More Related Content
PPTX
PPTX
PPTX
2.5 computations of derivatives PPTX
2.4 defintion of derivative PPTX
PPTX
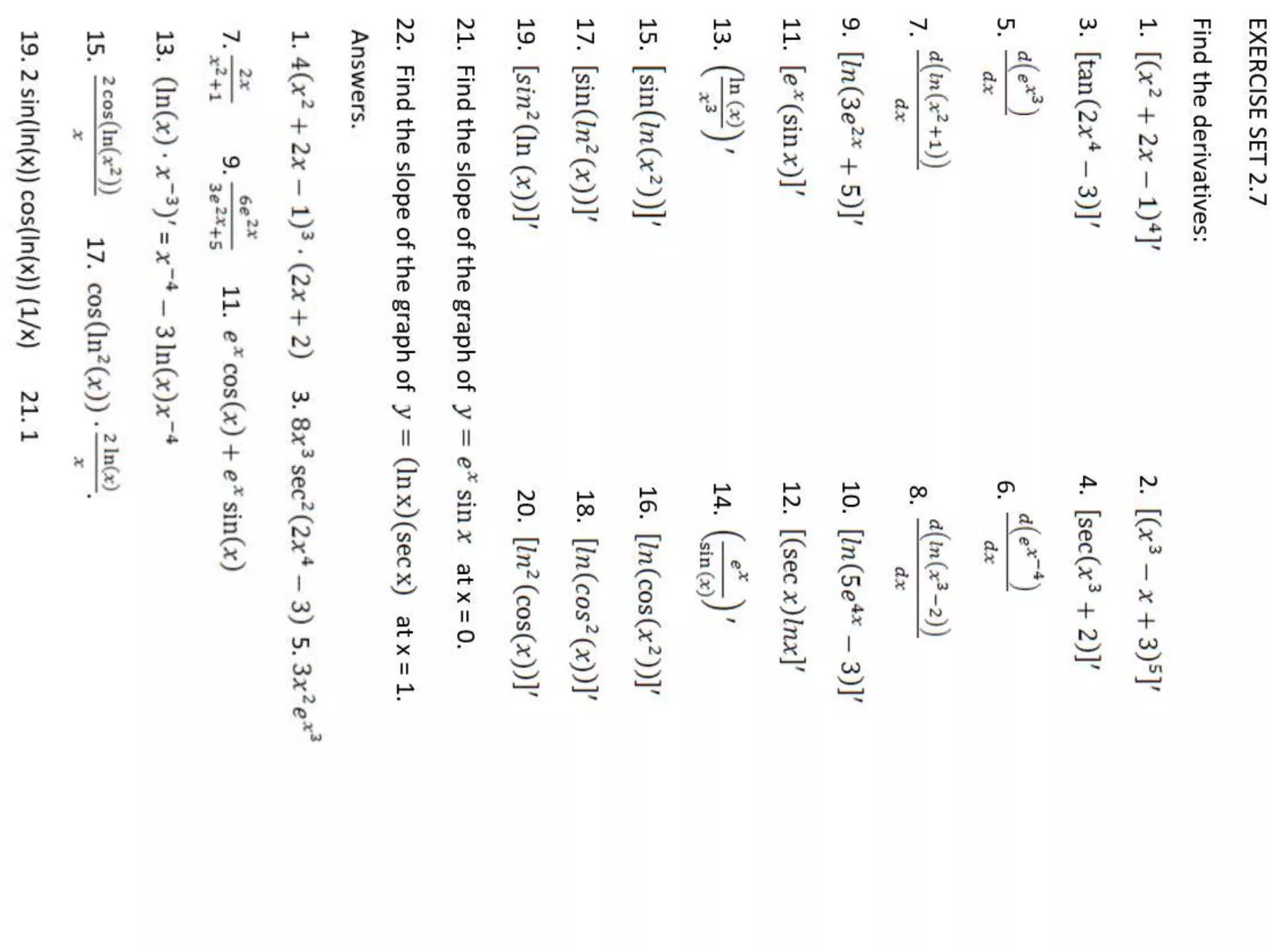
2.7 chain rule short cuts PPTX
PPTX
2.6 more computations of derivatives Viewers also liked
PPTX
3.7 applications of tangent lines PPTX
3.6 applications in optimization PPTX
1.5 algebraic and elementary functions PPTX
PPTX
PPTX
3.5 extrema and the second derivative PPTX
5.3 areas, riemann sums, and the fundamental theorem of calaculus PPTX
1.6 slopes and the difference quotient PPTX
PPTX
4.5 continuous functions and differentiable functions PPTX
3.2 implicit equations and implicit differentiation PPT
4.2 more derivatives as rates PPTX
PPTX
PPT
PPTX
PPTX
4.2 more derivatives as rates PPTX
PPTX
4.4 review on derivatives PPTX
4.4 review on derivatives More from math265
PPTX
3.4 derivative and graphs PPTX
3.3 graphs of factorable polynomials and rational functions PPTX
5.2 the substitution methods DOCX
DOCX
DOCX
DOCX
PPT
4.1 derivatives as rates linear motions DOCX
PPTX
DOCX
PPTX