Course Syllabus
Chapter 3
OPERATIONS ON ONE RANDOM
VARIABLES
Expectation/Mean of RV
• Discrete Case: If X is a discrete random variable which can take the value x1, x2, x3……..xn with
respective probabilities p1, p2,………pn having
then the expectation of X, denoted by E(x) is defined as E(x)=p1x1 + p2x2+……..+pnxn =
• The expectation of discrete random variable X with PMF p(x) is defined as
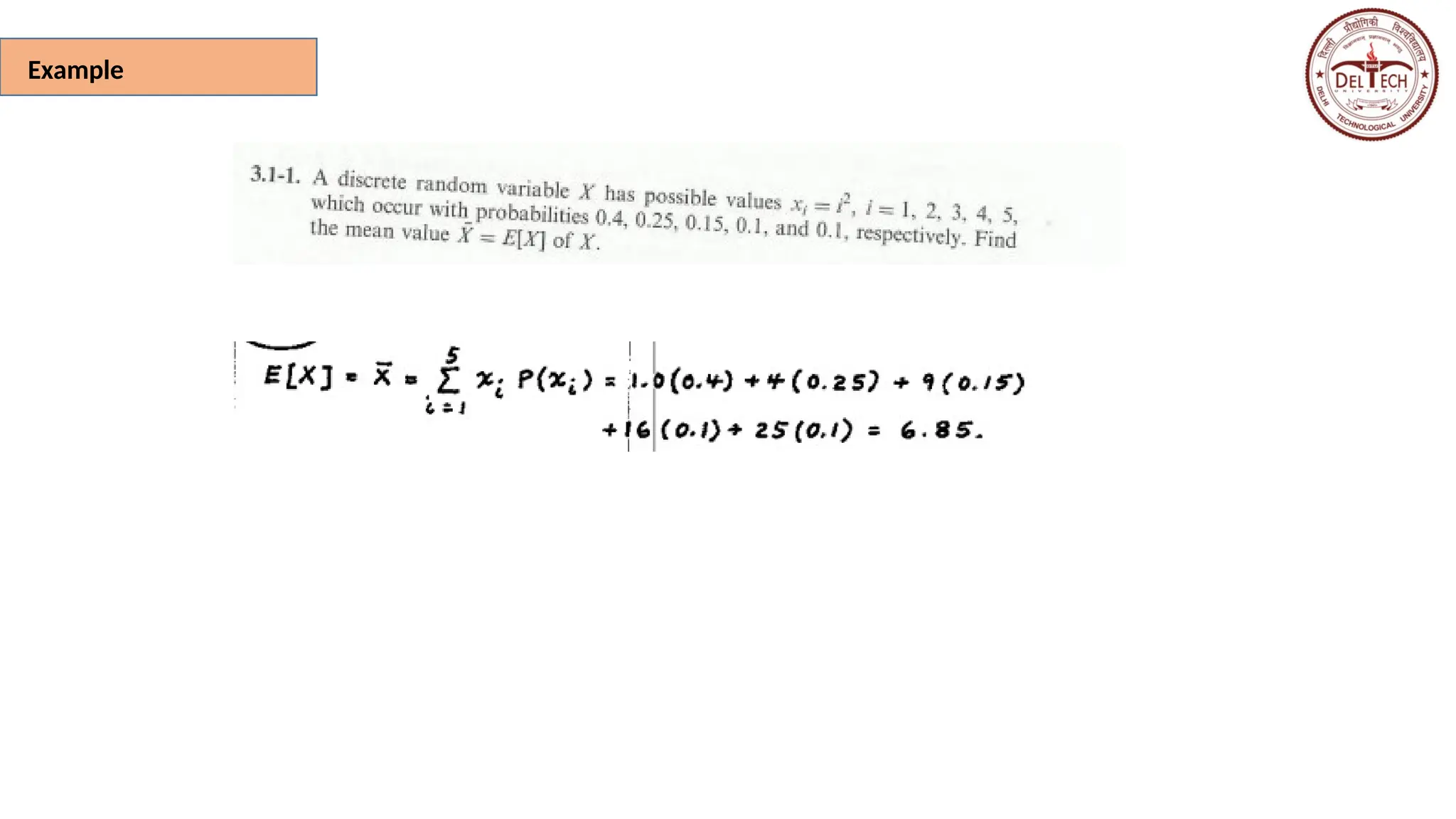
Example in Discrete case
Expectation of RV
• Continuous Case: The expectation of continuous random variable X with PDF f(x) is defined as
Example in Continuous case
Expected value of function of RV
• Consider a random variable X with PDF or PMF f(x), If g(x) is a function of random variable X, then
E[g(x)] is defined as
Example
Variance of a RV
• The variance is mean squared difference between each data point and the centre of the distribution
measured by the mean.
Example of Variance
Conditional Expectation
DISCRETE CASE:
The conditional expectation or mean value of a function g(X, Y) given that Y=yi is defined by:
Conditional Expectation
CONTINUOUS CASE:
The conditional expectation or mean value of a function g(X, Y) given that Y=yi is defined by:
Example 1
Three coins are tossed. Let X denote the number of heads on the first two and Y denote the number of
heads on the last two. Find:
1. The joint distribution of X and Y.
2. Marginal distribution of X and Y.
3. E(X) and E(Y)
HHH HHT HTH THH HTT THT TTH TTT
X 2 2 1 1 1 1 0 0
Y 2 1 1 2 0 1 1 0
Example 1
HHH HHT HTH THH HTT THT TTH TTT
X 2 2 1 1 1 1 0 0
Y 2 1 1 2 0 1 1 0
X | Y 0 1 2 f(x) (Marginal)
0 1/8 1/8 0 1/4
JOINT DISTRIBUTION
1 1/8 2/8 1/8 1/2
2 0 1/8 1/8 1/4
f(y) 1/4 1/2 1/4 1
Example 1
X | Y 0 1 2 f(x) (Marginal)
0 1/8 1/8 0 1/4
1 1/8 2/8 1/8 1/2
2 0 1/8 1/8 1/4
f(y) 1/4 1/2 1/4 1
Example 2
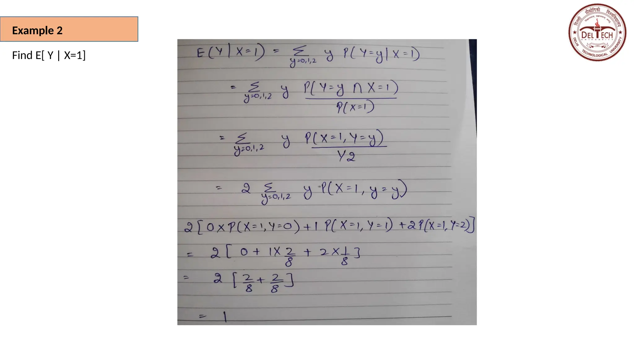
X | Y 0 1 2 f(x) (Marginal)
0 1/8 1/8 0 1/4
1 1/8 2/8 1/8 1/2
2 0 1/8 1/8 1/4
f(y) 1/4 1/2 1/4 1
Find E[ Y | X=1]
Example 2
Find E[ Y | X=1]
Covariance
Let X and Y be any two random variables and let E(X)=u1 and E(Y)=u2.
Consider the mathematical expectation
The number is known as covariance of X and Y and it is denoted by Cov (X, Y)
Chebyshev’s Inequality
Let X is a random variable with mean (μ) and variance (σ2
), then for any positive number k, we have
or
Example
Two unbiased dice are thrown. If X is the sum of the numbers showing up. Prove that P(|X-7|>=3)<=35/54.
Compare this with the actual probability.
Example
Example
Actual Probability=1/3=0.333
Chebyshev’s
inequality=35/54=0.648
0.333<=0.648

Random Variable Probability and Statistics.pptx