Pozna´n University of Technology
Institute of Computing Science
Igor Kupczy´nski
Interactive Evolutionary Algorithm
for Robust Multi-Objective Optimization
Master’s Thesis
Supervisor: prof. dr hab. in˙z. Roman Slowi´nski
Pozna´n 2010
1
Writing the master’s thesis was a tremendous task, impossible to complete without the support
I have received. I would like to thank my supervisor, prof. Roman Slowi´nski, for his help, reviews
and encouragement.
I have spent one semester at Universit´e Paris-Dauphine. The discussions with prof. Daniel
Vanderpooten and his colleagues from LAMSADE1
were inspiring and as horizon-widening as the
aura of the City of Light. I would like to thank him for the opportunity.
Finally, I would like to thank one person I cannot name, the dedicated and gifted linguist, for
her inestimable comments.
1The LAMSADE laboratory, established in 1974, is the joint laboratory of Universit´e Paris-Dauphine and CNRS
(National Center for Scientific Research). Its central research activity lies at the interface of two fundamental
scientific areas: Computer Science and Decision Making.
Contents
1 Introduction 5
1.1 Goal and scope of the thesis . . . . . . . . . . . . . . . . . . . . 6
2 Multi-Objective Optimization 7
2.1 Interactive Approaches to MOO . . . . . . . . . . . . . . . . . . . 7
2.2 Evolutionary Approaches to MOO . . . . . . . . . . . . . . . . . . 8
2.3 Dominance-Based Rough Set Approach to MOO . . . . . . . . . . . . . 11
3 DARWIN, the Idea behind the Method 13
3.1 Background . . . . . . . . . . . . . . . . . . . . . . . . . . 13
3.2 Modeling of uncertainty . . . . . . . . . . . . . . . . . . . . . . 14
3.3 The algorithm . . . . . . . . . . . . . . . . . . . . . . . . . 16
4 Implementation of DARWIN 21
4.1 The issues of implementation . . . . . . . . . . . . . . . . . . . . 21
4.1.1 The programming environment. . . . . . . . . . . . . . . . . 21
4.1.2 The software prototype . . . . . . . . . . . . . . . . . . . 22
4.1.3 The final implementation . . . . . . . . . . . . . . . . . . . 22
4.2 Experiment framework . . . . . . . . . . . . . . . . . . . . . . 24
5 Results of Computational Experiments 29
5.1 The environment . . . . . . . . . . . . . . . . . . . . . . . . 29
5.2 The Decision Maker . . . . . . . . . . . . . . . . . . . . . . . 29
5.3 Problem selection . . . . . . . . . . . . . . . . . . . . . . . . 30
5.4 A deterministic case . . . . . . . . . . . . . . . . . . . . . . . 33
5.4.1 Single run analysis . . . . . . . . . . . . . . . . . . . . . 33
5.4.2 The computational performance on exemplary problems . . . . . . . 45
5.4.3 The influence of parameters on the method . . . . . . . . . . . . 52
5.4.4 DM’s decisions inconsistent with supposed utility function . . . . . . . 52
5.4.5 A different rule-generating algorithm . . . . . . . . . . . . . . 60
5.4.6 The best results . . . . . . . . . . . . . . . . . . . . . . 63
5.5 The case of uncertainty . . . . . . . . . . . . . . . . . . . . . . 65
5.5.1 Single run analysis . . . . . . . . . . . . . . . . . . . . . 65
5.5.2 The computational performance on exemplary problems . . . . . . . 73
5.5.3 The influence of the basic parameters on the method. . . . . . . . . 76
5.5.4 DM’s decisions inconsistent with supposed utility function . . . . . . . 78
5.5.5 DomLem parameters . . . . . . . . . . . . . . . . . . . . 80
5.5.6 AllRules algorithm . . . . . . . . . . . . . . . . . . . . . 83
4 Contents
5.5.7 The second-order stochastic dominance. . . . . . . . . . . . . . 88
5.5.8 The best results . . . . . . . . . . . . . . . . . . . . . . 90
5.6 Conclusions . . . . . . . . . . . . . . . . . . . . . . . . . . 95
6 Summary 97
Bibliography 99
Appendices 105
User’s manual 105
The DARWIN .mod file format 113
Compiling DARWIN from the source code 115
Chapter 1
Introduction
Optimization is a process of finding the best solution from a set of available alternatives. In
the simplest case it involves only a single objective. An objective is a problem’s goal, whose
value has to be maximized (or minimized). An optimization problem consists of a set of decision
variables; values of those variables affect the problem’s objectives. A domain of the problem —
a set of possible values that can be taken by the decision variables — may be subject to additional
constraints. An assignment of values to the decision variables is called a solution. A solution
is feasible if the values meet the constraints imposed on the problem. Therefore, the task of
optimization is to find a feasible solution, which maximizes (minimizes) the value of the problem’s
objectives.
Optimization is a field of applied mathematics, which has gained importance during and after
the Second World War. The driver for developments in the field are real-life, mainly military or
industrial problems. They are often large-scale and of high importance; solving a problem of this
kind usually yields a profit outranking the costs that one has to bear to employ a formal approach.
To use optimization methods one has to formulate a problem in a mathematical way — build
a model of the problem. Therefore, it is common to make a distinction between a stakeholder
— a decision maker (DM) having expert knowledge in a problem domain and an analyst —
a mathematician or a scientist that will create the model and choose an appropriate optimization
technique.
If there is only one, single objective in the problem definition, then the optimization usually
results in a one optimal solution which has the best possible value of the goal. However, this is
not the case when multiple goals are considered. Usually the optimal value for one goal is far
from being an optimal for the other; for example, consider a simple problem of choosing a laptop
computer to buy — the one with the highest performance is not the cheapest and the cheapest will
probably not offer a state-of-the-art performance. No trade-offs between objectives can be assumed
a priori. This is because the importance of each goal may be different for different decision makers
— someone can choose a cheap computer, while the other will opt for the highest performance
available. However, one can indicate a non-dominated set of solutions — the Pareto-frontier of
the problem. Informally, a solution is Pareto-efficient if a value of any of its criteria can not be
improved without worsening the other values. In the laptop example it could be a list of the
cheapest computers for different performances.
Multi-Objective Optimization (MOO) methods are usually sophisticated, with many parame-
ters for the analyst to fine-tune them. However, the decision maker is usually not interested in the
details of the method, but only in a single recommendation, possibly along with a justification. The
analyst will set up the method and its parameters based on his or her intuition and on a research
carried out earlier. An experienced analyst can usually decide what parameters’ values should be
used, but still it may be impossible to set the values precisely to the best possible options. If
one can change parameters a bit and the resulting solution is similar to the one acquired before,
6 1 Introduction
then the solution is called robust. The same applies if the problem model can not be formulated
precisely — for example, it contains a value that may be only estimated, like the future price
of a raw material. The solution should be resistant to small fluctuations in the problem’s model
parameters. The robustness in MOO context is the ability to withstand changes in the parameters
and in the problem formulation; it is a very important quality of any MOO technique.
To give final recommendation instead of the Pareto-frontier one has to engage the decision
maker in the process. The method has to be interactive in order to gather the DM’s preferences.
It can be done by showing exemplary feasible solutions and asking the decision maker to rank
them or simply by asking about the inter-criteria trade-offs. These preferences are used to guide
the search of the solution space in the directions desired by the DM. An optimization technique
involving interaction with the decision maker is called the interactive multi-objective optimization
(IMO) technique.
The algorithm is a well-defined list of instructions for completing a task. Several researchers
suggested that principles of the evolution — particularly, the concept of population and survival of
the fittest individuals can be a good model of operation for multi-criteria optimization algorithms.
Methods using these principles are called the evolutionary algorithms (EAs) while the whole field
of research is the evolutionary multi-objective optimization (EMO).
In this paper, the author presents a software implementation of the DARWIN method and
the first large computational experiment with DARWIN. DARWIN is an acronym for Dominance-
based rough set Approach to handling Robust Winning solutions in INteractive multi-objective op-
timization. It has been proposed by Salvatore Greco, Benedetto Matarazzo and Roman Slowi´nski
in [9, 13, 14, 15] for solving multi-objective optimization problems. It interacts with the deci-
sion maker in order to find the solution which best fits his or her preferences. The preferences
are represented in the form of decision rules. They are used for guiding the search of the most
preferred solutions in the solution space. An evolutionary algorithm is used as an optimization
engine. Therefore, DARWIN combines IMO and EMO paradigms. It allows an analyst to model
uncertainty in the problem definition, thus generating robust solutions.
1.1 Goal and scope of the thesis
The thesis consists of six chapters. Firstly, the theoretical background is presented. A detailed
description of the DARWIN method is presented in Chapter 3. Chapter 4 discusses an implemen-
tation on an IBM-PC class computer. Experiment results are shown and discussed in Chapter 5.
Finally, areas of further research are indicated along with conclusions and recommendations about
the method.
The goal of the thesis is to implement the DARWIN method, evaluate its performance on
a few MOO problems and test the influence of method’s parameters on the final result. Basic
recommendations for the analysts willing to use the method should be given. A user manual
describing how to use the implementation and what are the file formats used by the software has
to be attached to the thesis.
Chapter 2
Multi-Objective Optimization
Often a model of a problem contains multiple objectives. This is the case when conflicting goals
cannot be easily converted to a single objective. The decision support when more than one goal is
considered to be not an easy task to perform, however, several approaches exists. These approches
are described in the chapter.
2.1 Interactive Approaches to MOO
The Multi-Objectie Optimization problems usually have multiple Pareto-optimal solutions. How-
ever, the Decision Maker is usually interested in a single recommendation — the single solution he
or she may implement. The most-preferred solution is a solution from the Pareto-frontier of the
problem, for which the DM is convinced it is his or her best option.
To find the most preferred solution, an interaction with the DM is necessary. A problem solver
needs to know the Decision Maker’s preferences in order to differentiate Pareto-optimal solutions.
Without the preferences all solutions on the Pareto-frontier have to be considered equal.
The DM can build his or her global preference model before an algorithm solving the problem
starts and give this model as an input. This is call the a priori method. However, this method
has its weaknesses. It may be hard for the Decision Maker to give the full preference structure. It
is possible also, that he or she will change his or her preferences after evaluating solutions received
from the problem-solver.
The interactive approach overcome this weaknesses by involving the DM in the process. A basic
structure of the approach is shown in Figure 2.1. At first, an initial set of solutions is generated.
It can be a subset of the Pareto-frontier or just a set of feasible solutions. Then, based on the
solutions, the Decision Maker specifies his or her preferences. It can be done by a systematic
dialog, asking a series of questions or asking the DM to indicate “good” solutions among the set.
From the DM’s answers a preference model is built. This additional preference information
guides the search towards a region indicated by the Decision Maker. This can save the computa-
tional cost, because the algorithm doesn’t have to go through the whole search space.
Again, new solutions, probably better fitted to the DM’s preferences are generated and the
algorithm shows them to him or her. If he or she finds it satisfactory (or a stop condition is met)
then the algorithm stops. Otherwise it advances to the next iteration.
There are several types of the IMO methods (consult [26] for an in-depth description):
• Trade-off based methods. A trade-off is an exchange, a price that one is willing to pay
(in form of lost on some of the criteria), in order to benefit on another criterion (or criteria).
These methods ask the DM questions about the trade-offs he or she can accept and then,
a preference model is inferred based on the tread-offs.
8 2 Multi-Objective Optimization
Generate an initial set
of solutions
Show the solutions to
the decision maker
Is any of the
solutions
satisfatory?
[Yes]
Ask the DM to indicate
"good" solutions
Extract preference
information
Improve the solution
set
[No]
Figure 2.1: An activity diagram for a typical interactive process
• Reference point approaches — the DM specifies bounds on values of the objective func-
tions (i.e. reference points) and then, he or she can observe the effect of the bounds on the
generated solutions.
• Classification-based methods. It is not possible to improve a value of a goal of a solution
from the Pareto-frontier without worsening other goals of the solutions. In the classification-
based methods the DM is asked to select goals that can be impaired and the ones that he or
she wants to improve.
The interactive approach requires the Decision Maker’s collaboration during the process, how-
ever the approach offers strong benefits to justify this dedication. Clearly, the computational cost
required is lower than in other approaches, because there is no need to evaluate whole solution
space, just its small subset. The DM may not be able to express a global structure of his or her
preferences up front. It is also possible that his or her preferences will change along with the
change in understanding of the problem. During the interactive process the DM has an immediate
feedback — he or she may see how the decisions are affecting problem solutions.
One can say that solving a Multi-Objective Optimization problem is a constrictive process,
where the Decision Maker learns more about the problem — what kind of solutions are possible
and how his of her choices influences the results (see [26]). As a result, not only the most preferred
solution is given, but also the problem understanding by the DM is better.
2.2 Evolutionary Approaches to MOO
In 1859, Charles Darwin published his work “On the origin of species” [2]. He introduced a scientific
theory describing the evolution of species through the process called natural selection. According
to the theory, a trait can become less or more common in the population in dependence on its
effect upon the survival and reproduction of the individuals bearing the trait.
2.2 Evolutionary Approaches to MOO 9
P := Initialization
Termination
conditions are
met?
[Yes]
Evaluate(P) P' := Selection(P)
P'' := Variation(P')P := Elitism(P, P'')
[No]
Figure 2.2: An evolutionary optimization procedure
This idea can be easily transfered to the optimization field. A solution to a problem — that
is, the set of values of problem’s decision variables — is a single individual in the population.
The problem is the environment — the higher the solution evaluation on a given problem, the
better it is fitted to the environment. A better fitness means higher chance that the traits of
a solution will be present in the next iteration (an analogue of a reproduction success rate). First
successful applications of the idea were done in the electrical engineering field (see [6]) and in the
fluid mechanics (see [29, 30]).
The main differences between the classical and the evolutionary optimization (EO) are (see [3]):
• Population-based. An EO procedure uses a population of solutions (a population ap-
proach), whereas the classical algorithms maintain one solution at a time (a point approach).
It enables an algorithm to maintain multiple optimal solutions, possibly from different parts
of the solution space. Unfortunately it rises the memory and computational footprint of an
EO algorithm.
• Stochastic operators. An EO procedure uses stochastic operators (e.g. selection, crossover
or mutation) instead of deterministic ones.
• Gradient information. An EO procedure does not usually use gradient information directly
in performing a search. This means that the procedure is immune to local optima in a search
space. However, the EO procedure may not be competitive with dedicated gradient approach.
The basic evolutionary optimization procedure is shown in Figure 2.2. The algorithm starts
with creating a population of solutions. Usually the population is created at random within
bounds of decision variables. Then a succesion of generations starts. The populations is updated
by a sequence of operators.
First, the population is evaluated. The evaluation means establishing an relative preference
order, that is sorting solutions from the best to the worst. After the evaluation the algorithm
chooses solutions to fill the mating pool. The better the solution the higher the probability to be
chosen. Then, the variation operator is being used. It is a series of steps, such as crossover or
mutation, generating a succeeding generation (an offspring) from parents in the mating pool. The
crossover ensures that parents’ traits will be present in the next generation while the mutation
acts as local search in the solution’s neighborhood. Finally, the elitism operator combines the old
population with the newly created offspring. Coping best solutions from the former ensures the
algorithm has a monotonically non-degrading value of the best solution.
10 2 Multi-Objective Optimization
100 1 2 3 4 5 6 7 8 9
10
0
1
2
3
4
5
6
7
8
9
Goal 1 (gain)
Goal2(gain) Pareto-frontier #1
Pareto-frontier
#2
Pareto-frontier#3
Pareto-frontier #4
The crowded areas
Individuals
Label
Figure 2.3: The NSGA-II evaluation
The choice of a fitness function is critical to the algorithm’s performance. In case of a problem
with a single criterion this is trivial — a value of the goal can be used. However, in the case
of the Multi-Objective Optimization, there are a number of objective functions to be optimized.
A possible approach to the problem is to use the dominance principle ([7]):
A solution x is said to dominate the other solution y, if both of the following conditions are
true:
1. The solution x is not worse than y on all objectives. Thus, the solutions are compared based
on their objective function values.
2. The solution x is strictly better than y on at least one objective.
All the solutions that are non-dominated by any other solution are forming the Pareto-frontier
of the problem.
According to [3] there are two ideal goals of the EMO:
1. Find a set of solutions which lies on the Pareto-optimal front, and
2. Find a set of solutions which is diverse enough to represent the entire range of the Pareto-
optimal front.
The most representative example of the Evolutionary Multi-objective Optimization (EMO)
algorithm is NSGA-II ([4]). The basic idea behind the algorithm is to assign each solution in
a population to a number of different Pareto-frontiers. All non-dominated individuals are assigned
to first Pareto-frontier and then removed from the population. All non-dominated individuals after
the removal are then assigned to second frontier. The process repeats until there are individuals in
the population. The lower the number of the frontier, which an individual belongs to, the higher
the fitness function for it. In case of a tie the crowding score is taken into account — the lesser the
crowd in the solution’s neighborhood in an objective space, the better the solution’s evaluation.
This is illustrated in Figure 2.3.
2.3 Dominance-Based Rough Set Approach to MOO 11
2.3 Dominance-Based Rough Set Approach to MOO
A rough set is an approximation of a conventional set — a pair of sets being a lower and an
upper approximation of the original set ([27]). The lower approximation is a set of all objects
that unambiguously can be classified as members of the target set. On the other hand, the upper
approximation is a set containing objects that cannot be unambiguously classified as members of
the complement of the target set. A boundary region is the part of solution space being part of
the upper approximation, but not the lower one.
Dominance-based Rough Set Approach (DRSA) is an extension of the rough set theory intro-
duced in [10, 11, 12]. The indiscernibility relation is replaced by the dominance relation (defined
in the former section). DRSA is applicable in the decision support field.
DRSA can model the situations in which a finite set of objects — vectors of values in the
decision variable space — has been classified to some decision classes, such that one object belongs
to exactly one class. The classes are preference ordered. The main task of DRSA is to structure
the classification into lower and upper approximations of unions of ordered decision classes, prior
to induction of monotonic decision rules, representing the preferences of an agent who made the
classification decision. An example of the DRSA data structuring is given in Figure 2.4.
The data in Dominance-based Rough Set Approach are often presented in a decision table. The
objects being considered are written in table rows, the decision attributes are table columns. The
last column is classification of the objects to a decision classes. A formal definition of the decision
table can be easily found in the literature. An example is given in Table 2.1.
On the basis of the table, decision rules may be induced. They are generalized description of
the knowledge represented in the table. A decision rule is a Horn clause (see [19]) in form of “if ...,
then ...”. The former part is called condition and the latter — consequent. The condition part
compares a value of an object attributes with given thresholds and the consequent part represents
the object classification if the condition part holds. Rules can be either certain — based on
objects from the lower approximation of the class, possible — based on objects from the upper
approximation and approximate — based on the boundary region. Each decision rule should be
minimal, i.e. cardinality of the set of conditions should be minimal.
Example rules generated from Table 2.1 are as follows:
1. If Literature ≥ good then Student ≥ good,
2. If Mathematics ≤ bad and Physic ≤ medium then Student ≤ bad,
3. If Mathematics ≥ medium then Student ≥ medium (possible).
DRSA can handle uncertainty and contradictions in the data, thus it can model a wide class
of real-world decision problems. For each rule r given in from Φ → Ψ, the following measures are
defined:
Student Mathematics Physics Literature Overall class
1 good medium bad bad
2 medium medium bad medium
3 medium medium medium medium
4 medium medium medium good
5 good medium good good
6 good good good good
7 bad medium medium bad
8 bad bad medium bad
Table 2.1: An example of the decision table
12 2 Multi-Objective Optimization
400 5 10 15 20 25 30 35
40
0
5
10
15
20
25
30
35
gain 2
gain1
Lower approximation of "High"
Upper approximation of "High"
High
Medium
Low
Figure 2.4: An example of the DRSA approach
• Support: supp(Φ, Ψ) = cardinality(||Φ ∧ Ψ||) — is the number of objects for which the
condition of the rule holds and the object classification is consistent with the consequent of
the rule.
• Confidence: confidence(Φ, Ψ) =
supp(Φ, Ψ)
cardinality(||Φ||)
— is the number of objects supporting the
rule in a relation to the number of objects for which the rule’s condition holds.
.
Objects supporting rule no. 3 are {S2, S3, S4, S5}, but the condition part holds also for S1.
The support is thus: supp(r3) = 4
5 = 0.8.
To induce all rules from the decision table one can use the All Rules algoritm (an optimized
version is described in [35]). Another option is to use the DomLem algorithm ([16]) generating
a minimal set of rules covering all the objects from a given table.
Chapter 3
DARWIN, the Idea behind the
Method
The basic idea of Darwin method was introduced in [14]. This idea will be described in the following
paragraph.
3.1 Background
The method combines two different approaches — Interactive Multi-Objective Optimization (IMO,
see 2.1) and Evolutionary Multi-Objective Optimization (EMO, see 2.2).
In the IMO paradigm one wants to elicit decision maker’s preferences by involving him or her
in the process. This is done by a systematic dialog with the decision maker (the DM). Questions
are being asked and the DM provides answers. Preference information is extracted on the basis of
these answers. Algorithm can then use the knowledge to produce solutions better fitted to his or
her preferences. The IMO framework is presented in Figure 2.1.
The rationale behind the interactive process is that the decision maker is interested only in
a small subset of preferred solutions or even in a single most preferred one.
This process makes it possible to gather preference information and then use this information
to construct better solutions. However, this is just a framework, so details are left up to the
analyst. One has to think particularly how to extract and store knowledge gathered on DM’s
answers and how to use this knowledge to generate and provide solutions better fitted to decision
maker’s preferences.
Human factor is yet another thing to consider. The DM is a human being and thus his or her
behavior may change. The challenge here is to find out what questions should be asked and how
often, as well as how many intermediate solutions should be presented to the DM for evaluation.
DARWIN is a realisation of the IMO process. It keeps generating solutions and improving them
on the basis of DM’s feedback. It only asks the DM to mark potentially good solutions, so that
only problem-domain knowledge is required; its user does not need to have expert knowledge in
the decision support field.
Evolutionary Multi-Objective Optimization (EMO) provides a computational engine for gener-
ating new, still better solutions in successive iterations — better in sense of an objective function
defined in the solution space. Most of the EMO methods are approximating Pareto-optimal front
by a set of solutions. So one solution is better than the other if the former Pareto-dominates the
latter. In case of two equivalent ones another factors have to be taken into account (for example
crowding score of NSGAII [4]). This is the case because if no preference information is given, all
Pareto-optimal solutions have to be considered equivalent.
14 3 DARWIN, the Idea behind the Method
100 1 2 3 4 5 6 7 8 9
10
0
1
2
3
4
5
6
7
8
9
Goal 1 (gain)
Goal2(gain)
Pareto-frontier
An area prefered by the DM
Dominated solutions
Figure 3.1: Pareto-front and area preferred by the decision maker
It seems natural to combine these two described approaches — Interactive Multi-Objective
Optimization and Evolutionary Multi-Objective Optimization. IMO is just a process framework
but still needs an engine to generate and improve solutions. EMO is such an engine. On the
other hand for EMO involving the decision maker in the procedure results in gathering preference
information. This information allows the procedure to focus on a specific region of Pareto-front —
the most relevant one to the decision maker. In this way IMO and EMO are complementing each
other.
This is important because of the “human factor”. If the number of solutions becomes huge, the
DM can not effectively analyze them and find the one that fits his/her preferences best, thus Pareto-
optimality is not sufficiently discriminative. However, guiding the search to preferred regions of the
solution space allows the method to converge faster to good solutions. It is shown in Figure 3.1.
DARWIN uses EMO procedure to improve generated solutions based on the DM’s preferences.
3.2 Modeling of uncertainty
It is often the case that not all numbers and coefficients are precisely known. It may be easier
for the decision maker to formulate the Multi-Objective Optimization problem giving the problem
coefficients in the form of intervals of possible values. For example, instead of saying that product
price will equal 20 units one can say it will be in the [19, 21] interval. In this situation the decision
maker is often interested in finding the best robust solution — that is good and possible in a large
part of uncertainty scenarios. DARWIN allows to give the coefficients in a form of intervals.
The set of all of the problem’s coefficients given as intervals and fixed on one of possible values
will be called scenario of imprecision (see Figure 3.2). If intervals are allowed, it is impossible to
calculate the exact value of problem’s objectives for given solutions. To handle this case all the
considered solutions are evaluated over a set of uncertainty scenarios.
10-1 0 1 2 3 4 5 6 7 8 9
a
b
c
Scenario: {a ->2, b -> 6, c -> 4}
a = [1, 10]
b = [5, 10]
c = [0, 5]
Figure 3.2: Scenario — set of intervals fixed on specific values
3.5-3.5 -3 -2 -1 0 1 2 3
0.1
0.2
0.3
0.4
25% 50% 75%
Figure 3.3: Percentiles of the normal distribution
16 3 DARWIN, the Idea behind the Method
Results of this evaluation are then aggregated to quantile space. The quantiles are points
taken at regular intervals from the cumulative distribution of a random variable. If the interval
consists of 0.01 of the distribution, then the quantiles are called percentiles (percentiles of the
normal distribution are shown in Figure 3.3). Instead of presenting all of the results, the method
calculates meaningful quantiles of results distribution for each objective. For example, percentiles
(like 1%, 25% and 50%) can be chosen. Percentiles divide ordered data into 100 of equally-sized
subsets — 1% percentile is the best of 1% worst solutions or alternatively the worst of 99% of the
best solutions.
Choice of these quantiles is connected with the DM’s attitude towards risk. If he or she wants to
avoid risk then his/her decision will be focused on quantiles from the beginning of the distribution
(e.g. 10%). On the other hand, when he or she is interested in the best possible solution even if
there is a risk involved, then the quantiles from the end of the distribution will be inspected (e.g.
75%).
In DARWIN the DM’s preferences are gathered and stored using DRSA methodology (see 2.3).
Dominance-Based Rough Set Approach is a framework for reasoning about partially inconsistent
preference data. DRSA already has successful applications in IMO area (see [10, 11, 12]).
DRSA will be applied in IMO process. After selecting “good” solutions from the provided set
the decision rules are induced to store the preferences. These rules are given in the form of “If ...
then ...”. Conditional part is a disjunction of conditions on attributes from quantile space. These
attributes are compared to specific values, e.g. profit25% >= 100 ∧ time1% <= 10. The consequent
part assigns a solution to a class (at least or at most), e.g. Class at least Good. So the whole rule
would be If profit25% >= 100 ∧ time1% <= 10 then Class at least Good.
3.3 The algorithm
DARWIN can operate on Multi-Objective Optimization (MOO) problems defined as follows:
[f1(x), f2(x), . . . , fk(x)] → max (3.1)
subject to:
g1(x) ≥ b1
g2(x) ≥ b2
. . .
gm(x) ≥ bm
(3.2)
Where:
x = [x1, x2, . . . , xn] is a vector of decision variables, called a solution;
f1(x), f2(x), . . . , fk(x) are objective functions, f : x → R;
g1(x), g2(x), . . . , gm(x) are constraint functions, f : x → R;
b1, b2, . . . , bm are real-valued right hand sides of the constraints.
It is possible to give some of the coefficients in objective functions or constraints in the form
of intervals (thus modeling ignorance — uncertainty about real value of a coefficient). A vector of
fixed values for each interval is called scenario of imprecision (see Figure 3.2).
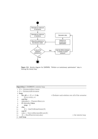
DARWIN is composed of two nested loops — exterior and interior. The former is a realisation
of an interactive process and the latter is an EMO engine dedicated to improve solutions based on
the decision maker’s preferences. This is illustrated in Figure 3.4.
The exterior loop algorithm, corresponding to the IMO interactive process is shown on alg. 1.
A More detailed description of each step follows.
First, one has to generate a set of feasible solutions to the MOO problem first. This can be
done using the Monte Carlo method. The Monte Carlo concept itself is not new. A concept of
Generate an initial set
of solutions
Show the solutions to
the decision maker
Is any of the
solutions
satisfactory?
[Yes]
[No]
Generate an initial set
of scenarios
Ask the DM to indicate
a subset of "good"
solutions
Generate rules
Perform an
evolutionary
optimization
Figure 3.4: Activity diagram for DARWIN. “Perform an evolutionary optimization” step is
forming the interior loop
Algorithm 1 DARWIN’s exterior loop
1: X ← GenerateSolutions
2: S ← GenerateScenarios
3: loop
4: for all x ∈ X, s ∈ S do Evaluate each solution over all of the scenarios
5: Evaluate(x, s)
6: end for
7: isSatisfied ← PresentResults
8: if isSatisfied then
9: stop
10: else
11: X ← AskToMarkGood(X)
12: end if
13: rules ← InduceDecisionRules(X)
14: X ← EmoProcedure(rules) the interior loop
15: end loop
18 3 DARWIN, the Idea behind the Method
statistical sampling became popular after digital computing machines had been invented (see [25]).
This method can be described as random sampling a domain of a problem. In the most basic
variant one can just pick a solution at random and check if it is feasible. Unfortunately, it will be
impossible unless the non-feasible space is only a small part of the domain. Additional hints for
the generator, for example in the form of analyst’s suggestions, can be taken into account.
At this stage goals and constraints are allowed to contain intervals corresponding to the un-
certainty of a model. Thus a set of scenarios needs to be generated. Each of these scenarios is
a realisation of the problem with fixed values of the intervals. It is worth noting that if the problem
constraints are given in an uncertain form — that is containing coefficients in the form of intervals
— it could be impossible to determine whether a given solution is possible. If that is the case, then
lines 1 and 2 should be swapped and feasibility of a solution set should be checked on generated
scenarios.
In lines 4 to 6 each solution if evaluated over each scenario. Results of this evaluation phase
are then gathered and presented to the decision maker in 7. The DM is a human being though,
so in order to get valuable feedback one need to show the data in aggregated form. The au-
thors proposed a meaningful quantiles to be presented. For example f1%
1 (x), f25%
1 (x), f50%
1 (x),
. . . , f1%
k (x), f25%
k (x), f50%
k (x) for all x ∈ X.
If the DM finds solution in the set of presented ones satisfactorily, then the problem is solved
and algorithm ends here. If not, however, he or she is asked to indicated the “good” solutions
in the set (line 11). On the basis of this distinction, the method generates a set of decision rules
(line 13). These rules are then passed to the interior loop (line 14) where — by using the EMO
paradigm (see 2.2) — DARWIN performs search of the solution space. The search is driven towards
a specific region on the basis of the rules. Finally new solutions, better fitted to DM’s expectations
are generated and the process starts over again.
Algorithm 2 shows the interior loop of DARWIN method. This loop is an EMO procedure
guided by the decision rules induced in exterior loop on DM’s selections.
Algorithm 2 DARWIN’s interior loop
1: procedure EmoProcedure(rules)
2: X ← GenerateSolutions
3: S ← GenerateScenarios
4: loop
5: for all x ∈ X, s ∈ S do this loop calculates meaningful quantiles for each solution
6: Evaluate(x, s)
7: end for
8: if termination conditions fulfilled then
9: return X
10: end if
11: pScore ← CalculatePrimaryScore(X)
12: sScore ← CalculateSecondaryScore(X)
13: X ← RankSolutions(X, pScore, sScore)
14: P ← SelectParents(X )
15: O ← RecombineOffspring(P)
16: O ← Mutate(O)
17: X ← MergePopulations(X , O )
18: end loop
19: end procedure
The procedure starts by generating a new set of feasible solutions and possible scenarios in
lines 2, 3. Then in line 4 actual evolutionary optimization starts.
Each solution is an individual. The solution set constitutes a population. Iterations of a loop
defined in line 4 mark generations of the population. Termination condition could be for example
a fixed number of iterations or a fixed amount of time.
3.3 The algorithm 19
First, in every generation the population is evaluated and ranked. The process starts with
evaluation of each solution over every scenario (5 – 7). After the evaluation meaningful quantiles
are known for each solution. Then the procedure can calculate a primary score for each of the
individuals. The primary score is computed as follows. Let:
rules(x) = {ruleh ∈ rules : ruleh is matched by solution x}
rules(x) is a set of rules (ruleh ∈ rules) matched by solution x ∈ X.
X(ruleh) = {x ∈ X : x is matching ruleh}
For each ruleh ∈ rules : X(ruleh) is a set of solutions matching this rule.
w(ruleh) = (1 − δ)card(X(ruleh))
Each rule (ruleh) gets a weight related to the number of times it is matched by a solution.
δ is a decay of rule weight. For example δ = 0.1. This formula associates higher weight for
rules matching lesser number of solutions — this is an important property because it allows
to maintain diversity with respect to rules.
PrimaryScore(x) = ruleh∈rules(x) w(ruleh)
Finally PrimaryScore(x) is a primary score of a given solution (x ∈ X).
In case of a draw also a secondary score is considered for each solution. This score is calculated
similarly to a crowding distance score in NSGA-II method ([4]). The difference lies in the fact,
that this score is calculated in a quantile space instead of original objective space, e.g. f1%
1 ×
f25%
1 × f50%
1 × · · · × f1%
k × f25%
k × f50%
k . The procedure is shown in alg. 3.
Algorithm 3 Procedure calculating crowding distance
1: procedure CalculateCrowdingDistance(X)
2: n ← |X| Number of solutions
3: for all x ∈ X do Initialize
4: distance(x) = 0
5: end for
6: for all o ∈ objectives do
7: X ← Sort(X, o) Sort solutions using value of an o objective
8: distance(X‘(1)) ← ∞ Boundary solutions get highest score possible
9: distance(X‘(n)) ← ∞ X‘(n) is the n-th element of the X‘ ordered set
10: end for
11: for i ← 2, n − 2 do o(x), x ∈ X is a value of the objective o in the solution s
12: distance(X‘(i)) ← distance(X‘(i)) +[o(X‘(i − 1)) + o(X‘(i − 1))]
13: end for
14: end procedure
In line 14 parents selection is done. The process is a Monte Carlo procedure; possibility of
selecting a solution x ∈ X as a parent is:
Pr(x) =
|X| − rank(x) + 1
|X|
γ
−
|X| − rank(x)
|X|
γ
where rank(x) is a rank of a solution x ∈ X in the ranking made in line 13. γ ≥ 1 is an elitism
coefficient. The higher the γ, the bigger the probability of selecting a high-ranked solution as
a parent.
In line 15 a new individual (a child) is created using two of the parents chosen in the previous
step — a ∈ P, b ∈ P. The child is obtained by combining the parents together:
z = λa + (1 − λ)b
λ is a random real-valued number; 0 ≤ λ ≤ 1.
20 3 DARWIN, the Idea behind the Method
Mutation operator is applied to the offspring population. Probability of mutation for a single
individual is decreasing in successive generations and can be calculated using the formula:
Pr(t) = (1 − ω)t−1
Where t is a number of current iteration, ω - mutation decay rate, - initial mutation probability.
Suggested values are ω = 0.1, = 0.5.
In this section, the DARWIN idea was explained. Its implementation is described in the next
chapter.
Chapter 4
Implementation of DARWIN
DARWIN is a high-level description of an algorithm that can be used to solve a multi-objective
optimization problem. It is a list of steps to execute and calculations to perform. Therefore,
one does not need a computer to realize the decision-making process. However, in practice it is
almost impossible to complete all the steps without a dedicated software application. Moreover,
to evaluate the method’s performance one needs to repeat the experiments several times.
For the reasons stated above it was required to implement the method as a computer pro-
gram. This chapter describes technologies used for the DARWIN’s implementation, as well as an
experiment framework development.
4.1 The issues of implementation
4.1.1 The programming environment
The environment in which DARWIN has to function is not empty; thus it has to be taken into
account during the development of the implementation. DARWIN is a realization of an interactive
process, therefore a way of communication with the decision maker is required. Another restriction
is imposed by the need of inducing decision rules from the DM’s evaluated examples of solutions.
The decision maker has to provide a problem he or she wants to solve. It can be done in a model
file. If one wants to change the default parameters’ values, then a configuration file with the values
is also required. Moreover, during the algorithm’s run, presence of the decision maker is needed
in order to select “good” solutions from the provided ones. Consult the user manual (6) for more
details on the file formats. The parameters are described later in this section.
Decision rules store the DM’s preferences, therefore they are a symbolic representation of trade-
offs he or she is willing to make, as well as the importance of each criterion. They ensure robustness
of the resulting solutions because of an underlying DRSA framework. The rules are a very im-
portant part of the method. Thus, a way — an algorithm — to generate them is needed. In the
method’s description provided in [13, 15, 9], a phase of obtaining the rules is treated as a black
box. It is assumed that a component able to generate rules from the DM’s selection exists. Details
are omitted — it is up to an analyst (or to a developer of an implementation) to use a software
component he or she finds feasible.
The implementation of the DRSA framework, being able to induce decision rules from a given set
of examples is a complex task, both in terms of possible technical challenges as well as conceptual
and scientific work that needs to be carried out. Such a software application deserves a paper
of its own. Therefore, the author decided to use an existing implementation in order to focus
on the DARWIN method. Java Rough Set (jRS) — a project carried out at the Laboratory of
Intelligent Decision Support Systems at Pozna´n University of Technology that aims at providing
22 4 Implementation of DARWIN
DRSA framework implementation in Java — was chosen. It contains the DomLem algorithm [16]
able to generate a minimal set of decision rules from the examples given as its input.
jRS is written in Java programming language1
and runs on top of the Java Virtual Machine
(JVM [23]). The JVM is a portable platform capable of running the Java bytecode. Having a Java
component (jRS in this case) effectively put a constraint on the DARWIN implementation — it is
required that the implementation is also delivered as a JVM application. However, the technical
details of the Java platform are out-of-scope of this paper, so they are omitted unless relevant for
the DARWIN’s description.
Unfortunately, generating only a minimal set of rules may not be sufficient. The primary score
in the interior loop is based on a number of rules matching a given solution. Therefore, having
more rules may prevent a gradient loss in the evolutionary optimization. To check if this effect has
serious impact on the performance, another rule-generating algorithm was developed. The author
implemented AllRules algorithm [17] in Scala programming language. Again, the algorithm’s
details are out of the scope of this paper. Nevertheless, it is worth noting that the number of rules
generated by AllRules is greater than the one generated by DomLem.
4.1.2 The software prototype
As his first task, the author chose to implement a prototype of the program. The goal was to check
the behavior of the method — if it works, converges to the preferred region, is able to generate
a reasonable solution and to withstand the uncertainty in the decision maker’s preferences; to find
out if the overview given in [13, 15, 9] is accurate enough to develop a working software. More
important however, was to identify potential problems and to gain a deep knowledge of the method.
The prototype was developed in Java. Java is a very popular language and de facto an industry
standard in many fields, especially in enterprise applications. The application itself is able to solve
a subset of the MMO problems. It supports uncertainty and it simulates the decision maker. It is
a working implementation of the method. The goal was achieved — to develop a working piece of
software showing that DARWIN is able to solve multi-objective optimization problems.
Unfortunately, the prototype has not been fully featured. It has contained only a simulated
DM and lacked any user interface at all. The problem to solve and the DARWIN parameters are
hard-coded for the prototype. Nevertheless, the code was being developed in an extensible way
and contained a suite of unit tests. However, it is a common practice in the software engineering
to discard the prototype and start developing the final application from scratch. This was the
case with DARWIN — the author’s knowledge of the method changed during the prototyping and
starting from the beginning has been considered a better option.
4.1.3 The final implementation
The Java language is stable, well-tested and features numerous libraries dedicated to almost every
possible applications; unfortunately, it is also very verbose and lacks support for many of the recent
trends in the computer programming and software development. It is a great tool for large teams,
as it is usually the case in the enterprise application market. However, what is a good solution for
a team is not essentially the best possible tool for a single developer working on a project.
The author decided to develop the implementation in Scala2
. Scala is a multi-paradigm pro-
gramming language combining object-oriented features with functional programming. The former
paradigm is a dominant contemporary software development practice; it allows to program and
model problem domain’s objects as well as any relations between them. However, the latter makes
it possible to write a concise code dealing with mathematical computations. This is a very useful
trait in scientific applications.
1Developer Resources for Java Technology — http://www.oracle.com/technetwork/java/index.html
2The Scala Programming Language — http://www.scala-lang.org/
4.1 The issues of implementation 23
Scala runs on JVM, therefore it is compatible with existing Java libraries. The Scala compiler
produces the Java bytecode from a Scala source code. The bytecode is nearly identical to the one
generated from a Java source. The only difference is that Scala programs require the presence of
an additional run-time library — scala-library.jar. The language was designed by Martin Odersky
and started as a project in ´Ecole Polytechnique F´ed´erale de Lausanne (EPFL). Because of the
functional elements and different syntax Scala programs are usually shorter and easier to read
than their Java counterparts, especially when dealing with mathematical operations.
The DARWIN code is divided into packages. Their structure is shown in Figure 4.1. Their de-
scription follows. pl.poznan.put.darwin is a root package following Java naming conventions [21].
For readability its name is omitted in the following description. Packages:
evolution — a module containing classes responsible for the evolution of solutions. It con-
tains a controller driving the process, an engine of the evolutionary algorithm, evolutionary
operators (mutation and cross-over) and a parent selection strategy.
jrsintegration — an abstraction layer over the DRSA framework. This module contains classes
responsible for integration with jRS and DomLem algorithm. They are able to convert
DARWIN’s solutions to a format required by the jRS, invoke the DomLem algorithm and
later — during the interior loop — check if a given solution matches any of the generated
rules.
model — models a hierarchy of objects for an abstract MOO problem. Contains basic classes
required to represent a problem, its variables, goals and constraints, as well as classes rep-
resenting a solution and a scenario of uncertainty. A problem parser — for reading problem
instances from files, a solution evaluator — computing a value of solution against given sce-
narios and a configuration reader — setting DARWIN’s options on the basis of a file, are also
components of the model package.
simulation — a package responsible for connecting all the other parts together. It initializes
the process by asking model to read the problem and the configuration; takes care of the
interaction with the DM, invokes jrsintegration to process the preferences and to obtain
the rules and finally interacts with the evolution controller from the evolution package. It
can also simulate the decision maker and generate reports if needed for automated experiment
framework.
utils — additional utility classes for the other modules.
In order to reduce the number of bugs and eliminate recurring of the fixed bugs an extensive
allrules darwin
evolution gui jrsintegration model
problem solution
simulation utils
pl.poznan.put
Figure 4.1: The package structure of DARWIN
24 4 Implementation of DARWIN
test suite accompanies each of the packages. In order to streamline the building process the Scala
Build Tool (SBT, see [18]) is used to manage dependencies, to take care of running the test suite
and to build the application from its source code. The code contains javadoc3
on most of the API
methods and a lot of comments in places that could be particularly hard or tricky to understand.
Therefore it should be possible for the other developer to use and extend the code delivered as
a part of the thesis. A manual for the end-user is enclosed at the end of the paper.
A lot of DARWIN parameters are mentioned throughout the paper. They are gathered and
described in Table 4.1. The parameters can be set in a configuration file. The options are split
into sections and listed in the table. The syntax of the configuration file is described in the user
manual (6).
4.2 Experiment framework
One of the goals of the thesis was to evaluate the DARWIN’s performance and the importance
of the parameters. To do this a set of tools was developed. Firstly, DARWIN can be instructed
to log details of an execution to a file (see Table 4.1). These logs consist of two reports — the
evolution report and the DM’s decisions report. The former contains the information about the
population’s shape and the latter about the decisions made by the decision maker. The reports
are in the comma separated values format (CSV [31]).
The algorithm is interactive which means that constant human supervision is required. How-
ever, one needs to repeat the experiments over and over again. For this reason the decision maker
has been simulated. It is possible to pass a utility function for a supposed decision maker and
then, the algorithm will make a decision on its own on the supposed utility basis. This automates
a single run of DARWIN, however an operator is still required to start the program over and, if
necessary, to change the execution parameters.
To bypass this limit and streamline the process, the experiment framework is provided. One
can define a base configuration along with a test plan and then a computer will proceed with an
execution of the test plan. Scripts composing the framework are written in Python — a general,
high-level programming language4
and glued together using the Bash shell scripts5
. A description
on how to use the framework is provided as a part of the user manual 6.
A test plan execution will typically result in a number of report files full of the runs’ details.
It would be a tremendous task to analyze them by hand. However, presenting this data in an
aggregated form as a set of charts can immensely simplify the analysis.
R is an environment for statistical computing6
. The program along with ggplot library (see [32])
has been used for the automatic chart generation. The R scripts can import the CSV reports,
aggregate and process the data and finally generate a chart.
First, a user prepares a test plan and sends it to the framework. The framework is repeatedly
running DARWIN with a simulated decision maker. Resulting reports are then processed by the
R scripts. As a result charts are generated.
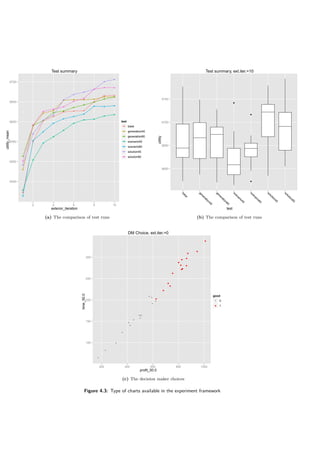
It is possible to generate the following type of charts (they are shown in Figure 4.2 and 4.3).
• A change of the supposed utility value during the exterior loop iterations. Example shown
in Figure 4.2a. This is a basic chart for the analysis, because it shows a high-level overview
of the run from the decision maker’s perspective.
• A change in a population shape during the interior loop run. May show a convergence of
a population to a specific region. Figure 4.2b.
3Javadoc Tool — http://www.oracle.com/technetwork/java/javase/documentation/index-jsp-135444.html
4The Python Programming Language — http://python.org/
5Bourne-Again SHell — http://www.gnu.org/software/bash/bash.html
6The R Project for Statistical Computing — http://www.r-project.org/
Section Name Description Default value
Main
Solution count The number of solutions in a population. 30
Scenario count The number of scenarios on which the solu-
tions will be evaluated.
30
Generation count The number of generations in the interior loop. 30
Gamma (γ) The coefficient of elitism. The higher γ, the
higher the probability of choosing a solution
with a higher rank as a parent.
2.0
Delta (δ) The decay of rule weight (see 3.3). 0.1
Eta (η) The initial mutation probability. 0.5
Omega (ω) The decay rate of the mutation probability. 0.1
Outer count The number of exterior loop iterations to be
simulated.
20
Use average Whether an average in quantiles should be
used instead of the maximum value).
false
Mutation tries The number of mutation tries. For some prob-
lems it may be very hard to mutate a solution
to get the other feasible one. Try no more
times than defined here.
20
Use “at most” Whether an “at most” rules should be consid-
ered along with “at least”.
false
Percentiles Which percentiles are meaningful to the deci-
sion maker.
1.0, 25.0, 50.0
Multi rules Should the rules be generated multiple times
(see 5.5.5).
false
Multi rules count How many iterations of rules generation
should be performed.
3
Algorithm
AllRules Should the AllRules algorithm be used instead
the DomLem
false
DomLem confidence level A level of confidence that the rules gener-
ated by the DomLem algorithm should at least
have.
1.0
SimulatedDM
Base good count The number of solutions to be marked as good
by the simulated DM.
3
Good count delta A parameter for simulating inconsistencies in
DM’s decisions. See 5.4.4.
2
Noise level A parameter for inconsistencies noise in DM’s
decisions.
0
Evolution
Regenerate every During the interior loop the solution set is
evaluated against a scenario set. This param-
eter specifies how often the scenario set should
be changed — in how many generations a re-
generation of the set should occur.
1000
Regenerate percent Part of the scenario set to regenerate. 0.0
Use supposed utility If the evolutionary algorithm should use the
supposed utility instead of a rule-based score.
false
Reports
Evolution report If the set specifies where an evolutionary re-
port should be written.
evrep.csv
DM Report If the set specifies where the DM’s decision
should be reported.
dmrep.csv
Brief report If a brief report should be written to standard
output. Useful in supervising a batch run.
true
Rules directory The directory, where rules generated during
the run should be saved. Do not save the rules
if empty
rules
Table 4.1: The parameters of DARWIN
26 4 Implementation of DARWIN
• A change of the utility value along with the primary score during the interior loop — a run
of the evolutionary algorithm. Figure 4.2c.
• Shows the change in a population of an evolutionary algorithm from the utility and the
primary score perspective. Figure 4.2b.
• A comparison chart in 10th exterior interior— to present the utility value change of multiple
tests (possible with different parameters) side-by-side. Each test consists of one or more runs.
Figure 4.3a.
• A comparison chart — to compare the results of several tests. Each test consists of several
runs. The results are charted on a box plot, so the analyst can easily compare a median, the
first and the third quartile and outliers of each test. Figure 4.3b.
• A chart showing decision maker’s selections. The whole population is shown and selected
individuals are marked. Figure 4.3c.
The framework is just a utility, but still an important one to evaluate the performance of the
method. The implementation presented in this chapter was a basis for the DARWIN method’s
evaluation. The results are given in the next chapter.
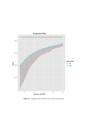
Supposed Utility
exterior_iteration
value
−140
−130
−120
−110
−100
q
q
q
q
q
q q
q q
q
q
q q
q
q q
q
q
q
q q
q q q q q q
q q q q q
q q q q q q
5 10 15
result_value
q min
q max
(a) Exterior loop iterations → the supposed utility value
profit_50.0 x time_50.0, ext.iter.=1
profit_50.0
time_50.0
100
150
200
250
300
350
q
q
q
q
q
q
q
q
q
q
q
q
q
q
q
q
q
q
q
q
q
q
q
q
q
q
q
q
q
q
q
q
q
q
q
q
q
q
q
q
q
q
q
q
q
q
q
q
q
q
q
q
q
qq
q
q
q
q
q
q q
q
q
q
q
q
q
q
q
q
q
q
q
q
q
q
q
q
q
qq
q
q
q
q
q
q
q
q
q
q
q
q
q
q
q
q
q
q
q
q
q
q
q
q
q
q
q
q
q
q
q
q
q
q
q
q
qq
200 400 600 800 1000
generation
q 0
q 10
q 20
q 30
(b) The population shape change in the objective space
UtilGen, ext.iter.=1
generation
value
2200
2400
2600
2800
q q
q
q
q
q q q q
q q
q q
q
q
q
q
q q q q q q
q
q q
q q q q q
q q q
q q
q q q q q q q q q q q q q q q q q q q q q q q q q q
q q q q
q
q
q q
q q q
q q q q q q
q q q q q q
q
q
q q
q q
q
q
0 5 10 15 20 25 30
result_value
q mean
q min
q max
PrimaryScoreGen, ext.iter.=1
generation
value
0.0
0.2
0.4
0.6
q
q
q
q q q q q q q q q q q q q q q q q q q q q q q q q q q q
q q q
q q q q q q q q q q q q q q q q q q q q q q q q q q q qq q q q q q q q q q q q q q q q q q q q q q q q q q q q q q q
0 5 10 15 20 25 30
result_value
q mean
q min
q max
(c) Interior loop generations → the utility value, the primary
score
Utility/Individual, ext.iter.=1
individual
utility
2000
3000
4000
5000
6000
q
q
q
q
q q
q
q q q q
q
q q
q q
q
q q
q
q q q q q
q q q
q
q
q
q
q
q
q q q
q
q q q q q q
q q q
q q
q q
q q
q q
q q q
q q
q
q q q q q
q
q q
q
q q
q q q
q q q
q
q q
q
q
q
q q
q q q
q
q
q
q
q q q q
q q
q
q q
q
q q q q q
q
q q
q q q
q q q q q q
5 10 15 20 25 30
generation
q 0
q 10
q 20
q 30
Primary/Individual, ext.iter.=1
individual
primary
−0.2
−0.1
0.0
0.1
0.2
q q q q q q q q q q q q q q q
q q q q q q q q q q q q q q qq q q q q q q q q q q q q q q q q q q q q q q q q q q q q qq q q q q q q q q q q q q q q q q q q q q q q q q q q q q qq q q q q q q q q q q q q q q q q q q q q q q q q q q q q q
5 10 15 20 25 30
generation
q 0
q 10
q 20
q 30
(d) The change of the utility and the primary score in a pop-
ulation
Figure 4.2: Type of charts available in the experiment framework
Test summary
exterior_iteration
utility_mean
6450
6500
6550
6600
6650
6700
q
q
q
q
q q q
q
q q
q
q
q
q
q q q q
q q
q
q
q
q
q
q
q
q
q
q
q
q
q
q
q
q
q q
q
q
q
q
q
q
q
q
q
q q q
q
q
q
q
q
q
q
q
q
q
q
q
q
q
q
q
q
q
q q
2 4 6 8 10
test
q base
q generation45
q generation60
q scenario45
q scenario60
q solution45
q solution60
(a) The comparison of test runs
Test summary, ext.iter.=10
test
utility
6600
6650
6700
6750
q
q
q
base
generation45
generation60
scenario45
scenario60
solution45
solution60
(b) The comparison of test runs
DM Choice, ext.iter.=0
profit_50.0
time_50.0
100
150
200
250
300
q
q
q
q
q
q
q
q
q
q
q
q
q
q
q
q
q
q
q
q
q
q
q
q
q
q
q
q
q
q
200 400 600 800 1000
good
q
0
q 1
(c) The decision maker choices
Figure 4.3: Type of charts available in the experiment framework
Chapter 5
Results of Computational
Experiments
DARWIN is a new method and according to the author’s knowledge it hasn’t been implemented
before. Experiments are designed to check if the method is working at all, what parameters are
important for the method and what should be their reasonable default values. To make the results
repeatable the DM is simulated. Inconsistencies in his or her decisions are simulated. Unless
uncertainty is involved, comparisons to the exact optimal solution are provided. In tests involving
uncertainty results are compared to supposed utility function optimization.
5.1 The environment
All tests were conducted on a personal computer with 64bit Intel processor. RAM size on the
machine is 3GB. 64bit Linux operating system was used. The Java Virtual Machine was in version
1.6.0 18 and Scala 2.8.0. JVM was run with options -Xms768m -Xmx768m thus setting memory
available for application to 768MB. Tests were performed through CLI batch interface.
Test framework is available in order to automate the experiment process. All experiments were
repeated at least thirteen times. Data analysis and chart generation were performed using an R
environment1
. The framework is a combination of the Python2
and Bash3
code communicating
with main DARWIN code and with the modules written in R.
5.2 The Decision Maker
Experiments were repeated many times. In order to make it possible it was essential to simulate
the DM. Simulating the decision maker guarantees repeatable process across the test runs.
In the DARWIN method interaction with the decision maker occurs by showing him or her
a list of generated solutions (usually 30) and asking him or her to indicate a few “good” ones.
To simulate the DM one needs to simulate his or her selections. It is assumed that the decision
maker acts according to an utility function he or her has in mind. This function will be called the
supposed utility function.
In the simulating process algorithm sorts the received solutions list according to this supposed
utility function. Then it selects three (usually three, however this can be configured) solutions
with the highest supposed utility.
1The R Project for Statistical Computing — http://www.r-project.org/
2The Python Programming Language — http://python.org/
3Bourne-Again SHell — http://www.gnu.org/software/bash/bash.html
30 5 Results of Computational Experiments
Unfortunately real decision maker, being a human isn’t as predictable and repeatable as the
described process. In the sections 5.4.4 and 5.5.4 the results of introducing inconsistencies to DM’s
decisions are presented.
In the following problems the supposed utility function is also defined.
5.3 Problem selection
The area of interest for Multi-Objective Optimization is huge and consists of many potential prob-
lems to be solved. There are multi-criteria versions of classical problems, like minimum spanning
tree [8], traveling salesman problem (TSP) [1] or knapsack problem [28] as well as an artificially
generated ones — like the DTLZ problem [5] Some of them are interesting because of their real-life
applications while the others are good for experimenting and testing purposes.
It is worth noting that the ordinary single-criterion versions of the problems can be easy to
solve. However, in multi-criteria settings one has to infer the decision maker’s preferences and
approximate the supposed utility function correctly. The challenge here is not to build the best
optimization algorithm for all the problems (this is impossible according to no-free-lunch theo-
rem [34]) but rather a framework for preference information extraction.
The experiments were performed using following problems:
Two-criteria binary knapsack problem
¯x = [x1, x2, . . . , x300]
xi ∈ {0, 1}; i = 1, 2, . . . , 300
max value1: ¯a1 · ¯x
max value2: ¯a2 · ¯x
subject to:
weight: ¯w · ¯x ≤ b
(max) supposed utility:
1 ∗ value1 + 2 ∗ value2
Where ¯x is a vector of items to be chosen. The problem is binary, so each xi ∈ ¯x can be
either selected (xi = 1) or not(xi = 0). There are two-criteria: value1 and value2. Each one
is a sum of items multiplied by associated weights (vector ¯a1 and ¯a2).
Knapsack constraint is given. One can choose items up to a certain weight (b). There is
a vector of weights associated with each item ( ¯w). The limit is defined that it is possible to
choose about 2/3 of the items.
Weights ( ¯a1, ¯a2, ¯w) are uniformly distributed vectors of values in [0, 10) interval.
Two-criteria continuous knapsack problem
¯x = [x1, x2, . . . , x300]
xi ∈ [0, 1); i = 1, 2, . . . , 300
max value1: ¯a1 · ¯x
max value2: ¯a2 · ¯x
subject to:
weight: ¯w · ¯x ≤ b
(max) supposed utility:
3 ∗ value1 − 1 ∗ value2
5.3 Problem selection 31
Continuous version of the knapsack problem. Description given for the binary version also
applies here. The only difference is that now the items can be partially selected (∀xi∈¯xxi ∈
[0, 1)).
Three-criteria binary knapsack problem
¯x = [x1, x2, . . . , x300]
xi ∈ {0, 1}; i = 1, 2, . . . , 300
max value1: ¯a1 · ¯x
max value2: ¯a2 · ¯x
max value3: ¯a3 · ¯x
subject to:
weight: ¯w · ¯x ≤ b
(max) supposed utility:
1 ∗ value1 − 1 ∗ value2 + 2 ∗ value22
Two-criteria problems can be easily visualized and analyzed. However, in real-life applications
there is often a need for three or more criteria. There is a leap in moving from two- to
multiple-criteria, so it is worth comparing the results achieved on the three-criteria knapsack
problem with its two-criteria counterpart.
Three-criteria DTLZ problem generated using constraint surface approach
min f1: x1
min f2: x2
min f3: x3
subject to:
0 ≤ xi ≤ 1, i = 1, 2, 3
− x1 + x2 + 0.6 ≥ 0
x1 + x3 − 0.5 ≥ 0
x1 + x2 + x3 − 1.1 ≥ 0
(max) supposed utility:
− 1 ∗ f1 − 2 ∗ f2 − 1 ∗ f3
This problem consists of three simple linear criteria. The solution space is a three-dimensional
cube bounded by the 0 ≤ xi ≤ 1 constraint. To make the problem challenging parts of the
solution space are being cut off by additional constraints.
This problem was build according to constraint surface approach presented in [5].
32 5 Results of Computational Experiments
Two-criteria robust mix problem
max profit: pAmin(xA, dA) + pBmin(xB, dB) + pCmin(xC, dC)
− (r1
AxA + r1
BxB + r1
CxC)p1
R − (r2
AxA + r2
BxB + r2
CxC)p2
R
min time: tAxA + tBxB + tCxC
where:
pA ∈ [20, 24], pB ∈ [30, 36], pC ∈ [25, 30]
dA ∈ [10, 12], dB ∈ [20, 24], dC ∈ [10, 12]
r1
A ∈ [1, 1.2], r1
B ∈ [2, 2.4], r1
C ∈ [0.75, 0.9]
r2
A ∈ [0, 5, 0.6], r2
B ∈ [1, 1.2], r2
C ∈ [0.5, 0.6]
p1
R ∈ [6, 7.2], p2
R ∈ [9, 9.6]
tA ∈ [5, 6], tB ∈ [8, 9.6], tC ∈ [10, 12]
subject to:
0 ≤ xA ≤ 12
0 ≤ xB ≤ 24
0 ≤ xC ≤ 12
(max) supposed utility:
profit1%
+ 3 ∗ profit25%
+ 2 ∗ profit50%
− time1%
− 3 ∗ time25%
− 2 ∗ time50%
The problem was described in a presentation DARWIN: Dominance-based rough set Approach
to handling Robust Winning solutions in INteractive multiobjective optimization given at 5th
International Workshop on Preferences and Decisions in Trento, 2009) describing the DAR-
WIN method. It contains a lot of coefficients given in the form of intervals. For readability’s
sake they were named and defined below the criteria.
The goal is to set quantity of each product (A, B, C) to be produced. One wants to maximize
the profit and minimized the total time it takes to produce the products. pi is the price of
a product i ∈ {A, B, C} on the market. There is also maximal demand the market can
consume (di). Each product consists of two raw materials — r1 and r2. Quantity needed
to produce i-th product is defined (r1
i , r2
i ) as well as the product price (p1
R, p2
R). Finally, it
takes time to produce a given product — tA, tB, tC.
Coefficients are given in the form of intervals, so each solution has to be evaluated on many
scenarios of uncertainty. This is why no exact values are used in the supposed utility function
— one can not do it because there are no exact values, only a series of evaluation results.
Percentiles are used instead. goal25%
means a result of the best evaluation among the worst
25% of evaluations.
5.4 A deterministic case 33
Four-criteria robust DTLZ7 problem
min fj(x): 0.1 ∗
10j
10(j−1)+1
xi + [0, 2 ∗ (4 − j)], j = 1, 2, 3, 4
subject to:
g1(x): f4(x) + 4f1(x) − 1 ≥ 0
g2(x): f4(x) + 4f2(x) − 1 ≥ 0
g3(x): f4(x) + 4f3(x) − 1 ≥ 0
g3(x): 2 ∗ f4(x) + min[f1(x) + f2(x), f1(x) + f3(x), f2(x) + f3(x)] − 1 ≥ 0
0 ≤ xi ≤ 1, i = 1, 2, 3, 4
(max) supposed utility:
− 4 ∗ f60%
1 − 3 ∗ f60%
2 − 2 ∗ f60%
3 − 1 ∗ f60%
1 − 8 ∗ f30%
1 − 6 ∗ f30%
2 − 4 ∗ f30%
3 − 2 ∗ f30%
1
This problem is a variation of DTLZ7 problem from [5] article. The problem was constructed
using constraint surface approach described in the article. However, interval coefficients were
added to the goals.
Robust DTLZ1 problem
min f1(x): [0.3, 0.7] ∗ x1x2 . . . xM−1(1 + g(xM ))
min f2(x): [0.3, 0.7] ∗ x1x2 . . . (1 − xM−1)(1 + g(xM ))
. . .
min fM−1(x): [0.3, 0.7] ∗ x1(1 − x2)(1 + g(xM ))
min fM (x): [0.3, 0.7] ∗ (1 − x1)(1 + g(xM ))
where:
g(x) = 100 ∗ (5 +
M+4
i=M
[(xi − 0.5)2
− cos(20π(xi − 0.5))])
n = M + 4
subject to:
0 ≤ xi ≤ 1, i = 1, 2, . . . n
(max) supposed utility:
M
i=1
(−M + i − 1) ∗ f25%
i
Another problem that is suggested in [5]. It was constructed using bottom-up approach. In-
tervals were added to the goal functions. M indicates the number of goals. In the experiments
problems with 4 and 10 criteria were used.
5.4 A deterministic case
5.4.1 Single run analysis
In order to observe the algorithm’s behavior a detailed analysis of a single run is presented in this
section. The problem being analyzed is the two-criteria binary knapsack problem. The problem
is simple and the number of criteria small in order to focus on the algorithm. Moreover, no
uncertainty in the form of interval coefficients is considered.
34 5 Results of Computational Experiments
Although this section is illustrated only by an example of a single run on the single problem
the conclusions drawn here apply globally. Compare with further sections of the chapter.
The algorithm runs with default parameters. Exterior loop was repeated ten times. This means
that ten times results (in the form of solutions) were presented to the (simulated) decision maker.
The Results were recorded.
The same problem was solved in an exact way by a mathematical programming solver4
. One
used the supposed utility function as an optimization goal for the solver. In this way the optimal
solutions were obtained (for the considered instance the best supposed utility function value is
4154.441453).
The results of the run from the exterior loop perspective are given in Figure 5.1. All of the
results generated during the interior loop run were recorded. On the chart one can see the best
and the worst solutions in a given run (the rest lies between them).
One can see that in every iteration there is an improvement, however the improvements are
getting smaller and smaller. This is because the better the solutions’ population, the harder it is
to optimize it further.
Now the analysis of the interior loop is given. The first, third and seventh interior loop will be
presented. Other runs are similar, so they were omitted in the paper. The results are presented in
figures 5.2, 5.3 and 5.4. The iterations of the interior loop are also called generations because of
their evolutionary nature.
On the charts one can see supposed utility function dependent on a generation. Also value
of the primary score is included for reference. To recapitulate — the better the solution fits to
induced decision rules, the higher the primary score; in case of a draw (i.e. the primary score for
two individuals is the same) secondary score is considered.
The improvement happens on the generation basis — in every iteration the supposed utility
function is getting better. However, as one can see improvement of the primary score happens
mainly at the beginning. The runs like the one in 5.4, where the breakthrough is at the end of the
run are in fact rare. Nevertheless the algorithm should not be shut down after reaching maximum
primary score. Although preference information extracted before the run is now exploited, an
improvement can still occur. More importantly the diversification effort is ongoing now — when
the primary score (rule based) of all the population is identical, then the secondary score (distance
based — the less the solution is crowded the higher the score) starts to play major role in the
process, pushing individuals in the population to new areas in solution space. This can result in
major a breakthrough — the population may acquire traits wanted by the DM.
Rules driving the interior loops are presented below
Iteration 1
value1 ≥ 859.86 ⇒ class ≥ GOOD
value2 ≥ 814.71 ⇒ class ≥ GOOD
Iteration 3
value1 ≥ 1023.62 ⇒ class ≥ GOOD
value2 ≥ 1011.61 ⇒ class ≥ GOOD
Iteration 7
value1 ≥ 1211.14 ⇒ class ≥ GOOD
value2 ≥ 1210.63 ⇒ class ≥ GOOD
Note that there are only two classes — GOOD and NOT GOOD so essentially class ≥ GOOD means
class = GOOD.
In order to verify how the rules influence the algorithm’s behavior, charts were prepared (Fig-
ure 5.5a, 5.5b and 5.5c). For two-criteria problem it is possible to present the search space on
two-dimensional chart.
4GNU Linear Programming Kit — http://www.gnu.org/software/glpk/
5.4 A deterministic case 35
The iterations 1 and 3 show a typical run. Before the 10th generation the whole population
moves to an area covered by the rules. In the further generations diversification occurs. The 7th
iteration is a bit different though. The evolution not “discovered” a way to match the second rule
before the 20th generation. Soon after individuals covering both solutions were included the whole
population drifted to the region marked by both rules.
It can be also insightful to see the simulated DM’s choices and compare them with the inferred
rules. They are presented in charts (Figure 5.6a, 5.6b, 5.6c). It is the case that the choices directly
affected the rules. One can also see another interesting trait of the problem. The further (in
objective space) the selected individuals are, the harder it is to achieve maximal possible primary
score.
Finally, charts presenting how the supposed utility and primary score changed in the population
along with succeeding generations (Figure 5.7, 5.8 and 5.9) are given. They support the conclusions
stated above.
Analysis of single run is a good tool for understanding the internals of the method and inspect-
ing the method’s behavior. One can draw conclusions and spot potential problems and possible
improvements. However, more experiments have to be conducted and their results should be aggre-
gated using statistical methods in order to check how useful the method is and what the influence
of the algorithm parameters is. This is done in the further sections.
Supposed Utility
exterior_iteration
value
2500
3000
3500
4000
q
q
q
q
q
q
q
q
q
q
q
q
q
q
q
q
q
q
q
q
2 4 6 8 10
result_value
q min
q max
Figure 5.1: Supposed utility function in the exterior loop iterations
UtilGen, ext.iter.=1
generation
value
2200
2400
2600
2800
q q
q
q
q
q q q q
q q
q q
q
q
q
q
q q q q q q
q
q q
q q q q q
q q q
q q
q q q q q q q q q q q q q q q q q q q q q q q q q q
q q q q
q
q
q q
q q q
q q q q q q
q q q q q q
q
q
q q
q q
q
q
0 5 10 15 20 25 30
result_value
q mean
q min
q max
PrimaryScoreGen, ext.iter.=1
generation
value
0.0
0.2
0.4
0.6
q
q
q
q q q q q q q q q q q q q q q q q q q q q q q q q q q q
q q q
q q q q q q q q q q q q q q q q q q q q q q q q q q q qq q q q q q q q q q q q q q q q q q q q q q q q q q q q q q q
0 5 10 15 20 25 30
result_value
q mean
q min
q max
Figure 5.2: Supposed utility function in the interior loop iterations
UtilGen, ext.iter.=3
generation
value
3000
3100
3200
3300
3400
q
q
q q q q q q q q q
q q q q q q
q
q q q q q q q q q q q q q
q q
q q q q q q
q q q q
q q
q q
q q
q q q q q q q q q q q
q q
q q
q q
q
q q q
q
q
q q
q q q q q
q
q q q
q q q q q q q
q q
q
0 5 10 15 20 25 30
result_value
q mean
q min
q max
PrimaryScoreGen, ext.iter.=3
generation
value
0.0
0.2
0.4
0.6
q
q
q
q q q q q q q q q q q q q q q q q q q q q q q q q q q q
q q
q
q q q q q q q q q q q q q q q q q q q q q q q q q q q qq q q q q q q q q q q q q q q q q q q q q q q q q q q q q q q
0 5 10 15 20 25 30
result_value
q mean
q min
q max
Figure 5.3: Supposed utility function in the interior loop iterations
UtilGen, ext.iter.=7
generation
value
3550
3600
3650
3700
3750
q
q
q
q
q q q q
q
q q q q q q
q
q q
q q q q q
q q
q q q q q
q
q q
q q
q q
q q
q q
q q q
q
q
q
q q
q q q q
q q q q q q q q qq q
q q q q
q
q q q q q
q q q q q q
q q q q q
q q q q q
q q q
0 5 10 15 20 25 30
result_value
q mean
q min
q max
PrimaryScoreGen, ext.iter.=7
generation
value
0.0
0.5
1.0
1.5
q
q
q
q
q
q
q
q
q
q
q q q
q
q
q
q
q
q q q
q
q q q q q q q q q
q q
q q
q q q q
q
q
q
q q
q
q
q
q q
q q q
q
q q
q q
q
q
q q q
q q q q q
q q q q q q q q q q q q q q q q q q q q q q q q q q
0 5 10 15 20 25 30
result_value
q mean
q min
q max
Figure 5.4: Supposed utility function in the interior loop iterations
value1_50.0 x value2_50.0, ext.iter.=1
value1_50.0
value2_50.0
700
750
800
850
900
950
q
q
q
q
q
q
q
q
q
q
q
q
q
q
q
q
q
q
q
q
q
q
q
q
q
q
q
q
q
q q
q
q
q
q
q
q
q
q
q
q
q
q
q
q
q
q
q
q
q
q q
q
q
q
q
q
q
qqqq
q
q
q
q
q
q
q
q
q
q
q
q
q
q
q
q
q
q
qq
q
q
q
q
q
qqq
qq
q
q
q
q
q
q
q
q
q
q q
q
q
q
q
q
q
q
q
q
q
q
q
qq
q
q
q
700 750 800 850 900 950 1000
generation
q 0
q 10
q 20
q 30
value1_50.0 x value2_50.0, ext.iter.=3
value1_50.0
value2_50.0
1000
1050
1100
q
q
q
qq
q
q
q
q
q
q
q
q
q
q
q
q
q
q
q
q
q
q q
q
q
q
q
q
q
q
q
q
q
q
q
q
q
q
qq
q
q q
qq
qq
q
q
q
q
q
q
q
q
q
q
q
q
q
q
q
q
q
q
q
q
q
q
q
q
q
q
q
q q
q
q
q q
q
q
q
q
q
q
q
q
q
q
q
q
q
q
q
q
q
qq
q
q
q
q
q
q
q
q
q
q
q
q
q
q
q
q
q
q
q
q
1000 1050 1100 1150
generation
q 0
q 10
q 20
q 30
value1_50.0 x value2_50.0, ext.iter.=7
value1_50.0
value2_50.0
1210
1220
1230
1240
1250
1260
q
q
q
q
q
q
q
q
q
q
q
q
q
q
q
q
q
q
q
q
q
q
q
q
q
q
q
q
q
q
qq
q
q
q
q q
qq
qq
qq
q
q
q
q
q qq
q
q
q
qqq
q q
q
q
q
q
q
q
q
q
qq
q
q
q
q
q
q
q
q
q
q
q
q
q
q
q
q
q
q
qq q
qq
q
q
q
q
q
q
q
q
q
q
q
q
q
q
q
q
q
q
q
q
q
q
q
q
q
q
q
q
q
1140 1160 1180 1200 1220
generation
q 0
q 10
q 20
q 30
Figure 5.5: Changes in the population
DM Choice, ext.iter.=0
value1_50.0
value2_50.0
700
750
800
850
q
q
q
q
q
q
q
q
q
q
q
q
q
q
q
q
q
q
q
q
q
q
q
q
q
q
q
q
q
q
700 750 800 850 900
good
q
0
q 1
DM Choice, ext.iter.=2
value1_50.0
value2_50.0
980
1000
1020
1040
q
q
q
qq
q
q
q
q
q
q
q
q
q
q
q
q
q
q
q
q
q
q
q
q
q
q
q
q
q
1000 1020 1040 1060 1080 1100
good
q
0
q 1
DM Choice, ext.iter.=6
value1_50.0
value2_50.0
1210
1220
1230
1240 q
q
q
q
q
q
q
q
q
q
q
q
q
q
q
q
q
q
q
q
q
q
q
q
q
q
q
q
q
q
1140 1160 1180 1200
good
q
0
q 1
Figure 5.6: Choices made by the DM in exterior loop
Utility/Individual, ext.iter.=1
individual
utility
2200
2400
2600
2800
q
q
q q
q q
q
q q
q
q q q q q q q q
q
q q q q q q q
q
q q
q
q q q q q q q q q q q q
q q q
q q
q q q q
q q q q
q q q q q
q
q q q q q q
q q
q q q q q
q q q
q
q q q q q
q q q q q q q
q
q q q q q
q
q q
q q
q q
q q q
q q
q q q
q
q q q
q q q q
q
5 10 15 20 25 30
generation
q 0
q 10
q 20
q 30
Primary/Individual, ext.iter.=1
individual
primary
0.0
0.2
0.4
0.6
q q q q q q q q q q q q q q q q q q q q q q q q q q q
q q qq q q q q q q q q q q q q q q q q q q q q q q q q q q q q qq q q q q q q q q q q q q q q q q q q q q q q q q q q q q qq q q q q q q q q q q q q q q q q q q q q q q q q q q q q q
5 10 15 20 25 30
generation
q 0
q 10
q 20
q 30
Figure 5.7: Population advancing through the generations of interior loop
Utility/Individual, ext.iter.=3
individual
utility
3000
3100
3200
3300
3400
q
q q q
q q
q q
q
q
q
q q
q q
q
q
q q q q
q
q q
q q
q
q q q
q q q q q q q
q q q q q q q q q q q q q q q q q q q
q
q
q
q
q
q q
q q
q q q q
q q q q q q
q q q
q q q
q
q q
q q
q q
q q
q
q
q q q
q q q q q
q q q q q
q
q
q q
q
q
q q q q q q q q
q
5 10 15 20 25 30
generation
q 0
q 10
q 20
q 30
Primary/Individual, ext.iter.=3
individual
primary
0.0
0.2
0.4
0.6
q q q q q q q q q q q q q q q q q q q q q q q q q q q
q q qq q q q q q q q q q q q q q q q q q q q q q q q q q q q q qq q q q q q q q q q q q q q q q q q q q q q q q q q q q q qq q q q q q q q q q q q q q q q q q q q q q q q q q q q q q
5 10 15 20 25 30
generation
q 0
q 10
q 20
q 30
Figure 5.8: Population advancing through the generations of interior loop
Utility/Individual, ext.iter.=7
individual
utility
3550
3600
3650
3700
3750
q
q
q
q
q
q
q
q q q q
q q q q q q
q q q
q
q
q q q q
q
q q
q
q q q q q q q
q q q q q q q q q q q q q q q q q q q
q q q q
q q q q q q q q q q q q q q q q q
q q q q q q
q q
q q q q q
q q q q q q q q
q q q q q q q q q q q q q q q q
q q q q q
q
5 10 15 20 25 30
generation
q 0
q 10
q 20
q 30
Primary/Individual, ext.iter.=7
individual
primary
0.0
0.5
1.0
1.5
q q q q q q q q q q q q q q q q q q q q q
q
q q q q q
q q
q
q
q
q q q q q q q q q q q q q q q q q q q q q q q q q q q qq q q q q q q q q q q q q q q q q q q q q q q q q q q q q qq q q q q q q q q q q q q q q q q q q q q q q q q q q q q q
5 10 15 20 25 30
generation
q 0
q 10
q 20
q 30
Figure 5.9: Population advancing through the generations of interior loop
5.4 A deterministic case 45
5.4.2 The computational performance on exemplary problems
It is important to know what performance can be expected from an algorithm. When no uncertainty
is considered in a problem and one assumes the supposed utility function, then it is easy to get the
optimal solution using linear programming solver. Of course in real-world applications the supposed
utility function is not known a priori. One can test this algorithm in such an artificially created
environment and then assume that the behavior will resemble the one in real-world problems.
Results of the evaluation on the following problems are given:
• Two-criteria binary knapsack problem, optimal value = 4154.441453.
• Two-criteria continuous knapsack problem, optimal value = 32700.41689.
• Three-criteria binary knapsack problem, optimal value = 31502.10927.
• Three-criteria DTLZ problem generated using constraint surface approach, optimal value
= −1.1.
The tests were repeated at least fifteen times and the results averaged. They are presented in
Figure 5.10 and Table 5.1. Depending on a problem 10 or 20 iterations of the exterior loop were
simulated. Normally it would be up to the DM to stop when he or she is satisfied with the solution.
However, one can safely assume that if no satisfactory solution is found up to the 10th iteration,
the decision maker will not want to investigate the problem with this method any further.
On both binary knapsack problems the performance is very good — they are not further than
10% away from the optimal solution after the 10th iteration. The same is true for the surface
problem. However, looking at the Figure 5.10d one can see a bizarre phenomenon — the supposed
utility is falling down in a few runs.
On the other hand, the evolutionary algorithm knows nothing about the utility function so
it may happen. The chart (Figure 5.10d) was generated using aggregated (averaged) results,
however this happened in most of the runs. To give a further insight charts showing evolution in
a third exterior loop are presented (not that the charts are for a single run only, not aggregated).
The charts are in figures 5.11 and 5.12. As one can see the evolutionary algorithm improves the
population from its perspective (the primary score factor). However, supposed utility function is
being lowered in the process.
This is the case because generated decision rules:
1. f1 ≤ 0.14033 ⇒ class ≥ GOOD
2. f3 ≤ 0.56462 ⇒ class ≥ GOOD
are not selective enough. It is possible that switching DomLem to another algorithm — generating
all possible rules instead of a minimal set would help here. Still the results achieved by the
DARWIN method are good on this problem.
On the contrary, continuous knapsack problem performs extremely poor — only 55% of the
optimum after the 10th run and 58%, so almost no improvement, after the 20th. Investigating
single runs at length provided no more details. The problem lies in the evolutionary algorithm,
more precisely in its crossover operator. In the DARWIN method a from of the distance preserving
crossover is used. The form where a child is somewhere in between its parents. However, in
continuous variant it is usually the case to take items one-by-one starting with the one with the
greatest value per unit until the weight constraint is reached.
Considering the constraints (∀xi∈items : 0 ≤ xi ≤ 1) — most of the individuals will have their
decision variables in the form of xi ≈ 0.5 after a few generations. But for the optimal solutions
most of the variables take either 1 or 0. That is why improvement is happening so slowly here.
Relying on the author’s intuition changing the crossover operator would solve the problem with
continuous knapsack. Choosing the right operator for a given problem is a well-known subject in
the multi-objective optimization ([3]). However, it is out-of-scope of this paper.
knapsack_bin_c2
external iteration
value_mean
3000
3200
3400
3600
3800
4000
q
q
q
q
q
q
q
q
q
q
2 4 6 8 10
knapsack_cont_c2
external iteration
value_mean
18000
20000
22000
24000
26000
28000
30000
32000
q q q q q q q q q q q q q q q q q q q q
5 10 15 20
knapsack_bin_c3
external iteration
value_mean
20000
22000
24000
26000
28000
30000
q
q
q
q
q
q
q
q
q
q
q
q
q
q
q
q
q
q q q
5 10 15 20
dtlz_surface_c3
external iteration
value_mean
−1.20
−1.18
−1.16
−1.14
−1.12
−1.10
q
q
q
q
q
q
q
q
q
q
2 4 6 8 10
Figure 5.10: Performance comparison
UtilGen, ext.iter.=3
generation
value
−3.0
−2.5
−2.0
−1.5
q q
q q
q
q
q
q
q
q
q
q q
q
q q
q q
q
q
q q q
q q
q q q q
q
q
q
q q
q
q q
q
q q q q q q q q
q q q q q q
q q
q
q q q
q q
q
q
q q q q q q q q q q q q q q q q
q q q q q q q q q q q q q q q
0 5 10 15 20 25 30
result_value
q mean
q min
q max
PrimaryScoreGen, ext.iter.=3
generation
value
0.0
0.5
1.0
1.5
q
q
q
q
q
q
q q q q q q
q
q
q
q
q q q q q q q q q q q q q q q
q
q q q q
q
q q q q q q q q q
q
q q q q
q
q q q q q q q q q q
q q q q q q q q q q q q
q q q q q q q q q q q q q q q q q q q
0 5 10 15 20 25 30
result_value
q mean
q min
q max
Figure 5.11: The population in the third iteration of the exterior loop. DTLZ surface problem.
Utility/Individual, ext.iter.=3
individual
utility
−3.0
−2.5
−2.0
−1.5
q
q
q q
q q q q
q
q q q q q q q q q q q q q q q q q q q q q
q
q q
q q
q q
q
q q q q
q
q q q q q
q q
q
q q q
q q
q
q q
q
q
q
q q
q q q q q
q q q
q q q q q q q
q
q q q q q
q
q
q q q
q q q
q q
q
q q
q
q q
q
q
q q
q q
q q q
q q q q
q q q
q q
q
5 10 15 20 25 30
generation
q 0
q 10
q 20
q 30
Primary/Individual, ext.iter.=3
individual
primary
0.0
0.5
1.0
1.5
q q q q q q q
q q
q q q q q q q q q q q q q q q q q q
q q
q
q q q q q q q q q q q q q q q q q q q q q q q q q q q q q
qq
q q q q q q q q q q q q q q q q q q q q q q q q q q q q qq q q q q q q q q q q q q q q q q q q q q q q q q q q q q q
5 10 15 20 25 30
generation
q 0
q 10
q 20
q 30
Figure 5.12: The population in the third iteration of the exterior loop. DTLZ surface problem
5.4 A deterministic case 49
Exterior loop Knapsack bin 2c Knapsack cont 2c Knapsack bin 3c DTLZ surface 3c
1. 30.52% 46.79% 36.85% 7.82%
2. 23.84% 46.66% 30.77% 4.40%
3. 18.61% 46.49% 25.80% 6.79%
4. 15.96% 46.32% 20.99% 5.38%
5. 13.73% 46.16% 17.12% 5.08%
6. 12.02% 45.97% 13.57% 10.15%
7. 10.59% 45.74% 11.28% 8.33%
8. 9.20% 45.51% 9.78% 7.64%
9. 8.05% 45.29% 8.50% 5.49%
10. 7.03% 45.06% 7.22% 8.24%
11. - 44.85% 6.47% -
12. - 44.62% 5.70% -
13. - 44.38% 5.15% -
14. - 44.17% 4.67% -
15. - 43.94% 4.17% -
16. - 43.70% 3.77% -
17. - 43.46% 3.43% -
18. - 43.25% 3.12% -
19. - 43.02% 2.94% -
20. - 42.81% 2.77% -
Table 5.1: Distance from the optimum solution
For completeness charts presenting the algorithm behavior when more exterior loop iterations
are allowed are given (Figure 5.13, Table 5.2). After the twentieth loop improvements are small (if
any). In author’s opinion this is a good thing because there is no reason not to stop the algorithm.
If the algorithm works well on a problem it will be evident from the first few iterations.
knapsack_bin_c2
external iteration
value_mean
3000
3200
3400
3600
3800
4000
q
q
q
q
q
q
q
q
q
q
q
q
qq
q
q
qqqqq
qqqqq
qqqqqqqqqqqqqqqqqqqqqqqqqqqqqqqqqqqqqqqqqqqqqqqqqqqqqqqqqqqqqqqqqqqqqqqqqq
20 40 60 80 100
knapsack_bin_c3
external iteration
value_mean
20000
22000
24000
26000
28000
30000
q
q
q
q
q
q
q
q
q
q
q
q
q
q
qqqq
q
qqqqqqqqqqqqqqqqqqqqqqqqqqqqqqqqqqqqqqqqqqqqqqqqqqqqqqqqqqqqqqqqqqqqqqqqqqqqqqqqq
20 40 60 80 100
dtlz_surface_c3
external iteration
value_mean
−1.30
−1.25
−1.20
−1.15
−1.10
q
q
q
q
q
q
q
q
q
q
q
q
q
q
q
q
q
q
q
q
q
q
q
q
q
q
q
q
qq
q
q
q
q
q
q
q
qq
q
q
q
q
q
q
q
q
q
q
q
q
q
q
q
q
q
q
q
q
q
q
q
q
q
q
q
q
q
qq
q
q
q
q
q
q
q
q
q
q
q
q
q
qq
q
q
q
q
qq
qqq
q
q
q
q
q
q
20 40 60 80 100
Figure 5.13: Supposed utility function when long runs are allowed
Exterior loop Knapsack bin 2c Knapsack bin 3c DTLZ surface 3c
1 31.08% 37.48% 14.05%
5 13.59% 17.42% 1.22%
10 7.33% 6.48% 7.19%
15 4.72% 3.39% 7.43%
20 3.70% 2.33% 6.00%
25 3.11% 2.02% 12.06%
30 3.05% 1.75% 1.05%
35 2.99% 1.56% 9.93%
40 3.05% 1.73% 16.83%
45 2.91% 1.58% 11.93%
50 2.94% 1.49% 18.44%
55 2.94% 1.65% 14.70%
60 3.15% 1.70% 14.55%
65 3.13% 1.69% 1.61%
70 3.14% 1.60% 1.16%
75 3.34% 1.60% 8.86%
80 3.31% 1.71% 2.07%
85 3.41% 1.66% 1.15%
90 3.22% 1.62% 7.24%
95 3.45% 1.59% 4.85%
100 3.66% 1.71% 3.34%
Table 5.2: Distance from the optimum solution when long runs are allowed
52 5 Results of Computational Experiments
5.4.3 The influence of parameters on the method
The algorithm itself contains many parameters that can potentially affect its behavior. Of course it
is always left to the analyst to fine-tune the parameters for a specific problem to solve. Nevertheless
in this section some guidelines will be given. Conclusions were drawn on the basis of experiments
performed on exemplary problems described above.
The parameters were grouped into two categories — basic ones affecting the whole method and
additional ones of less importance. The latter, however, can be used for fine-tuning to specific
problem given.
The author considers the basic parameters to be:
• Number of generation in the evolutionary loop — intuitively the more the better.
• Number of individuals in the population — again intuitively the more the better.
Numerical data are presented in Table 5.3 and 5.4. The results are also shown in charts
(Figure 5.14, 5.15, 5.16 and 5.17). This agrees with the intuition. More solutions (individuals in
the population) and longer interior loop (more generations) will result in a better value of supposed
utility for all the problems.
The other parameters are:
• Delta (δ) — decay of a rule weight.
• Eta (η) — initial mutation probability.
• Gamma (γ) — coefficient of elitism.
• Omega (ω) — decay rate of the mutation.
They are used in the interior loop (see 3.3).
There is no clear pattern through the problems. In general changing the other parameters has
only a minor influence on the algorithm. This is a good thing, because the solution given to the DM
is robust with respect to those parameters. However, analyst should try to tune the parameters
on a problem basis.
5.4.4 DM’s decisions inconsistent with supposed utility function
In the experiments the decision maker was simulated by a computer algorithm. Its choices were
based on the assumed supposed utility function. They were repeatable and always complying with
the assumed function. This is not the case in a real-world situation where the DM is a human
being and the supposed utility function is not known. His or her decisions will be noisy, not the
best, sometimes even contradictory.
For this reason it is important to measure the impact of a “noise”, inconsistencies in the DM’s
choices, on the algorithm. Normally, without introducing artificial inconsistencies the decisions are
carried as follows:
Knapsack bin 2c Knapsack cont 2c
test mean sd improvement mean sd improvement
base 3870.72 45.73 0.00% 17968.94 451.61 0.00%
generation45 3958.75 34.14 2.27% 18072.44 635.22 0.58%
generation60 3995.55 32.71 3.22% 18366.65 397.56 2.21%
solution45 3937.89 26.11 1.74% 17950.64 609.37 -0.10%
solution60 3924.30 44.31 1.38% 18341.43 325.21 2.07%
Table 5.3: Importance of base parameters
Test summary
exterior_iteration
utility_mean
3000
3200
3400
3600
3800
q
q
q
q
q
q
q
q
q
q
q
q
q
q
q
q
q
q
q
q
q
q
q
q
q
q
q
q
q
q
q
q
q
q
q
q
q
q
q
q
q
q
q
q
q
q
q
q
q
q
2 4 6 8 10
test
q base
q generation45
q generation60
q solution45
q solution60
Test summary, ext.iter.=10
test
utility
3800
3850
3900
3950
4000
4050
base
generation45
generation60
solution45
solution60
Figure 5.14: Basic parameters for the two-criteria binary knapsack problem
Test summary
exterior_iteration
utility_mean
17500
18000
18500
19000
q
q
q
q
q
q
q
q
q
q
q
q
q
q
q
q
q
q
q
q
q
q
q
q
q
q
q
q
q
q
q
q
q
q
q
q
q
q
q
q
q
q
q
q
q
q
q
q
q
q
q
q
q
q
q
q
q
q
q
q
q q
q
q
q
q
q
q
q
q
q
q
q
q
q
q
q
q
q
q
q
q
q
q
q
q
q
q
q
q
q
q
q
q
q
q
q
q
q
q
5 10 15 20
test
q base
q generation45
q generation60
q solution45
q solution60
Test summary, ext.iter.=10
test
utility
17000
17500
18000
18500
19000
19500
q
q
q
base
generation45
generation60
solution45
solution60
Figure 5.15: Basic parameters for the two-criteria continuous knapsack problem
Test summary
exterior_iteration
utility_mean
20000
22000
24000
26000
28000
30000
q
q
q
q
q
q
q
q
q
q
q
q
q
q
q
q
q
q q q
q
q
q
q
q
q
q
q
q
q
q
q q
q
q q q q q q
q
q
q
q
q
q
q
q
q
q
q
q q q q q q q q q
q
q
q
q
q
q
q
q
q
q
q
q
q
q
q
q q q q q
q
q
q
q
q
q
q
q
q
q
q
q
q
q
q q q q q q
5 10 15 20
test
q base
q generation45
q generation60
q solution45
q solution60
Test summary, ext.iter.=10
test
utility
29000
29500
30000
30500
q
q
base
generation45
generation60
solution45
solution60
Figure 5.16: Basic parameters for the three-criteria binary knapsack problem
Test summary
exterior_iteration
utility_mean
−1.15
−1.14
−1.13
−1.12
−1.11
q
q q
q
q
q
q
q
q
q
q
q
q
q
q
q
q
q
q
q
q
q
q
q
q
q
q
q
q
q
q
q
q
q
q
q
q
q
q
q
q
q
q
q
q
q
q
q
q
q
2 4 6 8 10
test
q base
q generation45
q generation60
q solution45
q solution60
Test summary, ext.iter.=10
test
utility
−1.14
−1.13
−1.12
−1.11
q
q
q
q
q
q
q
q
base
generation45
generation60
solution45
solution60
Figure 5.17: Basic parameters for the three-criteria DTLZ surface problem
Test summary, ext.iter.=10
test
utility
3650
3700
3750
3800
3850
3900
3950
q
q
q
q
q
q
q
q
q
base
delta_001
delta_005
delta_015
delta_020
delta_040
delta_060
eta_01eta_03eta_07eta_09gam
m
a_10
gam
m
a_15
gam
m
a_25
gam
m
a_30
gam
m
a_50
om
ega_001
om
ega_005
om
ega_015
om
ega_020
om
ega_040
om
ega_060
(a) Two-criteria binary knapsack
Test summary, ext.iter.=10
test
utility
17000
17500
18000
18500
19000
q
q
q
q
q
q
base
delta005delta015delta020delta040eta01
eta03
eta07
gam
m
a10gam
m
a15gam
m
a25gam
m
a30om
ega005om
ega015om
ega020om
ega040
(b) Two-criteria continuous knapsack
Test summary, ext.iter.=10
test
utility
28500
29000
29500
30000
q
q
q
q
base
delta005delta015delta020delta040eta01
eta03
eta07
gam
m
a10gam
m
a15gam
m
a25gam
m
a30om
ega005om
ega015om
ega020om
ega040
(c) Three-criteria binary knapsack
Test summary, ext.iter.=10
test
utility
−1.24
−1.22
−1.20
−1.18
−1.16
−1.14
−1.12
●
●●
●
●
●
●
●
●
●
●
●
●
●
●
●●
●
●
●
●
●
●
●
●
●
base
delta005delta015delta020delta040eta01
eta03
eta07
gam
m
a10gam
m
a15gam
m
a25gam
m
a30om
ega005om
ega015om
ega020om
ega040
(d) DTLZ surface problem
Figure 5.18: Other parameters’ influence
56 5 Results of Computational Experiments
Knapsack bin 3c DTLZ surface 3c
test mean sd improvement mean sd improvement
base 29236.10 355.30 0.00% -1.19 0.14 0.00%
generation45 29923.32 263.40 2.35% -1.17 0.08 -1.73%
generation60 30412.27 225.15 4.02% -1.14 0.05 -4.61%
solution45 29642.44 362.47 1.39% -1.12 0.03 -5.71%
solution60 29681.42 489.78 1.52% -1.14 0.11 -4.11%
Table 5.4: Importance of base parameters
Algorithm 4 Simulated DM indicating “good” solutions
1: procedure SelectGoodSolutions(solutions, toSelect)
2: solutions — a list of solutions generated in the interior loop
3: toSelect — how many solutions should be marked as “good”
4: for all s ∈ solutions do
5: s.value ← SupposedUtilityFunction(s)
6: end for
7: solutions ← Sort(key=value, descending=True)
8: Sort solutions on descending supposed utility
9: return GetFirst(solutions, toSelect)
10: end procedure
and the toSelect parameter is set to 3 so always three solutions are marked as good. One can
influence the behavior of SelectGoodSolutions by changing the toSelect parameter. But this
is not enough to simulate human-made inconsistencies.
First, note that one do not have to always select the same number of solutions. In fact, this
is unrealistic because the decision maker will select as many solutions as he or she will think
are appropriate. To simulate this behavior an additional parameter was added — toSelectDelta.
Now the number of solutions to be selected are taken from [toSelect − toSelectDelta, toSelect +
toSelectDelta] with uniform distribution.
Furthermore, the human decision maker is fallible. He or she can make a wrong decision and
not select the best solutions according to the supposed utility function. Another parameter was
introduced to simulate this phenomenon — noiseLimit. After sorting the solutions on the basis of
the supposed utility value the individuals 1, 2, . . . , noiseLimit are shuffled. Supposing one wants to
select three solutions. If the noiseLimit parameter is set to 0 (the default) three best solutions will
be selected. However, if an experimenter sets the noiseLimit to 6, then 3 out of 6 best solutions
will be picked by random.
The noisy version of the algorithm 4 is shown below.
Algorithm 5 Simulated DM indicating “good” solutions
1: procedure NoisySelectGoodSolutions(solutions, toSelect, toSelectDelta, noiseLimit)
2: for all s ∈ solutions do
3: s.value ← SupposedUtilityFunction(s)
4: end for
5: solutions ← Sort(key=value, descending=True)
6: shuffled ← ShuffleFirst(solutions, noiseLimit)
7: toSelect ← RandomFromInterval(toSelect − toSelectDelta, toSelect + toSelectDelta)
8: return GetFirst(shuffled, toSelect )
9: end procedure
Following tests were performed:
5.4 A deterministic case 57
Parameter no noise noise1 noise2 noise3 noise4 noise5 noise6
toSelect 3 3 3 3 5 3 3
toSelectDelta 0 2 2 2 4 4 2
noiseLimit 0 0 2 4 6 10 16
Note that noise1 to noise4 are rather minor ones, noise5 represents medium inconsistencies and
finally noise6 is a big one, unlikely to happen in practice — half of the solutions are considered
good. If the decision maker is careful in his or her evaluations, the algorithm will probably have
to face a noise between 1 and 4.
The results for the exemplary problems are shown in the charts below (Figure 5.19, 5.20 and
5.21). Inconsistency tests for the continuous knapsack are omitted — the algorithm performs badly
even without additional noise.
Results of the DTLZ surface problem (Table 5.5, 5.6 and Figure5.21) are inconclusive. This
is because of the behavior described in section 5.4.2 — the decision rules are not discriminating
enough so that often the utility value drops between the interior loops. This can be seen as a form
of noise with even bigger impact than the one tested here, so it obscures results for this particular
problem.
For the other problems however — binary knapsacks (Figure 5.19 and 5.20) the results are
clear. Minor inconsistencies make almost no harm to the results, while medium and major have
only a small impact — the value has decreased less than 5% after ten iterations. This means that
the solution generated by DARWIN is robust with respect to the inconsistencies in the decision
maker’s choices. Even with the major inconsistencies the algorithm is able to provide the same
results, however a few iterations later.
test mean sd improvement
base 3867.66 37.12 0.00%
noise1 3863.02 42.34 -0.12%
noise2 3862.67 35.92 -0.13%
noise3 3854.10 46.61 -0.35%
noise4 3833.94 44.61 -0.87%
noise5 3814.34 50.59 -1.38%
noise6 3767.85 46.63 -2.58%
Table 5.5: The impact of DM’s inconsistencies on knapsack bin 2c
test mean sd improvement
base 29236.10 355.30 0.00%
noise1 29228.82 339.02 -0.02%
noise2 29063.68 422.31 -0.59%
noise3 28903.57 388.95 -1.14%
noise4 28855.74 253.07 -1.30%
noise5 28352.64 398.55 -3.02%
noise6 28163.63 383.71 -3.67%
Table 5.6: The impact of DM’s inconsistencies on knapsack bin 3c
Test summary
exterior_iteration
utility_mean
3000
3200
3400
3600
3800
4000
q
q
q
q
q
q
q
q
q
q
q
q
q
q
q
q q
q
q q q
q q q q q q q q q
q
q
q
q
q
q
q
q
q
q
q
q
q
q
q
q
q q q
q
q q q q q q q q q q
q
q
q
q
q
q
q
q
q
q
q
q
q
q
q
q q q
q
q q q q q q q q q q q
q
q
q
q
q
q
q
q
q
q
q
q
q
q
q
q
q q
q q q q q q q q q q q q
q
q
q
q
q
q
q
q
q
q
q
q
q
q
q
q q
q
q
q q q q q q q q q q q
q
q
q
q
q
q
q
q
q
q
q
q
q
q
q
q
q
q
q q q q q q q q q q q q
q
q
q
q
q
q
q
q
q
q
q
q
q
q
q
q
q
q
q
q
q q q
q q q q q q q
5 10 15 20 25 30
test
q base
q noise1
q noise2
q noise3
q noise4
q noise5
q noise6
Test summary, ext.iter.=10
test
utility
3700
3750
3800
3850
3900
3950
q
q
q
q
q
q
base
noise1
noise2
noise3
noise4
noise5
noise6
Figure 5.19: The impact of DM’s inconsistencies for the two-criteria binary knapsack problem
Test summary
exterior_iteration
utility_mean
20000
22000
24000
26000
28000
30000
q
q
q
q
q
q
q
q
q
q
q
q
q
q
q
q
q
q q q
q
q
q
q
q
q
q
q
q
q
q
q
q
q
q
q q q q q
q
q
q
q
q
q
q
q
q
q
q
q
q
q
q
q
q q q q
q
q
q
q
q
q
q
q
q
q
q
q
q
q
q
q
q q q
q
q
q
q
q
q
q
q
q
q
q
q
q
q
q
q
q q q q q
q
q
q
q
q
q
q
q
q
q
q
q
q
q
q
q
q
q
q
q
q
q
q
q
q
q
q
q
q
q
q
q
q
q
q
q
q q
q q
5 10 15 20
test
q base
q noise1
q noise2
q noise3
q noise4
q noise5
q noise6
Test summary, ext.iter.=10
test
utility
27500
28000
28500
29000
29500
30000
q
q
q
q
q
base
noise1
noise2
noise3
noise4
noise5
noise6
Figure 5.20: The impact of DM’s inconsistencies for the three-criteria binary knapsack problem
Test summary
exterior_iteration
utility_mean
−1.20
−1.18
−1.16
−1.14
−1.12
q
q q
q
q
q
q
q
q
q
q
q
q
q
q
q
q
q q
q
q
q
q
q
q
q
q
q
q
q
q
q
q
q
q
q
q
q
q
q
q
q
q
q
q
q
q
q
q
q
q
q
q
q
q
q q
q
q
q
2 4 6 8 10
test
q base
q noise2
q noise3
q noise4
q noise5
q noise6
Test summary, ext.iter.=10
test
utility
−1.45
−1.40
−1.35
−1.30
−1.25
−1.20
−1.15
q
qq
q
q
q
q
q
q
q
q
q
base
noise2
noise3
noise4
noise5
noise6
Figure 5.21: The impact of DM’s inconsistencies for the three-criteria DTLZ surface problem
test mean sd improvement
base -1.19 0.14 0.00%
noise2 -1.16 0.05 2.65%
noise3 -1.21 0.15 -1.46%
noise4 -1.14 0.04 3.88%
noise5 -1.28 0.17 -7.66%
noise6 -1.21 0.11 -1.75%
Table 5.7: The impact of DM’s inconsistencies on DTLZ surface 3c
60 5 Results of Computational Experiments
5.4.5 A different rule-generating algorithm
Details of a rule-generating algorithm is not part of the DARWIN specification. The choice of the
algorithm is left to the one implementing DARWIN. In this paper two approaches were evaluated
— the DomLem algorithm (see [16]) generating a minimal set of rules and the AllRules algorithm
(see [17]) generating an extensive set of all rules.
One can lower confidence of the rules generated in the DomLem algorithm (compare with 2.3).
100% confidence may seem a good idea; however, lowering it would allow more gradual improve-
ments of the goal function in the evolutionary algorithm which could lead to better results. Values
60% and 80% were tested. In the tests conducted earlier it was assumed that the decision maker
selects only a few solutions. In this section it is also compared with marking half of the solutions
as good.
The results are presented in tables 5.8 and 5.9 and figures 5.22, 5.23, 5.24 and 5.25. When no
uncertainty is considered, DomLem performs better than AllRules and it is better to select three
solutions than fifteen — a half. Confidence however yields an interesting result — the algorithm
is robust with respect to confidence.
Knapsack bin 2c Knapsack cont 2c
algorithm good count mean sd improvement mean sd improvement
domlem 3 3909.94 47.17 0.00% 17939.27 700.25 0.00%
domlem 15 3773.55 53.12 -3.49% 17487.98 302.36 -2.52%
domlem conf 0.6 15 3783.62 46.17 -3.23% 17505.49 334.11 -2.42%
domlem conf 0.8 15 3764.69 58.01 -3.71% 17555.32 402.22 -2.14%
allrules 3 3865.25 31.93 -1.14% 17886.14 392.01 -0.30%
allrules 15 3804.01 43.96 -2.71% 17517.90 419.92 -2.35%
Table 5.8: Impact of the rule-generating algorithm on DARWIN
Knapsack bin 3c Surface 3c
algorithm good count mean sd improvement mean sd improvement
domlem 3 29282.28 227.33 0.00% -1.22 0.13 0.00%
domlem 15 27789.61 538.01 -5.10% -1.25 0.11 3.00%
domlem conf 0.6 15 28161.34 610.84 -3.83% -1.20 0.10 -1.02%
domlem conf 0.8 15 27775.05 336.66 -5.15% -1.21 0.14 -0.17%
allrules 3 29144.99 293.66 -0.47% -1.13 0.04 -7.47%
allrules 15 27979.16 772.90 -4.45% -1.24 0.11 1.73%
Table 5.9: Impact of the rule-generating algorithm on DARWIN
Test summary
exterior_iteration
utility_mean
3000
3200
3400
3600
3800
4000
q
q
q
q
q
q
q
q
q
q
q
q
q
q
q
q q
q q
q
q
q
q
q
q
q
q
q
q
q
q
q
q
q
q q q q
q
q
q
q
q
q
q
q
q
q
q
q
q
q
q
q
q q
q
q
q
q
q
q
q
q
q
q
q
q
q
q
q
q
q
q
q q
q
q
q
q
q
q
q
q
q
q
q
q
q
q
q
q
q q
q
q
q
q
q
q
q
q
q
q
q
q
q
q
q
q q q q
q
5 10 15
test
q allrules_15
q allrules_3
q domlem_15
q domlem_15_conf06
q domlem_15_conf08
q domlem_3
Test summary, ext.iter.=10
test
utility
3700
3750
3800
3850
3900
3950
4000
allrules_15
allrules_3
dom
lem
_15
dom
lem
_15_conf06
dom
lem
_15_conf08
dom
lem
_3
Figure 5.22: Rule-generating algorithms comparison for the two-criteria binary knapsack prob-
lem
Test summary
exterior_iteration
utility_mean
17200
17400
17600
17800
18000
18200
18400
q
q
q
q
q
q
q
q
q
q
q
q
q
q
q
q
q
q
q
q
q
q
q
q
q
q
q
q
q
q
q
q
q
q
q
q
q
q
q
q
q
q
q
q
q
q
q
q
q
q
q
q
q
q
q
q
q
q
q
q
q
q
q
q
q
q
q
q
q
q
q
q
q
q
q
q
q
q
q
q
q
q
q
q
q
q
q
q
q
q
q
q
q
q
q
q
q
q
q
q
q
q
q
q
q
q
q
q
q
q
q
q
q
q
5 10 15
test
q allrules_15
q allrules_3
q domlem_15
q domlem_15_conf06
q domlem_15_conf08
q domlem_3
Test summary, ext.iter.=10
test
utility
17000
17500
18000
18500
19000
q
q
q
allrules_15
allrules_3
dom
lem
_15
dom
lem
_15_conf06
dom
lem
_15_conf08
dom
lem
_3
Figure 5.23: Rule-generating algorithms comparison for the two-criteria continuous knapsack
problem
Test summary
exterior_iteration
utility_mean
20000
22000
24000
26000
28000
30000
q
q
q
q
q
q
q
q
q
q
q
q
q
q
q
q q q q
q
q
q
q
q
q
q
q
q
q
q
q
q
q
q q
q q q
q
q
q
q
q
q
q
q
q
q
q
q
q
q
q
q
q
q
q
q
q
q
q
q
q
q
q
q
q
q
q
q
q
q
q
q
q
q
q
q
q
q
q
q
q
q
q
q
q
q
q
q
q
q
q
q
q
q
q
q
q
q
q
q
q
q
q
q
q
q
q
q
q q
q
q
5 10 15
test
q allrules_15
q allrules_3
q domlem_15
q domlem_15_conf06
q domlem_15_conf08
q domlem_3
Test summary, ext.iter.=10
test
utility
27000
27500
28000
28500
29000
29500
q
q q
q
allrules_15
allrules_3
dom
lem
_15
dom
lem
_15_conf06
dom
lem
_15_conf08
dom
lem
_3
Figure 5.24: Rule-generating algorithms comparison for the three-criteria binary knapsack prob-
lem
Test summary
exterior_iteration
utility_mean
−1.35
−1.30
−1.25
−1.20
−1.15
−1.10
−1.05
q
q
q
q
q
q
q
q
q
q
q
q
q
q
q q
q
q
q
q
q
q q
q
q
q
q
q
q
q
q
q
q
q
q
q
q q
q
q
q
q
q
q
q
q
q
q
q
q
q
q
q
q
q
q
q
q
q
q
q
q
q
q q q
q
q q
q
q
q
q q
q
q
q
q
q
q
q
q
q
q q
q
q q
q
q
q
q
q
q
q
q q
q
q
q q q q
q
q
q
q q
q
q
q
q
q
q
5 10 15
test
q allrules_15
q allrules_3
q domlem_15
q domlem_15_conf06
q domlem_15_conf08
q domlem_3
Test summary, ext.iter.=10
test
utility
−1.40
−1.35
−1.30
−1.25
−1.20
−1.15
q
q
q
q
allrules_15
allrules_3
dom
lem
_15
dom
lem
_15_conf06
dom
lem
_15_conf08
dom
lem
_3
Figure 5.25: Rule-generating algorithms comparison for the three-criteria DTLZ surface problem
5.4 A deterministic case 63
5.4.6 The best results
One may be interested in the best performances achieved during the experiment runs. The results
are presented in Table 5.10 and in Figure 5.26. All the test problems performed extremely well and
the distance from the optimal solution is minimal. For the reasons mentioned above the continuous
knapsack problem is an exception and its performance is not satisfactory. Changing a crossover
operator should immensely improve the results.
The settings resulting in these performances are presented in Table 5.11. It is worth noting that
when no uncertainty is considered, selecting only three solutions in each exterior loop iteration leads
to the best results. Also in three out of four cases the DomLem algorithm is superior to AllRules.
Exterior loop Knapsack 2c bin Knapsack 2c cont Knapsack 3c bin Surface
1 28.33% 43.51% 31.94% 13.02%
2 21.48% 43.30% 27.72% 12.66%
3 14.99% 43.12% 23.10% 12.66%
4 11.16% 42.90% 19.54% 3.77%
5 9.91% 42.72% 15.64% 3.77%
6 9.82% 42.46% 12.38% 3.77%
7 8.04% 42.22% 10.43% 0.10%
8 6.83% 42.05% 8.76% 0.06%
9 4.84% 41.79% 6.98% 0.06%
10 3.69% 41.58% 6.19% 11.73%
11 3.19% 41.33% 5.01% 20.38%
12 2.56% 41.03% 4.50% 16.12%
13 2.55% 40.78% 3.63% 3.81%
14 2.55% 40.62% 3.60% 2.14%
15 2.55% 40.45% 3.00% 4.79%
16 2.69% 40.27% 2.81% 15.72%
17 2.69% 40.03% 2.74% 1.97%
18 2.61% 39.84% 2.32% 7.38%
19 2.41% 39.71% 1.84% 0.48%
Table 5.10: The best runs for the test problems. Distance from the optimum
Problem Algorithm Number of solutions marked as good
Knapsack 2c bin Domlem, consistency = 100% 3
Knapsack 2c cont Domlem, consistency = 100% 3
Knapsack 3c bin Domlem, consistency = 100% 3
Surface All rules 3
Table 5.11: Settings resulting in the best performance for the test problems
Supposed Utility
exterior_iteration
value
2500
3000
3500
4000
q
q
q
q
q
q
q
q
q
q
q
q q
q
q q
q
q
q
q
q
q
q
q q
q
q
q
q
q
q q q q q q q q
5 10 15
result_value
q min
q max
(a) Two-criteria binary knapsack
Supposed Utility
exterior_iteration
value
15000
20000
25000
30000
q
q
q q q q q q q q q q q q q q q q q
q q q q q q q q q q q q q q q q q q q
5 10 15
result_value
q min
q max
(b) Two-criteria continuous knapsack
Supposed Utility
exterior_iteration
value
15000
20000
25000
30000
q
q
q
q
q
q
q
q
q
q q
q
q q q
q
q q
q
q
q
q
q
q
q
q
q
q
q
q
q
q q
q q q q
q
5 10 15
result_value
q min
q max
(c) Three-criteria binary knapsack
Supposed Utility
exterior_iteration
value
−3.0
−2.5
−2.0
−1.5
q
q
q
q q q
q
q
q
q
q
q
q q
q
q
q
q
q
q
q
q
q q
q
q
q
q q q q
q
q q q q
q
q
5 10 15
result_value
q min
q max
(d) DTLZ surface problem
Figure 5.26: The best runs for the test problems
5.5 The case of uncertainty 65
5.5 The case of uncertainty
In the previous sections the algorithm’s results were analyzed. It was assumed that the problems
were well-specified with no room for uncertainty. It was a way to test the algorithm’s behavior
and to get the idea about its properties.
It is often impossible to specify the exact values of each coefficient in the problem. One may
want to specify some of the coefficients in the form of intervals of the possible values. Then he or
she is interested in a robust solution taking into account many possible scenarios of imprecision.
This is possible with the DARWIN method.
Now the tests performed earlier will be extended to “robust” problems — i.e.the ones with
interval coefficients. Note that now it is impossible to compare a result with the optimal solution,
even assuming the supposed utility function. However, a point of reference is needed in order to
know what performance can be expected from the method. The author decided to compare the
results with the supposed utility function optimization.
As a reference point for comparison result generated as follows was taken. The whole exterior
loop (see 3.3) is left intact but in the interior loop the goal function for evolutionary optimization
changes. Instead of optimization based on primary and secondary score the supposed utility
function is the one to be taken into account. This way it is possible to measure how well the DM’s
preferences are inferred by the DARWIN method. And the preference gathering is definitely the
most important and unique part of this method.
Like in previous sections all tests were repeated at least fifteen times and results were averaged
unless stated otherwise.
5.5.1 Single run analysis
Before evaluating performances on exemplary problems it is a good idea to analyze a single run
on a single problem. It can indicate interesting properties or potential problems of the algorithm.
The problem being evaluated is a two-criteria mix problem (this the problem presented at
the original DARWIN lecture given at 5th International Workshop on Preferences and Decisions,
Trento, April 2009). Note that although the problem has only two-criteria in its definition it has
to be considered in a space with more dimensions. This is because the supposed utility function is
defined not in the original two-criteria space (max profit, min time) but rather in a quantile space.
The function is defined as follows:
max : profit1%
+ 3 ∗ profit25%
+ 2 ∗ profit50%
− time1%
− 3 ∗ time25%
− 2 ∗ time50%
So the space has six dimensions: p1%
× p25%
× p50%
× t1%
× t25%
× t50%
; t is for time and p for
profit.
Basic performance of a single run is presented in Figure 5.27. As one can see the algorithm
needs only four iterations to reach the maximum value — a point where no further improvement
occurs5
.
Improvements of the supposed utility function and primary score are shown in figures 5.28, 5.29
whereas the shape of the population in Figure 5.30, 5.31. One can see that it is easy to generate a
good solution to the problem — a solution with the best result in a given run appears in the first
few generations.
Having six-dimensional objective space it is impossible to provide a section of this space on
a two-dimensional chart. However, these dimensions are not completely independent. There is
a correlation between the quantiles of the same objective. This can be observed in Figure 5.32 —
5This is not an optimal solution to the problem. By their nature — intervals and scenarios of uncertainty — a
problem from this section does not have an optimal value.
Supposed Utility
exterior_iteration
value
2000
3000
4000
5000
6000
q
q
q
q
q
q
q
q
q
q
q q
q
q q q q q q q
q q
q
q q q q q q q
2 4 6 8 10
result_value
q min
q max
Figure 5.27: Supposed utility function in exterior loop iterations for the mix-problem
5.5 The case of uncertainty 67
showing the movement of population during the generation on a section of objective space, or even
better in Figure 5.33 — solutions marked by the decision maker as “good”.
As expected the solutions chosen by the DM are near the pareto-front. However, not all of
them are part of the front. Knowing that there are four other goals besides profit50%
and time50%
explains the phenomenon.
UtilGen, ext.iter.=1
generation
value
2000
3000
4000
5000
6000
q
q
q
q
q q q q q q q q q q q q q q q q q q q q q q q q q q q
q q q q
q q q q q q q q q q q q q q q q q q q q q q q q q q q
q q q q q q q q q q q q q q q q q q q q q q q q q q q q q q q
0 5 10 15 20 25 30
result_value
q mean
q min
q max
PrimaryScoreGen, ext.iter.=1
generation
value
0.0
0.2
0.4
0.6
q
q
q
q
q q q q q q q q q q q q q q q q q q q q q q q q q q q
q q q q
q q q q q q q q q q q q q q q q q q q q q q q q q q qq q q q q q q q q q q q q q q q q q q q q q q q q q q q q q q
0 5 10 15 20 25 30
result_value
q mean
q min
q max
Figure 5.28: Supposed utility function and primary score improvements in an example run of
the interior loop
UtilGen, ext.iter.=3
generation
value
5000
5500
6000
6500
q
q
q
q q q q q q q q q q q q q q q q q q q q q q q q q q q q
q
q
q
q
q q q q q q q q q q q q q q q q q q q q q q q q q q qq
q q q q q q q q q q q q q q q q q q q q q q q q q q q q q q
0 5 10 15 20 25 30
result_value
q mean
q min
q max
PrimaryScoreGen, ext.iter.=3
generation
value
0.0
0.2
0.4
0.6
q
q
q
q
q q q q q q q q q q q q q q q q q q q q q q q q q q q
q q
q q
q q q q q q q q q q q q q q q q q q q q q q q q q q qq q q q q q q q q q q q q q q q q q q q q q q q q q q q q q q
0 5 10 15 20 25 30
result_value
q mean
q min
q max
Figure 5.29: Supposed utility function and primary score improvements in an example run of
the interior loop
Utility/Individual, ext.iter.=1
individual
utility
2000
3000
4000
5000
6000
q
q
q q
q
q
q
q
q q
q
q q q q q
q
q
q q
q q
q
q q
q q
q q
q
q q
q
q q q q q q q q q q q q q q q q q q q q q q q q q q q
q q q q q q q q q q q q q q q q q q q q q q q q q q q q q q
q q q q q q q q q q q
q q q q q q q q q q q q q q q q q q q
5 10 15 20 25 30
generation
q 0
q 10
q 20
q 30
Primary/Individual, ext.iter.=1
individual
primary
0.0
0.2
0.4
0.6
q q q q q q q q q q q q q q q q q q q q q q q q q q q
q q qq q q q q q q q q q q q q q q q q q q q q q q q q q q q q qq q q q q q q q q q q q q q q q q q q q q q q q q q q q q qq q q q q q q q q q q q q q q q q q q q q q q q q q q q q q
5 10 15 20 25 30
generation
q 0
q 10
q 20
q 30
Figure 5.30: Changes of the population shape in an example run of the interior loop
Utility/Individual, ext.iter.=3
individual
utility
5000
5500
6000
6500
q
q
q
q q
q q q
q
q
q
q
q
q q
q
q q
q
q
q
q
q
q q q q
q q qq q q q q q q q q q q q q q q q q q q q q q q q q q q q q q
q q q q q q q q q q q q q q q q q q q q q q q q q q q q q q
q q q q q q q q q q q q q q q q q q q q q q q q q q q q q q
5 10 15 20 25 30
generation
q 0
q 10
q 20
q 30
Primary/Individual, ext.iter.=3
individual
primary
0.0
0.2
0.4
0.6
q q q q q q q q q q q q q q q q q q q q q q q q q q q
q q qq q q q q q q q q q q q q q q q q q q q q q q q q q q q q qq q q q q q q q q q q q q q q q q q q q q q q q q q q q q qq q q q q q q q q q q q q q q q q q q q q q q q q q q q q q
5 10 15 20 25 30
generation
q 0
q 10
q 20
q 30
Figure 5.31: Changes of the population shape in an example run of the interior loop
profit_50.0 x time_50.0, ext.iter.=1
profit_50.0
time_50.0
100
150
200
250
300
350
q
qq
q
q
q
q
q
q
q
q
q
q
q
q
q
q
q
q
q
q
q
q
q
q
q
q
q
q
q
qq
q
q
q
q
q
q
q
q
q
q
q
q
q
q
q
q
qq
q
q
q
qq
q
qq
q
q
qq
q
q
q
q
q
q
q
q
q
q
q
q
q
q
q
q
qq
q
q
q
q
q
q
q
q
q
q
qq
q
q
q
q
q
q
q
q
q
q
q
q
q
q
q
q
q
q
qq
q
q
q
q
q
q
q
q
200 400 600 800 1000
generation
q 0
q 10
q 20
q 30
profit_50.0 x time_50.0, ext.iter.=3
profit_50.0
time_50.0
280
300
320
340
360
380
400
q
q
q
q
q
q
q
q
q
q
q
q
q
q
q
q
q
q
q
q
q
q
q
q
q
q
q
q
q
q
q
q
q
q
q
q
q
q
q
q
q
q
q
q
q
q
q
q
q
q
q
q
q
q
q
q
q
q
q
q
q
q
q
q
q
q
q
q
q
q
q
qq
q
q
q
q
q
q
q
q
q
q
q
q
q
q
qq
q
q
q
q
q
q
q
q
q
q
q
q
q
q
q
q
q
q
q
q
q
q
qq
q
q
q
q
q
qq
850 900 950 1000 1050 1100
generation
q 0
q 10
q 20
q 30
Figure 5.32: Two-dimensional section of the objective space
DM Choice, ext.iter.=0
profit_50.0
time_50.0
100
150
200
250
300
350
q
q
qq
q
q
q
q
q
q
q
q
q
q
q
q
q
q
q
q
q
q
q
q
q
q
q
q
q
q
200 400 600 800 1000
good
q
0
q 1
DM Choice, ext.iter.=2
profit_50.0
time_50.0
280
300
320
340
360
380 q
q
q
q
q
q
q
q
q
q
q
q
q
q
q
q
q
q
q
q
q
q
q
q
q
q
q
q
q
q
850 900 950 1000 1050 1100
good
q
0
q 1
Figure 5.33: Two-dimensional section of the objective space
5.5 The case of uncertainty 73
5.5.2 The computational performance on exemplary problems
To see how well DARWIN can infer the decision maker’s preferences a comparison with the sup-
posed utility function is given. For this section the experiments were performed on all exemplary
problems with interval coefficients — mix problem (also labeled as presentation problem), dtlz1
(version with four and ten-criteria) and dtlz7.
The problems were solved with default (base) values of configuration options as well as with an
increased number of generations (from 30 to 60). Tests whose names end with rules are using
primary and secondary score; tests with names ending with supp are using the supposed utility
function value as an objective in evolutionary optimization.
The results are shown in Table 5.12 and presented in Figure 5.34, 5.35, 5.36 and 5.37. There
was almost no difference for the mix problem (less than 1%) and a minor difference for the dtlz7
problem — less than 5%. Unfortunately, differences for dtlz1 problems (both four- and ten criteria)
were important and noticeable — about 50% percent after ten iterations. The results for dtlz1 are
far below the expectations — the default parameters are not appropriate for the problem. A better
result here is still possible, however it requires tuning the parameters.
Note: When box plots are given, they are always charted for the tenth iteration. The same
applies to comparison tables.
test optimization supposed rules distance
mix base 6683.14 6678.95 0.06%
mix gen60 6680.05 6661.41 0.28%
dtlz1 c4 base 7.01 12.81 45.29%
dtlz1 c4 gen60 6.48 15.18 57.28%
dtlz1 c10 base 7.60 13.73 44.68%
dtlz1 c10 gen60 5.61 18.00 68.85%
dtlz7 c4 base 104.72 108.74 3.69%
dtlz7 c4 gen60 104.95 110.28 4.83%
Table 5.12: Performance comparison on robust multi-objective problems
Test summary
exterior_iteration
utility_mean
6450
6500
6550
6600
6650
q
q
q
q
q q q q
q
q
q
q
q
q
q q q q
q q
q
q
q
q
q
q
q q q
q
q
q
q
q
q
q
q
q
q
q
2 4 6 8 10
test
q mix_base_rules
q mix_base_supp
q mix_gen60_rules
q mix_gen60_supp
Test summary, ext.iter.=10
test
utility
6600
6650
6700
6750
6800
q
q
q
q
q
m
ix_base_rules
m
ix_base_supp
m
ix_gen60_rules
m
ix_gen60_supp
Figure 5.34: Performance comparison on the mix problem
Test summary
exterior_iteration
utility_mean
−35
−30
−25
−20
−15
−10
q
q
q
q
q
q
q
q
q
q
q
q
q
q
q
q
q q q
q
q
q
q
q q
q
q
q
q
q
q
q
q
q
q
q
q q q q
2 4 6 8 10
test
q dtlz1_c4_base_rules
q dtlz1_c4_base_supp
q dtlz1_c4_gen60_rules
q dtlz1_c4_gen60_supp
Test summary, ext.iter.=10
test
utility
−30
−25
−20
−15
−10
−5
q
q
q
q
dtlz1_c4_base_rules
dtlz1_c4_base_supp
dtlz1_c4_gen60_rules
dtlz1_c4_gen60_supp
Figure 5.35: Performance comparison on the four-criteria DTLZ1 problem
Test summary
exterior_iteration
utility_mean
−50
−40
−30
−20
−10
q
q
q
q
q
q
q
q
q
q
q
q
q
q
q
q
q
q q
q
q
q
q
q
q
q
q
q
q
q
q
q
q q q q q q q q
2 4 6 8 10
test
q base_rules
q base_supp
q gen60_rules
q gen60_supp
Test summary, ext.iter.=10
test
utility
−50
−40
−30
−20
−10
q
q
base_rules
base_supp
gen60_rules
gen60_supp
Figure 5.36: Performance comparison on the ten-criteria DTLZ1 problem
Test summary
exterior_iteration
utility_mean
−118
−116
−114
−112
−110
−108
−106
−104
q
q
q
q
q
q
q
q
q
q
q
q
q
q
q
q
q
q
q
q
q
q
q
q
q
q
q
q
q q
q
q
q
q
q
q
q
q
q
q
2 4 6 8 10
test
q base_rules
q base_supp
q gen60_rules
q gen60_supp
Test summary, ext.iter.=10
test
utility
−120
−115
−110
−105
−100
−95
q
q
q
q
base_rules
base_supp
gen60_rules
gen60_supp
Figure 5.37: Performance comparison on the four-criteria DTLZ7 problem
76 5 Results of Computational Experiments
5.5.3 The influence of the basic parameters on the method
The importance of basic parameters was evaluated again in the robust environment. The numerical
results are presented in Table 5.13 and 5.14. Also charts are included to visualize the relations
(Figure 5.38).
Unfortunately, no clear pattern emerges. For a mix problem the solution is robust — changing
the basic parameters changes the value of the result no more than a 1% after ten iterations.For the
DTLZ7 problem the situation is similar — differences are bigger now, however still less than 5%.
Differences are bigger and important for the DTLZ1 problems (four- and ten-criteria). However,
the standard deviations are of the same order of magnitude as mean values of the results. So one
should say the results are inconclusive here and it is impossible to make a suggestion based solely
on these results.
Mix problem DTLZ1 c4
test mean sd improvement mean sd improvement
base 6665.60 57.27 0.00% -9.99 6.83 0.00%
generation45 6661.72 47.52 -0.06% -16.04 12.47 60.63%
generation60 6661.14 45.08 -0.07% -9.63 7.78 -3.61%
scenario45 6617.60 47.33 -0.72% -13.12 11.37 31.34%
scenario60 6639.54 33.98 -0.39% -13.95 8.50 39.68%
solution45 6705.68 52.96 0.60% -10.43 8.33 4.44%
solution60 6685.43 56.78 0.30% -11.68 8.23 16.97%
Table 5.13: Importance of base parameters in robust environment
DTLZ1 c10 DTLZ7 c4
test mean sd improvement mean sd improvement
base -15.30 11.20 0.00% -109.23 5.87 0.00%
generation45 -15.92 13.27 4.03% -109.23 6.96 0.00%
generation60 -21.63 12.55 41.37% -108.33 10.87 -0.82%
scenario45 -17.32 11.15 13.17% -111.98 5.34 2.52%
scenario60 -16.67 13.30 8.91% -112.54 3.45 3.03%
solution45 -13.89 9.63 -9.22% -107.88 6.39 -1.23%
solution60 -9.55 6.81 -37.62% -109.98 6.37 0.69%
Table 5.14: Importance of base parameters in robust environment
Test summary, ext.iter.=10
test
utility
6600
6650
6700
6750
q
q
q
base
generation45
generation60
scenario45
scenario60
solution45
solution60
(a) Mix problem
Test summary, ext.iter.=10
test
utility
−35
−30
−25
−20
−15
−10
−5
base
generation45
generation60
scenario45
scenario60
solution45
solution60
(b) DTLZ1 four-criteria
Test summary, ext.iter.=10
test
utility
−40
−30
−20
−10
q
base
generation45
generation60
scenario45
scenario60
solution45
solution60
(c) DTLZ1 ten-criteria
Test summary, ext.iter.=10
test
utility
−120
−110
−100
−90
−80
q
q
q
qq
base
generation45
generation60
scenario45
scenario60
solution45
solution60
(d) DTLZ7 four-criteria
Figure 5.38: Effect of params in DM’s decisions
78 5 Results of Computational Experiments
5.5.4 DM’s decisions inconsistent with supposed utility function
In order to check the impact of inconsistencies in DM’s decisions, experiments were performed.
The results are presented in Figure 5.39 and in the tables 5.15 and 5.16.
Again one has to analyze the results excluding the DTLZ1 problem. This is because of the
standard deviation of the series of results — again it is the same order of magnitude as the value
itself.
In the Mix and DTLZ7 problems the effect of inconsistencies in DM’s decisions starts to be an
important factor only in case of medium- (noise5) — the results differ about 8% and in case of
a major-inconsistencies (noise6) — difference about 12% for the mix problem and about 8% for
the DTLZ7 problem.
The situation is similar to the impact on problems defined without uncertainty. Even if one adds
the interval coefficients to the problem, the solution is still robust with respect to the inconsistencies
in the DM’s decisions.
Mix problem DTLZ1 c4
test mean sd improvement mean sd improvement
base 6678.95 53.86 0.00% -12.81 8.38 0.00%
noise1 6662.93 36.54 -0.24% -7.70 8.48 39.89%
noise2 6638.77 70.33 -0.60% -12.61 11.36 1.55%
noise3 6636.90 53.88 -0.63% -12.73 10.82 0.61%
noise4 6537.39 137.71 -2.12% -13.65 7.84 -6.55%
noise5 6093.31 811.58 -8.77% -17.27 11.32 -34.82%
noise6 5858.94 924.72 -12.28% -13.72 12.45 -7.09%
Table 5.15: The impact of inconsistencies in robust environment
DTLZ1 c10 DTLZ7 c4
test mean sd improvement mean sd improvement
base -13.73 8.08 0.00% -108.86 4.00 0.00%
noise1 -17.34 9.07 -26.23% -109.48 7.03 -0.57%
noise2 -20.58 13.18 -49.83% -115.45 7.33 -6.06%
noise3 -21.52 11.72 -56.70% -112.61 5.84 -3.45%
noise4 -21.47 9.29 -56.36% -112.38 6.51 -3.24%
noise5 -24.86 13.03 -81.01% -117.84 6.78 -8.26%
noise6 -24.89 11.79 -81.21% -117.45 7.21 -7.89%
Table 5.16: The impact of inconsistencies in robust environment
Test summary, ext.iter.=10
test
utility
4000
4500
5000
5500
6000
6500
q
q
q
q
q
q
base
noise1
noise2
noise3
noise4
noise5
noise6
(a) Mix problem
Test summary, ext.iter.=10
test
utility
−40
−30
−20
−10
q
q
q
base
noise1
noise2
noise3
noise4
noise5
noise6
(b) DTLZ1 four-criteria
Test summary, ext.iter.=10
test
utility
−50
−40
−30
−20
−10
q
q
base
noise1
noise2
noise3
noise4
noise5
noise6
(c) DTLZ1 ten-criteria
Test summary, ext.iter.=10
test
utility
−125
−120
−115
−110
−105
−100 q
q
base
noise1
noise2
noise3
noise4
noise5
noise6
(d) DTLZ7 four-criteria
Figure 5.39: Effect of inconsistencies in DM’s decisions
80 5 Results of Computational Experiments
5.5.5 DomLem parameters
As it was mentioned in 4.1.1, the algorithm for rules generation is left to the analyst. In this paper
both DomLem and AllRules were used. In this section the DomLem algorithm is being analyzed.
One can set different confidence values for the rules — runs with 100%, 80% and 60% were tried.
The decision maker can indicate different solutions as “good”. 3 and 15 in the tests. DomLem
returns a minimal set of rules covering all the examples. Usually it means that only a small number
of rules will be generated. However, DomLem is an heuristic algorithm, so running it with swapped
columns in the table will result in different rules. This feature was exploited to generate more rules.
Algorithm was run three times with different attribute ordering. This test is called multirules.
Numerical results are given in the tables 5.17 and 5.18. Charts visualizing the data were
prepared. See figures 5.40, 5.41, 5.42 and 5.43.
Again, it is impossible to give clear guidelines which values should be chosen for the parameters.
For the mix problem and four-criteria DTLZ7 problem the solutions are robust — differences are
no more than 1% and 5% respectively. However, the situation changes for the DTLZ1 problem.
In case of the four-criteria variant choosing the multirules option yields a great improvement,
especially if the DM selects three good solutions in each iteration — almost 60% improvement.
Also selecting fifteen good solutions and setting the confidence level to 80% results in almost 40%
improvement.
For the ten-criteria variant selecting fifteen solutions and certain (confidence = 100%) rules
results in over 25% improvement. Choosing “multirules” can improve the result by 13% and 16%.
For the problem the best results are achieved by selecting 15 solutions and setting the confidence
to 60%. This will improve the results by 55%.
Mix problem DTLZ1 c4
test good count mean sd improvement mean sd improvement
domlem 3 6676.25 50.34 0.00% -16.45 13.80 0.00%
domlem 15 6649.69 37.74 -0.40% -19.51 10.97 -18.59%
domlem conf 0.6 3 6655.11 43.51 -0.32% -17.44 9.48 -5.99%
domlem conf 0.6 15 6695.45 59.81 0.29% -19.06 15.29 -15.87%
domlem conf 0.8 3 6662.44 56.97 -0.21% -20.61 16.91 -25.27%
domlem conf 0.8 15 6662.55 66.35 -0.21% -10.28 7.88 37.52%
domlem multirules 3 6680.08 33.44 0.06% -6.74 5.60 59.00%
domlem multirules 15 6658.61 27.97 -0.26% -12.83 10.38 22.00%
Table 5.17: Influence of the DomLem parameters in robust environment
DTLZ1 c10 DTLZ7 c4
test good count mean sd improvement mean sd improvement
domlem 3 -21.05 17.52 0.00% -108.94 4.01 0.00%
domlem 15 -15.50 9.28 26.35% -109.28 4.96 -0.31%
domlem conf 0.6 3 -22.44 8.82 -6.60% -112.68 4.15 -3.43%
domlem conf 0.6 15 -9.09 7.39 56.82% -109.28 7.95 -0.31%
domlem conf 0.8 3 -22.66 14.83 -7.67% -108.83 5.28 0.10%
domlem conf 0.8 15 -26.76 17.14 -27.14% -108.53 7.29 0.38%
domlem multirules 3 -18.14 14.80 13.81% -112.03 5.79 -2.83%
domlem multirules 15 -17.71 10.34 15.86% -110.17 5.48 -1.13%
Table 5.18: Influence of the DomLem parameters in robust environment
Test summary
exterior_iteration
utility_mean
6200
6300
6400
6500
6600
6700
q
q
q
q
q
q
q
q q q q
q
q q q q
q q q
q
q
q
q
q
q
q
q q
q q q
q
q
q
q q q
q
q
q
q
q q
q
q q q q q
q q
q q q q q q
q
q
q
q q
q
q
q
q
q
q q q
q
q q q
q q
q
q
q
q
q
q
q q q q q q q
q
q
q q q
q
q
q
q
q
q q q
q
q q q q
q
q
q
q q
q q
q
q
q
q q
q
q
q
q
q
q q q q q q q q q
q
q
q
q
q
q
q
q q q
q
q
q
q q
q q q q
5 10 15
test
q domlem
q domlem_15good
q domlem_conf06
q domlem_conf06_15
q domlem_conf08
q domlem_conf08_15
q domlem_multirules
q domlem_multirules_15
Test summary, ext.iter.=10
test
utility
6600
6650
6700
6750
q
q
q
dom
lem
dom
lem
_15gooddom
lem
_conf06dom
lem
_conf06_15
dom
lem
_conf08dom
lem
_conf08_15
dom
lem
_m
ultirules
dom
lem
_m
ultirules_15
Figure 5.40: Influence of the DomLem parameters on the mix problem
Test summary
exterior_iteration
utility_mean
−50
−40
−30
−20
−10
q
q
q
q
q
q
q q
q
q
q q
q q q
q
q
q
q
q
q
q
q
q
q
q
q
q
q
q q
q
q q q
q
q q
q
q
q
q
q
q
q
q
q q
q
q q
q
q q q q q
q
q
q
q
q q
q
q q
q q
q q
q q q q q
q
q
q
q
q
q
q
q
q
q
q
q
q
q q
q q q q q
q
q
q
q
q
q
q
q q
q q q
q q
q q q q q
q
q
q
q
q
q q
q
q q
q q q q q q q q q
q
q
q
q
q
q
q
q
q q
q q q q q q
q q q
5 10 15
test
q domlem
q domlem_15good
q domlem_conf06
q domlem_conf06_15
q domlem_conf08
q domlem_conf08_15
q domlem_multirules
q domlem_multirules_15
Test summary, ext.iter.=10
test
utility
−50
−40
−30
−20
−10
q
q
q
q
dom
lem
dom
lem
_15gooddom
lem
_conf06dom
lem
_conf06_15
dom
lem
_conf08dom
lem
_conf08_15
dom
lem
_m
ultirulesdom
lem
_m
ultirules_15
Figure 5.41: Influence of the DomLem parameters on the four-criteria DTLZ1 problem
Test summary
exterior_iteration
utility_mean
−70
−60
−50
−40
−30
−20
−10
q
q
q
q
q
q
q
q
q
q
q
q q
q q q
q
q q
q
q
q
q
q
q
q q q
q q
q
q q q q
q q q
q
q
q
q
q
q
q
q
q
q
q q
q q
q q q q q
q
q
q
q
q
q q
q
q
q q q
q q q
q q q q
q
q
q
q
q q q
q q q q
q
q q q q q q q
q
q
q
q
q
q
q
q q q
q
q
q
q
q q
q
q q
q
q
q
q
q q
q q q q q q q q q q q q q
q
q
q
q
q
q q
q
q
q
q q
q q q q q q
q
5 10 15
test
q domlem
q domlem_15good
q domlem_conf06
q domlem_conf06_15
q domlem_conf08
q domlem_conf08_15
q domlem_multirules
q domlem_multirules_15
Test summary, ext.iter.=10
test
utility
−60
−50
−40
−30
−20
−10
q
q
q
q
dom
lem
dom
lem
_15gooddom
lem
_conf06dom
lem
_conf06_15
dom
lem
_conf08dom
lem
_conf08_15
dom
lem
_m
ultirulesdom
lem
_m
ultirules_15
Figure 5.42: Influence of the DomLem parameters on the ten-criteria DTLZ1 problem
Test summary
exterior_iteration
utility_mean
−120
−115
−110
q
q
q
q
q
q
q
q
q
q q
q
q
q
q
q q
q q
q
q q
q
q
q
q
q
q
q
q q
q
q
q
q q
q
q
q
q
q
q
q
q
q
q q
q
q
q
q
q
q q
q
q
q
q
q
q
q
q
q
q q
q q q q q
q
q q
q
q q
q
q
q
q q
q
q q q q
q
q
q q q
q
q q q
q
q
q
q
q
q q q
q q
q q q
q q q q q
q
q
q
q
q
q
q
q q q q
q
q q q
q
q q q q
q
q
q
q q
q
q q
q
q q q
q
q
q
q
q q
q
5 10 15
test
q domlem
q domlem_15good
q domlem_conf06
q domlem_conf06_15
q domlem_conf08
q domlem_conf08_15
q domlem_multirules
q domlem_multirules_15
Test summary, ext.iter.=10
test
utility
−120
−115
−110
−105
−100
q
q
dom
lem
dom
lem
_15gooddom
lem
_conf06dom
lem
_conf06_15
dom
lem
_conf08dom
lem
_conf08_15
dom
lem
_m
ultirules
dom
lem
_m
ultirules_15
Figure 5.43: Influence of the DomLem on the four-criteria DTLZ7 problem
5.5 The case of uncertainty 83
5.5.6 AllRules algorithm
The second option for the rule generator is the AllRules algorithm. The version used for the paper
has no configuration parameter, but one can obviously change the number of solutions marked as
good. Results are presented in Table 5.19 and charts 5.44, 5.45 and 5.46. For the mix and DTLZ7
problems the differences between 3 and 15 good solutions are small and insignificant. On the other
hand, for the DTLZ1 problem the difference is over 60% when marking 15 out 30 solutions as good.
Unfortunately, because of the huge memory footprint, it was impossible to run AllRules for the
ten-criteria DTLZ1 problem.
A comparison between both approaches — DomLem and AllRules was also made in order to
check if generating more rules will improve the results. For the three problems the best series for
DomLem and AllRules were chosen and compared. The results are given in the tables 5.20, 5.21
and 5.22, as well as charted in figures 5.47, 5.48 and 5.49.
In general DomLem performed a bit better, however for the DTLZ1 choosing AllRules result
in a huge (about 70%) improvement.
problem test good count mean stddev improvement
mix problem allrules 3 6658.39 69.98 0.00%
mix problem allrules 15 6572.14 79.91 -1.30%
dtlz1 c4 allrules 3 -13.05 11.80 0.00%
dtlz1 c4 allrules 15 -4.52 3.05 65.36%
dtlz7 c4 allrules 3 -111.80 3.68 0.00%
dtlz7 c4 allrules 15 -110.07 7.84 1.55%
Table 5.19: AllRules — number of solutions chosen and its influence on the result
outer domlem conf=0.6, good=15 stddev all rules, good=15 stddev improvement
1 6399.34 208.67 6334.75 350.80 -1.01%
2 6516.66 108.81 6502.02 211.88 -0.22%
3 6555.59 94.60 6552.46 100.80 -0.05%
4 6603.19 88.61 6574.42 71.22 -0.44%
5 6607.81 90.20 6591.54 59.81 -0.25%
6 6623.12 70.84 6620.31 87.77 -0.04%
7 6626.90 55.62 6628.49 82.09 0.02%
8 6661.15 78.86 6640.54 82.18 -0.31%
9 6686.50 68.39 6656.77 71.28 -0.44%
10 6695.45 59.81 6658.39 69.98 -0.55%
11 6697.46 54.06 6673.27 60.59 -0.36%
12 6697.46 54.06 6675.63 58.30 -0.33%
13 6693.87 59.44 6684.04 56.11 -0.15%
14 6693.59 59.62 6689.49 48.43 -0.06%
15 6698.10 57.73 6701.54 47.81 0.05%
16 6698.10 57.73 6701.42 47.77 0.05%
17 6697.50 57.20 6698.24 55.56 0.01%
18 6707.60 46.91 6707.24 62.70 -0.01%
19 6707.98 47.62 6707.24 62.70 -0.01%
Table 5.20: AllRules and DomLem comparison on the mix problem
Test summary
exterior_iteration
utility_mean
6400
6500
6600
6700
q
q
q
q q
q
q
q
q q
q q
q
q
q q
q q q
q
q
q q
q
q
q
q
q
q
q
q
q
q
q q
q
q q
5 10 15
test
q all_rules
q allrules_15good
Test summary, ext.iter.=10
test
utility
6450
6500
6550
6600
6650
6700
6750
6800
q
all_rules
allrules_15good
Figure 5.44: AllRules — number of solutions chosen and its influence on the mix problem
Test summary
exterior_iteration
utility_mean
−25
−20
−15
−10
−5
q
q
q
q
q
q
q
q
q
q q
q q
q q
q
q q
q
q
q
q
q
q
q
q
q
q
q
q q
q
q
q q
q q
q
5 10 15
test
q all_rules
q allrules_15good
Test summary, ext.iter.=10
test
utility
−35
−30
−25
−20
−15
−10
−5
all_rules
allrules_15good
Figure 5.45: AllRules — number of solutions chosen and its influence on the four-criteria
DTLZ1 problem
Test summary
exterior_iteration
utility_mean
−118
−116
−114
−112
−110
q
q
q
q
q q
q
q
q
q
q
q q
q q q
q
q q
q
q
q
q q
q
q
q q q
q
q q q
q
q
q q
q
5 10 15
test
q all_rules
q allrules_15good
Test summary, ext.iter.=10
test
utility
−115
−110
−105
−100
all_rules
allrules_15good
Figure 5.46: AllRules — number of solutions chosen and its influence on the four-criteria
DTLZ7 problem
Test summary
exterior_iteration
utility_mean
6400
6450
6500
6550
6600
6650
6700
q
q
q
q q
q
q
q
q q
q q
q
q
q q
q q q
q
q
q
q q
q
q
q
q
q
q
q
q
q
q q q
q q
5 10 15
test
q all_rules
q domlem_conf06_15
Test summary, ext.iter.=10
test
utility
6600
6650
6700
6750
6800
all_rules
dom
lem
_conf06_15
Figure 5.47: AllRules and DomLem comparison on the mix problem
Test summary
exterior_iteration
utility_mean
−40
−30
−20
−10
q
q
q
q
q
q
q
q
q q q q
q
q q q q q q
q
q
q
q
q
q
q q
q
q
q
q
q q
q
q
q
q
q
5 10 15
test
q allrules_15good
q domlem
Test summary, ext.iter.=10
test
utility
−50
−40
−30
−20
−10
q
allrules_15good
dom
lem
Figure 5.48: AllRules and DomLem comparison on the four-criteria DTLZ1 problem
Test summary
exterior_iteration
utility_mean
−118
−116
−114
−112
−110
−108
−106
q
q
q
q q
q
q
q q q
q
q q q
q
q
q q
q
q
q
q
q
q
q q q
q q
q q
q
q q q q q
q
5 10 15
test
q allrules_15good
q domlem_conf08_15
Test summary, ext.iter.=10
test
utility
−115
−110
−105
−100
allrules_15good
dom
lem
_conf08_15
Figure 5.49: AllRules and DomLem comparison on the four-criteria DTLZ7 problem
outer domlem conf=1.0, good=3 stddev all rules, good=15 stddev improvement
1 -57.10 34.30 -15.91 5.86 72.15%
2 -33.28 26.61 -10.40 4.77 68.75%
3 -26.73 19.71 -9.07 4.41 66.07%
4 -22.57 16.49 -8.29 3.94 63.26%
5 -20.96 15.87 -7.16 3.29 65.85%
6 -19.56 14.92 -6.10 2.99 68.81%
7 -18.31 14.40 -5.65 3.23 69.13%
8 -18.05 14.28 -5.31 3.47 70.60%
9 -17.09 14.12 -4.81 3.27 71.84%
10 -16.45 13.80 -4.52 3.05 72.51%
11 -16.03 13.39 -4.21 3.19 73.74%
12 -15.59 13.21 -4.18 3.47 73.16%
13 -15.11 13.22 -3.79 3.65 74.90%
14 -14.91 13.20 -3.24 3.55 78.25%
15 -14.55 13.16 -2.97 3.51 79.56%
16 -14.23 12.72 -2.85 3.49 79.96%
17 -13.70 12.21 -2.57 3.36 81.20%
18 -13.05 11.27 -2.64 3.45 79.78%
19 -12.57 10.18 -2.31 3.14 81.58%
Table 5.21: AllRules and DomLem comparison on the four-criteria DTLZ1 problem
outer domlem conf=0.8, good=15 stddev all rules, good=15 stddev improvement
1 -117.67 8.00 -118.23 9.66 -0.48%
2 -116.53 7.36 -116.87 8.12 -0.30%
3 -109.91 10.01 -113.30 8.15 -3.09%
4 -108.71 7.37 -112.06 7.68 -3.08%
5 -108.78 7.33 -112.41 7.96 -3.34%
6 -108.78 7.33 -111.40 7.33 -2.41%
7 -109.84 8.30 -111.02 7.81 -1.08%
8 -108.84 7.36 -110.07 7.84 -1.13%
9 -108.53 7.29 -110.07 7.84 -1.41%
10 -108.53 7.29 -110.07 7.84 -1.41%
11 -108.38 7.08 -111.30 6.30 -2.70%
12 -108.38 7.08 -111.31 6.31 -2.70%
13 -108.27 6.94 -111.31 6.31 -2.81%
14 -106.42 8.30 -111.31 6.31 -4.60%
15 -106.42 8.30 -111.20 6.20 -4.49%
16 -106.42 8.30 -110.69 5.62 -4.01%
17 -106.42 8.30 -109.62 7.46 -3.01%
18 -106.42 8.30 -109.62 7.46 -3.01%
19 -105.54 8.65 -109.36 7.37 -3.62%
Table 5.22: AllRules and DomLem comparison on the four-criteria DTLZ1 problem
88 5 Results of Computational Experiments
5.5.7 The second-order stochastic dominance
Stochastic dominance is a form of partial ordering over a set of gambles. The gamble is a probability
distribution over possible outcomes. In this section the author focuses on first- and second-order
stochastic dominance.
The first-order dominance For two gambles, X and Y, the gamble X has first-order stochastic
dominance over the gamble Y if for every possible outcome, X gives at least as high a proba-
bility of receiving the outcome as Y does, and at least one possible outcome exists, for which X
gives higher probability of receiving at least the outcome. In case of DARWIN, the dominance
can be checked by comparing the highest values in meaningful quantiles.
The second-order dominance For two gambles, X and Y, the gamble X has second-order stochas-
tic dominance over the gamble Y if the former has as high the mean value as the latter, and
involves less risk. In case of DARWIN, it is comparing mean values in the quantiles instead
of the highest ones.
An example of different stochastic dominance is shown in Figure 5.50. The solution X dominates
Y only when second-order stochastic dominance is considered.
0 20 40 60 80 100 120 140 160 180 200 220
Value in scenarios
scenario
1% 25% 50% 75% 99%
1% 25% 50% 75% 99%
the highest
mean
scenario
the highest
mean
0 30 70 140 19030 70 140 190
0 20 60 150 180
0 50/3 220/6 570/9 920/11
0 30/3 170/6 480/9 820/11
Solution X
Solution Y
Figure 5.50: First- and second-order stochastic dominance comparison
In the second-order dominance, worse scenarios gain on the importance. Therefore, this dom-
inance is more risk-averse than the first-order one. This is the case, because bad evaluations in
mean values of all quantiles are taken into account, while good evaluations are taken into account
in mean values of high quantiles only.
It is possible to setup DARWIN to use mean in quantiles instead of the highest value. Thus,
one can make use of the second-order stochastic dominance.
Figure 5.51 shows a histogram. It presents the number of scenarios resulting in values in
given ranges for one, exemplary solution (the solution is different for first-order and second-order
stochastic dominance). For example, nine out of thirteen scenarios resulted in profit between 1050
and 1100 for the first-order stochastic dominance. the points are connected to give the overal idea
of the probability distributions.
The solutions were obtained by running DARWIN with default options (especially with the
DomLem algorithm). The exterior loop had been run three times, i.e. the Decision Maker marked
“good” solutions three times. The DM preferred solutions with the highest profit50%
value. The
experiment was conducted twice — the first time with the highest value in quantile (first-order
dominance) and the other with a mean in quantiles (second-order dominance).
The charts confirm the intuition. In case of profit, the criterion being the most important
for the DM, it is clear that one can achieve better results with the first-order dominance — the
5.5 The case of uncertainty 89
1450950 1000 1050 1100 1150 1200 1250 1300 1350 1400
10
0
1
2
3
4
5
6
7
8
9
Profit (gain)
Thenumberofscenarios
First-order stochastic dominance
Second-order stochastic dominance
440350 360 370 380 390 400 410 420 430
12
0
2
4
6
8
10
Time (loss)
Thenumberofscenarios
First-order stoch. dominance
Second-order stoch.
dominance
Figure 5.51: An exemplary probability distribution of goals’ values
long tail in the right-hand side of the distribution. However, the distribution for the second-order
dominance has less “bad” solutions. The distribution is symmetric with the peak value in the
middle. Therefore, the latter it is better fitted for the risk-averse Decision Maker and the former
for the risk-seeking one.
In the second-order stochastic dominance the “bad” solutions are more important, therefore
there were eliminated in favor of average ones. This is also the case for the time criterion (the lower
the better). However, minimizing the time was not a priority for the DM, as a result, there are
no better solutions in the first-order distribution, because they would imply worsening the profit
goal.
90 5 Results of Computational Experiments
5.5.8 The best results
Like in the section where no uncertainty was considered, one may be interested in the best perfor-
mance achieved during the experiments. The results can not be directly compared to the optimal
values, because there is no such thing as an optimal solution. Thus, the comparison is made to
the supposed value optimization. Also, instead of single run, the series of runs are the subject of
this comparison. The set of parameter values producing these results is also given. The analysis
is made on the basis of the problem.
The results are presented in tables 5.23, 5.24, 5.25 and 5.26 and in figures 5.52, 5.53, 5.54
and 5.55. For all the problems it was possible to match the performance of the supposed utility
optimization. Ten-criteria DTLZ1 was the hardest problem, but the four-criteria version was the
easiest one.
The parameter values are as follows:
problem algorithm good count confidence
mix problem DomLem 15 0.6
DTLZ1 four-criteria AllRules 15 n/a
DTLZ1 ten-criteria DomLem 15 0.6
DTLZ7 four-criteria DomLem 15 0.8
They can serve as guidelines for an analyst solving other problems with DARWIN.
outer mean supposed utility stddev domlem conf 0.6 15 stddev improvement
1 6551.03 105.13 6399.34 208.67 -2.32%
2 6618.31 59.98 6516.66 108.81 -1.54%
3 6627.03 55.99 6555.59 94.60 -1.08%
4 6641.97 56.68 6603.19 88.61 -0.58%
5 6646.64 52.71 6607.81 90.20 -0.58%
6 6657.24 43.55 6623.12 70.84 -0.51%
7 6660.01 42.18 6626.90 55.62 -0.50%
8 6674.68 41.26 6661.15 78.86 -0.20%
9 6678.98 42.18 6686.50 68.39 0.11%
10 6678.98 42.18 6695.45 59.81 0.25%
11 6682.55 38.42 6697.46 54.06 0.22%
12 6688.63 42.88 6697.46 54.06 0.13%
13 6688.88 42.58 6693.87 59.44 0.07%
14 6688.88 42.58 6693.59 59.62 0.07%
15 6691.59 40.16 6698.10 57.73 0.10%
16 6695.68 41.14 6698.10 57.73 0.04%
17 6701.35 39.70 6697.50 57.20 -0.06%
18 6701.35 39.70 6707.60 46.91 0.09%
19 6710.87 40.02 6707.98 47.62 -0.04%
Table 5.23: The best run for the mix problem
Test summary
exterior_iteration
utility_mean
6400
6450
6500
6550
6600
6650
6700
q
q
q
q q
q
q
q
q
q
q
q
q
q
q q q
q q
q
q
q
q
q
q
q
q
q q
q
q q q
q
q
q q
q
5 10 15
test
q domlem_conf06_15
q supp
Test summary, ext.iter.=10
test
utility
6650
6700
6750
dom
lem
_conf06_15
supp
Figure 5.52: The best runs for the mix problem
Test summary
exterior_iteration
utility_mean
−15
−10
−5
q
q
q
q
q
q
q
q
q
q
q
q
q
q
q
q
q q
q
q
q
q
q
q
q
q
q q
q q
q
q
q
q q
q q q
5 10 15
test
q allrules_15good
q supp
Test summary, ext.iter.=10
test
utility
−20
−15
−10
−5
allrules_15good
supp
Figure 5.53: The best runs for the four-criteria DTLZ1 problem
Test summary
exterior_iteration
utility_mean
−40
−30
−20
−10
q
q
q
q
q
q q
q
q
q
q q
q q
q
q
q q q
q
q
q
q
q
q
q q q q
q q
q q q q q q q
5 10 15
test
q domlem_conf06_15
q supp
Test summary, ext.iter.=10
test
utility−20
−15
−10
−5
dom
lem
_conf06_15
supp
Figure 5.54: The best runs for the ten-criteria DTLZ1 problem
Test summary
exterior_iteration
utility_mean
−120
−115
−110
−105
q
q
q
q
q
q q q
q q
q q q
q q q q q
q
q
q
q
q
q
q
q
q q
q
q q
q
q
q
q q
q
q
5 10 15
test
q domlem_conf08_15
q supp
Test summary, ext.iter.=10
test
utility
−115
−110
−105
−100
q
dom
lem
_conf08_15
supp
Figure 5.55: The best runs for the four-criteria DTLZ7 problem
outer mean supposed utility stddev allrules 15 stddev improvement
1 -18.34 9.82 -15.91 5.86 13.27%
2 -13.24 8.62 -10.40 4.77 21.43%
3 -11.94 8.74 -9.07 4.41 24.04%
4 -10.80 8.53 -8.29 3.94 23.17%
5 -9.86 8.33 -7.16 3.29 27.38%
6 -9.56 8.47 -6.10 2.99 36.18%
7 -9.25 8.55 -5.65 3.23 38.85%
8 -8.83 8.49 -5.31 3.47 39.88%
9 -8.74 8.50 -4.81 3.27 44.96%
10 -8.23 8.38 -4.52 3.05 45.08%
11 -8.12 8.38 -4.21 3.19 48.16%
12 -7.76 8.32 -4.18 3.47 46.08%
13 -7.62 8.40 -3.79 3.65 50.26%
14 -7.31 8.42 -3.24 3.55 55.63%
15 -7.13 8.26 -2.97 3.51 58.30%
16 -7.02 8.20 -2.85 3.49 59.39%
17 -6.88 8.09 -2.57 3.36 62.60%
18 -6.83 8.12 -2.64 3.45 61.33%
19 -6.78 8.09 -2.31 3.14 65.86%
Table 5.24: The best run for the four-criteria DTLZ1
outer mean supposed utility stddev domlem conf 0.6 15 stddev improvement
1 -22.07 11.81 -50.99 24.76 -131.05%
2 -15.26 9.24 -24.22 16.77 -58.72%
3 -13.29 8.49 -18.70 13.78 -40.68%
4 -12.03 8.08 -15.25 10.53 -26.76%
5 -11.41 8.04 -13.13 7.69 -15.07%
6 -10.60 7.64 -12.11 7.46 -14.22%
7 -10.18 7.69 -11.78 7.96 -15.73%
8 -10.01 7.77 -10.44 8.29 -4.26%
9 -9.78 7.71 -9.72 7.36 0.68%
10 -9.56 7.65 -9.09 7.39 4.92%
11 -9.14 7.74 -8.74 7.47 4.33%
12 -9.00 7.77 -12.46 11.18 -38.41%
13 -8.69 7.69 -11.64 10.83 -33.90%
14 -8.56 7.67 -11.51 10.91 -34.43%
15 -8.47 7.63 -11.06 10.23 -30.56%
16 -8.17 7.42 -10.53 10.90 -28.81%
17 -7.91 7.08 -9.89 10.52 -25.05%
18 -7.80 7.00 -10.00 10.74 -28.17%
19 -7.66 6.94 -9.92 10.79 -29.55%
Table 5.25: The best run for the ten-criteria DTLZ1
outer mean supposed utility stddev domlem conf 0.8 15 stddev improvement
1 -120.28 8.04 -117.67 8.00 2.17%
2 -115.98 5.90 -116.53 7.36 -0.47%
3 -114.93 5.79 -109.90 10.01 4.37%
4 -112.55 4.80 -108.71 7.37 3.41%
5 -111.33 5.18 -108.78 7.33 2.31%
6 -110.97 4.92 -108.78 7.33 1.98%
7 -109.70 3.75 -109.84 8.30 -0.12%
8 -109.46 3.74 -108.84 7.36 0.57%
9 -109.37 3.90 -108.53 7.29 0.77%
10 -109.00 3.85 -108.53 7.29 0.43%
11 -108.80 4.10 -108.38 7.08 0.39%
12 -108.72 4.12 -108.38 7.08 0.31%
13 -108.51 3.90 -108.27 6.94 0.23%
14 -107.81 3.34 -106.42 8.30 1.29%
15 -106.40 3.46 -106.42 8.30 -0.02%
16 -105.89 3.30 -106.42 8.30 -0.50%
17 -105.89 3.30 -106.42 8.30 -0.50%
18 -104.88 3.70 -106.42 8.30 -1.46%
19 -103.57 3.67 -105.54 8.65 -1.91%
Table 5.26: The best run for the four-criteria DTLZ7
5.6 Conclusions 95
5.6 Conclusions
The experiments performed confirmed that the DARWIN method proposed in [13, 15, 9] is a good
too for solving multi-objective optimization problems even when the problem formulation does
contain uncertainty in the form of intervals of possible values.
The presented implementation is the first implementation of the DARWIN method which per-
mits performing so large computational experiments. The first task was to analyze behavior of
the algorithm on simple two-criteria problem without uncertainty. First evaluations allowed the
author to learn the properties and to get to know the behavior of the algorithm.
Having confidence that the DARWIN works it was possible to advance to the next task — to
evaluate the performance of a richer set of the problem. It was decided to start without allowing
uncertainty. Rationale behind this behavior was to prove the algorithm can solve a category of
problems with the good overall performance. Ignoring the uncertainty it was possible to compare
the DARWIN results with optimal ones, calculated by the linear programming solver.
There are a lot of parameters in the algorithm itself, so the next logical step was to check the
importance of the parameters. Experiments performed so far assumed that the decision maker
is infallible, consistent and acts according to a well-defined utility function. It is not the case in
real-life situations so the impact of inconsistencies in DM’s decisions was measured.
Knowing the characteristics, performance and impact of the parameters and the inconsistent
DM’s decisions one can check if the algorithm with similar characteristics on problems with interval
coefficients. Being unsatisfied with the performance on DTLZ1 problems the author checked the
influence of DomLem parameters on the result and included a second rules generating algorithm
— the AllRules algorithm. As a result a rich set of data containing performance characteristics
was gathered.
To conclude, the DARWIN method can handle very well a large variety of MOO problems.
A resulting solution is robust with respect to algorithm parameters, inconsistencies in Decision
Maker’s choices and finally to the uncertainty in the problem definition. Nevertheless the analyst
should be careful and investigate the problem instead of using the method blindly. There are some
problems which are hard for DARWIN to solve (e.g. DTLZ1). Even for these problems satisfactory
results can be achieved, however, one has to fine-tune the parameters and carefully observe their
impact on the result.
The method is simple to use for the decision maker even if he or she has no knowledge in the
decision support field. However for some problems the analyst’s assistance may be necessary in
order to select appropriate values for the parameters.
Chapter 6
Summary
In the paper a novel approach to multi-objective optimization was presented. The DARWIN
method is an interactive procedure utilizing the evolutionary algorithm to optimize a population
of solutions. The idea of DARWIN was first proposed by Salvatore Greco, Benedetto Matarazzo
and Roman Slowi´nski in [13, 15, 9]. However, in this paper the first implementation and numerical
results are provided.
The novelty of the method consists in utilizing an IMO process along with the EMO procedure.
DARWIN not only optimizes the population of solutions, but also drives the optimization towards
regions preferred by the decision maker. In order to do it, the preference information has to be
gathered. This is done by asking the DM a series of simple questions. A list of feasible solutions
is given and he or she is asked to indicate the “good” ones among them. The procedure uses
dominance-based rough set approach and the DomLem or AllRules algorithms to obtain a set of
“if . . . , then . . . ” decision rules. DARWIN is a first MOO technique using the decision rules.
The condition part of each rule corresponds to a dominance cone in the objective space built on
a subset of objectives. If a given solution matches the conditional part of the rule, it is considered
“good” with respect to this rule. The higher the number of rules matched, the higher the fitness
score in the evolutionary optimization, thus the bigger the chance to “survive” and advance to
the next generation.
DARWIN allows one to use intervals of possible values in the problem formulation. Multiple
scenarios are then tested. Objective space is transformed — it is no longer possible to provide
a value of an objective. One has to reason in terms of meaningful quantiles of each of the objectives.
This allows to take into account the decision maker’s attitude towards risk.
Two characteristics of the DARWIN method ensure robustness of the generated solutions.
Firstly, each solution is tested on multiple scenarios of uncertainty, so its characteristics are known
even considering fluctuations in the problem parameters. Secondly, the decision rules generated
by the DRSA framework are immune to inconsistencies in the decision maker’s choices. Therefore,
the algorithm can withstand inconsistencies in his or her decision and still guide the search towards
the preferred regions.
Performed computational experiments confirm the author’s intuition that the method can be
used to solve a class of multi-objective optimization problems. If there is no uncertainty involved
— the exact values of all problem coefficients are known — the resulting solutions are not further
than 10% from the optimal one. If the uncertainty is allowed a comparison to the optimal solution
is impossible, because it can not be provided to the problem that is not well-defined. However,
a comparison of the evolutionary optimization based on the DRSA decision rules with the one
where the supposed utility function is used can be made. The behavior of both optimizations is
similar and the conclusion is that the preference information extracted from the DM guides the
algorithm to the same regions where the supposed utility optimization. The results also showed
that DARWIN is immune to changes in parameters and, moreover, to inconsistencies in the decision
98 6 Summary
maker’s choices.
The implementation was done in the Scala programming language. The language runs on top
of the Java Virtual Machine (JVM). The JVM is a well-tested platform with enormous popularity
in an enterprise class of solutions. The platform is available on all of the popular hardware and
software architectures. This ensures portability of the code as well stability of the developed system.
Creating a component for a java platform increases the possibility of reusing the component in
further projects and solutions.
Future work may include performing more computational experiments. A catalogue of problems
along with a description of DARWIN’s behavior and results that can be achieved on them could be
prepared. One could also modify the evaluational optimization framework and check if, for example,
introducing other crossover operators leads to a different behavior on some of the problems.
In the current implementation the Monte Carlo procedure is using a uniform distribution of
values in intervals. An extension adding the possibility of selecting different distributions could be
developed.
The goal of the thesis was to describe, implement and test the DARWIN method. Implementa-
tion was prepared and experiments conducted. Recommendations on parameter values, problems
that can be solved and the expected performance are given. To summarize, it can be stated that
the goals of the thesis have been achieved.
Bibliography
[1] Cormen, T. H., Leiserson, C. E., Rivest, R. L., and Stein, C. Introduction to Al-
gorithms. No. 35.2. MIT Press and McGraw-Hill, 2001, ch. The traveling-salesman problem,
pp. 1027–1033.
[2] Darwin, C. On the origin of species. John Murray, London, 1859.
[3] Deb, K. Introduction to Evolutionary Multiobjective Optimization. 59–96.
[4] Deb, K., Agrawal, S., Pratap, A., and Meyarivan, T. A Fast Elitist Non-dominated
Sorting Genetic Algorithm for Multi-objective Optimisation: NSGA-II. In PPSN VI: Proceed-
ings of the 6th International Conference on Parallel Problem Solving from Nature (London,
UK, 2000), Springer-Verlag, pp. 849–858.
[5] Deb, K., Thiele, L., Laumanns, M., and Zitzler, E. Scalable multi-objective opti-
mization test problems. In in Congress on Evolutionary Computation (CEC’2002 (2002),
pp. 825–830.
[6] Fogel, L. J. On the organization of intellect. PhD thesis, University of California, Los
Angeles, 1964.
[7] Goldberg, D. E. Genetic Algorithms in Search, Optimization and Machine Learning.
Addison-Wesley Longman Publishing Co., Inc., Boston, MA, USA, 1989.
[8] Graham, R. L., and Hell, P. On the history of the minimum spanning tree problem.
IEEE Ann. Hist. Comput. 7, 1 (1985), 43–57.
[9] Greco, S., Matarazzo, B., and Slowi´nski, R. DARWIN-PCT: Dominance-based rough
set Approach to handling Robust Winning solutionsin IN teractive multiobjective optimiza-
tion using Pairwise Comparison Tables. In Proceedings of the 25th Mini-EURO Conference
on Uncertainty and Robustness in Planning and Decision Making, URPDM 2010 (Coimbra,
Portugal, 15-17 April 2010).
[10] Greco, S., Matarazzo, B., and Slowi´nski, R. Rough sets theory for multicriteria deci-
sion analysis. European Journal of Operational Research 1, 129 (1 2001), 1–47.
[11] Greco, S., Matarazzo, B., and Slowi´nski, R. Handbook of Data Mining and Knowl-
edge Discovery. Oxford University Press, New York, 2002, ch. Multicriteria classification by
dominance-based rough set approach.
[12] Greco, S., Matarazzo, B., and Slowi´nski, R. Search Methodologies: Introductory Tu-
torials in Optimization and Decision Support Techniques. Springer-Verlag, New York, 2005,
ch. Rough set based decision support.
100 Bibliography
[13] Greco, S., Matarazzo, B., and Slowi´nski, R. Preferences and Decisions: Models and
Applications. Springer, Berlin, 2010 (to appear), ch. Dominance-based Rough Set Approach
to Interactive Evolutionary Multiobjective Optimization.
[14] Greco, S., Matarazzo, B., and Slowi´nski, R. DARWIN: Dominance-based rough set
Approach to handling Robust Winning solutions in INteractive multiobjective optimization.
In Proc. 5th International Workshop on Preferences and Decisions (Trento, April 6-8, 2009),
pp. 34–41.
[15] Greco, S., Matarazzo, B., and Slowi´nski, R. Interactive Evolutionary Multiobjective
Optimization using Dominance-based Rough Set Approach. In Proc. WCCI 2010, IEEE World
Congress on Computational Intelligence (Barcelona, Spain, July, 18-23, 2010), pp. 3026–3033.
[16] Greco, S., Matarazzo, B., Slowi´nski, R., and Stefanowski, J. An Algorithm for
Induction of Decision Rules Consistent with the Dominance Principle. In RSCTC ’00: Re-
vised Papers from the Second International Conference on Rough Sets and Current Trends in
Computing (London, UK, 2001), Springer-Verlag, pp. 304–313.
[17] Greco, S., Matarazzo, B., Slowi´nski, R., and Stefanowski, J. Variable consistency
model of dominance-based rough sets approach. In RSCTC ’00: Revised Papers from the
Second International Conference on Rough Sets and Current Trends in Computing (London,
UK, 2001), Springer-Verlag, pp. 170–181.
[18] Harrah, M. A build tool for Scala.
[19] Horn, A. On sentences which are true of direct unions of algebras. Journal of Symbolic
Logic, 16 (1951), 14–21.
[20] Keen, K. J. Graphics for Statistics and Data Analysis with R. Chapman & Hall/CRC, 2010.
[21] King, P., Naughton, P., DeMoney, M., Kanerva, J., Walrath, K., and Hommel,
S. Code Conventions for the Java Programming Language.
[22] Lazenby, D. Cygwin: For Windows NT. Linux J., 14.
[23] Lindholm, T., and Yellin, F. Java Virtual Machine Specification. Addison-Wesley Long-
man Publishing Co., Inc., Boston, MA, USA, 1999.
[24] Loeliger, J. Version Control with Git: Powerful Tools and Techniques for Collaborative
Software Development. O’Reilly Media, Inc., 2009.
[25] Metropolis, N. The beginning of the Monte Carlo method. Los Alamos Science Special
Issue dedicated to Stanislaw Ulam (1987), 125–130.
[26] Miettinen, K., Ruiz, F., and Wierzbicki, A. P. Introduction to Multiobjective Opti-
mization: Interactive Approaches. 27–57.
[27] Pawlak, Z. Rough sets. International Journal of Computer and Information Sciences 11
(1982), 341–356. 10.1007/BF01001956.
[28] Puchinger, J., Raidl, G. R., and Pferschy, U. The multidimensional knapsack problem:
Structure and algorithms. INFORMS J. on Computing 22, 2 (2010), 250–265.
[29] Rechenberg, I. Evolutionsstrategie - Optimierung technischer Systeme nach Prinzipien der
biologischen Evolution. PhD thesis, Technical University of Berlin, 1965.
[30] Schwefel, H. P. Kybernetische Evolution als Strategie der experimentellen Forschung in
der Str¨omungstechnik. Master’s thesis, Technical University of Berlin, 1965.
Bibliography 101
[31] Shafranovich, Y. Common format and mime type for comma-separated values (csv) files.
Tech. Rep. RFC 4180, IETF, October 2005.
[32] Wickham, H. ggplot2: elegant graphics for data analysis. Springer New York, 2009.
[33] Wirth, N. What can we do about the unnecessary diversity of notation for syntactic defini-
tions? Commun. ACM 20, 11 (1977), 822–823.
[34] Wolpert, D. H., and Macready, W. G. No free lunch theorems for optimization. IEEE
TRANSACTIONS ON EVOLUTIONARY COMPUTATION 1, 1 (1997), 67–82.
[35] ˙Zurawski, M. Algorithms of induction of decision rules for multicriteria and multiattribute
decision problems. Master’s thesis, Poznan University of Technology, 2001.
Appendices
User’s manual
Content of the included CD
A CD is attached to the thesis. The CD contains this thesis in an electronic form, the DARWIN
distribution and the DARWIN source code. A short description of the content follows.
• Distribution — The distribution of DARWIN. To run, double click on a file darwin-full.jar.
• Source — A source code of the software.
• thesis.pdf — An electronic version of the thesis.
A graphical user interface for DARWIN
Starting the GUI application
A runnable jar with all the required dependencies is provided. See the disc attached to the the-
sis. The distribution is also available on-line at http://github.com/downloads/puszczyk/DarwinDS/
distribution.zip. The Java Runtime Environment (JRE) 1.5 or later is required. To run the ap-
plication, double click on a file darwin-full.jar in a graphical user interface or type following
command in a terminal:
$ java -jar darwin-full.jar
Figure 1 shows the main window of DARWIN.
Figure 1: The main screen of DARWIN
A set of problems (the ones with uncertain values) is included with the distribution.
Solving exemplary problems
DARWIN offers an intuitive and easy to use interface for solving MMO problems. The main
window is presented in Figure 1. To solve a problem one need to execute following steps:
1. Click the “Open” button in the main window.
106 User’s manual
2. Choose a problem file using a provided file selector (Figure 2). The problem has to be
described in the DARWIN .mod (model) file format.
3. The main window now shows a name of the problem (Figure 3). Click “Solve”.
4. A window presenting generated solutions appears (Figure 4). Mark preferred solutions as
“good” using checkboxes in the “Is good” column. Click “Next iteration” in order to start
evolutionary optimization procedure.
5. A window with solution details can be invoked by selecting a solution and clicking the “So-
lution details” button (Figure 5).
6. After selecting the solutions an evolutionary optimization begins (Figure 6). New solutions
are generated and one can mark “good” solutions from a new set again.
7. If generated solutions are satisfactory, then one can stop the algorithm by clicking “End the
algorithm”. It there are solutions marked as good, they will be saved. (Figure 7).
Figure 2: Selecting a problem to solve
Figure 3: Starting the algorithm
Figure 4: Marking the “good” subset of generated solutions
Figure 5: Decision variables for a given solution
Figure 6: An evolutionary optimization is performed
Figure 7: Finish the problem analysis
110 User’s manual
Advanced options
The DARWIN GUI offers additional options to customize the process. One can modify the algo-
rithm parameters in a configuration dialog (Figure 8). To open it, click the “Options” button in
the main window. The options are described below.
Tab Option name Description Default value
Main
The number of solu-
tions
The number of solutions in a population. 30
The number of scenar-
ios
The number of scenarios on which the so-
lutions will be evaluated.
30
The number of genera-
tions
The number of generations in the interior
loop.
30
Percentiles Which percentiles are meaningful to the
decision maker.
1.0, 25.0, 50.0
Use an average in
quantiles
Whether an average in quantiles should be
used instead of the maximum value.
false
The Algorithm
Use All Rules instead
of DomLem
Should the All Rules algorithm be used in-
stead of the default one
false
The DomLEM confi-
dence level
A level of confidence which the rules gener-
ated by the DomLem algorithm should at
least have.
0.6
Compare using the
supposed utility func-
tion
If the evolutionary algorithm should use
the supposed utility instead of a rule-based
score.
false
Fine Tuning
Delta The decay of the rule weight (see 3.3). 0.1
Gamma The coefficient of an elitism. The higher
the gamma, the higher the probability of
choosing a solution with a higher rank as
a parent.
2.0
Eta The initial mutation probability. 0.5
Omega The decay rate of the mutation probability. 0.1
Reports
The reports directory A directory where reports should be saved. ./reports
Save the evolutionary
report
If the evolutionary report should be saved
ia a file.
false
Save the decision
maker’s report
If the DM’s report should be saved in a file. false
The rules directory A directory where rules should be saved. ./rules
Save rules If the decision rules generated during a run
should be saved on a disk.
false
GUI Parameters Digits after a dot A number of digits that should be dis-
played after a dot.
2
The window presenting a list of generated solutions offers additional features. The list of
solutions can be sorted on a given criterion by clicking the column header (Figure 9). Another
useful option is a history of solutions. The user can review solutions generated in earlier iterations,
return to them and change his or her selections. This is possible using the history toolbar (see10).
Figure 8: DARWIN configuration options
Figure 9: Sorting solutions on a given criterion
Figure 10: Reviewing the history of generated solutions
The DARWIN .mod file format
MMO problems for DARWIN are specified in external files. These files are called the DARWIN
model files and usually have the .mod extension. The application contains a parser for the model
files. The parser grammar in the Extended Backus-Naur Form (EBNF, see [33]) is described below.
problem ::= { line }
line ::= statement , ";"
statement ::= utility_function |
variable |
goal |
constraint
variable ::= "var" , "[", [ var_type_constraint ], floating_point_number , ",",
floating_point_number ,
"]", identifier
var_type_constraint ::= "(B)" | "(I)"
goal ::= ("min" | "max"), identifier , ":", expression
constraint ::= identifier , ":", expression , (">=" | "<="), expression
utility_function ::= "!dec:", expression
expression ::= term , ("+" | "-"), expression |
term
term ::= factor , ("*" | "/"), term |
factor
factor ::= floating_point_number |
("+" | "-" | "ln"), factor |
quantile |
aggregate |
identifier |
interval |
"(", expression , ")"
quantile ::= "<", identifier , ",", floating_point_number , ">"
114 The DARWIN .mod file format
interval ::= "[", identifier , ":", floating_point_number , ",",
floating_point_number ,
"]"
aggregate ::= aggregate_operator , "(", expression , [{ ",", expression }], ")"
aggregate_operator ::= "sum" | "min" | "cos"
floating_point_number ::= ? A floating point number with an optional sign ?
identifier ::= ? A valid Java identifier ?
Comments handled by a preprocessor are possible — (1) line comments, starting with #, e.g.
#a-line-comment and (2) block comments, enclosed in /* */. Whitespaces are ignored.
A problem file consists of lines, each line contains a statement ended by a semicolon (;).
A statement can define the supposed utility function, a variable, a goal or a constraint. The
variables are defining the problem domain. They can be continuous (with double floating point
precision), binary (indicated by a (B) flag) or integer ((I) flag). Upper and lower limits of the
variable value have to be provided. Each variable has a name and can be referred by the name in
succeeding statements. Goals are the optimization criteria to be minimized or maximized. They
are named expressions and therefore can be referred later by the name. Constraints are named
inequalities. The inequality is not strict and both its sides can be expressions. Finally, the supposed
utility function is an expression prefixed with !dec:. The function is useful only if one wants to
simulate the decision maker.
An example file with the mix-problem definition is included below.
var[0, 13] xa;
var[0, 25] xb;
var[0, 13] xc;
max profit: [pa:20, 24] * min(xa , [da:10, 12])
+ [pb:30, 36] * min(xb , [db:20, 24])
+ [pc:25, 30] * min(xc , [dc:10, 12])
- [p1r:6, 7.2] * ([r1a:1, 1.2]* xa + [r1b:2, 2.4]* xb + [r1c :0.75 , 0.9]* xc)
- [p2r:9, 9.6] * ([r2a :0.5, 0.6]* xa + [r2b:1, 1.2]* xb + [r2c :0.5, 0.6]* xc);
min time: [ta:5, 6]*xa + [tb:8, 9.6]* xb + [tc:10, 12]* xc;
c1: xa <= 12;
c2: xb <= 24;
c3: xc <= 12;
c4: xa >= 0;
c5: xb >= 0;
c6: xc >= 0;
!dec: <profit , 0.01> + 3 * <profit , 0.25> + 2 * <profit , 0.50>
-1 * <time , 0.01> - 3 * <time , 0.25> - 2 * <time , 0.50 >;
The expressions are utilizing intervals (e.g. [pa:20, 24]) and the supposed utility function is
using meaningful percentiles (e.g. profit25%
: <profit, 0.25>).
Compiling DARWIN from the source
code
It is possible to build a DARWIN binary from the source code. It can be done using command
line on Windows, Linux and MacOSX. Instructions are given below.
1. Get the source code. Sources are included in a disk attached to the thesis. Alternatively,
most recent version is stored in the git repository (see [24]) and can be cloned by typing
a command:
$ git clone git://github.com/puszczyk/DarwinDS.git
2. Prepare a build tool. DARWIN uses sbt (see [18])— a build tool for Scala. Detailed setup
instructions are given in the project’s webpage. The easiest way is to install Scala (system-
dependent, consult http://scala-lang.org for details) and then prepare a script for running
sbt. Download sbt-launch.jar from the sbt website: http://simple-build-tool.googlecode.com/
files/sbt-launch-0.7.4.jar
Somewhere in the PATH put a script with the following content:
java -Xmx512M -jar ‘dirname $0‘/sbt-launch.jar "$@"
or (in case of Windows operating system):
set SCRIPT DIR=% dp0
java -Xmx512M -jar "%SCRIPT DIR%sbt-launch.jar" %*
Make the file executable. It is assumed further, that the script is named sbt.
3. Build the DARWIN binaries. Source code is located in the Darwin directory. First get
required dependencies:
$ cd DarwinDS/Darwin
$ sbt
> download-jars
Then run a set of unit-test to check if everything went fine up to this point:
> test
This should end with a message:
[info] All tests PASSED.
[success] Successful.
Now DARWIN can be compiled:
> compile
And run:
> run
To create a .jar package type:
> package
116 Compiling DARWIN from the source code
This will generate DARWIN binaries in a subdirectory named target.
The experiment framework
Instead of a graphical user interface, DARWIN can be run in a console-based batch mode. This is
useful for running a set of experiments. The batch run can be invoked by the experiment framework
located in the Experiment directory. The directory contains a few useful scripts written in Bash
and Python. As such it requirers MacOSX or a Linux distribution or a Windows operating system
with Cygwin installed (see [22]). The utility scripts are described below:
• runTestPlan.py — a script for running a set of tests. As an input it requires a location of the
DARWIN directory, a problem file, a darwin configuration file and a test plan specification.
The problem file is a file in the DARWIN .mod file format. The configuration is an .ini file
structured as follows:
[section]
option1 = value1
option2 = value2
(...)
optionN = valueN
Required sections and options are described in Table 4.1. The test plan specification is a
text file with the following structure:
>test_name_1/number -of -runs
[section -to -override]
option -to -override1 = value1
(...)
>test_name_N/number -of -runs
(...)
Each test is run number-of-runs times. For each test one can specify a list of options to
be overridden. It is useful for testing an influence of a parameter. An example test plan is
presented below.
>delta005 /15
[main]
delta = 0.05
>delta015 /15
[main]
delta = 0.15
>delta020 /15
[main]
delta = 0.20
>delta040 /15
[main]
delta = 0.40
This plan will run DARWIN fifteen times for each delta value. Run reports are saved in
a directory named after the current date and time. Test names are the names of subdirecto-
ries.
• genCharts.sh — a script for charting run reports. It requires installing the R environment
(see [20]) with ggplot2 and reshape libraries. The charts to be generated are included in
Compiling DARWIN from the source code 117
the Chart directory of the DARWIN distribution. The usage is:
$ genCharts.sh --brief/--full criteria-no best-val charts-dir testplan-out-dir
--brief/--full decides whether all charts or only the overview chart should be generated.
criteria-no is the number of criteria in the problem. best-val — an optimal value of the
problem, if can not be given should be set to 0. charts-dir is the directory with the R charts
to be generated. Finally, testplan-out-dir is an output directory of the runTestPlan.py
script. Available types of charts are presented in Figure 4.2.
The script will generate distinct charts for each test run. If one wants a comparison between
the tests, then ./genSummaryChart.sh should be used instead.
• genSummaryChart.sh — a script for charting a comparison between different test runs. The
usage is similar to genCharts.sh, however the number of criteria can be omitted, because is
irrelevant to the task. The usage is:
$ ./genSummaryChart.sh best-val charts-dir testplan-out-dir problem-name
Available types of charts are presented in Figure 4.3.

igor-kupczynski-msc-put-thesis

  • 1.
    Pozna´n University ofTechnology Institute of Computing Science Igor Kupczy´nski Interactive Evolutionary Algorithm for Robust Multi-Objective Optimization Master’s Thesis Supervisor: prof. dr hab. in˙z. Roman Slowi´nski Pozna´n 2010
  • 3.
    1 Writing the master’sthesis was a tremendous task, impossible to complete without the support I have received. I would like to thank my supervisor, prof. Roman Slowi´nski, for his help, reviews and encouragement. I have spent one semester at Universit´e Paris-Dauphine. The discussions with prof. Daniel Vanderpooten and his colleagues from LAMSADE1 were inspiring and as horizon-widening as the aura of the City of Light. I would like to thank him for the opportunity. Finally, I would like to thank one person I cannot name, the dedicated and gifted linguist, for her inestimable comments. 1The LAMSADE laboratory, established in 1974, is the joint laboratory of Universit´e Paris-Dauphine and CNRS (National Center for Scientific Research). Its central research activity lies at the interface of two fundamental scientific areas: Computer Science and Decision Making.
  • 5.
    Contents 1 Introduction 5 1.1Goal and scope of the thesis . . . . . . . . . . . . . . . . . . . . 6 2 Multi-Objective Optimization 7 2.1 Interactive Approaches to MOO . . . . . . . . . . . . . . . . . . . 7 2.2 Evolutionary Approaches to MOO . . . . . . . . . . . . . . . . . . 8 2.3 Dominance-Based Rough Set Approach to MOO . . . . . . . . . . . . . 11 3 DARWIN, the Idea behind the Method 13 3.1 Background . . . . . . . . . . . . . . . . . . . . . . . . . . 13 3.2 Modeling of uncertainty . . . . . . . . . . . . . . . . . . . . . . 14 3.3 The algorithm . . . . . . . . . . . . . . . . . . . . . . . . . 16 4 Implementation of DARWIN 21 4.1 The issues of implementation . . . . . . . . . . . . . . . . . . . . 21 4.1.1 The programming environment. . . . . . . . . . . . . . . . . 21 4.1.2 The software prototype . . . . . . . . . . . . . . . . . . . 22 4.1.3 The final implementation . . . . . . . . . . . . . . . . . . . 22 4.2 Experiment framework . . . . . . . . . . . . . . . . . . . . . . 24 5 Results of Computational Experiments 29 5.1 The environment . . . . . . . . . . . . . . . . . . . . . . . . 29 5.2 The Decision Maker . . . . . . . . . . . . . . . . . . . . . . . 29 5.3 Problem selection . . . . . . . . . . . . . . . . . . . . . . . . 30 5.4 A deterministic case . . . . . . . . . . . . . . . . . . . . . . . 33 5.4.1 Single run analysis . . . . . . . . . . . . . . . . . . . . . 33 5.4.2 The computational performance on exemplary problems . . . . . . . 45 5.4.3 The influence of parameters on the method . . . . . . . . . . . . 52 5.4.4 DM’s decisions inconsistent with supposed utility function . . . . . . . 52 5.4.5 A different rule-generating algorithm . . . . . . . . . . . . . . 60 5.4.6 The best results . . . . . . . . . . . . . . . . . . . . . . 63 5.5 The case of uncertainty . . . . . . . . . . . . . . . . . . . . . . 65 5.5.1 Single run analysis . . . . . . . . . . . . . . . . . . . . . 65 5.5.2 The computational performance on exemplary problems . . . . . . . 73 5.5.3 The influence of the basic parameters on the method. . . . . . . . . 76 5.5.4 DM’s decisions inconsistent with supposed utility function . . . . . . . 78 5.5.5 DomLem parameters . . . . . . . . . . . . . . . . . . . . 80 5.5.6 AllRules algorithm . . . . . . . . . . . . . . . . . . . . . 83
  • 6.
    4 Contents 5.5.7 Thesecond-order stochastic dominance. . . . . . . . . . . . . . 88 5.5.8 The best results . . . . . . . . . . . . . . . . . . . . . . 90 5.6 Conclusions . . . . . . . . . . . . . . . . . . . . . . . . . . 95 6 Summary 97 Bibliography 99 Appendices 105 User’s manual 105 The DARWIN .mod file format 113 Compiling DARWIN from the source code 115
  • 7.
    Chapter 1 Introduction Optimization isa process of finding the best solution from a set of available alternatives. In the simplest case it involves only a single objective. An objective is a problem’s goal, whose value has to be maximized (or minimized). An optimization problem consists of a set of decision variables; values of those variables affect the problem’s objectives. A domain of the problem — a set of possible values that can be taken by the decision variables — may be subject to additional constraints. An assignment of values to the decision variables is called a solution. A solution is feasible if the values meet the constraints imposed on the problem. Therefore, the task of optimization is to find a feasible solution, which maximizes (minimizes) the value of the problem’s objectives. Optimization is a field of applied mathematics, which has gained importance during and after the Second World War. The driver for developments in the field are real-life, mainly military or industrial problems. They are often large-scale and of high importance; solving a problem of this kind usually yields a profit outranking the costs that one has to bear to employ a formal approach. To use optimization methods one has to formulate a problem in a mathematical way — build a model of the problem. Therefore, it is common to make a distinction between a stakeholder — a decision maker (DM) having expert knowledge in a problem domain and an analyst — a mathematician or a scientist that will create the model and choose an appropriate optimization technique. If there is only one, single objective in the problem definition, then the optimization usually results in a one optimal solution which has the best possible value of the goal. However, this is not the case when multiple goals are considered. Usually the optimal value for one goal is far from being an optimal for the other; for example, consider a simple problem of choosing a laptop computer to buy — the one with the highest performance is not the cheapest and the cheapest will probably not offer a state-of-the-art performance. No trade-offs between objectives can be assumed a priori. This is because the importance of each goal may be different for different decision makers — someone can choose a cheap computer, while the other will opt for the highest performance available. However, one can indicate a non-dominated set of solutions — the Pareto-frontier of the problem. Informally, a solution is Pareto-efficient if a value of any of its criteria can not be improved without worsening the other values. In the laptop example it could be a list of the cheapest computers for different performances. Multi-Objective Optimization (MOO) methods are usually sophisticated, with many parame- ters for the analyst to fine-tune them. However, the decision maker is usually not interested in the details of the method, but only in a single recommendation, possibly along with a justification. The analyst will set up the method and its parameters based on his or her intuition and on a research carried out earlier. An experienced analyst can usually decide what parameters’ values should be used, but still it may be impossible to set the values precisely to the best possible options. If one can change parameters a bit and the resulting solution is similar to the one acquired before,
  • 8.
    6 1 Introduction thenthe solution is called robust. The same applies if the problem model can not be formulated precisely — for example, it contains a value that may be only estimated, like the future price of a raw material. The solution should be resistant to small fluctuations in the problem’s model parameters. The robustness in MOO context is the ability to withstand changes in the parameters and in the problem formulation; it is a very important quality of any MOO technique. To give final recommendation instead of the Pareto-frontier one has to engage the decision maker in the process. The method has to be interactive in order to gather the DM’s preferences. It can be done by showing exemplary feasible solutions and asking the decision maker to rank them or simply by asking about the inter-criteria trade-offs. These preferences are used to guide the search of the solution space in the directions desired by the DM. An optimization technique involving interaction with the decision maker is called the interactive multi-objective optimization (IMO) technique. The algorithm is a well-defined list of instructions for completing a task. Several researchers suggested that principles of the evolution — particularly, the concept of population and survival of the fittest individuals can be a good model of operation for multi-criteria optimization algorithms. Methods using these principles are called the evolutionary algorithms (EAs) while the whole field of research is the evolutionary multi-objective optimization (EMO). In this paper, the author presents a software implementation of the DARWIN method and the first large computational experiment with DARWIN. DARWIN is an acronym for Dominance- based rough set Approach to handling Robust Winning solutions in INteractive multi-objective op- timization. It has been proposed by Salvatore Greco, Benedetto Matarazzo and Roman Slowi´nski in [9, 13, 14, 15] for solving multi-objective optimization problems. It interacts with the deci- sion maker in order to find the solution which best fits his or her preferences. The preferences are represented in the form of decision rules. They are used for guiding the search of the most preferred solutions in the solution space. An evolutionary algorithm is used as an optimization engine. Therefore, DARWIN combines IMO and EMO paradigms. It allows an analyst to model uncertainty in the problem definition, thus generating robust solutions. 1.1 Goal and scope of the thesis The thesis consists of six chapters. Firstly, the theoretical background is presented. A detailed description of the DARWIN method is presented in Chapter 3. Chapter 4 discusses an implemen- tation on an IBM-PC class computer. Experiment results are shown and discussed in Chapter 5. Finally, areas of further research are indicated along with conclusions and recommendations about the method. The goal of the thesis is to implement the DARWIN method, evaluate its performance on a few MOO problems and test the influence of method’s parameters on the final result. Basic recommendations for the analysts willing to use the method should be given. A user manual describing how to use the implementation and what are the file formats used by the software has to be attached to the thesis.
  • 9.
    Chapter 2 Multi-Objective Optimization Oftena model of a problem contains multiple objectives. This is the case when conflicting goals cannot be easily converted to a single objective. The decision support when more than one goal is considered to be not an easy task to perform, however, several approaches exists. These approches are described in the chapter. 2.1 Interactive Approaches to MOO The Multi-Objectie Optimization problems usually have multiple Pareto-optimal solutions. How- ever, the Decision Maker is usually interested in a single recommendation — the single solution he or she may implement. The most-preferred solution is a solution from the Pareto-frontier of the problem, for which the DM is convinced it is his or her best option. To find the most preferred solution, an interaction with the DM is necessary. A problem solver needs to know the Decision Maker’s preferences in order to differentiate Pareto-optimal solutions. Without the preferences all solutions on the Pareto-frontier have to be considered equal. The DM can build his or her global preference model before an algorithm solving the problem starts and give this model as an input. This is call the a priori method. However, this method has its weaknesses. It may be hard for the Decision Maker to give the full preference structure. It is possible also, that he or she will change his or her preferences after evaluating solutions received from the problem-solver. The interactive approach overcome this weaknesses by involving the DM in the process. A basic structure of the approach is shown in Figure 2.1. At first, an initial set of solutions is generated. It can be a subset of the Pareto-frontier or just a set of feasible solutions. Then, based on the solutions, the Decision Maker specifies his or her preferences. It can be done by a systematic dialog, asking a series of questions or asking the DM to indicate “good” solutions among the set. From the DM’s answers a preference model is built. This additional preference information guides the search towards a region indicated by the Decision Maker. This can save the computa- tional cost, because the algorithm doesn’t have to go through the whole search space. Again, new solutions, probably better fitted to the DM’s preferences are generated and the algorithm shows them to him or her. If he or she finds it satisfactory (or a stop condition is met) then the algorithm stops. Otherwise it advances to the next iteration. There are several types of the IMO methods (consult [26] for an in-depth description): • Trade-off based methods. A trade-off is an exchange, a price that one is willing to pay (in form of lost on some of the criteria), in order to benefit on another criterion (or criteria). These methods ask the DM questions about the trade-offs he or she can accept and then, a preference model is inferred based on the tread-offs.
  • 10.
    8 2 Multi-ObjectiveOptimization Generate an initial set of solutions Show the solutions to the decision maker Is any of the solutions satisfatory? [Yes] Ask the DM to indicate "good" solutions Extract preference information Improve the solution set [No] Figure 2.1: An activity diagram for a typical interactive process • Reference point approaches — the DM specifies bounds on values of the objective func- tions (i.e. reference points) and then, he or she can observe the effect of the bounds on the generated solutions. • Classification-based methods. It is not possible to improve a value of a goal of a solution from the Pareto-frontier without worsening other goals of the solutions. In the classification- based methods the DM is asked to select goals that can be impaired and the ones that he or she wants to improve. The interactive approach requires the Decision Maker’s collaboration during the process, how- ever the approach offers strong benefits to justify this dedication. Clearly, the computational cost required is lower than in other approaches, because there is no need to evaluate whole solution space, just its small subset. The DM may not be able to express a global structure of his or her preferences up front. It is also possible that his or her preferences will change along with the change in understanding of the problem. During the interactive process the DM has an immediate feedback — he or she may see how the decisions are affecting problem solutions. One can say that solving a Multi-Objective Optimization problem is a constrictive process, where the Decision Maker learns more about the problem — what kind of solutions are possible and how his of her choices influences the results (see [26]). As a result, not only the most preferred solution is given, but also the problem understanding by the DM is better. 2.2 Evolutionary Approaches to MOO In 1859, Charles Darwin published his work “On the origin of species” [2]. He introduced a scientific theory describing the evolution of species through the process called natural selection. According to the theory, a trait can become less or more common in the population in dependence on its effect upon the survival and reproduction of the individuals bearing the trait.
  • 11.
    2.2 Evolutionary Approachesto MOO 9 P := Initialization Termination conditions are met? [Yes] Evaluate(P) P' := Selection(P) P'' := Variation(P')P := Elitism(P, P'') [No] Figure 2.2: An evolutionary optimization procedure This idea can be easily transfered to the optimization field. A solution to a problem — that is, the set of values of problem’s decision variables — is a single individual in the population. The problem is the environment — the higher the solution evaluation on a given problem, the better it is fitted to the environment. A better fitness means higher chance that the traits of a solution will be present in the next iteration (an analogue of a reproduction success rate). First successful applications of the idea were done in the electrical engineering field (see [6]) and in the fluid mechanics (see [29, 30]). The main differences between the classical and the evolutionary optimization (EO) are (see [3]): • Population-based. An EO procedure uses a population of solutions (a population ap- proach), whereas the classical algorithms maintain one solution at a time (a point approach). It enables an algorithm to maintain multiple optimal solutions, possibly from different parts of the solution space. Unfortunately it rises the memory and computational footprint of an EO algorithm. • Stochastic operators. An EO procedure uses stochastic operators (e.g. selection, crossover or mutation) instead of deterministic ones. • Gradient information. An EO procedure does not usually use gradient information directly in performing a search. This means that the procedure is immune to local optima in a search space. However, the EO procedure may not be competitive with dedicated gradient approach. The basic evolutionary optimization procedure is shown in Figure 2.2. The algorithm starts with creating a population of solutions. Usually the population is created at random within bounds of decision variables. Then a succesion of generations starts. The populations is updated by a sequence of operators. First, the population is evaluated. The evaluation means establishing an relative preference order, that is sorting solutions from the best to the worst. After the evaluation the algorithm chooses solutions to fill the mating pool. The better the solution the higher the probability to be chosen. Then, the variation operator is being used. It is a series of steps, such as crossover or mutation, generating a succeeding generation (an offspring) from parents in the mating pool. The crossover ensures that parents’ traits will be present in the next generation while the mutation acts as local search in the solution’s neighborhood. Finally, the elitism operator combines the old population with the newly created offspring. Coping best solutions from the former ensures the algorithm has a monotonically non-degrading value of the best solution.
  • 12.
    10 2 Multi-ObjectiveOptimization 100 1 2 3 4 5 6 7 8 9 10 0 1 2 3 4 5 6 7 8 9 Goal 1 (gain) Goal2(gain) Pareto-frontier #1 Pareto-frontier #2 Pareto-frontier#3 Pareto-frontier #4 The crowded areas Individuals Label Figure 2.3: The NSGA-II evaluation The choice of a fitness function is critical to the algorithm’s performance. In case of a problem with a single criterion this is trivial — a value of the goal can be used. However, in the case of the Multi-Objective Optimization, there are a number of objective functions to be optimized. A possible approach to the problem is to use the dominance principle ([7]): A solution x is said to dominate the other solution y, if both of the following conditions are true: 1. The solution x is not worse than y on all objectives. Thus, the solutions are compared based on their objective function values. 2. The solution x is strictly better than y on at least one objective. All the solutions that are non-dominated by any other solution are forming the Pareto-frontier of the problem. According to [3] there are two ideal goals of the EMO: 1. Find a set of solutions which lies on the Pareto-optimal front, and 2. Find a set of solutions which is diverse enough to represent the entire range of the Pareto- optimal front. The most representative example of the Evolutionary Multi-objective Optimization (EMO) algorithm is NSGA-II ([4]). The basic idea behind the algorithm is to assign each solution in a population to a number of different Pareto-frontiers. All non-dominated individuals are assigned to first Pareto-frontier and then removed from the population. All non-dominated individuals after the removal are then assigned to second frontier. The process repeats until there are individuals in the population. The lower the number of the frontier, which an individual belongs to, the higher the fitness function for it. In case of a tie the crowding score is taken into account — the lesser the crowd in the solution’s neighborhood in an objective space, the better the solution’s evaluation. This is illustrated in Figure 2.3.
  • 13.
    2.3 Dominance-Based RoughSet Approach to MOO 11 2.3 Dominance-Based Rough Set Approach to MOO A rough set is an approximation of a conventional set — a pair of sets being a lower and an upper approximation of the original set ([27]). The lower approximation is a set of all objects that unambiguously can be classified as members of the target set. On the other hand, the upper approximation is a set containing objects that cannot be unambiguously classified as members of the complement of the target set. A boundary region is the part of solution space being part of the upper approximation, but not the lower one. Dominance-based Rough Set Approach (DRSA) is an extension of the rough set theory intro- duced in [10, 11, 12]. The indiscernibility relation is replaced by the dominance relation (defined in the former section). DRSA is applicable in the decision support field. DRSA can model the situations in which a finite set of objects — vectors of values in the decision variable space — has been classified to some decision classes, such that one object belongs to exactly one class. The classes are preference ordered. The main task of DRSA is to structure the classification into lower and upper approximations of unions of ordered decision classes, prior to induction of monotonic decision rules, representing the preferences of an agent who made the classification decision. An example of the DRSA data structuring is given in Figure 2.4. The data in Dominance-based Rough Set Approach are often presented in a decision table. The objects being considered are written in table rows, the decision attributes are table columns. The last column is classification of the objects to a decision classes. A formal definition of the decision table can be easily found in the literature. An example is given in Table 2.1. On the basis of the table, decision rules may be induced. They are generalized description of the knowledge represented in the table. A decision rule is a Horn clause (see [19]) in form of “if ..., then ...”. The former part is called condition and the latter — consequent. The condition part compares a value of an object attributes with given thresholds and the consequent part represents the object classification if the condition part holds. Rules can be either certain — based on objects from the lower approximation of the class, possible — based on objects from the upper approximation and approximate — based on the boundary region. Each decision rule should be minimal, i.e. cardinality of the set of conditions should be minimal. Example rules generated from Table 2.1 are as follows: 1. If Literature ≥ good then Student ≥ good, 2. If Mathematics ≤ bad and Physic ≤ medium then Student ≤ bad, 3. If Mathematics ≥ medium then Student ≥ medium (possible). DRSA can handle uncertainty and contradictions in the data, thus it can model a wide class of real-world decision problems. For each rule r given in from Φ → Ψ, the following measures are defined: Student Mathematics Physics Literature Overall class 1 good medium bad bad 2 medium medium bad medium 3 medium medium medium medium 4 medium medium medium good 5 good medium good good 6 good good good good 7 bad medium medium bad 8 bad bad medium bad Table 2.1: An example of the decision table
  • 14.
    12 2 Multi-ObjectiveOptimization 400 5 10 15 20 25 30 35 40 0 5 10 15 20 25 30 35 gain 2 gain1 Lower approximation of "High" Upper approximation of "High" High Medium Low Figure 2.4: An example of the DRSA approach • Support: supp(Φ, Ψ) = cardinality(||Φ ∧ Ψ||) — is the number of objects for which the condition of the rule holds and the object classification is consistent with the consequent of the rule. • Confidence: confidence(Φ, Ψ) = supp(Φ, Ψ) cardinality(||Φ||) — is the number of objects supporting the rule in a relation to the number of objects for which the rule’s condition holds. . Objects supporting rule no. 3 are {S2, S3, S4, S5}, but the condition part holds also for S1. The support is thus: supp(r3) = 4 5 = 0.8. To induce all rules from the decision table one can use the All Rules algoritm (an optimized version is described in [35]). Another option is to use the DomLem algorithm ([16]) generating a minimal set of rules covering all the objects from a given table.
  • 15.
    Chapter 3 DARWIN, theIdea behind the Method The basic idea of Darwin method was introduced in [14]. This idea will be described in the following paragraph. 3.1 Background The method combines two different approaches — Interactive Multi-Objective Optimization (IMO, see 2.1) and Evolutionary Multi-Objective Optimization (EMO, see 2.2). In the IMO paradigm one wants to elicit decision maker’s preferences by involving him or her in the process. This is done by a systematic dialog with the decision maker (the DM). Questions are being asked and the DM provides answers. Preference information is extracted on the basis of these answers. Algorithm can then use the knowledge to produce solutions better fitted to his or her preferences. The IMO framework is presented in Figure 2.1. The rationale behind the interactive process is that the decision maker is interested only in a small subset of preferred solutions or even in a single most preferred one. This process makes it possible to gather preference information and then use this information to construct better solutions. However, this is just a framework, so details are left up to the analyst. One has to think particularly how to extract and store knowledge gathered on DM’s answers and how to use this knowledge to generate and provide solutions better fitted to decision maker’s preferences. Human factor is yet another thing to consider. The DM is a human being and thus his or her behavior may change. The challenge here is to find out what questions should be asked and how often, as well as how many intermediate solutions should be presented to the DM for evaluation. DARWIN is a realisation of the IMO process. It keeps generating solutions and improving them on the basis of DM’s feedback. It only asks the DM to mark potentially good solutions, so that only problem-domain knowledge is required; its user does not need to have expert knowledge in the decision support field. Evolutionary Multi-Objective Optimization (EMO) provides a computational engine for gener- ating new, still better solutions in successive iterations — better in sense of an objective function defined in the solution space. Most of the EMO methods are approximating Pareto-optimal front by a set of solutions. So one solution is better than the other if the former Pareto-dominates the latter. In case of two equivalent ones another factors have to be taken into account (for example crowding score of NSGAII [4]). This is the case because if no preference information is given, all Pareto-optimal solutions have to be considered equivalent.
  • 16.
    14 3 DARWIN,the Idea behind the Method 100 1 2 3 4 5 6 7 8 9 10 0 1 2 3 4 5 6 7 8 9 Goal 1 (gain) Goal2(gain) Pareto-frontier An area prefered by the DM Dominated solutions Figure 3.1: Pareto-front and area preferred by the decision maker It seems natural to combine these two described approaches — Interactive Multi-Objective Optimization and Evolutionary Multi-Objective Optimization. IMO is just a process framework but still needs an engine to generate and improve solutions. EMO is such an engine. On the other hand for EMO involving the decision maker in the procedure results in gathering preference information. This information allows the procedure to focus on a specific region of Pareto-front — the most relevant one to the decision maker. In this way IMO and EMO are complementing each other. This is important because of the “human factor”. If the number of solutions becomes huge, the DM can not effectively analyze them and find the one that fits his/her preferences best, thus Pareto- optimality is not sufficiently discriminative. However, guiding the search to preferred regions of the solution space allows the method to converge faster to good solutions. It is shown in Figure 3.1. DARWIN uses EMO procedure to improve generated solutions based on the DM’s preferences. 3.2 Modeling of uncertainty It is often the case that not all numbers and coefficients are precisely known. It may be easier for the decision maker to formulate the Multi-Objective Optimization problem giving the problem coefficients in the form of intervals of possible values. For example, instead of saying that product price will equal 20 units one can say it will be in the [19, 21] interval. In this situation the decision maker is often interested in finding the best robust solution — that is good and possible in a large part of uncertainty scenarios. DARWIN allows to give the coefficients in a form of intervals. The set of all of the problem’s coefficients given as intervals and fixed on one of possible values will be called scenario of imprecision (see Figure 3.2). If intervals are allowed, it is impossible to calculate the exact value of problem’s objectives for given solutions. To handle this case all the considered solutions are evaluated over a set of uncertainty scenarios.
  • 17.
    10-1 0 12 3 4 5 6 7 8 9 a b c Scenario: {a ->2, b -> 6, c -> 4} a = [1, 10] b = [5, 10] c = [0, 5] Figure 3.2: Scenario — set of intervals fixed on specific values 3.5-3.5 -3 -2 -1 0 1 2 3 0.1 0.2 0.3 0.4 25% 50% 75% Figure 3.3: Percentiles of the normal distribution
  • 18.
    16 3 DARWIN,the Idea behind the Method Results of this evaluation are then aggregated to quantile space. The quantiles are points taken at regular intervals from the cumulative distribution of a random variable. If the interval consists of 0.01 of the distribution, then the quantiles are called percentiles (percentiles of the normal distribution are shown in Figure 3.3). Instead of presenting all of the results, the method calculates meaningful quantiles of results distribution for each objective. For example, percentiles (like 1%, 25% and 50%) can be chosen. Percentiles divide ordered data into 100 of equally-sized subsets — 1% percentile is the best of 1% worst solutions or alternatively the worst of 99% of the best solutions. Choice of these quantiles is connected with the DM’s attitude towards risk. If he or she wants to avoid risk then his/her decision will be focused on quantiles from the beginning of the distribution (e.g. 10%). On the other hand, when he or she is interested in the best possible solution even if there is a risk involved, then the quantiles from the end of the distribution will be inspected (e.g. 75%). In DARWIN the DM’s preferences are gathered and stored using DRSA methodology (see 2.3). Dominance-Based Rough Set Approach is a framework for reasoning about partially inconsistent preference data. DRSA already has successful applications in IMO area (see [10, 11, 12]). DRSA will be applied in IMO process. After selecting “good” solutions from the provided set the decision rules are induced to store the preferences. These rules are given in the form of “If ... then ...”. Conditional part is a disjunction of conditions on attributes from quantile space. These attributes are compared to specific values, e.g. profit25% >= 100 ∧ time1% <= 10. The consequent part assigns a solution to a class (at least or at most), e.g. Class at least Good. So the whole rule would be If profit25% >= 100 ∧ time1% <= 10 then Class at least Good. 3.3 The algorithm DARWIN can operate on Multi-Objective Optimization (MOO) problems defined as follows: [f1(x), f2(x), . . . , fk(x)] → max (3.1) subject to: g1(x) ≥ b1 g2(x) ≥ b2 . . . gm(x) ≥ bm (3.2) Where: x = [x1, x2, . . . , xn] is a vector of decision variables, called a solution; f1(x), f2(x), . . . , fk(x) are objective functions, f : x → R; g1(x), g2(x), . . . , gm(x) are constraint functions, f : x → R; b1, b2, . . . , bm are real-valued right hand sides of the constraints. It is possible to give some of the coefficients in objective functions or constraints in the form of intervals (thus modeling ignorance — uncertainty about real value of a coefficient). A vector of fixed values for each interval is called scenario of imprecision (see Figure 3.2). DARWIN is composed of two nested loops — exterior and interior. The former is a realisation of an interactive process and the latter is an EMO engine dedicated to improve solutions based on the decision maker’s preferences. This is illustrated in Figure 3.4. The exterior loop algorithm, corresponding to the IMO interactive process is shown on alg. 1. A More detailed description of each step follows. First, one has to generate a set of feasible solutions to the MOO problem first. This can be done using the Monte Carlo method. The Monte Carlo concept itself is not new. A concept of
  • 19.
    Generate an initialset of solutions Show the solutions to the decision maker Is any of the solutions satisfactory? [Yes] [No] Generate an initial set of scenarios Ask the DM to indicate a subset of "good" solutions Generate rules Perform an evolutionary optimization Figure 3.4: Activity diagram for DARWIN. “Perform an evolutionary optimization” step is forming the interior loop Algorithm 1 DARWIN’s exterior loop 1: X ← GenerateSolutions 2: S ← GenerateScenarios 3: loop 4: for all x ∈ X, s ∈ S do Evaluate each solution over all of the scenarios 5: Evaluate(x, s) 6: end for 7: isSatisfied ← PresentResults 8: if isSatisfied then 9: stop 10: else 11: X ← AskToMarkGood(X) 12: end if 13: rules ← InduceDecisionRules(X) 14: X ← EmoProcedure(rules) the interior loop 15: end loop
  • 20.
    18 3 DARWIN,the Idea behind the Method statistical sampling became popular after digital computing machines had been invented (see [25]). This method can be described as random sampling a domain of a problem. In the most basic variant one can just pick a solution at random and check if it is feasible. Unfortunately, it will be impossible unless the non-feasible space is only a small part of the domain. Additional hints for the generator, for example in the form of analyst’s suggestions, can be taken into account. At this stage goals and constraints are allowed to contain intervals corresponding to the un- certainty of a model. Thus a set of scenarios needs to be generated. Each of these scenarios is a realisation of the problem with fixed values of the intervals. It is worth noting that if the problem constraints are given in an uncertain form — that is containing coefficients in the form of intervals — it could be impossible to determine whether a given solution is possible. If that is the case, then lines 1 and 2 should be swapped and feasibility of a solution set should be checked on generated scenarios. In lines 4 to 6 each solution if evaluated over each scenario. Results of this evaluation phase are then gathered and presented to the decision maker in 7. The DM is a human being though, so in order to get valuable feedback one need to show the data in aggregated form. The au- thors proposed a meaningful quantiles to be presented. For example f1% 1 (x), f25% 1 (x), f50% 1 (x), . . . , f1% k (x), f25% k (x), f50% k (x) for all x ∈ X. If the DM finds solution in the set of presented ones satisfactorily, then the problem is solved and algorithm ends here. If not, however, he or she is asked to indicated the “good” solutions in the set (line 11). On the basis of this distinction, the method generates a set of decision rules (line 13). These rules are then passed to the interior loop (line 14) where — by using the EMO paradigm (see 2.2) — DARWIN performs search of the solution space. The search is driven towards a specific region on the basis of the rules. Finally new solutions, better fitted to DM’s expectations are generated and the process starts over again. Algorithm 2 shows the interior loop of DARWIN method. This loop is an EMO procedure guided by the decision rules induced in exterior loop on DM’s selections. Algorithm 2 DARWIN’s interior loop 1: procedure EmoProcedure(rules) 2: X ← GenerateSolutions 3: S ← GenerateScenarios 4: loop 5: for all x ∈ X, s ∈ S do this loop calculates meaningful quantiles for each solution 6: Evaluate(x, s) 7: end for 8: if termination conditions fulfilled then 9: return X 10: end if 11: pScore ← CalculatePrimaryScore(X) 12: sScore ← CalculateSecondaryScore(X) 13: X ← RankSolutions(X, pScore, sScore) 14: P ← SelectParents(X ) 15: O ← RecombineOffspring(P) 16: O ← Mutate(O) 17: X ← MergePopulations(X , O ) 18: end loop 19: end procedure The procedure starts by generating a new set of feasible solutions and possible scenarios in lines 2, 3. Then in line 4 actual evolutionary optimization starts. Each solution is an individual. The solution set constitutes a population. Iterations of a loop defined in line 4 mark generations of the population. Termination condition could be for example a fixed number of iterations or a fixed amount of time.
  • 21.
    3.3 The algorithm19 First, in every generation the population is evaluated and ranked. The process starts with evaluation of each solution over every scenario (5 – 7). After the evaluation meaningful quantiles are known for each solution. Then the procedure can calculate a primary score for each of the individuals. The primary score is computed as follows. Let: rules(x) = {ruleh ∈ rules : ruleh is matched by solution x} rules(x) is a set of rules (ruleh ∈ rules) matched by solution x ∈ X. X(ruleh) = {x ∈ X : x is matching ruleh} For each ruleh ∈ rules : X(ruleh) is a set of solutions matching this rule. w(ruleh) = (1 − δ)card(X(ruleh)) Each rule (ruleh) gets a weight related to the number of times it is matched by a solution. δ is a decay of rule weight. For example δ = 0.1. This formula associates higher weight for rules matching lesser number of solutions — this is an important property because it allows to maintain diversity with respect to rules. PrimaryScore(x) = ruleh∈rules(x) w(ruleh) Finally PrimaryScore(x) is a primary score of a given solution (x ∈ X). In case of a draw also a secondary score is considered for each solution. This score is calculated similarly to a crowding distance score in NSGA-II method ([4]). The difference lies in the fact, that this score is calculated in a quantile space instead of original objective space, e.g. f1% 1 × f25% 1 × f50% 1 × · · · × f1% k × f25% k × f50% k . The procedure is shown in alg. 3. Algorithm 3 Procedure calculating crowding distance 1: procedure CalculateCrowdingDistance(X) 2: n ← |X| Number of solutions 3: for all x ∈ X do Initialize 4: distance(x) = 0 5: end for 6: for all o ∈ objectives do 7: X ← Sort(X, o) Sort solutions using value of an o objective 8: distance(X‘(1)) ← ∞ Boundary solutions get highest score possible 9: distance(X‘(n)) ← ∞ X‘(n) is the n-th element of the X‘ ordered set 10: end for 11: for i ← 2, n − 2 do o(x), x ∈ X is a value of the objective o in the solution s 12: distance(X‘(i)) ← distance(X‘(i)) +[o(X‘(i − 1)) + o(X‘(i − 1))] 13: end for 14: end procedure In line 14 parents selection is done. The process is a Monte Carlo procedure; possibility of selecting a solution x ∈ X as a parent is: Pr(x) = |X| − rank(x) + 1 |X| γ − |X| − rank(x) |X| γ where rank(x) is a rank of a solution x ∈ X in the ranking made in line 13. γ ≥ 1 is an elitism coefficient. The higher the γ, the bigger the probability of selecting a high-ranked solution as a parent. In line 15 a new individual (a child) is created using two of the parents chosen in the previous step — a ∈ P, b ∈ P. The child is obtained by combining the parents together: z = λa + (1 − λ)b λ is a random real-valued number; 0 ≤ λ ≤ 1.
  • 22.
    20 3 DARWIN,the Idea behind the Method Mutation operator is applied to the offspring population. Probability of mutation for a single individual is decreasing in successive generations and can be calculated using the formula: Pr(t) = (1 − ω)t−1 Where t is a number of current iteration, ω - mutation decay rate, - initial mutation probability. Suggested values are ω = 0.1, = 0.5. In this section, the DARWIN idea was explained. Its implementation is described in the next chapter.
  • 23.
    Chapter 4 Implementation ofDARWIN DARWIN is a high-level description of an algorithm that can be used to solve a multi-objective optimization problem. It is a list of steps to execute and calculations to perform. Therefore, one does not need a computer to realize the decision-making process. However, in practice it is almost impossible to complete all the steps without a dedicated software application. Moreover, to evaluate the method’s performance one needs to repeat the experiments several times. For the reasons stated above it was required to implement the method as a computer pro- gram. This chapter describes technologies used for the DARWIN’s implementation, as well as an experiment framework development. 4.1 The issues of implementation 4.1.1 The programming environment The environment in which DARWIN has to function is not empty; thus it has to be taken into account during the development of the implementation. DARWIN is a realization of an interactive process, therefore a way of communication with the decision maker is required. Another restriction is imposed by the need of inducing decision rules from the DM’s evaluated examples of solutions. The decision maker has to provide a problem he or she wants to solve. It can be done in a model file. If one wants to change the default parameters’ values, then a configuration file with the values is also required. Moreover, during the algorithm’s run, presence of the decision maker is needed in order to select “good” solutions from the provided ones. Consult the user manual (6) for more details on the file formats. The parameters are described later in this section. Decision rules store the DM’s preferences, therefore they are a symbolic representation of trade- offs he or she is willing to make, as well as the importance of each criterion. They ensure robustness of the resulting solutions because of an underlying DRSA framework. The rules are a very im- portant part of the method. Thus, a way — an algorithm — to generate them is needed. In the method’s description provided in [13, 15, 9], a phase of obtaining the rules is treated as a black box. It is assumed that a component able to generate rules from the DM’s selection exists. Details are omitted — it is up to an analyst (or to a developer of an implementation) to use a software component he or she finds feasible. The implementation of the DRSA framework, being able to induce decision rules from a given set of examples is a complex task, both in terms of possible technical challenges as well as conceptual and scientific work that needs to be carried out. Such a software application deserves a paper of its own. Therefore, the author decided to use an existing implementation in order to focus on the DARWIN method. Java Rough Set (jRS) — a project carried out at the Laboratory of Intelligent Decision Support Systems at Pozna´n University of Technology that aims at providing
  • 24.
    22 4 Implementationof DARWIN DRSA framework implementation in Java — was chosen. It contains the DomLem algorithm [16] able to generate a minimal set of decision rules from the examples given as its input. jRS is written in Java programming language1 and runs on top of the Java Virtual Machine (JVM [23]). The JVM is a portable platform capable of running the Java bytecode. Having a Java component (jRS in this case) effectively put a constraint on the DARWIN implementation — it is required that the implementation is also delivered as a JVM application. However, the technical details of the Java platform are out-of-scope of this paper, so they are omitted unless relevant for the DARWIN’s description. Unfortunately, generating only a minimal set of rules may not be sufficient. The primary score in the interior loop is based on a number of rules matching a given solution. Therefore, having more rules may prevent a gradient loss in the evolutionary optimization. To check if this effect has serious impact on the performance, another rule-generating algorithm was developed. The author implemented AllRules algorithm [17] in Scala programming language. Again, the algorithm’s details are out of the scope of this paper. Nevertheless, it is worth noting that the number of rules generated by AllRules is greater than the one generated by DomLem. 4.1.2 The software prototype As his first task, the author chose to implement a prototype of the program. The goal was to check the behavior of the method — if it works, converges to the preferred region, is able to generate a reasonable solution and to withstand the uncertainty in the decision maker’s preferences; to find out if the overview given in [13, 15, 9] is accurate enough to develop a working software. More important however, was to identify potential problems and to gain a deep knowledge of the method. The prototype was developed in Java. Java is a very popular language and de facto an industry standard in many fields, especially in enterprise applications. The application itself is able to solve a subset of the MMO problems. It supports uncertainty and it simulates the decision maker. It is a working implementation of the method. The goal was achieved — to develop a working piece of software showing that DARWIN is able to solve multi-objective optimization problems. Unfortunately, the prototype has not been fully featured. It has contained only a simulated DM and lacked any user interface at all. The problem to solve and the DARWIN parameters are hard-coded for the prototype. Nevertheless, the code was being developed in an extensible way and contained a suite of unit tests. However, it is a common practice in the software engineering to discard the prototype and start developing the final application from scratch. This was the case with DARWIN — the author’s knowledge of the method changed during the prototyping and starting from the beginning has been considered a better option. 4.1.3 The final implementation The Java language is stable, well-tested and features numerous libraries dedicated to almost every possible applications; unfortunately, it is also very verbose and lacks support for many of the recent trends in the computer programming and software development. It is a great tool for large teams, as it is usually the case in the enterprise application market. However, what is a good solution for a team is not essentially the best possible tool for a single developer working on a project. The author decided to develop the implementation in Scala2 . Scala is a multi-paradigm pro- gramming language combining object-oriented features with functional programming. The former paradigm is a dominant contemporary software development practice; it allows to program and model problem domain’s objects as well as any relations between them. However, the latter makes it possible to write a concise code dealing with mathematical computations. This is a very useful trait in scientific applications. 1Developer Resources for Java Technology — http://www.oracle.com/technetwork/java/index.html 2The Scala Programming Language — http://www.scala-lang.org/
  • 25.
    4.1 The issuesof implementation 23 Scala runs on JVM, therefore it is compatible with existing Java libraries. The Scala compiler produces the Java bytecode from a Scala source code. The bytecode is nearly identical to the one generated from a Java source. The only difference is that Scala programs require the presence of an additional run-time library — scala-library.jar. The language was designed by Martin Odersky and started as a project in ´Ecole Polytechnique F´ed´erale de Lausanne (EPFL). Because of the functional elements and different syntax Scala programs are usually shorter and easier to read than their Java counterparts, especially when dealing with mathematical operations. The DARWIN code is divided into packages. Their structure is shown in Figure 4.1. Their de- scription follows. pl.poznan.put.darwin is a root package following Java naming conventions [21]. For readability its name is omitted in the following description. Packages: evolution — a module containing classes responsible for the evolution of solutions. It con- tains a controller driving the process, an engine of the evolutionary algorithm, evolutionary operators (mutation and cross-over) and a parent selection strategy. jrsintegration — an abstraction layer over the DRSA framework. This module contains classes responsible for integration with jRS and DomLem algorithm. They are able to convert DARWIN’s solutions to a format required by the jRS, invoke the DomLem algorithm and later — during the interior loop — check if a given solution matches any of the generated rules. model — models a hierarchy of objects for an abstract MOO problem. Contains basic classes required to represent a problem, its variables, goals and constraints, as well as classes rep- resenting a solution and a scenario of uncertainty. A problem parser — for reading problem instances from files, a solution evaluator — computing a value of solution against given sce- narios and a configuration reader — setting DARWIN’s options on the basis of a file, are also components of the model package. simulation — a package responsible for connecting all the other parts together. It initializes the process by asking model to read the problem and the configuration; takes care of the interaction with the DM, invokes jrsintegration to process the preferences and to obtain the rules and finally interacts with the evolution controller from the evolution package. It can also simulate the decision maker and generate reports if needed for automated experiment framework. utils — additional utility classes for the other modules. In order to reduce the number of bugs and eliminate recurring of the fixed bugs an extensive allrules darwin evolution gui jrsintegration model problem solution simulation utils pl.poznan.put Figure 4.1: The package structure of DARWIN
  • 26.
    24 4 Implementationof DARWIN test suite accompanies each of the packages. In order to streamline the building process the Scala Build Tool (SBT, see [18]) is used to manage dependencies, to take care of running the test suite and to build the application from its source code. The code contains javadoc3 on most of the API methods and a lot of comments in places that could be particularly hard or tricky to understand. Therefore it should be possible for the other developer to use and extend the code delivered as a part of the thesis. A manual for the end-user is enclosed at the end of the paper. A lot of DARWIN parameters are mentioned throughout the paper. They are gathered and described in Table 4.1. The parameters can be set in a configuration file. The options are split into sections and listed in the table. The syntax of the configuration file is described in the user manual (6). 4.2 Experiment framework One of the goals of the thesis was to evaluate the DARWIN’s performance and the importance of the parameters. To do this a set of tools was developed. Firstly, DARWIN can be instructed to log details of an execution to a file (see Table 4.1). These logs consist of two reports — the evolution report and the DM’s decisions report. The former contains the information about the population’s shape and the latter about the decisions made by the decision maker. The reports are in the comma separated values format (CSV [31]). The algorithm is interactive which means that constant human supervision is required. How- ever, one needs to repeat the experiments over and over again. For this reason the decision maker has been simulated. It is possible to pass a utility function for a supposed decision maker and then, the algorithm will make a decision on its own on the supposed utility basis. This automates a single run of DARWIN, however an operator is still required to start the program over and, if necessary, to change the execution parameters. To bypass this limit and streamline the process, the experiment framework is provided. One can define a base configuration along with a test plan and then a computer will proceed with an execution of the test plan. Scripts composing the framework are written in Python — a general, high-level programming language4 and glued together using the Bash shell scripts5 . A description on how to use the framework is provided as a part of the user manual 6. A test plan execution will typically result in a number of report files full of the runs’ details. It would be a tremendous task to analyze them by hand. However, presenting this data in an aggregated form as a set of charts can immensely simplify the analysis. R is an environment for statistical computing6 . The program along with ggplot library (see [32]) has been used for the automatic chart generation. The R scripts can import the CSV reports, aggregate and process the data and finally generate a chart. First, a user prepares a test plan and sends it to the framework. The framework is repeatedly running DARWIN with a simulated decision maker. Resulting reports are then processed by the R scripts. As a result charts are generated. It is possible to generate the following type of charts (they are shown in Figure 4.2 and 4.3). • A change of the supposed utility value during the exterior loop iterations. Example shown in Figure 4.2a. This is a basic chart for the analysis, because it shows a high-level overview of the run from the decision maker’s perspective. • A change in a population shape during the interior loop run. May show a convergence of a population to a specific region. Figure 4.2b. 3Javadoc Tool — http://www.oracle.com/technetwork/java/javase/documentation/index-jsp-135444.html 4The Python Programming Language — http://python.org/ 5Bourne-Again SHell — http://www.gnu.org/software/bash/bash.html 6The R Project for Statistical Computing — http://www.r-project.org/
  • 27.
    Section Name DescriptionDefault value Main Solution count The number of solutions in a population. 30 Scenario count The number of scenarios on which the solu- tions will be evaluated. 30 Generation count The number of generations in the interior loop. 30 Gamma (γ) The coefficient of elitism. The higher γ, the higher the probability of choosing a solution with a higher rank as a parent. 2.0 Delta (δ) The decay of rule weight (see 3.3). 0.1 Eta (η) The initial mutation probability. 0.5 Omega (ω) The decay rate of the mutation probability. 0.1 Outer count The number of exterior loop iterations to be simulated. 20 Use average Whether an average in quantiles should be used instead of the maximum value). false Mutation tries The number of mutation tries. For some prob- lems it may be very hard to mutate a solution to get the other feasible one. Try no more times than defined here. 20 Use “at most” Whether an “at most” rules should be consid- ered along with “at least”. false Percentiles Which percentiles are meaningful to the deci- sion maker. 1.0, 25.0, 50.0 Multi rules Should the rules be generated multiple times (see 5.5.5). false Multi rules count How many iterations of rules generation should be performed. 3 Algorithm AllRules Should the AllRules algorithm be used instead the DomLem false DomLem confidence level A level of confidence that the rules gener- ated by the DomLem algorithm should at least have. 1.0 SimulatedDM Base good count The number of solutions to be marked as good by the simulated DM. 3 Good count delta A parameter for simulating inconsistencies in DM’s decisions. See 5.4.4. 2 Noise level A parameter for inconsistencies noise in DM’s decisions. 0 Evolution Regenerate every During the interior loop the solution set is evaluated against a scenario set. This param- eter specifies how often the scenario set should be changed — in how many generations a re- generation of the set should occur. 1000 Regenerate percent Part of the scenario set to regenerate. 0.0 Use supposed utility If the evolutionary algorithm should use the supposed utility instead of a rule-based score. false Reports Evolution report If the set specifies where an evolutionary re- port should be written. evrep.csv DM Report If the set specifies where the DM’s decision should be reported. dmrep.csv Brief report If a brief report should be written to standard output. Useful in supervising a batch run. true Rules directory The directory, where rules generated during the run should be saved. Do not save the rules if empty rules Table 4.1: The parameters of DARWIN
  • 28.
    26 4 Implementationof DARWIN • A change of the utility value along with the primary score during the interior loop — a run of the evolutionary algorithm. Figure 4.2c. • Shows the change in a population of an evolutionary algorithm from the utility and the primary score perspective. Figure 4.2b. • A comparison chart in 10th exterior interior— to present the utility value change of multiple tests (possible with different parameters) side-by-side. Each test consists of one or more runs. Figure 4.3a. • A comparison chart — to compare the results of several tests. Each test consists of several runs. The results are charted on a box plot, so the analyst can easily compare a median, the first and the third quartile and outliers of each test. Figure 4.3b. • A chart showing decision maker’s selections. The whole population is shown and selected individuals are marked. Figure 4.3c. The framework is just a utility, but still an important one to evaluate the performance of the method. The implementation presented in this chapter was a basis for the DARWIN method’s evaluation. The results are given in the next chapter.
  • 29.
    Supposed Utility exterior_iteration value −140 −130 −120 −110 −100 q q q q q q q qq q q q q q q q q q q q q q q q q q q q q q q q q q q q q q 5 10 15 result_value q min q max (a) Exterior loop iterations → the supposed utility value profit_50.0 x time_50.0, ext.iter.=1 profit_50.0 time_50.0 100 150 200 250 300 350 q q q q q q q q q q q q q q q q q q q q q q q q q q q q q q q q q q q q q q q q q q q q q q q q q q q q q qq q q q q q q q q q q q q q q q q q q q q q q q q q qq q q q q q q q q q q q q q q q q q q q q q q q q q q q q q q q q q q q q qq 200 400 600 800 1000 generation q 0 q 10 q 20 q 30 (b) The population shape change in the objective space UtilGen, ext.iter.=1 generation value 2200 2400 2600 2800 q q q q q q q q q q q q q q q q q q q q q q q q q q q q q q q q q q q q q q q q q q q q q q q q q q q q q q q q q q q q q q q q q q q q q q q q q q q q q q q q q q q q q q q q q q q q q 0 5 10 15 20 25 30 result_value q mean q min q max PrimaryScoreGen, ext.iter.=1 generation value 0.0 0.2 0.4 0.6 q q q q q q q q q q q q q q q q q q q q q q q q q q q q q q q q q q q q q q q q q q q q q q q q q q q q q q q q q q q q q qq q q q q q q q q q q q q q q q q q q q q q q q q q q q q q q 0 5 10 15 20 25 30 result_value q mean q min q max (c) Interior loop generations → the utility value, the primary score Utility/Individual, ext.iter.=1 individual utility 2000 3000 4000 5000 6000 q q q q q q q q q q q q q q q q q q q q q q q q q q q q q q q q q q q q q q q q q q q q q q q q q q q q q q q q q q q q q q q q q q q q q q q q q q q q q q q q q q q q q q q q q q q q q q q q q q q q q q q q q q q q q q q q q q q q q q q q 5 10 15 20 25 30 generation q 0 q 10 q 20 q 30 Primary/Individual, ext.iter.=1 individual primary −0.2 −0.1 0.0 0.1 0.2 q q q q q q q q q q q q q q q q q q q q q q q q q q q q q qq q q q q q q q q q q q q q q q q q q q q q q q q q q q q qq q q q q q q q q q q q q q q q q q q q q q q q q q q q q qq q q q q q q q q q q q q q q q q q q q q q q q q q q q q q 5 10 15 20 25 30 generation q 0 q 10 q 20 q 30 (d) The change of the utility and the primary score in a pop- ulation Figure 4.2: Type of charts available in the experiment framework
  • 30.
    Test summary exterior_iteration utility_mean 6450 6500 6550 6600 6650 6700 q q q q q qq q q q q q q q q q q q q q q q q q q q q q q q q q q q q q q q q q q q q q q q q q q q q q q q q q q q q q q q q q q q q q q q 2 4 6 8 10 test q base q generation45 q generation60 q scenario45 q scenario60 q solution45 q solution60 (a) The comparison of test runs Test summary, ext.iter.=10 test utility 6600 6650 6700 6750 q q q base generation45 generation60 scenario45 scenario60 solution45 solution60 (b) The comparison of test runs DM Choice, ext.iter.=0 profit_50.0 time_50.0 100 150 200 250 300 q q q q q q q q q q q q q q q q q q q q q q q q q q q q q q 200 400 600 800 1000 good q 0 q 1 (c) The decision maker choices Figure 4.3: Type of charts available in the experiment framework
  • 31.
    Chapter 5 Results ofComputational Experiments DARWIN is a new method and according to the author’s knowledge it hasn’t been implemented before. Experiments are designed to check if the method is working at all, what parameters are important for the method and what should be their reasonable default values. To make the results repeatable the DM is simulated. Inconsistencies in his or her decisions are simulated. Unless uncertainty is involved, comparisons to the exact optimal solution are provided. In tests involving uncertainty results are compared to supposed utility function optimization. 5.1 The environment All tests were conducted on a personal computer with 64bit Intel processor. RAM size on the machine is 3GB. 64bit Linux operating system was used. The Java Virtual Machine was in version 1.6.0 18 and Scala 2.8.0. JVM was run with options -Xms768m -Xmx768m thus setting memory available for application to 768MB. Tests were performed through CLI batch interface. Test framework is available in order to automate the experiment process. All experiments were repeated at least thirteen times. Data analysis and chart generation were performed using an R environment1 . The framework is a combination of the Python2 and Bash3 code communicating with main DARWIN code and with the modules written in R. 5.2 The Decision Maker Experiments were repeated many times. In order to make it possible it was essential to simulate the DM. Simulating the decision maker guarantees repeatable process across the test runs. In the DARWIN method interaction with the decision maker occurs by showing him or her a list of generated solutions (usually 30) and asking him or her to indicate a few “good” ones. To simulate the DM one needs to simulate his or her selections. It is assumed that the decision maker acts according to an utility function he or her has in mind. This function will be called the supposed utility function. In the simulating process algorithm sorts the received solutions list according to this supposed utility function. Then it selects three (usually three, however this can be configured) solutions with the highest supposed utility. 1The R Project for Statistical Computing — http://www.r-project.org/ 2The Python Programming Language — http://python.org/ 3Bourne-Again SHell — http://www.gnu.org/software/bash/bash.html
  • 32.
    30 5 Resultsof Computational Experiments Unfortunately real decision maker, being a human isn’t as predictable and repeatable as the described process. In the sections 5.4.4 and 5.5.4 the results of introducing inconsistencies to DM’s decisions are presented. In the following problems the supposed utility function is also defined. 5.3 Problem selection The area of interest for Multi-Objective Optimization is huge and consists of many potential prob- lems to be solved. There are multi-criteria versions of classical problems, like minimum spanning tree [8], traveling salesman problem (TSP) [1] or knapsack problem [28] as well as an artificially generated ones — like the DTLZ problem [5] Some of them are interesting because of their real-life applications while the others are good for experimenting and testing purposes. It is worth noting that the ordinary single-criterion versions of the problems can be easy to solve. However, in multi-criteria settings one has to infer the decision maker’s preferences and approximate the supposed utility function correctly. The challenge here is not to build the best optimization algorithm for all the problems (this is impossible according to no-free-lunch theo- rem [34]) but rather a framework for preference information extraction. The experiments were performed using following problems: Two-criteria binary knapsack problem ¯x = [x1, x2, . . . , x300] xi ∈ {0, 1}; i = 1, 2, . . . , 300 max value1: ¯a1 · ¯x max value2: ¯a2 · ¯x subject to: weight: ¯w · ¯x ≤ b (max) supposed utility: 1 ∗ value1 + 2 ∗ value2 Where ¯x is a vector of items to be chosen. The problem is binary, so each xi ∈ ¯x can be either selected (xi = 1) or not(xi = 0). There are two-criteria: value1 and value2. Each one is a sum of items multiplied by associated weights (vector ¯a1 and ¯a2). Knapsack constraint is given. One can choose items up to a certain weight (b). There is a vector of weights associated with each item ( ¯w). The limit is defined that it is possible to choose about 2/3 of the items. Weights ( ¯a1, ¯a2, ¯w) are uniformly distributed vectors of values in [0, 10) interval. Two-criteria continuous knapsack problem ¯x = [x1, x2, . . . , x300] xi ∈ [0, 1); i = 1, 2, . . . , 300 max value1: ¯a1 · ¯x max value2: ¯a2 · ¯x subject to: weight: ¯w · ¯x ≤ b (max) supposed utility: 3 ∗ value1 − 1 ∗ value2
  • 33.
    5.3 Problem selection31 Continuous version of the knapsack problem. Description given for the binary version also applies here. The only difference is that now the items can be partially selected (∀xi∈¯xxi ∈ [0, 1)). Three-criteria binary knapsack problem ¯x = [x1, x2, . . . , x300] xi ∈ {0, 1}; i = 1, 2, . . . , 300 max value1: ¯a1 · ¯x max value2: ¯a2 · ¯x max value3: ¯a3 · ¯x subject to: weight: ¯w · ¯x ≤ b (max) supposed utility: 1 ∗ value1 − 1 ∗ value2 + 2 ∗ value22 Two-criteria problems can be easily visualized and analyzed. However, in real-life applications there is often a need for three or more criteria. There is a leap in moving from two- to multiple-criteria, so it is worth comparing the results achieved on the three-criteria knapsack problem with its two-criteria counterpart. Three-criteria DTLZ problem generated using constraint surface approach min f1: x1 min f2: x2 min f3: x3 subject to: 0 ≤ xi ≤ 1, i = 1, 2, 3 − x1 + x2 + 0.6 ≥ 0 x1 + x3 − 0.5 ≥ 0 x1 + x2 + x3 − 1.1 ≥ 0 (max) supposed utility: − 1 ∗ f1 − 2 ∗ f2 − 1 ∗ f3 This problem consists of three simple linear criteria. The solution space is a three-dimensional cube bounded by the 0 ≤ xi ≤ 1 constraint. To make the problem challenging parts of the solution space are being cut off by additional constraints. This problem was build according to constraint surface approach presented in [5].
  • 34.
    32 5 Resultsof Computational Experiments Two-criteria robust mix problem max profit: pAmin(xA, dA) + pBmin(xB, dB) + pCmin(xC, dC) − (r1 AxA + r1 BxB + r1 CxC)p1 R − (r2 AxA + r2 BxB + r2 CxC)p2 R min time: tAxA + tBxB + tCxC where: pA ∈ [20, 24], pB ∈ [30, 36], pC ∈ [25, 30] dA ∈ [10, 12], dB ∈ [20, 24], dC ∈ [10, 12] r1 A ∈ [1, 1.2], r1 B ∈ [2, 2.4], r1 C ∈ [0.75, 0.9] r2 A ∈ [0, 5, 0.6], r2 B ∈ [1, 1.2], r2 C ∈ [0.5, 0.6] p1 R ∈ [6, 7.2], p2 R ∈ [9, 9.6] tA ∈ [5, 6], tB ∈ [8, 9.6], tC ∈ [10, 12] subject to: 0 ≤ xA ≤ 12 0 ≤ xB ≤ 24 0 ≤ xC ≤ 12 (max) supposed utility: profit1% + 3 ∗ profit25% + 2 ∗ profit50% − time1% − 3 ∗ time25% − 2 ∗ time50% The problem was described in a presentation DARWIN: Dominance-based rough set Approach to handling Robust Winning solutions in INteractive multiobjective optimization given at 5th International Workshop on Preferences and Decisions in Trento, 2009) describing the DAR- WIN method. It contains a lot of coefficients given in the form of intervals. For readability’s sake they were named and defined below the criteria. The goal is to set quantity of each product (A, B, C) to be produced. One wants to maximize the profit and minimized the total time it takes to produce the products. pi is the price of a product i ∈ {A, B, C} on the market. There is also maximal demand the market can consume (di). Each product consists of two raw materials — r1 and r2. Quantity needed to produce i-th product is defined (r1 i , r2 i ) as well as the product price (p1 R, p2 R). Finally, it takes time to produce a given product — tA, tB, tC. Coefficients are given in the form of intervals, so each solution has to be evaluated on many scenarios of uncertainty. This is why no exact values are used in the supposed utility function — one can not do it because there are no exact values, only a series of evaluation results. Percentiles are used instead. goal25% means a result of the best evaluation among the worst 25% of evaluations.
  • 35.
    5.4 A deterministiccase 33 Four-criteria robust DTLZ7 problem min fj(x): 0.1 ∗ 10j 10(j−1)+1 xi + [0, 2 ∗ (4 − j)], j = 1, 2, 3, 4 subject to: g1(x): f4(x) + 4f1(x) − 1 ≥ 0 g2(x): f4(x) + 4f2(x) − 1 ≥ 0 g3(x): f4(x) + 4f3(x) − 1 ≥ 0 g3(x): 2 ∗ f4(x) + min[f1(x) + f2(x), f1(x) + f3(x), f2(x) + f3(x)] − 1 ≥ 0 0 ≤ xi ≤ 1, i = 1, 2, 3, 4 (max) supposed utility: − 4 ∗ f60% 1 − 3 ∗ f60% 2 − 2 ∗ f60% 3 − 1 ∗ f60% 1 − 8 ∗ f30% 1 − 6 ∗ f30% 2 − 4 ∗ f30% 3 − 2 ∗ f30% 1 This problem is a variation of DTLZ7 problem from [5] article. The problem was constructed using constraint surface approach described in the article. However, interval coefficients were added to the goals. Robust DTLZ1 problem min f1(x): [0.3, 0.7] ∗ x1x2 . . . xM−1(1 + g(xM )) min f2(x): [0.3, 0.7] ∗ x1x2 . . . (1 − xM−1)(1 + g(xM )) . . . min fM−1(x): [0.3, 0.7] ∗ x1(1 − x2)(1 + g(xM )) min fM (x): [0.3, 0.7] ∗ (1 − x1)(1 + g(xM )) where: g(x) = 100 ∗ (5 + M+4 i=M [(xi − 0.5)2 − cos(20π(xi − 0.5))]) n = M + 4 subject to: 0 ≤ xi ≤ 1, i = 1, 2, . . . n (max) supposed utility: M i=1 (−M + i − 1) ∗ f25% i Another problem that is suggested in [5]. It was constructed using bottom-up approach. In- tervals were added to the goal functions. M indicates the number of goals. In the experiments problems with 4 and 10 criteria were used. 5.4 A deterministic case 5.4.1 Single run analysis In order to observe the algorithm’s behavior a detailed analysis of a single run is presented in this section. The problem being analyzed is the two-criteria binary knapsack problem. The problem is simple and the number of criteria small in order to focus on the algorithm. Moreover, no uncertainty in the form of interval coefficients is considered.
  • 36.
    34 5 Resultsof Computational Experiments Although this section is illustrated only by an example of a single run on the single problem the conclusions drawn here apply globally. Compare with further sections of the chapter. The algorithm runs with default parameters. Exterior loop was repeated ten times. This means that ten times results (in the form of solutions) were presented to the (simulated) decision maker. The Results were recorded. The same problem was solved in an exact way by a mathematical programming solver4 . One used the supposed utility function as an optimization goal for the solver. In this way the optimal solutions were obtained (for the considered instance the best supposed utility function value is 4154.441453). The results of the run from the exterior loop perspective are given in Figure 5.1. All of the results generated during the interior loop run were recorded. On the chart one can see the best and the worst solutions in a given run (the rest lies between them). One can see that in every iteration there is an improvement, however the improvements are getting smaller and smaller. This is because the better the solutions’ population, the harder it is to optimize it further. Now the analysis of the interior loop is given. The first, third and seventh interior loop will be presented. Other runs are similar, so they were omitted in the paper. The results are presented in figures 5.2, 5.3 and 5.4. The iterations of the interior loop are also called generations because of their evolutionary nature. On the charts one can see supposed utility function dependent on a generation. Also value of the primary score is included for reference. To recapitulate — the better the solution fits to induced decision rules, the higher the primary score; in case of a draw (i.e. the primary score for two individuals is the same) secondary score is considered. The improvement happens on the generation basis — in every iteration the supposed utility function is getting better. However, as one can see improvement of the primary score happens mainly at the beginning. The runs like the one in 5.4, where the breakthrough is at the end of the run are in fact rare. Nevertheless the algorithm should not be shut down after reaching maximum primary score. Although preference information extracted before the run is now exploited, an improvement can still occur. More importantly the diversification effort is ongoing now — when the primary score (rule based) of all the population is identical, then the secondary score (distance based — the less the solution is crowded the higher the score) starts to play major role in the process, pushing individuals in the population to new areas in solution space. This can result in major a breakthrough — the population may acquire traits wanted by the DM. Rules driving the interior loops are presented below Iteration 1 value1 ≥ 859.86 ⇒ class ≥ GOOD value2 ≥ 814.71 ⇒ class ≥ GOOD Iteration 3 value1 ≥ 1023.62 ⇒ class ≥ GOOD value2 ≥ 1011.61 ⇒ class ≥ GOOD Iteration 7 value1 ≥ 1211.14 ⇒ class ≥ GOOD value2 ≥ 1210.63 ⇒ class ≥ GOOD Note that there are only two classes — GOOD and NOT GOOD so essentially class ≥ GOOD means class = GOOD. In order to verify how the rules influence the algorithm’s behavior, charts were prepared (Fig- ure 5.5a, 5.5b and 5.5c). For two-criteria problem it is possible to present the search space on two-dimensional chart. 4GNU Linear Programming Kit — http://www.gnu.org/software/glpk/
  • 37.
    5.4 A deterministiccase 35 The iterations 1 and 3 show a typical run. Before the 10th generation the whole population moves to an area covered by the rules. In the further generations diversification occurs. The 7th iteration is a bit different though. The evolution not “discovered” a way to match the second rule before the 20th generation. Soon after individuals covering both solutions were included the whole population drifted to the region marked by both rules. It can be also insightful to see the simulated DM’s choices and compare them with the inferred rules. They are presented in charts (Figure 5.6a, 5.6b, 5.6c). It is the case that the choices directly affected the rules. One can also see another interesting trait of the problem. The further (in objective space) the selected individuals are, the harder it is to achieve maximal possible primary score. Finally, charts presenting how the supposed utility and primary score changed in the population along with succeeding generations (Figure 5.7, 5.8 and 5.9) are given. They support the conclusions stated above. Analysis of single run is a good tool for understanding the internals of the method and inspect- ing the method’s behavior. One can draw conclusions and spot potential problems and possible improvements. However, more experiments have to be conducted and their results should be aggre- gated using statistical methods in order to check how useful the method is and what the influence of the algorithm parameters is. This is done in the further sections.
  • 38.
    Supposed Utility exterior_iteration value 2500 3000 3500 4000 q q q q q q q q q q q q q q q q q q q q 2 46 8 10 result_value q min q max Figure 5.1: Supposed utility function in the exterior loop iterations
  • 39.
    UtilGen, ext.iter.=1 generation value 2200 2400 2600 2800 q q q q q qq q q q q q q q q q q q q q q q q q q q q q q q q q q q q q q q q q q q q q q q q q q q q q q q q q q q q q q q q q q q q q q q q q q q q q q q q q q q q q q q q q q q q q q 0 5 10 15 20 25 30 result_value q mean q min q max PrimaryScoreGen, ext.iter.=1 generation value 0.0 0.2 0.4 0.6 q q q q q q q q q q q q q q q q q q q q q q q q q q q q q q q q q q q q q q q q q q q q q q q q q q q q q q q q q q q q q qq q q q q q q q q q q q q q q q q q q q q q q q q q q q q q q 0 5 10 15 20 25 30 result_value q mean q min q max Figure 5.2: Supposed utility function in the interior loop iterations
  • 40.
    UtilGen, ext.iter.=3 generation value 3000 3100 3200 3300 3400 q q q qq q q q q q q q q q q q q q q q q q q q q q q q q q q q q q q q q q q q q q q q q q q q q q q q q q q q q q q q q q q q q q q q q q q q q q q q q q q q q q q q q q q q q q q q q 0 5 10 15 20 25 30 result_value q mean q min q max PrimaryScoreGen, ext.iter.=3 generation value 0.0 0.2 0.4 0.6 q q q q q q q q q q q q q q q q q q q q q q q q q q q q q q q q q q q q q q q q q q q q q q q q q q q q q q q q q q q q q qq q q q q q q q q q q q q q q q q q q q q q q q q q q q q q q 0 5 10 15 20 25 30 result_value q mean q min q max Figure 5.3: Supposed utility function in the interior loop iterations
  • 41.
    UtilGen, ext.iter.=7 generation value 3550 3600 3650 3700 3750 q q q q q qq q q q q q q q q q q q q q q q q q q q q q q q q q q q q q q q q q q q q q q q q q q q q q q q q q q q q q q qq q q q q q q q q q q q q q q q q q q q q q q q q q q q q q q 0 5 10 15 20 25 30 result_value q mean q min q max PrimaryScoreGen, ext.iter.=7 generation value 0.0 0.5 1.0 1.5 q q q q q q q q q q q q q q q q q q q q q q q q q q q q q q q q q q q q q q q q q q q q q q q q q q q q q q q q q q q q q q q q q q q q q q q q q q q q q q q q q q q q q q q q q q q q q 0 5 10 15 20 25 30 result_value q mean q min q max Figure 5.4: Supposed utility function in the interior loop iterations
  • 42.
    value1_50.0 x value2_50.0,ext.iter.=1 value1_50.0 value2_50.0 700 750 800 850 900 950 q q q q q q q q q q q q q q q q q q q q q q q q q q q q q q q q q q q q q q q q q q q q q q q q q q q q q q q q q q qqqq q q q q q q q q q q q q q q q q q q qq q q q q q qqq qq q q q q q q q q q q q q q q q q q q q q q q q qq q q q 700 750 800 850 900 950 1000 generation q 0 q 10 q 20 q 30 value1_50.0 x value2_50.0, ext.iter.=3 value1_50.0 value2_50.0 1000 1050 1100 q q q qq q q q q q q q q q q q q q q q q q q q q q q q q q q q q q q q q q q qq q q q qq qq q q q q q q q q q q q q q q q q q q q q q q q q q q q q q q q q q q q q q q q q q q q q q q q q q q qq q q q q q q q q q q q q q q q q q q q q 1000 1050 1100 1150 generation q 0 q 10 q 20 q 30 value1_50.0 x value2_50.0, ext.iter.=7 value1_50.0 value2_50.0 1210 1220 1230 1240 1250 1260 q q q q q q q q q q q q q q q q q q q q q q q q q q q q q q qq q q q q q qq qq qq q q q q q qq q q q qqq q q q q q q q q q q qq q q q q q q q q q q q q q q q q q q qq q qq q q q q q q q q q q q q q q q q q q q q q q q q q q q q q 1140 1160 1180 1200 1220 generation q 0 q 10 q 20 q 30 Figure 5.5: Changes in the population
  • 43.
    DM Choice, ext.iter.=0 value1_50.0 value2_50.0 700 750 800 850 q q q q q q q q q q q q q q q q q q q q q q q q q q q q q q 700750 800 850 900 good q 0 q 1 DM Choice, ext.iter.=2 value1_50.0 value2_50.0 980 1000 1020 1040 q q q qq q q q q q q q q q q q q q q q q q q q q q q q q q 1000 1020 1040 1060 1080 1100 good q 0 q 1 DM Choice, ext.iter.=6 value1_50.0 value2_50.0 1210 1220 1230 1240 q q q q q q q q q q q q q q q q q q q q q q q q q q q q q q 1140 1160 1180 1200 good q 0 q 1 Figure 5.6: Choices made by the DM in exterior loop
  • 44.
    Utility/Individual, ext.iter.=1 individual utility 2200 2400 2600 2800 q q q q qq q q q q q q q q q q q q q q q q q q q q q q q q q q q q q q q q q q q q q q q q q q q q q q q q q q q q q q q q q q q q q q q q q q q q q q q q q q q q q q q q q q q q q q q q q q q q q q q q q q q q q q q q q q q q q q q q q q 5 10 15 20 25 30 generation q 0 q 10 q 20 q 30 Primary/Individual, ext.iter.=1 individual primary 0.0 0.2 0.4 0.6 q q q q q q q q q q q q q q q q q q q q q q q q q q q q q qq q q q q q q q q q q q q q q q q q q q q q q q q q q q q qq q q q q q q q q q q q q q q q q q q q q q q q q q q q q qq q q q q q q q q q q q q q q q q q q q q q q q q q q q q q 5 10 15 20 25 30 generation q 0 q 10 q 20 q 30 Figure 5.7: Population advancing through the generations of interior loop
  • 45.
    Utility/Individual, ext.iter.=3 individual utility 3000 3100 3200 3300 3400 q q qq q q q q q q q q q q q q q q q q q q q q q q q q q q q q q q q q q q q q q q q q q q q q q q q q q q q q q q q q q q q q q q q q q q q q q q q q q q q q q q q q q q q q q q q q q q q q q q q q q q q q q q q q q q q q q q q q q q q q 5 10 15 20 25 30 generation q 0 q 10 q 20 q 30 Primary/Individual, ext.iter.=3 individual primary 0.0 0.2 0.4 0.6 q q q q q q q q q q q q q q q q q q q q q q q q q q q q q qq q q q q q q q q q q q q q q q q q q q q q q q q q q q q qq q q q q q q q q q q q q q q q q q q q q q q q q q q q q qq q q q q q q q q q q q q q q q q q q q q q q q q q q q q q 5 10 15 20 25 30 generation q 0 q 10 q 20 q 30 Figure 5.8: Population advancing through the generations of interior loop
  • 46.
    Utility/Individual, ext.iter.=7 individual utility 3550 3600 3650 3700 3750 q q q q q q q q qq q q q q q q q q q q q q q q q q q q q q q q q q q q q q q q q q q q q q q q q q q q q q q q q q q q q q q q q q q q q q q q q q q q q q q q q q q q q q q q q q q q q q q q q q q q q q q q q q q q q q q q q q q q q q q q 5 10 15 20 25 30 generation q 0 q 10 q 20 q 30 Primary/Individual, ext.iter.=7 individual primary 0.0 0.5 1.0 1.5 q q q q q q q q q q q q q q q q q q q q q q q q q q q q q q q q q q q q q q q q q q q q q q q q q q q q q q q q q q q qq q q q q q q q q q q q q q q q q q q q q q q q q q q q q qq q q q q q q q q q q q q q q q q q q q q q q q q q q q q q 5 10 15 20 25 30 generation q 0 q 10 q 20 q 30 Figure 5.9: Population advancing through the generations of interior loop
  • 47.
    5.4 A deterministiccase 45 5.4.2 The computational performance on exemplary problems It is important to know what performance can be expected from an algorithm. When no uncertainty is considered in a problem and one assumes the supposed utility function, then it is easy to get the optimal solution using linear programming solver. Of course in real-world applications the supposed utility function is not known a priori. One can test this algorithm in such an artificially created environment and then assume that the behavior will resemble the one in real-world problems. Results of the evaluation on the following problems are given: • Two-criteria binary knapsack problem, optimal value = 4154.441453. • Two-criteria continuous knapsack problem, optimal value = 32700.41689. • Three-criteria binary knapsack problem, optimal value = 31502.10927. • Three-criteria DTLZ problem generated using constraint surface approach, optimal value = −1.1. The tests were repeated at least fifteen times and the results averaged. They are presented in Figure 5.10 and Table 5.1. Depending on a problem 10 or 20 iterations of the exterior loop were simulated. Normally it would be up to the DM to stop when he or she is satisfied with the solution. However, one can safely assume that if no satisfactory solution is found up to the 10th iteration, the decision maker will not want to investigate the problem with this method any further. On both binary knapsack problems the performance is very good — they are not further than 10% away from the optimal solution after the 10th iteration. The same is true for the surface problem. However, looking at the Figure 5.10d one can see a bizarre phenomenon — the supposed utility is falling down in a few runs. On the other hand, the evolutionary algorithm knows nothing about the utility function so it may happen. The chart (Figure 5.10d) was generated using aggregated (averaged) results, however this happened in most of the runs. To give a further insight charts showing evolution in a third exterior loop are presented (not that the charts are for a single run only, not aggregated). The charts are in figures 5.11 and 5.12. As one can see the evolutionary algorithm improves the population from its perspective (the primary score factor). However, supposed utility function is being lowered in the process. This is the case because generated decision rules: 1. f1 ≤ 0.14033 ⇒ class ≥ GOOD 2. f3 ≤ 0.56462 ⇒ class ≥ GOOD are not selective enough. It is possible that switching DomLem to another algorithm — generating all possible rules instead of a minimal set would help here. Still the results achieved by the DARWIN method are good on this problem. On the contrary, continuous knapsack problem performs extremely poor — only 55% of the optimum after the 10th run and 58%, so almost no improvement, after the 20th. Investigating single runs at length provided no more details. The problem lies in the evolutionary algorithm, more precisely in its crossover operator. In the DARWIN method a from of the distance preserving crossover is used. The form where a child is somewhere in between its parents. However, in continuous variant it is usually the case to take items one-by-one starting with the one with the greatest value per unit until the weight constraint is reached. Considering the constraints (∀xi∈items : 0 ≤ xi ≤ 1) — most of the individuals will have their decision variables in the form of xi ≈ 0.5 after a few generations. But for the optimal solutions most of the variables take either 1 or 0. That is why improvement is happening so slowly here. Relying on the author’s intuition changing the crossover operator would solve the problem with continuous knapsack. Choosing the right operator for a given problem is a well-known subject in the multi-objective optimization ([3]). However, it is out-of-scope of this paper.
  • 48.
    knapsack_bin_c2 external iteration value_mean 3000 3200 3400 3600 3800 4000 q q q q q q q q q q 2 46 8 10 knapsack_cont_c2 external iteration value_mean 18000 20000 22000 24000 26000 28000 30000 32000 q q q q q q q q q q q q q q q q q q q q 5 10 15 20 knapsack_bin_c3 external iteration value_mean 20000 22000 24000 26000 28000 30000 q q q q q q q q q q q q q q q q q q q q 5 10 15 20 dtlz_surface_c3 external iteration value_mean −1.20 −1.18 −1.16 −1.14 −1.12 −1.10 q q q q q q q q q q 2 4 6 8 10 Figure 5.10: Performance comparison
  • 49.
    UtilGen, ext.iter.=3 generation value −3.0 −2.5 −2.0 −1.5 q q qq q q q q q q q q q q q q q q q q q q q q q q q q q q q q q q q q q q q q q q q q q q q q q q q q q q q q q q q q q q q q q q q q q q q q q q q q q q q q q q q q q q q q q q q q q 0 5 10 15 20 25 30 result_value q mean q min q max PrimaryScoreGen, ext.iter.=3 generation value 0.0 0.5 1.0 1.5 q q q q q q q q q q q q q q q q q q q q q q q q q q q q q q q q q q q q q q q q q q q q q q q q q q q q q q q q q q q q q q q q q q q q q q q q q q q q q q q q q q q q q q q q q q q q q 0 5 10 15 20 25 30 result_value q mean q min q max Figure 5.11: The population in the third iteration of the exterior loop. DTLZ surface problem.
  • 50.
    Utility/Individual, ext.iter.=3 individual utility −3.0 −2.5 −2.0 −1.5 q q q q qq q q q q q q q q q q q q q q q q q q q q q q q q q q q q q q q q q q q q q q q q q q q q q q q q q q q q q q q q q q q q q q q q q q q q q q q q q q q q q q q q q q q q q q q q q q q q q q q q q q q q q q q q q q q q q q q q q q 5 10 15 20 25 30 generation q 0 q 10 q 20 q 30 Primary/Individual, ext.iter.=3 individual primary 0.0 0.5 1.0 1.5 q q q q q q q q q q q q q q q q q q q q q q q q q q q q q q q q q q q q q q q q q q q q q q q q q q q q q q q q q q q qq q q q q q q q q q q q q q q q q q q q q q q q q q q q q qq q q q q q q q q q q q q q q q q q q q q q q q q q q q q q 5 10 15 20 25 30 generation q 0 q 10 q 20 q 30 Figure 5.12: The population in the third iteration of the exterior loop. DTLZ surface problem
  • 51.
    5.4 A deterministiccase 49 Exterior loop Knapsack bin 2c Knapsack cont 2c Knapsack bin 3c DTLZ surface 3c 1. 30.52% 46.79% 36.85% 7.82% 2. 23.84% 46.66% 30.77% 4.40% 3. 18.61% 46.49% 25.80% 6.79% 4. 15.96% 46.32% 20.99% 5.38% 5. 13.73% 46.16% 17.12% 5.08% 6. 12.02% 45.97% 13.57% 10.15% 7. 10.59% 45.74% 11.28% 8.33% 8. 9.20% 45.51% 9.78% 7.64% 9. 8.05% 45.29% 8.50% 5.49% 10. 7.03% 45.06% 7.22% 8.24% 11. - 44.85% 6.47% - 12. - 44.62% 5.70% - 13. - 44.38% 5.15% - 14. - 44.17% 4.67% - 15. - 43.94% 4.17% - 16. - 43.70% 3.77% - 17. - 43.46% 3.43% - 18. - 43.25% 3.12% - 19. - 43.02% 2.94% - 20. - 42.81% 2.77% - Table 5.1: Distance from the optimum solution For completeness charts presenting the algorithm behavior when more exterior loop iterations are allowed are given (Figure 5.13, Table 5.2). After the twentieth loop improvements are small (if any). In author’s opinion this is a good thing because there is no reason not to stop the algorithm. If the algorithm works well on a problem it will be evident from the first few iterations.
  • 52.
    knapsack_bin_c2 external iteration value_mean 3000 3200 3400 3600 3800 4000 q q q q q q q q q q q q qq q q qqqqq qqqqq qqqqqqqqqqqqqqqqqqqqqqqqqqqqqqqqqqqqqqqqqqqqqqqqqqqqqqqqqqqqqqqqqqqqqqqqqq 20 4060 80 100 knapsack_bin_c3 external iteration value_mean 20000 22000 24000 26000 28000 30000 q q q q q q q q q q q q q q qqqq q qqqqqqqqqqqqqqqqqqqqqqqqqqqqqqqqqqqqqqqqqqqqqqqqqqqqqqqqqqqqqqqqqqqqqqqqqqqqqqqqq 20 40 60 80 100 dtlz_surface_c3 external iteration value_mean −1.30 −1.25 −1.20 −1.15 −1.10 q q q q q q q q q q q q q q q q q q q q q q q q q q q q qq q q q q q q q qq q q q q q q q q q q q q q q q q q q q q q q q q q q q q q qq q q q q q q q q q q q q q qq q q q q qq qqq q q q q q q 20 40 60 80 100 Figure 5.13: Supposed utility function when long runs are allowed
  • 53.
    Exterior loop Knapsackbin 2c Knapsack bin 3c DTLZ surface 3c 1 31.08% 37.48% 14.05% 5 13.59% 17.42% 1.22% 10 7.33% 6.48% 7.19% 15 4.72% 3.39% 7.43% 20 3.70% 2.33% 6.00% 25 3.11% 2.02% 12.06% 30 3.05% 1.75% 1.05% 35 2.99% 1.56% 9.93% 40 3.05% 1.73% 16.83% 45 2.91% 1.58% 11.93% 50 2.94% 1.49% 18.44% 55 2.94% 1.65% 14.70% 60 3.15% 1.70% 14.55% 65 3.13% 1.69% 1.61% 70 3.14% 1.60% 1.16% 75 3.34% 1.60% 8.86% 80 3.31% 1.71% 2.07% 85 3.41% 1.66% 1.15% 90 3.22% 1.62% 7.24% 95 3.45% 1.59% 4.85% 100 3.66% 1.71% 3.34% Table 5.2: Distance from the optimum solution when long runs are allowed
  • 54.
    52 5 Resultsof Computational Experiments 5.4.3 The influence of parameters on the method The algorithm itself contains many parameters that can potentially affect its behavior. Of course it is always left to the analyst to fine-tune the parameters for a specific problem to solve. Nevertheless in this section some guidelines will be given. Conclusions were drawn on the basis of experiments performed on exemplary problems described above. The parameters were grouped into two categories — basic ones affecting the whole method and additional ones of less importance. The latter, however, can be used for fine-tuning to specific problem given. The author considers the basic parameters to be: • Number of generation in the evolutionary loop — intuitively the more the better. • Number of individuals in the population — again intuitively the more the better. Numerical data are presented in Table 5.3 and 5.4. The results are also shown in charts (Figure 5.14, 5.15, 5.16 and 5.17). This agrees with the intuition. More solutions (individuals in the population) and longer interior loop (more generations) will result in a better value of supposed utility for all the problems. The other parameters are: • Delta (δ) — decay of a rule weight. • Eta (η) — initial mutation probability. • Gamma (γ) — coefficient of elitism. • Omega (ω) — decay rate of the mutation. They are used in the interior loop (see 3.3). There is no clear pattern through the problems. In general changing the other parameters has only a minor influence on the algorithm. This is a good thing, because the solution given to the DM is robust with respect to those parameters. However, analyst should try to tune the parameters on a problem basis. 5.4.4 DM’s decisions inconsistent with supposed utility function In the experiments the decision maker was simulated by a computer algorithm. Its choices were based on the assumed supposed utility function. They were repeatable and always complying with the assumed function. This is not the case in a real-world situation where the DM is a human being and the supposed utility function is not known. His or her decisions will be noisy, not the best, sometimes even contradictory. For this reason it is important to measure the impact of a “noise”, inconsistencies in the DM’s choices, on the algorithm. Normally, without introducing artificial inconsistencies the decisions are carried as follows: Knapsack bin 2c Knapsack cont 2c test mean sd improvement mean sd improvement base 3870.72 45.73 0.00% 17968.94 451.61 0.00% generation45 3958.75 34.14 2.27% 18072.44 635.22 0.58% generation60 3995.55 32.71 3.22% 18366.65 397.56 2.21% solution45 3937.89 26.11 1.74% 17950.64 609.37 -0.10% solution60 3924.30 44.31 1.38% 18341.43 325.21 2.07% Table 5.3: Importance of base parameters
  • 55.
    Test summary exterior_iteration utility_mean 3000 3200 3400 3600 3800 q q q q q q q q q q q q q q q q q q q q q q q q q q q q q q q q q q q q q q q q q q q q q q q q q q 2 46 8 10 test q base q generation45 q generation60 q solution45 q solution60 Test summary, ext.iter.=10 test utility 3800 3850 3900 3950 4000 4050 base generation45 generation60 solution45 solution60 Figure 5.14: Basic parameters for the two-criteria binary knapsack problem Test summary exterior_iteration utility_mean 17500 18000 18500 19000 q q q q q q q q q q q q q q q q q q q q q q q q q q q q q q q q q q q q q q q q q q q q q q q q q q q q q q q q q q q q q q q q q q q q q q q q q q q q q q q q q q q q q q q q q q q q q q q q q q q q 5 10 15 20 test q base q generation45 q generation60 q solution45 q solution60 Test summary, ext.iter.=10 test utility 17000 17500 18000 18500 19000 19500 q q q base generation45 generation60 solution45 solution60 Figure 5.15: Basic parameters for the two-criteria continuous knapsack problem
  • 56.
    Test summary exterior_iteration utility_mean 20000 22000 24000 26000 28000 30000 q q q q q q q q q q q q q q q q q q qq q q q q q q q q q q q q q q q q q q q q q q q q q q q q q q q q q q q q q q q q q q q q q q q q q q q q q q q q q q q q q q q q q q q q q q q q q q q q q q q q 5 10 15 20 test q base q generation45 q generation60 q solution45 q solution60 Test summary, ext.iter.=10 test utility 29000 29500 30000 30500 q q base generation45 generation60 solution45 solution60 Figure 5.16: Basic parameters for the three-criteria binary knapsack problem Test summary exterior_iteration utility_mean −1.15 −1.14 −1.13 −1.12 −1.11 q q q q q q q q q q q q q q q q q q q q q q q q q q q q q q q q q q q q q q q q q q q q q q q q q q 2 4 6 8 10 test q base q generation45 q generation60 q solution45 q solution60 Test summary, ext.iter.=10 test utility −1.14 −1.13 −1.12 −1.11 q q q q q q q q base generation45 generation60 solution45 solution60 Figure 5.17: Basic parameters for the three-criteria DTLZ surface problem
  • 57.
    Test summary, ext.iter.=10 test utility 3650 3700 3750 3800 3850 3900 3950 q q q q q q q q q base delta_001 delta_005 delta_015 delta_020 delta_040 delta_060 eta_01eta_03eta_07eta_09gam m a_10 gam m a_15 gam m a_25 gam m a_30 gam m a_50 om ega_001 om ega_005 om ega_015 om ega_020 om ega_040 om ega_060 (a)Two-criteria binary knapsack Test summary, ext.iter.=10 test utility 17000 17500 18000 18500 19000 q q q q q q base delta005delta015delta020delta040eta01 eta03 eta07 gam m a10gam m a15gam m a25gam m a30om ega005om ega015om ega020om ega040 (b) Two-criteria continuous knapsack Test summary, ext.iter.=10 test utility 28500 29000 29500 30000 q q q q base delta005delta015delta020delta040eta01 eta03 eta07 gam m a10gam m a15gam m a25gam m a30om ega005om ega015om ega020om ega040 (c) Three-criteria binary knapsack Test summary, ext.iter.=10 test utility −1.24 −1.22 −1.20 −1.18 −1.16 −1.14 −1.12 ● ●● ● ● ● ● ● ● ● ● ● ● ● ● ●● ● ● ● ● ● ● ● ● ● base delta005delta015delta020delta040eta01 eta03 eta07 gam m a10gam m a15gam m a25gam m a30om ega005om ega015om ega020om ega040 (d) DTLZ surface problem Figure 5.18: Other parameters’ influence
  • 58.
    56 5 Resultsof Computational Experiments Knapsack bin 3c DTLZ surface 3c test mean sd improvement mean sd improvement base 29236.10 355.30 0.00% -1.19 0.14 0.00% generation45 29923.32 263.40 2.35% -1.17 0.08 -1.73% generation60 30412.27 225.15 4.02% -1.14 0.05 -4.61% solution45 29642.44 362.47 1.39% -1.12 0.03 -5.71% solution60 29681.42 489.78 1.52% -1.14 0.11 -4.11% Table 5.4: Importance of base parameters Algorithm 4 Simulated DM indicating “good” solutions 1: procedure SelectGoodSolutions(solutions, toSelect) 2: solutions — a list of solutions generated in the interior loop 3: toSelect — how many solutions should be marked as “good” 4: for all s ∈ solutions do 5: s.value ← SupposedUtilityFunction(s) 6: end for 7: solutions ← Sort(key=value, descending=True) 8: Sort solutions on descending supposed utility 9: return GetFirst(solutions, toSelect) 10: end procedure and the toSelect parameter is set to 3 so always three solutions are marked as good. One can influence the behavior of SelectGoodSolutions by changing the toSelect parameter. But this is not enough to simulate human-made inconsistencies. First, note that one do not have to always select the same number of solutions. In fact, this is unrealistic because the decision maker will select as many solutions as he or she will think are appropriate. To simulate this behavior an additional parameter was added — toSelectDelta. Now the number of solutions to be selected are taken from [toSelect − toSelectDelta, toSelect + toSelectDelta] with uniform distribution. Furthermore, the human decision maker is fallible. He or she can make a wrong decision and not select the best solutions according to the supposed utility function. Another parameter was introduced to simulate this phenomenon — noiseLimit. After sorting the solutions on the basis of the supposed utility value the individuals 1, 2, . . . , noiseLimit are shuffled. Supposing one wants to select three solutions. If the noiseLimit parameter is set to 0 (the default) three best solutions will be selected. However, if an experimenter sets the noiseLimit to 6, then 3 out of 6 best solutions will be picked by random. The noisy version of the algorithm 4 is shown below. Algorithm 5 Simulated DM indicating “good” solutions 1: procedure NoisySelectGoodSolutions(solutions, toSelect, toSelectDelta, noiseLimit) 2: for all s ∈ solutions do 3: s.value ← SupposedUtilityFunction(s) 4: end for 5: solutions ← Sort(key=value, descending=True) 6: shuffled ← ShuffleFirst(solutions, noiseLimit) 7: toSelect ← RandomFromInterval(toSelect − toSelectDelta, toSelect + toSelectDelta) 8: return GetFirst(shuffled, toSelect ) 9: end procedure Following tests were performed:
  • 59.
    5.4 A deterministiccase 57 Parameter no noise noise1 noise2 noise3 noise4 noise5 noise6 toSelect 3 3 3 3 5 3 3 toSelectDelta 0 2 2 2 4 4 2 noiseLimit 0 0 2 4 6 10 16 Note that noise1 to noise4 are rather minor ones, noise5 represents medium inconsistencies and finally noise6 is a big one, unlikely to happen in practice — half of the solutions are considered good. If the decision maker is careful in his or her evaluations, the algorithm will probably have to face a noise between 1 and 4. The results for the exemplary problems are shown in the charts below (Figure 5.19, 5.20 and 5.21). Inconsistency tests for the continuous knapsack are omitted — the algorithm performs badly even without additional noise. Results of the DTLZ surface problem (Table 5.5, 5.6 and Figure5.21) are inconclusive. This is because of the behavior described in section 5.4.2 — the decision rules are not discriminating enough so that often the utility value drops between the interior loops. This can be seen as a form of noise with even bigger impact than the one tested here, so it obscures results for this particular problem. For the other problems however — binary knapsacks (Figure 5.19 and 5.20) the results are clear. Minor inconsistencies make almost no harm to the results, while medium and major have only a small impact — the value has decreased less than 5% after ten iterations. This means that the solution generated by DARWIN is robust with respect to the inconsistencies in the decision maker’s choices. Even with the major inconsistencies the algorithm is able to provide the same results, however a few iterations later. test mean sd improvement base 3867.66 37.12 0.00% noise1 3863.02 42.34 -0.12% noise2 3862.67 35.92 -0.13% noise3 3854.10 46.61 -0.35% noise4 3833.94 44.61 -0.87% noise5 3814.34 50.59 -1.38% noise6 3767.85 46.63 -2.58% Table 5.5: The impact of DM’s inconsistencies on knapsack bin 2c test mean sd improvement base 29236.10 355.30 0.00% noise1 29228.82 339.02 -0.02% noise2 29063.68 422.31 -0.59% noise3 28903.57 388.95 -1.14% noise4 28855.74 253.07 -1.30% noise5 28352.64 398.55 -3.02% noise6 28163.63 383.71 -3.67% Table 5.6: The impact of DM’s inconsistencies on knapsack bin 3c
  • 60.
    Test summary exterior_iteration utility_mean 3000 3200 3400 3600 3800 4000 q q q q q q q q q q q q q q q q q q qq q q q q q q q q q q q q q q q q q q q q q q q q q q q q q q q q q q q q q q q q q q q q q q q q q q q q q q q q q q q q q q q q q q q q q q q q q q q q q q q q q q q q q q q q q q q q q q q q q q q q q q q q q q q q q q q q q q q q q q q q q q q q q q q q q q q q q q q q q q q q q q q q q q q q q q q q q q q q q q q q q q q q q q q q q q q q q q q q q q q q q q q q q q q q q q 5 10 15 20 25 30 test q base q noise1 q noise2 q noise3 q noise4 q noise5 q noise6 Test summary, ext.iter.=10 test utility 3700 3750 3800 3850 3900 3950 q q q q q q base noise1 noise2 noise3 noise4 noise5 noise6 Figure 5.19: The impact of DM’s inconsistencies for the two-criteria binary knapsack problem Test summary exterior_iteration utility_mean 20000 22000 24000 26000 28000 30000 q q q q q q q q q q q q q q q q q q q q q q q q q q q q q q q q q q q q q q q q q q q q q q q q q q q q q q q q q q q q q q q q q q q q q q q q q q q q q q q q q q q q q q q q q q q q q q q q q q q q q q q q q q q q q q q q q q q q q q q q q q q q q q q q q q q q q q q q q q q q 5 10 15 20 test q base q noise1 q noise2 q noise3 q noise4 q noise5 q noise6 Test summary, ext.iter.=10 test utility 27500 28000 28500 29000 29500 30000 q q q q q base noise1 noise2 noise3 noise4 noise5 noise6 Figure 5.20: The impact of DM’s inconsistencies for the three-criteria binary knapsack problem
  • 61.
    Test summary exterior_iteration utility_mean −1.20 −1.18 −1.16 −1.14 −1.12 q q q q q q q q q q q q q q q q q qq q q q q q q q q q q q q q q q q q q q q q q q q q q q q q q q q q q q q q q q q q 2 4 6 8 10 test q base q noise2 q noise3 q noise4 q noise5 q noise6 Test summary, ext.iter.=10 test utility −1.45 −1.40 −1.35 −1.30 −1.25 −1.20 −1.15 q qq q q q q q q q q q base noise2 noise3 noise4 noise5 noise6 Figure 5.21: The impact of DM’s inconsistencies for the three-criteria DTLZ surface problem test mean sd improvement base -1.19 0.14 0.00% noise2 -1.16 0.05 2.65% noise3 -1.21 0.15 -1.46% noise4 -1.14 0.04 3.88% noise5 -1.28 0.17 -7.66% noise6 -1.21 0.11 -1.75% Table 5.7: The impact of DM’s inconsistencies on DTLZ surface 3c
  • 62.
    60 5 Resultsof Computational Experiments 5.4.5 A different rule-generating algorithm Details of a rule-generating algorithm is not part of the DARWIN specification. The choice of the algorithm is left to the one implementing DARWIN. In this paper two approaches were evaluated — the DomLem algorithm (see [16]) generating a minimal set of rules and the AllRules algorithm (see [17]) generating an extensive set of all rules. One can lower confidence of the rules generated in the DomLem algorithm (compare with 2.3). 100% confidence may seem a good idea; however, lowering it would allow more gradual improve- ments of the goal function in the evolutionary algorithm which could lead to better results. Values 60% and 80% were tested. In the tests conducted earlier it was assumed that the decision maker selects only a few solutions. In this section it is also compared with marking half of the solutions as good. The results are presented in tables 5.8 and 5.9 and figures 5.22, 5.23, 5.24 and 5.25. When no uncertainty is considered, DomLem performs better than AllRules and it is better to select three solutions than fifteen — a half. Confidence however yields an interesting result — the algorithm is robust with respect to confidence. Knapsack bin 2c Knapsack cont 2c algorithm good count mean sd improvement mean sd improvement domlem 3 3909.94 47.17 0.00% 17939.27 700.25 0.00% domlem 15 3773.55 53.12 -3.49% 17487.98 302.36 -2.52% domlem conf 0.6 15 3783.62 46.17 -3.23% 17505.49 334.11 -2.42% domlem conf 0.8 15 3764.69 58.01 -3.71% 17555.32 402.22 -2.14% allrules 3 3865.25 31.93 -1.14% 17886.14 392.01 -0.30% allrules 15 3804.01 43.96 -2.71% 17517.90 419.92 -2.35% Table 5.8: Impact of the rule-generating algorithm on DARWIN Knapsack bin 3c Surface 3c algorithm good count mean sd improvement mean sd improvement domlem 3 29282.28 227.33 0.00% -1.22 0.13 0.00% domlem 15 27789.61 538.01 -5.10% -1.25 0.11 3.00% domlem conf 0.6 15 28161.34 610.84 -3.83% -1.20 0.10 -1.02% domlem conf 0.8 15 27775.05 336.66 -5.15% -1.21 0.14 -0.17% allrules 3 29144.99 293.66 -0.47% -1.13 0.04 -7.47% allrules 15 27979.16 772.90 -4.45% -1.24 0.11 1.73% Table 5.9: Impact of the rule-generating algorithm on DARWIN
  • 63.
    Test summary exterior_iteration utility_mean 3000 3200 3400 3600 3800 4000 q q q q q q q q q q q q q q q q q qq q q q q q q q q q q q q q q q q q q q q q q q q q q q q q q q q q q q q q q q q q q q q q q q q q q q q q q q q q q q q q q q q q q q q q q q q q q q q q q q q q q q q q q q q q q q q q q q 5 10 15 test q allrules_15 q allrules_3 q domlem_15 q domlem_15_conf06 q domlem_15_conf08 q domlem_3 Test summary, ext.iter.=10 test utility 3700 3750 3800 3850 3900 3950 4000 allrules_15 allrules_3 dom lem _15 dom lem _15_conf06 dom lem _15_conf08 dom lem _3 Figure 5.22: Rule-generating algorithms comparison for the two-criteria binary knapsack prob- lem Test summary exterior_iteration utility_mean 17200 17400 17600 17800 18000 18200 18400 q q q q q q q q q q q q q q q q q q q q q q q q q q q q q q q q q q q q q q q q q q q q q q q q q q q q q q q q q q q q q q q q q q q q q q q q q q q q q q q q q q q q q q q q q q q q q q q q q q q q q q q q q q q q q q q q q q 5 10 15 test q allrules_15 q allrules_3 q domlem_15 q domlem_15_conf06 q domlem_15_conf08 q domlem_3 Test summary, ext.iter.=10 test utility 17000 17500 18000 18500 19000 q q q allrules_15 allrules_3 dom lem _15 dom lem _15_conf06 dom lem _15_conf08 dom lem _3 Figure 5.23: Rule-generating algorithms comparison for the two-criteria continuous knapsack problem
  • 64.
    Test summary exterior_iteration utility_mean 20000 22000 24000 26000 28000 30000 q q q q q q q q q q q q q q q q qq q q q q q q q q q q q q q q q q q q q q q q q q q q q q q q q q q q q q q q q q q q q q q q q q q q q q q q q q q q q q q q q q q q q q q q q q q q q q q q q q q q q q q q q q q q q q q q q q 5 10 15 test q allrules_15 q allrules_3 q domlem_15 q domlem_15_conf06 q domlem_15_conf08 q domlem_3 Test summary, ext.iter.=10 test utility 27000 27500 28000 28500 29000 29500 q q q q allrules_15 allrules_3 dom lem _15 dom lem _15_conf06 dom lem _15_conf08 dom lem _3 Figure 5.24: Rule-generating algorithms comparison for the three-criteria binary knapsack prob- lem Test summary exterior_iteration utility_mean −1.35 −1.30 −1.25 −1.20 −1.15 −1.10 −1.05 q q q q q q q q q q q q q q q q q q q q q q q q q q q q q q q q q q q q q q q q q q q q q q q q q q q q q q q q q q q q q q q q q q q q q q q q q q q q q q q q q q q q q q q q q q q q q q q q q q q q q q q q q q q q q q q q q q 5 10 15 test q allrules_15 q allrules_3 q domlem_15 q domlem_15_conf06 q domlem_15_conf08 q domlem_3 Test summary, ext.iter.=10 test utility −1.40 −1.35 −1.30 −1.25 −1.20 −1.15 q q q q allrules_15 allrules_3 dom lem _15 dom lem _15_conf06 dom lem _15_conf08 dom lem _3 Figure 5.25: Rule-generating algorithms comparison for the three-criteria DTLZ surface problem
  • 65.
    5.4 A deterministiccase 63 5.4.6 The best results One may be interested in the best performances achieved during the experiment runs. The results are presented in Table 5.10 and in Figure 5.26. All the test problems performed extremely well and the distance from the optimal solution is minimal. For the reasons mentioned above the continuous knapsack problem is an exception and its performance is not satisfactory. Changing a crossover operator should immensely improve the results. The settings resulting in these performances are presented in Table 5.11. It is worth noting that when no uncertainty is considered, selecting only three solutions in each exterior loop iteration leads to the best results. Also in three out of four cases the DomLem algorithm is superior to AllRules. Exterior loop Knapsack 2c bin Knapsack 2c cont Knapsack 3c bin Surface 1 28.33% 43.51% 31.94% 13.02% 2 21.48% 43.30% 27.72% 12.66% 3 14.99% 43.12% 23.10% 12.66% 4 11.16% 42.90% 19.54% 3.77% 5 9.91% 42.72% 15.64% 3.77% 6 9.82% 42.46% 12.38% 3.77% 7 8.04% 42.22% 10.43% 0.10% 8 6.83% 42.05% 8.76% 0.06% 9 4.84% 41.79% 6.98% 0.06% 10 3.69% 41.58% 6.19% 11.73% 11 3.19% 41.33% 5.01% 20.38% 12 2.56% 41.03% 4.50% 16.12% 13 2.55% 40.78% 3.63% 3.81% 14 2.55% 40.62% 3.60% 2.14% 15 2.55% 40.45% 3.00% 4.79% 16 2.69% 40.27% 2.81% 15.72% 17 2.69% 40.03% 2.74% 1.97% 18 2.61% 39.84% 2.32% 7.38% 19 2.41% 39.71% 1.84% 0.48% Table 5.10: The best runs for the test problems. Distance from the optimum Problem Algorithm Number of solutions marked as good Knapsack 2c bin Domlem, consistency = 100% 3 Knapsack 2c cont Domlem, consistency = 100% 3 Knapsack 3c bin Domlem, consistency = 100% 3 Surface All rules 3 Table 5.11: Settings resulting in the best performance for the test problems
  • 66.
    Supposed Utility exterior_iteration value 2500 3000 3500 4000 q q q q q q q q q q q q q q qq q q q q q q q q q q q q q q q q q q q q q q 5 10 15 result_value q min q max (a) Two-criteria binary knapsack Supposed Utility exterior_iteration value 15000 20000 25000 30000 q q q q q q q q q q q q q q q q q q q q q q q q q q q q q q q q q q q q q q 5 10 15 result_value q min q max (b) Two-criteria continuous knapsack Supposed Utility exterior_iteration value 15000 20000 25000 30000 q q q q q q q q q q q q q q q q q q q q q q q q q q q q q q q q q q q q q q 5 10 15 result_value q min q max (c) Three-criteria binary knapsack Supposed Utility exterior_iteration value −3.0 −2.5 −2.0 −1.5 q q q q q q q q q q q q q q q q q q q q q q q q q q q q q q q q q q q q q q 5 10 15 result_value q min q max (d) DTLZ surface problem Figure 5.26: The best runs for the test problems
  • 67.
    5.5 The caseof uncertainty 65 5.5 The case of uncertainty In the previous sections the algorithm’s results were analyzed. It was assumed that the problems were well-specified with no room for uncertainty. It was a way to test the algorithm’s behavior and to get the idea about its properties. It is often impossible to specify the exact values of each coefficient in the problem. One may want to specify some of the coefficients in the form of intervals of the possible values. Then he or she is interested in a robust solution taking into account many possible scenarios of imprecision. This is possible with the DARWIN method. Now the tests performed earlier will be extended to “robust” problems — i.e.the ones with interval coefficients. Note that now it is impossible to compare a result with the optimal solution, even assuming the supposed utility function. However, a point of reference is needed in order to know what performance can be expected from the method. The author decided to compare the results with the supposed utility function optimization. As a reference point for comparison result generated as follows was taken. The whole exterior loop (see 3.3) is left intact but in the interior loop the goal function for evolutionary optimization changes. Instead of optimization based on primary and secondary score the supposed utility function is the one to be taken into account. This way it is possible to measure how well the DM’s preferences are inferred by the DARWIN method. And the preference gathering is definitely the most important and unique part of this method. Like in previous sections all tests were repeated at least fifteen times and results were averaged unless stated otherwise. 5.5.1 Single run analysis Before evaluating performances on exemplary problems it is a good idea to analyze a single run on a single problem. It can indicate interesting properties or potential problems of the algorithm. The problem being evaluated is a two-criteria mix problem (this the problem presented at the original DARWIN lecture given at 5th International Workshop on Preferences and Decisions, Trento, April 2009). Note that although the problem has only two-criteria in its definition it has to be considered in a space with more dimensions. This is because the supposed utility function is defined not in the original two-criteria space (max profit, min time) but rather in a quantile space. The function is defined as follows: max : profit1% + 3 ∗ profit25% + 2 ∗ profit50% − time1% − 3 ∗ time25% − 2 ∗ time50% So the space has six dimensions: p1% × p25% × p50% × t1% × t25% × t50% ; t is for time and p for profit. Basic performance of a single run is presented in Figure 5.27. As one can see the algorithm needs only four iterations to reach the maximum value — a point where no further improvement occurs5 . Improvements of the supposed utility function and primary score are shown in figures 5.28, 5.29 whereas the shape of the population in Figure 5.30, 5.31. One can see that it is easy to generate a good solution to the problem — a solution with the best result in a given run appears in the first few generations. Having six-dimensional objective space it is impossible to provide a section of this space on a two-dimensional chart. However, these dimensions are not completely independent. There is a correlation between the quantiles of the same objective. This can be observed in Figure 5.32 — 5This is not an optimal solution to the problem. By their nature — intervals and scenarios of uncertainty — a problem from this section does not have an optimal value.
  • 68.
    Supposed Utility exterior_iteration value 2000 3000 4000 5000 6000 q q q q q q q q q q q q q qq q q q q q q q q q q q q q q q 2 4 6 8 10 result_value q min q max Figure 5.27: Supposed utility function in exterior loop iterations for the mix-problem
  • 69.
    5.5 The caseof uncertainty 67 showing the movement of population during the generation on a section of objective space, or even better in Figure 5.33 — solutions marked by the decision maker as “good”. As expected the solutions chosen by the DM are near the pareto-front. However, not all of them are part of the front. Knowing that there are four other goals besides profit50% and time50% explains the phenomenon.
  • 70.
    UtilGen, ext.iter.=1 generation value 2000 3000 4000 5000 6000 q q q q q qq q q q q q q q q q q q q q q q q q q q q q q q q q q q q q q q q q q q q q q q q q q q q q q q q q q q q q q q q q q q q q q q q q q q q q q q q q q q q q q q q q q q q q q 0 5 10 15 20 25 30 result_value q mean q min q max PrimaryScoreGen, ext.iter.=1 generation value 0.0 0.2 0.4 0.6 q q q q q q q q q q q q q q q q q q q q q q q q q q q q q q q q q q q q q q q q q q q q q q q q q q q q q q q q q q q q q qq q q q q q q q q q q q q q q q q q q q q q q q q q q q q q q 0 5 10 15 20 25 30 result_value q mean q min q max Figure 5.28: Supposed utility function and primary score improvements in an example run of the interior loop
  • 71.
    UtilGen, ext.iter.=3 generation value 5000 5500 6000 6500 q q q q qq q q q q q q q q q q q q q q q q q q q q q q q q q q q q q q q q q q q q q q q q q q q q q q q q q q q q q q q qq q q q q q q q q q q q q q q q q q q q q q q q q q q q q q q 0 5 10 15 20 25 30 result_value q mean q min q max PrimaryScoreGen, ext.iter.=3 generation value 0.0 0.2 0.4 0.6 q q q q q q q q q q q q q q q q q q q q q q q q q q q q q q q q q q q q q q q q q q q q q q q q q q q q q q q q q q q q q qq q q q q q q q q q q q q q q q q q q q q q q q q q q q q q q 0 5 10 15 20 25 30 result_value q mean q min q max Figure 5.29: Supposed utility function and primary score improvements in an example run of the interior loop
  • 72.
    Utility/Individual, ext.iter.=1 individual utility 2000 3000 4000 5000 6000 q q q q q q q q qq q q q q q q q q q q q q q q q q q q q q q q q q q q q q q q q q q q q q q q q q q q q q q q q q q q q q q q q q q q q q q q q q q q q q q q q q q q q q q q q q q q q q q q q q q q q q q q q q q q q q q q q q q q q q q q 5 10 15 20 25 30 generation q 0 q 10 q 20 q 30 Primary/Individual, ext.iter.=1 individual primary 0.0 0.2 0.4 0.6 q q q q q q q q q q q q q q q q q q q q q q q q q q q q q qq q q q q q q q q q q q q q q q q q q q q q q q q q q q q qq q q q q q q q q q q q q q q q q q q q q q q q q q q q q qq q q q q q q q q q q q q q q q q q q q q q q q q q q q q q 5 10 15 20 25 30 generation q 0 q 10 q 20 q 30 Figure 5.30: Changes of the population shape in an example run of the interior loop
  • 73.
    Utility/Individual, ext.iter.=3 individual utility 5000 5500 6000 6500 q q q q q qq q q q q q q q q q q q q q q q q q q q q q q qq q q q q q q q q q q q q q q q q q q q q q q q q q q q q q q q q q q q q q q q q q q q q q q q q q q q q q q q q q q q q q q q q q q q q q q q q q q q q q q q q q q q q q q q q q 5 10 15 20 25 30 generation q 0 q 10 q 20 q 30 Primary/Individual, ext.iter.=3 individual primary 0.0 0.2 0.4 0.6 q q q q q q q q q q q q q q q q q q q q q q q q q q q q q qq q q q q q q q q q q q q q q q q q q q q q q q q q q q q qq q q q q q q q q q q q q q q q q q q q q q q q q q q q q qq q q q q q q q q q q q q q q q q q q q q q q q q q q q q q 5 10 15 20 25 30 generation q 0 q 10 q 20 q 30 Figure 5.31: Changes of the population shape in an example run of the interior loop
  • 74.
    profit_50.0 x time_50.0,ext.iter.=1 profit_50.0 time_50.0 100 150 200 250 300 350 q qq q q q q q q q q q q q q q q q q q q q q q q q q q q q qq q q q q q q q q q q q q q q q q qq q q q qq q qq q q qq q q q q q q q q q q q q q q q q qq q q q q q q q q q q qq q q q q q q q q q q q q q q q q q q qq q q q q q q q q 200 400 600 800 1000 generation q 0 q 10 q 20 q 30 profit_50.0 x time_50.0, ext.iter.=3 profit_50.0 time_50.0 280 300 320 340 360 380 400 q q q q q q q q q q q q q q q q q q q q q q q q q q q q q q q q q q q q q q q q q q q q q q q q q q q q q q q q q q q q q q q q q q q q q q q qq q q q q q q q q q q q q q q qq q q q q q q q q q q q q q q q q q q q q q q qq q q q q q qq 850 900 950 1000 1050 1100 generation q 0 q 10 q 20 q 30 Figure 5.32: Two-dimensional section of the objective space DM Choice, ext.iter.=0 profit_50.0 time_50.0 100 150 200 250 300 350 q q qq q q q q q q q q q q q q q q q q q q q q q q q q q q 200 400 600 800 1000 good q 0 q 1 DM Choice, ext.iter.=2 profit_50.0 time_50.0 280 300 320 340 360 380 q q q q q q q q q q q q q q q q q q q q q q q q q q q q q q 850 900 950 1000 1050 1100 good q 0 q 1 Figure 5.33: Two-dimensional section of the objective space
  • 75.
    5.5 The caseof uncertainty 73 5.5.2 The computational performance on exemplary problems To see how well DARWIN can infer the decision maker’s preferences a comparison with the sup- posed utility function is given. For this section the experiments were performed on all exemplary problems with interval coefficients — mix problem (also labeled as presentation problem), dtlz1 (version with four and ten-criteria) and dtlz7. The problems were solved with default (base) values of configuration options as well as with an increased number of generations (from 30 to 60). Tests whose names end with rules are using primary and secondary score; tests with names ending with supp are using the supposed utility function value as an objective in evolutionary optimization. The results are shown in Table 5.12 and presented in Figure 5.34, 5.35, 5.36 and 5.37. There was almost no difference for the mix problem (less than 1%) and a minor difference for the dtlz7 problem — less than 5%. Unfortunately, differences for dtlz1 problems (both four- and ten criteria) were important and noticeable — about 50% percent after ten iterations. The results for dtlz1 are far below the expectations — the default parameters are not appropriate for the problem. A better result here is still possible, however it requires tuning the parameters. Note: When box plots are given, they are always charted for the tenth iteration. The same applies to comparison tables. test optimization supposed rules distance mix base 6683.14 6678.95 0.06% mix gen60 6680.05 6661.41 0.28% dtlz1 c4 base 7.01 12.81 45.29% dtlz1 c4 gen60 6.48 15.18 57.28% dtlz1 c10 base 7.60 13.73 44.68% dtlz1 c10 gen60 5.61 18.00 68.85% dtlz7 c4 base 104.72 108.74 3.69% dtlz7 c4 gen60 104.95 110.28 4.83% Table 5.12: Performance comparison on robust multi-objective problems
  • 76.
    Test summary exterior_iteration utility_mean 6450 6500 6550 6600 6650 q q q q q qq q q q q q q q q q q q q q q q q q q q q q q q q q q q q q q q q q 2 4 6 8 10 test q mix_base_rules q mix_base_supp q mix_gen60_rules q mix_gen60_supp Test summary, ext.iter.=10 test utility 6600 6650 6700 6750 6800 q q q q q m ix_base_rules m ix_base_supp m ix_gen60_rules m ix_gen60_supp Figure 5.34: Performance comparison on the mix problem Test summary exterior_iteration utility_mean −35 −30 −25 −20 −15 −10 q q q q q q q q q q q q q q q q q q q q q q q q q q q q q q q q q q q q q q q q 2 4 6 8 10 test q dtlz1_c4_base_rules q dtlz1_c4_base_supp q dtlz1_c4_gen60_rules q dtlz1_c4_gen60_supp Test summary, ext.iter.=10 test utility −30 −25 −20 −15 −10 −5 q q q q dtlz1_c4_base_rules dtlz1_c4_base_supp dtlz1_c4_gen60_rules dtlz1_c4_gen60_supp Figure 5.35: Performance comparison on the four-criteria DTLZ1 problem
  • 77.
    Test summary exterior_iteration utility_mean −50 −40 −30 −20 −10 q q q q q q q q q q q q q q q q q q q q q q q q q q q q q q q q qq q q q q q q 2 4 6 8 10 test q base_rules q base_supp q gen60_rules q gen60_supp Test summary, ext.iter.=10 test utility −50 −40 −30 −20 −10 q q base_rules base_supp gen60_rules gen60_supp Figure 5.36: Performance comparison on the ten-criteria DTLZ1 problem Test summary exterior_iteration utility_mean −118 −116 −114 −112 −110 −108 −106 −104 q q q q q q q q q q q q q q q q q q q q q q q q q q q q q q q q q q q q q q q q 2 4 6 8 10 test q base_rules q base_supp q gen60_rules q gen60_supp Test summary, ext.iter.=10 test utility −120 −115 −110 −105 −100 −95 q q q q base_rules base_supp gen60_rules gen60_supp Figure 5.37: Performance comparison on the four-criteria DTLZ7 problem
  • 78.
    76 5 Resultsof Computational Experiments 5.5.3 The influence of the basic parameters on the method The importance of basic parameters was evaluated again in the robust environment. The numerical results are presented in Table 5.13 and 5.14. Also charts are included to visualize the relations (Figure 5.38). Unfortunately, no clear pattern emerges. For a mix problem the solution is robust — changing the basic parameters changes the value of the result no more than a 1% after ten iterations.For the DTLZ7 problem the situation is similar — differences are bigger now, however still less than 5%. Differences are bigger and important for the DTLZ1 problems (four- and ten-criteria). However, the standard deviations are of the same order of magnitude as mean values of the results. So one should say the results are inconclusive here and it is impossible to make a suggestion based solely on these results. Mix problem DTLZ1 c4 test mean sd improvement mean sd improvement base 6665.60 57.27 0.00% -9.99 6.83 0.00% generation45 6661.72 47.52 -0.06% -16.04 12.47 60.63% generation60 6661.14 45.08 -0.07% -9.63 7.78 -3.61% scenario45 6617.60 47.33 -0.72% -13.12 11.37 31.34% scenario60 6639.54 33.98 -0.39% -13.95 8.50 39.68% solution45 6705.68 52.96 0.60% -10.43 8.33 4.44% solution60 6685.43 56.78 0.30% -11.68 8.23 16.97% Table 5.13: Importance of base parameters in robust environment DTLZ1 c10 DTLZ7 c4 test mean sd improvement mean sd improvement base -15.30 11.20 0.00% -109.23 5.87 0.00% generation45 -15.92 13.27 4.03% -109.23 6.96 0.00% generation60 -21.63 12.55 41.37% -108.33 10.87 -0.82% scenario45 -17.32 11.15 13.17% -111.98 5.34 2.52% scenario60 -16.67 13.30 8.91% -112.54 3.45 3.03% solution45 -13.89 9.63 -9.22% -107.88 6.39 -1.23% solution60 -9.55 6.81 -37.62% -109.98 6.37 0.69% Table 5.14: Importance of base parameters in robust environment
  • 79.
    Test summary, ext.iter.=10 test utility 6600 6650 6700 6750 q q q base generation45 generation60 scenario45 scenario60 solution45 solution60 (a)Mix problem Test summary, ext.iter.=10 test utility −35 −30 −25 −20 −15 −10 −5 base generation45 generation60 scenario45 scenario60 solution45 solution60 (b) DTLZ1 four-criteria Test summary, ext.iter.=10 test utility −40 −30 −20 −10 q base generation45 generation60 scenario45 scenario60 solution45 solution60 (c) DTLZ1 ten-criteria Test summary, ext.iter.=10 test utility −120 −110 −100 −90 −80 q q q qq base generation45 generation60 scenario45 scenario60 solution45 solution60 (d) DTLZ7 four-criteria Figure 5.38: Effect of params in DM’s decisions
  • 80.
    78 5 Resultsof Computational Experiments 5.5.4 DM’s decisions inconsistent with supposed utility function In order to check the impact of inconsistencies in DM’s decisions, experiments were performed. The results are presented in Figure 5.39 and in the tables 5.15 and 5.16. Again one has to analyze the results excluding the DTLZ1 problem. This is because of the standard deviation of the series of results — again it is the same order of magnitude as the value itself. In the Mix and DTLZ7 problems the effect of inconsistencies in DM’s decisions starts to be an important factor only in case of medium- (noise5) — the results differ about 8% and in case of a major-inconsistencies (noise6) — difference about 12% for the mix problem and about 8% for the DTLZ7 problem. The situation is similar to the impact on problems defined without uncertainty. Even if one adds the interval coefficients to the problem, the solution is still robust with respect to the inconsistencies in the DM’s decisions. Mix problem DTLZ1 c4 test mean sd improvement mean sd improvement base 6678.95 53.86 0.00% -12.81 8.38 0.00% noise1 6662.93 36.54 -0.24% -7.70 8.48 39.89% noise2 6638.77 70.33 -0.60% -12.61 11.36 1.55% noise3 6636.90 53.88 -0.63% -12.73 10.82 0.61% noise4 6537.39 137.71 -2.12% -13.65 7.84 -6.55% noise5 6093.31 811.58 -8.77% -17.27 11.32 -34.82% noise6 5858.94 924.72 -12.28% -13.72 12.45 -7.09% Table 5.15: The impact of inconsistencies in robust environment DTLZ1 c10 DTLZ7 c4 test mean sd improvement mean sd improvement base -13.73 8.08 0.00% -108.86 4.00 0.00% noise1 -17.34 9.07 -26.23% -109.48 7.03 -0.57% noise2 -20.58 13.18 -49.83% -115.45 7.33 -6.06% noise3 -21.52 11.72 -56.70% -112.61 5.84 -3.45% noise4 -21.47 9.29 -56.36% -112.38 6.51 -3.24% noise5 -24.86 13.03 -81.01% -117.84 6.78 -8.26% noise6 -24.89 11.79 -81.21% -117.45 7.21 -7.89% Table 5.16: The impact of inconsistencies in robust environment
  • 81.
    Test summary, ext.iter.=10 test utility 4000 4500 5000 5500 6000 6500 q q q q q q base noise1 noise2 noise3 noise4 noise5 noise6 (a)Mix problem Test summary, ext.iter.=10 test utility −40 −30 −20 −10 q q q base noise1 noise2 noise3 noise4 noise5 noise6 (b) DTLZ1 four-criteria Test summary, ext.iter.=10 test utility −50 −40 −30 −20 −10 q q base noise1 noise2 noise3 noise4 noise5 noise6 (c) DTLZ1 ten-criteria Test summary, ext.iter.=10 test utility −125 −120 −115 −110 −105 −100 q q base noise1 noise2 noise3 noise4 noise5 noise6 (d) DTLZ7 four-criteria Figure 5.39: Effect of inconsistencies in DM’s decisions
  • 82.
    80 5 Resultsof Computational Experiments 5.5.5 DomLem parameters As it was mentioned in 4.1.1, the algorithm for rules generation is left to the analyst. In this paper both DomLem and AllRules were used. In this section the DomLem algorithm is being analyzed. One can set different confidence values for the rules — runs with 100%, 80% and 60% were tried. The decision maker can indicate different solutions as “good”. 3 and 15 in the tests. DomLem returns a minimal set of rules covering all the examples. Usually it means that only a small number of rules will be generated. However, DomLem is an heuristic algorithm, so running it with swapped columns in the table will result in different rules. This feature was exploited to generate more rules. Algorithm was run three times with different attribute ordering. This test is called multirules. Numerical results are given in the tables 5.17 and 5.18. Charts visualizing the data were prepared. See figures 5.40, 5.41, 5.42 and 5.43. Again, it is impossible to give clear guidelines which values should be chosen for the parameters. For the mix problem and four-criteria DTLZ7 problem the solutions are robust — differences are no more than 1% and 5% respectively. However, the situation changes for the DTLZ1 problem. In case of the four-criteria variant choosing the multirules option yields a great improvement, especially if the DM selects three good solutions in each iteration — almost 60% improvement. Also selecting fifteen good solutions and setting the confidence level to 80% results in almost 40% improvement. For the ten-criteria variant selecting fifteen solutions and certain (confidence = 100%) rules results in over 25% improvement. Choosing “multirules” can improve the result by 13% and 16%. For the problem the best results are achieved by selecting 15 solutions and setting the confidence to 60%. This will improve the results by 55%. Mix problem DTLZ1 c4 test good count mean sd improvement mean sd improvement domlem 3 6676.25 50.34 0.00% -16.45 13.80 0.00% domlem 15 6649.69 37.74 -0.40% -19.51 10.97 -18.59% domlem conf 0.6 3 6655.11 43.51 -0.32% -17.44 9.48 -5.99% domlem conf 0.6 15 6695.45 59.81 0.29% -19.06 15.29 -15.87% domlem conf 0.8 3 6662.44 56.97 -0.21% -20.61 16.91 -25.27% domlem conf 0.8 15 6662.55 66.35 -0.21% -10.28 7.88 37.52% domlem multirules 3 6680.08 33.44 0.06% -6.74 5.60 59.00% domlem multirules 15 6658.61 27.97 -0.26% -12.83 10.38 22.00% Table 5.17: Influence of the DomLem parameters in robust environment DTLZ1 c10 DTLZ7 c4 test good count mean sd improvement mean sd improvement domlem 3 -21.05 17.52 0.00% -108.94 4.01 0.00% domlem 15 -15.50 9.28 26.35% -109.28 4.96 -0.31% domlem conf 0.6 3 -22.44 8.82 -6.60% -112.68 4.15 -3.43% domlem conf 0.6 15 -9.09 7.39 56.82% -109.28 7.95 -0.31% domlem conf 0.8 3 -22.66 14.83 -7.67% -108.83 5.28 0.10% domlem conf 0.8 15 -26.76 17.14 -27.14% -108.53 7.29 0.38% domlem multirules 3 -18.14 14.80 13.81% -112.03 5.79 -2.83% domlem multirules 15 -17.71 10.34 15.86% -110.17 5.48 -1.13% Table 5.18: Influence of the DomLem parameters in robust environment
  • 83.
    Test summary exterior_iteration utility_mean 6200 6300 6400 6500 6600 6700 q q q q q q q q qq q q q q q q q q q q q q q q q q q q q q q q q q q q q q q q q q q q q q q q q q q q q q q q q q q q q q q q q q q q q q q q q q q q q q q q q q q q q q q q q q q q q q q q q q q q q q q q q q q q q q q q q q q q q q q q q q q q q q q q q q q q q q q q q q q q q q q q q q q q q q q q 5 10 15 test q domlem q domlem_15good q domlem_conf06 q domlem_conf06_15 q domlem_conf08 q domlem_conf08_15 q domlem_multirules q domlem_multirules_15 Test summary, ext.iter.=10 test utility 6600 6650 6700 6750 q q q dom lem dom lem _15gooddom lem _conf06dom lem _conf06_15 dom lem _conf08dom lem _conf08_15 dom lem _m ultirules dom lem _m ultirules_15 Figure 5.40: Influence of the DomLem parameters on the mix problem Test summary exterior_iteration utility_mean −50 −40 −30 −20 −10 q q q q q q q q q q q q q q q q q q q q q q q q q q q q q q q q q q q q q q q q q q q q q q q q q q q q q q q q q q q q q q q q q q q q q q q q q q q q q q q q q q q q q q q q q q q q q q q q q q q q q q q q q q q q q q q q q q q q q q q q q q q q q q q q q q q q q q q q q q q q q q q q q q q q q q q q 5 10 15 test q domlem q domlem_15good q domlem_conf06 q domlem_conf06_15 q domlem_conf08 q domlem_conf08_15 q domlem_multirules q domlem_multirules_15 Test summary, ext.iter.=10 test utility −50 −40 −30 −20 −10 q q q q dom lem dom lem _15gooddom lem _conf06dom lem _conf06_15 dom lem _conf08dom lem _conf08_15 dom lem _m ultirulesdom lem _m ultirules_15 Figure 5.41: Influence of the DomLem parameters on the four-criteria DTLZ1 problem
  • 84.
    Test summary exterior_iteration utility_mean −70 −60 −50 −40 −30 −20 −10 q q q q q q q q q q q q q qq q q q q q q q q q q q q q q q q q q q q q q q q q q q q q q q q q q q q q q q q q q q q q q q q q q q q q q q q q q q q q q q q q q q q q q q q q q q q q q q q q q q q q q q q q q q q q q q q q q q q q q q q q q q q q q q q q q q q q q q q q q q q q q q q q q q q q q q q q 5 10 15 test q domlem q domlem_15good q domlem_conf06 q domlem_conf06_15 q domlem_conf08 q domlem_conf08_15 q domlem_multirules q domlem_multirules_15 Test summary, ext.iter.=10 test utility −60 −50 −40 −30 −20 −10 q q q q dom lem dom lem _15gooddom lem _conf06dom lem _conf06_15 dom lem _conf08dom lem _conf08_15 dom lem _m ultirulesdom lem _m ultirules_15 Figure 5.42: Influence of the DomLem parameters on the ten-criteria DTLZ1 problem Test summary exterior_iteration utility_mean −120 −115 −110 q q q q q q q q q q q q q q q q q q q q q q q q q q q q q q q q q q q q q q q q q q q q q q q q q q q q q q q q q q q q q q q q q q q q q q q q q q q q q q q q q q q q q q q q q q q q q q q q q q q q q q q q q q q q q q q q q q q q q q q q q q q q q q q q q q q q q q q q q q q q q q q q q q q q q q q q 5 10 15 test q domlem q domlem_15good q domlem_conf06 q domlem_conf06_15 q domlem_conf08 q domlem_conf08_15 q domlem_multirules q domlem_multirules_15 Test summary, ext.iter.=10 test utility −120 −115 −110 −105 −100 q q dom lem dom lem _15gooddom lem _conf06dom lem _conf06_15 dom lem _conf08dom lem _conf08_15 dom lem _m ultirules dom lem _m ultirules_15 Figure 5.43: Influence of the DomLem on the four-criteria DTLZ7 problem
  • 85.
    5.5 The caseof uncertainty 83 5.5.6 AllRules algorithm The second option for the rule generator is the AllRules algorithm. The version used for the paper has no configuration parameter, but one can obviously change the number of solutions marked as good. Results are presented in Table 5.19 and charts 5.44, 5.45 and 5.46. For the mix and DTLZ7 problems the differences between 3 and 15 good solutions are small and insignificant. On the other hand, for the DTLZ1 problem the difference is over 60% when marking 15 out 30 solutions as good. Unfortunately, because of the huge memory footprint, it was impossible to run AllRules for the ten-criteria DTLZ1 problem. A comparison between both approaches — DomLem and AllRules was also made in order to check if generating more rules will improve the results. For the three problems the best series for DomLem and AllRules were chosen and compared. The results are given in the tables 5.20, 5.21 and 5.22, as well as charted in figures 5.47, 5.48 and 5.49. In general DomLem performed a bit better, however for the DTLZ1 choosing AllRules result in a huge (about 70%) improvement. problem test good count mean stddev improvement mix problem allrules 3 6658.39 69.98 0.00% mix problem allrules 15 6572.14 79.91 -1.30% dtlz1 c4 allrules 3 -13.05 11.80 0.00% dtlz1 c4 allrules 15 -4.52 3.05 65.36% dtlz7 c4 allrules 3 -111.80 3.68 0.00% dtlz7 c4 allrules 15 -110.07 7.84 1.55% Table 5.19: AllRules — number of solutions chosen and its influence on the result outer domlem conf=0.6, good=15 stddev all rules, good=15 stddev improvement 1 6399.34 208.67 6334.75 350.80 -1.01% 2 6516.66 108.81 6502.02 211.88 -0.22% 3 6555.59 94.60 6552.46 100.80 -0.05% 4 6603.19 88.61 6574.42 71.22 -0.44% 5 6607.81 90.20 6591.54 59.81 -0.25% 6 6623.12 70.84 6620.31 87.77 -0.04% 7 6626.90 55.62 6628.49 82.09 0.02% 8 6661.15 78.86 6640.54 82.18 -0.31% 9 6686.50 68.39 6656.77 71.28 -0.44% 10 6695.45 59.81 6658.39 69.98 -0.55% 11 6697.46 54.06 6673.27 60.59 -0.36% 12 6697.46 54.06 6675.63 58.30 -0.33% 13 6693.87 59.44 6684.04 56.11 -0.15% 14 6693.59 59.62 6689.49 48.43 -0.06% 15 6698.10 57.73 6701.54 47.81 0.05% 16 6698.10 57.73 6701.42 47.77 0.05% 17 6697.50 57.20 6698.24 55.56 0.01% 18 6707.60 46.91 6707.24 62.70 -0.01% 19 6707.98 47.62 6707.24 62.70 -0.01% Table 5.20: AllRules and DomLem comparison on the mix problem
  • 86.
    Test summary exterior_iteration utility_mean 6400 6500 6600 6700 q q q q q q q q qq q q q q q q q q q q q q q q q q q q q q q q q q q q q q 5 10 15 test q all_rules q allrules_15good Test summary, ext.iter.=10 test utility 6450 6500 6550 6600 6650 6700 6750 6800 q all_rules allrules_15good Figure 5.44: AllRules — number of solutions chosen and its influence on the mix problem Test summary exterior_iteration utility_mean −25 −20 −15 −10 −5 q q q q q q q q q q q q q q q q q q q q q q q q q q q q q q q q q q q q q q 5 10 15 test q all_rules q allrules_15good Test summary, ext.iter.=10 test utility −35 −30 −25 −20 −15 −10 −5 all_rules allrules_15good Figure 5.45: AllRules — number of solutions chosen and its influence on the four-criteria DTLZ1 problem
  • 87.
    Test summary exterior_iteration utility_mean −118 −116 −114 −112 −110 q q q q q q q q q q q qq q q q q q q q q q q q q q q q q q q q q q q q q q 5 10 15 test q all_rules q allrules_15good Test summary, ext.iter.=10 test utility −115 −110 −105 −100 all_rules allrules_15good Figure 5.46: AllRules — number of solutions chosen and its influence on the four-criteria DTLZ7 problem Test summary exterior_iteration utility_mean 6400 6450 6500 6550 6600 6650 6700 q q q q q q q q q q q q q q q q q q q q q q q q q q q q q q q q q q q q q q 5 10 15 test q all_rules q domlem_conf06_15 Test summary, ext.iter.=10 test utility 6600 6650 6700 6750 6800 all_rules dom lem _conf06_15 Figure 5.47: AllRules and DomLem comparison on the mix problem
  • 88.
    Test summary exterior_iteration utility_mean −40 −30 −20 −10 q q q q q q q q q qq q q q q q q q q q q q q q q q q q q q q q q q q q q q 5 10 15 test q allrules_15good q domlem Test summary, ext.iter.=10 test utility −50 −40 −30 −20 −10 q allrules_15good dom lem Figure 5.48: AllRules and DomLem comparison on the four-criteria DTLZ1 problem Test summary exterior_iteration utility_mean −118 −116 −114 −112 −110 −108 −106 q q q q q q q q q q q q q q q q q q q q q q q q q q q q q q q q q q q q q q 5 10 15 test q allrules_15good q domlem_conf08_15 Test summary, ext.iter.=10 test utility −115 −110 −105 −100 allrules_15good dom lem _conf08_15 Figure 5.49: AllRules and DomLem comparison on the four-criteria DTLZ7 problem
  • 89.
    outer domlem conf=1.0,good=3 stddev all rules, good=15 stddev improvement 1 -57.10 34.30 -15.91 5.86 72.15% 2 -33.28 26.61 -10.40 4.77 68.75% 3 -26.73 19.71 -9.07 4.41 66.07% 4 -22.57 16.49 -8.29 3.94 63.26% 5 -20.96 15.87 -7.16 3.29 65.85% 6 -19.56 14.92 -6.10 2.99 68.81% 7 -18.31 14.40 -5.65 3.23 69.13% 8 -18.05 14.28 -5.31 3.47 70.60% 9 -17.09 14.12 -4.81 3.27 71.84% 10 -16.45 13.80 -4.52 3.05 72.51% 11 -16.03 13.39 -4.21 3.19 73.74% 12 -15.59 13.21 -4.18 3.47 73.16% 13 -15.11 13.22 -3.79 3.65 74.90% 14 -14.91 13.20 -3.24 3.55 78.25% 15 -14.55 13.16 -2.97 3.51 79.56% 16 -14.23 12.72 -2.85 3.49 79.96% 17 -13.70 12.21 -2.57 3.36 81.20% 18 -13.05 11.27 -2.64 3.45 79.78% 19 -12.57 10.18 -2.31 3.14 81.58% Table 5.21: AllRules and DomLem comparison on the four-criteria DTLZ1 problem outer domlem conf=0.8, good=15 stddev all rules, good=15 stddev improvement 1 -117.67 8.00 -118.23 9.66 -0.48% 2 -116.53 7.36 -116.87 8.12 -0.30% 3 -109.91 10.01 -113.30 8.15 -3.09% 4 -108.71 7.37 -112.06 7.68 -3.08% 5 -108.78 7.33 -112.41 7.96 -3.34% 6 -108.78 7.33 -111.40 7.33 -2.41% 7 -109.84 8.30 -111.02 7.81 -1.08% 8 -108.84 7.36 -110.07 7.84 -1.13% 9 -108.53 7.29 -110.07 7.84 -1.41% 10 -108.53 7.29 -110.07 7.84 -1.41% 11 -108.38 7.08 -111.30 6.30 -2.70% 12 -108.38 7.08 -111.31 6.31 -2.70% 13 -108.27 6.94 -111.31 6.31 -2.81% 14 -106.42 8.30 -111.31 6.31 -4.60% 15 -106.42 8.30 -111.20 6.20 -4.49% 16 -106.42 8.30 -110.69 5.62 -4.01% 17 -106.42 8.30 -109.62 7.46 -3.01% 18 -106.42 8.30 -109.62 7.46 -3.01% 19 -105.54 8.65 -109.36 7.37 -3.62% Table 5.22: AllRules and DomLem comparison on the four-criteria DTLZ1 problem
  • 90.
    88 5 Resultsof Computational Experiments 5.5.7 The second-order stochastic dominance Stochastic dominance is a form of partial ordering over a set of gambles. The gamble is a probability distribution over possible outcomes. In this section the author focuses on first- and second-order stochastic dominance. The first-order dominance For two gambles, X and Y, the gamble X has first-order stochastic dominance over the gamble Y if for every possible outcome, X gives at least as high a proba- bility of receiving the outcome as Y does, and at least one possible outcome exists, for which X gives higher probability of receiving at least the outcome. In case of DARWIN, the dominance can be checked by comparing the highest values in meaningful quantiles. The second-order dominance For two gambles, X and Y, the gamble X has second-order stochas- tic dominance over the gamble Y if the former has as high the mean value as the latter, and involves less risk. In case of DARWIN, it is comparing mean values in the quantiles instead of the highest ones. An example of different stochastic dominance is shown in Figure 5.50. The solution X dominates Y only when second-order stochastic dominance is considered. 0 20 40 60 80 100 120 140 160 180 200 220 Value in scenarios scenario 1% 25% 50% 75% 99% 1% 25% 50% 75% 99% the highest mean scenario the highest mean 0 30 70 140 19030 70 140 190 0 20 60 150 180 0 50/3 220/6 570/9 920/11 0 30/3 170/6 480/9 820/11 Solution X Solution Y Figure 5.50: First- and second-order stochastic dominance comparison In the second-order dominance, worse scenarios gain on the importance. Therefore, this dom- inance is more risk-averse than the first-order one. This is the case, because bad evaluations in mean values of all quantiles are taken into account, while good evaluations are taken into account in mean values of high quantiles only. It is possible to setup DARWIN to use mean in quantiles instead of the highest value. Thus, one can make use of the second-order stochastic dominance. Figure 5.51 shows a histogram. It presents the number of scenarios resulting in values in given ranges for one, exemplary solution (the solution is different for first-order and second-order stochastic dominance). For example, nine out of thirteen scenarios resulted in profit between 1050 and 1100 for the first-order stochastic dominance. the points are connected to give the overal idea of the probability distributions. The solutions were obtained by running DARWIN with default options (especially with the DomLem algorithm). The exterior loop had been run three times, i.e. the Decision Maker marked “good” solutions three times. The DM preferred solutions with the highest profit50% value. The experiment was conducted twice — the first time with the highest value in quantile (first-order dominance) and the other with a mean in quantiles (second-order dominance). The charts confirm the intuition. In case of profit, the criterion being the most important for the DM, it is clear that one can achieve better results with the first-order dominance — the
  • 91.
    5.5 The caseof uncertainty 89 1450950 1000 1050 1100 1150 1200 1250 1300 1350 1400 10 0 1 2 3 4 5 6 7 8 9 Profit (gain) Thenumberofscenarios First-order stochastic dominance Second-order stochastic dominance 440350 360 370 380 390 400 410 420 430 12 0 2 4 6 8 10 Time (loss) Thenumberofscenarios First-order stoch. dominance Second-order stoch. dominance Figure 5.51: An exemplary probability distribution of goals’ values long tail in the right-hand side of the distribution. However, the distribution for the second-order dominance has less “bad” solutions. The distribution is symmetric with the peak value in the middle. Therefore, the latter it is better fitted for the risk-averse Decision Maker and the former for the risk-seeking one. In the second-order stochastic dominance the “bad” solutions are more important, therefore there were eliminated in favor of average ones. This is also the case for the time criterion (the lower the better). However, minimizing the time was not a priority for the DM, as a result, there are no better solutions in the first-order distribution, because they would imply worsening the profit goal.
  • 92.
    90 5 Resultsof Computational Experiments 5.5.8 The best results Like in the section where no uncertainty was considered, one may be interested in the best perfor- mance achieved during the experiments. The results can not be directly compared to the optimal values, because there is no such thing as an optimal solution. Thus, the comparison is made to the supposed value optimization. Also, instead of single run, the series of runs are the subject of this comparison. The set of parameter values producing these results is also given. The analysis is made on the basis of the problem. The results are presented in tables 5.23, 5.24, 5.25 and 5.26 and in figures 5.52, 5.53, 5.54 and 5.55. For all the problems it was possible to match the performance of the supposed utility optimization. Ten-criteria DTLZ1 was the hardest problem, but the four-criteria version was the easiest one. The parameter values are as follows: problem algorithm good count confidence mix problem DomLem 15 0.6 DTLZ1 four-criteria AllRules 15 n/a DTLZ1 ten-criteria DomLem 15 0.6 DTLZ7 four-criteria DomLem 15 0.8 They can serve as guidelines for an analyst solving other problems with DARWIN. outer mean supposed utility stddev domlem conf 0.6 15 stddev improvement 1 6551.03 105.13 6399.34 208.67 -2.32% 2 6618.31 59.98 6516.66 108.81 -1.54% 3 6627.03 55.99 6555.59 94.60 -1.08% 4 6641.97 56.68 6603.19 88.61 -0.58% 5 6646.64 52.71 6607.81 90.20 -0.58% 6 6657.24 43.55 6623.12 70.84 -0.51% 7 6660.01 42.18 6626.90 55.62 -0.50% 8 6674.68 41.26 6661.15 78.86 -0.20% 9 6678.98 42.18 6686.50 68.39 0.11% 10 6678.98 42.18 6695.45 59.81 0.25% 11 6682.55 38.42 6697.46 54.06 0.22% 12 6688.63 42.88 6697.46 54.06 0.13% 13 6688.88 42.58 6693.87 59.44 0.07% 14 6688.88 42.58 6693.59 59.62 0.07% 15 6691.59 40.16 6698.10 57.73 0.10% 16 6695.68 41.14 6698.10 57.73 0.04% 17 6701.35 39.70 6697.50 57.20 -0.06% 18 6701.35 39.70 6707.60 46.91 0.09% 19 6710.87 40.02 6707.98 47.62 -0.04% Table 5.23: The best run for the mix problem
  • 93.
    Test summary exterior_iteration utility_mean 6400 6450 6500 6550 6600 6650 6700 q q q q q q q q q q q q q q qq q q q q q q q q q q q q q q q q q q q q q q 5 10 15 test q domlem_conf06_15 q supp Test summary, ext.iter.=10 test utility 6650 6700 6750 dom lem _conf06_15 supp Figure 5.52: The best runs for the mix problem Test summary exterior_iteration utility_mean −15 −10 −5 q q q q q q q q q q q q q q q q q q q q q q q q q q q q q q q q q q q q q q 5 10 15 test q allrules_15good q supp Test summary, ext.iter.=10 test utility −20 −15 −10 −5 allrules_15good supp Figure 5.53: The best runs for the four-criteria DTLZ1 problem
  • 94.
    Test summary exterior_iteration utility_mean −40 −30 −20 −10 q q q q q q q q q q qq q q q q q q q q q q q q q q q q q q q q q q q q q q 5 10 15 test q domlem_conf06_15 q supp Test summary, ext.iter.=10 test utility−20 −15 −10 −5 dom lem _conf06_15 supp Figure 5.54: The best runs for the ten-criteria DTLZ1 problem Test summary exterior_iteration utility_mean −120 −115 −110 −105 q q q q q q q q q q q q q q q q q q q q q q q q q q q q q q q q q q q q q q 5 10 15 test q domlem_conf08_15 q supp Test summary, ext.iter.=10 test utility −115 −110 −105 −100 q dom lem _conf08_15 supp Figure 5.55: The best runs for the four-criteria DTLZ7 problem
  • 95.
    outer mean supposedutility stddev allrules 15 stddev improvement 1 -18.34 9.82 -15.91 5.86 13.27% 2 -13.24 8.62 -10.40 4.77 21.43% 3 -11.94 8.74 -9.07 4.41 24.04% 4 -10.80 8.53 -8.29 3.94 23.17% 5 -9.86 8.33 -7.16 3.29 27.38% 6 -9.56 8.47 -6.10 2.99 36.18% 7 -9.25 8.55 -5.65 3.23 38.85% 8 -8.83 8.49 -5.31 3.47 39.88% 9 -8.74 8.50 -4.81 3.27 44.96% 10 -8.23 8.38 -4.52 3.05 45.08% 11 -8.12 8.38 -4.21 3.19 48.16% 12 -7.76 8.32 -4.18 3.47 46.08% 13 -7.62 8.40 -3.79 3.65 50.26% 14 -7.31 8.42 -3.24 3.55 55.63% 15 -7.13 8.26 -2.97 3.51 58.30% 16 -7.02 8.20 -2.85 3.49 59.39% 17 -6.88 8.09 -2.57 3.36 62.60% 18 -6.83 8.12 -2.64 3.45 61.33% 19 -6.78 8.09 -2.31 3.14 65.86% Table 5.24: The best run for the four-criteria DTLZ1 outer mean supposed utility stddev domlem conf 0.6 15 stddev improvement 1 -22.07 11.81 -50.99 24.76 -131.05% 2 -15.26 9.24 -24.22 16.77 -58.72% 3 -13.29 8.49 -18.70 13.78 -40.68% 4 -12.03 8.08 -15.25 10.53 -26.76% 5 -11.41 8.04 -13.13 7.69 -15.07% 6 -10.60 7.64 -12.11 7.46 -14.22% 7 -10.18 7.69 -11.78 7.96 -15.73% 8 -10.01 7.77 -10.44 8.29 -4.26% 9 -9.78 7.71 -9.72 7.36 0.68% 10 -9.56 7.65 -9.09 7.39 4.92% 11 -9.14 7.74 -8.74 7.47 4.33% 12 -9.00 7.77 -12.46 11.18 -38.41% 13 -8.69 7.69 -11.64 10.83 -33.90% 14 -8.56 7.67 -11.51 10.91 -34.43% 15 -8.47 7.63 -11.06 10.23 -30.56% 16 -8.17 7.42 -10.53 10.90 -28.81% 17 -7.91 7.08 -9.89 10.52 -25.05% 18 -7.80 7.00 -10.00 10.74 -28.17% 19 -7.66 6.94 -9.92 10.79 -29.55% Table 5.25: The best run for the ten-criteria DTLZ1
  • 96.
    outer mean supposedutility stddev domlem conf 0.8 15 stddev improvement 1 -120.28 8.04 -117.67 8.00 2.17% 2 -115.98 5.90 -116.53 7.36 -0.47% 3 -114.93 5.79 -109.90 10.01 4.37% 4 -112.55 4.80 -108.71 7.37 3.41% 5 -111.33 5.18 -108.78 7.33 2.31% 6 -110.97 4.92 -108.78 7.33 1.98% 7 -109.70 3.75 -109.84 8.30 -0.12% 8 -109.46 3.74 -108.84 7.36 0.57% 9 -109.37 3.90 -108.53 7.29 0.77% 10 -109.00 3.85 -108.53 7.29 0.43% 11 -108.80 4.10 -108.38 7.08 0.39% 12 -108.72 4.12 -108.38 7.08 0.31% 13 -108.51 3.90 -108.27 6.94 0.23% 14 -107.81 3.34 -106.42 8.30 1.29% 15 -106.40 3.46 -106.42 8.30 -0.02% 16 -105.89 3.30 -106.42 8.30 -0.50% 17 -105.89 3.30 -106.42 8.30 -0.50% 18 -104.88 3.70 -106.42 8.30 -1.46% 19 -103.57 3.67 -105.54 8.65 -1.91% Table 5.26: The best run for the four-criteria DTLZ7
  • 97.
    5.6 Conclusions 95 5.6Conclusions The experiments performed confirmed that the DARWIN method proposed in [13, 15, 9] is a good too for solving multi-objective optimization problems even when the problem formulation does contain uncertainty in the form of intervals of possible values. The presented implementation is the first implementation of the DARWIN method which per- mits performing so large computational experiments. The first task was to analyze behavior of the algorithm on simple two-criteria problem without uncertainty. First evaluations allowed the author to learn the properties and to get to know the behavior of the algorithm. Having confidence that the DARWIN works it was possible to advance to the next task — to evaluate the performance of a richer set of the problem. It was decided to start without allowing uncertainty. Rationale behind this behavior was to prove the algorithm can solve a category of problems with the good overall performance. Ignoring the uncertainty it was possible to compare the DARWIN results with optimal ones, calculated by the linear programming solver. There are a lot of parameters in the algorithm itself, so the next logical step was to check the importance of the parameters. Experiments performed so far assumed that the decision maker is infallible, consistent and acts according to a well-defined utility function. It is not the case in real-life situations so the impact of inconsistencies in DM’s decisions was measured. Knowing the characteristics, performance and impact of the parameters and the inconsistent DM’s decisions one can check if the algorithm with similar characteristics on problems with interval coefficients. Being unsatisfied with the performance on DTLZ1 problems the author checked the influence of DomLem parameters on the result and included a second rules generating algorithm — the AllRules algorithm. As a result a rich set of data containing performance characteristics was gathered. To conclude, the DARWIN method can handle very well a large variety of MOO problems. A resulting solution is robust with respect to algorithm parameters, inconsistencies in Decision Maker’s choices and finally to the uncertainty in the problem definition. Nevertheless the analyst should be careful and investigate the problem instead of using the method blindly. There are some problems which are hard for DARWIN to solve (e.g. DTLZ1). Even for these problems satisfactory results can be achieved, however, one has to fine-tune the parameters and carefully observe their impact on the result. The method is simple to use for the decision maker even if he or she has no knowledge in the decision support field. However for some problems the analyst’s assistance may be necessary in order to select appropriate values for the parameters.
  • 99.
    Chapter 6 Summary In thepaper a novel approach to multi-objective optimization was presented. The DARWIN method is an interactive procedure utilizing the evolutionary algorithm to optimize a population of solutions. The idea of DARWIN was first proposed by Salvatore Greco, Benedetto Matarazzo and Roman Slowi´nski in [13, 15, 9]. However, in this paper the first implementation and numerical results are provided. The novelty of the method consists in utilizing an IMO process along with the EMO procedure. DARWIN not only optimizes the population of solutions, but also drives the optimization towards regions preferred by the decision maker. In order to do it, the preference information has to be gathered. This is done by asking the DM a series of simple questions. A list of feasible solutions is given and he or she is asked to indicate the “good” ones among them. The procedure uses dominance-based rough set approach and the DomLem or AllRules algorithms to obtain a set of “if . . . , then . . . ” decision rules. DARWIN is a first MOO technique using the decision rules. The condition part of each rule corresponds to a dominance cone in the objective space built on a subset of objectives. If a given solution matches the conditional part of the rule, it is considered “good” with respect to this rule. The higher the number of rules matched, the higher the fitness score in the evolutionary optimization, thus the bigger the chance to “survive” and advance to the next generation. DARWIN allows one to use intervals of possible values in the problem formulation. Multiple scenarios are then tested. Objective space is transformed — it is no longer possible to provide a value of an objective. One has to reason in terms of meaningful quantiles of each of the objectives. This allows to take into account the decision maker’s attitude towards risk. Two characteristics of the DARWIN method ensure robustness of the generated solutions. Firstly, each solution is tested on multiple scenarios of uncertainty, so its characteristics are known even considering fluctuations in the problem parameters. Secondly, the decision rules generated by the DRSA framework are immune to inconsistencies in the decision maker’s choices. Therefore, the algorithm can withstand inconsistencies in his or her decision and still guide the search towards the preferred regions. Performed computational experiments confirm the author’s intuition that the method can be used to solve a class of multi-objective optimization problems. If there is no uncertainty involved — the exact values of all problem coefficients are known — the resulting solutions are not further than 10% from the optimal one. If the uncertainty is allowed a comparison to the optimal solution is impossible, because it can not be provided to the problem that is not well-defined. However, a comparison of the evolutionary optimization based on the DRSA decision rules with the one where the supposed utility function is used can be made. The behavior of both optimizations is similar and the conclusion is that the preference information extracted from the DM guides the algorithm to the same regions where the supposed utility optimization. The results also showed that DARWIN is immune to changes in parameters and, moreover, to inconsistencies in the decision
  • 100.
    98 6 Summary maker’schoices. The implementation was done in the Scala programming language. The language runs on top of the Java Virtual Machine (JVM). The JVM is a well-tested platform with enormous popularity in an enterprise class of solutions. The platform is available on all of the popular hardware and software architectures. This ensures portability of the code as well stability of the developed system. Creating a component for a java platform increases the possibility of reusing the component in further projects and solutions. Future work may include performing more computational experiments. A catalogue of problems along with a description of DARWIN’s behavior and results that can be achieved on them could be prepared. One could also modify the evaluational optimization framework and check if, for example, introducing other crossover operators leads to a different behavior on some of the problems. In the current implementation the Monte Carlo procedure is using a uniform distribution of values in intervals. An extension adding the possibility of selecting different distributions could be developed. The goal of the thesis was to describe, implement and test the DARWIN method. Implementa- tion was prepared and experiments conducted. Recommendations on parameter values, problems that can be solved and the expected performance are given. To summarize, it can be stated that the goals of the thesis have been achieved.
  • 101.
    Bibliography [1] Cormen, T.H., Leiserson, C. E., Rivest, R. L., and Stein, C. Introduction to Al- gorithms. No. 35.2. MIT Press and McGraw-Hill, 2001, ch. The traveling-salesman problem, pp. 1027–1033. [2] Darwin, C. On the origin of species. John Murray, London, 1859. [3] Deb, K. Introduction to Evolutionary Multiobjective Optimization. 59–96. [4] Deb, K., Agrawal, S., Pratap, A., and Meyarivan, T. A Fast Elitist Non-dominated Sorting Genetic Algorithm for Multi-objective Optimisation: NSGA-II. In PPSN VI: Proceed- ings of the 6th International Conference on Parallel Problem Solving from Nature (London, UK, 2000), Springer-Verlag, pp. 849–858. [5] Deb, K., Thiele, L., Laumanns, M., and Zitzler, E. Scalable multi-objective opti- mization test problems. In in Congress on Evolutionary Computation (CEC’2002 (2002), pp. 825–830. [6] Fogel, L. J. On the organization of intellect. PhD thesis, University of California, Los Angeles, 1964. [7] Goldberg, D. E. Genetic Algorithms in Search, Optimization and Machine Learning. Addison-Wesley Longman Publishing Co., Inc., Boston, MA, USA, 1989. [8] Graham, R. L., and Hell, P. On the history of the minimum spanning tree problem. IEEE Ann. Hist. Comput. 7, 1 (1985), 43–57. [9] Greco, S., Matarazzo, B., and Slowi´nski, R. DARWIN-PCT: Dominance-based rough set Approach to handling Robust Winning solutionsin IN teractive multiobjective optimiza- tion using Pairwise Comparison Tables. In Proceedings of the 25th Mini-EURO Conference on Uncertainty and Robustness in Planning and Decision Making, URPDM 2010 (Coimbra, Portugal, 15-17 April 2010). [10] Greco, S., Matarazzo, B., and Slowi´nski, R. Rough sets theory for multicriteria deci- sion analysis. European Journal of Operational Research 1, 129 (1 2001), 1–47. [11] Greco, S., Matarazzo, B., and Slowi´nski, R. Handbook of Data Mining and Knowl- edge Discovery. Oxford University Press, New York, 2002, ch. Multicriteria classification by dominance-based rough set approach. [12] Greco, S., Matarazzo, B., and Slowi´nski, R. Search Methodologies: Introductory Tu- torials in Optimization and Decision Support Techniques. Springer-Verlag, New York, 2005, ch. Rough set based decision support.
  • 102.
    100 Bibliography [13] Greco,S., Matarazzo, B., and Slowi´nski, R. Preferences and Decisions: Models and Applications. Springer, Berlin, 2010 (to appear), ch. Dominance-based Rough Set Approach to Interactive Evolutionary Multiobjective Optimization. [14] Greco, S., Matarazzo, B., and Slowi´nski, R. DARWIN: Dominance-based rough set Approach to handling Robust Winning solutions in INteractive multiobjective optimization. In Proc. 5th International Workshop on Preferences and Decisions (Trento, April 6-8, 2009), pp. 34–41. [15] Greco, S., Matarazzo, B., and Slowi´nski, R. Interactive Evolutionary Multiobjective Optimization using Dominance-based Rough Set Approach. In Proc. WCCI 2010, IEEE World Congress on Computational Intelligence (Barcelona, Spain, July, 18-23, 2010), pp. 3026–3033. [16] Greco, S., Matarazzo, B., Slowi´nski, R., and Stefanowski, J. An Algorithm for Induction of Decision Rules Consistent with the Dominance Principle. In RSCTC ’00: Re- vised Papers from the Second International Conference on Rough Sets and Current Trends in Computing (London, UK, 2001), Springer-Verlag, pp. 304–313. [17] Greco, S., Matarazzo, B., Slowi´nski, R., and Stefanowski, J. Variable consistency model of dominance-based rough sets approach. In RSCTC ’00: Revised Papers from the Second International Conference on Rough Sets and Current Trends in Computing (London, UK, 2001), Springer-Verlag, pp. 170–181. [18] Harrah, M. A build tool for Scala. [19] Horn, A. On sentences which are true of direct unions of algebras. Journal of Symbolic Logic, 16 (1951), 14–21. [20] Keen, K. J. Graphics for Statistics and Data Analysis with R. Chapman & Hall/CRC, 2010. [21] King, P., Naughton, P., DeMoney, M., Kanerva, J., Walrath, K., and Hommel, S. Code Conventions for the Java Programming Language. [22] Lazenby, D. Cygwin: For Windows NT. Linux J., 14. [23] Lindholm, T., and Yellin, F. Java Virtual Machine Specification. Addison-Wesley Long- man Publishing Co., Inc., Boston, MA, USA, 1999. [24] Loeliger, J. Version Control with Git: Powerful Tools and Techniques for Collaborative Software Development. O’Reilly Media, Inc., 2009. [25] Metropolis, N. The beginning of the Monte Carlo method. Los Alamos Science Special Issue dedicated to Stanislaw Ulam (1987), 125–130. [26] Miettinen, K., Ruiz, F., and Wierzbicki, A. P. Introduction to Multiobjective Opti- mization: Interactive Approaches. 27–57. [27] Pawlak, Z. Rough sets. International Journal of Computer and Information Sciences 11 (1982), 341–356. 10.1007/BF01001956. [28] Puchinger, J., Raidl, G. R., and Pferschy, U. The multidimensional knapsack problem: Structure and algorithms. INFORMS J. on Computing 22, 2 (2010), 250–265. [29] Rechenberg, I. Evolutionsstrategie - Optimierung technischer Systeme nach Prinzipien der biologischen Evolution. PhD thesis, Technical University of Berlin, 1965. [30] Schwefel, H. P. Kybernetische Evolution als Strategie der experimentellen Forschung in der Str¨omungstechnik. Master’s thesis, Technical University of Berlin, 1965.
  • 103.
    Bibliography 101 [31] Shafranovich,Y. Common format and mime type for comma-separated values (csv) files. Tech. Rep. RFC 4180, IETF, October 2005. [32] Wickham, H. ggplot2: elegant graphics for data analysis. Springer New York, 2009. [33] Wirth, N. What can we do about the unnecessary diversity of notation for syntactic defini- tions? Commun. ACM 20, 11 (1977), 822–823. [34] Wolpert, D. H., and Macready, W. G. No free lunch theorems for optimization. IEEE TRANSACTIONS ON EVOLUTIONARY COMPUTATION 1, 1 (1997), 67–82. [35] ˙Zurawski, M. Algorithms of induction of decision rules for multicriteria and multiattribute decision problems. Master’s thesis, Poznan University of Technology, 2001.
  • 105.
  • 107.
    User’s manual Content ofthe included CD A CD is attached to the thesis. The CD contains this thesis in an electronic form, the DARWIN distribution and the DARWIN source code. A short description of the content follows. • Distribution — The distribution of DARWIN. To run, double click on a file darwin-full.jar. • Source — A source code of the software. • thesis.pdf — An electronic version of the thesis. A graphical user interface for DARWIN Starting the GUI application A runnable jar with all the required dependencies is provided. See the disc attached to the the- sis. The distribution is also available on-line at http://github.com/downloads/puszczyk/DarwinDS/ distribution.zip. The Java Runtime Environment (JRE) 1.5 or later is required. To run the ap- plication, double click on a file darwin-full.jar in a graphical user interface or type following command in a terminal: $ java -jar darwin-full.jar Figure 1 shows the main window of DARWIN. Figure 1: The main screen of DARWIN A set of problems (the ones with uncertain values) is included with the distribution. Solving exemplary problems DARWIN offers an intuitive and easy to use interface for solving MMO problems. The main window is presented in Figure 1. To solve a problem one need to execute following steps: 1. Click the “Open” button in the main window.
  • 108.
    106 User’s manual 2.Choose a problem file using a provided file selector (Figure 2). The problem has to be described in the DARWIN .mod (model) file format. 3. The main window now shows a name of the problem (Figure 3). Click “Solve”. 4. A window presenting generated solutions appears (Figure 4). Mark preferred solutions as “good” using checkboxes in the “Is good” column. Click “Next iteration” in order to start evolutionary optimization procedure. 5. A window with solution details can be invoked by selecting a solution and clicking the “So- lution details” button (Figure 5). 6. After selecting the solutions an evolutionary optimization begins (Figure 6). New solutions are generated and one can mark “good” solutions from a new set again. 7. If generated solutions are satisfactory, then one can stop the algorithm by clicking “End the algorithm”. It there are solutions marked as good, they will be saved. (Figure 7). Figure 2: Selecting a problem to solve Figure 3: Starting the algorithm
  • 109.
    Figure 4: Markingthe “good” subset of generated solutions
  • 110.
    Figure 5: Decisionvariables for a given solution Figure 6: An evolutionary optimization is performed
  • 111.
    Figure 7: Finishthe problem analysis
  • 112.
    110 User’s manual Advancedoptions The DARWIN GUI offers additional options to customize the process. One can modify the algo- rithm parameters in a configuration dialog (Figure 8). To open it, click the “Options” button in the main window. The options are described below. Tab Option name Description Default value Main The number of solu- tions The number of solutions in a population. 30 The number of scenar- ios The number of scenarios on which the so- lutions will be evaluated. 30 The number of genera- tions The number of generations in the interior loop. 30 Percentiles Which percentiles are meaningful to the decision maker. 1.0, 25.0, 50.0 Use an average in quantiles Whether an average in quantiles should be used instead of the maximum value. false The Algorithm Use All Rules instead of DomLem Should the All Rules algorithm be used in- stead of the default one false The DomLEM confi- dence level A level of confidence which the rules gener- ated by the DomLem algorithm should at least have. 0.6 Compare using the supposed utility func- tion If the evolutionary algorithm should use the supposed utility instead of a rule-based score. false Fine Tuning Delta The decay of the rule weight (see 3.3). 0.1 Gamma The coefficient of an elitism. The higher the gamma, the higher the probability of choosing a solution with a higher rank as a parent. 2.0 Eta The initial mutation probability. 0.5 Omega The decay rate of the mutation probability. 0.1 Reports The reports directory A directory where reports should be saved. ./reports Save the evolutionary report If the evolutionary report should be saved ia a file. false Save the decision maker’s report If the DM’s report should be saved in a file. false The rules directory A directory where rules should be saved. ./rules Save rules If the decision rules generated during a run should be saved on a disk. false GUI Parameters Digits after a dot A number of digits that should be dis- played after a dot. 2 The window presenting a list of generated solutions offers additional features. The list of solutions can be sorted on a given criterion by clicking the column header (Figure 9). Another useful option is a history of solutions. The user can review solutions generated in earlier iterations, return to them and change his or her selections. This is possible using the history toolbar (see10).
  • 113.
    Figure 8: DARWINconfiguration options Figure 9: Sorting solutions on a given criterion
  • 114.
    Figure 10: Reviewingthe history of generated solutions
  • 115.
    The DARWIN .modfile format MMO problems for DARWIN are specified in external files. These files are called the DARWIN model files and usually have the .mod extension. The application contains a parser for the model files. The parser grammar in the Extended Backus-Naur Form (EBNF, see [33]) is described below. problem ::= { line } line ::= statement , ";" statement ::= utility_function | variable | goal | constraint variable ::= "var" , "[", [ var_type_constraint ], floating_point_number , ",", floating_point_number , "]", identifier var_type_constraint ::= "(B)" | "(I)" goal ::= ("min" | "max"), identifier , ":", expression constraint ::= identifier , ":", expression , (">=" | "<="), expression utility_function ::= "!dec:", expression expression ::= term , ("+" | "-"), expression | term term ::= factor , ("*" | "/"), term | factor factor ::= floating_point_number | ("+" | "-" | "ln"), factor | quantile | aggregate | identifier | interval | "(", expression , ")" quantile ::= "<", identifier , ",", floating_point_number , ">"
  • 116.
    114 The DARWIN.mod file format interval ::= "[", identifier , ":", floating_point_number , ",", floating_point_number , "]" aggregate ::= aggregate_operator , "(", expression , [{ ",", expression }], ")" aggregate_operator ::= "sum" | "min" | "cos" floating_point_number ::= ? A floating point number with an optional sign ? identifier ::= ? A valid Java identifier ? Comments handled by a preprocessor are possible — (1) line comments, starting with #, e.g. #a-line-comment and (2) block comments, enclosed in /* */. Whitespaces are ignored. A problem file consists of lines, each line contains a statement ended by a semicolon (;). A statement can define the supposed utility function, a variable, a goal or a constraint. The variables are defining the problem domain. They can be continuous (with double floating point precision), binary (indicated by a (B) flag) or integer ((I) flag). Upper and lower limits of the variable value have to be provided. Each variable has a name and can be referred by the name in succeeding statements. Goals are the optimization criteria to be minimized or maximized. They are named expressions and therefore can be referred later by the name. Constraints are named inequalities. The inequality is not strict and both its sides can be expressions. Finally, the supposed utility function is an expression prefixed with !dec:. The function is useful only if one wants to simulate the decision maker. An example file with the mix-problem definition is included below. var[0, 13] xa; var[0, 25] xb; var[0, 13] xc; max profit: [pa:20, 24] * min(xa , [da:10, 12]) + [pb:30, 36] * min(xb , [db:20, 24]) + [pc:25, 30] * min(xc , [dc:10, 12]) - [p1r:6, 7.2] * ([r1a:1, 1.2]* xa + [r1b:2, 2.4]* xb + [r1c :0.75 , 0.9]* xc) - [p2r:9, 9.6] * ([r2a :0.5, 0.6]* xa + [r2b:1, 1.2]* xb + [r2c :0.5, 0.6]* xc); min time: [ta:5, 6]*xa + [tb:8, 9.6]* xb + [tc:10, 12]* xc; c1: xa <= 12; c2: xb <= 24; c3: xc <= 12; c4: xa >= 0; c5: xb >= 0; c6: xc >= 0; !dec: <profit , 0.01> + 3 * <profit , 0.25> + 2 * <profit , 0.50> -1 * <time , 0.01> - 3 * <time , 0.25> - 2 * <time , 0.50 >; The expressions are utilizing intervals (e.g. [pa:20, 24]) and the supposed utility function is using meaningful percentiles (e.g. profit25% : <profit, 0.25>).
  • 117.
    Compiling DARWIN fromthe source code It is possible to build a DARWIN binary from the source code. It can be done using command line on Windows, Linux and MacOSX. Instructions are given below. 1. Get the source code. Sources are included in a disk attached to the thesis. Alternatively, most recent version is stored in the git repository (see [24]) and can be cloned by typing a command: $ git clone git://github.com/puszczyk/DarwinDS.git 2. Prepare a build tool. DARWIN uses sbt (see [18])— a build tool for Scala. Detailed setup instructions are given in the project’s webpage. The easiest way is to install Scala (system- dependent, consult http://scala-lang.org for details) and then prepare a script for running sbt. Download sbt-launch.jar from the sbt website: http://simple-build-tool.googlecode.com/ files/sbt-launch-0.7.4.jar Somewhere in the PATH put a script with the following content: java -Xmx512M -jar ‘dirname $0‘/sbt-launch.jar "$@" or (in case of Windows operating system): set SCRIPT DIR=% dp0 java -Xmx512M -jar "%SCRIPT DIR%sbt-launch.jar" %* Make the file executable. It is assumed further, that the script is named sbt. 3. Build the DARWIN binaries. Source code is located in the Darwin directory. First get required dependencies: $ cd DarwinDS/Darwin $ sbt > download-jars Then run a set of unit-test to check if everything went fine up to this point: > test This should end with a message: [info] All tests PASSED. [success] Successful. Now DARWIN can be compiled: > compile And run: > run To create a .jar package type: > package
  • 118.
    116 Compiling DARWINfrom the source code This will generate DARWIN binaries in a subdirectory named target. The experiment framework Instead of a graphical user interface, DARWIN can be run in a console-based batch mode. This is useful for running a set of experiments. The batch run can be invoked by the experiment framework located in the Experiment directory. The directory contains a few useful scripts written in Bash and Python. As such it requirers MacOSX or a Linux distribution or a Windows operating system with Cygwin installed (see [22]). The utility scripts are described below: • runTestPlan.py — a script for running a set of tests. As an input it requires a location of the DARWIN directory, a problem file, a darwin configuration file and a test plan specification. The problem file is a file in the DARWIN .mod file format. The configuration is an .ini file structured as follows: [section] option1 = value1 option2 = value2 (...) optionN = valueN Required sections and options are described in Table 4.1. The test plan specification is a text file with the following structure: >test_name_1/number -of -runs [section -to -override] option -to -override1 = value1 (...) >test_name_N/number -of -runs (...) Each test is run number-of-runs times. For each test one can specify a list of options to be overridden. It is useful for testing an influence of a parameter. An example test plan is presented below. >delta005 /15 [main] delta = 0.05 >delta015 /15 [main] delta = 0.15 >delta020 /15 [main] delta = 0.20 >delta040 /15 [main] delta = 0.40 This plan will run DARWIN fifteen times for each delta value. Run reports are saved in a directory named after the current date and time. Test names are the names of subdirecto- ries. • genCharts.sh — a script for charting run reports. It requires installing the R environment (see [20]) with ggplot2 and reshape libraries. The charts to be generated are included in
  • 119.
    Compiling DARWIN fromthe source code 117 the Chart directory of the DARWIN distribution. The usage is: $ genCharts.sh --brief/--full criteria-no best-val charts-dir testplan-out-dir --brief/--full decides whether all charts or only the overview chart should be generated. criteria-no is the number of criteria in the problem. best-val — an optimal value of the problem, if can not be given should be set to 0. charts-dir is the directory with the R charts to be generated. Finally, testplan-out-dir is an output directory of the runTestPlan.py script. Available types of charts are presented in Figure 4.2. The script will generate distinct charts for each test run. If one wants a comparison between the tests, then ./genSummaryChart.sh should be used instead. • genSummaryChart.sh — a script for charting a comparison between different test runs. The usage is similar to genCharts.sh, however the number of criteria can be omitted, because is irrelevant to the task. The usage is: $ ./genSummaryChart.sh best-val charts-dir testplan-out-dir problem-name Available types of charts are presented in Figure 4.3.