THE DERIVATIVE AND DIFFERENTIATION
OF ALGEBRAIC FUNCTIONS
OBJECTIVES:
•to define the derivative of a function
•to find the derivative of a function by
increment method (4-step rule)
•to identify the different rules of differentiation
and distinguish one from the other;
•prove the different rules of differentiation using
the increment method;
•find the derivative of an algebraic function using
the basic rules of differentiation; and
•extend these basic rules to other “complex”
algebraic functions.
Derivative of a Function
The process of finding the derivative of a
function is called differentiation and the
branch of calculus that deals with this
process is called differential calculus.
Differentiation is an important mathematical
tool in physics, mechanics, economics and
many other disciplines that involve change
and motion.
Consider a point on the curve
that is distinct from and
compute the slope of the secant line
through P and Q.
))
(
,
( 2
2 x
f
x
Q
),
(x
f
y  )),
x
(
f
,
x
(
P 1
1
PQ
m
x
x
f
x
f
mPQ



)
(
)
( 1
2
:
where 1
2 x
x
x 


x
x
x 

 1
2
and
x
x
f
x
x
f
mPQ





)
(
)
( 1
1
If we let x2 approach x1, then the point Q
will move along the curve and approach
point P. As point Q approaches P, the value
of Δx approaches zero and the secant line
through P and Q approaches a limiting
position, then we will consider that position
to be the position of the tangent line at P.
)
(x
f
y 
))
(
,
( 1
1 x
f
x
P ))
(
,
( 2
2 x
f
x
Q
x
x
x
x
x
x






1
2
1
2
y

tangent line
secant line
x
y
Thus, we make the following definition.
DEFINITION:
Suppose that x1 is in the domain of the function
f, the tangent line to the curve y=f(x) at the point
P(x1,f(x1)) is the line with equation,
)
(
)
( 1
1 x
x
m
x
f
y 


where provided
the limit exists, and is the point
of tangency.
))
(
,
( 1
1 x
f
x
P
x
)
x
(
f
)
x
x
(
f
lim
m 1
1
0
x 






DEFINITION
The derivative of y = f(x) at point P on the
curve is equal to the slope of the tangent line at
P, thus the derivative of the function f given by
y= f(x) with respect to x at any x in its domain is
defined as:
0 0
( ) ( )
lim lim
x x
dy y f x x f x
dx x x
   
   
 
 
provided the limit exists.
Other notations for the derivative of a function are:
)
(
),
(
'
,
'
,
'
),
(
, x
f
dx
d
and
x
f
f
y
x
f
D
y
D x
x
Note:
To find the slope of the tangent line to the curve at point
P means that we are to find the value of the derivative at
that point P.
There are two ways of finding the derivative of a
function:
1.By using the increment method or the four-step rule
2.By using the differentiation formulas
THE INCREMENT METHOD OR THE FOUR-STEP RULE
One method of determining the derivative of
a function is the increment method or more
commonly known as the four-step rule.
The procedure is as follows:
STEP 1: Substitute x + Δx for x and
y + Δy for y in y = f(x)
STEP 2: Subtract y = f(x) from the result of
step 1 to obtain Δy in terms of x
and Δx
STEP 3: Divide both sides of step 2 by Δx.
STEP 4: Find the limit of step 3 as Δx
approaches 0.
.
x
1
y
given
rule
step
four
the
g
sin
u
dx
dy
Find
.
1 2



 
x
2
dx
dy
x
x
2
lim
x
y
lim
.
d
0
x
0
x












EXAMPLE
 2
x
x
1
y
y
.
a 
 



 
 
2
2
2
2
2
2
2
2
2
2
x
x
x
2
y
x
1
x
x
x
2
x
1
y
x
1
x
x
x
2
x
1
y
y
x
x
x
2
x
1
y
y
x
x
1
y
y
y
.
b








































 
x
x
x
2
x
x
y
.
c




 


x
2
1
1
x
2
y
given
rule
step
four
the
g
sin
u
dx
dy
Find
.
2




EXAMPLE
)
x
x
(
2
1
1
)
x
x
(
2
y
y
.
a









     
  
  
)
x
2
1
x
2
x
2
1
x
2
x
2
1
x
x
4
x
4
x
2
x
2
x
x
4
x
4
1
x
2
x
2
y
)
x
2
1
x
2
x
2
1
x
2
x
2
1
1
x
2
x
2
1
1
x
2
x
2
y
x
2
1
1
x
2
)
x
x
(
2
1
1
)
x
x
(
2
y
.
b
2
2















































)
x
2
1
)(
x
2
x
2
1
(
x
x
4
x
y
.
c









)
x
2
1
)(
x
2
x
2
1
(
4
lim
x
y
lim
.
d
0
x
0
x 




 




2
)
x
2
1
(
4
dx
dy



10
x
when
1
x
y
given
rule
step
four
the
g
sin
u
dx
dy
Find
.
3 



EXAMPLE
1
x
x
y
y
.
a 


 

1
x
1
x
x
y
b. 



 
 6
1
)
3
(
2
1
1
10
2
1
dx
dy
10,
x
when





x
1
x
1
x
x
x
y
.
c



 




 
 
1
x
2
1
dx
dy
1
x
1
x
x
1
lim
x
y
lim
1
x
1
x
x
x
x
lim
1
x
1
x
x
x
1
x
1
x
x
lim
1
x
1
x
x
1
x
1
x
x
x
1
x
1
x
x
lim
x
y
lim
d.
0
x
0
x
0
x
0
x
0
x
0
x































































DIFFERENTIATION OF
ALGEBRAIC FUNCTIONS
DERIVATIVE USING FORMULAS
The increment-method (four-step rule) of
finding the derivative of a function gives us the
basic procedures of differentiation. However
these rules are laborious and tedious when the
functions to be differentiated are “complex”,
that is, functions with large exponents,
functions with fractional exponents and other
rational functions
Understanding of the theorems of
differentiation is very important. This is the
heart of differential calculus. All of the
succeeding topics such as applications of
derivatives, differentiation of transcendental
functions etc. will be dependent on these
theorems. Understanding of these theorems
will enable us to calculate derivatives more
efficiently and will make calculus easy and
enjoyable.
DIFFERENTIATION FORMULAS
Derivative of a Constant
Theorem: The derivative of a constant function
is 0; that is, if c is any real number,
then,
0
]
[ 
c
dx
d
0
(x)
h'
0
dx
dy
4
log
h(x)
4.
25
y
.
2
0
(x)
f'
0
'
y
4
3
-
f(x)
3.
5
y
.
1
.
functions
following
the
ate
Differenti
:
Example
3










DIFFERENTIATION FORMULAS
Derivatives of Power Functions
Theorem: ( Power Rule) If n is a positive integer,
then, 1
]
[ 
 n
n
nx
x
dx
d
In words, to differentiate a power
function, decrease the constant exponent
by one and multiply the resulting power
function by the original exponent.
  
x
7
x
6
x
7
6
x
7
6
x
7
6
dx
dy
x
4
log
(x)
F'
x
7
6
dx
dy
x
F(x)
4.
x
y
.
2
x
8
x
-8
(x)
f'
x
4
'
y
x
-8
(x)
f'
x
4
'
y
x
f(x)
3.
x
y
.
1
functions
following
the
ate
Differenti
:
Example
7 6
7
7
1
7
7
7
6
1
4
log
3
1
7
6
4
log
7
6
9
9
3
1
8
1
4
8
4
3
3




























DIFFERENTIATION FORMULAS
Derivative of a Constant Times a Function
Theorem: ( Constant Multiple Rule) If f is a
differentiable function at x and
c is any real number, then cf is
also differentiable at x and
   
)
(
)
( x
f
dx
d
c
x
cf
dx
d

In words, the derivative of a constant
times a function is the constant times the
derivative of the function, if this derivative
exists.
Proof:
 
x
x
cf
x
x
cf
x
cf
dx
d
x 






)
(
)
(
lim
)
(
0












 x
x
f
x
x
f
c
x
)
(
)
(
lim
0
x
x
f
x
x
f
c
x 






)
(
)
(
lim
0
 
)
(x
f
dx
d
c

     
    
x
x
2
x
2
x
2
x
2
dx
dy
r
4
r
3
3
4
(r)
F'
x
5
2
5
dx
dy
r
3
4
F(r)
4.
x
5
y
.
2
x
36
x
36
(x)
f'
x
40
'
y
x
4
-
9
(x)
f'
x
8
5
'
y
x
9
f(x)
3.
x
5
y
.
1
functions
following
the
ate
Differenti
:
Example
5 2
5 3
5
3
5
5
5
2
2
2
1
5
2
3
5
2
5
5
7
1
4
7
4
8








































DIFFERENTIATION FORMULAS
Derivatives of Sums or Differences
Theorem: ( Sum or Difference Rule) If f and g are
both differentiable functions at x, then so
are f + g and f – g, and
In words, the derivative of a sum or of a
difference equals the sum or difference of
their derivatives, if these derivatives exist.
     
g
dx
d
f
dx
d
g
f
dx
d



   







 )
(
)
(
)
(
)
( x
g
dx
d
x
f
dx
d
x
g
x
f
dx
d
or
Proof:
x
x
g
x
f
x
x
g
x
x
f
x
g
x
f
dx
d
x 











)]
(
)
(
[
)
(
)
(
[
lim
)]
(
)
(
[
0
x
x
g
x
x
g
x
f
x
x
f
x 










)]
(
)
(
[
)]
(
)
(
[
lim
0
x
x
g
x
x
g
x
x
f
x
x
f
x
x 













)
(
)
(
lim
)
(
)
(
lim
0
0
)]
(
[
)]
(
[ x
g
dx
d
x
f
dx
d


 
  
r
4
r
2
-
(r)
F'
x
2
15
-
4
-
4x
-
x
24
dx
dy
r
3
3
4
r
2
-
(r)
F'
x
2
15
-
4
-
4x
-
x
24
dx
dy
r
3
4
r
F(r)
4.
9
x
5
4x
x
2
x
6
y
.
2
9
x
8
-
(x)
f'
1
x
3
5x
4
y'
9
x
8
(x)
f'
4
x
12
x
20
'
y
4
x
9
x
2
f(x)
3.
7
4x
x
6
x
5
y
.
1
functions
following
the
ate
Differenti
:
Example
2
3
2
1
5
2
3
-
2
1
5
3
2
2
3
2
4
5
3
5
3
4
2
4

















































DIFFERENTIATION FORMULAS
In words the derivative of a product of two
functions is the first function times the derivative
of the second plus the second function times the
derivative of the first, if these derivatives exist.
Derivative of a Product
Theorem: (The Product Rule) If f and g are both
differentiable functions at x, then so is the
product f ● g, and
 
dx
df
g
dx
dg
f
g
f
dx
d



   
)
(
)
(
)]
(
[
)
(
)
(
)
( x
f
dx
d
x
g
x
g
dx
d
x
f
x
g
x
f
dx
d



or
Proof:
x
x
g
x
f
x
x
g
x
x
f
x
g
x
f
dx
d
x 











)
(
)
(
)
(
)
(
lim
)]
(
)
(
[
0
x
x
g
x
f
x
g
x
x
f
x
g
x
x
f
x
x
g
x
x
f
x 


















)]
(
)
(
)
(
)
(
)
(
)
(
)
(
)
(
lim
0





















 x
x
f
x
x
f
x
g
x
x
g
x
x
g
x
x
f
x
)
(
)
(
)
(
)
(
)
(
)
(
lim
0
x
x
f
x
x
f
x
g
x
x
g
x
x
g
x
x
f
x
x
x
x 





















)
(
)
(
lim
)
(
lim
)
(
)
(
lim
)
(
lim
0
0
0
0
       
)
(
)
(
lim
)
(
(
lim
0
0
x
f
dx
d
x
g
x
g
dx
d
x
x
f
x
x 







  
     
  
     
2
15x
-8x
y'
6x
-
15x
2
-2x
y'
3x
2x
-
5
2
-
1
x
'
y
2x
-
5
1
x
y
.
2
9
-
32x
36x
'
y
9
-
12x
32x
24x
'
y
3
3
x
4
x
8
4
x
3
'
y
3
x
4
4
x
3
y
.
1
.
simplify
and
functions
following
the
ate
Differenti
:
Example
2
3
3
2
3
2
3
3
2
2
2
2
2























  
     
 
4
x
3
8x
5
y'
20
-
x
15
x
40
y'
x
15
x
30
x
10
-20
y'
x
3
5
x
10
10
x
2
y'
5
x
10
x
2
y
.
3
2
3
2
3
2
3
3
2
3
3




















DIFFERENTIATION FORMULAS
or
Derivative of a Quotient
Theorem: (The Quotient Rule) If f and g are both
differentiable functions at x, and if g(x) ≠ 0
then f/g is differentiable at x and
2
g
dx
dg
f
dx
df
g
g
f
dx
d










   
 2
)
(
)
(
)
(
)
(
)
(
)
(
)
(
x
g
x
g
dx
d
x
f
x
f
dx
d
x
g
x
g
x
f
dx
d








In words, the derivative of a quotient of
two functions is the fraction whose
numerator is the denominator times the
derivative of the numerator minus the
numerator times the derivative of the
denominator and whose denominator is
the square of the given denominator
Note:
The proof is left for the students .
     
 
 
 
 
 
x
2
1
3
x
4
x
4
2
'
y
x
2
1
6
x
8
x
8
'
y
x
2
1
6
x
8
x
16
x
8
'
y
x
2
1
2
3
x
4
x
8
x
2
1
'
y
x
2
1
3
x
4
y
.
1
.
simplify
and
functions
following
the
ate
Differenti
:
Example
2
2
2
2
2
2
2
2
2
2
























DIFFERENTIATION FORMULAS
Derivatives of Composition
Theorem: (The Chain Rule) If g is differentiable at
x and if f is differentiable at g(x), then the
composition f ◦ g is differentiable at x.
Moreover, if y=f(g(x)) and u=g(x) then y=f(u)
and
 
dx
du
nu
dx
u
d
or
dx
du
du
dy
dx
dy
1
n
n




 
   
   
  
 
  
       
 
  
   
    
 
5
x
4
1
3x
11
-
24x
4
y
15
-
12x
4
12x
5
x
4
1
3x
4
y
3
5
x
4
4
1
3x
5
x
4
1
3x
4
y
5
x
4
1
3x
y
.
3
1
x
125
3
1
x
5
1
-
x
5
3
(x)
G'
1
-
x
5
G(x)
.
2
10
-
6x
15
x
10
3x
5
y'
15
x
10
3x
y
1.
.
simplify
and
functions
following
the
ate
Differenti
:
Example
3
3
3
4
4
2
2
3
4
2
5
2


























































DIFFERENTIATION FORMULAS
Derivative of a Radical with index equal to 2
If u is a differentiable function of x, then
  u
dx
du
u
dx
d
2

The derivative of a radical whose index
is two, is a fraction whose numerator is
the derivative of the radicand, and whose
denominator is twice the given radical, if
the derivative exists.
DIFFERENTIATION FORMULAS
Derivative of a Radical with index other than
2
If n is any positive integer and u is a
differentiable function of x, then
The derivative of the nth root of a given
function is the exponent multiplied by the
product of u whose power is diminished by
one and the derivative of u, if this derivative
exists.
dx
du
u
n
u
dx
d n
n








  1
1
1
1
 
 
 
  
  
 
  
       
 
  
   
  
   
14
x
4
5
x
4
x
2
5
1
'
y
10
x
2
4
x
2
5
x
4
x
2
5
1
'
y
2
5
x
1
4
x
2
5
x
4
x
2
5
1
'
y
5
x
4
x
2
y
5
x
4
x
2
y
.
2
5
x
3
2
5
x
3
3
5
x
3
5
x
3
5
x
3
2
3
x
H'
5
x
3
x
H
.
1
.
simplify
and
following
the
ate
Differenti
5
4
5
4
1
5
1
5
1
5



































  
   
  
   
 
  
 5
4
5
4
5
4
5
x
4
x
2
5
7
x
2
2
'
y
14
x
4
5
x
4
x
2
5
1
'
y
10
x
2
4
x
2
5
x
4
x
2
5
1
'
y
















x
5
x
4
)
x
(
f
.
1 2


2
x
)
x
(
f
.
2 2
1


1
x
2
)
x
(
f
.
3



x
1
x
y
.
4


3
x
4
y
.
5 

 2
b
ax
y
.
6 

  3
1
2
3
1
x
3
x
3
x
y
.
7 



x
2
1
3
x
2
y
.
8



)
3
x
)(
x
2
(
y
.
9 



3
x
1
y
.
10 

I. Find the derivative of the following functions
using the four-step rule.
EXERCISES
II. Find the derivative of the following functions
using the four-step rule.
EXERCISES
dr
dS
find
,
4
t
3
3
t
2
S
Given
.
4
dr
dV
find
,
r
3
4
V
Given
.
3
dr
dA
find
,
r
A
Given
.
2
dt
ds
find
,
2
t
s
Given
.
1
3
2









III. Evaluate the derivative of the following functions
using the four-step rule with the indicated value
of x.
EXERCISES
  
3
3
4
x
when
1
x
y
.
5
5
x
when
3
x
2
1
x
y
.
4
a
x
when
x
a
2
a
y
.
3
.
6
x
when
3
-
x
2
-
x
y
.
2
.
8
x
when
2x
1
y
.
1















0
)
x
(
'
f
which
for
x
of
values
the
find
,
x
3
x
)
x
(
f
If
.
6 2
3




l8_four_step_rule__differentiation_formulas.ppt

  • 1.
    THE DERIVATIVE ANDDIFFERENTIATION OF ALGEBRAIC FUNCTIONS OBJECTIVES: •to define the derivative of a function •to find the derivative of a function by increment method (4-step rule) •to identify the different rules of differentiation and distinguish one from the other; •prove the different rules of differentiation using the increment method; •find the derivative of an algebraic function using the basic rules of differentiation; and •extend these basic rules to other “complex” algebraic functions.
  • 2.
    Derivative of aFunction The process of finding the derivative of a function is called differentiation and the branch of calculus that deals with this process is called differential calculus. Differentiation is an important mathematical tool in physics, mechanics, economics and many other disciplines that involve change and motion.
  • 3.
    Consider a pointon the curve that is distinct from and compute the slope of the secant line through P and Q. )) ( , ( 2 2 x f x Q ), (x f y  )), x ( f , x ( P 1 1 PQ m x x f x f mPQ    ) ( ) ( 1 2 : where 1 2 x x x    x x x    1 2 and x x f x x f mPQ      ) ( ) ( 1 1
  • 4.
    If we letx2 approach x1, then the point Q will move along the curve and approach point P. As point Q approaches P, the value of Δx approaches zero and the secant line through P and Q approaches a limiting position, then we will consider that position to be the position of the tangent line at P.
  • 5.
    ) (x f y  )) ( , ( 1 1x f x P )) ( , ( 2 2 x f x Q x x x x x x       1 2 1 2 y  tangent line secant line x y
  • 6.
    Thus, we makethe following definition. DEFINITION: Suppose that x1 is in the domain of the function f, the tangent line to the curve y=f(x) at the point P(x1,f(x1)) is the line with equation, ) ( ) ( 1 1 x x m x f y    where provided the limit exists, and is the point of tangency. )) ( , ( 1 1 x f x P x ) x ( f ) x x ( f lim m 1 1 0 x       
  • 7.
    DEFINITION The derivative ofy = f(x) at point P on the curve is equal to the slope of the tangent line at P, thus the derivative of the function f given by y= f(x) with respect to x at any x in its domain is defined as: 0 0 ( ) ( ) lim lim x x dy y f x x f x dx x x             provided the limit exists.
  • 8.
    Other notations forthe derivative of a function are: ) ( ), ( ' , ' , ' ), ( , x f dx d and x f f y x f D y D x x Note: To find the slope of the tangent line to the curve at point P means that we are to find the value of the derivative at that point P. There are two ways of finding the derivative of a function: 1.By using the increment method or the four-step rule 2.By using the differentiation formulas
  • 9.
    THE INCREMENT METHODOR THE FOUR-STEP RULE One method of determining the derivative of a function is the increment method or more commonly known as the four-step rule. The procedure is as follows: STEP 1: Substitute x + Δx for x and y + Δy for y in y = f(x) STEP 2: Subtract y = f(x) from the result of step 1 to obtain Δy in terms of x and Δx
  • 10.
    STEP 3: Divideboth sides of step 2 by Δx. STEP 4: Find the limit of step 3 as Δx approaches 0.
  • 11.
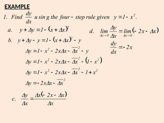
    . x 1 y given rule step four the g sin u dx dy Find . 1 2      x 2 dx dy x x 2 lim x y lim . d 0 x 0 x             EXAMPLE 2 x x 1 y y . a           2 2 2 2 2 2 2 2 2 2 x x x 2 y x 1 x x x 2 x 1 y x 1 x x x 2 x 1 y y x x x 2 x 1 y y x x 1 y y y . b                                           x x x 2 x x y . c        
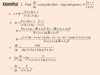
  • 12.
    x 2 1 1 x 2 y given rule step four the g sin u dx dy Find . 2     EXAMPLE ) x x ( 2 1 1 ) x x ( 2 y y . a                     ) x 2 1 x 2 x 2 1 x 2 x 2 1 x x 4 x 4 x 2 x 2 x x 4 x 4 1 x 2 x 2 y ) x 2 1 x 2 x 2 1 x 2 x 2 1 1 x 2 x 2 1 1 x 2 x 2 y x 2 1 1 x 2 ) x x ( 2 1 1 ) x x ( 2 y . b 2 2                                                ) x 2 1 )( x 2 x 2 1 ( x x 4 x y . c          ) x 2 1 )( x 2 x 2 1 ( 4 lim x y lim . d 0 x 0 x            2 ) x 2 1 ( 4 dx dy   
  • 13.
    10 x when 1 x y given rule step four the g sin u dx dy Find . 3     EXAMPLE 1 x x y y . a      1 x 1 x x y b.        6 1 ) 3 ( 2 1 1 10 2 1 dx dy 10, x when      x 1 x 1 x x x y . c              1 x 2 1 dx dy 1 x 1 x x 1 lim x y lim 1 x 1 x x x x lim 1 x 1 x x x 1 x 1 x x lim 1 x 1 x x 1 x 1 x x x 1 x 1 x x lim x y lim d. 0 x 0 x 0 x 0 x 0 x 0 x                                                               
  • 14.
  • 15.
    DERIVATIVE USING FORMULAS Theincrement-method (four-step rule) of finding the derivative of a function gives us the basic procedures of differentiation. However these rules are laborious and tedious when the functions to be differentiated are “complex”, that is, functions with large exponents, functions with fractional exponents and other rational functions
  • 16.
    Understanding of thetheorems of differentiation is very important. This is the heart of differential calculus. All of the succeeding topics such as applications of derivatives, differentiation of transcendental functions etc. will be dependent on these theorems. Understanding of these theorems will enable us to calculate derivatives more efficiently and will make calculus easy and enjoyable.
  • 17.
    DIFFERENTIATION FORMULAS Derivative ofa Constant Theorem: The derivative of a constant function is 0; that is, if c is any real number, then, 0 ] [  c dx d
  • 18.
  • 19.
    DIFFERENTIATION FORMULAS Derivatives ofPower Functions Theorem: ( Power Rule) If n is a positive integer, then, 1 ] [   n n nx x dx d In words, to differentiate a power function, decrease the constant exponent by one and multiply the resulting power function by the original exponent.
  • 20.
       x 7 x 6 x 7 6 x 7 6 x 7 6 dx dy x 4 log (x) F' x 7 6 dx dy x F(x) 4. x y . 2 x 8 x -8 (x) f' x 4 ' y x -8 (x) f' x 4 ' y x f(x) 3. x y . 1 functions following the ate Differenti : Example 76 7 7 1 7 7 7 6 1 4 log 3 1 7 6 4 log 7 6 9 9 3 1 8 1 4 8 4 3 3                            
  • 21.
    DIFFERENTIATION FORMULAS Derivative ofa Constant Times a Function Theorem: ( Constant Multiple Rule) If f is a differentiable function at x and c is any real number, then cf is also differentiable at x and     ) ( ) ( x f dx d c x cf dx d  In words, the derivative of a constant times a function is the constant times the derivative of the function, if this derivative exists.
  • 22.
    Proof:   x x cf x x cf x cf dx d x        ) ( ) ( lim ) ( 0             x x f x x f c x ) ( ) ( lim 0 x x f x x f c x        ) ( ) ( lim 0   ) (x f dx d c 
  • 23.
              x x 2 x 2 x 2 x 2 dx dy r 4 r 3 3 4 (r) F' x 5 2 5 dx dy r 3 4 F(r) 4. x 5 y . 2 x 36 x 36 (x) f' x 40 ' y x 4 - 9 (x) f' x 8 5 ' y x 9 f(x) 3. x 5 y . 1 functions following the ate Differenti : Example 5 2 5 3 5 3 5 5 5 2 2 2 1 5 2 3 5 2 5 5 7 1 4 7 4 8                                        
  • 24.
    DIFFERENTIATION FORMULAS Derivatives ofSums or Differences Theorem: ( Sum or Difference Rule) If f and g are both differentiable functions at x, then so are f + g and f – g, and In words, the derivative of a sum or of a difference equals the sum or difference of their derivatives, if these derivatives exist.       g dx d f dx d g f dx d                ) ( ) ( ) ( ) ( x g dx d x f dx d x g x f dx d or
  • 25.
  • 26.
        r 4 r 2 - (r) F' x 2 15 - 4 - 4x - x 24 dx dy r 3 3 4 r 2 - (r) F' x 2 15 - 4 - 4x - x 24 dx dy r 3 4 r F(r) 4. 9 x 5 4x x 2 x 6 y . 2 9 x 8 - (x) f' 1 x 3 5x 4 y' 9 x 8 (x) f' 4 x 12 x 20 ' y 4 x 9 x 2 f(x) 3. 7 4x x 6 x 5 y . 1 functions following the ate Differenti : Example 2 3 2 1 5 2 3 - 2 1 5 3 2 2 3 2 4 5 3 5 3 4 2 4                                                 
  • 27.
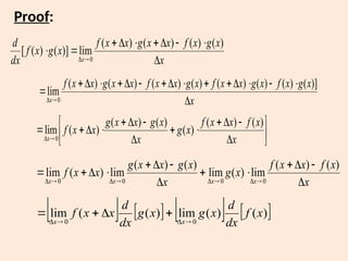
    DIFFERENTIATION FORMULAS In wordsthe derivative of a product of two functions is the first function times the derivative of the second plus the second function times the derivative of the first, if these derivatives exist. Derivative of a Product Theorem: (The Product Rule) If f and g are both differentiable functions at x, then so is the product f ● g, and   dx df g dx dg f g f dx d        ) ( ) ( )] ( [ ) ( ) ( ) ( x f dx d x g x g dx d x f x g x f dx d    or
  • 28.
    Proof: x x g x f x x g x x f x g x f dx d x             ) ( ) ( ) ( ) ( lim )] ( ) ( [ 0 x x g x f x g x x f x g x x f x x g x x f x                    )] ( ) ( ) ( ) ( ) ( ) ( ) ( ) ( lim 0                      x x f x x f x g x x g x x g x x f x ) ( ) ( ) ( ) ( ) ( ) ( lim 0 x x f x x f x g x x g x x g x x f x x x x                       ) ( ) ( lim ) ( lim ) ( ) ( lim ) ( lim 0 0 0 0         ) ( ) ( lim ) ( ( lim 0 0 x f dx d x g x g dx d x x f x x        
  • 29.
                     2 15x -8x y' 6x - 15x 2 -2x y' 3x 2x - 5 2 - 1 x ' y 2x - 5 1 x y . 2 9 - 32x 36x ' y 9 - 12x 32x 24x ' y 3 3 x 4 x 8 4 x 3 ' y 3 x 4 4 x 3 y . 1 . simplify and functions following the ate Differenti : Example 2 3 3 2 3 2 3 3 2 2 2 2 2                       
  • 30.
              4 x 3 8x 5 y' 20 - x 15 x 40 y' x 15 x 30 x 10 -20 y' x 3 5 x 10 10 x 2 y' 5 x 10 x 2 y . 3 2 3 2 3 2 3 3 2 3 3                    
  • 31.
    DIFFERENTIATION FORMULAS or Derivative ofa Quotient Theorem: (The Quotient Rule) If f and g are both differentiable functions at x, and if g(x) ≠ 0 then f/g is differentiable at x and 2 g dx dg f dx df g g f dx d                2 ) ( ) ( ) ( ) ( ) ( ) ( ) ( x g x g dx d x f x f dx d x g x g x f dx d        
  • 32.
    In words, thederivative of a quotient of two functions is the fraction whose numerator is the denominator times the derivative of the numerator minus the numerator times the derivative of the denominator and whose denominator is the square of the given denominator Note: The proof is left for the students .
  • 33.
                   x 2 1 3 x 4 x 4 2 ' y x 2 1 6 x 8 x 8 ' y x 2 1 6 x 8 x 16 x 8 ' y x 2 1 2 3 x 4 x 8 x 2 1 ' y x 2 1 3 x 4 y . 1 . simplify and functions following the ate Differenti : Example 2 2 2 2 2 2 2 2 2 2                        
  • 34.
    DIFFERENTIATION FORMULAS Derivatives ofComposition Theorem: (The Chain Rule) If g is differentiable at x and if f is differentiable at g(x), then the composition f ◦ g is differentiable at x. Moreover, if y=f(g(x)) and u=g(x) then y=f(u) and   dx du nu dx u d or dx du du dy dx dy 1 n n    
  • 35.
                                             5 x 4 1 3x 11 - 24x 4 y 15 - 12x 4 12x 5 x 4 1 3x 4 y 3 5 x 4 4 1 3x 5 x 4 1 3x 4 y 5 x 4 1 3x y . 3 1 x 125 3 1 x 5 1 - x 5 3 (x) G' 1 - x 5 G(x) . 2 10 - 6x 15 x 10 3x 5 y' 15 x 10 3x y 1. . simplify and functions following the ate Differenti : Example 3 3 3 4 4 2 2 3 4 2 5 2                                                          
  • 36.
    DIFFERENTIATION FORMULAS Derivative ofa Radical with index equal to 2 If u is a differentiable function of x, then   u dx du u dx d 2  The derivative of a radical whose index is two, is a fraction whose numerator is the derivative of the radicand, and whose denominator is twice the given radical, if the derivative exists.
  • 37.
    DIFFERENTIATION FORMULAS Derivative ofa Radical with index other than 2 If n is any positive integer and u is a differentiable function of x, then The derivative of the nth root of a given function is the exponent multiplied by the product of u whose power is diminished by one and the derivative of u, if this derivative exists. dx du u n u dx d n n           1 1 1 1
  • 38.
                                            14 x 4 5 x 4 x 2 5 1 ' y 10 x 2 4 x 2 5 x 4 x 2 5 1 ' y 2 5 x 1 4 x 2 5 x 4 x 2 5 1 ' y 5 x 4 x 2 y 5 x 4 x 2 y . 2 5 x 3 2 5 x 3 3 5 x 3 5 x 3 5 x 3 2 3 x H' 5 x 3 x H . 1 . simplify and following the ate Differenti 5 4 5 4 1 5 1 5 1 5                                   
  • 39.
                       5 4 5 4 5 4 5 x 4 x 2 5 7 x 2 2 ' y 14 x 4 5 x 4 x 2 5 1 ' y 10 x 2 4 x 2 5 x 4 x 2 5 1 ' y                
  • 40.
    x 5 x 4 ) x ( f . 1 2   2 x ) x ( f . 2 2 1   1 x 2 ) x ( f . 3    x 1 x y . 4   3 x 4 y . 5   2 b ax y . 6     3 1 2 3 1 x 3 x 3 x y . 7     x 2 1 3 x 2 y . 8    ) 3 x )( x 2 ( y . 9     3 x 1 y . 10   I. Find the derivative of the following functions using the four-step rule. EXERCISES
  • 41.
    II. Find thederivative of the following functions using the four-step rule. EXERCISES dr dS find , 4 t 3 3 t 2 S Given . 4 dr dV find , r 3 4 V Given . 3 dr dA find , r A Given . 2 dt ds find , 2 t s Given . 1 3 2         
  • 42.
    III. Evaluate thederivative of the following functions using the four-step rule with the indicated value of x. EXERCISES    3 3 4 x when 1 x y . 5 5 x when 3 x 2 1 x y . 4 a x when x a 2 a y . 3 . 6 x when 3 - x 2 - x y . 2 . 8 x when 2x 1 y . 1                0 ) x ( ' f which for x of values the find , x 3 x ) x ( f If . 6 2 3   