkle so brilliantly. By cutting the diamond suitably,
multiple total internal reflections can be made to occur.
iii) Prism: Prisms designed to bend light by 90º or by 180º
make use of total internal reflection Such a prism is also used
to invert images without changing their size. In the first two
cases, the critical angle ic for the material of the prism must
be less than 45º.
The mirror equation
(i) The ray from the point which is parallel
to the principal axis. The reflected ray
goes through the focus of the mirror.
(ii) The ray passing through the centre of
curvature of a concave mirror or
appearing to pass through it for a convex
mirror. The reflected ray simply retraces
the path.
(iii) The ray passing through (or directed
towards) the focus of the concave mirror
or appearing to pass through (or directed
towards) the focus of a convex mirror. The
reflected ray is parallel to the principal
axis.
(iv) The ray incident at any angle at the
pole. The reflected ray follows laws of
reflection
This relation is known as the mirror
equation.
Linear magnification (m) :
Is the ratio of the height of the image
(h) to the height of the object (h)
Spherical Refracting Surfaces:
A spherical refracting surface is a part of a sphere of refracting material.
A refracting surface which is convex towards the rarer medium is called
convex refracting surface.
A refracting surface which is concave towards the rarer medium is
called concave refracting surface.
•
•
C C
R R
A A
B B
APCB – Principal Axis
C – Centre of Curvature
P – Pole
R – Radius of Curvature
•P
P•
Denser Medium
Denser Medium Rarer Medium
Rarer Medium
Assumptions:
1. Object is the point object lying on the principal axis.
2. The incident and the refracted rays make small angles with the principal
axis.
3. The aperture (diameter of the curved surface) is small.
New Cartesian Sign Conventions:
1. The incident ray is taken from left to right.
2. All the distances are measured from the pole of the refracting surface.
3. The distances measured along the direction of the incident ray are
taken positive and against the incident ray are taken negative.
4. The vertical distances measured from principal axis in the upward
direction are taken positive and in the downward direction are taken
negative.
Refraction at Convex Surface:
•C
R
O
Denser Medium
Rarer Medium
• •
I
P•
M
2
n1
α β
γ
i
r
i = α + γ
γ = r + β
A
tan α =
or r = γ - β
MA
tan β =
MO
MA
MI
MA
MC
or α =
MA
or β =
MO
MA
tan γ = or γ =
MI
MA
MC
According to Snell’s law,
n2
sin i
sin r
= or
i
r
n1 n1
n2
= or n1 i = n2 r
Substituting for i, r, α, β and γ, replacing M by P and rearranging,
n1 n2 n2 - n1
PO PI PC
+ =
Applying sign conventions with values,
PO = - u, PI = + v and PC = + R
v
n
u
n2 - n1
R
n2 n1
v
-
u
=
(From Rarer Medium to Denser Medium - Real Image)
N
Lens Maker’s Formula
The image formation can be seen in
terms of two steps:
(i) The first refracting surface forms
the image I1 of the object O
[Fig (b)].
The image I1 acts as a virtual object
for the second surface that forms
the image at I [Fig.(c].
For the first interface ABC, we get
It is useful to design lenses of desired focal
length using surfaces of suitable radii of
curvature.
Note that the formula is true for a concave
lens also. In that case R1is negative, R2
positive and therefore, f is negative.
Thin Lens Formula (Gaussian Form of Lens Equation):
f
u
C
•
For Convex Lens:
A
B
A’
B’
M
R
Triangles ABC and A’B’C are similar.
A’B’
=
CB’
AB CB
Triangles MCF2 and A’B’F2 aresimilar.
MC
A’B’
=
B’F2
v
AB
A’B’
=
CF2
B’F2
CF2
or
•
2F2
•
F2
•
F1
•
2F1
CB
CB’
=
B’F2
CF2
CB’
CB
=
CB’ - CF2
CF2
According to new Cartesian sign
conventions,
CB = - u, CB’ = + v and CF2 = +f.
1
v
1
f
1
- =
u
Linear Magnification:
Linear magnification produced by a lens is defined as the ratio of the size of
the image to the size of the object.
m =
I
A’B’
=
O
CB’
+ I + v
- O - u
AB CB
According to new Cartesian sign
conventions,
A’B’ = + I, AB = - O, CB’ = + v and
CB = - u.
I
O
=
v
u
= m =
or
Power of a Lens:
Power of a lens is its ability to bend a ray of light falling on it and is reciprocal
of its focal length. When f is in metre, power is measured in Dioptre (D).
P =
1
f
The derivation is valid for any number of thin lenses in contact. If several
thin lenses of focal length f1, f2, f3,... are in contact, the effective focal
length of their combination is given by
In terms of power,
P = P1 + P2 + P3 + …
Total magnification m of the combination is a product of
magnification (m1, m2, m3,...) of individual lenses
m = m1 m2 m3 ...
Refraction of Light through Prism:
A
Prism
i
A
B C
P
r1 O r2
N1 N2
D
In quadrilateral APOQ,
A + O = 180° …… .(1)
(since N1 and N2 arenormal)
In triangle OPQ,
…… .(2)
r1 + r2 + O = 180°
In triangle DPQ,
δ = (i - r1) + (e - r2)
δ = (i + e) – (r1 +r2) …….(3)
Refracting Surfaces
From (1) and (2),
A = r1 + r2
From (3),
δ = (i + e) – (A)
or i + e = A + δ
δ
Q
e
µ
Sum of angle of incidence and angle
of emergence is equal to the sum of
angle of prism and angle of deviation.
Variation of angle of deviation with angle of incidence:
δ
i
0 i = e
δm
When angle of incidence increases,
the angle of deviation decreases.
At a particular value of angle of incidence
the angle of deviation becomes minimum
and is called ‘angle of minimum deviation’.
At δm, i = e and r1 = r2 = r (say)
After minimum deviation, angle of deviation
increases with angle of incidence.
Refractive Index of Material of Prism:
r = A / 2
i + e = A + δ
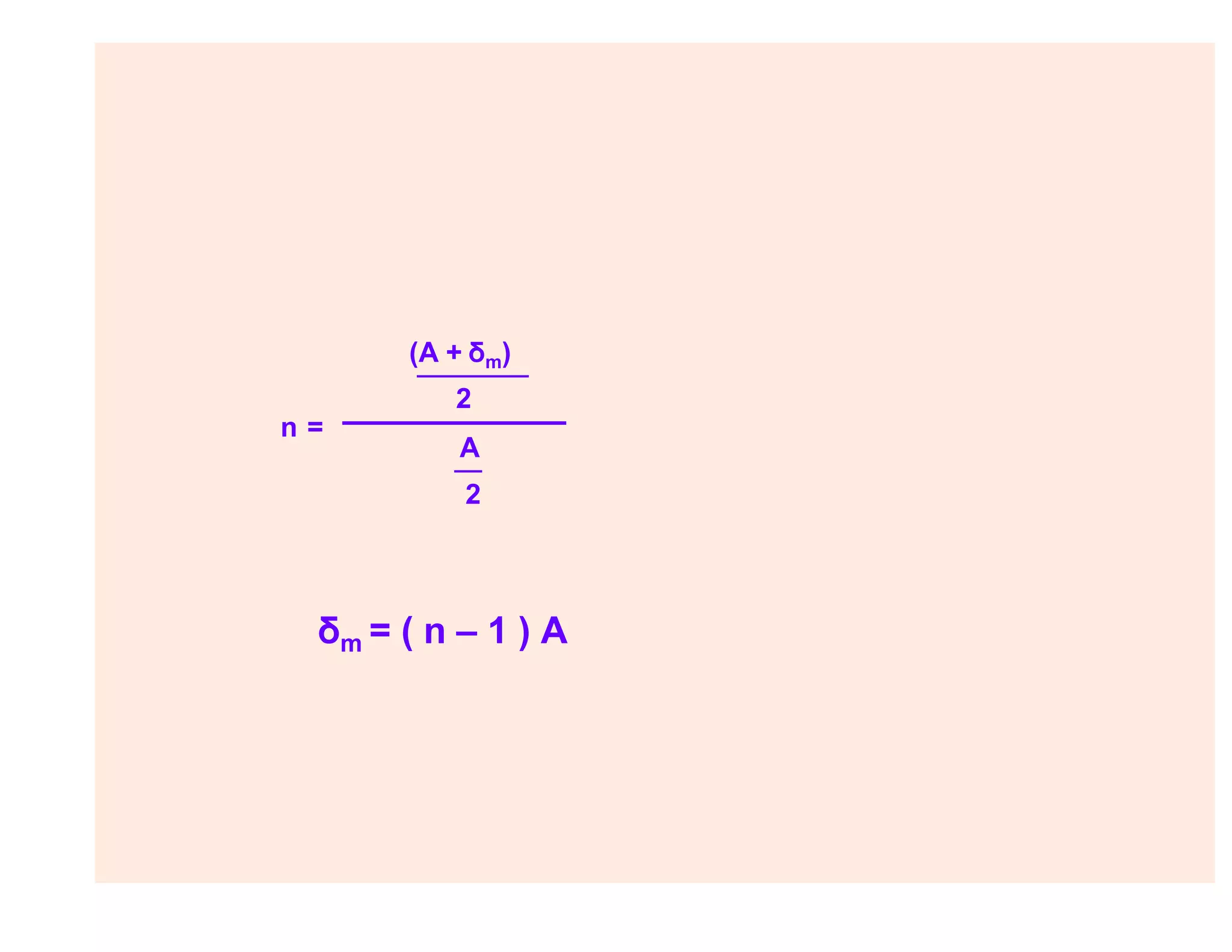
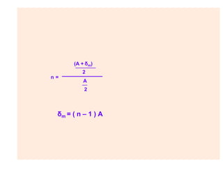
2 i = A + δm
i = (A + δm) / 2
A = r1 + r2 According to Snell’s law,
A = 2r sin i
sin r1
sin i
sin r
n = =
n =
sin
sin
(A + δm)
2
A
2
δm = ( n – 1 ) A
n =
(A + δm)
2
A
2
Dispersion of White Light through Prism:
The phenomenon of splitting a ray of white light into its constituent colours
(wavelengths) is called dispersion and the band of colours from violet to red
is called spectrum (VIBGYOR).
δr
A
C
D
White
light
δv
Screen
N
Scattering of Light – Blue colour of the sky and
Reddish appearance of the Sun at Sun-rise and
Sun-set:
The molecules of the atmosphere and other particles that are
smaller than the longest wavelength of visible light are more
effective in scattering light of shorter wavelengths than light of
longer wavelengths. The amount of scattering is inversely
proportional to the fourth power of the wavelength. (Rayleigh Effect)
Light from the Sun near the horizon passes through a greater distance
in the Earth’s atmosphere than does the light received when the Sun
is overhead. The correspondingly greater scattering of short
wavelengths accounts for the reddish appearance of the Sun at rising
and at setting.
When looking at the sky in a direction away from the Sun, we
receive scattered sunlight in which short wavelengths predominate
giving the sky its characteristic bluish colour.
Optical instruments
Compound Microscope:
•
o
• •
F
Fe
2Fe
2F
o o
• •
fo fo
fe
Eye
A F
B
A’
B’
A’’
Objective
Eyepiece
2Fo
B’’
Objective: The converging lens nearer to the object.
Eyepiece: The converging lens through which the final image is seen.
Both are of short focal length. Focal length of eyepiece is slightly greater
than that of the objective.
A’’’
α •
β
D
L
vo
uo
Po Pe
Angular Magnification or Magnifying Power (M):
Angular magnification or magnifying power of a compound microscope is
defined as the ratio of the angle β subtended by the final image at the eye to
the angle α subtended by the object seen directly, when both are placed at
the least distance of distinct vision.
M =
β
α
Since angles are small,
α = tan α and β = tan β
M =
tan β
M =
D
tan α
A’’B’’
x
D
M =
A’’B’’
x
A’’A’’’
D
AB
M =
D
A’’B’’
M =
A’B’
AB
A’’B’’
x A’B’
AB
M = Me x Mo
Me = 1 +
D
fe
and o
M =
vo
- uo
M =
vo
- uo
( 1 +
D
)
fe
Since the object is placed very close to the
principal focus of the objective and the
image is formed very close to the eyepiece,
uo ≈ fo and vo ≈ L
M =
- L
fo
( 1 +
D
)
fe
or M ≈
- L
x
D
fo fe
(Normal adjustment
i.e. image at infinity)
e
M = 1 -
ve
fe
or (v = - D
e
= - 25 cm)
Image at
infinity
α
α
Objective
I
Eyepiece
Astronomical Telescope: (Image formed at infinity –
Normal Adjustment)
fo fe
Po Pe
Eye
Fo
Fe
•β
fo + fe = L
Focal length of the objective is much greater than that of the eyepiece.
Aperture of the objective is also large to allow more light to pass through it.
Angular magnification or Magnifying power of a telescope in normal
adjustment is the ratio of the angle subtended by the image at the eye as
seen through the telescope to the angle subtended by the object as seen
directly, when both the object and the image are at infinity.
M =
β
α
Since angles are small, α = tan α and β = tan β
M =
tan β
tan α
(fo + fe = L is called the length of the
telescope in normal adjustment).
M = /
Fe I
Fe I
M = /
PoFe
- I
fo
PeFe
- I
- fe
M =
- fo
fe
A
B
α
Objective
Astronomical Telescope: (Image formed at LDDV)
Po
Eye
e
fo
Fe Fo
• •
β P
fe
α
I
Eyepiece
ue
D
Angular magnification or magnifying power of a telescope in this case is
defined as the ratio of the angle β subtended at the eye by the final image
formed at the least distance of distinct vision to the angle α subtended at
the eye by the object lying at infinity when seen directly.
M =
β
α
Since angles are small,
α = tan α and β = tan β
M =
tan β
tan α
M =
Fo I
P F
e o
/
Fo I
P F
o o
M =
PoFo
PeFo
M =
+ fo
- ue
Multiplying by fo on both sides and
rearranging, we get
M =
- fo ( 1 +
fe
fe
D
)
-
1
f
1 1
v u
=
e
1
fe
1 1
- D - u
- =
or
Lens Equation
becomes
or +
1
ue
1
fe
1
D
=
Clearly focal length of objective must be
greater than that of the eyepiece for larger
magnifying power.
Also, it is to be noted that in this case M is
larger than that in normal adjustment
position.
Cassegrain Telescope: (Reflecting
Type)
Concave Mirror
Plane Mirror
Eyepiece
Eye
Light
from star
M =
fo
fe
Magnifying Power:
Reflecting Telescope
The Cassegrain telescope is an astronomical reflecting
telescope , in which the light is incident on a large concave
parabolic mirror ( primary mirror ) and reflected onto a
smaller convex mirror ( secondary mirror ). This reflected light
is reflected again through a hole in the concave mirror to
finally form the image at the eyepiece.
Advantages of Reflecting type telescope
• There is no chromatic aberration as the objective is a mirror.
• Spherical aberration is reduced using mirror objective in the form of a
parabolic.
• The image is brighter compared to that in a refracting type telescope.
• Mirror requires grinding and polishing of only one side.
• High resolution is achieved by using a mirror of large aperture.
• A mirror weights much less than a lens of equivalent optical quality. Therefore,
mechanical support of mirror is much less of a problem compared to the
support required for the lens. Further mirror can be supported
Limitations of refracting telescope over a reflecting type telescope
• Refracting telescope suffers from chromatic aberration uses large sized
lenses.
• It is difficult and expensive to make such large sized lenses.

RAY OPTICS.pdf

  • 1.
    Chapter - 9 Rayoptics and optical instruments
  • 2.
    RAY OPTICS 1. Refractionof Light 2. Laws of Refraction 3. Principle of Reversibility of Light 4. Refraction through a Parallel Slab 5. Refraction through a Compound Slab 6. Apparent Depth of a Liquid 7. Total Internal Reflection 8. Refraction at Spherical Surfaces - Introduction 9. Assumptions and Sign Conventions 10.Refraction at Convex and Concave Surfaces 11.Lens Maker’s Formula 12.First and Second Principal Focus 13.Thin Lens Equation (Gaussian Form) 14.Linear Magnification
  • 3.
    Reflection Most things wesee are thanks to reflections, since most objects don’t produce their own visible light. Much of the light incident on an object is absorbed but some is reflected. the wavelengths of the reflected light determine the colors we see. When white light hits an apple, for instance, primarily red wavelengths are reflected, while much of the others are absorbed. A ray of light heading towards an object is called an incident ray. If it reflects off the object, it is called a reflected ray. A perpendicular line drawn at any point on a surface is called a normal (just like with normal force). The angle between the incident ray and normal is called the angle of incidence, i, and the angle between the reflected ray and the normal ray is called the angle of reflection, r. The law of reflection states that the angle of incidence is always equal to the angle of reflection.
  • 4.
    Refraction of Light: Refractionis the phenomenon of change in the path of light as it travels from one medium to another (when the ray of light is incident obliquely). It can also be defined as the phenomenon of change in speed of light Rarer Rarer N N Denser r i r i from one medium to another. Laws of Refraction: I.Law: The incident ray, the normal to the refracting surface at the point of incidence and the refracted ray all lie in the same plane. II.Law: For a given pair of media and for light of a given wavelength, the ratio of the sine of the angle of incidence to the sine of the angle of refraction is a constant. (Snell’s Law) n = sin i sin r (The constant n is called refractive index of the medium, i is the angle of incidence and r is the angle of refraction.) µ
  • 5.
    μ = 1/ sin ic ( when sin r = 1 for r = 90o )
  • 6.
    Advanced sun riseand delayed sun set The sun appears about two minutes earlier than actual sunrise and the sun remains visible for about two minutes after actual sunset because of atmospheric refraction. When the sun is below horizon, the rays have to pass from rarer to denser medium. So rays bend towards the normal. As a result the sun appears higher than its actual position. The apparent flattening of the Sun’s disc at sunrise and sunset is also due to the same phenomenon.
  • 7.
    Total Internal Reflection: TotalInternal Reflection (TIR) is the phenomenon of complete reflection of light back into the same medium for angles of incidence greater than the critical angle of that medium. N N N N O r = 90° ic i > ic i Rarer (air) Denser (glass) µg µa Conditions for TIR: 1. The incident ray must be in optically denser medium. 2. The angle of incidence in the denser medium must be greater than the critical angle for the pair of media in contact.
  • 8.
    Mirage: On hotsummer days, the air near the ground becomes hotter than the air at higher levels. The refractive index of air increases with its density. Hotter air is less dense, and has smaller refractive index than the cooler air. If the air currents are small, that is, the air is still, the optical density at different layers of air increases with height. As a result, light from a tall object such as a tree, passes through a medium whose refractive index decreases towards the ground. Thus, a ray of light from such an object successively bends away from the normal and undergoes total internal reflection, if the angle of incidence for the air near the ground exceeds the critical angle. To a distant observer, the light appears to be coming from somewhere below the ground. The observer naturally assumes that light is being reflected from the ground
  • 9.
    Diamond: Diamonds areknown for their spectacular brilliance. Their brilliance is mainly due to the total internal reflection of light inside them. The critical angle for diamond-air interface (≅ 24.4°) is very small, therefore once light enters a diamond, it is very likely to undergo total internal reflection inside it. Diamonds found in nature rarely exhibit the brilliance for which they are known. It is the technical skill of a diamond cutter which makes diamonds to sparkle so brilliantly. By cutting the diamond suitably, multiple total internal reflections can be made to occur.
  • 10.
    iii) Prism: Prismsdesigned to bend light by 90º or by 180º make use of total internal reflection Such a prism is also used to invert images without changing their size. In the first two cases, the critical angle ic for the material of the prism must be less than 45º.
  • 13.
    The mirror equation (i)The ray from the point which is parallel to the principal axis. The reflected ray goes through the focus of the mirror. (ii) The ray passing through the centre of curvature of a concave mirror or appearing to pass through it for a convex mirror. The reflected ray simply retraces the path. (iii) The ray passing through (or directed towards) the focus of the concave mirror or appearing to pass through (or directed towards) the focus of a convex mirror. The reflected ray is parallel to the principal axis. (iv) The ray incident at any angle at the pole. The reflected ray follows laws of reflection
  • 15.
    This relation isknown as the mirror equation. Linear magnification (m) : Is the ratio of the height of the image (h) to the height of the object (h)
  • 16.
    Spherical Refracting Surfaces: Aspherical refracting surface is a part of a sphere of refracting material. A refracting surface which is convex towards the rarer medium is called convex refracting surface. A refracting surface which is concave towards the rarer medium is called concave refracting surface. • • C C R R A A B B APCB – Principal Axis C – Centre of Curvature P – Pole R – Radius of Curvature •P P• Denser Medium Denser Medium Rarer Medium Rarer Medium
  • 17.
    Assumptions: 1. Object isthe point object lying on the principal axis. 2. The incident and the refracted rays make small angles with the principal axis. 3. The aperture (diameter of the curved surface) is small. New Cartesian Sign Conventions: 1. The incident ray is taken from left to right. 2. All the distances are measured from the pole of the refracting surface. 3. The distances measured along the direction of the incident ray are taken positive and against the incident ray are taken negative. 4. The vertical distances measured from principal axis in the upward direction are taken positive and in the downward direction are taken negative.
  • 18.
    Refraction at ConvexSurface: •C R O Denser Medium Rarer Medium • • I P• M 2 n1 α β γ i r i = α + γ γ = r + β A tan α = or r = γ - β MA tan β = MO MA MI MA MC or α = MA or β = MO MA tan γ = or γ = MI MA MC According to Snell’s law, n2 sin i sin r = or i r n1 n1 n2 = or n1 i = n2 r Substituting for i, r, α, β and γ, replacing M by P and rearranging, n1 n2 n2 - n1 PO PI PC + = Applying sign conventions with values, PO = - u, PI = + v and PC = + R v n u n2 - n1 R n2 n1 v - u = (From Rarer Medium to Denser Medium - Real Image) N
  • 19.
    Lens Maker’s Formula Theimage formation can be seen in terms of two steps: (i) The first refracting surface forms the image I1 of the object O [Fig (b)]. The image I1 acts as a virtual object for the second surface that forms the image at I [Fig.(c]. For the first interface ABC, we get
  • 21.
    It is usefulto design lenses of desired focal length using surfaces of suitable radii of curvature. Note that the formula is true for a concave lens also. In that case R1is negative, R2 positive and therefore, f is negative.
  • 22.
    Thin Lens Formula(Gaussian Form of Lens Equation): f u C • For Convex Lens: A B A’ B’ M R Triangles ABC and A’B’C are similar. A’B’ = CB’ AB CB Triangles MCF2 and A’B’F2 aresimilar. MC A’B’ = B’F2 v AB A’B’ = CF2 B’F2 CF2 or • 2F2 • F2 • F1 • 2F1 CB CB’ = B’F2 CF2 CB’ CB = CB’ - CF2 CF2 According to new Cartesian sign conventions, CB = - u, CB’ = + v and CF2 = +f. 1 v 1 f 1 - = u
  • 23.
    Linear Magnification: Linear magnificationproduced by a lens is defined as the ratio of the size of the image to the size of the object. m = I A’B’ = O CB’ + I + v - O - u AB CB According to new Cartesian sign conventions, A’B’ = + I, AB = - O, CB’ = + v and CB = - u. I O = v u = m = or Power of a Lens: Power of a lens is its ability to bend a ray of light falling on it and is reciprocal of its focal length. When f is in metre, power is measured in Dioptre (D). P = 1 f
  • 24.
    The derivation isvalid for any number of thin lenses in contact. If several thin lenses of focal length f1, f2, f3,... are in contact, the effective focal length of their combination is given by In terms of power, P = P1 + P2 + P3 + … Total magnification m of the combination is a product of magnification (m1, m2, m3,...) of individual lenses m = m1 m2 m3 ...
  • 25.
    Refraction of Lightthrough Prism: A Prism i A B C P r1 O r2 N1 N2 D In quadrilateral APOQ, A + O = 180° …… .(1) (since N1 and N2 arenormal) In triangle OPQ, …… .(2) r1 + r2 + O = 180° In triangle DPQ, δ = (i - r1) + (e - r2) δ = (i + e) – (r1 +r2) …….(3) Refracting Surfaces From (1) and (2), A = r1 + r2 From (3), δ = (i + e) – (A) or i + e = A + δ δ Q e µ Sum of angle of incidence and angle of emergence is equal to the sum of angle of prism and angle of deviation.
  • 26.
    Variation of angleof deviation with angle of incidence: δ i 0 i = e δm When angle of incidence increases, the angle of deviation decreases. At a particular value of angle of incidence the angle of deviation becomes minimum and is called ‘angle of minimum deviation’. At δm, i = e and r1 = r2 = r (say) After minimum deviation, angle of deviation increases with angle of incidence. Refractive Index of Material of Prism: r = A / 2 i + e = A + δ 2 i = A + δm i = (A + δm) / 2 A = r1 + r2 According to Snell’s law, A = 2r sin i sin r1 sin i sin r n = = n = sin sin (A + δm) 2 A 2
  • 27.
    δm = (n – 1 ) A n = (A + δm) 2 A 2
  • 28.
    Dispersion of WhiteLight through Prism: The phenomenon of splitting a ray of white light into its constituent colours (wavelengths) is called dispersion and the band of colours from violet to red is called spectrum (VIBGYOR). δr A C D White light δv Screen N
  • 29.
    Scattering of Light– Blue colour of the sky and Reddish appearance of the Sun at Sun-rise and Sun-set: The molecules of the atmosphere and other particles that are smaller than the longest wavelength of visible light are more effective in scattering light of shorter wavelengths than light of longer wavelengths. The amount of scattering is inversely proportional to the fourth power of the wavelength. (Rayleigh Effect) Light from the Sun near the horizon passes through a greater distance in the Earth’s atmosphere than does the light received when the Sun is overhead. The correspondingly greater scattering of short wavelengths accounts for the reddish appearance of the Sun at rising and at setting. When looking at the sky in a direction away from the Sun, we receive scattered sunlight in which short wavelengths predominate giving the sky its characteristic bluish colour.
  • 30.
    Optical instruments Compound Microscope: • o •• F Fe 2Fe 2F o o • • fo fo fe Eye A F B A’ B’ A’’ Objective Eyepiece 2Fo B’’ Objective: The converging lens nearer to the object. Eyepiece: The converging lens through which the final image is seen. Both are of short focal length. Focal length of eyepiece is slightly greater than that of the objective. A’’’ α • β D L vo uo Po Pe
  • 31.
    Angular Magnification orMagnifying Power (M): Angular magnification or magnifying power of a compound microscope is defined as the ratio of the angle β subtended by the final image at the eye to the angle α subtended by the object seen directly, when both are placed at the least distance of distinct vision. M = β α Since angles are small, α = tan α and β = tan β M = tan β M = D tan α A’’B’’ x D M = A’’B’’ x A’’A’’’ D AB M = D A’’B’’ M = A’B’ AB A’’B’’ x A’B’ AB M = Me x Mo Me = 1 + D fe and o M = vo - uo M = vo - uo ( 1 + D ) fe Since the object is placed very close to the principal focus of the objective and the image is formed very close to the eyepiece, uo ≈ fo and vo ≈ L M = - L fo ( 1 + D ) fe or M ≈ - L x D fo fe (Normal adjustment i.e. image at infinity) e M = 1 - ve fe or (v = - D e = - 25 cm)
  • 32.
    Image at infinity α α Objective I Eyepiece Astronomical Telescope:(Image formed at infinity – Normal Adjustment) fo fe Po Pe Eye Fo Fe •β fo + fe = L Focal length of the objective is much greater than that of the eyepiece. Aperture of the objective is also large to allow more light to pass through it.
  • 33.
    Angular magnification orMagnifying power of a telescope in normal adjustment is the ratio of the angle subtended by the image at the eye as seen through the telescope to the angle subtended by the object as seen directly, when both the object and the image are at infinity. M = β α Since angles are small, α = tan α and β = tan β M = tan β tan α (fo + fe = L is called the length of the telescope in normal adjustment). M = / Fe I Fe I M = / PoFe - I fo PeFe - I - fe M = - fo fe
  • 34.
    A B α Objective Astronomical Telescope: (Imageformed at LDDV) Po Eye e fo Fe Fo • • β P fe α I Eyepiece ue D
  • 35.
    Angular magnification ormagnifying power of a telescope in this case is defined as the ratio of the angle β subtended at the eye by the final image formed at the least distance of distinct vision to the angle α subtended at the eye by the object lying at infinity when seen directly. M = β α Since angles are small, α = tan α and β = tan β M = tan β tan α M = Fo I P F e o / Fo I P F o o M = PoFo PeFo M = + fo - ue Multiplying by fo on both sides and rearranging, we get M = - fo ( 1 + fe fe D ) - 1 f 1 1 v u = e 1 fe 1 1 - D - u - = or Lens Equation becomes or + 1 ue 1 fe 1 D = Clearly focal length of objective must be greater than that of the eyepiece for larger magnifying power. Also, it is to be noted that in this case M is larger than that in normal adjustment position.
  • 36.
    Cassegrain Telescope: (Reflecting Type) ConcaveMirror Plane Mirror Eyepiece Eye Light from star M = fo fe Magnifying Power:
  • 37.
  • 38.
    The Cassegrain telescopeis an astronomical reflecting telescope , in which the light is incident on a large concave parabolic mirror ( primary mirror ) and reflected onto a smaller convex mirror ( secondary mirror ). This reflected light is reflected again through a hole in the concave mirror to finally form the image at the eyepiece.
  • 39.
    Advantages of Reflectingtype telescope • There is no chromatic aberration as the objective is a mirror. • Spherical aberration is reduced using mirror objective in the form of a parabolic. • The image is brighter compared to that in a refracting type telescope. • Mirror requires grinding and polishing of only one side. • High resolution is achieved by using a mirror of large aperture. • A mirror weights much less than a lens of equivalent optical quality. Therefore, mechanical support of mirror is much less of a problem compared to the support required for the lens. Further mirror can be supported Limitations of refracting telescope over a reflecting type telescope • Refracting telescope suffers from chromatic aberration uses large sized lenses. • It is difficult and expensive to make such large sized lenses.