Master of Business Administration

                                    Semester II

                           MB0048 –Operation Research


                                  Assignment Set- 1



1. a. Explain how and why Operation Research methods have been valuable in aiding
executive decisions.

Ans.

 Operation Research methods have been valuable in aiding executive decisions.



Churchman, Aackoff and Aruoff defined Operations Research as:

“The application of scientific methods, techniques and tools to operation of a
system with optimum solutions to the problems, where „optimum‟ refers to the best
possible alternative. The objective of Operations Research is to provide a scientific
basis to the decision-makers for solving problems involving interaction of various
components of the organisation. You can achieve this by employing a team of
scientists from different dis ciplines, to work together for finding the best possible
solution in the interest of the organisation as a whole.

The solution thus obtained is known as an optimal decision. You can also define
Operations Research as

“The use of scientific methods to provide criteria for decisions regarding man,
machine and systems involving repetitive operations”.

OR

“Operation Techniques is a bunch of mathematical techniques.
b. “Operation Research is an aid for the executive in making his decisions based on
scientific methods analysis”.

Discuss the above statement in brief.

Ans.



“Operation Research is an aid for the executive in making his decisions based on scientific
methods analysis”.

Discussion:-

Any problem, simple or complicated, can use OR techniques to find the best possible solution.
This section will explain the scope of OR by seeing its application in various fields of everyday
life.

   i)      In Defense Operations:

In modern warfare, the defense operations are carried out by three major independent
components namely Air Force, Army and Navy. The activities in each of these components can
be further divided in four sub-components namely: administration, intelligence, operations and
training and supply. The applications of modern warfare techniques in each of the components of
military organisations require expertise knowledge in respective fields. Furthermore, each
component works to drive maximum gains from its operations and there is always a possibility
that the strategy beneficial to one component may be unfeasible for another component. Thus in
defense operations, there is a requirement to co-ordinate the activities of various components,
which gives maximum benefit to the organisation as a whole, having maximum use of the
individual components. A team of scientists from various disciplines come together to study the
strategies of different components. After appropriate analysis of the various courses of actions,
the team selects the best course of action, known as the „optimum strategy‟.

   ii)     In Industry:

The system of modern industries is so complex that the optimum point of operation in its various
components cannot be intuitively judged by an individual. The business environment is always
changing and any decision useful at one time may not be so good sometime later. There is
always a need to check the validity of decisions continuously against the situations. The
industrial revolution with increased division of labour and introduction of management
responsibilities has made each component an independent unit having their own goals. For
example: production department minimises the cost of production but maximize output.
Marketing department maximizes the output, but minimizes cost of unit sales. Finance
department tries to optimise the capital investment and personnel department appoints
good people at minimum cost. Thus each department plans its own objectives and all these
objectives of various department or components come to conflict with one another and may not
agree to the overall objectives of the organisation. The application of OR techniques helps in
overcoming this difficulty by integrating the diversified activities of various components to serve
the interest of the organisation as a whole efficiently. OR methods in industry can be applied in
the fields of production, inventory controls and marketing, purchasing, transportation
and competitive strategies.

   iii)    Planning:

In modern times, it has become necessary for every government to have careful planning, for
economic development of the country. OR techniques can be fruitfully applied to maximise the
per capita income, with minimum sacrifice and time. A government can thus use OR for framing
future economic and social policies.

   iv)     Agriculture:

With increase in population, there is a need to increase agriculture output. But this cannot be
done arbitrarily. There are several restrictions. Hence the need to determine a course of action
serving the best under the given restrictions. You can solve this problem by applying OR
techniques.

   v)      In Hospitals:

OR methods can solve waiting problems in out-patient department of big hospitals and
administrative problems of the hospital organizations.

   vi)     In Transport:

You can apply different OR methods to regulate the arrival of trains and processing times
minimize the passengers waiting time and reduce congestion, formulate suitable transportation
policy, thereby reducing the costs and time of trans-shipment.

   vii)    Research and Development:

You can apply OR methodologies in the field of R&D for several purposes, such as to control
and plan product introductions.
Q2. Explain how the linear programming technique can be helpful in decision-making in
the areas of Marketing and Finance.



Ans.



Linear programming technique

Linear programming problems are a special class of mathematical programming problems
for which the objective function and all constraints are linear. A classic example of
the application of linear programming is the maximization of profits given various production or
cost constraints. Linear programming can be applied to a variety of business problems, such as
marketing mix determination, financial decision making, production scheduling, workforce
assignment, and resource blending. Such problems are generally solved using the “simplex
method.”



MEDIA SELECTION PROBLEM.

The local Chamber of Commerce periodically sponsors public service seminars and programs.
Promotional plans are under way for this year‟s program. Advertising alternatives include
television, radio, and newspaper. Audience estimates, costs, and maximum media usage
limitations are shown in Exhibit 1.If the promotional budget is limited to $18,200, how many
commercial messages should be run on each medium to maximize total audience contact? Linear
programming can find the answer.
Q3. a. How do you recognize optimality in the simplex method?

b. Write the role of pivot element in simplex table?



Ans.

Simplex method is used for solving Linear programming problem especially when more than
two variables are involved

SIMPLEX METHOD

1. Set up the problem.

That is, write the objective function and the constraints.

2. Convert the inequalities into equations.

This is done by adding one slack variable for each inequality.

3. Construct the initial simplex tableau.

Write the objective function as the bottom row.

4. The most negative entry in the bottom row identifies a column.

5. Calculate the quotients. The smallest quotient identifies a row. The element in the intersection
of the column identified in step 4 and the row identified in this step is identified as the pivot
element.

The quotients are computed by dividing the far right column by the identified column in step 4.

A quotient that is a zero, or a negative number, or that has a zero in the denominator, is ignored.

6. Perform pivoting to make all other entries in this column zero.

This is done the same way as we did with the Gauss-Jordan method.

7. When there are no more negative entries in the bottom row, we are finished; otherwise, we
start again from step 4.

8.Read off your answers.

Get the variables using the columns with 1 and 0s. All other variables are zero. The maximum
value you are looking for appears in the bottom right hand corner.
Example

Niki holds two part-time jobs, Job I and Job II. She never wants to work more than a total of
12hours a week. Shehas determined that for every hour she works at Job I, she needs 2 hours of
preparation time, andfor every hour she works at Job II, she needs one hour of preparation time,
and she cannot spend more than 16hours for preparation. If she makes $40 an hour at Job I, and
$30 an hour at Job II, how many hoursshould she work per week at each job to maximize her
income?

Solution:

In solving this problem, we will follow the algorithm listed above.

1. Set up the problem.

That is, write the objective function and the constraints.Since the simplex method is used
for problems that consist of many variables, it is not practicalto use the variables x, y, z etc. We
use the symbols x1, x2, x3, and so on.Let x1 = The number of hours per week Niki will work at
Job I.and x2 = The number of hours per week Niki will work at Job II.It is customary to choose
the variable that is to be maximized as Z.The problem is formulated the same way as we did in
the last chapter.



Maximize

Z = 40×1 + 30×2

Subject to:

x1 + x2 ≤ 122×1 + x2 ≤ 16x1 ≥ 0; x2 ≥ 0.



2. Convert the inequalities into equations.

This is done by adding one slack variable for each inequality. For example to convert the
inequality x1 + x2 ≤ 12 into an equation, we add a non-negative variable y1, and we getx1 + x2
+ y1 = 12Here the variable y1 picks up the slack, and it represents the amount by which
x1 + x2 falls short of 12. In this problem, if Niki works fewer that 12 hours, say 10, and then
y1 is 2. Later when we read off the final solution from the simplex table, the values of the slack
variables will identify the unused amounts. We can even rewrite the objective function Z = 40×1
+ 30×2 as – 40×1 – 30×2 + Z = 0.After adding the slack variables, our problem reads

Objective function: – 40×1 – 30×2 + Z = 0Subject to constraints: x1 + x2 + y1 = 122×1 + x2 +
y2 = 16x1 ≥ 0; x2 ≥ 0.
3. Construct the initial simplex tableau.

Write the objective function as the bottom row. Now that the inequalities are converted into
equations, we can represent the problem into an augmented matrix called the initial simplex
tableau as follows.x1x2y1y2ZC11100122101016 –40–300010Here the vertical line separates the
left hand side of the equations from the right side. The horizontal line separates the constraints
from the objective function. The right side of the equation is represented by the column C.



The reader needs to observe that the last four columns of this matrix look like the final matrix
for the solution of a system of equations. If we arbitrarily choose x1 = 0 and x2 = 0, we get
Which readsy1 = 12y2 = 16Z = 0The solution obtained by arbitrarily assigning values to some
variables and then solving for the remaining variables is called the basic solution associated
with the tableau. So the above solution is the basic solution associated with the initial simplex
tableau. We can label the basic solution variable in the right of the last column as shown in the
table below.x1x2y1y2Z1110012y12101016y2 –40–300010Z.



4. the most negative entry in the bottom row identifies a column.

The most negative entry in the bottom row is –40; therefore the column 1 is identified.
Q4. What is the significance of duality theory of linear programming? Describe the general
rules for writing the dual of a linear programming problem.

Ans.

                                       Linear programming



LP is a mathematical method for determining a way to achieve the best outcome (such as
maximum profit or lowest cost) in a given mathematical model for some list of requirements
represented as linear relationships. Linear programming is a specific case of mathematical
programming. More formally, linear programming is a technique for the optimization of
a linear objectivefunction, subject to linear equality and linear inequality constraints. Given
a polytope and areal-valued affine function defined on this polytope, a linear programming
method will find a point on the polytope where this function has the smallest (or largest) value if
such point exists, by searching through the polytope vertices.



X       1       x    2       y     1      y       2        Z    1         1           1
0           0            1        2           y             1       2           1
0           1            0        1           6             y       2



Linear programs are problems that can be expressed in canonical form:

where

x represents the vector of variables (to be determined),

c and b are vectors of (known)coefficients and

 A is a (known) matrix of coefficients. The expression to be maximized or minimized is called
the Objective function (c T x in this case).

The equations A x ≤ b are the constraints which specify a convex polytope over which the
objective function is to be optimized. (In this context, two vectors are comparable when every
entry in one is less-than or equal-to the corresponding entry in the other. Otherwise, they are
incomparable.)Linear programming can be applied to various fields of study. It is used most
extensively in business and economics, but can also be utilized for some engineering
problems. Industries that use linear programming models include transportation, energy,
telecommunications, and manufacturing. It has proved useful in modeling diverse types of
problems in planning, routing, scheduling, assignment, and design.Duality:
Every linear programming problem, referred to as a primal problem, can be converted into a dual
problem, which provides an upper bound to the optimal value of the primal problem. In matrix
form, we can express the primal problem as:

Maximize

CTx

Subject to

A x ≤ b, x ≥ 0; with the corresponding symmetric dual problem,

Minimize

BTy

Subject to

A T y ≥ c, y ≥ 0.An alternative primal formulation is:

Maximize

CTx

Subject to

A x ≤ b; with the corresponding asymmetric dual problem,

Minimize

BTy

Subject to

 A T y = c, y ≥ 0. There are two ideas fundamental to duality theory. One is the fact that (for the
symmetric dual) the dual of a dual linear program is the original primal linear program.
Additionally, every feasible solution for a linear program gives a bound on the optimal value of
the objective function of its dual. The weak duality theorem states that the objective function
value of the dual at any feasible solution is always greater than or equal to the objective function
value of the primal at any feasible solution. The strong duality theorem states that if the primal
has an optimal solution,

x*, then the dual also has an optimal solution,

y*, such that

cTx*=bTy*
A linear program can also be unbounded or infeasible. Duality theory tells us that if the primal is
unbounded then the dual is infeasible by the weak duality theorem. Likewise, if the dual is
unbounded, then the primal must be infeasible. However, it is possible for both the dual and
the primal to be infeasible.
Q5. Use Two-Phase simplex method to solve:

Minimize z= x

1 +x 2 +x 3

Subject to constraints: x

1 - 3x 2 + 4x 3 =5x

1 - 2x 2 ≤ 32x

2 + x 3 ≥ 4x

1 ≥ 0, x 2 ≥ 0 and x 3 is unrestricted.



Ans:

Rewriting in the standard form, Minimize Z = X

1 + X 2 + X 3 + MA

1 + 0S1 + 0S2



Subject to X

1 – 3X 2 +4X 3 +MA 1= 5X

1 -2X 2 + S 1 = 32X

2 + X 3 – S 2= 4,

X1,

X2,

X3,

S1, S2, A1 > 0.

Phase 1: Consider the new objective
Maximize Z* = A1

Subject to2 × 1 + x2 – S1 + A1 = 2

X1 X2 X3 S1 S2 A1

Cj 0 0 0 0 0 1

RatioA1 - 11-3*40015-5/3S1 01-201003-1S2 00210-104-4/3Zj1-34001Zj-Cj1-
34000↑most –ve

Work Column*Pivot element

X1 enters the basic set replacing A1. The first iteration gives the following table:

X1X2X3S1S2A1

Cj000001X

1

0-1/31-4/300-1/3-5/3S2 0-1/2-7/2-210-1/2½S3 00210-104Zj

0000000

Zj-Cj00000-1Phase I is complete, since there are one negative elements in the
last row.



Phase II:

Consider the original objective function,

Maximize z = x1 + x2+x3 + 0S1 + 0S2Subject to -3x1/3 + x2 – 4x3/3 =-5/3-x1/2 –
7x2/2 – 2x3 + S1 =1/22x2 + x3 –S2 = 4x1, x2, S1, S2 = 0


The maximum value of the objective function Z = 6 which is attained for x1= 2, x2 = 0
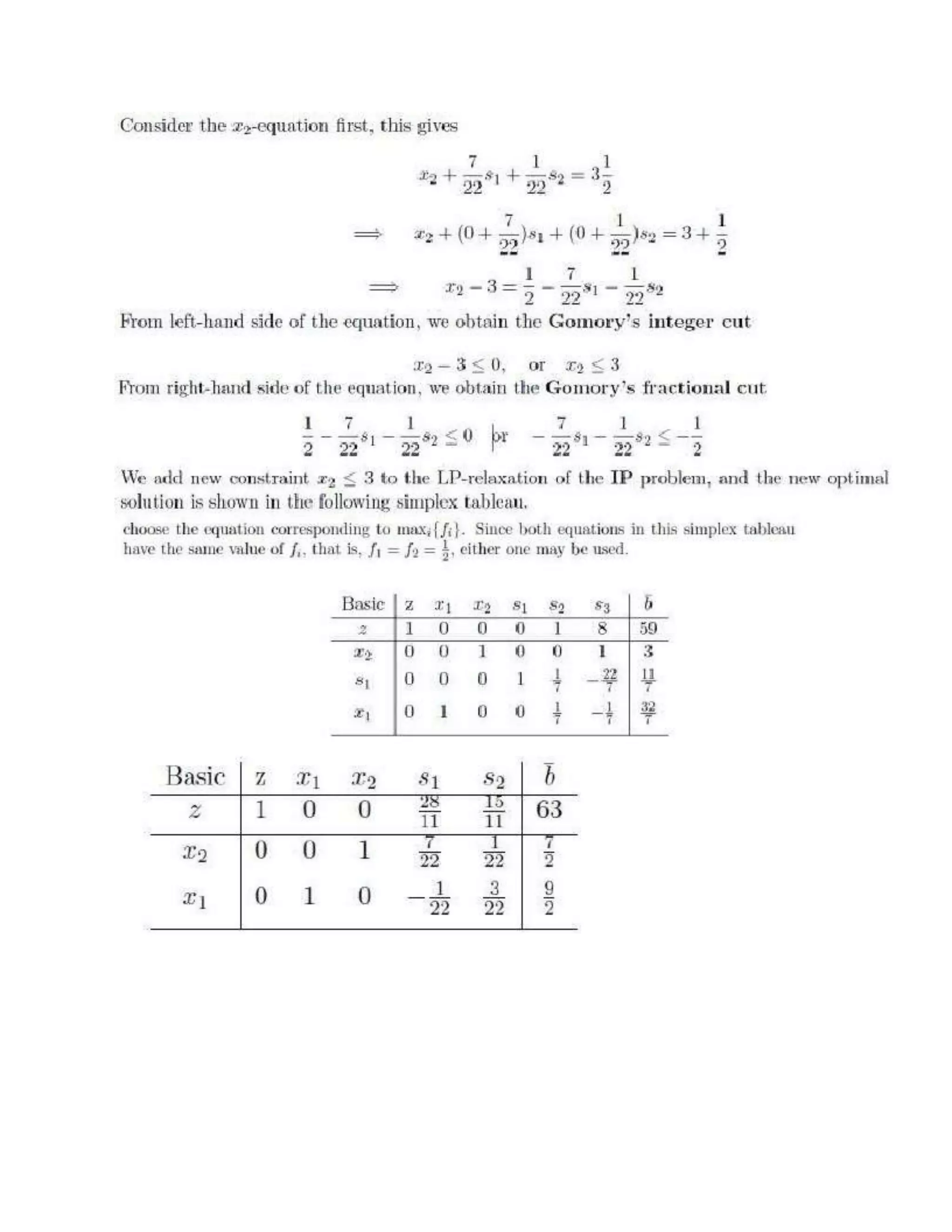
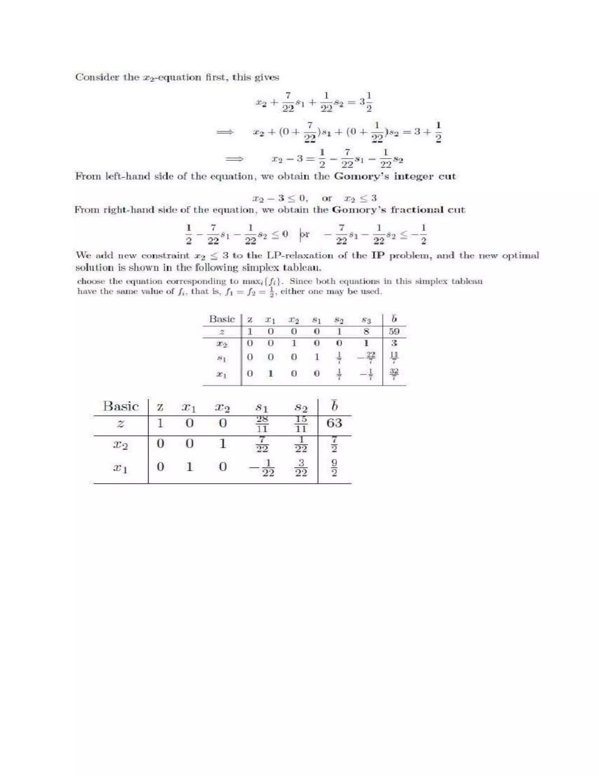
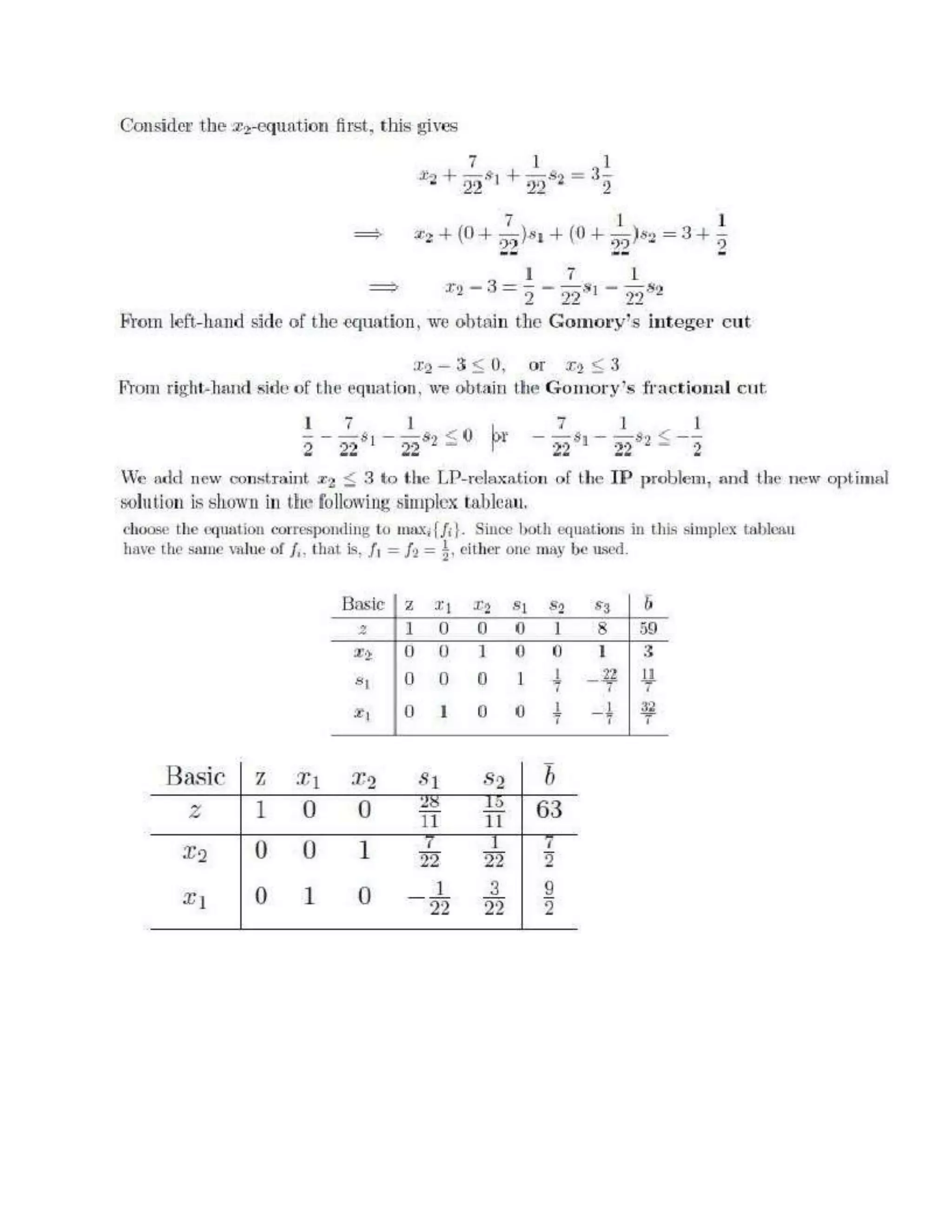
Q6. Use Branch and Bound method to solve the following L.P.P:

Maximize z= 7 x 1 + 9 x 2

Subject to constraints: - x

1 + 3 x 2 ≤ 67 x

1 + x 2 ≤ 35x

2 ≤ 7x 1, x 2 ≥ 0 and are integers.



Ans:



We solve the LP-relaxation of the above example by the simplex method, and the final simplex
tableau is given as follows.

Where s1 and s2 are the slack variables of the first and the secon
d constraints, respectively.Generally, any of the constraint equations
corresponding to a non integer solution can be selected to generate the cut.

The solutions for the same are:
Set 2

 Q1.What is the essential characteristics of Operation Research? Mention different phases
in an Operation Research study. Point out some limitations of O.R?



Ans.



Work in operational research and management science may be characterized as one of three
categories:

Fundamental or foundational work takes place in three mathematical disciplines:

probability, optimization, and dynamical systems theory.

Modeling work is concerned with the construction of models, analyzing them mathematically,
implementing them on computers, solving them using software tools, and assessing their
effectiveness with data. This level is mainly instrumental, and driven mainly by statistics and
econometrics.

Application work in operational research, like other engineering and economics' disciplines,
attempts to use models to make a practical impact on real-world problems.

The major sub disciplines in modern operational research, as identified by the journal Operations
Research ,[4] are:

  Computing and information technologies

  Decision analysis

  Environment, energy, and natural resources

  Financial engineering

  Manufacturing, service sciences, and supply chain management

  Marketing Engineering
Policy modeling and public sector work

  Revenue management

  Simulation

  Stochastic models

  Transportation




Limitations OF OPERATION RESEARCH:

Dependence on an Electronic Computer: O.R. techniques try to find out an optimal solution
taking into account all the factors. In the modern society, these factors are enormous and
expressing them in quantity and establishing relationships among these require voluminous
calculations that can only be handled by computers.

Non-Quantifiable Factors: O.R. techniques provide a solution only when all the elements related
to a problem can be quantified. All relevant variables do not lend themselves to quantification.
Factors that cannot be quantified find no place in O.R. models.

Distance between Manager and Operations Researcher: O.R. being specialist's job requires a
mathematician or a statistician, who might not be aware of the business problems. Similarly, a
manager fails to understand the complex working of O.R. Thus, there is a gap between the two.

Money and Time Costs: When the basic data are subjected to frequent changes, incorporating
them into the O.R. models is a costly affair. Moreover, a fairly good solution at present may be
more desirable than a perfect O.R. solution available after sometime.

Implementation: Implementation of decisions is a delicate task. It must take into account the
complexities of human relations and behaviour.
Q2. What are the common methods to obtain an initial basic feasible solution f or a
transp ortation p rob l em wh ose cost and requ iremen t table is gi ven? Give a
stepwise procedure for one of them?


Ans:


The common methods to obtain an initial basic feasible solution for
a transportation problem whose cost and requirement table is given are:


North West Corner Rule


Step1:

 The fi rst assi gnm ent i s m ade i n the cel l occupyi ng t he upper l eft hand (north
west) corner of the transportation table. The maximum feasible amount is allocated there, that is
x11 = min (a1, b1) S o that eit her the capacit y of ori gi n O1 is used up or t he
requi rem ent at destination D1 is satisfied or both. This value of x11 is entered in
the upper left hand corner (small square) of cell (1, 1) in the transportation table

Step 2:

If b1 > a1 the capacity of origin O, is exhausted but the requirement a t d e s t i n a t i o n D 1 i s
s t i l l n o t s a t i s f i e d , s o t h a t a t l e a s t o n e m o r e o t h e r variable in the first column
will have to take on a positive value. Move down vertically to the second row and make the
second allocation of magnitudex21 = min (a2, b1 – x21) in the cell (2, 1). This either
exhausts the capacity of origin O2 or satisfies the remaining demand at destination D1.If a1 >
b1 the requirement at destination D1 is satisfied but the capacity of origin O1 is not
completely exhausted. Move to the right horizontally to the second column and make the second
allocation of magnitude x12 = min (a1– x11, b2) in the cell (1, 2) . This either exhausts
the remaining capacity of origin O1 or satisfies the demand at destination D2 .If b1 = a1,
the origin capacity of O1 is completely exhausted as well as the requirement at
destination is completely satisfied. There is a tie for second
a l l o c a t i o n , A n a r b i t r a r y t i e b r e a k i n g c h o i c e i s m a d e . M a k e t h e s e c o n d all
ocation of magnitude x12 = min (a1 – a1, b2) = 0 in the cell (1, 2) or x21= min (a2, b1 – b2) = 0
in the cell (2, 1).
Step 3:

Start from the new north west corner of the transportation table satisfying destination
requirements and exhausting the origin capacities one at a time, move down towards the lower
right corner of the transportation table until all the rim requirements are satisfied.



Matrix Minimum Method:

Step 1:

Determine the smallest cost in the cost matrix of the transportation table. Let it be

cij, Allocate xij = min ( ai, bj) in the cell ( i, j )

Step 2:

I f x i j = a i c r o s s o f f t h e i t h r o w o f t h e t r a n s p o r t a t i o n t a b l e a n d decrease bj
by ai go to step 3.if xij = bj cross off the ith column of the transportation table and decrease aiby
bj go to step 3.if xij = ai= bj cross off either the ith row or the ith column but not both.

Step 3:

Repeat steps 1 and 2 for the resulting reduced transportation table until all the rim requirements
are satisfied whenever the minimum cost is not unique make an arbitrary choice among the
minima. Vogel‟s Approximation Method The Vogels Approximation Method takes into account
not only the least cost cij but also the cost that just exceeds cij.
3. a. What are the properties of a game? Explain the “best strategy” on the basis of min
max criterion of optimality.

b. State the assumptions underlying game theory. Discuss its importance to business
decisions.



Ans:

                                       a. The properties of a game:



Competitive Situations

C om pet iti ve si tuati ons occur when t wo or more parti es wi th confl i cti ng interests
operate. The situations may occur as follows.

Marketing different brands of a commodity.

 Two (or more) brands of det ergent s (soaps) t ry t o capt ure the market
b yadopting various methods (courses) such as „advertising through electronicm edi a‟,
„providing cash di scount s to consum ers‟ or „offering l arger sal es commission to
dealers‟.

Campaigning for elections.

 Two (or more) candidates who contest an elections try to capture more votes by adopting
various methods (courses) such as „campaigning through T.V.‟, „door to door campaigning‟ or
„campaigning through public meetings‟.

Fighting military battles.

 T w o f o r c e s f i g h t i n g a w a r t r y t o g a i n s u p r e m a c y o v e r o n e a n o t h e r b y ad
opting various courses of action such as „direct ground attack on ene my camp‟,
„ground attack supported by aerial attack‟ or „playing defensive by not attacking‟. We
consider each of the above situations to be a competitive game where the parties
(players) adopt a course of action (play the game).

The “best strategy” is mixed strategy
While playing a game, mixedstrategy of a player is his predecision to choose his course of action
according to certain pre-assigned
probabilities. Thus, if player A decides to adopt courses of action

1 2 A and A With perspective probabilities 0.4 and 0.6, it is mixed strategy.
b. the assumptions underlying game theory:



A competitive game has the following assumptions.

1. The number of players (competitors) is finite.

2. Each player has finite number of courses of action (moves).

3. The game is said to be played when each player adopts one of his course of action.

4. Every time the game is played, the corresponding combination of courses of action leads to
a transaction (payment) to each player. The payment is called pay-off (gain). The pay-
off may be monetary (money) or some such benefit as increased sales, etc.

5. The players do not communicate to each other.

6. The players know the rules of the game before starting.



1 n-Person Game

A game in which n players participates is called n-person game. A game in which two players
participate is called 2-person game (two person game).



2 Zero-Sum Game

If a game is such that whenever it is played the sum of the gains (pay-off) of the players is zero,
it is called zero-sum game.A z ero -sum gam e whi ch h as t wo pl aye rs i s call ed two -
pers on z ero -sum game. It is called rectangular game.

In a two-person zero-sum game, the gain of the one player is equal to the loss of the
other.



3 Two-Person Zero-Sum Game (Rectangular Game.
Q4: Compare and contrast CPM and PERT. Under what conditions would you recommend
scheduling by PERT? Justify your answer with reasons.


Ans:

 Project management has evolved as a new field with the development of two analytic techniques
for planning, scheduling and controlling projects. These are the Critical Path Method (CPM) and
the Project Evaluation and Review Technique (PERT). PERT and CPM are basically time-
oriented methods in the sense that they both lead to the determination of a time schedule.
Basic Difference between PERT and CPM

Though there are no essential differences between PERT and CPM as both of them share in
common the determination of a critical path. Both are based on the network representation of
activities and their scheduling that determines the most critical activities to be controlled so as to
meet the completion date of the project.
PERT


Some key points about PERT are as follows:

PERT was developed in connection with an R&D work. Therefore, it had to cope with the
uncertainties that are associated with R&D activities. In PERT, the total project duration is
regarded as a random variable. Therefore, associated probabilities are calculated so as to
characterise it.
It is an event-oriented network because in the analysis of a network, emphasis is given on the
important stages of completion of a task rather than the activities required to be performed to
reach a particular event or task.
PERT is normally used for projects involving activities of non-repetitive nature in which time
estimates are uncertain.
It helps in pinpointing critical areas in a project so that necessary adjustment can be made to
meet the scheduled completion date of the project.

CPM

CPM was developed in connection with a construction project, which consisted of routine tasks
whose resource requirements and duration were known with certainty. Therefore, it is basically
deterministic.
CPM is suitable for establishing a trade-off for optimum balancing between schedule time and
cost of the project.
CPM is used for projects involving activities of repetitive nature.
PROJECT SCHEDULING BY PERT-CPM

It consists of three basic phases: planning, scheduling and controlling.


Phases of PERT-CPM


1. Project Planning: In the project planning phase, you need to perform the following activities:

Identify various tasks or work elements to be performed in the project.
Determine requirement of resources, such as men, materials, and machines, for carrying out
activities listed above.
Estimate costs and time for various activities.
Specify the inter-relationship among various activities.
Develop a network diagram showing the sequential inter-relationships between the various
activities.


2. Project Scheduling: Once the planning phase is over, scheduling of the project is when each
of the activities required to be performed, is taken up. The various steps involved during this
phase are listed below:
Estimate the durations of activities. Take into account the resources required for these execution
in the most economic manner.

Based on the above time estimates, prepare a time chart showing the start and finish times for
each activity. Use the time chart for the following exercises.
ü To calculate the total project duration by applying network analysis techniques, such as
forward (backward) pass and floats calculation
ü To identify the critical path
ü To carry out resource smoothing (or levelling) exercises for critical or scarce resources
including re-costing of the schedule taking into account resource constraints


3. Project Control: Project control refers to comparing the actual progress against the estimated
schedule. If significant differences are observed then you need to re-schedule the project to
update or revise the uncompleted part of the project.
Q5. Consider the following transportation problem:

Godowns

Factory 1 2 3 4 5 6

Stock available

A 7 5 7 7 5 3 60

B 9 11 6 11 - 5 20

C 11 10 6 2 2 8 90

D 9 10 9 6 9 12 50

Demand60 20 40 20 40 40

It is not possible to transport any quantity from factory B to Godown5.

Determine:

(a) Initial solution by Vogel‟s approximation method.

(b) Optimum basic feasible solution

The transportation cost according to the above route is given by:

Z = 20 * 5 + 40
Q6. A machine operator processes five types of items on hismachine each week, and must
choose a sequence for them. The set-up cost per change depends on the item presently on
the machine and the set-up to be made according to the following table:

From Item to item A B C D E

A∞4734

B4∞634

C76∞75

D337∞7

E4457∞

If he processes each type of item once and only once each
week,how should he sequence the items on his machine in order tominimize the total set-up
cost?(Hint: A-> E -> C-> B-> D-> A Cost: 20

So, Optimum Assignment is: A-> E -> C-> B-> D-> AA-> E = 4E -> C= 5C-> B= 6B-> D= 3D-
> A=

So, Optimum Assignment is:

A-> E -> C-> B-> D-> A

A-> E = 4

E -> C= 5

C-> B= 6

B-> D= 3

D-> A= 3

Total Cost = 21.
THANK YOU

Operation research complete

  • 1.
    Master of BusinessAdministration Semester II MB0048 –Operation Research Assignment Set- 1 1. a. Explain how and why Operation Research methods have been valuable in aiding executive decisions. Ans. Operation Research methods have been valuable in aiding executive decisions. Churchman, Aackoff and Aruoff defined Operations Research as: “The application of scientific methods, techniques and tools to operation of a system with optimum solutions to the problems, where „optimum‟ refers to the best possible alternative. The objective of Operations Research is to provide a scientific basis to the decision-makers for solving problems involving interaction of various components of the organisation. You can achieve this by employing a team of scientists from different dis ciplines, to work together for finding the best possible solution in the interest of the organisation as a whole. The solution thus obtained is known as an optimal decision. You can also define Operations Research as “The use of scientific methods to provide criteria for decisions regarding man, machine and systems involving repetitive operations”. OR “Operation Techniques is a bunch of mathematical techniques.
  • 2.
    b. “Operation Researchis an aid for the executive in making his decisions based on scientific methods analysis”. Discuss the above statement in brief. Ans. “Operation Research is an aid for the executive in making his decisions based on scientific methods analysis”. Discussion:- Any problem, simple or complicated, can use OR techniques to find the best possible solution. This section will explain the scope of OR by seeing its application in various fields of everyday life. i) In Defense Operations: In modern warfare, the defense operations are carried out by three major independent components namely Air Force, Army and Navy. The activities in each of these components can be further divided in four sub-components namely: administration, intelligence, operations and training and supply. The applications of modern warfare techniques in each of the components of military organisations require expertise knowledge in respective fields. Furthermore, each component works to drive maximum gains from its operations and there is always a possibility that the strategy beneficial to one component may be unfeasible for another component. Thus in defense operations, there is a requirement to co-ordinate the activities of various components, which gives maximum benefit to the organisation as a whole, having maximum use of the individual components. A team of scientists from various disciplines come together to study the strategies of different components. After appropriate analysis of the various courses of actions, the team selects the best course of action, known as the „optimum strategy‟. ii) In Industry: The system of modern industries is so complex that the optimum point of operation in its various components cannot be intuitively judged by an individual. The business environment is always changing and any decision useful at one time may not be so good sometime later. There is always a need to check the validity of decisions continuously against the situations. The industrial revolution with increased division of labour and introduction of management responsibilities has made each component an independent unit having their own goals. For example: production department minimises the cost of production but maximize output. Marketing department maximizes the output, but minimizes cost of unit sales. Finance department tries to optimise the capital investment and personnel department appoints
  • 3.
    good people atminimum cost. Thus each department plans its own objectives and all these objectives of various department or components come to conflict with one another and may not agree to the overall objectives of the organisation. The application of OR techniques helps in overcoming this difficulty by integrating the diversified activities of various components to serve the interest of the organisation as a whole efficiently. OR methods in industry can be applied in the fields of production, inventory controls and marketing, purchasing, transportation and competitive strategies. iii) Planning: In modern times, it has become necessary for every government to have careful planning, for economic development of the country. OR techniques can be fruitfully applied to maximise the per capita income, with minimum sacrifice and time. A government can thus use OR for framing future economic and social policies. iv) Agriculture: With increase in population, there is a need to increase agriculture output. But this cannot be done arbitrarily. There are several restrictions. Hence the need to determine a course of action serving the best under the given restrictions. You can solve this problem by applying OR techniques. v) In Hospitals: OR methods can solve waiting problems in out-patient department of big hospitals and administrative problems of the hospital organizations. vi) In Transport: You can apply different OR methods to regulate the arrival of trains and processing times minimize the passengers waiting time and reduce congestion, formulate suitable transportation policy, thereby reducing the costs and time of trans-shipment. vii) Research and Development: You can apply OR methodologies in the field of R&D for several purposes, such as to control and plan product introductions.
  • 4.
    Q2. Explain howthe linear programming technique can be helpful in decision-making in the areas of Marketing and Finance. Ans. Linear programming technique Linear programming problems are a special class of mathematical programming problems for which the objective function and all constraints are linear. A classic example of the application of linear programming is the maximization of profits given various production or cost constraints. Linear programming can be applied to a variety of business problems, such as marketing mix determination, financial decision making, production scheduling, workforce assignment, and resource blending. Such problems are generally solved using the “simplex method.” MEDIA SELECTION PROBLEM. The local Chamber of Commerce periodically sponsors public service seminars and programs. Promotional plans are under way for this year‟s program. Advertising alternatives include television, radio, and newspaper. Audience estimates, costs, and maximum media usage limitations are shown in Exhibit 1.If the promotional budget is limited to $18,200, how many commercial messages should be run on each medium to maximize total audience contact? Linear programming can find the answer.
  • 5.
    Q3. a. Howdo you recognize optimality in the simplex method? b. Write the role of pivot element in simplex table? Ans. Simplex method is used for solving Linear programming problem especially when more than two variables are involved SIMPLEX METHOD 1. Set up the problem. That is, write the objective function and the constraints. 2. Convert the inequalities into equations. This is done by adding one slack variable for each inequality. 3. Construct the initial simplex tableau. Write the objective function as the bottom row. 4. The most negative entry in the bottom row identifies a column. 5. Calculate the quotients. The smallest quotient identifies a row. The element in the intersection of the column identified in step 4 and the row identified in this step is identified as the pivot element. The quotients are computed by dividing the far right column by the identified column in step 4. A quotient that is a zero, or a negative number, or that has a zero in the denominator, is ignored. 6. Perform pivoting to make all other entries in this column zero. This is done the same way as we did with the Gauss-Jordan method. 7. When there are no more negative entries in the bottom row, we are finished; otherwise, we start again from step 4. 8.Read off your answers. Get the variables using the columns with 1 and 0s. All other variables are zero. The maximum value you are looking for appears in the bottom right hand corner.
  • 6.
    Example Niki holds twopart-time jobs, Job I and Job II. She never wants to work more than a total of 12hours a week. Shehas determined that for every hour she works at Job I, she needs 2 hours of preparation time, andfor every hour she works at Job II, she needs one hour of preparation time, and she cannot spend more than 16hours for preparation. If she makes $40 an hour at Job I, and $30 an hour at Job II, how many hoursshould she work per week at each job to maximize her income? Solution: In solving this problem, we will follow the algorithm listed above. 1. Set up the problem. That is, write the objective function and the constraints.Since the simplex method is used for problems that consist of many variables, it is not practicalto use the variables x, y, z etc. We use the symbols x1, x2, x3, and so on.Let x1 = The number of hours per week Niki will work at Job I.and x2 = The number of hours per week Niki will work at Job II.It is customary to choose the variable that is to be maximized as Z.The problem is formulated the same way as we did in the last chapter. Maximize Z = 40×1 + 30×2 Subject to: x1 + x2 ≤ 122×1 + x2 ≤ 16x1 ≥ 0; x2 ≥ 0. 2. Convert the inequalities into equations. This is done by adding one slack variable for each inequality. For example to convert the inequality x1 + x2 ≤ 12 into an equation, we add a non-negative variable y1, and we getx1 + x2 + y1 = 12Here the variable y1 picks up the slack, and it represents the amount by which x1 + x2 falls short of 12. In this problem, if Niki works fewer that 12 hours, say 10, and then y1 is 2. Later when we read off the final solution from the simplex table, the values of the slack variables will identify the unused amounts. We can even rewrite the objective function Z = 40×1 + 30×2 as – 40×1 – 30×2 + Z = 0.After adding the slack variables, our problem reads Objective function: – 40×1 – 30×2 + Z = 0Subject to constraints: x1 + x2 + y1 = 122×1 + x2 + y2 = 16x1 ≥ 0; x2 ≥ 0.
  • 7.
    3. Construct theinitial simplex tableau. Write the objective function as the bottom row. Now that the inequalities are converted into equations, we can represent the problem into an augmented matrix called the initial simplex tableau as follows.x1x2y1y2ZC11100122101016 –40–300010Here the vertical line separates the left hand side of the equations from the right side. The horizontal line separates the constraints from the objective function. The right side of the equation is represented by the column C. The reader needs to observe that the last four columns of this matrix look like the final matrix for the solution of a system of equations. If we arbitrarily choose x1 = 0 and x2 = 0, we get Which readsy1 = 12y2 = 16Z = 0The solution obtained by arbitrarily assigning values to some variables and then solving for the remaining variables is called the basic solution associated with the tableau. So the above solution is the basic solution associated with the initial simplex tableau. We can label the basic solution variable in the right of the last column as shown in the table below.x1x2y1y2Z1110012y12101016y2 –40–300010Z. 4. the most negative entry in the bottom row identifies a column. The most negative entry in the bottom row is –40; therefore the column 1 is identified.
  • 8.
    Q4. What isthe significance of duality theory of linear programming? Describe the general rules for writing the dual of a linear programming problem. Ans. Linear programming LP is a mathematical method for determining a way to achieve the best outcome (such as maximum profit or lowest cost) in a given mathematical model for some list of requirements represented as linear relationships. Linear programming is a specific case of mathematical programming. More formally, linear programming is a technique for the optimization of a linear objectivefunction, subject to linear equality and linear inequality constraints. Given a polytope and areal-valued affine function defined on this polytope, a linear programming method will find a point on the polytope where this function has the smallest (or largest) value if such point exists, by searching through the polytope vertices. X 1 x 2 y 1 y 2 Z 1 1 1 0 0 1 2 y 1 2 1 0 1 0 1 6 y 2 Linear programs are problems that can be expressed in canonical form: where x represents the vector of variables (to be determined), c and b are vectors of (known)coefficients and A is a (known) matrix of coefficients. The expression to be maximized or minimized is called the Objective function (c T x in this case). The equations A x ≤ b are the constraints which specify a convex polytope over which the objective function is to be optimized. (In this context, two vectors are comparable when every entry in one is less-than or equal-to the corresponding entry in the other. Otherwise, they are incomparable.)Linear programming can be applied to various fields of study. It is used most extensively in business and economics, but can also be utilized for some engineering problems. Industries that use linear programming models include transportation, energy, telecommunications, and manufacturing. It has proved useful in modeling diverse types of problems in planning, routing, scheduling, assignment, and design.Duality:
  • 9.
    Every linear programmingproblem, referred to as a primal problem, can be converted into a dual problem, which provides an upper bound to the optimal value of the primal problem. In matrix form, we can express the primal problem as: Maximize CTx Subject to A x ≤ b, x ≥ 0; with the corresponding symmetric dual problem, Minimize BTy Subject to A T y ≥ c, y ≥ 0.An alternative primal formulation is: Maximize CTx Subject to A x ≤ b; with the corresponding asymmetric dual problem, Minimize BTy Subject to A T y = c, y ≥ 0. There are two ideas fundamental to duality theory. One is the fact that (for the symmetric dual) the dual of a dual linear program is the original primal linear program. Additionally, every feasible solution for a linear program gives a bound on the optimal value of the objective function of its dual. The weak duality theorem states that the objective function value of the dual at any feasible solution is always greater than or equal to the objective function value of the primal at any feasible solution. The strong duality theorem states that if the primal has an optimal solution, x*, then the dual also has an optimal solution, y*, such that cTx*=bTy*
  • 10.
    A linear programcan also be unbounded or infeasible. Duality theory tells us that if the primal is unbounded then the dual is infeasible by the weak duality theorem. Likewise, if the dual is unbounded, then the primal must be infeasible. However, it is possible for both the dual and the primal to be infeasible.
  • 11.
    Q5. Use Two-Phasesimplex method to solve: Minimize z= x 1 +x 2 +x 3 Subject to constraints: x 1 - 3x 2 + 4x 3 =5x 1 - 2x 2 ≤ 32x 2 + x 3 ≥ 4x 1 ≥ 0, x 2 ≥ 0 and x 3 is unrestricted. Ans: Rewriting in the standard form, Minimize Z = X 1 + X 2 + X 3 + MA 1 + 0S1 + 0S2 Subject to X 1 – 3X 2 +4X 3 +MA 1= 5X 1 -2X 2 + S 1 = 32X 2 + X 3 – S 2= 4, X1, X2, X3, S1, S2, A1 > 0. Phase 1: Consider the new objective
  • 12.
    Maximize Z* =A1 Subject to2 × 1 + x2 – S1 + A1 = 2 X1 X2 X3 S1 S2 A1 Cj 0 0 0 0 0 1 RatioA1 - 11-3*40015-5/3S1 01-201003-1S2 00210-104-4/3Zj1-34001Zj-Cj1- 34000↑most –ve Work Column*Pivot element X1 enters the basic set replacing A1. The first iteration gives the following table: X1X2X3S1S2A1 Cj000001X 1 0-1/31-4/300-1/3-5/3S2 0-1/2-7/2-210-1/2½S3 00210-104Zj 0000000 Zj-Cj00000-1Phase I is complete, since there are one negative elements in the last row. Phase II: Consider the original objective function, Maximize z = x1 + x2+x3 + 0S1 + 0S2Subject to -3x1/3 + x2 – 4x3/3 =-5/3-x1/2 – 7x2/2 – 2x3 + S1 =1/22x2 + x3 –S2 = 4x1, x2, S1, S2 = 0 The maximum value of the objective function Z = 6 which is attained for x1= 2, x2 = 0
  • 13.
    Q6. Use Branchand Bound method to solve the following L.P.P: Maximize z= 7 x 1 + 9 x 2 Subject to constraints: - x 1 + 3 x 2 ≤ 67 x 1 + x 2 ≤ 35x 2 ≤ 7x 1, x 2 ≥ 0 and are integers. Ans: We solve the LP-relaxation of the above example by the simplex method, and the final simplex tableau is given as follows. Where s1 and s2 are the slack variables of the first and the secon d constraints, respectively.Generally, any of the constraint equations corresponding to a non integer solution can be selected to generate the cut. The solutions for the same are:
  • 17.
    Set 2 Q1.Whatis the essential characteristics of Operation Research? Mention different phases in an Operation Research study. Point out some limitations of O.R? Ans. Work in operational research and management science may be characterized as one of three categories: Fundamental or foundational work takes place in three mathematical disciplines: probability, optimization, and dynamical systems theory. Modeling work is concerned with the construction of models, analyzing them mathematically, implementing them on computers, solving them using software tools, and assessing their effectiveness with data. This level is mainly instrumental, and driven mainly by statistics and econometrics. Application work in operational research, like other engineering and economics' disciplines, attempts to use models to make a practical impact on real-world problems. The major sub disciplines in modern operational research, as identified by the journal Operations Research ,[4] are: Computing and information technologies Decision analysis Environment, energy, and natural resources Financial engineering Manufacturing, service sciences, and supply chain management Marketing Engineering
  • 18.
    Policy modeling andpublic sector work Revenue management Simulation Stochastic models Transportation Limitations OF OPERATION RESEARCH: Dependence on an Electronic Computer: O.R. techniques try to find out an optimal solution taking into account all the factors. In the modern society, these factors are enormous and expressing them in quantity and establishing relationships among these require voluminous calculations that can only be handled by computers. Non-Quantifiable Factors: O.R. techniques provide a solution only when all the elements related to a problem can be quantified. All relevant variables do not lend themselves to quantification. Factors that cannot be quantified find no place in O.R. models. Distance between Manager and Operations Researcher: O.R. being specialist's job requires a mathematician or a statistician, who might not be aware of the business problems. Similarly, a manager fails to understand the complex working of O.R. Thus, there is a gap between the two. Money and Time Costs: When the basic data are subjected to frequent changes, incorporating them into the O.R. models is a costly affair. Moreover, a fairly good solution at present may be more desirable than a perfect O.R. solution available after sometime. Implementation: Implementation of decisions is a delicate task. It must take into account the complexities of human relations and behaviour.
  • 19.
    Q2. What arethe common methods to obtain an initial basic feasible solution f or a transp ortation p rob l em wh ose cost and requ iremen t table is gi ven? Give a stepwise procedure for one of them? Ans: The common methods to obtain an initial basic feasible solution for a transportation problem whose cost and requirement table is given are: North West Corner Rule Step1: The fi rst assi gnm ent i s m ade i n the cel l occupyi ng t he upper l eft hand (north west) corner of the transportation table. The maximum feasible amount is allocated there, that is x11 = min (a1, b1) S o that eit her the capacit y of ori gi n O1 is used up or t he requi rem ent at destination D1 is satisfied or both. This value of x11 is entered in the upper left hand corner (small square) of cell (1, 1) in the transportation table Step 2: If b1 > a1 the capacity of origin O, is exhausted but the requirement a t d e s t i n a t i o n D 1 i s s t i l l n o t s a t i s f i e d , s o t h a t a t l e a s t o n e m o r e o t h e r variable in the first column will have to take on a positive value. Move down vertically to the second row and make the second allocation of magnitudex21 = min (a2, b1 – x21) in the cell (2, 1). This either exhausts the capacity of origin O2 or satisfies the remaining demand at destination D1.If a1 > b1 the requirement at destination D1 is satisfied but the capacity of origin O1 is not completely exhausted. Move to the right horizontally to the second column and make the second allocation of magnitude x12 = min (a1– x11, b2) in the cell (1, 2) . This either exhausts the remaining capacity of origin O1 or satisfies the demand at destination D2 .If b1 = a1, the origin capacity of O1 is completely exhausted as well as the requirement at destination is completely satisfied. There is a tie for second a l l o c a t i o n , A n a r b i t r a r y t i e b r e a k i n g c h o i c e i s m a d e . M a k e t h e s e c o n d all ocation of magnitude x12 = min (a1 – a1, b2) = 0 in the cell (1, 2) or x21= min (a2, b1 – b2) = 0 in the cell (2, 1).
  • 20.
    Step 3: Start fromthe new north west corner of the transportation table satisfying destination requirements and exhausting the origin capacities one at a time, move down towards the lower right corner of the transportation table until all the rim requirements are satisfied. Matrix Minimum Method: Step 1: Determine the smallest cost in the cost matrix of the transportation table. Let it be cij, Allocate xij = min ( ai, bj) in the cell ( i, j ) Step 2: I f x i j = a i c r o s s o f f t h e i t h r o w o f t h e t r a n s p o r t a t i o n t a b l e a n d decrease bj by ai go to step 3.if xij = bj cross off the ith column of the transportation table and decrease aiby bj go to step 3.if xij = ai= bj cross off either the ith row or the ith column but not both. Step 3: Repeat steps 1 and 2 for the resulting reduced transportation table until all the rim requirements are satisfied whenever the minimum cost is not unique make an arbitrary choice among the minima. Vogel‟s Approximation Method The Vogels Approximation Method takes into account not only the least cost cij but also the cost that just exceeds cij.
  • 21.
    3. a. Whatare the properties of a game? Explain the “best strategy” on the basis of min max criterion of optimality. b. State the assumptions underlying game theory. Discuss its importance to business decisions. Ans: a. The properties of a game: Competitive Situations C om pet iti ve si tuati ons occur when t wo or more parti es wi th confl i cti ng interests operate. The situations may occur as follows. Marketing different brands of a commodity. Two (or more) brands of det ergent s (soaps) t ry t o capt ure the market b yadopting various methods (courses) such as „advertising through electronicm edi a‟, „providing cash di scount s to consum ers‟ or „offering l arger sal es commission to dealers‟. Campaigning for elections. Two (or more) candidates who contest an elections try to capture more votes by adopting various methods (courses) such as „campaigning through T.V.‟, „door to door campaigning‟ or „campaigning through public meetings‟. Fighting military battles. T w o f o r c e s f i g h t i n g a w a r t r y t o g a i n s u p r e m a c y o v e r o n e a n o t h e r b y ad opting various courses of action such as „direct ground attack on ene my camp‟, „ground attack supported by aerial attack‟ or „playing defensive by not attacking‟. We consider each of the above situations to be a competitive game where the parties (players) adopt a course of action (play the game). The “best strategy” is mixed strategy While playing a game, mixedstrategy of a player is his predecision to choose his course of action according to certain pre-assigned probabilities. Thus, if player A decides to adopt courses of action 1 2 A and A With perspective probabilities 0.4 and 0.6, it is mixed strategy.
  • 22.
    b. the assumptionsunderlying game theory: A competitive game has the following assumptions. 1. The number of players (competitors) is finite. 2. Each player has finite number of courses of action (moves). 3. The game is said to be played when each player adopts one of his course of action. 4. Every time the game is played, the corresponding combination of courses of action leads to a transaction (payment) to each player. The payment is called pay-off (gain). The pay- off may be monetary (money) or some such benefit as increased sales, etc. 5. The players do not communicate to each other. 6. The players know the rules of the game before starting. 1 n-Person Game A game in which n players participates is called n-person game. A game in which two players participate is called 2-person game (two person game). 2 Zero-Sum Game If a game is such that whenever it is played the sum of the gains (pay-off) of the players is zero, it is called zero-sum game.A z ero -sum gam e whi ch h as t wo pl aye rs i s call ed two - pers on z ero -sum game. It is called rectangular game. In a two-person zero-sum game, the gain of the one player is equal to the loss of the other. 3 Two-Person Zero-Sum Game (Rectangular Game.
  • 23.
    Q4: Compare andcontrast CPM and PERT. Under what conditions would you recommend scheduling by PERT? Justify your answer with reasons. Ans: Project management has evolved as a new field with the development of two analytic techniques for planning, scheduling and controlling projects. These are the Critical Path Method (CPM) and the Project Evaluation and Review Technique (PERT). PERT and CPM are basically time- oriented methods in the sense that they both lead to the determination of a time schedule. Basic Difference between PERT and CPM Though there are no essential differences between PERT and CPM as both of them share in common the determination of a critical path. Both are based on the network representation of activities and their scheduling that determines the most critical activities to be controlled so as to meet the completion date of the project. PERT Some key points about PERT are as follows: PERT was developed in connection with an R&D work. Therefore, it had to cope with the uncertainties that are associated with R&D activities. In PERT, the total project duration is regarded as a random variable. Therefore, associated probabilities are calculated so as to characterise it. It is an event-oriented network because in the analysis of a network, emphasis is given on the important stages of completion of a task rather than the activities required to be performed to reach a particular event or task. PERT is normally used for projects involving activities of non-repetitive nature in which time estimates are uncertain. It helps in pinpointing critical areas in a project so that necessary adjustment can be made to meet the scheduled completion date of the project. CPM CPM was developed in connection with a construction project, which consisted of routine tasks whose resource requirements and duration were known with certainty. Therefore, it is basically deterministic. CPM is suitable for establishing a trade-off for optimum balancing between schedule time and cost of the project. CPM is used for projects involving activities of repetitive nature.
  • 24.
    PROJECT SCHEDULING BYPERT-CPM It consists of three basic phases: planning, scheduling and controlling. Phases of PERT-CPM 1. Project Planning: In the project planning phase, you need to perform the following activities: Identify various tasks or work elements to be performed in the project. Determine requirement of resources, such as men, materials, and machines, for carrying out activities listed above. Estimate costs and time for various activities. Specify the inter-relationship among various activities. Develop a network diagram showing the sequential inter-relationships between the various activities. 2. Project Scheduling: Once the planning phase is over, scheduling of the project is when each of the activities required to be performed, is taken up. The various steps involved during this phase are listed below: Estimate the durations of activities. Take into account the resources required for these execution in the most economic manner. Based on the above time estimates, prepare a time chart showing the start and finish times for each activity. Use the time chart for the following exercises. ü To calculate the total project duration by applying network analysis techniques, such as forward (backward) pass and floats calculation ü To identify the critical path ü To carry out resource smoothing (or levelling) exercises for critical or scarce resources including re-costing of the schedule taking into account resource constraints 3. Project Control: Project control refers to comparing the actual progress against the estimated schedule. If significant differences are observed then you need to re-schedule the project to update or revise the uncompleted part of the project.
  • 25.
    Q5. Consider thefollowing transportation problem: Godowns Factory 1 2 3 4 5 6 Stock available A 7 5 7 7 5 3 60 B 9 11 6 11 - 5 20 C 11 10 6 2 2 8 90 D 9 10 9 6 9 12 50 Demand60 20 40 20 40 40 It is not possible to transport any quantity from factory B to Godown5. Determine: (a) Initial solution by Vogel‟s approximation method. (b) Optimum basic feasible solution The transportation cost according to the above route is given by: Z = 20 * 5 + 40
  • 26.
    Q6. A machineoperator processes five types of items on hismachine each week, and must choose a sequence for them. The set-up cost per change depends on the item presently on the machine and the set-up to be made according to the following table: From Item to item A B C D E A∞4734 B4∞634 C76∞75 D337∞7 E4457∞ If he processes each type of item once and only once each week,how should he sequence the items on his machine in order tominimize the total set-up cost?(Hint: A-> E -> C-> B-> D-> A Cost: 20 So, Optimum Assignment is: A-> E -> C-> B-> D-> AA-> E = 4E -> C= 5C-> B= 6B-> D= 3D- > A= So, Optimum Assignment is: A-> E -> C-> B-> D-> A A-> E = 4 E -> C= 5 C-> B= 6 B-> D= 3 D-> A= 3 Total Cost = 21.
  • 27.