Abstract
Handouts for the IJCAI 2017 tutorial on Argumentation. This document is
a collection of technical definitions as well as examples of various topics ad-
dressed in the tutorial. It is not supposed to be an exhaustive compendium of
twenty years of research in argumentation theory.
This material is derived from a variety of publications from many researchers
who hold the copyright and any other intellectual property of their work.
Original publications are thoroughly cited and reported in the bibliography
at the end of the document. Errors and misunderstandings rest with the au-
thor of this tutorial: please send an email to federico.cerutti@acm.org for
reporting any.
Argumentation in Artificial Intelligence:
From Theory to Practice
Federico Cerutti
August 2017
Chapter 1
Dung’s Argumentation
Framework
Acknowledgement
This handout include material from a number of collaborators including Pietro5
Baroni, Massimiliano Giacomin, and Stefan Woltran.
Definition 1 ([Dun95]). A Dung argumentation framework AF is a pair
〈A ,→ 〉
where A is a set of arguments, and → is a binary relation on A i.e. →⊆
A ×A . ♠
An argumentation framework has an obvious representation as a directed10
graph where the nodes are arguments and the edges are drawn from attack-
ing to attacked arguments.
The set of attackers of an argument a1 will be denoted as a−
1 {a2 : a2 →
a1}, the set of arguments attacked by a1 will be denoted as a+
1 {a2 : a1 →
a2}. We also extend these notations to sets of arguments, i.e. given E ⊆ A ,15
E−
{a2 | ∃a1 ∈ E,a2 → a1} and E+
{a2 | ∃a1 ∈ E,a1 → a2}.
With a little abuse of notation we define S → a ≡ ∃a ∈ S : a → b. Similarly,
b → S ≡ ∃a ∈ S : b → a.
1.1 Principles for Extension-based Semantics:
[BG07]20
Definition 2.
Given an argumentation framework AF = 〈A ,→ 〉, a set S ⊆ A
is D-conflict-free, denoted as D-cf(S), if and only if a,b ∈ S such that a → b.
A semantics σ satisfies the D-conflict-free principle if and only if ∀AF,∀E ∈
Eσ(AF) E is D-conflict-free . ♠
Definition 3. Given an argumentation framework AF = 〈A ,→ 〉, an argu-25
ment a ∈ A is D-acceptable w.r.t. a set S ⊆ A if and only if ∀b ∈ A b → a ⇒
S → b.
Cardiff University, 2017 Page 1
Dung’s AF • Acceptability of Arguments [PV02; BG09a]
The function FAF : 2A
→ 2A
which, given a set S ⊆ A , returns the set of
the D-acceptable arguments w.r.t. S, is called the D-characteristic function of
AF. ♠
Definition 4. Given an argumentation framework AF = 〈A ,→ 〉, a set S ⊆ A
is D-admissible (S ∈ AS (AF)) if and only if D-cf(S) and ∀a ∈ S a is D-ac-5
ceptable w.r.t. S. The set of all the D-admissible sets of AF is denoted as
AS (AF). ♠
Dσ = {AF|Eσ(AF) = }
Definition 5.
A semantics σ satisfies the D-admissibility principle if and
only if ∀AF ∈ Dσ Eσ(AF) ⊆ AS (AF), namely ∀E ∈ Eσ(AF) it holds that:
a ∈ E ⇒ (∀b ∈ A ,b → a ⇒ E → b). ♠
Definition 6. Given an argumentation framework AF = 〈A ,→ 〉, a ∈ A and
S ⊆ A , we say that a is D-strongly-defended by S (denoted as D-sd(a,S)) iff10
∀b ∈ A , b → a, ∃c ∈ S {a} : c → b and D-sd(c,S {a}). ♠
Definition 7.
A semantics σ satisfies the D-strongly admissibility principle
if and only if ∀AF ∈ Dσ, ∀E ∈ Eσ(AF) it holds that
a ∈ E ⊃ D-sd(a,E) ♠
Definition 8.
A semantics σ satisfies the D-reinstatement principle if and
only if ∀AF ∈ Dσ, ∀E ∈ Eσ(AF) it holds that:
(∀b ∈ A ,b → a ⇒ E → b) ⇒ a ∈ E. ♠
Definition 9.
A set of extensions E is D-I-maximal if and only if ∀E1,E2 ∈ E ,
if E1 ⊆ E2 then E1 = E2. A semantics σ satisfies the D-I-maximality principle
if and only if ∀AF ∈ Dσ Eσ(AF) is D-I-maximal. ♠
Definition 10. Given an argumentation framework AF = 〈A ,→ 〉, a non-15
empty set S ⊆ A is D-unattacked if and only if ∃a ∈ (A S) : a → S. The set of
D-unattacked sets of AF is denoted as US (AF). ♠
Definition 11. Let AF = 〈A ,→ 〉 be an argumentation framework. The re-
striction of AF to S ⊆ A is the argumentation framework AF↓S = 〈S,→
∩(S × S)〉. ♠20
Definition 12.
A semantics σ satisfies the D-directionality principle if and
only if ∀AF = 〈A ,→ 〉,∀S ∈ US (AF),AE σ(AF,S) = Eσ(AF↓S), where AE σ(AF,S)
{(E ∩ S) | E ∈ Eσ(AF)} ⊆ 2S
. ♠
1.2 Acceptability of Arguments [PV02; BG09a]
Definition 13. Given a semantics σ and an argumentation framework 〈A ,→ 〉,25
an argument AF ∈ Dσ is:
• skeptically justified iff ∀E ∈ Eσ(AF), a ∈ S;
Cardiff University, 2017 Page 2
Dung’s AF • (Some) Semantics [Dun95]
• credulously justified iff ∃E ∈ Eσ(AF), a ∈ S. ♠
Definition 14. Given a semantics σ and an argumentation framework 〈A ,→ 〉,
an argument AF ∈ Dσ is:
• justified iff it is skeptically justified;
• defensible iff it is credulously justified but not skeptically justified;5
• overruled iff it is not credulously justified. ♠
1.3 (Some) Semantics [Dun95]
Lemma 1 (Dung’s Fundamental Lemma, [Dun95, Lemma 10]). Given an ar-
gumentation framework AF = 〈A ,→ 〉, let S ⊆ A be a D-admissible set of ar-
guments, and a,b be arguments which are acceptable with respect to S. Then:10
1. S = S ∪{a} is D-admissible; and
2. b is D-acceptable with respect to S . ♣
Theorem 1 ([Dun95, Theorem 11]). Given an argumentation framework AF =
〈A ,→ 〉, the set of all D-admissible sets of 〈A ,→ 〉 form a complete partial or-
der with respect to set inclusion. ♣15
Definition 15 (Complete Extension).
Given an argumentation framework
AF = 〈A ,→ 〉, S ⊆ A is a D-complete extension iff S is D-conflict-free and
S = FAF(S). C O denotes the complete semantics. ♠
Definition 16 (Grounded Extension).
Given an argumentation framework
AF = 〈A ,→ 〉. The grounded extension of AF is the least complete extension20
of AF. GR denotes the grounded semantics. ♠
Definition 17 (Preferred Extension).
Given an argumentation framework
AF = 〈A ,→ 〉. A preferred extension of AF is a maximal (w.r.t. set inclusion)
complete extension of AF. P R denotes the preferred semantics. ♠
Definition 18. Given an argumentation framework AF = 〈A ,→ 〉 and S ⊆ A ,25
S+
{a ∈ A | ∃b ∈ S ∧ b → a}. ♠
Definition 19 (Stable Extension).
Given an argumentation framework AF =
〈A ,→ 〉. S ⊆ A is a stable extension of AF iff S is a preferred extension and
S+
= A  S. S T denotes the stable semantics. ♠
1.4 Labelling-Based Semantics Representation30
[Cam06]
Definition 20. Let ∆ = Γ be an argumentation framework. A labelling L ab ∈
L(∆) is a complete labelling of ∆ iff it satisfies the following conditions for any
a1 ∈ A :
• L ab(a1) = in ⇔ ∀a2 ∈ a−
1 L ab(a2) = out;35
Cardiff University, 2017 Page 3
Dung’s AF • Labelling-Based Semantics Representation [Cam06]
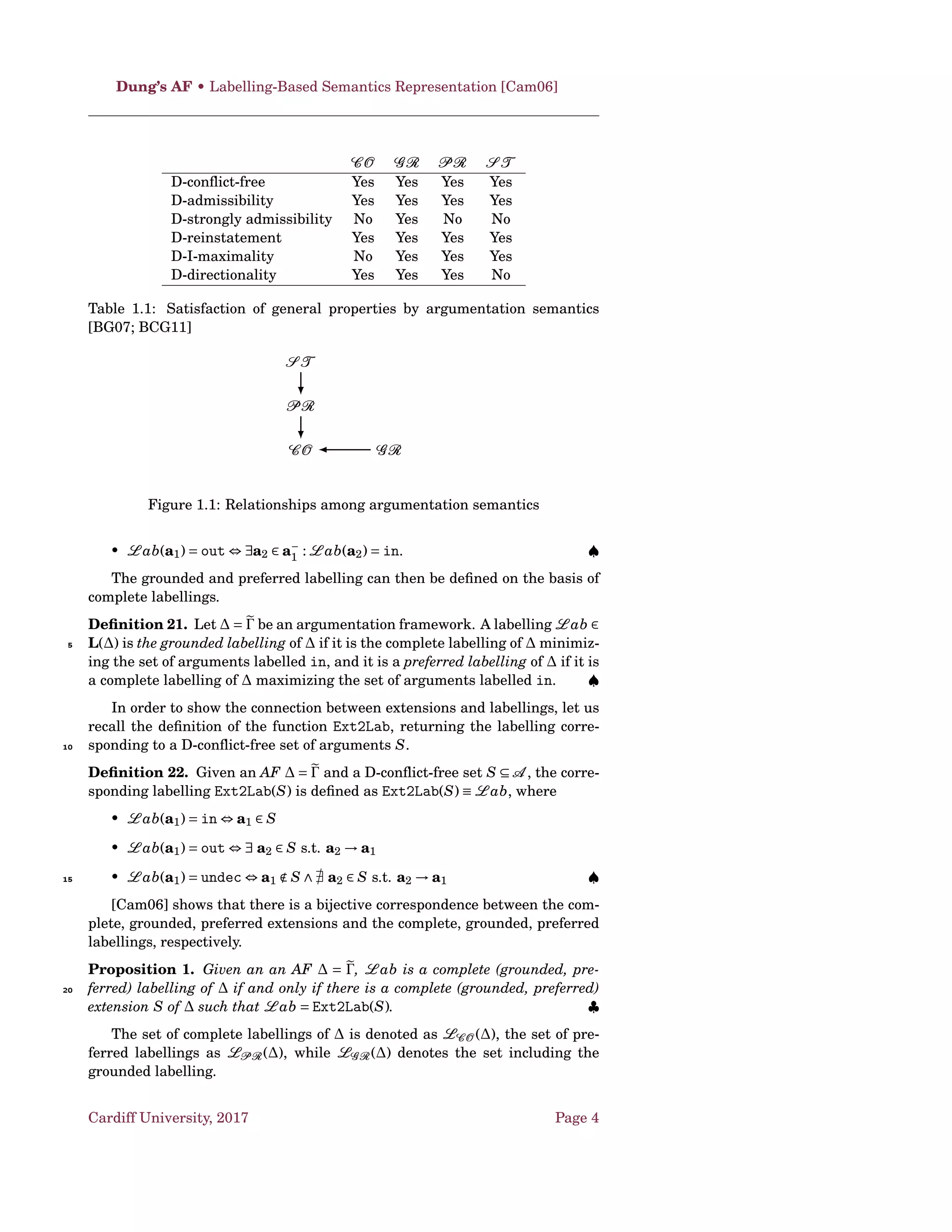
C O GR P R S T
D-conflict-free Yes Yes Yes Yes
D-admissibility Yes Yes Yes Yes
D-strongly admissibility No Yes No No
D-reinstatement Yes Yes Yes Yes
D-I-maximality No Yes Yes Yes
D-directionality Yes Yes Yes No
Table 1.1: Satisfaction of general properties by argumentation semantics
[BG07; BCG11]
S T
P R
C O GR
Figure 1.1: Relationships among argumentation semantics
• L ab(a1) = out ⇔ ∃a2 ∈ a−
1 : L ab(a2) = in. ♠
The grounded and preferred labelling can then be defined on the basis of
complete labellings.
Definition 21. Let ∆ = Γ be an argumentation framework. A labelling L ab ∈
L(∆) is the grounded labelling of ∆ if it is the complete labelling of ∆ minimiz-5
ing the set of arguments labelled in, and it is a preferred labelling of ∆ if it is
a complete labelling of ∆ maximizing the set of arguments labelled in. ♠
In order to show the connection between extensions and labellings, let us
recall the definition of the function Ext2Lab, returning the labelling corre-
sponding to a D-conflict-free set of arguments S.10
Definition 22. Given an AF ∆ = Γ and a D-conflict-free set S ⊆ A , the corre-
sponding labelling Ext2Lab(S) is defined as Ext2Lab(S) ≡ L ab, where
• L ab(a1) = in ⇔ a1 ∈ S
• L ab(a1) = out ⇔ ∃ a2 ∈ S s.t. a2 → a1
• L ab(a1) = undec ⇔ a1 ∉ S ∧ a2 ∈ S s.t. a2 → a1 ♠15
[Cam06] shows that there is a bijective correspondence between the com-
plete, grounded, preferred extensions and the complete, grounded, preferred
labellings, respectively.
Proposition 1. Given an an AF ∆ = Γ, L ab is a complete (grounded, pre-
ferred) labelling of ∆ if and only if there is a complete (grounded, preferred)20
extension S of ∆ such that L ab = Ext2Lab(S). ♣
The set of complete labellings of ∆ is denoted as LC O (∆), the set of pre-
ferred labellings as LP R(∆), while LGR(∆) denotes the set including the
grounded labelling.
Cardiff University, 2017 Page 4
Dung’s AF • Decomposability and Transparancy [Bar+14]
σ = C O σ = GR σ = P R σ = S T
EXISTSσ trivial trivial trivial NP-c
CAσ NP-c polynomial NP-c NP-c
SAσ polynomial polynomial Π
p
2 -c coNP-c
VERσ polynomial polynomial coNP-c polynomial
NEσ NP-c polynomial NP-c NP-c
Table 1.2: Complexity of decision problems by argumentation semantics
[DW09]
1.5 Decomposability and Transparancy [Bar+14]
Definition 23. Given an argumentation framework AF = (A ,→),
a labelling-based semantics σ associates with AF a subset of L(AF), denoted
as Lσ(AF). ♠
Definition 24. Given AF = (A ,→) and a set Args ⊆ A , the input of Args, de-5
noted as Argsinp, is the set {B ∈ A Args | ∃A ∈ Args,(B, A) ∈→}, the condition-
ing relation of Args, denoted as ArgsR
, is defined as → ∩(Argsinp ×Args). ♠
Definition 25. An argumentation framework with input is a tuple
(AF,I ,LI ,RI ), including an argumentation framework AF = (A ,→), a set
of arguments I such that I ∩A = , a labelling LI ∈ LI and a relation RI ⊆10
I ×A . A local function assigns to any argumentation framework with input a
(possibly empty) set of labellings of AF, i.e.
F(AF,I ,LI ,RI ) ∈ 2L(AF)
. ♠
Definition 26. Given an argumentation framework with input
(AF,I ,LI ,RI ), the standard argumentation framework w.r.t.15
(AF,I ,LI ,RI ) is defined as AF = (A ∪I ,→ ∪R I ), where I = I ∪{A | A ∈
out(LI )} and R I = RI ∪{(A , A) | A ∈ out(LI )}∪{(A, A) | A ∈ undec(LI )}. ♠
Definition 27. Given a semantics σ, the canonical local function of σ (also
called local function of σ) is defined as Fσ(AF,I ,LI ,RI ) = {Lab↓A | Lab ∈
Lσ(AF )}, where AF = (A ,→) and AF is the standard argumentation frame-20
work w.r.t. (AF,I ,LI ,RI ). ♠
Definition 28. A semantics σ is complete-compatible iff the following condi-
tions hold:
1. For any argumentation framework AF = (A ,→), every labelling L ∈
Lσ(AF) satisfies the following conditions:25
• if A ∈ A is initial, then L(A) = in
• if B ∈ A and there is an initial argument A which attacks B, then
L(B) = out
• if C ∈ A is self-defeating, and there are no attackers of C besides
C itself, then L(C) = undec30
2. for any set of arguments I and any labelling LI ∈ LI , the argumen-
tation framework AF = (I ,→ ), where I = I ∪{A | A ∈ out(LI )} and
→ = {(A , A) | A ∈ out(LI )}∪{(A, A) | A ∈ undec(LI )}, admits a (unique)
labelling, i.e. |Lσ(AF )| = 1. ♠
Cardiff University, 2017 Page 5
Dung’s AF • Decomposability and Transparancy [Bar+14]
Definition 29. A semantics σ is fully decomposable (or simply decomposable)
iff there is a local function F such that for every argumentation framework
AF = (A ,→) and every partition P = {P1,...Pn} of A , Lσ(AF) = U (P , AF,F)
where U (P , AF,F) {LP1 ∪ ... ∪ LPn |
LPi
∈ F(AF↓Pi
,Pi
inp,( j=1···n,j=i LPj
)↓
Pi
inp,Pi
R
)}. ♠5
Definition 30. A complete-compatible semantics σ is top-down decomposable
iff for any argumentation framework AF = (A ,→) and any partition P =
{P1,...Pn} of A , it holds that Lσ(AF) ⊆ U (P , AF,Fσ). ♠
Definition 31. A complete-compatible semantics σ is bottom-up decompos-
able iff for any argumentation framework AF = (A ,→) and any partition10
P = {P1,...Pn} of A , it holds that Lσ(AF) ⊇ U (P , AF,Fσ). ♠
C O S T GR P R
Full decomposability Yes Yes No No
Top-down decomposability Yes Yes Yes Yes
Bottom-up decomposability Yes Yes No No
Table 1.3: Decomposability properties of argumentation semantics.
Cardiff University, 2017 Page 6
Chapter 2
Argumentation Schemes
Argumentation schemes [WRM08] are reasoning patterns which generate ar-
guments:
• deductive/inductive inferences that represent forms of common types5
of arguments used in everyday discourse, and in special contexts (e.g.
legal argumentation);
• neither deductive nor inductive, but defeasible, presumptive, or abduc-
tive.
Moreover, an argument satisfying a pattern may not be very strong by10
itself, but may be strong enough to provide evidence to warrant rational ac-
ceptance of its conclusion, given that it premises are acceptable.
According to Toulmin [Tou58] such an argument can be plausible and thus
accepted after a balance of considerations in an investigation or discussion
moved forward as new evidence is being collected. The investigation can then15
move ahead, even under conditions of uncertainty and lack of knowledge,
using the conclusions tentatively accepted.
2.1 An example: Walton et al. ’s Argumentation
Schemes for Practical Reasoning
Suppose I am deliberating with my spouse on what to do with20
our pension investment fund — whether to buy stocks, bonds or
some other type of investments. We consult with a financial ad-
viser, and expert source of information who can tell us what is
happening in the stock market, and so forth at the present time
[Wal97].25
Premises for practical inference:
1. states that an agent (“I” or “my”) has a particular goal;
2. states that an agent has a particular goal.
Cardiff University, 2017 Page 7
Argumentation Schemes • AS and Dialogues
〈S0,S1,...,Sn〉 represents a sequence of states of affairs that can be or-
dered temporally from earlier to latter. A state of affairs is meant to be like a
statement, but one describing some event or occurrence that can be brought
about by an agent. It may be a human action, or it may be a natural event.
5
Practical Inference
Premises:
Goal Premise Bringing about Sn is my goal
Means Premise In order to bring about Sn, I need to bring
about Si
Conclusions:
Therefore, I need to bring about Si.
Critical questions:
Other-Means
Question
Are there alternative possible actions to
bring about Si that could also lead to the
goal?
Best-Means
Question
Is Si the best (or most favourable) of the al-
ternatives?
Other-Goals
Question
Do I have goals other than Si whose
achievement is preferable and that should
have priority?
Possibility
Question
Is it possible to bring about Si in the given
circumstances?
Side Effects
Question
Would bringing about Si have known bad
consequences that ought to be taken into ac-
count?
2.2 AS and Dialogues
Dialogue for practical reasoning: all moves (propose, prefer, justify) are coor-
dinated in a formal deliberation dialogue that has eight stages [HMP01].
1. Opening of the deliberation dialogue, and the raising of a governing
question about what is to be done.10
2. Discussion of: (a) the governing question; (b) desirable goals; (c) any
constraints on the possible actions which may be considered; (d) per-
spectives by which proposals may be evaluated; and (e) any premises
(facts) relevant to this evaluation.
3. Suggesting of possible action-options appropriate to the governing ques-15
tion.
4. Commenting on proposals from various perspectives.
Cardiff University, 2017 Page 8
Argumentation Schemes • AS and Dialogues
5. Revising of: (a) the governing question, (b) goals, (c) constraints, (d)
perspectives, and/or (e) action-options in the light of the comments pre-
sented; and the undertaking of any information-gathering or fact-checking
required for resolution.
6. Recommending an option for action, and acceptance or non-acceptance5
of this recommendation by each participant.
7. Confirming acceptance of a recommended option by each participant.
8. Closing of the deliberation dialogue.
Proposals are initially made at stage 3, and then evaluated at stages 4, 5
and 6.10
Especially at stage 5, much argumentation taking the form of practical
reasoning would seem to be involved.
As discussed in [Wal06], there are three dialectical adequacy conditions
for defining the speech act of making a proposal.
The Proponent’s Requirement (Condition 1). The proponent puts15
forward a statement that describes an action and says that both pro-
ponent and respondent (or the respondent group) should carry out this
action.
The proponent is committed to carrying out that action: the statement
has the logical form of the conclusion of a practical inference, and also20
expresses an attitude toward that statement.
The Respondent’s Requirement (Condition 2). The statement is
put forward with the aim of offering reasons of a kind that will lead the
respondent to become committed to it.
The Governing Question Requirement (Condition 3). The job of25
the proponent is to overcame doubts or conflicts of opinions, while the
job of the respondent is to express them. Thus the role of the respondent
is to ask questions that cast the prudential reasonableness of the action
in the statement into doubt, and to mount attacks (counter-arguments
and rebuttals) against it.30
Condition 3 relates to the global structure of the dialogue, whereas con-
ditions 1 and 2 are more localised to the part where the proposal was made.
Condition 3 relates to the global burden of proof [Wal14] and the roles of the
two parties in the dialogue as a whole.
Speech acts [MP02], like making a proposal, are seen as types of moves in35
a dialogue that are governed by rules. Three basic characteristics of any type
of move that have to be defined:
1. pre-conditions of the move;
2. the conditions defining the move itself;
3. the post-conditions that state the result of the move.40
Cardiff University, 2017 Page 9
Argumentation Schemes • AS and Dialogues
Preconditions
• At least two agents (proponent and opponent);
• A governing question;
• Set of statements (propositions);
• The proponent proposes the proposition to the respondent if and only if:5
1. there is a set of premises that the proponent is committed to, and
fit the premises of the argumentation scheme for practical reason-
ing;
2. the proponent is advocating these premises, that is, he is making
a claim that they are true or applicable in the case at issue;10
3. there is an inference from these premises fitting the argumenta-
tion scheme for practical reasoning; and
4. the proposition is the conclusion of the inference.
The Defining Conditions
The central defining condition sets out the conditions defining the structure15
of the move of making a proposal.
The Goal Statement: We have a goal G.
The Means Statement: Bringing about p is necessary (or sufficient)
for us to bring about G.
Then the inference follows.20
The Proposal Statement: We should (practically ought to) bring about
p.
Cardiff University, 2017 Page 10
Argumentation Schemes • AS and Dialogues
Proposal Statement in form of AS
Premises:
Goal Statement We have a goal G.
The Means State-
ment
Bringing about p is necessary (or sufficient)
for us to bring about G.
Conclusions:
We should (practically ought to) bring about
p.
The Post-Conditions
The central post-condition is the response condition.
The proposal must be open to critical questioning by opponent. The propo-
nent should be open to answering doubts and objections corresponding to any5
one of the five critical questions for practical reasoning; as well as to counter-
proposals, and is in charge of giving reasons why her proposal is better than
the alternatives.
The response condition set by these critical questions helps to explain how
and why the maker of a proposal needs to be open to questioning and to re-10
quests for justification.
Cardiff University, 2017 Page 11
Chapter 3
A Semantic-Web View of
Argumentation
Acknowledgement
This handout include material from a number of collaborators including Chris5
Reed. An overview can also be find at [Bex+13].
3.1 The Argument Interchange Format [Rah+11]
Node Graph
(argument
network)
has-a
Information
Node
(I-Node)
is-a
Scheme Node
S-Node
has-a
Edge
is-a
Rule of inference
application node
(RA-Node)
Conflict application
node (CA-Node)
Preference
application node
(PA-Node)
Derived concept
application node (e.g.
defeat)
is-a
...
ContextScheme
Conflict
scheme
contained-in
Rule of inference
scheme
Logical inference
scheme
Presumptive
inference scheme
...
is-a
Logical conflict
scheme
is-a
...
Preference
scheme
Logical preference
scheme
is-a
...
Presumptive
preference scheme
is-a
uses uses uses
Figure 3.1: Original AIF Ontology [Che+06; Rah+11]
3.2 An Ontology of Arguments [Rah+11]
Please download Protégé from http://protege.stanford.edu/ and the AIF
OWL version from http://www.arg.dundee.ac.uk/wp-content/uploads/10
AIF.owl
Cardiff University, 2017 Page 12
Semantic Web Argumentation • AIF-OWL
Practical
Inference
Bringing about
is my goal
Sn
Si
In order to bring about
I need to bring about
Sn
Therefore I need
to bring about Si
hasConcDeschasPremiseDesc
hasPremiseDesc
Bringing about being rich
is my goal
In order to bring about being rich
I need to bring about having a job
fulfilsPremiseDesc
fulfilsPremiseDesc
fulfilsScheme
supports
supports
Therefore I need
to bring about
having a job
hasConclusion
fulfils
Figure 3.2: An argument network linking instances of argument and scheme
components
3.2.1 Representation of the argument described in Fig-
ure 3.2
___jobArg : PracticalReasoning_Inference
fulfils(___jobArg, PracticalReasoning_Scheme)
hasGoalPlan_Premise(___jobArg, ___jobArgGoalPlan)5
hasConclusion(___jobArg, ___jobArgConclusion)
hasGoal_Premise(___jobArg, ___jobArgGoal)
___jobArgConclusion : EncouragedAction_Statement
fulfils(___jobArgConclusion, EncouragedAction_Desc)
claimText (___jobArgConclusion "Therefore I need to bring about having10
a job")
___jobArgGoal : Goal_Statement
fulfils(___jobArgGoal, Goal_Desc)
claimText (___jobArgGoal "Bringing about being rich is my goal")
___jobArgGoalPlan : GoalPlan_Statement15
fulfils(___jobArgGoalPlan, GoalPlan_Desc)
claimText (___jobArgGoalPlan "In order to bring about being rich I need
to bring about having a job")
3.2.2 Relevant portion of the AIF ontology
EncouragedAction_Statement20
EncouragedAction_Statement Statement
Cardiff University, 2017 Page 13
Semantic Web Argumentation • AIF-OWL
Symmetric attack
r → p
r pMP2
A1
A2
p → q
p
qMP1
neg1
Undercut attack
r MP2
A3
A2 s → v
s
vMP1
cut1
p
r → p
Figure 3.3: Examples of conflicts [Rah+11, Fig. 2]
GoalPlan_Statement
GoalPlan_Statement Statement
Goal_Statement
Goal_Statement Statement
I-node5
I-node ≡ Statement
I-node Node
I-node ¬ S-node
Inference
Inference ≡ RA-node10
Inference ∃ fulfils Inference_Scheme
Inference ≥ 1 hasPremise Statement
Inference Scheme_Application
Inference = hasConclusion (Scheme_Application Statement)
Inference_Scheme15
Inference_Scheme Scheme ≥
1 hasPremise_Desc Statement_Description = hasConclusion_Desc
(Scheme Statement_Description)
PracticalReasoning_Inference
PracticalReasoning_Inference ≡ Presumptive_Inference ∃ hasConclu-20
sion EncouragedAction_Statement ∃ hasGoalPlan_Premise GoalPlan_Statement ∃ has-
Goal_Premise Goal_Statement
Cardiff University, 2017 Page 14

Handout: Argumentation in Artificial Intelligence: From Theory to Practice

  • 1.
    Abstract Handouts for theIJCAI 2017 tutorial on Argumentation. This document is a collection of technical definitions as well as examples of various topics ad- dressed in the tutorial. It is not supposed to be an exhaustive compendium of twenty years of research in argumentation theory. This material is derived from a variety of publications from many researchers who hold the copyright and any other intellectual property of their work. Original publications are thoroughly cited and reported in the bibliography at the end of the document. Errors and misunderstandings rest with the au- thor of this tutorial: please send an email to federico.cerutti@acm.org for reporting any.
  • 2.
    Argumentation in ArtificialIntelligence: From Theory to Practice Federico Cerutti August 2017
  • 3.
    Chapter 1 Dung’s Argumentation Framework Acknowledgement Thishandout include material from a number of collaborators including Pietro5 Baroni, Massimiliano Giacomin, and Stefan Woltran. Definition 1 ([Dun95]). A Dung argumentation framework AF is a pair 〈A ,→ 〉 where A is a set of arguments, and → is a binary relation on A i.e. →⊆ A ×A . ♠ An argumentation framework has an obvious representation as a directed10 graph where the nodes are arguments and the edges are drawn from attack- ing to attacked arguments. The set of attackers of an argument a1 will be denoted as a− 1 {a2 : a2 → a1}, the set of arguments attacked by a1 will be denoted as a+ 1 {a2 : a1 → a2}. We also extend these notations to sets of arguments, i.e. given E ⊆ A ,15 E− {a2 | ∃a1 ∈ E,a2 → a1} and E+ {a2 | ∃a1 ∈ E,a1 → a2}. With a little abuse of notation we define S → a ≡ ∃a ∈ S : a → b. Similarly, b → S ≡ ∃a ∈ S : b → a. 1.1 Principles for Extension-based Semantics: [BG07]20 Definition 2.
  • 4.
    Given an argumentationframework AF = 〈A ,→ 〉, a set S ⊆ A is D-conflict-free, denoted as D-cf(S), if and only if a,b ∈ S such that a → b. A semantics σ satisfies the D-conflict-free principle if and only if ∀AF,∀E ∈ Eσ(AF) E is D-conflict-free . ♠ Definition 3. Given an argumentation framework AF = 〈A ,→ 〉, an argu-25 ment a ∈ A is D-acceptable w.r.t. a set S ⊆ A if and only if ∀b ∈ A b → a ⇒ S → b. Cardiff University, 2017 Page 1
  • 5.
    Dung’s AF •Acceptability of Arguments [PV02; BG09a] The function FAF : 2A → 2A which, given a set S ⊆ A , returns the set of the D-acceptable arguments w.r.t. S, is called the D-characteristic function of AF. ♠ Definition 4. Given an argumentation framework AF = 〈A ,→ 〉, a set S ⊆ A is D-admissible (S ∈ AS (AF)) if and only if D-cf(S) and ∀a ∈ S a is D-ac-5 ceptable w.r.t. S. The set of all the D-admissible sets of AF is denoted as AS (AF). ♠ Dσ = {AF|Eσ(AF) = } Definition 5.
  • 6.
    A semantics σsatisfies the D-admissibility principle if and only if ∀AF ∈ Dσ Eσ(AF) ⊆ AS (AF), namely ∀E ∈ Eσ(AF) it holds that: a ∈ E ⇒ (∀b ∈ A ,b → a ⇒ E → b). ♠ Definition 6. Given an argumentation framework AF = 〈A ,→ 〉, a ∈ A and S ⊆ A , we say that a is D-strongly-defended by S (denoted as D-sd(a,S)) iff10 ∀b ∈ A , b → a, ∃c ∈ S {a} : c → b and D-sd(c,S {a}). ♠ Definition 7.
  • 7.
    A semantics σsatisfies the D-strongly admissibility principle if and only if ∀AF ∈ Dσ, ∀E ∈ Eσ(AF) it holds that a ∈ E ⊃ D-sd(a,E) ♠ Definition 8.
  • 8.
    A semantics σsatisfies the D-reinstatement principle if and only if ∀AF ∈ Dσ, ∀E ∈ Eσ(AF) it holds that: (∀b ∈ A ,b → a ⇒ E → b) ⇒ a ∈ E. ♠ Definition 9.
  • 9.
    A set ofextensions E is D-I-maximal if and only if ∀E1,E2 ∈ E , if E1 ⊆ E2 then E1 = E2. A semantics σ satisfies the D-I-maximality principle if and only if ∀AF ∈ Dσ Eσ(AF) is D-I-maximal. ♠ Definition 10. Given an argumentation framework AF = 〈A ,→ 〉, a non-15 empty set S ⊆ A is D-unattacked if and only if ∃a ∈ (A S) : a → S. The set of D-unattacked sets of AF is denoted as US (AF). ♠ Definition 11. Let AF = 〈A ,→ 〉 be an argumentation framework. The re- striction of AF to S ⊆ A is the argumentation framework AF↓S = 〈S,→ ∩(S × S)〉. ♠20 Definition 12.
  • 10.
    A semantics σsatisfies the D-directionality principle if and only if ∀AF = 〈A ,→ 〉,∀S ∈ US (AF),AE σ(AF,S) = Eσ(AF↓S), where AE σ(AF,S) {(E ∩ S) | E ∈ Eσ(AF)} ⊆ 2S . ♠ 1.2 Acceptability of Arguments [PV02; BG09a] Definition 13. Given a semantics σ and an argumentation framework 〈A ,→ 〉,25 an argument AF ∈ Dσ is: • skeptically justified iff ∀E ∈ Eσ(AF), a ∈ S; Cardiff University, 2017 Page 2
  • 11.
    Dung’s AF •(Some) Semantics [Dun95] • credulously justified iff ∃E ∈ Eσ(AF), a ∈ S. ♠ Definition 14. Given a semantics σ and an argumentation framework 〈A ,→ 〉, an argument AF ∈ Dσ is: • justified iff it is skeptically justified; • defensible iff it is credulously justified but not skeptically justified;5 • overruled iff it is not credulously justified. ♠ 1.3 (Some) Semantics [Dun95] Lemma 1 (Dung’s Fundamental Lemma, [Dun95, Lemma 10]). Given an ar- gumentation framework AF = 〈A ,→ 〉, let S ⊆ A be a D-admissible set of ar- guments, and a,b be arguments which are acceptable with respect to S. Then:10 1. S = S ∪{a} is D-admissible; and 2. b is D-acceptable with respect to S . ♣ Theorem 1 ([Dun95, Theorem 11]). Given an argumentation framework AF = 〈A ,→ 〉, the set of all D-admissible sets of 〈A ,→ 〉 form a complete partial or- der with respect to set inclusion. ♣15 Definition 15 (Complete Extension).
  • 12.
    Given an argumentationframework AF = 〈A ,→ 〉, S ⊆ A is a D-complete extension iff S is D-conflict-free and S = FAF(S). C O denotes the complete semantics. ♠ Definition 16 (Grounded Extension).
  • 13.
    Given an argumentationframework AF = 〈A ,→ 〉. The grounded extension of AF is the least complete extension20 of AF. GR denotes the grounded semantics. ♠ Definition 17 (Preferred Extension).
  • 14.
    Given an argumentationframework AF = 〈A ,→ 〉. A preferred extension of AF is a maximal (w.r.t. set inclusion) complete extension of AF. P R denotes the preferred semantics. ♠ Definition 18. Given an argumentation framework AF = 〈A ,→ 〉 and S ⊆ A ,25 S+ {a ∈ A | ∃b ∈ S ∧ b → a}. ♠ Definition 19 (Stable Extension).
  • 15.
    Given an argumentationframework AF = 〈A ,→ 〉. S ⊆ A is a stable extension of AF iff S is a preferred extension and S+ = A S. S T denotes the stable semantics. ♠ 1.4 Labelling-Based Semantics Representation30 [Cam06] Definition 20. Let ∆ = Γ be an argumentation framework. A labelling L ab ∈ L(∆) is a complete labelling of ∆ iff it satisfies the following conditions for any a1 ∈ A : • L ab(a1) = in ⇔ ∀a2 ∈ a− 1 L ab(a2) = out;35 Cardiff University, 2017 Page 3
  • 16.
    Dung’s AF •Labelling-Based Semantics Representation [Cam06] C O GR P R S T D-conflict-free Yes Yes Yes Yes D-admissibility Yes Yes Yes Yes D-strongly admissibility No Yes No No D-reinstatement Yes Yes Yes Yes D-I-maximality No Yes Yes Yes D-directionality Yes Yes Yes No Table 1.1: Satisfaction of general properties by argumentation semantics [BG07; BCG11] S T P R C O GR Figure 1.1: Relationships among argumentation semantics • L ab(a1) = out ⇔ ∃a2 ∈ a− 1 : L ab(a2) = in. ♠ The grounded and preferred labelling can then be defined on the basis of complete labellings. Definition 21. Let ∆ = Γ be an argumentation framework. A labelling L ab ∈ L(∆) is the grounded labelling of ∆ if it is the complete labelling of ∆ minimiz-5 ing the set of arguments labelled in, and it is a preferred labelling of ∆ if it is a complete labelling of ∆ maximizing the set of arguments labelled in. ♠ In order to show the connection between extensions and labellings, let us recall the definition of the function Ext2Lab, returning the labelling corre- sponding to a D-conflict-free set of arguments S.10 Definition 22. Given an AF ∆ = Γ and a D-conflict-free set S ⊆ A , the corre- sponding labelling Ext2Lab(S) is defined as Ext2Lab(S) ≡ L ab, where • L ab(a1) = in ⇔ a1 ∈ S • L ab(a1) = out ⇔ ∃ a2 ∈ S s.t. a2 → a1 • L ab(a1) = undec ⇔ a1 ∉ S ∧ a2 ∈ S s.t. a2 → a1 ♠15 [Cam06] shows that there is a bijective correspondence between the com- plete, grounded, preferred extensions and the complete, grounded, preferred labellings, respectively. Proposition 1. Given an an AF ∆ = Γ, L ab is a complete (grounded, pre- ferred) labelling of ∆ if and only if there is a complete (grounded, preferred)20 extension S of ∆ such that L ab = Ext2Lab(S). ♣ The set of complete labellings of ∆ is denoted as LC O (∆), the set of pre- ferred labellings as LP R(∆), while LGR(∆) denotes the set including the grounded labelling. Cardiff University, 2017 Page 4
  • 17.
    Dung’s AF •Decomposability and Transparancy [Bar+14] σ = C O σ = GR σ = P R σ = S T EXISTSσ trivial trivial trivial NP-c CAσ NP-c polynomial NP-c NP-c SAσ polynomial polynomial Π p 2 -c coNP-c VERσ polynomial polynomial coNP-c polynomial NEσ NP-c polynomial NP-c NP-c Table 1.2: Complexity of decision problems by argumentation semantics [DW09] 1.5 Decomposability and Transparancy [Bar+14] Definition 23. Given an argumentation framework AF = (A ,→), a labelling-based semantics σ associates with AF a subset of L(AF), denoted as Lσ(AF). ♠ Definition 24. Given AF = (A ,→) and a set Args ⊆ A , the input of Args, de-5 noted as Argsinp, is the set {B ∈ A Args | ∃A ∈ Args,(B, A) ∈→}, the condition- ing relation of Args, denoted as ArgsR , is defined as → ∩(Argsinp ×Args). ♠ Definition 25. An argumentation framework with input is a tuple (AF,I ,LI ,RI ), including an argumentation framework AF = (A ,→), a set of arguments I such that I ∩A = , a labelling LI ∈ LI and a relation RI ⊆10 I ×A . A local function assigns to any argumentation framework with input a (possibly empty) set of labellings of AF, i.e. F(AF,I ,LI ,RI ) ∈ 2L(AF) . ♠ Definition 26. Given an argumentation framework with input (AF,I ,LI ,RI ), the standard argumentation framework w.r.t.15 (AF,I ,LI ,RI ) is defined as AF = (A ∪I ,→ ∪R I ), where I = I ∪{A | A ∈ out(LI )} and R I = RI ∪{(A , A) | A ∈ out(LI )}∪{(A, A) | A ∈ undec(LI )}. ♠ Definition 27. Given a semantics σ, the canonical local function of σ (also called local function of σ) is defined as Fσ(AF,I ,LI ,RI ) = {Lab↓A | Lab ∈ Lσ(AF )}, where AF = (A ,→) and AF is the standard argumentation frame-20 work w.r.t. (AF,I ,LI ,RI ). ♠ Definition 28. A semantics σ is complete-compatible iff the following condi- tions hold: 1. For any argumentation framework AF = (A ,→), every labelling L ∈ Lσ(AF) satisfies the following conditions:25 • if A ∈ A is initial, then L(A) = in • if B ∈ A and there is an initial argument A which attacks B, then L(B) = out • if C ∈ A is self-defeating, and there are no attackers of C besides C itself, then L(C) = undec30 2. for any set of arguments I and any labelling LI ∈ LI , the argumen- tation framework AF = (I ,→ ), where I = I ∪{A | A ∈ out(LI )} and → = {(A , A) | A ∈ out(LI )}∪{(A, A) | A ∈ undec(LI )}, admits a (unique) labelling, i.e. |Lσ(AF )| = 1. ♠ Cardiff University, 2017 Page 5
  • 18.
    Dung’s AF •Decomposability and Transparancy [Bar+14] Definition 29. A semantics σ is fully decomposable (or simply decomposable) iff there is a local function F such that for every argumentation framework AF = (A ,→) and every partition P = {P1,...Pn} of A , Lσ(AF) = U (P , AF,F) where U (P , AF,F) {LP1 ∪ ... ∪ LPn | LPi ∈ F(AF↓Pi ,Pi inp,( j=1···n,j=i LPj )↓ Pi inp,Pi R )}. ♠5 Definition 30. A complete-compatible semantics σ is top-down decomposable iff for any argumentation framework AF = (A ,→) and any partition P = {P1,...Pn} of A , it holds that Lσ(AF) ⊆ U (P , AF,Fσ). ♠ Definition 31. A complete-compatible semantics σ is bottom-up decompos- able iff for any argumentation framework AF = (A ,→) and any partition10 P = {P1,...Pn} of A , it holds that Lσ(AF) ⊇ U (P , AF,Fσ). ♠ C O S T GR P R Full decomposability Yes Yes No No Top-down decomposability Yes Yes Yes Yes Bottom-up decomposability Yes Yes No No Table 1.3: Decomposability properties of argumentation semantics. Cardiff University, 2017 Page 6
  • 19.
    Chapter 2 Argumentation Schemes Argumentationschemes [WRM08] are reasoning patterns which generate ar- guments: • deductive/inductive inferences that represent forms of common types5 of arguments used in everyday discourse, and in special contexts (e.g. legal argumentation); • neither deductive nor inductive, but defeasible, presumptive, or abduc- tive. Moreover, an argument satisfying a pattern may not be very strong by10 itself, but may be strong enough to provide evidence to warrant rational ac- ceptance of its conclusion, given that it premises are acceptable. According to Toulmin [Tou58] such an argument can be plausible and thus accepted after a balance of considerations in an investigation or discussion moved forward as new evidence is being collected. The investigation can then15 move ahead, even under conditions of uncertainty and lack of knowledge, using the conclusions tentatively accepted. 2.1 An example: Walton et al. ’s Argumentation Schemes for Practical Reasoning Suppose I am deliberating with my spouse on what to do with20 our pension investment fund — whether to buy stocks, bonds or some other type of investments. We consult with a financial ad- viser, and expert source of information who can tell us what is happening in the stock market, and so forth at the present time [Wal97].25 Premises for practical inference: 1. states that an agent (“I” or “my”) has a particular goal; 2. states that an agent has a particular goal. Cardiff University, 2017 Page 7
  • 20.
    Argumentation Schemes •AS and Dialogues 〈S0,S1,...,Sn〉 represents a sequence of states of affairs that can be or- dered temporally from earlier to latter. A state of affairs is meant to be like a statement, but one describing some event or occurrence that can be brought about by an agent. It may be a human action, or it may be a natural event. 5 Practical Inference Premises: Goal Premise Bringing about Sn is my goal Means Premise In order to bring about Sn, I need to bring about Si Conclusions: Therefore, I need to bring about Si. Critical questions: Other-Means Question Are there alternative possible actions to bring about Si that could also lead to the goal? Best-Means Question Is Si the best (or most favourable) of the al- ternatives? Other-Goals Question Do I have goals other than Si whose achievement is preferable and that should have priority? Possibility Question Is it possible to bring about Si in the given circumstances? Side Effects Question Would bringing about Si have known bad consequences that ought to be taken into ac- count? 2.2 AS and Dialogues Dialogue for practical reasoning: all moves (propose, prefer, justify) are coor- dinated in a formal deliberation dialogue that has eight stages [HMP01]. 1. Opening of the deliberation dialogue, and the raising of a governing question about what is to be done.10 2. Discussion of: (a) the governing question; (b) desirable goals; (c) any constraints on the possible actions which may be considered; (d) per- spectives by which proposals may be evaluated; and (e) any premises (facts) relevant to this evaluation. 3. Suggesting of possible action-options appropriate to the governing ques-15 tion. 4. Commenting on proposals from various perspectives. Cardiff University, 2017 Page 8
  • 21.
    Argumentation Schemes •AS and Dialogues 5. Revising of: (a) the governing question, (b) goals, (c) constraints, (d) perspectives, and/or (e) action-options in the light of the comments pre- sented; and the undertaking of any information-gathering or fact-checking required for resolution. 6. Recommending an option for action, and acceptance or non-acceptance5 of this recommendation by each participant. 7. Confirming acceptance of a recommended option by each participant. 8. Closing of the deliberation dialogue. Proposals are initially made at stage 3, and then evaluated at stages 4, 5 and 6.10 Especially at stage 5, much argumentation taking the form of practical reasoning would seem to be involved. As discussed in [Wal06], there are three dialectical adequacy conditions for defining the speech act of making a proposal. The Proponent’s Requirement (Condition 1). The proponent puts15 forward a statement that describes an action and says that both pro- ponent and respondent (or the respondent group) should carry out this action. The proponent is committed to carrying out that action: the statement has the logical form of the conclusion of a practical inference, and also20 expresses an attitude toward that statement. The Respondent’s Requirement (Condition 2). The statement is put forward with the aim of offering reasons of a kind that will lead the respondent to become committed to it. The Governing Question Requirement (Condition 3). The job of25 the proponent is to overcame doubts or conflicts of opinions, while the job of the respondent is to express them. Thus the role of the respondent is to ask questions that cast the prudential reasonableness of the action in the statement into doubt, and to mount attacks (counter-arguments and rebuttals) against it.30 Condition 3 relates to the global structure of the dialogue, whereas con- ditions 1 and 2 are more localised to the part where the proposal was made. Condition 3 relates to the global burden of proof [Wal14] and the roles of the two parties in the dialogue as a whole. Speech acts [MP02], like making a proposal, are seen as types of moves in35 a dialogue that are governed by rules. Three basic characteristics of any type of move that have to be defined: 1. pre-conditions of the move; 2. the conditions defining the move itself; 3. the post-conditions that state the result of the move.40 Cardiff University, 2017 Page 9
  • 22.
    Argumentation Schemes •AS and Dialogues Preconditions • At least two agents (proponent and opponent); • A governing question; • Set of statements (propositions); • The proponent proposes the proposition to the respondent if and only if:5 1. there is a set of premises that the proponent is committed to, and fit the premises of the argumentation scheme for practical reason- ing; 2. the proponent is advocating these premises, that is, he is making a claim that they are true or applicable in the case at issue;10 3. there is an inference from these premises fitting the argumenta- tion scheme for practical reasoning; and 4. the proposition is the conclusion of the inference. The Defining Conditions The central defining condition sets out the conditions defining the structure15 of the move of making a proposal. The Goal Statement: We have a goal G. The Means Statement: Bringing about p is necessary (or sufficient) for us to bring about G. Then the inference follows.20 The Proposal Statement: We should (practically ought to) bring about p. Cardiff University, 2017 Page 10
  • 23.
    Argumentation Schemes •AS and Dialogues Proposal Statement in form of AS Premises: Goal Statement We have a goal G. The Means State- ment Bringing about p is necessary (or sufficient) for us to bring about G. Conclusions: We should (practically ought to) bring about p. The Post-Conditions The central post-condition is the response condition. The proposal must be open to critical questioning by opponent. The propo- nent should be open to answering doubts and objections corresponding to any5 one of the five critical questions for practical reasoning; as well as to counter- proposals, and is in charge of giving reasons why her proposal is better than the alternatives. The response condition set by these critical questions helps to explain how and why the maker of a proposal needs to be open to questioning and to re-10 quests for justification. Cardiff University, 2017 Page 11
  • 24.
    Chapter 3 A Semantic-WebView of Argumentation Acknowledgement This handout include material from a number of collaborators including Chris5 Reed. An overview can also be find at [Bex+13]. 3.1 The Argument Interchange Format [Rah+11] Node Graph (argument network) has-a Information Node (I-Node) is-a Scheme Node S-Node has-a Edge is-a Rule of inference application node (RA-Node) Conflict application node (CA-Node) Preference application node (PA-Node) Derived concept application node (e.g. defeat) is-a ... ContextScheme Conflict scheme contained-in Rule of inference scheme Logical inference scheme Presumptive inference scheme ... is-a Logical conflict scheme is-a ... Preference scheme Logical preference scheme is-a ... Presumptive preference scheme is-a uses uses uses Figure 3.1: Original AIF Ontology [Che+06; Rah+11] 3.2 An Ontology of Arguments [Rah+11] Please download Protégé from http://protege.stanford.edu/ and the AIF OWL version from http://www.arg.dundee.ac.uk/wp-content/uploads/10 AIF.owl Cardiff University, 2017 Page 12
  • 25.
    Semantic Web Argumentation• AIF-OWL Practical Inference Bringing about is my goal Sn Si In order to bring about I need to bring about Sn Therefore I need to bring about Si hasConcDeschasPremiseDesc hasPremiseDesc Bringing about being rich is my goal In order to bring about being rich I need to bring about having a job fulfilsPremiseDesc fulfilsPremiseDesc fulfilsScheme supports supports Therefore I need to bring about having a job hasConclusion fulfils Figure 3.2: An argument network linking instances of argument and scheme components 3.2.1 Representation of the argument described in Fig- ure 3.2 ___jobArg : PracticalReasoning_Inference fulfils(___jobArg, PracticalReasoning_Scheme) hasGoalPlan_Premise(___jobArg, ___jobArgGoalPlan)5 hasConclusion(___jobArg, ___jobArgConclusion) hasGoal_Premise(___jobArg, ___jobArgGoal) ___jobArgConclusion : EncouragedAction_Statement fulfils(___jobArgConclusion, EncouragedAction_Desc) claimText (___jobArgConclusion "Therefore I need to bring about having10 a job") ___jobArgGoal : Goal_Statement fulfils(___jobArgGoal, Goal_Desc) claimText (___jobArgGoal "Bringing about being rich is my goal") ___jobArgGoalPlan : GoalPlan_Statement15 fulfils(___jobArgGoalPlan, GoalPlan_Desc) claimText (___jobArgGoalPlan "In order to bring about being rich I need to bring about having a job") 3.2.2 Relevant portion of the AIF ontology EncouragedAction_Statement20 EncouragedAction_Statement Statement Cardiff University, 2017 Page 13
  • 26.
    Semantic Web Argumentation• AIF-OWL Symmetric attack r → p r pMP2 A1 A2 p → q p qMP1 neg1 Undercut attack r MP2 A3 A2 s → v s vMP1 cut1 p r → p Figure 3.3: Examples of conflicts [Rah+11, Fig. 2] GoalPlan_Statement GoalPlan_Statement Statement Goal_Statement Goal_Statement Statement I-node5 I-node ≡ Statement I-node Node I-node ¬ S-node Inference Inference ≡ RA-node10 Inference ∃ fulfils Inference_Scheme Inference ≥ 1 hasPremise Statement Inference Scheme_Application Inference = hasConclusion (Scheme_Application Statement) Inference_Scheme15 Inference_Scheme Scheme ≥ 1 hasPremise_Desc Statement_Description = hasConclusion_Desc (Scheme Statement_Description) PracticalReasoning_Inference PracticalReasoning_Inference ≡ Presumptive_Inference ∃ hasConclu-20 sion EncouragedAction_Statement ∃ hasGoalPlan_Premise GoalPlan_Statement ∃ has- Goal_Premise Goal_Statement Cardiff University, 2017 Page 14
  • 27.
    Semantic Web Argumentation• AIF-OWL RA-node RA-node ≡ Inference RA-node S-node S-node S-node ≡ Scheme_Application5 S-node Node S-node ¬ I-node Scheme Scheme Form Scheme ¬ Statement_Description10 Scheme_Application Scheme_Application ≡ S-node Scheme_Application ∃ fulfils Scheme Scheme_Application Thing Scheme_Application ¬ Statement15 Statement Statement ≡ NegStatement Statement ≡ I-node Statement Thing Statement ∃ fulfils Statement_Description20 Statement ¬ Scheme_Application Statement_Description Statement_Description Form Statement_Description ¬ Scheme fulfils25 ∃ fulfils Thing Node hasConclusion_Desc ∃ hasConclusion_Desc Thing Inference_Scheme hasGoalPlan_Premise hasPremise30 hasGoal_Premise hasPremise Cardiff University, 2017 Page 15
  • 28.
    Semantic Web Argumentation• AIF-OWL claimText ∃ claimText DatatypeLiteral Statement ∀ claimText DatatypeString Individuals of EncouragedAction_Desc EncouragedAction_Desc : Statement_Description5 formDescription (EncouragedAction_Desc "A should be brought about") Individuals of GoalPlan_Desc GoalPlan_Desc : Statement_Description formDescription (GoalPlan_Desc "Bringing about B is the way to bring about A")10 Individuals of Goal_Desc Goal_Desc : Statement_Description formDescription (Goal_Desc "The goal is to bring about A") Individuals of PracticalReasoning_Scheme PracticalReasoning_Scheme : PresumptiveInference_Scheme15 hasPremise_Desc(PracticalReasoning_Scheme, Goal_Desc) hasConclusion_Desc(PracticalReasoning_Scheme, EncouragedAction_Desc) hasPremise_Desc(PracticalReasoning_Scheme, GoalPlan_Desc) Cardiff University, 2017 Page 16
  • 29.
    Bibliography [AB08] K Atkinsonand T J M Bench-Capon. “Addressing moral prob- lems through practical reasoning”. In: Journal of Applied Logic 6.2 (2008), pp. 135–151. [BA09] Trevor Bench-Capon and Katie Atkinson. “Abstract Argumen-5 tation and Values”. In: Argumentation in Artificial Intelligence. Ed. by Guillermo Simari and Iyad Rahwan. Springer US, 2009, pp. 45–64. [Bar+09] Pietro Baroni et al. “Encompassing Attacks to Attacks in Ab- stract Argumentation Frameworks”. In: ECSQARU 2009. Ed. by10 C Sossai and G Chemello. LLNAI, Springer-Verlag, 2009, pp. 2– 7. URL: http://link.springer.com/chapter/10.1007/978- 3-642-02906-6_9. [Bar+11] Pietro Baroni et al. “AFRA: Argumentation framework with re- cursive attacks”. In: International Journal of Approximate Rea-15 soning (Special Issue Tenth European Conference on Symbolic and Quantitative Approaches to Reasoning with Uncertainty - ECSQARU 2009) 52.1 (2011), pp. 19–37. ISSN: 0888-613X. DOI: DOI : 10 . 1016 / j . ijar . 2010 . 05 . 004. URL: http : / / www . sciencedirect.com/science/article/B6V07- 5051PHF- 1/20 2/0627465d80529b35028ab8f7e7d44698. [Bar+14] Pietro Baroni et al. “On the Input/Output behavior of argumenta- tion frameworks”. In: Artificial Intelligence 217.0 (2014), pp. 144– 197. URL: http://www.sciencedirect.com/science/article/ pii/S0004370214001131. [BCG11] P Baroni, M Caminada, and M Giacomin. “An introduction to ar- gumentation semantics”. In: Knowledge Engineering Review 26.4 (2011), pp. 365–410.5 [Ben03] Trevor J M Bench-Capon. “Try to See it My Way: Modelling Per- suasion in Legal Discourse”. In: Artificial Intelligence and Law 11.4 (2003), pp. 271–287. ISSN: 0924-8463. DOI: 10.1023/B: ARTI.0000045997.45038.8f. [Bex+13] Floris Bex et al. “Implementing the argument web”. In: Commu-10 nications of the ACM 56.10 (Oct. 2013), p. 66. Cardiff University, 2017 Page 17
  • 30.
    BIBLIOGRAPHY • BIBLIOGRAPHY [BG07]Pietro Baroni and Massimiliano Giacomin. “On principle-based evaluation of extension-based argumentation semantics”. In: Ar- tificial Intelligence (Special issue on Argumentation in A.I.) 171.10/15 (2007), pp. 675–700.15 [BG09a] Pietro Baroni and Massimiliano Giacomin. “Semantics of Abstract Argument Systems”. In: Argumentation in Artificial Intelligence. Ed. by Guillermo Simari and Iyad Rahwan. Springer US, 2009, pp. 25–44. [BG09b] Pietro Baroni and Massimiliano Giacomin. “Skepticism relations20 for comparing argumentation semantics”. In: International Jour- nal of Approximate Reasoning 50.6 (June 2009), pp. 854–866. ISSN: 0888-613X. DOI: 10.1016/j.ijar.2009.02.006. URL: http://linkinghub.elsevier.com/retrieve/pii/S0888613X09000383% 20http://dx.doi.org/10.1016/j.ijar.2009.02.006%25 20http://dl.acm.org/citation.cfm?id=1542547.1542704. [BGG05] Pietro Baroni, Massimiliano Giacomin, and Giovanni Guida. “SCC- recursiveness: a general schema for argumentation semantics”. In: Artificial Intelligence 168.1-2 (2005), pp. 165–210. [BGV14] Pietro Baroni, Massimiliano Giacomin, and Paolo Vicig. “On Ra- tionality Conditions for Epistemic Probabilities in Abstract Argu- mentation”. In: Computational Models of Argument - Proceedings of COMMA 20142. Ed. by Simon Parsons et al. 2014, pp. 121–132. [BH01] Philippe Besnard and Anthony Hunter. “A logic-based theory of5 deductive arguments”. In: Artificial Intelligence 128 (2001), pp. 203– 235. ISSN: 00043702. DOI: 10.1016/S0004-3702(01)00071-6. URL: http://www.sciencedirect.com/science/article/ pii/S0004370201000716. [BH08] Philippe Besnard and Anthony Hunter. Elements of Argumenta-10 tion. MIT Press, 2008. [BH14] Philippe Besnard and Anthony Hunter. “Constructing argument graphs with deductive arguments: a tutorial”. en. In: Argument and Computation 5.1 (Feb. 2014), pp. 5–30. URL: http://www. tandfonline.com/doi/abs/10.1080/19462166.2013.869765#15 .VM5j8eptPUY. [Bon+97] Andrei Bondarenko et al. “An abstract, argumentation-theoretic approach to default reasoning”. In: Artificial Intelligence 93 (1997), pp. 63–101. ISSN: 00043702. DOI: 10.1016/S0004- 3702(97) 00015-5.20 [BS12] Stefano Bistarelli and Francesco Santini. “Modeling and Solving AFs with a Constraint-Based Tool: ConArg”. In: Theory and Ap- plications of Formal Argumentation. Vol. 7132. Springer, 2012, pp. 99–116. ISBN: 978-3-642-29183-8. Cardiff University, 2017 Page 18
  • 31.
    BIBLIOGRAPHY • BIBLIOGRAPHY [BTK93]Andrei Bondarenko, Francesca Toni, and Robert A. Kowalski.25 “An Assumption-Based Framework for Non-Monotonic Reason- ing”. In: Proceedings Second International Workshop on Logic Programming and Non-Monotonic Reasoning. Ed. by A Nerode and L Pereira. MIT Press, 1993. URL: citeseer.nj.nec.com/ bondarenko93assumptionbased.html.5 [CA07] Martin Caminada and Leila Amgoud. “On the evaluation of ar- gumentation formalisms”. In: Artificial Intelligence 171.5-6 (Apr. 2007), pp. 286–310. ISSN: 00043702. DOI: 10.1016/j.artint. 2007.02.003. URL: http://linkinghub.elsevier.com/retrieve/ pii/S0004370207000410.10 [Cam06] Martin Caminada. “On the Issue of Reinstatement in Argumen- tation”. In: Proceedings of the 10th European Conference on Log- ics in Artificial Intelligence (JELIA 2006). 2006, pp. 111–123. ISBN: 3-540-39625-X. [Cer+14a] Federico Cerutti et al. “A SCC Recursive Meta-Algorithm for Com-15 puting Preferred Labellings in Abstract Argumentation”. In: 14th International Conference on Principles of Knowledge Representa- tion and Reasoning. Ed. by Chitta Baral and Giuseppe De Gia- como. 2014, pp. 42–51. URL: http://www.aaai.org/ocs/index. php/KR/KR14/paper/view/7974.20 [Cer+14b] Federico Cerutti et al. “Computing Preferred Extensions in Ab- stract Argumentation: A SAT-Based Approach”. In: TAFA 2013. Ed. by Elizabeth Black, Sanjay Modgil, and Nir Oren. Vol. 8306. Lecture Notes in Computer Science. Springer-Verlag Berlin Hei- delberg, 2014, pp. 176–193. URL: http://link.springer.com/25 chapter/10.1007%2F978-3-642-54373-9_12. [Cer+15] Federico Cerutti et al. “Exploiting Parallelism for Hard Problems in Abstract Argumentation”. In: 29th AAAI Conference - AAAI 2015. 2015, pp. 1475–1481. URL: http://www.aaai.org/ocs/ index.php/AAAI/AAAI15/paper/viewFile/9451/9421.30 [CGV14] Federico Cerutti, Massimiliano Giacomin, and Mauro Vallati. “Al- gorithm Selection for Preferred Extensions Enumeration”. In: 5th Conference on Computational Models of Argument. Ed. by Si- mon Parsons et al. 2014, pp. 221–232. URL: http://ebooks. iospress.nl/volumearticle/37791. [Cha+15] Günther Charwat et al. “Methods for solving reasoning problems in abstract argumentation — A survey”. In: Artificial Intelligence5 220 (Mar. 2015), pp. 28–63. ISSN: 00043702. DOI: 10.1016/j. artint.2014.11.008. URL: http://www.sciencedirect.com/ science/article/pii/S0004370214001404. [Che+06] Carlos Iván Chesnevar et al. “Towards an argument interchange format”. English. In: The Knowledge Engineering Review 21.0410 (Dec. 2006), p. 293. ISSN: 0269-8889. DOI: 10.1017/S0269888906001044. URL: http://journals.cambridge.org/abstract_S0269888906001044. [Chr00] George C Christie. The Notion of an Ideal Audience in Legal Ar- gument. Kluwer Academic Publishers, 2000. Cardiff University, 2017 Page 19
  • 32.
    BIBLIOGRAPHY • BIBLIOGRAPHY [CL05]C Cayrol and M C Lagasquie-Schiex. “On the Acceptability of Ar-15 guments in Bipolar Argumentation Frameworks”. In: Symbolic and Quantitative Approaches to Reasoning with Uncertainty. Ed. by Lluís Godo. Vol. 3571. Lecture Notes in Computer Science. Springer Berlin Heidelberg, 2005, pp. 378–389. [Col92] J L Coleman. Risks and Wrongs. Cambridge University Press,20 1992. [DCD11] DCDC. Understanding and Intelligence Support to Joint Opera- tions. Tech. rep. 2011. [DT10] Phan Minh Dung and Phan Minh Thang. “Towards (Probabilis- tic) Argumentation for Jury-based Dispute Resolution”. In: Prooced-25 ings of the Third International Conference on Computational Mod- els of Argument (COMMA 2010). Ed. by Pietro Baroni et al. IOS Press, Aug. 2010, pp. 171–182. ISBN: 978-1-60750-618-8. URL: http://dl.acm.org/citation.cfm?id=1860828.1860846. [Dun+14] Paul E. Dunne et al. “Characteristics of Multiple Viewpoints in30 Abstract Argumentation”. In: Proceedings of the 14th Conference on Principles of Knowledge Representation and Reasoning. 2014, pp. 72–81. [Dun95] Phan Minh Dung. “On the Acceptability of Arguments and Its Fundamental Role in Nonmonotonic Reasoning, Logic Program- ming, and n-Person Games”. In: Artificial Intelligence 77.2 (1995),5 pp. 321–357. [Dvo+11] Wolfgang Dvoˇrák et al. “Making Use of Advances in Answer- Set Programming for Abstract Argumentation Systems”. In: Pro- ceedings of the 19th International Conference on Applications of Declarative Programming and Knowledge Management (INAP10 2011). 2011. [DW09] Paul E. Dunne and Michael Wooldridge. “Complexity of abstract argumentation”. In: Argumentation in AI. Ed. by I Rahwan and G Simari. Springer-Verlag, 2009. Chap. 5, pp. 85–104. [EGW10] Uwe Egly, Sarah Alice Gaggl, and Stefan Woltran. “Answer-set15 programming encodings for argumentation frameworks”. In: Ar- gument & Computation 1.2 (June 2010), pp. 147–177. ISSN: 1946- 2166. DOI: 10.1080/19462166.2010.486479. URL: http://dx. doi.org/10.1080/19462166.2010.486479. [Fab13] Wolfgang Faber. “Answer Set Programming”. In: Reasoning Web.20 Semantic Technologies for Intelligent Data Access. Vol. 8067. Lec- ture Notes in Computer Science. Springer Berlin Heidelberg, 2013, pp. 162–193. [Fin74] Bruno De Finetti. Theory of Probability. Vol. I. Wuley, 1974. Cardiff University, 2017 Page 20
  • 33.
    BIBLIOGRAPHY • BIBLIOGRAPHY [GH11]Nikos Gorogiannis and Anthony Hunter. “Instantiating abstract25 argumentation with classical logic arguments: Postulates and prop- erties”. In: Artificial Intelligence 175.9-10 (June 2011), pp. 1479– 1497. ISSN: 00043702. DOI: 10.1016/j.artint.2010.12.003. URL: http : / / linkinghub . elsevier . com / retrieve / pii / S0004370210002201 % 20http : / / www . sciencedirect . com /5 science/article/pii/S0004370210002201. [GHW09] Nikos Gorogiannis, Anthony Hunter, and Matthew Williams. “An argument-based approach to reasoning with clinical knowledge”. In: International Journal of Approximate Reasoning 51.1 (Dec. 2009), pp. 1–22. ISSN: 0888613X. DOI: 10.1016/j.ijar.2009.10 06 . 015. URL: http : / / www . sciencedirect . com / science / article/pii/S0888613X09001315. [GS04] Alejandro J. García and Guillermo R. Simari. “Defeasible logic programming: an argumentative approach”. In: Theory and Prac- tice of Logic Programming 4.1+2 (2004), pp. 95–138. ISSN: 1475-15 3081. DOI: 10.1017/S1471068403001674. URL: http://journals. cambridge.org/article_S1471068403001674. [GS14] Alejandro J. García and Guillermo R. Simari. “Defeasible logic programming: DeLP-servers, contextual queries, and explana- tions for answers”. en. In: Argument & Computation 5.1 (Feb. 2014), pp. 63–88. ISSN: 1946-2166. DOI: 10.1080/19462166. 2013.869767. URL: http://www.tandfonline.com/doi/ref/ 10.1080/19462166.2013.869767#.VV2rticVhBc.5 [HMP01] D Hitchcock, P McBurney, and P Parsons. “A Framework for De- liberation Dialogues, Argument and Its Applications”. In: Pro- ceedings of the Fourth Biennial Conference of the Ontario Society for the Study of Argumentation (OSSA 2001). Ed. by H V Hansen et al. 2001.10 [HT14] Anthony Hunter and Matthias Thimm. “Probabilistic Argumen- tation with Incomplete Information”. In: ECAI 2014 - 21st Euro- pean Conference on Artificial Intelligence2. 2014, pp. 1033–1034. [Hun13] Anthony Hunter. “A probabilistic approach to modelling uncer- tain logical arguments”. In: International Journal of Approxi-15 mate Reasoning 54.1 (Jan. 2013), pp. 47–81. ISSN: 0888613X. DOI: 10 . 1016 / j . ijar . 2012 . 08 . 003. URL: http : / / www . sciencedirect.com/science/article/pii/S0888613X12001442. [Hun14] Anthony Hunter. “Probabilistic qualification of attack in abstract argumentation”. In: International Journal of Approximate Rea-20 soning 55.2 (Jan. 2014), pp. 607–638. ISSN: 0888613X. DOI: 10. 1016/j.ijar.2013.09.002. URL: http://www.sciencedirect. com/science/article/pii/S0888613X13001710. [HW12] Anthony Hunter and Matthew Williams. “Aggregating evidence about the positive and negative effects of treatments.” In: Artifi-25 cial intelligence in medicine 56.3 (Nov. 2012), pp. 173–90. ISSN: 1873-2860. DOI: 10.1016/j.artmed.2012.09.004. URL: http: //www.sciencedirect.com/science/article/pii/S0933365712001194. Cardiff University, 2017 Page 21
  • 34.
    BIBLIOGRAPHY • BIBLIOGRAPHY [Li15]Hengfei Li. “Probabilistic Argumentation”. PhD thesis. U. Ab- erdeen, 2015. [LON12] Hengfei Li, Nir Oren, and TimothyJ. Norman. “Probabilistic Ar- gumentation Frameworks”. In: Theorie and Applications of For- mal Argumentation. Ed. by Sanjay Modgil, Nir Oren, and Francesca5 Toni. Vol. 7132. Lecture Notes in Computer Science. Springer Berlin Heidelberg, 2012, pp. 1–16. [LON13] Hengfei Li, Nir Oren, and Timothy J. Norman. “Relaxing Inde- pendence Assumptions in Probabilistic Argumentation”. In: ArgMAS 2013. 2013.10 [MM13] L Moreau and P Missier. PROV-DM: The PROV Data Model. Available at http://www.w3.org/TR/prov-dm/. Apr. 2013. [Mod09] Sanjay Modgil. “Reasoning about preferences in argumentation frameworks”. In: Artificial Intelligence 173.9-10 (2009), pp. 901– 934.15 [MP02] Peter McBurney and Simon Parsons. “Games that agents play: A formal framework for dialogues between autonomous agents”. In: Journal of Logic, Language and Information 11.3 (2002), pp. 315– 334. URL: http://www.springerlink.com/index/N809NP4PPR3HFTDV. pdf.20 [MP13] Sanjay Modgil and Henry Prakken. “A general account of argu- mentation with preferences”. In: Artificial Intelligence 195 (2013), pp. 361–397. ISSN: 00043702. DOI: 10.1016/j.artint.2012. 10 . 008. URL: http : / / www . sciencedirect . com / science / article/pii/S0004370212001361.25 [MP14] Sanjay Modgil and Henry Prakken. “The ASPIC+ framework for structured argumentation: a tutorial”. In: Argument & Compu- tation 5.1 (2014), pp. 31–62. ISSN: 1946-2166. DOI: 10.1080/ 19462166.2013.869766. URL: http://www.tandfonline.com/ doi/abs/10.1080/19462166.2013.869766.30 [NAD14] Samer Nofal, Katie Atkinson, and Paul E. Dunne. “Algorithms for decision problems in argument systems under preferred se- mantics”. In: Artificial Intelligence 207 (2014), pp. 23–51. URL: http://www.sciencedirect.com/science/article/pii/ S0004370213001161.35 [NDA12] S Nofal, P E Dunne, and K Atkinson. “On Preferred Extension Enumeration in Abstract Argumentation”. In: Proceedings of 3rd International Conference on Computational Models of Arguments (COMMA 2012). 2012, pp. 205–216. [ON08] Nir Oren and Timothy J. Norman. “Semantics for Evidence-Based5 Argumentation”. In: (June 2008), pp. 276–284. URL: http://dl. acm.org/citation.cfm?id=1566134.1566160. [Par94] Jeff Paris. The Uncertain Reasoner’s Companion: A Mathematical Perspective. Cambridge University Press, 1994. Cardiff University, 2017 Page 22
  • 35.
    BIBLIOGRAPHY • BIBLIOGRAPHY [PC05]P. Pirolli and S. Card. “The sensemaking process and leverage10 points for analyst technology as identified through cognitive task analysis”. In: Proceedings of the International Conference on In- telligence Analysis. 2005. [Per80] Chaïm Perelman. Justice, Law, and Argument. D. Reidel Publish- ing Company, Dordrecht, 1980.15 [PO69] Chaïm Chaim Perelman and Lucie Olbrechts-Tyteca. The New Rehetoric: A Treatise on Argumentation. Notre Dame, Ind: Uni- versity of Notre Dame Press, 1969. [Pra10] Henry Prakken. “An abstract framework for argumentation with structured arguments”. In: Argument & Computation 1.2 (June20 2010), pp. 93–124. ISSN: 1946-2166. DOI: 10.1080/19462160903564592. URL: http : / / www . tandfonline . com / doi / abs / 10 . 1080 / 19462160903564592. [PV02] Henry Prakken and Gerard Vreeswijk. “Logics for Defeasible Ar- gumentation”. In: Handbook of philosophical logic 4 (2002), pp. 218–25 319. ISSN: 0955792X. DOI: 10.1007/978-94-017-0456-4_3. URL: http://link.springer.com/chapter/10.1007/978-94- 017-0456-4_3. [Rah+11] Iyad Rahwan et al. “Representing and classifying arguments on the Semantic Web”. English. In: The Knowledge Engineering Re-30 view 26.04 (Nov. 2011), pp. 487–511. ISSN: 0269-8889. DOI: 10. 1017/S0269888911000191. URL: http://journals.cambridge. org/abstract_S0269888911000191. [RBW08] Francesca Rossi, Peter van Beek, and Toby Walsh. “Chapter 4 Constraint Programming”. In: Handbook of Knowledge Represen-35 tation. Ed. by Vladimir Lifschitz van Harmelen and Bruce Porter. Vol. 3. Foundations of Artificial Intelligence. Elsevier, 2008, pp. 181– 211. DOI: http://dx.doi.org/10.1016/S1574- 6526(07) 03004- 0. URL: http://www.sciencedirect.com/science/ article/pii/S1574652607030040.40 [Sim89] Guillermo Ricardo Simari. “A mathematical treatment of defeasi- ble reasoning and its implementation”. PhD thesis. Washington University, Jan. 1989. URL: http://dl.acm.org/citation. cfm?id=917275. [SL92] Guillermo R Simari and Ronald P Loui. “A mathematical treat- ment of defeasible reasoning and its implementation”. In: Artifi-5 cial Intelligence 53.2–3 (1992), pp. 125–157. [Thi12] Matthias Thimm. “A Probabilistic Semantics for Abstract Argu- mentation”. In: Proceedings of the 20th European Conference on Artificial Intelligence (ECAI’12). Aug. 2012. [Ton+14] Alice Toniolo et al. “Making Informed Decisions with Provenance10 and Argumentation Schemes”. In: Eleventh International Work- shop on Argumentation in Multi-Agent Systems (ArgMAS 2014). 2014. URL: http://www.inf.pucrs.br/felipe.meneguzzi/ download/AAMAS_14/workshops/AAMAS2014-W12/w12-11.pdf. Cardiff University, 2017 Page 23
  • 36.
    BIBLIOGRAPHY • BIBLIOGRAPHY [Ton+15]Alice Toniolo et al. “Agent Support to Reasoning with Different15 Types of Evidence in Intelligence Analysis”. In: Proceedings of the 14th International Conference on Autonomous Agents and Multi- agent Systems (AAMAS 2015). 2015, pp. 781–789. URL: http: //aamas2015.com/en/AAMAS_2015_USB/aamas/p781.pdf. [Ton12] Francesca Toni. “Reasoning on the Web with Assumption-Based20 Argumentation”. In: Reasoning Web. Semantic Technologies for Advanced Query Answering. Ed. by Thomas Eiter and Thomas Krennwallner. Vol. 7487. Lecture Notes in Computer Science. Springer Berlin Heidelberg, 2012, pp. 370–386. [Ton14] Francesca Toni. “A tutorial on assumption-based argumentation”. en. In: Argument & Computation 5.1 (Feb. 2014), pp. 89–117. ISSN: 1946-2166. DOI: 10.1080/19462166.2013.869878. URL: http://www.tandfonline.com/doi/full/10.1080/19462166. 2013.869878.5 [Tou58] S Toulmin. The Uses of Argument. Cambridge University Press, Cambridge, UK, 1958. [VCG14] Mauro Vallati, Federico Cerutti, and Massimiliano Giacomin. “Ar- gumentation Frameworks Features: an Initial Study”. In: 21st European Conference on Artificial Intelligence. Ed. by T. Shaub,10 G. Friedrich, and B. O’Sullivan. 2014, pp. 1117–1118. URL: http: //ebooks.iospress.nl/volumearticle/37148. [Wal06] Douglas N Walton. “How to make and defend a proposal in a deliberation dialogue”. In: Artif. Intell. Law 14.3 (Sept. 2006), pp. 177–239. ISSN: 0924-8463. DOI: 10.1007/s10506-006-9025- x. URL: http://portal.acm.org/citation.cfm?id=1238120.5 1238122. [Wal14] Douglas N. Walton. Burned of Proof, Presumption and Argumen- tation. Cambridge University Press, 2014. [Wal97] Douglas N Walton. Appeal to Expert Opinion. University Park: Pennsylvania State University, 1997.10 [Wil+15] Matt Williams et al. “An updated systematic review of lung chemo- radiotherapy using a new evidence aggregation method.” In: Lung cancer (Amsterdam, Netherlands) 87.3 (Mar. 2015), pp. 290–5. ISSN: 1872-8332. DOI: 10.1016/j.lungcan.2014.12.004. URL: http://www.sciencedirect.com/science/article/pii/15 S0169500214005145. [WRM08] Douglas N. Walton, Chris Reed, and Fabrizio Macagno. Argumen- tation Schemes. Cambridge University Press, NY, 2008. Cardiff University, 2017 Page 24