Matrices
Hafiz NADEEM (ACCA)
BBA,SCM,ADP
(1st
semester)
Imperial College of
Business Studies
Topics to be covered
 Definition
 How to describe matrices ?
 Types of matrices
 Operation in matrices
 Transpose of matrices
 References
Definition
 Matrices is a set or group of numbers
arrange in a square or rectangular
array enclose by two brackets.
 Matrices can be written as an m*n
matrix.
 ‘m’ is horizontal lines called rows.
 ‘n’ is vertical line called columns.
How to describe matrix
 An element occurring in the ith row and
jth column of a matrix A will be called
the (i , j)th element of A to be denoted
by aij














mn
ij
m
m
n
ij
in
ij
a
a
a
a
a
a
a
a
a
a
a
a
2
1
2
22
21
12
11
...
...




Amxn=
e.g. matrix [A] with elements aij
Amxn=














mn
ij
m
m
n
ij
in
ij
a
a
a
a
a
a
a
a
a
a
a
a
2
1
2
22
21
12
11
...
...




TYPE OF
MATRICES
 Row matrix
 Column matrix
 Zero or null matrix
 Square matrix
 Diagonal matrix
 Scalar matrix
 Unit matrix
 Comparable matrix
 Equal matrix
Row matrix
A matrix having only one row is known as
a row matrix or a row vector.
Example:
• A= [5 18] is a row matrix of order 1x2.
• B= [ 2 4 3 7] is a row matrix of order
1x4.
Column matrix
 A matrix having only one column is
known as column matrix or a column
vector.
Example:










2
4
1






 3
1












1
21
11
m
a
a
a

Zero or Null matrix
 A matrix each of whose elements is
zero is called a zero is called zero or
null matrix.
Example:










0
0
0










0
0
0
0
0
0
0
0
0
0

ij
a For all i,j
Square matrix
 A matrix having the same number of
rows and column is called a square
matrix.
Example:






0
3
1
1










1
6
6
0
9
9
1
1
1
Diagonal matrix
 A square matrix in which every non-
diagonal element is zero is called a
diagonal matrix.
Example:










1
0
0
0
2
0
0
0
1












9
0
0
0
0
5
0
0
0
0
3
0
0
0
0
3
i.e. aij =0 for all i = j
aij = 0 for some or all i = j
Unit matrix
 A square matrix in which every non-
diagonal elements is 0 and every
diagonal elements is 1 is called a unit
matrix or an identity matrix.
Example:












1
0
0
0
0
1
0
0
0
0
1
0
0
0
0
1






1
0
0
1
i.e. aij =0 for all i = j
aij = 1 for some or all i = j






ij
ij
a
a
0
0
Operations in
matrices
Matrices - Operations
ADDITION AND SUBTRACTION OF MATRICES
The sum or difference of two matrices, A and B of
the same size yields a matrix C of the same size
ij
ij
ij b
a
c 

Matrices of different sizes cannot be added or
subtracted
Matrices - Operations
Commutative Law:
A + B = B + A
Associative Law:
A + (B + C) = (A + B) + C = A + B + C


























9
7
2
5
8
8
3
2
4
6
5
1
6
5
2
1
3
7
A
2x3
B
2x3
C
2x3
Matrices - Operations
A + 0 = 0 + A = A
A + (-A) = 0 (where –A is the matrix composed of –aij as
elements)





















1
2
2
2
2
5
8
0
1
0
2
1
7
2
3
2
4
6
Matrices - Operations
SCALAR MULTIPLICATION OF MATRICES
Matrices can be multiplied by a scalar (constant or
single element)
Let k be a scalar quantity; then
kA = Ak
Ex. If k=4 and















1
4
3
2
1
2
1
3
A
Matrices - Operations














































4
16
12
8
4
8
4
12
4
1
4
3
2
1
2
1
3
1
4
3
2
1
2
1
3
4
Properties:
• k (A + B) = kA + kB
• (k + g)A = kA + gA
• k(AB) = (kA)B = A(k)B
• k(gA) = (kg)A
Matrices - Operations
MULTIPLICATION OF MATRICES
The product of two matrices is another matrix
Two matrices A and B must be conformable for
multiplication to be possible
i.e. the number of columns of A must equal the number
of rows of B
Example.
A x B = C
(1x3) (3x1) (1x1)
Matrices - Operations
B x A = Not possible!
(2x1) (4x2)
A x B = Not possible!
(6x2) (6x3)
Example
A x B = C
(2x3) (3x2) (2x2)
Matrices - Operations























22
21
12
11
32
31
22
21
12
11
23
22
21
13
12
11
c
c
c
c
b
b
b
b
b
b
a
a
a
a
a
a
22
32
23
22
22
12
21
21
31
23
21
22
11
21
12
32
13
22
12
12
11
11
31
13
21
12
11
11
)
(
)
(
)
(
)
(
)
(
)
(
)
(
)
(
)
(
)
(
)
(
)
(
c
b
a
b
a
b
a
c
b
a
b
a
b
a
c
b
a
b
a
b
a
c
b
a
b
a
b
a
























Successive multiplication of row i of A with
column j of B – row by column multiplication
Matrices - Operations











































)
3
7
(
)
2
2
(
)
8
4
(
)
5
7
(
)
6
2
(
)
4
4
(
)
3
3
(
)
2
2
(
)
8
1
(
)
5
3
(
)
6
2
(
)
4
1
(
3
5
2
6
8
4
7
2
4
3
2
1







57
63
21
31
Remember also:
IA = A






1
0
0
1






57
63
21
31







57
63
21
31
Matrices - Operations
Assuming that matrices A, B and C are conformable for the
operations indicated, the following are true:
1. AI = IA = A
2. A(BC) = (AB)C = ABC - (associative law)
3. A(B+C) = AB + AC - (first distributive law)
4. (A+B)C = AC + BC - (second distributive law)
Caution!
1. AB not generally equal to BA, BA may not be
conformable
2. If AB = 0, neither A nor B necessarily = 0
3. If AB = AC, B not necessarily = C
Transpose of
matrices
Let A be an m*n matrix. Then, the n*m
matrix, obtained by interchanging the
rows and columns of A, to be denoted
by A’. Thus,
 If the order of A is m*n then the order
of A’ is n*m
 (i,j)th element of A= (j,i)th element of
A’
Symmetric matrix
 A square matrix A is said to be
symmetric if A’ = A.
Example:














d
b
b
a
A
d
b
b
a
A
T
Skew – symmetric matrix
 A square matrix A is said to be skew –
symmetric if A’= -A.
Example:
A= A’= = -A














0
1
5
5
0
3
5
3
0













0
1
5
1
0
3
5
3
0
TRANSPOSE OF A MATRIX
If :








1
3
5
7
4
2
3
2 A
A
2x3












1
7
3
4
5
2
3
2
T
T
A
A
Then transpose of A, denoted AT
is:
T
ji
ij a
a  For all i and j
To transpose:
Interchange rows and columns
The dimensions of AT
are the reverse of the dimensions of A








1
3
5
7
4
2
3
2 A
A












1
7
3
4
5
2
2
3
T
T
A
A
2 x 3
3 x 2
Properties of transposed matrices:
1. (A+B)T
= AT
+ BT
2. (AB)T
= BT
AT
3. (kA)T
= kAT
4. (AT
)T
= A
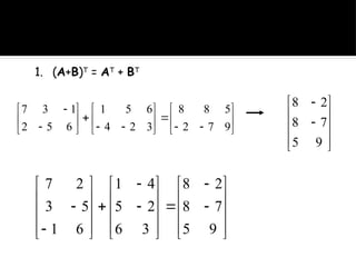
1. (A+B)T
= AT
+ BT


























9
7
2
5
8
8
3
2
4
6
5
1
6
5
2
1
3
7












9
5
7
8
2
8






































9
5
7
8
2
8
3
6
2
5
4
1
6
1
5
3
2
7
(AB)T
= BT
AT
 
   
8
2
3
0
2
1
0
1
2
1
1
8
2
8
2
2
1
1
3
2
0
0
1
1



































References
 Aggarwal, R.S. (2005). “Mathematics”,
Eighth edition, pp. 3-13, Bharati Bhawan
Publications.
 Vasistha, A.R. (2014). “Matrices”, pp.
20-32, Krishna Publication.
 Gupta, S.C. (2009). “Fundamental of
Mathematics” pp. 36-42, Sutanchand &
Sons Publication.
Thank You

matrices, determinant singular and non singulr