Production and Mechanistic Characterization of Peptidylglycine Hydroxylating Monooxygenase (PHM) Andrew Bauman Senior Research Associate @ OHSU
Function of PHM and its partner PAL  Vederas, J. C.  et.al .  J. Chem. Soc., Chem. Commun. , (1991) 571-572. Eipper, B. A.  et. al .,  Biochemistry,  41 (2002) 12384-12394.
Structure of PHMcc (aa 42 – 356)
PHM, A Copper Monooxygenase Cu H H172 H108 H107 H244 H242 Di-I-YG Substrate Cu M Y318 R240 N316 D1 D2 Q170 Amzel, L. M.  et. al .,  Science, 278  (1997) 1300-1305. Substrate C   is in close-proximity to Cu M Cu M  is the site of dioxygen binding and catalysis. S = C-terminal D-aminoacid
Active Oxidized State of PHM
General PHM Mechanism
Active Site Coordination of PHM at Different Stages  (b)  Reduced State M314 is not coordinated in  the oxidized state (a)  Resting State Blackburn  et. al .,  J. Biol. Chem.  5 (2000) 341-353. 11 Å Contact 80 Å  2.25 Å
Proposed Mechanisms and Intermediates  Substrate mediated pathway Superoxide channeling Peroxide intermediate Superoxide intermediate
Substrate-Mediated Electron Transfer Amzel, L. M.  et. al .,  Science, 278  (1997) 1300-1305.
Superoxide Channeling Mechanism Proposed by Blackburn & et al.  Superoxide forms at the Cu H  site Channels to the CuM site Cu M  site supplies a proton and an electron to the superoxide converting it to hydroperoxide Hydroperoxide hydroxylates the substrate
Methods for obtaining a reliable supply of PHM and its mutants The spectroscopic and electronic description of intermediates •  The strong preference for methionine coordination at the oxygen  activating Cu M  center •  The pathway of electron transfer (ET) from the H to M site Research Aims
Bauman, Andrew, T.; Blackburn, Ninian, J.; Ralle, Martina.  Large Scale Production of the Copper Enzyme Peptidylglycine Monooxygenase Using an Automated Bioreactor.   Protein Expr. Purif. (2007), 51(1), 34-8. Bauman, Andrew, T.; Jaron, Shula; Yukl, Eric, T.; Burchfiel, Joel, R.; Blackburn, Ninian, J.  pH Dependence of Peptidylglycine Monooxygenase.  Mechanistic Implications of Cu-Methionine Binding Dynamics.   Biochemistry. (2006), 45(37), 11140-50. Bauman, Andrew, T.; Yukl, Erik, T.; Alkevich, Katsiaryna; McCormack, Ashley; Blackburn, Ninian, J.  The Hydrogen Peroxide Reactivity of Peptidylglycine Monooxygenase Supports a Cu(II)-Superoxo Catalytic Intermediate.  J. Biol. Chem. (2006), 281(7), 4190-8. Bauman, Andrew, T.; Boers, Brenda.; Blackburn, Ninian, J.;  Characterization of the Peptidylglycine Monooxygenase M314H Mutant. New Insights Into Methionine Coordination, Oxygen Binding, and Electron Transfer.  In preparation. Publications
Experiments Stopped-Flow Spectrokinetic Analyzer
Experiments Freeze Quench Spectrokinetic Analyzer
Experiments Dissolved Oxygen Electrode
Electron Paramagnetic Resonance Experiments
Experiments EXAFS Shell R( Å ) 2 σ 2  ( Å -1 ) 2.5 N(im)   1.97  0.009 1.5 O/N   1.97  0.009 Cu N1 C2 C5 N4 C3 Cu N1 C2 C5 N4 C3
Large Scale Production of PHM PHM has not been successfully expressed in yeast or bacteria Proposed experiments required gram quantities of enzyme PHMcc successfully expressed in CHO cells CHO sells which secrete PHM grown in hollow fiber bioreactors Small “manual” bioreactor (B1) Large “automated” bioreactor (B2) Harvest media containing apo-PHM is collected and purified
Production of PHM Harvest media  Ammonium Sulfate  Gel Filtration Anion  Exchange  Reconstitution  Experiments
Cells grow in the extra capillary space (ECS) of a capillary cartridge (Brx) Fed through the intercapillary space (ICS) by media pumped from  a 1L reservoir 4 kDa cutoff allows passage of nutrients while retaining  secreted PHM Housed in a sterile CO 2  incubator operated at ~ 5% CO 2  and 37 0 C Crude pH control using bicarbonate buffer and CO 2   Required daily, manual Harvest  compromised sterility increased residence time of PHM in the reactor   B1
Problems S mall size of the Brx resulted in proportionally small yield  Contamination and clogging led to short run lifetimes Enzyme Degradation Decreasing activity, Cu/Protein ratio, and solubility Clipping at Ser 61 Increased exposure to high temperatures, proteases etc. pH fluctuations from 7.5 to 6.4 between feeding and harvest
B2 Schematic of B2 (Accusyst Minimax)
 
 
 
Advantages Large size leads to higher production levels Continuous harvest into a refrigerated bottle less likely to compromise sterility lower residence time of PHM in bioreactor harvest media stored at 4 0 C Feedback control maintained optimal pH ECS loop pumps allows addition of serum and high MW nutrients
Quality Comparison of B1 and B2
Quality Comparison of B1 and B2
MALDI-MS of PHM from B2 ESI-MS of reduced/alkylated PHM provided evidence of an intact N-terminus 35,625 daltons was observed ~ (35,048 Da + (10*58 Da))  Quality Control of PHM from B2
Visible spectrum of PHM pH 8.0  Quality Control of PHM from B2
Description of Intermediates CuM(II)-peroxo is one potential intermediate 2 electron reduced species peroxide shunt should be possible
Substrate: Dansyl-Y-V-G Mix: Buffer pH 5.5, 5uM Cu++,  5uM PHM, Catalase PHM Reaction Mix ± Reductant  TFA Quench  every 30s Initiate Reaction RPHPLC Equipped  with Fluorescence Detector Monitor Oxygen Consumption  Quench  entire reaction with TFA Peroxide Concentration  Assay
Dissolved Oxygen Electrode Standard Hydrogen Peroxide Reaction + Oxygen Consumption
Standard Reaction Using Ascorbate as Reductant Substrate: Dansyl-Y-V-G Buffer pH 5.5, 5uM Cu++, 5uM PHM, 1mM ascorbate TFA Quench  every 30s Add substrate to 300 uM RPHPLC equipped  with Fluorescence Detector
Substrate: Dansyl-Y-V-G Standard Hydrogen Peroxide Reaction + HPLC Buffer pH 5.5, 5uM Cu++, 300uM substrate, 5uM PHM TFA Quench every 30s Add H 2 O 2   to 1mM RPHPLC equipped  with Fluorescence Detector Peroxide Concentration  Assay
Substrate: Dansyl-Y-V-G Standard Hydrogen Peroxide Reaction + Oxygen Consumption Quench  entire reaction with TFA Buffer pH 5.5, 5uM Cu++, 300uM substrate, 5uM PHM Monitor Oxygen Consumption Add H 2 O 2   to 1mM Peroxide Concentration  Assay
Catalysis occurred using peroxide as the only oxygen source H 2 18 O 2  experiments in the presence of  16 O 2  resulted in only 35% incorporation anaerobic conditions or under  18 O 2   resulted in 90% incorporation ruling out  solvent exchange 18 O 2  Incorporation Experiments H 2 18 O 2  under atmospheric  16 O 2  ( a ), H 2 16 O 2  under atmospheric  18 O 2  ( b ), H 2 18 O 2  under anaerobic conditions  c ), and H 2 18 O 2  under atmospheric  18 O 2  ( d ).
Two possible explanations for the data:  1. Generation of an enzyme intermediate capable of exchange with atmospheric dioxygen 2. Simple reduction of the Cu(II) centers by peroxide and subsequent reaction with solution dioxygen Strict anaerobic conditions are difficult to achieve 18 O 2  Incorporation Experiments
oxygen evolution from peroxide measured in the O2-electrode under different conditions.  Initial trace , 100 mM MES pH 5.5, 5 μM Cu2+ and 5 μM PHM;  A , addition of 1 mM H2O2;  B , addition of 200 μM dansyl-YVG substrate. Evolution of Oxygen From Peroxide and PHM
 
Substrate: Dansyl-Y-V-G Peroxide Generation by Glucose/Glucose Oxidase (GO) Buffer pH 5.5, 50mM Glucose,  300uM substrate,  5uM PHM Quench  entire reaction with TFA RPHPLC equipped  with Fluorescence Detector Peroxide Concentration  Assay GO addition 45µg/mL Monitor Oxygen Consumption
Peroxide Generation by Glucose/Glucose Oxidase (GO)
Peroxide Reaction Stoichiometry the GO-free reaction is  uncoupled the reaction of peroxide with  PHM generates a species capable of perpetuating the  disproportionation reaction the GO reaction is highly  coupled and the rate of  product formation remained  constant. peroxide reacts with PHM to  generate product by a  pathway that does not rely on the simple reduction  to dicopper (I) and subsequent reaction with  dissolved oxygen
PHM Kinetics and Thermodynamics
PHM Kinetics and Thermodynamics
PHM Kinetics and Thermodynamics Why is the peroxide reaction slower? Substrate K m  of the peroxide vs. ascorbate reaction suggests that the substrate is binding to a different form of the enzyme in  peroxide reaction, perhaps an oxidized form. The large increase in K D  upon reduction of the enzyme is consistent with this theory.
peroxide is not acting as a simple reductant peroxide is generating a reactive oxygen species in the cavity an intermediate must exist which is equivalent to Cu(I or II)-O 2 Cu(II)-OOH in equlibrium with Cu(I)-O 2 requires a reversible ET from Cu H  to Cu M Cu(II)-superoxo does not require long range ET CuH (H172A) and CuM (H242A) deletion mutants showed no activity Experimental Deductions
Proposed Mechanism
Peroxide reduces 25% of the Cu centers EPR Spectrum of Peroxide Treated PHM 25% of total Cu(II) was reduced to Cu(I) independent of incubation time consistent with mechanistic requirement of Cu H  reduction
Conclusions Peroxide is not the intermediate for product formation Both ascorbate and peroxide pathways share a common intermediate The active intermediate is likely to be a Cu(II)-superoxide The entire reaction is taking place inside the active site cavity This chemistry provided a foundation for future work Spectroscopic characterization of intermediates stopped flow and freeze quench techniques combined with UV-Vis, EXAFS, EPR, and FTIR spectroscopy.
Exploring the Preference for Met Coordination at CuM mutagenesis studies have shown the Met plays a critical role in catalysis EXAFS shows that in the oxidized form the CuM site coordinates 2 histidines and 2 water molecules in the equatorial plane Met is not visible, but is believed to coordinate in the axial plane upon reduction the water ligands are displaced as the Met moves closer  determining the pH dependent correlation between PHM activity, equilibrium constants, and structural changes is important for elucidating the role of  Met in catalysis pH-activity profiles and equilibrium constants were determined in Sulfonic  Acid, (MES/HEPES/CHES)  formate/sulfonic-acid, and acetate/sulfonic-acid  buffer systems (formate or acetate/MES/HEPES/CHES)
XAS Edge Results from Core Ionization Energies (keV)
EXAFS – Photoelectron Scattering a s E 0 absorption coefficient Energy (eV) 1 E a s 2 E
Questions XAS Can Address What types of atoms are in the first coordination sphere of a metal site ? What is the molecular symmetry of this metal site ? How covalent are the metal ligand bonds ? Does a particular treatment ... generate a redox change at this metal site? result in a structural change at this metal site? Is this metal part of a metal cluster ?
Essential Information from EXAFS How many  of  what type  of ligands are at  what distance  from metal? Observable Frequency Phase Shift Amplitude Information Distance Type of Atom # of Atoms
EXAFS of Oxidized PHM Shell R( Å ) 2 σ 2  ( Å -1 ) 2.5 N(im)   1.97  0.009 1.5 O/N   1.97  0.009 Peaks at  ~2 Ǻ  (Cu-N/O)   ~ 3 Ǻ (C2/C5 imidazole)   ~ 4 Ǻ  (C3/N4 imidazole) Cu N1 C2 C5 N4 C3 Cu N1 C2 C5 N4 C3
EXAFS of the reduced PHM shows major changes in coordination First shell is split into two peaks at ~1.90  Ǻ (Cu-N) and ~2.3 Ǻ (Cu-S) Outer shell signatures of histidine are still present   Histidine shell splits if copper sites are refined separately Shell R(Å) 2 σ 2 (Å -1 ) 1.0 N(im)  1.98  0.007 0.5 S(met)  2.26  0.003 1.0 N(im)  1.88  0.007
pH-activity profiles  Acetate system Sulfonic Acid system shifted the pH maximum from 5.8 to  7.0 active species forms at 5.8 and decays at 8.3 exhibited a pH maximum of 5.8  inactive at pH > 9 (borate) MES/HEPES/CHES Acetate/MES/HEPES/CHES broad maximum from pH 5.5 to 6.0 then declined Formate System (Formate/MES/HEPES/CHES)
a single active species with pKas of 6.8  and 8.2 a protonated unreactive species A a major reactive species B formed at pKa  4.6 a less reactive C with pKa’s of 6.8 and 8.2 The formate system fits to: a protonated unreactive species A  a reactive species B with pKas of 4.7 and 6.8. The acetate system fits to: The sulfonic acid system fits to:
apparent K m  of substrate decreased from pH 5-8 K d  did not decrease with pH, but varied with oxidation state change in apparent Km is likely due to a shift to reduction as the rate  determining step (zero-order for substrate) rate dominated by K cat
Significance of pH Rate Data determined pH dependence of other markers in both oxidative states and correlated them to the pH rate data EPR and XAS XAS simulation give rise to a number of paramaters including  coordination distances, numbers, and ligand identity DW factor  measures attenuation of X-ray scattering from thermal motion or quenched disorder  absorption edges (8983 eV)  gives insight into coordination number and oxidation state
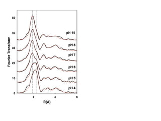
Acetate System oxidized system shows no  significant changes   Cu-S (Met) component is intense at pH 4.0. and dominates the first shell slowly disappears as pH rises Acetate system, ascorbate reduced
DW factor changes from 2σ2 ≤ 0.001 Å 2  to 2σ2 ≥ 0.012 Å 2  in the acetate system characteristic of a transition to a weakly bound state Cu-S DW factor changed from 2σ2 ≤ 0.008 Å 2  to 2σ2 ≥ 0.012 Å 2   Simulations which changed copper occupancy were inferior
8983 eV absorption edge feature  increases and moves to slightly  higher energy as the pH increases tracks pH transition of Cu-S DW indicates a change to a lower  coordination number Acetate system, pH 4.0, 5, 5.5, 6.0 (bottom to top)
pH dependence of the Cu-S Debye-Waller Factor Both systems show the DW factor to be modulated by a deprotonation event, with the pKa of the sulfonic acid system downshifted by ~ 1 pH unit the acetate system has a pKa of 5.9 ± .13 the sulfonic acid system has a pKa of 4.8 ± .10
Significance of the pH-dependent Data Enzyme exists in two forms, “Met on” and “Met off” pKas for the “met off” transition are identical to those of formation of the  active species “ Met off” form is the active form the “met off” state is a flexible conformer with dynamic disorder along the  Cu-S vector tunneling requires conformational mobility
Is the conformational change localized or global? Oxidized PHM was photoreduced in the X-ray beam at pH 5.1 and 100 K in the acetate buffer system.  isosbestic point indicates formation of a single species of reduced enzyme. simulation reveals the “Met off” form and that scatterers present in the oxidized  form have dissociated So, although localized changes can  occur in the frozen matrix, the “Met off” form suggests that the Cu-S transition  requires changes in more global elements. Edges at 0, 30, 60, 90, 180 minutes (bottom to top) Photoreduced in red, ascorbate reduced in black
It is likely that the Cu_S(Met) transition affects catalysis by participating in  H-tunneling. Cu-S(Met) likely samples the same protein dynamics as the  tunneling process conformational mobility of the substrate relative to the active copper-superoxo species may allow it to modulate the tunneling probability  by sampling vibrational modes along the Cu-O----H---C   coordinate substrate cross-links two beta strands via R240  connected to strand with H242 and H244 also connected to strand containing M314 via Y318 and N316 C315 anchors the latter strand to C293 Cu-S(Met) interaction may be transmitted via the substrate-binding beta strands about the C315 anchor modulating the Cu-O----H---C distance Back donation of electrons from the weakly bound Met-S may stabalize the Cu(I) form, increasing the probability of tunneling by increasing the driving force  Conclusions
Present Work characterization of complete S transition with the formate buffer system structural and kinetic characterization of M314H  characterization of redox kinetics using stopped flow and freeze quench techniques in conjunction with EPR and XAS. kinetic and structural characterization of PHM activators and inhibitors
Future Work One experiment too many M314H EXAFS revealed that although M314 is critical for  catalysis, it  is not responsible for the on/off transition identify the source of the S signal reexamine oxygen binding preferences  reexamine the role of M314 Characterize the active oxygen intermediate by using mutants and  slow substrates to cause it to accumulate in the active site cleft  Determine viability of ET pathways using a photoactivatable reductant  TUPS (thiouredo-pyrenesulfonate)  substrate bound TUPS for the substrate mediated pathway bind TUPS to residues with short pathways to the Cu centers
Acknowledgements NIH DOE Stanford Synchotron Radiation Laboratory Staff Ninian Blackburn, Ph.D. Pierre Moienne Loccoez, Ph.D. Caitlin Grammer Gnana Sutha, Ph.D. Martina Ralle, Ph.D. Luisa Andruzzi, Ph.D. Joel Burchfiel
 
 
 
 
 
 
 
 

My work at OHSU

  • 1.
    Production and MechanisticCharacterization of Peptidylglycine Hydroxylating Monooxygenase (PHM) Andrew Bauman Senior Research Associate @ OHSU
  • 2.
    Function of PHMand its partner PAL Vederas, J. C. et.al . J. Chem. Soc., Chem. Commun. , (1991) 571-572. Eipper, B. A. et. al ., Biochemistry, 41 (2002) 12384-12394.
  • 3.
    Structure of PHMcc(aa 42 – 356)
  • 4.
    PHM, A CopperMonooxygenase Cu H H172 H108 H107 H244 H242 Di-I-YG Substrate Cu M Y318 R240 N316 D1 D2 Q170 Amzel, L. M. et. al ., Science, 278 (1997) 1300-1305. Substrate C  is in close-proximity to Cu M Cu M is the site of dioxygen binding and catalysis. S = C-terminal D-aminoacid
  • 5.
  • 6.
  • 7.
    Active Site Coordinationof PHM at Different Stages (b) Reduced State M314 is not coordinated in the oxidized state (a) Resting State Blackburn et. al ., J. Biol. Chem. 5 (2000) 341-353. 11 Å Contact 80 Å 2.25 Å
  • 8.
    Proposed Mechanisms andIntermediates Substrate mediated pathway Superoxide channeling Peroxide intermediate Superoxide intermediate
  • 9.
    Substrate-Mediated Electron TransferAmzel, L. M. et. al ., Science, 278 (1997) 1300-1305.
  • 10.
    Superoxide Channeling MechanismProposed by Blackburn & et al. Superoxide forms at the Cu H site Channels to the CuM site Cu M site supplies a proton and an electron to the superoxide converting it to hydroperoxide Hydroperoxide hydroxylates the substrate
  • 11.
    Methods for obtaininga reliable supply of PHM and its mutants The spectroscopic and electronic description of intermediates • The strong preference for methionine coordination at the oxygen activating Cu M center • The pathway of electron transfer (ET) from the H to M site Research Aims
  • 12.
    Bauman, Andrew, T.;Blackburn, Ninian, J.; Ralle, Martina. Large Scale Production of the Copper Enzyme Peptidylglycine Monooxygenase Using an Automated Bioreactor. Protein Expr. Purif. (2007), 51(1), 34-8. Bauman, Andrew, T.; Jaron, Shula; Yukl, Eric, T.; Burchfiel, Joel, R.; Blackburn, Ninian, J. pH Dependence of Peptidylglycine Monooxygenase. Mechanistic Implications of Cu-Methionine Binding Dynamics. Biochemistry. (2006), 45(37), 11140-50. Bauman, Andrew, T.; Yukl, Erik, T.; Alkevich, Katsiaryna; McCormack, Ashley; Blackburn, Ninian, J. The Hydrogen Peroxide Reactivity of Peptidylglycine Monooxygenase Supports a Cu(II)-Superoxo Catalytic Intermediate. J. Biol. Chem. (2006), 281(7), 4190-8. Bauman, Andrew, T.; Boers, Brenda.; Blackburn, Ninian, J.; Characterization of the Peptidylglycine Monooxygenase M314H Mutant. New Insights Into Methionine Coordination, Oxygen Binding, and Electron Transfer. In preparation. Publications
  • 13.
  • 14.
    Experiments Freeze QuenchSpectrokinetic Analyzer
  • 15.
  • 16.
  • 17.
    Experiments EXAFS ShellR( Å ) 2 σ 2 ( Å -1 ) 2.5 N(im) 1.97 0.009 1.5 O/N 1.97 0.009 Cu N1 C2 C5 N4 C3 Cu N1 C2 C5 N4 C3
  • 18.
    Large Scale Productionof PHM PHM has not been successfully expressed in yeast or bacteria Proposed experiments required gram quantities of enzyme PHMcc successfully expressed in CHO cells CHO sells which secrete PHM grown in hollow fiber bioreactors Small “manual” bioreactor (B1) Large “automated” bioreactor (B2) Harvest media containing apo-PHM is collected and purified
  • 19.
    Production of PHMHarvest media Ammonium Sulfate Gel Filtration Anion Exchange Reconstitution Experiments
  • 20.
    Cells grow inthe extra capillary space (ECS) of a capillary cartridge (Brx) Fed through the intercapillary space (ICS) by media pumped from a 1L reservoir 4 kDa cutoff allows passage of nutrients while retaining secreted PHM Housed in a sterile CO 2 incubator operated at ~ 5% CO 2 and 37 0 C Crude pH control using bicarbonate buffer and CO 2 Required daily, manual Harvest compromised sterility increased residence time of PHM in the reactor B1
  • 21.
    Problems S mallsize of the Brx resulted in proportionally small yield Contamination and clogging led to short run lifetimes Enzyme Degradation Decreasing activity, Cu/Protein ratio, and solubility Clipping at Ser 61 Increased exposure to high temperatures, proteases etc. pH fluctuations from 7.5 to 6.4 between feeding and harvest
  • 22.
    B2 Schematic ofB2 (Accusyst Minimax)
  • 23.
  • 24.
  • 25.
  • 26.
    Advantages Large sizeleads to higher production levels Continuous harvest into a refrigerated bottle less likely to compromise sterility lower residence time of PHM in bioreactor harvest media stored at 4 0 C Feedback control maintained optimal pH ECS loop pumps allows addition of serum and high MW nutrients
  • 27.
  • 28.
  • 29.
    MALDI-MS of PHMfrom B2 ESI-MS of reduced/alkylated PHM provided evidence of an intact N-terminus 35,625 daltons was observed ~ (35,048 Da + (10*58 Da)) Quality Control of PHM from B2
  • 30.
    Visible spectrum ofPHM pH 8.0 Quality Control of PHM from B2
  • 31.
    Description of IntermediatesCuM(II)-peroxo is one potential intermediate 2 electron reduced species peroxide shunt should be possible
  • 32.
    Substrate: Dansyl-Y-V-G Mix:Buffer pH 5.5, 5uM Cu++, 5uM PHM, Catalase PHM Reaction Mix ± Reductant TFA Quench every 30s Initiate Reaction RPHPLC Equipped with Fluorescence Detector Monitor Oxygen Consumption Quench entire reaction with TFA Peroxide Concentration Assay
  • 33.
    Dissolved Oxygen ElectrodeStandard Hydrogen Peroxide Reaction + Oxygen Consumption
  • 34.
    Standard Reaction UsingAscorbate as Reductant Substrate: Dansyl-Y-V-G Buffer pH 5.5, 5uM Cu++, 5uM PHM, 1mM ascorbate TFA Quench every 30s Add substrate to 300 uM RPHPLC equipped with Fluorescence Detector
  • 35.
    Substrate: Dansyl-Y-V-G StandardHydrogen Peroxide Reaction + HPLC Buffer pH 5.5, 5uM Cu++, 300uM substrate, 5uM PHM TFA Quench every 30s Add H 2 O 2 to 1mM RPHPLC equipped with Fluorescence Detector Peroxide Concentration Assay
  • 36.
    Substrate: Dansyl-Y-V-G StandardHydrogen Peroxide Reaction + Oxygen Consumption Quench entire reaction with TFA Buffer pH 5.5, 5uM Cu++, 300uM substrate, 5uM PHM Monitor Oxygen Consumption Add H 2 O 2 to 1mM Peroxide Concentration Assay
  • 37.
    Catalysis occurred usingperoxide as the only oxygen source H 2 18 O 2 experiments in the presence of 16 O 2 resulted in only 35% incorporation anaerobic conditions or under 18 O 2 resulted in 90% incorporation ruling out solvent exchange 18 O 2 Incorporation Experiments H 2 18 O 2 under atmospheric 16 O 2 ( a ), H 2 16 O 2 under atmospheric 18 O 2 ( b ), H 2 18 O 2 under anaerobic conditions c ), and H 2 18 O 2 under atmospheric 18 O 2 ( d ).
  • 38.
    Two possible explanationsfor the data: 1. Generation of an enzyme intermediate capable of exchange with atmospheric dioxygen 2. Simple reduction of the Cu(II) centers by peroxide and subsequent reaction with solution dioxygen Strict anaerobic conditions are difficult to achieve 18 O 2 Incorporation Experiments
  • 39.
    oxygen evolution fromperoxide measured in the O2-electrode under different conditions. Initial trace , 100 mM MES pH 5.5, 5 μM Cu2+ and 5 μM PHM; A , addition of 1 mM H2O2; B , addition of 200 μM dansyl-YVG substrate. Evolution of Oxygen From Peroxide and PHM
  • 40.
  • 41.
    Substrate: Dansyl-Y-V-G PeroxideGeneration by Glucose/Glucose Oxidase (GO) Buffer pH 5.5, 50mM Glucose, 300uM substrate, 5uM PHM Quench entire reaction with TFA RPHPLC equipped with Fluorescence Detector Peroxide Concentration Assay GO addition 45µg/mL Monitor Oxygen Consumption
  • 42.
    Peroxide Generation byGlucose/Glucose Oxidase (GO)
  • 43.
    Peroxide Reaction Stoichiometrythe GO-free reaction is uncoupled the reaction of peroxide with PHM generates a species capable of perpetuating the disproportionation reaction the GO reaction is highly coupled and the rate of product formation remained constant. peroxide reacts with PHM to generate product by a pathway that does not rely on the simple reduction to dicopper (I) and subsequent reaction with dissolved oxygen
  • 44.
    PHM Kinetics andThermodynamics
  • 45.
    PHM Kinetics andThermodynamics
  • 46.
    PHM Kinetics andThermodynamics Why is the peroxide reaction slower? Substrate K m of the peroxide vs. ascorbate reaction suggests that the substrate is binding to a different form of the enzyme in peroxide reaction, perhaps an oxidized form. The large increase in K D upon reduction of the enzyme is consistent with this theory.
  • 47.
    peroxide is notacting as a simple reductant peroxide is generating a reactive oxygen species in the cavity an intermediate must exist which is equivalent to Cu(I or II)-O 2 Cu(II)-OOH in equlibrium with Cu(I)-O 2 requires a reversible ET from Cu H to Cu M Cu(II)-superoxo does not require long range ET CuH (H172A) and CuM (H242A) deletion mutants showed no activity Experimental Deductions
  • 48.
  • 49.
    Peroxide reduces 25%of the Cu centers EPR Spectrum of Peroxide Treated PHM 25% of total Cu(II) was reduced to Cu(I) independent of incubation time consistent with mechanistic requirement of Cu H reduction
  • 50.
    Conclusions Peroxide isnot the intermediate for product formation Both ascorbate and peroxide pathways share a common intermediate The active intermediate is likely to be a Cu(II)-superoxide The entire reaction is taking place inside the active site cavity This chemistry provided a foundation for future work Spectroscopic characterization of intermediates stopped flow and freeze quench techniques combined with UV-Vis, EXAFS, EPR, and FTIR spectroscopy.
  • 51.
    Exploring the Preferencefor Met Coordination at CuM mutagenesis studies have shown the Met plays a critical role in catalysis EXAFS shows that in the oxidized form the CuM site coordinates 2 histidines and 2 water molecules in the equatorial plane Met is not visible, but is believed to coordinate in the axial plane upon reduction the water ligands are displaced as the Met moves closer determining the pH dependent correlation between PHM activity, equilibrium constants, and structural changes is important for elucidating the role of Met in catalysis pH-activity profiles and equilibrium constants were determined in Sulfonic Acid, (MES/HEPES/CHES) formate/sulfonic-acid, and acetate/sulfonic-acid buffer systems (formate or acetate/MES/HEPES/CHES)
  • 52.
    XAS Edge Resultsfrom Core Ionization Energies (keV)
  • 53.
    EXAFS – PhotoelectronScattering a s E 0 absorption coefficient Energy (eV) 1 E a s 2 E
  • 54.
    Questions XAS CanAddress What types of atoms are in the first coordination sphere of a metal site ? What is the molecular symmetry of this metal site ? How covalent are the metal ligand bonds ? Does a particular treatment ... generate a redox change at this metal site? result in a structural change at this metal site? Is this metal part of a metal cluster ?
  • 55.
    Essential Information fromEXAFS How many of what type of ligands are at what distance from metal? Observable Frequency Phase Shift Amplitude Information Distance Type of Atom # of Atoms
  • 56.
    EXAFS of OxidizedPHM Shell R( Å ) 2 σ 2 ( Å -1 ) 2.5 N(im) 1.97 0.009 1.5 O/N 1.97 0.009 Peaks at ~2 Ǻ (Cu-N/O) ~ 3 Ǻ (C2/C5 imidazole) ~ 4 Ǻ (C3/N4 imidazole) Cu N1 C2 C5 N4 C3 Cu N1 C2 C5 N4 C3
  • 57.
    EXAFS of thereduced PHM shows major changes in coordination First shell is split into two peaks at ~1.90 Ǻ (Cu-N) and ~2.3 Ǻ (Cu-S) Outer shell signatures of histidine are still present Histidine shell splits if copper sites are refined separately Shell R(Å) 2 σ 2 (Å -1 ) 1.0 N(im) 1.98 0.007 0.5 S(met) 2.26 0.003 1.0 N(im) 1.88 0.007
  • 58.
    pH-activity profiles Acetate system Sulfonic Acid system shifted the pH maximum from 5.8 to 7.0 active species forms at 5.8 and decays at 8.3 exhibited a pH maximum of 5.8 inactive at pH > 9 (borate) MES/HEPES/CHES Acetate/MES/HEPES/CHES broad maximum from pH 5.5 to 6.0 then declined Formate System (Formate/MES/HEPES/CHES)
  • 59.
    a single activespecies with pKas of 6.8 and 8.2 a protonated unreactive species A a major reactive species B formed at pKa 4.6 a less reactive C with pKa’s of 6.8 and 8.2 The formate system fits to: a protonated unreactive species A a reactive species B with pKas of 4.7 and 6.8. The acetate system fits to: The sulfonic acid system fits to:
  • 60.
    apparent K m of substrate decreased from pH 5-8 K d did not decrease with pH, but varied with oxidation state change in apparent Km is likely due to a shift to reduction as the rate determining step (zero-order for substrate) rate dominated by K cat
  • 61.
    Significance of pHRate Data determined pH dependence of other markers in both oxidative states and correlated them to the pH rate data EPR and XAS XAS simulation give rise to a number of paramaters including coordination distances, numbers, and ligand identity DW factor measures attenuation of X-ray scattering from thermal motion or quenched disorder absorption edges (8983 eV) gives insight into coordination number and oxidation state
  • 62.
    Acetate System oxidizedsystem shows no significant changes Cu-S (Met) component is intense at pH 4.0. and dominates the first shell slowly disappears as pH rises Acetate system, ascorbate reduced
  • 63.
    DW factor changesfrom 2σ2 ≤ 0.001 Å 2 to 2σ2 ≥ 0.012 Å 2 in the acetate system characteristic of a transition to a weakly bound state Cu-S DW factor changed from 2σ2 ≤ 0.008 Å 2 to 2σ2 ≥ 0.012 Å 2 Simulations which changed copper occupancy were inferior
  • 64.
    8983 eV absorptionedge feature increases and moves to slightly higher energy as the pH increases tracks pH transition of Cu-S DW indicates a change to a lower coordination number Acetate system, pH 4.0, 5, 5.5, 6.0 (bottom to top)
  • 65.
    pH dependence ofthe Cu-S Debye-Waller Factor Both systems show the DW factor to be modulated by a deprotonation event, with the pKa of the sulfonic acid system downshifted by ~ 1 pH unit the acetate system has a pKa of 5.9 ± .13 the sulfonic acid system has a pKa of 4.8 ± .10
  • 66.
    Significance of thepH-dependent Data Enzyme exists in two forms, “Met on” and “Met off” pKas for the “met off” transition are identical to those of formation of the active species “ Met off” form is the active form the “met off” state is a flexible conformer with dynamic disorder along the Cu-S vector tunneling requires conformational mobility
  • 67.
    Is the conformationalchange localized or global? Oxidized PHM was photoreduced in the X-ray beam at pH 5.1 and 100 K in the acetate buffer system. isosbestic point indicates formation of a single species of reduced enzyme. simulation reveals the “Met off” form and that scatterers present in the oxidized form have dissociated So, although localized changes can occur in the frozen matrix, the “Met off” form suggests that the Cu-S transition requires changes in more global elements. Edges at 0, 30, 60, 90, 180 minutes (bottom to top) Photoreduced in red, ascorbate reduced in black
  • 68.
    It is likelythat the Cu_S(Met) transition affects catalysis by participating in H-tunneling. Cu-S(Met) likely samples the same protein dynamics as the tunneling process conformational mobility of the substrate relative to the active copper-superoxo species may allow it to modulate the tunneling probability by sampling vibrational modes along the Cu-O----H---C coordinate substrate cross-links two beta strands via R240 connected to strand with H242 and H244 also connected to strand containing M314 via Y318 and N316 C315 anchors the latter strand to C293 Cu-S(Met) interaction may be transmitted via the substrate-binding beta strands about the C315 anchor modulating the Cu-O----H---C distance Back donation of electrons from the weakly bound Met-S may stabalize the Cu(I) form, increasing the probability of tunneling by increasing the driving force Conclusions
  • 69.
    Present Work characterizationof complete S transition with the formate buffer system structural and kinetic characterization of M314H characterization of redox kinetics using stopped flow and freeze quench techniques in conjunction with EPR and XAS. kinetic and structural characterization of PHM activators and inhibitors
  • 70.
    Future Work Oneexperiment too many M314H EXAFS revealed that although M314 is critical for catalysis, it is not responsible for the on/off transition identify the source of the S signal reexamine oxygen binding preferences reexamine the role of M314 Characterize the active oxygen intermediate by using mutants and slow substrates to cause it to accumulate in the active site cleft Determine viability of ET pathways using a photoactivatable reductant TUPS (thiouredo-pyrenesulfonate) substrate bound TUPS for the substrate mediated pathway bind TUPS to residues with short pathways to the Cu centers
  • 71.
    Acknowledgements NIH DOEStanford Synchotron Radiation Laboratory Staff Ninian Blackburn, Ph.D. Pierre Moienne Loccoez, Ph.D. Caitlin Grammer Gnana Sutha, Ph.D. Martina Ralle, Ph.D. Luisa Andruzzi, Ph.D. Joel Burchfiel
  • 72.
  • 73.
  • 74.
  • 75.
  • 76.
  • 77.
  • 78.
  • 79.