MULTI-ARMED BANDIT:
AN ALGORITHMIC PERSPECTIVE
Gabriele Sottocornola
gsottocornola[at]unibz[dot]it
Free University of Bozen-Bolzano – University of Milano-Bicocca
December 13th 2021
Overview
1. Introduction
2. MAB Policies
a. ε-greedy
b. Upper Confidence Bound
c. Thompson Sampling
3. Non-stationary MAB
4. Contextual MAB
5. Counterfactual MAB with Unobserved Confounders
INTRODUCTION
Introduction
• From one-armed bandit (i.e., the slot machine) to multi-armed bandit
(MAB) problem (Robbins, 1952)
• If each slot has a different payoff rate, how do you efficiently learn
which is the best one, getting the most money in limited time?
Definition(s)
• Reinforcement Learning: At each time step t, an agent choose one
action at among n actions (i.e., arms), based on its knowledge of the
environment, and observes a reward rt
• Machine Learning: We want to learn the parameters of a set of n
probability distributions (i.e., arms), while, at each time step t,
sampling a value rt from chosen distribution at
• Each arm 𝑎! ∈ 𝐴 is associated with an (hidden) mean reward value 𝜇!
• The goal is to maximize the (expected) cumulative reward over a
number of time steps T. Alternatively minimize the regret
𝑅" = '
#$%
"
𝑟# ; *
𝑅" = '
#$%
"
E[𝑟#] ; 𝜌 = 𝑇𝜇∗
− *
𝑅"
Preliminaries
• Exploration/exploitation decision making trade-off
• Exploration: gather information about different arms
• Exploitation: make the best choice given current information
• Bandit/Semi-bandit feedback: no full information available
• Online learning of the local optimal action
• Stochastic MAB with i.i.d. rewards (unless non-stationary or adversarial)
• Research directions:
• Proof of theoretical bounds [Auer et al., 2002]
• Application of MAB algorithms to real-world/simulated problems
• (Bayesian optimization) [Shahriari et al., 2015]
• Off-policy (counterfactual) learning/evaluation [Jeunen & Goethals, 2021]
Illustrative Example: A/B Test
• A company wants to advertise its product with three different
campaigns, to be tested for a time horizon of 90 days
• Each day, they display on the web one and collect the daily click-
through rate (i.e., the reward for that campaign)
• A standard A/B test (30 days per campaign) would be sub-optimal in
terms of expected clicks, hence loses potential costumers
• They adopt a bandit strategy to explore the effectiveness of all
campaigns while exploiting for the best one
1
0
-1
DAY 1
CTR
𝝁𝟏
𝝁𝟐
𝝁𝟑
1
0
-1
DAY 1
CTR
1
0
-1
DAY 1
CTR
1
0
-1
DAY 2
CTR
1
0
-1
DAY 2
CTR
1
0
-1
DAY 3
CTR
1
0
-1
DAY 3
CTR
1
0
-1
DAY 4
CTR
1
0
-1
DAY 5
CTR
1
0
-1
DAY 60
CTR
1
0
-1
DAY 61
CTR
1
0
-1
DAY 62
CTR
1
0
-1
DAY 90
CTR
𝝁𝟏
𝝁𝟐
𝝁𝟑
Other Applications
• Clinical trials
• Dynamic resources allocation
• Web advertising placement
• Personalized news recommendation
• Financial portfolio analysis
• …
Supervised Learning vs MAB
• Goal: music streaming service conversion to premium membership
• Different features to promote
Supervised Learning vs MAB
• Rewards for all action is observed (i.e., full-information setting)
• Supervised learning should be considered!
Supervised Learning vs MAB
• I can promote only one feature for each user and observe the reward
• Reward only for the selected action at each time step is returned
(Bandit setup!)
MAB POLICIES
Preliminaries
• Policy: how the agent makes its choice at current time step t, given the
environment (i.e., how to choose arm at)
• Two elements to be considered for a policy:
• How to select the distribution parameters (e.g., the expected reward value
%
𝜇$ ≅ 𝜇$) and update them based on observed reward rt?
• How to make action choice to keep a good exploration/exploitation balance?
Preliminaries
• Assumption: Stochastic MAB with Bernoulli rewards (e.g., casino)
• Bernoulli reward 𝑟% ∈ 0, 1
• Probability of success 𝑝$ = P𝑖 𝑟% = 1 for each arm 𝑎$ ∈ 𝐴
• 𝜇$ = 𝑝$ estimated with E ℬ 𝛼, 𝛽 (i.e., Beta is Bernoulli conjugate prior, with
𝛼 successes and 𝛽 failures)
• Blueprint of a MAB action selection:
𝑎# = argmax
'
[𝑄# 𝑎 + 𝑉# 𝑎 ]
𝜀-greedy
𝜀-greedy
Beyond 𝜀-greedy
• Exploration is randomly controlled by a user-defined parameter
• Without 𝜀 is a full-exploitation (sub-optimal) algorithm
• Shortcomings:
• 𝜀 is fixed and not adaptive (solution: decaying-𝜀)
• Regret is linear in the number of round T (always same exploration rate 𝜀)
• Does not consider underlying distribution or arm-related uncertainty
• How to improve it with a policy that adapt exploration/exploitation
based on time steps t to obtain a sublinear regret?
Upper Confidence Bound
Upper Confidence Bound
Upper Confidence Bound
Optimism in face of uncertainty
https://towardsdatascience.com/the-upper-confidence-bound-ucb-bandit-algorithm-c05c2bf4c13f
Thompson Sampling
Thompson Sampling
Thompson Sampling
Where E[ℬ] = -
𝑝! ≈ 𝑝! of Bernoulli
UCB vs TS
1
0
-1
UCB vs TS
1
0
-1
UCB with c = 1
UCB vs TS
1
0
-1
UCB with c = 1
UCB vs TS
1
0
-1
Thompson Sampling
UCB vs TS
1
0
-1
Thompson Sampling
NON-STATIONARY MAB
Motivation
• Relax the assumption of rewards being drawn i.i.d. -> Expected reward
distributions evolve over time ∃𝑡 , 𝑖 ∶ 𝜇!
#
≠ 𝜇!
#0%
• 𝑅" = ∑#$%
"
𝑟# ; *
𝑅" = ∑#$%
"
E[𝑟#] ; 𝜌 = ∑#$%
"
𝜇#,∗
− *
𝑅"
• Useful in applications in which seasonal/evolving distributions might be
observed (also referred as concept drift in ML) [Žliobaitė et al., 2016]
• e.g., Short-session news recommendation
• Few interactions per users (no data for personalization)
• Rapidly evolving trends (i.e., topic distributions) over the days
Illustrative Example: Sud-Tirol News Provider
Discounted TS
[Raj & Kalyani, 2017]
Discounted TS
[Raj & Kalyani, 2017]
𝛾 factor of discount for older rewards
Sliding-Window TS
[Trovò et al., 2020]
Sliding-Window TS
Consider only last 𝜏 rewards when
computing ℬ parameters
[Trovò et al., 2020]
f-Discounted
Sliding-Window TS
[Cavenaghi et al., 2021]
f-Discounted
Sliding-Window TS
Historic trace with discounted rewards
[Cavenaghi et al., 2021]
f-Discounted
Sliding-Window TS
Hot trace with sliding window
[Cavenaghi et al., 2021]
f-Discounted
Sliding-Window TS
• Two samples for each arm at t
• Historic discounted trace
• Sliding-window hot trace
• Combination of the two
parameters via an aggregation
function f (e.g., min, max,
mean)
[Cavenaghi et al., 2021]
Simulated Decreasing Reward (environment)
[Cavenaghi et al., 2021]
Simulated Decreasing Reward (reward/regret)
[Cavenaghi et al., 2021]
Comparison on Real-World Data
[Cavenaghi et al., 2021]
More experiments and details in the paper @ https://www.mdpi.com/1099-4300/23/3/380
Open-source code @ https://github.com/CavenaghiEmanuele/Multi-armed-bandit
More Advanced Methods
• Change-point detection UCB [Liu et al., 2018]
• Concept drift sliding-window with TS [Bifet & Gavalda, 2007]
• Burst-induced MAB [Alves et al., 2021]
• ...
CONTEXTUAL MAB
Introducing Context: Motivation
• The action a might not be equally appealing at each time step t ->
contextual conditions might change
• Actions can be inter-dependent
• It could be useful to represent those contextual conditions, i.e., define
the features of the actions or the agent/environment
• Introducing a context 𝒙 ∈ ℛ3
formalizing the contextual conditions:
• You might consider the context as a feature vector of length d
• The expected reward for arm a is now computed by the dot product of the
hidden (estimated) parameter vector 𝜽𝒕 and the context vector 𝒙𝒕,𝒂
E 𝑟#,' 𝑥#,' = 𝒙𝒕,𝒂𝜽𝒕
Illustrative Example: News Recommendation
Illustrative Example: News Recommendation
𝑥! 𝑥" 𝑥#
Illustrative Example: News Recommendation
𝜃$
𝑥! 𝑥" 𝑥#
Illustrative Example: News Recommendation
E 𝑟$ = ×
𝜃$
𝑥! 𝑥" 𝑥#
Illustrative Example: News Recommendation
E 𝑟$ = ×
𝜃$
𝑥! 𝑥" 𝑥#
Illustrative Example: News Recommendation
E 𝑟$ = ×
𝜃$
𝑥! 𝑥" 𝑥#
Illustrative Example: News Recommendation
𝜃$
𝑥! 𝑥" 𝑥#
Thompson Sampling
[Agrawal & Goyal, 2013]
Thompson Sampling
We sample from a multivariate Gaussian distribution
with mean vector )
𝝁 and covariance matrix 𝑩!"
[Agrawal & Goyal, 2013]
Thompson Sampling
[Agrawal & Goyal, 2013]
We assume an underlying unknown parameter 𝝁∗
,
which is approximated by 𝒖𝒕 , such that the expected
reward is a linear combination E 𝑟%,' = 𝒙𝒕,𝒂 𝝁∗
Thompson Sampling
[Agrawal & Goyal, 2013]
Parameters update based on given context
𝒙𝒕,𝒂 and reward rt following Ridge Regression
Linear Upper Confidence Bound
[Li et al., 2010]
Linear Upper Confidence Bound
[Li et al., 2010]
Linear Upper Confidence Bound
[Li et al., 2010]
Case Study: Conversational Picture-based DSSApple
• Apple is the third most produced fruit worldwide (86+ million metric tons in
2019), apple exports are valued 7+ billion USD
• Problem: Post-harvest disease, occurring during storage, is one of the main
causes of economic losses for apples production (10% in integrated – 30% in
organic)
• Goal: Develop a Decision Support System (DSS) fully based on user
interaction with symptom images to guide the diagnosis of post-harvest
diseases of apples
[Sottocornola et al., 2020]
Case Study: Conversational Picture-based DSSApple
[Sottocornola et al., 2020]
Case Study: Conversational Picture-based DSSApple
Case Study: Conversational Picture-based DSSApple
Case Study: Conversational Picture-based DSSApple
• How to reload the set of images in subsequent round?
• We want to adapt images reloading based on past feedback of the user BUT…
• …Similar images may belong to different diseases – User can be easily mistaken and
provide wrong feedback to similar diseases
• We focus on symptom images features (extracted through PCA)
• Rationale: implement a conversational sampling strategy that applies both
exploitation (rely on user previous feedback) and exploration (show the most
diverse set of images) -> Contextual Multi-Armed Bandit
Case Study: Conversational Picture-based DSSApple
• Unknown parameter 𝜇∗ represents the user “preferences” w.r.t. the
contextual features of the images (e.g., spots, spores, rotten shape, etc.)
• Parameter 𝜇% is sampled at round t from a Gaussian multivariate
distribution with expected value ̂
𝜇%
• The expected reward for each image is the dot product of the estimated
user preference 𝜇% and the image context 𝑏$
• The image to show next is iteratively selected by maximizing the expected
reward 𝑎% = argmax
$
𝑏$𝜇%
• Within a round, feedback (= reward) is collected over different images
• A selected image represents a positive reward
• Not selecting an image is a (slightly) negative reward
• The feedback allows to refine the estimation of ̂
𝜇%
Case Study: Conversational Picture-based DSSApple
• Gamified challenge with 163
BSc CS students performing
515 diagnoses
• 8 rounds with 4 images
• 5 diseases to be selected
• 4 different strategies of
reloading are implemented:
• Stratified Random (total
exploration)
• Greedy (total exploitation)
• Upper Confidence Bound
• Thompson sampling
[Sottocornola et al., 2021a]
COUNTERFACTUAL MAB WITH
UNOBSERVED CONFOUNDERS
Preliminaries
• Unobserved Confounders: factors U that simultaneously affect the
treatment/action (i.e., the arm selection) and the outcome (i.e., the bandit
reward), but are not accounted in the analysis
• Counterfactual: Let X be the set of player’s choice and Y the set of
outcomes. The counterfactual sentence “Y would be y (in situation U = u),
had X been x, given that X = x’ was observed” is interpreted as the causal
equation Yx(u) = y
[Bareinboim et al., 2015]
Illustrative Example: Greedy Casino
• Two models of slot machines (M1 and M2), which learned the habits of the
players to adapt their payoff and increase casino outcome
• Player “natural” choice of the machine 𝑋 ∈ {𝑀2, 𝑀3} is a function of player
inebriation 𝐷 ∈ {0,1} and whether machine is blinking 𝐵 ∈ 0,1
• 𝑋 ← 𝑓" 𝐷, 𝐵 = 𝐷⨁𝐵
• Every player has equal chance to be inebriated, as well as every machine has equal
chance to be blinking 𝑃 𝐷 = 0 = 𝑃 𝐷 = 1 = 𝑃 𝐵 = 0 = 𝑃 𝐵 = 1 = 0.5
• Slot machines have full knowledge of the environment and adapt their payoff
according to player’s natural choice
[Bareinboim et al., 2015]
(a) Payoff rates and player natural choice (*), (b) Observational and Experimental expected reward
Illustrative Example: Greedy Casino
• Greedy casino meets legal requirement of providing a payoff of 30% (under
randomized control trial), while in practice (under observational model) it is
paying just 15% of the times!
• Run a set of bandit/randomized experiments to improve the performance of
the players
[Bareinboim et al., 2015]
MABUC Policy
• Exploit effect of the treatment of the treated (i.e., counterfactual) to include
unobserved confounders in the expected reward computation
• From average reward across arms (standard bandit) E(𝑌|𝑑𝑜 𝑋 = 𝑎 )
• To average reward by choosing and action w.r.t. natural choice (intuition)
E(𝑌456|𝑋 = 𝑎)
• Regret decision criterion: counterfactual nature of the inference, i.e.,
interrupt any reasoning agent before executing their choice, treat this as an
intention, compute the counterfactual expectation, then act.
[Bareinboim et al., 2015]
Causal Thompson Sampling
[Bareinboim et al., 2015]
Causal Thompson Sampling
[Bareinboim et al., 2015]
Causal Thompson Sampling
[Bareinboim et al., 2015]
Causal Thompson Sampling
[Bareinboim et al., 2015]
Case Study: CF-CMAB to DSSApple Diagnosis
[Sottocornola et al., 2021b]
• Idea: Leverage past user interactions (and decisions) with DSSApple
application to sequentially boost diagnosis accuracy including unobserved
confounders U
• Counterfactual Thompson Sampling (CF-TS) for contextual diagnosis: linear
CMAB (with TS policy) for “disease classification”, enhanced with
counterfactual computation on user decision
• Context: User feedback X provided to the system during a session of
diagnosis (i.e., images clicked as similar)
• Counterfactual: Regret decision criterion, i.e., interrupt users as they
execute their decision (i.e., diagnosis), treat this as an intuition I and
compute counterfactual decision Y
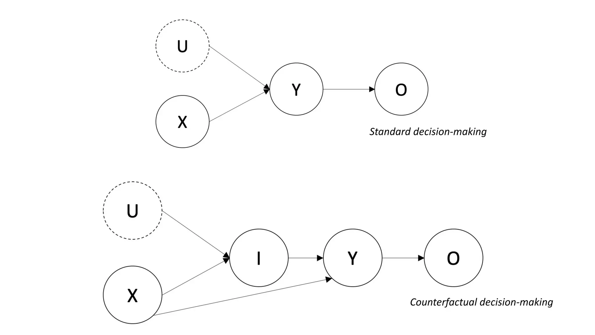
Counterfactual Contextual MAB
[Sottocornola et al., 2021b]
Standard decision-making
Counterfactual decision-making
CF-TS Algorithm
• At time t, play arm
• Expected reward is computed as
• In causal terms, this corresponds to optimize the expected outcome 𝑂 for
selecting arm 𝑌 = 𝑦, given the contextual information 𝑋 = 𝑥𝑡 and the
intuition of the user towards arm 𝐼 = 𝑖𝑡
• “What have been the expected reward had I pull arm 𝑦 given that I am
about to pull arm 𝑖𝑡 ?”
[Sottocornola et al., 2021b]
CF-TS Algorithm
[Sottocornola et al., 2021b]
CF-TS Algorithm
[Sottocornola et al., 2021b]
Case Study: DSSApple Diagnosis Results
[Sottocornola et al., 2021b]
Cumulative reward for the image-based context (a) and the similarity-based context (b)
Case Study: DSSApple Diagnosis Results
[Sottocornola et al., 2021b]
Open-source code @ https://github.com/endlessinertia/causal-contextual-bandits
References
• [Auer et al., 2002] Auer, P., Cesa-Bianchi, N., & Fischer, P. (2002). Finite-time analysis of the multiarmed bandit problem. Machine
learning, 47(2), 235-256.
• [Shahriari et al., 2015] Shahriari, B., Swersky, K., Wang, Z., Adams, R. P., & De Freitas, N. (2015). Taking the human out of the loop: A
review of Bayesian optimization. Proceedings of the IEEE, 104(1), 148-175.
• [Jeunen & Goethals, 2021] Jeunen, O., & Goethals, B. (2021). Pessimistic reward models for off-policy learning in recommendation.
In Fifteenth ACM Conference on Recommender Systems (pp. 63-74).
• [Raj & Kalyani, 2017] Raj, V., & Kalyani, S. (2017). Taming non-stationary bandits: A Bayesian approach. arXiv preprint
arXiv:1707.09727.
• [Trovò et al., 2020] Trovò, F., Paladino, S., Restelli, M., & Gatti, N. (2020). Sliding-window thompson sampling for non-stationary
settings. Journal of Artificial Intelligence Research, 68, 311-364.
• [Cavenaghi et al., 2021] Cavenaghi, E., Sottocornola, G., Stella, F., & Zanker, M. (2021). Non Stationary Multi-Armed Bandit:
Empirical Evaluation of a New Concept Drift-Aware Algorithm. Entropy, 23(3), 380.
• [Liu et al., 2018] Liu, F., Lee, J., & Shroff, N. (2018). A change-detection based framework for piecewise-stationary multi-armed
bandit problem. In Proceedings of the AAAI Conference on Artificial Intelligence (Vol. 32, No. 1).
• [Bifet & Gavalda, 2007] Bifet, A., & Gavalda, R. (2007). Learning from time-changing data with adaptive windowing. In Proceedings
of the 2007 SIAM international conference on data mining (pp. 443-448). Society for Industrial and Applied Mathematics.
• [Alves et al., 2021] Alves, R., Ledent, A., & Kloft, M. (2021). Burst-induced Multi-Armed Bandit for Learning Recommendation.
In Fifteenth ACM Conference on Recommender Systems (pp. 292-301).
References
• [Agrawal & Goyal, 2013] Agrawal, S., & Goyal, N. (2013). Thompson sampling for contextual bandits with linear payoffs.
In International Conference on Machine Learning (pp. 127-135). PMLR.
• [Li et al., 2010] Li, L., Chu, W., Langford, J., & Schapire, R. E. (2010). A contextual-bandit approach to personalized news article
recommendation. In Proceedings of the 19th international conference on World wide web (pp. 661-670).
• [Sottocornola et al., 2020] Sottocornola, G., Nocker, M., Stella, F., & Zanker, M. (2020). Contextual multi-armed bandit strategies for
diagnosing post-harvest diseases of apple. In Proceedings of the 25th International Conference on Intelligent User Interfaces (pp.
83-87).
• [Sottocornola et al., 2021a] Sottocornola, G., Baric, S., Nocker, M., Stella, F., & Zanker, M. (2021). Picture-based and conversational
decision support to diagnose post-harvest apple diseases. Expert Systems with Applications, 116052.
• [Bareinboim et al., 2015] Bareinboim, E., Forney, A., & Pearl, J. (2015). Bandits with unobserved confounders: A causal
approach. Advances in Neural Information Processing Systems, 28, 1342-1350.
• [Sottocornola et al., 2021b] Sottocornola, G., Stella, F., & Zanker, M. (2021). Counterfactual Contextual Multi-Armed Bandit: a Real-
World Application to Diagnose Apple Diseases. arXiv preprint arXiv:2102.04214.
• [Žliobaitė et al., 2016] Žliobaitė, I., Pechenizkiy, M., & Gama, J. (2016). An overview of concept drift applications. Big data analysis:
new algorithms for a new society, 91-114.

Multi-Armed Bandit: an algorithmic perspective

  • 1.
    MULTI-ARMED BANDIT: AN ALGORITHMICPERSPECTIVE Gabriele Sottocornola gsottocornola[at]unibz[dot]it Free University of Bozen-Bolzano – University of Milano-Bicocca December 13th 2021
  • 2.
    Overview 1. Introduction 2. MABPolicies a. ε-greedy b. Upper Confidence Bound c. Thompson Sampling 3. Non-stationary MAB 4. Contextual MAB 5. Counterfactual MAB with Unobserved Confounders
  • 3.
  • 4.
    Introduction • From one-armedbandit (i.e., the slot machine) to multi-armed bandit (MAB) problem (Robbins, 1952) • If each slot has a different payoff rate, how do you efficiently learn which is the best one, getting the most money in limited time?
  • 5.
    Definition(s) • Reinforcement Learning:At each time step t, an agent choose one action at among n actions (i.e., arms), based on its knowledge of the environment, and observes a reward rt • Machine Learning: We want to learn the parameters of a set of n probability distributions (i.e., arms), while, at each time step t, sampling a value rt from chosen distribution at • Each arm 𝑎! ∈ 𝐴 is associated with an (hidden) mean reward value 𝜇! • The goal is to maximize the (expected) cumulative reward over a number of time steps T. Alternatively minimize the regret 𝑅" = ' #$% " 𝑟# ; * 𝑅" = ' #$% " E[𝑟#] ; 𝜌 = 𝑇𝜇∗ − * 𝑅"
  • 6.
    Preliminaries • Exploration/exploitation decisionmaking trade-off • Exploration: gather information about different arms • Exploitation: make the best choice given current information • Bandit/Semi-bandit feedback: no full information available • Online learning of the local optimal action • Stochastic MAB with i.i.d. rewards (unless non-stationary or adversarial) • Research directions: • Proof of theoretical bounds [Auer et al., 2002] • Application of MAB algorithms to real-world/simulated problems • (Bayesian optimization) [Shahriari et al., 2015] • Off-policy (counterfactual) learning/evaluation [Jeunen & Goethals, 2021]
  • 7.
    Illustrative Example: A/BTest • A company wants to advertise its product with three different campaigns, to be tested for a time horizon of 90 days • Each day, they display on the web one and collect the daily click- through rate (i.e., the reward for that campaign) • A standard A/B test (30 days per campaign) would be sub-optimal in terms of expected clicks, hence loses potential costumers • They adopt a bandit strategy to explore the effectiveness of all campaigns while exploiting for the best one
  • 8.
  • 9.
  • 10.
  • 11.
  • 12.
  • 13.
  • 14.
  • 15.
  • 16.
  • 18.
  • 19.
  • 20.
  • 21.
  • 22.
    Other Applications • Clinicaltrials • Dynamic resources allocation • Web advertising placement • Personalized news recommendation • Financial portfolio analysis • …
  • 23.
    Supervised Learning vsMAB • Goal: music streaming service conversion to premium membership • Different features to promote
  • 24.
    Supervised Learning vsMAB • Rewards for all action is observed (i.e., full-information setting) • Supervised learning should be considered!
  • 25.
    Supervised Learning vsMAB • I can promote only one feature for each user and observe the reward • Reward only for the selected action at each time step is returned (Bandit setup!)
  • 26.
  • 27.
    Preliminaries • Policy: howthe agent makes its choice at current time step t, given the environment (i.e., how to choose arm at) • Two elements to be considered for a policy: • How to select the distribution parameters (e.g., the expected reward value % 𝜇$ ≅ 𝜇$) and update them based on observed reward rt? • How to make action choice to keep a good exploration/exploitation balance?
  • 28.
    Preliminaries • Assumption: StochasticMAB with Bernoulli rewards (e.g., casino) • Bernoulli reward 𝑟% ∈ 0, 1 • Probability of success 𝑝$ = P𝑖 𝑟% = 1 for each arm 𝑎$ ∈ 𝐴 • 𝜇$ = 𝑝$ estimated with E ℬ 𝛼, 𝛽 (i.e., Beta is Bernoulli conjugate prior, with 𝛼 successes and 𝛽 failures) • Blueprint of a MAB action selection: 𝑎# = argmax ' [𝑄# 𝑎 + 𝑉# 𝑎 ]
  • 29.
  • 30.
  • 31.
    Beyond 𝜀-greedy • Explorationis randomly controlled by a user-defined parameter • Without 𝜀 is a full-exploitation (sub-optimal) algorithm • Shortcomings: • 𝜀 is fixed and not adaptive (solution: decaying-𝜀) • Regret is linear in the number of round T (always same exploration rate 𝜀) • Does not consider underlying distribution or arm-related uncertainty • How to improve it with a policy that adapt exploration/exploitation based on time steps t to obtain a sublinear regret?
  • 32.
  • 33.
  • 34.
    Upper Confidence Bound Optimismin face of uncertainty
  • 35.
  • 36.
  • 37.
  • 38.
    Thompson Sampling Where E[ℬ]= - 𝑝! ≈ 𝑝! of Bernoulli
  • 39.
  • 40.
  • 41.
  • 42.
  • 43.
  • 44.
  • 45.
    Motivation • Relax theassumption of rewards being drawn i.i.d. -> Expected reward distributions evolve over time ∃𝑡 , 𝑖 ∶ 𝜇! # ≠ 𝜇! #0% • 𝑅" = ∑#$% " 𝑟# ; * 𝑅" = ∑#$% " E[𝑟#] ; 𝜌 = ∑#$% " 𝜇#,∗ − * 𝑅" • Useful in applications in which seasonal/evolving distributions might be observed (also referred as concept drift in ML) [Žliobaitė et al., 2016] • e.g., Short-session news recommendation • Few interactions per users (no data for personalization) • Rapidly evolving trends (i.e., topic distributions) over the days
  • 46.
  • 47.
    Discounted TS [Raj &Kalyani, 2017]
  • 48.
    Discounted TS [Raj &Kalyani, 2017] 𝛾 factor of discount for older rewards
  • 49.
  • 50.
    Sliding-Window TS Consider onlylast 𝜏 rewards when computing ℬ parameters [Trovò et al., 2020]
  • 51.
  • 52.
    f-Discounted Sliding-Window TS Historic tracewith discounted rewards [Cavenaghi et al., 2021]
  • 53.
    f-Discounted Sliding-Window TS Hot tracewith sliding window [Cavenaghi et al., 2021]
  • 54.
    f-Discounted Sliding-Window TS • Twosamples for each arm at t • Historic discounted trace • Sliding-window hot trace • Combination of the two parameters via an aggregation function f (e.g., min, max, mean) [Cavenaghi et al., 2021]
  • 55.
    Simulated Decreasing Reward(environment) [Cavenaghi et al., 2021]
  • 56.
    Simulated Decreasing Reward(reward/regret) [Cavenaghi et al., 2021]
  • 57.
    Comparison on Real-WorldData [Cavenaghi et al., 2021] More experiments and details in the paper @ https://www.mdpi.com/1099-4300/23/3/380 Open-source code @ https://github.com/CavenaghiEmanuele/Multi-armed-bandit
  • 58.
    More Advanced Methods •Change-point detection UCB [Liu et al., 2018] • Concept drift sliding-window with TS [Bifet & Gavalda, 2007] • Burst-induced MAB [Alves et al., 2021] • ...
  • 59.
  • 60.
    Introducing Context: Motivation •The action a might not be equally appealing at each time step t -> contextual conditions might change • Actions can be inter-dependent • It could be useful to represent those contextual conditions, i.e., define the features of the actions or the agent/environment • Introducing a context 𝒙 ∈ ℛ3 formalizing the contextual conditions: • You might consider the context as a feature vector of length d • The expected reward for arm a is now computed by the dot product of the hidden (estimated) parameter vector 𝜽𝒕 and the context vector 𝒙𝒕,𝒂 E 𝑟#,' 𝑥#,' = 𝒙𝒕,𝒂𝜽𝒕
  • 61.
  • 62.
    Illustrative Example: NewsRecommendation 𝑥! 𝑥" 𝑥#
  • 63.
    Illustrative Example: NewsRecommendation 𝜃$ 𝑥! 𝑥" 𝑥#
  • 64.
    Illustrative Example: NewsRecommendation E 𝑟$ = × 𝜃$ 𝑥! 𝑥" 𝑥#
  • 65.
    Illustrative Example: NewsRecommendation E 𝑟$ = × 𝜃$ 𝑥! 𝑥" 𝑥#
  • 66.
    Illustrative Example: NewsRecommendation E 𝑟$ = × 𝜃$ 𝑥! 𝑥" 𝑥#
  • 67.
    Illustrative Example: NewsRecommendation 𝜃$ 𝑥! 𝑥" 𝑥#
  • 68.
  • 69.
    Thompson Sampling We samplefrom a multivariate Gaussian distribution with mean vector ) 𝝁 and covariance matrix 𝑩!" [Agrawal & Goyal, 2013]
  • 70.
    Thompson Sampling [Agrawal &Goyal, 2013] We assume an underlying unknown parameter 𝝁∗ , which is approximated by 𝒖𝒕 , such that the expected reward is a linear combination E 𝑟%,' = 𝒙𝒕,𝒂 𝝁∗
  • 71.
    Thompson Sampling [Agrawal &Goyal, 2013] Parameters update based on given context 𝒙𝒕,𝒂 and reward rt following Ridge Regression
  • 72.
    Linear Upper ConfidenceBound [Li et al., 2010]
  • 73.
    Linear Upper ConfidenceBound [Li et al., 2010]
  • 74.
    Linear Upper ConfidenceBound [Li et al., 2010]
  • 75.
    Case Study: ConversationalPicture-based DSSApple • Apple is the third most produced fruit worldwide (86+ million metric tons in 2019), apple exports are valued 7+ billion USD • Problem: Post-harvest disease, occurring during storage, is one of the main causes of economic losses for apples production (10% in integrated – 30% in organic) • Goal: Develop a Decision Support System (DSS) fully based on user interaction with symptom images to guide the diagnosis of post-harvest diseases of apples [Sottocornola et al., 2020]
  • 76.
    Case Study: ConversationalPicture-based DSSApple [Sottocornola et al., 2020]
  • 77.
    Case Study: ConversationalPicture-based DSSApple
  • 78.
    Case Study: ConversationalPicture-based DSSApple
  • 79.
    Case Study: ConversationalPicture-based DSSApple • How to reload the set of images in subsequent round? • We want to adapt images reloading based on past feedback of the user BUT… • …Similar images may belong to different diseases – User can be easily mistaken and provide wrong feedback to similar diseases • We focus on symptom images features (extracted through PCA) • Rationale: implement a conversational sampling strategy that applies both exploitation (rely on user previous feedback) and exploration (show the most diverse set of images) -> Contextual Multi-Armed Bandit
  • 80.
    Case Study: ConversationalPicture-based DSSApple • Unknown parameter 𝜇∗ represents the user “preferences” w.r.t. the contextual features of the images (e.g., spots, spores, rotten shape, etc.) • Parameter 𝜇% is sampled at round t from a Gaussian multivariate distribution with expected value ̂ 𝜇% • The expected reward for each image is the dot product of the estimated user preference 𝜇% and the image context 𝑏$ • The image to show next is iteratively selected by maximizing the expected reward 𝑎% = argmax $ 𝑏$𝜇% • Within a round, feedback (= reward) is collected over different images • A selected image represents a positive reward • Not selecting an image is a (slightly) negative reward • The feedback allows to refine the estimation of ̂ 𝜇%
  • 81.
    Case Study: ConversationalPicture-based DSSApple • Gamified challenge with 163 BSc CS students performing 515 diagnoses • 8 rounds with 4 images • 5 diseases to be selected • 4 different strategies of reloading are implemented: • Stratified Random (total exploration) • Greedy (total exploitation) • Upper Confidence Bound • Thompson sampling [Sottocornola et al., 2021a]
  • 82.
  • 83.
    Preliminaries • Unobserved Confounders:factors U that simultaneously affect the treatment/action (i.e., the arm selection) and the outcome (i.e., the bandit reward), but are not accounted in the analysis • Counterfactual: Let X be the set of player’s choice and Y the set of outcomes. The counterfactual sentence “Y would be y (in situation U = u), had X been x, given that X = x’ was observed” is interpreted as the causal equation Yx(u) = y [Bareinboim et al., 2015]
  • 84.
    Illustrative Example: GreedyCasino • Two models of slot machines (M1 and M2), which learned the habits of the players to adapt their payoff and increase casino outcome • Player “natural” choice of the machine 𝑋 ∈ {𝑀2, 𝑀3} is a function of player inebriation 𝐷 ∈ {0,1} and whether machine is blinking 𝐵 ∈ 0,1 • 𝑋 ← 𝑓" 𝐷, 𝐵 = 𝐷⨁𝐵 • Every player has equal chance to be inebriated, as well as every machine has equal chance to be blinking 𝑃 𝐷 = 0 = 𝑃 𝐷 = 1 = 𝑃 𝐵 = 0 = 𝑃 𝐵 = 1 = 0.5 • Slot machines have full knowledge of the environment and adapt their payoff according to player’s natural choice [Bareinboim et al., 2015] (a) Payoff rates and player natural choice (*), (b) Observational and Experimental expected reward
  • 85.
    Illustrative Example: GreedyCasino • Greedy casino meets legal requirement of providing a payoff of 30% (under randomized control trial), while in practice (under observational model) it is paying just 15% of the times! • Run a set of bandit/randomized experiments to improve the performance of the players [Bareinboim et al., 2015]
  • 86.
    MABUC Policy • Exploiteffect of the treatment of the treated (i.e., counterfactual) to include unobserved confounders in the expected reward computation • From average reward across arms (standard bandit) E(𝑌|𝑑𝑜 𝑋 = 𝑎 ) • To average reward by choosing and action w.r.t. natural choice (intuition) E(𝑌456|𝑋 = 𝑎) • Regret decision criterion: counterfactual nature of the inference, i.e., interrupt any reasoning agent before executing their choice, treat this as an intention, compute the counterfactual expectation, then act. [Bareinboim et al., 2015]
  • 87.
  • 88.
  • 89.
  • 90.
  • 91.
    Case Study: CF-CMABto DSSApple Diagnosis [Sottocornola et al., 2021b]
  • 92.
    • Idea: Leveragepast user interactions (and decisions) with DSSApple application to sequentially boost diagnosis accuracy including unobserved confounders U • Counterfactual Thompson Sampling (CF-TS) for contextual diagnosis: linear CMAB (with TS policy) for “disease classification”, enhanced with counterfactual computation on user decision • Context: User feedback X provided to the system during a session of diagnosis (i.e., images clicked as similar) • Counterfactual: Regret decision criterion, i.e., interrupt users as they execute their decision (i.e., diagnosis), treat this as an intuition I and compute counterfactual decision Y Counterfactual Contextual MAB [Sottocornola et al., 2021b]
  • 93.
  • 94.
    CF-TS Algorithm • Attime t, play arm • Expected reward is computed as • In causal terms, this corresponds to optimize the expected outcome 𝑂 for selecting arm 𝑌 = 𝑦, given the contextual information 𝑋 = 𝑥𝑡 and the intuition of the user towards arm 𝐼 = 𝑖𝑡 • “What have been the expected reward had I pull arm 𝑦 given that I am about to pull arm 𝑖𝑡 ?” [Sottocornola et al., 2021b]
  • 95.
  • 96.
  • 97.
    Case Study: DSSAppleDiagnosis Results [Sottocornola et al., 2021b] Cumulative reward for the image-based context (a) and the similarity-based context (b)
  • 98.
    Case Study: DSSAppleDiagnosis Results [Sottocornola et al., 2021b] Open-source code @ https://github.com/endlessinertia/causal-contextual-bandits
  • 99.
    References • [Auer etal., 2002] Auer, P., Cesa-Bianchi, N., & Fischer, P. (2002). Finite-time analysis of the multiarmed bandit problem. Machine learning, 47(2), 235-256. • [Shahriari et al., 2015] Shahriari, B., Swersky, K., Wang, Z., Adams, R. P., & De Freitas, N. (2015). Taking the human out of the loop: A review of Bayesian optimization. Proceedings of the IEEE, 104(1), 148-175. • [Jeunen & Goethals, 2021] Jeunen, O., & Goethals, B. (2021). Pessimistic reward models for off-policy learning in recommendation. In Fifteenth ACM Conference on Recommender Systems (pp. 63-74). • [Raj & Kalyani, 2017] Raj, V., & Kalyani, S. (2017). Taming non-stationary bandits: A Bayesian approach. arXiv preprint arXiv:1707.09727. • [Trovò et al., 2020] Trovò, F., Paladino, S., Restelli, M., & Gatti, N. (2020). Sliding-window thompson sampling for non-stationary settings. Journal of Artificial Intelligence Research, 68, 311-364. • [Cavenaghi et al., 2021] Cavenaghi, E., Sottocornola, G., Stella, F., & Zanker, M. (2021). Non Stationary Multi-Armed Bandit: Empirical Evaluation of a New Concept Drift-Aware Algorithm. Entropy, 23(3), 380. • [Liu et al., 2018] Liu, F., Lee, J., & Shroff, N. (2018). A change-detection based framework for piecewise-stationary multi-armed bandit problem. In Proceedings of the AAAI Conference on Artificial Intelligence (Vol. 32, No. 1). • [Bifet & Gavalda, 2007] Bifet, A., & Gavalda, R. (2007). Learning from time-changing data with adaptive windowing. In Proceedings of the 2007 SIAM international conference on data mining (pp. 443-448). Society for Industrial and Applied Mathematics. • [Alves et al., 2021] Alves, R., Ledent, A., & Kloft, M. (2021). Burst-induced Multi-Armed Bandit for Learning Recommendation. In Fifteenth ACM Conference on Recommender Systems (pp. 292-301).
  • 100.
    References • [Agrawal &Goyal, 2013] Agrawal, S., & Goyal, N. (2013). Thompson sampling for contextual bandits with linear payoffs. In International Conference on Machine Learning (pp. 127-135). PMLR. • [Li et al., 2010] Li, L., Chu, W., Langford, J., & Schapire, R. E. (2010). A contextual-bandit approach to personalized news article recommendation. In Proceedings of the 19th international conference on World wide web (pp. 661-670). • [Sottocornola et al., 2020] Sottocornola, G., Nocker, M., Stella, F., & Zanker, M. (2020). Contextual multi-armed bandit strategies for diagnosing post-harvest diseases of apple. In Proceedings of the 25th International Conference on Intelligent User Interfaces (pp. 83-87). • [Sottocornola et al., 2021a] Sottocornola, G., Baric, S., Nocker, M., Stella, F., & Zanker, M. (2021). Picture-based and conversational decision support to diagnose post-harvest apple diseases. Expert Systems with Applications, 116052. • [Bareinboim et al., 2015] Bareinboim, E., Forney, A., & Pearl, J. (2015). Bandits with unobserved confounders: A causal approach. Advances in Neural Information Processing Systems, 28, 1342-1350. • [Sottocornola et al., 2021b] Sottocornola, G., Stella, F., & Zanker, M. (2021). Counterfactual Contextual Multi-Armed Bandit: a Real- World Application to Diagnose Apple Diseases. arXiv preprint arXiv:2102.04214. • [Žliobaitė et al., 2016] Žliobaitė, I., Pechenizkiy, M., & Gama, J. (2016). An overview of concept drift applications. Big data analysis: new algorithms for a new society, 91-114.