Project Archangel
Complete Re-Engineering Of Fulfillment Process &
Gift Card Management
New Scrip Fulfillment Process & Design Document
Fulfillment Re-engineering
Background
The National Scrip Center (NSC) is the leading wholesale provider of gift certificates and gift
cards to nonprofit organizations across the United States. NSC purchases gift certificates in bulk
in order to receive a discount off the face value and resells them at a slight mark-up to nonprofit
organizations—which use them as a fundraising tool. Currently, NSC annually resells over
$350,000,000 in gift certificates from over 300 different merchants to over 8,000 nonprofit
organizations.
The process of how the certificates are ordered, inventoried, processed and fulfilled were
basically created and developed in 1989 to 1990 time frame. These processes were developed to
support a much smaller business. It is as if NSC is trying to cram 200 pounds of flour into an 80-
pound bag.
The core of the traditional scrip business is the gift certificates and gift cards. These “hard
alternative currencies” requires the physical management and inventory of these currencies. NSC
has operated with poor systems, manual process controls and at the mercy of the merchants we
support. As NSC is growing these issues are growing in pain and slowing our ability to support
the increased demand.
Mission
NSC has decided to re-engineer the entire way we take orders, process orders, manage
inventories, etc. It is the goal of NSC to simplify all these areas and make radical changes from
the world today. This includes how we take inventories in, process them, the set up and
management of the vault, etc. This new approach will provide several key benefits to NSC:
1. Reduce the number and complexity of the steps involved in handling scrip and orders
2. Reduce cash investment in “live” certificate & gift card inventories and allow NSC
more financial freedom
3. Automate as much of the data gathering and tracking as possible
4. Reduce backorder issues through JIT inventory
5. Improve turn time on inventories and orders
6. Increase the volume handled without dramatically increasing the number of people to
process
7. Improve the data and invoicing of both merchants and charities
8. Allow NSC to have the necessary inventories when & how we need it, supporting
growth
9. Carry the widest selection of merchant gift cards and certificates in the industry
10. Improve the overall customer experience
The over all mission is to allow NSC to become the most efficient, speedy and accurate provider
of the widest selection of gift cards and certificates in the world. NSC competitive advantage in
the future will be a solid forecasting and business model supported by a simple, expandable, yet
strong fulfillment process.
Goals
In re-engineering the scrip fulfillment center, NSC is focused on accomplishing the following
goals:
1. Break with the old ways, and build a new vision of how to do it
2. Improve the volume and turn around time of the scrip inventories and orders
3. Where possible eliminate steps
4. Where possible combine steps
5. Automate as much as possible, especially in the area of getting certificate serial
numbers and gift card data
6. Spend more effort in breaking down the received inventories and properly loading the
necessary tracking and general data – removing this burden from the fulfillment floor
7. Change the vault and removing the bottleneck it creates
8. Bundling the inventories for easy pulling
9. Stream line the entire order entry, order fulfillment and tracking process
10. Allow the customers to track their orders via the web
11. Allow customer service to easily track order status
12. Stream line inventory management and forecasting
13. Build a solid planning and inventory model and forecasting
14. Have 90% of gift cards on hand deactivated
15. Where possible on paper certificates move to either an NSC certificate, or to better
merchant terms
16. Rely less on people skills in the process and more on systems, data and technology
Project Overview
The areas that will be worked on, and at all cost re-worked, are:
 Merchant Partnerships: Starting with bring on of new merchants and reviewing
existing ones, to look over the terms of the relationships and where possible
getting the deal correct at the start.
 Scrip Manufacturers & Processors: Next moving to the points of origin for the
scrip inventories and better understanding the who, what’s and how we can work
with the players in charge of the manufacturing of the paper and card currencies.
 Customer Expectations & Order Processing: Next moving from the current
expectations established in the minds of the charities (established when NSC
was a much smaller business) to the order processing stage – making it simpler,
easier and more customer friendly.
 Inventory Receiving: Do more at the time of receiving and breakdown of the
inventories, allowing for the data capturing and inputting the data into inventory at
the point of receiving – not at the point of fulfilling as it is down now.
 Vault & Fulfillment Floor: It is important to reduce steps and basically collapse
these functions to as simple and fast a process as possible. We need to
eliminate bottlenecks, time eaters and steps.
 Shipping: Here too, we need to simplify and speed up getting the items out the
door.
 The Building: While today we are constrained within the current building – as we
grow we need to think long term and look at options beyond the building we live
in today for scrip fulfillment services. Even with today’s building do not be
constrained by what we have and how we have it set up, instead let’s look at in a
way where we say “what do we need, how can we change it” – and make it
happen.
 The New System: We need to integrate the best thinking and logic on the new
system and implement this with all speed.
 Deactivated Cards & Paper Certificates: We need to aggressively work on the
entire list of merchants we have and move to a deactivated strategy on all gift
cards (allowing NSC to activate 24 hours after shipped) and get merchants to
allow NSC to have paper certificates on hand with out paying until shipped as
well. Also an off shoot of this area, is the need to begin developing industry
standards on the gift cards and certificates.
Mind-Set Requirements:
It is important as we move forward with this very important project we need to remember that:
A. Nothing is sacred or taboo from looking at, asking questions about and/or changing.
B. No assumptions – we need to drill down and look at everything and ask why, and go a bit
deeper to determine if what we are thinking is true or not.
C. Just because we have always done it or offered it doesn’t mean we need to keep doing it.
D. We need to look at everything and weigh why we do something vs. the benefit to the
customer or NSC and the cost vs. risk. To do something that lowers risk or helps the
customer on the surface, but in the end slows us down and adds unseen costs is not good for
NSC nor the customer.
E. Title doesn’t matter, position doesn’t matter, concerns do not matter, history really doesn’t
matter – results today do!
Timing Expectations:
By May 30th
a completed plan of attack on the changes and actions. Implementing as many
things as possible between June 1, 2003 and August 15, 2003. Giving NSC time before back-to-
school to make sure what we have done works. If we can complete it sooner, great. Also we
should be working on implementing areas and points in stages, and as they come on-line and
functioning.
Time Action Items
1 month or less Completing Plan & Mapping out owners and
action, including cost ranges, etc.
1 month and on
going
Begin implementing changes, along with setting
up suppliers and equipment vendors.
3 months Implementing
3 – 4 months Target Launch Time Frame (Late July/ Early
August Latest)
6+ months Continual process improvement
Why Are We Doing This?
Benefits
Supporter
 Improved selection
 Improved speed of receiving orders
 Increased options in shipping & buying (i.e. direct)
 Reduced or eliminated back orders
 Improved earnings possibilities for supported organizations
Charity
 Eliminates back order issues
 Reduces handling time for coordinators
 Reduce turn time on orders
 Improved accuracy on orders
 Increased selection of merchants
 Reduces inventory management requirements/space
 Improved fundraising ability and dollars
Participating Merchant
 Increased volume sold
 Quality, secured handling & fulfillment of their gift cards and certificates
 Incremental earnings potential
 Improved inventory costs and handling
 Long term growth potential
 Improved sales & marketing opportunities
NSC
 Improved customer satisfaction
 Reduced cost of handling and errors
 Improved through put and volume
 Improved profit and revenue for NSC
 Dramatically changes how we handle inventory and impacts cash flow in a
positive way
 Less people can do more
 Improved data and understanding on the drivers of the business
 Leadership role within the entire gift certificate and gift card industry
 Competitive advantage over all other scrip companies
Competitive Insight
All the scrip companies in the industry today handle scrip in the same way as NSC does. The
Rubbermaid boxes might be smaller, or the vault lay out differently – but in the end the handling
and processing are very similar.
We are aware that Scrip Advantage is also looking at a new financial system – seems like Great
Plains.
Project Scope & Requirements
Vision: To have it so that inventories come in from the different card and certificate manufactures ready to
be put into inventories. That all these received items are deactivated and no cash is given out at time of
receipt. That the receiving area takes the right level of effort to load all the data into our system (card
information gathered off the magnetic strip and the certificates serial number in some optical fashion). As
orders come in, they are managed via a system – not through paper printed forms, and are queued to the
right “cell” to process. As the order is filled a person pulls the scrip and scans it – allowing a reader to
verify the order against what is being put into the box/packaging that will be shipped. At that time a
confirmation is printed, along with shipping label and materials (first moment something is physically
printed) and the order is completed. It is pushed down a conveyer belt to shipping to who does a quality
check and seals the order and puts it in the back of the FedEx truck and/or US Post Office. The process
should be able to handle both the historical Christmas season rush to the summer slow down. Allowing us
to process our own orders and to handle fulfillment opportunities as well.
Also, where possible to incorporate machines to do the currency handling – including card management
systems, ATM like devices for the paper checks, etc.
• Volume requirements: Need to handle between $500 million and $600 million in scrip
inventory a year. Currently we handle $300 million in scrip inventories a year. Targeting gross
sales volume (all products, including beyond the scrip business) of $1 billion+.
• We need to support over 30,000 charities a year by Calendar year 2005 (7k this year, 18k
next year, 30k third year).
• We need to support individual orders, bulk orders and custom orders.
• We need to handle over 800 merchant brands (with an average of 2 denominations per
merchant) = 1,900 SKUs
• We desire a high level of automation in the inventory inputting, data gathering and tracking.
• We desire to maintain a high level of security, and where possible continually improve this.
• Less to do with people capturing data, more to do with machines, equipment, optical readers,
magnetic strip readers, etc.
• We need to manage not only our inventories and programs, but also have the ability to
manage other peoples inventories (i.e. straight fulfillment)
• We must have a proprietary business model, forecasting model and inventory model
(possibly patenting it) that allows us to have a Just-In-Time (JIT) approach – but does not
impact customer satisfaction.
• Be able to support all levels and choices of shipping (over night, 2 day, normal business, US
first class mail, etc.)
• We must have a real time picture and understanding of the inventories, the volume and the
issues via our systems.
• We must have the ability to activate and deactivate all gift cards.
• We need to automate the handling of the higher volume certificates and gift cards
• We must be able to issue and fulfill our own paper currency
• We need to work within the existing physical building space, but willing to look at creative
options for future expansion
• We must reduce and where possible eliminate bottlenecks
• We must have a simpler process, with fewer steps, to compile the order and ship it
• Allow the customers to track their orders and shipping via the web
• Eliminate the two step process used today on pulling in the vault and again processing the
order on the fill room floor
• As orders are complied they should go into the box/packaging that they are shipped out in.
• Eliminate all manual hand writing in the order fulfillment process (i.e. card numbers, check
serial numbers, etc.)
• Easy to understand, train and support – allowing NSC to better manage the level and skills of
individuals working the fulfillment processing.
• Allow for the issuance of a variety of packing slips/ order overviews that go out with the order
– including NSC branded, some custom branded to either resellers, fulfillment only orders,
program specific (like IWAH, SGC.com), etc.
• Simplify the building of an order and allow for a scanning approach to build the record and the
document
• Review entire order taking process in customer service and find ways to simplify and improve
• Have web based orders go directly into both fulfillment processing and collecting the funds
• Ability to take all forms of payment, including credit cards, e-checks, ACH, etc.
• Maintain the right levels of inventories so that there are no back order situations
• Support drop ship ability for certificates, gift cards, etc. on larger orders
• Be able to have deactivated cards on hand and ship, and either activate terms 24 hours after
shipping or on pre-pay pay 24 hours after shipping
• On all paper certificates have on hand inventories and pay only after NSC ships – again if
terms exist the clock starts once items are shipped
• Simple and easy to understand order summary to customer, along with shipping materials,
sales & marketing materials, etc.
• Improved environment in fulfillment area – improving spirit and morale.
• In longer term (12 to 24 months) have potential to:
o Issue a generic gift card that is encoded and embossed by NSC, but have the ability
to drop a merchant logo and branding on to the card
o Have remote locations handling inventories and fulfillment – anywhere in the US
and/or world
o Become ISO 9000 certified
Project Budget
Since this is core to our business, NSC needs to invest the proper level of dollars and time to this. We
need to keep in mind that these developments will reduce our handling costs and improve our cash
flow and turn time. Separate and beyond the cost of the new system – it is estimated that NSC will
invest between $500,000 and $1.5 million in process and automation tools, equipment, training, etc.
over a 24-month period.
Desired Results and Outcomes
The re-engineering of the entire gift card and certificate process will enable NSC to retain its leadership
position. Specifically, NSC is looking to achieve the following outcomes and results through the project:
1. Reduced back orders by 80%
2. Allow the same number of fulfillment people to fulfill 30% more orders
3. Maintain a 4 week rolling forward inventory of scrip
4. Reduce the turn around time on orders by 25%
5. Improved gift certificate margin through reduced handling and error costs by 5%
6. Reduce third party supplier dependencies by 20%
7. Ability to ship 50% of orders within 24 hours, and the remainder within 48 hours
8. Improved morale and spirit of employees in fulfillment area and functions
Fulfillment Process Re-design:
Strategy
The key to an efficient fulfillment process is optimization of the physical management of our inventory.
Technology will be used to facilitate processing whenever possible. For example, machines will be
employed to automatically fulfill orders and prepare inventory for the picking process. Bar code
technology will be implemented for inventory control and error reduction.
All products that are not filled using automated fulfillment equipment will be processed with a facilitated
picking process using product "bundles" in addition to individual scrip. Bundling of scrip compresses the
inventory and greatly expedites the picking process by reducing the time required to fill an order. For
example, if the order quantity is 26, the fulfillment technician would pick one bundle of 20, one bundle of
5, and one individual card. These items are scanned with the bar code scanner located at the picking
station and placed into the tote. This process is much quicker and more accurate than manually counting
out 26 individual cards and entering the serial number range into the computer. Table 1 gives a
comparison of the number of picks required using individual cards or certificates versus bundles. The
data is from the highest volume card, Darden, and on a card in the lowest 25% of volume, Pier 1, on the
highest volume day, December 17, 2002. In this case, there is an 88% reduction for Darden and a 62%
reduction for Pier 1 in the required number of picks. These numbers are not actual throughput
calculations but they show that the throughput of the fulfillment process can definitely be increased by
using bundles.
Vendor Darden Pier 1
Number of picks using individual cards 17,449 1113
Number of picks using bundles 2,069 422
Percent Reduction using bundles 88% 62%
Table 1: Picking with Bundles vs. Individual Scrip
The key is to use automation to count and bundle scrip in pre-determined quantities such as 5, 10, and
20. We would apply a bar code to each bundle and track the serial numbers within Great Plains.
Process Description
The following section describes the redesigned fulfillment process that will be “rolled out” in three stages
over the next 12 to 15 months.
Receiving:
This department is the key to our fulfillment operation. Everything must be counted and prepared for
use in fulfillment. Automated equipment will be utilized to aid counting and bundling. A bar code system
will be implemented to facilitate inventory management. The following tasks will be required of this
department:
• Count and verify shipments against the purchase order.
• Use process equipment to collect serial number information.
• Secure product “bundles” using strapping or shrink-wrap equipment.
• Apply bar code to bundled items for easier tracking.
• Ensure that all serial numbers are entered into the software system for use in fulfillment.
Order Fulfillment:
Orders are presented to the fulfillment area based upon priority. The priority is determined automatically
within the software system (Great Plains) depending upon customer type (for example, Platinum),
shipping deadline, etc.
The fulfillment process is designed to optimize handling of the different products based upon the product
characteristics and sales volume. Fulfillment of highest volume products will be performed by automated
equipment whenever possible. Some high volume products cannot be fulfilled automatically due to the
product characteristics. For example, it may not be possible to automate fulfillment of booklets such as
Burger King due to the staples. For products with manual fulfillment, every effort will be made to facilitate
the picking process using technology such as bar coding, and Pick-to-Light systems.
The different product and order types will be processed as follows:
Small orders: Orders with a limited number of lines and small quantities for each line will be routed to the
small order station. This station will be stocked with as many products as needed to fill the majority of
small orders. The purpose of this station is to complete small orders at this one station so that an order
with just a few items can be picked, packaged and shipped out with the highest efficiency. These orders
will skip the rest of the fulfillment process and improve the efficiency of the processes designed for larger
orders. This station is ideal for filling “SuperGiftCard” and small “ScripDirect” orders, as well as some
backorders.
Automated Card Fulfillment: Orders that are not routed to the “small order cell” will be started at this step.
This station or cell is designed to facilitate processing of stored-value cards that are required in nearly
every order that is processed. Machines will be employed to automatically count and dispense the
necessary cards for each order. The machine is loaded with the highest volume products of stored-value
scrip (for example, Arco, Home Depot, Starbucks, Darden Restaurants). The order is downloaded to the
machine by the software system and the machine automatically counts and dispenses the required cards
for that machine, for that order.
At this station, the order is assigned to a traveler tote by scanning the bar code (or license plate) that is
located on the tote that the order will travel in. The fulfillment technician places the cards for that order in
the tote and then places it on the conveyor. The bar code on the tote is scanned by the conveyor system
and the software determines the next necessary fulfillment station. If the order has been completed, it will
be routed to the packing station. If the order has additional items that need to be filled, the order (in the
tote) travels down the conveyor and is presented for fulfillment at the next required station.
Automated Paper Fulfillment: This station or cell is designed to automate processing of paper and check-
type scrip that is required in most orders. Machines would be employed to automatically count and
dispense the necessary paper products for each order. This would greatly increase the volume capability
to handle products such as Jamba Juice, Pizza Hut, and other paper products.
Picking of High-Volume Products: This process is designed for products that are high volume and are not
automated with a machine. The purpose is to speed up the fulfillment process as much as possible for
the products that are required in nearly every order. There will be multiple workstations designated for
picking of high-volume products. Workstations will hold up to 20 high-volume products. The order will
travel (in the tote) to as many stations as needed to fulfill that order. “Pick-to-Light” systems will be
installed at these workstations. The “Pick-to-Light” system is integrated with Great Plains to instruct the
technician which products need to be picked, at what quantity, for each order. The bar code on the tote is
scanned at the “Pick-to-Light” station to begin the order fulfillment process. The light for each required
product will be activated and the required quantity will be indicated on the front of the storage location.
The technician will simply follow the lights and pick the required quantities, adding them to the tote, until
the order is completed for that workstation. The technician then places the tote back onto the conveyor
and it will travel to the next necessary workstation.
Picking of Lower-Volume Products: High-density shelving will be employed for storage and picking of
lower-volume products. Standard picking processes will be followed. This process is the slowest due to
the low amount of automated assistance. The technician will be responsible for picking more products
over a larger area. The technician will not sit at a station but will be required to walk to the shelving areas
to pick the products necessary for each order. Batch picking may be employed at this cell. This setup is
ideal for products that are not needed in the majority of orders but are required to be stocked.
After the order has traveled to all of the required workstations and has been completed, it will be placed
on the output conveyor to travel to the packing station.
Packing:
A packing slip will be printed and the necessary communication and promotional materials (ScripFlash,
etc.) will be added to the order. The order will be carefully packed and sealed and placed into the final
shipping container. The shipping container will be sealed and placed back into the tote. The order will
travel in the tote to the shipping station.
Packaging equipment and automation will be employed, where possible. At a future date, the order may
be picked directly into the final shipping container and the packing step will be eliminated. The packing
operation may be combined with shipping, depending on availability of space and the capability of
automation equipment.
Shipping:
The technician will scan the bar code on the tote, print the shipping label and apply the label to the
package. The package is then placed in the appropriate bin for shipping type.
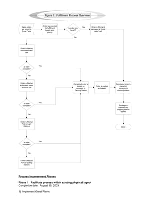
Order is filled at
automated card
cell
Order is filled at
Pick-to-Light
Stations
Is order size
“small”?
Order is filled and
packaged at “small
order” cell
Package is
scanned and
shipping label is
applied
Is order
complete?
Completed order is
placed on
conveyor to
Packing Station
Sales orders
are stored in
Great Plains
Order is presented
for fulfillment
based upon
priority
Figure 1: Fulfillment Process Overview
Yes
No
Yes
No
Completed order is
placed on
conveyor to
shipping station
Done
Is order
complete?
Order is filled at
manual picking
stations
No
Yes
Order is packed
and sealed
Order is filled at
automated paper
products cell
Is order
complete?
Yes
No
Process Improvement Phases
Phase 1: Facilitate process within existing physical layout
Completion date: August 15, 2003
1) Implement Great Plains
The following process improvements will be made through implementation of a new software system:
• Serial number tracking: Serial number ranges for every product will be entered into Great
Plains as the items are received. The software system will keep track of every serial number
and make numbers unavailable as they are used to fill orders. Ideally, the system will know
what ranges of numbers are present at each station and will suggest the numbers to be used
for each order. This would eliminate data entry of serial numbers at the fulfillment station.
• Order Prioritization: The system will determine fulfillment priority of orders based upon
defined criteria such as customer type (Platinum), shipping deadline (same day, next day), or
other criteria. The fulfillment technicians will process the orders as they are presented
instead of having to manually determine priority.
• Automatic invoicing: The items will be taken out of inventory at the designated time by
automatic or batch invoicing.
• Packing slip: The system will provide a packing slip with serial number ranges listed for each
item.
Eliminated process steps:
• Order sorting / prioritization in print room
• Handwriting of Serial numbers
• Invoicing
2) Expand shipping department
The number of workstations in the shipping department will be increased to ten. This will allow flexibility
to shift personnel into shipping during busy times. This expansion will provide enough capacity for the
surge of business in December 2003. Completed April 2003
3) Expand Receiving department responsibilities
The Receiving department will perform inventory preparation in order to reduce counting at the picking
station and eliminate manual serial number entry. The Receiving department will be responsible for
preparing product “bundles” and entering all serial number information into the system database.
Personnel previously utilized to hand-write serial numbers are now assigned to prepare inventory for
picking. This may require an upgrade of skills for some employees.
4) Implement a bar code system with associated software for inventory control
Bundled items of inventory will be identified with a bar code that represents a range of serial numbers.
Single items will be identified with a bar code, when it is determined to benefit the processing of that item.
(Note: it would be too time consuming to apply NSC bar codes to every individual item that is received.
Bar coding will be applied only when it is deemed beneficial.)
5) Install equipment for counting and bundling of scrip in Receiving
Implement machines to facilitate collection of serial number information and the preparation of bundles:
• Cards: custom-designed equipment will be used to count cards, read serial numbers from the
magnetic stripe or bar code, send serial number data to Great Plains and separate the cards into
stacks that are ready for bundling and labeling.
• Paper: optical scanning equipment will be used to automatically count, capture serial number
information, and send serial number data to Great Plains for most of the various gift certificates
stocked by NSC.
6) Arrange vault to accommodate more than one process line
Currently, the vault is arranged as one process line with 20 filling stations. The number of orders that can
be filled each day is limited by this configuration. Process efficiency can be improved by reducing the
number of times an order is opened and closed on the computer and minimizing the number of stations
that an order must stop at to be completed. Arranging the vault to accommodate two or more process
lines will greatly increase the order throughput of the vault.
Phase 2: Expand process automation
Completion date: December 15, 2003 (or sooner if possible)
Note: Machine installation could possibly take place during Fall 2003 with minimal disruption to the
existing process. The machines could be installed in a different area such as the current warehouse or
the existing file room. This would allow the project to continue and would not be disruptive to the existing
process.
1) Install automated machines for fulfillment of high volume cards
This would increase the throughput volume of the picking line by taking several of the highest volume
products offline. The projected throughput of the automated machine or machines would be much higher
than the throughput of the picking line and thus, would not be a process bottleneck.
(Note: these machines are not available “off the shelf” and require significant development time.)
2) Install automated machines for fulfillment of high volume paper
Check-processing or similar equipment would be implemented to automate fulfillment of paper
certificates.
3) Install automated packing/taping equipment
This would improve the throughput of the shipping area by reducing manual handling.
Phase 3: Modify physical process layout and implement further processing technologies
Completion date: April 15, 2004
This phase may be implemented in a new facility. This would allow for unlimited future expansion through
addition of multiple process lines. The required security level could be built into the new design, for
example, building a very large vault or necessary security cages.
The process layout would be very similar to a manufacturing assembly line. Custom-designed
workstations would be built to accommodate storage bins for scrip. The workstations designated for high-
volume products would be outfitted with “Pick-to-Light” systems. High-density shelving would be
employed for storage of slower moving products.
Phase 3 components are as follows:
1) Determine implementation location (existing or new facility?)
2) Install necessary vault extensions or additional security measures.
3) Implement workstations designed to facilitate product picking.
4) Install “Pick-to-Light” systems on workstations dedicated for high-volume (non-automated)
products.
5) Install high-density shelving for low-volume product picking.
6) Develop a bar code system for automatic tote routing on the conveyor.
7) Connect all process steps with a conveyor system that routes orders to the required processing
stations only.
Initial Cost Saving
Implementation of Phase 1 will enable NSC to operate through the year without having to hire temporary
employees in the Receiving, Vault or Fulfillment areas.
NSC ability to maintain deactivated inventory (Gift Card Management System)
NSC will receive a complete Gift Card Management System to activate and issue cards, based on NSC
requirements by merchant (i.e. based on specific merchant terms, etc. including, but not limited to, cards
activating 24 hours after shipping), perform and manage deactivated gift cards for NSC merchants. NSC
will host the solution on NSC’s Sun hardware, and be responsible and able to properly execute Gift Card
transactions (activation, deactivation, add funds) , along with reporting and interfaces on the existing
major gift card transaction and account platforms in the market today, including Datamark, Valulink or
SVS platforms. The interface would work real time or in a batch nightly process.
NSC Universal Gift Card Management System
Situation Overview:
National Scrip Center currently handles over 300 merchant gift certificates and gift cards. Also, with most
merchants NSC carries more than one denomination. This means that the number of SKUs NSC carries
is close to 900. 50% of the inventories carried are gift cards, and more merchants are growing in this
direction as well (paper to card conversion is high).
At this time most of the gift cards NSC carriers are activated when they arrive at NSC. This causes
problems with both security (needing to handle same as cash) and inventory management (NSC pre-pays
on a majority of these cards and certificates), which makes the cash flow and management at NSC a very
tight process.
NSC has realized to stay competitive and cost effective in the gift card market, as a reseller and
consolidator, NSC must have the majority (more than 80%) of their gift cards deactivated, on site at their
secured facility.
NSC future vision is to be able to manage, issue, activate and gain better control of any gift card
processes and products on the market – including but not limited to creating their own currencies.
Datamark Solution:
NSC will receive a complete Gift Card Management System to activate and issue cards, based on NSC
requirements by merchant (i.e. based on specific merchant terms, etc. including but not limited to cards
activating 24 hours after shipping), perform and manage deactivated gift cards for NSC merchants. NSC
will host the solution on NSC’ Sun hardware, and be responsible and able to properly execute Gift Card
transactions (activation, deactivation, add funds), along with reporting and interfaces on the existing major
gift card transaction and account platforms in the market today, including Datamark', ValueLink' or SVS'
platforms. The interface would work real time or in a batch nightly process.
Simple Process
• NSC receives deactivated plastic from the variety of merchants utilizing Datamark,
ValueLike and SVS gift card platforms – maintaining a 3 to 4 month inventory on hand.
• As NSC processes inventories and orders it, capturing card data. As orders are
processed, on a nightly run, all shipped cards are set up to process on the three main gift
card networks – queued to process and activate within 24 hours of shipping.
• Based on this activation activity, and based on NSC terms with their merchants NSC will
be able to establish payment to the different merchants via NSC financial systems.
• Phase Two development allow NSC to generate an NSC branded gift card that either is a
stand alone, single merchant card that would work with any of the merchants on any of
the above platforms, or a universal gift card working at all the merchants on all the
platforms.
NSC Universal Gift Card System High-level Features
• Ability to issue value to or deactivate gift cards on Datamark, ValueLink or SVS systems
• Ability to Redeem Value
• Ability to reverse or Void a transaction
• Ability to issue multiple cards with a single transaction
• Ability to issue a replacement card
• Ability to cancel a card
• Ability to have delayed activation, based on merchant terms & relationship
• Specific activity reporting
System Benefits To NSC
1. NSC will be developing the first universal gift card platform, allowing access and management of
single merchant brands and/or multi merchant acceptance gift cards
2. System will support separate batches for SVS, ValueLink, and Datamark. Gift cards, and allow
transactions at POS to be controlled by merchants – like they do today.
3. NSC will gain the benefit of having on hand inventories, reducing back-orders and increasing
NSC cash flow and float – allowing NSC to get more back to charities
4. System reconciliation information thereby reducing significant end of day communications
5. System supports demographic information or by batch input
6. System returns meaningful error messages
7. System supports batch processing or real time processing for issuances and voids.
8. System can support a combined batch and real time operation
9. System gives trace-ability to all issuance transactions for history review and problem researching
10. NSC has access to card data and reporting to better negotiated terms and agreements with
merchants
11. NSC being able to add additional merchants without impact on cash flow, etc.
Development Overview:
Development Target Delivery Date
June 30, 2003
Datamark Recommended Development Activities
A. NSC build a target list of existing merchant cards carried, that are any of the three systems and a
merchant presentation and team are put together to go after these merchants and gain
acceptance that NSC can have deactivated cards and access to the systems/accounts. Getting
the merchants to go back to their respective system providers to move on it.
B. A separate Business Development team, along with Datamark senior executives go to the other
two gift card systems providers and begin talking with them as well.
C. A systems / technology and operations team begin the development of the NSC platform at the
same time as the above two teams move forward.
Products and Services
NSC Universal Access Gift Card System – NSC will use existing functional software and user
documentation of Datamark’s existing software system software including all system upgrades and
enhancements. The software includes a verification of Datamark’s Web Customer Allegiance
software for web-based account management, account management , customer service, and all
reporting.
Potential Access To The Following Gift Cards:
ValueLink
http://www.valuelinkcards.com/
Off Their Web Site:
About ValueLink
As the leading provider of high quality, high volume information processing and related services, First
Data identified an emerging market for stored value products that could be customized to meet a client's
specific business needs while leveraging First Data's expertise in information and transaction processing.
In 1994, ValueLink was created to introduce online transaction and information-based solutions that
enable its clients to quickly and cost effectively introduce and support their own customized stored value
card programs such as gift cards, merchandise credits, coupons, promotions, phone cards, and much
more. As a wholly owned subsidiary of First Data, ValueLink's only business is the development,
implementation and support of stored value card programs, including gift & spending card programs.
ValueLink assists its clients by implementing stored value card programs that deliver faster transaction
processing, greater financial controls, improved security and increased sales and customer loyalty.
ValueLink is fully integrated into the technology-driven infrastructure of First Data, thereby allowing our
clients to benefit from those synergies in place with First Data relative to systems personnel, network
connectivity, systems integration, systems redundancy, and disaster recovery.
In April 1995, ValueLink launched its first third-party driven gift card program (Blockbuster Entertainment)
in the retail industry. Today, ValueLink continues to draw upon its experience and expertise to deliver
innovative, customized gift & spending card programs for the markets it serves.
Sample List ValueLink Clients:
Abercrombie & Fitch Co:
Abercrombie & Fitch
Abercrombie
Hollister
Ahold USA:
BI-LO
Giant
Giant Food Stores
Stop & Shop
Tops Markets
American Retail Group
Bootlegger
Eastern Mountain Sports
Apple Computer
Avado Brands
Hops
Don Pablo's
Bed, Bath & Beyond
Bertucci's Brick Oven Pizzerias
Blockbuster Entertainment
Bob's Stores
The Bombay Company
Borders Group, Inc.:
Borders Books & Music
Waldenbooks
Boscov's Department Stores
Brinker Restaurant Corp:
Chili's Grill & Bar
Corner Bakery
Cozymel's Coastal
Mexican Grill
Macaroni Grill
Maggiano's Little Italy
On The Border Cafe
Circuit City
CompUSA
CVS/pharmacy
Dave & Buster's
Designs Inc:
Levi's Outlets
Dick's Sporting Goods
FAO, Inc.
FAO Schwarz
Zany Brainy
Finish Line
Fleet Wholesale Supply:
Mills Fleet Farm
Foot Locker, Inc:
Champs Sports
Foot Locker
Kids Foot Locker
Lady Foot Locker
Footstar Corporation:
Footaction
Just For Feet
Shoe Zone
General Nutrition Center (GNC)
Genesco:
Johnston & Murphy
Journeys
G+G Retail
Goody's Family Clothing
Guess
Hancock Fabrics
Harold's Stores
Harris Teeter
Hibbett Sporting Goods
Home Hardware Stores
Hot Topic
IKEA
J. Alexander's
Jo-Ann Stores:
Jo-Ann etc Stores
Jo-Ann Fabrics and Crafts
Kenneth Cole
Lettuce Entertain You Restaurants
Luby's Restaurants
Luxottica Retail Group
Lenscrafters
Sunglass Hut/Watch Station
Mars Music
Next Estate Communications
O'Charley's
One Price Clothing
Paramount Parks
Pathmark
Petco
Phillips—Van Heusen
Piccadilly Cafeterias
Rockfish LP
Rooms To Go
S&K Famous Brand Menswear
Saks & Company:
Saks Fifth Avenue
Saks Incorporated:
Bergner's
Boston Store
Carson Pirie Scott
Herberger's
McRae's
Off 5th
Parisian
Proffitt's
Younker's
Sears, Roebuck & Co:
Orchard Supply Hardware
Sears
The Great Indoors
Sephora USA
The ServiceMaster Home Service Centers
Shell
Smithsonian Institution
Spencer Gifts
The Sports Authority
Starbucks
Tiffany & Co.
Timberland
Tower Records
Toys "R" Us:
Babies "R" Us
Kids "R" Us
Toys "R" Us
Tractor Supply
Trans World Entertainment:
Coconuts Music & Movies
FYE
Movies Plus
Planet Music
Saturday Matinee
Spec's Music
Strawberries
www.fye.com
Triton PCS
United States Postal Service
Walgreens
Walmart.com
Wet Seal Inc:
Arden B.
Contempo Casuals
Wet Seal
Zutopia
Yankee Candle Company
Z Gallerie
***********************************
Stored Value Systems
http://www.storedvalue.com/svs_overview.html
Off Their Web Site:
Stored Value Systems (SVS), a Comdata Company, offers private-label, electronic cash cards to
companies that sell products or services including but not limited to the petroleum, restaurant, retail and
supermarket industries. SVS' Cash Card solution enables our clients to establish and maintain customer
relationships with a secure and easy replacement for paper gift certificates. Merchants are also assisted
in building operational efficiencies in the processing of returned merchandise.
SVS founded in 1992, employs over 150 people at our customer support centers in Louisville, KY and El
Paso, TX.
SVS has always been at the forefront of technology. We employ Tandem® platforms for optimal reliability
and versatility. SVS was the first to offer a turnkey, chip card solution to the government sector to
automate the entire electronic benefits distribution process. SVS applied the knowledge gained from
these early endeavors to introduce the first magnetic stripe based Cash Card application that allowed
Point-of-Sale (POS) activation and the flexibility for the consumer to determine the card's value. These
innovations opened up the Cash Card concept to the mainstream retail community.
Sample List SVS Clients:
AT&T (Phone)
AMC Theatres
American Eagle Oufitters
• Bluenotes (Canada)
Applebee’s
Arco
Barnes & Noble
Bass Pro Shops
BC Moore & Sons
BP & Amoco Oil
Belk Department Stores
Big Lots
BJ’s Wholesale Club
Brookshire Grocery
Brookstone
Buffets, Inc.
• Country Buffet
• Old Country Buffet
Casual Corner
• Petite Sophisticate
• August Max Woman
Cato Corporation
• It's Fashion
Chanel
Charlotte Russe
The Children’s Place
Circuit City Stores (Phone)
CITGO Petroleum
Claire’s Stores
• Afterthoughts
• Mr. Rags
• The Icing
• Claire’s (Canada)
Conoco
Costco Wholesale
Cracker Barrel
Old Country Stores
CSK Auto Inc.
Deb Shops, Inc.
Delhaize America, Inc.
• Food Lion
• Kash n’ Karry
Food Stores
Discover Financial
Services, Inc.
ExxonMobil
Factory 2 U Stores
Family Express Oil
Fashion 21, Inc.
• Forever 21
• Forever XXI
Gadzooks
GAP (US)
• Banana Republic
• Old Navy
• GAP (Canada)
Garden Ridge
Growmark
Gulf Oil
H.E.B. Grocery Company
Hess Corporation
Hollywood Entertainment
Hy-Vee (Phone)
JCPenney
K•B Toys (US)
• K•B Toys (Canada)
K-mart
• Bluelight.com
Kroger
• Fred Meyer, Inc.
• QFC
• Fry’s
• Food 4 Less
• Cala/Bell Foods
• Dillons
• King Soopers
• Ralphs Grocery
• Smith’s Food & Drug
• Jay C
Limited Brands
• Bath & Body Works
• Express
• Lerner (New York & Co.)
Limited Too
Lids
Linens ’n Things
Loehmann’s
Logan’s Roadhouse
Lowe’s
Marcus Theatres
MCI (Phone)
Minyard Food Stores Inc.
• Carnival Food Stores
• Sack ’n Save
Movie Gallery
Music Network
OfficeMax
Office Depot
Pacific Sunwear
• d.e.m.o.
Pappas Restaurants
Payless ShoeSource (US)
• Parade of Shoes
• Payless (Canada)
PETsMART Inc.
Pep Boys
Phillips Petroleum
Pier 1 Imports (US)
• Pier 1 (Canada)
Piggly Wiggly
Pilot Travel Centers
RadioShack
Raley’s
• Nob Hill Foods
• Bel Air
Roundy’s, Inc.
• Copp’s
• Orchard’s Market
• Pick ’n Save
Safeway
• Dominicks Finer Foods
• Vons
• Randall’s Food Markets
• Carr-Gottstien Foods
• Genuardi's
• Pavillions
• Safeway (Canada)
• Tom Thumb
Schnuck Markets
Sheetz
Shoe Carnival
ShopKo Stores
• Pamida
Spartan Stores, Inc.
• Family Fare
• Prevo’s
• Ashcraft’s
• Food Town
• Glen’s Markets
• The Pharm
• Great Day
Spiegel
Sprint (Phone)
Stage Stores
• Bealls
• Palais Royal
Staples (US)
Sunoco
Target
• Marshall Field’s
• Mervyn’s
Time, Inc.
Tony Roma’s
Tosco Corporation
• Union 76
• Circle K
Tully’s Coffee
United Retail
• Avenue
Walgreens
WaWa
Weathervane
Wherehouse Entertainment
• Odyssey
• Xchange
• Wherehouse
Music Outlet
Zales
• Gordon’s Jewelers
• Bailey, Banks & Biddle
• Peoples Jewelers
• Mappins
Amarillo Mesquite Grill
Angelo and Maxie's Steakhouse
Azteca Mexican Restaurants
Bandana's Bar-B-Q
Big Boy Restaurants
Blue Ridge Grill
Blush
Bobo's Mogul Mouse
Bone's Restaurant
Buffalo Wild Wings
California Grill
Canyon Bicycles & Snowboards
Carey Hilliard's Restaurant
CellularOne
Chart House Restaurants
Corky's Ribs & BBQ
Creve Coeur Camera
Deck The Walls
Delbert's Clothing Incorporated
Dickie Brennan & Co.
Dino's
Doolittle's Air Cafe
Einstein Bros Bagels
Famous Dave's
Frankie's
Frontera Mex-Mex Grill
G&L Clothing
Golf Galaxy
Goodfella's
Gurney's Inn
Guy & Gallard
Jack's Music Shoppe
Jocks & Jills
Lombardi Sports
Macadoodles
Martin Wine Cellar
Maxx Doogan's
McGrath's Fish House
Motown Harley-Davidson
Nino's Italian Marketplace
Noah's Bagels
OK Cafe
Panda Express
Panera Bread
Paradise Bakery &
Café, Inc.
Peohe's
Prime Sirloin
Red Hot & Blue
Red Robin
Rib Crib Barbecue
Hangawi
Happy Days
Houston's Restaurants
Isaac Hayes
Isabella
Sagebrush Steakhouse
Shady Oak Barbeque
Specialty Sports Network
Spring Creek Barbeque
Sun Tan City
Surf San Juan
Taco Box
The Breakwater Inn
The Coffee Beanery
The Garden Restaurant
The Gooseberry
The Great Frame Up
The Red Parrot
Today's Touch
Massage Therapy
Village Boutique
Western Steer
Western's Smokehouse
Westport Big & Tall
Winter Park Sports Shop
************************
Datamark Technologies Master Gift Card National Accounts
Aeropostale
Brooks Brothers
J. Crew
Taste of Texas
The Breakers
Electronic Boutique
Pfaltzgraff
Steiner Leisure
Potter Brothers
Frank’s Nursery and Crafts
Georgette Klinger
R.J. Reynolds
Ruth’s Chris
ECP
Chop House
Austad’s Golf
BR Guest
Lord’s and Lady’s
Dealer Rewards
Brookwood
Thomas Hammer Coffee
Diesel
Star Nursery
Group USA
Burlington Coat Factory
3366 Enterprise Avenue, Hayward, California 94545-3228 U.S.A.
PHONE: (510) 265-6700 FAX: (510) 785-7463
WWW.FLOSTOR.COM
Prepared For:
Ms. Jody Like
National Scrip Center
1745 Copper Hill Parkway
Santa Rosa, CA 95403
Tel. (707) 569-2562
Fax (707) 577-0373
Project Description:
Scrip Order Fulfillment System
Prepared By:
Michael G. Kicherer, System Sales Engineer
(510) 265-6739 Direct (415) 672-2159 Mobile
mkicherer@flostor.com
FloStor Engineering, Inc. is pleased to present this investment proposal to National
Scrip Center for the design and implementation of your Santa Rosa, CA Scrip Order
Fulfillment System.
1.0 PROJECT SCOPE
1.1 CONCEPTUAL LAYOUT & PRELIMINARY DESIGN
a. Review of existing system and future requirements.
b. Completion of preliminary system concepts.
c. Completion of conceptual design of system layout.
1.2 VALUE ADDED DESIGN ENGINEERING CONTRACT
a. Completion of detailed functional specification of system requirements.
1.3 EQUIPMENT
a. Provide all equipment as described in proposal.
1.4 PROJECT MANAGEMENT
a. Provide project management duties: which include timeline management
and vendor coordination.
b. Provide all system documentation upon completion of installation.
1.5 MECHANICAL & ELECTRICAL INSTALLATION
a. Coordinate and perform the mechanical and electrical installation of all
equipment listed in this proposal
2.0 SYSTEM OVERVIEW
Flostor Engineering’s solution utilizes a conveyor system to automate the transport of
customer orders integrated with order picker workstations that use a combination of
pick-to-light and barcode technology to automate the flow of information.
The system will be integrated with the bundling machine and Microsoft Great Plains to
facilitate and ease the flow of information throughout the process.
1. CONVEYOR TRANSPORT SYSTEM
A. Powered Conveyor
a. Approximately 105 ft of 2-lane powered roller conveyor
b. Approximately 30 ft of 1-lane powered roller conveyor
i. Includes leg supports, drive motors, frame, roller bed, guiderail.
B. Conveyor Controls
a. Control panel with motor starters and Remote I/O DeviceNet type controls
C. Conveyor Controls Software
D. Devices
a. (10) Pneumatic Product Stops, (10) Product Brakes, (10) Fixed Stops, (8) Rodless Cylinder
Pushers, (1) 2-belt Lift & Transfer, (8) Fixed Position Barcode Scanners, (32) Photo
Eyes/Sensors
b. Plastic Totes
i. (100) Totes, approximate size 10” wide X 12” long (TBD)
2. ORDER PICKING WORKSTATIONS
A. Software Interface to Microsoft Great Plains
a. Includes PC Server
b. Exact requirements to be determined but is initially believed to be some type of flat file interface.
B. Software to Drive Workstation Terminals
a. Required information to be tracked and populated onto operator terminals has yet to be
confirmed.
C. Operator Work Tables
a. (13) standing stations, 18” deep X 60” long work surface
i. (7) Stations – Hi Volume/Low Mix
ii. (2) Stations – Low Volume/Hi Mix
iii. (3) Stations – Small Order Cells
iv. (1) Station – Pack Out Station
D. Pick-To-Light System
a. 300 Light Tags and 20 Bay Displays
i. (7) Stations with (20) PTL locations each, Hi Volume/Low Mix
ii. (2) Stations with (80) PTL locations each, Low Volume/Hi Mix
E. Hand Held Barcode Scanners
a. (13) hand held units located at each workstation
F. Shelving Units
a. (1) Floor Mounted, 24’LX7’3”HX18” Deep, 12”X12” compartments.
b. (2) Floor Mounted, 18’LX7’3”HX18” Deep, 12”X12” compartments.
c. (3) Conveyor Supported, 24’LX48”HX18” Deep, 12”X10” compartments.
G. Laser Printer/Hand Held Scanner for Pack-Out Station
a. (1) Laser Printer & (1) Hand Held Scanner
3. BUNDLING MACHINE INTEGRATION
A. Software Integration
a. Communicate with Bundling Machine
b. Create and store data table
c. Communicate with Microsoft Great Plains
B. Hand Held Barcode Scanner
C. Barcode Label Printing Machine
4. REMSTAR VERTICAL STORAGE SYSTEM
A. Shuttle VLM for Inventory Storage
a. 10’ H unit X 84” Wide X 82” Deep
b. Unit can hold approximately 3000 cubic feet of inventory.
3.0 GENERAL DESCRIPTION OF OPERATION - SYSTEM
RECEIVING AREA - BUNDLING STATION
A Bundling Machine (provided by others) will be located in the Receiving room. It will scan
individual skus and present a bundle to the operator. It is believed the machine will present
skus in bundles of 20, 10, 5 or singles. Each serial number of the individual skus are read and
recorded by the bundling machine. When a bundle is completed, the serial numbers of the skus
in that bundle are recorded and downloaded to a file that will generate a bundle identification
number and associate that bundle id to the corresponding individual sku serial numbers. A
printer will be provided to generate barcode label with the bundle id on it and an operator will
attach the barcode to the bundle. The bundle is now ready to be put into inventory.
VAULT AREA – OPERATOR WORKSTATIONS
Microsoft Great Plains downloads orders to the Working Machines Server. Empty totes are
placed on the beginning of the conveyor system. Each tote has a designated barcode or
license plate that allows the system to identify the tote. The tote will convey downstream and
come to rest against the first product stop. At this location, the tote’s barcode will be scanned
and the license plate recorded. This process will initialize the order and the tote will now be
assigned to a specific customer order as it travels though the system. The Working Machines
Server will process the order information and the system will determine the correct skus,
quantities and best route to send the tote.
The workstation will have an 18” deep X 60” worktable that will hold the customer supplied PC
and Monitor. The operator will either stand or have high chairs. They will pull of totes from the
conveyor and place them onto their workstation. The system will identify and direct which skus
to be pulled from the shelves and placed in the tote. Once the operator has completed their
pick, they will place the tote back on the conveyor system to be sent to the next workstation.
DEBIT CARD STATIONS - At this time, debit card dispensing machines are not part of the
system. Until they are available, station 1 & 2 can be designed to handle the hi-volume debit
cards that are estimated to be a large part of almost every customer order.
DECISION POINTS - There are multiple fixed scanners along the conveyor system that are
used to locate and identify the totes as they travel through the system. Each of these scanner
locations is a decision point. At each decision point, the tote will be sent in 1 of 2 directions. It
will either be sent to the station at that location or it will be sent downstream to the next decision
point.
VAULT AREA – PACK OUT STATION
Once the orders are complete, the totes will convey to the end of the conveyor system. They
will come to a rest against a fixed stop at the end of the conveyor where the Pack Out station is
located. Here, the operator will pull the tote off the conveyor, scan the tote license plate
barcode with the hand held scanner. The system will identify the order and a laser printer will
print out an order sheet that will itemize all of the information pertaining to that order. The
printout will be placed inside the tote and put onto a cart. When the cart is full, the cart will be
wheeled to the Packing Room and processed for shipping.
4.0 CONVEYOR - FUNCTIONAL DESCRIPTION OF OPERATION
Please reference the attached drawing for further details.
S1 Sensor (Allen Bradley Photoswitch
photo eye)
PB1 Pneumatic Product Brake (SMC Thruster)
PS1 Pneumatic Product Stop (SMC Thruster)
P1 Pusher 1 (Tolomatic Rodless
Cylinder)
SC1 Fixed Position Scanner
Lane 1 Left lane looking downstream
Lane 2 Right lane looking downstream
The Working Machines PC Server has received and processed the orders from Microsoft Great
Plains. A single tote will hold a single order. The Working Machines PC Server will pre-
determine which stations each tote must travel to and which skus and quantities of each that
must be picked and placed in the totes by the picking operators.
The conveyor system will have 2 lanes. Looking downstream in the direction of travel, Lane 1 is
on the left and Lane 2 is on the right. Lane 1 is the lane farthest from the pick operator and is
used as the main transport lane. Lane 2 is closest to the pick operator and is used as the pick
operator tote queue.
Empty totes will be placed into lane 1 and they will travel downstream to the first product stop
(PS1). PS1 is in a normally up position. When the sensor (S1) is blocked, it signals the system
to scan the barcode license plate on the front of the tote with the fixed position scanner (SC1).
The system has now identified the tote and associated it to a new order. The system has
processed the order information and determined the correct destination for the tote.
If the system determines that the tote must go to Station 1:
1. Product Stop (PS1) will lower and release the tote downstream.
2. When the tote blocks sensor (S2), the pusher (P1) will activate and push tote over to
lane 2.
3. P1 will retract to its home position and the tote will convey downstream now in lane 2.
4. The tote will convey until it comes to a rest against the fixed stop (FS1).
5. Sensor (S3) acts as a hi-level sensor and will not allow PS1 to release a tote if it must go
to Lane 2.
6. When the tote clears S1, the Product Stop (PS1) will raise holding back the next tote and
preparing it to be scanned by the fixed scanner (SC1).
If the system determines that the tote must go to Station 2:
1. Product stop (PS1) will lower and release the tote downstream.
2. The tote will convey downstream and come to a rest against normally up PS2.
3. The routing process at this location is identical to station 1.
5.0 WORKSTATION - FUNCTIONAL DESCRIPTION OF OPERATION
The tote is sitting at the fixed stop in lane 2 of the conveyor at the workstation. The operator
pulls off the tote from the conveyor system. Uses the hand held scanner to scan the barcode on
the tote. The system identifies the order and the required order information (TBD) will be
displayed on the customer provided monitor.
The first line item will be displayed on the terminal and the corresponding PTL light is lit on the
correct shelf along with the sku quantity that must be picked. This quantity will be done in either
singles or bundles. IF the sku are bundles, the operator will pick the correct quantity of bundles
from the shelf and scan the bundle identification barcode on each. The system will reference
the data table created by the Bundling Machine Integration Software and now the individual
serial numbers will be associated with the order.
Once the correct quantity is picked, the operator will confirm the pick by pressing the task
complete button on the PTL. If a second line item is required, the system will display the
second line it to be picked.
If there is an exception to an order, the operator must report that via a customer supplied
keyboard and the information will be recorded and delivered back to Great Plains.
If there are no more line items to be picked at this station, the system will signal to the operator
via the monitor that their task is complete. The operator will then place the tote back onto lane 1
of the conveyor, just upstream of the product stop and fixed scanner decision point to his/her
right.
Monitor Information: We can display multiple pieces of information on the workstation monitors
depending on what is available from Microsoft Great Plains.
1. Description of order – sku quantities, serial numbers, bundle numbers
2. Customer information – name, address
3. Shipping Information – date ordered, ship due date, ship method
4. Priority level – back order, rush order, standard
5. Workstation information – list sequence of all workstations in the order, confirm what
station the tote should be at, display which station the tote just came from and where it
must now go. If it is a completed order and ready for the out pack station.
6.0 INVESTMENT SUMMARY
ITEM ITEM DESCRIPTION DETAILS SYSTEM
INVESTMENT
1 Conveyor Transport
System
105 ft X 2 Lane Powered Conveyor
30 ft X 1 Lane Powered Conveyor
Devices
Conveyor Controls & Software
Totes
Sub Total: $386,560
2 Order Picking
Workstations
Software Interface to MS Great Plains
Software to Drive Workstation
Terminals
Operator Work Tables
Pick-To-Light System
Hand Held Barcode Scanners
Shelving Units
Pack-Out Station equipment
3 Bundling Machine
Integration
Software Integration with Bundling
Machine & MS Great Plains
Creation of Data Table
Hand Held Barcode Scanner
Barcode Label Printer
Sub Total: $215,550
Total System Investment $602,110
Plus Tax & Freight
Installation Mechanically & Electrically install all
Conveyor, PTL, Workstations, and
Shelves as listed in this proposal.
Installation to be completed over a
4-day period.
$34,150
Value Added Design
Engineering Contract
Completion of functional
specification for system
requirements
$15,000
OPTIONS:
1 Remstar Vertical
Storage System
Shuttle VLM for Inventory Storage
Provides approximately 3000 cubic feet
of storage space. $65,000
7.0 GENERAL NOTES
To review FloStor Engineering, Inc company information such as Financial Strength,
Insurance or License & Identification information please view FloStor’s
CREDENTIALS ONLINE or visit www.flostor.com.
SUGGESTED PROJECT SCHEDULE:
Item Action Item Due Date Deliverable
Value Added Design
Engineering Contract
NSC Issues purchase
order for design contract
May 9, 2003 Flostor develops
Design Specification
and final quote by
May 16, 2003
Final Quotation &
Design Specification
NSC review and approve May 20, 2003 Flostor and NSC
agree upon a final
specification for
system.
Scrip Order
Fulfillment System
NSC Issues purchase
order for system
May 20, 2003 Flostor receives
purchase order from
NSC.
Equipment Designed,
Built & Tested
Equipment is pre-tested
prior to shipment
June – July 2003 NSC invited to visit &
inspect equipment
prior to shipment
Equipment Delivery Equipment is shipped to
NSC
August 11, 2003
Installation Installation of all
equipment
August 15-18, 2003 Flostor installs
equipment over a
4-day span.
PAYMENT TERMS: 40 % down payment, net 30 days after ship date.
Terms are negotiable.
PRICE VALIDITY: Price good for 30
days from date on proposal
INSTALLATION: Customer must provide large enough access for equipment
to fit into vault area. Electrical power and an air supply
must also be provided by customer.
National Scrip Center
1745 Copper Hill Parkway
Santa Rosa, CA 95403
Subject: Value Added Design Engineering Contract
Attn: Jody Like
Process Engineer
Scope:
Provide Engineering and Design Services as listed below. Our intent would be to
provide National Scrip Center and Flostor Engineering with a specification to design and
build the Scrip Order Fulfillment System.
This specification will not only address the receiving and order picking operations, but
will also focus on the order packing and shipping areas which can be addressed at a
later date as part of “Phase II”.
Design Contract Deliverables:
1. On-site survey and review of existing material and information flow in the
Receiving, Order Picking, Order Packing and Shipping areas.
2. Review of existing floor plan and space limitations.
3. Validation of system design for stated future system material and information flow
requirements.
4. Prepare a Design Specification document that will detail the requirements of the
Scrip Order Fulfillment System.
Total Investment: $15,000
8.0 TERMS AND CONDITIONS
LABOR
Unless otherwise specified, all labor shall be performed on a straight time basis.
CHANGE ORDERS
No work or equipment beyond that specified in this quotation will be performed or ordered without a signed Change Order from an authorized
employee of the customer. The customer will advise FloStor of employees authorized to sign Changes Orders.
TAXES
Unless otherwise indicated, the price contains no provisions for sales, use, excise, or similar taxes. It is Purchaser’s responsibility to pay any taxes
should they be levied upon FloStor Engineering. If taxes are included as part of the price and the rate or base of the tax is increased or decreased, the
Purchaser will pay any increased taxes and FloStor Engineering will give credit for any tax decrease.
SEISMIC ENGINEERING/CALCULATIONS/PERMIT PROCUREMENT/PERMIT FEES
These fees are not included unless otherwise specified.
We have provided an allowance of $0 for seismic engineering, structural steel, and structural steel installation. However, not until seismic engineering
is complete and approved by the city can we determine final seismic conveyor/structural installation costs. Any costs incurred by FloStor Engineering,
Inc. for seismic fees or structural steel and structural installation that exceed the allowance will be supplied at our cost.
WARRANTY
The equipment is designed to operate as described in Description of Operation. The seller warrants its product to be free from defects in material and
workmanship for one year or 2,080 hours from the date installation is commissioned. For 90 days, based on a single shift operation, all parts and labor
are covered. For the remainder, Seller’s liability under the Warranty shall be limited to repair or replacement F.O.B. Seller’s point of shipment. Unless
caused by FloStor Engineering, equipment damaged by misuse, neglect, or accident shall be not subject to the Warranty set forth above. This
Warranty also does not apply to parts which, through lack of preventive maintenance, require replacement during the warranty period. There are no
warranties extending beyond those set forth in this Specification. In no event shall FloStor Engineering be liable for loss of profits, and incidental or
consequential damages.
INSTALLATION COMMISSIONING
The completion of installation of equipment can be defined as: non powered equipment is installed and in place. Powered equipment shall be
mechanically installed and operational. Acceptance shall be defined as the final adjustments and run-in to meet the operational description.
OCCUPATIONAL SAFETY AND HEALTH ACT (OSHA)
FloStor Engineering complies with OSHA standards in effect on the date of this Agreement as such standard supply to its equipment as interpreted by
FloStor Engineering. Environmental considerations of the total installation such as acoustics, product being handled, and other equipment will be the
responsibility of the Purchaser.
CANCELLATION
Buyer shall pay all engineering, labor and material costs used or committed by Seller plus 10% of the full purchase price. In no event, shall the full
amount exceed the purchase price.
SHIPPING
Unless otherwise, noted, all equipment is sold F.O.B. factory. Freight billings will be based on actual freight invoices.
PURCHASER’S RESPONSIBILITIES:
1. The Purchaser shall appoint a Project Manager for the duration of the project. The Purchaser’s Project Manager must be accessible to the Seller’s
Project Manager and will have authority to authorize any changes or additions to the project. Prepare the work site to permit installation and
operation of the equipment. Purchaser’s responsibility includes structural strength of and any alteration to building as well as the removal of
obstructions.
2. Provide access roads, dock areas suitable for receiving and unloading the equipment, a forklift for the handling of the equipment for FloStor
Engineering’s use at the installation site.
3. Maintain the work site in a watertight condition and free of debris or obstructions other than those caused by FloStor Engineering.
4. Provide a clear path for the ingress to and egress from the installation site for FloStor Engineering’s equipment and personnel.
5. Prior to commencing installation of the equipment, obtain all necessary federal, state, and local government licenses or permits.
6. Accept responsibility for all excavations, drainage, piling, foundations, masonry and concrete work, concrete lining, steel, and other building
materials necessary to the installation of the equipment.
7. Provide secure, dry, convenient storage for FloStor Engineering’s equipment, tools, materials used on the site. Adequate working space will also
be provided by Purchaser for FloStor Engineering’s installation crew.
8. Provide suitable electric current, lighting, compressed air, water, and heat as may be required for installation test and operation of the equipment.
9. Except as provided for in the attached quotation, install all electrical wiring and conduit, air piping, controls, equipment and devices (whether
furnished by FloStor Engineering or Purchaser) required for operation of the equipment.
GA-VEHREN ENGINEERING CO.
11945 Borman Drive * St. Louis, Mo. 63146
Telephone: (314) 576-2007 * Fax: (314) 576-5801
e-mail sales@gavehren.com web site: www.gavehren.com
Prepared for:
Jody Like
National Scrip Center
1745 Copperhill Parkway
Santa Rosa, CA 95403
Quotation No. 053103-5
September 7, 2013
Page 1of 12
Ga-Vehren Gift Card Fulfillment System
Overview
The Ga-Vehren Gift Card Fulfillment System is made for automatically “picking” CR80 cards
from a series of input trays and reading and recording information off cards as they are fed into
an exit bin. Information on the CR80 card can be in the form of a magnetic stripe and/or a
barcode. Up to ten varieties of cards can be loaded into one system and multiple systems can be
linked.
How the Veri-Trac for Fulfillment Operates
Sleeves of cards to be picked are put into input trays and order information is loaded in the
system database. When a person filling an order comes to one of the fulfillment systems, he or
she enters the order number (or wands a bar code containing the order number) and presses the
“Start” button. The appropriate number of each card is fed into a track, through a magnetic
stripe reader and past a bar code reader before being dispensed into an output tray. See attached
drawing.
Product Description
The Ga-Vehren Gift Card Fulfillment system comes on a stand-alone base with a cabinet to hold
the PC and peripherals.
The Feeder will be equipped to read the mag stripe on the back of the card. The mag stripe
reader will read Trac 1 or Trac 2. Mag Stripe reader for Trac 3 available at additional cost.
The Veri-Trac Feeder will also be equipped to read a barcode on either side of the card.
 The barcode reader will read the pre-printed barcode on the back or face of the card.
 Barcode must be at least 1/8” from the edge of the card.
 The lines or elements of the preprinted barcode are perpendicular to the direction of travel –
the beam scans in the direction of travel.
 Data is transmitted over a supplied RS232 serial cable.
September 7, 2013
Page 2
 The Barcode types can be: Code 39, Code 128, UPC, Interleaved 2 of 5, Code 93
Card Data will be reported as as an .mdb (ACCESS) file at the completion on the job
The Ga-Vehren Gift Card Fulfillment System will cycle at up to 10,000 cards per hour. Expected
throughput (throughput based upon the quality of the cards, encoding and other factors outside the
control of Ga-Vehren) is expected to be 6-8000 cards per hour.
National Scrip Receiving Pac-Trac® Verification System:The following proposal details the
proposal for National Scrip Card Fulfillment Verification System. This unique Pac-Trac®
solution will feature many customized software tools specifically for the Card Order Placement
machine being designed by Ga-Vehren Engineering.
PSi has been asked to provide a order fulfillment verification inspection system for logging
magnetic stripe information on prepaid plastic gift cards. The data will be random in nature and
will be read as the cards are fed through a Ga-Vehren receiving machine. Our function will be to
log the information and determine the presence of duplicate, missing and out of sequence
cards or poorly encoded cards.
National Scrip Pac-Trac® Hardware / Main Software Solution:
September 7, 2013
Page 3
Your system will be mounted to your supplied card feeding base. National Scrip will link
directly with our PC Controller via the supplied Ethernet connection. Their order entry database
will be used to drive the machine fulfillment order setup and data logging aspect. (The specific
details of the “link” are currently being evaluated. National Scrip is in the midst of
implementing a new order entry & inventory software package …Great Plains, and as such can
not tell us at this time how this data will look).
Our function will be to accept the read data from a barcode reader or keyboard entry (Order
number from the operator). The Pac-Trac® software will then search the fixed file location
(either resident on our supplied PC or a mapped Server drive) for the order number database file.
This file will contact a fixed data location that we can address (thru ODBC?) the specific issue of
how many cards from each of 10 bins are to be pulled to fulfill the order process. Once found:
• We will “Transfer” those numbers per order bin to the Ga-Vehren control
system for proper feeding
• We will then begin collecting the magnetic stripe information from the single
reader on the output of the machine. This data will then be written into the
order database (amend your supplied file or create one of our own). Once total
request tally equals the total read tally, we will instruct the Ga-Vehren to begin
feeding cards from the second bin.
• A signal will be issued to proceed with the feeding of the next bin.
• We will complete the data collection & tally counts until the order is complete.
• If a misread occurs, we will log the misread in the database, issue a divert signal
and request a replacement card from the same bin. This process will be
continued until the bin tally equals the order request.
• Diverted cards can be rescanned manually with the supplied magnetic stripe
reader located on the keyboard.
Job set up will be similar for all orders on this packaging machine. The order fulfillment
databases will need to be named by the MIS Department. Locations of the card types must
remain fixed on the fulfillment machine (Starbucks cards in Bin 1, Borders in Bin 2, Home
Depot Bin 3, etc). In necessary, completed job reports will be generated in SQL type format for
easy integration into the Great Plain package. The long-term goal is the ability to create an
“activation” database for National Scrip to send to their card issuers.
September 7, 2013
Page 4
Other Features:
Operating System, Remote Access,
All PSi solutions feature the latest in software technology. All systems operate on the Windows
XP Professional Operating System. This feature blends our technology seamlessly into your
existing network infrastructures.
XP Professional also allows us to view your system externally via a password protected internet
connection that only you can initiate. This is a mutual benefit for you and PSi. With Remote
Assistance we can view and control your system externally and almost immediately. This means
faster responses to your needs, more immediate uptime, and
September 7, 2013
Page 5
we can also train your employees over the phone! At PSi we use technology to make all our
lives more productive!
National Scrip Pac-Trac® Data Integration Solution:
The data integration is main key to the project. At this time National Scrip is implementing the
latest version of Microsoft Great Plain Accounting Software. It is unfortunately impossible to
determine the final format we will need to implement at this point in time. We do know that the
client wished to use SQL compliant data streams. The exact communication protocol and layout
are unavailable to us at this point in time. We reserve the right to alter this proposal (software
surcharge) if the planned integration becomes significantly more difficult than we mutually
understand our present responsibilities. A suggested data layout is provided below. This is a
mere example of the text layout. Actual final data layouts will be determined through a series of
conversations with the client in the next few weeks.
September 7, 2013
Page 5
Machine # Order Number Operator Name Time of Receipt
Packing Line 1 A1234567 Joe /Jane Smith June 1st 10:30am PST
Card 1 Card 2 Card 3 Card 4 Card 5
1234567890000001 2123456789000001 3123456789000002 4123456789000002
1234567890000002 2123456789000002 3123456789000003 4123456789000003
1234567890000003 2123456789000003 3123456789000004 4123456789000004
1234567890000004 2123456789000004 3123456789000005 4123456789000005
1234567890000005 2123456789000005 3123456789000006 4123456789000006
1234567890000006 2123456789000006 3123456789000007 4123456789000007
1234567890000007 2123456789000007 3123456789000008
1234567890000008 2123456789000008 3123456789000009
1234567890000009 2123456789000009 3123456789000010
1234567890000010 2123456789000010
1234567890000011 2123456789000003
1234567890000012 2123456789000003
1234567890000013 2123456789000011
1234567890000014 2123456789000012
1234567890000015 2123456789000013
1234567890000016 2123456789000014
1234567890000017 2123456789000015
1234567890000018 2123456789000016
1234567890000019
1234567890000020
1234567890000021
1234567890000022
1234567890000023
1234567890000024
1234567890000025
1234567890000026
1234567890000027
1234567890000028
1234567890000029
1234567890000030
1234567890000031
1234567890000032
1234567890000033
1234567890000034
1234567890000035
1234567890000036
1234567890000037
1234567890000038
1234567890000039
1234567890000040
1234567890000041
1234567890000042
1234567890000043
September 7, 2013
Page 6
Qty Description
1
2
National Scrip Pac-Trac® Card Inspection Station including:
• Multi-Port RS-232 Collection Hardware
• Veri-Trac® Version 1.05 (or higher) software
• Flex-Link Interface Module
• Intel® Pentium IV 2.0Ghz or Higher Processor
• Microsoft XP Professional
• 256Mb DDR DRAM
• Built in CD-RW Drive
• Ethernet Card
• 15” ULTRA Scan TFT Monitor with Mounting Arm, Keyboard
Tray and Industrial Keyboard with Touchpad and Magnetic Stripe
Reader.
• Custom Software for SQL Data exportation to Great Plains
Inventory and Accounting (20 Hours Development included)
• Batch Processing Tools and signals
• Barcode Reader for Order Entry
One time Charge Custom Software & Documentation Development
Including:
• New Manuals for the Pac-Trac (Rand Marketing)
• SQL Job Entry and Call-up Feature
• SQL Report Export Feature (Compatible with Great Plain Software
Format)
• Total Tally Counting and I/O control for Feeder Mechanism
• Batch Separation Highlight Card Feeding
Systems are designed to operate on 110Volts.
September 7, 2013
Page 7
Total: $213,850.00 FOB St. Louis
Each Additional System purchased within six months after receipt of first system:
$188,700.00
Accepted for:
Ga-Vehren Engineering National Scrip Center
by: by:
_______________________________________________
Title: Title:
_______________________________________________
SPECIFICATIONS FOR Veri-Trac Feeder:
Flat or embossed CR80 cards, lengthwise orientation only. (0.015" to 0.030")
Magnetic Stripe encoding must meet acceptable ISO standards
Barcodes must be acceptable ANSI Grades A, B or C
Power
110 v.
Compressed Air
80 psi, 5 to 7 cfm
Pricing
All prices are F.O.B. St. Louis, MO
Terms:
Fifty (50%) percent deposit due with order;
Forty (40%) percent upon customer acceptance at Ga-Vehren and prior to shipment;
Ten (10%) net, 30 days from date of shipment
Sufficient stock for testing and acceptance test at Ga-Vehren required (500 encoded cards)
For export sales, all payments must be made by wire transfer or irrevocable Letter of Credit
drawn on a U.S. bank payable in our favor against shipping documents.
FOB price reflects crating for N.A. Continent shipments only. Additional crating requirements
(and charges) may apply depending upon destination.
All taxes and fees (duties, customs, sales, use, etc.) are the responsibility of the customer.
Liability for Sales/Use Taxes applicable is to be assumed by purchaser.
September 7, 2013
Page 8
Shipping/Freight:
Based upon current backlog, we estimate shipment can be made approximately 10-12 weeks
following receipt of order and deposit. Shipment schedule will be confirmed upon receipt of
order and deposit.
Machine is shipped FOB St. Louis (the customer is responsible for freight and insurance from
Ga-Vehren's dock). Shipment is made "freight collect", exclusive use of truck. For shipments
outside the continental United States, an additional $250 per crate will be added to the final
invoice to cover the extra crating expense.
Installation and Training:
Customer is responsible for power and air supplies (installation and connection of). On-site
training will require two (2) Ga-Vehren Technicians. One (1) day training is included in the
contract price and based upon eight (8) hour work days. Customer will be billed for each
additional hour at a rate of $120.00/hour.
Transportation (airfare, rental car, fuel, etc) and lodging expenses for both men will be invoiced
to the customer at Ga-Vehren's cost. Travel time for the Service Technicians will be billed for
the actual time, portal to portal, at a rate of $35.00/hour on Monday through Saturday and
$50/hour on Sundays and holidays. Additional travel time due to delays caused by weather,
mechanical or schedule changes are the responsibility of the customer. There is a $40 per diem,
per Technician, for meals and incidentals.
Field Service/Technical Support:
Additional field service is available at a rate of $640 per eight hour day, plus travel and lodging
expenses as noted above.
Important (see Standard Terms and Conditions, which are considered to be incorporated
into this proposal):
Parts - Warranty - Service
Parts and service will be available from our St. Louis, Missouri, U.S.A. factory. You may,
however, find local sources for some commercially available items.
Warranty is extended on parts only. Ordinarily, replacement parts would be sent to you for
installation by your personnel. The motor and controller are covered under the manufacturer's
warranty (not by Ga-Vehren). Warranty parts are invoiced upon shipment, with credit issued
upon receipt of original part.
Provided that proper care and maintenance has been performed on your equipment, warranty on
parts manufactured by Ga-Vehren is one (1) year.
Ga-Vehren Engineering extends the manufacturer's warranty to the end user on all purchased
components. For specific information on this warranty, please refer to item 9 on the Terms and
Conditions (attached).
September 7, 2013
Page 9
Ga-Vehren Engineering retains all rights ................
Ga-Vehren Engineering reserves to itself copyrights and other intellectual property rights
on all quotations, drawings, manuals, instructions or any other information or data
provided to Buyer. Such items shall remain the property of Ga-Vehren Engineering and
shall not be disclosed to any other third party without Ga-Vehren Engineering's prior
written permission. If requested, Buyer shall return all items to Ga-Vehren Engineering
and certify, in writing, that all copies thereof have been destroyed.
Validity:
This quotation is valid for a period of sixty (60) days from this date, and may not be
extended without the express written consent of an authorized representative of Ga-
Vehren Engineering.
Ga-Vehren Engineering Co.
Jeff Peters
President
TERMS AND CONDITIONS
1. ACCEPTANCE: For the purposes of this agreement/order. Acceptance shall be by Buyer
signing / returning a copy of Ga-Vehren’s Quotation/Purchase Agreement, and by Ga-Vehren
signing and returning same as a fully executed copy to Buyer. All sales by Ga-Vehren
Engineering are made under the Terms and Conditions, as set forth herein. Provisions of any
purchase order submitted by the Buyer shall be of no force and effect, regardless of any provisions
to the contrary in any such purchase order. Ga-Vehren Engineering's failure to take exception to
the terms and conditions embodied in any purchase order submitted by the Buyer shall not be
construed as a waiver of the above provisions.
2. CANCELLATION: After acceptance by Buyer as specified in Paragraph 1 herein, cancellation
can only be made with Ga-Vehren Engineering's written consent and upon payment of charges for
all work accomplished and expenditures made by Ga-Vehren Engineering, including prospective
profits.
3. PRICES: Prices quoted for machines assembled in St. Louis are FOB St. Louis, Missouri. Prices
do not include rigging or installation of any machinery sold hereunder. All quoted prices are firm
only for the delivery specified in the quotation. All prices and terms of sale are subject to
correction for error. See separate Machine Contract for additional price and installation
provisions, if any.
4. PAYMENT TERMS, SET OFF PROHIBITED: Nothing contained herein shall be construed
as authorizing the Buyer to delay or withhold any payment or payments beyond the due date for
any goods or machinery sold under the provisions of Buyer's order. It is expressly understood
that all claims on the part of the Buyer are separate and shall have no bearing on the obligation of
the Buyer to make payments for the goods or machinery sold under the provisions of these Terms
and Conditions. If Buyer shall fail to make any payment to Ga-Vehren Engineering within the
time provided, a service charge shall accrue from the due date at the rate of one and one-half (1-
1/2) percent per month until full payment has been made. In addition to the accrual of such
service charge, Buyer shall be liable for all other loss, damage or expenses directly suffered or
incurred by Ga-Vehren Engineering as a result of Buyer's failure to make timely payment,
© 2003 National Scrip Center, Inc. - All rights reserved. 43
including, but not limited to, reasonable attorney's fees incurred in connection with the collection
of said payments.
5. TITLE: Title to machinery is transferred from Ga-Vehren Engineering to Buyer only after full
payment is made. It will be Buyer's responsibility to maintain insurance in the amount of the
purchase price of the machinery continuously from the time the machine shipment leaves Ga-
Vehren’s dock until title is transferred to Buyer.
6. SHIPMENT DATES: All shipping dates are approximate. Ga-Vehren Engineering will use its
best efforts to maintain shipping schedules; however, under no circumstances shall Ga-Vehren
Engineering be liable for any damages, consequential or otherwise, due to any delay in shipment
or delivery. The responsibility of Ga-Vehren Engineering for proper delivery ceases upon
delivery of the goods to the carrier. Any storage costs incurred by Ga-Vehren Engineering for the
storage of goods or machinery delayed in shipment at the request of the Buyer shall be paid
promptly by the Buyer when invoiced by Ga-Vehren Engineering. In all cases, Buyer shall bear
the risk of loss or damage to the machinery from the FOB point, and the Buyer shall be
responsible for the filing of all claims with the carrier. All such goods and machinery shall be
shipped freight collect, from FOB point.
7. INSTALLATION AND START UP OF MACHINERY: Buyer shall furnish all materials
required to erect, start, test and adjust any machinery sold hereunder. It is recommended that Ga-
Vehren Engineering or its authorized representative supervise the installation and start up of any
such machinery. If the Buyer shall request Ga-Vehren Engineering to supervise the installation
and start up of the machinery, then the Buyer shall pay promptly for such services at the then
prevailing rates when invoiced, unless included in any separate Machine Contract and subject to
the then prevailing rules and conditions as to working conditions and overtime regulations. In the
event that the Buyer installs and starts up the machine, all responsibility for all proper installation
procedures in accordance with all applicable local building and electrical codes and regulations
shall rest upon the Buyer, and Ga-Vehren Engineering may, at its own discretion, rescind, revoke
or modify any and all warranties provided by Ga-Vehren Engineering for the machinery so
installed by the Buyer without Ga-Vehren Engineering's supervision or approval.
8. SUPPLIES FOR TESTING: In the event that the Buyer specifies testing or trial operation of
any machinery sold hereunder at the place of manufacture prior to shipment requiring the use of
paper or other supplies, such paper or supplies shall be furnished at the expense of Buyer, FOB
place of machine manufacture.
9. LIMITED WARRANTY AND LIABILITY: Ga-Vehren Engineering warrants, that the
machinery sold under the provisions hereof when delivered to the FOB point, as specified herein,
shall be free from defects in material and workmanship for a period of: One year PROVIDED,
HOWEVER, that Ga-Vehren Engineering must be notified, in writing, of any alleged defect
within ten (10) business days from the discovery thereof. Ga-Vehren Engineering shall have no
responsibility or liability for any defect, latent or otherwise, discovered after the expiration of the
warranty period provided above. If the Buyer has not completely fulfilled all obligations to Ga-
Vehren Engineering in accordance with the term hereof and the terms of any separate Machine
Contract incorporating the terms hereof, including the payment, in full, of the purchase price of
the machinery sold thereunder, then Ga-Vehren Engineering shall not be bound to perform in any
manner whatsoever under this Warranty. With respect to machinery sold hereunder, this
Warranty does not cover or extend to normal wear and tear, nor to damage due to neglect, misuse
or abuse, over-speeding, unsuitable or improper maintenance or methods of operation, defects in
storage facilities, buildings, housing or installation of the machine by Buyer, unsuitable ground, or
chemical, electrochemical or electrical influences, nor to any other defect or treatment not due to
the fault of Ga-Vehren Engineering. Further, the warranty provided herein does not extend to any
repair or alteration of the machine performed by Buyer or any other third party at Buyer's request
unless Ga-Vehren Engineering shall have previously approved of such repair or alteration in
© 2003 National Scrip Center, Inc. - All rights reserved. 44
writing. This Warranty shall not extend to or cover parts or sub components not manufactured by
Ga-Vehren Engineering; provided however, assembler, manufacturer or distributor of such part or
sub component to the extent provided by such seller, assembler, manufacturer or distributor of
such part or sub component for the benefit of Buyer. Motor/drive is warranted separately by its
manufacturer. Credit for warranty replacement parts will be issued only upon receipt of the
defective parts by Ga-Vehren Engineering at its home office at 11945 Borman Drive, St. Louis,
Missouri 63146 USA. Such defective part or parts must be received by Ga-Vehren Engineering
within thirty (30) days of replacement shipping by Ga-Vehren Engineering. All defective parts
sent to Ga-Vehren Engineering must be shipped freight pre-paid, at the Buyer's risk and expense,
and all replacement parts sent from Ga-Vehren Engineering shall be sent freight prepaid ground
freight to the Buyer. Installation of warranty parts is the Buyer's responsibility. This warranty
does not apply to field labor charges for parts removal and replacement, service, adjustments,
repairs or other work.
NO OTHER WARRANTY, EXPRESSED OR IMPLIED, WHETHER OR NOT SIMILAR IN
NATURE TO ANY OTHERS PROVIDED HEREIN, SHALL EXIST WITH RESPECT TO THE
EQUIPMENT SOLD UNDER THE PROVISIONS OF THESE TERMS AND CONDITIONS.
ALL OTHER SUCH WARRANTIES ARE HEREBY EXPRESSLY WAIVED BY THE
BUYER. IN NO EVENT SHALL GA-VEHREN ENGINEERING BE LIABLE OR
RESPONSIBLE IN ANY WAY WHATSOEVER FOR ANY CONSEQUENTIAL DAMAGES
INCURRED BY BUYER. This is the sole warranty of Ga-Vehren Engineering and no other
affirmations or promises made by Ga-Vehren Engineering shall be deemed to create an express or
implied warranty to such equipment. Ga-Vehren Engineering has not authorized anyone to make
any representations or warranties other than the warranty contained herein.
10. ACCESS TO MACHINERY: For delivery, installation, repair, adjustment and replacement
purposes and for other purposes pursuant to these Terms and Conditions, Ga-Vehren Engineering
shall have free access to the Equipment at such times as are mutually acceptable to Buyer and Ga-
Vehren Engineering and Buyer shall provide adequate working space for use by Ga-Vehren
Engineering's representatives.
11. COPYRIGHT, CONFIDENTIALITY: Ga-Vehren Engineering reserves to itself copyrights
and other intellectual property rights on all quotations, drawings, manuals, instructions or any
other information or data provided to Buyer. Such items shall remain the property of Ga-Vehren
Engineering and shall not be disclosed to any other third party without Ga-Vehren Engineering's
prior written permission. If requested, Buyer shall return all items to Ga-Vehren Engineering and
certify, in writing, that all copies thereof have been destroyed.
12. PATENT RIGHTS: The acquisition of Ga-Vehren Engineering machinery, which includes
equipment installed at the request of the Buyer, may provide the Buyer with the capacity to
manufacture a variety of products. Therefore, Ga-Vehren Engineering cannot guarantee that there
will not be valid patents or patent applications owned by third parties and relating to the use of the
machine, and the products manufactured by the machine and does not accept responsibility for
infringement of third party patent rights.
Accordingly, BUYER agrees that Ga-Vehren Engineering Company, its successors and assigns,
will be indemnified and held harmless by the BUYER against any and all claims, demands and
suits, by any third party by way of patent infringement or the like, including all damages, expenses
and attorney's fees, resulting from any or use of the machine and products manufactured by the
machine, said damages, expenses and attorney's fees for any reason including those resulting from
the manufacturing of products produced by the machine.
13. CHANGES IN DESIGN: As Ga-Vehren Engineering continues to make changes in design,
additions to or improvements in its products, Ga-Vehren will notify its customers to provide an
opportunityfor them to purchase the desired assembly at the then existing rates for such
modifications.
© 2003 National Scrip Center, Inc. - All rights reserved. 45
14. SAFETY COMPLIANCE LIABILITY (OSHA): Ga-Vehren Engineering agrees to cooperate
with Buyer in finding feasible solutions to possible compliance problems with OSHA or any like
national, state or local laws. However, because Ga-Vehren Engineering has little control over
many factors which may significantly affect the safety of the machinery, Ga-Vehren Engineering
does not warrant the machinery to be in compliance with all such laws. Buyer will be solely
responsible for compliance, including any associated expenses.
15. ENTIRE AGREEMENT, CHANGES IN TERMS: These Terms and Conditions shall become
effective upon the written acceptance of Ga-Vehren Engineering by its duly authorized
representative. It is expressly understood and agreed by the Buyer and Ga-Vehren Engineering
that this document (together with Buyer's purchase order, if any, or any separate Machine Contract
to which these Terms and Conditions may be attached) constitutes the full understanding of the
parties, a complete allocation of the risks between them, and the final and entire agreement
between them. Any other terms and conditions, whether contained in any purchase order, invoice,
acknowledgment or any other document, which may vary from any term or condition contained
herein shall not be made except with the written consent of both Ga-Vehren Engineering and
Buyer, nor may such agreement be assigned by either party hereto without the written consent of
the other party.
16. SEVERABILITY: The provisions of these Terms and Conditions are severable and, once
accepted, if any provision herein shall be held unenforceable or invalid, such invalidity shall not
affect any other provision contained herein.
17. NOTICE: For the purpose of any notice required to be given to Ga-Vehren Engineering, such
notice should be sent to Ga-Vehren Engineering, 11945 Borman Drive, St. Louis, Missouri 63146
USA.
18. WAIVER: Ga-Vehren Engineering's failure to insist on performance on any of these Terms and
Conditions herein or to exercise any right or privilege or waiver or any breach hereunder shall not
thereafter waive any other terms, conditions, or privileges, whether of the same or similar type.
19. STANDARDS: All weights and dimensions given in the Quotation/Purchase Agreement as close
to actual as practicable but are not guaranteed, nor are they intended to be a part of the warranty
provided herein. No claims will be allowed due to any discrepancy between actual weights and
dimensions and those listed herein.
20. DAMAGES, LIMITATIONS: In the event of any breach of the terms hereof, including
warranty provisions herein, Buyer's exclusive remedy shall be for actual damages, or, at Ga-
Vehren Engineering's sole option, replacement of goods or machinery sold hereunder. Ga-Vehren
Engineering's total liability for any and all losses arising from any cause whatsoever shall in no
event exceed the price allocable to the machinery, goods or services or unit thereof which gives
rise to the claim. In no event shall Ga-Vehren Engineering be liable for incidental, consequential
or punitive damages, or anticipated profits resulting from any such cause, and recovery for such
damages is hereby expressly disclaimed and excluded.
21. CHOICE OF LAW, FORUM AND VENUE: These Terms and Conditions shall be governed
and construed according to the laws of the State of Missouri. Any legal action arising from these
Terms and Conditions shall be brought in the Circuit Court for the County of St. Louis, Missouri,
and Buyer hereby consents and submits to jurisdiction and venue in said court.
22. USAGE RIGHTS
This Ga-Vehren Software System remains property of said company until full payment is received
and cleared. Our software does feature a user registration process. Systems are delivered with
temporary rights of registration that can and will expire if payment terms are not met. Your ability
© 2003 National Scrip Center, Inc. - All rights reserved. 46
to quality inspect your products will be affected by this procedure, please make sure you inform
your accounting department of your machine acceptance. Once Final Payment is received you
will be given a permanent registration code that releases the equipment to you.
© 2003 National Scrip Center, Inc. - All rights reserved. 47

Project Achangle - One Stored-Value Platform Many Brands

  • 1.
    Project Archangel Complete Re-EngineeringOf Fulfillment Process & Gift Card Management New Scrip Fulfillment Process & Design Document
  • 2.
    Fulfillment Re-engineering Background The NationalScrip Center (NSC) is the leading wholesale provider of gift certificates and gift cards to nonprofit organizations across the United States. NSC purchases gift certificates in bulk in order to receive a discount off the face value and resells them at a slight mark-up to nonprofit organizations—which use them as a fundraising tool. Currently, NSC annually resells over $350,000,000 in gift certificates from over 300 different merchants to over 8,000 nonprofit organizations. The process of how the certificates are ordered, inventoried, processed and fulfilled were basically created and developed in 1989 to 1990 time frame. These processes were developed to support a much smaller business. It is as if NSC is trying to cram 200 pounds of flour into an 80- pound bag. The core of the traditional scrip business is the gift certificates and gift cards. These “hard alternative currencies” requires the physical management and inventory of these currencies. NSC has operated with poor systems, manual process controls and at the mercy of the merchants we support. As NSC is growing these issues are growing in pain and slowing our ability to support the increased demand. Mission NSC has decided to re-engineer the entire way we take orders, process orders, manage inventories, etc. It is the goal of NSC to simplify all these areas and make radical changes from the world today. This includes how we take inventories in, process them, the set up and management of the vault, etc. This new approach will provide several key benefits to NSC: 1. Reduce the number and complexity of the steps involved in handling scrip and orders 2. Reduce cash investment in “live” certificate & gift card inventories and allow NSC more financial freedom 3. Automate as much of the data gathering and tracking as possible 4. Reduce backorder issues through JIT inventory 5. Improve turn time on inventories and orders 6. Increase the volume handled without dramatically increasing the number of people to process 7. Improve the data and invoicing of both merchants and charities 8. Allow NSC to have the necessary inventories when & how we need it, supporting growth 9. Carry the widest selection of merchant gift cards and certificates in the industry 10. Improve the overall customer experience The over all mission is to allow NSC to become the most efficient, speedy and accurate provider of the widest selection of gift cards and certificates in the world. NSC competitive advantage in the future will be a solid forecasting and business model supported by a simple, expandable, yet strong fulfillment process.
  • 3.
    Goals In re-engineering thescrip fulfillment center, NSC is focused on accomplishing the following goals: 1. Break with the old ways, and build a new vision of how to do it 2. Improve the volume and turn around time of the scrip inventories and orders 3. Where possible eliminate steps 4. Where possible combine steps 5. Automate as much as possible, especially in the area of getting certificate serial numbers and gift card data 6. Spend more effort in breaking down the received inventories and properly loading the necessary tracking and general data – removing this burden from the fulfillment floor 7. Change the vault and removing the bottleneck it creates 8. Bundling the inventories for easy pulling 9. Stream line the entire order entry, order fulfillment and tracking process 10. Allow the customers to track their orders via the web 11. Allow customer service to easily track order status 12. Stream line inventory management and forecasting 13. Build a solid planning and inventory model and forecasting 14. Have 90% of gift cards on hand deactivated 15. Where possible on paper certificates move to either an NSC certificate, or to better merchant terms 16. Rely less on people skills in the process and more on systems, data and technology Project Overview The areas that will be worked on, and at all cost re-worked, are:  Merchant Partnerships: Starting with bring on of new merchants and reviewing existing ones, to look over the terms of the relationships and where possible getting the deal correct at the start.  Scrip Manufacturers & Processors: Next moving to the points of origin for the scrip inventories and better understanding the who, what’s and how we can work with the players in charge of the manufacturing of the paper and card currencies.  Customer Expectations & Order Processing: Next moving from the current expectations established in the minds of the charities (established when NSC was a much smaller business) to the order processing stage – making it simpler, easier and more customer friendly.  Inventory Receiving: Do more at the time of receiving and breakdown of the inventories, allowing for the data capturing and inputting the data into inventory at the point of receiving – not at the point of fulfilling as it is down now.  Vault & Fulfillment Floor: It is important to reduce steps and basically collapse these functions to as simple and fast a process as possible. We need to eliminate bottlenecks, time eaters and steps.  Shipping: Here too, we need to simplify and speed up getting the items out the door.  The Building: While today we are constrained within the current building – as we grow we need to think long term and look at options beyond the building we live in today for scrip fulfillment services. Even with today’s building do not be constrained by what we have and how we have it set up, instead let’s look at in a way where we say “what do we need, how can we change it” – and make it happen.  The New System: We need to integrate the best thinking and logic on the new system and implement this with all speed.  Deactivated Cards & Paper Certificates: We need to aggressively work on the entire list of merchants we have and move to a deactivated strategy on all gift
  • 4.
    cards (allowing NSCto activate 24 hours after shipped) and get merchants to allow NSC to have paper certificates on hand with out paying until shipped as well. Also an off shoot of this area, is the need to begin developing industry standards on the gift cards and certificates. Mind-Set Requirements: It is important as we move forward with this very important project we need to remember that: A. Nothing is sacred or taboo from looking at, asking questions about and/or changing. B. No assumptions – we need to drill down and look at everything and ask why, and go a bit deeper to determine if what we are thinking is true or not. C. Just because we have always done it or offered it doesn’t mean we need to keep doing it. D. We need to look at everything and weigh why we do something vs. the benefit to the customer or NSC and the cost vs. risk. To do something that lowers risk or helps the customer on the surface, but in the end slows us down and adds unseen costs is not good for NSC nor the customer. E. Title doesn’t matter, position doesn’t matter, concerns do not matter, history really doesn’t matter – results today do! Timing Expectations: By May 30th a completed plan of attack on the changes and actions. Implementing as many things as possible between June 1, 2003 and August 15, 2003. Giving NSC time before back-to- school to make sure what we have done works. If we can complete it sooner, great. Also we should be working on implementing areas and points in stages, and as they come on-line and functioning. Time Action Items 1 month or less Completing Plan & Mapping out owners and action, including cost ranges, etc. 1 month and on going Begin implementing changes, along with setting up suppliers and equipment vendors. 3 months Implementing 3 – 4 months Target Launch Time Frame (Late July/ Early August Latest) 6+ months Continual process improvement
  • 5.
    Why Are WeDoing This? Benefits Supporter  Improved selection  Improved speed of receiving orders  Increased options in shipping & buying (i.e. direct)  Reduced or eliminated back orders  Improved earnings possibilities for supported organizations Charity  Eliminates back order issues  Reduces handling time for coordinators  Reduce turn time on orders  Improved accuracy on orders  Increased selection of merchants  Reduces inventory management requirements/space  Improved fundraising ability and dollars Participating Merchant  Increased volume sold  Quality, secured handling & fulfillment of their gift cards and certificates  Incremental earnings potential  Improved inventory costs and handling  Long term growth potential  Improved sales & marketing opportunities NSC  Improved customer satisfaction  Reduced cost of handling and errors  Improved through put and volume  Improved profit and revenue for NSC  Dramatically changes how we handle inventory and impacts cash flow in a positive way  Less people can do more  Improved data and understanding on the drivers of the business  Leadership role within the entire gift certificate and gift card industry  Competitive advantage over all other scrip companies Competitive Insight All the scrip companies in the industry today handle scrip in the same way as NSC does. The Rubbermaid boxes might be smaller, or the vault lay out differently – but in the end the handling and processing are very similar. We are aware that Scrip Advantage is also looking at a new financial system – seems like Great Plains. Project Scope & Requirements Vision: To have it so that inventories come in from the different card and certificate manufactures ready to be put into inventories. That all these received items are deactivated and no cash is given out at time of receipt. That the receiving area takes the right level of effort to load all the data into our system (card information gathered off the magnetic strip and the certificates serial number in some optical fashion). As orders come in, they are managed via a system – not through paper printed forms, and are queued to the right “cell” to process. As the order is filled a person pulls the scrip and scans it – allowing a reader to verify the order against what is being put into the box/packaging that will be shipped. At that time a confirmation is printed, along with shipping label and materials (first moment something is physically printed) and the order is completed. It is pushed down a conveyer belt to shipping to who does a quality
  • 6.
    check and sealsthe order and puts it in the back of the FedEx truck and/or US Post Office. The process should be able to handle both the historical Christmas season rush to the summer slow down. Allowing us to process our own orders and to handle fulfillment opportunities as well. Also, where possible to incorporate machines to do the currency handling – including card management systems, ATM like devices for the paper checks, etc. • Volume requirements: Need to handle between $500 million and $600 million in scrip inventory a year. Currently we handle $300 million in scrip inventories a year. Targeting gross sales volume (all products, including beyond the scrip business) of $1 billion+. • We need to support over 30,000 charities a year by Calendar year 2005 (7k this year, 18k next year, 30k third year). • We need to support individual orders, bulk orders and custom orders. • We need to handle over 800 merchant brands (with an average of 2 denominations per merchant) = 1,900 SKUs • We desire a high level of automation in the inventory inputting, data gathering and tracking. • We desire to maintain a high level of security, and where possible continually improve this. • Less to do with people capturing data, more to do with machines, equipment, optical readers, magnetic strip readers, etc. • We need to manage not only our inventories and programs, but also have the ability to manage other peoples inventories (i.e. straight fulfillment) • We must have a proprietary business model, forecasting model and inventory model (possibly patenting it) that allows us to have a Just-In-Time (JIT) approach – but does not impact customer satisfaction. • Be able to support all levels and choices of shipping (over night, 2 day, normal business, US first class mail, etc.) • We must have a real time picture and understanding of the inventories, the volume and the issues via our systems. • We must have the ability to activate and deactivate all gift cards. • We need to automate the handling of the higher volume certificates and gift cards • We must be able to issue and fulfill our own paper currency • We need to work within the existing physical building space, but willing to look at creative options for future expansion • We must reduce and where possible eliminate bottlenecks • We must have a simpler process, with fewer steps, to compile the order and ship it • Allow the customers to track their orders and shipping via the web • Eliminate the two step process used today on pulling in the vault and again processing the order on the fill room floor • As orders are complied they should go into the box/packaging that they are shipped out in. • Eliminate all manual hand writing in the order fulfillment process (i.e. card numbers, check serial numbers, etc.) • Easy to understand, train and support – allowing NSC to better manage the level and skills of individuals working the fulfillment processing. • Allow for the issuance of a variety of packing slips/ order overviews that go out with the order – including NSC branded, some custom branded to either resellers, fulfillment only orders, program specific (like IWAH, SGC.com), etc. • Simplify the building of an order and allow for a scanning approach to build the record and the document • Review entire order taking process in customer service and find ways to simplify and improve • Have web based orders go directly into both fulfillment processing and collecting the funds • Ability to take all forms of payment, including credit cards, e-checks, ACH, etc. • Maintain the right levels of inventories so that there are no back order situations • Support drop ship ability for certificates, gift cards, etc. on larger orders • Be able to have deactivated cards on hand and ship, and either activate terms 24 hours after shipping or on pre-pay pay 24 hours after shipping • On all paper certificates have on hand inventories and pay only after NSC ships – again if terms exist the clock starts once items are shipped
  • 7.
    • Simple andeasy to understand order summary to customer, along with shipping materials, sales & marketing materials, etc. • Improved environment in fulfillment area – improving spirit and morale. • In longer term (12 to 24 months) have potential to: o Issue a generic gift card that is encoded and embossed by NSC, but have the ability to drop a merchant logo and branding on to the card o Have remote locations handling inventories and fulfillment – anywhere in the US and/or world o Become ISO 9000 certified Project Budget Since this is core to our business, NSC needs to invest the proper level of dollars and time to this. We need to keep in mind that these developments will reduce our handling costs and improve our cash flow and turn time. Separate and beyond the cost of the new system – it is estimated that NSC will invest between $500,000 and $1.5 million in process and automation tools, equipment, training, etc. over a 24-month period. Desired Results and Outcomes The re-engineering of the entire gift card and certificate process will enable NSC to retain its leadership position. Specifically, NSC is looking to achieve the following outcomes and results through the project: 1. Reduced back orders by 80% 2. Allow the same number of fulfillment people to fulfill 30% more orders 3. Maintain a 4 week rolling forward inventory of scrip 4. Reduce the turn around time on orders by 25% 5. Improved gift certificate margin through reduced handling and error costs by 5% 6. Reduce third party supplier dependencies by 20% 7. Ability to ship 50% of orders within 24 hours, and the remainder within 48 hours 8. Improved morale and spirit of employees in fulfillment area and functions
  • 8.
    Fulfillment Process Re-design: Strategy Thekey to an efficient fulfillment process is optimization of the physical management of our inventory. Technology will be used to facilitate processing whenever possible. For example, machines will be employed to automatically fulfill orders and prepare inventory for the picking process. Bar code technology will be implemented for inventory control and error reduction. All products that are not filled using automated fulfillment equipment will be processed with a facilitated picking process using product "bundles" in addition to individual scrip. Bundling of scrip compresses the inventory and greatly expedites the picking process by reducing the time required to fill an order. For example, if the order quantity is 26, the fulfillment technician would pick one bundle of 20, one bundle of 5, and one individual card. These items are scanned with the bar code scanner located at the picking station and placed into the tote. This process is much quicker and more accurate than manually counting out 26 individual cards and entering the serial number range into the computer. Table 1 gives a comparison of the number of picks required using individual cards or certificates versus bundles. The data is from the highest volume card, Darden, and on a card in the lowest 25% of volume, Pier 1, on the highest volume day, December 17, 2002. In this case, there is an 88% reduction for Darden and a 62% reduction for Pier 1 in the required number of picks. These numbers are not actual throughput calculations but they show that the throughput of the fulfillment process can definitely be increased by using bundles. Vendor Darden Pier 1 Number of picks using individual cards 17,449 1113 Number of picks using bundles 2,069 422 Percent Reduction using bundles 88% 62% Table 1: Picking with Bundles vs. Individual Scrip The key is to use automation to count and bundle scrip in pre-determined quantities such as 5, 10, and 20. We would apply a bar code to each bundle and track the serial numbers within Great Plains. Process Description The following section describes the redesigned fulfillment process that will be “rolled out” in three stages over the next 12 to 15 months. Receiving: This department is the key to our fulfillment operation. Everything must be counted and prepared for use in fulfillment. Automated equipment will be utilized to aid counting and bundling. A bar code system will be implemented to facilitate inventory management. The following tasks will be required of this department: • Count and verify shipments against the purchase order. • Use process equipment to collect serial number information. • Secure product “bundles” using strapping or shrink-wrap equipment. • Apply bar code to bundled items for easier tracking. • Ensure that all serial numbers are entered into the software system for use in fulfillment.
  • 9.
    Order Fulfillment: Orders arepresented to the fulfillment area based upon priority. The priority is determined automatically within the software system (Great Plains) depending upon customer type (for example, Platinum), shipping deadline, etc. The fulfillment process is designed to optimize handling of the different products based upon the product characteristics and sales volume. Fulfillment of highest volume products will be performed by automated equipment whenever possible. Some high volume products cannot be fulfilled automatically due to the product characteristics. For example, it may not be possible to automate fulfillment of booklets such as Burger King due to the staples. For products with manual fulfillment, every effort will be made to facilitate the picking process using technology such as bar coding, and Pick-to-Light systems. The different product and order types will be processed as follows: Small orders: Orders with a limited number of lines and small quantities for each line will be routed to the small order station. This station will be stocked with as many products as needed to fill the majority of small orders. The purpose of this station is to complete small orders at this one station so that an order with just a few items can be picked, packaged and shipped out with the highest efficiency. These orders will skip the rest of the fulfillment process and improve the efficiency of the processes designed for larger orders. This station is ideal for filling “SuperGiftCard” and small “ScripDirect” orders, as well as some backorders. Automated Card Fulfillment: Orders that are not routed to the “small order cell” will be started at this step. This station or cell is designed to facilitate processing of stored-value cards that are required in nearly every order that is processed. Machines will be employed to automatically count and dispense the necessary cards for each order. The machine is loaded with the highest volume products of stored-value scrip (for example, Arco, Home Depot, Starbucks, Darden Restaurants). The order is downloaded to the machine by the software system and the machine automatically counts and dispenses the required cards for that machine, for that order. At this station, the order is assigned to a traveler tote by scanning the bar code (or license plate) that is located on the tote that the order will travel in. The fulfillment technician places the cards for that order in the tote and then places it on the conveyor. The bar code on the tote is scanned by the conveyor system and the software determines the next necessary fulfillment station. If the order has been completed, it will be routed to the packing station. If the order has additional items that need to be filled, the order (in the tote) travels down the conveyor and is presented for fulfillment at the next required station. Automated Paper Fulfillment: This station or cell is designed to automate processing of paper and check- type scrip that is required in most orders. Machines would be employed to automatically count and dispense the necessary paper products for each order. This would greatly increase the volume capability to handle products such as Jamba Juice, Pizza Hut, and other paper products. Picking of High-Volume Products: This process is designed for products that are high volume and are not automated with a machine. The purpose is to speed up the fulfillment process as much as possible for the products that are required in nearly every order. There will be multiple workstations designated for picking of high-volume products. Workstations will hold up to 20 high-volume products. The order will travel (in the tote) to as many stations as needed to fulfill that order. “Pick-to-Light” systems will be installed at these workstations. The “Pick-to-Light” system is integrated with Great Plains to instruct the technician which products need to be picked, at what quantity, for each order. The bar code on the tote is scanned at the “Pick-to-Light” station to begin the order fulfillment process. The light for each required product will be activated and the required quantity will be indicated on the front of the storage location. The technician will simply follow the lights and pick the required quantities, adding them to the tote, until the order is completed for that workstation. The technician then places the tote back onto the conveyor and it will travel to the next necessary workstation. Picking of Lower-Volume Products: High-density shelving will be employed for storage and picking of lower-volume products. Standard picking processes will be followed. This process is the slowest due to the low amount of automated assistance. The technician will be responsible for picking more products over a larger area. The technician will not sit at a station but will be required to walk to the shelving areas to pick the products necessary for each order. Batch picking may be employed at this cell. This setup is ideal for products that are not needed in the majority of orders but are required to be stocked.
  • 10.
    After the orderhas traveled to all of the required workstations and has been completed, it will be placed on the output conveyor to travel to the packing station. Packing: A packing slip will be printed and the necessary communication and promotional materials (ScripFlash, etc.) will be added to the order. The order will be carefully packed and sealed and placed into the final shipping container. The shipping container will be sealed and placed back into the tote. The order will travel in the tote to the shipping station. Packaging equipment and automation will be employed, where possible. At a future date, the order may be picked directly into the final shipping container and the packing step will be eliminated. The packing operation may be combined with shipping, depending on availability of space and the capability of automation equipment. Shipping: The technician will scan the bar code on the tote, print the shipping label and apply the label to the package. The package is then placed in the appropriate bin for shipping type.
  • 11.
    Order is filledat automated card cell Order is filled at Pick-to-Light Stations Is order size “small”? Order is filled and packaged at “small order” cell Package is scanned and shipping label is applied Is order complete? Completed order is placed on conveyor to Packing Station Sales orders are stored in Great Plains Order is presented for fulfillment based upon priority Figure 1: Fulfillment Process Overview Yes No Yes No Completed order is placed on conveyor to shipping station Done Is order complete? Order is filled at manual picking stations No Yes Order is packed and sealed Order is filled at automated paper products cell Is order complete? Yes No Process Improvement Phases Phase 1: Facilitate process within existing physical layout Completion date: August 15, 2003 1) Implement Great Plains
  • 12.
    The following processimprovements will be made through implementation of a new software system: • Serial number tracking: Serial number ranges for every product will be entered into Great Plains as the items are received. The software system will keep track of every serial number and make numbers unavailable as they are used to fill orders. Ideally, the system will know what ranges of numbers are present at each station and will suggest the numbers to be used for each order. This would eliminate data entry of serial numbers at the fulfillment station. • Order Prioritization: The system will determine fulfillment priority of orders based upon defined criteria such as customer type (Platinum), shipping deadline (same day, next day), or other criteria. The fulfillment technicians will process the orders as they are presented instead of having to manually determine priority. • Automatic invoicing: The items will be taken out of inventory at the designated time by automatic or batch invoicing. • Packing slip: The system will provide a packing slip with serial number ranges listed for each item. Eliminated process steps: • Order sorting / prioritization in print room • Handwriting of Serial numbers • Invoicing 2) Expand shipping department The number of workstations in the shipping department will be increased to ten. This will allow flexibility to shift personnel into shipping during busy times. This expansion will provide enough capacity for the surge of business in December 2003. Completed April 2003 3) Expand Receiving department responsibilities The Receiving department will perform inventory preparation in order to reduce counting at the picking station and eliminate manual serial number entry. The Receiving department will be responsible for preparing product “bundles” and entering all serial number information into the system database. Personnel previously utilized to hand-write serial numbers are now assigned to prepare inventory for picking. This may require an upgrade of skills for some employees. 4) Implement a bar code system with associated software for inventory control Bundled items of inventory will be identified with a bar code that represents a range of serial numbers. Single items will be identified with a bar code, when it is determined to benefit the processing of that item. (Note: it would be too time consuming to apply NSC bar codes to every individual item that is received. Bar coding will be applied only when it is deemed beneficial.)
  • 13.
    5) Install equipmentfor counting and bundling of scrip in Receiving Implement machines to facilitate collection of serial number information and the preparation of bundles: • Cards: custom-designed equipment will be used to count cards, read serial numbers from the magnetic stripe or bar code, send serial number data to Great Plains and separate the cards into stacks that are ready for bundling and labeling. • Paper: optical scanning equipment will be used to automatically count, capture serial number information, and send serial number data to Great Plains for most of the various gift certificates stocked by NSC. 6) Arrange vault to accommodate more than one process line Currently, the vault is arranged as one process line with 20 filling stations. The number of orders that can be filled each day is limited by this configuration. Process efficiency can be improved by reducing the number of times an order is opened and closed on the computer and minimizing the number of stations that an order must stop at to be completed. Arranging the vault to accommodate two or more process lines will greatly increase the order throughput of the vault. Phase 2: Expand process automation Completion date: December 15, 2003 (or sooner if possible) Note: Machine installation could possibly take place during Fall 2003 with minimal disruption to the existing process. The machines could be installed in a different area such as the current warehouse or the existing file room. This would allow the project to continue and would not be disruptive to the existing process. 1) Install automated machines for fulfillment of high volume cards This would increase the throughput volume of the picking line by taking several of the highest volume products offline. The projected throughput of the automated machine or machines would be much higher than the throughput of the picking line and thus, would not be a process bottleneck. (Note: these machines are not available “off the shelf” and require significant development time.) 2) Install automated machines for fulfillment of high volume paper Check-processing or similar equipment would be implemented to automate fulfillment of paper certificates. 3) Install automated packing/taping equipment This would improve the throughput of the shipping area by reducing manual handling. Phase 3: Modify physical process layout and implement further processing technologies Completion date: April 15, 2004 This phase may be implemented in a new facility. This would allow for unlimited future expansion through addition of multiple process lines. The required security level could be built into the new design, for example, building a very large vault or necessary security cages. The process layout would be very similar to a manufacturing assembly line. Custom-designed workstations would be built to accommodate storage bins for scrip. The workstations designated for high- volume products would be outfitted with “Pick-to-Light” systems. High-density shelving would be employed for storage of slower moving products. Phase 3 components are as follows: 1) Determine implementation location (existing or new facility?) 2) Install necessary vault extensions or additional security measures. 3) Implement workstations designed to facilitate product picking. 4) Install “Pick-to-Light” systems on workstations dedicated for high-volume (non-automated) products. 5) Install high-density shelving for low-volume product picking. 6) Develop a bar code system for automatic tote routing on the conveyor.
  • 14.
    7) Connect allprocess steps with a conveyor system that routes orders to the required processing stations only. Initial Cost Saving Implementation of Phase 1 will enable NSC to operate through the year without having to hire temporary employees in the Receiving, Vault or Fulfillment areas. NSC ability to maintain deactivated inventory (Gift Card Management System) NSC will receive a complete Gift Card Management System to activate and issue cards, based on NSC requirements by merchant (i.e. based on specific merchant terms, etc. including, but not limited to, cards activating 24 hours after shipping), perform and manage deactivated gift cards for NSC merchants. NSC will host the solution on NSC’s Sun hardware, and be responsible and able to properly execute Gift Card transactions (activation, deactivation, add funds) , along with reporting and interfaces on the existing major gift card transaction and account platforms in the market today, including Datamark, Valulink or SVS platforms. The interface would work real time or in a batch nightly process. NSC Universal Gift Card Management System Situation Overview: National Scrip Center currently handles over 300 merchant gift certificates and gift cards. Also, with most merchants NSC carries more than one denomination. This means that the number of SKUs NSC carries is close to 900. 50% of the inventories carried are gift cards, and more merchants are growing in this direction as well (paper to card conversion is high). At this time most of the gift cards NSC carriers are activated when they arrive at NSC. This causes problems with both security (needing to handle same as cash) and inventory management (NSC pre-pays on a majority of these cards and certificates), which makes the cash flow and management at NSC a very tight process. NSC has realized to stay competitive and cost effective in the gift card market, as a reseller and consolidator, NSC must have the majority (more than 80%) of their gift cards deactivated, on site at their secured facility. NSC future vision is to be able to manage, issue, activate and gain better control of any gift card processes and products on the market – including but not limited to creating their own currencies. Datamark Solution: NSC will receive a complete Gift Card Management System to activate and issue cards, based on NSC requirements by merchant (i.e. based on specific merchant terms, etc. including but not limited to cards activating 24 hours after shipping), perform and manage deactivated gift cards for NSC merchants. NSC will host the solution on NSC’ Sun hardware, and be responsible and able to properly execute Gift Card transactions (activation, deactivation, add funds), along with reporting and interfaces on the existing major gift card transaction and account platforms in the market today, including Datamark', ValueLink' or SVS' platforms. The interface would work real time or in a batch nightly process. Simple Process • NSC receives deactivated plastic from the variety of merchants utilizing Datamark, ValueLike and SVS gift card platforms – maintaining a 3 to 4 month inventory on hand. • As NSC processes inventories and orders it, capturing card data. As orders are processed, on a nightly run, all shipped cards are set up to process on the three main gift card networks – queued to process and activate within 24 hours of shipping. • Based on this activation activity, and based on NSC terms with their merchants NSC will be able to establish payment to the different merchants via NSC financial systems. • Phase Two development allow NSC to generate an NSC branded gift card that either is a stand alone, single merchant card that would work with any of the merchants on any of the above platforms, or a universal gift card working at all the merchants on all the platforms.
  • 15.
    NSC Universal GiftCard System High-level Features • Ability to issue value to or deactivate gift cards on Datamark, ValueLink or SVS systems • Ability to Redeem Value • Ability to reverse or Void a transaction • Ability to issue multiple cards with a single transaction • Ability to issue a replacement card • Ability to cancel a card • Ability to have delayed activation, based on merchant terms & relationship • Specific activity reporting System Benefits To NSC 1. NSC will be developing the first universal gift card platform, allowing access and management of single merchant brands and/or multi merchant acceptance gift cards 2. System will support separate batches for SVS, ValueLink, and Datamark. Gift cards, and allow transactions at POS to be controlled by merchants – like they do today. 3. NSC will gain the benefit of having on hand inventories, reducing back-orders and increasing NSC cash flow and float – allowing NSC to get more back to charities 4. System reconciliation information thereby reducing significant end of day communications 5. System supports demographic information or by batch input 6. System returns meaningful error messages 7. System supports batch processing or real time processing for issuances and voids. 8. System can support a combined batch and real time operation 9. System gives trace-ability to all issuance transactions for history review and problem researching 10. NSC has access to card data and reporting to better negotiated terms and agreements with merchants 11. NSC being able to add additional merchants without impact on cash flow, etc. Development Overview: Development Target Delivery Date June 30, 2003 Datamark Recommended Development Activities A. NSC build a target list of existing merchant cards carried, that are any of the three systems and a merchant presentation and team are put together to go after these merchants and gain acceptance that NSC can have deactivated cards and access to the systems/accounts. Getting the merchants to go back to their respective system providers to move on it. B. A separate Business Development team, along with Datamark senior executives go to the other two gift card systems providers and begin talking with them as well. C. A systems / technology and operations team begin the development of the NSC platform at the same time as the above two teams move forward. Products and Services
  • 16.
    NSC Universal AccessGift Card System – NSC will use existing functional software and user documentation of Datamark’s existing software system software including all system upgrades and enhancements. The software includes a verification of Datamark’s Web Customer Allegiance software for web-based account management, account management , customer service, and all reporting. Potential Access To The Following Gift Cards: ValueLink http://www.valuelinkcards.com/ Off Their Web Site: About ValueLink As the leading provider of high quality, high volume information processing and related services, First Data identified an emerging market for stored value products that could be customized to meet a client's specific business needs while leveraging First Data's expertise in information and transaction processing. In 1994, ValueLink was created to introduce online transaction and information-based solutions that enable its clients to quickly and cost effectively introduce and support their own customized stored value card programs such as gift cards, merchandise credits, coupons, promotions, phone cards, and much more. As a wholly owned subsidiary of First Data, ValueLink's only business is the development, implementation and support of stored value card programs, including gift & spending card programs. ValueLink assists its clients by implementing stored value card programs that deliver faster transaction processing, greater financial controls, improved security and increased sales and customer loyalty. ValueLink is fully integrated into the technology-driven infrastructure of First Data, thereby allowing our clients to benefit from those synergies in place with First Data relative to systems personnel, network connectivity, systems integration, systems redundancy, and disaster recovery. In April 1995, ValueLink launched its first third-party driven gift card program (Blockbuster Entertainment) in the retail industry. Today, ValueLink continues to draw upon its experience and expertise to deliver innovative, customized gift & spending card programs for the markets it serves. Sample List ValueLink Clients: Abercrombie & Fitch Co: Abercrombie & Fitch Abercrombie Hollister Ahold USA: BI-LO Giant Giant Food Stores Stop & Shop Tops Markets American Retail Group Bootlegger Eastern Mountain Sports Apple Computer Avado Brands Hops Don Pablo's Bed, Bath & Beyond Bertucci's Brick Oven Pizzerias Blockbuster Entertainment Bob's Stores The Bombay Company Borders Group, Inc.: Borders Books & Music
  • 17.
    Waldenbooks Boscov's Department Stores BrinkerRestaurant Corp: Chili's Grill & Bar Corner Bakery Cozymel's Coastal Mexican Grill Macaroni Grill Maggiano's Little Italy On The Border Cafe Circuit City CompUSA CVS/pharmacy Dave & Buster's Designs Inc: Levi's Outlets Dick's Sporting Goods FAO, Inc. FAO Schwarz Zany Brainy Finish Line Fleet Wholesale Supply: Mills Fleet Farm Foot Locker, Inc: Champs Sports Foot Locker Kids Foot Locker Lady Foot Locker Footstar Corporation: Footaction Just For Feet Shoe Zone General Nutrition Center (GNC) Genesco: Johnston & Murphy Journeys G+G Retail Goody's Family Clothing Guess Hancock Fabrics Harold's Stores Harris Teeter Hibbett Sporting Goods Home Hardware Stores Hot Topic IKEA J. Alexander's Jo-Ann Stores: Jo-Ann etc Stores Jo-Ann Fabrics and Crafts Kenneth Cole Lettuce Entertain You Restaurants Luby's Restaurants Luxottica Retail Group Lenscrafters Sunglass Hut/Watch Station Mars Music Next Estate Communications O'Charley's One Price Clothing Paramount Parks Pathmark
  • 18.
    Petco Phillips—Van Heusen Piccadilly Cafeterias RockfishLP Rooms To Go S&K Famous Brand Menswear Saks & Company: Saks Fifth Avenue Saks Incorporated: Bergner's Boston Store Carson Pirie Scott Herberger's McRae's Off 5th Parisian Proffitt's Younker's Sears, Roebuck & Co: Orchard Supply Hardware Sears The Great Indoors Sephora USA The ServiceMaster Home Service Centers Shell Smithsonian Institution Spencer Gifts The Sports Authority Starbucks Tiffany & Co. Timberland Tower Records Toys "R" Us: Babies "R" Us Kids "R" Us Toys "R" Us Tractor Supply Trans World Entertainment: Coconuts Music & Movies FYE Movies Plus Planet Music Saturday Matinee Spec's Music Strawberries www.fye.com Triton PCS United States Postal Service Walgreens Walmart.com Wet Seal Inc: Arden B. Contempo Casuals Wet Seal Zutopia Yankee Candle Company Z Gallerie *********************************** Stored Value Systems
  • 19.
    http://www.storedvalue.com/svs_overview.html Off Their WebSite: Stored Value Systems (SVS), a Comdata Company, offers private-label, electronic cash cards to companies that sell products or services including but not limited to the petroleum, restaurant, retail and supermarket industries. SVS' Cash Card solution enables our clients to establish and maintain customer relationships with a secure and easy replacement for paper gift certificates. Merchants are also assisted in building operational efficiencies in the processing of returned merchandise. SVS founded in 1992, employs over 150 people at our customer support centers in Louisville, KY and El Paso, TX. SVS has always been at the forefront of technology. We employ Tandem® platforms for optimal reliability and versatility. SVS was the first to offer a turnkey, chip card solution to the government sector to automate the entire electronic benefits distribution process. SVS applied the knowledge gained from these early endeavors to introduce the first magnetic stripe based Cash Card application that allowed Point-of-Sale (POS) activation and the flexibility for the consumer to determine the card's value. These innovations opened up the Cash Card concept to the mainstream retail community. Sample List SVS Clients: AT&T (Phone) AMC Theatres American Eagle Oufitters • Bluenotes (Canada) Applebee’s Arco Barnes & Noble Bass Pro Shops BC Moore & Sons BP & Amoco Oil Belk Department Stores Big Lots BJ’s Wholesale Club Brookshire Grocery Brookstone Buffets, Inc. • Country Buffet • Old Country Buffet Casual Corner • Petite Sophisticate • August Max Woman Cato Corporation • It's Fashion Chanel Charlotte Russe The Children’s Place Circuit City Stores (Phone) CITGO Petroleum Claire’s Stores • Afterthoughts • Mr. Rags • The Icing • Claire’s (Canada) Conoco Costco Wholesale Cracker Barrel Old Country Stores CSK Auto Inc. Deb Shops, Inc. Delhaize America, Inc.
  • 20.
    • Food Lion •Kash n’ Karry Food Stores Discover Financial Services, Inc. ExxonMobil Factory 2 U Stores Family Express Oil Fashion 21, Inc. • Forever 21 • Forever XXI Gadzooks GAP (US) • Banana Republic • Old Navy • GAP (Canada) Garden Ridge Growmark Gulf Oil H.E.B. Grocery Company Hess Corporation Hollywood Entertainment Hy-Vee (Phone) JCPenney K•B Toys (US) • K•B Toys (Canada) K-mart • Bluelight.com Kroger • Fred Meyer, Inc. • QFC • Fry’s • Food 4 Less • Cala/Bell Foods • Dillons • King Soopers • Ralphs Grocery • Smith’s Food & Drug • Jay C Limited Brands • Bath & Body Works • Express • Lerner (New York & Co.) Limited Too Lids Linens ’n Things Loehmann’s Logan’s Roadhouse Lowe’s Marcus Theatres MCI (Phone) Minyard Food Stores Inc. • Carnival Food Stores • Sack ’n Save Movie Gallery Music Network OfficeMax Office Depot Pacific Sunwear • d.e.m.o. Pappas Restaurants Payless ShoeSource (US)
  • 21.
    • Parade ofShoes • Payless (Canada) PETsMART Inc. Pep Boys Phillips Petroleum Pier 1 Imports (US) • Pier 1 (Canada) Piggly Wiggly Pilot Travel Centers RadioShack Raley’s • Nob Hill Foods • Bel Air Roundy’s, Inc. • Copp’s • Orchard’s Market • Pick ’n Save Safeway • Dominicks Finer Foods • Vons • Randall’s Food Markets • Carr-Gottstien Foods • Genuardi's • Pavillions • Safeway (Canada) • Tom Thumb Schnuck Markets Sheetz Shoe Carnival ShopKo Stores • Pamida Spartan Stores, Inc. • Family Fare • Prevo’s • Ashcraft’s • Food Town • Glen’s Markets • The Pharm • Great Day Spiegel Sprint (Phone) Stage Stores • Bealls • Palais Royal Staples (US) Sunoco Target • Marshall Field’s • Mervyn’s Time, Inc. Tony Roma’s Tosco Corporation • Union 76 • Circle K Tully’s Coffee United Retail • Avenue Walgreens WaWa Weathervane Wherehouse Entertainment • Odyssey
  • 22.
    • Xchange • Wherehouse MusicOutlet Zales • Gordon’s Jewelers • Bailey, Banks & Biddle • Peoples Jewelers • Mappins Amarillo Mesquite Grill Angelo and Maxie's Steakhouse Azteca Mexican Restaurants Bandana's Bar-B-Q Big Boy Restaurants Blue Ridge Grill Blush Bobo's Mogul Mouse Bone's Restaurant Buffalo Wild Wings California Grill Canyon Bicycles & Snowboards Carey Hilliard's Restaurant CellularOne Chart House Restaurants Corky's Ribs & BBQ Creve Coeur Camera Deck The Walls Delbert's Clothing Incorporated Dickie Brennan & Co. Dino's Doolittle's Air Cafe Einstein Bros Bagels Famous Dave's Frankie's Frontera Mex-Mex Grill G&L Clothing Golf Galaxy Goodfella's Gurney's Inn Guy & Gallard Jack's Music Shoppe Jocks & Jills Lombardi Sports Macadoodles Martin Wine Cellar Maxx Doogan's McGrath's Fish House Motown Harley-Davidson Nino's Italian Marketplace Noah's Bagels OK Cafe Panda Express Panera Bread Paradise Bakery & Café, Inc. Peohe's Prime Sirloin Red Hot & Blue Red Robin Rib Crib Barbecue Hangawi Happy Days Houston's Restaurants
  • 23.
    Isaac Hayes Isabella Sagebrush Steakhouse ShadyOak Barbeque Specialty Sports Network Spring Creek Barbeque Sun Tan City Surf San Juan Taco Box The Breakwater Inn The Coffee Beanery The Garden Restaurant The Gooseberry The Great Frame Up The Red Parrot Today's Touch Massage Therapy Village Boutique Western Steer Western's Smokehouse Westport Big & Tall Winter Park Sports Shop ************************ Datamark Technologies Master Gift Card National Accounts Aeropostale Brooks Brothers J. Crew Taste of Texas The Breakers Electronic Boutique Pfaltzgraff Steiner Leisure Potter Brothers Frank’s Nursery and Crafts Georgette Klinger R.J. Reynolds Ruth’s Chris ECP Chop House Austad’s Golf BR Guest Lord’s and Lady’s Dealer Rewards Brookwood Thomas Hammer Coffee Diesel Star Nursery Group USA Burlington Coat Factory
  • 24.
    3366 Enterprise Avenue,Hayward, California 94545-3228 U.S.A. PHONE: (510) 265-6700 FAX: (510) 785-7463 WWW.FLOSTOR.COM Prepared For: Ms. Jody Like National Scrip Center 1745 Copper Hill Parkway Santa Rosa, CA 95403 Tel. (707) 569-2562 Fax (707) 577-0373 Project Description: Scrip Order Fulfillment System Prepared By: Michael G. Kicherer, System Sales Engineer (510) 265-6739 Direct (415) 672-2159 Mobile mkicherer@flostor.com FloStor Engineering, Inc. is pleased to present this investment proposal to National Scrip Center for the design and implementation of your Santa Rosa, CA Scrip Order Fulfillment System.
  • 25.
    1.0 PROJECT SCOPE 1.1CONCEPTUAL LAYOUT & PRELIMINARY DESIGN a. Review of existing system and future requirements. b. Completion of preliminary system concepts. c. Completion of conceptual design of system layout. 1.2 VALUE ADDED DESIGN ENGINEERING CONTRACT a. Completion of detailed functional specification of system requirements. 1.3 EQUIPMENT a. Provide all equipment as described in proposal. 1.4 PROJECT MANAGEMENT a. Provide project management duties: which include timeline management and vendor coordination. b. Provide all system documentation upon completion of installation. 1.5 MECHANICAL & ELECTRICAL INSTALLATION a. Coordinate and perform the mechanical and electrical installation of all equipment listed in this proposal 2.0 SYSTEM OVERVIEW Flostor Engineering’s solution utilizes a conveyor system to automate the transport of customer orders integrated with order picker workstations that use a combination of pick-to-light and barcode technology to automate the flow of information. The system will be integrated with the bundling machine and Microsoft Great Plains to facilitate and ease the flow of information throughout the process.
  • 26.
    1. CONVEYOR TRANSPORTSYSTEM A. Powered Conveyor a. Approximately 105 ft of 2-lane powered roller conveyor b. Approximately 30 ft of 1-lane powered roller conveyor i. Includes leg supports, drive motors, frame, roller bed, guiderail. B. Conveyor Controls a. Control panel with motor starters and Remote I/O DeviceNet type controls C. Conveyor Controls Software D. Devices a. (10) Pneumatic Product Stops, (10) Product Brakes, (10) Fixed Stops, (8) Rodless Cylinder Pushers, (1) 2-belt Lift & Transfer, (8) Fixed Position Barcode Scanners, (32) Photo Eyes/Sensors b. Plastic Totes i. (100) Totes, approximate size 10” wide X 12” long (TBD) 2. ORDER PICKING WORKSTATIONS A. Software Interface to Microsoft Great Plains a. Includes PC Server b. Exact requirements to be determined but is initially believed to be some type of flat file interface. B. Software to Drive Workstation Terminals a. Required information to be tracked and populated onto operator terminals has yet to be confirmed. C. Operator Work Tables a. (13) standing stations, 18” deep X 60” long work surface i. (7) Stations – Hi Volume/Low Mix ii. (2) Stations – Low Volume/Hi Mix iii. (3) Stations – Small Order Cells iv. (1) Station – Pack Out Station D. Pick-To-Light System a. 300 Light Tags and 20 Bay Displays i. (7) Stations with (20) PTL locations each, Hi Volume/Low Mix ii. (2) Stations with (80) PTL locations each, Low Volume/Hi Mix E. Hand Held Barcode Scanners a. (13) hand held units located at each workstation F. Shelving Units a. (1) Floor Mounted, 24’LX7’3”HX18” Deep, 12”X12” compartments. b. (2) Floor Mounted, 18’LX7’3”HX18” Deep, 12”X12” compartments. c. (3) Conveyor Supported, 24’LX48”HX18” Deep, 12”X10” compartments. G. Laser Printer/Hand Held Scanner for Pack-Out Station a. (1) Laser Printer & (1) Hand Held Scanner 3. BUNDLING MACHINE INTEGRATION A. Software Integration a. Communicate with Bundling Machine b. Create and store data table c. Communicate with Microsoft Great Plains B. Hand Held Barcode Scanner C. Barcode Label Printing Machine 4. REMSTAR VERTICAL STORAGE SYSTEM A. Shuttle VLM for Inventory Storage a. 10’ H unit X 84” Wide X 82” Deep b. Unit can hold approximately 3000 cubic feet of inventory.
  • 27.
    3.0 GENERAL DESCRIPTIONOF OPERATION - SYSTEM RECEIVING AREA - BUNDLING STATION A Bundling Machine (provided by others) will be located in the Receiving room. It will scan individual skus and present a bundle to the operator. It is believed the machine will present skus in bundles of 20, 10, 5 or singles. Each serial number of the individual skus are read and recorded by the bundling machine. When a bundle is completed, the serial numbers of the skus in that bundle are recorded and downloaded to a file that will generate a bundle identification number and associate that bundle id to the corresponding individual sku serial numbers. A printer will be provided to generate barcode label with the bundle id on it and an operator will attach the barcode to the bundle. The bundle is now ready to be put into inventory. VAULT AREA – OPERATOR WORKSTATIONS Microsoft Great Plains downloads orders to the Working Machines Server. Empty totes are placed on the beginning of the conveyor system. Each tote has a designated barcode or license plate that allows the system to identify the tote. The tote will convey downstream and come to rest against the first product stop. At this location, the tote’s barcode will be scanned and the license plate recorded. This process will initialize the order and the tote will now be assigned to a specific customer order as it travels though the system. The Working Machines Server will process the order information and the system will determine the correct skus, quantities and best route to send the tote. The workstation will have an 18” deep X 60” worktable that will hold the customer supplied PC and Monitor. The operator will either stand or have high chairs. They will pull of totes from the conveyor and place them onto their workstation. The system will identify and direct which skus to be pulled from the shelves and placed in the tote. Once the operator has completed their pick, they will place the tote back on the conveyor system to be sent to the next workstation. DEBIT CARD STATIONS - At this time, debit card dispensing machines are not part of the system. Until they are available, station 1 & 2 can be designed to handle the hi-volume debit cards that are estimated to be a large part of almost every customer order. DECISION POINTS - There are multiple fixed scanners along the conveyor system that are used to locate and identify the totes as they travel through the system. Each of these scanner locations is a decision point. At each decision point, the tote will be sent in 1 of 2 directions. It will either be sent to the station at that location or it will be sent downstream to the next decision point. VAULT AREA – PACK OUT STATION Once the orders are complete, the totes will convey to the end of the conveyor system. They will come to a rest against a fixed stop at the end of the conveyor where the Pack Out station is located. Here, the operator will pull the tote off the conveyor, scan the tote license plate barcode with the hand held scanner. The system will identify the order and a laser printer will print out an order sheet that will itemize all of the information pertaining to that order. The printout will be placed inside the tote and put onto a cart. When the cart is full, the cart will be wheeled to the Packing Room and processed for shipping. 4.0 CONVEYOR - FUNCTIONAL DESCRIPTION OF OPERATION Please reference the attached drawing for further details. S1 Sensor (Allen Bradley Photoswitch photo eye) PB1 Pneumatic Product Brake (SMC Thruster)
  • 28.
    PS1 Pneumatic ProductStop (SMC Thruster) P1 Pusher 1 (Tolomatic Rodless Cylinder) SC1 Fixed Position Scanner Lane 1 Left lane looking downstream Lane 2 Right lane looking downstream The Working Machines PC Server has received and processed the orders from Microsoft Great Plains. A single tote will hold a single order. The Working Machines PC Server will pre- determine which stations each tote must travel to and which skus and quantities of each that must be picked and placed in the totes by the picking operators. The conveyor system will have 2 lanes. Looking downstream in the direction of travel, Lane 1 is on the left and Lane 2 is on the right. Lane 1 is the lane farthest from the pick operator and is used as the main transport lane. Lane 2 is closest to the pick operator and is used as the pick operator tote queue. Empty totes will be placed into lane 1 and they will travel downstream to the first product stop (PS1). PS1 is in a normally up position. When the sensor (S1) is blocked, it signals the system to scan the barcode license plate on the front of the tote with the fixed position scanner (SC1). The system has now identified the tote and associated it to a new order. The system has processed the order information and determined the correct destination for the tote. If the system determines that the tote must go to Station 1: 1. Product Stop (PS1) will lower and release the tote downstream. 2. When the tote blocks sensor (S2), the pusher (P1) will activate and push tote over to lane 2. 3. P1 will retract to its home position and the tote will convey downstream now in lane 2. 4. The tote will convey until it comes to a rest against the fixed stop (FS1). 5. Sensor (S3) acts as a hi-level sensor and will not allow PS1 to release a tote if it must go to Lane 2. 6. When the tote clears S1, the Product Stop (PS1) will raise holding back the next tote and preparing it to be scanned by the fixed scanner (SC1). If the system determines that the tote must go to Station 2: 1. Product stop (PS1) will lower and release the tote downstream. 2. The tote will convey downstream and come to a rest against normally up PS2. 3. The routing process at this location is identical to station 1. 5.0 WORKSTATION - FUNCTIONAL DESCRIPTION OF OPERATION The tote is sitting at the fixed stop in lane 2 of the conveyor at the workstation. The operator pulls off the tote from the conveyor system. Uses the hand held scanner to scan the barcode on the tote. The system identifies the order and the required order information (TBD) will be displayed on the customer provided monitor. The first line item will be displayed on the terminal and the corresponding PTL light is lit on the correct shelf along with the sku quantity that must be picked. This quantity will be done in either singles or bundles. IF the sku are bundles, the operator will pick the correct quantity of bundles from the shelf and scan the bundle identification barcode on each. The system will reference the data table created by the Bundling Machine Integration Software and now the individual serial numbers will be associated with the order.
  • 29.
    Once the correctquantity is picked, the operator will confirm the pick by pressing the task complete button on the PTL. If a second line item is required, the system will display the second line it to be picked. If there is an exception to an order, the operator must report that via a customer supplied keyboard and the information will be recorded and delivered back to Great Plains. If there are no more line items to be picked at this station, the system will signal to the operator via the monitor that their task is complete. The operator will then place the tote back onto lane 1 of the conveyor, just upstream of the product stop and fixed scanner decision point to his/her right. Monitor Information: We can display multiple pieces of information on the workstation monitors depending on what is available from Microsoft Great Plains. 1. Description of order – sku quantities, serial numbers, bundle numbers 2. Customer information – name, address 3. Shipping Information – date ordered, ship due date, ship method 4. Priority level – back order, rush order, standard 5. Workstation information – list sequence of all workstations in the order, confirm what station the tote should be at, display which station the tote just came from and where it must now go. If it is a completed order and ready for the out pack station. 6.0 INVESTMENT SUMMARY ITEM ITEM DESCRIPTION DETAILS SYSTEM INVESTMENT 1 Conveyor Transport System 105 ft X 2 Lane Powered Conveyor 30 ft X 1 Lane Powered Conveyor Devices Conveyor Controls & Software Totes Sub Total: $386,560 2 Order Picking Workstations Software Interface to MS Great Plains Software to Drive Workstation Terminals Operator Work Tables Pick-To-Light System Hand Held Barcode Scanners Shelving Units Pack-Out Station equipment 3 Bundling Machine Integration Software Integration with Bundling Machine & MS Great Plains Creation of Data Table Hand Held Barcode Scanner Barcode Label Printer Sub Total: $215,550 Total System Investment $602,110 Plus Tax & Freight
  • 30.
    Installation Mechanically &Electrically install all Conveyor, PTL, Workstations, and Shelves as listed in this proposal. Installation to be completed over a 4-day period. $34,150 Value Added Design Engineering Contract Completion of functional specification for system requirements $15,000 OPTIONS: 1 Remstar Vertical Storage System Shuttle VLM for Inventory Storage Provides approximately 3000 cubic feet of storage space. $65,000 7.0 GENERAL NOTES To review FloStor Engineering, Inc company information such as Financial Strength, Insurance or License & Identification information please view FloStor’s CREDENTIALS ONLINE or visit www.flostor.com. SUGGESTED PROJECT SCHEDULE: Item Action Item Due Date Deliverable Value Added Design Engineering Contract NSC Issues purchase order for design contract May 9, 2003 Flostor develops Design Specification and final quote by May 16, 2003 Final Quotation & Design Specification NSC review and approve May 20, 2003 Flostor and NSC agree upon a final specification for system. Scrip Order Fulfillment System NSC Issues purchase order for system May 20, 2003 Flostor receives purchase order from NSC. Equipment Designed, Built & Tested Equipment is pre-tested prior to shipment June – July 2003 NSC invited to visit & inspect equipment prior to shipment Equipment Delivery Equipment is shipped to NSC August 11, 2003 Installation Installation of all equipment August 15-18, 2003 Flostor installs equipment over a 4-day span.
  • 31.
    PAYMENT TERMS: 40% down payment, net 30 days after ship date. Terms are negotiable. PRICE VALIDITY: Price good for 30 days from date on proposal INSTALLATION: Customer must provide large enough access for equipment to fit into vault area. Electrical power and an air supply must also be provided by customer. National Scrip Center 1745 Copper Hill Parkway Santa Rosa, CA 95403 Subject: Value Added Design Engineering Contract Attn: Jody Like Process Engineer Scope: Provide Engineering and Design Services as listed below. Our intent would be to provide National Scrip Center and Flostor Engineering with a specification to design and build the Scrip Order Fulfillment System. This specification will not only address the receiving and order picking operations, but will also focus on the order packing and shipping areas which can be addressed at a later date as part of “Phase II”. Design Contract Deliverables: 1. On-site survey and review of existing material and information flow in the Receiving, Order Picking, Order Packing and Shipping areas. 2. Review of existing floor plan and space limitations. 3. Validation of system design for stated future system material and information flow requirements. 4. Prepare a Design Specification document that will detail the requirements of the Scrip Order Fulfillment System. Total Investment: $15,000
  • 32.
    8.0 TERMS ANDCONDITIONS LABOR Unless otherwise specified, all labor shall be performed on a straight time basis. CHANGE ORDERS No work or equipment beyond that specified in this quotation will be performed or ordered without a signed Change Order from an authorized employee of the customer. The customer will advise FloStor of employees authorized to sign Changes Orders. TAXES Unless otherwise indicated, the price contains no provisions for sales, use, excise, or similar taxes. It is Purchaser’s responsibility to pay any taxes should they be levied upon FloStor Engineering. If taxes are included as part of the price and the rate or base of the tax is increased or decreased, the Purchaser will pay any increased taxes and FloStor Engineering will give credit for any tax decrease. SEISMIC ENGINEERING/CALCULATIONS/PERMIT PROCUREMENT/PERMIT FEES These fees are not included unless otherwise specified. We have provided an allowance of $0 for seismic engineering, structural steel, and structural steel installation. However, not until seismic engineering is complete and approved by the city can we determine final seismic conveyor/structural installation costs. Any costs incurred by FloStor Engineering, Inc. for seismic fees or structural steel and structural installation that exceed the allowance will be supplied at our cost. WARRANTY The equipment is designed to operate as described in Description of Operation. The seller warrants its product to be free from defects in material and workmanship for one year or 2,080 hours from the date installation is commissioned. For 90 days, based on a single shift operation, all parts and labor are covered. For the remainder, Seller’s liability under the Warranty shall be limited to repair or replacement F.O.B. Seller’s point of shipment. Unless caused by FloStor Engineering, equipment damaged by misuse, neglect, or accident shall be not subject to the Warranty set forth above. This Warranty also does not apply to parts which, through lack of preventive maintenance, require replacement during the warranty period. There are no warranties extending beyond those set forth in this Specification. In no event shall FloStor Engineering be liable for loss of profits, and incidental or consequential damages. INSTALLATION COMMISSIONING The completion of installation of equipment can be defined as: non powered equipment is installed and in place. Powered equipment shall be mechanically installed and operational. Acceptance shall be defined as the final adjustments and run-in to meet the operational description. OCCUPATIONAL SAFETY AND HEALTH ACT (OSHA) FloStor Engineering complies with OSHA standards in effect on the date of this Agreement as such standard supply to its equipment as interpreted by FloStor Engineering. Environmental considerations of the total installation such as acoustics, product being handled, and other equipment will be the responsibility of the Purchaser. CANCELLATION Buyer shall pay all engineering, labor and material costs used or committed by Seller plus 10% of the full purchase price. In no event, shall the full amount exceed the purchase price. SHIPPING Unless otherwise, noted, all equipment is sold F.O.B. factory. Freight billings will be based on actual freight invoices. PURCHASER’S RESPONSIBILITIES: 1. The Purchaser shall appoint a Project Manager for the duration of the project. The Purchaser’s Project Manager must be accessible to the Seller’s Project Manager and will have authority to authorize any changes or additions to the project. Prepare the work site to permit installation and operation of the equipment. Purchaser’s responsibility includes structural strength of and any alteration to building as well as the removal of obstructions. 2. Provide access roads, dock areas suitable for receiving and unloading the equipment, a forklift for the handling of the equipment for FloStor Engineering’s use at the installation site. 3. Maintain the work site in a watertight condition and free of debris or obstructions other than those caused by FloStor Engineering. 4. Provide a clear path for the ingress to and egress from the installation site for FloStor Engineering’s equipment and personnel. 5. Prior to commencing installation of the equipment, obtain all necessary federal, state, and local government licenses or permits. 6. Accept responsibility for all excavations, drainage, piling, foundations, masonry and concrete work, concrete lining, steel, and other building materials necessary to the installation of the equipment. 7. Provide secure, dry, convenient storage for FloStor Engineering’s equipment, tools, materials used on the site. Adequate working space will also be provided by Purchaser for FloStor Engineering’s installation crew. 8. Provide suitable electric current, lighting, compressed air, water, and heat as may be required for installation test and operation of the equipment. 9. Except as provided for in the attached quotation, install all electrical wiring and conduit, air piping, controls, equipment and devices (whether furnished by FloStor Engineering or Purchaser) required for operation of the equipment.
  • 33.
    GA-VEHREN ENGINEERING CO. 11945Borman Drive * St. Louis, Mo. 63146 Telephone: (314) 576-2007 * Fax: (314) 576-5801 e-mail sales@gavehren.com web site: www.gavehren.com Prepared for: Jody Like National Scrip Center 1745 Copperhill Parkway Santa Rosa, CA 95403 Quotation No. 053103-5 September 7, 2013 Page 1of 12 Ga-Vehren Gift Card Fulfillment System Overview The Ga-Vehren Gift Card Fulfillment System is made for automatically “picking” CR80 cards from a series of input trays and reading and recording information off cards as they are fed into an exit bin. Information on the CR80 card can be in the form of a magnetic stripe and/or a barcode. Up to ten varieties of cards can be loaded into one system and multiple systems can be linked. How the Veri-Trac for Fulfillment Operates Sleeves of cards to be picked are put into input trays and order information is loaded in the system database. When a person filling an order comes to one of the fulfillment systems, he or she enters the order number (or wands a bar code containing the order number) and presses the “Start” button. The appropriate number of each card is fed into a track, through a magnetic stripe reader and past a bar code reader before being dispensed into an output tray. See attached drawing. Product Description The Ga-Vehren Gift Card Fulfillment system comes on a stand-alone base with a cabinet to hold the PC and peripherals. The Feeder will be equipped to read the mag stripe on the back of the card. The mag stripe reader will read Trac 1 or Trac 2. Mag Stripe reader for Trac 3 available at additional cost. The Veri-Trac Feeder will also be equipped to read a barcode on either side of the card.  The barcode reader will read the pre-printed barcode on the back or face of the card.  Barcode must be at least 1/8” from the edge of the card.  The lines or elements of the preprinted barcode are perpendicular to the direction of travel – the beam scans in the direction of travel.  Data is transmitted over a supplied RS232 serial cable.
  • 34.
    September 7, 2013 Page2  The Barcode types can be: Code 39, Code 128, UPC, Interleaved 2 of 5, Code 93 Card Data will be reported as as an .mdb (ACCESS) file at the completion on the job The Ga-Vehren Gift Card Fulfillment System will cycle at up to 10,000 cards per hour. Expected throughput (throughput based upon the quality of the cards, encoding and other factors outside the control of Ga-Vehren) is expected to be 6-8000 cards per hour. National Scrip Receiving Pac-Trac® Verification System:The following proposal details the proposal for National Scrip Card Fulfillment Verification System. This unique Pac-Trac® solution will feature many customized software tools specifically for the Card Order Placement machine being designed by Ga-Vehren Engineering. PSi has been asked to provide a order fulfillment verification inspection system for logging magnetic stripe information on prepaid plastic gift cards. The data will be random in nature and will be read as the cards are fed through a Ga-Vehren receiving machine. Our function will be to log the information and determine the presence of duplicate, missing and out of sequence cards or poorly encoded cards. National Scrip Pac-Trac® Hardware / Main Software Solution:
  • 35.
    September 7, 2013 Page3 Your system will be mounted to your supplied card feeding base. National Scrip will link directly with our PC Controller via the supplied Ethernet connection. Their order entry database will be used to drive the machine fulfillment order setup and data logging aspect. (The specific details of the “link” are currently being evaluated. National Scrip is in the midst of implementing a new order entry & inventory software package …Great Plains, and as such can not tell us at this time how this data will look). Our function will be to accept the read data from a barcode reader or keyboard entry (Order number from the operator). The Pac-Trac® software will then search the fixed file location (either resident on our supplied PC or a mapped Server drive) for the order number database file. This file will contact a fixed data location that we can address (thru ODBC?) the specific issue of how many cards from each of 10 bins are to be pulled to fulfill the order process. Once found: • We will “Transfer” those numbers per order bin to the Ga-Vehren control system for proper feeding • We will then begin collecting the magnetic stripe information from the single reader on the output of the machine. This data will then be written into the order database (amend your supplied file or create one of our own). Once total request tally equals the total read tally, we will instruct the Ga-Vehren to begin feeding cards from the second bin. • A signal will be issued to proceed with the feeding of the next bin. • We will complete the data collection & tally counts until the order is complete. • If a misread occurs, we will log the misread in the database, issue a divert signal and request a replacement card from the same bin. This process will be continued until the bin tally equals the order request. • Diverted cards can be rescanned manually with the supplied magnetic stripe reader located on the keyboard. Job set up will be similar for all orders on this packaging machine. The order fulfillment databases will need to be named by the MIS Department. Locations of the card types must remain fixed on the fulfillment machine (Starbucks cards in Bin 1, Borders in Bin 2, Home Depot Bin 3, etc). In necessary, completed job reports will be generated in SQL type format for easy integration into the Great Plain package. The long-term goal is the ability to create an “activation” database for National Scrip to send to their card issuers.
  • 36.
    September 7, 2013 Page4 Other Features: Operating System, Remote Access, All PSi solutions feature the latest in software technology. All systems operate on the Windows XP Professional Operating System. This feature blends our technology seamlessly into your existing network infrastructures. XP Professional also allows us to view your system externally via a password protected internet connection that only you can initiate. This is a mutual benefit for you and PSi. With Remote Assistance we can view and control your system externally and almost immediately. This means faster responses to your needs, more immediate uptime, and
  • 37.
    September 7, 2013 Page5 we can also train your employees over the phone! At PSi we use technology to make all our lives more productive! National Scrip Pac-Trac® Data Integration Solution: The data integration is main key to the project. At this time National Scrip is implementing the latest version of Microsoft Great Plain Accounting Software. It is unfortunately impossible to determine the final format we will need to implement at this point in time. We do know that the client wished to use SQL compliant data streams. The exact communication protocol and layout are unavailable to us at this point in time. We reserve the right to alter this proposal (software surcharge) if the planned integration becomes significantly more difficult than we mutually understand our present responsibilities. A suggested data layout is provided below. This is a mere example of the text layout. Actual final data layouts will be determined through a series of conversations with the client in the next few weeks.
  • 38.
    September 7, 2013 Page5 Machine # Order Number Operator Name Time of Receipt Packing Line 1 A1234567 Joe /Jane Smith June 1st 10:30am PST Card 1 Card 2 Card 3 Card 4 Card 5 1234567890000001 2123456789000001 3123456789000002 4123456789000002 1234567890000002 2123456789000002 3123456789000003 4123456789000003 1234567890000003 2123456789000003 3123456789000004 4123456789000004 1234567890000004 2123456789000004 3123456789000005 4123456789000005 1234567890000005 2123456789000005 3123456789000006 4123456789000006 1234567890000006 2123456789000006 3123456789000007 4123456789000007 1234567890000007 2123456789000007 3123456789000008 1234567890000008 2123456789000008 3123456789000009 1234567890000009 2123456789000009 3123456789000010 1234567890000010 2123456789000010 1234567890000011 2123456789000003 1234567890000012 2123456789000003 1234567890000013 2123456789000011 1234567890000014 2123456789000012 1234567890000015 2123456789000013 1234567890000016 2123456789000014 1234567890000017 2123456789000015 1234567890000018 2123456789000016 1234567890000019 1234567890000020 1234567890000021 1234567890000022 1234567890000023 1234567890000024 1234567890000025 1234567890000026 1234567890000027 1234567890000028 1234567890000029 1234567890000030 1234567890000031 1234567890000032 1234567890000033 1234567890000034 1234567890000035 1234567890000036 1234567890000037 1234567890000038 1234567890000039 1234567890000040 1234567890000041 1234567890000042 1234567890000043
  • 39.
    September 7, 2013 Page6 Qty Description 1 2 National Scrip Pac-Trac® Card Inspection Station including: • Multi-Port RS-232 Collection Hardware • Veri-Trac® Version 1.05 (or higher) software • Flex-Link Interface Module • Intel® Pentium IV 2.0Ghz or Higher Processor • Microsoft XP Professional • 256Mb DDR DRAM • Built in CD-RW Drive • Ethernet Card • 15” ULTRA Scan TFT Monitor with Mounting Arm, Keyboard Tray and Industrial Keyboard with Touchpad and Magnetic Stripe Reader. • Custom Software for SQL Data exportation to Great Plains Inventory and Accounting (20 Hours Development included) • Batch Processing Tools and signals • Barcode Reader for Order Entry One time Charge Custom Software & Documentation Development Including: • New Manuals for the Pac-Trac (Rand Marketing) • SQL Job Entry and Call-up Feature • SQL Report Export Feature (Compatible with Great Plain Software Format) • Total Tally Counting and I/O control for Feeder Mechanism • Batch Separation Highlight Card Feeding Systems are designed to operate on 110Volts.
  • 40.
    September 7, 2013 Page7 Total: $213,850.00 FOB St. Louis Each Additional System purchased within six months after receipt of first system: $188,700.00 Accepted for: Ga-Vehren Engineering National Scrip Center by: by: _______________________________________________ Title: Title: _______________________________________________ SPECIFICATIONS FOR Veri-Trac Feeder: Flat or embossed CR80 cards, lengthwise orientation only. (0.015" to 0.030") Magnetic Stripe encoding must meet acceptable ISO standards Barcodes must be acceptable ANSI Grades A, B or C Power 110 v. Compressed Air 80 psi, 5 to 7 cfm Pricing All prices are F.O.B. St. Louis, MO Terms: Fifty (50%) percent deposit due with order; Forty (40%) percent upon customer acceptance at Ga-Vehren and prior to shipment; Ten (10%) net, 30 days from date of shipment Sufficient stock for testing and acceptance test at Ga-Vehren required (500 encoded cards) For export sales, all payments must be made by wire transfer or irrevocable Letter of Credit drawn on a U.S. bank payable in our favor against shipping documents. FOB price reflects crating for N.A. Continent shipments only. Additional crating requirements (and charges) may apply depending upon destination. All taxes and fees (duties, customs, sales, use, etc.) are the responsibility of the customer. Liability for Sales/Use Taxes applicable is to be assumed by purchaser.
  • 41.
    September 7, 2013 Page8 Shipping/Freight: Based upon current backlog, we estimate shipment can be made approximately 10-12 weeks following receipt of order and deposit. Shipment schedule will be confirmed upon receipt of order and deposit. Machine is shipped FOB St. Louis (the customer is responsible for freight and insurance from Ga-Vehren's dock). Shipment is made "freight collect", exclusive use of truck. For shipments outside the continental United States, an additional $250 per crate will be added to the final invoice to cover the extra crating expense. Installation and Training: Customer is responsible for power and air supplies (installation and connection of). On-site training will require two (2) Ga-Vehren Technicians. One (1) day training is included in the contract price and based upon eight (8) hour work days. Customer will be billed for each additional hour at a rate of $120.00/hour. Transportation (airfare, rental car, fuel, etc) and lodging expenses for both men will be invoiced to the customer at Ga-Vehren's cost. Travel time for the Service Technicians will be billed for the actual time, portal to portal, at a rate of $35.00/hour on Monday through Saturday and $50/hour on Sundays and holidays. Additional travel time due to delays caused by weather, mechanical or schedule changes are the responsibility of the customer. There is a $40 per diem, per Technician, for meals and incidentals. Field Service/Technical Support: Additional field service is available at a rate of $640 per eight hour day, plus travel and lodging expenses as noted above. Important (see Standard Terms and Conditions, which are considered to be incorporated into this proposal): Parts - Warranty - Service Parts and service will be available from our St. Louis, Missouri, U.S.A. factory. You may, however, find local sources for some commercially available items. Warranty is extended on parts only. Ordinarily, replacement parts would be sent to you for installation by your personnel. The motor and controller are covered under the manufacturer's warranty (not by Ga-Vehren). Warranty parts are invoiced upon shipment, with credit issued upon receipt of original part. Provided that proper care and maintenance has been performed on your equipment, warranty on parts manufactured by Ga-Vehren is one (1) year. Ga-Vehren Engineering extends the manufacturer's warranty to the end user on all purchased components. For specific information on this warranty, please refer to item 9 on the Terms and Conditions (attached).
  • 42.
    September 7, 2013 Page9 Ga-Vehren Engineering retains all rights ................
  • 43.
    Ga-Vehren Engineering reservesto itself copyrights and other intellectual property rights on all quotations, drawings, manuals, instructions or any other information or data provided to Buyer. Such items shall remain the property of Ga-Vehren Engineering and shall not be disclosed to any other third party without Ga-Vehren Engineering's prior written permission. If requested, Buyer shall return all items to Ga-Vehren Engineering and certify, in writing, that all copies thereof have been destroyed. Validity: This quotation is valid for a period of sixty (60) days from this date, and may not be extended without the express written consent of an authorized representative of Ga- Vehren Engineering. Ga-Vehren Engineering Co. Jeff Peters President TERMS AND CONDITIONS 1. ACCEPTANCE: For the purposes of this agreement/order. Acceptance shall be by Buyer signing / returning a copy of Ga-Vehren’s Quotation/Purchase Agreement, and by Ga-Vehren signing and returning same as a fully executed copy to Buyer. All sales by Ga-Vehren Engineering are made under the Terms and Conditions, as set forth herein. Provisions of any purchase order submitted by the Buyer shall be of no force and effect, regardless of any provisions to the contrary in any such purchase order. Ga-Vehren Engineering's failure to take exception to the terms and conditions embodied in any purchase order submitted by the Buyer shall not be construed as a waiver of the above provisions. 2. CANCELLATION: After acceptance by Buyer as specified in Paragraph 1 herein, cancellation can only be made with Ga-Vehren Engineering's written consent and upon payment of charges for all work accomplished and expenditures made by Ga-Vehren Engineering, including prospective profits. 3. PRICES: Prices quoted for machines assembled in St. Louis are FOB St. Louis, Missouri. Prices do not include rigging or installation of any machinery sold hereunder. All quoted prices are firm only for the delivery specified in the quotation. All prices and terms of sale are subject to correction for error. See separate Machine Contract for additional price and installation provisions, if any. 4. PAYMENT TERMS, SET OFF PROHIBITED: Nothing contained herein shall be construed as authorizing the Buyer to delay or withhold any payment or payments beyond the due date for any goods or machinery sold under the provisions of Buyer's order. It is expressly understood that all claims on the part of the Buyer are separate and shall have no bearing on the obligation of the Buyer to make payments for the goods or machinery sold under the provisions of these Terms and Conditions. If Buyer shall fail to make any payment to Ga-Vehren Engineering within the time provided, a service charge shall accrue from the due date at the rate of one and one-half (1- 1/2) percent per month until full payment has been made. In addition to the accrual of such service charge, Buyer shall be liable for all other loss, damage or expenses directly suffered or incurred by Ga-Vehren Engineering as a result of Buyer's failure to make timely payment, © 2003 National Scrip Center, Inc. - All rights reserved. 43
  • 44.
    including, but notlimited to, reasonable attorney's fees incurred in connection with the collection of said payments. 5. TITLE: Title to machinery is transferred from Ga-Vehren Engineering to Buyer only after full payment is made. It will be Buyer's responsibility to maintain insurance in the amount of the purchase price of the machinery continuously from the time the machine shipment leaves Ga- Vehren’s dock until title is transferred to Buyer. 6. SHIPMENT DATES: All shipping dates are approximate. Ga-Vehren Engineering will use its best efforts to maintain shipping schedules; however, under no circumstances shall Ga-Vehren Engineering be liable for any damages, consequential or otherwise, due to any delay in shipment or delivery. The responsibility of Ga-Vehren Engineering for proper delivery ceases upon delivery of the goods to the carrier. Any storage costs incurred by Ga-Vehren Engineering for the storage of goods or machinery delayed in shipment at the request of the Buyer shall be paid promptly by the Buyer when invoiced by Ga-Vehren Engineering. In all cases, Buyer shall bear the risk of loss or damage to the machinery from the FOB point, and the Buyer shall be responsible for the filing of all claims with the carrier. All such goods and machinery shall be shipped freight collect, from FOB point. 7. INSTALLATION AND START UP OF MACHINERY: Buyer shall furnish all materials required to erect, start, test and adjust any machinery sold hereunder. It is recommended that Ga- Vehren Engineering or its authorized representative supervise the installation and start up of any such machinery. If the Buyer shall request Ga-Vehren Engineering to supervise the installation and start up of the machinery, then the Buyer shall pay promptly for such services at the then prevailing rates when invoiced, unless included in any separate Machine Contract and subject to the then prevailing rules and conditions as to working conditions and overtime regulations. In the event that the Buyer installs and starts up the machine, all responsibility for all proper installation procedures in accordance with all applicable local building and electrical codes and regulations shall rest upon the Buyer, and Ga-Vehren Engineering may, at its own discretion, rescind, revoke or modify any and all warranties provided by Ga-Vehren Engineering for the machinery so installed by the Buyer without Ga-Vehren Engineering's supervision or approval. 8. SUPPLIES FOR TESTING: In the event that the Buyer specifies testing or trial operation of any machinery sold hereunder at the place of manufacture prior to shipment requiring the use of paper or other supplies, such paper or supplies shall be furnished at the expense of Buyer, FOB place of machine manufacture. 9. LIMITED WARRANTY AND LIABILITY: Ga-Vehren Engineering warrants, that the machinery sold under the provisions hereof when delivered to the FOB point, as specified herein, shall be free from defects in material and workmanship for a period of: One year PROVIDED, HOWEVER, that Ga-Vehren Engineering must be notified, in writing, of any alleged defect within ten (10) business days from the discovery thereof. Ga-Vehren Engineering shall have no responsibility or liability for any defect, latent or otherwise, discovered after the expiration of the warranty period provided above. If the Buyer has not completely fulfilled all obligations to Ga- Vehren Engineering in accordance with the term hereof and the terms of any separate Machine Contract incorporating the terms hereof, including the payment, in full, of the purchase price of the machinery sold thereunder, then Ga-Vehren Engineering shall not be bound to perform in any manner whatsoever under this Warranty. With respect to machinery sold hereunder, this Warranty does not cover or extend to normal wear and tear, nor to damage due to neglect, misuse or abuse, over-speeding, unsuitable or improper maintenance or methods of operation, defects in storage facilities, buildings, housing or installation of the machine by Buyer, unsuitable ground, or chemical, electrochemical or electrical influences, nor to any other defect or treatment not due to the fault of Ga-Vehren Engineering. Further, the warranty provided herein does not extend to any repair or alteration of the machine performed by Buyer or any other third party at Buyer's request unless Ga-Vehren Engineering shall have previously approved of such repair or alteration in © 2003 National Scrip Center, Inc. - All rights reserved. 44
  • 45.
    writing. This Warrantyshall not extend to or cover parts or sub components not manufactured by Ga-Vehren Engineering; provided however, assembler, manufacturer or distributor of such part or sub component to the extent provided by such seller, assembler, manufacturer or distributor of such part or sub component for the benefit of Buyer. Motor/drive is warranted separately by its manufacturer. Credit for warranty replacement parts will be issued only upon receipt of the defective parts by Ga-Vehren Engineering at its home office at 11945 Borman Drive, St. Louis, Missouri 63146 USA. Such defective part or parts must be received by Ga-Vehren Engineering within thirty (30) days of replacement shipping by Ga-Vehren Engineering. All defective parts sent to Ga-Vehren Engineering must be shipped freight pre-paid, at the Buyer's risk and expense, and all replacement parts sent from Ga-Vehren Engineering shall be sent freight prepaid ground freight to the Buyer. Installation of warranty parts is the Buyer's responsibility. This warranty does not apply to field labor charges for parts removal and replacement, service, adjustments, repairs or other work. NO OTHER WARRANTY, EXPRESSED OR IMPLIED, WHETHER OR NOT SIMILAR IN NATURE TO ANY OTHERS PROVIDED HEREIN, SHALL EXIST WITH RESPECT TO THE EQUIPMENT SOLD UNDER THE PROVISIONS OF THESE TERMS AND CONDITIONS. ALL OTHER SUCH WARRANTIES ARE HEREBY EXPRESSLY WAIVED BY THE BUYER. IN NO EVENT SHALL GA-VEHREN ENGINEERING BE LIABLE OR RESPONSIBLE IN ANY WAY WHATSOEVER FOR ANY CONSEQUENTIAL DAMAGES INCURRED BY BUYER. This is the sole warranty of Ga-Vehren Engineering and no other affirmations or promises made by Ga-Vehren Engineering shall be deemed to create an express or implied warranty to such equipment. Ga-Vehren Engineering has not authorized anyone to make any representations or warranties other than the warranty contained herein. 10. ACCESS TO MACHINERY: For delivery, installation, repair, adjustment and replacement purposes and for other purposes pursuant to these Terms and Conditions, Ga-Vehren Engineering shall have free access to the Equipment at such times as are mutually acceptable to Buyer and Ga- Vehren Engineering and Buyer shall provide adequate working space for use by Ga-Vehren Engineering's representatives. 11. COPYRIGHT, CONFIDENTIALITY: Ga-Vehren Engineering reserves to itself copyrights and other intellectual property rights on all quotations, drawings, manuals, instructions or any other information or data provided to Buyer. Such items shall remain the property of Ga-Vehren Engineering and shall not be disclosed to any other third party without Ga-Vehren Engineering's prior written permission. If requested, Buyer shall return all items to Ga-Vehren Engineering and certify, in writing, that all copies thereof have been destroyed. 12. PATENT RIGHTS: The acquisition of Ga-Vehren Engineering machinery, which includes equipment installed at the request of the Buyer, may provide the Buyer with the capacity to manufacture a variety of products. Therefore, Ga-Vehren Engineering cannot guarantee that there will not be valid patents or patent applications owned by third parties and relating to the use of the machine, and the products manufactured by the machine and does not accept responsibility for infringement of third party patent rights. Accordingly, BUYER agrees that Ga-Vehren Engineering Company, its successors and assigns, will be indemnified and held harmless by the BUYER against any and all claims, demands and suits, by any third party by way of patent infringement or the like, including all damages, expenses and attorney's fees, resulting from any or use of the machine and products manufactured by the machine, said damages, expenses and attorney's fees for any reason including those resulting from the manufacturing of products produced by the machine. 13. CHANGES IN DESIGN: As Ga-Vehren Engineering continues to make changes in design, additions to or improvements in its products, Ga-Vehren will notify its customers to provide an opportunityfor them to purchase the desired assembly at the then existing rates for such modifications. © 2003 National Scrip Center, Inc. - All rights reserved. 45
  • 46.
    14. SAFETY COMPLIANCELIABILITY (OSHA): Ga-Vehren Engineering agrees to cooperate with Buyer in finding feasible solutions to possible compliance problems with OSHA or any like national, state or local laws. However, because Ga-Vehren Engineering has little control over many factors which may significantly affect the safety of the machinery, Ga-Vehren Engineering does not warrant the machinery to be in compliance with all such laws. Buyer will be solely responsible for compliance, including any associated expenses. 15. ENTIRE AGREEMENT, CHANGES IN TERMS: These Terms and Conditions shall become effective upon the written acceptance of Ga-Vehren Engineering by its duly authorized representative. It is expressly understood and agreed by the Buyer and Ga-Vehren Engineering that this document (together with Buyer's purchase order, if any, or any separate Machine Contract to which these Terms and Conditions may be attached) constitutes the full understanding of the parties, a complete allocation of the risks between them, and the final and entire agreement between them. Any other terms and conditions, whether contained in any purchase order, invoice, acknowledgment or any other document, which may vary from any term or condition contained herein shall not be made except with the written consent of both Ga-Vehren Engineering and Buyer, nor may such agreement be assigned by either party hereto without the written consent of the other party. 16. SEVERABILITY: The provisions of these Terms and Conditions are severable and, once accepted, if any provision herein shall be held unenforceable or invalid, such invalidity shall not affect any other provision contained herein. 17. NOTICE: For the purpose of any notice required to be given to Ga-Vehren Engineering, such notice should be sent to Ga-Vehren Engineering, 11945 Borman Drive, St. Louis, Missouri 63146 USA. 18. WAIVER: Ga-Vehren Engineering's failure to insist on performance on any of these Terms and Conditions herein or to exercise any right or privilege or waiver or any breach hereunder shall not thereafter waive any other terms, conditions, or privileges, whether of the same or similar type. 19. STANDARDS: All weights and dimensions given in the Quotation/Purchase Agreement as close to actual as practicable but are not guaranteed, nor are they intended to be a part of the warranty provided herein. No claims will be allowed due to any discrepancy between actual weights and dimensions and those listed herein. 20. DAMAGES, LIMITATIONS: In the event of any breach of the terms hereof, including warranty provisions herein, Buyer's exclusive remedy shall be for actual damages, or, at Ga- Vehren Engineering's sole option, replacement of goods or machinery sold hereunder. Ga-Vehren Engineering's total liability for any and all losses arising from any cause whatsoever shall in no event exceed the price allocable to the machinery, goods or services or unit thereof which gives rise to the claim. In no event shall Ga-Vehren Engineering be liable for incidental, consequential or punitive damages, or anticipated profits resulting from any such cause, and recovery for such damages is hereby expressly disclaimed and excluded. 21. CHOICE OF LAW, FORUM AND VENUE: These Terms and Conditions shall be governed and construed according to the laws of the State of Missouri. Any legal action arising from these Terms and Conditions shall be brought in the Circuit Court for the County of St. Louis, Missouri, and Buyer hereby consents and submits to jurisdiction and venue in said court. 22. USAGE RIGHTS This Ga-Vehren Software System remains property of said company until full payment is received and cleared. Our software does feature a user registration process. Systems are delivered with temporary rights of registration that can and will expire if payment terms are not met. Your ability © 2003 National Scrip Center, Inc. - All rights reserved. 46
  • 47.
    to quality inspectyour products will be affected by this procedure, please make sure you inform your accounting department of your machine acceptance. Once Final Payment is received you will be given a permanent registration code that releases the equipment to you. © 2003 National Scrip Center, Inc. - All rights reserved. 47