Learning organic reaction mechanisms
and new reactions from few total
syntheses of molecules.
Roshen Reji Idiculla
ID MS 14/11
IIRBS
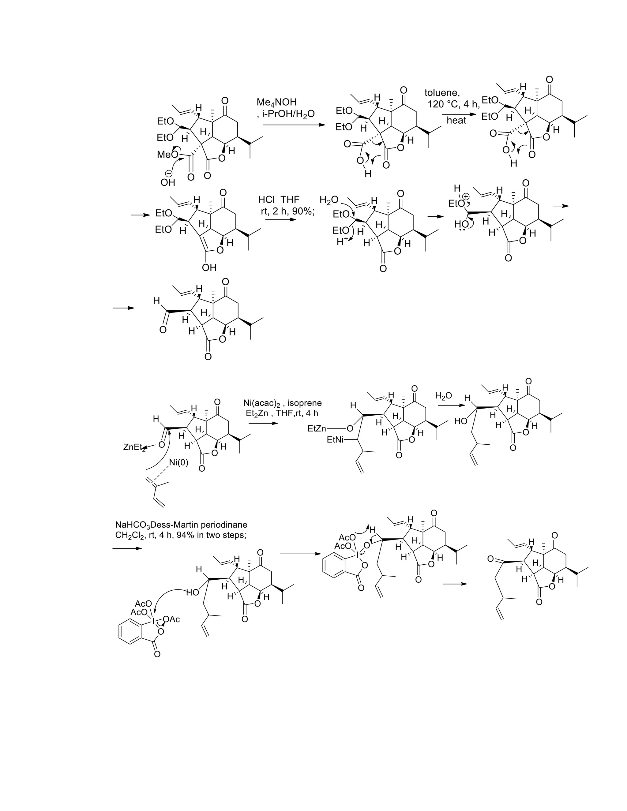
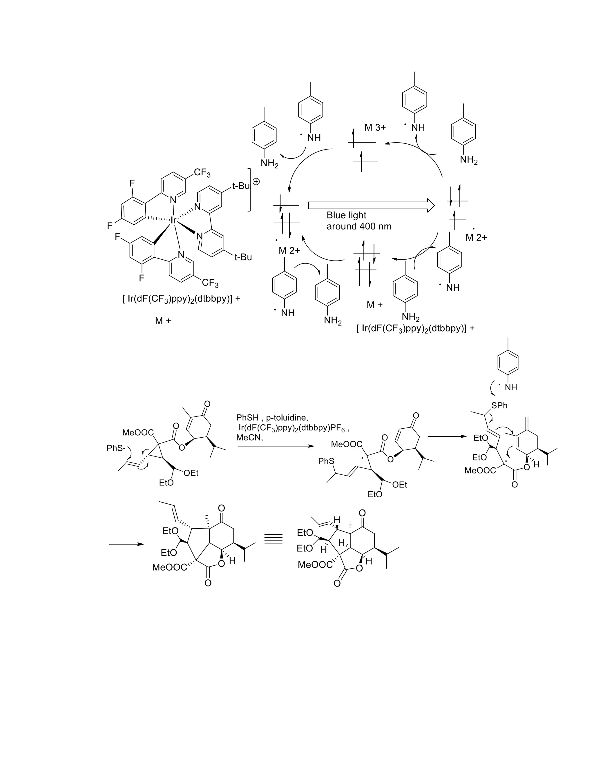
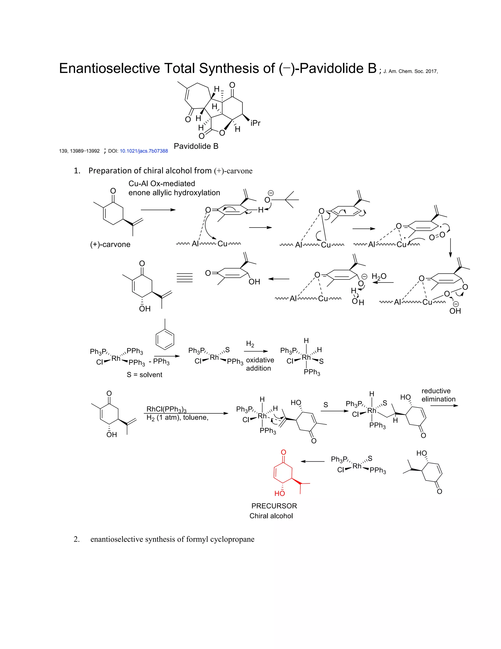
Enantioselective Total Synthesis of (−)-Pavidolide B; J. Am. Chem. Soc. 2017,
139, 13989−13992 ; DOI: 10.1021/jacs.7b07388
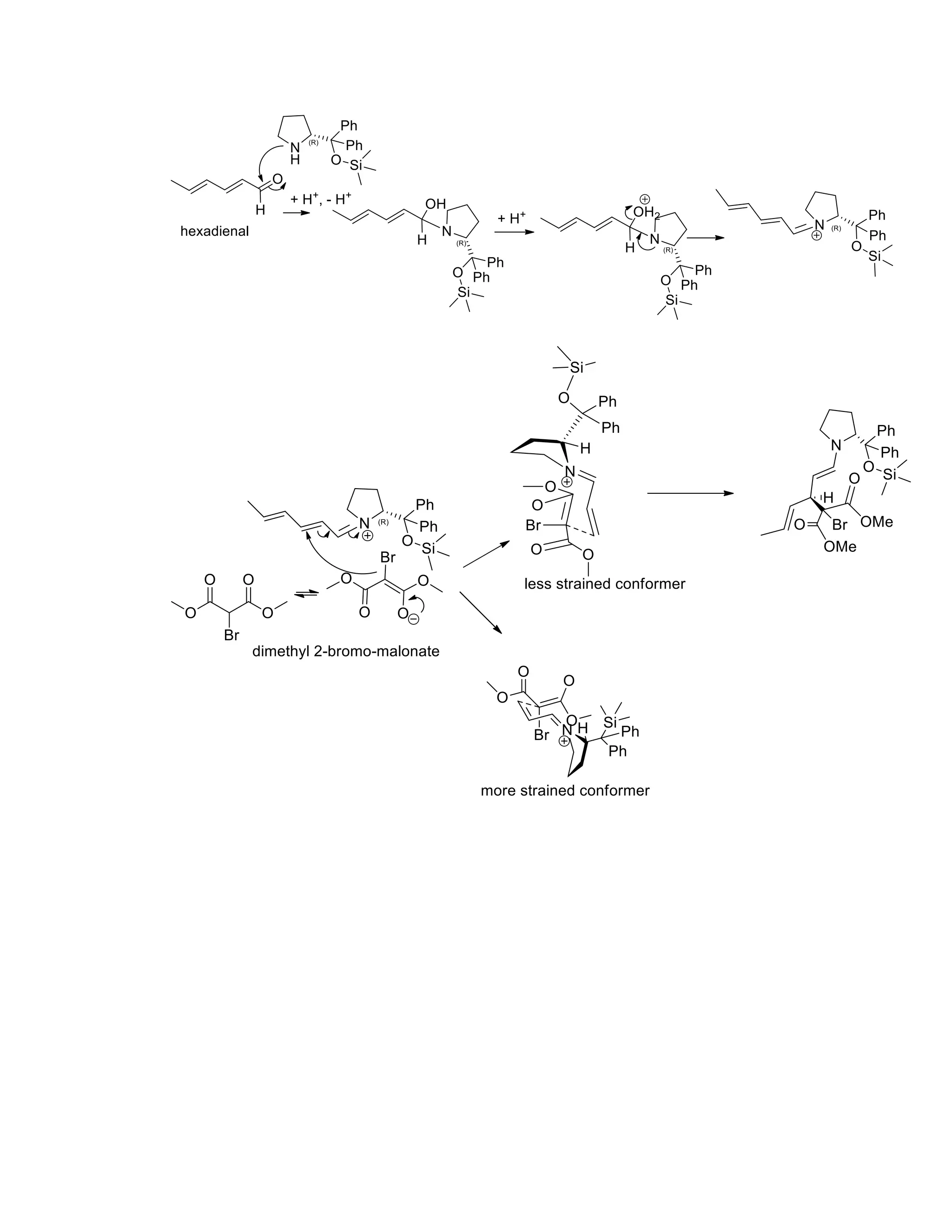
1. Preparation of chiral alcohol from (+)-carvone
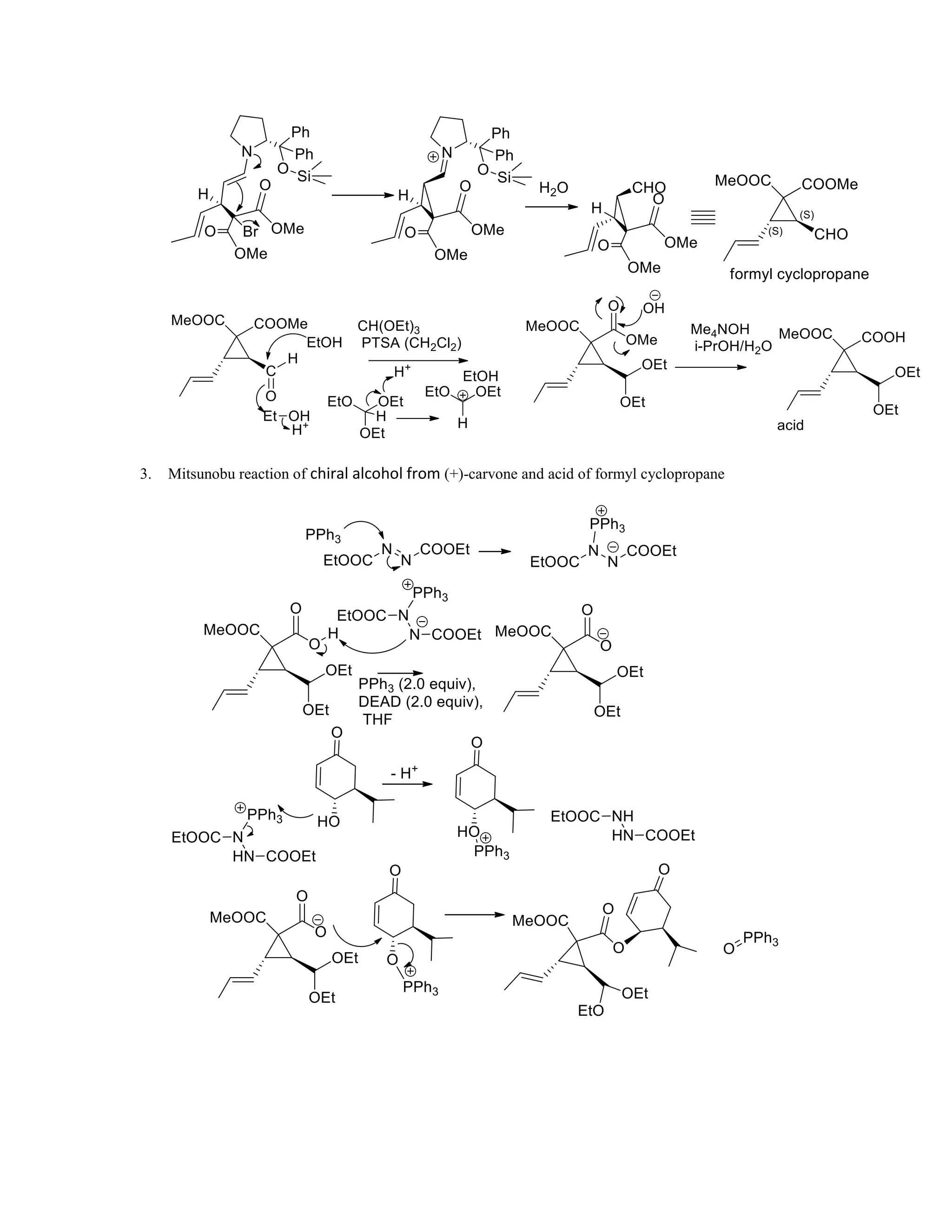
2. enantioselective synthesis of formyl cyclopropane
3. Mitsunobu reaction of chiral alcohol from (+)-carvone and acid of formyl cyclopropane
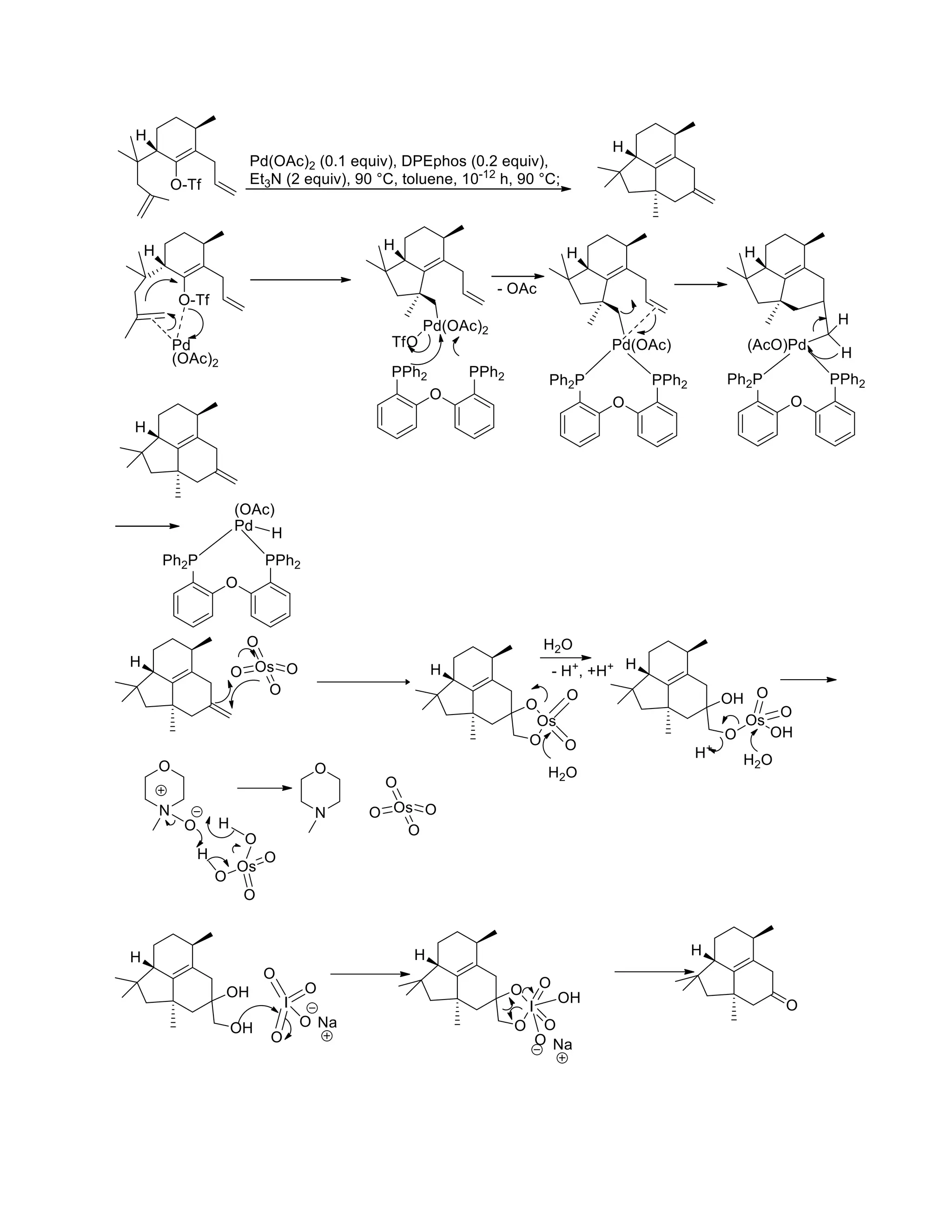
Enantiospecific Total Synthesis of the Highly Strained
(−)-Presilphiperfolan-8-ol via a Pd-Catalyzed Tandem
Cyclization; DOI: 10.1021/jacs.7b01454 ;
Protecting Group-Free Total Synthesis of (−)-Lannotinidine B ;
dx.doi.org/10.1021/ja305261h | J. Am. Chem. Soc. 2012, 134, 12323−12325
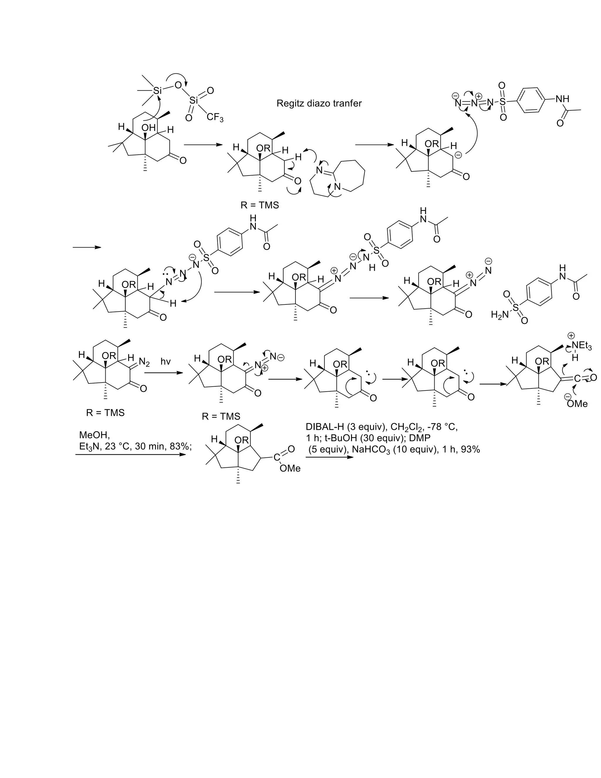
coupling of the α-position of activated alkenes with carbon
electrophiles under the catalytic influence of a Lewis base (N-nBu3
or P-nBu3). BrØnsted acid assisted proton transfer step accelerate
the reaction, BrØnsted acid remain hydrogen bonded to the resulting
enolate in the enantioselectivity determining adol addition step.
https://newreactions.wordpress.com/2011/07/31/its-a-tpap/
Oxygen-containing proton donors sovent t-BuOH, coordinate to oxophilic SmI2 (but THF coordinates to SmI2, hence in
presence of THF, proton donor donot coordinate to SmI2) .
Total Synthesis of (𝛽)-Cyperolone; 10.1021/ol300058t ; Org. Lett.,
Vol. 14, No. 5, 2012
https://www.chem.wisc.edu/areas/reich/syntheses/syntheses.htm
1. Total synthesis of Sterpurenone New: Sahu, R.; Singh, V. J. Org. Chem. 2017, 82, 6268-6278. DOI
the HOMO of the diene interacts with LUMO of the dienophile ,so
the larger and smaller coefficients can lie side by side
respectively. secondary orbital interactions also prefer endo
isomer (kinetic product) than exo isomer (thermodynamic product)
Another analogue of this ketone molecule was created similarly.
Then the feasibility of following reactions were confirmed on this molecule.
So this pathway worked for
Next we consider case of
But it didn’t give ketal protection ,when keto-ester was treated with ethylene glycol in the presence of p- TsOH .
the keto-ester was treated with LiAlH4 to give the diol as result of reduction of both the ketone and ester groups
BUT THIS bromoketone does not follow cyclization pathway and leads to fragmentation.
SO hydroxy-tosylate was converted into the bromo alcohol and subjected to radical cyclization.
Eupatorium lindleyanum, commonly called is a herbaceous perennial plant in Asteraceae native from
China, Japan, Korea and Siberia , which is used as antibacterial or antihistamine agent. . eupalinilide E,
isolated from Eupatorium lindleyanum, showed selective cytotoxic activity against A549 cells (lung cancer
harboring KRAS mutation). J. Am. Chem. Soc. 2016, 138, 6068−6073
reports an enantioselective synthesis of eupalinilide E
accessing >400 mg in a single batch starting from (R)-
carvone.
-
http://www.organic-chemistry.org/namedreactions/yamaguchi-esterification.shtm
https://www.synarchive.com/named-reactions/yamaguchi-esterification
This proposal shows the scheme
Synthesis of bicyclic ketone
1st
step involves bromination of R-carvone, which acts as a chiral template.
Then Favorskii rearrangement of carvone tribromide occurs.
The cyclic iminolactone is hydrolyzed with aqueous acid to generate lactone.
use of CeCl3 offers the possibility of coordinates with the other O in ring, which results in a shielding of
the frontside of molecule.
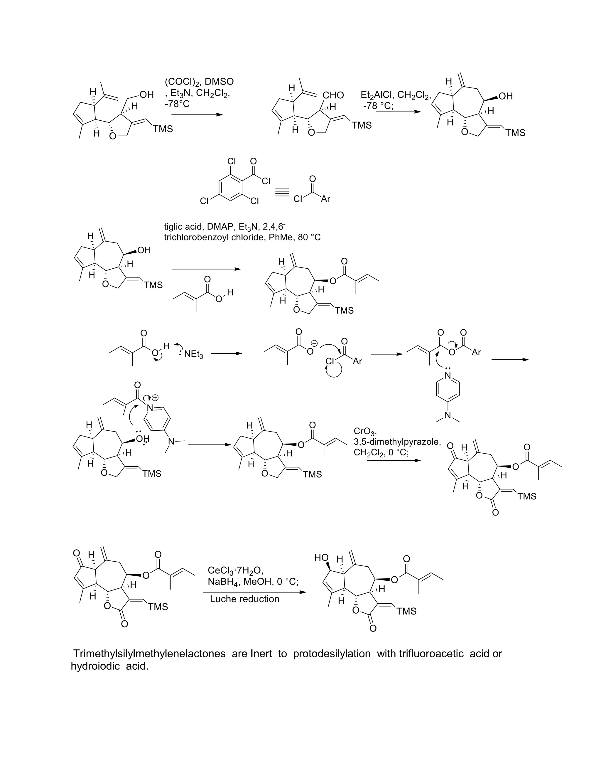
4-Methoxybenzyl ether (PMB)
the addition of vinylmagnesium bromide into lactol formed the incorrect diastereomer which relayed subsequent
stereochemistry generated in the synthesis. The formation of the diastereomer, can be rationalized by the chelation
controlled addition of vinyl Grignard into the open form alkoxide of lactol .
Two changes to the general approach were implemented: delaying the C−H bond oxidation, previously using lactone
, until later in the synthesis and installing the 1,1-disubstituted olefin prior to the vinyl addition
New procedure
Previously, the poor yields using Burgess reagent to eliminate the tertiary alcohol prompted the development of a
different method for elimination to form olefin
Trimethylsilylmethylenelactones are Inert to protodesilylation with trifluoroacetic acid or
hydroiodic acid.
This four-step sequence proved cumbersome and made scale-up difficult; as a consequence silicon removal prior to
oxidation was achieved by protodesilylation of 42 using trifluoroacetic acid, cleanly yielding triene
KETONE
EPOXIDE
Learning new reactions by solving total syntheses merged

Learning new reactions by solving total syntheses merged

  • 1.
    Learning organic reactionmechanisms and new reactions from few total syntheses of molecules. Roshen Reji Idiculla ID MS 14/11 IIRBS
  • 2.
    Enantioselective Total Synthesisof (−)-Pavidolide B; J. Am. Chem. Soc. 2017, 139, 13989−13992 ; DOI: 10.1021/jacs.7b07388 1. Preparation of chiral alcohol from (+)-carvone 2. enantioselective synthesis of formyl cyclopropane
  • 4.
    3. Mitsunobu reactionof chiral alcohol from (+)-carvone and acid of formyl cyclopropane
  • 9.
    Enantiospecific Total Synthesisof the Highly Strained (−)-Presilphiperfolan-8-ol via a Pd-Catalyzed Tandem Cyclization; DOI: 10.1021/jacs.7b01454 ;
  • 14.
    Protecting Group-Free TotalSynthesis of (−)-Lannotinidine B ; dx.doi.org/10.1021/ja305261h | J. Am. Chem. Soc. 2012, 134, 12323−12325 coupling of the α-position of activated alkenes with carbon electrophiles under the catalytic influence of a Lewis base (N-nBu3 or P-nBu3). BrØnsted acid assisted proton transfer step accelerate the reaction, BrØnsted acid remain hydrogen bonded to the resulting enolate in the enantioselectivity determining adol addition step.
  • 17.
  • 19.
    Oxygen-containing proton donorssovent t-BuOH, coordinate to oxophilic SmI2 (but THF coordinates to SmI2, hence in presence of THF, proton donor donot coordinate to SmI2) .
  • 21.
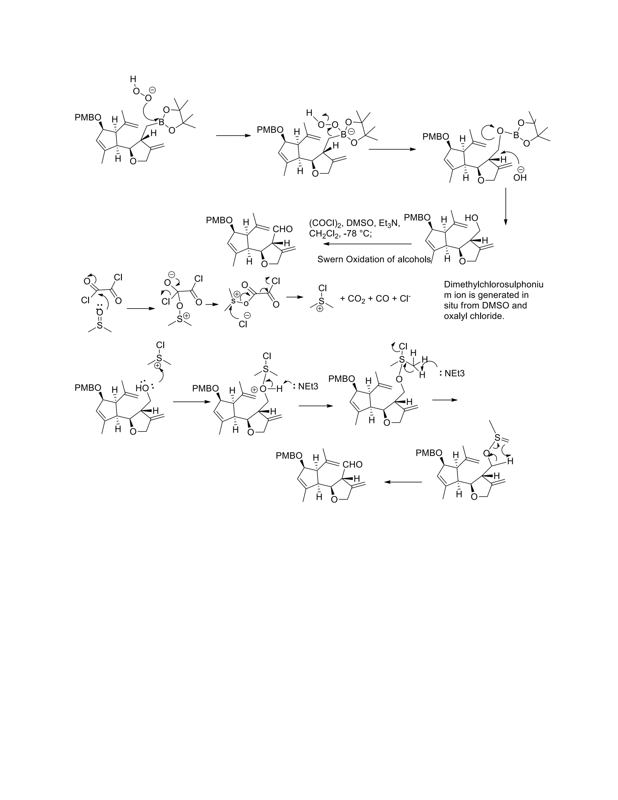
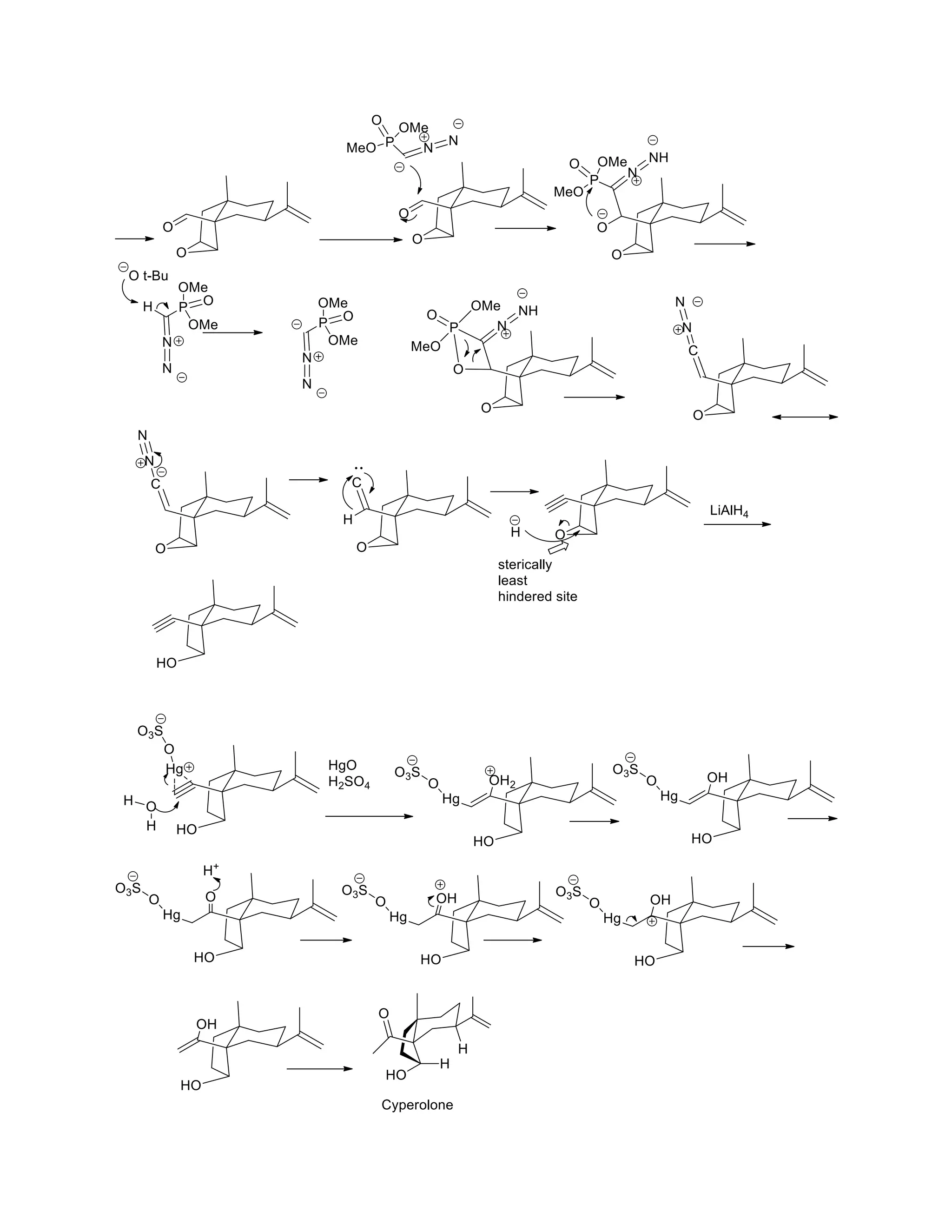
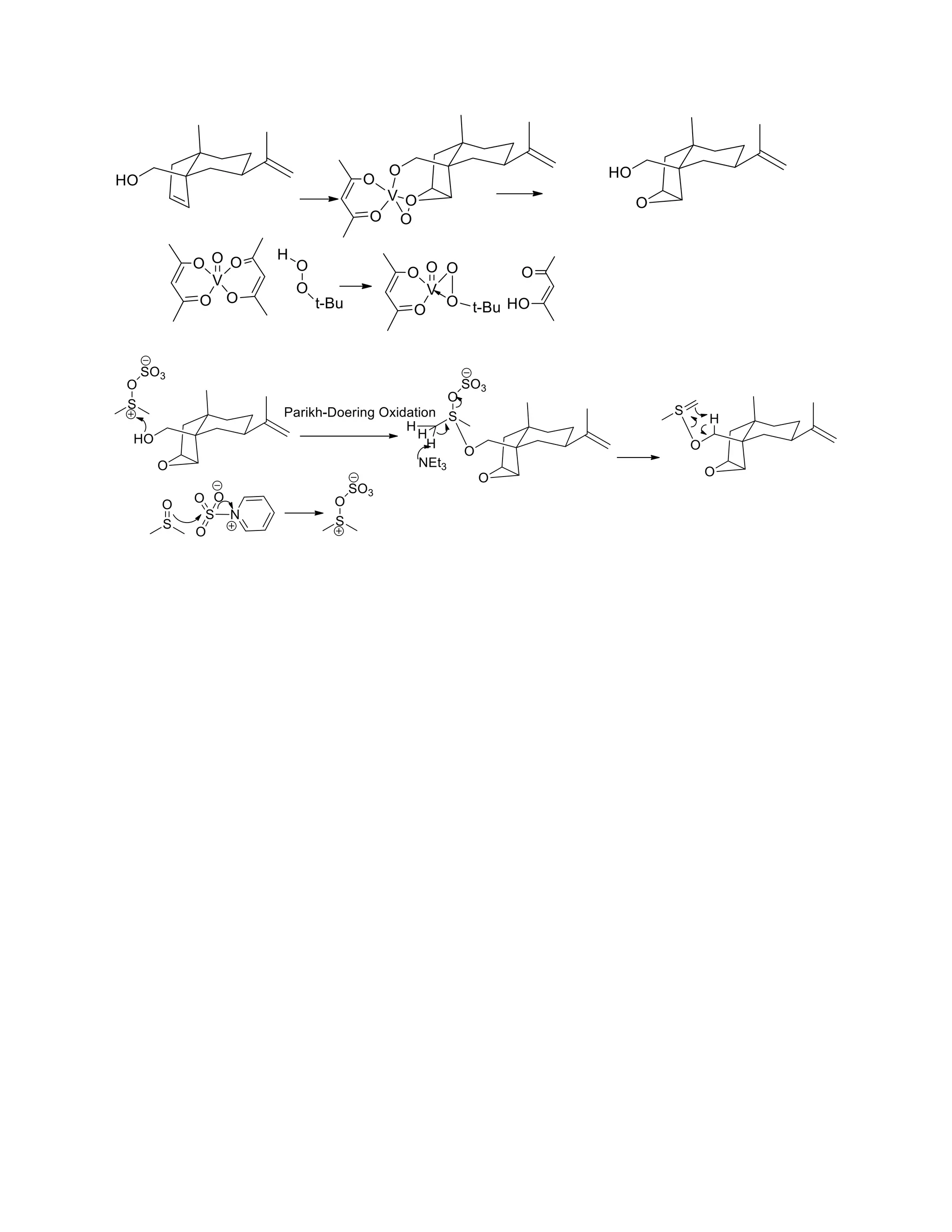
    Total Synthesis of(𝛽)-Cyperolone; 10.1021/ol300058t ; Org. Lett., Vol. 14, No. 5, 2012
  • 25.
    https://www.chem.wisc.edu/areas/reich/syntheses/syntheses.htm 1. Total synthesisof Sterpurenone New: Sahu, R.; Singh, V. J. Org. Chem. 2017, 82, 6268-6278. DOI the HOMO of the diene interacts with LUMO of the dienophile ,so the larger and smaller coefficients can lie side by side respectively. secondary orbital interactions also prefer endo isomer (kinetic product) than exo isomer (thermodynamic product)
  • 26.
    Another analogue ofthis ketone molecule was created similarly. Then the feasibility of following reactions were confirmed on this molecule.
  • 27.
    So this pathwayworked for Next we consider case of But it didn’t give ketal protection ,when keto-ester was treated with ethylene glycol in the presence of p- TsOH . the keto-ester was treated with LiAlH4 to give the diol as result of reduction of both the ketone and ester groups
  • 28.
    BUT THIS bromoketonedoes not follow cyclization pathway and leads to fragmentation. SO hydroxy-tosylate was converted into the bromo alcohol and subjected to radical cyclization.
  • 30.
    Eupatorium lindleyanum, commonlycalled is a herbaceous perennial plant in Asteraceae native from China, Japan, Korea and Siberia , which is used as antibacterial or antihistamine agent. . eupalinilide E, isolated from Eupatorium lindleyanum, showed selective cytotoxic activity against A549 cells (lung cancer harboring KRAS mutation). J. Am. Chem. Soc. 2016, 138, 6068−6073 reports an enantioselective synthesis of eupalinilide E accessing >400 mg in a single batch starting from (R)- carvone. - http://www.organic-chemistry.org/namedreactions/yamaguchi-esterification.shtm https://www.synarchive.com/named-reactions/yamaguchi-esterification
  • 31.
    This proposal showsthe scheme Synthesis of bicyclic ketone 1st step involves bromination of R-carvone, which acts as a chiral template. Then Favorskii rearrangement of carvone tribromide occurs.
  • 32.
    The cyclic iminolactoneis hydrolyzed with aqueous acid to generate lactone.
  • 33.
    use of CeCl3offers the possibility of coordinates with the other O in ring, which results in a shielding of the frontside of molecule. 4-Methoxybenzyl ether (PMB)
  • 37.
    the addition ofvinylmagnesium bromide into lactol formed the incorrect diastereomer which relayed subsequent stereochemistry generated in the synthesis. The formation of the diastereomer, can be rationalized by the chelation controlled addition of vinyl Grignard into the open form alkoxide of lactol . Two changes to the general approach were implemented: delaying the C−H bond oxidation, previously using lactone , until later in the synthesis and installing the 1,1-disubstituted olefin prior to the vinyl addition New procedure
  • 38.
    Previously, the pooryields using Burgess reagent to eliminate the tertiary alcohol prompted the development of a different method for elimination to form olefin
  • 39.
    Trimethylsilylmethylenelactones are Inertto protodesilylation with trifluoroacetic acid or hydroiodic acid.
  • 40.
    This four-step sequenceproved cumbersome and made scale-up difficult; as a consequence silicon removal prior to oxidation was achieved by protodesilylation of 42 using trifluoroacetic acid, cleanly yielding triene
  • 41.