Compilation by Ben: r_borres@yahoo.com        
 
 
 
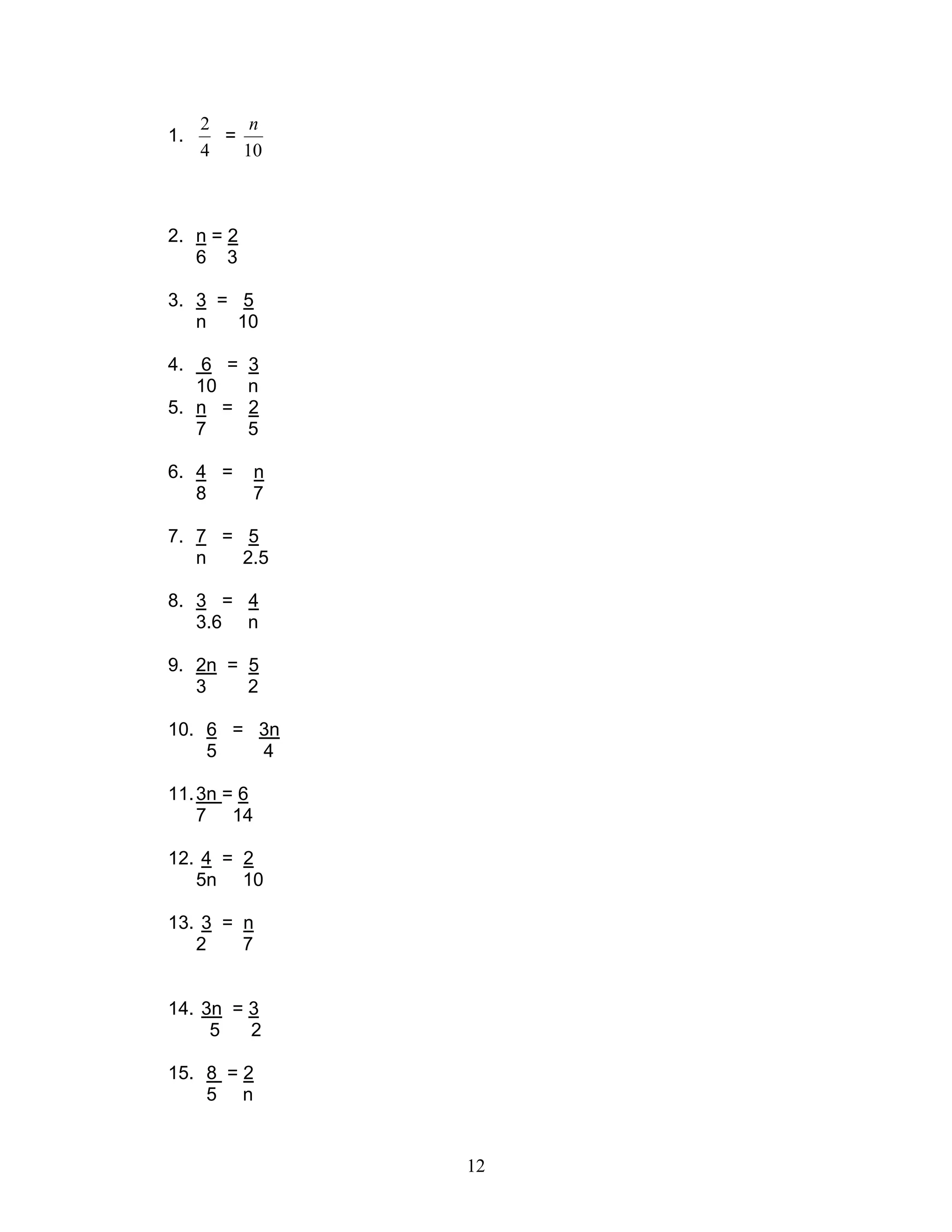
COMPILATION  
OF LEARNING MODULES 
 
GRADE 9 
(Alternative) 
 
MATHEMATICS III 
 
Effective and Alternative  
Secondary Education 
(EASE) 
Third Year 
  
   
Compilation by Ben: r_borres@yahoo.com        
CONTENTS 
 
01.   Module 1 ‐ Circles 
02.   Module 2 ‐ Circles 
03.   Module 1 Properties of Quadrilaterals 
03.   Module 2 ‐ Triangle Trigonometry 
04.   Module 2 Properties of Quadrilaterals 
05.   Module 1 ‐ Geometric Relations 
06.   Module 2 ‐ Geometric Relations 
07.   Module 3 ‐ Geometric Relations 
08.   Module 1 Similarity 
09.   Module 2 ‐ Similarity 
10.   Module 3 ‐ Similarity 
11.   Module 1 ‐ Plane Coordinate Geometry 
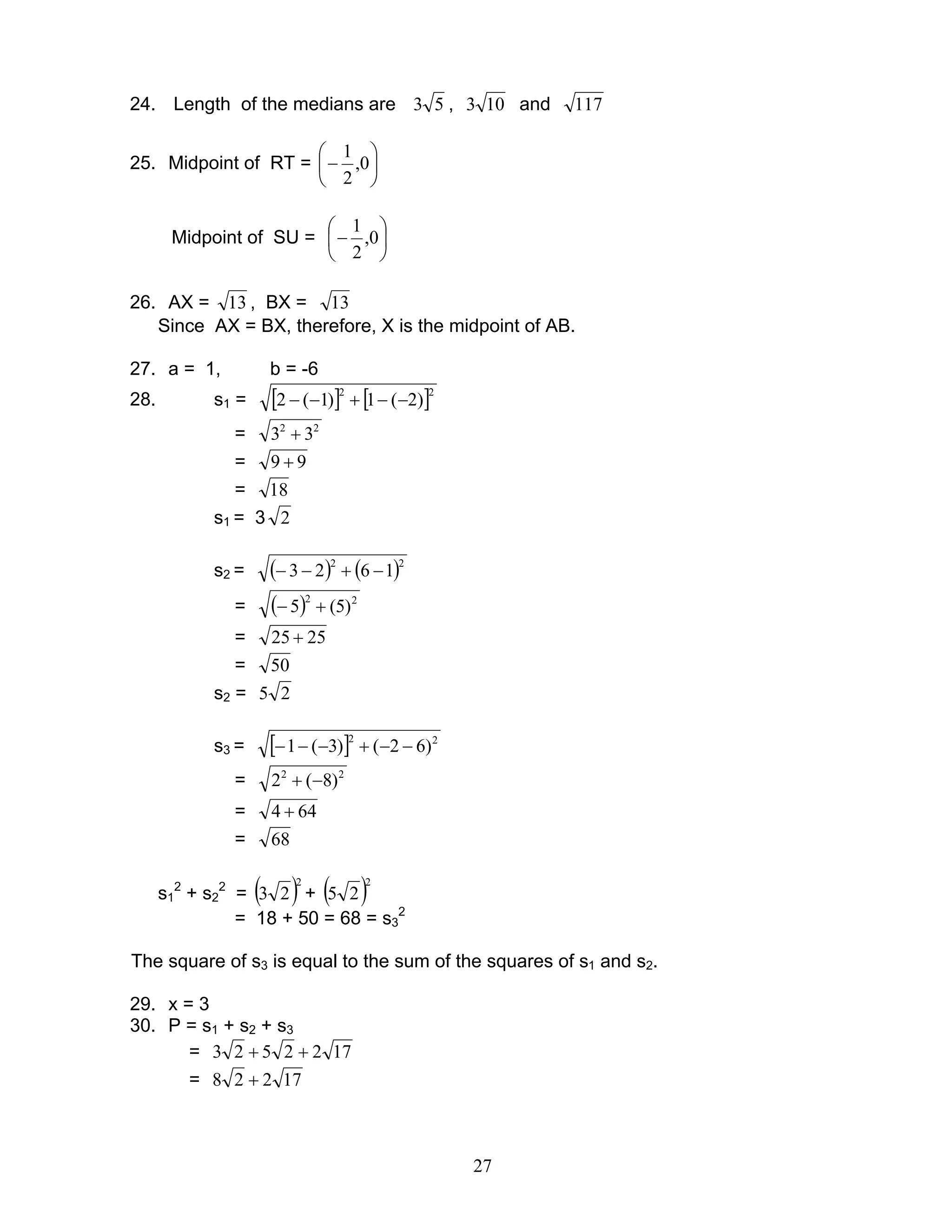
12.   Module  2 ‐ Plane Coordinate Geometry 
13.   Module 3 Plane Coordinate Geometry 
14.   Module 1‐ Triangle Congruence 
16.   Module 3 ‐ Triangle Congruence 
17.   Module 1 Geometry of Shape and Size 
18.   Module 2 ‐ Geometry of Shape and Size 
19.   Module 3 ‐ Geometry of Shape and Size 
20.   Module 4‐ Geometry of Shape and Size 
21.   Module 5 Geometry of Shape and Size 
22.   Module 6 Geometry of Shape and Size 
23.   Module 7 ‐ Geometry of Shape and Size 
24.   Module 8 ‐ Geometry of Shape and Size 
Module 1
Circles
What this module is about
This module will discuss in detail the characteristics of a circle as well as the
segments and lines associated with it. Here, you will gain deeper understanding of the
angles formed in circles, how to get their measures and how they are related to one
another. Furthermore, this module will also give meaning to the circle being composed of
arcs and how each arc is related to the angles formed in circles.
What you are expected to learn
This module is written for you to
1. define a circle.
2. define and show examples of the lines and segments associated with circles.
3. describe the relationship of lines and segments that are peculiar to circles.
4. define, identify and give examples of the kinds of arcs that compose a circle.
5. identify central angle and inscribed angle.
6. discover the relationship between the measures of central angle and inscribed angle
and their intercepted arcs.
How much do you know
Answer the following as indicated. S
1. Given a circle with center O. Name the following :
a. the circle T
b. a diameter M
c. two radii OO
d. two chords which are not diameters N
e. a secant
f. a tangent R
2. If a radius is perpendicular to a chord then it ________ the chord.
·
2
3. In the given circle A, PT is a diameter, therefore
MT is a ________ and
4. PTM is a _________.
5. Radius AB ⊥ CE. If CE = 8 cm, then
CX = ________.
6. Using the same figure, if AX = 3 cm,
What is the length of radius AC?
7. In circle O, 93=∠BOCm . What is mBC?
8. What is BACm∠ ?
9. In the figure, PR ║ ST . Using the given
Find mPT and RPSm∠ .
10. A quadrilateral PQRS is inscribed in a circle.
If 103=∠Pm , what is Rm∠ ?
What you will do
Lesson 1
Identifying a circle, the lines, segments and angles associated with it.
A circle is defined as the set of all points that are at the same distance from a given
point in the plane. The fixed given point is called the center. The circle is named after its
center. Hence in the figure, given is a circle O. A
The set of points on the plane containing the circle is
divided into 3, (1)
the circle, (2)
the set of points outside
the circle and (3)
the set of points inside the circle.
OC , OB and OA are segment whose endpoints are
the center of the circle and a point on the circle.
These three segments are called radii of the circle.
Radius of a circle is a segment whose endpoints are the center and a point on the
circle. In the figure, AD is a segment whose endpoints are points on the circle. AD is
called chord of the circle. AB is a segment whose endpoints are points on the circle and it
D
B
C
O
O
B
A
C
P
M●
●
A
T
A
X
E
B
C
P R
ST
3
passes through the center. AB is called diameter of a circle. Diameter of a circle is a chord
that passes through the center.
Lines on the plane containing the circle may intersect the circle at one point or at two
points or not at all.
Fig. 1. line a does not Fig. 2. line b intersect Fig. 3 line c intersect circle
intersect circle O. circle O at point X at two points R and S.
In figure 2, line b is tangent to the circle, and in figure 3, line c is a secant. Hence, we can
use the following definitions.
Tangent is a line that intersect a circle at one points. Secant is a line that intersect a circle
at two points.
Some theorems in circle show relationship between chord and radius. One of them
is this theorem:
Theorem: If a radius is perpendicular to a chord, then it bisects the chord.
Proof: Consider the given circle. If radius OA ⊥ BC at D, then OA
bisects BC or BD = DC. One way of proving segments or angles
congruent is by showing that they are corresponding parts of
congruent triangles. Here, we must prove that BD and DC are
corresponding sides of congruent triangles. If O and B are
joined and O and C are also joined, we have ∆OBD and ∆OCD.
Both of these triangles are right since BCOA ⊥ and thus ODB∠ and
ODC∠ are both right angles. Since OB and OC are both radii of the same circle,
hence they are congruent. And finally OBOD ≅ by reflexive property. Therefore, by
the HyL Congruency for right triangles, OCDOBD ∆≅∆ . Since the two triangles are
congruent, then the remaining corresponding parts such as BD and DC are also
congruent.
We have just proven the theorem here, only this time, instead of using the two
column form we use the paragraph form.
a
O
X
O O
b
c
S
R
B
A
C
o
D
···
·
4
Our conclusion therefore is that a radius that is perpendicular to a chord bisects the
chord. The most important considerations here were the perpendicularity and the word to
bisect.
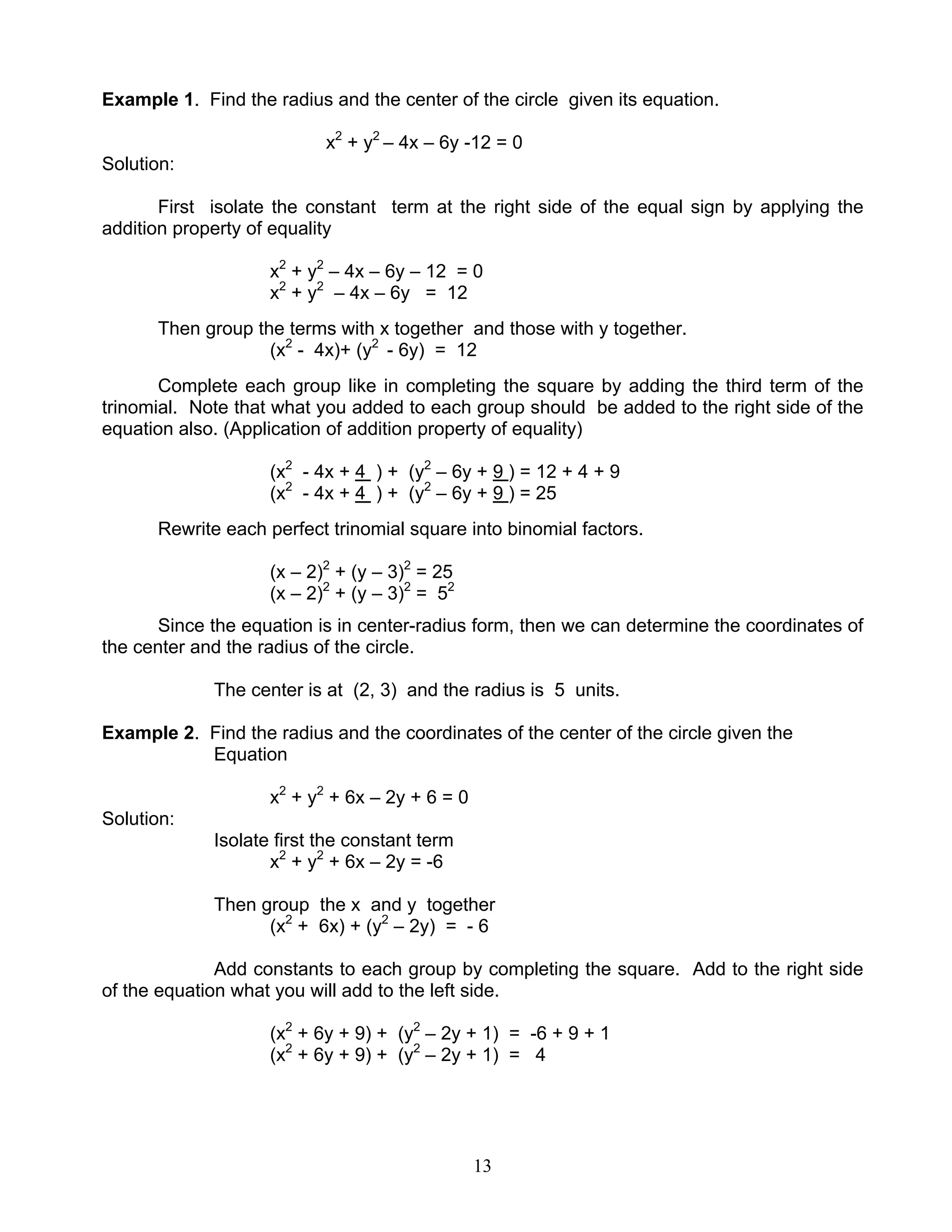
Examples:
1. DEOB ⊥ at T, DT = 3x -7 , TE = x + 15
Solution:
Since ⊥OB DE , then DT = TE
Hence,
3x – 7 = x + 15
2x = 15 + 7
2x = 22
x = 11
Substituting the value of x, we get
DT = 3(11) – 7 = 33 – 7
= 26
TE = 11 + 15 = 26
DE = DT + TE
DE = 26 + 26 = 52
There are other theorems whose main idea is taken from the previously proven
theorem. The next theorem serves as the converse of the first theorem and it states that: If
a radius of a circle bisects a chord that is not a diameter, then it is perpendicular to the
chord.
If the previous theorem was proven using the HyL congruence for right triangle, the
converse is proven using the reverse process, that is two angles must be proven part of
congruent triangles and they are congruent and supplementary.
You can prove the theorem as part of your exercise. Examples on how to use these
two theorems are given below.
2. Given: AB bisects chord CD at E.
CD = 6, AE = 4
Find the length of the radius of the circle.
Solution: Based on the theorem, CDAB ⊥ , thus
ADEACE ∆≅∆ and both are right triangles.
By the Pythagorean theorem, we can solve
for the length of the radius.
In ∆ACE, AC 2
= AE 2
+ CE 2
But CE = ½ CD so
T
A
EC D
B
O
D E
B
T
5
CE = ½ (6)
CE = 3
AC 2
= AE 2
+ CE 2
AC 2
= 42
+ 32
AC 2
= 16 + 9 = 25
AC = 25
AC = 5
Lesson on circle is very rich with theorems and definitions, principles and postulates.
Some of those theorems and definitions will be introduced as we plod along with this
module.
Definitions:
• Congruent circles are circles that have congruent radii.
• Concentric circles are coplanar circles having the same center
Illustrations:
a) b)
Circle A is congruent to circle B if and These two circles are
only if BYAX ≅ concentric circles
Theorem:
If chords of a circle or of congruent circles are equidistant from the center(s), then the
chords are congruent
Illustration of the theorem.
Circle O ≅ circle P
OX = PY
Then, CDAB ≅
A
X
B
Y
O
X
A B
O
X
N
P
C D
Y
M
·
6
Try this out
A. Using the given figure, name
1. the circle
2. 2 diameters
3. 2 chords which are not diameters
4. 2 secants
5. a tangent
B. Given: CDAB ⊥ at E
CD is 10 cm long. How far is CD
from the center if the length of the
radius is
1. 13 cm 5. 12 cm
2. 7 cm 6. 10 cm
3. 14 cm 7. 5 2 cm
4. 8 cm 8. 63 cm
C. Given: CD is 20 cm long. How long is the radius of the
circle if the distance of CD from the center is
1. 7 cm 3. 13 cm
2. 10 cm 4. 8 cm
5. 5 cm 7. 55 cm
6. 21 cm 8. 64 cm
D. AC is 12 cm long. How long is chord CD if its distance from the center is
1. 10 cm 5. 9 cm
2. 6 cm 6. 23 cm
3. 8 cm 7. 112 cm
4. 5 cm 8. 54 cm
E. Solve the following problems.
1. MPON ⊥
ME = 7x + 5
PE = 4x – 20
Solve for ME , PE and MP
O
M PE
N
A
C D
B
E
A
B
D
E
C
F
O
7
2. In a circle are two chords whose lengths are 10 cm and 24 cm respectively. If the
radius of the circle is 13 cm, what is the maximum distance of the two chords?
What is their minimum distance?
Lesson 2
Arcs and Central Angles
A part of a circle between any two points is an arc. In the
figure, the set of points from A to B is an arc. A circle is in itself
an arc. Arc of a circle is measured in terms of degrees.
The whole arc making up the circle measures 360°.
Any arc of a circle can belong to any of these three groups.
a. minor arc – an arc whose measure is between 0 and 180°.
b. semicircle – an arc whose measure is exactly 180°
c. major arc – an arc whose measure is between 180° and 360°
In the given figure, AB is a diameter, hence AB represents
a semicircle, AC is minor arc and ABC is a major arc.
Aside from AC, another minor arc in the figure is BC.
ACB also represents a semicircle.
Angles in a circle are formed by radii, chords, secants and
tangents. Determination of the measures of the angles formed by
these lines depends upon the measure of the intercepted arcs
of the given angles.
Examples:
In circle some angles formed by chords and
radii are shown. Each of the angles intercepts
an arc defined by the endpoints contained on the
sides of the angle.
∠ AEB intercepts AB.
∠ BOC intercepts BC
∠ COD intercepts CD
∠ EOD intercepts ED
∠ AEB intercepts AB.
∠ AEB intercepts AB.
∠ AEB intercepts AB.
O
A
B
C
D
E
A
C
B
O●
A
O
B• •
·
8
B
83°
D
At this point we will discuss in detail the kinds of angles formed in a circle, their
characteristics and how to get their measures from the measures of the intercepted arcs.
We will start with the angle formed by two radii.
Central angle is an angle formed by two radii
and the vertex is the center of the circle. In the
figure, ∠ AOB, ∠ BOD and ∠ DOC are all
examples of central angles. Each of these angles
has its own intercepted arc. ∠ AOB intercepts AB,
∠ BOD intercepts BD and ∠ DOC intercepts DC.
The measure of a central angle is numerically
equal to its intercepted arc.
In the figure, ∠ BAC is a central angle and
∠ BAC intercepts BC. Since mBC = 83, then
m∠ BAC = 83, mBDC = 277°.
In the study of geometry, every new topic or concept is always associated with study
of postulates, theorems and definitions. In the study of arcs and angles in a circle, we will
discuss many theorems that will help us solve problems involving the said concepts. We
will start with the simplest postulate in the chapter.
Like any measure, measure of an arc is also a unique real number and as such, we
can perform the four fundamental operations on those measure. So the first postulate is the
Arc Addition Postulate: The measure of an arc formed by two adjacent non-overlapping
arcs is the sum of the measures of the two arcs.
In the given circle, m AC = m AB + m BC
Examples:
1. DG is a diameter. Find the measure of the
following arcs.
DG, DE, DF, GE, DGF
Solution:
Since DG is a diameter, then DG is a semicircle.
Therefore,
m DG = 180
m DE = 180 – (60 + 70)
= 180 – 130
= 50
O
A
B
D
C
A
C
•
●
•
•
A
B
C
F
·
·
·
·
●
60°
70°
D
E
G
O
·
9
60°
60°
60°
A
B
C
D
m DF = m DE + m EF
= 50 + 60
= 110
m GE = m GF + m FE
= 70 + 60
= 130
m DGF = m DG + m GF
= 180 + 70
= 250
Definitions:
In the same circle or in congruent circles, arcs which have the same measure are
congruent.
Example: 1. In the figure, m DC = 60, m BC = 60
m AB = 60 .
Therefore, DC≅BC ≅ AB
2. Since every semicircle measures 180°,
then all semicircles are congruent.
Theorem:
If two minor arcs of a circle or of congruent circles are congruent, then the
corresponding chords are congruent.
Examples: 1. Given: AB ≅ BC
Since AB subtends AB and
BC subtends BC then
AB ≅ BC
2. Circle O ≅ circle M
If AB ≅ XY, then XYAB ≅
Theorem:
If two chords of a circle or of congruent circles are congruent, then the corresponding
minor arcs are congruent.
This is the converse of the previous theorem. Basically if you prove these two
theorems, the steps will be just the reverse of the other. Instead of proving them, showing
examples will be more beneficial to you.
●
●
O •
A
B
M •
X
Y
A
B
C·
10
In circle A, if PQRS ≅
then RS ≅ PQ
Theorem:
If two central angles of a circle or of congruent circles are congruent, then the
corresponding minor arcs are congruent.
Example: In circle O, ∠ MNO≅ ∠ BOA
Therefore, MP ≅ AB
Theorem:
If two minor arcs of a circle or of congruent circles are congruent, then the
corresponding central angles are congruent.
Example:
In circle A, DEBC ≅
Therefore `DAEBAC ∠≅∠
Theorem:
If two central angles of a circle or of congruent circles are congruent, then the
corresponding chords are congruent.
Given: In circle O, AOBXOY ∠≅∠
Prove: XY AB≅
Proof
Statements Reasons
1. In circle O, AOBXOY ∠≅∠
2. OBOX ≅ , OAOY ≅
3. BOAXOY ∆≅∆
4. XY AB≅
1. Given
2. Radii of the same or congruent circles are
congruent
3. SAS congruency Postulate
4. Corresponding parts of congruent
triangles are congruent..
A
B
C
D
E
X
B
Y
A
O
Q
A •
R
P
S
O
A
B
P
M
11
Theorem:
If two chords of a circle or of congruent circles are congruent circles are congruent,
then the corresponding central angles are congruent.
Given: In circle A, STPR ≅
Prove: SATPAR ∠≅∠
Proof:
Statements Reasons
1. In circle A, STPR ≅
2. ASAP ≅
ATAR ≅
3. SATPAR ∆≅∆
4. SATPAR ∠≅∠
1. Given
2. Radii of the same circle are
congruent.
3. SSS Congruency Postulate
4. Corresponding parts of congruent
triangles are congruent
Examples:
Given: AB and CD are diameters of circle E.
1. What is true about AED∠ and BEC∠ ? Why?
2. What kind of angles are they?
3. Give as many conclusions as you can
based on the previously discussed theorems.
Answers:
1. BECAED ∠≅∠ . They are vertical angles and vertical angles are congruent.
2. In the circle they are central angles. Central angles are angles whose vertex is the
center of the circle.
3. a. AD ≅ BC. If two central angles of a circle or of congruent circles are congruent,
then the corresponding arcs are congruent.
b. BCAD ≅
Likewise
1. BEDAEC ∠≅∠
2. AC ≅ DB
3. DBAC ≅
Try this out
A. AB is a diameter of circle O.
82=∠AOEm .
A
D
B
C
E
A
p
R
S
T
12
Find the measures of:
1. AB 4. ABE
2. AE 5. BAE
3. BE
B. GE and FD are diameters of circle A. If DA = 73º, find the measures of
1. ∠ DAE 5. GF
2. ∠ GAF 6. DG
3. ∠ EAF 7. FDE
4. ∠DAG
C. Given circle A. If m BTY = 116,
and m = 3n, find
1. m 5. m ∠BAT
2. n 6. m ∠TAY
3. BT 7. m ∠BAY
4. TY
D. Given circle O. AB ≅ BC. If mAB = 56, what is
AOBm∠ ? What is mABC ?
Which chords are congruent?
E. A. B and C are three points on the circle.
IF AC ≅ AB ≅ BC, what is the measure of each arc?
What is true about the chords ,, ABAC and BC ?
If ABC is 16 more than three times AC,
find mAC, mABC.
F. P, Q and R are three points on a circle. If the
ratio PQ:QR:PR = 3:4:5, find the measures of
PR, QR and PS.
O
A
E
B
A
D
E
G
F
O
A
B
C
A
B T
Y
n m
·
A
C
B
13
G. Using the figure and the given in it, find the
measures of:
1. PQ 5. POQ∠
2. QR 6. ∠QOR
3. SR 7. ∠SOR
4. PS 8. ∠POS
H. BD and EC are diameters of circle A.
If 35=∠Cm , find the measures of
1. ∠B 5. ∠EAD
2. ∠E 6. BC
3. ∠D 7. CD
4. ∠BAC
Lesson 3
Arcs and Inscribed Angles
Another angle in a circle that is very important in the study of circle is the inscribed
angle.
Definition:
An inscribed angle is an angle whose vertex lies on the circle and the sides contain
chords of the circle.
Fig. 1 Fig. 2 Fig 3
Each of the angle shown above is an example of an inscribed angle. Three cases
are represented here relative to the position of the sides in relation to the center of the
circle.
A
B
E
C
D
35º
A
B
C
●
P
S
T●
D
E
F
●
O
x
R
S
2x + 13
2x 4x + 5
P
Q
14
Case 1. the center of the circle is on one side of the inscribed angle.
Case 2, the center of the circle is in the interior of the inscribed angle.
Case 3, the center of the circle is on the exterior of the inscribed angle.
In the study of the angles in a circle and in determining their measures, it is important
to determine the intercepted arc(s) of the given angle. To understand better, let us see
some examples.
In the figure, the arc in the interior
of the angle is the intercepted arc of
the angle.
The intercepted arc of BAC∠ is
the minor arc AC.
In the given examples of inscribed angles above the following holds:
a) In figure 1, ∠ DEF is an inscribed angle
∠ DEF intercepts arc DF
b) In figure 2, ∠ PST is an inscribed angle,
∠ PST intercepts arc PT
c) In figure 3, ∠ BAC is an inscribed angle
∠ BAC intercepts arc BC
Every angle whether in a circle on in any plane is associated with a unique number
defined as its measure. If the measure of a central angle is equal to the measure of its
intercepted arc, the next theorem will tell us how to find the measure of the inscribed angle.
Theorem: Inscribed angle Theorem
The measure of an inscribed angle is equal to one half the measure of its intercepted
arc.
It means that in the given figure,
mDFDEFm 2
1
=∠
Intercepted arc
B A
C
D
E
F
O ●
●
15
Since there are three cases by which an inscribed angle can be drawn in a circle, then we
have to prove each of those cases.
Case 1 (One side of the angle is the diameter of the circle)
Given: Circle O with inscribed angle DEF∠
Use the notation in the figure for
clarity
Prove: ( )mDFDEFm
2
1
=∠
Proof:
Statements Reasons
1. Circle O with inscribed angle DEF∠
2. Draw OF to form ∆FOE
3. ∠ 1 is an exterior angle of ∆FOE
4. m∠ 1 = x + y
5. OEOF ≅
6. ∆FOE is an isosceles triangle
7. x = y
8. m∠ 1 = x + x = 2x
9. 2x = m∠ 1, x = ½ m∠ 1
10. But ∠ 1 is a central angle
11. m∠ 1 = m DF
12. x = ( )mDFDEFm
2
1
=∠
1. Given
2. Line determination postulate
3. Definition of exterior angle
4. Exterior angle theorem
5. Radii of the same circle are congruent
6. Definition of isosceles triangle
7. Base angles of isosceles triangle are
congruent
8. Substitution (Steps 4 and 7)
9. Multiplication property of equality
10. Definition of central angle
11. Measure of a central angle equals its
intercepted arc.
12. Substitution (Steps 9 and 11)
So, we have proven case 1. Let us now prove case 2 of the inscribed angle theorem.
Case 2. (The center of the circles lies in the interior of the inscribed angle)
Given : Circle O with inscribed PQR∠
Prove: m PQR∠ =
2
1
m PR
O
●
O
Q
P
S
R
a
b
D
E
F
●
1
x
y
O
16
Proof:
Statements Reasons
1. Circle O with inscribed PQR∠ . Use the
given notation in the figure.
2. Draw diameter QS
3. m PQR∠ = a + b
4. a = mPS2
1
b = mSR2
1
5. a + b = mPS2
1
+ mSR2
1
= )(2
1
mSRmPS +
6. mPR = mPS + mPR
7. m `PQR∠ =
2
1
(mPS + mPR)
8. m `PQR∠ = 2
1
mPR
1. Given
2. Line determination Postulate
3. Angle Addition Postulate
4. Inscribed angle theorem (Case 1)
5. Addition Property of Equality
6. Arc Addition Postulate
7. Transitive Property of Equality
8. Transitive Property of Equality
Case 3. (The center is in the exterior of the inscribed angle)
Given: BAC∠ is an inscribed angle in circle O
Use the additional notation in the figure
Prove: mBCBACm 2
1
=∠
Proof:
Statements Reasons
1. Draw diameter AD
2. BACmDABmDACm ∠+∠=∠
3. DABmDACmBACm ∠−∠=∠
4. mDCDACm 2
1
=∠
mDBDABm 2
1
=∠
5. mDBmDCBACm 2
1
2
1
−=∠ = 2
1
(mDC-mDB)
6. mDC = mDB + mBC
7. mBC = mDC – mDB
8. mBCBACm 2
1
=∠
1. Line determination Postulate
2. Angle Addition Postulate
3. Subtraction Property of Equality
4. Inscribed angle Theorem (Case 1)
5. Substitution
6. Arc Addition Postulate
7. Subtraction Property of Equality
8. Substitution
From the proofs that were given, we can therefore conclude that wherever in the
circle the inscribed angle is located, it is always true that its measure is one-half its
intercepted arc.
A
C
B
D●
O
a
x
17
Examples. Use the figure at the right.
1. Given: circle O. 80=∠BODm
Find: mBD, BADm∠
Solution:
Since 80=∠BODm , then
a. mBD = 80
b. BADm∠ = BD2
1
= )80(2
1
= 40
2. Given: circle O. 37=∠BADm
Find: mBD , BODm∠
Solution:
mBDBADm 2
1
37 ==∠
mBD = 2(37) = 74
mBDBODm =∠
74=∠BODm
Like in the study of central angles and its measure, discussing inscribed angles and
its measure also involves many theorems. Each previous theorem studied is always a tool
in proving the next theorem.
The following theorem is one of the most useful theorem in solving problems which
involve inscribed angles.
Theorem: Angle in a semicircle theorem.
An angle inscribed in a semicircle is a right angle.
Given: Circle O. BAC is a semicircle.
Prove: BAC∠ is a right angle. ( 90=∠BACm
O
A
B
D
O
●B
A
C
18
Proof:
Statements Reasons
1. Draw BC passing through center O.
2. ∠ ABC, ∠ ACB, and ∠ BAC are all inscribed
angles.
3. ACABCm 2
1
=∠ , ABACBm 2
1
=∠
4. mBAC = mAC + mAB
5. BAC is a semicircle
6. mBAC = 180
7. mAC + mAB = 180
8. ABACACBmABCm 2
1
2
1
+=∠+∠ = )(2
1
ABAC +
9. ACBmABCm ∠+∠ = 2
1
(180) = 90
10. ACBmABCm ∠+∠ + BACm∠ = 180
ACBmABCm ∠+∠ = 90
11. BACm∠ = 90
12. BAC∠ is right angle
1. Definition of diameter
2. Definition of inscribed angles
3. Inscribed Angle Theorem
4. Arc Addition Postulate
5. Given
6. The measure of a semicircle is 180
7. Transitive Property of Equality
8. Addition Property of Equality (Step 3)
9. Substitution (Steps 7 and 8)
10. The sum of the angles of a triangle
is 180.
11. Subtraction Property of Equality
(Step 10 – step 9)
12. Definition of a right angle
From this point onward, you can use this very important theorem in proving or in
exercises.
There are other theorems on inscribed angle that are also important as the previous
theorem. Of those theorems, we will prove two and the rest, you can answer as exercises.
Theorem:
Inscribed angles subtended by the same arc are congruent.
Given: Circle O. MN subtends both ∠ T and ∠ P
∠ T and ∠ P are inscribed angles
Prove: ∠ T ≅ ∠ P
Proof:
Statements Reasons
1. In circle O, MN subtends both ∠ T and
∠ P. ∠ T and ∠ P are inscribed angles.
2. mMNTm 2
1
=∠
mMNPm 2
1
=∠
3. PmTm ∠=∠
4. PT ∠≅∠
1. Given
2. Inscribed Angle Theorem
3. Transitive Property of Equality
4. Definition of congruent angles
● O
M
T
P N
19
The next theorem is about polygon inscribed in a circle.
Definition:
A polygon inscribed in a circle is polygon whose vertices lie on the circle.
Examples: The figures below show examples of inscribed polygon.
Inscribed triangle Inscribed Inscribed Inscribed
Quadrilateral Pentagon Hexagon
Theorem: Opposite angles of a inscribed quadrilateral are supplementary.
Given: Circle A. PRST is an inscribed quadrilateral.
Prove: ∠ P and ∠ S are supplementary
∠ R and ∠ T are supplementary
Proof:
Statements Reasons
1. Circle A. PRST is an inscribed quadrilateral.
2. ∠m P = ½ mRST
∠m S = ½ mRPT
∠m R = ½ mPTS
∠m T = ½ mPRS
3. ∠m P + ∠m S = ½ mRST + ½ mRPT
4. ∠m P + ∠m S = ½( mRST + mRPT)
5. mRST + mRPT = 360
6. ∠m P + ∠m S = ½(360)
7. ∠m P + ∠m S = 180
8. ∠ P and ∠ S are supplementary
9. ∠m R + ∠m S = ½ mPTS + ½ mPRS
10. ∠m R + ∠m S = ½ (mPTS + mPRS)
11. mPTS + mPRS = 360
12. ∠m R + ∠m S = ½(360)
13. ∠m R + ∠m S = 180
14. ∠ R and ∠ T are supplementary
1. Given
2. Inscribed angle theorem
3. Addition property of equality
4. Factoring
5. The arc of the whole circle is 360º
6. Substitution (Steps 4 and 5)
7. Algebraic process (step 6)
8. Definition of supplementary angles
9. Addition property of equality
10. Factoring
11. The arc of the whole circle is 360º
12. Substitution (Steps 4 and 5)
13. Algebraic process (step 6)
14. Definition of supplementary angles
A
●
R
S
P
T
●
● ● ●
20
Examples:
1. Given: XY is a diameter.
a. What kind of angle is ∠ Z?
b. If ∠m X = 35, what is ∠m Y?
c. If ∠m Y = 73, what is mXZ? What is mYZ?
Answers:
a. Since XY is a diameter, then XZY is
a semicircle and ∠ Z is inscribed in a semicircle.
Therefore, ∠ Z is a right angle.
b. m∠ X + m∠ Y = 90.
m∠ Y = 90 - m∠ X
m∠ Y = 90 – 35
m∠ Y = 65
c. ∠ Y intercepts XZ.
m XZ = 2(75) = 150
m YZ = 180 – 150
m YZ = 30
2. MNOP is inscribed in circle E. If m M∠ = 94,
what is m∠ O?
Answer:
∠ M and ∠ O are supplementary.
m∠ M +m∠ O = 180
m∠ O = 180 - m∠ M
= 180 – 94
= 86
3. Given: Circle O. AB is a diameter
∠m 1 = 36 and ∠m 3 = 61.
Find: ∠m 2, ∠m 4, ∠m CBD,
∠m ADB, ∠m ACB, mCBD,
∠m CAD, mAD
Solution:
∠m 1 = 36, mAC = 2(36) = 72
∠m 3 = 61, mBD = 2(61) = 122
∠m 2 = ½ AD
mAD = 180 – BD
= 180 – 122 = 58
∠m 2 = ½ (58)
= 29
M
N
P
O
●
E
C
BA
D
O
● 1
2
4
3
A
●X
Z
Y
21
∠m 4 = ½ CB
mCB = 180 – mAC
= 180 – 72
= 108
∠m 4 = ½ (108)
= 54
∠m CBD = ½(m AC + mAD)
= ½(72 + 58)
= ½(130)
= 65
∠m ADB = 90 (Angle in a semicircle)
∠m ACB = 90 (angle in a semicircle)
mCBD = mCB + mBD
= 108 + 122
= 230
∠m CAD = ½(mCBD)
= ½ (230)
= 115
Try this out
A. Given: AB is a diameter of circle O.
79=mAC .
Find:
1. ∠m AOC
2. ∠m ABC
3. ∠m COB
B. Given: Circle A., XY and BE are diameters
∠m XAE = 104.
Find:
4. m XE
5. m BX
6. ∠m E
7. ∠m B
8. ∠m BXY
9. ∠m YXE
A
C
O
B
B
X
A
E
Y
22
C. Using the given figure, find:
10. x
11. ∠m MNQ
12. ∠m MOQ
13. ∠m POQ
14. ∠m M
15. ∠m MON
D. BD is a diameter of circle A.
If m BC = 78, and m DE = 132,
find:
16. m CD 23 ∠m 6
17. m BE 24. ∠m 7
18. ∠m 1 25. ∠m 8
19. ∠m 2 26. ∠m 9
20. ∠m 3 27. ∠m 10
21. ∠m 4
22. ∠m 5
E. PRST is inscribed in circle A.
If ∠m T = (5x – 4)º and ∠m R = (4x + 13)º
find:
28. x
29. ∠m T
30. ∠m R
F. ∆XYZ is inscribed in the circle.
If XZXY ≅ , prove that ∠m X = b - a
QM
O
3x
N P
● D
C
A
B
E
3 4
1
2
9 10
5
6
3
8
7
P
T
S
RA
●
Y
X
Z
a b
●
23
Let’s Summarize
1. A circle is the set of all points that are at the same distance from a given point in the
plane.
2. Some of the lines associated with circle are the following:
a. Radius
b. Chord
c. Diameter
d. Secant
e. Tangent
3. If a radius is perpendicular to a chord, then it bisects the chord.
4. If a radius of a circle bisects a chord that is not a diameter, then it is perpendicular to
the chord.
5. Congruent circles are circles that have congruent radii. Concentric circles are circles
having the same center.
6. A circle is made up of arcs classified as minor arc, semicircle and major arc.
7. A central angle is an angle on the circle whose vertex is the center of the circle.
8. The measure of the central is numerically equal to its intercepted arc.
9. If two minor arcs of a circle or of congruent circle are congruent, then,
a. the corresponding central angles are congruent,
b. the corresponding subtended chords are congruent
10.An inscribed angle is an angle on the circle whose vertex is a point on the circle.
11.The measure of an inscribed angle is equal to one-half its intercepted arc.
12. An angle inscribed in a semicircle is a right angle.
13. Inscribed angle subtended by the same arc are congruent.
14.The opposite angles of an inscribed quadrilateral are supplementary.
24
What have you learned
Answer as indicated.
1. If the diameter of a circle is 15 cm, what is the length of the radius?
2. A line that intersects a circle at one point is called _________.
3. If a radius bisects a chord which is not a diameter, then its is _________ to the
chord.
4. CD is a diameter of circle A. CED is a ______________.
5. CE is a _____________.
6. CDE is a ______________
7. PTON ⊥ at E. If OE = 6 cm, and the radius
of the circle is 10 cm, what is the length of PT ?.
8. AC is a diameter of circle O. Using the given in the
given figure, find
a. ∠m A
b. ∠m C
c. m AB
d. m BC
9. PT is a diameter of circle Q. Find
a. ∠m PQR
b. ∠m RQT
10. ∆ABC is inscribed in circle O.
If the ratio of ∠m A: ∠m B: ∠m C =
2:3:5, Find
a. m BC
b. m AC
c. m AB
A
D
C
E
●
O
TP
N
E
A
BC
●A
RQ
P
T
2x
3x
A
C
B
● O
25
Answer Key
How much do you know
1. a. circle O
b. MN
c. MO , ON
d. MT , MR
e. MR
f. MS
2. bisects
3. minor arc
4. major arc
5. 4 cm
6. 5 cm
7. 93°
8. 46.5°
9. 98°, 49°
10. 77°
Try this out
Lesson 1
A. 1. circle O
2. AC , BD
3. ,AD BC
4. EC , BC
5. CF
B. 1. 12 cm 5. 119 cm
2. 2 6 cm 6. 35 cm
3. 171 cm 7. 5 cm
4. 43 cm 8. 29 cm
C. 1. 149 cm 5. 55 cm
2. 210 cm 6. 11 cm
3. 269 cm 7. 15 cm
4. 2 41 cm 8. 14 cm
26
D. 1. 114 cm 5. 76 cm
2. 312 cm 6. 22 cm
3. 58 cm 7. 20 cm
4. 192 cm 8. 16
Problem Solving:
1. ME = 52, PE = 52, MP = 104
2. maximum distance is 12 cm
minimum distance is 2 cm
Lesson 2
A. 1. 180º 3. 98º
2. 82º 4. 278º
5. 262º
B. 1. 73º 5. 73º
2. 73º 6. 107º
3. 107º 7. 253º
4. 107º
C. 1. 29º 5. 29º
2. 87º 6. 87º
3. 29º 7. 116º
4. 87º
D. 1. 56
2. 56
3. AB and CD
E. 1. Each arc measures 120
2. AC = 86º
3. ABC = 274º
F. PQ = 90
QR = 120
PR = 150
G. 1. 38º 5. 38º
2. 157º 6. 157º
3. 76º 7. 76º
4. 89º 8. 89º
27
H. 1. 35º 5. 110º
2. 35º 6. 110º
3. 35º 7. 17º
4. 110º
Lesson 3
A. 1. 79 3. 101
2. 39.5
B. 4. 104 7. 52
5. 76 8. 52
6. 38 9. 38
C. 10. 36 13. 108
11. 36 14. 36
12. 72 15. 108
D. 16. 102 22. 24
17. 48 23. 39
18. 51 24. 66
19. 66 25. 24
20. 39 26. 105
21. 51 27. 75
E. 28. 19
29. 91
30. 89
F. Proof:
1. ∠ X + ∠ Y + a = 180 1. Sum of the measures of the angles of a
triangle is 180.
2. b = m∠ X + m∠ Y 2. Exterior angle theorem
3. m∠ Y = a 3. Angles opposite equal sides in the same
triangle are congruent
4. b = m∠ X + a 4. Substitution
5. m∠ X = b – a 5. Subtraction Property of Equality
What have you learned
1. 7.5 cm 8. a. 22.5 10. a. 72
2. tangent b. 67.5 b. 108
3. perpendicular c. 135 c. 180
4. semicircle d. 45
5. minor arc 9. a. 72
6. major arc b. 108
7. 16 cm
Module 2
Circles
What this module is about
This module will discuss in detail the characteristics of tangent and secants; the
relationship between tangent and radius of the circle; and how secant and tangent in a
circle create other properties particularly on angles that they form. This module will also
show how the measures of the angles formed by tangents and secants can be determined
and other aspects on how to compute for the measures of the angles.
What you are expected to learn
This module is written for you to
1. Define and illustrate tangents and secants.
2. Show the relationship between a tangent and a radius of a circle.
3. Identify the angles formed by tangents and secants.
4. Determine the measures of angles formed by tangents and secants.
How much do you know
If CB and CD are tangents to circle A, then
1. CB ___ CD
2. ABCB ____
3. CB and CA are tangents to circle O.
If 160=∠BOAm , then =∠Cm _____.
4. If 22=∠BCOm , what is ACOm∠ ?
A
B
C
D
C
B
O
A
2
5. In the figure, if m PTA = 242, what is PALm∠ ?
6. Two secants GD and BL intersect at A.
If m BG = 83 and m LD = 39, find GABm∠ .
7. In the figure, if m MX = 54, and mAX = 120, what is Nm∠ ?
8. AC and AT are tangents to the circle
with C and T as the points of tangency.
If ACT∆ is an equilateral triangle,
find m CT.
9. AC and AT are secants. If 23=∠Am
and m CT = 66, find m BM.
A
T
BL
P
O
G
L
D
A
B
N
X
M
A
A
C
T
M
A
B
M
C
T
3
10. DB is a diameter of circle O. If the ratio
of DE:EB is 3:2, what is Xm∠ ?
What you will do
Lesson 1
Circles, Tangents, Secants and Angles They Form
A line on the same plane with a circle may or a)
may not intersect a circle. If ever a line intersects a
circle, it could be at one point or at two points.
The figures at the right showed these three instances.
Figure a showed a line that does not
intersect the circle.
b)
Figure b showed that line t intersects the
circle at only one point.
Figure c showed line l intersecting the
circle at two points A and C.
c)
We will focus our study on figures b and c.
In figure b, line t is called a tangent and point B
is called the point of tangency. Therefore a tangent is a
line that intersects a circle at only one point and the point
of intersection is called the point of tangency.
In figure c, line l intersects the circle at two points A and C. Hence, line l is called
a secant. Thus a secant is a line that intersects a circle at two points.
Some properties exist between tangent and circle and they will be discussed here in
detail. The first theorem is given below.
Theorem: Radius-Tangent Theorem. If a line is tangent to a circle, then it is perpendicular
to the radius at the point of tangency.
t B
A
C
l
X
E
D
O
B
4
Given: line t is tangent to circle O at A.
OA is a radius of the circle.
Prove: t ⊥ OA
Proof:
Statements Reasons
1. Let B be another point on line t.
2. B is on the exterior of circle O
3. OA < OB
4. ⊥OA t
1. The Line Postulate
2. Definition of a tangent line ( A tangent
can intersect a circle at only one point .
3. The radius is the shortest segment
from the center to the circle and B is on
the exterior of the circle.
4. The shortest distance from a point to a
line is the perpendicular segment.
Example:
In the figure, if AC is tangent to
circle B, then
BDAC ⊥ at D.
The converse of the theorem is also true.
Converse: The line drawn perpendicular to the radius of a circle at its end on the circle is
tangent to the circle.
Illustration:
If BDAC ⊥ at D, then
AC is tangent to circle B.
Examples:
GY is tangent to circle A.
1. What kind of triangle is ∆ AGY? Give reason.
2. If 79=∠Am , what is Ym∠ ?
Solutions:
1. ∆AGY is a right triangle because GY is tangent to circle A and tangent line is
perpendicular to the radius of the circle. Perpendicular lines make right angles between
them thus AGY∠ is a right angle making ∆AGY a right triangle.
O
A B
t
B
DC A
B
DC A
A
Y
G
5
2. Since ∆AGY is a right triangle, then
∠m A + ∠m Y = 90
79 + ∠m Y = 90
∠m Y = 90 – 79
= 11
A circle is composed of infinite number of points, thus it can also have an infinite
number of tangents. Tangents of the same circle can intersect each other only outside the
circle.
At this point, we will discuss the relationship of tangents that intersect the same
circle. As such, those tangents may or may not intersect each other. Our focus here are
those tangents that intersect each other outside the circle.
Consider the given figure:
AM and AY are tangent segments
from a common external point A. What
relationship exists between AM and AY ?
The next theorem will tell us about this
relationship and other properties related to
tangent segments from a common external point.
Theorem: If two tangent segments are drawn to a circle from an external point then
a. the two tangent segments are congruent and
b. the angle between the segments and the line joining the external point and the
center of the circle are congruent.
Given: Circle A. BC and BD are two tangent segments
from a common external point B. C and D are
the points of tangency.
Prove: a. BDBC ≅
b. DBACBA ∠≅∠
Proof:
Statements Reasons
1. Draw AC , AD , AB
2. BC and BD are two tangent
segments from a common external
point B.
3. BCAC ⊥ , BDAD ⊥
4. ACB∠ and ADB∠ are right angles
1. Line determination Postulate
2. Given
3. A line tangent to a circle is perpendicular
to the radius at the point of tangency
4. Definition of right angles
O •
A
M
Y
A
C
D
B
6
5. ∆ACB and ∆ADB are right triangles
6. ADAC ≅
7. BDBC ≅
8. ∆ACB ≅ ∆ADB
9. BDBC ≅
10. DBACBA ∠≅∠
5. Definition of right triangles
6. Radii of the same circle are congruent
7. Reflexive property of Congruency
8. Hy L Congruency Postulate
9. Corresponding parts of congruent triangles
10. are congruent.
Examples:
a) In the figure, CB and CD are tangents
to circle A at B and D.
1. If CB = 10 what is CD?
2. If 49=∠BACm , what is BCAm∠ ?
3. ,73=∠BCDm what is DCAmBCAm ∠∠ ?
Solution:
1. Since CB and CD are tangents to the same circle from the same external point,
then CB ≅ CD , and therefore, CB = CD. Thus if CB = 10 then CD = 10
2. 90=∠+∠ BCAmBACm
49 + 90=∠BCAm
4990 −=∠BCAm
= 41
3. )(2
1
BCDmBCAm ∠=∠
= )73(2
1
= 36.5
DCABCA ∠≅∠
5.36=∠=∠ DCAmBCAm
b) PQ, QR and PR are tangents to circle A
at S, M and T respectively. If PS = 7,
QM = 9 and RT = 5, what is the perimeter
of ∆PQR?
Solution:
Using the figure and the given information, It is
therefore clear that PS = PT, QS = QM and
RM = RT.
PQ = PS + SQ
QR = QM + MR
PR = PT + RT
C
B
D
A
P
Q
R
S
T
M
A
7
Perimeter of ∆PQR = PQ + QR + PR
= (PS + SQ) + (QM + MR) + (PT + RT)
= (PS + QM) + (QM + RT) + (PS + RT)
= 2PS + 2QM + 2RT
= 2(PS + QM + RT)
= 2( 7 + 9 + 5)
= 2 (21)
= 42
Every time tangents and secants of circles are being studies, they always come with
the study of angles formed between them. Coupled with recognizing the angles formed is
the knowledge of how to get their measures. The next section will be devoted to studying
angles formed by secants and tangents and how we can get their measures.
Angles formed by secants and tangents are classified into five categories. Each
category is provided with illustration.
1. Angle formed by secant and tangent intersecting
on the circle. In the figure, two angles of this type
are formed, FED∠ and FEB∠ . Each of these angles
intercepts an arc. FED∠ intercepts EF and FEB∠
intercepts EGF.
2. Angle formed by two tangents. In the figure, E∠ is
formed by two tangents. The angle intercepts the
whole circle divided into 2 arcs, minor arc FD , and
major arc FGD.
3. Angle formed by a secant and a tangent that
intersect at the exterior of the circle. C∠ is an
angle formed by a secant and a tangent that
intersect outside the circle. C∠ intercepts two
arcs, DB and AD.
4. Angle formed by two secants that intersect in the
interior of the circle. The figure shows four angles
formed. ,MAN∠ ,NAR∠ PAR∠ and PAM∠ . Each
of these angle intercepts an arc. ,MAN∠ intercepts
MN, ,NAR∠ intercepts NR, PAR∠ intercepts PR
and MAP∠ intercepts MP.
E
F
B D
G
F
E
D
G
C
D
A
B
M
N
A
RP
8
5. Angle formed by two secants intersecting
outside the circle. E∠ is an angle formed
by two secants intersecting outside the
circle. E∠ intercepts two arcs namely
QR and PR
How do we get the measures of angles illustrated in the previous page? To
understand the answers to this question, we will work on each theorem proving how to get
the measures of each type of angle. It is therefore understood that the previous theorem
can be used in the proof of the preceding theorem.
Theorem: The measure of an angle formed by a secant and a tangent that intersect on the
circle is one-half its intercepted arc.
Given: Circle O. Secant m and tangent t intersect
at E on circle O.
Prove: CECEBm 2
1
=∠
Proof:
Statements Reasons
1. Draw diameter ED. Join DC.
2. tDE ⊥
3. DCE∠ is a right angle
4. DEB∠ is a right angle
5. ∆DCE is a right triangle
6. 1∠m + 902 =∠m
7. =∠+∠ BECmm 1 DEBm∠
8. =∠+∠ BECmm 1 90
9. 21 ∠+∠ mm = BECmm ∠+∠1
10. 1∠m = 1∠m
11. 2∠m = BECm∠
12. 2∠m = 2
1
mCE
13. BECm∠ = 2
1
mCE
1. Line determination Postulate
2. Radius-tangent theorem
3. Angle inscribed in a semicircle is a right
angle.
4. Perpendicular lines form right angles
5. Definition of right triangle
6. Acute angles of a right triangle are
complementary
7. Angle addition Postulate
8. Definition of complementary angles
9. Transitive Property of Equality
10. Reflexive Property of Equality
11. Subtraction Property of Equality
12. Inscribed angle Theorem
13. Substitution
Illustration:
In the given figure, if mCE = 104, what is the m∠ BEC? What is m CEF∠ ?
Q
P
S
R
E
BE
C
D
F
O
t
9
Solution:
BECm∠ = 2
1
mCE
BECm∠ = 2
1
(104)
= 52
m CEF∠ = ½ (mCDE)
m CEF∠ = ½ (360 – 104)
= ½ (256)
= 128
Let’s go to the next theorem.
Theorem: The measure of an angle formed by two tangents from a common external point
is equal to one-half the difference of the major arc minus the minor arc.
Given: Circle O. AB and AC are tangents
Prove: )(2
1
BCBXCAm −=∠
Proof:
Statements Reasons
1. Draw chord BC
2. In ∆ABC, 1∠ is an exterior angle
3. 1∠m = 2∠m + Am∠
4. Am∠ = 1∠m - 2∠m
5. 1∠m = ½ mBXC
2∠m = ½ mBC
6. Am∠ = ½ mBXC - ½ mBC
7. Am∠ = ½( mBXC – m BC)
1. Line determination Postulate
2. Definition of exterior angle
3. Exterior angle theorem
4. Subtraction Property of Equality
5. Measure of angle formed by secant and
tangent intersecting on the circle is one-half
the intercepted arc.
6. Substitution
7. Algebraic solution (Common monomial
Factor)
Illustration:
Find the Am∠ if mBC = 162.
Solution:
Since Am∠ = ½( mBXC –m BC) then we have to find first the measure of
major arc BXC. To find it, use the whole circle which is 360o
.
A
B
C
1
2
X
O
10
mBXC = 360 – mBC
= 360 – 162
= 198
Then we use the theorem to find the measure of A∠
Am∠ = ½( mBXC –m BC)
= ½ (198 – 162)
= ½ (36)
Am∠ = 18
We are now into the third type of angle. Angle formed by secant and tangent
intersecting on the exterior of the circle.
Theorem: The measure of an angle formed by a secant and tangent intersecting on the
exterior of the circle is equal to one-half the difference of their intercepted arcs.
Given: BA is a tangent of circle O
BD is a secant of circle O
BA and BD intersect at B
Prove: )(2
1
ACADBm −=∠
Proof:
Statements Reasons
1. BA is a tangent of circle O, BD is a
secant of circle O
2. Draw AD
3. 1∠ is an exterior angle of ∆ DAB
4. ADBmBmm ∠+∠=∠1
5. ADBmmBm ∠−∠=∠ 1
6. =∠1m ½m AD
7. ADBm∠ = ½ mAC
8. Bm∠ = ½ mAD – ½ mAC
9. Bm∠ = ½ (mAD– mAC)
1. Given
2. Line determination Postulate
3. Definition of exterior angle
4. Exterior angle Theorem
5. Subtraction Property of Equality
6. The measure of an angle formed by
secant and tangent intersecting on the circle
equals one-half its intercepted arc.
7. Inscribed angle Theorem
8. Substitution
9. Simplifying expression
Illustration:
In the figure if mAD = 150, and mAC = 73, what is the measure of B∠ ?
A
B
C
O
D
1
11
Solution:
Bm∠ = ½ (mAD– mAC)
= ½ (150 – 73)
= ½ (77)
Bm∠ = 38.5
The next theorem will tell us how angles whose vertex is in the interior of a circle can
be derived. Furthermore, this will employ the previous knowledge of vertical angles whether
on a circle or just on a plane.
Theorem: The measure of an angle formed by secants intersecting inside the circle equals
one-half the sum of the measures of the arc intercepted by the angle and its vertical angle
pair.
Given: AC and BD are secants intersecting inside
circle O forming 1∠ with vertical angle pair
.CED∠ (We will just work on one pair of
vertical angles.)
Prove: )(1 AEBmm ∠∠ = ½ (AB + DC)
Proof:
Statements Reasons
1. AC and BD are secants intersecting
inside circle O.
2. Draw AD
3. 1∠ is an exterior angle of ∆AED
4. 1∠m = DACm∠ + ADEm∠
5. DACm∠ = ½ mDC
ADEm∠ = ½ mAB
6. 1∠m = ½ mDC + ½ mAB
1∠m = ½ (mDC + mAB)
1. Given
2. Line determination Postulate
3. Definition of exterior angle
4. Exterior angle Theorem
5. Inscribed Angle Theorem
6. Substitution
Illustration:
Using the figure, find the measure of 1∠ if mAB = 73 and mCD = 90.
Solution:
Using the formula in the theorem,
1∠m = ½ (mDC + mAB)
= ½ ( 90 + 73)
= ½ (163)
= 81.5
E
A
B
C
O
D
1
E
12
Let us discuss how to find the measure of the angle formed by two secants
intersecting outside the circle.
Theorem: The measure of the angle formed by two secants intersecting outside the circle is
equal to one-half the difference of the two intercepted arcs.
Given: AB and CD are two secants
intersecting outside of circle O
forming BEC∠ outside the circle.
Prove: BECm∠ = ½ (AD – BC)
Proof:
Statements Reasons
1. AB and CD are secants of circle O
forming BEC∠ outside the circle.
2. Draw DB
3. 1∠ is an exterior angle of ∆ DBE
4. 1∠m = 2∠m + BECm∠
5. BECm∠ = 1∠m - 2∠m
6. 1∠m = ½ mAD
2∠m = ½ mBC
7. BECm∠ = ½ mAD – ½ mBC
BECm∠ = ½ (mAD – mBC)
1. Given
2. Line determination Postulate
3. Definition of exterior angle of a triangle
4. Exterior angle Theorem
5. Subtraction Property of Equality
6. Inscribed Angle Theorem
7. Substitution
Illustration:
Find the measure of ∠ E if mAD = 150 and mBC = 80.
Solution:
Again we apply the theorem using the formula:
BECm∠ = ½ (mAD – mBC)
= ½ (150 – 80
= ½ ( 70)
= 35
B
E
D
C
A
1
2
13
Example 1.
In each of the given figure, find the measure of the unknown angle (x).
1. 2.
3. 4.
5.
Solutions:
1. Given: AB = 1500
Find: xm∠
x∠ is an angle formed by a secant and a tangent whose vertex is on the circle. x∠
intercepts AB.
xm∠ = ½ AB
xm∠ = ½ (150)
xm∠ = 75
A
B
x
1500
M
PN
O
1570
x
O
x
A
M
Y
P
●
780
x
F
D
E
G
H
670
400
R
P
Q
T
S
1060
380
14
2. Given: m MP = 157
Find: xm∠
x∠ is an angle formed by two tangents from a common external point. x∠ intercepts
minor arc MP and major arc MNP
xm∠ = ½ ( MNP – MP)
m MNP + mMP = 360
mMNP = 360 – m MP
= 360 – 157
mMNP = 203
xm∠ = ½ (203 – 157)
= ½ (46)
= 23
3. Given: m AP = 78
AY is a diameter
Find: xm∠
Since AY is a diameter, then AY is a semicircle and m AY = 180. Therefore
a. m AP + m PY = 180
m PY = 180 – m AP
m PY = 180 – 78
m PY = 102
b. xm∠ = ½ ( mPY – mAP)
= ½ ( 102 – 78)
= ½ (24)
= 12
4. Given: mFD = 67, m GE = 40
Find: xm∠
x∠ is an angle formed by secants that intersect inside the circle, Hence
xm∠ = ½ (mFD + mGE)
= ½ (67 + 40)
= ½ (107)
= 53.5
15
5. Given: mSR = 38, mPQ = 106
Find: xm∠
x∠ is an angle formed by two secants whose vertex is outside the circle. Thus
xm∠ = ½ (mPQ – mSR)
= ½ (106 – 38)
= ½ (68)
= 34
Example 2:
Find the unknown marked angles or arcs (x and y) in each figure:
1. 2.
3. 4.
5. 6.
M D
B CA
xy
●
QP
R
N
2450
y
y
x
R S
U
T
580320 x220y
P
Q
S
R
300
A
B C
D
E
x
350
E
F
D
G
H
270
370
x
16
Solutions:
1. Given : mBMD = 210
Find: xm∠ , ym∠
mBMD + mBD = 360 (since the two arcs make the whole circle)
mBD = 360 – mBMD
= 360 – 210
= 150
a. xm∠ = ½ mBD
= ½ (150)
= 75
b. ym∠ = ½ m BMD
= ½ (210)
= 105
2. Given: mPNR = 245
Find: xm∠ , ym∠
mPNR + mPR = 360 (since the two arcs make a whole circle)
mPR = 360 – mPNR
= 360 – 245
= 115
But xm∠ = mPR (Central angle equals numerically its intercepted arc)
xm∠ = 115
ym∠ = ½ (mPNR – mPR)
= ½ (245 – 115)
= ½ (130)
= 65
3. Given: mRU = 32, mST = 58
Find: xm∠ , ym∠
xm∠ = ½ (mRU + mST)
= ½ (32 + 58)
= ½ (90)
= 45
17
xm∠ + ym∠ = 180 Linear Pair Postulate
ym∠ = 180 - xm∠
ym∠ = 180 – 45
= 135
4. Given: mQR = 30, 1∠m = 22 To check;
Find : xm∠ , y 1∠m = ½ (mPS + mQR)
First, find y by using m 1∠ = ½ (14 + 30 )
1∠m = ½ ( y + 30) = ½ ( 44)
22 = ½ (y + 30) = 22
2(22) = y + 30
44 = y + 30
y = 44 – 30
y = 14
5. Given: Am∠ = 35, mCD = 110
Find: x To check:
Am∠ = ½ (110 – x) Am∠ = ½ (110 – x)
35 =
2
110 x−
Am∠ = ½ (110 – 40)
2(35) = 110 – x Am∠ = ½ (70)
70 = 110 – x Am∠ = 35
x = 110 – 70
x = 40
6. Given: Em∠ = 27, mDH = 37
Find: x To check:
Em∠ = ½ (x – 37) Em∠ = ½ (x – 37)
27 =
2
37−x
Em∠ = ½ (91 – 37)
54 = x – 37 Em∠ = ½(54)
x = 54 + 37 Em∠ = 27
x = 91
18
Try this out.
1. BC is tangent to circle O at A. mDE = 68
mAF = 91. Find
a. mEA
b. mDF
c. m∠ BAE
d. m∠ EAD
e. m DAF∠
f. FACm∠
2. ∆DEF is isosceles with DFDE ≅ .
∠m 1 = 82. Find
a. ∠m D
b. mDE
c. mEF
d. ∠m 2
e. ∠m 3
3. If x = 18 and y = 23,
find 1∠m .
4. If mDE = 108 and m DOC∠ = 85, find:
a. mEA
b. ∠m EAF
c. ∠m DAC
d. ∠m CAB
e. ∠m 1
5. Using the given figure, find x and y.
O
F
H
E
G
2
3
D
1
B
C
A
1
y
x
D
D
E
O C
AF B
1
x
1100
600
y
D A
E
F
●
B
C
680
910
O
19
6. EC is tangent to circle O. AB is a diameter.
If mDB = 47, find mAD, m ECD∠
7. A polygon is said to be circumscribed about a
circle if its sides are tangent to the circle.
∆PRT is circumscribed about circle O.
If PT = 10, PR = 13 and RT = 9, find
AP, TC and RB.
8. PT is tangent to circle O at P.
If mNP = 90, and mMXP = 186, find
a. ∠m 1
b. ∠m 2
c. ∠m 3
d. ∠m 4
e. ∠m 5
f. ∠m 6
9. O is the center of the given circle.
If mBD = 122 find
a. ∠m 1 d. ∠m 4
b. ∠m 2 e. ∠m 5
c. ∠m 3 f. ∠m 6
A
D
C
B
O
E
P
T
A
B
C
R
O
4
3
1
M
TP
N
X 2
5
6
3
E
D
F
O
A B C
5
1
4
6
2
20
Let’s Summarize
1. A tangent is a line that intersect a circle at only one point.
2. A. secant is a line that intersect a circle at two points.
3. If a line is tangent to a circle, it is perpendicular to a radius at the point of tangency.
4. If two tangents are drawn from an exterior point to a circle then
a) the two tangent segments are congruent
b) the angle between the segment and the line joining the external point and the
center of the circle are congruent.
5. The measure of an angle formed by a secant and a tangent intersecting on the circle
is equal to one half the measure of the intercepted arc.
6. The measure of an angle formed by two tangents from a common external point is
equal to one-half the difference of the measures of the intercepted arcs.
7. The measure of an angle formed by secant and tangent intersecting outside the
circle is equal to one-half the difference of the measures of the intercepted arcs.
8. The measure of an angle formed by two secants intersecting inside the circle is equal
to one-half the sum of the measure of the intercepted arc of the angle and its
vertical angle pair.
9. The measure of an angle formed by two secants intersecting outside the circle is
equal to one-half the difference of the measures of the intercepted arcs.
21
What have you learned
1. QP is tangent to circle O at P. If POQm∠ = 73,
what is Qm∠ ?
2. DE , EF and DF are tangents to circle M.
If DB =- 5, EC = 7 and AF = 4, what is the
perimeter of ∆DEF?
3. PS AND PQ are secant and tangent of
circle A. If mRQ = 52, what is Pm∠ ?
4. Given circle E with secants AB and CD .
If mBD = 53 and mBC = 117, find
BEDm∠ .
5. XY is tangent to circle at A . If mAB = 105, and
AB ≅ BP, find BAPm∠ and
6. PAYm∠
O
Q
P
E
D
F
B
A
C
A
S
Q
P
R
EA
D
B
C
P
B
AX Y
22
7. Given circle A with secants OQ and OP .
If mRS = 32 and mQR = 2mRS, find
Om∠ ?
8. AB ║ DE . BE is tangent to the circle
at B and intersects DE at E.
If mAB = 110 and mAD = 70, then
ABFm∠ = ___________.
9. BECm∠ = __________.
10. Using the same figure, if Em∠ = 42, mBC = 60, find mAB.
A
O
SP
R
Q
A
F
B
E
CD
23
Answer Key
How much do you know
1. ≅ or congruent
2. ⊥ or perpendicular
3. 40
4. 22
5. 59
6. 61
7. 33
8. 120
9. 20
10. 18
Try this out
Lesson 1
1. a. 112
b. 89
c. 56
d. 34
e. 44.5
f. 45.5
2. a. 16
b. 164
c. 32
d. 82
e. 16
3. 41
4. a. 72
b. 36
c. 42.5
d. 47.5
e. 54
24
5. x = 70
y = 50
6. mAD = 133
m ECD∠ = 43
7. AP = 7
TC = 3
RB = 6
8. a. 45
b. 45
c. 42
d. 93
e. 57
f. 48
9. a. 122
b. 61
c. 29
d. 29
e. 29
f. 45
What have you learned
1. 17
2. 32
3. 38
4. 58
5. 52.5
6. 75
7. 26
8. 55
9. 55
10.84
Module 1
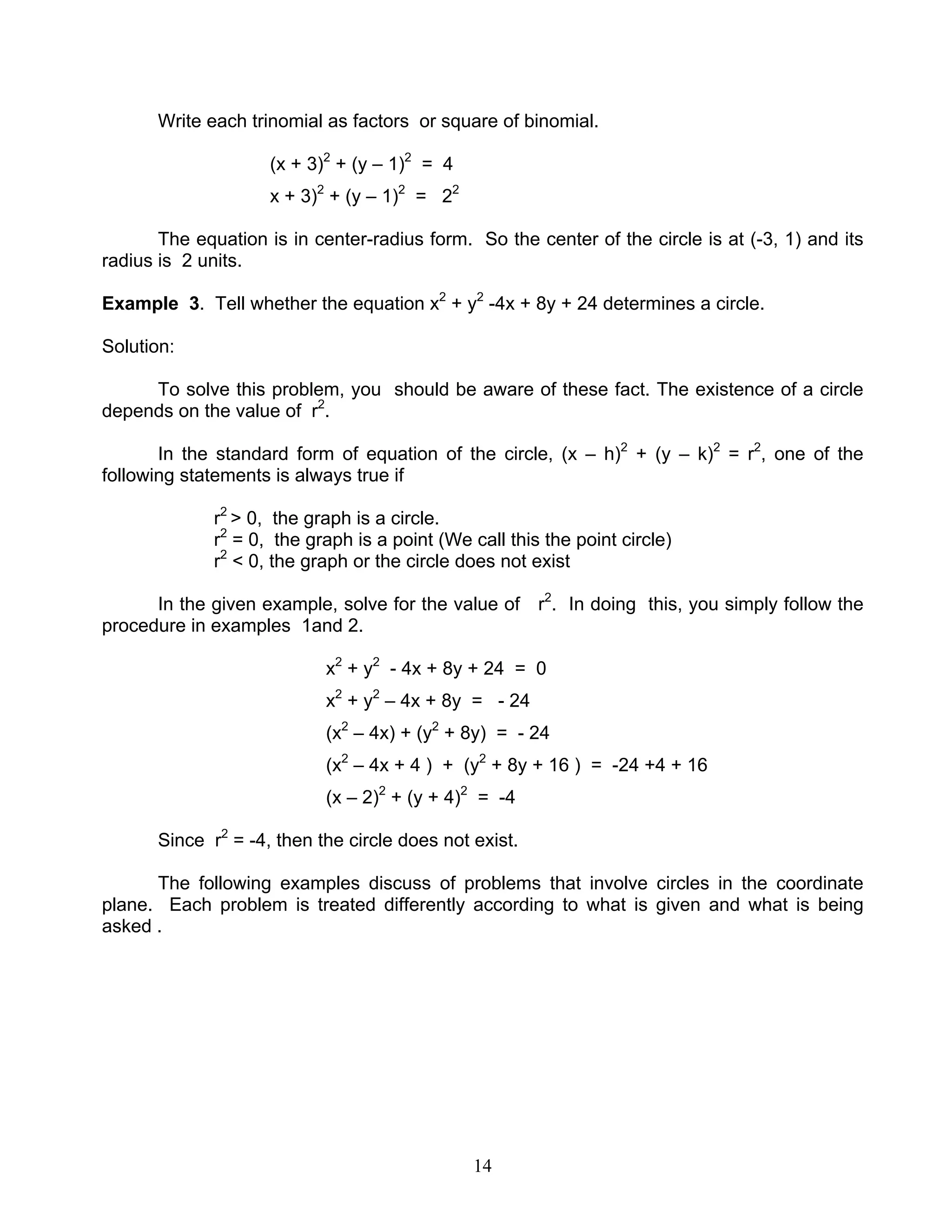
Properties of Quadrilaterals
What this module is about
This module is about the properties of trapezoids and parallelograms. In
this module, you will learn to compute problems involving the median of a
trapezoid, the base angles and diagonals of an isosceles trapezoid, as well as
problems involving the diagonals, angles and sides of parallelograms
What you are expected to learn
This module is designed for you to
1. apply inductive/deductive skills to derive certain properties of a
trapezoid.
• median of a trapezoid
• base angles of an isosceles trapezoid
• diagonals of an isosceles trapezoid
2. apply inductive and deductive skills to derive the properties of a
parallelogram
• each diagonal divides a parallelogram into two congruent
triangles
• opposite angles are congruent
• non-opposite angles are supplementary
• opposite sides are congruent
• diagonals bisect each other.
How much do you know
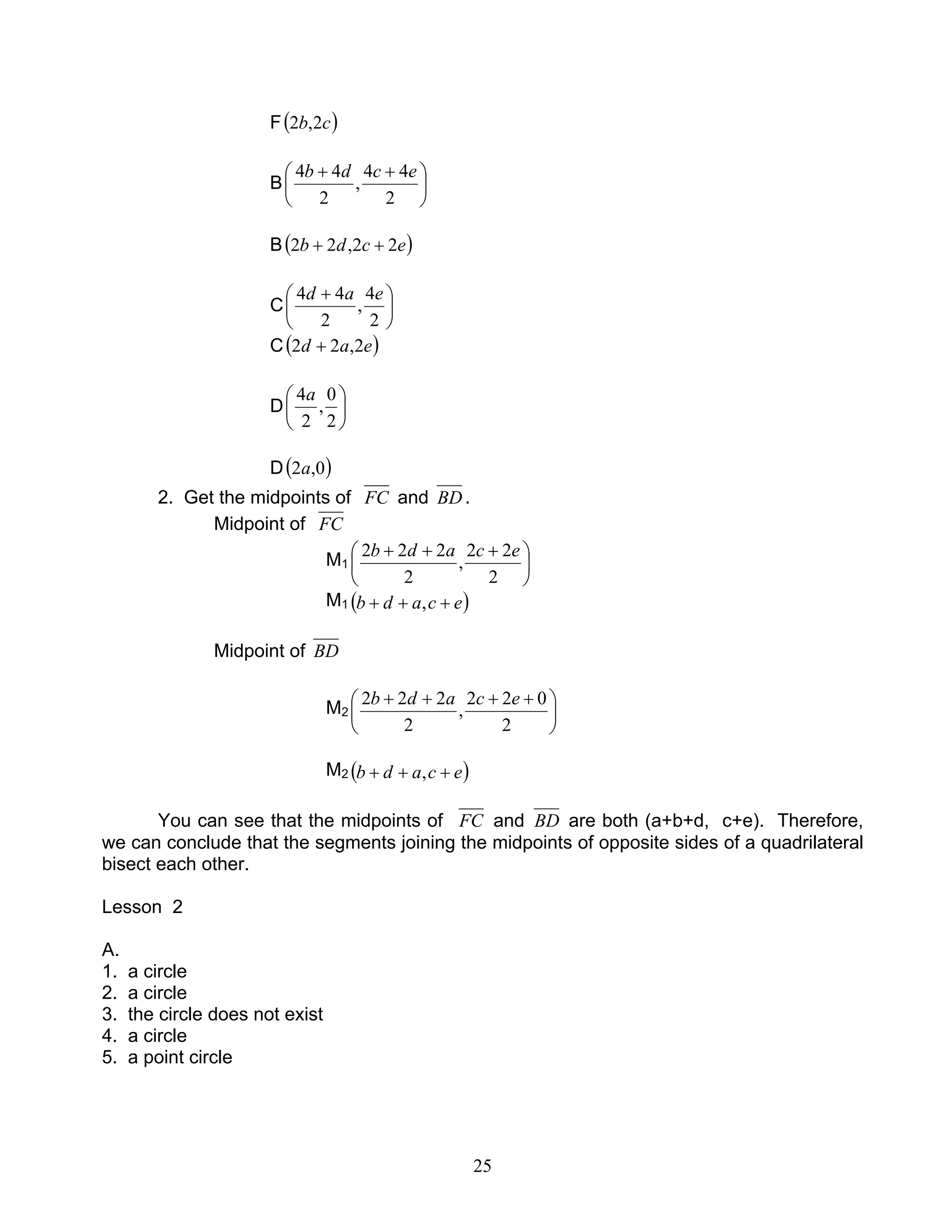
True or False
1. The median of a trapezoid is twice the sum of the lengths of its bases.
2. The base angles of an isosceles trapezoid are congruent.
3. The diagonals of any trapezoid are congruent.
4. Non-opposite angles of a parallelogram are complementary.
2
ABCD is a trapezoid with median EF.
D 10 C
13
16
A B
5. If DC = 12 cm and AB = 23 cm, what is EF?
6. If EF = 2x + 3, DC = x + 5 and AB = 2(x + 3), what is AB?
Quadrilateral BEST is a parallelogram.
2x + 3
T S
3(x – 1)
B E
7. If BE = 3(x – 1) and TS = 2x + 3, what is BE + TS?
Quadrilateral ABCD is a rhombus.
D C
4x + 10
5x
A B
8. If m ∠A = 5x and m∠C = 4x + 10, what is m∠ADC in degrees?
Quadrilateral ABCD is a parallelogram. Diagonals DB and AC intersect at E.
D C
E
A B
3
9. Find AC if AE = x + 2 and CE = 3x - 6
Quadrilateral TEAM is a parallelogram.
M A
x 3x + 20
T E
10.If m∠T = x and m∠E = 3x + 20 . find m∠A?
What you will do
Lesson 1
The Median of a Trapezoid
A trapezoid is a quadrilateral with exactly one pair of parallel sides. The
median of a trapezoid is the segment joining the midpoints of the non-parallel
sides. In the trapezoid ABCD below, EF is the median. It joins the midpoints E
and F of side AD and BC respectively.
D C
E F
A B
Illustration
If the length of the upper base of a trapezoid is 4 cm, and the lower base is
6 cm, what do you think is the length of the median?
Do the following:
1. Using a ruler draw a segment 4 cm long. Name the segment HT.
2. Draw another segment 6 cm long parallel to segment HT. Name the
segment MA.
4
3. Connect points H and M.
4. Connect points T and A.
5. Using a ruler, carefully determine the midpoints of HM and TA. Name the
midpoints of HM and TA, G and E respectively.
6. Connect points G and E. Carefully measure the length of GE.
What did you discover? Did you discover the following?
1. GE is parallel to HT and MA.
2. GE =
2
1
(HT + MA)
Example 1
ABCD is a trapezoid with median EF. If DC = 8 cm and AB = 14 cm, find EF.
D 8 C
E F
14
A B
Solution:
Step 1. Write the formula.
EF =
2
1
(AB + DC)
Step 2. Substitute the values of DC and AB into the formula. Solve for EF.
EF =
2
1
(14 + 8)
EF =
2
1
(22)
EF = 11
Therefore EF is 11 cm.
5
Example 2
EFGH is a trapezoid with median IJ. If HG = 12 cm and IJ =15 cm, what is
EF?
H 12 cm G
I 15 cm J
E F
Step 1. Write the formula.
IJ =
2
1
(EF + HG)
Step 2. Substitute the values of HG and IJ into the formula. Solve for EF.
15 =
2
1
(EF + 12)
15 = EF + 12
2
EF + 12 = 15(2)
EF = 30 – 12
EF = 18
Therefore EF is 18 cm.
Example 3
ABCD is a trapezoid with median EF. If DC = x + 5, EF = 2x + 1 and
AB =4x – 10, find EF.
D x + 5 C
E 2x + 1 F
A 4x – 10 B
6
Solution:
Step 1. Write the formula.
EF =
2
1
(AB + DC)
Step 2. Substitute the values of EF, AB and DC into the formula. Solve for x.
2x + 1 =
2
1
(4x – 10 + x + 5)
2x + 1 =
2
1
( 5x –5)
2(2x +1) = 5x – 5
4x + 2 = 5x – 5
4x – 5x = -5 – 2
- x = -7
x = 7
Step 3. Substitute 7 for x. Solve for EF
EF = 2x + 1
= 2(7) + 1
= 14 + 1
= 15
Therefore EF = 15 cm.
Try this out
Set A
ABCD is a trapezoid with median EF.
D C
E F
A B
1. If DC = 4 and AB = 10, what is EF?
2. If DC = 7 and AB = 12, what is EF?
3. If AB = 14.5 and DC = 8.5, what is EF?
4. If AB = 10.5 and DC = 6.5, what is EF?
5. IF DC = 10 and EF = 12, what is AB?
6. If DC = 14 and EF = 16, what is AB?
7. If AB = 14.6 and EF = 10.4, what is DC?
7
8. IF AB = 22.8 and EF = 16.2, what is DC?
9. If DE = 14 what is AE?
10.If BF = 24, what is CF?
Set B
EFGH is a trapezoid with median IJ.
H G
I J
E F
1. If IJ = x, HG = 8 and EF = 12, what is x?
2. If IJ = y, HG = 14, and EF = 20, what is Y?
3. If IJ = x + 2, HG = 10 and EF = 14, what is x?
4. If IJ = y + 3, HG = 14 and EF = 18, what is y?
5. If HG = x , IJ = 16, and EF = 22, what is x?
6. If HG = Y, IJ = 24 and EF = 30, what is y?
7. If HG = x – 1, IJ = 21 and EF = 34, what is x?
8. If HG = y – 2, IJ = 20 and EF = 31, what is y?
9. If HI = x + 4 and IE = 6, what is x?
10.If GJ = 10 and FJ = x –4, what is x?
Set C
KLMN is a trapezoid with median OP.
N M
O P
K L
1. If OP = 20, NM = x + 3 and KL = x + 6, what is x?
2. If NM = x – 2, KL = x + 4 and OP = 24, what is x?
3. If OP = 22, NM = x + 4, and KL = x + 8, what is NM?
4. If OP = 24, NM = x – 3 and KL = x + 7, what is KL?
5. If NM = 12, OP = x +3, and KL = x + 10, what is x?
6. If NM = 18, OP = x – 2 and KL = x + 3, what is x?
7. If KL = 30, OP = x + 1 and NM = x – 6, what is OP?
8
D C
B
8. If KL = 34, OP = x - 1, and NM = x – 7, what is NM?
9. If NM = 2x, OP = 3x, and KL = 2(x+5), what is OP?
10.If NM = 2x + 2. OP = 3x + 3 and KL = 2(x + 6), what is NM?
Lesson 2
Isosceles Trapezoid
An isosceles trapezoid is a trapezoid with congruent non-parallel sides.
Trapezoid DAVE below is an isosceles trapezoid. The nonparallel sides ED and
VA are congruent.
E V
D A
Do the following:
1. Using a ruler, draw isosceles trapezoid ABCD with base angles, ∠A and
∠B, on a graphing paper.
A
2. Using a protractor, find the measures of ∠A and ∠B. What do you notice?
3. Using the same protractor find the measures of ∠ D and ∠ C. What do
you notice?
4. Draw the diagonals AC and BD. Using a ruler, find their lengths. Are the
lengths equal?
9
Perhaps you discovered the following properties of an isosceles trapezoid.
1. The base angles of an isosceles trapezoid are congruent.
2. The diagonals of an isosceles trapezoid are congruent.
If you know the properties of an isosceles trapezoid, you will find
the next set of exercises easy to solve.
Example 1
In isosceles trapezoid ABCD, with base angles, ∠ A and ∠ B. If m∠B = 40,
what is m∠A?
D C
A B
Solution:
Step 1. Base angles of an isosceles trapezoid are congruent.
∠ A ≅∠ B
m∠ A = m∠ B (The measures of congruent angles are equal)
Step 2. Substitute 40 for m∠B
m∠A = 40
Example 2
In isosceles trapezoid ABCD with ∠ A and ∠ B as base angles. If m∠A =
x + 20 and m∠B = 2x. Find m∠A.
D C
A B
Solution:
Step 1. Base angles of an isosceles trapezoid are congruent.
∠ A ≅ ∠ B
m∠ A = m∠ B (the measures two angles congruent are equal)
10
Step 2. Substitute x + 20 for m∠ A and 2x for m∠ B.
x+ 20 = 2x
x – 2x = -20
x = 20
Step 3. Substitute 20 for x in m∠ A = x + 20. Then solve for m∠ A.
m∠ A = x + 20
= 20 + 20
= 40
Example 3
In isosceles trapezoid ABCD, AD = 10. What is BC?
D C
A B
Solution:
Step 1. Non-parallel sides of an isosceles trapezoid are congruent.
BC ≅ AD
BC = AD (Congruent segments have equal lengths)
Step 2. Replace BC with 10
BC = 10
Example 4.
In isosceles trapezoid ABCD, AC = 4x + 4 and BD = 2x + 10. What is x?
D C
A B
11
Solution:
Step 1 The diagonals of an isosceles trapezoid are congruent.
AC ≅ BD
AC = BD ( Congruent segments have equal lengths)
Step 2. Substitute 4x + 4 for AC and 2x + 10 for BD.
4x + 4 = 2x + 10
4x – 2x = 10 – 4
2x = 6
x = 3
Try this out
Set A
PQRS is an isosceles trapezoid
S R
P Q
1. Name the two pairs of base angles.
2. Name the nonparallel sides.
3. Name the parallel sides.
4. If m∠A = 30, what is the m∠B?
5. If m∠B = 60, what is m∠A?
6. If m∠C = 110, what is m∠D?
7. If m ∠D = 105, what is m∠C?
8. If m∠A = 35, what is m∠D?
9. If m∠C = 120, what is m∠B?
10.If m∠A = 35 what is m∠C?
Set B.
EFGH is an isosceles trapezoid.
H G
E F
12
1. If m∠E = x + 10 and m∠F = 50, what is x?
2. If m∠F = x – 15 and m∠E = 70 what is x?
3. If m∠H = x + 20 and m∠G = 100 what is x?
4. If m∠G = x – 10 and m∠H = 135 what is x?
5. If m∠E = 2x and m∠F = 46 what is x?
6. If m∠F = 3x and m∠E = 39 what is x?
7. If m∠E = 2x + 5 and m∠F = 44 what is x?
8. If m∠F = 2x – 6 and m∠E = 56 what is x?
9. If m∠H = 2(x + 4) and m∠G = 116 what is x?
10.If m∠G = 2(x –5) and m∠H = 120 what is x?
Set C.
ABCD is an isosceles trapezoid.
D C
A B
1. If m∠A = 2x + 10 and m∠B = 3x – 20 what is m∠A?
2. If m∠A = 2x + 15 and m∠B = 4x – 11 what is m∠B?
3. If m∠D = x + 15m and m∠C = 2x –85 what is m∠D?
4. If m∠C = 3y + 12 and m∠D = 2y + 50, what is m∠C?
5. If m∠C = 4x + 70 and m∠D = 2x + 90, what is x?
6. If m∠D = 4x – 20 and m∠C = 5x – 50, what is x?
7. If AC = 60 cm, what is BD?
8. If BD = 70 cm, what is AC?
9. If AC = 4x – 6 and BD = 2x + 10, what is AC?
10.If AC = 3y + 7 and BD = 6y – 8, what is BD?
Lesson 3
Properties of a Parallelogram
A parallelogram is a quadrilateral in which both pairs of opposite sides are
parallel.
13
Do the following:
1. On a graphing paper, draw a parallelogram similar to the one below.
Name your parallelogram ABCD.
2. Draw diagonal AC. What do you notice?
3. Using a protractor, find the measures of the opposite angles of
parallelogram ABCD. Are the angles congruent?
4. Using a protractor, find the measures of each pair of non-opposite
angles. Add their measures. Are the angles supplementary?
5. Using a ruler, find the lengths of each pair of opposite sides. Are their
lengths equal?
6. Draw diagonal BD. What do you notice?
Were you careful in doing the above activity? You actually proved inductively the
following properties of a parallelogram.
1. Each diagonal divides a parallelogram into two congruent triangles.
2. The opposite angles of a parallelogram are congruent.
3. The non-opposite angles of a parallelogram are supplementary.
4. The opposite sides of a parallelogram are congruent.
5. The diagonals of a parallelogram bisect each other.
These properties of a parallelogram can also be proven deductively.
1. Each diagonal divides a parallelogram into two congruent triangles.
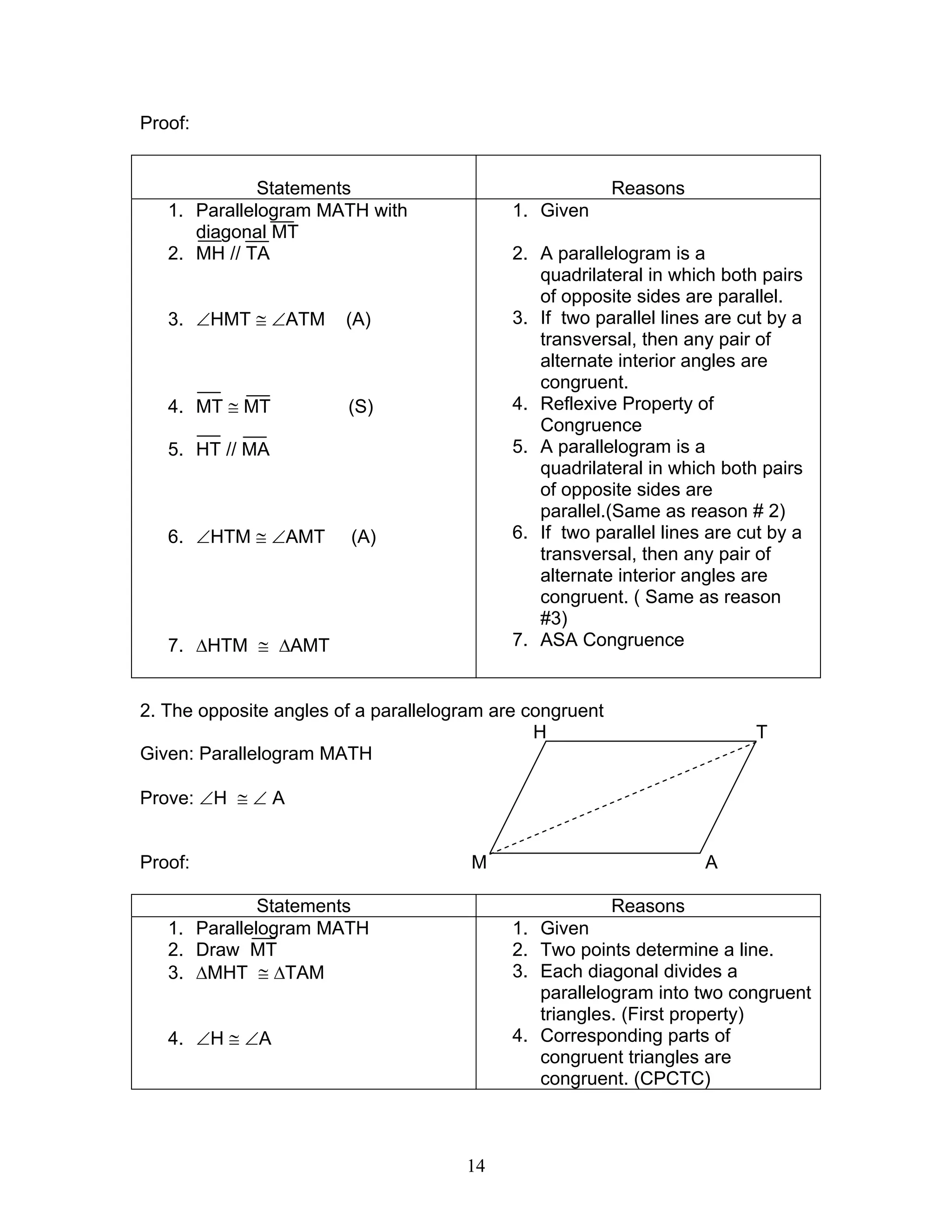
Given: Parallelogram MATH with diagonal MT. H T
Prove: ∆HTM ≅ ∆AMT
M A
D C
A B
14
Proof:
Statements Reasons
1. Parallelogram MATH with
diagonal MT
2. MH // TA
3. ∠HMT ≅ ∠ATM (A)
4. MT ≅ MT (S)
5. HT // MA
6. ∠HTM ≅ ∠AMT (A)
7. ∆HTM ≅ ∆AMT
1. Given
2. A parallelogram is a
quadrilateral in which both pairs
of opposite sides are parallel.
3. If two parallel lines are cut by a
transversal, then any pair of
alternate interior angles are
congruent.
4. Reflexive Property of
Congruence
5. A parallelogram is a
quadrilateral in which both pairs
of opposite sides are
parallel.(Same as reason # 2)
6. If two parallel lines are cut by a
transversal, then any pair of
alternate interior angles are
congruent. ( Same as reason
#3)
7. ASA Congruence
2. The opposite angles of a parallelogram are congruent
H T
Given: Parallelogram MATH
Prove: ∠H ≅ ∠ A
Proof: M A
Statements Reasons
1. Parallelogram MATH
2. Draw MT
3. ∆MHT ≅ ∆TAM
4. ∠H ≅ ∠A
1. Given
2. Two points determine a line.
3. Each diagonal divides a
parallelogram into two congruent
triangles. (First property)
4. Corresponding parts of
congruent triangles are
congruent. (CPCTC)
15
If you want to prove that ∠M ≅ ∠ T, draw diagonal HA. Then follow the above
steps.
3. The non-opposite angles of a parallelogram are supplementary
Given: Parallelogram MATH H T
Prove: ∠H and ∠ M are supplementary
M A
Proof:
Statements Reasons
1. Parallelogram MATH
2. HT // MA
3. ∠H and ∠ M are supplementary
1. Given
2. A parallelogram is a
quadrilateral in which both pairs
of opposite sides are parallel
3. If two parallel lines are cut by a
transversal, then the interior
angles on the same side of the
transversal are supplementary.
4. The opposite sides of a parallelogram are congruent
Given : Parallelogram MATH H T
Prove: HT ≅ MA
HM ≅ TA
M A
Proof:
Statements Reasons
1. Parallelogram MATH
2. Draw diagonal MT
3. ∆MHT ≅ ∆TAM
4. HT ≅ MA
HM ≅ TA
1. Given
2. Two points determine a line
3. Each diagonal divides a
parallelogram into two congruent
triangles.
4. Corresponding parts of
congruent triangles are
congruent.
16
5. The diagonals of a parallelogram bisect each other.
Given: Parallelogram LOVE E V
A 2
Prove: EO and LV bisect each other 3 4
1
L O
Proof:
Statements Reasons
1. Parallelogram LOVE with
diagonals EO and LV
2. LE ≅ VO (S)
3. LE // VO
4. ∠1 ≅ ∠2 (A)
5. ∠3 ≅ ∠4 (A)
6. ∆LEA ≅ ∆VOA
7. EA ≅ OA
LA ≅ VA
8. EO and LV bisect each other
1. Given
2. Opposite sides of a
parallelogram are congruent
3. A parallelogram is a
quadrilateral in which both pairs
of opposite sides are parallel
4. If two parallel lines are cut by a
transversal, then the alternate
interior angles are congruent.
5. Vertical angles re congruent
6. SAA Congruence
7. Corresponding parts of
congruent triangles are
congruent
8. The bisector of a segment is a
point, line, segment, or plane
that divides the segment into
two segments (Definition of
bisector of a segment)
Example 1
JACK is a parallelogram. If m∠K = 110, what is m∠A.
K C
J A
Solution:
Step 1. Opposite angles of a parallelogram are congruent
∠A ≅ ∠K
m ∠A = m∠K (Congruent angles have equal measures)
17
Step 2. Replace m∠K with 110
m∠A = 110
Example 2 ABCD is a parallelogram. If m∠ A = x + 15 and m∠C = 40,
what is x?
D C
A B
Solution:
Step 1 Opposite angles of a parallelogram are congruent
∠A ≅ ∠C
m∠A = m∠C ( Congruent angles have equal measures)
Step 2. Replace m∠A with x + 15 and m∠C with 40 and solve for x.
x + 15 = 40
x = 40 – 15
x = 25
Example 3
The figure below is a parallelogram. If m∠O = 2x + 10 and m∠E = x +
30, what is m∠O?
E V
Solution: L O
Step 1. Opposite angles of a parallelogram are congruent.
∠O ≅ ∠E
m∠O = m∠E (Congruent angles have equal measures)
Step 2. Substitute 2x +10 for m∠O and x +30 for m∠E. Then solve for x.
2x + 10 = x + 30
2x – x = 30 – 10
x = 20
Step 3. Substitute 20 for x in m∠O = 2x + 10 to solve for m∠O.
m∠O = 2(20) + 10
m∠O = 40 + 10
m∠O = 50
18
Example 4
Quadrilateral ABCD is a parallelogram. If m∠A = 60, what is m∠B?
D C
A B
Solution:
Step 1. Non-opposite angles of a parallelogram are supplementary
∠A and ∠B are supplementary
m∠A + m∠B = 180
Step 2. Substitute 60 for m∠A and solve for m∠B
60 + m∠B = 180
m∠B = 180 – 60
m∠B = 120
Example 5
Quadrilateral ETNA is a parallelogram. If m∠E = x – 60 and m∠A = 2x,
what is m∠E? A N
E T
Solution:
Step 1. Non-opposite angles of a parallelogram are supplementary.
∠E and ∠A are supplementary
m∠E + m∠A = 180
Step 2. Substitute x – 60 for m∠E, and 2x for m∠A.
x –60 + 2x = 180
x + 2x = 180 + 60
3x = 240
x = 80
Step 3. Substitute 80 for x in m∠E = x – 60. Then solve for m∠E.
m∠E = x – 60
m∠E = 80 – 60
m∠E = 20
19
Example 6
In the parallelogram below, m∠A = 2x and m∠C = 4x – 80. What is
m∠B?
D C
A B
Solution:
Step 1. Opposite angles of a parallelogram are congruent.
∠A ≅ ∠C
m∠A = m∠C (Congruent angles have equal measures)
Step 2. Substitute 2x for m∠A and 4x – 80 for m∠C. Then solve for x.
2x = 4x – 80
2x – 4x = – 80
–2x = – 80
x = 40
Step 3. Substitute 40 for x
m∠A = 2x
m∠A =2(40)
=80
Step 4. Non-opposite angles of a parallelogram are supplementary
∠A and ∠B are supplementary
m∠A + m∠B = 180
Step 5. Substitute 80 for m∠A and solve for m∠B.
80 + m∠B = 180
m∠B = 180 – 80
m∠B = 100
Example 7
Quadrilateral EFGH is a parallelogram. If EH = 14 cm long, how long is
side FG?
H G
E F
20
Solution:
Step 1. Opposite sides of a parallelogram are congruent
FG ≅ EH
FG = EH (Congruent segments have equal lengths)
Step 2. Substitute 14 for EH in the equation FG = EH
FG = 14
Therefore FG is 14 cm long.
Example 8
Quadrilateral GEOM is a parallelogram. If MO = 2x + 3 and GE = 4x - 15.
What is MO?
M O
G E
Solution:
Step 1. Opposite sides of a parallelogram are congruent
MO ≅ GE
MO = GE (Congruent segments have equal lengths)
Step 2. Substitute 2x + 3 for MO and 4x – 15 for GE. Solve for x
2x + 3 = 4x – 15
2x – 4x = –15 – 3
–2x = –18
x = 9
Step 3. Substitute 9 for x in MO = 2x + 3
MO = 2(9) + 3
= 18 +3
= 21
21
Example 9
CDEF is a parallelogram. If FD = 12 cm, what is the length of FG?
F E
G
C D
Solution:
The diagonals of a parallelogram bisect each other.
CE bisects FD
Therefore: FG =
2
1
FD
=
2
1
(12)
=6 cm
Example 10
CDEF is a parallelogram with diagonals CE and DF intersecting at G. If
FG = 3x –7 and DG = x +21, find FG.
Solution:
Step 1. Draw the figure.
F E
G
C D
Step 2. The diagonals of a parallelogram bisect each other.
FG = DG
Step 3. Substitute 3x – 7 for FG and x + 21 for DG in the equation FG DG.
3x – 7 = x + 21
3x –x = 21 + 7
2x = 28
x = 14
22
Step 4. Substitute 14 for x in the equation FG = 3x – 7 . (See given data)
FG = 3x – 7
=3(14) – 7
=42 – 7
= 35
Try this out
Set A
Fill in the blanks
Quadrilateral ABCD is a parallelogram..
D C
500
880
A B
1. m∠A = ________
2. m∠ABC = _____
3. m∠A + m∠ABC = ________
4. m∠ABC + m∠C = ________
5. m∠C + m∠ADC = ________
6. ∆ ABD ≅ ________
Quadrilateral EFGH is a parallelogram.
H G
I
E F
7. HI = __________
8. EI = ________
9. If EG is 16 cm, then EI = ________
10.If HI is 7 cm, then FI = __________
23
Set B
Quadrilateral ABCD is a parallelogram
D C
A B
1. If m∠A is 50 , what is m∠C?
2. If m∠B is 125 , what is m∠D?
3. If m∠A = x and m∠C = 30, what is x?
4. If m∠B = y and m∠D = 115, what is y?
5. If m∠A = x + 30, and m∠C = 60, what is x?
6. If m∠D = 100 and m∠B = y – 40, what is y?
7. If m∠A = 50, what is m∠D?
8. If m∠D = 130, what is m∠C?
9. If m∠B = 2x – 20 and m∠D = x + 40, what is m∠B?
10.If m∠A = 2x – 50 and m∠C = x + 10 what is m∠A?
Set C
Use the figure below for exercises 1-10
Quadrilateral ABCD is a parallelogram.
D C
E
A B
1. If AB = 17 cm, then CD = _________
2. If AD = 25 cm, then BC = __________
3. If AE = 5 dm, then CE = __________
4. If BD = 36 cm, then BE = __________
5. If AB = 2x + 10 and CD = 15, then AB = _________
6. If AD = 4x + 15 and BC = 2x + 21 then AD = _________
7. If AB = x + 6 and CD = 14, what is x?
8. If AD = 20 and BC = x – 5, what is x?
9. If AE = 15 and CE = x + 4, what is x?
10.If BE = 2x and DE = 6, what is x?
24
Let’s summarize
1. A trapezoid is a quadrilateral with exactly one pair of parallel sides.
2. The median of a trapezoid is a segment joining the midpoints of the non-
parallel sides of a trapezoid.
3. The median of a trapezoid is parallel to its bases and half the sum of the
lengths of the bases.
4. An isosceles trapezoid is a trapezoid with congruent non-parallel sides.
5. The base angles of an isosceles trapezoid are congruent.
6. The diagonals of an isosceles trapezoid are congruent.
7. A parallelogram is a quadrilateral in which both pairs of opposite sides are
parallel.
8. Each diagonal divides a parallelogram into two congruent triangles.
9. Opposite angles of a parallelogram are congruent.
10.Non-opposite angles of a parallelogram are supplementary.
11.The diagonals of a parallelogram bisect each other.
What have you learned
Multiple Choice. Choose the letter of the correct answer.
1. Non-opposite angles of a parallelogram are
A. Complementary C. Adjacent
B. Supplementary D. Congruent
C.
2. A quadrilateral with exactly one pair of parallel sides
A. Square C. Trapezoid
B. Rectangle D. Rhombus
3. In the figure at the right, DC = 20 cm
And AB = 36 cm. What is EF? D C
A. 16 cm
B. 56 cm E F
C. 28 cm
D. 46 cm A B
4. The figure below is a parallelogram. If AD = 2x - 10
and BC = x + 30, then BC =
A. 50 D C
B. 60
C. 70
D. 80 A B
25
5. The figure below is a rhombus. If m ∠I = 4x and m ∠E = 2x + 60, what is
m ∠I in degrees? E V
A. 100
E. 110
F. 120
G. 130 G I
6. Quadrilateral BEST is a parallelogram. If m ∠B = x + 40 and
m ∠E = 2x + 20, what is m ∠B in degrees?
A. 50 T S
B. 60
C. 70
D. 80
B E
7. The figure below is a parallelogram. The diagonals AC and BD intersect at
E. If AE = 2x and EC = 12, what is x?
A. 5 D C
B. 6
C. 7 E
D. 9
A B
8. Quadrilateral CDEF is a parallelogram. If m ∠C = y and m ∠E = 2y – 40,
then m ∠D is
A. 80 F E
B. 110
C. 140
D. 170
C D
9. Into how many congruent triangles is a parallelogram divided by one of its
diagonals?
A. 1 C. 3
B. 2 D. 4
10.Base angles of an isosceles trapezoid are
A. Complementary C. Congruent
B Supplementary D. Adjacent
26
Answer Key
How much do you know
1. False
2. True
3. False
4. False
5. 17.5
6. AB = 16
7. BE + TS = 30
8. m∠ADC = 130
9. AC = 12
10.m∠C = 40
Try this out
Lesson 1
Set A
1. 7
2. 9.5
3. 11.5
4. 8.5
5. 14
6. 18
7. 6.2
8. 9.6
9. 14
10.24
Lesson 2
Set A
1. ∠P and ∠Q; ∠R and ∠S
2. AD and BC
3. DC and AB
4. m∠B = 30
5. m∠A = 60
6. m∠D = 110
7. m∠C = 105
8. m∠D = 145
9. m∠B = 60
10.m∠C = 145
Set B
1. x = 10
2. y = 17
3. x = 10
4. y = 13
5. x = 10
6. y = 18
7. x = 9
8. y = 11
9. x = 2
10.x = 14
Set C
1. x = 15.5
2. x = 23
3. NM = 20
4. KL = 29
5. x = 16
6. x = 25
7. OP = 23
8. NM = 22
9. OP = 15
10.NM = 10
Set B
1. x = 40
2. x = 85
3. x = 80
4. x = 145
5. x = 23
6. x = 13
7. x = 19.5
8. x = 31
9. x = 54
10.x = 35
Set C
1. m∠A = 70
2. m∠B = 41
3. m∠D = 115
4. m∠C = 126
5. x = 10
6. x = 30
7. BD = 60
8. AC = 70
9. AC = 26
10.BD = 22
27
Lesson 3
Set A
1. 50
2. 130
3. 180
4. 180
5. 180
6. 42
7. FI
8. GI
9. 8 cm
10.7 cm
What have you learned
1. B
2. C
3. C
4. C
5. C
6. D
7. B
8. C
9. B
10.C
Set B
1. m∠C = 50
2. m∠D = 125
3. x = 30
4. y = 115
5. x = 30
6. y = 140
7. m∠D = 130
8. m∠C = 50
9. m∠B = 100
10.m∠A = 70
Set C
1. CD = 17 cm
2. BC = 25 cm
3. CE = 5 dm
4. BE = 18 cm
5. AB = 15
6. AD = 27
7. x = 8
8. x = 25
9. x =11
10.x = 3
Module 2
Properties of Quadrilaterals
What this module is about
This module is about the properties of the diagonals of special quadrilaterals. The
special quadrilaterals are rectangles, square, and rhombus. The conditions sufficient to
guarantee that a quadrilateral is a parallelogram are also discussed in this module.
What you are expected to learn
This module is designed for you to
1. apply inductive/deductive skills to derive the properties of the diagonals of special
quadrilaterals
• rectangle
• square
• rhombus
2. verify sets of sufficient conditions which guarantee that a quadrilateral is a
parallelogram
3. apply the conditions to prove that a quadrilateral is a parallelogram
4. solve routine and non routine problems
How much do you know
True of False
1. The diagonals of a square are congruent.
2. The diagonals of a rectangle are perpendicular.
3. The diagonals of a rhombus bisect each other.
4. A square is a rhombus.
5. If both pairs of opposite angles of a quadrilateral are congruent, then the quadrilateral
is a parallelogram.
2
6. If the diagonals of a quadrilateral bisect each other, then the quadrilateral is a
parallelogram.
Quadrilateral ABCD is a rectangle. Its diagonals AC and BD intersect at E.
D C
E
A B
7. If AC = 2(x + 10) and BD = x + 60, what is AC?
8. If AE = 4x – 5 and CE = 10 + x, what is AE?
9. Quadrilateral CDEF is a rhombus. If m∠FCE = 3x - 5 and m∠DCE = 2x, find
m∠FCD.
F E
C D
Quadrilateral GHIJ is a square.
J I
G H
10.If m∠HGI is 3(x + 5), what is x?
3
What you will do
Lesson 1
The Properties of the Diagonals of Special Quadrilaterals
A diagonal of a quadrilateral is a segment which connects any two non-consecutive
vertices. In the following quadrilateral, AC and BD are the diagonals.
D C
A B
The following are the properties of the diagonals of special quadrilaterals.
1. The diagonals of a rectangle are congruent.
2. The diagonals of a square are congruent.
3. The diagonals of a square are perpendicular
4. Each diagonal of a square bisects a pair of opposite angles.
5. The diagonals of a rhombus are perpendicular.
6. Each diagonal of a rhombus bisects a pair of opposite angles
You can apply inductive skills to derive these properties of the diagonals of special
quadrilaterals. In the following activities you need a ruler, a pencil, a protractor and pieces
of graphing paper.
1. Do the following activity:
a. On a graphing paper, draw a rectangle.
b. Name your rectangle ABCD.
c. Draw diagonals AC and BD.
d. Find the lengths of AC and BD. Are their lengths equal? Are the diagonals
congruent?
Conclusion: The diagonals of a rectangle are congruent
2. Do the following activity:
a. On a graphing paper, draw a square.
b. Name your square ABCD.
c. Draw diagonals AC and BD.
4
d. Find the lengths of the diagonals. Are their lengths equal? Are the diagonals of
the square congruent?
Conclusion: The diagonals of a square are congruent.
3. Do the following activity:
a. Construct a square on a graphing paper
b. Name your square EFGH.
c. Draw its diagonals EG and HF.
d. Label the intersection of the diagonals, M.
e. Using a protractor, find the measures of ∠HME, and ∠HMG.
f. What kind of angles are the two angles?
g. Are the diagonals perpendicular?
Conclusion: The diagonals of a square are perpendicular
4. Do the following activity.
a. Draw a square on a graphing paper.
b. Name your square ABCD.
c. Draw diagonal AC.
d. What do you notice? Into how many angles are the two
opposite vertex angles divided?
e. What do you conclude?
Conclusion: Each diagonal of a square bisects a pair of opposite angles.
5. Do the following activity.
a. Draw a rhombus on a graphing paper.
b. Name your rhombus ABCD.
c. Draw the diagonals and name the point of intersection, E.
d. Find the measures of ∠AED and ∠CED.
e. What kind of angles are they?
f. What can you say about the diagonals?
Conclusion: The diagonals of a rhombus are perpendicular.
6. Do the following activity.
a. Draw a rhombus on a graphing paper.
b. Name your rhombus ABCD.
c. Draw diagonal AC.
d. What do you notice? Into how many angles are the two
opposite vertex angles divided?
e. What do you conclude?
Conclusion: Each diagonal of a rhombus bisects a pair of opposite angles.
5
These properties of the diagonals of special quadrilaterals can also be proven
deductively. Let us prove the first three properties deductively.
1. The diagonals of a rectangle are congruent. D C
Given: Rectangle ABCD
with diagonals AC and BD.
Prove: BD ≅ AC
A B
Proof:
Statements Reasons
1. Rectangle ABCD with diagonals
AC and BD
2. AD ≅ BC (S)
3. ∠DAB and ∠CBA are right
angles
4. ∠DAB ≅ ∠CBA (A)
5. AB ≅ AB (S)
6. ∆DAB ≅ ∆ CBA
7. BD ≅ AC
1. Given
2. Opposite sides of a
parallelogram are congruent
(Remember, a rectangle is a
parallelogram)
3. A rectangle is a parallelogram
with four right angles
4. Any two right angles are
congruent
5. Reflexive Property of
Congruence
6. SAS Congruence
7. Corresponding Parts of
Congruent Triangles are
Congruent
Triangles ∆DAB and ∆ CBA overlap. If you find difficulty visualizing the two
overlapping triangles, separate the figure into two triangles .
D C D C
A B A B A B
2. The diagonals of a square are congruent. D C
Given: ABCD is a square with
diagonals AC and BD
Prove: BD ≅ AC A B
6
Proof
Statements Reasons
1. ABCD is a square with
diagonals AC and BD
2. AD ≅ BC (S)
3. ∠DAB and ∠CBA
are right angles
4. ∠DAB ≅ ∠CBA (A)
5. AB ≅ AB (S)
6. ∆ DAB ≅ ∆ CBA
7. BD ≅ AC
1. Given
2. Opposite sides of a parallelogram
are congruent
(Remember, a square is a
parallelogram)
3. A rectangle has four right angles
(Remember that a square is a
rectangle with four congruent sides
and a rectangle has four right
angles.)
4. Any two right angles are congruent
5. Reflexive Property of Congruence
6. SAS Congruence
7. Corresponding Parts of Congruent
Triangles are Congruent
3. The diagonals of a square are perpendicular
Given: TEAM is a square with diagonals AT and ME M A
Prove: ME ⊥ AT
O
T E
A proof can also be written in paragraph form.
Proof:
Side TM and side EA are congruent since they are sides of a square. A square is a
rectangle with four congruent sides. MO ≅ MO by Reflexive Property of Congruence. The
diagonals of a parallelogram bisect each other. Since a square is a parallelogram therefore
TO ≅ AO. ∆MOT ≅ ∆MOA by SSS congruence. Since ∠MOT and ∠MOA are supplementary
and congruent, then each of them is a right angle. Therefore ME ⊥ AT by the definition of
perpendicular.
7
Example 1
The figure at the right is a rectangle. E V
If the diagonal LV = 2x and the diagonal
OE = 12 cm, find x.
Solution:
Step 1. The diagonals of a rectangle are congruent. L O
LV ≅ OE
LV = OE (Congruent segments have equal lengths)
Step 2. Substitute 2x for LV and 12 for OE. Then solve for x.
2x = 12
x = 6
Answer: The value of x is 6 cm.
Example 2
D C
Quadrilateral ABCD at the right is a square.
Find m∠CAB
Solution:
Step 1, Quadrilateral ABCD is a square and
a square is a rectangle.
A B
Therefore: m∠DAB = 90.
Step 2. But each diagonal of a square bisects a pair of opposite angles.
Hence: m ∠CAB =
2
1
m∠DAB
Step 3. Substitute 90 for m∠DAB.
m ∠CAB =
2
1
(90)
= 45
Answer: m ∠CAB =45
A N
Example 3 EDNA is a square.
If m∠END is 3(x +5), what is x?
E D
8
Solution:
a. m∠DCB = 90 since ABCD is a square
b. Each diagonal of a square bisects a pair of
opposite angles.
Hence: m∠ACB = 45
3(x + 5) = 45
3x + 15 = 45
3x = 45 – 15
3x = 30
x = 10
D C
Example 4
The figure at the right is a rhombus.
If m ∠CAB = 30 , what is the m ∠ CAD?
Step 1. Each diagonal of a rhombus bisects
pair of opposite angles.
A B
m ∠ CAD = m ∠CAB
Step 2. Substitute 30 for m ∠CAB in the above equation.
m ∠ CAD = 30
Answer: The measure of ∠ CAD is 300
.
Example 5
DEFG is a rhombus. If m∠FGE = 5x – 8 and m∠DGE = 3x + 22, find the measure
of (a) m ∠FGE (b) m∠DGE and (c) m∠FGD
G F
D E
Solution:
Step 1. Each diagonal of a rhombus bisects a pair of opposite angles.
m∠FGE = m∠DGE
5x – 8 = 3x + 22
5x – 3x = 22 + 8
2x = 30
x = 15
9
Step 2. Substitute 15 for x
a. m∠FGE = 5x – 8
= 5(15) – 8
= 67
b. m∠DGE = 3x + 22
=3(15) + 22
= 67
c. m∠FGD = m∠FGE + m∠DGE
= 67 + 67
= 134
Answers: (a) m ∠FGE = 67
(b) m∠DGE = 67
(c) m∠FGD = 134
Example 6
BETH is a rhombus. If m∠TBE = 35, H T
what is m∠HEB?
M
Solution:
Step 1. The diagonals of a rhombus B E
are perpendicular. Hence, ∠BME
is a right angle and its measure is 900
.
m∠BME = 90
Step 2. The sum of the measures of the angles of a triangle is 1800
m∠TBE + m∠BME+ m∠HEB = 180
Step 3. Substitute 35 for m∠TBE and 90 for m∠BME in the above equation.
35 + 90 + m∠HEB = 180
125 + m∠HEB = 180
m∠HEB = 180 – 125
m∠HEB = 55.
Answer: m∠HEB = 55
D C
Example 7
M
ABCD is a rhombus. If AM = 16 cm,
what is CM?
A B
10
Solution:
Step 1. The diagonals of a rhombus
Bisect each other.
CM = AM
Step 2. Substitute 16 cm for AM in the above equation.
CM = 16 cm
Answer: CM = 16 cm
Try this out
Set A . ABCD is a rectangle.
D C
A B
True or False
1. The lengths of AC and BD are equal.
2. Diagonals AC and BD are perpendicular.
3. The diagonal AC bisects ∠DCB.
4. A rectangle is a parallelogram.
ABCD is a square
D C
E
5. ∠EAB ≅ ∠EBC
6. ∠DEC is a right angle.
A B
FGHI is a rhombus.
I H
7. m∠FIG = m∠HIG J
8. The sum of m∠JFG and m∠JGF is 45.
9. ∆FIG ≅∆ HGI
F G
10.The diagonal FH bisects the rhombus into two congruent triangles.
11
Set B
ABCD is a rectangle
D C
A B
Find the indicated measure
1. AC = 15 dm. Find BD
2. BD = 23 cm. Find AC
EFGH is a rhombus
Find the indicated measure. H G
3. m∠HGE = 35. Find m∠FGE. I
4. m∠HEI = 20. Find m∠FEI.
5. m∠IEF = 30. Find m∠IFE
6. m∠IHE = 58. Find m∠IEH
7. m∠IEF = 20. Find m∠IEF + m∠EIF E F
8. m∠IGH = 25. Find m∠IGH + m∠HIG
9. If ABCD is a square, D C
then m∠ACB = ________
10.If ABCD is square,
then m∠ DEC =___________ E
A B
Set C
ABCD is a rectangle with diagonals AC and BD. D C
1. AC = 2x + 15, BD = 3x + 10. Find AC.
2. BD = 6x + 5, AC = 5x + 14. Find BD.
A B
12
FERM is a rhombus.
M R
I
F E
3. If m∠IFE = x +20, m∠IEF = x + 26 ,find x.
4. If m∠IMR = 4x + 20, m∠IRM = 2x + 10, find x.
5. m∠IFE + m∠IEF = __________
6. m∠IMR + m∠IRM = _________
BETH is a square.
H T
B E
7. If HM = x + 15, HE = 40, what is x?
8. If EM = x + 9, HE = 30, what is x?
9. If BM = x + 12, EM = 2x – 20, what is x?
10.If HM = 44 – x, TM = 4 + 3x, what is x?
Lesson 2
Conditions for a Parallelogram
The following are some conditions which guarantee that a given quadrilateral is a
parallelogram.
1. If both pairs of opposite sides of a quadrilateral are congruent, then the quadrilateral
is a parallelogram.
2. If both pairs of opposite angles of a quadrilateral are congruent, then the quadrilateral
is a parallelogram.
3. If one pair of opposite sides of a quadrilateral are both congruent and parallel, then
the quadrilateral is a parallelogram.
4. If the diagonals of a quadrilateral bisect each other, then the quadrilateral is a
parallelogram.
13
5. If the non-opposite angles of a quadrilateral are supplementary, then the quadrilateral
is a parallelogram.
You can verify these sets of sufficient conditions which guarantee that a
quadrilateral is a parallelogram. In the following activities you need a pencil, a ruler, a
protractor and pieces of bond paper and graphing paper.
1. If both pairs of opposite sides of a quadrilateral are congruent, then the quadrilateral
is a parallelogram.
Do this activity:
a. On a graphing paper, draw a quadrilateral such that both pairs of opposite sides
are congruent. ( See the illustration.)
b. Are the opposite sides equidistant? Find this out by using a ruler.
c. Are both pairs of sides parallel? (Remember, parallel lines are everywhere
equidistant.)
d. Can you now conclude that the quadrilateral is a parallelogram? Why?
2. If both pairs of opposite angles of a quadrilateral are congruent, then the quadrilateral
is a parallelogram.
a. On a graphing paper, with the aids of a ruler and a protractor, construct an
quadrilateral such that both pairs of opposite angles are congruent. (See
illustration)
14
b. Are the opposite sides congruent?
c. Can you now conclude that the quadrilateral is a parallelogram? Why?
3. If one pair of opposite sides of a quadrilateral are both congruent and parallel, then
the quadrilateral is a parallelogram.
Do this activity
a. On a graphing paper, draw a quadrilateral such that one pair of opposite sides
are both congruent and parallel.
( See illustration below)
b. Are the other two opposite sides congruent?
c. Can you now conclude that the quadrilateral is a parallelogram? Why?
4. If the diagonals of a quadrilateral bisect each other, then the quadrilateral is a
parallelogram.
15
a. On a bond paper, draw segments AC and BD bisecting each other. (See the
illustration below.)
D C
A B
b. Connect A to B, B to C, C to D and D to A .
D C
A B
c. Using a ruler, find the lengths of AB and CD. Are they equal?
d. Using a ruler, find the lengths of AD and BC. Are the lengths equal?
e. What kind of quadrilateral is ABCD?
5. If the non-opposite angles of a quadrilateral are supplementary, then the quadrilateral
is a parallelogram.
a. On a bond paper, draw angle A. (See the illustration below.)
A
b. Draw angle ADC such that its measure is supplementary to that of angle A.
● C
A
D
16
c. Draw angle DCB such that its measure is equal to that of angle A.
B
● C
A D
d. Find the measure of angle CBA. Is it equal to the measure of angle ADC? Are
∠A and ∠B supplementary? How about ∠B and ∠C? How about ∠D and ∠C?
Why/
e.What kind of quadrilateral is ABCD?
Example 1
Determine whether the figure is a parallelogram. Identical “tick marks” indicate that
the sides are congruent and identical “arrowheads” indicate the lines are parallel.
Solution:
If one pair of opposite sides of a quadrilateral are both congruent and parallel, then the
quadrilateral is a parallelogram.
Hence the geometric figure is a parallelogram.
Example 2
Determine whether the figure is a parallelogram.
Solution:
17
A pair of alternate interior angles are congruent, therefore a pair of opposite sides are
parallel. These parallel sides are also congruent. As can be seen in the figure, they have the
same length.
Hence the figure is a parallelogram.
Example 3.
Find the value of x for which ABCD is a parallelogram.
A D
270
3x
B C
Solution:
If two lines are cut by a transversal and a pair of alternate interior angles are
congruent, then the lines are parallel.
AD // BC since ∠ADB ≅∠CBD
CD // AB if 3x = 27
x = 9
Hence the value of x should be 9.
Try this out
Set A
True or False
1. If both pairs of opposite sides of a quadrilateral are congruent, then the quadrilateral
is a parallelogram.
2. If both pairs of opposite angles of a quadrilateral are congruent, then the quadrilateral
is a parallelogram.
3. If one pair of opposite sides of a quadrilateral are parallel, then the quadrilateral is a
parallelogram.
4. If the diagonals of a quadrilateral bisect each other, then the quadrilateral is a
parallelogram.
5. If the opposite angles of a quadrilateral are supplementary , then the quadrilateral is
a parallelogram.
18
ABCD is a quadrilateral. AD = 5 cm and AB = 9 cm.
y
D C
5 cm
x
A B
9 cm
6. ABCD is a parallelogram if x = 5 cm and y = 9 cm.
7. ABCD is a parallelogram if m∠C = 60 and m∠B = 120.
8. ABCD is a parallelogram if AB // DC.
9. ABCD is a parallelogram if m∠B ≅m∠D
10. ABCD is a parallelogram if AB ≅ DC ≅ AD ≅ BC.
Set B.
Determine whether each quadrilateral is a parallelogram. Identical “tick marks”
indicate that the sides or angles are congruent and identical “arrowheads” indicate the lines
are parallel.
D C
1.
A B
D C
2.
A B
3.
19
4.
5.
6.
10
7.
6 7
10
8.
1000
790
810
1000
300
9. 500
500
300
20
15 cm
10. 300
300
15 cm
Set C.
What values of x and y guarantee that each quadrilateral is a parallelogram.
1. 6.
y 500
450
1350
x y
3x y
2y
2 1100
700
7.
x 8 cm
x y
14 cm
y 126
3. 8.
6 cm
x 90 x
12 cm 3y
15 cm 2x + 10
4. 9.
y 4 cm 2y 24
70
x
4y
2x 600
5. 10, 5
2x – 5
y 1200
32
21
Let’s summarize
1. A diagonal of a quadrilateral is a segment which connects any two non-consecutive
vertices.
2. The diagonals of a rectangle are congruent.
3. The diagonals of a square are congruent.
4. The diagonals of a square are perpendicular
5. Each diagonal of a square bisects a pair of opposite angles.
6. The diagonals of a rhombus are perpendicular.
7. Each diagonal of a rhombus bisects a pair of opposite angles
8. A square is a special type of rhombus.
9. If both pairs of opposite sides of a quadrilateral are congruent, then the quadrilateral
is a parallelogram.
10.If both pairs of opposite angles of a quadrilateral are congruent, then the quadrilateral
is a parallelogram.
11.If one pair of opposite sides of a quadrilateral are both congruent and parallel, then
the quadrilateral is a parallelogram.
12.If the diagonals of a quadrilateral bisect each other, then the quadrilateral is a
parallelogram.
13.If the non-opposite angles of a quadrilateral are supplementary, then the quadrilateral
is a parallelogram.
14.A quadrilateral is a parallelogram if both pairs of opposite side are parallel
What have you learned
Multiple Choice. Choose the letter of the correct answer.
1. A parallelogram is a rhombus if
A. The diagonals bisect each other
B. The diagonals are perpendicular.
C. Two consecutive angles are supplementary.
D. The opposite sides are parallel.
2. Which of the following is sufficient to guarantee that a quadrilateral is a
parallelogram?
A. The diagonals are perpendicular
B. A pair of adjacent sides are congruent
C. Two consecutive angles are congruent
D. The diagonals bisect each other
22
3. ABCD is a rectangle. if diagonal AC = 2x + 6 and diagonal BD = 10, what is x?
A. 1 C. 3
B. 2 D. 4
4. ABCD is a rhombus.
D C
A B
If m∠DCA = 2(x+8) and m∠BCA = 3x + 9, what is m∠DCB?
A. 40 C. 60
B. 50 D. 70
5. ABCD is a square.
D C
A B
If m∠ABD = 3(x + 10), what is x?
A. 1 C. 5
B. 3 D. 7
6. ABCD is a rhombus. Diagonals AC and BD intersect each other at E.
D C
E
A B
If AE = 12 and CE = 3x, what is x?
A. 2 C. 6
B. 4 D. 8
23
7. ABCD is a rhombus . Diagonals AC and BD intersect at E.
D C
E
A B
What is m∠AED?
A. 30 C. 60
B. 45 D. 90
8. What values of x and y guarantee that ABCD is a parallelogram.
D C
y 64
x y
A. x = 64 , y = 116 C. x = 64, y = 64
B. x = 32, y = 116 D. x = 32, y = 64
9. Find the value of x for which ABCD is a parallelogram.
D C
400
800
800
2x
A B
A. 10 C. 30
B. 20 D. 40
10. Find the value of x for which ABCD is a parallelogram.
18
3x – 6 12
18
A. 8 C. 4
B. 6 D. 2
24
Answer Key
How much do you know
1. True
2. False
3. True
4. True
5. True
6. True
7. AC = 100
8. AE = 15
9. m∠FCD = 20
10.x = 10
Lesson 1
Set A
1. True
2. False
3. False
4. True
5. True
6. True
7. True
8. False
9. True
10.True
Set B
1. 15
2. 23
3. 35
4. 20
5. 60
6. 32
7. 110
8. 115
9. 45
10.90
Set C
1. AC = 25
2. BD = 59
3. x = 22
4. x = 10
5. 90
6. 90
7. x = 5
8. x = 6
9. x = 32
10.x = 10
Lesson 2
Set A
1. True
2. True
3. False
4. True
5. False
6. True
7. True
8. True
9. True
10.False
Set B
1. Parallelogram
2. Parallelogram
3. Parallelogram
4. Parallelogram
5. Parallelogram
6. Parallelogram
7. Not a parallelogram
8. Not a parallelogram
9. Parallelogram
10.Parallelogram
Set C
1. x = 500
y = 1300
2. x = 700
y = 1100
3. x = 6 cm
y = 12 cm
4. x = 15 cm
y = 4 cm
5. x = 600
y = 600
6. x = 450
y = 450
7. x = 8 cm
y = 7 cm
8. x = 90 units
y = 42 units
9. x = 30 units
y = 12 units
10.x = 5 units
y = 8 units
What have you learned
1. B
2. D
3. B
4. C
5. C
6. B
7. D
8. A
9. B
10.B
MODULE 1
Geometric Relations
What this module is about
This module is about relations of segments and angles. As you go over the
exercises, you will develop your skills involving points, segments and angle pairs and solve
problems on the relationships between segments and between angles. Treat the lessons
with fun and take time to go back if you feel you are at loss.
What you are expected to learn
This module is designed for you to:
1. illustrate betweenness and collinearity.
2. illustrate the following:
• congruent segments
• midpoint of a segment
• congruent angles
• bisector of an angle
• complementary angles
• supplementary angles
• adjacent angles
• linear pair
• vertical angles
2
How much do you know
Answer the following questions asked from the given figure:
. A D
I M H J P
. . . . . . . . . .
-3 E O 3 6
F C
Answer the following questions:
1. What is /IP/?
2. If /IM/ = /MH/ = /IH/, then what point is between the other two?
3. If M is the midpoint of AC, what segments are congruent?
4. Name the coordinate of the midpoint of IJ
5. ∠ EMF and ∠ FMC are ____ angles.
6. ∠ EMF form a linear pair with ______.
7. If ∠ EMF is the complement of ∠ FMC and on ∠ FMC = 75, what is on ∠ EMF?
8. If ∠ AMD ≅ ∠ DMC and are supplementary, what kind of angle is each?
9. What is the measure of each angle if the measure of the angles in a
supplementary pair is twice that of the other?
10. What is the measure of each angle if the two angles are both vertical and
complementary?
3
What you will do
Lesson 1
Collinearity of Points
You may ask this question, “how many points are there in a line?” “ How many
points are there in a plane?” Do you know the answer? Yes, it is infinite or many points.
Now you take a look at BP in the figure.
• .X
B C P
• Y
•Z
Points B, C, P are contained in BP
Points X, Y, Z are not in BP
Points B, X, Y are not in BP
The set of points B, C, P are collinear
The set of points X, Y, Z are not collinear
The set of points B, X, Y are not collinear
Collinear points is a set of points which are contained in a line
Examples:
The following set of points are collinear
1. A, O, P, L S
2. M, N, P, S A O P L
M
N
4
A
3. A, Q, C
P . . Q
4. A, P, B, S
5. B, R, C . B .R . C
S
Do you still remember the number line?
A B C D E F G H I J K L M N
. . . . . . . . . . . . . . .
-6 -5 -4 -3 -2 -1 0 1 2 3 4 5 6 7
The points of a line can be placed in correspondence with the real numbers in such a
way that:
1. to every point of the line there corresponds exactly one real number;
2. to every real number there corresponds exactly one point of the line;
3. the distance between any two points is the absolute value of the
corresponding numbers.
The number corresponding to a given point is called the coordinate of the point.
Examples:
1. The coordinate of M is 6, the coordinate of G is 0, the coordinate of B is -5.
B C
. . . . .
X -1 O 1 Y
2. If the coordinate of B is x and the coordinate of C is y then, /BC/ = /X-Y/ (read as
distance BC equals the absolute value of X minus Y).
5
J B
. . . . . . . . . . .
-5 O 3
3) /JB/ = │-5 - +3│
= │-8│
= 8
Try this out
Which set of points are collinear:
C
B
.
1. A, O D D E
2. A, B, O A O
3. B, O, F
4. G, O, F
5. C, O G G . F
A B C D E F G H I J K L M
. . . . . . . . . . . . .
-6 -5 -4 -3 -2 -1 0 1 2 3 4 5
Give the coordinate of each of the following points:
6. G
7. D
8. M
9. A
10. K
B. The coordinates of P and Q are listed. Find /PQ/.
1. P: O 6. P: 7
Q: 7 Q: 3
6
2. P: 12 7. P: 19
Q: 0 Q: 113
3. P: 4 8. P: 5
Q: 15 Q: - 5
4. P: 21 9. P: 56
Q: 14 Q: -18
5. P: 15 10. P: -12
Q: 6 Q: -51
M N O P Q R S C T U V W X Y Z A B
C. . . . . . . . . . . . . . . . . . . . . .
-5 -4 -3 -2 -1 0 1 2 3 4 5
-4.5 0.5 ∏
Find:
1. /PS/ 6. /RX/ + /PR/
2. /US/ 7. /CR/ + /OR/
3. /PT/ 8. /PS/ + /RU/
4. /NC/ 9. /SW + /WY/
5. /NT/ 10. /NR/ + /RW/
Lesson 2
Betweenness
A B C
. . .
Let A, B, C be three points. B is between A and C. If A, B and C are on one line and
/AB/ + /BC/ = /AC/. This definition of betweenness means that:
1. If B is between A and C, then A, B and C then, A, B, C are collinear and /AB/ +
/BC/ = /AC/.
2. If A, B and C are collinear and /AB/ + /BC/ = /AC/ then, B is between A and C.
7
Examples:
1. If x, y, and z are collinear X Y Z
and /xy/ + /yz/ = /xz/ then,
Y is between X and Z.
R
2. Given: T is between R and U
Conclusion: R, T, U are collinear
and /RT/ + /TU/ = /RU/ . T
.U
3. O is between S and P S O P
Find /SP/ . . .
Solution: -2 0 3
/SO/ + /OP/ = /SP/
2 + 3 = /SP/
5 = /SP/
Try this out
A. Which point is between the other two?
1.
. P
. O
. M
C E U
2.
B O A
3.
4. A, B, and C are three points on a line with coordinates 8, 4, and 13 respectively.
8
5. R, S, and T have coordinates x, y, and z respectively x < y < z.
From each of the following equations determine which point is between the other two.
6. /AB/ + /BC/ = /AC/
7. /PO/ + /QR/ = /PR/
8. /LM/ + /LN/ = /MN/
9. /BC/ - /AB/ = /AC/
10. /QR/ - /PQ/ = /RP/
P Q R S T U V W X
B. . . . . . . . . . .
-5 -4 -3 -2 -1 0 1 2 3 4
1. Is it true that /QS/ + /ST/ = /QT/?
2. Is it true that /PS/ + /ST/ = /PT/?
3. Is it true that /PW/ - /PR/ = /RW/?
4. Is it true that O is the coordinate of the midpoint of PX?
5. Is it true that /XP/ - /WX/ = /PW/?
A B C D E F G H I J K L M
6. – 10. . . . . . . . . . . . . .
-6 -5 -4 -3 -2 -1 0 1 2 3 4 5 6
6. Give the distance between points G and J.
7. Give the distance between points G and D.
8. Find the distance between G and the midpoint JL .
9. Find the coordinate of the midpoint of DK.
10. Find the midpoint of AM.
C. A E I O U B
. . . . . .
-10 -5 0 5 10 15
Using the figure complete the statement in nos. 1 – 5.
If E is between A and B,
1. /AB/ = /AE/ + ____________________
2. /AE/ = /AB/ - ____________________
3. /E/ = /AB/ - ____________________
4. /AB/ = __________________________
5. /IB/ = ________________________
6. What is the coordinate of the midpoint of AU?
9
7. What two segments are congruent if O is the midpoint of BE?
8. Find a segment congruent to AO with B as one endpoint.
9. O is the midpoint of a segment with I as one of the endpoints. Find the
segments.
10. AU ≅ ________.
Lesson 3
Congruent Segments and Midpoint of a Segment
Segments are congruent if and only if they have equal measures.
Examples:
R O
1. RS ≅ XY .
0 4
If you look at RS and XY X Y
m RS = /0-4/ = 4 . .
m XY = /4-8/ = 4 4 8
m RS = m XY
∴RS ≅ XY
2. AD ≅ EH
A B C D E F G H I J
. . . . . . . . . .
-4 -3 -2 -1 0 1 2 3 4 5
3. AI ≅ BJ
4. if m MB = 25 cm. and m ST = 25 cm then MB ≅ ST
5. RM = MB = 6 then, RM ≅ MB
Midpoint – is a midpoint of the segment which divides the segment into two
congruent parts.
Examples:
1. P is the midpoint of BC __.________.____ ___.__
B P C
if and only if BP ≅ PC .
10
2. O is the midpoint of SP .S
2.5
O
2.5
3. M is between D and E .P
such that MD ≅ ME , then
M is called the midpoint of DE
More about midpoint
A
A segment has exactly one midpoint
If M is also midpoint of AY then .M
2 /AM/ = /AY/ 2 /MY/ = /AY/
/AM =
2
1 /AY/ /MY/ =
2
1 /AY/ Y
Any line that passes through the midpoint of a segment is called a bisector of the
segment.
Try this out
A.
D E F G H I J K L M N O P Q R S
. . . . . . . . . . . . . . . .
-8 -7 -6 -5 -4 -3 -2 -1 0 1 2 3 4 5 6 7
1. What is the distance between D and G?
2. What is m LO?
3. What can you conclude about DG and LO?
4. What two points are at a distance 3 from L?
5. What can you say about LO and LI?
Given: MD with point A M
between points M and D
such that /MA/ =
2
1 /MD/ and /MD/ = 12 A
6. What is /MA/?
7. What is /AD/? D
8. Is /MA/ = /AD/?
11
9. Is MA ≅ AD?
10. Is A the midpoint of MD?
Given ME, SO, PA, and RU with their respective measures
M . 5 cm . E
S . 10 cm .O
P . 10 cm .A
R . 12 cm .U
Write <, > or = to compare the measures of the line segments.
1. /ME/ ________ /SO/
2. /SO/ ________ /PA/
3. /PA/ ________ /RU/
4. /RU/ ________ /PA/
5. /RU/ ________ /ME/
M N O P Q R S T U V W X Y Z A B C
. . . . . . . . . . . . . . . . .
-8 -7 -6 -5 -4 -3 -2 -1 0 1 2 3 4 5 6 7 8
6. How far is it from M to P?
7. How far is it from C to Z?
8. Find /RZ/
9. Find /CU/
10. Give two pairs of congruent segments.
C. A B C D E F G H I J K
. . . . . . . . . . . . . . .
-10 -8 -4 -2 0 2 4 6
1. /AD/ = ________
2. m AD _________ m DG
3. AD _________DG
4. If D is between A and G, /AD/ + /DG/ = __________.
5. D is the midpoint of ______________.
6. If G is the midpoint of EI then __________≅ _______.
7. If AD ≅ DG then_______ is the midpoint of AG
8. Suppose point B is on AC and B is not a midpoint of AC, then /AB/ + /BC/ =
___________.
12
Given: Point M is the midpoint of JK and JM = 5. Complete the following:
9. /MK/ = _______
10. /JK/ = _______ and JM ≅ ________.
Lesson 4
Congruent Angles and Angle Bisector
Congruent Angles are two angles with equal measure
Angle bisector is a ray from the vertex of an angle to a point in its interior which
divides the angle into two congruent parts.
Examples:
C
1. m ∠ AOF = 15 90
D
m ∠ EOG = 15 B 45
m ∠ AOF = m∠ EG E .
∴ ∠ AOF ≅ ∠ EDG
A 15
2. m∠ 1 = 45
m∠ 2 = 45 F O G
m∠ 1 = m∠ 2
∴ ∠ 1 ≅ ∠ 2
3. ∠ X ≅ ∠ Y
X 60º Y 60º
B .
4. OB is an angle bisector A . C .
O
13
L
5. OB is an angle bisector of ∠ LOA B
30º
O 30º
A
6. AC is not an angle bisector B
C
40º
30º A
D
You can also state the definition of angle bisector this way:
If D is in the interior of ∠ BAC B
and ∠ BAD ≅ ∠ DAC, then AD
bisects ∠ BAC and AD is called
the bisector of LBAC D
A
C
Try this out
A. Complete the following statements:
1.Two angles are said to be congruent if the angles have ______ measures.
2. When two angles have equal measures, the angles are________
3. If m∠ 3 = 57 and ∠ 4 = 57 then ∠ 3 and ∠ 4 are _____________ angles.
4. A ray from the vertex to the interior of the angle which bisects an angle is called ____.
5. If ∠ LEM ≅ ∠ MEN then________ L M
is the angle bisector of ∠ LEN
E N
6. ∠ MON ≅ _________
7. ∠ SOT ≅ _________
14
8. ∠ POQ ≅ _________
9. ∠ MDQ ≅ _________
10. ________ is the angle Nos. 6-10
bisector of ∠ POR. M O T
30 15º
N 15º 30º
45º 45º S
P
Q R
B.
1. Name two congruent angles with R H S
JK as a common side. 30º 30º
2. Give another pair of congruent
angles each measuring 30º. J
3. What do you call JH? 30º 30º
4. JK is ______of angle PJQ.
5. ∠ RJS____∠ PJQ P K Q
6. If IT is the angle bisector
name two congruent angles.
Nos. 6-8
7. If m∠ PIS = 90 and IT is a P T
bisector what is m∠ SIT?
8. If IT is a bisector of ∠ PIS and
m∠ PIT = 33, what is m∠ SIP?
I S
9. If m∠ O = 120 what is m∠ A
if ∠ O ≅ ∠ A?
10. If ∠ O is bisected what is
the measure of each part? O
A
15
Lesson 5
Complementary and Supplementary Angles
The sum of the measures of complementary angles and two angles is equal to 90.
Here you can see ∠ M is the
complement of ∠ P.
∠ is the complement of ∠ P. 60º 60º
M N
m∠ M + m∠ P = 90
∠ M and ∠ P are complementary angles. 30º
P
The sum of the measures of supplementary angles are two angles is equal to 180.
Each of two supplementary angles
is called a supplement of the other
angle. You can see that ∠ B is the
supplement of ∠ E. 120 60
m∠ B + m∠ E = 180 B E
∠ B and ∠ E are supplementary angles.
Examples: A
1. 15º + 75º = 90º B
∠ AOB and ∠ BOC are 75º
complementary angles. 15º O
C
2. 140º + 40º = 180º R
∠ SER and ∠ TER are
supplementary angles 140º 40º
S E T
3. Given m∠ LI = ∠ 70º, find its complement.
Since the sum of the measures of complementary angles is equal
to 90, subtract the given angle from 90 to get the complement.
Solution: 90 – m∠ I = complement
90 – 70 = 20
16
4. ∠ X and ∠ Y are supplementary. Find m∠ Y if m∠ X = 100.
Solution: m∠ X + m∠ Y = 180
100 + m∠ Y = 180
m∠ Y = 180 - 100
m∠ Y = 80
Try this out
A. In the given figure, ∠ AOB and ∠ DOC are right angles
1 - 2. Name all pairs A B
of complementary angles 1 2
3 4
3 – 4. Name all pairs
of supplementary angles O
5 6
7 8
C D
What is the complement of each of the angles whose measures are given:
5. 12º 8. 67º
6. 39º 9. 79º
7. 41º 10. 84.5º
B. What is the supplement of each of the angles whose measures are:
1. 11º
2. 44º
3. 121º
4. 152.5º
5. 78.6º
6. ∠ A and ∠ B are complementary. If ∠ A = 78º then, ∠ B = _______.
7. ∠ C and ∠ D are supplementary. If ∠ C = 110.5º then, ∠ D = _______.
8. An angle has a measure x. Find the measure of its complement.
9. An angle has a measure 2x. Find the measure of its supplement.
10.Two supplementary angles have measure of 2x – 15 and x + 30.
C. Find the measure of each angle.
1. If∠ X and ∠ Y are supplementary then, m∠ X + m∠ Y = _______.
2. If the m∠ O + m∠ P = 90 then, ∠ O and ∠ P are ______________.
17
3. What is the complement of ∠ K whose measure is m?
4. Find the supplement of an angle whose measure is a.
5. If two congruent angles are complementary then, each angle has a measure of ____.
6. If two angle are complementary then, each is a ____of the other.
7-8. The measure of an angle is 15 greater than twice the measure of its complement.
Find the measure of each angle:
9-10. The measure of an angle is 20 less than three times the measure of its supplement.
Find the measure of each angle.
Lesson 6
Adjacent Angles, Linear Pair, Vertical Angles
Adjacent angles are two angles which have a common side and a common vertex
but no interior points common.
Examples:
B
1 A C R
2
M P Q
∠ 1 and∠ 2 are adjacent ∠ S ∠ AOB and∠ BOC ∠ MPR and ∠ RPQ
are adjacent∠ S are adjacent ∠ S
M
J N
B L
A
E Y O P
∠ BEL and ∠ JAY are not ∠ MOP and ∠ MON are not
adjacent angles adjacent angles
18
A linear pair are two adjacent angles whose non common sides are opposite rays.
Examples:
S
C
P I
P
S E M A O B
T
∠ SEP and ∠ PEM ∠ COA and ∠ BOC ∠ PIT and ∠ SIT
form a linear pair form a linear pair form a linear pair
If you try to measure each angle forming a linear pair, you will find out that the sum of
their measures is 180. So angles forming a linear pair are supplementary.
Vertical Angles are two nonadjacent angles formed by two intersecting lines:
Examples:
A B
1
4 2 O
3
C
D
∠ 1 and ∠ 3 are vertical angles ∠ AOB are DOC vertical angles
∠ 2 and ∠ 4 are vertical angles ∠ BOC and ∠ AOD are vertical angles
Use your protractor to measure each angle in the figure
Find:
m∠ 1 = ___________ m∠ 2 = _________
m∠ 3 = ___________ m∠ 4 = _________
m∠ AOB = _______ m∠ BOC = ______
m∠ DOC = _______ m∠ AOD = ______
Have you found out that they have the same measure?
Therefore, vertical angles are congruent.
19
Try this out
A. . R U.
1 – 2 Name 2 angles adjacent to ∠ 1 2
. 1 3 .
T O 4 Q
. 5
S
3. Name an angle which form a linear pair with ∠ 4.
4 – 5. Name two pairs of vertical angles
6. Are ∠ 1 and ∠ 5 adjacent?
7. Are ∠ 4 and ∠ 5 adjacent?
8. What pair of ∠ S are ∠ 3 and ∠ 4?
9. Are ∠ 1 and ∠ 3 vertical angles?
10. ∠ SOU form a linear pair with ∠ ________.
B. Answer with Yes or No.
1. Are ∠ 3 and ∠ 6 vertical angles? 2 3
2. Are ∠ 2 and ∠ 3 adjacent angles?
3. Are ∠ 1 and ∠ 8 vertical angles?
4. Are ∠ 7 and ∠ 8 linear pair?
5. Are ∠ 4 and ∠ 8 linear pair? 1
6. Are ∠ 1 and ∠ 8 adjacent? 7 8
7. Are ∠ 1 and ∠ 7 linear adjacent? 4
8. Are ∠ 1 and ∠ 7 linear pair?
9. Are ∠ 5 and ∠ 6 adjacent?
10. Are ∠ 1 and ∠ 4 vertical angles? 6 5
C. True or False
1. Complementary angles are always adjacent.
2. Supplementary angles are sometimes adjacent.
3. The angles of a linear pair are always adjacent.
4. Vertical angles are sometimes adjacent.
5. If two angles are vertical then, they are either both acute or both obtuse.
6. Two adjacent right angles are supplementary.
7. Two vertical angles are always congruent.
8. If two angles form a linear pair, they are supplementary.
9. If one of the angles in a linear pair is 90, then the other angle has a measure greater
than 90.
10. If two adjacent angles are congruent and complementary, the measure of each angle
is 90.
20
Let’s Summarize
Collinear points is a set of points which are contained in a line. The points of a line
can be place in correspondence with the real numbers in such a way that:
• to every point of the line there corresponds exactly
one real number;
• to every real number there corresponds exactly one
point of the line;
• the distance between any two points is the absolute
value of the difference of the corresponding numbers.
The number corresponding to a given point is called the coordinate of the point.
Let A, B, C be three points. If A, B, C are on one line and. B is between A and C
then, /AB + /BC/ = /AC/
Congruent segments are segments with equal measure.
Midpoint is a point of a segment which divides the segment into 2 congruent parts.
Congruent angles are angles with equal measure.
Angle bisector is a ray from the vertex of an angle to a point In its interior which
divides the angle into two congruent parts.
Complementary angles are two angles whose measures have the sum equal to 90.
Supplementary angles are two angles whose measures have the sum equal to 180.
Adjacent angles are two angles which have a common side and a common vertex but
no interior points in common.
Linear Pair are two adjacent angles whose noncommon sides are opposite rays.
Vertical angles are two nonadjacent angles formed between two intersecting lines.
21
What have you learned
1. What is /BD/?
2. If RA ≅ SA what do you
call point A? R N
3. Name a supplement of
∠ NAS.
4. What angle pair is 400
Illustrated by B E A 50º C D
∠ RAN and ∠ NAS? -6 -3 3 6
5. If ∠ BAM ≅ ∠ SAM what do you
call AM? M S
6. ∠ RAN is vertical to ∠ _____.
7. The measure of ∠ SAM = _____.
8.- 9. If the measure of an angle is twice
the measure of its complement, what
is the measure of each angle?
10. The measure of ∠ B is 9 more than twice
the measure of ∠ C. If ∠ B and ∠ C are
supplementary angles, what is the measure of ∠ B?
22
Answer Key
How much do you know
1. 9 6. ∠ FMD
2. M is between and H 7. 15
3. AM ≅ MC 8. right
4. I 9. 60º, 120º
5. adjacent 10. 45ºTry this out
Try this out
Lesson 1
A. 1. collinear 6. 0
2. not collinear 7. -3
3. collinear 8. 6
4. not collinear 9. -6
5. collinear 10. 4
B. 1. 7 6. 4
2. 12 7. 94
3. 11 8. 10
4. 7 9. 74
5. 9 10. 39
C. 1. 3 6. 7
2. 2 7. 4.5
3. 4 8. 6
4. 5 9. 5
5. 5.5 10. 7.64
Lesson 2
A. 1. O is between P and M 6. B is between A and C
2. E is between C and U 7. Q is between P and R
3. O is between B and A 8. L is between M and N
4. A is between B and C 9. A is between B and C
5. S is between R and T 10. P is between R and Q
B. 1. Yes 6. 3
2. Yes 7. 3
3. Yes 8. 4
4. Yes 9. 0.5
23
5. Yes 10. G
C. 1. /EB/ 6. O
2. /EB/ 7. EO ≡ OB
3. /AE/ 8. IB
4. 25 9. IU
5. 15 10. BE
Lesson 3
A. 1. 3 6. 6
2. 3 7. 6
3. DG≅ LO 8. Yes
4. O and I 9. Yes
5. LO ≅ U 10. Yes
B. 1. < 6. 3
2. = 7. 3
3. < 8. 8
4. > 9. 8
5. > 10. MD ≅ CZ and RZ ≅ CU (answers may vary)
C. 1. 6 6. EG≅ GI
2. = 7. D
3. ≅ 8. /AC/
4. 12 9. 5
5. /AG/ (answers may vary) 10. 10, MK
Lesson 4
A. 1. equal or the same 6. ∠ SOR
2. congruent 7. ∠ NOP
3. congruent 8. ∠ QOR
4. angle bisector 9. ∠ TOQ
5. EM 10. OQ
B. 1. ∠ PJK and ∠ QJK 6. ∠ PIT ≅ ∠ SIT
2. ∠ RJH and ∠ HJS 7. 45
3. angle bisector 8. 66
4. angle bisector 9. 120
5. ≅ 10. 60
Lesson 5
A. 1. ∠ 3 and ∠ 4 6. 51º
24
2. ∠ 5 and ∠ 6 7. 49º
3. ∠ 1 and ∠ 2 8. 23º
4. ∠ 7 and ∠ 8 9. 11º
5. 78 10. 5.5º
B. 1. 169º 6. 12º
2. 136º 7. 69.5º
3. 59º 8. 90 - x
4. 27.5º 9. 180 - 2x
5. 101º 10. 95, 85
C. 1. 180 6. complement
2. complementary 7. 65
3. 90 - m 8. 25
4. 180 - a 9. 130
5. 45º 10. 50
Lesson 6
A. 1. ∠ 2 6. Yes
2. ∠ 5 7. Yes
3. ∠ 5 and ∠ ROQ 8. adjacent
4. ∠ 1 and ∠ 4 9. No
5. ∠ SOT and ∠ ROQ 10. ∠ ROU
B. 1. No 6. Yes
2. No 7. Yes
3. No 8. Yes
4. Yes 9. No
5. Yes 10. Yes
C. 1. False 6. True
2. True 7. True
3. True 8. True
4. False 9. False
5. False 10. False
What have you learned
1. 12 6. ∠ SAM
2. Midpoint 7. 40º
3. ∠ RAN 8. 60º
4. Linear pair 9. 30º
5. Angle bisector 10. 123º
Module 2
Geometric Relations
What this module is about
This module will explain to you different characteristics of lines on a plane. In this
module, you will discover that in a plane, lines may be parallel, perpendicular or just
intersecting. This module will introduce you on the relationship among sides and angles of
a triangle. You will also discover some theorems associated with perpendicularity and
inequalities among sides and angles of a triangle. In addition, this module will define
characteristics of lines in a plane.
What you are expected to learn
This module is designed for you to
1. define and illustrate perpendicular and parallel lines
2. define and give examples of the perpendicular bisector of a segment.
3. define and illustrate exterior angles of a triangle and its relationships with other
angles of a triangle.
4. define inequalities among angles and sides of a triangle.
5. illustrate lines that serve as transversal.
How much do you know
L1
Answer the following questions.
1
1. If l1 ⊥ l2 , then ∠ 1 is _________ angle. L2
2. Given: AB ⊥ BC . If ∠ ABE = 2x + 15, and A
∠ EBC = x, what is m∠ ABE? E
B C
2
3. An angle which is adjacent and supplementary to one of the angles of a triangle is a
________ angle.
E
4. In the figure, m∠ EFD + m∠ EFG = ________.
D
F G
5. What property of inequality supports the statement,
If m > 5 and 5 > n, then m > n.
W
6. If WY = 5 and YX = 8, what is the range of
values of WX?
Y X
7. If B is the midpoint of AX , then AB _____ BX .
8. What is the length of the hypotenuse of a right triangle whose length of the legs are
3 cm and 4 cm respectively.?
9. Coplanar lines that do not intersect are called ___________. t
10. In the figure, line t intersects lines m
m and n at two points. t is called ______.
n
What you will do
Lesson 1
Perpendicular Lines and Perpendicular Bisector of Segment
a
In the figure, two lines a and b intersect at
point X, forming four angles. Two of these angles
are ∠ 1 and ∠ 2. If all these angle are right angles, 1 2
b
then a is perpendicular to b. The symbol to be x
used for perpendicular is “ ⊥ “. The figure above
can be represented in symbols as a ⊥ b.
We will define perpendicular lines as follows:
Two lines are perpendicular if and only if they intersect to form right angles. Since a ⊥ b
then ∠ 1 and ∠ 2 are right angles. The two other angles in the figure are also right angles. In
the definition stated, there is the phrase if and only if (iff) which means that the definition is
two way. 1) If the lines are perpendicular, then the angles formed are right angles and 2) if
3
the angles are right angles, then the lines or sides of the angle are perpendicular. This
goes to show that one way of proving perpendicularity is to prove that the angles formed are
right angles.
For you to recognize perpendicular lines, a small square is indicated at the foot of the
perpendiculars which is the intersection.
Consider the given figure. OD ⊥ XM at O. Hence there is
a symbol of small square at the intersection. D
Notice that XM is divided into two segments
XO and OM which has similar markings. Those X M
Markings indicate that XO ≅ OM making O O
The midpoint of the segment. Therefore OD
is the perpendicular bisector of XM .
The perpendicular bisector of a segment is a line, ray, segment or plane that is
perpendicular to the segment at its midpoint. There are four cases by which a segment has
its perpendicular bisector.
t
Case 1. line t is the perpendicular bisector
of MN .
M x N
D
Case 2. Ray OD is the perpendicular
bisector of MN M N B
O
Case 3. Segment AB is the perpendicular bisector of MN .
M N
A
Case 4 Plane P is the perpendicular bisector of XY
P
X Y
“Any two right angles are congruent”. All right angles measure 90˚.
4
Example: ∠ MOP is a right angle M R
∠ RST is a right angle
Conclusion: ∠ MOP ≅ ∠ RST
O P S T
Try this out
In the figure, MO ⊥ OP , CO ⊥ OD
1. ∠ MOP is __________ angle M C
2. m∠ MOP = ________. P
3. ∠ COD is __________ angle.
4. m∠ COD = _________.
O D
Give the reason for the following statements.
5. m∠ MOP = m∠ COD
6. m∠ MOP = m∠ MOC + m∠ COP
7. m∠ COD = m∠ COP + m∠ POD
8. m∠ MOC + m∠ COP = m∠ COP + m∠ POD
9. - m∠ COP = - m∠ COP
10. m∠ MOC = m∠ POD
11. ∠ MOC ≅ ∠ POD
In the figure, OR ⊥ bisector of SP .
12. SO ≅ ________. R
If SO = 3x + 7 , OP = 5x – 19,
13. The value of X is _________.
14. The length of SO is _______. S O P
15. The length of OP is _______.
16. The length of SP is _______.
AD ⊥ AG . Using the given in the figure, find D
17. x E
18. m∠ DAE 3x x+3
19. m∠ EAF F
20. m∠ FAG x - 5
21. m∠ DAF A G
21. m∠ EAG
In the figure, ∠ STM is a right angle. S
The ratio of m∠ STL to m∠ LTM is 2:1.
Find: L
23. m∠ STL
24. m∠ MTL T M
5
W
2 Y
AX ⊥ AY , AW ⊥ AZ X 1
3
Z
25. What conclusion can you draw on A R W
∠ 1 and ∠ 3?
26. If m∠ ROM = 2x + 22 and O
m∠ NOW = 3x – 12 , show that
MW ⊥ RN M N
27. In the given figure, solve for y.
7y – 71
28. Given: AE bisects ∠ DAS
AT bisects ∠ SAM
T
S
E 2 3
1 4
D A M
Prove: AE ⊥ AT
Proof:
Statement Reason
1. AE bisects ∠ DAS 1. Given
AT bisects ∠ SAM
2. ∠ 1 ≅ ∠ 2, ∠ 3 ≅ ∠ 4 2. Definition of ___________
3. m∠ 1 = m∠ 2, m∠ 3 = m∠ 4 3. Definition of congruent angles
4. m∠ DAS + m∠ SAM = 180 4. Definition of _____________
5. m∠ DAS = m∠ 1 + m∠ 2 5. Angle ______ Postulate
m∠ SAM = m∠ 3 + m∠ 4
6. m∠ 1 + m∠ 2 + m∠ 3 + m∠ 4 = 180 6. ________ Property of Equality
7. m∠ 2 + m∠ 2 + m∠ 3 + m∠ 3 = 180 7. ________ Property of Equality
8. 2 m∠ 2 + 2 m∠ 3 = 180 8. Combining like terms
9. m∠ 2 + m∠ 3 = 90 9. Multiplication Property of
Equality
10. m∠ EAT = m∠ 2 + m∠ 3 10. Angle Addition Postulate
11. m∠ EAT = 90 11. Substitution
12. ∠ EAT is a right angle 12. Definition of a __________.
13. AE ⊥ AT 13. Definition of ___________
6
Lesson 2
Exterior Angle of Triangle and Triangle Inequality
Given ∆ABC. If you extend side AC B
through point D, then there is a new angle
formed , ∠ BCD. ∠ BCD is both adjacent
and supplementary to one of the angles of
∆ABC. ∠ BCD is called an exterior angle
of ∆ABC . Two angles, ∠ A and ∠ B are A C D
interior angles of ∆ABC which are not adjacent to ∠ BCD. Therefore, ∠ A and ∠ B are
called remote interior angles of the exterior angle. ∠ BCD is adjacent to ∠ BCA. So ∠ BCA
is called the adjacent interior angle.
An exterior angle of a triangle is an angle which is adjacent and supplementary to
one of the angles of a triangle. The remote interior angles are angles of a triangle which are
not adjacent to the given exterior angle of the triangle. Adjacent interior angle is an interior
angle which forms a linear pair with the given exterior angle.
Illustration: Given ∆RST. S
∠ STP is an exterior angle.
∠ STP and ∠ STR are adjacent and supplementary.
∠ S and ∠ R are the two remote interior angles. R T P
∠ STR is the adjacent interior angle to ∠ STP.
Exterior Angle Equality Theorem
The measure of an exterior angle of a triangle is equal to the sum of its two remote
interior angles. In ∆CEF, ∠ FED is an exterior angle F
Conclusions:
Since ∠ C and ∠ F are the two remote interior angles.
Therefore, m∠ FED = m∠ C + m∠ F C E D
Example: R
If in the given triangle ∆MRE,
m∠ M = 31, m∠ R = 34
then, m∠ RED = m∠ M + m∠ R
m∠ RED = 31 + 34
m∠ RED = 65 M E D
and m∠ REM = 180 – 65
m∠ REM = 115
7
Since in the latter part of the lesson, you will be dealing with inequalities, it is
necessary that you recall some properties of inequality which are of great help to you in
proving statements in Geometry.
Let a, b, x and y be real numbers.
Trichotomy Property. Exactly one of the following is true:
a < b; a = b; or a > b
Addition Property of Inequality
If a > b, then a + x > b + x
Subtraction Property of Inequality
If a > b, then a – x > b – x and x – b > x – a
Multiplication Property of Inequality
If a > b and y > 0, then ay > by
If a > b and y < 0, then ay < by
Transitive Property of Inequality
If a > b and b > c, then a > c.
This properties of inequality can be applied to geometric figures since the measures
of angles and segments are real numbers.
Illustrations:
For segments:
AB > CD if and only if AB > CD
AB < CD if and only if AB < CD
For angles:
∠ A > ∠ B if and only if m∠ A > m∠ B
∠ A < ∠ B if and only if m∠ A < m∠ B
In Geometry, whenever possible, every statement is supported by reasons. In this
lesson, you will find theorems are given but are not proven formally. Instead, illustrations are
provided for easier understanding. You may opt to prove them though but you are allowed
to use these theorems once you have gone through the illustrations and examples.
Theorem: The whole is greater than any of its parts.
The meaning of this theorem is very clear to see.
Examples:
1. 10 = 7 + 3
Therefore: 10 > 7 or 10 > 3
8
2. Given PR with point Q in between P and R.
By definition of betweenness, PR = PQ + QR P Q R
Therefore: PR > PQ
PR > QR
A C
3. Given ∠ X and C is in the interior of ∠ X
By the Angle Addition Postulate, B
m∠ X = m∠ AXC + m∠ CXB
X
Therefore by using the theorem,
m∠ X > m∠ AXC
m∠ x > m∠ CXB
Theorem: Exterior Angle Inequality Theorem. The measure of an exterior angle of a
triangle is greater than the measure of either of the two remote interior angles.
Illustration: In the figure, ∠ BAG is an B
exterior angle of ∆ABC.
∠ B and ∠ C are the two
Remote interior angles
Therefore: ∠ BAG > ∠ C C A G
∠ BAG > ∠ B
Examples:
1. If m∠ BAG = 113, then m∠ C < 113 and m∠ B < 113
But m∠ C + m∠ B = 113.
2. If m∠ C = 28, then m∠ BAG > 28.
Theorem: Triangle Inequality Theorem. In any triangle, the sum of the lengths of any
two of its sides is greater than the length of its third side.
C
Illustration:
In ∆ABC, the following side inequalities hold
a. AB + BC > AC
b. AC + BC > AB
c. AC + AB > BC A B
Examples:
Determine if the following segments whose given measures are sides of a triangle.
1. 5 cm, 3 cm, 4 cm
2. 10 cm, 11 cm, 6 cm
3. 3 cm, 2 cm, 1 cm
9
Solution:
1. 5 + 3 > 4
3 + 4 > 5
5 + 4 > 3
Conclusion: Since the sum of any two sides is greater than the third side, then
5cm, 3cm and 4cm are measures of the sides of a triangle.
2. 10 + 11 > 6
11 + 6 > 10
10 + 6 > 11
Conclusion: Since the sum of any two sides is greater than the third side, then
10 cm, 11 cm and 6cm are measures of the sides of a triangle.
3. 3 + 2 > 1
3 + 1 > 2
2 + 1 = 3
Conclusion: Since one of the sum is not greater than the third side then,
3cm, 2cm and 1 cm are not measures of sides of a triangle.
4. If in the given triangle, the lengths of the two sides are given, what is the range of the
length of the third side, PQ ?
a. 5 + 8 > PQ
13 > PQ
b. 5 + PQ > 8
PQ > 8 – 5
PQ > 3
c. 8 + PQ > 5
PQ > 5 – 8
PQ > - 3 (This cannot be since the side of triangle is always positive)
d. Combining statements a and b into a single statement will give you 13 > PQ and
PQ > 3 which is written as 13 > PQ > 3.
Reversing the order, the statement can be written as 3 < PQ < 13.
So the range of the third side is 3 < PQ < 13. If you have noticed, that 3 is the
difference between the lengths of the two given sides, while 13 is the sum of the lengths of
the two given sides.
The Pythagorean Theorem states that “In any right triangle, the square of the length
of the hypotenuse is equal to the sum of the squares of the lengths of the two legs.”
10
Illustration: E
Given: DEF∆ s a right triangle.
FE is the length of the hypotenuse
DE and FD are the lengths of the legs
Conclusion: DE2
+ FD2
= FE2
D F
Examples:
1. Given a right triangle, find x
Solution:
c2
= a2
+ b2
x
x2
= 32
+ 42
3
x2
= 9 + 16
x2
= 25
x = 25 4
x = 5
2. If c = 13, a = 12, find b.
Solution:
c2
= a2
+ b2
c
132
= 122
+ b2
b
169 = 144 + b2
b2
= 169 – 144 a
b2
= 25
b = 25
b = 5
3. If c = 10, b = 6, find a.
c2
= a2
+ b2
102
= a2
+ 62
100 = a2
+ 36
a2
= 100 - 36
a2
= 64
a = 64
a = 8
4. The side of a square is 3 cm. Find the length of its diagonal.
Solution:
x2
= 32
+ 32
x2
= 9 + 9
x2
= 18 3
x = 18
x = 3 2 3
x
11
In an isosceles right triangle like example no. 4, the legs are of equal lengths. Thus in
order to find the length of the hypotenuse, you simply apply the Pythagorean formula.
In an isosceles right triangle, the length of the hypotenuse is equal to the length of the leg
multiplied by 2 .
Try this out
A. Justify each statement by stating the property, theorem, postulate, or definition that
supports the statement.
1. If a < b, then 3a < 3b.
2. If m∠ A = 65 and m∠ D > m∠ A, then m∠ D > 65.
3. A is the midpoint of XY . Therefore, AX = AY.
4. If x and y are the lengths of the legs of a right triangle and z is the length of the
hypotenuse, then x2
+ y2
= z2
.
5. ∠ 1 is an exterior angle of PQR∆ . R
m∠ 1 > m∠ P
1
P Q
B. Supply the missing statement
6. If m∠ x = m∠ 1 + m∠ 2, then m∠ 1 _______ m∠ x
7. If AM bisects ∠ DAY, then ∠ DAM _____ ∠ MAY
Using the figure at the right, N
8. If m∠ A = 31, then m∠ LEN ____ 31.
9. If m∠ N = 43 and m∠ A = 39, m∠ LEN = _______. A
10. ∠ LEN and ∠ NEA are ___________ and ___________. L E
C. Determine if the following are lengths of the sides of a triangle.
11. 5, 5, 6
12. 3, 4, 5
13. 3, 3, 2
14. 1, 1, 2
15. 6, 8, 10
16. 7.5, 6.5, 14
D. Given the lengths of the two sides of a triangle, determine the range of the length of the
third side.
17. 13, 10
18. 7, 11
19. 5, 5
20. 3.25, 6.1
21. 4.73, 8.92
12
A 11
N
22. Given the lengths of the four sides
of quadrilateral KANE, determine the 6
range of possible lengths of diagonals 9
AE and KN . E
K 14
Y
F. Given rt. XYZ∆ , compute for the missing
side using the table below. X
Z
XZ YZ XY
23. 7 5
24 12 13
25. 6 12
G. Find the length of the diagonal of a rectangle given the measure of a side or sides.
26. 3, 5
27. 7
28. 10 , 15
29. 3 2
30. What is the length of the hypotenuse of an isosceles right triangle if one of the leg
measures 13 cm?
Lesson 3
Introduction to Parallel Lines and Transversals
a
Lines may be classified as:
a. coplanar and intersecting like
lines a and b
b
b. coplanar but not intersecting m
like lines m and n
n
k
c. Non-coplanar and non-intersecting
like lines k and l
I
13
Illustration a represents intersecting lines. The second illustration represents parallel
lines and the third illustration showed skew lines.
Parallel lines are coplanar lines that do not intersect. Skew lines are non-coplanar
lines.
t
Given coplanar lines a and b. A third a X
line t intersects lines a and b at two distinct
points X and Y. We call line t a transversal.
A transversal is a line that intersect s two or b
more lines at two or more distinct points. Y
Try this out
Determine if the following statements define intersecting, parallel or skew lines.
1. The two frames of jalousie windows
2. Electric wires near the post
3. The iron base on the railroad tracks
4. The two flyovers at Nagtahan
Write true if the statement is always true, sometimes if the statement is sometimes true
and false if it is never true.
5. Intersecting lines are coplanar.
6. Skew lines are non-coplanar.
7. Two parallel lines determine .a plane
8. Two non-intersecting lines are parallel.
9. Transversal intersect only two lines at a time.
10.Parallel lines are non coplanar.
Let’s summarize
Two lines are perpendicular if and only if they intersect to form right angles.
The perpendicular bisector of a segment is a line, ray, segment or plane that is
perpendicular to the segment at its midpoint.
Any two right angles are congruent.
An exterior angle of a triangle is an angle, which is adjacent and supplementary to
one of the angles of a triangle. The remote interior angles are angles of the triangle which
are not adjacent to the given exterior angle.
14
The measure of an exterior angle is equal to the sum of the measures of the two
remote interior angles.
Properties of Inequality
a. Trichotomy property of Inequality
b. Addition property of Inequality
c. Subtraction property of Inequality
d. Multiplication property of Inequality
e. Transitive property of Inequality
The whole is greater than any of its parts.
Exterior angle Inequality Theorem. The measure of an exterior angle of a triangle is
greater than the measure of either of the two remote interior angles.
Triangle Inequality Theorem. In any triangle, the sum of the lengths of any two of its
sides is greater than the length of its third side.
Pythagorean theorem. In any right triangle, the square of the length of the
hypotenuse is equal to the sum of the squares of the lengths of the two legs.
Parallel lines are coplanar lines that do not intersect. Skew lines are non-coplanar
lines. Transversal is a line that intersects two or more lines at two or more distinct points.
What have you learned
Answer the following as indicated:
R
1. ∠ A is a right angle, ∠ X is a right angle. ∠ A _____∠ X
2. Using the figure at the right, ∠ RYP_____ ∠ R. Y P
T
3. AB ⊥ BC . BD bisects ∠ B. What is m∠ 1? A D
1 2
4. What property of inequality supports the B C
Following statement.
If x < 7, then 5x < 35. T
5. ∆BET is a right triangle. m∠ B < _________.
6. In ∆BET, if BE = 5, ET = 3, what is BT?
B E
15
A
7. Using the measures given in ∆MAN, give 4 9
the range of values or length of MN .
M N
8. Prison bars are examples of ________ lines
D
9. If m∠ D = 23, and m∠ y = 19 , then
m∠ DAP = ___________. Y
P A
10. Find the perimeter of a square whose diagonal is 7 2 cm long.
16
Answer Key
How much do you know
1. right
2. 65
3. an exterior
4. 180
5. transitive property of Inequality
6. 3 < WX < 13
7. ≅
8. 5 cm
9. parallel lines
10.transversal
Try this out
Lesson 1
1. right
2. 90
3. right
4. 90
5. Any two right angles are congruent
6. Angle Addition Postulate
7. Angle Addition Postulate
8. Transitive Property of Equality
9. Reflexive Property of Equality
10. Subtraction Property of Equality
11. Definition of Congruent Angles
12. OP
13. 13
14. 46
15. 46
16. 92
17. 23
18. 46
19. 26
20. 18
21. 72
22. 44
23. 60
24. 30
25. ∠ 1 ≅ ∠ 3
26. m∠ ROM = m ∠ NOW
2x + 22 = 3x – 12
- x = - 34
x = 34
17
m ∠ ROM = 2(34) + 22
m ∠ ROM = 68 + 22
m ∠ ROM = 90
m ∠ NOW = 3(34) – 12
m ∠ NOW = 102 – 12
m ∠ NOW = 90
Both m∠ ROM and m∠ NOW are 90 each
So ∠ ROM and ∠ NOW are right angles
Therefore MW ⊥ RN
27. 7y – 71 = 90
7y = 90 + 71
7y = 161
y = 23
28. 2. angle bisector
4. supplementary angles or linear pair postulate
5. Addition
6. Addition
7. Transitive
11. Right angle
12. Perpendicular lines
Lesson 2
A.
1. Multiplication Property of Inequality
2. Transitive Property of Inequality
3. Definition of Midpoint
4. Pythagorean Theorem
5. Exterior Angle Inequality Theorem
6. <
7. ≅
8. >
9. 82
10. Adjacent and supplementary
11. Yes
12. Yes
13. Yes
14. No
15. Yes
16. No
17. 3 < third side < 23
18. 4 < third side < 18
19. 0 < third side < 10
20. 2.85 < third side < 9.35
21. 4.19 < third side < 13.65
22. a. 5 < AE < 17
b. 8 < KN < 20
18
23. 74
24. 5
25. 6 3
26. 34
27. 7 2
28. 5
29. 6
30. 13 2 cm
Lesson 3
1. Parallel
2. Intersecting
3. Parallel
4. Skew
5. True
6. True
7. True
8. Sometimes
9. Sometimes
10. False
What have you learned
1. ≅
2. >
3. 45
4. Multiplication Property of Inequality
5. 90
6. BT = 34
7. 5 < MN < 13
8. parallel
9. 42
10.7(4) = 28 cm.
Module 3
Geometric Relations
What this module is about
This module is about the angles formed by parallel lines (//) cut by a
transversal. You will learn to determine the relation between pairs of angles
formed by parallel lines cut by a transversal and solve problems involving
segments and angles.
What you are expected to learn
This module is designed for you to:
1. identify the angles formed by parallel lines cut by a transversal.
2. determine the relationship between pairs of angles formed by parallel
lines cut by a transversal:
• alternate interior angles
• alternate exterior angles
• corresponding angles
• angles on the same side of the transversal
3. solve problems using the definition and properties involving
relationships between segments and between angles.
How much do you know
The figure below shows lines m // n with t as transversal.
Name:
1. 4 pairs of corresponding angles
2. 2 pairs of alternate interior angles
3. 2 pairs of alternate exterior angles
m
n
8
7
5
6
4
3
1
2
t
2
4. 2 pairs of interior angles on the same side of the transversal
5. 2 pairs of exterior angles on the same side of the transversal
Using the same figure:
6. Name all numbered angles congruent to ∠ 7.
7. Name all numbered angles congruent to ∠ 4.
8. Name all numbered angles supplementary to ∠ 8, to∠ 7.
9. Name all numbered angles supplementary to ∠ 3, to ∠ 4.
10.Name the pairs of equal angles and supplementary angles in the
figure.
Given: AB // CD
AD // BC
In the figure below,
AB ⊥ BD,
DF ⊥ BD,
BC // DE
11. Is m ∠ 2 = m ∠ 3? Why?
12. ∠ 2 is a complement of _____ and ∠ 3 is a complement of ____.
13. Is m ∠ 1 + m ∠ 2 = m ∠ 3 + m ∠ 4? Why?
A
B
C
D
A
B C
E
D
F
1
2
3
4
3
Find the value of x in each of the following figure:
14.
15.
16.
17.
70o
55o
xo
140o
110o
xo
3x
xo
4x
xo
4
In the figure, write down the pairs of parallel lines and the pairs of
congruent angles.
18.
19. If m∠ 3 = 135, find the measure of each angle in the figure.
20. If m∠ 6 = 85, find the measure of each numbered angle in the
figure, a // b and c // d.
BCA
D
F
E
G
m
n
8 7
5 6
4 3
1 2
t
m
n
8
7
5
6
4 3
1 2
c
11
10
12
9
15
14
16
13
d
5
What you will do
Lesson 1
Angles Formed by Parallel Lines Cut by a Transversal
In the rectangular solid below, AB and CD are coplanar in plane x. AB
and EF are coplanar in plane y. EF and HF are coplanar in plane z.
Line E intersect AB and CD at two different points. Line E is a transversal
of lines AB and CD.
Definitions:
Coplanar lines are lines that lie in one plane.
Parallel lines are two lines that are coplanar and do not intersect.
Transversal is a line that intersects two or more lines at different points.
Line E intersect AB and CD at 2 different points. Line E is a transversal of
lines AB and CD.
A
E
G
C
D
H
B
F
x
z
y
A
BE
DC
6
Examples:
1. In the figure, lines AB and CD
are parallel lines cut by transversal
line t. The angles formed are:
Angles 1, 2, 7 and 8 are exterior angles
Angles 3, 4, 5, and 6 are interior angles
The pairs of corresponding angles are:
∠ 1 and ∠ 5
∠ 2 and ∠ 6
∠ 4 and ∠ 8
∠ 3 and ∠ 7
The pairs of alternate interior angles are:
∠ 3 and ∠ 5
∠ 4 and ∠ 6
The pairs of alternate exterior angles are:
∠ 1 and ∠ 7
∠ 2 and ∠ 8
The pairs of exterior angles on the same side of a transversal (SST) are:
∠ 1 and ∠ 8
∠ 2 and ∠ 7
The pairs of interior angles on the same side of a transversal (SST) are:
∠ 4 and ∠ 5
∠ 3 and ∠ 6
2. Given: m // n, s is the transversal. The pairs of angles formed are:
a. Corresponding angles:
∠ 3 and ∠ 9
∠ 6 and ∠ 12
∠ 4 and ∠ 10
∠ 5 and ∠ 11
B
8 7
5 6
4 3
1 2
t
A
C D
m
14 11
9 10
6 5
3 4
s
n
7
b. Alternate exterior angles
∠ 3 and ∠ 11
∠ 4 and ∠ 12
c. Alternate interior angles
∠ 6 and ∠ 10
∠ 5 and ∠ 9
d. Interior angles on the same side of the transversal (SST).
∠ 6 and ∠ 9
∠ 5 and ∠ 10
e. Exterior angles on the same side of the transversal (SST).
∠ 3 and ∠ 12
∠ 4 and ∠ 11
3. m // n, t is the transversal.
In the figure, name and identify
he pairs of angles formed:
a. Corresponding angles:
∠ 1 and ∠ 9
∠ 8 and ∠ 12
∠ 2 and ∠ 10
∠ 7 and ∠ 11
b. Alternate interior angles
∠ 8 and ∠ 10
∠ 7 and ∠ 9
12 11
9 10
78
1 2
t
m
n
8
c. Alternate exterior angles
∠ 1 and ∠ 11
∠ 2 and ∠ 12
d. Exterior angles on the same side of the transversal (SST).
∠ 1 and ∠ 12
∠ 2 and ∠ 11
e. Interior angles on the same side of the transversal (SST).
∠ 8 and ∠ 9
∠ 7 and ∠ 10
Try this out
1. In the figure, lines g // h and is cut by line k.
Name and identify the pairs of angles formed
2. In the figure, q // r and s // t.
Name and identify the pairs of angles formed.
g
7 6
8 5
3 2
4 1
k
h
q
r
1615
1314
11 12
10 9
s
5
8
6
7
1
4
2
3
t
9
3. In the figure, u // w. Lines x and y are transversals.
Name and identify the pairs of angles formed
4. In the figure, identify and name the pairs of parallel lines and its
transversal.
5. In the figure, identify and name the pairs of parallel lines and its
transversal / transversals.
9
u
7
6
8
5
3
2
4
1
y
w
1410
11 13
12
x
B
F
A
C D
G
E
c
d
a
e
b
10
Lesson 2
Relationship Between Pairs of Angles Formed
by Parallel Lines Cut by a Transversal
If two lines are cut by a transversal, then:
a. corresponding angles are congruent
b. alternate interior angles are congruent
c. alternate exterior angles are congruent
d. interior angles on the same side of a transversal are supplementary
e. exterior angles on the same side of a transversal are supplementary
Examples:
1. Given: p // q, r is a transversal
Figure:
What is the measure of each numbered angles if m∠ 1 = 120? Give the
reason for your answer.
Answers:
If ∠ 1 = 120o
, ∠ 5 = 120o
Corresponding angles are ≅ .
If ∠ 5 = 120o
, ∠ 3 = 120o
Alternate interior angles are ≅
If ∠ 3 = 120o
, ∠ 7 = 120o
Corresponding angles are ≅
If ∠ 7 = 120o
, ∠ 4 = 60o
Exterior angles on the same side
of a transversal are supplementary
If ∠ 4 = 60o
, ∠ 8 = 60o
Corresponding angles are ≅
If ∠ 8 = 80o
, ∠ 2 = 60o
Alternate interior angles are ≅
If ∠ 2 = 60o
, ∠ 6 = 60o
Corresponding angles are ≅
p
q
r
1 4
2 3
5 8
6 7
11
2. Given: In the figure, if m∠ 1 = 105, determine the measures of the other
numbered angles. Justify your answers.
Figure:
Answers:
If ∠ 1 = 105o
, ∠ 5 = 105o
Corresponding angles are ≅ .
If ∠ 5 = 105o
, ∠ 3 = 105o
Alternate interior angles are ≅
If ∠ 3 = 105o
, ∠ 7 = 105o
Corresponding angles are ≅
If ∠ 7 = 105o
, ∠ 2 = 75o
Exterior angles on the same side
of a transversal are supplementary
If ∠ 2 = 75o
, ∠ 8 = 75o
Alternate exterior angles are ≅
If ∠ 8 = 75o
, ∠ 4 = 75o
Corresponding angles are ≅
If ∠ 4 = 75o
, ∠ 6 = 75o
Alternate interior angles are ≅
3. Given: m // n, s and t are the transversals
If m∠ 5 = 110 and m∠ 12 = 90, determine
the measures of the other numbered ∠ s.
Justify your answer.
Answers:
If m∠ 5 = 110, m∠ 12 + m∠ 13 = 110
Since m∠ 12 = 90, m∠ 13 = 20. Corresponding angles are ≅
m∠ 4 = 70 ∠ 4 and ∠ 5 are supplementary
If m∠ 4 = 70, m∠ 11 = 70 Corresponding angles are ≅
m∠ 3 = 110 ∠ 3 and ∠ 5 are vertical angles
B
D
t
1
4
2
3
5
8
6
7
A
C
m
7 68 5
32 41
s
n
14
10
11
13
12
t
9
12
If m∠ 3 = 110, m∠ 9 + m∠ 10 = 110 Corresponding angles are ≅
If m∠ 9 = 90, m∠ 7 = 90 Alternate interior angles are ≅
If m∠ 12 = 90, m∠ 2 = 90 Exterior angles on the same side
of a transversal are supplementary
Since m∠ 9 = 90, m∠ 1 = 90 Corresponding angles are ≅
If m∠ 13 + m∠ 14 = m∠ 8, m∠ 8 = 90 Corresponding angles are ≅
Therefore, the measures of the numbered angles are:
∠ 1 = 90o
∠ 8 = 90o
∠ 2 = 90o
∠ 9 = 90o
∠ 3 = 110o
∠ 10 = 20o
∠ 4= 70o
∠ 11 = 70o
∠ 5 = 110o
∠ 12 = 90o
∠ 6 = 70o
∠ 13 = 20o
∠ 7 = 90o
∠ 14 = 70o
Try this out
1. If m∠ 6 = 85, find the measure of the other numbered angles. Justify your
answers.
Given: a // b, c is the transversal
Figure: ba
c1
4
2
3
5
8
6
7
13
2. If m∠ 10 = 118 and m∠ 4 = 85, find the measures of the other numbered
angles. Justify your answers.
Given: f // g, r // q
3. In the figure, u // w. Lines x and y are transversals. If m∠ 8 = 62, m∠ 14
= 90, find the measures of the other numbered ∠ s. Justify your answers.
Figure:
Form an equation in x and solve the equation.
4.
f
g
16 15
13 14
1112
109
r
5
8
6
7
1
4
2
3
q
u
7
6
8
5
3
2
4
1
y
w
1410
11 13
12
x
9
2xo
xo
14
5.
Let’ summarize
The angles formed by parallel lines cut by a transversal are:
1. corresponding angles
2. alternate interior angles
3. alternate exterior angles
4. exterior angles on the same side of a transversal
5. interior angles on the same side of a transversal
The relationship of the angles formed by parallel lines cut by a transversal
are:
1. pairs of corresponding s are ≅
2. pairs of alternate interior angles are ≅
3. pairs of alternate exterior angles are ≅
4. pairs of interior angles on the same side of a transversal are
supplementary
5. pairs of exterior angles on the same side of a transversal are
supplementary
120o
100o
xo
15
What have you learned
The figure below shows lines m // n with t as transversal.
Figure:
Name:
1. 4 pairs of corresponding angles.
2. 2 pairs of alternate interior angles.
3. 2 pairs of alternate exterior angles.
4. 2 pairs of interior angles on the same side of a transversal.
5. 2 pairs of exterior angles on the same side of a transversal.
Using the same figure:
6. Name all numbered angles congruent to ∠ 7.
7. Name all numbered angles congruent to ∠ 4.
8. Name all numbered angles supplementary to ∠ 8, ∠ 7.
9. Name all numbered angles supplementary to ∠ 3, ∠ 4.
10.Name the pairs of equal angles and supplementary angles in the figure.
Given: AB // CD Figure:
AD // BC
m
n
t
1
4
2
3
5
8
6
7
A B
CD
16
11. – 13. In the figure, AB ⊥ BD, DF ⊥ BD, BC // DE
Figure:
11. Is m∠ 2 = m∠ 3? Why?
12. ∠ 2 is a complement of _____ and ∠ 3 is a complement of _____.
13. Is m∠ 1 + m∠ 2 = m∠ 3 + m∠ 4? Why?
Find the value of x in each of the following figures.
14.
15.
B
C
A
D
1
E
F
2
3
4
120o
100o
xo
50o
xo
xo
17
16.
17.
In the figure, Write down the pairs of parallel lines and the pairs of congruent
angles.
18.
5x
xo
4x
xo
AB
CDF
E
18
19. If m∠ 1 = 135, find the measure of each angle in the figure below:
20. If m∠ 6 = 75, find the measure of each numbered angle in the figure, a //
b and c // d.
m
n
t
1
4
2
3
5
8
6
7
a
b
16 15
13 14
1112
109
c
5
6
8
7
1
4
2
3
d
19
Answer key
How much do you know
1. ∠ 8 and ∠ 4, ∠ 7 and ∠ 3
∠ 5 and ∠ 1, ∠ 6 and ∠ 2
2. ∠ 5 and ∠ 3, ∠ 4 and ∠ 6
3. ∠ 8 and ∠ 2, ∠ 7 and ∠ 1
4. ∠ 5 and ∠ 4, ∠ 6 and ∠ 3
5. ∠ 8 and ∠ 1, ∠ 7 and ∠ 2
6. ∠ 3, ∠ 1
7. ∠ 8, ∠ 6
8. To ∠ 8: ∠ 1, ∠ 5, ∠ 7; To ∠ 7: ∠ 2, ∠ 8, ∠ 6
9. To ∠ 3: ∠ 6, ∠ 4, ∠ 2; To ∠ 4: ∠ 5, ∠ 3, ∠ 1
10. ∠ A ≅ ∠ C, ∠ B ≅ ∠ D, ∠ A supplement ∠ B, ∠ B supplement ∠ C
∠ C supplement ∠ D, ∠ D supplement ∠ A
11. They are alternate interior ∠ s
12. ∠ 1, ∠ 4
13. Yes, because they are right angles.
14. x = 55o
15. x = 110o
16. x = 45o
17. x = 36o
18. AB // DE; CD // FG; ∠ ACD ≅ ∠ EDC; ∠ EFG ≅ ∠ CDF
19. ∠ 2 = 45
o
; ∠ 4 = 45
o
; ∠ 1 = 135
o
; ∠ 7 = 135
o
; ∠ 8 = 45
o
; ∠ 6 = 45
o
; ∠ 5
= 135
o
20. ∠ 4 = 85
o
;∠ 5 = 95
o
; ∠ 1 = 95
o
;∠ 7 = 95
o
;∠ 3 = 95
o
; ∠ 8 = 85
o
;∠ 2 = 85
o
∠ 10 = 95
o
; ∠ 9 = 85
o
; ∠ 12 = 95
o
; ∠ 11 = 85
o
; ∠ 13 = 85
o
; ∠ 14 = 95
o
;
∠ 16 = 95
o
; ∠ 15 = 85
o
20
Try this out
Lesson 1
1. ∠ 4 and ∠ 8; ∠ 3 and ∠ 7; ∠ 1 and ∠ 5; ∠ 2 and ∠ 6 are corresponding
angles;
∠ 4 and ∠ 7; ∠ 1 and ∠ 6 are exterior angles on SST;
∠ 3 and ∠ 5; ∠ 2 and ∠ 8 are alternate interior angles;
∠ 4 and ∠ 7; ∠ 1 and ∠ 6 are exterior angles on SST;
∠ 3 and ∠ 5; ∠ 2 and ∠ 8 are alternate interior angles;
∠ 3 and ∠ 8; ∠ 2 and ∠ 5 are interior angles on SST;
∠ 4 and ∠ 6; ∠ 1 and ∠ 8 are exterior angles on SST;
2. ∠ 1 and ∠ 5; ∠ 4 and ∠ 8; ∠ 2 and ∠ 6; ∠ 3 and ∠ 7 are corresponding
angles;
∠ 4 and ∠ 6; ∠ 3 and ∠ 5 are alternate interior angles;
∠ 7and ∠ 2; ∠ 8 and ∠ 1 are exterior angles on SST;
∠ 6 and ∠ 3; ∠ 5 and ∠ 4 are interior angles on SST;
∠ 5 and ∠ 13; ∠ 6 and ∠ 14; ∠ 7 and ∠ 15; ∠ 8 and ∠ 16 are
corresponding angles;
∠ 8 and ∠ 15; ∠ 5 and ∠ 14 are exterior angles on SST;
∠ 7and ∠ 16; ∠ 6 and ∠ 13 are interior angles on SST;
∠ 16 and ∠ 6; ∠ 13 and ∠ 7 are alternate interior angles;
∠ 15 and ∠ 5; ∠ 14 and ∠ 8 are alternate exterior angles;
∠ 15 and ∠ 11; ∠ 14 and ∠ 10; ∠ 16 and ∠ 12; ∠ 13 and ∠ 9 are
corresponding angles;
∠ 14 and ∠ 11; ∠ 13 and ∠ 12 are interior angles on SST;
∠ 15and ∠ 10; ∠ 16 and ∠ 9 are exterior angles on SST;
∠ 4 and ∠ 12; ∠ 13 and ∠ 11 are alternate interior angles;
∠ 15 and ∠ 9; ∠ 16 and ∠ 10 are alternate exterior angles;
∠ 3 and ∠ 11; ∠ 4 and ∠ 12; ∠ 2 and ∠ 10; ∠ 1 and ∠ 9 are
corresponding angles;
∠ 12 and ∠ 2; ∠ 3 and ∠ 9 are alternate interior angles;
∠ 11 and ∠ 1; ∠ 4 and ∠ 10 are alternate exterior angles;
21
∠ 1and ∠ 10; ∠ 4 and ∠ 11 are exterior angles on SST;
∠ 3 and ∠ 12; ∠ 2 and ∠ 9 are interior angles on SST;
3. ∠ 1 and ∠ 9 + ∠ 10; ∠ 4 and ∠ 11 are corresponding angles;
∠ 2 and ∠ 14; ∠ 3 and ∠ 12 + ∠ 13 are corresponding angles;
∠ 4 and ∠ 14; ∠ 3 and ∠ 9 + ∠ 10 are alternate interior angles;
∠ 1 and ∠ 12 +∠ 13; ∠ 2 and ∠ 11 are alternate exterior angles;
∠ 1 and ∠ 11; ∠ 2 and ∠ 12 + ∠ 13 are exterior angles on SST;
∠ 4 and ∠ 9 +∠ 10; ∠ 3 and ∠ 14 are interior angles on SST;
∠ 6 and ∠ 10; ∠ 7 and ∠ 11; ∠ 5 and ∠ 9 + ∠ 14; ∠ 8 and ∠ 13 are
corresponding angles;
∠ 7 and ∠ 9 + ∠ 14; ∠ 8 and ∠ 10 are alternate interior angles;
∠ 6 and ∠ 13; ∠ 5 and ∠ 11 + ∠ 12 are alternate exterior angles;
∠ 6and ∠ 11 + ∠ 12; ∠ 5 and ∠ 13 are exterior angles on SST;
∠ 7 and ∠ 10; ∠ 8 and ∠ 9 + ∠ 14 are interior angles on SST;
4. AB // CD with BC as transversal
CD // FE with DE as transversal
DE // FG with FE as transversal
5. a // b, e, c and d are the transversals
6. c // d, a, b and c are the transversals
Lesson 2
1. ∠ 2 = 85o
; ∠ 5 = 95o
; ∠ 1 = 95o
; ∠ 7 = 95o
; ∠ 3 = 95o
; ∠ 8 = 85o
;
∠ 4 = 85o
2. ∠ 12 = 118o
; ∠ 9 = 62o
; ∠ 11 = 62o
; ∠ 16 = 118o
; ∠ 13 = 62o
;
∠ 14 = 118o
; ∠ 15 = 62o
∠ 8 = 85o
; ∠ 6 = 85o
; ∠ 2 = 85o
; ∠ 1 = 95o
; ∠ 5 = 95o
; ∠ 3 = 95o
;
∠ 1 = 95o
3. ∠ 8 = 62o
; ∠ 6 = 62o
; ∠ 10 = 62o
; ∠ 13 = 118o
; ∠ 9 = 28o
;
∠ 12 = 28o
; ∠ 11 = 90o
; ∠ 13 = 62o
; ∠ 7 = 118o
; ∠ 5 = 118o
; ∠ 1 = 90o
;
∠ 2 = 90o
; ∠ 3 = 90o
; ∠ 4 = 90o
22
4. x = 60o
5. x = 140o
What have you learned
1. ∠ 1 and ∠ 5, ∠ 4 and ∠ 8, ∠ 2 and ∠ 6, ∠ 3 and ∠ 7
2. ∠ 4 and ∠ 6, ∠ 3 and ∠ 5
3. ∠ 1 and ∠ 7, ∠ 2 and ∠ 8
4. ∠ 4 and ∠ 5, ∠ 3 and ∠ 6
5. ∠ 1 and ∠ 8, ∠ 2 and ∠ 7
6. ∠ 3, ∠ 5, ∠ 1
7. ∠ 8, ∠ 6, ∠ 2
8. ∠ 8: ∠ 5, ∠ 7, ∠ 1; ∠ 7: ∠ 2, ∠ 6, ∠ 8
9. ∠ 3: ∠ 6, ∠ 4, ∠ 2; ∠ 4: ∠ 5, ∠ 3, ∠ 1
10. ∠ A ≅ ∠ C; ∠ B ≅ ∠ D; ∠ A supplementary ∠ B
∠ B supplementary ∠ C
∠ C supplementary ∠ D
∠ A supplementary ∠ D
11. Yes, they are alternate interior angles
12. ∠ 1, ∠ 4
13. Yes, because their sum is equal to 90o
14. x = 65o
15. x = 140o
16. x = 30o
17. x = 36o
18. BA // CF, BC // DE, ∠ ABC ≅ ∠ BCF; ∠ BCD ≅ ∠ CDE
19. ∠ 2 = 45o
, ∠ 3 = 135o
, ∠ 4 = 45o
, ∠ 5 = 135o
, ∠ 6 = 45o
, ∠ 7 = 135o
, ∠ 8
= 45o
20. ∠ 4 = 75o
, ∠ 1 = 105o
, ∠ 5 = 105o
, ∠ 7 = 105o
, ∠ 3 = 105o
, ∠ 8 = 75o
,
∠ 2 = 75o
, ∠ 9 = 75o
, ∠ 10 = 105o
, ∠ 12 = 105o
, ∠ 11 = 75o
Module 1
Similarity
What this module is about
This module is about ratio, proportion, and the Basic Proportionality
Theorem and its Converse. In this module, you will learn the meanings of ratio
and proportion. And as you go over the exercises, you will develop skills that you
will need to solve problems especially on triangles in the next module.
What you are expected to learn
This module is designed for you to:
1. apply the fundamental law of proportions
• product of the means is equal to the product of the extremes.
2. apply the definition of proportion of segments to find unknown lengths.
3. illustrate and verify the Basic Proportionality Theorem and its Converse.
How much do you know
1. Express each ratio in simplest form.
a.
18
12
b.
12
8
2. Find the value of x in each proportion.
a.
x
2
=
6
3
b. 4:8 = 8:x
3. State the means and the extremes in each proportion.
a. 3:6 = 6:12 b. 3:4 = 6: 8
4. Write each ratio as a fraction in simplest form.
a. 6 to 30 b. 16 to 48
2
5. In the figure, points W, X, Y, and Z are collinear. WX = 4, XY = 6 , YZ = 10
● ● ● ●
W X Y Z
Give each ratio in simplest form
a.
xy
wx
b. WX to (XY + YZ)
6. In ∆ ABC, CD = 2, AD = 4, CE = 3, EB = 5
C
D E
A B
Find the ratio:
a. CE to BC b. CD to CA
7. Two consecutive angles of a parallelogram are in the ratio 1:2.
a. What is the measure of the smaller angle?
b. What is the measure of the larger angle?
8. In ∆ABC, DE //AC
B
D E
A C
a. Given that BD = 4, DA = 6 and BE = 5, find EC.
b. Given that BE = 4, EC = 5 and BD = 2, find DA.
3
9. In the figure ∠ADE ≅ ∠C
B
E
A C
D
a. If AE = 2, AB = 8, AD = 3, what is AC?
b. If AD = 4, AC = 6, AE = 3, find AB.
10. In triangle ABC, DE // AB. C
D E
A B
If DC = 6, DA = 8, CE = 2x, EB = 2x + 4
a. What is x?
b. What is CB?
What you will do
Lesson 1
Ratio and Proportion
A ratio is a comparison of two numbers. The ratio of two numbers a and b
where b is not equal to zero can be written in three ways: a :b, a/b and a to b.
A proportion is a statement of equality between two ratios. In the
proportion a: b = c:d or
b
a
=
d
c
, a, b, c, and d are called the terms of the
proportion. In a proportion, the product of the extremes is equal to the product
4
of the means. In the proportion a: b = c:d , the extremes are a and d and the
means are b and c, hence, ad = bc
Example 1
Express the ratio
16
12
in simplest form.
Solution:
Divide the numerator and the denominator by their GCF (Greatest
Common Factor), 4 .
12 ÷ 4 = 3
16 ÷ 4 4
The ratio in simplest form is
4
3
or 3:4.
Example 2
Find the ratio and express your answer in simplest form.
6 hours to 3 days
Solution:
Step 1. Convert 3 days to hours
3 x 24 = 72 ( Since there are 24 hours in one day)
Step 2. Write the ratio in terms of hours
6 hours to 72 hours
hours
hours
72
6
=
12
1
Another solution:
Step 1. Convert 6 hours to days
6 ÷ 24 =
24
6
=
2
1
(Since there are 24 hours in one day)
This may be done as follows:
6 hours x
hours
day
24
1
=
4
1
of a day
5
Step 2. Write the ratio in terms of days
days
dayaof
3
4
1
=
4
1
÷3
=
4
1
x
3
1
=
12
1
Example 3
a. What is AB:BC? 3 5 7
b. What is (AB + BC) CD ● ● ● ●
A B C D
Solution:
a. AB = 3
BC = 5
Hence AB :BC = 3:5
b. AB = 3
BC = 5
CD = 7
Hence (AB + BC) : CD = (3 + 5 ): 7
= 8:7
Example 4
1. a. What is AX:AB? A
b. What is AY :YC?
4 2
X Y
7 3.5
B C
Solution
a. AX = 4
AB = AX + X B
= 4 + 7
= 11
Hence AX : AB = 4:11
6
b. AY = 2
YC = 3.5
Hence AY:YC = 2:3.5
3.5 can be written as
10
5
3 or
2
1
3 or
2
7
.
Therefore,
YC
AY
=
2
7
2
But
2
7
2
can be written as 2 ÷
2
7
which is equal to 2 x
2
7
or
7
4
Hence
YC
AY
=
7
4
or AY:YC = 4:7
Example 5
State the means and the extremes in the following statement.
3:7 = 6:14
Solution:
The means are 7 and 6 and the extremes are 3 and 14.
Example 6
Determine whether each pair of ratios forms a proportion.
a.
5
4
,
8
6
b.
7
4
,
14
8
Solution:
a. A proportion is an equality of two ratios
5
4
=
8
6
4:5 = 6:8
7
The product of the means is equal to the product of the extremes
5(6) =4(8)
30 = 32 This is a false statement
Hence the two ratios do not form a proportion.
b. A proportion is an equality of two ratios
c.
7
4
=
14
8
4:7 = 8:14
The product of the means is equal to the product of the extremes
7(8) = 4(14)
56 = 56 This is a true statement
Hence the two ratios form a proportion.
Example 7
Find the value of x.
3 = x
10 30
Solution:
Step 1. Rewrite in the ratio
3:10 = x:30
Step 2. Find the products of the means and the extremes. Then solve for x.
Remember, the product of the means is equal to the product of the
extremes.
10(x) = 3(30)
10x = 90
x = 9
Example 8
The measures of two complementary angles are in the ratio 1:2. Find the
measure of each angle.
8
Solution:
Representation:
Let x = the measure one angle
90 –x = the measure of its complement
Proportion:
x
x
−90
=
2
1
x : (90-x) = 1:2
1(90 –x) = 2(x)
90-x = 2x
-x –2x = - 90
-3x = - 90
x = 30 measure of one angle
90 – x = 60 measure of its complement
Example 9
The measure of two supplementary angles are in the ratio 2:3. Find the
measure of each angle.
Solution:
Representation:
Let x = the measure of one angle
180 – x = the measure of its supplement
Proportion:
x
x
−180
=
3
2
x:(180-x) = 2:3
2(180-x) = 3(x)
360 – 2x = 3x
-2x –3x = -360
9
-5x = - 360
x = 72 the measure of one angle
180 – x = 108 the measure of its supplement
Example 10
In ∆ABC below, m∠C = 90. The measures of ∠ A and ∠B are in the ratio
4:5. Find the measures of ∠ A and ∠B.
B
C A
Solution:
Representation:
Let x = measure of ∠ A
90-x = measure of ∠B (Because, ∠A and ∠B are acute angles)
Proportion:
x:90-x = 4:5
4(90-x) = 5x
360-4x = 5x
-4x – 5x = -360
-9x = -360
x = 40 measure of ∠A
90-x = 50 measure of ∠B
Example 11
In the figure, ∠ABD and ∠CBD form a linear pair. If the measures of ∠ABD
and ∠CBD are in the ratio 7 to 3, what is the measure of ∠CBD?
D ●
● ●
A B C
10
Solution:
Let x be the measure of ∠CBD.
180-x be the measure of ∠ABD
[Remember that if two angles form a linear pair they are supplementary]
Proportion:
m ∠ ABD = 7
m ∠ CBD 3
Substitute 180-x for m ∠ ABD and x for m ∠ CBD
x
x−180
=
3
7
(180-x):x = 7:3
7x = 3(180-x)
7x = 540 – 3x
7x + 3x = 540
10 x = 540
x = 54 measure of ∠CBD.
180 – x = 126 measure of ∠ABD.
Example 12
In the figure, EB ⊥ EH and ET is in
the interior of ∠ BEH. If the B ● T●
measures of ∠BET and ∠HET
are in the ratio 1:5, what is
the measure of ∠HET? ●
E H
Solution:
Let x = measure of ∠ BET
90-x = measure of ∠ HET
[Remember that perpendicular rays form a right angle and
the measure of a right angle is 90.]
Proportion:
m∠ BET = 1
m∠HET 5
11
Substitute x for m∠BET and 90-x for m∠HET
x
x
−90
=
5
1
x : (90-x) =1:5
5x = 1(90 – x)
5x = 90 – x
5x + x = 90
x = 15 measure of ∠BET
90-x = 75 measure of ∠HET
Try this out
Set A
Find the ratio of each of the following. Use the colon and write your answers in
simplest form.
1. 14 cm to 28 cm
2. 8 hours to 12 hours
3. 16 days to 36 days
4. 42 dm to 63 dm
5. 12 inches to 36 inches
6. 24 feet to 36 feet
7. 12 inches to 24 inches
8. 6 inches to 2 feet
9. 3 feet to 24 inches
10.8 hours to 1 day
11.14 days to 2 weeks
12.3 weeks to 24 days
13.5 minutes to 60 seconds
14.5 centimeters to 2 decimeters
15.4 months to 1 year
16.3 feet to 12 inches
17.3 hours to 72 minutes
18. 2 weeks to 8 days
19. 2 centuries to 300 years
20. 200 years to 3 centuries
Set B.
Find the missing number
12
1.
4
2
=
10
n
2. n = 2
6 3
3. 3 = 5
n 10
4. 6 = 3
10 n
5. n = 2
7 5
6. 4 = n
8 7
7. 7 = 5
n 2.5
8. 3 = 4
3.6 n
9. 2n = 5
3 2
10. 6 = 3n
5 4
11.3n = 6
7 14
12. 4 = 2
5n 10
13. 3 = n
2 7
14. 3n = 3
5 2
15. 8 = 2
5 n
13
16. 6n = 9
8 2
17. 5n = 6
9 4
18. 5 = 12
4 n
19. 15 = n
3 4
20. 6 = 2
n 5
Set C
1. The measures of two supplementary angles are in the ratio 1:2. Find the
measure of each angle.
2. The measures of two supplementary angles are in the ratio 1: 4. Find the
measure of each angle
3. The measures of two complementary angles are in the ratio 2:3. Find the
measure of each angle.
4. The measures of two complementary angles are in the ratio 3:7. Find the
measure of each angle.
5. a. What is the ratio of AB to AC?
b. What is AE:ED?
A
5 6
B E
5 6
C D
6. a. What is BE:CD? D
b. What is AB :BC?
E 8
4
A C
14
3 B 5
7. a. What is AB:BC? 4 5 8
b. What is AB: (BC + CD) ● ● ● ●
A B C D
8. a. What is
y
x
b. What is x + y ● ● ● ●
y + z X Y Z
Determine whether each pair of ratios forms a proportion.
9. 6 , 7
7 8
10. 8, 16
9 18
11. 6, 18
9 27
12. 7 , 42
6 36
13. 11, 22
12 24
14.13, 7
9 6
15. 22, 4
11 2
16. 14, 12
7 6
17.The acute angles in a right triangle are in the ratio 3: 6. Find the measure
of the larger of the two angles.
18. The acute angles in a right triangle are in the ratio 2 to seven. What is
the measure of the smaller of the two angles.
19. In the figure at the right, ∠1 and ∠2
form a linear pair. If the measures of
∠1 and ∠2 are in the ratio 2 to 8. Find
the measures ∠1 and ∠2. 1 2
3 6 7
15
20.In the figure below, BA ⊥ BC. BD is in the interior of ∠ABC. If the
measures of ∠ABD and ∠CBD are in the ratio 7 to 2. Find the measure
of ∠ABD.
A
D
B C
Lesson 2
The Basic Proportionality Theorem and Its Converse
The Basic Proportionality Theorem: If a line is parallel to one side of a
triangle and intersects the other two sides in distinct points, then it divides the
two sides proportionally.
Illustration: A
E F
B C
In the figure, if EF is parallel to BC and intersects AB and AC at points
E and F respectively, then
a. AE = AF
EB FC
b. AE = AF
AB AC
c. EB = FC
AB AC
16
The Converse of the Proportionality Theorem: If a line divides the two
sides of a triangle proportionally, then the line is parallel to the third line.
Illustration:
A
E F
B C
If in ∆ABC, AE = AF, then EF // BC.
EB FC
You can verify the Basic Proportionality Theorem by doing the following
activity. In this activity you need a ruler, a pencil and a protractor.
1. Draw ∆ABC such AB = 5 cm and AC = 10 cm.
2. Draw point E on side AB such that it is 2 cm away from vertex B.
3. Draw a line parallel to BC passing thru point E intersecting AC at point F.
Illustration:
A
E F
● ●
2
B C
4. Verify whether line EF is really parallel to BC by measuring ∠AEF and
∠ABC. Recall: If two lines are cut by a transversal and a pair of
corresponding angles are congruent, then the lines are parallel.
5. Find the lengths of AE, AF and FC.
6. Is AE = AF ?
EB FC
Is AE = AF ?
AB AC
Is EB = FC ?
AB AC
17
You can verify the Converse of the Basic Proportionality Theorem by
doing the following activity.
1. Draw ∆ABC such that AB = 7 cm and AC = 14 cm.
2. Draw point E on side AB such that it is 3 cm away from vertex A. What is
the length of EB?
3. Draw point F on side AC such that it is 6 cm away from vertex A. What is
the length of FC?
4. Draw a line passing through points E and F. Notice that line EF divides
sides AB ad AC proportionally.
4
3
=
8
6
Illustration:
A
3 6
E ● ● F
4 8
B C
5. What can you say about line EF? Is it parallel to BC?
Verify by measuring ∠AEF and ∠ABC.
Example 1
In ∆ABC, DE // BC. If AD = 6, DB = 8 and EC = 12, find AE.
A
6 x
D E
8 12
B C
Solution:
Let x = AE
x = 6
12 8
x = 3
12 4
x:12 = 3:4
12(3) = 4(x)
4x = 12(3) (by Symmetric Property of Equality)
18
4x = 36
x = 9
Example 2
A
In ∆ACD, BE //CD If AB = 8, BC = 4, AE = 6, find AD and ED
Solution: 8 6
B E
Let x = AD
AB = AE 4
AC AD C D
8 = 6
8 + 4 x
8:12 = 6:x
12(6) = 8(x)
8x = 72
x = 9
AD = 9
Hence: ED =AD – AE
= x – 6
= 3
Example 3 A
2x 3x
D E
12
B C
In ∆ABC, DE // BC, AD =2x, AB = 20, AE = 3x and EC = 12. Find AD
Solution:
Step 1. AD = AE
AB AC
20
2x
=
123
3
+x
x
10
x
=
123
3
+x
x
19
x(3x + 12) = 10(3x)
3x2
+ 12x = 30x
3x2
+ 12x – 30x = 0
3x2
– 18x = 0
3x(x – 6) = 0 by factoring
3x = 0 x – 6 = 0 Equating both factors to 0.
x = 0 x = 6
Step 2. Substitute 6 for x in 2x
2x = 2(6)
= 12
Hence AD = 12
Try this out
Set A
In the figure, DE // BC.
A
D E
B C
True or False
1. AD = AE 6. BD = AE
DB EC AD EC
2. AD = AE 7. DB = AB
. AB AC EC AC
3. AD = EC 8. AE = EC
DB AE AD DB
4. AD = AC 9. AD = AE
AB AE EC DB
5. DB = EC 10. AD = DB
AB AC AE EC
20
B
In the figure, AB // ED.
D
11. CD = CA
BD AE
12. BC = AC
CD AE
A E C
13. AE = BC
EC BD
14. AE = CD
AC BD
15. CD = CB
AB AC
Set B
In ∆ABC , DE // BC.
A
D E
B C
1 If AD = 1, DB = 2, and EC = 4, find AE.
2. If AD = 2, DB = 4, and AE = 1, find EC.
3. If BD = 6, AD = 4, and AE = 5, find EC.
4. If BD = 5, AD = 6, and CE = 9. what is AE?
5. If AD = 2, AB = 8, and AC = 10 what is AE?
In ∆ ABC, DE // BC C
E
A D B
21
6. If AD = 4, AB = 12 and AC = 15, what is AE?
7. If AD = 6, DB = 2 and AC = 10 what is AE?
8. If AB = 12, AE = 4 and EC = 6, what is AD?
9. If AD = 2.5, DB = 4 and EC = 6, find AE.
10.If DB = 5, AE = 3.5 and EC = 7, what is AD?
In ∆CAT, AC // GD. A
G
C D T
11.If CD = 10, DT = 12, AG = 8, what is GT?
12.If CT = 10, CD = 4, AT = 7, what is AG?
13.If AG = 3, TG = 6, DT = 8, what is CD?
14.If AG = 4, GT = 12, CD = 6, what is DT?
15.If AT = 12, AG = 6, CT = 16, what is CD?
Set C A
D E
B C
1. If AD = x + 1, DB = 2, AE = 10 and EC = 5, what is x?
2. If AD = x + 2, DB = 4, AE = 6 and EC =8, what is x?
3. If AD = 4, DB = 6, AE = x + 3 and EC = 7.5, what is x?
4. If AD = 2, DB = 6, AE = x + 2 and EC = 9, find x
5. If AD = 5, DB = x + 2, AE = 4 and EC = 4.8, what is x?
In ∆ BAC, BC // DE C
E
B D A
22
6. If AD = 6, AE = 9, and AC = 21, what is BD?
7. If AD = 4, BD = 5 and AE = 6, what is EC?
8. If DB = 6, AE = 6 and EC = 9 what is AD?
9. If AD = x, AB = 5, AE = 2x and EC = 4, what is AD?
10.If AD = x, AB = 5, AE = 2x and EC = 6, what is AD?
In ∆ABC, EF// BC. C
F
A E B
11.If AE = x, EB = x + 10, AF = 4 and FC = 6, what is x?
12.If AE = 6, EB = 8, AF = y and FC = 2y –2, what is y?
13.If AE = 5, AB = x +2, AF = 10 and AC = 3x, what is x?
14.If AE = x + 4, EB = 12, AF = x + 5 and FC = 14, what is x?
15.If AE = 6, EB = 4y –1, AF = 2 and FC = 3, what is y?
Let’s summarize
1. A ratio is a quotient of two numbers .
2. A proportion is an equality of two ratios.
3. The Basic Proportionality Theorem:
If a line is parallel to one side of a triangle and intersects the other two
sides in distinct points, then it divides the two sides proportionally.
4. The Converse of the Basic Proportionality Theorem:
If a line divides the two sides of a triangle proportionally, then the line is
parallel to the third side
What have you learned
1. The value of n in 4:5 = n:20 is
A. 14 C. 16
B. 15 D. 17
2. The value of x in 2x = 3
6 2
A. 3.5 C. 5.5
23
B. 4.5 D. 6.5
3. Write the ratio
30
18
as a fraction in lowest terms
A.
16
9
C.
5
3
B.
9
15
D.
3
5
4. Which of the following proportions is true?
A. 2: 3 = 4:5 C. 4: 8 = 2: 4
B. 5:7 = 3: 2 D. 4 :7 = 7: 4
5. Two consecutive angles of a parallelogram are in the ratio 2:3. What is
the measure of the smaller angle?
A. 36 C. 108
B. 72 D. 90
A
6. In ∆ ABC, XY // BC.
X Y
B C
Given that AX = 5, XB = 6, and AY = 8, what is YC?
A. 9 C. 7.6
B. 7 D. 9.6
7. In the figure below, What is AB:(BC + CD)?
3 7 2
● ● ● ●
A B C D
A.
7
3
C.
14
3
B.
9
10
D.
3
1
8. Which of the following pairs of ratios forms a proportion?
A.
5
3
,
9
5
C.
7
6
,
9
8
24
B.
7
5
,
14
10
, D.
6
5
,
5
6
9. In ∆ ABC, DE // AB. C
D E
A B
If DC = x, AD = 4, CE = x + 1 and EB = 8, what is x?
A. 4 C. 2
B. 3 D. 1
10.In the figure, DE // AC. B
D E
A C
If BE =2, BC = 6 and BD = 3, what is BA?
A. 8 C. 5
B. 9 D. 12
11.Write the ratio 2 hours : 1 day as a fraction in lowest terms
A. 2:1 C. 1:12
B. 1:2 D. 12:1
12.Which of the following proportions is false?
A. 2:7 =8:28 C. 4:7 = 8:14
B. 3:5 = 9:15 D. 5:6 = 15:24
13.In ∆ABC, DE // BC. Which of the following proportions is false?
B
D
A E C
25
A. AD = AE C. EC = DB
DB EC AC AB
B. AB = AC D. AD = EC
AD AE AB AC
14.in the figure. Points A, B, and C are collinear. The ratio of ∠ABD to ∠CBD
is 5:1 . What is m∠CBD?
D ●
● ● ●
A B C
A. 150 C. 50
B. 30 D. 100
15.∆ ABC is a right triangle. If the ratio of ∠A to ∠B is 2:3, what is m∠ B?
B
C A
A. 18 C. 20
B. 27 D. 36
26
Answer Key
How much do you know
1. a.
3
2
b.
3
2
2. a. x = 4
b. x = 16
3. The means are 6 and 6
The extremes are 3 and 12
4. a.
5
1
b.
3
1
5. a.
3
2
b.
4
1
6. a.
8
3
b.
3
1
7. a. 60
b. 120
8. a. 7.5
b. 2.5
9. a. AC = 12
b. AB = 4.5
10.a. x = 4
b. CB = 28
27
Try this out
Lesson 1
Set A
1. 1:2
2. 2:3
3. 4:9
4. 2:3
5. 1:3
6. 2:3
7. 1:2
8. 1:4
9. 3:2
10.1:3
11.1:1
12.7:8
13.5:1
14.1:4
15.1:3
16.3:1
17.5:2
18.7:4
19.2:3
20.2:3
Lesson 2
Set A
1. True
2. True
3. False
4. False
5. True
6. False
7. True
8. True
9. False
10.True
11.False
12. False
13.False
14.False
15.False
Set B
1. n = 5
2. n = 4
3. n = 6
4. n = 5
5. n = 2.8
6. n = 3.5
7. n = 3.5
8. n = 4.8
9. n = 3.75
10.n = 1.6
11.n = 1
12.n = 4
13.n = 10.5
14.n = 2.5
15.n = 1.25
16.n = n = 6
17.n = 2.7
18.n = 9.6
19.n = 20
20.n = 40
Set C
1. 60 and 120
2. 36 and 144
3. 36 and 54
4. 27 and 63
5. a.1:2
b. 1:1
6. a. 1:2
b. 3:5
7. a. 4:5
b. 4:13
8. a. 1:2
b. 9:13
9. No
10.Yes
11.Yes
12.Yes
13.Yes
14.No
15.Yes
16.Yes
17.60
Set B
1. 2
2. 2
3. 7.5
4. 10.8
5. 2.5
6. 5
7. 7.5
8. 4.8
9. 3.75
10. 2.5
11. 9.6
12. 2.8
13. 4
14. 18
15. 8
Set C
1. 3
2. 1
3. 2
4. 1
5. 4
6. 8
7. 7.5
8. 4
9. 3
10. 2
11. 20
12. 3
13. 4
14. 2
15. 2.5
28
What have you learned
1. C
2. B
3. C
4. C
5. B
6. D
7. D
8. B
9. D
10.B
11.C
12.D
13.D
14.B
15.D
Module 17
Similar Triangles
What this module is about?
This module is about similar triangles, definition and similarity
theorems. As you go over the exercises you will develop your skills
in determining if two triangles are similar and finding the length of a
side or measure of an angle of a triangle.
What are you expected to learn?
This module is designed for you to:
1. apply the definition of similar triangles in:
a. determining if two triangles are similar
b. finding the length of a side or measure of an angle of a
triangle
2. verify the Similarity Theorems:
a. AAA Similarity
b. SAS Similarity
c. SSS Similarity
3. apply the properties of similar triangles and the
proportionality theorems to calculate lengths of certain line
segments.
How much do you know?
A. For each pair of triangles, indicate whether the two triangles are
similar or not. If they are similar, state the similarity theorem or
definition that supports your answer.
1.
2
450
3
4
450
6
2.
3.
4.
5.
B.
6 – 10. The length of the sides of a triangle are 14, 8 and 6. Find the
length of the two sides of a similar triangle if the length of the shortest
side is 12.
3
3
1
2
3
3
2
2
800
500
500
6 4
3 2
4
12
Lesson 1
Definition of Similar Triangles
Similar Triangles
Two triangles are similar if corresponding angles are congruent
and corresponding sides are proportional.
Examples:
1. If in ∆ ABC and ∆ XYZ
∠ A≅ ∠ X
∠ B≅ ∠ Y
∠ C≅ ∠ Z
XY
AB
=
YZ
BC
=
XZ
AC
then ∆ABC ∼ ∆XYZ (Triangle ABC is similar to triangle XYZ)
2. ∆BMP ∼ ∆SEC
Find the value of x and y
Since the corresponding sides are proportional
SE
BM
=
EC
MP
=
SC
BP
x
3
=
8
4
=
y
5
x
3
=
2
1
=
y
5
x
3
=
2
1
;
2
1
=
y
5
x = 6 y = 10
A
B
C
X
Y
Z
B P
M
3 4
5
S
E
C
x
y
8
Exercises:
A. Given: MOL∆ ∼ REY∆
Fill the blanks.
1) M∠ ≅ ______
2) O∠ ≅ ______
3) _____ ≅ Y∠
4)
RY
ML
=
?
MO
5)
RY
ML
=
?
LO
6)
3
2
=
15
?
7)
6
4
=
?
2
B. State whether the proportion is correct for the indicated similar
triangles
1. RST∆ ∼ XYZ∆ 4. DEF∆ ~ HIS∆
XY
RS
=
YZ
ST
HI
DE
=
IJ
EF
2. ABC∆ ~ DEF∆ 5. KLM∆ ~ PQR∆
DE
AB
=
EF
BC
PR
KM
=
QR
LM
3. RST∆ ~ LMK∆ 6. XYZ∆ ~ UVW∆
LM
RT
=
MK
ST
UV
XY
=
UW
XZ
L O
M
2
4
5
Y
R
E
3
6
2
15
Complete the proportions
7. ABC∆ ~ DEF∆ 9. RST∆ ~ XYZ∆
?
AB
=
?
BC
=
?
AC
?
XY
=
?
XZ
=
?
YZ
8. KLM∆ ~ RST∆ 10. MNO∆ ~ VWX∆
KL
?
=
LM
?
=
KM
?
?
VX
=
?
VW
=
?
WX
C. Find the missing length
1. ABC∆ ~ XYZ∆
find b and a
2. SIM∆ ~ PON∆
SI = 6cm. IM = 4cm. SM= 8cm,
Find the lengths of the sides of PON∆ if the ratio of the lengths of
the corresponding sides is 1:3.
A
B
C
3 a
b
X Z
Y
5 10
15
S
6cm.
I
4cm.
M
8cm
P
O
N
Lesson 2
AAA Similarity Theorem
If in two triangles the corresponding angles are congruent, then
the two triangles are similar.
If BOS∆ ↔ VIC∆
B∠ ≅ V∠ , O∠ ≅ I∠ , S∠ ≅ C∠
then BOS∆ ~ VIC∆
AA Similarity
If two angles of one triangle are congruent to the corresponding
two angles of another triangle, the triangles are similar.
Given: A∠ ≅ O∠
J∠ ≅ B∠
Then: JAM∆ ~ BON∆
Examples:
Are the triangles similar by AA Similarity?
1.
B
O
S V
I
C
J
A
M
O
B N
330
470
1000
330
470
1000
2.
3.
4.
5.
410
390
600
300
950
950
600
600
600
600
SAS Similarity Theorem
If in two triangles two pairs of corresponding sides are
proportional and the included angles are congruent, then the triangles
are similar.
If ICE∆ ↔ BOX∆
OB
CI
=
OX
CE
and C∠ ≅ O∠
then ICE∆ ~ BOX∆
Examples:
AOB∆ ~ DOC∆ by SAS
since
DO
AO
=
CO
BO
and
AOB∠ ≅ DOC∠
Can you explain why is
RAT∆ ~ RAM∆ by SAS ?
I
C
E
B
O
X
B
A
O
D
C
9
6 12
8
R
A
T
M
33
4
SSS Similarity Theorem
If the two triangles three corresponding sides are proportional,
then the triangles are similar.
If SUN∆ ↔ BLK∆
BL
SU
=
LK
UN
=
BK
SN
then SUN∆ ~ BLK∆
Example:
1.
OB
SN
=
PE
NA
=
DE
SA
6
4
=
9
6
=
12
8
since the corresponding
sides are proportional then
NSAPOE ∆∆ ~ by SSS
Similarity.
2. Explain: Any two congruent triangles are similar.
S N
U
B K
L
P E
O
6 12
9
N A
S
84
6
Exercises:
A. Tell whether the two triangles are similar. Cite the Similarity
Postulate or Theorem to justify your answer. (Identical marks
indicate ≅ parts.)
1.
2.
3.
4.
6 8
10
3
5
4
6
8
3
4
3
6
6
3
9
6 8
10
12
15
5.
6.
7.
8.
6 6
66
5
5
3
3
2
8
84
9.
PS
QS
=
ST
RS
10.
B. Determine whether each pair of the following triangles are
similar by SAS, AAA, SSS or not at all.
1.
Q
R
S
P
T
750
1214
750
67
2.
3.
4.
5.
700
700
850
26
25
85012.5
13
60 60
9
16
6
14
21
24
C. Answer the following:
1. Two isosceles triangles have an angle of 500
. Does it follows that
the triangles are similar?
2. Two angles of BEL∆ have measures of 20 and 50. Two angles of
JAY∆ have measures of 30 and 100. IS JAYBEL ∆∆ ~ ?
3. Is it possible for two triangles to be similar if two angles of one
have measures 50 and 75, where as two angles of the other have
measures 55 and 70?
4. Two angles of have measures 40 and 80, where as the two angles
of the other have measures 60 and 80, are the two triangles
similar?
5 – 6. The lengths of the sides of a triangle are 12 and 15. If the
length of the shortest side of a similar triangle is 12, find the
lengths of the other two sides.
7- 8. In the figure, if AE = 8
AB=4, BC=10, ED=3
Find BD and DC.
9 – 10. Explain: Any two equilateral triangle are similar.
500
500
A
B
D
C
E
Lesson 3
Application of the Properties of Similar Triangles to Calculate
Lengths of certain line segments.
Examples:
DEFABC ∆∆ ~ . Find the missing measure.
1. AB = 36, BC = 24, DE = 48 Bm∠ = 110, Em∠ = 110; EF =_______.
DE
AB
=
EF
BC
48
36
=
x
24
36x = 1152
x = 32
EF = 32
2. AB = 38, BC =24, AC=30, DE=12, EF=16, DF= _______.
DE
AB
=
DF
AC
12
18
=
x
30
2
3
=
x
30
3x = 60
x = 20
DF = 20
3. AC = 15, DE=12, DF=20, =∠Am 35=∠Dm , AB =__________
DE
AB
=
DF
AC
12
x
=
20
15
12
x
=
4
3
4x = 36
x = 9
AB = 9
4. The lengths of the sides of a triangle are 14, 8 and 6. Find the
perimeter of a similar triangle if the length of its shortest side is 12.
Let x = the length of one side of a triangle
x = the length of the longest side of the triangle
12
6
=
x
8
2
1
=
x
8
x = 16
12
6
=
y
14
2
1
=
y
14
y = 28
P = 12 + 16 + 28
P = 56
5. On a level ground, a 5ft. person and a flagpole cast shadows of 10
feet and 60 feet respectively. What is the height of the flagpole?
Let x = the height of the flagpole
x
5
=
60
10
x
5
=
6
1
x = 30 feet the height of the flagpole
Exercises
1. A yardstick casts a shadow of 24in. at the same time an electric
post cast a shadow of 20ft. 8 in. What is the height of the electric
post?
2. Two triangles are similar. The lengths of the sides of one triangle
are 5, 12 and 13. Find the lengths of the missing sides of the
other triangle if its longest side is 39.
3. The perimeter of a triangle is 32cm. and the ratio of the sides is
3:6:7. Find the length of each side of the triangle.
4. A tall building at Makati casts a shadow of 12m. at the same time
a 7m. light pole cast a shadow of 3m. Find the height of the
building.
5. If the shadow of the tree is 20m. long and the shadow of the
person, who is 190cm. tall, is 250cm. long. How tall is the tree?
Let’s Summarize
1. Two triangles are similar if their vertices can be paired so that
corresponding angles are congruent and the lengths of
corresponding sides are proportional.
2. The AAA Similarity. If the corresponding of two triangles are
congruent, then the two triangles are similar.
3. The AA Similarity. If two pairs of corresponding angles of two
triangles are congruent, then the two triangles are similar.
4. The SSS Similarity. If the lengths of corresponding sides of two
triangles are proportional, then the two triangles are similar.
5. The SAS Similarity. If one pair of corresponding angles of two
triangles are congruent and the lengths of the corresponding sides
that include these angles are proportional, then the two triangles
are similar.
What have you learned?
A. Given the figures and the information below can you
conclude that RPSKMN ∆∆ ~ ?
If so what Similarity Theorem?
1. 80=∠Mm 80=∠Pm
2. 80=∠Mm , 100=∠+∠ SmRm
3. RS = 26
KN = 40
B. Find the missing side
4.
5.
6 – 7. If the shadow of the tree is 14cm. long and the shadow of the
person who is 1.8m. tall is 4m long, how tall is the tree?
8 – 10. A pole 3m. high has a shadow 5m long when the shadow of a
nearby building is 110m. long. How tall is the building?
K
24
M
36
N
R
16
P
24
S
24
x 5
6
16
20
3 4
5
9 12
X =?
Key
How much do you know?
1. yes, SAS
2. No
3. yes, SAS
4. yes, AAA
5. yes, SSS
6. 16,28
Lesson 1 Exercises:
A.1. R∠ B. 1. Correct C. 1. a=6
2. E∠ 2. correct b=1
3. L∠ 3. Not correct
4. RE 4. correct 2. NP=24
5. YE 5. correct NO=12
6. 5 6. correct PO = 18
7. 3 7. DE, EF, DF
8. RS, ST, RT
9. RS, RT, ST
10. MO, MN, NO
Lesson 2
A.1. Similar, SSS B.1. Similar, SAS C.1. yes
2. Similar, SAS 2. Similar, AA 2. no
3. Similar, SAS 3. Similar, SAS, AA 3. no
4. Similar, SSS 4. Similar, AA 4. yes
5. Similar, AAA 5. Similar, SSS 5
6. Similar, SSS 6
7. Similar, SAS 7. BD = 5.7’
8. not similar 8. DC = 7.5
9. Similar, SAS 9
10.Similar, SSS 10
18, 22.5
Equilateral ∆
is equiangular
by AAA. Any
2 equilateral ∆
are similar.
Lesson 3
Exercises
1. 372in.
2. 15, 36
3. 6cm., 12cm., 14cm.
4. 28m.
5. 152cm.
What have your learned?
1. Similar, SAS
2. Similar, SAS
3. not similar
4. 4
5. 15
6-7. 6.3m
8 - 10. 66m.
Fun with Math
Activities
Related to
Similar Figure
List all the triangles in the figure that are similar to MAN∆ .
C
B
A
E
D
D
O
L
M N
Polymonies are made up of a number of squares connected
by common sides. Thirteen sticks were used to make this one with
four squares. Investigate the numbers of sticks needed to make
others.
How many rectangles are there in this
diagram?
Make a rectangular grid of squares. Cut it along the grid
lines to make two identical pieces.
Module 3
Similarity
What this module is about
This module is about similarities on right triangles. As you go over the
exercises you will develop skills in applying similarity on right triangles and solve
for the missing lengths of sides using the famous Pythagorean theorem.
What you are expected to learn
1. Apply AA similarity on Right triangles
2. In a right triangle, the altitude to the hypotenuse separates the triangle
into two triangles each similar to the given triangle and similar to each
other.
3. On a right triangle, the altitude to the hypotenuse is the geometric
mean of the segments in which it divides, each leg is the geometric
mean of the hypotenuse and the segment of the hypotenuse adjacent
to it.
4. Pythagorean Theorem and its application to special right triangles
How much do you know
Use the figure to answer each of the following:
1. What is the hypotenuse of rt. ∆ABC?
C
BA
D
2
2. If ∠ C is the right angle of ∆ABC and CD ⊥ AB then ∆ABC ∼ ∆BDC ∼ ___.
3. Complete the proportion:
BDCD
AD ?
=
4. In rt. ∆PRO, ∠ R is a right angle OR = 24 and PO = 26,
find PR:
5. In a 30°-60°-90° triangle the length of the hypotenuse is 14. Find the
length of the longer leg.
6. In a 30°-60°-90° triangle, the length of the hypotenuse is 11
2
1
. Find the
length of the shorter leg.
7. In a 45° - 45° - 90° triangle, the length of the hypotenuse is 16. Find the
length of a leg.
8. Find the length of the altitude of an equilateral triangle if the length of a
side is 6.
9. Find the length of the diagonal of a square if the length o a side is 10 cm.
10. ∆BAC is a right triangle ∠C is right angle CD ⊥ AB. Find CD if AD = 14,
DB = 6
O
P R
24
26
C
B
D
A
14 6
3
What will you do
Lesson 1
Similarity on Right Triangle
Let us recall the AA Similarity Theorem.
Given a correspondence between the vertices of two triangles. If two pairs
of corresponding angles are congruent, then the triangles are similar.
From the theorem, if ABC ↔ RST and ∠A = ∠R, ∠B = ∠S then ∆ABC ∼
∆RST. We can apply this theorem to prove another theorem, this time in a right
triangle.
Theorem: In a right triangle, the altitude to the hypotenuse separates the
triangle into to two triangles each similar to the given triangle and
similar to each other.
Given: Right ∆ABC with altitude CP
Prove: ∆ACP ∼ ∆CBP ∼ ∆ABC
To prove this theorem, we apply the AA Similarity Theorem
A
P
B
C
S
TR
B
A C
4
Examples:
If you are given ∆PRT a right triangle and RM an altitude to the hypotenuse
then we can have three pairs of similar triangles.
∆RMP ∼ ∆TRP
∆TMR ∼ ∆TRP
∆RMP ∼ ∆TMR
Try this out
A. Use the figure to answer each of the following:
1. Name the right triangle of ∆ABC
2. What is the altitude to the hypotenuse of ∆ABC?
3. Name the hypotenuse of ∆ABC
4. Two segments of the hypotenuse
Are AD and ____.
5. The hypotenuse of ∆BCD if
CD ⊥ AB is ____.
6. Name the right angle of ∆ACD
7. Name the hypotenuse of right ∆BCD
8. ∆ADC ∼ _____
9. ∆ABC ∼ _____
10.∆ABC ∼ _____
B. Name the pairs of right triangles that are similar.
1.
2.
3.
R
P
M
T
D
C
BA
S
R T
O
5
4.
5.
6.
C. Use the figure at the right.
1. Name all the right triangles.
2. In ∆ABC, name the altitude to the hypotenuse.
3. Name the hypotenuse in ∆ADC.
4. Name the hypotenuse of ∆ACB.
One of the segments shown is an altitude to the hypotenuse of a right
triangle. Name the segment.
5. 6. 7.
Name the three pairs of similar triangles:
8.
9.
10.
A
D
C B
B
CA
D
M
N
OP
M
S
RO
I D
J
KG F
H
E
6
Lesson 2
Geometric Mean in Similar Right Triangles
The previous theorem states that:
In a right triangle, the altitude to the hypotenuse divides the triangle into
similar triangles, each similar to the given triangle.
If : ∆ACB is right with ∠C, the right angle
CD is the altitude to the hypotenuse AB.
Then : ∆ADC ∼ ∆ACB
∆CDB ∼ ∆ACB
∆ADC ∼ ∆CDB
Corollary: 1. In a right triangle, the altitude to the hypotenuse is the geometric
mean of the segments into which divides the hypotenuse
In the figure:
DB
CD
CD
AD
=
Corollary 2: In a right triangle, each leg is the geometric mean of the hypotenuse
and the segment of the hypotenuse adjacent to it.
In the figure:
AD
AC
AC
AB
=
AD
BC
BC
AB
=
C
BA
D
C
B
D
A
C
A
B
D
7
Examples:
1. How long is the altitude of a right triangle that separates the hypotenuse
into lengths 4 and 20?
20
4 a
a
=
a2
= 80
a = 80
a = 516⋅
a = 54
2. Use the figure at the right to solve for x and y.
8
2 x
x
=
x2
= 16
x = 16
x = 4
Solve for y
8
6 y
y
=
y2
= 48
y = 48
y = 316⋅
y = 4 3
204
a
2
y
x
8
8
Try this out
A. Supply the missing parts:
1.
?
RT
RT
RW
=
2.
RS
TSWS
=
?
3.
RS
TS
TS
=
?
4.
?
RT
RT
RS
=
Give the indicated proportions.
5. The altitude is the geometric mean
6. The horizontal leg is the geometric mean
7. The vertical leg is the geometric mean
Find:
8. BS
9. RS
10.ST
B. Solve for x and y:
1.
x =
y =
F
S
OP
R
B
TS
8
2
x
4
7
y
T
S
W
R
9
x
y
2.
x =
y =
3.
x =
y =
4.
x =
y =
5.
x =
y =
C.
Given: Right ∆POM OR ⊥ PM,
xy
5
10
6
O
M
R
P
10
x
y
4 10
y
10
20
x
10
Find the missing parts:
1. PR = 5, RM = 10, OR =
2. OR = 6, RM = 9, PR =
3. PR = 4, PM =12, PO =
4. RM = 8, PM =12, OM =
5. PO = 9, PR = 3, PM =
6. PR = 6, RM = 8, PO =
7. PR = 4, RM = 12, OM =
8. PR = 4, PO = 6, RM =
9. PR = 8, OR = 12, RM =
10.PM =15, OM = 12, RM =
Lesson 3
The Pythagorean Theorem
In a right triangle, the square of the length of the hypotenuse is equal to the
sum of the squares of the lengths of the legs.
In the figure:
∆BCA is right with leg lengths,
a and b and hypotenuse length, c.
The Pythagorean Theorem in symbol:
c2
= a2
+ b2
Pythagorean Theorem is named after Pythagoras, a Greek Mathematician of
the sixth century BC. This theorem can be used to find a missing side length in a
right triangle.
Examples:
1. In the figure c = 13, b = 12
Find a:
c2
= a2
+ b2
132
= a2
+ 122
B
C A
a c
b
a = ?
c = 13
b = 12
11
a2
=132
- 122
a2
=169 – 144
a2
= 25
a = 25
a = 5
2. Find c, if a = 16 and b = 12
c2
= a2
+ b2
c2
= 162
+ 122
c2
= 256 + 144
c = 400
c = 20
3. c2
= a2
+ b2
82
= 42
+ b2
b2
= 82
– 42
b2
= 64 –16
b2
= 48
b = 48
b = 316⋅
b = 4 3
Try this out:
A. State whether the equation is correct or not
1.
a2
+ b2
= c2
2.
r2
= s2
+ t2
a = 16
b = 12
c = ?
a = 4
b = ?
c = 8
ac
b
rt
s
12
3.
e2
= f2
– d2
4.
a2
= c2
– b2
5.
k2
= l2
– m2
6.
p2
= r2
+ q2
7.
x2
= 32
+ 42
e
d
f
a
c
b
l
k
m
p
q
r
3x
4
13
8.
x2
= 102
– 72
9.
x2
= 42
+ 62
10.
x2
= 72
– 52
B. Write the equation you would use to find the value of x.
1.
2.
10
7
x
x4
6
x7
5
x4
3
x6
5
14
3.
4.
Classify each statement as true or false
5. 32
+ 42
= 52
6. 102
– 62
= 82
7. 12
+ 12
= 22
8. 22
+ 22
= 42
9. 72
– 52
= 52
10.92
+ 122
= 152
C. Given the lengths of two sides of a right triangle. Find the length of the third
side
1. a = 6, b = 8, c =
2. a = 5, b = 12, c =
3. a = 12, c = 15, b =
4. b = 4, c = 5, b =
5. a = 24, c = 26, b =
6. b = 16, c = 20
x
7
10
x5
6
ac
b
B
CA
15
7.
8.
9.
10
Lesson 4
Special Right Triangle
Isosceles Right Triangle or 45° – 45° – 90° Theorem:
In a 45° – 45° – 90° triangle, the length of the hypotenuse is equal to the
length of a leg times 2 .
In the figure:
If ∆ABC, a 45° – 45° – 90° triangle
when AC = BC = s then AB = s 2 .
30° - 60° - 90° Theorem:
In a 30° - 60° - 90° triangle, the length of the hypotenuse is twice the
length of the shorter leg, and the length of the longer leg is 3 times the length
of the shorter leg.
In the figure:
If ∆PRT where ∠R is a
right angle and ∠T = 30°,
Then:
a. PT = 2PR
b. RT = PR 3
a b c
7 24 ?
4 6 ?
7 9 ?
6 3 ? 12
ss
C
BA 45° 45°
P
RT
60°
30°
16
Examples:
1.Find the length of the hypotenuse of an isosceles
right triangle with a leg 7 2 cm long.
Hypotenuse = leg 2⋅ .
= 7 2 2⋅
= 7 · 2
= 14
2. Find the length of each leg of a 45° - 45° - 90°
triangle with a hypotenuse 12 cm long.
Leg =
2
hypotenuse
=
2
12
=
2
2
2
12
⋅ =
2
212
= 6 2 cm
3. Find the length of the longer leg and the length
of the hypotenuse.
Longer leg = shorter leg · 3
= 30 · 3
= 30 3 m
hypotenuse = shorter leg · 2
= 30 · 2
= 60 m
Try this out
A. Use the figure to answer the following:
1. The hypotenuse of a rt. ∆ABC is ___________.
2. The shorter leg of rt. ∆ABC is ___________.
7 2
45°45°
45°
45°
12 cm
30°
30 m
30°
30°
60°
60°
C
BA
D
17
3. The shorter leg of rt. ∆ADC is ___________.
4. The longest side of rt. ∆ADC is _________.
5. The altitude to the hypotenuse of ∆ACD is ________.
6. The longer leg of rt. ∆ACB is _________.
7. The longer leg of rt. ∆ADC is ________.
8. When CD = 2 then ____ = 4.
9. When CB = 6 then _____ = 6 3
10. When CB = 6 then _____ = 3
B. Find the value of x in each of the following:
1. 2. 3.
4. 5. 6.
7. 8. 9.
10.
x
45°
45°
10
30°
x
60°
24
30°
x
60°
30x
45°
45°
12
x
45°
45°
7
30°
x
60°
26
30°
x
60°
18
30°
60°
x
16
30°
60°
x
10
60°
30°
x
6
18
30°60°
x
y
10
C. Find the missing lengths, x and y.
1. 2.
45° 45°
3. 4.
5. 6.
7. 8.
60°
30°
9. 10.
45°
yx
5
45° 45°
x y
3
y
x
7
30°
10 3
x
y
30°
x
y
5
45°
45°
y
x
2
3
45° 45°
x y
2
3
45°
x
y
1.5
60°
30°
.5 3
x
y
19
Beyond the Pythagorean Theorem
In symbol c2
= a2
+ b2
, where c is the hypotenuse and a and b are the legs of
a right triangle.
Figure shows acute triangles
Figure shows obtuse triangles
Figure shown right triangle
20
Activity:
This activity will help you extend your understanding of the relationship of the
sides of a triangle.
Materials: Strips of paper cut in measured lengths of 2, 3, 4, 5, 6 and 8 units.
Procedure:
1. Form triangles with strips indicated by the number triplets below.
2. Draw the triangle formed for each number triple.
3. Fill out the table:
Number triplets
What kind of
triangle
Compute c2
Compute a2
+ b2
1. 3 4 5 Right 52
= 25 32
+ 42
= 25
2. 2 3 4
3. 2 4 5
4. 5 4 8
5. 6 5 8
6. 4 5 6
7. 2 3 3
8. 3 3 4
After the computation, the completed table will look like this
Number triplets
Kind of
triangle
c2
a2
+ b2 Comparison of c with
(a2
+ b2
)
1. 3 4 5 Right 25 25 Equal to
2. 2 3 4 Obtuse 16 13 Greater than
3. 2 4 5 Obtuse 25 20 Greater than
4. 5 4 8 Obtuse 64 41 Greater than
5. 6 5 8 Obtuse 64 61 Greater than
6. 4 5 6 Acute 36 41 Smaller than
7. 2 3 3 Acute 9 13 Smaller than
8. 3 3 4 Acute 16 18 Smaller than
1. What kind of ∆ did you get from triplet no. 1?
2. In triplet no. 1, what is the relation between c2
and (a2
+ b2
)?
3. Which triplets showed obtuse triangle?
21
4. For each obtuse triangle compare the result from c2
and (a2
+ b2
).
5. For acute triangles how will you compare the result of c2
and (a2
+ b2
)
Fill in the blanks with <, =, >:
6. In a right triangle, c2
____ a2
+ b2
7. In an obtuse triangle, c2
______ a2
+ b2
8. In an acute triangle, c2
____a2
+ b2
Let’s Summarize
Theorem: In a right triangle, the altitude to the hypotenuse separates the
triangle into two triangles each similar to the given triangle and
similar to each other.
Corollary 1: In a right triangle, the altitude to the hypotenuse is the
geometric mean of the segments into which it divides the
hypotenuse.
Corollary 2: In a right triangle, each leg is the geometric mean of the
hypotenuse and the segment of the hypotenuse adjacent to
it.
Pythagorean Theorem: The square of the length of the hypotenuse is
equal to the sum of the squares of the legs.
45°-45°-90° Theorem: In a 45°-45°-90° triangle, the length of the
hypotenuse is equal to the length of a leg times
2 .
30°- 60° - 90° Theorem: In a 30°- 60°- 90° triangle, the length of the
hypotenuse is twice the length of the shorter
leg, and the length of the leg is 3 times the
length of the shorter leg.
22
What have you Learned
Fill in the blanks:
1. The _______ to the hypotenuse of a right triangle forms two triangles each
similar to the given triangle & to each other.
2. The lengths of the ________ to the hypotenuse is the geometric mean of
the lengths of the segments of the hypotenuse.
3. In the figure
?
MA
MA
AB
=
for nos. 3 & 4
4. If BP = 8
AB = 4
Find PM ___
5. If in a right triangle the lengths of the legs are 8 and 15, the length of the
hypotenuse is _______
6. Find the length of an altitude of an equilateral triangle if the length of a
side is 10.
7. In a 30° – 60° – 90° triangle, the length of the hypotenuse is 8. Find the
length of the shorter leg.
8. - 9. ∆ACB is an isosceles right triangle. CD bisects ∠C, the right angle.
Find AB and CB.
10. What is the height of the Flag Pole?
M
P
B
A
C
A B
D
3
2 m
8 m
23
Answer key
How much do you know
1. AB 6. 5
4
3
2. ∆ACB 7. 8 2
3. CD 8. 3 3
4. 10 9. 10 2
5. 7 3 10. 2 21
Lesson 1:
A. B.
1. ∠C or ∠ACB 1. ∆ROS ∼ ∆RST
2. CD 2. ∆TOS ∼ ∆RST
3. AB 3. ∆ROS ∼ ∆TOS
4. BD or DB
5. BC 4. ∆MST ∼ ∆MOR
6. ∠ADC 5. ∆RSO ∼ ∆MOR
7. BC 6. ∆MST ∼ ∆RSO
8. ∆BDC
9. ∆ADC
10.∆BDC
C.
1. ∆ADC, ∆BDC, ∆ACB
2. CD
3. AC
4. AB
5. BD
6. GH
7. OK
8. ∆MNR ∼ ∆MPO
9. ∆ONP ∼ ∆MPO
10. ∆MNP ∼ ∆ONP
Lesson 2
A. B. C.
1. WS 1. x = 2 11 1. 5 2
2. TS y = 2 7 2. 4
24
3. WS 2. x = 10 3 3. 4 3
4. RW y = 30 4. 4 6
5.
SP
OS
OS
SF
= 3. x = 2 14 5. 27
y = 2 35 6. 4 3
6.
PF
PO
PO
SP
= 4. x = 20 7. 8 3
y = 5 5 8. 9
7.
PF
OF
OF
FS
= 5. x =
3
2
16
6
100
or 9. 18
y = 10 10. 9.6
8. 4
9. 2 5
10. 4 5
Lesson 3
A. B. C.
1. correct 1. x2
= 32
+ 42
1. 10
2. correct 2. x2
= 62
– 52
2. 13
3. not 3. x2
= 102
– 72
3. 9
4. correct 4. x2
= 62
– 52
4. 3
5. correct 5. true 5. 10
6. not 6. true 6. 12
7. correct 7. false 7. 25
8. correct 8. false 8. 2 13
9. not 9. false 9. 130
10. not 10. true 10. 6
Lesson 4
A. B. C. x y
1. AB 1. 12 1. 5 3 5
2. BD 2. 10 3 2.
2
3
2
23
3. CD 3. 8 3. 3 3
4. AC 4. 18 3 4.
2
23
2
23
25
5. CD 5. 13 5.
2
25
2
25
6. AC 6. 7 2 6.
2
25.1
2
25.1
7. AD 7. 12 3 7. 14 7 3
8. AC 8. 12 2 8. 5 5 3
9. AC 9. 15 3 9. 5 3 15
10. DB 10.
3
310
10. 5 10
What have you learned
1. altitude
2. altitude
3. AP
4. 4 2
5. 17
6. 5 3
7. 4
8. 3 2
9. 3
10. 2 3
Module 1
Plane Coordinate Geometry
What this module is about
This module will explain to you the relationship among lines on the plane. This will
also tell you about intersecting line, non-intersecting lines, characteristics of parallel lines
and perpendicular lines. Furthermore, this will tell you how to determine the intersection of
two lines if there is any.
What you are expected to learn
This module will help you
1. Determine the point of intersection of two lines
2. Compute for the coordinates of the intersection of two lines.
3. Determine without graphing if the given lines are parallel, perpendicular or neither.
4. Define algebraically parallel and perpendicular lines.
How much do you know
Given each pair of lines, determine if they are a) intersecting but not perpendicular,
b) perpendicular and c) parallel
1. y = 3x – 7
y = 3x + 1
2. 2x + 3y = 5
3x – 2y = 8
3. x + 2y = 9
4x + 3y = 1
4. 3x – 2y = 3
3x + 5y = 14
5. 2x – 4y = 1
4x – 8y = 7
2
6. The slopes of parallel lines are ___________.
7. What is the slope of the line parallel to 2x + 4y – 3 = 0?
8. What is the slope of the line perpendicular to x – 6y + 5 = 0?
9. Write equation of the line parallel to 5x + 8y = 7 and passing through (2, 4).
10. At what point do the lines 3x – y = 7 and 5x + y = 9 intersect?
What you will do
Lesson 1
Intersection of Two Lines
Lines on the plane can either intersect or not. If two lines intersect, then there is a
common point between them. That common point is where the two lines intersect. In a
plane, this point has two coordinates, the x and y coordinates. The coordinates of the
intersection can be solved algebraically. In second year algebra, you are taught how to
solve systems of linear equations. That knowledge will help you a lot in understanding this
lesson. Since every equation of the line assumes the general form ax + by + c = 0, to get
the intersection of two lines, you solve for the value of x and y common to both equations.
To solve for the value of x and y algebraically, there are methods that can be used.
The following steps can help you in solving systems of linear equations.
1. Eliminate one variable by using
a. addition or subtraction
b. finding the value of one variable in terms of the other variable
2. Solve for the value of the other variable
3. Substitute the computed value of one variable on either of the two equations to
solve for the value of the remaining variable.
Examples:
1. Find the point of intersection of the lines whose equations are 3x – y =10 and 5x + y =14.
Solution:
To find the intersection of the two lines, solve the system by eliminating one
variable through addition. Add the similar terms of the first equation to that of the second
equation.
Equation 1 3x – y = 10
Equation 2 5x + y = 14
Add 8x + 0 = 24
8x = 24
x = 3
3
Then replace x with 3 in either Equation 1 0r Equation 2
Equation 1 3x – y = 10
3(3) – y = 10
9 - y = 10
- y = -1
y = 1
Therefore the point of intersection of the two lines is (3, -1)
2. Find the point of intersection of the two lines whose equations are x + 2y = 4 and
3x + 5y = -21.
Solution:
Another method of eliminating one variable is through substitution. You get the value
of one variable in terms of the other variable.
Equation 1 x + 2y = 4
Equation 2 3x – 5y = -21
Using Equation 1, solve for x in terms of y
x + 2y = 4
x = 4 – 2y
Using Equation 2, replace x with 4 – 2y
Equation 2 3x – 5y = -21
3(4 – 2y) - 5y = -21
12 – 6y – 5y = - 21
- 11y = - 21 – 12
- 11y = - 33
y = 3
Then replace y with 3 on either Equation 1 or Equation 2 to solve for the value of x.
Equation 1 x + 2y = 4
x+ 2(3) = 4
x + 6 = 4
x = -2
So the intersection of the two lines is the point whose coordinates are (-2, 3).
3. At what point do the lines 3x + 2y = 12 and 4x – 3y = -1 intersect?
4
Solution.
To eliminate a variable in this example, first find equivalent equations with equal but
opposite coefficient in x or in y by multiplying one or both equations by a number factor.
Equation 1 3x + 2y = 12
Equation 2 4x – 3y = -1
3(3x + 2y) = 12 9x + 6y = 36
2(4x – 3y) = -1 8x – 6y = -2
Add Equation 1 and 2 17x + 0 = 34
7x = 34
x = 2
Then replace x with 2 in either Equation 1 or 2
Equation 1 3x + 2y = 12
3(2) + 2y = 12
6 + 2y = 12
2y = 6
y = 3
Therefore, the point of intersection is (2, 3).
Example 4. Find the point of intersection of the lines y = 2x – 2 and y – 2x = 1.
Solution: Using any of the previous methods, solve the system of equations.
Equation 1 y = 2x – 2
Equation 2 y – 2x = 1
Using Equation 1, solve for y in terms of x
y = 2x - 2
Replace y by 2x - 2 in the second equation.
(2x – 2) – 2x = 1
2x - 2 – 2x = 1
-2 = 1 , this is a false statement.
Solving the system led to a false statement. Therefore the system is inconsistent and
has no solution . So the lines do not intersect. There is a way of determining whether the
two lines intersect or not. The following theorem can be used to determine if two lines
intersect or not.
5
Theorem: If two non-vertical lines intersect, then their slopes are not equal.
This theorem can be verified as follows.
Y
B (x2,y2)
C(x3,y3)
A
(x1, y1)
X
Let A, B and C be three distinct points on a plane. By line determination postulate,
line AB and line AC can be constructed with A as a common point or point of intersection.
Get the slopes of the two lines.
For line AB, the slope
m1 =
12
12
xx
yy
−
−
For line AC, the slope
m2 =
13
13
xx
yy
−
−
Since the numerators and denominators in the two fractions are different, then the
two slopes are not equal. Thus
21 mm ≠
The converse of the theorem, “ If two non-vertical lines have different slopes, then the
lines are intersecting,” is also true.
5. Without graphing, show that 5x – y = 7 and 3x + 2y = 4 are intersecting lines.
Solution: Transform each equation to slope-intercept form.
Equation 1 5x – y = 7
- y = -5x + 7
y = 5x - 7
slope (m1) = 5
6
Equation 2 3x + 2y = 4
2y = - 3x + 4
y = 2
2
3
+− x
slope (m2) =
2
3
−
Since 21 mm ≠ , then the two lines are intersecting.
Try this out
A. Without graphing, show that the following pairs of lines are intersecting.
1. y = 3x – 4
y = x + 7
2. y = 4
2
1
−x
y = 6
2
3
+x
3. x + 4y = 3
2x + y = 7
4. 2x – y = 8
2x + y = 7
5. 3x – 5y = 4
x + y = 4
B. Find the intersection of the following pairs of lines.
1. 3x – 4y = 1
3x + y = -4
2. x + 5y = 13
2x – y = -7
3. x – 6y = 11
3x + 3y = 12
4. 2x – 5y = -7
3x + 2y = 18
5. 3x – 7y = -15
2x + 6y = -10
7
Lesson 2
Parallel and Perpendicular Lines
In the previous lesson, there was an example in which the solution of the system of
equations led to a false statement. This showed that the two lines do not intersect. In a
plane, if two lines do not intersect, then they are parallel.
Let us consider the given in example 4.
Equation 1 y = 2x - 2
Equation 2 y – 2x = 1
If we graph the two lines on the same set of axes, they will look like this.
The graphs showed that the two lines are parallel. Without graphing, you can also
determine if the lines are parallel or if they intersect. The following theorem can be used to
prove that two lines are parallel.
Theorem: If two non vertical lines are parallel, then the slopes are equal. The converse of
this theorem is also true.
Converse theorem: If two lines which are not coincident have the same slope, then the
lines are parallel.
8
Consider the given lines above. To prove that they are parallel, their slopes must be
equal, transform the equations into y-form or slope-intercept form.
Equation 1 y = 2x - 2
The equation is already in y - form.
slope(m1) = -2
Equation 2 y – 2x = 1
Again, transform to slop-intercept form
y = -2x + 1
slope (m2) = -2
You can see that m1 = m2 . Therefore, the two lines are parallel.
The slope of horizontal line is zero (0), thus all horizontal lines are parallel to each
other. Slope of vertical line is undefined and so all vertical lines are also parallel to each
other.
In a plane, some lines are parallel, and others are intersecting. Intersecting lines
may be perpendicular or not. The next theorem will help you determine if the pair of lines is
perpendicular or not.
Theorem: If two non vertical lines are perpendicular, then their slopes are negative
reciprocals.
Examples:
1. Show that the lines whose equations are 3x + y = 4 and x – 3y = 7 are perpendicular.
Solution:
Equation 1 3x + y = 4
Transform to slope-intercept form
y = -3x + 4
slope (m1) = -3
Equation 2 x – 3y = 7
Transform to slope-intercept form
- 3y = -x + 7
9
y =
3
7
3
1
−
+
−
−
x
y =
3
7
3
1
−x
slope (m2) =
3
1
Comparing their slopes, it is obvious that they are the negative reciprocal of each
other. Hence, we can conclude that the two lines are perpendicular.
2. Determine which pairs of lines are parallel, perpendicular or just intersecting.
a. Line 1 5x – 2y = 7
b. Line 2 2x + 5y = 4
c. Line 3 4x + 10y = 6
d. Line 4 3x + y = 5
e. Line 5 x – 3y = 6
f. Line 6 2x + 6y =1
Solution:
Transform each equation to slope-intercept form
a. 5x – 2y = 7
- 2y = - 5x + 7
y =
2
7
2
5
−
+
−
−
x
y =
2
7
2
5
−x
m1 =
2
5
b. 2x + 5y = 4
5y = -2x + 4
y =
5
4
5
2
+
−
x
m2 =
5
2
−
c. 4x + 10 y = 6
10 y = -4x + 6
10
y =
10
6
10
4
+
−
x
y =
5
3
5
2
+− x
m3 =
5
2
−
d. 3x + y = 5
y = -3x + 5
m4 = -3
e. x – 3y = 6
- 3y = -x + 6
y =
3
6
3 −
+
−
− x
y = 2
3
1
−x
m5 =
3
1
f. 2x + 6y = 1
6y = -2x + 1
y =
6
1
6
2
+
−
x
y =
6
1
3
1
+− x
m6 =
3
1
−
By comparing the computed slopes, you can determine the relationship of a line with
the other lines.
Since the slopes of line 1 and line 2 are negative reciprocals, then line 1 is
perpendicular to line 2. Line 1 and line 3 are also perpendicular to each other since their
slopes are negative reciprocals. The slopes of line 2 and line 3 are equal so line 2 is
parallel to line 3. The slopes of line 4 and line 5 are also negative reciprocals so these lines
are also perpendicular. On the other hand, other pairs of lines like line 4 and line 6, line 5
and line 6 are just intersecting line since their slopes are not equal. The summary of the
relationship between each pair of lines is given below.
11
Pair of Lines Relationship Pair of Lines Relationship
Line 1 and line 2 Perpendicular Line 2 and line 6 Just intersecting
Line 1 and line 3 Perpendicular Line 3 and line 4 Just intersecting
Line 1 and line 4 Just intersecting Line 3 and line 5 Just intersecting
Line 1 and line 5 Just intersecting Line 3 and line 6 Just intersecting
Line 1 and line 6 Just intersecting Line 4 and line 5 Perpendicular
Line 2 and line 3 Parallel Line 4 and line 6 Just intersecting
Line 2 and line 4 Just intersecting Line 5 and line 6 Just intersecting
Line 2 and line 5 Just intersecting
3. Prove that the quadrilateral whose vertices are given is a parallelogram.
A(-3, 3), B(-2, -2), C(8, 3), D(7, 8)
Solution:
Parallelogram is defined as quadrilateral whose opposite sides are parallel. To prove
that ABCD is a parallelogram, show that opposite sides have equal slopes.
Slope of AB:
mAB =
)3(2
32
−−−
−−
=
1
5−
mAB = -5
Slope of CD:
mCD =
87
38
−
−
=
1
5
−
mCD = -5
Since the slopes of side AB and side CD are equal, then AB║CD.
Slope of BC:
mBC =
)2(8
)2(3
−−
−−
=
28
23
+
+
=
10
5
mBC =
2
1
12
Slope of AD:
mAD =
)3(7
38
−−
−
=
10
5
mAD =
2
1
Since the slope of side BC is equal to the slope of side AD then BC║AD.
Therefore we can conclude that ABCD is a parallelogram since the opposite sides
are parallel.
4. Prove that the following points are vertices of a right triangle. A(-3, 5), B(6, 1)
and C(-7, -4).
Solution:
Since one angle of a right triangle is right, then two sides must be perpendicular and
you have to find the slopes of the three sides to prove this.
Slope of AB:
mAB =
)3(6
51
−−
−
mAB =
9
4−
Slope of BC:
mBC =
67
14
−−
−−
=
13
5
−
−
mBC =
13
5
Slope of AC:
mAC =
)3(7
54
−−−
−−
=
4
9
−
−
mAC =
4
9
13
From the computed slopes of the three sides AB, BC and AC, it is clear that AB is
perpendicular to AC since their slopes are negative reciprocals. Hence we can conclude
that BAC∠ is a right angle. It only proved that ∆ABC is a right triangle. If we sketch the
graph on the Cartesian plane, it will look like this.
Y
(-3, 5)
5. Write an equation in standard form of the line passing through
a. point (1, -2) and parallel to y = 3x + 2
b. point (3, 4) and perpendicular to y = 2x – 7.
Solution:
a. Since parallel lines have equal slopes, then the slope of the required line is 3.
Using the point slope form, determine the equation of the line.
y – y1 = m(x – x1)
y – (-2) = 3(x – 1)
y +2 = 3x -3
-3x + y +2+3 = 0
-3x + y + 5 = 0 or
3x – y - 5 = 0, this is the required equation of the line
b. Perpendicular lines have slopes which are negative reciprocal of one another.
Since the slope of the given line is 2, then the slope of the required line is
2
1
− . Using
the point-slope form of the line, determine the equation of the required line.
y – y1 = m(x – x1)
y – 4 = )3(
2
1
−− x
X
(-7,-4)
(6,1)
14
2(y – 4) = -1(x – 3)
2y – 8 = -x + 3
x + 2y – 8 – 3 = 0
x + 2y – 11 = 0 , the required equation of the line.
6. A right triangle has its right angle at (-4, 1) and the equation of one of its legs is
2x – 3y + 11 = 0. Find the equation of the other leg.
Solution:
The two legs of a right triangle are perpendicular at the vertex of the right angle.
Their slopes are the negative reciprocal of each other. Since the equation of one of its legs
is 2x – 3y + 11 = 0, then we have to compute for the slope first.
Get the slope of the given leg.
2x – 3y + 11 = 0
Transform the equation to slope intercept form.
- 3y = - 2x - 11
y =
3
11
3
2
−
−
+
−
−
x
y =
3
11
3
2
+x
Since the slope of the given line is
3
2
, then the slope of the required line is
2
3
− .
Using the point - slope form, determine the equation of the line:
y – y1 = m(x – x1)
y – 1 = [ ])4(
2
3
−−
−
x
2(y – 1) = -3(x + 4)
2y – 2 = -3x – 12
3x + 2y – 2 + 12 = 0
The equation of the other leg is 3x + 2y + 10 = 0
Try this out
A. Determine if the pair of lines are parallel, perpendicular or neither.
1. y = 2x + 5
y = 7
2
1
−− x
15
2. y = 4x – 1
y = 4x + 3
3. y =
2
3
2
5
+x
y = 3
5
2
+− x
4. y = 3x – 7
y = x + 8
5. 2y = x + 4
y = 2x – 5
6. x + y = 5
x – y = 3
7. 2x + y = 9
x – 2y = - 4
8. 2x + y = 8
4x + 2y = -3
9. 3x + 2y – 1 = 0
2x – 3y – 7 = 0
10. 2x + 7y + 6 = 0
2x + 7y – 11 = 0
B. Prove that the following points are vertices of a parallelogram or not. Justify.
1. A(3, 7), B(4, 3), C(-2, 1), D(-3, 5)
2. L(4, 2), O(8, 3), V(6, -5), E(2, -6)
3. P(-3, -2), L(1, -1), A(1, -8), N(-3, -6)
C. Verify if the following are vertices of a right triangle. Explain your answer.
1. E(1, 6), A(6, 2), r(1, 2)
2. A(1, 4), C(-3, -1), E(7, -5)
3. P(3, -1), E(6, -3), N(3, -7)
D. Find the equation of the line in standard form given the following conditions.
1. Passing through (-1, -1) and parallel to y = 4x + 1.
2. Passing through (0, 4) and parallel to y = -3x – 2.
3. Passing through (3, 0) and parallel to x – 3y = 7.
16
4. Passing through (1, -5) and parallel to 2x + 5y – 4 = 0.
5. Passing through (2, 1) and perpendicular to x – y = 3.
6. Passing through (3, -4) and perpendicular to y = 3x + 1.
7. Passing through (-2, -4) and perpendicular to 5x + 2y = 4.
E. Solve the following problems.
1. The line containing points (-6, k) and (4, 3) is perpendicular to the line containing
points (9, 1) and (13, k+1). Find k.
2. A right triangle has its angle at (5, 7) and the equation of one of its legs is
2x – y – 3 = 0. Find the equation of the other leg.
3. Write the equations of three lines parallel to 2x + y = 4.
4. Write the equations of three lines perpendicular to 3x + y – 4 = 0
5. Show that the lines 6x + 7y – 6 = 0 and 7x – 6y + 9 = 0 are the legs of a right
triangle.
Let’s summarize
1. If two lines intersect, there is a common point between them which is the intersection
of the two lines.
2. The coordinates of the point of intersection of two lines can be determined
algebraically by using specific method according to the given problem.
3. If two non vertical lines intersect, their slopes are not equal.
4. If two non vertical lines are parallel, then their slopes are equal.
5. If two non vertical lines are perpendicular, then their slopes are negative reciprocals.
What have you learned
Nos. 1. – 5. Determine if the following pairs of lines are parallel, perpendicular or neither.
1. y = 2x + 3
y = 2x – 8
2. y = x – 5
y = -x + 5
3. y = 3x + 7
17
y = 2x – 1
4. 2x + y = 4
x – 2y = 5
5. 3x + 7y – 6 = 0
3x + 7y + 1 = 0
6. What is the slope of the line parallel to 5x + 4y – 3 = 0?
7. Find the slope of the line perpendicular to 4x – 2y – 7 = 0.
8. Find the equation of the line passing through (1, 3) and parallel to y = 4x + 7.
9. Find the equation of the line perpendicular to 3x + y – 7 = 0 and passing through (4, 3).
10. At what point do lines 3x – 4y = 8 and 3x + y = -2 intersect?
18
Answer Key
How much do you know
1. parallel
2. perpendicular
3. intersecting but not perpendicular
4. intersecting but not perpendicular
5. parallel
6. equal
7.
2
1
−
8. -6
9. 5x + y – 14 = 0
10.(2, -1)
Lesson 1
1. Equation 1 y = 3x – 4
m1 = 3
Equation 2 y = x + 7
m2 = 1
Therefore m1 ≠ m2 , so the lines are intersecting.
2. Equation 1 y = 4
2
1
−x
m1 =
2
1
Equation 2 y = 6
2
3
+x
m2 =
2
3
Since m1 ≠ m2 , so the lines are intersecting.
3. Equation 1 x + 4y = 3
4y = -x + 3
y =
4
3
4
1
+− x
m1 =
4
1
−
Equation 2 2x + y = 7
y = -2x + 7
m2 = -2
19
Since m1 ≠ m2 , so the lines are intersecting.
4. Equation 1 2x – y = 8
- y = - 2x + 8
y = 2x – 8
m1 = 2
Equation 2 x + 3y = 1
3y = - x + 1
y =
3
1
3
1
+− x
m2 =
3
1
−
Since m1 ≠ m2 , so the lines are intersecting.
5. Equation 1 3x – 5y = 4
– 5y = – 3x + 4
y =
5
4
5
3
−
+
−
−
x
y =
5
4
5
3
−x
m1 =
5
3
Equation 2 x + y = 4
y = -x + 4
m2 = -1
Since m1 ≠ m2 , so the lines are intersecting.
B.
1. (-1, -1)
2. (-2, 3)
3. (5, -1)
4. (4, 3)
5. (-5, 0)
Lesson 2
A.
1. Equation 1 y = 2x + 5
m1 = 2
Equation 2 y = 7
2
1
−− x
m2 =
2
1
−
20
The two slopes are the negative reciprocals of each other, hence the two lines are
perpendicular.
2. Equation 1 y = 4x – 1
m1 = 4
Equation 2 y = 4x + 3
m2 = 4
The two slopes are equal, therefore the two lines are parallel.
3. Equation 1 y =
2
3
2
5
+x
m1 =
2
5
Equation 2 y = 3
5
2
+− x
m2 =
5
2
−
Since the two slopes are negative reciprocals, then the two lines are perpendicular.
4. Equation 1 y = 3x – 7
m1 = 3
Equation 2 y = x + 8
m2 = 1
Since m1 ≠ m2 , and are also not the negative reciprocals, then the lines are neither
parallel nor perpendicular.
5. Equation 1 2y = x + 4
y =
2
4
2
+
x
y = 2
2
1
+x
m1 =
2
1
Equation 2 y = 2x – 5
m2 = 2
Since m1 ≠ m2 , and are not negative reciprocals, then the lines are neither parallel
nor perpendicular.
21
6. Equation 1 x + y = 5
y = -x + 5
m1 = -1
Equation 2 x – y = 3
-y = -x + 3
y = x – 3
m2 = 1
Since the negative reciprocal of 1 is -1, then the two lines are perpendicular.
7. Equation 1 2x + y = 9
y = - 2x + 9
m1 = -2
Equation 2 x – 2y = - 4
- 2y = -x – 4
y =
2
4
2 −
−
+
−
− x
y = 2
2
1
+x
m2 =
2
1
Since m1 and m2 , are negative reciprocals, then the lines are perpendicular.
8. Equation 1 2x + y = 8
y = -2x + 8
m1 = -2
Equation 2 4x + 2y = -3
2y = -4x – 3
y = −
−
x
2
4
2
3
m2 = -2
Since m1 = m2 , then the two lines are parallel.
9. Equation 1 3x + 2y - 1 = 0
2y = -3x + 1
y = +
−
x
2
3
2
1
m1 =
2
3
−
Equation 2 2x – 3y + 7 = 0
22
-3y = -2x -7
y =
3
7
3
2
−
−
+
−
−
x
y =
3
7
3
2
+x
m2 =
3
2
Since m1 and m2 , are negative reciprocals, then the lines are perpendicular.
10. Equation 1 2x + 7y + 6 = 0
7y = -2x – 6
y = −
−
x
7
2
7
6
m1 =
7
2
−
Equation 2 2x + 7y – 11 = 0
7y = -2x + 11
y = +
−
x
7
2
7
11
y =
7
11
7
2
+− x
m2 =
7
2
−
Since m1 = m2 , then the two lines are parallel.
B. To prove that the given quadrilateral is a parallelogram, show that the slopes of opposite
sides are equal, otherwise, the quadrilateral is not a parallelogram.
Step 1. Get the slopes of ,AB BC , CD and AD
mAB =
1
4
34
73 −
=
−
−
= -4
mBC =
42
31
−−
−
=
6
2
−
−
=
3
1
23
mCD =
)2(3
15
−−−
−
=
23
4
+−
= 4
1
4
−=
−
mAD =
33
75
−−
−
=
6
2
−
−
=
3
1
In this quadrilateral, the opposite sides are AB and CD. Likewise, BC and AD are
also opposite sides. Note that the computed slopes of the opposite sides are equal, thus
the opposite sides are parallel. Therefore by definition, ABCD is a parallelogram.
2. Compute for the slopes of the opposite sides.
mLO =
48
23
−
−
=
4
1
mOV =
86
35
−
−−
=
2
8
−
−
= 4
mVE =
62
)5(6
−
−−−
=
62
56
−
+−
=
4
1
mLE =
42
26
−
−−
=
2
8
−
−
= 4
24
Since the two pairs of opposite sides of LOVE are parallel, then LOVE is a
parallelogram.
3. Compute for the slopes of the sides of quadrilateral PLAN.
mPL =
)3(1
)2(1
−−
−−
=
31
21
+
+−
=
4
1
mLA =
11
)1(8
−
−−−
=
0
7−
, undefined
mAN =
13
)8(6
−−
−−−
=
4
86
−
+−
=
4
2
−
=
2
1
−
mPN =
)3(3
)2(6
−−−
−−−
=
33
26
+−
+−
=
0
4−
, undefined
From the computed values, LA and PN have equal slopes, hence they are parallel.
On the other hand, the slopes of PL and AN are not equal, so they are not parallel.
Therefore, PLAN is not a parallelogram.
C. To verify if the vertices were that of a right triangle, show that the slopes of a pair of
adjacent sides are negative reciprocals.
1. Compute for the slopes of the sides EA, AR and ER.
25
mEA =
16
62
−
−
=
5
4−
mAR =
5
22
−
−
=
5
0
−
= 0
mER =
11
62
−
−
=
0
4−
, undefined
From the computed values, it is clear that the slopes of AR and ER are negative
reciprocals, hence the two sides are perpendicular. Therefore, ∆EAR is a right triangle.
2. Compute for the slope of each side of the triangle.
mAC =
)1(3
41
−−−
−−
=
13
5
+−
−
=
2
5
−
−
=
2
5
mCE =
73
)5(1
−−
−−−
=
10
51
−
+−
=
10
4
−
=
5
2
−
mAE =
71
)5(4
−−
−−
26
=
8
54
−
+
=
8
9
−
Since the slopes of two sides, AC and CE are negative reciprocals, then AC and CE
are perpendicular. Hence ∆ACE is a right triangle because two of the sides form a right
angle in between them.
3. Find the slopes of PE, EP and PN.
mPE =
36
)1(3
−
−−−
=
3
13 +−
=
3
2
−
mEN =
36
)7(3
−
−−−
=
3
73 +−
=
3
4
mPN =
33
)7(1
−
−−−
=
0
71+−
=
0
6
, undefined
Based on the computation, no two slopes are negative reciprocals, hence no sides
are perpendicular. Therefore, ∆PEN is not a right triangle.
D.
1. 4x – y + 7 = 0
2. 3x + y – 4 = 0
3. x – 3y – 3 = 0
4. 2x + 5y + 8 = 0
5. x + y – 3 = 0
6. x + 3y + 15 = 0
7. 2x – 5y – 16 = 0
27
E.
1. k = 8
2. Equation 1 2x – y -3 = 0
- y = -2x + 3
y = 2x – 3
m1 = 2
m2 =
2
1
−
Using the point slope form
y – y1 = m(x – x1)
y – 7 =
2
1
− (x – 5 )
2(y – 7) = -1 (x – 5)
2y – 14 = -x + 5
x + 2y – 19 = 0 , the required equation
3. Some of the possible equations of the line parallel to 2x + y = 4 can be of this form.
2x + y = c, where c is any real number.
4. All equation of the line whose slope is
3
1
.
5. Equation 1 6x + 7y – 6 = 0
Rewrite to slope-intercept form
7y = - 6x + 6
y =
7
6
7
6
+
−
x
m1 =
7
6
−
Equation 2 7x – 6y + 9 = 0
- 6y = - 7x - 9
6y = 7x + 9
y =
6
9
6
7
+x
y =
2
3
6
7
+x
m2 =
6
7
Their slopes are negative reciprocals.
28
What have you learned
1. Parallel
2. Perpendicular
3. Neither parallel nor perpendicular
4. Perpendicular
5. Parallel
6.
4
5
−
7.
2
1
−
8. 4x – y – 1 = 0
9. x – 3y + 5 = 0
10. (0, -2)
Module 2
Plane Coordinate Geometry
What this module is about
This module will discuss how the distance between two points can be derived by
applying the Pythagorean theorem. By using the derivation of distance, this module will
also define and discuss the midpoint formula. Furthermore, this module will also define and
verify figures and their characteristics on the coordinate plane using the coordinate proof.
This will also enhance your knowledge of distances between two points and how to get the
lengths of segments and sides of polygons.
What you are expected to learn
This module is written for you to
1. Derive the distance formula using the Pythagorean theorem.
2. Apply the distance formula in finding lengths of segments.
3. Verify congruence of segments by applying the distance formula.
4. Derive the midpoint formula.
5. Verify the midpoint of a segment using the distance formula.
6. Solve problems that are application of the distance and midpoint formula.
How much do you know
Answer the following questions as indicated.
1. If the coordinate of point X is - 2 , and the coordinate of point Y is 3, what is the
length of XY ?
Find the distance between the following given pairs of points.
2. M(5, 5) and N(9, 8)
3. R(0, 6) and S(8, 0)
4. P(4, -3) and Q(4, 4)
Find the coordinate of the midpoint X of the segments whose endpoints are:
5. (3, 0), (7, 6)
6. (-2, -3), (-6, 9)
7. (8, 1), (-5, 5)
2
8. Find the perimeter of a triangle whose vertices are at the given points A(2, 3), B(5, 7),
C(0, 1).
9. If A is the midpoint of MN , determine the coordinates of A if the coordinates of the
endpoints are M(-4, -3) and N(5, 7)
10.The coordinates of the vertices of a quadrilateral are (6, 0), (2, 3), (3, -4) and (-1, -1).
What kind of quadrilateral is formed when you connect the vertices?
What you will do
Lesson 1
The Distance Formula
When you refer to the distance between any two points on the plane, either
horizontally, vertically or any other positions, then what you mean is getting the length of the
segment joining the two points.
Illustrations: Horizontal Distance
A B
-3 -2 -1 0 1 2 3 4 5 6
The distance between A and B, which is denoted by AB is 4
AB = │5 – 0│= │5│= 5.
Vertical Distance 3 E
The distance between E and F, which is denoted by EF is
EF = │3 – (-1)│ = │4│ = 4. 2
Distance between two points or length of a segment is always a unique
positive real number. That is why it is necessary to use the symbol ││ for 1
absolute value.
If x1 and x2 are the coordinates of A and B respectively on a 0
horizontal number line, then the distance between A and B is denoted by
-1 F
If y1 and y2 are the coordinates of E and F respectively on a -2
vertical number line, then the distance between E and F is denoted by
AB = │x2 – x1│
EF = │y2 – y1│
3
Examples:
Find the length of the following segments:
a. CD Y
b. XY
c. RS
X
Solution:
a. Points C and D have the same y-coordinate. Therefore, distance CD is denoted by
CD = │8 – 1│ = │7│ = 7
b. Points X and Y have the same x-coordinate. So distance XY can computed as
XY = │2 –(-3)│ = │2 + 3│= 5
c. Points R and S have the same y-coordinate. So distance RS is
RS = │-7 - 0│ = │-7│= 7
Suppose the given segment on a coordinate plane is neither horizontal nor vertical.
How are you going to find the distance?
Let M (x1, y1) and N(x2, y2) be two points on a Cartesian coordinate plane. Let
there be another point A where an imaginary horizontal segment through M intersects an
imaginary segment through N.
Y
N(x2,y2)
M(x1,y1) A(x2,y1)
X
D (8,4)C (1,4)
X (6,2)
Y (6,-3)R (-7,-4) S (0,-4)
0
-5
5
55
5
-5
-5
-5
4
Observe that right triangle MAN is formed on the coordinate plane. The distance
between M and N is equal to the length of the hypotenuse MN of the right triangle. By
the Pythagorean theorem,
(MN)2
= (MA)2
+ (NA)2
But in the earlier discussion, you were given the some formula how to get the distance on
the horizontal number line and the vertical number line. You can just call them horizontal
distance and vertical distance. Therefore if you substitute the previous formula to the
above formula you will get
(MA)2
= │x2 – x1│ and
(NA)2
= │y2 – y1│
Putting together the formula above and the Pythagorean theorem, you will have
(MN)2
= │x2 - x1│2
+ │y2 – y1│2
.
Simplifying, you will get the distance formula. The distance between two points M(x1, y1)
and N(x2, y2) is given by the formula,
This we can do since the absolute value of a number is non negative, so is the square of a
number is also non negative.
Examples:
1. Use the distance formula to find the length of the given segments in the coordinate
plane.
a. AB Y
b. LP
c. RS
d. TU
X
MN = 2
12
2
12 )()( yyxx −+−
-5
-5
-5
-5
5
5
5
5
0
A
B
S
T
U
R
P
L
5
Solutions: In each of the following segments, determine first the coordinates of the
endpoints from the graphs.
a. AB ; A(2, 7), B(5, 3)
x1 = 2 x2 = 5
y1 = 7 y2 = 3
AB = 2
12
2
12 )()( yyxx −+−
= 22
)73()25( −+−
= 22
)4()3( −+
= 169 +
= 25
AB = 5
b. LP ; L(-1, 5) , P(3, 0)
x1 = -1 x2 = 3
y1 = 5 y2 = 0
LP = 2
12
2
12 )()( yyxx −+−
= 22
)50()]1(3[ −+−−
= 22
)5()4( −+
= 2516 +
LP = 41
c. RS ; R(-3, 5) , S(-5, -4)
x1 = -3 x2 = -5
y1 = 5 y2 = -4
RS = 2
12
2
12 )()( yyxx −+−
= 22
)54()]3(5[ −−+−−−
= 22
)9()35( −++−
= 22
)9()2( −+−
= 814 +
RS = 85
d. TU ; T(-2, -2), U(5, -6)
x1 = -2 x2 = 5
y1 = -2 y2 = -6
6
TU = 2
12
2
12 )()( yyxx −+−
= 22
)]2(6[)]2(5[ −−−+−−
= 22
)26()25( +−++
= 22
)4()7( −+
= 1649 +
TU = 65
2. Draw a triangle with vertices A(1, 5), B(3, 1), C(-3, 3). Show that ∆ABC is isosceles.
Solution: a. Plot the given points (vertices) on a Cartesian coordinate plan.
Y
X
b. To show that ∆ABC is isosceles, find the length of the sides. For the triangle to
be isosceles, at least two of the sides must have the same length.
1. Find AC; A(1, 5), C(-3, 3)
x1 = 1 x2 = -3
y1 = 5 y2 = 3
AC = 2
12
2
12 )()( yyxx −+−
= 22
)53()13( −+−−
= 22
)2()4( −+−
= 416 +
= 20
AC = 2 5
2. Find BC; B(3, 1) , C(-3, 3)
x1 = 3 x2 = -3
y1 = 1 y2 =3
42
4
-2
-4
2
-2
4
6
-2
0
6
4
2
-2 2
-4
C
B
A
7
BC = 2
12
2
12 )()( yyxx −+−
= )13()33( 2
−+−−
= 22
)2()6( +−
= 436 +
= 40
BC = 2 10
3. Find AB; A(1, 5) B(3, 1
x1 = 1 x2 = 3
y1 = 5 y2 = 1
AB = 2
12
2
12 )()( yyxx −+−
= 22
)51()13( −+−
= 22
)4()2( −+
= 164 +
= 20
AB = 2 5
Since the length of AC equals the length of AB, then AC AB≅ . Therefore ∆ABC is an
isosceles triangle.
3. Find the perimeter of a quadrilateral whose vertices are P(-2,2), Q(5, 2), R(4, -3) and
S(-3, -3). What kind of quadrilateral is PQRS?
Solution:
a. Find PQ; the y-coordinate of P and Q is the same
PQ = 2
)]2(5[ −−
= 2
)25( +
= 2
)7(
PQ = 7
b. Find QR
QR = 22
)23()54( −−+−
= 22
)5()1( −+−
= 251+
QR = 26
8
c. Find RS; the y-coordinate of R and S is the same
RS = 2
)43( −−
= 2
)7(−
= 49
RS = 7
d. Find PS
PS = 22
)23()]2(3[ −−+−−−
= 22
)5()1( −+−
= 251+
= 26
The perimeter of quadrilateral PQRS = PQ + QR + RS + PS
= 7 + 26 + 7 + 26
= 14 + 2 26
Based on the computed lengths of the sides, PQ = RS and QR = PS which means that the
opposite sides of the quadrilateral are congruent. Therefore, PQRS is a parallelogram.
4. Show by the distance formula that the following points R(3, 5), S(0, -1) and T(1,1) are
collinear.
Solution: To illustrate that the given points R, S and T are collinear, you have to show that
the sum of the lengths of the two short segments is equal to the length of the longer
segment.
a. Find RS
RS = 22
)51()30( −−+−
= 22
)6()3( −+−
= 369 +
= 45
RS = 3 5
b. Find ST
ST = 22
)]1(1[)01( −−+−
= 22
)2()1( +
= 41+
ST = 5
9
c. Find RT
RT = 22
)51()31( −+−
= 22
)4()2( −+−
= 164 +
= 20
RT = 2 5
Now add ST and RT. ST + RT = 5 + 2 5 = 3 5 which means that ST + RT = RS.
This conclusion satisfies the definition of betweenness and so R, S and T are
collinear. To verify further, plot the three points on the Cartesian coordinate plane.
5. The endpoints of the base of an isosceles triangle are A( 1, 2) and B(4, -1). Find the y-
coordinate of the third vertex if its x-coordinate is 6.
Solution:
Let C(6, y) be the coordinates of the third vertex.
Since ∆ABC is isosceles, and AB is the base, then AC = BC.
AC = 22
)2()16( −+− y
BC = 22
)]1([)46( −−+− y
But AC = BC, therefore to solve for y, equate the values of AC and BC.
22
)2()16( −+− y = 22
)]1([)46( −−+− y Y
22
)2(5 −+ y = 22
)1(2 ++ y
Squaring both sides
25 + y2
– 4y + 4 = 4 + y2
+2y +1 5 5
– 6y = -24
y = 4
So the third vertex is C(6, 4).
The triangle is shown in the figure
at the right.
-5 -5
X
-2 5 10
5 10
A (1,2)
C (6,y)
B (4,-1)
10
6. A point A(x, 1) is 29 units from B(8, 3). Find x.
Solution:
AB = 22
)13()8( −+− x = 29
22
21664 ++− xx = 29
64 – 16x + x2
+ 4 = 29 Squaring both sides of the equation
x2
- 6x + 39 = 0
(x – 13) (x - 3) = 0
x – 13 = 0 x – 3 = 0
x = 13 x = 3
There are two values of x. Therefore the two points are (13, 1) and (3, 1)
7. Three of the vertices of a square are points A(2, 4), B(-2, 4), C(-2, 0). Find the fourth
vertex D(x, y).
Solution: Plot the points on the coordinate plane.
Y
X
Try this out
A. Find the distance between the following pairs of points.
1. (0, 4 ), ( 0, 6 )
2. ( 2, -1), ( 7, -1 )
B(-2,4)
C(-2,0)
A(2,4)
D(x, y)
11
3. ( 4, -3 ), ( -7, -3 )
4. ( 1, 5 ), ( 3, 8 )
5. ( -4, -7 ), ( 0, 5 )
6. ( 2, 8 ), (-5, -1)
7. ( -5, 4 ), ( -3, -3 )
8. ( 6, 2 ), ( 5, -2 )
9. ( -1, 6 ), ( 5, -1 )
10. ( -4, -5 ), ( 6, 0 )
B. Find the perimeter of the polygons with vertices at the given points.
11. ( 1, 2 ), ( 4, 6 ), ( 7, 2 )
12. ( -1, 7 ), ( -1, 1 ), ( -9, 1)
13. ( 2, -2 ), ( -1, -5 ), ( -3, -1)
14. ( 2, -6 ), ( 2. -9 ), ( -3, -6 ), (-3, 9)
15. ( 4, -1 ), ( 7, -2 ), ( 5, -6), (2, -5)
16. ( -2, 4 ), ( 0, 6 ), ( 2, 4 ), (0, 0)
17. ( -5, -4 ), ( -3, -6 ), ( -5, -9 ), ( -8, 8 ), ( -8, -5 )
C. Given the distance(d) between two points D and F and the coordinates of one of the
endpoints. Find the coordinates of the other endpoint if either x or y coordinate is given.
18. d = 13, D(-4, 1), F( x, -4)
19. d = 7, D( 5, 0), F( 1, y)
20. d = 5, D(-4, y), F(0, -3)
21. d = 5 , D(x, 4), F(3, 5)
D. Solve the following problems:
22. Draw a triangle with vertices ( 6, 3 ), ( 2, 7 ), ( 10, 7 ). What kind of triangle is it?
23. Use the distance formula to show that (3, 0), (0, 4), ( 6, -4) are collinear.
24. The distance from (5, 7) to (x, 2) is 34 . Find all possible values for x.
25. Find the fourth vertex S of a rectangle whose three vertices are p(-3, 2),
Q(-3, 7) and R(2, 7).
26. The point (5, y) is 17 units from (6, 2). Find y.
27. A line segment 5 units long has one of its ends at (3, 1). The y-coordinate of the
other end is 5. Find its x-coordinate.
12
Lesson 2
The Midpoint Formula
The midpoint of a segment is a point that divides a segment into two (2) congruent
segments.
Illustrations:
1. C is the midpoint of AB . Then A B
AC BC≅ . So AC = CB. X
2. If M is the midpoint of XY then M
XM MY≅ , thus XM = MY.
T
S
3. S is the midpoint of XY Y
Therefore, RS ST≅ , and RS = ST.
R
From the illustrations given, you can say that the midpoint of a segment should lie
between the endpoints of the segments and the three points must be collinear.
How do you get the midpoint of the segment on the coordinate plane? Consider the
coordinate plane below and the segments on it.
C
X(-2,3) Y(6,3)
Q(-4,-3)
P(-4,2) M
R
Y
X
5
-5-5
-5
-5
5 5
5
0
13
If M and R are the midpoints of XY and PQ respectively, how do your determine
the coordinates of M and R?
To get the midpoint of XY , you have to consider that the segment is horizontal, thus
the y-coordinate is the same. Since point M lies between the two endpoints and in the
middle, the x-coordinate of M is the average of the x-coordinates of the two endpoints of
the segment and the y-coordinate is 3.
So the coordinates of M is
M(xm, ym) = 




 +−
3,
2
62
= 





3,
2
4
= (2, 3)
To get the coordinates of R, consider PQ . Since the segment is vertical, the two
endpoints have the same x-coordinate which is -4. To get the y-coordinate, get the average
of the y-coordinates of the two endpoints. That is
R(xm, ym ) = 




 −+
−
2
)3(2
,4
= 





−−
2
1
,4
Therefore, to get the coordinates of the midpoint of horizontal segment the formula
below is used. Since the two endpoints have the same y – coordinate the midpoint (M) is
M 




 +
y
xx
,
2
21
For vertical segments, since the two endpoints have the same x-coordinate, then the
formula is
M 




 +
2
, 21 yy
x
How do you get the coordinates of the segment on the coordinate plane which is
neither horizontal nor vertical? AB illustrated below is neither horizontal nor vertical.
14
The endpoints of AB are A(2, 1) and B(4, 7). Let M be the midpoint of AB . To
determine the coordinates of M, draw horizontal segment passing through A and a vertical
segment passing through B. The two segments intersect at a point whose coordinates are
(4, 1). Get the coordinates of the midpoint H of the horizontal segment.
H 




 +
1,
2
42
or H(3, 1)
Then get the coordinates of the midpoint V of the vertical segment .
V 




 +
2
71
,4 or V(4, 4).
The points H and V suggest that the midpoint of M are (3, 4). To check if M is really the
midpoint of AB , we have to show that AM = MB.
AM = 22
)14()23( −+−
= 22
31 +
= 91+
= 10
MB = 22
)47()34( −+−
= 22
31 +
= 91+
= 10
Since AM = MB = 10 , then M is really the midpoint of AB .
For segments on the coordinate plane which are neither horizontal nor vertical, the
formula for finding its midpoint M is given below.
H (4,1)
B(4,7)
A(2,1)
M V
X
Y
0
15
The Midpoint Formula:
If A(x1, y1) and B(x2, y2) are any two points in a coordinate plane, then the midpoint M
of AB has coordinates
Examples:
1. Find the coordinates of the midpoint M of the segments whose endpoints are
a. (3, 5), (7, 1)
b. (0, 1), (-4, 3)
c. (-3, -6), (2, -11)
d. (4, -1), (-7, 3)
Solutions: Using the midpoint formula,
a. (3, 5), (7, 1)
x1 = 3, x2 = 7
y1 = 5, y2 = 1
M 




 ++
2
51
,
2
37
= M 





2
6
,
2
10
= M(5,3)
b. (0, 1), (-4, 3)
x1 = 0 , x2 = -4
y1 = 1 , y2 = 3
M 




 ++−
2
13
'
2
04
M(-2, 2)
c. (-3, 6), (2, 11)
x1 = -3, x2 = 2
y1 = 6 , y2 = 11
M 




 −+−+−
2
)11(6
,
2
23
M 




 −−
2
17
,
2
1
M 




 ++
2
,
2
2121 yyxx
16
d. (4, 1), (-7, 3)
x1 = 4 , x2 = -7
y1 = 1 , y2 = 3
M 




 +−+
2
13
,
2
)7(4
M 




 −
=




 −
2,
2
3
2
4
,
2
3
2. M(-1, -3) is the midpoint of ST , If the coordinates of S are (-3, 2), find the coordinates
of T.
Solution:
Step 1. Let T have coordinates (x, y). By the midpoint formula, the midpoint of ST is





 +−+
2
2
,
2
)3( yx
= 




 +−
2
2
,
2
3 yx
Step 2. We are given that the coordinates of M is (-1, -3) and M is the midpoint of
ST . Therefore,
2
3−x
= -1
x – 3 = -1(2)
x – 3 = -2
x = -2 + 3
x = 1
and
2
2+y
= -3
y + 2 = 2(-3)
y + 2 = -6
y = -6 -2
y = -8
So the coordinates of T are (1, -6)
3. One endpoint P of segment PS and its midpoint R are given. Use the midpoint formula
to find the coordinates of the second segment S.
a. P(3, -4), R(0, 0)
b. P(2, 5), R(5, -1)
c. P(-6, -3), R(0, 1)
17
Solutions:
a. Let S have the coordinates (x, y). Using the midpoint formula, the midpoint of PS
is given as 




 −+
2
4
,
2
3 yx
The coordinates of midpoint R are (0, 0)
0
2
3
=
+x
x + 3 = 0
x = -3
0
2
4
=
−y
y -4 = 0
y = 4
The coordinates of R are (-3, 4)
b. Coordinates of S are (x, y). Applying the midpoint formula, the coordinates of R
is 




 ++
2
5
,
2
2 yx
The coordinates of midpoint R are ((5, -1)
5
2
2
=
+x
x + 2 = 10
x = 8
1
2
5
−=
+y
y + 5 = -2
y = -7
The coordinates of R are ( 8, -7)
c. Coordinates of S are (x, y). Using the midpoint formula, the coordinates of
midpoint R is given as 




 −+−+
2
)3(
,
2
)6( yx
The coordinates of midpoint R are (0, 1). Solving for x and y,
0
2
6
=
−x
x – 6 = 0
x = 6
18
1
2
3
=
−y
y – 3 = 2
y = 2 + 3
y = 5
Therefore the coordinates of S are (6, 5)
4. The vertices of ∆XYZ are X(1, 4), Y(6, 2) and Z(-2, -1). Find the length of the median to
ZY .
Solution:
The median of a triangle is a segment joining the vertex and the midpoint of the
opposite side . Let the midpoint of XY be point P.
Step 1. Get the coordinates of P
P 




 −−
2
12
,
2
26
P 





2
1
,
2
4
P 





2
1
,2
Step 2. Find the length of XP . X(1, 4), P 





2
1
,2
XP = ( )2
2
12
4)12( −+−
= ( )2
2
72
1 −
+
=
4
49
1+
0
Y(6,2)
X(1,4)
Z(-2,-1)
Y
X
0 P
19
=
4
53
XP =
2
53
Hence, the length of median XP is
2
53
.
5. Find the perimeter of a the triangle formed by joining the midpoints of the sides of a
triangle whose vertices are P(-4, 0), Q(2, 3) and R(5, -2).
Solution:
Step 1. Let A, B and C be the
midpoints of PQ, QR and PR . Get the
coordinates of each midpoint.
For the coordinates of A
P(-4, 0), Q(2, 3)
A 




 ++−
2
03
,
2
24
= A 




 −
2
3
,
2
2
= A 





−
2
3
,2
For the coordinates of B
Q(2, 3), R(5, -2)
B 




 −+
2
23
,
2
52
= B 





2
1
,
2
7
For the coordinates of C
P(-4, 0), R(5, -2)
C 




 −+−
2
20
,
2
54
= C 





−1,
2
1
0
R(5,-2)
P(-4,0)
Q(2,3)
A
B
C
X
Y
0
20
Step 2. Find the lengths of AB , BC and AC .
AB =
22
2
1
2
3
2
7
1 





−+





−−
=
22
2
2
2
9






+





−
= 2
1
4
81
+
=
4
85
AB =
2
85
BC =
22
2
1
1
2
7
2
1






−−+





−
=
22
2
3
2
6






−+





−
=
4
9
4
36
+
=
4
45
BC =
2
53
AC =
22
)1(
2
3
2
1
1 





−−+





−−
=
22
1
2
3
2
3






++





−
=
2
2
5
4
9






+
=
4
25
4
9
+
=
4
34
AC =
2
34
21
Step 3. Get the sum of the lengths AB + BC + AC
Perimeter of ∆ABC =
2
85
+
2
53
+
2
34
=
2
345385 ++
Try this out
A. What are the coordinates of the midpoint of the segment joining each pair of points.
1. (0, 0), (6, 0)
2. (0, 0), (-7, 0
3. (0, 0), (0, -8)
4. (1, 3), (5, 7)
5. (5, -1), (-1, -7)
6. (-8, -2), (0, 0)
7. (-3, -4), (3, -3)
8. (6, -1), (-4, 7)
9. (-1, -1), (-8, -9)
10. (a, b), (c, d)
B. If M is the midpoint of AB , determine the coordinates of B.
11. A(3, 7), M(3, 0)
12. A(5, 2), M(-1, -1)
13. A(-4, -1), M(5, 2)
14. A(3, -4), M(5, 2)
15. A(-5, 6), M(7, 2)
16. A(0, -8), M(4, -4)
17. A(-1, 4), M(1, 1)
18. A(7, 0), M(0, 9)
19. A(-3, -5), M(3, -7)
20. A(a, b), M(c, d)
C. Solve the following problems:
21. Find the coordinates of the midpoint of each side of a triangle with vertices at (3, 5),
(6,-4) and (-1, 1).
22. Find the coordinates of the midpoint of each side of a quadrilateral with vertices at
(-2, -4), (7, -8), (4, -3) and (_5, 3).
23. Find the length of the median to side RP of ∆RPQ whose vertices are R(-3, 2),
P(3, -3) and Q(-1, 6).
22
24. Find the length of each median of a triangle with vertices at (-1, 6), (-3, -2) and (7, -4).
25. A rectangle has vertices R(-3, 4), S(-3, -4), T(2, -4) and U(2, 4). Show that its
diagonals have the same midpoint.
26. Use the distance formula to show that X(1, -1) is the midpoint of the segment with
endpoints A(4, 1) and B(-2, -3).
27. Given R(5, 2), S(a, -2) and T(-3, b). Find a and b so that S is the midpoint of RT .
28. Show that the points (-1, -2), (2, 1) and (-3, 6) are the vertices of a right triangle. Use
the distance formula.
29. Given A(7, 1), R(2, x) and B(-x, 5), find x so that R is the midpoint of AB .
30. Find the perimeter of the triangle in no. 28.
Let’s summarize
1. The distance between two points on the plane is the length of the segment joining
the two points. For horizontal distance between points A and B, the formula to be
used is
AB = │x2 – x1│, where the y-coordinate is the same.
For vertical distance between points A and B, the distance is denoted by
AB = │y2 – y1│, where the x-coordinate is the same.
2. The distance between two points A(x1, y1) and B(x2, y2) is given by the formula
AB = 2
12
2
12 )()( yyxx −+−
3. The midpoint of a segment is a point that divides the segment into two congruent
segments.
4. The midpoint of a horizontal segment can be determined by the formula
M =
2
21 xx +
5. The midpoint of a vertical segment is determined by the formula
M =
2
21 yy +
6. The midpoint M of a segment whose endpoints are A(x1, y1) and B(x2, y2) is given
by the formula M 




 ++
2
,
2
2121 yyxx
23
What have you learned
Answer the following questions as indicated.
1. What is the length of PQ?
P Q
-4 -3 -2 -1 0 1 2 3 4 5
Find the length of each side of a triangle whose vertices are J(0, 3), K(-4, 0) and L(1, -1).
2. JK
3. KL
4. JL
What are the coordinates of the midpoint
of a segment whose endpoints are:
5. A(7, 3), and X(1, -11)
6. R(-6, 1) , and S(1, -10)
7. Find the perimeter of ∆XYZ in the
figure if X, Y and Z are the midpoints
of FD, DE and EF respectively.
8. M is the midpoint of PR . If the coordinates of M and P are given, find the coordinates
of R. P(-3, 7) and M(1, 1)
9. If the length of RS is 29 , and the coordinates of R are (-5, 1), find the x-coordinate of
S if its y-coordinate is 3.
10. Find the coordinate of the intersection of the diagonal of a rectangle whose vertices are
M(2, 7), N(6, 3), O(-1, -4) and P(-5, 0)
Y(2,3)
Z(1,-1)
X(-1,1)
D
E
F
X
Y
24
Answer Key
How much do you know
1. 5
2. 5
3. 10
4. 7
5. (5, 3)
6. (-4, 3)
7. 





3,
2
3
8. 5 + 2 2 + 61
9. 





2,
2
1
10. From the figure, you can easily
conclude that the quadrilateral
is a parallelogram. To determine
what kind of parallelogram it is,
compute for the slope of any two
adjacent sides and compare.
Their slopes are the negative
reciprocal of each other.
Try this out
Lesson 1
A. 1. 2
2. 5
3. 11
4. 13
5. 4 10
6. 130
7. 53
8. 17
9. 85
10. 5 5
B. 11. 16
12. 24
13. 265223 ++
14. 3410518 ++
(2,3)
(-1,-1)
(3,-4)
(6,0)
X
Y
25
15. 10254 +
16. 5424 +
17. 13102981322 ++++
C. 18. x = -16 ; x = 8
19. y = 33±
20. y = -6 ; y = 0
21. x = 5 ; x = 1
D. 22. the triangle is isosceles
23. Let A(3, 0) , B(0, 4) and C(6, -4)
be the given points. Find the lengths,
AB, BC and AC.
Solution:
AB = 22
)04()30( −+−
= 22
43 +
= 169 +
= 25
AB = 5
BC = 22
)44()06( −−+−
= 22
)8(6 −+
= 6436 +
= 100
BC = 10
AC = 22
)04()36( −−+−
= 22
)4(3 −+
= 169 +
= 25
AC = 5
AB + AC = 5 + 5 = 10 = BC. By definition of betweenness, A is between B and
C. Therefore, A, B and C are collinear.
(2,7) (10,7)
(6,3)
Y
X
0
26
24. x = 8; x = 2
25. S(2, 2)
26. y = 6; y = -2
27. x = 6; x = 0
Lesson 2
A. 1. (3, 0)
2. 





− 0,
2
7
3. (0, -4)
4. (3, 5)
5. (2, -4)
6. (-4, -1)
7. 





−
2
7
,0
8. (1, 3)
9. 





−− 5,
2
9
10. 




 ++
2
,
2
dbca
11.(3, -7)
12.(-7, -4)
13.(14, 5)
14.(7, 8)
15.(19, -2)
16.(8, 0)
17.(3, -2)
18.(-7, 18)
19.(9, -9)
20.(2c – a, 2d – b)
21. 





2
1
,
2
9
, ( )3,1,
2
3
,
2
5






−
22. 





−−





−





−





−
2
1
,
2
7
,0,
2
1
,
2
11
,
2
11
,6,
2
5
23. Length of the median is
2
173
27
24. Length of the medians are 53 , 103 and 117
25. Midpoint of RT = 





− 0,
2
1
Midpoint of SU = 





− 0,
2
1
26. AX = 13 , BX = 13
Since AX = BX, therefore, X is the midpoint of AB.
27. a = 1, b = -6
28. s1 = [ ] [ ]22
)2(1)1(2 −−+−−
= 22
33 +
= 99 +
= 18
s1 = 3 2
s2 = ( ) ( )22
1623 −+−−
= ( ) 22
)5(5 +−
= 2525 +
= 50
s2 = 25
s3 = [ ] 22
)62()3(1 −−+−−−
= 22
)8(2 −+
= 644 +
= 68
s1
2
+ s2
2
= ( )2
23 + ( )2
25
= 18 + 50 = 68 = s3
2
The square of s3 is equal to the sum of the squares of s1 and s2.
29. x = 3
30. P = s1 + s2 + s3
= 1722523 ++
= 17228 +
28
What have you learned.
1. │PQ│= 5
2. 5
3. 26
4. 17
5. (4, -4)
6. 





−−
2
9
,
2
5
7. 171322 ++
8. R(5, -5)
9. x = 0; x = -10
10. 





2
3
,
2
1
Module 3
Plane Coordinate Geometry
What this module is about
This module will show you a different kind of proving. The properties of triangles and
quadrilaterals will be verified in this module using coordinate plane and the application of
the lessons previously discussed in the other modules.
Furthermore, you will also have the chance to do analytical proof and compare it with
the geometric proof that you have been doing since the start of the year. Included in this
module are lessons that will discuss in detail properties/relationships of circles with other
figures in the coordinate plane.
What you are expected to learn
This module is written for you to
1. Define and illustrate coordinate proof.
2. Verify some properties of triangles and quadrilaterals by using coordinate proof.
3. Determine the difference between geometric proofs and coordinate proof.
4. Illustrate the general form of the equation of the circle in a coordinate plane.
5. Derive the standard form of the equation of the circle from the given general form.
6. Find the coordinate of the center of the circle and its radius given the equation .
7. Determine the equation of a circle given its
a. center and radius
b. radius and the point of tangency with the given line
8. Analyze and solve problems involving circles.
How much do you know
Answer the following questions
Tell which of the axes placements will simplify a coordinate proof for a theorem
involving the figure shown.
2
1.
a b c
2.
a b c
3.
a b c
Give the center and radius of the following circles:
4. x2
+ y2
= 16
5. x2
+ y2
– 25 = 0
6. (x – 3)2
+ (y + 1)2
= 36
7. x2
+ y2
– 4x + 10y + 16 = 0
8. Give the standard form of the circle whose center is at (2, -1) and a radius of 7 units.
Write the equation of the circle satisfying the following conditions.
9. The line segment joining (4, -2) and (-8, -6) is a diameter.
10. The center is at (0, 5) and the circle passes through (6, 1).
3
What you will do
Lesson 1
Coordinate Proof
The coordinates of a point on the coordinate plane are real numbers, thus it is
possible to prove theorems on geometric figures by analytic or algebraic method. We call
this proof the coordinate proof.
In writing coordinate proof, some suggestions have to be taken into considerations.
First, we may choose the position of the figure in relation to the coordinate axes. If the
figure is a polygon, it is always simpler to put one of the sides on either the x-axis or the y-
axis.
Second, we may place one of the vertices on the origin.
Third, the essential properties of the given figure should be expressed by the
coordinates of key points. The proof is accomplished by setting up and simplifying
algebraically equations and relations involving these coordinates.
Fourth, the figure should never be made special in any way so that the proof will be
general and can be applied to all cases. Except for zero (0), numerical coordinate should
not be used in the proof.
Example 1. Prove analytically that the line segment joining the midpoints of two sides of a
triangle is parallel to the third side and measures one-half of it.
Solution: y
A(a, t)
X Y
X
O(0.0) B(b,0)
4
a. Analysis: The figure shows the triangle appropriately placed on rectangular
coordinate plane. We have to show two properties here.
1) XY ║OB and (2) XY = 2
1
OB.
b. Since X and Y are midpoints, then the midpoint formula can be used to get their
coordinates. The coordinates of X are 





2
,
2
ta
and that of Y are 




 +
2
,
2
tba
.
The slope m1 of OB = 0
0
00
=
−
−
b
. The slope m2 of XY is
m2 =
22
22
baa
tt
+
−
−
= 0
2
0
=
− b
Since the slope of OB = 0 and that of XY = 0, then the two slopes are equal.
Therefore, XY ║OB . Therefore, the segment joining the midpoints of the two sides of a
triangle is parallel to the third side.
c. For the second conclusion, get the length of XY and OB.
XY =
22
2222






−+





−
+ ttaba
=
2
2





 b
=
2
b
OB = 22
)00()0( −+−b
= 2
b
= b
The computation showed that XY =
2
b
and OB = b. Therefore, XY =
2
1
OB.
Hence, the segment joining the midpoints of the two sides of a triangle is one-half the third
side.
5
Example 2. Prove that the diagonals of a rectangle are equal.
Given: ABCD is a rectangle
Prove: AC = BD
Proof:
In this problem we are given not just any quadrilateral but a rectangle. Place one
vertex on the origin. In the figure, it was vertex A which was in the origin. Then vertex B on
the x-axis, and vertex D on the y-axis.
The following are the coordinates of the vertex : A(0, 0), B(b, 0), C(b, c) and D(0, a).
AC and BD are the two diagonals. We have to determine if the length of AC is equal to
the length of BD.
AC = 22
)0()0( −+− cb
= 22
cb +
BD = 22
)0()0( −+− cb
= 22
)( cb +−
= 2
cb +
Therefore, from the computed distances or lengths, AC = BD. Hence, the
diagonals of rectangle are equal.
y
D(0, c) C(b, c)
x
A(0,0) B(b, 0)
6
Example 3. Prove that the diagonals of a square are perpendicular to each other.
Given: HOPE is a square
Prove: HP ⊥ OE
Proof:
To show the perpendicularity of HP and OE , then their slopes must be the
negative reciprocal of each other. Since the vertices of the square were placed on the
coordinate plane in such a way that makes proving simpler, then we are now ready to find
the slopes of both HP and OE .
Computing for the two slopes ,
m HP = 1
0
0
==
−
−
a
a
a
a
m OE = 1
0
0
−=
−
=
−
−
a
a
a
a
From the results you can easily see that the reciprocals of HP and OE are 1 and – 1
which are negative reciprocals.
Therefore, HP and OE are perpendicular to each other.
y
E(0, a) P(a, a)
H(0,0) O(a, 0)
7
Try this out
A. Determine the coordinates of A, B or C.
B. Given the following statements, do the following:
a. Use the given figure on the rectangular coordinate plane.
b. Write the hypothesis.
c. Write what is to be proven.
d. Prove analytically.
1. y MAIN is a rectangle 2. y BEAM is a parallelogram
M(c,b) B
M(0,b) A
A(0,0) E(a,0)
N(0,0) I(a, 0)
y y
3. LEAD is an isosceles trapezoid 4. ABC is an isosceles triangle
C
L(b,c) E(a-b, c)
C F
x
x B(0,0) A(a, 0)
D(0,0) A(a, 0)
8
1. The medians to the legs of an isosceles triangle are equal.
y
E (a, b)
D F
D F
x
A (0, 0) C (2a, 0)
2. The diagonals of an isosceles trapezoid are equal.
y
D (b, c) C (a-b, c)
x
A (0, 0) B (a, 0)
3. The diagonals of a parallelogram bisect each other.
y
E (b, c) P (a+b, c)
x
H (0, 0) O (a, 0)
9
4. The midpoint of the hypotenuse of a right triangle is equidistant from the vertices.
y
C (0, 2b)
E
x
A (0, 0) B (2a, 0)
5. The segments joining the midpoints of the opposite sides of a quadrilateral bisect each
other.
y
K (4d, 4e)
B
E (4b, 4c)
F
C
x
M(0, 0) D A (4a, 0)
Lesson 2
Circles on Coordinate Plane
You know from the previous chapter that the set of all points equidistant from a fixed
point is called a circle. The fixed point is called the center. If the circle is on the Cartesian
coordinate plane, the distance formula will lead us to write an algebraic condition for a
circle.
10
r
y
In the figure, if P has
coordinates (x, y), using the distance
formula will give us
22
)0()0( −+− yx = r
22
yx + = r
Squaring both sides, we get
x
x2
+ y2
= r2
Thus the equation of a circle with
center at (0, 0) and radius r in standard
form is
x2
+ y2
= r2
Example 1. Find the equation of the circle whose center is the origin and the radius is
a. r = 3
b. r = 1
c. r = 5
d. r = 2 2
Solution:
a. C(0, 0) r = 3
The equation of the circle is x2
+ y2
= 32
x2
+ y2
= 9
b. C(0, 0) r = 1
The equation of the circle is x2
+ y2
= 12
x2
+ y2
= 1
c. C(0, 0) r = 5
The equation of the circle is x2
+ y2
= 52
x2
+ y2
= 25
d. C(0, 0) r = 2 2
The equation of the circle is x2
+ y2
= (2 2 )2
x2
+ y2
= 8
(x,y)
c (0,0)
11
Example 2. Determine the center and the radius of the circle whose equations are given.
a. x2
+ y2
= 49
b. x2
+ y2
= 36
c. x2
+ y2
= 18
Solutions:
The equations are of the form x2
+ y2
= r2
, hence the center is the origin. The radius
in each circle is
a. r = 9
b. r = 6
c. r = 3 2
Not all circles on the rectangular coordinate plane has its center at the origin. In the
given circle below, its center is not the origin. We will represent the center of the circle
which is not the origin as (h, k).
y
x
In the coordinate plane given above, center C has coordinates (h, k) and radius r. By
Pythagorean Theorem, the distance from the center of the circle to a point A(x, y) on the
circle can be solved. This will also give us the standard form of the equation of a circle.
AC = ( ) ( )22
kyhx −+− = r
(x - h)2
+ (y – k)2
= r2
The standard form of the equation of the circle with center at (h, k) and radius r is
(x – h)2
+ (y – k)2
= r2
r
(x,y)
c (h,k)
12
r
Example 1. Find the equation of a circle with center at (1, 5) and a radius of 3 units.
Solution: Substitute the following values in the standard form
h = 1, k = 5, r = 3
The equation is
(x – 1)2
+ (y – 5)2
= 32
(x – 1)2
+ (y – 5)2
= 9
Example 2. Find the equation of a circle with center at (2, -3) and radius of 5 units.
Sketch the figure. h = 2, k = -3, r = 5
The equation is
(x – 2)2
+ (y + 3)2
= 52
(x – 2)2
+ (y + 3)2
= 25
The figure is
y
x
The standard form of the equation of a circle with center at C(h, k) and radius r can
be presented in another form. This is done by squaring the binomials and simplifying the
results.
(x – h)2
+ (y – k)2
= r2
x2
– 2hx + h2
+ y2
– 2yk + k2
= r2
x2
+ y2
– 2hx – 2yk + h2
+ k2
– r2
= 0
By assigning capital letters D, E and F to represent the constants, the equation will
now assume this general form.
x2
+ y2
+ Dx + Ey + F = 0
C (2,-3)
13
Example 1. Find the radius and the center of the circle given its equation.
x2
+ y2
– 4x – 6y -12 = 0
Solution:
First isolate the constant term at the right side of the equal sign by applying the
addition property of equality
x2
+ y2
– 4x – 6y – 12 = 0
x2
+ y2
– 4x – 6y = 12
Then group the terms with x together and those with y together.
(x2
- 4x)+ (y2
- 6y) = 12
Complete each group like in completing the square by adding the third term of the
trinomial. Note that what you added to each group should be added to the right side of the
equation also. (Application of addition property of equality)
(x2
- 4x + 4 ) + (y2
– 6y + 9 ) = 12 + 4 + 9
(x2
- 4x + 4 ) + (y2
– 6y + 9 ) = 25
Rewrite each perfect trinomial square into binomial factors.
(x – 2)2
+ (y – 3)2
= 25
(x – 2)2
+ (y – 3)2
= 52
Since the equation is in center-radius form, then we can determine the coordinates of
the center and the radius of the circle.
The center is at (2, 3) and the radius is 5 units.
Example 2. Find the radius and the coordinates of the center of the circle given the
Equation
x2
+ y2
+ 6x – 2y + 6 = 0
Solution:
Isolate first the constant term
x2
+ y2
+ 6x – 2y = -6
Then group the x and y together
(x2
+ 6x) + (y2
– 2y) = - 6
Add constants to each group by completing the square. Add to the right side
of the equation what you will add to the left side.
(x2
+ 6y + 9) + (y2
– 2y + 1) = -6 + 9 + 1
(x2
+ 6y + 9) + (y2
– 2y + 1) = 4
14
Write each trinomial as factors or square of binomial.
(x + 3)2
+ (y – 1)2
= 4
x + 3)2
+ (y – 1)2
= 22
The equation is in center-radius form. So the center of the circle is at (-3, 1) and its
radius is 2 units.
Example 3. Tell whether the equation x2
+ y2
-4x + 8y + 24 determines a circle.
Solution:
To solve this problem, you should be aware of these fact. The existence of a circle
depends on the value of r2
.
In the standard form of equation of the circle, (x – h)2
+ (y – k)2
= r2
, one of the
following statements is always true if
r2
> 0, the graph is a circle.
r2
= 0, the graph is a point (We call this the point circle)
r2
< 0, the graph or the circle does not exist
In the given example, solve for the value of r2
. In doing this, you simply follow the
procedure in examples 1and 2.
x2
+ y2
- 4x + 8y + 24 = 0
x2
+ y2
– 4x + 8y = - 24
(x2
– 4x) + (y2
+ 8y) = - 24
(x2
– 4x + 4 ) + (y2
+ 8y + 16 ) = -24 +4 + 16
(x – 2)2
+ (y + 4)2
= -4
Since r2
= -4, then the circle does not exist.
The following examples discuss of problems that involve circles in the coordinate
plane. Each problem is treated differently according to what is given and what is being
asked .
15
Example 4. Find the equation of a circle whose center is at (4, 2) and is tangent to y-axis.
Sketch the figure.
y
y
x
Solution:
Since the circle is tangent to y-axis, the radius of the circle is perpendicular to y-axis.
It also means that the length of the radius is also the length of the perpendicular segment
from the center of the circle to y –axis. From the figure, you can determine that the point of
tangency is at (0, 2). To find the length of the radius, use the distance formula.
r = ( ) ( )22
2204 −+−
= 042
+
= 16
r = 4
To solve for the equation , use the coordinates of the center (4, 2) and the computed
length of radius r = 4.
(x - h)2
+ (y – k)2
= r2
(x – 4 )2
+ (y – 2)2
= 42
x2
– 8x + 16 + y2
– 4y + 4 = 16
x2
+ y2
– 8x – 4y + 4 = 0
r C(4,2)
16
Example 5. Write the equation of the circle with the given condition. (10, 8) and (4, -2) are
the endpoints of the diameter. Sketch the figure.
y
x
Solution:
In a circle, the radius is one-half of the diameter. Since the given are the endpoints
of the diameter, then the center of the circle is the midpoint of the diameter.
M 




 −++
2
)2(8
,
2
410
M 





2
6
,
2
14
M( )3,7
The next step is to get the length of the radius. Since radius is one-half of the circle,
so get the distance from the center to one of the endpoint of the diameter. Any endpoint will
do.
r = ( ) ( )22
38710 −+−
r = 22
54 +
r = 2516 +
r = 41
●C
(10,8)
(4,-2)
17
To find the equation of the line, use C(7, 3) and r = 41
(x – 7)2
+ (y – 3)2
= ( 41 )2
x2
– 14x + 49 + y2
– 6y + 9 = 41
x2
+ y2
– 14x – 6y + 17 = 0
Example 6. Write the equation of the circle with center at (-8, 5) and passing through
A(- 6, 4).
Solution: Since the circle is passing through A, then the distance from the center to A is
the length of the radius of the circle. Compute first the radius of the circle.
r = ( )[ ] ( )22
4568 −+−−− .
r = 22
1)2( +−
r = 14 +
r = 5
The equation of the circle is
(x + 8)2
+ (y – 5)2
= ( 5 )2
x
x2
+ 16x + 64 + y2
– 10y + 25 = 5
x2
+ y2
+ 16x – 10y + 84 = 0 y
Try this out.
A. Determine if the following are equations of a circle, a point or a circle that does not exist.
1. x2
+ y2
= 3
2. x2
+ y2
- 12 = 0
3. x2
+ y2
+ 121 = 0
4. (x – 5)2
+ y2
= 1
5. x2
+ y2
– 10x – 8y + 41 = 0
B. Give the center and the radius of each circle.
1. x2
+ y2
= 25
2. x2
+ y2
- 12 = 0
3. x2
+ (y – 3)2
= 121
C
(-8,5)
(-6,4)
18
4. (x – 7)2
+ (y – 5)2
= 18
5. (x + 1)2
+ (y – 4)2
= 3
6. (x – 8)2
+ y2
= 49
7.
2
2
1






+x + (y – 7)2
= 25
8. x2
+ y2
+ 6x + 16y – 11 = 0
9. x2
+ y2
+ 2x – 6y – 8 = 0
10. x2
+ y2
– 4x – 12y + 30 = 0
C. Write the equation of a circle in standard form with center C and radius r given.
1. C(0, 0), r = 4
2. C(0, 0), r = 2 3
3. C(1, 1), r = 3
4. C(-2, -5), r = 10
5. C(-3, 4), r = 2 2
6. C(2, -5), r = 5
7. C(0, 6), r = 6
8. C(-4, 0), r = 3.5
9. C(0, -5), r = 5
10. C(3, 0), r = 3 3
D. Solve the following problems. Sketch the figure. Show the complete solution.
1. Write the equation of the circle with center at (3, -1) and tangent to the x-axis.
2. Write the equation of a circle with center at (2, 5) and passing through (-2, 1).
3. The line segment joining ( -2, 5) and (-2, -3) is a diameter.
4. A circle is tangent to both axes and the radius at the first quadrant is 3 units.
5. A circle is tangent to the line 3x – 4y = 24 and the center is at (1, 0).
Lets summarize
1. Proving theorems in geometry analytically is also known as coordinate proof.
2. In coordinate proof, the location of one of the vertices and one of the sides of the
figure can help in proving easily the theorem.
3. The set of all points equidistant from a fixed point is called a circle. The fixed
point is called the center.
4. The standard form of equation of a circle with center at the origin and radius r is
x2
+ y2
= r2
5. The standard form of equation of a circle with center at (h, k) and radius r is
(x – h)2
+ (y – k)2
= r2
19
6. The general form of equation of a circle is
x2
+ y2
+ Dx + Ey + F = 0
7. The existence of a circle depends upon the value of r2
.
If r2
> 0, the circle exist.
If r2
= 0, point circle exist.
If r2
< 0, the circle does not exist.
What have you learned
1. y
D(0, b) C
A(0, 0) B(2a, 0) x
ABCD is a rectangle, What is the coordinate of C ?
2. In figure in # 1, find the length of AC .
3. In doing coordinate proof, it is always simpler to put one of the vertices of the polygon
or figure on the ___________.
4. What is the standard form of the equation of a circle if the center is the origin and the
radius is r units?
What is the center and the radius of the following circles given their equations?
5. x2
+ y2
= 64
6. x2
+ (y + 1)2
= 25
7. (x – 6)2
+ y2
= 1
8. (x – 3)2
+ (y + 7)2
= 12
9. (x – 1)2
+ (y +1)2
= 49
10. What is the equation of the circle whose center is at (-4, -1) and passing through
the origin? Sketch the figure. Express the answer in general form.
20
Answer Key
How much do you know.
1. c
2. a
3. b
4. C(0,0) or origin, r = 4
5. C(0, 0) or origin, r = 5
6. C(3, -1), r = 6
7. C(2, -5), r = 13
8. (x – 2)2
+ (y + 1)2
= 49
9. x2
+ y2
+ 4x + 8y – 20 = 0
10. x2
+ y2
– 10y – 27 = 0
Lesson 1
A. 1. A(a, b)
2. B(a + c, b)
3. C 





2
,
2
cb
4. C 





c
a
,
2
B. 1. y
E (a, b)
D F
A(0, 0) C (2a, 0) x
Given: ACE is an isosceles triangle.
AF and DC are medians
Prove: AF = DC
Solution:
1. First determine the coordinates of D and F.
21
Since AF and DC are medians, then D and F are midpoints.
D 




 ++
2
0
,
2
0 ba
D 





2
,
2
ba
F 




 +
2
,
2
2 baa
F 





2
,
2
3 ba
2. After finding the coordinates of D and F, determine the length of AF and DC .
AF =
22
0
2
0
2
3






−+





−
ba
=
22
22
3






+




 ba
=
44
9 22
ba
+
=
4
9 22
ba +
AF =
2
9 22
ba +
DC =
22
2
0
2
2 





−+





−
ba
a
=
22
22
3






−+




 ba
=
44
9 22
ba
+
=
4
9 22
ba +
DC =
2
9 22
ba +
22
Based on computations, AF = DC. Therefore, the two medians are equal and we can
conclude that that the medians to the legs of an isosceles triangle are equal.
2. y
D(b, c) C (a-b, c)
A (0, 0) B (a, 0) x
Given: ABCD is an isosceles trapezoid.
AC and BD are its diagonals
Prove: AC ≅ BD
Solution:
To prove that AC ≅ BD we have to show that AC = BD.
AC = ( ) 22
)0(0 −+−− cba
= ( ) 22
cba +−
AC = 222
2 cbaba ++−
BD = ( ) ( )22
0 cba −+−
= 222
2 cbaba ++−
The computations showed that AC = BD. Thus we can conclude that the diagonals of
an isosceles trapezoid are congruent.
3. y
E (b, c) P (a+b, c)
x
H (0,0) O (a, 0)
23
Given: HOPE is a parallelogram
HP and EO are the diagonals
Prove: HP and EO bisect each other
Solution:
The simplest way of proving this is to show that the midpoints of the two diagonals
are one and the same.
1. Find the midpoints of HP and EO and compare.
M (HP) 




 ++
2
,
2
0 cba
M (HP) 




 +
2
,
2
cba
M (OE) 




 +
2
,
2
cba
The results showed that HP and EO have the same midpoint. Hence they bisect
each other. We can conclude that the diagonals of a parallelogram bisect each other.
y
4.
C (0, 2b)
E
x
A (0, 0) B (2a, 0)
Given: ∆ABC is a right triangle. E is the midpoint of the hypotenuse BC.
Prove: CE = BE = AE
Solutions:
Since E is the midpoint of BC, then its coordinates are
24
E 





2
2
,
2
2 ba
E(a, b)
After finding the coordinates of E, find CE, BE and AE. Then compare the lengths.
CE = ( ) ( )22
20 bba −+−
= ( ) ( )22
ba −+−
CE = 22
ba +
BE = ( ) 22
2 baa +−
BE = 22
ba +
AE = ( ) ( )22
00 −+− ba
AE = 22
ba +
Since the three segments CE, BE and AE have the same lengths, we can therefore
conclude that E is equidistant from the vertices of the right triangle.
y
5.
K (4d, 4e)
E (4b, 4c)
B
F
C
x
M (0, 0) D A (4a, 0)
Given: MAKE is a quadrilateral
B, C, D and F are midpoints of the sides
Prove: FC and BD bisect each other
Solutions:
1. Get the coordinates of F, B, C and D.
F 




 ++
2
04
,
2
04 cb
25
F( )cb 2,2
B 




 ++
2
44
,
2
44 ecdb
B( )ecdb 22,22 ++
C 




 +
2
4
,
2
44 ead
C( )ead 2,22 +
D 





2
0
,
2
4a
D( )0,2a
2. Get the midpoints of FC and BD.
Midpoint of FC
M1 




 +++
2
22
,
2
222 ecadb
M1 ( )ecadb +++ ,
Midpoint of BD
M2 




 ++++
2
022
,
2
222 ecadb
M2 ( )ecadb +++ ,
You can see that the midpoints of FC and BD are both (a+b+d, c+e). Therefore,
we can conclude that the segments joining the midpoints of opposite sides of a quadrilateral
bisect each other.
Lesson 2
A.
1. a circle
2. a circle
3. the circle does not exist
4. a circle
5. a point circle
26
●
B.
1. C(0, 0), r = 5
2. C(0, 0), r = 2 3
3. C(0, 3), r = 11
4. C(7, 5), r = 3 2
5. C(-1, 4), r = 3
6. C(8, 0), r = 7
7. C 





− 7,
2
1
, r = 5
8. C(-3, -4), r = 6
9. C(-1, 3), r = 3 2
10. C(2, 6), r = 10
C.
1. x2
+ y2
= 16
2. x2
+ y2
= 12
3. (x – 1)2
+ (y – 1)2
= 9
4. (x + 2)2
+ (y + 5)2
= 10
5. (x + 3)2
+ (y – 4)2
= 8
6. (x – 2)2
+ (y + 5)2
= 25
7. x2
+ (y – 6)2
= 36
8. (x + 4)2
+ y2
= 12.25
9. x2
+ (y + 5) = 5
10. (x – 3)2
+ y2
= 27
.
D. y
1. C(3, -1) , tangent to x-axis
Solution:
Since the circle is tangent to x-axis,
then r is ⊥ to x-axis. The distance from
the center of the circle to the x-axis or the x
length of radius r is I unit.
The equation of the circle with center
at (3, -1) and r = 1 is
(x – 3)2
+ (y + 1) = 1
x2
– 6x + 9 + y2
+ 2y + 1 = 1
x2
+ y2
– 6x + 2y + 10 – 1 = 0
x2
+ y2
– 6x + 2y + 9 = 0
27
2. Center at (2, 5) and passing through ( -2, 1)
y
Solution: Since the center is known
what we need is the length of the
radius. To find the length of the
radius, use the other point as the other
end of the radius.
r = ( )[ ] ( )22
1522 −+−−
r = ( ) 22
422 ++
r = 22
44 +
r = 1616 + x
r = 32
r = 4 2
The equation of the circle therefore is
(x – 2)2
+ (y – 5)2
= (4 2 )2
x2
– 4x + 4 + y2
– 10y + 25 = 32
x2
+ y2
– 4x – 10y – 3 = 0
3. Line segment joining (-2, 5) and (-2, -3) is a diameter.
Solution: The midpoint of the segment is
the center of the circle. Find the coordinates
of the midpoint.
M 




 −−+−
2
35
,
2
)2(2
M 




 −
2
2
,
2
4
M (-2, 1)
Then find the length of the radius
using the midpoint and one of the endpoints
of the diameter .
r = [ ] ( )22
15)2(2 −+−−−
= 22
4)22( ++−
= 2
40 +
= 2
4
C(2,5)
(-2,1)
(-2,5)
(-2,1)
28
r
C(3,3)
x
r
C(1,0)
3x-4y=24
r = 4
The equation of the circle with center at ( -2, 1) and r = 4 is
(x + 2)2
+ (y – 1)2
= 42
x2
+ 4x + 4 + y2
– 2y + 1 = 16
x2
+ y2
+ 4x – 2y - 11 = 0 y
4. Solution: Since the circle is tangent to both
axes, therefore the center of the circle is at
equal distance from both x and y axes.
That distance is 3 units since the radius
is given at 3 units. The center is also at the
first quadrant. The circle passes through (0, 3)
and (3, 0). The center is at (3, 3)
x
The equation of the circle is
(x – 3)2
+ (y – 3) = 32
x2
– 6x + 9 + y2
– 6y + 9 = 9
x2
+ y2
– 6x – 6y + 9 = 0
5. Tangent to the line 3x – 4y = 24 with center at (1, 0).
y
Solution: The radius of the circle is equal
to the distance of the center (1, 0) from the
line 3x – 4y = 24.
To find the distance from a point to a line,
we use the formula
d =
22
11
BA
CByAx
+−
++
where A and B are the coefficients of x and
y, and C is the constant in the equation of
line. x1 and y1 are the coordinates of the
point.
Therefore in the given,
A = 3, B = -4 and C = -24. x1 = 1, y2 = 0
r =
22
43
24)0)(4()1(3
+−
−−+
29
C(4,-1)
=
169
2403
+−
−+
=
5
21
−
−
r =
5
21
The equation of the circle with center at (1, 0) and radius r =
5
21
is
(x – 1)2
+ y2
=
2
5
21






=
25
441
What have you learned
1. C(2a, b)
2. AC = 22
2 ba +
3. origin
4. x2
+ y2
= r2
5. C(0, 0), r = 8
6. C(0, -1), r = 5
7. C(6, 0), r = 1
8. C(3, -7), r = 2 3
9. C(1, -1), r = 7
10. Solution: Find the length of r using the origin
and the coordinates of the center (-4, -1).
r = 22
)01()04( −−++− y
= 22
)1()4( −+−
= 116 +
= 17
The equation is
(x + 4)2
+ (y + 1)2
= ( 17 )2
x
x2
+ 8x + 16 + y2
+ 2y + 1 = 17
x2
+ y2
+ 8x + 2y + 17 – 17 = 0
x2
+ y2
+ 8x + 2y = 0
Module 1
Triangle Congruence
What this module is about
This module is about triangle congruence. It will teach you how to prove
that two triangles are congruent by SSS, SAS, ASA and SSS congruent
postulates.
What you are expected to learn
This module is designed for you to:
1. apply the properties of congruence by:
• Reflexive property
• Symmetric property
• Transitive property
2. use inductive skills to prove congruence between triangles
3. show congruence between triangles by:
• SSS congruence
• SAS congruence
• ASA congruence
• SAA congruence
How much do you know
For each pair of triangles, identical marks indicate two pairs of corresponding
congruent parts. Name the congruence postulate which will prove the triangles
congruent.
What you will do
Lesson 1
Properties of Congruence
Lesson 2
Congruent Triangles
Lesson 3
SSS Congruence
SSS Congruence
Lesson 4
SAS Congruence
Lesson 5
ASA Congruence
Lesson 6
SAA Congruence
Let’s summarize
What have you learned
Answer key
93o
50’
32o
c 4
b C
Module 2
Triangle Trigonometry
What this module is about
This module is about law of sines. As you go over this material, you will
develop the skills in deriving the law of sines. Moreover, you are also expected to
learn how to solve different problems involving the law of sines.
What you are expected to learn
This module is designed for you to demonstrate ability to apply the law of
sines to solve problems involving triangles.
How much do you know
1. Find the measure of ∠ B in ABC if m∠ A = 8o
and m∠ C = 97o
.
2. Find the measure of ∠ A in ABC if m∠ B = 18o
14’ and m∠ C = 81o
41’.
3. Two of the measures of the angles of ABC are A = 8o
3’ and B = 59o
6’.
Which is the longest side?
4. What equation involving sin 32o
will be used to find side b?
5. Given a = 62.5 cm, m∠ A = 62o
20’ and m∠ C = 42o
10’. Solve for side b.
6. Solve for the perimeter of ABC if c = 25 cm, m∠ A = 35o
14’ and m∠ B =
68o
.
7. Solve ABC if a = 38.12 cm, m∠ A = 46o
32’ and m∠ C = 79o
17’.
A
B
2
8. Solve ABC if b = 67.25 mm, c = 56.92 mm and m∠ B = 65o
16’.
9. From the top of a building 300 m high, the angles of depression of two street
signs are 17.5o
and 33.2o
. If the street signs are due south of the observation
point, find the distance between them.
10.The angles of elevation of the top of a tower are 35o
from point A and 51o
from another point B which is 35 m from the base of the tower. If the base of
the tower and the points of observation are on the same level, how far are
they from each other?
What you will do
Lesson 1
Oblique Triangles
An oblique triangle is a triangle which does not contain a right angle. It
contains either three acute angles (acute triangle) or two acute angles and one
obtuse angle (obtuse triangle).
Acute triangle Obtuse triangle
If two of the angles of an oblique triangle are known, the third angle can
be computed. Recall that the sum of the interior angles in a triangle is 180o
.
Examples:
Given two of the angles of ABC, solve for the measure of the third angle.
1. A = 30o
, B = 45o
.
A + B + C = 180o
.
30o
+ 45o
+ C = 180o
.
C = 180o
– (30o
+ 45o
)
C = 180o
– 75o
C = 105o
3
2. B = 69.25o
, C = 114.5o
.
A + B + C = 180o
.
A + 69.25o
+ 114.5o
= 180o
.
A = 180o
– (69.25o
+ 114.5o
)
A = 180o
– 183.75o
A = 3.75o
3. A = 56o
38’, C = 64o
49’.
A + B + C = 180o
.
56o
38’ + B + 64o
49’o
= 180o
.
B = 180o
– (56o
38’ + 64o
49’)
B = 180o
– 121o
27’
B = 58o
33’
Try this out
Given two of the angles of ABC, solve for the measure of the third angle.
Set A
1. A = 60o
, B = 45o
2. B = 76o
, C = 64o
3. A = 69.25o
, C = 14.5o
4. B = 19.15o
, A = 107.05o
5. C = 85o
38’, A = 74o
23’
Set B
1. A = 57o
, B = 118o
2. B = 46o
, C = 69o
3. A = 51.63o
, C = 70.47o
4. B = 37.3o
, A = 77.24o
5. C = 58o
6’, A = 47o
24’
Set C
1. A = 58o
, B = 77o
2. B = 64o
, C = 64o
3. A = 18.82o
, C = 109.3o
4. B = 56.85o
, A = 37.18o
4
5. C = 27o
34’, A = 72o
43’
Lesson 2
Deriving the Law of Sines; Solving Oblique Triangles
Involving Two Angles and a Side Opposite One of Them
Consider ABC with altitude h.
The area of this triangle is
1
Area ch
2
= (1)
From the right triangle
h
sin A
b
= (2)
Solving h in (2) gives
H = bsin A (3)
Substituting (3) in (1) gives
1
Area c(bsin A)
2
= (4)
Similarly, two other formulas for the area of ABC can be derived, namely:
1
Area a(csin B)
2
= (5)
b h a
BA
C
c
5
93o
50’
32o
c 4
b C
B
A
and
1
Area b(asin C)
2
= (6)
Since (4), (5), and (6) represent the area of one and the same triangle,
then
1 1 1
c(bsin A) a(csin B) b(asin C)
2 2 2
= =
or equivalently
sin A sin B sin C
a b c
= = .
This is the Law of Sines which states that “In any triangle ABC, with a, b,
and c as its sides, and A, B and C as its angles,
sin A sin B sin C
a b c
= = .”
Note that this is also equivalent to
a b c
sin A sin B sin C
= = .
The Law of Sines is used to solve different cases of oblique triangles.
One case of oblique triangle that can be solved using the law of sines involves
two angles and a side opposite one of them.
Examples:
Solve each triangle ABC described below.
1. a = 4, A = 32o
, B = 93o
50’
The given parts of the triangle involve two angles A and B, and side a
which is opposite A. The given parts and the unknown parts are shown in the
figure below.
To solve for C:
A + B + C = 180o
6
32o
+ 93o
50’ + C = 180
C = 180o
– (32o
+ 93o
50’)
C = 180o
– 125o
50’
C = 54o
10’
To solve for b:
a b
sin A sin B
=
asin B
b
sin A
=
4(sin93 50')
b
sin32
°
=
°
4(0.99776)
b
0.52992
=
b = 7.53
To solve for c:
a c
sin A sin C
=
asin C
c
sin A
=
4(sin54 10')
c
sin32
°
=
°
4(0.81072)
b
0.52992
=
b = 6.12
2. b = 2.3, C = 42.5o
, B = 84o
The given parts of the triangle involve two angles B and C, and side b
which is opposite B. The given parts and the unknown parts are shown in the
figure below.
84o
42.5o
a
2.3
c
B
C
A
7
To solve for A:
A + B + C = 180o
A + 84o
+ 42.5o
= 180o
A = 180o
– (84o
+ 42.5o
)
A = 180o
– 126.5o
A = 53.5o
or 53o
30’
To solve for c:
c b
sin C sin B
=
bsin C
c
sin B
=
2.3(sin 42.5 )
c
sin84
°
=
°
2.3(0.67559)
c
0.99452
=
c = 1.6
To solve for a:
a b
sin A sin B
=
bsin A
a
sin B
=
2.3(sin53 30')
a
sin84
°
=
°
2.3(0.80386)
a
0.99452
=
a =1.86
Try this out
Solve triangle ABC described by the given parts.
Set A
1. a = 12, A = 60o
, B = 45o
2. b = 20, B = 32o
, C = 24o
8
3. c = 42.5, A= 35.2o
, C = 29o
4. a = 9, A = 42.4o
, C = 37.8o
5. b = 75, B = 30o
45’, C = 32o
30’
Set B
1. a = 10, A = 61o
, B = 49o
2. c = 80, C = 56o
, B = 68o
3. b = 38, B = 47o
, A = 30o
4. c = 8, C = 77.2o
, A = 88o
5. b = 8, B = 67o
15’, A = 33o
5’
Set C
1. A = 65o
50’, B = 14o
, b = 16
2. A = 69o
15’, C = 28o
40’, a = 80
3. B = 47.5o
, A = 80o
, a = 15.1
4. B = 63o
36’, C = 89o
, b = 8
5. C = 57.25o
, A = 33.5o
, c = 23.5
Lesson 3
Solving Oblique Triangles Involving Two Angles
and the Included Side
Another case of oblique triangle that can be solved using the law of sines
involves two angles and the included side.
Examples:
1. c = 440, A = 48o
, B = 75o
The given parts of the triangle involve two angles and the included side.
This case can also be solved using the law of sines.
To solve for C:
A + B + C = 180o
75o
48o
440
b C
a
A
B
9
48o
+ 75o
+ C = 180
C = 180o
– (48o
+ 75o
)
C = 180o
– 123o
C = 57o
To solve for a:
a c
sin A sin C
=
csin A
a
sin C
=
440(sin 48 )
a
sin57
°
=
°
440(0.74315)
a
0.83867
=
a = 389.87
To solve for b:
b c
sin B sin C
=
csin B
b
sin C
=
440(sin 48 )
b
sin57
°
=
°
440(0.74314)
b
0.96593
=
b = 338.51
2. a = 8.2, B = 38o
26’, C = 75o
19’
The given parts of the triangle involve two angles and the included side.
This case can also be solved using the law of sines.
38o
26’75o
19’
8.2
b c
A
BC
10
To solve for A:
A + B + C = 180o
A + 38o
26’ + 75o
19’ = 180
A = 180o
– (38o
26’ + 75o
19’)
C = 180o
– 113o
45’
C = 66o
15’
To solve for b:
a b
sin A sin B
=
asin B
b
sin A
=
8.2(sin38 26')
b
sin 75 19'
°
=
°
8.2(0.62160)
b
0.96734
=
b = 5.27
To solve for c:
a c
sin A sin C
=
asin C
c
sin A
=
8.2(sin 66 15')
c
sin75 19'
°
=
°
8.2(0.91531)
c
0.96734
=
c = 7.76
Try this out
Solve each triangle ABC described below.
Set A
1. a = 12, A = 60o
, B = 45o
2. b = 20, A = 32o
, C = 24o
11
3. c = 42.5, A = 35.2o
, B = 79o
4. a = 9, A = 42.4o
, B = 37.8o
5. b = 0.751, A = 100o
30’, C = 32o
45’
Set B
1. a = 248, A = 51o
, B = 49o
2. c = 8.5, A = 56o
, B = 68o
3. b = 38, A = 47.2o
, C = 50.5o
4. a = 8, B = 77o
26’, C = 28o
40’
5. c = 1.2, A = 67.3o
, B = 33.9o
Set C
1. A = 65o
50’, B = 14o
, c = 16
2. B = 69.2o
, C = 28.8o
a = 0.8
3. A = 15o
28’, C = 77o
, b = 100
4. a = 1.8, B = 36o
36’, C = 98o
5. c = 23.5, B = 57.25o
, A = 33o
33’
Lesson 4
Solving Oblique Triangles Involving Two Sides and an Angle
Opposite One of Them
Another case of oblique triangle that can be solved using the law of sines
involves two sides and an angle opposite one of them.
Examples:
The given parts and the unknown parts are shown in the figures:
1. b = 15, a = 20, A = 80o
25’
To solve for B:
a b
sin A sin B
=
C
80o
25’
15 20
c BA
12
bsin A
sin B
a
=
15(sin80 25')
sin B
20
°
=
15(0.98604)
sin B
20
=
sin B 0.73953=
B = Arcsin (0.73953)
B = 47o
41’29”
To solve for C:
A + B + C = 180o
80o
25’ + 47o
41’ + C = 180
C = 180o
– (80o
25’ + 47o
41’)
C = 180o
– 128o
6’
C = 51o
54’
To solve for c:
a c
sin A sin C
=
asin C
c
sin A
=
20(sin51 54')
c
sin80 25'
°
=
°
20(0.78694)
b
0.98604
=
b = 15.96
2. a = 2.46, c = 5, C = 70.2o
70.2o
b 2.46
A 5 B
C
13
To solve for A:
a c
sin A sin C
=
asin C
sin A
c
=
2.46(sin70.2 )
sin A
5
°
=
2.46(0.94088)
sin A
5
=
sin A = 0.46291
A = Arcsin (0.46291)
A = 27.58o
To solve for B:
A + B + C = 180o
27.58o
+ B + 70.2o
= 180
B = 180o
– (27.58o
+ 70.2o
)
B = 180o
– 97.78o
B = 82.22o
To solve for b:
b c
sin B sin C
=
csin B
b
sin C
=
5(sin82.22 )
b
sin 70.2
°
=
°
5(0.99080)
b
0.94088
=
b = 5.27
Try this out
Solve each triangle ABC described below.
Set A
1. a = 12, b = 18, B = 45o
2. b = 20, c = 32, B = 24o
14
3. a = 2.5, c = 5.2, C = 79o
4. a = 9, b = 14.4, B = 37.8o
5. b = 0.751, c = 1, C = 32o
45’
Set B
1. a = 140, b = 150, B = 49o
2. a = 8.5, c = 5.6, A = 68o
3. a = 47.2, b = 38, A = 50.5o
4. a = 0.8, c = 0.72, C = 28o
40’
5. c = 1.2, b = 6.3, B = 131.5o
Set C
1. A = 65o
50’, a = 15, c = 16
2. B = 95.2o
, b = 2.8, c = 0.8
3. C = 15o
28’, c = 77, b = 100
4. B = 36o
36’, a = 1.8, b = 2.98
5. A = 33o
33’, a = 33.5, b = 57.25
Lesson 5
Solving Problems Involving Oblique Triangles
The following examples show how the law of sines is used to solve word
problems involving oblique triangles.
Examples:
Solve each problem. Show a complete solution.
1. The longer diagonal of a parallelogram is 27 cm. Find the perimeter of the
parallelogram if the angles between the sides and the diagonal are 30o
and 40o
10’.
The perimeter of any parallelogram is twice the sum of the lengths of the
two consecutive sides.
40o
10’
30o
27 cm y
x
θ
15
Let x and y be the consecutive sides as shown in the figure. The angle
opposite x is 40o
10’. Hence, the angle θ between x and y is
30o
+ 40o
10’ + θ = 180o
θ = 180o
– (30o
+ 40o
10’)
θ = 180o
– 70o
10’
θ = 109o
50’
To solve for x:
x 27
sin 40 10' sin109 50'
=
° °
27sin 40 10'
x
sin109 50'
°
=
°
27(0.64501)
x
0.94068
=
x = 18.51 cm
To solve for y:
y 27
sin30 sin109 50'
=
° °
27sin30
y
sin109 50'
°
=
°
27(0.5)
y
0.94068
=
x = 14.35 cm
The perimeter P of the parallelogram is
P = 2(x + y)
P = 2(18.51 + 14.35)
P = 2(32.86)
P = 65.72 cm
2. From the top of a 300 m building, the angle of depression of two traffic
aides on the street are 17o
30’ and 33o
12’, respectively. If they are due
south of the observation point, find the distance between them.
16
Let B1B2 be the distance between the two traffic aides.
First, find θ1:
θ1 = 33o
12’ – 17o
30’
θ1 = 15o
42’
Then, find OB1:
1
300
cos33 12'
OB
° =
1
300
OB
cos33 12'
=
°
1
300
OB
0.83676
=
OB1 = 358.53
To solve for B1B2:
1 2 1B B OB
sin15 42' sin17 30'
=
° °
1
1 2
OB (sin15 42')
B B
sin17 30'
°
=
°
1 2
358.53(0.27060)
B B
0.30071
=
B1B2 = 322.63 m
17o
30’
300 m
P B1 B2
33o
12’
θ1
O
17o
30’33o
12’
17
Try this out
Solve each problem. Show a complete solution.
Set A
1. The shorter diagonal of a parallelogram is 5.2 m. Find the perimeter of
the parallelogram if the angles between the sides and the diagonal are
40o
and 30o
10’.
2. From the top of a 150 m lighthouse, the angles of depression of two
boats on the shore are 20o
and 50o
, respectively. If they are due north
of the observation point, find the distance between them.
3. Two policemen 122 meters apart are looking at a woman on top of a
tower. One cop is on the east side and the other on the west side. If
the angles of elevation of the woman from the cops are 42.5o
and
64.8o
, how far is she from the two cops?
4. The angle between Rizal St. and Bonifacio St. is 27o
and intersect at P.
Jose and Andres leaves P at the same time. Jose jogs at 10 kph on
Rizal St. If he is 3 km from Andres after 30 minutes, how fast is Andres
running along Bonifacio St?
5. The angle of elevation of the top of a tower is 40o
30’ from point X and
55o
from another point Y. Point Y is 30 meters from the base of the
tower. If the base of the tower and points X and Y are on the same
level, find the approximate distance from X and Y.
Set B
1. The vertex of an isosceles triangle is 40o
. If the base of the triangle is
18 cm. find its perimeter.
2. An 80-meter building is on top of a hill. From the top of the building, a
nipa hut is sighted with an angle of depression of 54o
. From the foot of
the building the same nipa hut was sighted with an angle of depression
of 45o
. Find the height of the hill and the horizontal distance from the
building to the nipa hut.
3. The lengths of the diagonals of a parallelogram are 32.5 cm and 45.2
cm. The angle between the longer side and the longer diagonal is 35o
.
Find the length of the longer side of the parallelogram.
18
4. A diagonal of a parallelogram is 35 cm long and forms angles of 34o
and 43o
with the sides. Find the perimeter and area of the
parallelogram.
5. A wooden post is inclined 85o
with the ground. It was broken by a
strong typhoon. If a broken part makes an angle of 25o
with the
ground, and the topmost part of the post is 40 ft from its base, how
long was the post?
Set C
1. The measures of two of the angles of a triangle are 50o
and 55o
. If its
longest side measures 17 cm, find the perimeter of the triangle.
2. Bryan’s (B) and Carl’s (C) houses are along the riverbank. On the
opposite side is Angel’s (A) house which is 275 m away from Carl’s.
The angles CAB and ACB are measured and are found to be 125o
and
49o
, respectively. Find the distance between Angel’s and Bryan’s
houses.
3. A park is in the shape of an obtuse triangle. One angle is 45o
and the
opposite side is 280-m long and the other angle is 40o
. Find the
perimeter of the park.
4. Three circles are arranged as shown in the figure. Their centers are
joined to form a triangle. Find angle θ.
5. Two forces are acting on each other at point A at an angle 50o
. One
force has a magnitude of 60 lbs. If the resultant force is 75 lbs find the
magnitude of the second force.
r = 1.5
r = 3
r = 2.5θ
30o
19
Let’s summarize
1. An oblique triangle is a triangle which does not contain a right angle. It
contains either three acute angles (acute triangle) or two acute angles and
one obtuse angle (obtuse triangle).
2. If two of the angles of an oblique triangle are known, the third angle can
be computed. The sum of the interior angles in a triangle is 180o
.
3. In any triangle ABC, with a, b, and c as its sides, and A, B and C as its
angles,
sin A sin B sin C
a b c
= = .
This is also equivalent to
a b c
sin A sin B sin C
= = .
4. The Law of Sines is used to solve different cases of oblique triangles. This
law is used to solve oblique triangles that involve
a. two angles and a side opposite one of them.
b. two angles and the included side
c. two sides and the angle opposite one of them
What have you learned
1. Find the measure of ∠ B in ABC if m∠ A = 8o
and m∠ C = 97o
.
2. Find the measure of ∠ A in ABC if m∠ B = 18o
14’ and m∠ C = 81o
41’.
3. The measures of the side of ABC are c = 83 cm and b = 59 cm and a =
45 cm. Which is the largest angle?
4. What equation that involves sin 70.2o
will be used to find angle A?
70.2o
b 2.46
A 5 B
C
20
5. Given a = 62.5 cm, m∠ A = 112o
20’ and m∠ C = 42o
10’. Solve for side b.
6. Solve for the perimeter of ABC if c = 25 cm, m∠ A = 35o
14’ and m∠ B
= 68o
.
7. Solve ABC if b = 38.12 cm, m∠ B = 46o
32’ and m∠ A = 79o
17’.
8. Solve ABC if b = 67.25 mm, c = 56.92 mm and m∠ B = 65o
16’.
9. From the top of a building 300 m high, the angles of depression of two
street signs are 17.5o
and 33.2o
. If the street signs are due south of the
observation point, find the distance between them.
10.A park is in the shape of an acute triangle. One angle is 55o
and the
opposite side is 300-m long and the other angle is 60o
. Find the perimeter
of the park.
21
Answer Key
How much do you know
1. 75o
2. 80o
5’
3. c
4.
b 4
sin93 50' sin32
=
° °
5. 68.32 cm
6. 14.82 cm
7. B = 54o
11’, b = 42.59 cm, c = 51.61 cm
8. C = 50o
14’30”, A = 64o
29’30”, a = 66.83 mm
9. 155.45 m
10.26.73 m
Try this out
Lesson 1
Set A
1. 75o
2. 40o
3. 96.25o
4. 53.8o
5. 19o
59’
Set B
1. 5o
2. 65o
3. 57.9o
4. 65.46o
5. 74o
30’
22
Set C
1. 45 o
2. 52 o
3. 51.88o
4. 85.97o
5. 79o
43’
Lesson 2
Set A
1. C = 75o
, b = 9.80, c = 13.38
2. A = 124o
, a = 31.29, c = 15.35
3. B = 115.8o
, a = 50.53, b = 78.92
4. B = 99.8o
, b = 13.15, c = 8.18
5. A = 116o
45’, a = 130.99, c = 78.81
Set B
1. C = 70o
, b = 8.63, c = 10.74
2. A = 56o
, a = 80, b = 89.47
3. C = 103o
, a = 25.98, c = 50.63
4. B = 14.8o
, a = 8.20, b = 2.10
5. C = 79o
40’, a = 4.74, c = 8.53
Set C
1. C = 100o
10’, a = 60.34, c = 65.10
2. B = 82o
5’, b = 84.73, c = 41.04
3. C = 52.5o
, b = 11.30, c = 12.16
4. A = 27o
24’, a = 4.11, c = 8.93
5. B = 89.25o
, a = 15.42, b = 27.94
Lesson 3
Set A
1. C = 75 o
, b = 9.80, c = 13.38
2. B = 123 o
, a = 12.64, c = 9.70
23
3. C = 65.8 o
, a = 26.84, b = 45.74
4. C = 99.8 o
, b = 8.18, c = 13.15
5. B = 46o
45’, a = 1.014, c = 0.558
Set B
1. C = 80o
, b = 240.84, c = 314.27
2. C = 56o
, a = 8.50, b = 9.51
3. B = 82.3o
, a = 28.14, c = 29.59
4. A = 73o
54’, b = 8.13, c = 3.99
5. C = 79o
33’, a = 1.13, b = 0.68
Set C
1. C = 100o
, a = 14.83, b = 14.83
2. A = 82o
, b = 0.76, c = 0.39
3. B = 87o
32’, a = 26.69, c = 97.53
4. A = 45o
24’, b = 1.51, c = 2.50
5. C = 89o
12’, a = 13.00, b = 19.77
Lesson 4
Set A
1. A = 28o
7’32”, C = 106o
52’28”, c = 10.83
2. A = 115o
23’48”, C = 40o
36’12”, a = 44.42
3. A = 28o
9’36”, B = 72o
50’24”, b = 5.06
4. A = 22o
31’56”, C = 119o
40’4”, c = 20.41
5. A = 123o
16’45”, B = 23o
58’15”, a = 1.55
Set B
1. A = 44o
46’51”, C = 86o
13’9”, c = 198.32
2. B = 74o
20’56”, C = 37o
39’4”, b = 8.83
3. B = 38o
24’20”, C = 91o
5’40”, c = 61.16
4. A = 32o
12’34”, B = 119o
7’26”, b = 1.31
5. A = 40.3o
, C = 8.2, a = 5.44
24
Set C
1. B = 37o
27’57”, C = 76o
42’3”, b = 10.00
2. A = 71.21o
, C = 16.59o
, a = 0.76
3. A = 144o
16’12”, B = 20o
15’48”, a = 168.61
4. A = 21o
6’31”, C = 122o
17’29”, c = 4.23
5. B = 70o
49’4”, C = 75o
37’56”, c = 58.72
Lesson 5
Set A
1. The perimeter is 12.66 m.
2. The distance between them is approximately 286.26 m.
3. The distances of the woman from the two policemen are approximately
86.33 m and 115.62 m.
4. Andres ran approximately at the rate of 3.21 kph.
5. The distance between X and Y is approximately 20.16 m.
Set B
1. The perimeter of the isosceles triangle is approximately 70.62 cm.
2. The horizontal distance of the building to the nipa hut is 212.55 m.
3. The longer side is 28.31 cm.
4. The perimeter of the parallelogram is 89.18 cm and its area is 1,962.21
sq.cm.
5. The wooden post is 60.40 ft long.
Set C
1. The perimeter is 44.90 cm.
2. The distance between Angel’s and Bryan’s houses is 1,985.54 m.
3. The perimeter of the park is 929 m.
4. The angle θ is 115o
46’ 12”
5. The second force is approximately 97.83 lbs.
25
How much have you learned
1. 75o
2. 80o
5’
3. Angle C
4.
sin A sin 70.2
2.46 5
°
=
5. 29.20 cm
6. 63.63 cm
7. C = 54o
11’, a = 51.61 cm, c = 42.59 cm
8. C = 50o
14’30”, A = 64o
29’30”, a = 66.83 mm
9. The distance between the signs is 493.03 m.
10.The perimeter is 949.09 m
Module 3
Triangle Congruence
What this module is about
This module is about using triangle congruence to prove congruent
segments and angles. You will understand that a correspondence between two
triangles is a congruence if the corresponding angle and corresponding sides are
congruent.
What you are expected to learn
This module is designed for you to:
1. prove congruent segments and angles using the conditions for triangle
congruence.
2. solve routine and non-routine problems.
How much do you know
1. Given: HS bisects ∠ THE
∠ HTS ≅ ∠ HES
Prove: TS ≅ ES
T
H S
E
2
2. Given: PM // NS; PM ≅ SN
Prove: ML ≅ LN
3. Given: NO ≅ XS; OE ≅ SI; NI ≅ XE
Prove: ∠ O ≅ ∠ S
4. Given: ∆ PNC and ∆ TNC are isosceles triangles with common base
NC.
Prove: ∠ PNT ≅ ∠ PCT
P
N C
T
P M
N S
L
N
I
O
E
S
X
3
H
5. Given: AE is the ⊥ bisector of BC
Prove: ∠ B ≅ ∠ C
6. Given: CH ≅ EH, FH ≅ GH
Prove: ∠ C ≅ ∠ E
7. Given: ∠ A and ∠ B are right angles and AP ≅ BP.
Prove: AQ ≅ BQ
A
B C
E
D
C E
F G
P
A B
Q
4
8. Given: ∠ 1 ≅ ∠ 2
O is the midpoint of SP
Prove: MO ≅ NO
9. Given: LO ≅ LN
∆JLO and ∆MLN are right ∆s
Prove: ∠ J ≅ ∠ K
10. Given: PQ ≅ RS
∠ QRP ≅ ∠ SRP
Prove: SP ≅ QR
O
J
L
M
N
1
2S
M
O
N
P
SP
RQ
5
What you will do
Lesson
Congruent Segments and Congruent Angles
To prove two segments or two angles are congruent, you must show that
they are corresponding parts of congruent triangles.
For triangle congruence, you have the following:
• SSS congruence
• SAS congruence
• ASA congruence
• SAA congruence
For right triangle congruence, you have the following:
• LL congruence
• LA congruence
• HyL congruence
• HyA congruence
Examples:
Formal Proofs:
1. Given: AB // DC, AD // BC
Prove: AB ≅ DC
DA
CB
1
4
3
2
6
Proof:
Statement Reason
1. AB // DC, AD // BC 1. Given
2. ∠ 1 ≅ ∠ 2, ∠ 3 ≅ ∠ 4 2. If two parallel lines are cut by a transversal,
then the alternate interior angles are ≅
3. BD ≅ BD 3. Reflexivity
4. ∆ABD ≅ ∆CDB 4. ASA
5. ∴AB ≅ DC 5. Corresponding parts of ≅ triangles are ≅
or CPCTC
2. Given: LS bisects ∠ TLE
∠ LTS ≅ ∠ LES
Prove: TS ≅ ES
Proof:
Statement Reason
1. LS bisects ∠ TLE 1. Given
2. ∠ TLS ≅ ∠ ELS 2. Definition of angle bisector
3. LS ≅ LS 3. Reflexivity
4. ∠ LTS ≅ ∠ LES 4. Given
5. ∆ TSL ≅ ∆ ESL 5. SAA congruence
6. TS ≅ ES 6. Corresponding parts of ≅ ∆ s are ≅
or CPCTC
T
S L
E
7
3. Given: MO ≅ YS, OB ≅ SP, MP ≅ YB
Prove: ∠ O ≅ ∠ S
Proof:
Statement Reason
1. MO ≅ YS 1. Given
OB ≅ SP
MP ≅ YB
2. PB ≅ PB 2. Reflexivity
3. MB ≅ PY 3. By addition
4. ∆MOB ≅ ∆ YSP 4. SSS congruence
5. ∠ O ≅ ∠ S 5. CPCTC
4. Given: AR is the ⊥ bisector of BX.
Prove: ∠ B ≅ ∠ X
M
P
O
B
S
Y
R
A
B X
8
Proof:
Statement Reason
1. AR is the ⊥ bisector of BX 1. Given
2. AR ≅ AR 2. Reflexivity
3. BR ≅ XR 3. Definition of ⊥ bisector
4. ∆ARB ≅ ∆ARX 4. LL congruence
5. ∠ B ≅ ∠ X 5. CPCTC
5. Given: ∠ 1 ≅ ∠ 2
O is the midpoint of SP
Prove: DO ≅ SO
Proof:
Statement Reason
1. ∠ 1 ≅ ∠ 2 1. Given
2. ∠ DSO ≅ ∠ SPO 2. Supplements of ≅ ∠ s are also ≅
3. O is the midpoint of SP 3. Given
4. SO ≅ PO 4. Definition of midpoint
5. ∠ DOS ≅ ∠ SOP 5. Vertical ∠ s are ≅
6. ∆ SDO ≅ ∆ PSO 6. ASA congruence
7. DO ≅ SO 7. CPCTC
1
2S
D
O
S
P
9
Try this out
1. Given: ∠ SLO and ∠ KMO are right angles
LO ≅ MO
Prove: ∠ S ≅ ∠ K
2. Given: XY ≅ RS
∠ YXR ∠ SRX
Prove: SX ≅ YR
3. Given: ∆ PNU and ∆ TNU are isosceles triangles with common base NU
Prove: ∠ PNT ≅ ∠ PUT
L
S
O
K
M
YX
S R
P
N u
T
O
10
4. Given: CD ≅ ED, FC ≅ FE
Prove: ∠ C ≅ ∠ E
5. Given: ∠ A ≅ ∠ C are right angles
AK ≅ MC
Prove: MA ≅ KC
6. Given: MN ⊥ NR, PR ⊥ NR, MR ≅ PN
Prove: MN ≅ NR
D
C
E
F
M C
A K
M P
N R
11
7. Given: AI ≅ BN, BI ≅ AN
Prove: ∠ I ≅ ∠ N
8. Given: In the figure, JV and NC bisect each other at O
Prove: ∠ J ≅ ∠ V
9. Given: MQ and PN bisect each other at O
Prove: ∠ P ≅ ∠ N
A B
I N
J C
N V
O
Q
N
O
P
M
12
10. Given: GQ ≅ RS
∠ QGR ≅ ∠ SRG
Prove: SG ≅ QR
Let’s summarize
To prove two segments or two angles are congruent, you must show that
they are corresponding parts of congruent triangles.
For triangle congruence, you have the following:
• SSS congruence
• SAS congruence
• ASA congruence
• SAA congruence
For right triangle congruence, you have the following:
• LL congruence
• LA congruence
• HyL congruence
• HyA congruence
QG
S R
13
What have you learned
1. Given: TS bisects ∠ MTE
∠ TMS ≅ ∠ TES
Prove: TM ≅ TE
2. Given: PQ // NS; PQ ≅ SN
Prove: QL ≅ LN
M
S T
E
P Q
N S
L
14
3. Given: XO ≅ YS; OE ≅ SI; XI ≅ YE
Prove: ∠ O ≅ ∠ S
4. Given: ∆PNQ and ∆TNQ are isosceles triangles with common base NQ.
Prove: ∠ PNQ ≅ ∠ TNQ
5. Given: HE is the ⊥ bisector of BC
Prove: ∠ B ≅ ∠ C
P
N Q
T
H
B C
E
X
I
O
E
S
Y
15
H
6. Given: CG ≅ EG, FG ≅ HG
Prove: ∠ C ≅ ∠ E
7. Given: ∠ R and ∠ S are right angles and RP ≅ SP.
Prove: RQ ≅ SQ
8. Given: ∠ 1 ≅ ∠ 2
O is the midpoint of SP
Prove: RO ≅ TO
P
R S
Q
1
2S
R
O
T
P
D
C E
F H
G
16
9. Given: ∠ JLO and ∠ KMO are right ∠ s
LO and MO
Prove: ∠ J ≅ ∠ K
10.Given: PQ ≅ RS
∠ QPR ≅ ∠ SRP
Prove: SP ≅ QR
QP
S R
L
J
O
K
M
17
Answer key
How much do you know
1. Proof
Statement Reason
1. HS bisects ∠ THE 1. Given
∠ HTS ≅ ∠ HES
2. ∠ THS ≅ ∠ EHS 2. Definition of ∠ bisector
3. HS ≅ HS 3. Reflexivity
4. ∆THS ≅ ∆ EHS 4. SAA congruence
5. TS ≅ ES 5. CPCTC
2. Proof:
Statement Reason
1. PM // NS, PM ≅ SN 1. Given
2. ∠ P ≅ ∠ S, ∠ M ≅ ∠ N 2. If 2 // lines cut by a transversal,
the alternate interior ∠ s are ≅
3. ∆PLM ≅ ∆ SLN 3. ASA congruence
4. ML ≅ LN 4. CPCTC
3. Proof:
Statement Reason
1. NO ≅ XS, OE ≅ SI 1. Given
NI ≅ XE
2. IE ≅ IE 2. Reflexivity
3. NE ≅ IX 3. By addition
4. ∆NOE ≅ ∆XSI 4. SSS congruence
5. ∠ O ≅ ∠ S 5. CPCTC
4. Proof:
Statement Reason
1. ∆PNC and ∆TNC 1. Given
are isosceles ∆
2. PN ≅ PC, TN ≅ TC 2. Definition of isosceles
3. PT ≅ PT 3. Reflexivity
4. ∆PNT ≅ ∆ PCT 4. SSS congruence
5. ∠ PNT ≅ ∠ PCT 5. CPCTC
18
5. Proof:
Statement Reason
1. AE is the ⊥ bisector of BC 1. Given
2. BE ≅ CE 3. Definition of ⊥ bisector
3. AE ≅ AE 2. Reflexivity
4. ∆AEB ≅ ∆AEC 4. LL congruence
5. ∠ B ≅ ∠ C 5. CPCTC
6. Proof:
Statement Reason
1. CH ≅ EH, FH ≅ GH 1. Given
2. ∠ FHC ≅ ∠ GHE 2. Vertical ∠ s are ≅
3. ∆FHC ≅ ∆GHE 3. SAS
4. ∠ C ≅ ∠ E 4. CPCTC
7. Proof:
Statement Reason
1. ∠ A and ∠ B are rt. ∠ s 1. Given
AP ≅ BP
2. PQ ≅ PQ 2. Reflexivity
3. ∆PAQ ≅ ∆ PBQ 3. HyL congruence
4. AQ ≅ BQ 4. CPCTC
8. Proof:
Statement Reason
1. ∠ 1 ≅ ∠ 2 1. Given
2. ∠ MSO ≅ ∠ NPO 2. Supplements of ≅ ∠ s are also ≅
3. O is the midpoint of SP 3. Given
4. SO ≅ PO 4. Definition of midpoint
5. ∠ MOS ≅ ∠ NOP 5. Vertical ∠ s are ≅
6. ∆ MDO ≅ ∆ NPO 6. ASA congruence
7. MO ≅ NO 7. CPCTC
19
9. Proof:
Statement Reason
1. LO ≅ LN 1. Given
2. ∠ JLO ≅ ∠ MLN 2. Vertical ∠ s are ≅
3. ∆JLO ≅ ∆MLN 3. LA congruence
4. ∠ J ≅ ∠ K 4. CPCTC
10. Proof:
Statement Reason
1. PQ ≅ RS 1. Given
∠ QRP ≅ ∠ SRP
2. PR ≅ PR 2. Reflexivity
3. ∆PSR ≅ ∆RQP 3. SAS congruence
4. SP ≅ QR 4. CPCTC
Try this out
Lesson
1. Proof:
Statement Reason
1. LO ≅ MO 1. Given
2. ∠ SOL ≅ ∠ KOM 2. Vertical ∠ s are ≅
3. ∆SLO ≅ ∆ KMO 3. LA congruence
4. ∠ S ≅ ∠ K 4. CPCTC
2. Proof:
Statement Reason
1. XY ≅ RS 1. Given
∠ YXR ≅ ∠ SRX
2. RX ≅ RX 2. Reflexivity
3. ∆XYR ≅ ∆ RSX 3. SAS congruence
4. SX ≅ YR 4. CPCTC
20
3. Proof:
Statement Reason
1. ∆PNU and ∆TNU 1. Given
are isosceles ∆
2. PN ≅ PU, TN ≅ TU 2. Definition of isosceles
3. PT ≅ PT 3. Reflexivity
4. ∆PNT ≅ ∆PUT 4. SSS congruence
5. ∠ PNT ≅ ∠ PUT 5. CPCTC
4. Proof:
Statement Reason
1. CD ≅ ED, FC ≅ FE 1. Given
2. DF ≅ DF 2. Reflexivity
3. ∆DCF ≅ ∆DEF 3. SSS congruence
4. ∠ C ≅ ∠ E 4. CPCTC
5. Proof:
Statement Reason
1. ∠ A ≅ ∠ C 1. Given
AK ≅ MC
2. MK ≅ MK 2. Reflexivity
3. ∆MCK ≅ ∆ KAM 3. HyL congruence
4. MA ≅ KC 4. CPCTC
6. Proof:
Statement Reason
1. MR ≅ PN 1. Given
2. NR ≅ NR 2. Reflexivity
3. ∆MNR ≅ ∆ PRN 3. Hyl congruence
4. MN ≅ PR 4. CPCTC
21
7. Proof:
Statement Reason
1. AI ≅ BN 1. Given
BI ≅ AN
2. IN ≅ IN 2. Reflexivity
3. ∆AIN ≅ ∆BNI 3. SSS congruence
4. ∠ I ≅ ∠ N 4. CPCTC
8. Proof:
Statement Reason
1. JV and NC bisect 1. Given
each other at O
2. JO ≅ VO 2. Definition of Segment Bisector
CO ≅ NO
3. ∠ JOC ≅ ∠ VON 3. Vertical ∠ s are ≅
4. ∆JOC ≅ ∆VON 4. SAS
5. ∠ J ≅ ∠ V 5. CPCTC
9. Proof:
Statement Reason
1. MQ and PN bisect 1. Given
each other at O
2. MO ≅ QO 2. Definition of Segment Bisector
PO ≅ NO
3. ∠ POM ≅ ∠ NOQ 3. Vertical ∠ s are ≅
4. ∆POM ≅ ∆ VOQ 4. SAS
5. ∠ P ≅ ∠ N 5. CPCTC
10. Proof:
Statement Reason
1. GQ ≅ RS 1. Given
∠ QGR ≅ ∠ SRG
2. RG ≅ RG 2. Reflexivity
3. ∆QGR ≅ ∆ SRG 3. SAS congruence
4. SG ≅ QR 4. CPCTC
22
What have you learned
1. Proof
Statement Reason
1. TS bisects ∠ MHE 1. Given
∠ TMS ≅ ∠ TES
2. ∠ MTS ≅ ∠ ETS 2. Definition of ∠ bisector
3. TS ≅ TS 3. Reflexivity
4. ∆SMT ≅ ∆SET 4. SAA congruence
5. TM ≅ TE 5. CPCTC
2. Proof:
Statement Reason
1. PQ // SN 1. Given
2. ∠ QPL ≅ ∠ NSL 2. If 2 // lines cut by a transversal,
∠ PQL ≅ ∠ SNL the alternate interior ∠ s are ≅
3. ∆PQL ≅ ∆SNL 3. ASA congruence
4. QL ≅ LN 4. CPCTC
3. Proof:
Statement Reason
1. XO ≅ YS, OE ≅ SI 1. Given
XI ≅ YE
2. IE ≅ IE 2. Reflexivity
3. XE ≅ YI 3. By addition
4. ∆XOE ≅ ∆ YSI 4. SSS congruence
5. ∠ O ≅ ∠ S 5. CPCTC
4. Proof:
Statement Reason
1. ∆PNQ and ∆ TNQ 1. Given
are isosceles ∆
2. PN ≅ PQ, TN ≅ TQ 2. Definition of isosceles
3. PT ≅ PT 3. Reflexivity
4. ∆PNT ≅ ∆ PQT 4. SSS congruence
5. ∠ PNQ ≅ ∠ TNQ 5. CPCTC
23
5. Proof:
Statement Reason
1. HE is the ⊥ bisector of BC 1. Given
2. BE ≅ CE 3. Definition of ⊥ bisector
3. HE ≅ HE 2. Reflexivity
4. ∆HEB ≅ ∆HEC 4. LL congruence
5. ∠ B ≅ ∠ C 5. CPCTC
6. Proof:
Statement Reason
1. CG ≅ EG, FG ≅ HG 1. Given
2. ∠ FGC ≅ ∠ HGE 2. Vertical ∠ s are ≅
3. ∆FGC ≅ ∆HGE 3. SAS
4. ∠ C ≅ ∠ E 4. CPCTC
7. Proof:
Statement Reason
1. RP ≅ SP 1. Given
2. PQ ≅ PQ 2. Reflexivity
3. ∆PRQ ≅ ∆PSQ 3. HyL congruence
4. RQ ≅ SQ 4. CPCTC
8. Proof:
Statement Reason
1. ∠ 1 ≅ ∠ 2 1. Given
2. ∠ RSP ≅ ∠ TPO 2. Supplements of ≅ ∠ s are also ≅
3. O is the midpoint of SP 3. Given
4. SO ≅ PO 4. Definition of midpoint
5. ∠ SOR ≅ ∠ POT 5. Vertical ∠ s are ≅
6. ∆ SOR ≅ ∆ POT 6. ASA congruence
7. RO ≅ TO 7. CPCTC
24
9. Proof:
Statement Reason
1. LO ≅ MO 1. Given
2. ∠ LOJ ≅ ∠ MOK 2. Vertical ∠ s are ≅
3. ∆LOJ ≅ ∆MOK 3. LA congruence
4. ∠ J ≅ ∠ K 4. CPCTC
10. Proof:
Statement Reason
1. PQ ≅ RS 1. Given
∠ QPR ≅ ∠ SRP
2. PR ≅ PR 2. Reflexivity
3. ∆QPR ≅ ∆SRP 3. SAS congruence
4. SP ≅ QR 4. CPCTC
Module 1
Geometry of Shape and Size
What this module is about
This module is about undefined terms and angles. As you go over the exercises you
will learn to name the real-world objects around you that suggest points, lines and planes.
You will develop skills in naming a point, a line and its subsets. You will also learn to name
the parts of an angle and determine its measure in degrees.
What you are expected to learn
This module is designed for you to:
1. describe the ideas of
• point
• line
• plane
2. name the subsets of a line
• segment
• ray
3. name the parts of an angle
4. determine the measure of an angle using a protractor
5. illustrate different kinds of angles
• acute
• right
• obtuse
How much do you know
Identify the term described.
1. It has no length, width, or thickness.
2. It has length but no width and no thickness.
3. It is a flat surface that extends infinitely in all directions.
4. It is the union of two noncollinear rays with a common endpoint.
5. It is an instrument used to determine the approximate measure of an angle.
2
2
6. An angle with a measure greater than 0 but less than 90
7. It is a subset of a line with two endpoints.
8. An angle with a measure greater than 90 but less than 180.
9. The geometric figure suggested by the ceiling of your room.
10.It is the intersection of two distinct planes.
What you will do
Lesson 1
Undefined Terms
The three undefined terms are point, line and plane. These three undefined terms
form the foundation of geometry. Although they will not be defined they will however be
used in defining other important terms. For example, space is defined as a set of all points.
A point is an exact location in space. It has no length, width or thickness. It is represented
by a dot. Look at the tip of your pen. It suggests a point. A point is named by using a
capital letter. The points below are named points P, Q and R respectively.
• P • Q • R
A line has infinite length, but no width and no thickness. It is an infinite set of points
that extends infinitely in opposite directions. The pen or pencil you are holding right now is
a real world object that suggests a line. A line is represented by . The arrow
suggests that the line continues without end in both directions.
You can name a line in two ways. One way of naming a line is by using two different
capital letters. Observe the line below. It is named line AB written as AB . The double-
headed arrow placed over AB indicates that the line has no endpoints.
A B
• •
Example:
Give six names for the line below.
S T U
• • •
Answers:
ST, TS, TU, UT, SU, US
3
3
The second method of naming a line is by using a small letter. The line below is
named line m.
m
Like a line, a plane is also a set of infinite points. However, a plane has infinite width
and length but no thickness. It is a flat surface that extends infinitely in all directions. The top
of your dining table, the wall of your room and even a page of this module are examples of
real-world objects that suggest planes.
A slanted four sided figure similar to the one below is used to represent a plane.
You can name a plane in three ways. You may use a capital letter placed at one of its
corners. The plane below is named plane P.
P
You may use a small letter placed at one of its corners. The plane below is named
plane m.
m
You may named it by using three points not on a straight line. The plane below is
named plane PRQ.
• P • Q
• R
4
4
The three points below are collinear. Points are collinear if they are on the same line.
D E F
• • •
Example:
List all sets of three collinear points in the figure.
• D
A C
• • •
B
• E
Answers:
:
A, B, C and D, B, E
Consider the three points below. It is not possible to draw one straight line through
the three points A, B and C. These three points are non collinear points.
• A •B
• C
In the figure below, points A, B, and C are in the same plane. Points such as points A,
B, and C, which are in the same plane are called coplanar points. In the same figure, points
A, B, C and D are not coplanar because they do not lie in the same plane. Points A, B, C lie
in plane P, whereas point D lies in plane Q.
P Q
A •
•D
B•
C•
5
5
The following statements describe some basic relationships among points, lines and planes
1. Two points determine exactly one line.
.
a. Through two different points B and C below, you can draw one and only one
line.
B C
• •
In geometry, line means straight line.
b. It is not possible to draw more than one straight line through given two points.
In the following illustration, there is only one straight line that passes through
points C and D. The other line is a curve line.
C D
• •
2. Three collinear points are contained in at least one plane.
. R
• A
Q • B
P • C
In the figure, points A, B, and C are collinear. They lie in plane P, plane Q and
plane R. In fact they can be contained in an infinite number of planes.
3. Three non collinear points are contained in exactly one plane.
Q
•E
P •D
F•
In the figure, points D, E, and F are not collinear. They are contained in exactly
one plane P.
6
6
4. The intersection of two distinct lines is a point.
In the figure, line m and line n intersect and their intersection is point A.
m
A
n
5. The intersection of two distinct planes is a line.
In the figure below, planes P and Q intersect and their intersection is line AB.
Q
A B
P
6. If two points are in a plane, then the line containing the points is in the same plane.
If the two points A and B are in plane P, then the line l which contains them lies also
in plane P.
A B
l • •
P
7. A line and a point not on the line are contained in exactly one plane.
In the figure, point A does not lie on line BC. This point and line BC are contained in
one plane P. This is the same as saying they determine exactly one plane P.
C
•
A B
P • •
7
7
8. Two intersecting lines are contained in exactly one plane.
Example:
Lines a and b which intersect at point P are contained in exactly one plane Q. There
is no other plane that can contain them.
a
P
b
Q
9. If a line not contained in a plane intersects the plane, the intersection is a single point.
In the figure, plane P does not contain line m. The intersection of line m and plane P
is a single point Q.
m
Q
P
Try this out
Set A.
Determine the undefined term suggested by each of the following.
1. the tip of a pencil
2. the top of a coffee table
3. telephone wires
4. the wall of a room
5. the surface of the page of a book
6. the ruler’s edge
7. the tip of a needle
8. a window pane
8
8
9. the floor of your bedroom
10.the string on a guitar
Set B.
Write True or False
Use the three-dimensional figure below for exercises 1-10.
A
F I E
J D
B H
G
C
1. Points A, F, B are collinear.
2. Points A, E, B are collinear
3. Points B, G and C are on the same line
4. Points G, C, D are not on the same line.
5. Points A, I, H are coplanar.
6. Points A, F, G are coplanar.
7. Points A, F, G , E are coplanar.
8. Points A, F, B, G are coplanar.
9. Points A. I, C are collinear and coplanar.
10.Points A, F, C are collinear and coplanar.
Set C.
Complete the following statements.
1. A ______ is an exact location in space.
2. A ______ has infinite length but no width and no thickness.
3. A ______ has infinite width and length but no thickness.
4. Two points determine exactly one ______
5. Three _________points are contained in at least one plane.
6. Three _________points are contained in exactly one plane.
7. The intersection of two distinct planes is a ________.
8. The intersection of two distinct lines is a ________.
9. Two intersecting lines determine a _________.
10. If a line not contained in a plane intersects the plane, the intersection is a single
_____.
9
9
Lesson 2
The Subsets of a Line
The subsets of a line are segment and ray. A segment has two endpoints. It is
named by its endpoints.
The segment below may be named AC or CA. A vinculum is placed above its
name to distinguish it from the name of a line where the same letters are used.
A C
• •
Example:
Write the name of each segment.
E F M N
a. • • b. • •
Answers:
a. EF or FE b. MN or NM
The length of a segment is the distance between its endpoints.
Example:
If the distance between points C and D below is 9 cm. then the length of segment
CD is 9 cm. This is written as CD = 9 cm. Notice that there is no vinculum above CD.
C D
• •
A segment may be defined as the union of points A, C together with all the
points between them.
Illustration:
A B C
• • •
In the above segment, A and C are the endpoints of the segment. There are points
between A and C. These points together with the endpoints A and C make a segment.
In the above figure, point B is just one of the points between A and C.
10
10
A point such as point B above is between point A and C if and only if (1) A, B, and
C are distinct points, (2) they are collinear and (3) AB + BC = AC. These three conditions
must be satisfied before it can be said that B is between A and C. The word distinct in
the first condition means that the three points are different from one another.
Examples:
1. Draw points C, D, and E on a line. How many different segments are
determined? Name them.
C D E
• • •
Answers:
CD, DE, CE
2. If AB =5 cm, BC = 7 cm, and AC = 12 cm. Is B between A and C?
A B C
• • •
In the figure, A, B, and C are different points on the same line. The sum of the lengths of
AB and BC is equal to the length of AC.
AB + BC = AC
5 cm + 7 cm = 12 cm
Since the three conditions are satisfied, therefore B is between A and C.
Example:
Is F in the figure below between E and G?
F•
E • • G
In the figure , points E, F and G are not collinear, hence F is not between point E and
point G. Also, EF + FG ≠ EG.
A ray is a subset of a line that has one endpoint and extends forever in one
direction.
11
11
Example:
The part of the line from point B that goes on indefinitely to the right is a ray. The part
of the line from point B that goes on indefinitely to the left is another ray.
A B C
l • • •
The ray which starts from point B that goes on indefinitely to the right is named ray
BC denoted by BC. Its endpoint is B. Notice that when you name a ray, you use two
capital letters, and its endpoint is written first. The other ray in the above figure is ray BA,
denoted by BA.
Example: Write a name for each figure.
J K N M
a. • • b. • •
Answers:
a. JK b. MN
Another term you should learn in this lesson is the term opposite rays. Two rays
are opposite if they are subsets of the same line and have a common endpoint.
A B C
• • •
BC and BA are opposite rays. They are parts of the same line l and their common
endpoint is B. F G
E D • •
• •
DE and FG are not opposite rays because they are not subsets of the same line.
A B C D
l • • • •
BA and CD are not opposite rays because they do not have a common endpoint.
Example:
D
Name all the points, segments and rays in the figure.
Answers: A B C
The points are A, B, C, and D. The segments are AB, BC, AC, and BD. The rays
are BA, BC, and BD
12
12
Try this out
Set A:
Use the figure below for exercises nos. 1-10
A B C D
• • • •
1. Name the ray with endpoint at B going in the direction of D.
2. Name the ray with endpoint at C going in the direction of A.
3. Name the segment joining point B with point D.
4. Give two opposite rays with common endpoint C.
5. What is the intersection of ray BD and ray CA?
6. Name the ray opposite BC.
6. Name the ray opposite CA.
7. What point is between points B and D?
8. Give another name for BC
9. Give another name for CB
Set B
Write true or false
Use the following figure
C•
A B D E
• • • •
1. AB + BD = AD
2. AB + BE = AE
3. AC + CD = AD
4. B is between A and D
5. C is between B and D
6. A, B, C, D are collinear
7. AB = AD – BD
8. DE and BA are opposite rays.
9. Ray BE can be named BD.
10.Ray DA can be named AD.
Set C
Fill in the blanks
1. A segment has _________endpoints
13
13
2. A __________is a subset of a line with one definite endpoint and extends infinitely in
one direction.
3. _________are two collinear rays with a common endpoint.
Use the figure at the right for exercises nos. 4-8
• • •
C D E
4. CD + ______ = CE.
5. The ray opposite DE is ________
6. The ray with endpoint C going in the direction of D is _________
7. The ray with endpoint E going in the direction C is __________
8. The point between two other points is ________.
9. If two points P and Q are exactly the same point, then the distance between them is
______
10. The endpoint of each ray in the figure is _______
Lesson 3
Angles
An angle is a union of two noncollinear rays with a common endpoint. The common
endpoint is called the vertex of the angle and the two rays are called sides.
Example:
The figure below is an angle. Its vertex is point B and its two sides are BA and BC.
The symbol used for an angle is ∠. The angle in the example can be named ∠ ABC. It can
also be called ∠CBA. The letter representing the vertex is written between the other two
letters.
A •
B •
C
An angle may be written in other ways.
14
14
Example:
Angle DFG can also be named ∠EFG, ∠GFD, ∠GFE, ∠F and ∠a. Angle HIJ can
be named ∠ 1.
D •
H •
E •
a 1
F • I •
G J
There are times when it is not advisable to use the vertex letter in naming an angle.
Using it may result to confusion.
Example:
Angle ABC below may be named ∠ B
A •
B •
C
Angle ABC below should not be named ∠B. In the figure, there are three angles with
vertex B. They are ∠ABC, ∠DBC and ∠ABD.
A • C •
B •
Example: D
Give three different names for the angle shown below.
P •
• •
Answers: Q R
∠ PQR, ∠ RQP, ∠Q
An angle separates a plane into three sets: the points on the angle, the interior of the
angle, and the exterior of the angle.
15
15
Example:
In the figure, points T and S are on ∠ABC.. Point P is in the interior and points Q
and R are in the exterior of the angle.
•
• Q
•
Exterior Interior
• P
B • • •
T C
• R
Exterior
The Measure of an angle
You can determine the measure of an angle in degrees by means of a protractor.
You can do this by placing the center mark of the protractor on the vertex of the angle you
want to measure and then placing the 0 degree mark on one side of the angle. Then read
the number where the other side crosses the scale. You can also use a protractor in
constructing an angle of a given measure.
Example:
Measure angle ABC below. A
B C
The measure of ∠ABC as indicated in the protractor is 90 degrees. This can be
written in two ways.
∠ ABC = 900
(Angle ABC equals 90 degrees.)
m∠ABC = 90. (The measure of ∠ABC is 90.)
16
16
In this module the measure of an angle is always greater than 0 degree but less than
180 degrees. This restriction will be followed in this module because of the definition of an
angle.
Addition of Angles
The measures of two or more angles can be added.
Example
The measure of ∠A is 500
and the measure of ∠ B is 600.
Find the sum of their
measures.
A 500
B 600
m ∠ A + m ∠ B = 500
+ 600.
= 1100
Example
∠ABD and ∠CBD are two coplanar angles with a common side BD. If m ∠ ABD = 40
and m ∠ CBD = 30, find the measure of angle ABC.
A
D
400
B 300
C
m ∠ ABD + m ∠ CBD = 400
+ 300
= 700
Example:
If m∠ABC = 120, m∠ABD = 2x + 10, and m∠CBD =3 x [Use the preceding figure]
Find m∠ABD.
17
17
m∠ABD + m∠CBD = m∠ABC
2x + 10 + 3x = 120
2x + 3x = 120 – 10
5x = 110
x = 22
2x + 10 = 2(22) + 10
= 44 + 10
= 54
Kinds of Angles
There are three kinds of angles according to measure. They are the following.
1. Acute angle- is an angle with a measure grater than 0 but less than 90.
∠ABC below is an acute angle.
A
450
C
B
2. Right angle- is an angle with a measure of 90.
∠ABC below is a right angle.
D
E
F
The symbol in the corner of a right of the figure indicates that the measure of the
angle is 90.
3. Obtuse angle – is an angle with a measure greater than 90 but less than 180,
G 1100
H I
18
18
Try this out
Set A.
1. Name the angle below in three ways.
A
B
C
2. Which is the vertex letter in angle STG?
3. Name the three angles in the figure below.
D
F
E G
4. What are the sides of ∠ BET?
5. What is the common side of ∠ABD and ∠CBD?
6. Into how many sets does an angle separate a plane?
7. Is the vertex of an angle in its interior?
8. How many angles are there in the figure?
E
A B
C
D
9. Is the figure below an angle? Why? Why not?
A
B C
10. Explain why it is not correct to name the angle below ∠ Q?
P R
Q S
19
19
Set B. Use the figure below for exercises 1-10. The three angles in the figure are
coplanar.
A D
C
B
1. If m∠ABD = 80 and . m∠CBD = 40, find the m∠ ABC.
2. If m∠CBD = 30 and m∠ABD = 85, find the m∠ABC
3. If m∠ABD =45.5 and m∠CBD= 44, find the m∠ABC.
4. If the m∠CBD = 30.5 and m∠ ABD = 65, find the m∠ABC.
5. If m∠ABC =110 and . m∠CBD = 40, find the m∠ ABD.
6. If m∠ABC =115 and . m∠ABD = 40, find the m∠ CBD
7. If m∠ABC =84 and . m∠CBD = 2x, and m∠ABD = 4x, find m∠ABD
8. If m∠ABC =96 and . m∠CBD = x, and m∠ABD = 2x, find m∠CBD
Use a protractor for exercises 9-10
9. Construct an angle with a measure of 45 degrees.
10.Construct an angle with measure of 125 degrees.
Set C. Use the figure below for exercise 1 –3.
A •
D • • F • K
•G
• • •
B E C
•H
1. Name all the points in the interior of ∠ABC.
2. Name all the points in the exterior of ∠ABC.
3. Name all the points that are neither on the exterior nor interior of ∠ABC.
Use the figure below for exercises 4-6
E D
A C
20
20
In the figure BC and BA are opposite rays.
4. Name all the angles determined in the figure.
5. Tell whether the angles in the figure are acute, right or obtuse.
6. Name the two angles with the same measure.
7. In the figure below, BA, BD and BC are coplanar rays. If ∠ABC is a right angle, find x
A
D
(3x)0
x0
B C
8. Which of the following angles is an acute angle
a. b. c.
9. Using your protractor, find the measure of each angle below.
a. b.
10.Draw angles with the following measures.
a. 1250
c. 900
b. 350
d. 1400
Let’s summarize
1. The three undefined terms in geometry are point, line and plane.
2. A line is an exact location in space. It has no length, width or thickness.
3. A line has infinite length, but no width and no thickness.
4. A plane has infinite width and length but no thickness.
5. Two points determine exactly one line.
6. Two distinct lines intersect in only one point
7. Collinear points are points on the same line.
8. Coplanar points are points on the same plane.
9. Three collinear points are contained in at least one plane.
10.Three noncollinear point are contained in exactly one plane.
21
21
11.The intersection of two distinct planes is a line
12. If two points are in a plane, then the line containing the points is in the same line.
13.A line and a point not on the line, are contained in exactly one plane.
14.Two intersecting lines are contained in exactly one plane.
15.If a line not contained in a plane intersects the plane, the intersection is a single
point.
16.A segment is a subset of a line that consists of two endpoints and all the points
between them.
17.A ray is a subset of a line with a definite endpoint and extends infinitely in one
direction.
18.An angle is the union of two noncollinear rays with a common endpoint.
19.An angle separates the plane into three sets: the points in the interior of the angle,
the points in the exterior of the angle and the points on the angle itself.
20.A protractor is used to measure an angle in degrees.
21.An angle with a measure greater than 0 but les than 90 is an acute angle.
22.An angle with a measure of 90 is a right angle.
23.An angle with a measure greater than 90 but less than 180 is an obtuse angle.
What have you learned
Multiple Choice. Choose the letter of the correct answer.
1. It is flat surface that extends infinitely in all directions.
A. Point C. Plane
B. Line D. rectangle
2. It is a set of points that extends forever in opposite directions.
A. Point C. Plane
B. Line D. Space.
3. Which of the following is false?
A. Exactly one plane contains two intersecting lines.
B. Two points determine a line.
C. The intersection of two distinct planes is a line
D. Three collinear points are contained in exactly one plane
4. Which of the following real objects suggest a point?
A. The edge of the beam of a building
B. The corner of the Main street and the 1st
Ave.
C. The floor of a newly constructed building.
D. The wall of your room.
5. It is a subset of a line with a definite endpoint and extends infinitely in one direction.
A. Ray C. Opposite Rays
22
22
B. Segment D. Plane
6. It is the union of two noncollinear rays with a common endpoint.
A. Plane C. Space
B. Angle D. Segment
7. It is an angle with a measure greater than 0 but less than 90.
A. Acute angle C. Obtuse angle
B. Right Angle D. non of these
8. It is angle with a measure of 90.
A. Acute angle C. Obtuse angle
B. Right Angle D. none of these
9. Which of the following angles is obtuse?
I III.
II. IV.
A. I only C. II only
B. I and II D. I and III
10. It is used to measure an angle in degrees.
A. Compass C. protractor
B. Ruler D. tape measure
23
23
Answer Key
How much do you know
1. point
2. line
3. plane
4. angle
5. protractor
6. acute angle
7. segment
8. obtuse angle
9. plane
10.line
Try this out
Lesson 1
Set A
1. point
2. plane
3. line
4. plane
5. plane
6. line
7. point
8. plane
9. plane
10.line
Set B
1. True
2. False
3. True
4. True
5. True
6. True
7. False
8. True
9. True
10.False
24
24
Set C
1. point
2. line
3. plane
4. line
5. non-collinear
6. collinear
7. line
8. point
9. plane
10.point
Lesson 2
Set A
.
1. BC or BD
2. CA or CB
3. BD
4. CD and CA or CD or CB
5. BC
6. BA
7. CD
8. C
9. CB
10.BC, AB
Set B
1. True
2. True
3. False
4. True
5. False
6. False
7. True
8. False
9. True
10.False
Set C
1. two
2. ray
25
25
3. opposite rays
4. DE
5. DC
6. CD or CE
7. EC or ED
8. D
9. 0
10.B
Lesson 3
Set A
1. ∠ABC, ∠CBA, ∠B
2. T
3. ∠DEF, ∠GEF, ∠DEG
4. EB, ET
5. BC
6. Three sets including itself
7. No.
8. 4
9. No
10.Q is the vertex of the three angles. ∠Q may mean ∠PQR, ∠RQS, and ∠PQS
Set B
1. 120
2. 115
3. 89.5
4. 95.5
5. 70
6. 75
7. 56
8. 32
9. Use your protractor
10.Use your protractor
Set C.
1. F, K
2. G, H
3. A, D, B, E, C
4. ∠ABE, ∠ABD, ∠DBE, ∠EBC, ∠DBC
5. ∠ABE and ∠DBE are acute angles
∠ABD and ∠DBC are right angles
∠EBC is obtuse
26
26
6. ∠ABD and ∠DBC. Both are right angles with measure of 900
each.
7. 22.5
8. a
9. Use your protractor
10.Use your protractor
What have you learned
1. C
2. B
3. D
4. B
5. A
6. B
7. A
8. B
9. C
10.C
Module 2
GEOMETRY OF SHAPE and SIZE
What this module is about
There are different shapes around us. Everywhere you look, you see
varied geometric figures. Many of these figures are called polygons. This
module will help you be on familiar terms with them. You will also learn to
distinguish types of triangles; knowledge of which will help you communicate
ideas about real life situations.
What you are expected to learn
This module is designed to
1. illustrate different kinds of polygons and identify the parts of a regular
polygon;
2. differentiate convex and non-convex polygons;
3. illustrate a triangle, its basic and secondary parts and
4. classify triangles according to angles and sides.
How much do you know
Select the correct answer for each question:
1. Which of the following is a polygon?
a. b. c. d.
2. A pentagon is a polygon with
a. 4 b. 5 c. 6 d. 7 sides
3. One of the following is NOT a convex polygon. Which one is it?
a. b. c. d.
2
4. In ∆ABC, AB, AC and BC are called
a. sides b. interior angles c. vertices d. exterior angles
5. Using the figure at the right, BD is a /an B
a. median b. altitude
c. ∠ bisector d. ⊥ bisector
A D C
6. In ∆DEF, m∠E = 120. ∆DEF is
a. acute b. right c. obtuse d. equilateral triangle
7. It is a triangle with all sides congruent
a. scalene b. isosceles c. obtuse d. equilateral
8. The figure below is a regular hexagon. ∠COD is a / an
a. inscribed angle b. central angle
c. obtuse angle d. interior angle C O
9. The longest side in a right triangle is known as D
a. leg b. hypotenuse c. vertex d. base
10. In isosceles triangle ABC, AB = BC. AB and BC are called
a. bases b. vertices c. hypotenuse d. legs
11. A polygon with no given number of sides can be named as
a. dodecagon b. undecagon c. n-gon d. gon
12. The sides of a polygon is made up of
a. segments b. rays c. lines d. planes
13. A line segment from a vertex of a triangle to the midpoint of the opposite
side.
a. altitude b. perpendicular bisector c. median d. angle bisector
14. A right triangle with congruent legs is
a. equilateral b. isosceles c. scalene d. isosceles right triangle
3
15. An equilateral triangle is also isosceles. The statement is
a. always true b. sometimes true c. never true d. can’t be determined
What you will do
Lesson 1
Different Kinds of Polygons and the Parts of a Regular Polygon
The word polygon is from 2 Greek words poly (many) and gon (sides).
The following are polygons:
Each of the figures above is closed, made up of segments and the
segments or sides intersect only at their endpoints.
A polygon is a closed figure made up of segments that intersect at their
endpoints and no two consecutive segments are collinear. Each line segment is
a side of the polygon and each endpoint is a vertex.
The following are NOT polygons:
The figure is made up of segments but it is not closed
The figure is closed but not entirely made up of segments
Curved portion
The figure is closed but it is curved
4
The figure is closed, made up of segments but 2 sides
intersect at another segment.
The intersection should be at the endpoints only.
Look at the figures below. Can you identify the parts/portion that are
polygons?
Polygons have special names depending on their number of sides.
Name of polygon Number of sides
Triangle 3
Quadrilateral 4
Pentagon 5
Hexagon 6
Heptagon 7
Octagon 8
Nonagon 9
Decagon 10
Examples:
Triangle Quadrilateral Pentagon
Hexagon Heptagon Octagon
Nonagon Decagon
5
11 – gon 24 - gon
Polygons with more than 10 sides are often referred to as 11-gon, 12-gon,
13-gon and so on. When the number of sides is not given, the polygon is simply
called n-gon.
Drawing Tip: To draw a polygon easily,
Step 1: Lightly sketch a circle.
Step 2: Place the points you need on the circle.
Step 3: Then connect the points to form your polygon.
Step 4: Erase the circle.
. . . .
. . . .
. . . .
. . . .
Step 1 Step 2 Step 3 Step 4
Regular Polygons:
Polygons with equal sides and equal angles are called regular polygons.
Study the following illustrations:
I II
Equal sides equal sides
and = angles not equal angles
60
0
60
0
III IV
equal angles equal sides
not = sides equal angles
6
Figures I and IV are regular polygons. A regular polygon has the following
parts:
A B
Vertex angle
F o C
Exterior angle
central angle
E D G
ABCDEF is a regular polygon. All sides are equal and all angles have the
same measure.
Vertex Angle
A vertex angle is an angle formed by the intersection of two sides of the
polygon. ∠B is a vertex angle. ∠C is also a vertex angle. Can you name 4
more vertex angles? They are ∠D, ∠E, ∠F, and ∠G.
Central Angle
∠COD is a central angle because the center of the polygon is also the
vertex of the angle. Name some more central angles. There are more than 6.
When you name them, be sure that the middle letter is O.
Exterior Angle
If you extend one side of the polygon, you form an exterior angle. In the
above figure, ∠CDG is an exterior angle. Let’s have some more exterior angles:
1 4 5 8
2 3 6 7
Lesson 2
Differentiate convex and non-convex polygons
Polygons are also classified as convex and non-convex. Let’s find out
how they differ by studying these examples:
7
Convex Polygons:
Non-Convex Polygons:
A polygon is convex if a segment joining any two interior points lies
completely within the polygon.
within outside
convex non-convex
Try this out
A. Which of the following is a polygon?
1 2 3 4 5 6 7
B. Tell whether the polygon is convex or non-convex:
___________ ___________ ___________ ___________ _________
___________ ___________ ___________ ___________ _______
8
C. Name the polygon:
1 2 3 4 5 6 7 8
D. If possible, draw a polygon that fits each description
1. A regular quadrilateral.
2. A non-convex pentagon
3. An equilateral octagon.
4. An equilateral nonagon.
5. A convex 15-gon
Let’s summarize
1. A polygon is a closed figure made up of segments that intersect at their
endpoints and no two consecutive segments are collinear.
2. Each line segment is a side of the polygon and each endpoint is a vertex.
3. Polygons are named based on the number of their sides
4. Polygons with equal sides and equal angles are called regular polygons.
5. A polygon is convex if a segment joining any two interior points lies
completely within the polygon.
Lesson 3
A Triangle. Its Basic and Secondary Parts
You have learned that the triangle is the simplest polygon because it has
the least number of sides.
But how do we name triangles? Triangles are named by using the letters
at their vertices. Starting from any vertex, go clockwise or counterclockwise.
9
Examples:
A
Clockwise naming of triangle
C B
Triangle ABC is the same as ∆BCA, ∆CAB.
A
Counterclockwise
C B
∆ACB = ∆CBA = ∆BAC.
The basic parts of a triangle are sides, vertices and angles.
1. The sides of ∆ABC are AB, BC, and AC.
A
Side AC side AB
C B
Side BC
2. The vertices are the endpoints A, B, and C.
A
vertex A
vertex C vertex B
C B
3. The angles. Can you name the 3 angles of the figure below?
10
They are ∠ABC, ∠BCA, and ∠CAB.
A
∠CAB
C B
∠ACB ∠CBA
Name Triangle I and II in different ways and then complete the table below.
P
I II
Q S
R
Name Sides Vertices Angles
Triangle I ∆QPR,__,__ QP,__,__ Q,__.__ ∠PQR,__,__
Triangle II ∆PSR,__,__ PS,__,__ P,__,__ ∠PSR,__,__
Secondary parts of a triangle
a. Median
A median is a segment whose endpoints are a vertex of a triangle and the
midpoint of the opposite side. (A midpoint divides a segment into two equal
segments).
P P P
S T
Q V R Q R Q R
PV is a median of ∆PQR. V is the midpoint of QR.
QS is a median of ∆PQR. S is the midpoint of PR.
RT is a median of ∆ PQR. T is the midpoint of PQ.
11
b. Altitude
An altitude is a segment from a vertex of the triangle perpendicular to the
opposite side or to the line containing the opposite side. (Perpendicular means
the two segments form a right angle).
X U X
Y
U Y V X V U V Y
In all the figures above, XY is an altitude.
c. Angle Bisector
M
C C
M C M
MC bisects angle M in all the triangles above. MC is called angle bisector.
You will notice that a triangle has 3 medians, 3 altitudes and 3 angle
bisectors.
If the triangle is equilateral, the median is the same as the angle bisector
and altitude. See the figure below:
C
J K
L
12
Lesson 4
Classification of triangles according to sides and angles
Triangles are classified by their sides into 3 categories:
1. Scalene – all sides have different lengths
2. Isosceles – 2 sides have the same length
3. Equilateral – all 3 sides have the same length
10
7
8
scalene ∆ isosceles ∆ equilateral ∆
Triangles are classified by their angles into 3 categories:
1. Acute ∆ - all 3 angles are acute
2. Right ∆ - one angle is right
3. Obtuse ∆ - one angle is obtuse
All angles are acute
Acute ∆
600
600
600
An acute triangle is equiangular if all 3 angles have the same measure.
Right angle
Right ∆
13
Obtuse angle
Obtuse ∆
Parts of special triangles:
Triangle MON is an isosceles triangle.
M
Vertex angle
leg
base angle
O N
Base
Legs – the congruent sides
Base – the third side
Vertex angle – the angle opposite the base
Base angles – the angles at the base
Triangle ACB is a right triangle
A
Hypotenuse
legs
C B
Hypotenuse – the longest side; the side opposite the right angle
Legs – the sides forming right angle
Try this out
A. Using the figure at the right, identify the following.
A
1. AB, AC, BC
2. C, B, A
3. AE F D
4. BD
5. CF
B C
E
14
B. Match each triangle with all words that describe it:
a. scalene b. isosceles c. equilateral
d. acute e. right f. obtuse g. equiangular
(1) (2) (3)
600
6 1000
8
600
600
500
300
9
(4) (5)
C. Tell if each statement is true or false. Draw a figure to justify your answer.
1. A triangle can be isosceles and acute.
2. A triangle can have two obtuse angles.
3. A triangle can be obtuse and scalene.
4. A right triangle can be equilateral.
5. A triangle can be right and isosceles.
6. A triangle can have two right angles.
7. A triangle can have at most 3 acute angles.
8. A triangle can have at least one (1) acute angle.
9. An equilateral triangle is also an acute triangle.
10. An equiangular triangle can never be a right triangle.
Tessellations
A tessellation is a design in which congruent copies of a figure are arranged
to fill the plane in such a way that no figures overlap and there are no gaps.
15
Examples:
Try to make a tessellation for each figure below. Which figure could not
be used for tessellation?
You can also combine figures to make a tessellation:
To make an original pattern for a tessellation, start with a parallelogram. Make
congruent changes on one or both pairs of sides:
16
Let’s summarize
1. The basic parts of a triangle are sides, angles and vertices while the
secondary parts are median, altitude and angle bisector.
2. A median is a segment whose endpoints are a vertex of a triangle and the
midpoint of the opposite side.
3. An altitude is a segment from a vertex of the triangle perpendicular to the
opposite side or to the line containing the opposite side.
4. Triangles are classified according to sides and angles.
a. Scalene – all sides have different lengths
b. Isosceles – 2 sides have the same length
c. Equilateral – all 3 sides have the same length
d. Acute ∆ - all 3 angles are acute
e. Right ∆ - one angle is right
f. Obtuse ∆ - one angle is obtuse
What have you learned
Select the correct answer for each question:
1. Which of the following is a polygon?
a b c d
2. A heptagon is a polygon with
a. 4 b. 5 c. 6 d. 7 sides
3. One of the following is NOT a convex polygon. Which one is it?
a b c d
4. In ∆ABC, A, C and B are called
a. sides b. interior angles c. vertices d. exterior angles
17
5. Using the figure at the right, BD is a /an B
a. median b. altitude
c. ∠ bisector d. ⊥ bisector A D C
6. In ∆DEF, m∠E = 90. ∆DEF is
a. acute b. right c. obtuse d. equilateral triangle
7. It is a triangle with all angles congruent
a. scalene b. isosceles c. obtuse d. equiangular
8. ∠CBA is a
B A
a. inscribed angle b. central angle C O
c. obtuse angle d. vertex angle
D
9. The longest side in a right triangle is known as
a. leg b. hypotenuse c. vertex d. base
10. In isosceles triangle ABC, AB = BC. AB and BC are called
a. bases b. vertices c. hypotenuse d. legs
11. A polygon with no given number of sides can be named as
a. dodecagon b. undecagon c. n-gon d. gon
12. The sides of a polygon is made up of
a. segments b. rays c. lines d. planes
13. A line segment from a vertex of a triangle to the midpoint of the opposite
side.
a. altitude b. perpendicular bisector c. median d. angle bisector
14. A right triangle with congruent legs is
a. equilateral b. isosceles c. scalene d. isosceles right triangle
15. An isosceles triangle is also equilateral. The statement is
a. always true b. sometimes true c. never true d. can’t be determined
18
Answer Key
How much do you know
1. C
2. B
3. A
4. A
5. B
6. C
7. D
8. B
9. B
10. D
11. C
12. A
13. C
14. D
15.A
Try this out
Lesson 2
A.
1. Polygon
2. not
3. not
4. not
5. Polygon
6. Polygon
7. not
B.
1. non-convex
2. convex
3. non-convex
4. convex
5. non-convex
6. non-convex
7. non-convex
8. convex
9. convex
10.non-convex
19
C.
1. Nonagon
2. Heptagon
3. Quadrilateral
4. Octagon
5. Heptagon
6. Pentagon
7. Hexagon
8. Quadrilateral
D.
1. Draw a square
2. Any 5-sided polygon that is not convex
3.
4. – 5. Refer to the drawing tip
Try this out
Lesson 4
A.
1. Sides
2. Vertex / vertices
3. altitude
4. angle bisector
5. median
B.
1. isosceles right triangle
2. scalene right triangle
3. isosceles acute triangle
4. equilateral / equiangular
5. scalene obtuse triangle
C.
1. true
2. false
20
3. true
4. false
5. true
6. false
7. true
8. false
9. true
10. true
What have you learned
1. B
2. D
3. C
4. C
5. B
6. B
7. D
8. D
9. B
10. D
11. C
12. A
13. C
14. D
15. C
Module 3
Quadrilaterals
What this module is about
This module is about Quadrilaterals. As you go over the exercises,
you will develop skills in identifying Quadrilaterals and their parts and
ability to appreciate their application in daily life. Treat the lesson
with fun and take time to go back if you think you are at a loss.
What you are expected to learn
This module is designed for you to learn
1. illustrate a Quadrilateral and its parts
2. illustrate the different kinds of Quadrilaterals
How much do you know?
Write the letter of the correct answer Z E
Y N
O
1. Quadrilateral ZENY is a ____.
a. parallelogram b. trapezoid c. trapezium d. rectangle
2. A diagonal of quadrilateral ZENY is ____.
a. ZE b. ZN c. ZO d. ZY
3. Y∠ is opposite angle ____.
a. Z∠ b. E∠ c. N∠ d. O∠
4. DH & ET are the ____ of the Quadrilateral DETH
a. median b. altitude c. bases d. legs
5. If BH ET≅ then BETH is a/an ____.
a. rectangle b. trapezium
c. isosceles trapezoid d. square
6. BH ET≅ are the _____ of Quadrilateral BETH.
a. legs b. bases c. median d. altitude
7. whish is the median of quadrilateral DETH
a. BH b. MP c. EA d. DH
8. What kind of parallelogram is quadrilateral DETH?
a. rhombus b. square c. parallelogram d. rectangle
9. Using the figure at the right which is a rhombus?
a. ACGH b. CEFG
c. BDGH d. AEFH A B C D E
H G F
10.Which is a rhombus and a rectangle?
a. AEFH b. CEFG c. ACGH d. BDGH
What you will do
Lesson 1
Identifying and Naming Quadrilaterals.
A quadrilateral is a polygon of four sides
Example:
M O D E O
O L
A D E R P M E
You ca name a quadrilateral by its vertices. The order of vertives is very
important. You read or write the four letters clockwise or counterclockwise.
Examples: R O
You can name a quadrilateral at the
Right as.
ROSE or OSER or SERO or EROS
Or RESO or ESOR or SORE
E S
The name of this quadrilateral can be: K L
KLMN or LMNK or MNKL or NKLM
Or NMLK or MLKN or LKNM or KNML
N M
Try this out.
A. Which of the following is a quadrilateral or not.
1) 3) 5)
2) 4) 6)
7) 9)
8) 10)
B. Name the following quadrilaterals.
C
1) O 2) H O
D L E P
3)B E 4) O P
H A T S
5) A
L R 6) B M
A
Y Y
7)M A 8)A B
Y N D C
9) O R 10) S
P R
Q
S E
C. Name & Identify the Quadrilaterals in the figure.
A B C D
EEE hhhdhjhsjsjj
Name 10 Quadrilaterals.
Lesson 2
Parts of a Quadrilateral
A quadrilateral has the following parts:
4 sides
4 vertices
4 angles
2 diagonals
You can take a look on quadrilateral LOVE
• the sides are: LO , OV , EV , LE
• the vertices are: L, O, V, E
• the angles are L∠ , O∠ , V∠ , E∠
• the diagonals are LV & OE
diagonals are segments joining opposite vertices.
The vertices E and O; L and V are opposite vertices. Vertices L and O, O and
V, V and E, E and L are consecutive vertices.
Two sides with a common vertex like LO and OV are consecutive sides.
So, OV and VE , VE and EL , EL and LO are other pairs of consecutive sides.
On the otherhand, LO and EV , OV and LE are opposite sides.
Two angles with a common side like L∠ and O∠ are consecutive angles,
the others are O∠ and V∠ , V∠ and E∠ , E∠ and L∠ , on the other hand, E∠
and O∠ ; L∠ and V∠ are opposite angles.
Try this out
A. Using quadrilateral COLA, identify
1. two pairs of opposite vertices
2. two pairs of opposite angles
3. two pairs of opposite sides
4. one pair of diagonals
5. four pairs of consecutive vertices
6. four pairs of consecutive angles
7. four pairs of consecutive sides
8. four sides of quadrilateral POEM
9. four angles of quadrilateral POEM
E
M
P
L
O
O
E V
C
LA
O
10. two diagonals that can be drawn in quadrilateral POEM
B. Fill the blanks:
1) ______ the vertex opposite S
2) ______ is the opposite side of PS
3) Q∠ is opposite _________
4) PQ and QR are _______ sides.
5) The diagonals that can be drawn are QS and ______
6) BC and CD are ___________ sides.
7) B and C are consecutive vertices, B and _____ are also consecutive
vertices.
8) AC and _____ are the diagonals of quadrilateral ABCD.
9) A∠ and D∠ are ______ angles.
10) A∠ and _____ are opposite angles.
C. Choose the letter of the correct answer. Use quadrilateral D E T H
1. How many diagonals has quadrilateral DETH?
a. one b. twoc. three d. four
2. The sides of quadrilateral DETH are
DH , HT , TE and ______
a. HE b. DT c. DE d. DO
3. LH∠ is opposite of what angle?
a. E∠ b. D∠ c. T∠ d. O∠
4. The opposite side of ET is _________
a. DO b. DE c. HT d. DH
5. The diagonals of quadrilateral DETH are _________
a. DO & OT b. HE & DT c. DH & ET d. DE &
HT
Given: quadrilateral PQRS
6. How many vertices are there in
Quadrilateral PQRS?
ED
A D
C
B
RS
QP
O
H I
Q R
SP
a. one b. twoc. three d. four
7. A pair of consecutive sides is PQ and ______
a. QR b. RS c. PR d. QS
8. A pair of opposite vertices is P and ______
a. R b. Q c. S d. M
9. How many pairs of opposite s∠ has quadrilateral PQRS?
a. one b. twoc. three d. four
10. How many pairs of consecutive sides has quadrilateral PQRS?
a. one b. twoc. three d. four
Quadrilateral
Trapezium ParallelogramTrapezoid
Lesson 3
Parallels & Perpendiculars
Kinds of Quadrilaterals
As you can see the diagram of the different kinds of quadrilaterals, you
can notice the characteristics of the sides of each quadrilateral.
Before you proceed to the definition of each quadrilateral, you must know
first the meaning of the following:
i. parallel lines two lines are parallel if they are coplanar and they do
not meet.
ii. perpendicular lines two lines are perpendicular if they intersect and form
a right angle.
Examples:
A B
C D
L1L2
X
SR
Y
O
N
A
1. two lines are parallel if they are coplanar
and they do not meet.
2. l1 is parallel to l2. In symbol l1 // l2
3. If XY intersects RS at O and XOS∠ is
a right angle, then XY is perpendicular
to RS , in symbol: XY ⊥ RS
4, If MAN∠ is a right angle, then
ANAM ⊥
Try this out.
A. Which of the following seem to be parallel?
Write yes if it is and no if not.
1) 7)
2) 8)
3) 9)
4)
10)
5)
6)
B. Write parallel or perpendicular.
K L
1) 4)
2)
5)
3)
6) A pair of lines of your pad paper
7) The corner of the blackboard
8) Railroad tracks
9) The grills
10) A pair of consecutive sides of a picture frame
C. Are we parallel or perpendicular?
1) Two lines on a plane which do not meet.
2) Two intersecting lines which form a right angle.
3)
4) BDAB &
5) EHFG &
6) FGKI &
I J
GF
E HA
B
C
D
7) TUPT &
8) PSQR &
9) TUPV &
10) BOBY &
P
V Q
RS
T U
B O
DY
Lesson 4
Kinds of Quadrilaterals
1. Trapezium
If a quadrilateral has no parallel sides, then it is a trapezium. MORE is a
trapezium.
2. Trapezoid
If a quadrilateral has exactly a pair of parallel sides, then it is a trapezoid.
If EPHO // , then HOPE is a trapezoid.
3. Parallelogram
If a quadrilateral has two pairs of parallel sides, then it is a parallelogram.
If POST // and POSP // then STOP is a parallelogram.
A. Identify:
______ 1. A quadrilateral whose opposite sides are parallel.
______ 2. A quadrilateral with no parallel sides.
______ 3. A quadrilateral with a pair of parallel sides.
______ 4. Quadrilateral WHEN.
D R
EM
H O
PE
O
TS
P
W H
N E
______ 5. Quadrilateral COLD.
______ 6. Quadrilateral SORE
______ 7. Quadrilateral PEAS
______ 8. Quadrilateral TOME
______ 9. Quadrilateral PEAK
______ 10. Quadrilateral LOAF
C O
LD
C O
LD
S O
RE
XX
X
X
X
X
P
S
E
A
T O
ME
X
X
X
X
RE
X
S A
T OX
P E
AK
ME X
RE
X
S A
T OX
L
O
A
F
B. Select the correct word from the set (trapezium, trapezoid,
parallelogram)
1. quadrilateral DETH
2. quadrilateral DANS
3. quadrilateral SNLU
4. quadrilateral LOVU
5. quadrilateral JMRK
6. quadrilateral OMPV
7. quadrilateral RWCR
8. quadrilateral WGFC
9. quadrilateral PWGY
10. quadrilateral TERY
C. Draw the following figures:
1. trapezium ZENY
2. trapezoid BETH
3. parallelogram LOVE
4. parallelogram with diagonals BWDL &
5. trapezoid with diagonals MCIE &
A
N
D
S
H T Y H G F
E
U V
R P W C
L
O
M R
Q
KJ
Two tents are fixed above. Give me:
6.
7. three parallelograms
8.
9.
10.
A
E
D
F B
C
H
G J H
K L
N
M
Two trapezoids
Module 4
Geometry of Shape and Size
What this module is about
This module is about polygons, specifically angles of the polygon. This module will
teach you how to find the sum of the interior angles of the polygon. You will also discover
other interesting facts about the interior and exterior angles of the polygon. You can also
form your own generalization regarding the sum of the measures of the interior and exterior
angles of a convex polygon.
What you are expected to learn
This module will help you:
1. Determine the sum of the measures of the interior and exterior angles of the
triangle.
2. Determine the sum of the measures of the interior and exterior angles of a
quadrilateral.
3. Make generalizations on the sum of the measures of the interior and exterior
angles of a polygon.
How much do you know
1. What is the measure of each angle of an equilateral triangle?
2. If the sum of the two angles of a triangle is 130º, what is the measure of the third
angle?
3. One acute angle of a right triangle is 27º. What is the measure of the other acute
angle?
4. What is the measure of an exterior angle of an equilateral triangle?
5. If the measure of the vertex angle of an isosceles triangle is 50º, what is the
measure of each base angles?
6. What is the sum of the measures of the interior angles of a quadrilateral?
7. How many sides does a regular polygon have if each interior angle is 120º?
8. The measures of the four angles of a pentagon are 140º, 75º, 120º, and 115º.
Find the measure of the fifth angle.
9. If the radius of the circle is 12 cm, what is the diameter of the circle?
10.What is the appropriate name of the given circle?
2
What you will do
Lesson 1
Determining the Sum of the Measures of the Interior Angles of a Triangle.
In any given triangle, say ∆ABC, there
are three interior angles and by observation, A
there are 6 exterior angles. In the given figure, 1 2
∠ A, ∠ B, and ∠ C are the interior angles of ∆ABC.
Each interior angle has two angles adjacent to it.
For ∠ A, ∠ 1 and ∠ 2, for ∠ B, ∠ 3 and ∠ 4, and
for ∠ C, ∠ 5 and ∠ 6. 6 3
Aside from being adjacent, ∠ 1 C 5 4 B
and ∠ 2 are both supplementary to ∠ A.
Those six angles which are adjacent to
the interior angles of the triangle are
called exterior angles of ∆ABC. Measures A
of the exterior angles will be discussed in
the next lesson.
To get the sum of the measures of ∠ A
∠ B and ∠ C, you can use the protractor and
then add the sum of their measures. There is
another way of doing this. Here are the steps: C B
A
1. Prepare a cut out of any triangle of any size.
2. Cut off the three angles as in the figure
3. On the given line l, align the 3 cut out angles
with all the vertices coinciding with point O.
4. All three vertices should fit perfectly on one
side of the line.
5. The measure in degree of the angles about
a point on the same side of a line is 180. B C
From the two experiment that you did, you can
conclude that the m∠ A + m∠ B + m∠ C = 180.
B
l A C
Examples: o
1. What is the measure of the third angle of a triangle if the measures of the two angles are
a. 46º, 82º
3
b. 51
2
1 º, 67
2
1 º
Solutions: Let x be the measure of the third angle
a. x + (46º + 82º) = 180º
x + 128º = 180º
x = 180º - 128º
x = 52º, measure of the third angle
b. x + (51
2
1 º + 67
2
1 º) = 180º
x + 119º = 180º
x = 180º - 119º
x = 61º , measure of the third angle P
2. The measure of one acute angle of right triangle PQR is 33º.
What are the measures of the other angles?
R Q
Solution:
Since ∆PQR and ∠ R = 90º , and ∠ Q = 33º, then ∠ P =
33º + 90º + ∠ P = 180º
23º + ∠ P = 180º
∠ P = 180º - 123º
∠ P = 57º
Alternate Solution:
Remember, the two acute angles of a right triangle are complementary, hence the
sum of their measures is 90º. In other words, the sum of the measures of the two acute
angles of a right triangle is 90. You can use this knowledge in solving the given problem.
33º + ∠ P = 90º
∠ P = 90º - 33º
∠ P = 57º A
3. In an isosceles triangle, one base angle measures 49º.
Find the measures of the other two angles.
Solution: Let ∆MAN be isosceles. ∠ M ≅ ∠ N
m∠ M = 49º
m∠ N = m∠ M = 49º M N
m∠ M + m∠ N + m∠ A = 180º
49º + 49º + m∠ A = 180º
98º + m∠ A = 180º
m∠ A = 180º - 98º
m∠ A = 82º
4
Try this out
A. Given the measures of the two angles of a triangle, determine the measure of the third.
1. 36º, 70º 2. 58º, 50º
3. 90º, 25º 5. 64
2
1 º, 59º
4. 35º, 35º
B. Given the measure of one base angle of an isosceles triangle, determine the measures
of the other two angles.
1. 45º 4. 37
2
1 º
2. 50º 5. 63
4
1 º
3. 53º
C. Given the measure of the vertex angle of an isosceles triangle, find the measure of a
base angle.
1. 75º 4. 88º
2. 100º 5. 97º
3. 39º
D. In a right triangle, the measure of one acute angle is given. Find the measure of the
other acute angle.
1. 45º 4. 43º
2. 36º 5. 61
2
1 º
3. 52º
E. Solve the following problems.
1. The measure of one acute angle of a right triangle is twice that of the other acute
angle. Find the measures of the three angles.
2. Find the measures of the angles of a triangle that are in the ratio 1:2:3.
3. The vertex angle of an isosceles triangle is 15 degrees more than three times the
base angle. Find the measures of all the three angles of the triangle.
4. n a triangle, one angle is ten degrees more than twice the smallest angle and the
third angle is four less than three times the smallest angle. Find the measures of the
three angles.
5. What are the measures of the angles of an isosceles right triangle?
5
Lesson 2
Sum of the Measures of Exterior Angles of a Triangle.
Sum of the Interior Angles of a Quadrilateral
To find the sum of the measures of the exterior angles of a triangle, it is necessary to
apply the previous lesson; the sum of the measures of the interior angles of the triangle is
180º. The phrase sum of the exterior angles of a triangle means you will use one exterior
angle from each vertex of the triangle.
Thus in the given figure, A
to find the sum of the exterior angles 1
of ∆ABC, ∠ 1, ∠ 2 and ∠ 3 are the designated
exterior angles. Each of the exterior angle
is adjacent to one of the interior angle of the
triangle.
3 2
C B
Study the following procedure:
m∠ A + m∠ B + m∠ C = 180 Sum of the angles of a triangle is 180
m∠ 1 + m∠ A = 180 Definition of exterior angle of a triangle
m∠ 2 + m∠ B = 180 Definition of exterior angle of a triangle
m∠ 3 + m∠ C = 180 Definition of exterior angle of a triangle
m∠ 1 + m∠ 2 + m∠ 3 + m∠ A + m∠ B + m∠ C = 540 APE
m∠ A + m∠ B + m∠ C = 180 by subtraction
m∠ 1 + m∠ 2 + m∠ 3 = 360
Therefore, the sum of the measures of the exterior angles of a triangle one on each
vertex is equal to 360.
What about a quadrilateral? How do you get the sum of the measures of the interior
angles of a four-sided polygon?
Consider quadrilateral ABCD. B
What is the sum of the measures of A 1 2
∠ A, ∠ B, ∠ C and ∠ D? To determine
this, draw a diagonal, say BD. Two
triangles are formed, ∆ABD and ∆BCD. 4 3
D
In each triangle, the sum of the C
interior angles is 180.
6
To determine the sum of the four angles, study the following procedures.
In ∆ABD, m∠ A + m∠ 1 + m∠ 4 = 180
In ∆BCD, m∠ C + m∠ 2 + m∠ 3 = 180
m∠ A + m∠ 1 + m∠ 2 + m∠ C + m∠ 3 + m∠ 4 = 360 by APE
But m∠ B = m∠ 1 + m∠ 2 and
m∠ D = m∠ 3 + m∠ 4
By substitution, m∠ A + m∠ B + m∠ C + m∠ D = 360.
Therefore, the conclusion is that, the sum of the measures of the interior angles of a
quadrilateral is 360.
How about the sum of the exterior angles of a quadrilateral? Is it the same as that of
the sum of the exterior angles of the triangle?
Exploration:
Given the figure at the right. Quadrilateral ABCD has one exterior angle in each vertex.
Those are ∠ 1, ∠ 2, ∠ 3 and∠ 4. Let us name the interior angles, ∠ A, ∠ B, ∠ C and ∠ D.
To determine the sum of the measures of B
∠ 1, ∠ 2, ∠ 3 and ∠ 4, study the following steps. 1 2
A
From the previous paragraph, it is known that
m∠ A + m∠ B + m∠ C + m∠ D = 360.
By definition of exterior angle,
4
m∠ A + m∠ 1 = 180 D 3 C
m∠ B + m∠ 2 = 180
m∠ C + m∠ 3 = 180
m∠ D + m∠ 4 = 180
By Addition Property of Equality or APE
(m∠ A + m∠ B + m∠ C + m∠ D) + (m∠ 1 + m∠ 2 + m∠ 3 + m∠ 4) = 720
Subtract: (m∠ A + m∠ B+ m∠ C + m∠ D) = 360
m∠ 1 + m∠ 2 + m∠ 3 + m∠ 4 = 360
Therefore, the sum of exterior angles of a quadrilateral is equal to 360.
Examples:
1. The measures of the three angles of a quadrilateral are 75º, 101º and 83º. Find the
measure of the fourth angle.
7
Solution:
Let x = the measure of the fourth angle.
x + 75º + 101º + 83º = 360º
x + 259º = 360º
x = 360º - 259º
x = 101º
S
2. Given quadrilateral PRST. Using the figure, R 3x - 23
find x, m∠ P, m∠ R, m∠ S and m∠ T. 2x
Solution: Write the representations for each angle.
m∠ P = 2x – 10
m∠ R = 2x
m∠ S = 3x – 23 2x - 10
m∠ T = x + 33 P x + 33
T
Using the representations for each angle, substitute to the equation
m∠ P + m∠ R + m∠ S + m∠ T = 360
(2x – 10) + (2x) + (3x – 23) + (x + 33) = 360
8x + 33 – 33 = 360
8x + 0 = 360
8x = 360
x =
8
360
x = 45
m∠ P = 2x – 10
= 2(45) – 10
= 90 – 10
m∠ P = 80
m∠ R = 2x
= 2(45)
m∠ R = 90
m∠ S = 3x – 23
= 3(45) – 23
= 135 – 23
m∠ S = 112
m∠ T = x + 33
= 45 + 33
m∠ T = 78
To check:
m∠ P + m∠ R + m∠ S + m∠ T = _____
80 + 90 + 112 + 78 = 360
8
Try this out
A. Use the given information to find the measure of each 4 5
numbered angle in the figure. ∠ 1 ≅ ∠ 5.
1. m∠ 2 = 106, m∠ 6 = 85
2. m∠ 1 = 43, m∠ 7 = 112
3. m∠ 2 = 115, m∠ 4 = 31 1 2 3 6
4. m∠ 5 = 51, m∠ 3 = 72 7
B. In the figure, determine the measure of the
numbered angles.
460
4. m∠ 1 820
5. m∠ 2 2
6. m∠ 3 1
7. m∠ 4 3 39
0
27
0
4
C. In quadrilateral MNOP, ∠ M ≅ ∠ O, M 2x–7 x + 16 N
∠ N ≅ ∠ P. Using the given in
the figure, find the measures of
all the angles.
P O
D. Use the given information to find the
measures of the following angles. 3 2 41
0
5
1. ∠ 1
2. ∠ 2
3. ∠ 3 58
0
4. ∠ 4 4 45
0
75
0
5. ∠ 5
6. ∠ 6
Lesson 3
Finding the Sum of the Interior Angles and Exterior Angles of Any Polygon.
To determine the sum of the measures of interior angles and exterior angles of any
polygon (polygon of n sides) like the given pentagon, you have to find out the number of
triangles that can be formed by drawing the diagonals without intersecting each other
except at their endpoints.
9
In quad ABCD, draw diagonal AC. A
B
With the introduction of diagonal AC,
two triangles are formed. The same thing
happens if diagonal BD is drawn. If the
sum of the measures of the interior angles C
of each triangle is 180, then for quadrilaterals,
the sum of the interior angles is 360. D
The polygon at the right has five (5) sides.
If the diagonal is drawn from one vertex, say D, D E
only two diagonals can be drawn, DF and DG .
With these two diagonals, three non-overlapping H
triangles are formed, ∆DEF, ∆DFG and ∆DGH. F
If in each triangle, the sum of the measures
of interior angles is 180, then in pentagon
DEFGH, the sum of the measures of the five
angles is equal to 3(180) or 540. G
This findings can be summarized using the formula Sa = (n – 2) 180, where Sq is the
sum of the measures of interior angles of the polygon, n is the number of sides of the
polygon. This formula can be applied to convex polygons only.
You also have to remember this: The sum of the measures of interior angles of a
regular polygon with n sides is equal to Sa = (n – 2) 180.
Regular polygons are polygons which are both equilateral and equiangular.
A polygon is convex if and only if the lines containing the sides of the polygon do not
contain points in its interior.
To get the measure of each interior angle of a regular polygon you simply remember
this. The measure of each interior angle of a regular polygon with n sides is equal to Ia =
n
n 180)2( −
, where, Ia is an interior angle, and n is the number of sides of the polygon.
If you can get the measure of each interior angle of a regular polygon, then you can
also compute for the measure of each exterior angle of a regular polygon. You only have to
remember these formulas.
From the generalizations that you had made in the earlier part of the lesson, the sum
of the measures of the exterior angle of the convex polygon is equal to 360. This includes
the regular polygons too.
10
The measure of each exterior angle of a regular polygon with n sides is given by the
formula: Ea =
n
360
, where Ea is an exterior angle of a regular polygon, and n is the number
of sides of the polygon.
Examples:
1. What is the sum of the measures of the interior angles of a convex polygon with
a. 11 sides
b. 15 sides
Solutions:
a. Sa = (n – 2) 180
= (11 – 2) 180
= 9(180)
= 1620
b. Sa = (n – 2) 180
= (15 – 2) 180
= 13(180)
= 2340
2. How many sides does a convex polygon have if the sum of the measures of its interior
angles is 1440?
Solution:
Sa = (n – 2) 180
1440 = (n – 2) 180
1440 = 180n – 360
n =
180
3601440 +
n =
180
1800
n = 10
The polygon has 10 sides.
3. Find the sum of the measures of the interior angles of a convex heptagon.
Solution:
Sa = (n – 2) 180
= (7 – 2) 180
= 5(180)
= 900
11
4. Find the measure of each interior angle of a regular 11-sided polygon.
Solution:
Measure of each interior angle is Ia =
n
n 180)2( −
Ia =
11
)180)(211( −
Ia =
11
)180(9
Ia =
11
1620
5. How many degrees are there in each of the exterior angle of a regular hexagon.
Solution:
Ea =
n
360
Ea =
6
360
= 60
6. If each exterior angle of a polygon is 36º, how many sides does the polygon have?
Solution:
Ea =
n
360
36 =
n
360
36n = 360
n =
36
360
n = 10
7. If each interior angle of a polygon is 150º, how many sides does the polygon have?
Solution:
m + 150 = 180
m = 180 – 150
m = 30
Using the figure, with m as the exterior angle of the polygon,
Ea =
n
360
12
30 =
n
360
30n = 360
n =
30
360
m 150
n = 12
Try this out
A. Complete the table below.
Polygon No. of
Sides
No. of
Vertices
No. of
Diagonals from
one vertex
No of
triangles
Sum of the
Measures of
interior Angles
1 Quadrilateral
2 Pentagon
3 Hexagon
4 Nonagon
5 Dodecagon
6 N-gon
B. Find the number of sides in each regular polygon with exterior angle of the given
measure.
1. 90º
2. 45º
3. 36º
4. 60º
C. How many sides does a regular polygon have if each angle measures:
5. 120º
6. 90º
7. 135º
8. 150º
D. Find the sum of the measures of the exterior angles one at each vertex, of each of the
following convex polygon.
9. decagon
10. hexagon
11. octagon
12. dodecagon
E. The sum of the measures of the interior angles of a polygon is given. Find the number of
sides of the convex polygon.
13. 1260º
14. 1620º
15. 2520º
16. 3060º
13
F. The sum of the measures of the interior angles of a regular polygon is given. Find the
measure of each angle.
17. 1260º
18. 2520º
19. 3060º
20. 720º
G. Solve the following problems.
62
0
21. Find y in the given figure.
68
0
y
22. The measures of the two angles of a quadrilateral are 105º and 107º. If the remaining
two angles are congruent, find the measure of each angle.
23. In a convex quadrilateral WXYZ, the measure of ∠ X is twice the measure of ∠ Y. If
∠ Y ≅ ∠ Z ≅ ∠ W, find the measure of each angle.
24. The number of diagonals from a vertex in a regular polygon is 7. How many sides does
the polygon have? What is the measure of each interior angle?
25. Each interior angle of a regular polygon is twice the measure of each exterior angle.
How many sides does the polygon have?
M N
26. In the figure, like markings indicate 420
congruent parts. Find the measure
of each unknown angle.
P 42
0
O A
27. ∠ ABC is a right angle, ∠ CDB is D
a right angle. If the m∠ C = 32, find
the measures of the following angles:
∠ A
∠ ADB
∠ ABD C B
∠ CBD S
7
28. In the given figure, RV = UV, RU = SU, 4
ST = TU, m∠ RVU = 92, m∠ STU = 106, R 6
m∠ U = 137, find the measures of all 1
the numbered angles. T
106
0
5 3
V 92
0
2 U
14
Let’s summarize
1. The sum of the measures of the interior angles of a triangle is 180.
2. The sum of the measures of the interior angles of a quadrilateral is 360.
3. The sum of the measures of the interior angles of a convex polygon is given by the
formula (n -2)180, where n is the number of sides of the polygon.
4. The sum of the measures of the exterior angle one on each vertex of a polygon is
360.
5. The measure of each interior angle of a regular polygon of n sides is given by the
formula Ia =
n
n 180)2( −
, where n is the number of sides of the polygon.
6. The measure of each exterior angle of a regular polygon of n sides is given by the
formula Ea =
n
360
, where n is the number of sides of the polygon.
What have you learned
Answer each question as indicated.
1. What is the measure of each angle of a regular pentagon?
2. The sum of the measures of the two angles of a triangle is 127. What is the measure
of the third angle?
3. The measure of one base angle of an isosceles triangle is 67. Find the measure of
the vertex angle.
A
B
4. Given quadrilateral ABCD. If m∠ C = 60,
and if ∠ A ≅ ∠ B, what is the m∠ D if its
measure is 27 less than the measure of ∠ A.
D
C
5. What is the sum of the measures of the interior angles of an octagon?
6. If each interior angle of a polygon is 160º, how many sides does the polygon have?
15
P Q
7. Find the value of x using the given in the 2x + 10 3x
figure x R
2x x
T S
8. The angles of a triangle are in the ratio 1:3:5. Find the measures of the three angles.
9. If each interior angle of a regular polygon measures 150º, how many sides does the
polygon have?
10. In the figure, ≅AN XN . If ∠ A = 62º, find the measure of ∠ 1.
A
1
X N
16
Answer Key
How much do you know.
1. 60º
2. 50º
3. 63º
4. 120º
5. 65º
6. 360º
7. 6
8. 90
9. 24 cm
10.circle A
Try this out
Lesson 1
A. 1. 74º
2. 72º
3. 65º
4. 110º
5. 56
2
1 º
B. 1. 45º, 90º
2. 50º, 80º
3. 53º, 74º
4. 37
2
1 º, 105º
5. 63
4
1 º, 53
2
1 º
C. 1. 52
2
1 º
2. 40º
3. 70
2
1 º
4. 46º
5. 41
2
1 º
17
D. 1. 45º
2. 54º
3. 38º
4. 47º
5. 28
2
1 º
E. 1. 30º, 60º, 90º
2. 30º, 60º, 90º
3. 33º, 33º, 114º
4. 29º, 68º, 83º
5. 45º, 45º, 90º
Lesson 2
A. 1. m∠ 3 = 74, m∠ 4 = 53, m∠ 5 = 21, m∠ 1 = 21, m∠ 7 = 95
2. m∠ 2 = 11, m∠ 3 = 69, m∠ 4 = 26, m∠ 6 = 68, m∠ 5 = 43
3. m∠ 1 = 34, m∠ 3 = 65, m∠ 5 = 34, m∠ 6 = 81, m∠ 7 = 99
4. m∠ 1 = 51, m∠ 2 = 108, m∠ 4 = 21, m∠ 6 = 57, m∠ 7 = 123
B. 5. m∠ 1 = 114
6. m∠ 2 = 66
7. m∠ 3 = 68
8. m∠ 4 = 32
C. m∠ M = m∠ O = 2(57) – 7
= 107
m∠ P = m∠ N = 57 + 16
= 73
D. 1. m∠ 1 = 120
2. m∠ 2 = 19
3. m∠ 3 = 62
4. m∠ 4 = 15
5. m∠ 5 = 45
6. m∠ 6 = 60
18
Lesson 3
A.
Polygon No. of
Sides
No. of
Vertices
No. of
Diagonals
from one
vertex
No of
triangles
Sum of the
Measures
Of interior
Angles
1 Quadrilateral 4 4 1 2 360
2 Pentagon 5 5 2 3 540
3 Hexagon 6 6 3 4 720
4 Nonagon 9 9 6 7 1260
5 Dodecagon 12 12 9 10 1800
6 N - gon n N N – 3 N – 2 (n – 2 )180
B. 1. 4 sides
2. 8 sides
3. 10 sides
4. 6 sides
C. 5. 6 sides
6. 4 sides
7. 8 sides
8. 12 sides
D. 9. 360
10. 360
11. 360
12. 360
E. 13. 9 sides
14. 11 sides
15. 16 sides
16. 19 sides
F. 17. 140º
18. 157.5º
19. 161.05º
20. 120º
G. 21. y = 130º
22. Each of the remaining angle measures 74º.
23. m∠ W = 72, m∠ X = 144, m∠ Y = 72, m∠ Z = 72
24. 10 sides, 144
25. 6 sides
26. m∠ N = 69, m∠ MON = 69, m∠ P = 69, m∠ PMO = 69
19
27. m∠ A = 58, m∠ ADB = 90, m∠ ABD = 32, m∠ CBD = 58
28. m∠ 1 = 44, m∠ 2 = 44, m∠ 3 = 37, m∠ 4 = 37, m∠ 5 = 56, m∠ 6 = 62
m∠ 7 = 62
What have you learned
1. 108º
2. 53º
3. 46º
4. 82º
5. 1080º
6. 18 sides
7. x = 50º
8. 20º, 60º, 100º
9. 12 sides
10. m∠ 1 = 124
Module 5
Geometry of Shape and Size
What this module is about
This module will discuss the perimeter of the commonly used polygons in geometry
such as triangles, quadrilaterals and others (with their corresponding formulas). In addition,
this module will also expound on the circumference of the circle. Furthermore, this module
will help you apply these concepts in solving problems associated with real life.
What you are expected to learn
This module is written for you to
1. Recall the different plane figures and their properties which are commonly used in
geometry.
2. Name the properties of the sides of different polygons.
3. Define perimeter and determine the different formulas of getting the perimeter of the
different polygons .
4. Define a circle.
5. Identify the lines and segments associated with circles.
6. Define circumference of a circle and determine the formula for getting the
circumference of the circle.
7. Use the formulas for finding perimeter and circumference in solving real life
problems.
How much do you know
Answer the following questions as indicated.
Find the perimeter of a regular polygon(indicated) given the length of a side.
1. triangle, s = 13 cm
2. square, s = 10 cm
3. rhombus, s = 11.5 dm
4. pentagon, s = 9.25 cm
5. hexagon, s = 12.73cm
2
6. The circumference of a circle is 66 cm. Find the radius of the circle. Use π =
7
22
.
7. The length of a rectangle is 13 more than twice its width. If the perimeter is 116 cm,
find the dimensions of the rectangle.
8. One of the sides of a rhombus is 2x + 1. What is its perimeter?
9. The diameter of a circle is 14 cm. Find its circumference. Use π = 3.14.
10.If the perimeter of a regular hexagon is 69 cm, what is the length of each side?
What you will do
Lesson 1
Perimeters of Polygon
The perimeter of a polygon is the distance around it. It can be computed by getting
the sum of the length or measures of all the sides. If the polygon is identified as regular,
then the perimeter is computed by simply multiplying the given measure of the side with the
number of sides. Let us recall the different formulas for finding the perimeter of different
polygons.
Triangle:
For a general triangle, the perimeter (P) is a b
P = a + b + c , where a, b, and c
are the measures of the sides.
c
For isosceles triangle, perimeter is
P = m + m + n, where m is the m m
length of one of the legs, and
n is the length of the base.
n
For equilateral triangle, the perimeter is
P = 3s, where s is the length of s
one of the equal sides.
3
For polygon of four sides or quadrilaterals, consider the given figures.
x
Given quad ABCD, then its perimeter is
P = w + x + y + z, where w, x, y
and z are the length of the sides w y
z
For a square, its perimeter is
P = s + s + s + s, where s is the
length of a side. Therefore, s
P = 4s
l
For a rectangle, the perimeter is
P = l + l + w + w, where l is the
length and w is the width. Therefore, w w
P = 2l + 2w or
P = 2 (l + w)
l
For a parallelogram, the perimeter is a
P = a + a + b + b, where a, and b are the
lengths of the two consecutive sides
of the parallelogram. Thus b b
P = 2a + 2b
P = 2(a + b) a
For other figures like pentagon and hexagon or those polygons with more than five
sides, the formula is practically the same. Get the sum of all the length of the sides.
a
For the given pentagon, the perimeter is
P = a + b + c + d + e, where a, b, c, b c
d, and e are the measures of the
sides.
e f
For a regular pentagon with a as the length of a side, the perimeter is
P = 5a s
r
For a hexagon, the perimeter is t
P = r + s + t + u + v + w, where
r, s, t, u, v, and w are the length w
of the sides. u
v
4
For a regular hexagon whose length of side is denoted by r, the perimeter is given by
the formula
P = 6r
Example 1. Find the perimeter of the following figures.
1. 2. 3.
3cm 5 cm
6 cm
6 cm 5 cm
4 cm
4. 5. 7 cm 6. 7 cm
5 cm
3 cm 5 cm
9 cm
6 cm
Solutions:
1. P = (3 + 5 + 6)cm
= 14 cm
2. P = [2(6) + 4] cm
= 12 + 4
= 16 cm
3. P = 3(5 cm)
= 15 cm
4. P = 4(6 cm)
= 24 cm
5. P = [2(7cm) + 2(5cm)]
= 14cm + 10cm
= 24cm
6. P = (3 + 7 + 5 + 9)cm
= 24cm
Example 2. Find the perimeter of the following regular polygons given the measure
of a side (s).
1. triangle, s = 10 cm
5
2. square, s = 7cm
3. pentagon, s = 13.5cm
4. hexagon, s = 11.25 cm
5. nonagon, s = 9.3 cm
Solutions:
1. P = 3s
= 3 (10cm)
= 30 cm
2. P = 4s
= 4(7cm)
= 28cm
3. P = 5s
= 5(13.5cm)
= 67.5 cm
4. P = 6s
= 6(11.25cm)
= 67.50cm
5. P = 9s
= 9(9.3cm)
= 83.7cm
Example 3 The width of a rectangular garden is 5m. If the length is 2m more than its width,
how many meters of fencing materials are needed to enclose the whole garden?
How much will the cost of fencing material be if the owner pays P59 per meter?
Solution:
Width (w) = 5m
Length (l) = 2m more than the width
Length (l) = 5m + 2m = 7m
Get the perimeter:
P = 2(l + w)
= 2(7m + 5m)
= 2(12m) = 24m
Cost of materials = 24m (P59 /m)
= P1416.00
6
Example 4. The perimeter of a regular pentagon is 120 m. What is the length of each side?
Solution:
Pentagon has 5 sides, and since it is a regular pentagon, the sides are equal.
P = 5s
5s = 120 m
s =
5
120m
s = 24m.
Example 5. A saleslady is preparing to wrap a box
whose dimensions are 30cm by 20cm by 7cm.
If she is going to tie a ribbon around the box
as in the figure, how long should the ribbon be
if she will allow 25cm for the design at the
top? How much will the ribbon cost if a meter
is P8.25.
Solution: To find the length of the ribbon, find the two perimeters.
P1 = 2(30cm) + 2(7cm)
= 60cm + 14cm
= 74 cm
P2 = 2(20cm) + 2(7cm)
= 40cm + 14cm
= 54 cm
Total length = P1 + P2 + 25cm
= 74cm + 54cm + 25cm
= 128cm = 1.28 m
Total cost = 1.28 m(P8.25)
= P12.6225 ≈ P12.65
Try this out
A. Find the perimeter of the following using the given information in the figure.
1. 2. 3.
9 5 7 15.3
10 10
7
4. 21
5. 12
15 10
16
B. The sides of an isosceles triangle are given. Find the perimeter.
1. 8, 8, 13
2. 5, 4, 4
3. 7, 7, 5
4. 6, 7, 6
5. 1.2, 1.2, 1.3
6. 8.13, 8.14, 8.13
7. 12.75, 12.75, 10
8. 1, 2, 2
C. Given are the length and width of a rectangle. Find its perimeter.
1. 4.5, 8.3
2. 12.01, 19.22
3. 18.3, 21.5
4. 2.03, 5.43
5. 9.75, 12.25
6. 3 , 35
7. 54 , 58
8. a, 3a
9. x + 1, 5x + 4
10. x2
+ 1, x2
+ 25
D. Find the perimeter of the following
1. A square with side of 25cm.
2. A parallelogram whose consecutive sides are 21cm and 27.5 cm respectively.
3. A regular hexagon whose side is ( )`732 + cm.
4. A rectangle 17m by 11m.
5. A rhombus with side of 18.23dm.
E. Solve the following problems.
1. The length of a rectangle is 4 less than three time its width. If the perimeter of the
rectangle is 272, what are its dimensions?
8
●A
2. The perimeter of a regular pentagon is 215 cm. Find the length of each side.
3. In an isosceles trapezoid, the length of one leg is 53dm and the median is 63dm. Find
its perimeter.
4. James always jogs around his rectangular pool, 10m by 6m. If he jogs around it 5
times, what is the distance covered by James?
5. Find the perimeter of the given quadrilateral.
4x - 9
2x + 1
3x - 4
6. When the side of a square is increased by 2cm, its perimeter becomes 40 cm.
What is the length of the original square?
7. When the side of a square is reduced by 7cm, the perimeter becomes 84. What is
the perimeter of the original square?
8. The length of a rectangle is 64 cm. Its width is 13cm more than half its length. What
is the perimeter of the rectangle?
9. The base of an isosceles triangle is 15 more than one-third of the length of the leg. If
a leg measures 57 dm, find the perimeter of the triangle.
10. If the side of a square is increased by 25%, by how many percent will the perimeter
increase?
Lesson 2
Circle and its Circumference
A circle is defined as the set of points equidistant from a fixed point called the center.
Though the center is not a part of the circle, it is essential that every circle has a center A
circle on a plane can be represented geometrically or algebraically. In this part of the
lesson, geometric circles will be the focus of our discussion.
In the given circle, A is the center of the circle,
thus we can name the circle, circle A. There are other
lines and segments associated with a circle like
radius, chord, diameter, secant and tangent.
9
In circle O, OA is a segment from the center to the
circle. OA therefore is a radius of the circle. Aside from OA, B
other radii are OB and OC . BC is a segment whose
endpoints are points on the circle and it passes through 0
the center of the circle. Therefore, BC is called the
diameter of the circle. If the endpoints of a segment are
points on the circle, it is called chord of the circle. A C
By this definition, the diameter is also a chord of a circle. By inspection, it is very
easy to recognize that the length of the diameter is twice that of the radius. Therefore, in the
figure, OCOBBC += .
Other lines and segments associated with a circle D E
are shown in the figure. They are DEBC, and line t. BC has
its endpoints on the circle. Thus it is an example of chord ●A C
of the circle. It is not a diameter since it did not pass through B
the center of the circle. DE intersects the circle at two points
D and E. It is called a secant of the circle. Line t intersects the T X
circle at only one point X. Line t is called tangent of the circle.
Example 1. Given circle A and points B, H, C, D and E on it.
Name: B H
1. 4 radii
2. 2 chords A C
3. a diameter
4. a secant
5. a tangent E
D F
Solutions:
1. AEAHACAB ,,,
2. ECEH,
3. EH
4. EC
5. DF
Every polygon has its own perimeter. Likewise a circle has its own perimeter too. To
distinguish it from those of polygons, we call the distance around the circle circumference.
There is also a formula for finding the circumference of a circle. The letter “C” will be used
to represent the circumference of the circle. The formula that we will use is
10
C = 2π r, where r is the radius of the circle and π is an irrational number whose
value is approximated at 3.1416 or
7
22
.
An alternative formula for circumference can be used utilizing the diameter instead of
the radius of the circle.
C = π D, where D is the length of the diameter of the circle.
Example 1. Find the circumference of a circle of radius 9cm.
Solution:
C = 2π r
C = 2π (9cm)
C = 18π cm
If there is assigned value for π , say
7
22
, then
C = 2(
7
22
)(9cm)
C =
7
396
cm
C ≈ 56.57cm
If π ≈ 3.1416, then
C = 2(3.1416)(9cm)
C ≈ 56.55cm
Example 2. The diameter of a circle is 12.6 dm. What is its circumference? Express the
answer in terms of π .
Solution:
C = π D
C = π (12.6dm)
C = 12.6π dm
Example 3. The circumference of a circle is 39.27cm. Find the radius of the circle. Use
π =3.1416.
Solution:
C = 2π r
r =
π2
C
r =
)1416.3(2
27.39
r = 6.25cm
11
Try this out
A. Find the length of the diameter of a circle given its radius.
1. 24cm
2. 19 m
3. 3.96dm
4. .08 cm
5.
7
4
dm
6. 18 m
7. (x+2) cm
8.
2
x
km
9. nm + m
10.
4
2 ba −
dm
B. Use the figure and answer each of the following: B C
1. What is the center of the circle? D
2. Name the circle. E
3. Name 5 radii
4. Name 2 diameters A F
5. Name all the chords
6. Name a tangent of the circle H G
7. Name a secant
C. Find the circumference of the circle given the radius of the circle. Express answers in
terms of π .
1. 19cm
2. 25dm
3. 11cm
4. 8cm
5. 13.75cm
6. 2.03cm
7. m
7
5
8. cm5
9. a dm
10. (x + 3)cm
12
D. Find the circumference of the circle if the diameter is given. Use π = 3.1416.
1. 24cm
2. 50dm
3. 35m
4. km
4
3
5. 12.56m
6. 19.75cm
7. km
3
1
8. 18.7cm
9. 25.76cm
10. 10.705cm
11. m
5
2
12. 105.031cm
13. (a+b)dm
14. ( )12 + km
15. 56 dm
16. 3x2
cm
17. (5x – 1) cm
18. 47 +x dm
19. 3.1416m
20.
35
3
+
m
E. Given the circumference of the circle, find the radius and the diameter of the circle. Use
the appropriate value of π .
1. 36π
2. 58π
3. 126π
4. 39π
5. 101π
6. 37.24π
7. 65.78π
8. 137.5π
9. 89.93π
10. 452.76π
11. 14.25
12. 549.78
13. 298.452
14. 314.16
13
15. 75.5
16. 78.54
17. π3
18. 18456.9
19. 72 π
20. (10x – 4y) π
F. Solve the following problems.
1. An artificial lake has a diameter of 34 m. If Teena jogs around it 6 times, how many
meters will that be? (Use π =3.14)
2. At one point in a race, Joseph was 15 m behind Allan and 18 m ahead of Brad. Brad
was trailing Nick by 30m. Allan was ahead of Nick by how many meters?
3. What is the perimeter of a square inscribed in a circle of radius 10 cm?
Let’s summarize
1. Perimeter of a polygon is the distance around the polygon.
2. The general formula for finding the perimeter of a polygon is
Perimeter = s1 + s2 + s3 +. . . + sn-1 + sn , where sn is the measure of the sides and n
is the number of sides of the polygon.
3. For regular polygons, the perimeter is equal to the measure of a side multiplied by
the number of sides.
4. A circle is the set of points equidistant from a fixed point called the center. The
center of the circle defines the name of the circle.
5. Every circle must have a center.
6. Lines and segments associated with circle are the following:
Radius – the segment joining the center and any point on the circle.
Chord – segment joining any two points on the circle.
Diameter – chord which passes through the center.
Secant – a line intersecting a circle at two points.
Tangent – a line intersecting a circle at only one point.
7. Circumference of a circle is the distance around a circle.
14
8. The formula for finding the circumference of a circle is C = 2π r , where r is the radius
of the circle and π is an irrational number approximately equal to 3.1416 or
7
22
.
What have you learned
1. What is the perimeter of a regular heptagon with side of 23 cm?
2. The length of a leg of an isosceles trapezoid is 15 dm. The length of the median is
35dm. What is the perimeter of the trapezoid?
3x - 7
3. Find the perimeter of the given rectangle.
2x + 9
4. The circumference of a circle is 141π . Find the
radius of the circle.
5. If the side of a square is increased by 4 cm, the perimeter becomes 136 cm. Find the
length of the side of the original square.
6. The perimeter of a regular pentagon is 17.5 m. What is the length of each side?
7. What is the longest chord in a circle?
8. If the diameter of a circle is 25 cm , what is the length of the radius of the circle?
9. The base of an isosceles triangle is 27 dm. If the length of a leg is 11 more than
one-third of the base, find the perimeter of the triangle.
D 3x - 7 C
10. ABCD is a parallelogram. Using the given in the
figure, find x if the perimeter is 130 cm. 2x + 1
A B
15
Answer Key
How much do you know
1. 52 cm
2. 40 cm
3. 46 dm
4. 46.25 cm
5. 76.38 cm
6. 10.5 cm
7. length = 43, width = 15
8. 8x + 4
9. 43.96 cm
10.11.5 cm
Lesson 1
A.
1. 24
2. 24
3. 61.2
4. 72
5. 48
B.
1. 29
2. 13
3. 19
4. 19
5. 3.7
6. 24.4
7. 35.5
8. 5
C.
1. 25.6
2. 62.46
3. 79.6
4. 14.92
5. 44
6. 12 3
7. 24 5
8. 8a
9. 12x + 10
10. 4x2
+ 52
16
D.
1. 100 cm
2. 97 cm
3. ( )cm42312 +
4. 56 m
5. 72.92 dm
E.
1. length = 101, width = 35
2. 43 cm
3. 232 dm
4. 160 m
5. 11x - 11
6. 8 cm
7. 112 cm
8. 218 cm
9. 148 dm
10. 25%
Lesson 2
A.
1. 48 cm
2. 38 m
3. 7.92 dm
4. 0.16 cm
5. dm
7
8
6. 26 m
7. (2x + 4)cm
8. x cm
9. nm +2 m
10.
2
2 ba −
dm
B.
1. E
2. circle E
3. EAEGEFEDEC ,,,,
4. CGAD,
5. CGADAB ,,
6. HG
7. AB
17
C.
1. 38π cm
2. 50π dm
3. 22π cm
4. 16π cm
5. 27.5π cm
6. 4.06π cm
7. π
7
10
m
8. 52 cm
9. 2a dm
10. (2x + 6) cm
D.
1. 75.3984 cm
2. 157.08dm
3. 109.956 m
4. 2.3562 km
5. 39.458 m
6. 62.0466 cm
7. 1.0472 km
8. 58.74797 cm
9. 80.93 cm
10.33.63 cm
11.1.2566 m
12.329.96 cm
13.3.1416(a+b) dm
14.7.58 km
15.42.15 dm
16.9.4248x2
cm
17. (15.708x – 3.1416) cm
18. 3.1416( 47 +x ) dm
19. 9.8696 m
20. 1.8 m
E.
1. r = 18, d = 36
2. r = 29, d = 58
3. r = 63, d = 126
4. r = 19.5 d = 39
5. r = 50.5, d = 101
6. r = 18.62, d = 37.24
7. r = 32.89, d = 65.78
8. r = 68.75, d = 137
9. r = 44.965, d = 89.93
18
10. r = 226.38, d = 452.76
11. r = 2.268, d = 4.536
12. r = 87.34, d = 174.68
13. r = 47.5, d =95
14. r = 50, d =100
15. r = 12.02, d = 24.04
16. r = 12.5, d = 25
17. r =
2
3
, d = 3
18. 2937.5, d = 5875
19. 23 , d = 26
20. 5x – 2y, d = 10x – 4y
F.
1. 640.56 m
2. 3 meters
3. 40 2 cm
What have you learned
1. 161 cm
2. 100 dm
3. 10x + 4
4. 70.5
5. 30 cm
6. 3.5 m
7. diameter
8. 12.5 cm
9. 67 dm
10. 14.2 cm
Module 6
Geometry of Shape and Size
What this module is about
This module is about areas of plane figures. In this module you will study the areas of
squares, rectangles, parallelograms, triangles, trapezoids and circles, and learn to compute
them.
What you are expected to learn
This module is designed for you to
1. Apply the formulas for the measurements of the following plane figures
a. square,
b. rectangle,
c. parallelogram,
d. triangle,
e. trapezoid, and
f. circle.
2. Solve problems involving areas of plane figures
How much do you know
1. Find the area of a square whose side is 9 cm.
2. Find the area of the triangle below.
8 cm
6 cm
2
3. Find the area of a rectangle whose length and width are 12 cm and 5 cm
respectively.
4. Find the area of the trapezoid ABCD below
B 6 cm C
4 cm
A D
10 cm
5. Find the area of a circle whose radius is 7 mm.
6. Find the base of a triangle if the altitude is 4 cm and the area is 16 cm2
.
7. Find the area of a parallelogram with base 12 cm and height 8 cm.
8. The area of the parallelogram ABCD below is 96 cm2
. Find x.
B C
X
A D
12 cm
9. Find the area of the figure
9 cm
5 cm 3 cm
6 cm
1 cm
10.Beth’s garden is 4 meters wide and 6 meters long. Find the area of the garden.
3
What you will do
Lesson 1
Areas of Rectangles and Squares
The first figure below is a rectangle and the second is a rectangular region.
Rectangle Rectangular region
A rectangular region is a union of a rectangle and its interior. When you are asked to
find the area of a rectangle, you are actually asked to determine the area of a rectangular
region. The area of a region is the number of square units contained in the region. A square
unit is a square with a side 1 unit in length.
I unit
l unit
Example 1
In the rectangle below, each small square is one unit in length. Find the area of
the rectangle.
The area can be determined by counting the number of small squares. Since there
are 24 small squares, therefore, the area is 24 square units.
The standard units of area are square units, such as square centimeters, square
decimeters and square meters.
4
Example 2
Find the area of the rectangle below.
12 cm
9 cm
Solution:
The length ( l ) of the rectangle is 12 cm and the width (w) is 9 cm. Substitute these
data in the formula.
A = lw
= (12 )( 9)
= 108 cm2
The area is 108 square centimeters.
Example 3
Find the area of a rectangle whose length and width are 14 cm and 12 cm
respectively.
Solution:
Step 1. Draw and label the figure.
12 cm
14 cm
Step 2. Substitute the data in the formula. The figure shows that l = 14 cm
and w = 12 cm.
A = lw
= (14)(12)
= 168 cm2
The area is 168 square centimeters.
.
5
Example 4
Find the width of the rectangle with an area of 80 cm2
and length equal to 10 cm.
Solution:
Step 1. Draw and label the figure.
10 cm
A = 80 cm2
Step 2. A = 80 cm 2
, l = 10 cm. Substitute these data in the formula.
A = lw
80 = 10 w
10w = 80
w = 8 cm
The width is 8 cm
Example 5
The area of rectangle EFGH below is 48 cm2
. Find its width.
8 cm
(x + 2) cm
Solution:
In the figure, l= 8 cm and w = (x + 2) cm. Substitute 8 in place of l and (x + 2) in
place of w in the formula A = lw. Replace A by 48 since the area of the rectangle is given as
48 cm2
. Then solve the resulting equation for x.
A = lw.
48 = 8 ( x + 2 )
48 = 8x + 16
48 –16 = 8x
32 = 8x or 8x = 32
x = 4
Since the width is represented by x + 2, then the width is 4 + 2 or 6 cm
6
The Area of a Square
When the length and width of a rectangle are equal, the figure is a square. The
formula for finding the area of a square is A = s2
where s = length of a side.
D s C
s
A B
Square
AB = BC = CD = DA
Example 1
Find the area of the square ABCD.
Solution: D C
A = s2
= 62
s = 6 cm
= (6)(6)
= 36 cm2
A B
The area is 36 square centimeters
Example 2
Find the side of a square whose area is 25 cm2
.
Solution:
Step 1. Draw and label the figure.
Step 2. Substitute the data in the formula. A = 25 cm2
s = ?
A = s2
25 = s2
s2
= 25
2
s = 25
s = 5 cm
The side is 5 centimeters
7
Example 3
Find the area of the shaded region.
20 cm
15 cm 8 cm
8 cm
Solution:
Step 1. Find the area of the rectangle
A = lw
= (20)(15)
= 300 cm2
Step 2. Find the area of the square
A = s2
= 82
= (8)(8)
= 64 cm2
Step 3. Find the area of the shaded region by subtracting the area of the square from
the area of the rectangle.
A = lw - s2
A = 300 – 64
= 236 cm2
The area of the shaded region is 236 square centimeters.
Another important thing you will learn from this lesson is that areas of plane figures
can be added as long as the figures do not overlap.
8
The area of the entire figure in the following illustration is the sum of the areas of the
rectangle and the square.
Example:
Find the area of the figure below.
B C
2
E F
6
4
A D 4 G
Notice that polygon ABCD is a rectangle and polygon DEFG is a square. The area of
the entire figure is the sum of the areas of the rectangle and the square.
Solution:
Step 1. Find the area of the rectangle ABCD
A1 = lw
= (10)(6)
= 60
Step 2. Find the area of the square DEFG.
A2 = s2
= 42
= (4)(4)
= 16
Step 3. Find the area of the entire figure by adding the area of the rectangle to the
area of the square.
A3 = A1 + A2
= 60 + 16
= 76 cm2
The area of the entire figure is 76 square centimeters
9
Try this out
Set A
In exercises 1-4, each plane figure is divided into small squares each with a side 1 unit in
length.
1. Find the area.
A = _______ square units.
2. Find the area.
A = ________ square units
3. Find the area.
A = ________ square units
10
4. Find the area.
A = _________ square units
Find the area of each rectangle or square described below.
5. 5 cm 7. 19 cm
5 cm 16 cm
8 cm
5.5 m
6. 8.
16 cm 5.5 m
9. A rectangle with a length of 14 meters and a width of 10 meters.
10. A square with a side of 7 mm.
Set B
1. Find the area of a square whose side is 15 cm.
2. Find the area of a rectangle whose length and width are 12 m and 7 m respectively.
3. Find the area of a square whose side is 8.5 m
4. Find the area of a rectangle with length of 8 cm and width of 5 cm.
5. A side of a square is 13 cm. Find its area.
6. The length and width of a rectangle are 18 cm and 10 cm respectively. Find its area.
11
6
6
Find the area of the following figure.
7. 2 cm 8. 3 cm
3 cm 3 cm
2 cm
2 cm
5 cm
4 cm
Find the area of the shaded region in the following figures
12
9. 10
8 10
8
Set C
Find the area of each square
1. side = 4 m 2. side = 4.5 cm
Find the area of each rectangle
3. Length = 11 cm and width = 8 cm 4. length = 9 cm and width = 8 cm
Find the length of a side of each square.
5. Area = 36 cm2
6. Area = 81 c m2
Find the length of each rectangle
7. Area = 112 c m2
and width = 8 cm
8. Area = 135 c m2
and width = 9 cm
6
4
12
Find the width of each rectangle
9. Area = 176 c m2
and length = 16 cm
10 Area = 216 c m2
and length = 18 cm
Lesson 2
Areas of Parallelograms and Triangles
The area of a parallelogram is equal to the product of the base times the height.
The formula is A = bh
Example 1
Find the area of a parallelogram with a base of 5 cm and a height of 3 cm.
Solution:
Step 1. Draw and label the figure.
The base AB has length of 5 cm and the height or altitude is 3 cm.
D C
3 cm
A 5 cm B
Step 2. Substitute the data in the formula
A = bh
= 5(3)
= 15 cm2
The area is 15 square centimeters
Example 2
Find the area of the parallelogram below
h = 5.5
15.2
13
The figure shows that b = 15.s cm and h = 5.5 cm. Substitute these data in the
formula.
Solution:
A = bh
= (15.2)(5.5)
= 83.6 cm2
The area is 83.6 square centimeters
Example 3
The area of a parallelogram is 84 m2
. The lengths of a base is 6 m. Find the length of
the corresponding altitude.
Solution:
Step 1. Draw and label the figure.
A = 84 m2
h = ?
6 m
Step 2. Substitute the data in the formula
A = bh
84 = 6h
6h = 84
h = 84/6
h = 14 m
The height is 14 m
Example 4
Find the height of a parallelogram that has a base of 14 cm and an area of 126 cm2
Solution:
Step 1. Draw and label the figure.
A = 126 cm2
h = ?
14 cm
14
Step 2. Substitute the data in the formula
A = bh
126 = 14 h
14 h = 126
h = 126/14
h = 9 cm
The height is 9 centimeters
The Area of a Triangle
The diagonal separates the parallelogram into two congruent triangles.
D C D C
D
A B B
A B
The diagonal BD divides the parallelogram ABCD into two congruent triangles. Two
congruent triangles have equal areas. The area of ∆ABD is equal to the area of ∆CDB.
Since the formula for finding the area of a parallelogram is A = bh, therefore, the formula for
finding the area of a triangle is A =
2
1 bh.
Example 1
Find the area of the triangle shown below.
h = 4 m
9 m
Solution:
A =
2
1
bh
=
2
1
( 9 ) ( 4 )
= 18 m2
The area is 18 square meters
15
Example 2
Find the area of the triangle below.
12 dm
20 dm
Solution
A =
2
1
bh
=
2
1
(20) (12)
= 120 dm2
The area is 120 square decimeters
Example 3
Find the area of the triangle shown below.
5.5 m
7.2 m
Solution:
A =
2
1
bh
=
2
1
( 7.2) ( 5.5)
= 19.8 m2
The area is 19.8 square meters
Example 4
Find the area the triangle with base equal to 12 cm and altitude equal to 10 cm.
16
Solution:
Step 1. Draw and label the triangle
h = 10 cm
12 cm
Step 2. Substitute the data in the formula
A =
2
1
bh
=
2
1
(12) (10)
= 60 cm
The area is 60 square centimeters
Example 5
Find the base of the triangle with an altitude of 12 cm and an area of 66 cm2
.
Solution
Step 1. Draw and label the figure
h = 12 cm
b = ?
Step 2. Substitute the data in the formula.
A =
2
1
bh
66 =
2
1
(b) (12)
66 = 6 b
6 b = 66
b = 11
The base is 11 centimeters.
17
Try this out
Set A
Find the area of each parallelogram.
1. 3.
4 mm
4 m
13 mm
6 m
2. 4.
6 cm 8 m
5.2 cm 6 m
Find the area of each triangle
5. 8.
12 mm
2 15 mm
4
6. 9.
5 20 m
3 25 m
7. 10.
5 cm 6 m
6 cm 11 m
18
Set B.
Complete the table below
Base Altitude Area of the
Parallelogram
1 16 5
2 10 cm 180 cm2
3 14 km 168 km2
4 8 m 92 m2
5 4.5 cm 36 cm2
.
Complete the table below
base Altitude Area of the Triangle
6 14 cm 84 cm2
7 16 m 80 m2
8 16 cm 64 cm2
9 7.6 cm 4.5 cm __cm2
10 5.6 m 23.8 m2
Set C
Find the area of the parallelogram in which
1. b = 30, h=6
2. b = 3
2
1
, h = 6.5
3. b = 24. h = 12
Find the area of each triangle described below.
4. b = 40, h = 24
5. b = 26, h = 14
6. b = 28, h = 16
Solve the following
7. Find the area of a parallelogram with base 17 m and height 14 m.
8. Find the area of a triangle with base of 16 m and height of 12 m.
9. A piece of cardboard is in the form of a parallelogram. Find its area if the base is 17
cm and the altitude is 12 cm.
10.A piece of paper is in the form of a triangle. What is its area if the base is 18 cm and
its altitude is 8.6 cm?
19
Lesson 3
Area of a Trapezoid
Recall that a trapezoid is a quadrilateral with two bases which are parallel. The area
of a trapezoid is one half the product of the length of an altitude and the sum of the lengths
of the two bases.
D b2 C
A b1 B
A =
2
1
h ( b1 + b2)
Where h = altitude
b1 = lower base
b2 = upper base
Example 1
Find the area of trapezoid ABCD.
D 6 C
h =4
A B
8
A =
2
1
h ( b1 + b2)
=
2
1
( 4) (8 + 6 )
=
2
1
( 4 ) ( 14 )
= 28
The area is 28 square units.
20
Example 2
In the following trapezoid, HG = 6 cm and EF = 12 cm. If its area is 36 cm2
, find its
altitude h.
H 6 cm G
h = ?
E F
12 cm
Solution:
A =
2
1
h ( b1 + b2)
36 =
2
1
h ( 6 + 12)
36 =
2
1
h ( 18)
36(2) = 18 h
18h = 72
h = 4 cm
The altitude h is 4 cm.
Example 3
Find the longer base of a trapezoid with shorter base 5, height 4 and area 24..
Step 1 Draw and label the figure. Represent the longer leg by x.
5
A = 24 4
x
Step 2. Substitute the data in the formula.
A =
2
1
h( b1 + b2)
24 =
2
1
(4)( x + 5)
24 = 2( x + 5)
2(x + 5 ) = 24
2x + 10 = 24
2x = 24 – 10
2x = 14
x = 7
The longer base is 7 .
21
Try this out
Set A
ABCD is a trapezoid.
D C
A B
1. If AB = 16, DC = 8, DE = 6, find the area
2. If AB = 17, DC = 9 , DE = 8, find the area
3. If AB = 20, DC = 18, DE = 10, find the area
4. If AB = 30, DC = 20, DE = 10, find the area
5. If AB = 40, DC = 30, DE = 20, find the area
EFGH is a trapezoid.
H G
E F
6. If EF = 8, HG = 10, HE = 6, find the area.
7. If EF = 6, HG = 8, HE = 4, find the area
8. If EF = 12, HG =16, HE = 6, find the area
9. If EF = 10, HG =12, HE = 9, find the area
10.If EF = 12, HG =14, HE = 7, find the area
Set B
Supply the missing information for each trapezoid
H b1 b2 Area
1 4 8 11
2 8 10 13
3 12 10 14
4 12 16 140
5 10 18 112
22
Find the area of each trapezoid
8
6. 7. 7 cm
5
5 cm
11 13 cm
8. Given a trapezoid with bases 16 and 20 and height 9, Find the area.
9. The bases of a trapezoid are 8 and 20 and the area is 84. Find the height.
8
h = ?
A = 84
20
10.The height of a trapezoid is 12 and the area is 162. If one of the bases is 16, find the
other.
Set C
1. The height of a trapezoid is 4. The bases are 5 and 7. Find the area.
2. The height of a trapezoid is 6. The bases are 7 and 9. What is the area?
3. The bases of a trapezoid are 4 and 8 and the area is 36. Find the height.
4. The bases of a trapezoid are 6 and 8 and the area is 56. Find the altitude.
5. The altitude of a trapezoid is 8 and the area is 64. If one base is 5, find the other
base.
6. The height of a trapezoid is 2 and the area is 16. If the upper base is 9, find the lower
base.
7. A trapezoid has bases 9 and 10 and the area 38. Find its altitude.
8. A trapezoid has bases 8 and 12 and area 80. Find its height.
9. Find the longer base of a trapezoid with shorter base 5, height 6, and area 48.
10.Find the shorter base of a trapezoid with longer base 12 , altitude 6, and area 54.
Lesson 4
Area of a Circle
Recall that a circle is a set of points in a plane that have the same distance from a
given point in the plane. The given point is called the center, and the distance from the
center to any given point on the circle is called the radius.
23
d = 6 cm
The area of a circle is the measure of the space bounded by it. The ratio of the
circumference to the diameter of any circle is equal to the same number, represented by
the Greek letter π (pi) The approximate value of π is 3.14 or 22/7.
The formula for the area of a circle with radius r units is
A = πr2
Where A = area
r = radius
Example 1
The radius of a circle is 2 cm. Find its area.
Solution:
A = πr2
2 cm
≈ 3.14 (2)2
●
≈ 12.56 cm2
The area is 12.56 square cm.
Example 2
The diameter of a circle is 6 cm. Find its area.
Solution:
Step 1. Find the radius
Radius( r ) = diameter (d) divided by 2
r = 6 ÷ 2
r = 3 cm
The radius is 3 cm. ●
Step 2. Find the area.
A = πr2
≈ 3.14 (3)2
≈ 3.14 (9)
≈ 28.26 cm2
The area is 28.26 square centimeters
24
Example 3 Find the area of the circle in terms of π if its radius is 2 m.
Solution
A = πr2
2 m
≈ π(2)2
●
≈ 4π
Example 4 Find the area of the shaded region.
22 cm
8 cm
Solution:
Step 1. Find the area of the rectangle.
A = lw
= (22) ( 8)
= 176 cm2
Step 2. Find the area of the circle
The diameter of the circle is the width of the rectangle.
r =
2
d
r =
2
8
r = 4 cm2
Substitute 4 in the area formula for circles
A = πr2
≈ 3.14 ( 4)2
≈ 3.14 ( 16)
≈ 50.24
Step 3. Subtract the area of the circle from the area of the rectangle.
Area of the shaded region = area of the rectangle – area of the circle
= 176 –50.24
= 125.76 cm2
The area of the shaded region is 125.76 square centimeters.
25
Try this out
Set A.
Find the area of each circle with the given diameter or radius Use 3.14 for π.
1. radius = 5 cm
2. radius = 1.5 mm
3. diameter = 4 cm
4. diameter = 12 dm
5. radius = 4.6 m
6. radius = 2.2 cm
7. diameter = 4.8 dm
8. diameter = 6.4 cm
9. radius = 4.8 m
10.radius = 3.4 dm
Set B
Find the area of each circle described below. Give the answers in terms of π.
1. 3.
d = 10
● ●
r = 8
2. 4.
● ● d = 11
r = 9
5. The radius is 7 cm
6. The radius is 12 cm
7. The diameter is 14 mm
8. The diameter is 26 mm
9. The radius is 3.4 km
10.The radius is 2.6 km
26
Set C.
Find the area of each circle in terms of π
1. r = 8 dm
2. r = 18 dm
3. d = 5 cm
4. d = 14 cm
5. r = 4.6 mm
6. r = 4.4 mm
7. The students performed their dance number in a circular platform 20 m in diameter.
Find the area of the platform.
8. The radius of a circular garden is 40 m. Half of the garden will be planted with roses.
How many square meters will be planted with roses.
Find the area of the shaded part of the figure. Give the answers in terms of π
9
r of the bigger circle is 8 cm
● r of the smaller circle is 6 cm.
10.
● 14 cm
12 cm
27
Let’s Summarize
1. The area of a region is the number of square units contained in the region.
2. A square unit is a square with a side I unit in length.
3. The area (A) of a rectangle is the product of its length (l) and its width (w).
A = lw
4. The area (A) of a square is the square of the length of a side (s). A = s2
5. The area (A) of a parallelogram is equal to the product of the base (b) and the height
(h).
A = bh
6. The diagonal separates the parallelogram into two congruent triangles.
7. The area (A) of a triangle equals half the product of the base (b) and the height (h).
A =
2
1
bh. Sometimes altitude is used instead of height.
8. The area (A) of a trapezoid is one half the product of the length of its altitude and the
sum of the lengths of the two bases. A =
2
1
h (b1 + b1).
9. A circle is a set of points in a plane that have the same distance from a given point in
the plane.
10. In all circles the ratio of the circumference to the diameter is always equal to the
same number, represented by the Greek letter π.
11.The formula for finding the area of a circle with a radius of r units is: A = πr2
What have you learned
1. Find the area of a square whose side is 15 dm.
2. Find the area of the triangle below.
9 cm
10 cm
3. Find the area of a rectangle whose length and width are 14 dm and 8 dm
respectively.
28
4. Find the area of the trapezoid ABCD below
B 8 cm C
6 cm
A 12 cm D
5. Find the area of a circle whose radius is 6 cm.
6. Find the base of a triangle if the altitude is 6 cm and the area is 36 cm2
.
7. Find the area of a parallelogram with base 14 cm and height 6 cm.
8. The area of the parallelogram ABCD below is 66 cm2
. Find h.
B C
h = ?
A 11 cm D
9. Find the area of the figure
7
5
3
2 3
10.Gen’s garden is 5 meters wide and 7 meters long. Find the area of the garden.
29
Answer Key
How much do you know
1. 81 cm2
2. 24 cm2
3. 60 cm2
4. 32 cm 2
5. 153.86 mm2
6. 8 cm
7. 96 cm2
8. 8 cm
9. 44 cm2
10. 24 m
Try this out
Lesson 1
Set A.
1. 10
2. 18
3. 14
4. 16
5. 25 cm2
6. 128 cm2
7. 304 cm2
8. 30.25 m2
9. 140
10. 49 mm2
Set B.
1. 225 cm2
2. 84 m2
3. 72.25 m2
4. 40 cm2
5. 169 cm2
6. 180 cm2
7. 10 cm2
8. 13 cm2
9. 28 sq. units
10.96 sq. units
Set C
1. 16 m2
2. 20.25 cm2
3. 88 cm2
4. 72 cm2
5. 6 cm
6. 9 cm
7. 14 cm
8. 15 cm
9. 11 cm
10.12 cm
Lesson 2
Set A
1. 24 m2
2. 31.2 cm2
3. 52 mm2
4. 48 m2
5. 4 sq. units
6. 7.5 sq. units
7. 15 cm2
8. 90 mm2
9. 250 m2
10. 33 m2
30
Set B
1. 80 sq. units
2. 18 cm
3. 12 km
4. 11.5 m
5. 8 cm
6. 12 cm
7. 10 m
8. 8 cm
9. 17.1 cm
10.8.5 m
Set C
1. 180 sq. units
2. 22.75 sq. units
3. 288 sq. units
4. 480 sq. units
5. 182 sq. units
6. 224 sq. units
7. 238 m2
8. 96 m2
9. 204 cm2
10.77.4 cm2
Lesson 3
Set A
1. 72 sq. units
2. 104 sq. units
3. 190 sq. units
4. 250 sq. units
5. 700 sq. units
6. 54 sq. units
7. 28 sq. units
8. 84 sq. units
9. 99 sq. units
10.91 sq. Units
Set B
1. 38 sq. units
2. 92 sq. units
3. 144 sq. units
4. 10
5. 8
6. 47.5 sq. units
7. 50 cm2
8. 162 sq. units
9. 6
10.11
Set C.
1. 24 sq. units
2. 48 sq. units
3. 6
4. 8
5. 11
6. 7
7. 4
8. 8
9. 11
10.6
Lesson 4
Set A
1. 78.5 cm2
2. 7.065 mm2
3. 12.56 cm2
4. 113.04 dm2
5. 66.4424 m2
6. 15.1976cm2
7. 18.0864 dm2
8. 32.1536 cm2
9. 72.3456 m2
10. 36.2984 dm2
31
Set B
1. 64 π
2. 81 π
3. 25 π
4. 30.25 π
5. 49 π cm2
6. 144 π cm2
7. 49 π cm2
8. 169 π mm2
9. 11.56 π km2
10.6.76 π km2
Set C
1. 64 π dm2
2. 324 π dm2
3. 6.25 π cm2
4. 49 π cm2
5. 21.16 π mm2
6. 19. 36 π mm2
7. 100 π m2
8. 800 π m2
9. 64 π cm2
– 36 π cm2
= 28 π cm2
10.196 cm2
– 49 π cm2
What have you learned?
1. 225 dm2
2. 45 cm2
3. 112 dm2
4. 60 cm2
5. 36 π cm2
6. 12 cm
7. 84 cm2
8. 6 cm
9. 29 sq. units
10.35 m2
Module 7
Geometry of Shape and Size
What this module is about
This module is about surface area of solids. As you go over the exercises,
you will develop skills in solving surface area of different solid figures. Treat the
lesson with fun and take time to go back if you think you are at a loss.
What you are expected to learn
This module is designed for you to
1. define surface area of solids.
2. find the surface area of solids such as
• cube
• prism ( rectangular, triangular )
• pyramid ( square, rectangular, triangular )
• cylinder
• cone
• sphere
3. solve problems involving surface area of solids.
How much do you know
Find the surface area of each solid.
1. A cube with side (s) = 2.2 cm.
2. A cylinder with h = 15 cm, r = 3.2 cm.
3. A rectangular prism with l = 12 cm, w = 7 cm, h = 6 cm.
4. A square pyramid with s = 4.2 cm, h = 7 cm (slant height).
2
5. A cone with r = 5 cm , s = 12 cm (slant height).
6. A triangular prism with height 14 cm, base (a right triangle with sides 6, 8
and 10 cm and the right angle between shorter sides).
7. A ball with radius of 6 cm (Use π = 3.14).
8. A triangular pyramid with b = 4 cm, h = 8.2 cm (altitude of the base), s = 7
cm (slant height).
9. A rectangular pyramid with l = 5 cm, w = 3.3 cm, h = 9 cm (slant height).
10.A cylindrical tank is 2.6 meters high. If the radius of its base is 0.92
meters, what is its surface area?
11.find the surface area of a rectangular prism which is 45 cm long, 36 cm
wide and 24 cm high.
12.Find the surface area of a pyramid with a square base if the length of the
sides of the base is 1.4 m and the height of the triangular face is 1.9 m.
13.Cube with edge 4 2/3 cm
14.Cylinder with radius of base 6.7 cm and height 14 cm
15. Rectangular prism with base 9m by 10m by 12m
What you will do
Lesson 1
Finding the Surface Area of a Cube, Prism and Pyramid
The surface area of a three-dimensional figure is the total area of its
exterior surface. For three-dimensional figures having bases, the surface area is
the lateral surface area plus the area of the bases.
3
Examples :
1. Find the surface area of a cube with side of 5 cm.
Figure :
Cube
If you open this up,
This solid is composed of 6 squares or 6 faces. Since the area of a square
is the square of its side or s2
, then the surface area of a cube is 6 s2
.
SA of a Cube = 6s2
Substituting s by 5 cm:
SA = 6(52
)
= 6(25)
SA = 150 cm2
edge
lateral face
face
face
face
facefaceface
4
2. Find the surface area of a rectangular prism whose length is 7 cm,
width is 5 cm and thickness is 4 cm.
Figure :
To find the surface area of a
Rectangular prism, add the
areas of its flat surfaces.
Area of top and bottom rectangles (bases) plus area of left and right
rectangles and area of back and front rectangles (lateral areas).
SA of rectangular prism = 2B + LA
Solution:
SA = 2(7cm x 5 cm) + 2(4 cm x 5 cm) + 2(7cm x 4 cm)
= 70 cm2
+ 40 cm2
+ 56 cm2
SA = 166 cm2
3. Find the surface area of a triangular prism.
Figure :
Triangular Prism
7 cm
5 cm
4 cm
base
base
Rectangular Prism
5 cm 5 cm
4.5 cm
2.8 cm
3.9 cm
5
3 cm
3 cm
5 cm
SA of a triangular prism = 2B + LA
Solution:
SA = 2 (
2
1
bh) + LA
SA = bh + LA
= (4.5cm x 3.9cm) + 2( 5cm x 2.8 cm) + (4.5 cm x 2.8cm)
= 17.55 cm2
+ 28 cm2
+ 12.6 cm2
SA = 58.15 cm2
4. Find the surface area of a square pyramid with a side of the base
as 3 cm and the height of a triangle as 5 cm.
Figure:
To find the surface area of a square pyramid,
add the area of the square base and the areas
of the four face triangles.
Solution:
SA of Square Pyramid = B + 4 (
2
1
bh)
SA = 32
+ 4(
2
1
x 3 x 5)
= 9 + 30
SA = 39 cm2
6
5 cm
8 cm
6 cm
5. Find the surface area of the rectangular pyramid with the given dimensions.
Figure :
Rectangular Pyramid
SA of Rectangular Pyramid = B + 2 A1 + 2 A2
Solution:
SA = bh + 2 (
2
1
b1h1) + 2 (
2
1
b2h2)
= bh + (b1h1) + ( b2h2)
= (8 cm x 5 cm)+ (8 cm x 6 cm) + (5 cm x 6 cm)
= 40 cm2
+ 48 cm2
+ 30 cm2
SA = 118 cm2
6. Find the surface area of a triangular pyramid with the given dimensions.
Figure :
Triangular Pyramid
8 cm
(slant height)
20 cm
5 cm
20 cm
20 cm
7
1.6 cm
1.6 cm
1.6 cm
52 mm
180 mm
204 mm
6.6 cm
6.6 cm
9.4 cm
SA of Triangular Pyramid = Area of the base + Area of the 3 triangular faces
Solution:
SA = (
2
1
x 20 cm x 5 cm) + (10 cm x 8 cm) + (
2
1
x 20 cm x 8 cm)
= 50 cm2
+ 80 cm2
+ 80 cm2
SA = 210 cm2
Try this out
Find the surface area of each solid.
1.
2.
3.
8
6 cm
9 cm
7 cm
4.
5.
6.
4 cm3 cm
5 cm
10 cm
10 cm
5 cm
5 cm
3 cm
(altitude of the base)
7 cm
(slant height)
9
7. What is the total surface area of a cardboard box that is 1.2 m long, 0.6 m
wide, and 0.3 m high?
Figure:
8. Find the surface area of a cube whose side measures 10 cm.
Figure:
9. Find the surface area of a triangular chocolate box .
Figure:
0.3 cm
1.2 cm
0.6 cm
10 cm
10 cm
10 cm
8 cm
6 cm6 cm
6 2 cm
10
10. Find the surface area of a camping tent in a square pyramid shape with a
side of the base as 5 cm and the height of a triangle as 7 cm.
Figure :
11. A pyramid has a rectangular base whose length and width are 5.5 cm and 3.2
cm respectively. Find its surface area.
Figure:
12. Find the surface area of a tetra pack juice drink in triangular pyramid shape
with the given dimensions.
Figure:
5.5 cm
3.2 cm
10 cm
(slant height)
5 cm
5 cm
7 cm
(slant height)
10 cm
(slant height)
6 cm
4.5 cm
(altitude of the base)
6 cm 6 cm
11
Lesson 2
Finding the Surface Area of Cylinder, Cone and Sphere
Surface Area of a Cylinder
Figure:
To find the surface are of a cylinder, add the areas of the circular bases
and the area of the rectangular region which is the body of the cylinder.
SA = Area of 2 Circular Bases + Area of a rectangle
SA = 2πr2
+ 2πrh
Example:
Find the surface area of a cylinder which has a radius of 5 cm and a body
length of 20 cm. ( Use 3.14 for π)
Solution:
SA = 2πr2
+ 2πrh
= 2(3.14)(5) 2
+ 2(3.14)(5)(20)
= (6.28)(25) + (6.28)(100)
= 157 + 628
SA = 785 cm2
base
radius (r)
altitude (h) h
base base
base circumference of the
base = 2 rπ r
Area of the 2
bases = 2 rπ r2
12
h = s
b = rπ r
2 rπ r
Surface Area of a Cone
Figure:
SA = Area of the circular base + Area of the region which resembles
a parallelogram
SA = πr2
+ πrs
Example:
Find the surface area of a cone if the radius of its base is 3.5 cm and its
slant height is 7.25 cm. (Use π = 3.14)
Solution :
SA = πr2
+ πrs
= (3.14)(3.5)2
+ (3.14)(3.5)(7.25)
= (3.14)(12.25) + (10.99)(7.25)
= 38.465 + 79.6775
SA = 118.1425 cm2
Consider an ice-cream cone with its
curved surface opened out to
resemble a fan.
The fan-shaped surface can
be cut into smaller pieces and
rearranged to resemble a
parallelogram with base b = πr
and height h equal to side s.
radius
Slant height
s
r = 3.5 cm
s = 7.25 cm
13
Surface Area of a Sphere
Figure:
SA = area of 4 circles
SA = 4πr2
Example:
What is the surface area of a ball with radius equal to 7 cm? (Use π = 3.14)
Solution :
SA = 4πr2
= 4(3.14)(7)2
= (12.56)(49)
SA = 615.44 cm2
Try this out
Find the surface area of each solid.
1.
A sphere is a solid where
every point is equally distant
from its center. This distance
is the length of the radius of
radius
r = 7
1.8 m
height = 2.4 m
14
2.
3.
4.
2.6 m
s = 12.3 m
r =7.8 cm
8.2 cm
7.6 cm
15
5.
6.
7. A cylindrical water tank is 2.2 meters high. If the radius of its base is 0.8
meter, what is its surface area?
Figure:
r = 8 mm
s = 20 mm
r = 6 cm
r = 0.8 m
h = 2.2 m
16
8. The radius of a ball is 19 cm. What is its surface area?
Figure:
9. Find the surface area of a conic solid whose radius is 2.5cm and its height is
3.3 cm.
Figure:
10. Find the surface area of a spherical tank whose radius is 0.7meter.
Figure:
r = 19 cm
r = 2.5 cm
s = 3.3 cm
r = 0.7 m
17
11. A cone with a diameter of 10 cm and height of 8 cm. Find its surface area.
Figure :
12. A can whose height is 20 cm and 12 cm is the diameter. Find its surface
area.
Figure:
r = 12 cm
h = 20 cm
r = 10 cm
s = 8 cm
18
Let’s summarize
The surface area of a three-dimensional figure is the total area of its
exterior surface. For three-dimensional figures having bases, the surface area is
the lateral surface area plus the area of the bases.
• Surface Area of a Cube = 6s2
• Surface Area of Rectangular Prism = 2B + LA
• Surface Area of Rectangular Prism = 2B + LA
• Surface Area of Square Pyramid = B + 4 (
2
1
bh)
• Surface Area of Rectangular Pyramid = B + 2 A1 + 2 A2
• Surface Area of Triangular Pyramid = Area of the base + Area of
the 3 triangular faces
• Surface Area of a Cylinder = Area of 2 Circular Bases + Area of a
rectangle
SA = 2πr2
+ 2πrh
• Surface Area of a Cone = Area of the circular base + Area of the
region which resembles a parallelogram
SA = πr2
+ πrs
• Surface Area of a Sphere = area of 4 circles
SA = 4πr2
19
What have you learned
Find the surface area of each solid.
1. A cube with side (s) = 4.3 cm
2. A cylinder with h = 13 cm, r = 4.1 cm
3. A rectangular prism with l = 15 cm, w = 8 cm, h = 7 cm
4. A square pyramid with s = 5.4 cm, h = 9 cm (slant height).
5. A cone with r = 4cm , s = 9 cm (slant height).
6. A triangular prism with height 16 cm, base (a right triangle with sides 7 cm,
8 cm and 10 cm and the right angle between shorter sides).
7. A ball with radius of 12 cm. (Use π = 3.14)
8. A triangular pyramid with b = 5 cm, h = 7.2 cm (altitude of the base), s = 8
cm (slant height)
9. A rectangular pyramid with l = 6 cm, w = 6.3 cm, h = 8 cm (slant height)
10. A cylindrical tank is 3.6 meters high. If the radius of its base is 1.9 meters,
what is its surface area?
11. Find the surface area of a rectangular prism which is 40 cm long, 35 cm
wide and 23 cm high.
12. Find the surface area of a pyramid with a square base if the length of the
sides of the base is 1.6 m and the height of the triangular face is 2.8 m.
13. Cube with edge 5
2
1
cm.
14. Cylinder with radius of base 8.7 cm and height 13 cm.
15. Rectangular prism with base 10m by 12m by 14m.
20
Answer Key
How much do you know
1. 29.04 cm2
2. 365.74742 cm2
3. 396 cm2
4. 135.24 cm2
5. 266.9 cm2
6. 384 cm2
7. 452.16 cm2
8. 100.4 cm2
9. 91.2 cm2
10. 20.337152 cm2
11. 7, 128 cm2
12. 12.6 m2
13. 130
3
2
cm2
14. 870.9732 cm2
15. 636 m2
Try this out
Lesson 1
1. 15.36 cm2
2. 113, 376 mm2
3. 167.64 cm2
21
4. 159 cm2
5. 132 cm2
6. 85 cm2
7. 2.52 m2
8. 600 cm2
9. 181.88 cm2
10. 95 cm2
11. 104.6 cm2
12. 78.3 cm2
Lesson 2
1. 18.6516 m2
2. 21.2264 m2
3. 492.2892 cm2
4. 301.3576 cm2
5. 703.36 mm2
6. 452.16 cm2
7. 15.072 m2
8. 4,534.16 cm2
9. 45.53 cm2
10. 6.1544 m2
11. 204.1 cm2
12. 979.68 cm2
22
What have you learned
1. 110.94 cm2
2. 131.3148 cm2
3. 562 cm2
4. 101.16 cm2
5. 163.24 cm2
6. 228 cm2
7. 1,808.64 cm2
8. 138 cm2
9. 136.2 cm2
10. 65.626 m2
11. 6,250 cm2
12. 20.48 m2
13. 181.5 cm2
14. 1,185.6012 cm2
15. 856 m2
Module 8
Geometry of Shape and Size
What this module is about
This module is about volume of solids. The volume of a solid is the
number of cubic units contained in the solid. If measures are given in centimeter,
the volume is stated in cubic cm, written as cm3
.
What you are expected to learn
This module is designed for you to:
1. define volume of solids.
2. find the volume of solids such as:
• cube
• prism (rectangular, triangular)
• pyramid (square, rectangular, triangular)
• cylinder
• cone
• sphere
3. solve problems involving volume of solids.
How much do you know
Find the volume of each solid:
1. a cube with side (s) = 2.4 m
2. a cylinder with h = 20 cm, r = 22 cm.
3. a rectangular prism with l = 25 cm, w = 17 cm, h = 30 cm
2
4. a square pyramid with s = 5 m, h = 6 m.
5. a cone with r = 2 cm, h = 6 cm.
6. a triangular prism with height 10 cm, base (a right triangle with sides 3, 4
and 5 cm and the right angle between shorter sides).
7. a ball with radius of 17 cm (use = 3.14)
8. a triangular pyramid with b = 4 cm, h = 8.2 cm (altitude of the base), h = 7
cm (height of the pyramid).
9. a rectangular pyramid with l = 6 cm, w = 4.3 cm, h = 8 cm (height of the
pyramid)
10. a cylindrical tank is 5.3 meters high. If the radius of its base is 2.8
meters, what is its volume?
11.Find the volume of a rectangular prism which is 46 cm long, 37 cm wide
and 25 cm high.
12.Find the volume of a pyramid with a square base if the length of the sides
of the base is 2.4 m and the height of the triangular face is 3.5 m.
13.cube with edge of 6
3
2
cm.
14.cylinder with radius of base 8.7 cm and height 12 cm.
15.rectangular prism with base 8 m by 10 m by 15 m.
What you will do
Lesson 1
Finding the Volume of a Cube, Prism and Pyramid
One problem with rooms that have high ceilings is that they are hard to
heat and cool. The amount of air in a room determines the heating or cooling
power needed. To find the amount of air in a room, you need to find the volume
of the room.
In finding volume of solids, you have to consider the area of a face and
height of the solid. If the base is triangular, you have to make use of the area of
a triangle, if rectangular, make use of the area of a rectangle and so on.
3
The next examples will help you to understand more about volume or the
amount of space in three – dimensional figures.
Volume of a cube
Example:
Find the volume of a cube with edge ( e ) of 3 cm.
Figure:
Solution:
V = e3
Substituting e by 3 cm:
V = 33
V = 27 cm3
The volume V of a cube with edge e is the
cube of e. That is,
V = e3
.
3 cm
3 cm
3 cm
Cube
4
Volume of Prism
Example:
Find the volume of a rectangular prism whose length is 7.5 cm, width is
4.3 cm and thickness is 5.1 cm.
Figure:
Solution:
V = lwh
V = (7.5 cm)(4.3 cm)(5.1 cm)
V = 164.475 cm3
The volume of a prism can also be expressed in terms of area of the base, B.
The volume V of a rectangular prism is the product
of its altitude h, the length l and the width w of the base.
That is,
V = lwh.
The volume V of a prism is the product of its
altitude h and area B of the base. That is,
V = Bh.
7.5 cm
5.1 cm
4.3 cm
5
Example:
Find the volume of a triangular prism whose dimensions is given in the figure
below.
Solution:
Let B = area of the triangular base
B =
2
1
bh
=
2
1
(4.5 cm)(3.9 cm)
B = 8.775 cm2
Finding the volume of the prism:
V = Bh
= 8.775 cm2
(2.8 cm)
= 24.57 cm3
3.9 cm
4.5 cm
2.8 cm
6
Volume of Pyramids
Consider a pyramid and a prism having equal altitudes and bases with
equal areas. If the pyramid is filled with water or sand and its contents poured
into a prism, only a third of the prism will be filled. Thus the volume of a pyramid
is
3
1
the volume of the prism.
Example:
1. Find the volume of the rectangular pyramid with the given dimensions.
Figure:
Solution:
Let B = the area of the rectangular base
B = lw
= (9 cm)(4 cm)
= 36 cm2
Finding the volume V:
V =
3
1
Bh
=
3
1
(36 cm2
) (6 cm)
= 72 cm3
The volume V of a pyramid is one third the product
of its altitude h and the area B of its base. That is,
V =
3
1
Bh.
w = 4 cm
l = 9 cm
h = 6 cm
base
7
2. Find the volume of a square pyramid with a side of the base as 4 cm and
the height of a pyramid as 6 cm.
Figure:
Solution:
Let B = area of the square base
= s2
= (4 cm)2
B = 16 cm2
Finding the volume of the pyramid:
V =
3
1
Bh
=
3
1
(16 cm2
)(6 cm)
= 32 cm3
s = 4 cm
h = 6 cm
8
3. Find the volume of a triangular pyramid with the given dimensions.
Figure:
Solution:
Let B = area of the triangular base
B =
2
1
bh
=
2
1
(20 cm)(5 cm)
B = 50 cm2
Finding the volume of the pyramid:
V = Bh
= (50 cm2
)(8cm)
V = 400 cm3
h = 8 cm
(height of the
pyramid)
b = 20 cm
h = 5 cm
(height of
the base)
9
Try this out
Find the volume of each solid:
1.
2.
3.
6 cm
6 cm
6 cm
12 mm
6 mm
9 mm
1.5 cm
15 cm
h = 3 cm
10
Find the volume of each pyramid:
4.
5.
6.
h = 15 cm
w = 10 cm
l = 25 cm
h = 7 m
3.5 m
3.5 m
h = 10.4 cm
(pyramid)
h = 4.3 cm
(base)
b = 16.2 cm
11
7. What is the volume of a cardboard box that is 9 m long, 6 m wide, and 3 m
high?
8. Find the volume of a cube with side of 8 cm.
9. Find the volume of a triangular chocolate box.
9 m
3 m
6 m
8 cm
8 cm
8 cm
4 cm
3 cm
h = 7 cm
12
10. Find the volume of a camping tent in a square pyramid shape with a side
of the base as 5 cm and the height of a triangle as 7 cm.
11. A pyramid has a rectangular base whose length and width are 15.5 cm
and 3.3 cm respectively. The height of the pyramid is 4 cm. Find its
volume.
12. Find the volume of a tetra pack juice drink in triangular pyramid shape
with the given dimensions.
h = 8.5 cm
6.3 cm
6.3 cm
h = 4 cm
w = 3.3 cm
l = 15.5 cm
h = 10 cm
(pyramid)
h = 5 cm
(base)
13
Lesson 2
Finding the Volume of a Cylinder, Cone and Sphere
A cylinder has 2 congruent circular bases. The volume of a cylinder is just
like finding the volume of a prism.
Figure:
Volume of a Cylinder
Example:
Find the volume of a cylinder which has a radius of 8 cm and a height of
15 cm. (Use 3.14 for π )
The volume V of a circular cylinder is the product
of the altitude h and the area B of the base. That is,
V = Bh or V = π r2
h.
r
h
r = 8 cm
h = 15 cm
14
Solution:
Let B = area of the circular base
= π r2
= (3.14)(8 cm)
B = 200.96 cm2
Finding the volume of the cylinder:
V = Bh
= (200.96 cm2
)(15 cm)
= 3014.4 cm3
Volume of a Cone
If a cone is filled with water or sand, and then its content is poured into the
cylinder (the cone and cylinder have equal areas) only a third of the cylinder will
be filled. This shows that the volume of a cone is
3
1
that of the cylinder.
The volume V of a circular cone is one third the
product of the altitude h and the area B of the base. That is,
V =
3
1
Bh or V =
3
1
π r2
h
r
h
15
Example:
Find the volume of a cone if the radius of its base is 4.5 cm and its height
is 8.75 cm (Use π = 3.14)
Solution:
V =
3
1
π r2
h
=
3
1
(3.14)(4.5 cm)2
(8.75 cm)
V = 185.46 cm3
Volume of a Sphere
Fill a cylinder with water. Push the sphere into the cylinder and determine
the amount of water displaced. About
3
2
of the water will be displaced, so the
volume of the sphere is
3
2
that of the cylinder.
Figure:
In the figure, the height of the cylinder is equal to the diameter of the
sphere, the volume of the cylinder will now be equal to 2π r3
. Since the volume
of the sphere is
3
2
that of the cylinder and the height of the cylinder = 2r, then
V =
3
2
(2π r3
) =
3
4
π r3
.
The volume V of a sphere =
3
4
π r3
r = 4.5 cm
h = 8.75 cm
radius
radius
16
Example:
What is the volume of a ball with radius equal to7.8 cm?
Solution:
V =
3
4
π r3
=
3
4
(3.14)(7.8 cm)3
= 1,986.79 cm3
Try this out
Find the volume of each solid.
1.
2.
r = 7.8 cm
h = 8.2 cm
r = 4.3 cm
r = 5.4 cm
17
3.
4.
5.
r = 4.4 cm
h = 7.6 cm
r = 1.7 cm
r = 2.7 cm
h = 6.3 cm
18
6.
7. A cylindrical water tank is 6.2 meters high. If the radius of its base is 1.8 m,
what is its volume.
8. The radius of a ball is 5.2 cm. What is its volume?
r = 1.3 cm
h = 3 cm
h = 8.5 cm
h = 2.6 cm
r = 8.3 cm
19
9. Find the volume of a conic solid whose radius is 6.3 cm and its height is 13.5
cm.
10. Find the volume of a spherical tank whose radius is 1.7 meters.
r = 6.3 cm
h = 13.5 cm
r = 1.7 m
20
11. A cone with a diameter of 12 cm and height of 6 cm. Find its volume.
12. A can of milk has a diameter of 12 cm and a height of 17.3 cm. Find its
volume.
diameter = 12 cm
h = 6 cm
h = 17.3 cm
diameter = 12 cm
21
Let’s summarize
The volume of a three dimensional figure is the amount of space it
encloses.
The volume V of a cube with edge e is the cube of e. That is,
V = e3
.
The volume V of a rectangular prism is the product of its altitude h, the
length l and the width w of the base. That is,
V = lwh.
The volume of a prism can be expressed in terms of area of the base, B.
The volume V of a prism is the product of its altitude h and area B of the
base. That is,
V = Bh.
The volume V of a pyramid is one third the product of its altitude h and the
area B of its base. That is,
V =
3
1
Bh.
The volume V of a circular cylinder is the product of the altitude h and the
area B of the base. That is,
V = Bh or V = π r2
h.
The volume V of a circular cone is one third the product of the altitude h
and the area B of the base. That is,
V =
3
1
Bh or V =
3
1
π r2
h
The volume V of a sphere =
3
4
π r3
22
What have you learned
Find the volume of each solid:
1. A cube with edge ( e) = 6.3 cm.
2. A cylinder with h = 15 cm, r = 7.1 cm.
3. A rectangular prism with l = 18 cm, w = 7 cm, h = 5 cm.
4. A square pyramid with s = 8.5 cm, h = 6 cm.
5. A cone with r = 3.8 cm, h = 7.2 cm.
6. A triangular prism with height 16 cm, base ( a right triangle with sides
3, 4 and 5 cm and the right angle between shorter sides).
7. A ball with radius of 13 cm.
8. A triangular pyramid with b = 5 cm, h = 7.2 cm (altitude of the base),
h = 8 cm (height of the pyramid).
9. A rectangular pyramid with l = 9 cm, w = 6.3 cm, h = 8 cm (height of
the pyramid).
10. A cylindrical tank is 5.4 m high. If the radius of its base is 4.9 m, what
is its volume?
11. Find the volume of a rectangular prism which is 42 cm long, 38 cm
wide and 22 cm high.
12. Find the volume of a pyramid with a square base if the length of the
sides of the base is 3.6 m and a height of 1.8 m.
13. Cube with edge 10.5 cm.
14. Cylinder with radius of base 9.7 cm and height of 12 cm.
15. Rectangular prism with base 12 m by 14.6 m and height of 9.1 m.
23
Answer key
How much do you know
1. 13.82 m3
2. 30,395.20 cm3
3. 12,750 cm3
4. 50 m3
5. 25.12 cm3
6. 60 cm3
7. 20,569 cm3
8. 38.27 cm3
9. 68.8 cm3
10. 130.47 m3
11.42,550 cm3
12.6.72 m3
13.295.408 cm3
14.2,851.99 cm3
15.1,200 m3
Try this out
Lesson 1
1. 216 cm3
2. 648 mm3
3. 33.75 cm3
4. 1,250 cm3
5. 28.58 m3
6. 120.74 cm3
7. 162 m3
8. 512 cm3
9. 42 cm3
10.112.46 cm3
11.68.2 cm3
24
12.125 cm3
Lesson 2
1. 158.69 cm3
2. 659.25 cm3
3. 462.01 cm3
4. 20.57 cm3
5. 48.07 cm3
6. 15.92 m3
7. 180.42 cm3
8. 2,393.88 cm3
9. 560.82 cm3
10.20.57 m3
11.226.08 cm3
12.1,955.59 cm3
What have you learned
1. 250.047 cm3
2. 2.374.311 cm3
3. 630 cm3
4. 144.5 cm3
5. 108.82 cm3
6. 96 cm3
7. 2,547.168 cm3
8. 48 cm3
9. 151.2 cm3
10. 407.11356 m3
11. 35,112 cm3
12. 7.776 m3
13. 1,157.625 cm3
14. 3,545.3112 cm3
15. 1,594.32 m3

Grade 9 (Alternate) Mathematics III - Learning Modules for EASE Program of DepEd

  • 1.
    Compilation by Ben: r_borres@yahoo.com              COMPILATION   OF LEARNING MODULES    GRADE 9  (Alternative)    MATHEMATICS III    Effective and Alternative   Secondary Education  (EASE)  Third Year        
  • 2.
    Compilation by Ben: r_borres@yahoo.com        CONTENTS    01.   Module 1 ‐ Circles  02.   Module 2 ‐ Circles  03.   Module 1 Properties of Quadrilaterals  03.   Module 2 ‐ Triangle Trigonometry  04.   Module 2 Properties of Quadrilaterals  05.   Module 1 ‐ Geometric Relations  06.   Module 2 ‐ Geometric Relations  07.   Module 3 ‐ Geometric Relations  08.   Module 1 Similarity  09.   Module 2 ‐ Similarity  10.   Module 3 ‐ Similarity  11.   Module 1 ‐ Plane Coordinate Geometry  12.   Module  2 ‐ Plane Coordinate Geometry  13.   Module 3 Plane Coordinate Geometry  14.   Module 1‐ Triangle Congruence  16.   Module 3 ‐ Triangle Congruence  17.   Module 1 Geometry of Shape and Size  18.   Module 2 ‐ Geometry of Shape and Size  19.   Module 3 ‐ Geometry of Shape and Size  20.   Module 4‐ Geometry of Shape and Size  21.   Module 5 Geometry of Shape and Size  22.   Module 6 Geometry of Shape and Size  23.   Module 7 ‐ Geometry of Shape and Size  24.   Module 8 ‐ Geometry of Shape and Size 
  • 3.
    Module 1 Circles What thismodule is about This module will discuss in detail the characteristics of a circle as well as the segments and lines associated with it. Here, you will gain deeper understanding of the angles formed in circles, how to get their measures and how they are related to one another. Furthermore, this module will also give meaning to the circle being composed of arcs and how each arc is related to the angles formed in circles. What you are expected to learn This module is written for you to 1. define a circle. 2. define and show examples of the lines and segments associated with circles. 3. describe the relationship of lines and segments that are peculiar to circles. 4. define, identify and give examples of the kinds of arcs that compose a circle. 5. identify central angle and inscribed angle. 6. discover the relationship between the measures of central angle and inscribed angle and their intercepted arcs. How much do you know Answer the following as indicated. S 1. Given a circle with center O. Name the following : a. the circle T b. a diameter M c. two radii OO d. two chords which are not diameters N e. a secant f. a tangent R 2. If a radius is perpendicular to a chord then it ________ the chord. ·
  • 4.
    2 3. In thegiven circle A, PT is a diameter, therefore MT is a ________ and 4. PTM is a _________. 5. Radius AB ⊥ CE. If CE = 8 cm, then CX = ________. 6. Using the same figure, if AX = 3 cm, What is the length of radius AC? 7. In circle O, 93=∠BOCm . What is mBC? 8. What is BACm∠ ? 9. In the figure, PR ║ ST . Using the given Find mPT and RPSm∠ . 10. A quadrilateral PQRS is inscribed in a circle. If 103=∠Pm , what is Rm∠ ? What you will do Lesson 1 Identifying a circle, the lines, segments and angles associated with it. A circle is defined as the set of all points that are at the same distance from a given point in the plane. The fixed given point is called the center. The circle is named after its center. Hence in the figure, given is a circle O. A The set of points on the plane containing the circle is divided into 3, (1) the circle, (2) the set of points outside the circle and (3) the set of points inside the circle. OC , OB and OA are segment whose endpoints are the center of the circle and a point on the circle. These three segments are called radii of the circle. Radius of a circle is a segment whose endpoints are the center and a point on the circle. In the figure, AD is a segment whose endpoints are points on the circle. AD is called chord of the circle. AB is a segment whose endpoints are points on the circle and it D B C O O B A C P M● ● A T A X E B C P R ST
  • 5.
    3 passes through thecenter. AB is called diameter of a circle. Diameter of a circle is a chord that passes through the center. Lines on the plane containing the circle may intersect the circle at one point or at two points or not at all. Fig. 1. line a does not Fig. 2. line b intersect Fig. 3 line c intersect circle intersect circle O. circle O at point X at two points R and S. In figure 2, line b is tangent to the circle, and in figure 3, line c is a secant. Hence, we can use the following definitions. Tangent is a line that intersect a circle at one points. Secant is a line that intersect a circle at two points. Some theorems in circle show relationship between chord and radius. One of them is this theorem: Theorem: If a radius is perpendicular to a chord, then it bisects the chord. Proof: Consider the given circle. If radius OA ⊥ BC at D, then OA bisects BC or BD = DC. One way of proving segments or angles congruent is by showing that they are corresponding parts of congruent triangles. Here, we must prove that BD and DC are corresponding sides of congruent triangles. If O and B are joined and O and C are also joined, we have ∆OBD and ∆OCD. Both of these triangles are right since BCOA ⊥ and thus ODB∠ and ODC∠ are both right angles. Since OB and OC are both radii of the same circle, hence they are congruent. And finally OBOD ≅ by reflexive property. Therefore, by the HyL Congruency for right triangles, OCDOBD ∆≅∆ . Since the two triangles are congruent, then the remaining corresponding parts such as BD and DC are also congruent. We have just proven the theorem here, only this time, instead of using the two column form we use the paragraph form. a O X O O b c S R B A C o D ··· ·
  • 6.
    4 Our conclusion thereforeis that a radius that is perpendicular to a chord bisects the chord. The most important considerations here were the perpendicularity and the word to bisect. Examples: 1. DEOB ⊥ at T, DT = 3x -7 , TE = x + 15 Solution: Since ⊥OB DE , then DT = TE Hence, 3x – 7 = x + 15 2x = 15 + 7 2x = 22 x = 11 Substituting the value of x, we get DT = 3(11) – 7 = 33 – 7 = 26 TE = 11 + 15 = 26 DE = DT + TE DE = 26 + 26 = 52 There are other theorems whose main idea is taken from the previously proven theorem. The next theorem serves as the converse of the first theorem and it states that: If a radius of a circle bisects a chord that is not a diameter, then it is perpendicular to the chord. If the previous theorem was proven using the HyL congruence for right triangle, the converse is proven using the reverse process, that is two angles must be proven part of congruent triangles and they are congruent and supplementary. You can prove the theorem as part of your exercise. Examples on how to use these two theorems are given below. 2. Given: AB bisects chord CD at E. CD = 6, AE = 4 Find the length of the radius of the circle. Solution: Based on the theorem, CDAB ⊥ , thus ADEACE ∆≅∆ and both are right triangles. By the Pythagorean theorem, we can solve for the length of the radius. In ∆ACE, AC 2 = AE 2 + CE 2 But CE = ½ CD so T A EC D B O D E B T
  • 7.
    5 CE = ½(6) CE = 3 AC 2 = AE 2 + CE 2 AC 2 = 42 + 32 AC 2 = 16 + 9 = 25 AC = 25 AC = 5 Lesson on circle is very rich with theorems and definitions, principles and postulates. Some of those theorems and definitions will be introduced as we plod along with this module. Definitions: • Congruent circles are circles that have congruent radii. • Concentric circles are coplanar circles having the same center Illustrations: a) b) Circle A is congruent to circle B if and These two circles are only if BYAX ≅ concentric circles Theorem: If chords of a circle or of congruent circles are equidistant from the center(s), then the chords are congruent Illustration of the theorem. Circle O ≅ circle P OX = PY Then, CDAB ≅ A X B Y O X A B O X N P C D Y M ·
  • 8.
    6 Try this out A.Using the given figure, name 1. the circle 2. 2 diameters 3. 2 chords which are not diameters 4. 2 secants 5. a tangent B. Given: CDAB ⊥ at E CD is 10 cm long. How far is CD from the center if the length of the radius is 1. 13 cm 5. 12 cm 2. 7 cm 6. 10 cm 3. 14 cm 7. 5 2 cm 4. 8 cm 8. 63 cm C. Given: CD is 20 cm long. How long is the radius of the circle if the distance of CD from the center is 1. 7 cm 3. 13 cm 2. 10 cm 4. 8 cm 5. 5 cm 7. 55 cm 6. 21 cm 8. 64 cm D. AC is 12 cm long. How long is chord CD if its distance from the center is 1. 10 cm 5. 9 cm 2. 6 cm 6. 23 cm 3. 8 cm 7. 112 cm 4. 5 cm 8. 54 cm E. Solve the following problems. 1. MPON ⊥ ME = 7x + 5 PE = 4x – 20 Solve for ME , PE and MP O M PE N A C D B E A B D E C F O
  • 9.
    7 2. In acircle are two chords whose lengths are 10 cm and 24 cm respectively. If the radius of the circle is 13 cm, what is the maximum distance of the two chords? What is their minimum distance? Lesson 2 Arcs and Central Angles A part of a circle between any two points is an arc. In the figure, the set of points from A to B is an arc. A circle is in itself an arc. Arc of a circle is measured in terms of degrees. The whole arc making up the circle measures 360°. Any arc of a circle can belong to any of these three groups. a. minor arc – an arc whose measure is between 0 and 180°. b. semicircle – an arc whose measure is exactly 180° c. major arc – an arc whose measure is between 180° and 360° In the given figure, AB is a diameter, hence AB represents a semicircle, AC is minor arc and ABC is a major arc. Aside from AC, another minor arc in the figure is BC. ACB also represents a semicircle. Angles in a circle are formed by radii, chords, secants and tangents. Determination of the measures of the angles formed by these lines depends upon the measure of the intercepted arcs of the given angles. Examples: In circle some angles formed by chords and radii are shown. Each of the angles intercepts an arc defined by the endpoints contained on the sides of the angle. ∠ AEB intercepts AB. ∠ BOC intercepts BC ∠ COD intercepts CD ∠ EOD intercepts ED ∠ AEB intercepts AB. ∠ AEB intercepts AB. ∠ AEB intercepts AB. O A B C D E A C B O● A O B• • ·
  • 10.
    8 B 83° D At this pointwe will discuss in detail the kinds of angles formed in a circle, their characteristics and how to get their measures from the measures of the intercepted arcs. We will start with the angle formed by two radii. Central angle is an angle formed by two radii and the vertex is the center of the circle. In the figure, ∠ AOB, ∠ BOD and ∠ DOC are all examples of central angles. Each of these angles has its own intercepted arc. ∠ AOB intercepts AB, ∠ BOD intercepts BD and ∠ DOC intercepts DC. The measure of a central angle is numerically equal to its intercepted arc. In the figure, ∠ BAC is a central angle and ∠ BAC intercepts BC. Since mBC = 83, then m∠ BAC = 83, mBDC = 277°. In the study of geometry, every new topic or concept is always associated with study of postulates, theorems and definitions. In the study of arcs and angles in a circle, we will discuss many theorems that will help us solve problems involving the said concepts. We will start with the simplest postulate in the chapter. Like any measure, measure of an arc is also a unique real number and as such, we can perform the four fundamental operations on those measure. So the first postulate is the Arc Addition Postulate: The measure of an arc formed by two adjacent non-overlapping arcs is the sum of the measures of the two arcs. In the given circle, m AC = m AB + m BC Examples: 1. DG is a diameter. Find the measure of the following arcs. DG, DE, DF, GE, DGF Solution: Since DG is a diameter, then DG is a semicircle. Therefore, m DG = 180 m DE = 180 – (60 + 70) = 180 – 130 = 50 O A B D C A C • ● • • A B C F · · · · ● 60° 70° D E G O ·
  • 11.
    9 60° 60° 60° A B C D m DF =m DE + m EF = 50 + 60 = 110 m GE = m GF + m FE = 70 + 60 = 130 m DGF = m DG + m GF = 180 + 70 = 250 Definitions: In the same circle or in congruent circles, arcs which have the same measure are congruent. Example: 1. In the figure, m DC = 60, m BC = 60 m AB = 60 . Therefore, DC≅BC ≅ AB 2. Since every semicircle measures 180°, then all semicircles are congruent. Theorem: If two minor arcs of a circle or of congruent circles are congruent, then the corresponding chords are congruent. Examples: 1. Given: AB ≅ BC Since AB subtends AB and BC subtends BC then AB ≅ BC 2. Circle O ≅ circle M If AB ≅ XY, then XYAB ≅ Theorem: If two chords of a circle or of congruent circles are congruent, then the corresponding minor arcs are congruent. This is the converse of the previous theorem. Basically if you prove these two theorems, the steps will be just the reverse of the other. Instead of proving them, showing examples will be more beneficial to you. ● ● O • A B M • X Y A B C·
  • 12.
    10 In circle A,if PQRS ≅ then RS ≅ PQ Theorem: If two central angles of a circle or of congruent circles are congruent, then the corresponding minor arcs are congruent. Example: In circle O, ∠ MNO≅ ∠ BOA Therefore, MP ≅ AB Theorem: If two minor arcs of a circle or of congruent circles are congruent, then the corresponding central angles are congruent. Example: In circle A, DEBC ≅ Therefore `DAEBAC ∠≅∠ Theorem: If two central angles of a circle or of congruent circles are congruent, then the corresponding chords are congruent. Given: In circle O, AOBXOY ∠≅∠ Prove: XY AB≅ Proof Statements Reasons 1. In circle O, AOBXOY ∠≅∠ 2. OBOX ≅ , OAOY ≅ 3. BOAXOY ∆≅∆ 4. XY AB≅ 1. Given 2. Radii of the same or congruent circles are congruent 3. SAS congruency Postulate 4. Corresponding parts of congruent triangles are congruent.. A B C D E X B Y A O Q A • R P S O A B P M
  • 13.
    11 Theorem: If two chordsof a circle or of congruent circles are congruent circles are congruent, then the corresponding central angles are congruent. Given: In circle A, STPR ≅ Prove: SATPAR ∠≅∠ Proof: Statements Reasons 1. In circle A, STPR ≅ 2. ASAP ≅ ATAR ≅ 3. SATPAR ∆≅∆ 4. SATPAR ∠≅∠ 1. Given 2. Radii of the same circle are congruent. 3. SSS Congruency Postulate 4. Corresponding parts of congruent triangles are congruent Examples: Given: AB and CD are diameters of circle E. 1. What is true about AED∠ and BEC∠ ? Why? 2. What kind of angles are they? 3. Give as many conclusions as you can based on the previously discussed theorems. Answers: 1. BECAED ∠≅∠ . They are vertical angles and vertical angles are congruent. 2. In the circle they are central angles. Central angles are angles whose vertex is the center of the circle. 3. a. AD ≅ BC. If two central angles of a circle or of congruent circles are congruent, then the corresponding arcs are congruent. b. BCAD ≅ Likewise 1. BEDAEC ∠≅∠ 2. AC ≅ DB 3. DBAC ≅ Try this out A. AB is a diameter of circle O. 82=∠AOEm . A D B C E A p R S T
  • 14.
    12 Find the measuresof: 1. AB 4. ABE 2. AE 5. BAE 3. BE B. GE and FD are diameters of circle A. If DA = 73º, find the measures of 1. ∠ DAE 5. GF 2. ∠ GAF 6. DG 3. ∠ EAF 7. FDE 4. ∠DAG C. Given circle A. If m BTY = 116, and m = 3n, find 1. m 5. m ∠BAT 2. n 6. m ∠TAY 3. BT 7. m ∠BAY 4. TY D. Given circle O. AB ≅ BC. If mAB = 56, what is AOBm∠ ? What is mABC ? Which chords are congruent? E. A. B and C are three points on the circle. IF AC ≅ AB ≅ BC, what is the measure of each arc? What is true about the chords ,, ABAC and BC ? If ABC is 16 more than three times AC, find mAC, mABC. F. P, Q and R are three points on a circle. If the ratio PQ:QR:PR = 3:4:5, find the measures of PR, QR and PS. O A E B A D E G F O A B C A B T Y n m · A C B
  • 15.
    13 G. Using thefigure and the given in it, find the measures of: 1. PQ 5. POQ∠ 2. QR 6. ∠QOR 3. SR 7. ∠SOR 4. PS 8. ∠POS H. BD and EC are diameters of circle A. If 35=∠Cm , find the measures of 1. ∠B 5. ∠EAD 2. ∠E 6. BC 3. ∠D 7. CD 4. ∠BAC Lesson 3 Arcs and Inscribed Angles Another angle in a circle that is very important in the study of circle is the inscribed angle. Definition: An inscribed angle is an angle whose vertex lies on the circle and the sides contain chords of the circle. Fig. 1 Fig. 2 Fig 3 Each of the angle shown above is an example of an inscribed angle. Three cases are represented here relative to the position of the sides in relation to the center of the circle. A B E C D 35º A B C ● P S T● D E F ● O x R S 2x + 13 2x 4x + 5 P Q
  • 16.
    14 Case 1. thecenter of the circle is on one side of the inscribed angle. Case 2, the center of the circle is in the interior of the inscribed angle. Case 3, the center of the circle is on the exterior of the inscribed angle. In the study of the angles in a circle and in determining their measures, it is important to determine the intercepted arc(s) of the given angle. To understand better, let us see some examples. In the figure, the arc in the interior of the angle is the intercepted arc of the angle. The intercepted arc of BAC∠ is the minor arc AC. In the given examples of inscribed angles above the following holds: a) In figure 1, ∠ DEF is an inscribed angle ∠ DEF intercepts arc DF b) In figure 2, ∠ PST is an inscribed angle, ∠ PST intercepts arc PT c) In figure 3, ∠ BAC is an inscribed angle ∠ BAC intercepts arc BC Every angle whether in a circle on in any plane is associated with a unique number defined as its measure. If the measure of a central angle is equal to the measure of its intercepted arc, the next theorem will tell us how to find the measure of the inscribed angle. Theorem: Inscribed angle Theorem The measure of an inscribed angle is equal to one half the measure of its intercepted arc. It means that in the given figure, mDFDEFm 2 1 =∠ Intercepted arc B A C D E F O ● ●
  • 17.
    15 Since there arethree cases by which an inscribed angle can be drawn in a circle, then we have to prove each of those cases. Case 1 (One side of the angle is the diameter of the circle) Given: Circle O with inscribed angle DEF∠ Use the notation in the figure for clarity Prove: ( )mDFDEFm 2 1 =∠ Proof: Statements Reasons 1. Circle O with inscribed angle DEF∠ 2. Draw OF to form ∆FOE 3. ∠ 1 is an exterior angle of ∆FOE 4. m∠ 1 = x + y 5. OEOF ≅ 6. ∆FOE is an isosceles triangle 7. x = y 8. m∠ 1 = x + x = 2x 9. 2x = m∠ 1, x = ½ m∠ 1 10. But ∠ 1 is a central angle 11. m∠ 1 = m DF 12. x = ( )mDFDEFm 2 1 =∠ 1. Given 2. Line determination postulate 3. Definition of exterior angle 4. Exterior angle theorem 5. Radii of the same circle are congruent 6. Definition of isosceles triangle 7. Base angles of isosceles triangle are congruent 8. Substitution (Steps 4 and 7) 9. Multiplication property of equality 10. Definition of central angle 11. Measure of a central angle equals its intercepted arc. 12. Substitution (Steps 9 and 11) So, we have proven case 1. Let us now prove case 2 of the inscribed angle theorem. Case 2. (The center of the circles lies in the interior of the inscribed angle) Given : Circle O with inscribed PQR∠ Prove: m PQR∠ = 2 1 m PR O ● O Q P S R a b D E F ● 1 x y O
  • 18.
    16 Proof: Statements Reasons 1. CircleO with inscribed PQR∠ . Use the given notation in the figure. 2. Draw diameter QS 3. m PQR∠ = a + b 4. a = mPS2 1 b = mSR2 1 5. a + b = mPS2 1 + mSR2 1 = )(2 1 mSRmPS + 6. mPR = mPS + mPR 7. m `PQR∠ = 2 1 (mPS + mPR) 8. m `PQR∠ = 2 1 mPR 1. Given 2. Line determination Postulate 3. Angle Addition Postulate 4. Inscribed angle theorem (Case 1) 5. Addition Property of Equality 6. Arc Addition Postulate 7. Transitive Property of Equality 8. Transitive Property of Equality Case 3. (The center is in the exterior of the inscribed angle) Given: BAC∠ is an inscribed angle in circle O Use the additional notation in the figure Prove: mBCBACm 2 1 =∠ Proof: Statements Reasons 1. Draw diameter AD 2. BACmDABmDACm ∠+∠=∠ 3. DABmDACmBACm ∠−∠=∠ 4. mDCDACm 2 1 =∠ mDBDABm 2 1 =∠ 5. mDBmDCBACm 2 1 2 1 −=∠ = 2 1 (mDC-mDB) 6. mDC = mDB + mBC 7. mBC = mDC – mDB 8. mBCBACm 2 1 =∠ 1. Line determination Postulate 2. Angle Addition Postulate 3. Subtraction Property of Equality 4. Inscribed angle Theorem (Case 1) 5. Substitution 6. Arc Addition Postulate 7. Subtraction Property of Equality 8. Substitution From the proofs that were given, we can therefore conclude that wherever in the circle the inscribed angle is located, it is always true that its measure is one-half its intercepted arc. A C B D● O a x
  • 19.
    17 Examples. Use thefigure at the right. 1. Given: circle O. 80=∠BODm Find: mBD, BADm∠ Solution: Since 80=∠BODm , then a. mBD = 80 b. BADm∠ = BD2 1 = )80(2 1 = 40 2. Given: circle O. 37=∠BADm Find: mBD , BODm∠ Solution: mBDBADm 2 1 37 ==∠ mBD = 2(37) = 74 mBDBODm =∠ 74=∠BODm Like in the study of central angles and its measure, discussing inscribed angles and its measure also involves many theorems. Each previous theorem studied is always a tool in proving the next theorem. The following theorem is one of the most useful theorem in solving problems which involve inscribed angles. Theorem: Angle in a semicircle theorem. An angle inscribed in a semicircle is a right angle. Given: Circle O. BAC is a semicircle. Prove: BAC∠ is a right angle. ( 90=∠BACm O A B D O ●B A C
  • 20.
    18 Proof: Statements Reasons 1. DrawBC passing through center O. 2. ∠ ABC, ∠ ACB, and ∠ BAC are all inscribed angles. 3. ACABCm 2 1 =∠ , ABACBm 2 1 =∠ 4. mBAC = mAC + mAB 5. BAC is a semicircle 6. mBAC = 180 7. mAC + mAB = 180 8. ABACACBmABCm 2 1 2 1 +=∠+∠ = )(2 1 ABAC + 9. ACBmABCm ∠+∠ = 2 1 (180) = 90 10. ACBmABCm ∠+∠ + BACm∠ = 180 ACBmABCm ∠+∠ = 90 11. BACm∠ = 90 12. BAC∠ is right angle 1. Definition of diameter 2. Definition of inscribed angles 3. Inscribed Angle Theorem 4. Arc Addition Postulate 5. Given 6. The measure of a semicircle is 180 7. Transitive Property of Equality 8. Addition Property of Equality (Step 3) 9. Substitution (Steps 7 and 8) 10. The sum of the angles of a triangle is 180. 11. Subtraction Property of Equality (Step 10 – step 9) 12. Definition of a right angle From this point onward, you can use this very important theorem in proving or in exercises. There are other theorems on inscribed angle that are also important as the previous theorem. Of those theorems, we will prove two and the rest, you can answer as exercises. Theorem: Inscribed angles subtended by the same arc are congruent. Given: Circle O. MN subtends both ∠ T and ∠ P ∠ T and ∠ P are inscribed angles Prove: ∠ T ≅ ∠ P Proof: Statements Reasons 1. In circle O, MN subtends both ∠ T and ∠ P. ∠ T and ∠ P are inscribed angles. 2. mMNTm 2 1 =∠ mMNPm 2 1 =∠ 3. PmTm ∠=∠ 4. PT ∠≅∠ 1. Given 2. Inscribed Angle Theorem 3. Transitive Property of Equality 4. Definition of congruent angles ● O M T P N
  • 21.
    19 The next theoremis about polygon inscribed in a circle. Definition: A polygon inscribed in a circle is polygon whose vertices lie on the circle. Examples: The figures below show examples of inscribed polygon. Inscribed triangle Inscribed Inscribed Inscribed Quadrilateral Pentagon Hexagon Theorem: Opposite angles of a inscribed quadrilateral are supplementary. Given: Circle A. PRST is an inscribed quadrilateral. Prove: ∠ P and ∠ S are supplementary ∠ R and ∠ T are supplementary Proof: Statements Reasons 1. Circle A. PRST is an inscribed quadrilateral. 2. ∠m P = ½ mRST ∠m S = ½ mRPT ∠m R = ½ mPTS ∠m T = ½ mPRS 3. ∠m P + ∠m S = ½ mRST + ½ mRPT 4. ∠m P + ∠m S = ½( mRST + mRPT) 5. mRST + mRPT = 360 6. ∠m P + ∠m S = ½(360) 7. ∠m P + ∠m S = 180 8. ∠ P and ∠ S are supplementary 9. ∠m R + ∠m S = ½ mPTS + ½ mPRS 10. ∠m R + ∠m S = ½ (mPTS + mPRS) 11. mPTS + mPRS = 360 12. ∠m R + ∠m S = ½(360) 13. ∠m R + ∠m S = 180 14. ∠ R and ∠ T are supplementary 1. Given 2. Inscribed angle theorem 3. Addition property of equality 4. Factoring 5. The arc of the whole circle is 360º 6. Substitution (Steps 4 and 5) 7. Algebraic process (step 6) 8. Definition of supplementary angles 9. Addition property of equality 10. Factoring 11. The arc of the whole circle is 360º 12. Substitution (Steps 4 and 5) 13. Algebraic process (step 6) 14. Definition of supplementary angles A ● R S P T ● ● ● ●
  • 22.
    20 Examples: 1. Given: XYis a diameter. a. What kind of angle is ∠ Z? b. If ∠m X = 35, what is ∠m Y? c. If ∠m Y = 73, what is mXZ? What is mYZ? Answers: a. Since XY is a diameter, then XZY is a semicircle and ∠ Z is inscribed in a semicircle. Therefore, ∠ Z is a right angle. b. m∠ X + m∠ Y = 90. m∠ Y = 90 - m∠ X m∠ Y = 90 – 35 m∠ Y = 65 c. ∠ Y intercepts XZ. m XZ = 2(75) = 150 m YZ = 180 – 150 m YZ = 30 2. MNOP is inscribed in circle E. If m M∠ = 94, what is m∠ O? Answer: ∠ M and ∠ O are supplementary. m∠ M +m∠ O = 180 m∠ O = 180 - m∠ M = 180 – 94 = 86 3. Given: Circle O. AB is a diameter ∠m 1 = 36 and ∠m 3 = 61. Find: ∠m 2, ∠m 4, ∠m CBD, ∠m ADB, ∠m ACB, mCBD, ∠m CAD, mAD Solution: ∠m 1 = 36, mAC = 2(36) = 72 ∠m 3 = 61, mBD = 2(61) = 122 ∠m 2 = ½ AD mAD = 180 – BD = 180 – 122 = 58 ∠m 2 = ½ (58) = 29 M N P O ● E C BA D O ● 1 2 4 3 A ●X Z Y
  • 23.
    21 ∠m 4 =½ CB mCB = 180 – mAC = 180 – 72 = 108 ∠m 4 = ½ (108) = 54 ∠m CBD = ½(m AC + mAD) = ½(72 + 58) = ½(130) = 65 ∠m ADB = 90 (Angle in a semicircle) ∠m ACB = 90 (angle in a semicircle) mCBD = mCB + mBD = 108 + 122 = 230 ∠m CAD = ½(mCBD) = ½ (230) = 115 Try this out A. Given: AB is a diameter of circle O. 79=mAC . Find: 1. ∠m AOC 2. ∠m ABC 3. ∠m COB B. Given: Circle A., XY and BE are diameters ∠m XAE = 104. Find: 4. m XE 5. m BX 6. ∠m E 7. ∠m B 8. ∠m BXY 9. ∠m YXE A C O B B X A E Y
  • 24.
    22 C. Using thegiven figure, find: 10. x 11. ∠m MNQ 12. ∠m MOQ 13. ∠m POQ 14. ∠m M 15. ∠m MON D. BD is a diameter of circle A. If m BC = 78, and m DE = 132, find: 16. m CD 23 ∠m 6 17. m BE 24. ∠m 7 18. ∠m 1 25. ∠m 8 19. ∠m 2 26. ∠m 9 20. ∠m 3 27. ∠m 10 21. ∠m 4 22. ∠m 5 E. PRST is inscribed in circle A. If ∠m T = (5x – 4)º and ∠m R = (4x + 13)º find: 28. x 29. ∠m T 30. ∠m R F. ∆XYZ is inscribed in the circle. If XZXY ≅ , prove that ∠m X = b - a QM O 3x N P ● D C A B E 3 4 1 2 9 10 5 6 3 8 7 P T S RA ● Y X Z a b ●
  • 25.
    23 Let’s Summarize 1. Acircle is the set of all points that are at the same distance from a given point in the plane. 2. Some of the lines associated with circle are the following: a. Radius b. Chord c. Diameter d. Secant e. Tangent 3. If a radius is perpendicular to a chord, then it bisects the chord. 4. If a radius of a circle bisects a chord that is not a diameter, then it is perpendicular to the chord. 5. Congruent circles are circles that have congruent radii. Concentric circles are circles having the same center. 6. A circle is made up of arcs classified as minor arc, semicircle and major arc. 7. A central angle is an angle on the circle whose vertex is the center of the circle. 8. The measure of the central is numerically equal to its intercepted arc. 9. If two minor arcs of a circle or of congruent circle are congruent, then, a. the corresponding central angles are congruent, b. the corresponding subtended chords are congruent 10.An inscribed angle is an angle on the circle whose vertex is a point on the circle. 11.The measure of an inscribed angle is equal to one-half its intercepted arc. 12. An angle inscribed in a semicircle is a right angle. 13. Inscribed angle subtended by the same arc are congruent. 14.The opposite angles of an inscribed quadrilateral are supplementary.
  • 26.
    24 What have youlearned Answer as indicated. 1. If the diameter of a circle is 15 cm, what is the length of the radius? 2. A line that intersects a circle at one point is called _________. 3. If a radius bisects a chord which is not a diameter, then its is _________ to the chord. 4. CD is a diameter of circle A. CED is a ______________. 5. CE is a _____________. 6. CDE is a ______________ 7. PTON ⊥ at E. If OE = 6 cm, and the radius of the circle is 10 cm, what is the length of PT ?. 8. AC is a diameter of circle O. Using the given in the given figure, find a. ∠m A b. ∠m C c. m AB d. m BC 9. PT is a diameter of circle Q. Find a. ∠m PQR b. ∠m RQT 10. ∆ABC is inscribed in circle O. If the ratio of ∠m A: ∠m B: ∠m C = 2:3:5, Find a. m BC b. m AC c. m AB A D C E ● O TP N E A BC ●A RQ P T 2x 3x A C B ● O
  • 27.
    25 Answer Key How muchdo you know 1. a. circle O b. MN c. MO , ON d. MT , MR e. MR f. MS 2. bisects 3. minor arc 4. major arc 5. 4 cm 6. 5 cm 7. 93° 8. 46.5° 9. 98°, 49° 10. 77° Try this out Lesson 1 A. 1. circle O 2. AC , BD 3. ,AD BC 4. EC , BC 5. CF B. 1. 12 cm 5. 119 cm 2. 2 6 cm 6. 35 cm 3. 171 cm 7. 5 cm 4. 43 cm 8. 29 cm C. 1. 149 cm 5. 55 cm 2. 210 cm 6. 11 cm 3. 269 cm 7. 15 cm 4. 2 41 cm 8. 14 cm
  • 28.
    26 D. 1. 114cm 5. 76 cm 2. 312 cm 6. 22 cm 3. 58 cm 7. 20 cm 4. 192 cm 8. 16 Problem Solving: 1. ME = 52, PE = 52, MP = 104 2. maximum distance is 12 cm minimum distance is 2 cm Lesson 2 A. 1. 180º 3. 98º 2. 82º 4. 278º 5. 262º B. 1. 73º 5. 73º 2. 73º 6. 107º 3. 107º 7. 253º 4. 107º C. 1. 29º 5. 29º 2. 87º 6. 87º 3. 29º 7. 116º 4. 87º D. 1. 56 2. 56 3. AB and CD E. 1. Each arc measures 120 2. AC = 86º 3. ABC = 274º F. PQ = 90 QR = 120 PR = 150 G. 1. 38º 5. 38º 2. 157º 6. 157º 3. 76º 7. 76º 4. 89º 8. 89º
  • 29.
    27 H. 1. 35º5. 110º 2. 35º 6. 110º 3. 35º 7. 17º 4. 110º Lesson 3 A. 1. 79 3. 101 2. 39.5 B. 4. 104 7. 52 5. 76 8. 52 6. 38 9. 38 C. 10. 36 13. 108 11. 36 14. 36 12. 72 15. 108 D. 16. 102 22. 24 17. 48 23. 39 18. 51 24. 66 19. 66 25. 24 20. 39 26. 105 21. 51 27. 75 E. 28. 19 29. 91 30. 89 F. Proof: 1. ∠ X + ∠ Y + a = 180 1. Sum of the measures of the angles of a triangle is 180. 2. b = m∠ X + m∠ Y 2. Exterior angle theorem 3. m∠ Y = a 3. Angles opposite equal sides in the same triangle are congruent 4. b = m∠ X + a 4. Substitution 5. m∠ X = b – a 5. Subtraction Property of Equality What have you learned 1. 7.5 cm 8. a. 22.5 10. a. 72 2. tangent b. 67.5 b. 108 3. perpendicular c. 135 c. 180 4. semicircle d. 45 5. minor arc 9. a. 72 6. major arc b. 108 7. 16 cm
  • 30.
    Module 2 Circles What thismodule is about This module will discuss in detail the characteristics of tangent and secants; the relationship between tangent and radius of the circle; and how secant and tangent in a circle create other properties particularly on angles that they form. This module will also show how the measures of the angles formed by tangents and secants can be determined and other aspects on how to compute for the measures of the angles. What you are expected to learn This module is written for you to 1. Define and illustrate tangents and secants. 2. Show the relationship between a tangent and a radius of a circle. 3. Identify the angles formed by tangents and secants. 4. Determine the measures of angles formed by tangents and secants. How much do you know If CB and CD are tangents to circle A, then 1. CB ___ CD 2. ABCB ____ 3. CB and CA are tangents to circle O. If 160=∠BOAm , then =∠Cm _____. 4. If 22=∠BCOm , what is ACOm∠ ? A B C D C B O A
  • 31.
    2 5. In thefigure, if m PTA = 242, what is PALm∠ ? 6. Two secants GD and BL intersect at A. If m BG = 83 and m LD = 39, find GABm∠ . 7. In the figure, if m MX = 54, and mAX = 120, what is Nm∠ ? 8. AC and AT are tangents to the circle with C and T as the points of tangency. If ACT∆ is an equilateral triangle, find m CT. 9. AC and AT are secants. If 23=∠Am and m CT = 66, find m BM. A T BL P O G L D A B N X M A A C T M A B M C T
  • 32.
    3 10. DB isa diameter of circle O. If the ratio of DE:EB is 3:2, what is Xm∠ ? What you will do Lesson 1 Circles, Tangents, Secants and Angles They Form A line on the same plane with a circle may or a) may not intersect a circle. If ever a line intersects a circle, it could be at one point or at two points. The figures at the right showed these three instances. Figure a showed a line that does not intersect the circle. b) Figure b showed that line t intersects the circle at only one point. Figure c showed line l intersecting the circle at two points A and C. c) We will focus our study on figures b and c. In figure b, line t is called a tangent and point B is called the point of tangency. Therefore a tangent is a line that intersects a circle at only one point and the point of intersection is called the point of tangency. In figure c, line l intersects the circle at two points A and C. Hence, line l is called a secant. Thus a secant is a line that intersects a circle at two points. Some properties exist between tangent and circle and they will be discussed here in detail. The first theorem is given below. Theorem: Radius-Tangent Theorem. If a line is tangent to a circle, then it is perpendicular to the radius at the point of tangency. t B A C l X E D O B
  • 33.
    4 Given: line tis tangent to circle O at A. OA is a radius of the circle. Prove: t ⊥ OA Proof: Statements Reasons 1. Let B be another point on line t. 2. B is on the exterior of circle O 3. OA < OB 4. ⊥OA t 1. The Line Postulate 2. Definition of a tangent line ( A tangent can intersect a circle at only one point . 3. The radius is the shortest segment from the center to the circle and B is on the exterior of the circle. 4. The shortest distance from a point to a line is the perpendicular segment. Example: In the figure, if AC is tangent to circle B, then BDAC ⊥ at D. The converse of the theorem is also true. Converse: The line drawn perpendicular to the radius of a circle at its end on the circle is tangent to the circle. Illustration: If BDAC ⊥ at D, then AC is tangent to circle B. Examples: GY is tangent to circle A. 1. What kind of triangle is ∆ AGY? Give reason. 2. If 79=∠Am , what is Ym∠ ? Solutions: 1. ∆AGY is a right triangle because GY is tangent to circle A and tangent line is perpendicular to the radius of the circle. Perpendicular lines make right angles between them thus AGY∠ is a right angle making ∆AGY a right triangle. O A B t B DC A B DC A A Y G
  • 34.
    5 2. Since ∆AGYis a right triangle, then ∠m A + ∠m Y = 90 79 + ∠m Y = 90 ∠m Y = 90 – 79 = 11 A circle is composed of infinite number of points, thus it can also have an infinite number of tangents. Tangents of the same circle can intersect each other only outside the circle. At this point, we will discuss the relationship of tangents that intersect the same circle. As such, those tangents may or may not intersect each other. Our focus here are those tangents that intersect each other outside the circle. Consider the given figure: AM and AY are tangent segments from a common external point A. What relationship exists between AM and AY ? The next theorem will tell us about this relationship and other properties related to tangent segments from a common external point. Theorem: If two tangent segments are drawn to a circle from an external point then a. the two tangent segments are congruent and b. the angle between the segments and the line joining the external point and the center of the circle are congruent. Given: Circle A. BC and BD are two tangent segments from a common external point B. C and D are the points of tangency. Prove: a. BDBC ≅ b. DBACBA ∠≅∠ Proof: Statements Reasons 1. Draw AC , AD , AB 2. BC and BD are two tangent segments from a common external point B. 3. BCAC ⊥ , BDAD ⊥ 4. ACB∠ and ADB∠ are right angles 1. Line determination Postulate 2. Given 3. A line tangent to a circle is perpendicular to the radius at the point of tangency 4. Definition of right angles O • A M Y A C D B
  • 35.
    6 5. ∆ACB and∆ADB are right triangles 6. ADAC ≅ 7. BDBC ≅ 8. ∆ACB ≅ ∆ADB 9. BDBC ≅ 10. DBACBA ∠≅∠ 5. Definition of right triangles 6. Radii of the same circle are congruent 7. Reflexive property of Congruency 8. Hy L Congruency Postulate 9. Corresponding parts of congruent triangles 10. are congruent. Examples: a) In the figure, CB and CD are tangents to circle A at B and D. 1. If CB = 10 what is CD? 2. If 49=∠BACm , what is BCAm∠ ? 3. ,73=∠BCDm what is DCAmBCAm ∠∠ ? Solution: 1. Since CB and CD are tangents to the same circle from the same external point, then CB ≅ CD , and therefore, CB = CD. Thus if CB = 10 then CD = 10 2. 90=∠+∠ BCAmBACm 49 + 90=∠BCAm 4990 −=∠BCAm = 41 3. )(2 1 BCDmBCAm ∠=∠ = )73(2 1 = 36.5 DCABCA ∠≅∠ 5.36=∠=∠ DCAmBCAm b) PQ, QR and PR are tangents to circle A at S, M and T respectively. If PS = 7, QM = 9 and RT = 5, what is the perimeter of ∆PQR? Solution: Using the figure and the given information, It is therefore clear that PS = PT, QS = QM and RM = RT. PQ = PS + SQ QR = QM + MR PR = PT + RT C B D A P Q R S T M A
  • 36.
    7 Perimeter of ∆PQR= PQ + QR + PR = (PS + SQ) + (QM + MR) + (PT + RT) = (PS + QM) + (QM + RT) + (PS + RT) = 2PS + 2QM + 2RT = 2(PS + QM + RT) = 2( 7 + 9 + 5) = 2 (21) = 42 Every time tangents and secants of circles are being studies, they always come with the study of angles formed between them. Coupled with recognizing the angles formed is the knowledge of how to get their measures. The next section will be devoted to studying angles formed by secants and tangents and how we can get their measures. Angles formed by secants and tangents are classified into five categories. Each category is provided with illustration. 1. Angle formed by secant and tangent intersecting on the circle. In the figure, two angles of this type are formed, FED∠ and FEB∠ . Each of these angles intercepts an arc. FED∠ intercepts EF and FEB∠ intercepts EGF. 2. Angle formed by two tangents. In the figure, E∠ is formed by two tangents. The angle intercepts the whole circle divided into 2 arcs, minor arc FD , and major arc FGD. 3. Angle formed by a secant and a tangent that intersect at the exterior of the circle. C∠ is an angle formed by a secant and a tangent that intersect outside the circle. C∠ intercepts two arcs, DB and AD. 4. Angle formed by two secants that intersect in the interior of the circle. The figure shows four angles formed. ,MAN∠ ,NAR∠ PAR∠ and PAM∠ . Each of these angle intercepts an arc. ,MAN∠ intercepts MN, ,NAR∠ intercepts NR, PAR∠ intercepts PR and MAP∠ intercepts MP. E F B D G F E D G C D A B M N A RP
  • 37.
    8 5. Angle formedby two secants intersecting outside the circle. E∠ is an angle formed by two secants intersecting outside the circle. E∠ intercepts two arcs namely QR and PR How do we get the measures of angles illustrated in the previous page? To understand the answers to this question, we will work on each theorem proving how to get the measures of each type of angle. It is therefore understood that the previous theorem can be used in the proof of the preceding theorem. Theorem: The measure of an angle formed by a secant and a tangent that intersect on the circle is one-half its intercepted arc. Given: Circle O. Secant m and tangent t intersect at E on circle O. Prove: CECEBm 2 1 =∠ Proof: Statements Reasons 1. Draw diameter ED. Join DC. 2. tDE ⊥ 3. DCE∠ is a right angle 4. DEB∠ is a right angle 5. ∆DCE is a right triangle 6. 1∠m + 902 =∠m 7. =∠+∠ BECmm 1 DEBm∠ 8. =∠+∠ BECmm 1 90 9. 21 ∠+∠ mm = BECmm ∠+∠1 10. 1∠m = 1∠m 11. 2∠m = BECm∠ 12. 2∠m = 2 1 mCE 13. BECm∠ = 2 1 mCE 1. Line determination Postulate 2. Radius-tangent theorem 3. Angle inscribed in a semicircle is a right angle. 4. Perpendicular lines form right angles 5. Definition of right triangle 6. Acute angles of a right triangle are complementary 7. Angle addition Postulate 8. Definition of complementary angles 9. Transitive Property of Equality 10. Reflexive Property of Equality 11. Subtraction Property of Equality 12. Inscribed angle Theorem 13. Substitution Illustration: In the given figure, if mCE = 104, what is the m∠ BEC? What is m CEF∠ ? Q P S R E BE C D F O t
  • 38.
    9 Solution: BECm∠ = 2 1 mCE BECm∠= 2 1 (104) = 52 m CEF∠ = ½ (mCDE) m CEF∠ = ½ (360 – 104) = ½ (256) = 128 Let’s go to the next theorem. Theorem: The measure of an angle formed by two tangents from a common external point is equal to one-half the difference of the major arc minus the minor arc. Given: Circle O. AB and AC are tangents Prove: )(2 1 BCBXCAm −=∠ Proof: Statements Reasons 1. Draw chord BC 2. In ∆ABC, 1∠ is an exterior angle 3. 1∠m = 2∠m + Am∠ 4. Am∠ = 1∠m - 2∠m 5. 1∠m = ½ mBXC 2∠m = ½ mBC 6. Am∠ = ½ mBXC - ½ mBC 7. Am∠ = ½( mBXC – m BC) 1. Line determination Postulate 2. Definition of exterior angle 3. Exterior angle theorem 4. Subtraction Property of Equality 5. Measure of angle formed by secant and tangent intersecting on the circle is one-half the intercepted arc. 6. Substitution 7. Algebraic solution (Common monomial Factor) Illustration: Find the Am∠ if mBC = 162. Solution: Since Am∠ = ½( mBXC –m BC) then we have to find first the measure of major arc BXC. To find it, use the whole circle which is 360o . A B C 1 2 X O
  • 39.
    10 mBXC = 360– mBC = 360 – 162 = 198 Then we use the theorem to find the measure of A∠ Am∠ = ½( mBXC –m BC) = ½ (198 – 162) = ½ (36) Am∠ = 18 We are now into the third type of angle. Angle formed by secant and tangent intersecting on the exterior of the circle. Theorem: The measure of an angle formed by a secant and tangent intersecting on the exterior of the circle is equal to one-half the difference of their intercepted arcs. Given: BA is a tangent of circle O BD is a secant of circle O BA and BD intersect at B Prove: )(2 1 ACADBm −=∠ Proof: Statements Reasons 1. BA is a tangent of circle O, BD is a secant of circle O 2. Draw AD 3. 1∠ is an exterior angle of ∆ DAB 4. ADBmBmm ∠+∠=∠1 5. ADBmmBm ∠−∠=∠ 1 6. =∠1m ½m AD 7. ADBm∠ = ½ mAC 8. Bm∠ = ½ mAD – ½ mAC 9. Bm∠ = ½ (mAD– mAC) 1. Given 2. Line determination Postulate 3. Definition of exterior angle 4. Exterior angle Theorem 5. Subtraction Property of Equality 6. The measure of an angle formed by secant and tangent intersecting on the circle equals one-half its intercepted arc. 7. Inscribed angle Theorem 8. Substitution 9. Simplifying expression Illustration: In the figure if mAD = 150, and mAC = 73, what is the measure of B∠ ? A B C O D 1
  • 40.
    11 Solution: Bm∠ = ½(mAD– mAC) = ½ (150 – 73) = ½ (77) Bm∠ = 38.5 The next theorem will tell us how angles whose vertex is in the interior of a circle can be derived. Furthermore, this will employ the previous knowledge of vertical angles whether on a circle or just on a plane. Theorem: The measure of an angle formed by secants intersecting inside the circle equals one-half the sum of the measures of the arc intercepted by the angle and its vertical angle pair. Given: AC and BD are secants intersecting inside circle O forming 1∠ with vertical angle pair .CED∠ (We will just work on one pair of vertical angles.) Prove: )(1 AEBmm ∠∠ = ½ (AB + DC) Proof: Statements Reasons 1. AC and BD are secants intersecting inside circle O. 2. Draw AD 3. 1∠ is an exterior angle of ∆AED 4. 1∠m = DACm∠ + ADEm∠ 5. DACm∠ = ½ mDC ADEm∠ = ½ mAB 6. 1∠m = ½ mDC + ½ mAB 1∠m = ½ (mDC + mAB) 1. Given 2. Line determination Postulate 3. Definition of exterior angle 4. Exterior angle Theorem 5. Inscribed Angle Theorem 6. Substitution Illustration: Using the figure, find the measure of 1∠ if mAB = 73 and mCD = 90. Solution: Using the formula in the theorem, 1∠m = ½ (mDC + mAB) = ½ ( 90 + 73) = ½ (163) = 81.5 E A B C O D 1 E
  • 41.
    12 Let us discusshow to find the measure of the angle formed by two secants intersecting outside the circle. Theorem: The measure of the angle formed by two secants intersecting outside the circle is equal to one-half the difference of the two intercepted arcs. Given: AB and CD are two secants intersecting outside of circle O forming BEC∠ outside the circle. Prove: BECm∠ = ½ (AD – BC) Proof: Statements Reasons 1. AB and CD are secants of circle O forming BEC∠ outside the circle. 2. Draw DB 3. 1∠ is an exterior angle of ∆ DBE 4. 1∠m = 2∠m + BECm∠ 5. BECm∠ = 1∠m - 2∠m 6. 1∠m = ½ mAD 2∠m = ½ mBC 7. BECm∠ = ½ mAD – ½ mBC BECm∠ = ½ (mAD – mBC) 1. Given 2. Line determination Postulate 3. Definition of exterior angle of a triangle 4. Exterior angle Theorem 5. Subtraction Property of Equality 6. Inscribed Angle Theorem 7. Substitution Illustration: Find the measure of ∠ E if mAD = 150 and mBC = 80. Solution: Again we apply the theorem using the formula: BECm∠ = ½ (mAD – mBC) = ½ (150 – 80 = ½ ( 70) = 35 B E D C A 1 2
  • 42.
    13 Example 1. In eachof the given figure, find the measure of the unknown angle (x). 1. 2. 3. 4. 5. Solutions: 1. Given: AB = 1500 Find: xm∠ x∠ is an angle formed by a secant and a tangent whose vertex is on the circle. x∠ intercepts AB. xm∠ = ½ AB xm∠ = ½ (150) xm∠ = 75 A B x 1500 M PN O 1570 x O x A M Y P ● 780 x F D E G H 670 400 R P Q T S 1060 380
  • 43.
    14 2. Given: mMP = 157 Find: xm∠ x∠ is an angle formed by two tangents from a common external point. x∠ intercepts minor arc MP and major arc MNP xm∠ = ½ ( MNP – MP) m MNP + mMP = 360 mMNP = 360 – m MP = 360 – 157 mMNP = 203 xm∠ = ½ (203 – 157) = ½ (46) = 23 3. Given: m AP = 78 AY is a diameter Find: xm∠ Since AY is a diameter, then AY is a semicircle and m AY = 180. Therefore a. m AP + m PY = 180 m PY = 180 – m AP m PY = 180 – 78 m PY = 102 b. xm∠ = ½ ( mPY – mAP) = ½ ( 102 – 78) = ½ (24) = 12 4. Given: mFD = 67, m GE = 40 Find: xm∠ x∠ is an angle formed by secants that intersect inside the circle, Hence xm∠ = ½ (mFD + mGE) = ½ (67 + 40) = ½ (107) = 53.5
  • 44.
    15 5. Given: mSR= 38, mPQ = 106 Find: xm∠ x∠ is an angle formed by two secants whose vertex is outside the circle. Thus xm∠ = ½ (mPQ – mSR) = ½ (106 – 38) = ½ (68) = 34 Example 2: Find the unknown marked angles or arcs (x and y) in each figure: 1. 2. 3. 4. 5. 6. M D B CA xy ● QP R N 2450 y y x R S U T 580320 x220y P Q S R 300 A B C D E x 350 E F D G H 270 370 x
  • 45.
    16 Solutions: 1. Given :mBMD = 210 Find: xm∠ , ym∠ mBMD + mBD = 360 (since the two arcs make the whole circle) mBD = 360 – mBMD = 360 – 210 = 150 a. xm∠ = ½ mBD = ½ (150) = 75 b. ym∠ = ½ m BMD = ½ (210) = 105 2. Given: mPNR = 245 Find: xm∠ , ym∠ mPNR + mPR = 360 (since the two arcs make a whole circle) mPR = 360 – mPNR = 360 – 245 = 115 But xm∠ = mPR (Central angle equals numerically its intercepted arc) xm∠ = 115 ym∠ = ½ (mPNR – mPR) = ½ (245 – 115) = ½ (130) = 65 3. Given: mRU = 32, mST = 58 Find: xm∠ , ym∠ xm∠ = ½ (mRU + mST) = ½ (32 + 58) = ½ (90) = 45
  • 46.
    17 xm∠ + ym∠= 180 Linear Pair Postulate ym∠ = 180 - xm∠ ym∠ = 180 – 45 = 135 4. Given: mQR = 30, 1∠m = 22 To check; Find : xm∠ , y 1∠m = ½ (mPS + mQR) First, find y by using m 1∠ = ½ (14 + 30 ) 1∠m = ½ ( y + 30) = ½ ( 44) 22 = ½ (y + 30) = 22 2(22) = y + 30 44 = y + 30 y = 44 – 30 y = 14 5. Given: Am∠ = 35, mCD = 110 Find: x To check: Am∠ = ½ (110 – x) Am∠ = ½ (110 – x) 35 = 2 110 x− Am∠ = ½ (110 – 40) 2(35) = 110 – x Am∠ = ½ (70) 70 = 110 – x Am∠ = 35 x = 110 – 70 x = 40 6. Given: Em∠ = 27, mDH = 37 Find: x To check: Em∠ = ½ (x – 37) Em∠ = ½ (x – 37) 27 = 2 37−x Em∠ = ½ (91 – 37) 54 = x – 37 Em∠ = ½(54) x = 54 + 37 Em∠ = 27 x = 91
  • 47.
    18 Try this out. 1.BC is tangent to circle O at A. mDE = 68 mAF = 91. Find a. mEA b. mDF c. m∠ BAE d. m∠ EAD e. m DAF∠ f. FACm∠ 2. ∆DEF is isosceles with DFDE ≅ . ∠m 1 = 82. Find a. ∠m D b. mDE c. mEF d. ∠m 2 e. ∠m 3 3. If x = 18 and y = 23, find 1∠m . 4. If mDE = 108 and m DOC∠ = 85, find: a. mEA b. ∠m EAF c. ∠m DAC d. ∠m CAB e. ∠m 1 5. Using the given figure, find x and y. O F H E G 2 3 D 1 B C A 1 y x D D E O C AF B 1 x 1100 600 y D A E F ● B C 680 910 O
  • 48.
    19 6. EC istangent to circle O. AB is a diameter. If mDB = 47, find mAD, m ECD∠ 7. A polygon is said to be circumscribed about a circle if its sides are tangent to the circle. ∆PRT is circumscribed about circle O. If PT = 10, PR = 13 and RT = 9, find AP, TC and RB. 8. PT is tangent to circle O at P. If mNP = 90, and mMXP = 186, find a. ∠m 1 b. ∠m 2 c. ∠m 3 d. ∠m 4 e. ∠m 5 f. ∠m 6 9. O is the center of the given circle. If mBD = 122 find a. ∠m 1 d. ∠m 4 b. ∠m 2 e. ∠m 5 c. ∠m 3 f. ∠m 6 A D C B O E P T A B C R O 4 3 1 M TP N X 2 5 6 3 E D F O A B C 5 1 4 6 2
  • 49.
    20 Let’s Summarize 1. Atangent is a line that intersect a circle at only one point. 2. A. secant is a line that intersect a circle at two points. 3. If a line is tangent to a circle, it is perpendicular to a radius at the point of tangency. 4. If two tangents are drawn from an exterior point to a circle then a) the two tangent segments are congruent b) the angle between the segment and the line joining the external point and the center of the circle are congruent. 5. The measure of an angle formed by a secant and a tangent intersecting on the circle is equal to one half the measure of the intercepted arc. 6. The measure of an angle formed by two tangents from a common external point is equal to one-half the difference of the measures of the intercepted arcs. 7. The measure of an angle formed by secant and tangent intersecting outside the circle is equal to one-half the difference of the measures of the intercepted arcs. 8. The measure of an angle formed by two secants intersecting inside the circle is equal to one-half the sum of the measure of the intercepted arc of the angle and its vertical angle pair. 9. The measure of an angle formed by two secants intersecting outside the circle is equal to one-half the difference of the measures of the intercepted arcs.
  • 50.
    21 What have youlearned 1. QP is tangent to circle O at P. If POQm∠ = 73, what is Qm∠ ? 2. DE , EF and DF are tangents to circle M. If DB =- 5, EC = 7 and AF = 4, what is the perimeter of ∆DEF? 3. PS AND PQ are secant and tangent of circle A. If mRQ = 52, what is Pm∠ ? 4. Given circle E with secants AB and CD . If mBD = 53 and mBC = 117, find BEDm∠ . 5. XY is tangent to circle at A . If mAB = 105, and AB ≅ BP, find BAPm∠ and 6. PAYm∠ O Q P E D F B A C A S Q P R EA D B C P B AX Y
  • 51.
    22 7. Given circleA with secants OQ and OP . If mRS = 32 and mQR = 2mRS, find Om∠ ? 8. AB ║ DE . BE is tangent to the circle at B and intersects DE at E. If mAB = 110 and mAD = 70, then ABFm∠ = ___________. 9. BECm∠ = __________. 10. Using the same figure, if Em∠ = 42, mBC = 60, find mAB. A O SP R Q A F B E CD
  • 52.
    23 Answer Key How muchdo you know 1. ≅ or congruent 2. ⊥ or perpendicular 3. 40 4. 22 5. 59 6. 61 7. 33 8. 120 9. 20 10. 18 Try this out Lesson 1 1. a. 112 b. 89 c. 56 d. 34 e. 44.5 f. 45.5 2. a. 16 b. 164 c. 32 d. 82 e. 16 3. 41 4. a. 72 b. 36 c. 42.5 d. 47.5 e. 54
  • 53.
    24 5. x =70 y = 50 6. mAD = 133 m ECD∠ = 43 7. AP = 7 TC = 3 RB = 6 8. a. 45 b. 45 c. 42 d. 93 e. 57 f. 48 9. a. 122 b. 61 c. 29 d. 29 e. 29 f. 45 What have you learned 1. 17 2. 32 3. 38 4. 58 5. 52.5 6. 75 7. 26 8. 55 9. 55 10.84
  • 54.
    Module 1 Properties ofQuadrilaterals What this module is about This module is about the properties of trapezoids and parallelograms. In this module, you will learn to compute problems involving the median of a trapezoid, the base angles and diagonals of an isosceles trapezoid, as well as problems involving the diagonals, angles and sides of parallelograms What you are expected to learn This module is designed for you to 1. apply inductive/deductive skills to derive certain properties of a trapezoid. • median of a trapezoid • base angles of an isosceles trapezoid • diagonals of an isosceles trapezoid 2. apply inductive and deductive skills to derive the properties of a parallelogram • each diagonal divides a parallelogram into two congruent triangles • opposite angles are congruent • non-opposite angles are supplementary • opposite sides are congruent • diagonals bisect each other. How much do you know True or False 1. The median of a trapezoid is twice the sum of the lengths of its bases. 2. The base angles of an isosceles trapezoid are congruent. 3. The diagonals of any trapezoid are congruent. 4. Non-opposite angles of a parallelogram are complementary.
  • 55.
    2 ABCD is atrapezoid with median EF. D 10 C 13 16 A B 5. If DC = 12 cm and AB = 23 cm, what is EF? 6. If EF = 2x + 3, DC = x + 5 and AB = 2(x + 3), what is AB? Quadrilateral BEST is a parallelogram. 2x + 3 T S 3(x – 1) B E 7. If BE = 3(x – 1) and TS = 2x + 3, what is BE + TS? Quadrilateral ABCD is a rhombus. D C 4x + 10 5x A B 8. If m ∠A = 5x and m∠C = 4x + 10, what is m∠ADC in degrees? Quadrilateral ABCD is a parallelogram. Diagonals DB and AC intersect at E. D C E A B
  • 56.
    3 9. Find ACif AE = x + 2 and CE = 3x - 6 Quadrilateral TEAM is a parallelogram. M A x 3x + 20 T E 10.If m∠T = x and m∠E = 3x + 20 . find m∠A? What you will do Lesson 1 The Median of a Trapezoid A trapezoid is a quadrilateral with exactly one pair of parallel sides. The median of a trapezoid is the segment joining the midpoints of the non-parallel sides. In the trapezoid ABCD below, EF is the median. It joins the midpoints E and F of side AD and BC respectively. D C E F A B Illustration If the length of the upper base of a trapezoid is 4 cm, and the lower base is 6 cm, what do you think is the length of the median? Do the following: 1. Using a ruler draw a segment 4 cm long. Name the segment HT. 2. Draw another segment 6 cm long parallel to segment HT. Name the segment MA.
  • 57.
    4 3. Connect pointsH and M. 4. Connect points T and A. 5. Using a ruler, carefully determine the midpoints of HM and TA. Name the midpoints of HM and TA, G and E respectively. 6. Connect points G and E. Carefully measure the length of GE. What did you discover? Did you discover the following? 1. GE is parallel to HT and MA. 2. GE = 2 1 (HT + MA) Example 1 ABCD is a trapezoid with median EF. If DC = 8 cm and AB = 14 cm, find EF. D 8 C E F 14 A B Solution: Step 1. Write the formula. EF = 2 1 (AB + DC) Step 2. Substitute the values of DC and AB into the formula. Solve for EF. EF = 2 1 (14 + 8) EF = 2 1 (22) EF = 11 Therefore EF is 11 cm.
  • 58.
    5 Example 2 EFGH isa trapezoid with median IJ. If HG = 12 cm and IJ =15 cm, what is EF? H 12 cm G I 15 cm J E F Step 1. Write the formula. IJ = 2 1 (EF + HG) Step 2. Substitute the values of HG and IJ into the formula. Solve for EF. 15 = 2 1 (EF + 12) 15 = EF + 12 2 EF + 12 = 15(2) EF = 30 – 12 EF = 18 Therefore EF is 18 cm. Example 3 ABCD is a trapezoid with median EF. If DC = x + 5, EF = 2x + 1 and AB =4x – 10, find EF. D x + 5 C E 2x + 1 F A 4x – 10 B
  • 59.
    6 Solution: Step 1. Writethe formula. EF = 2 1 (AB + DC) Step 2. Substitute the values of EF, AB and DC into the formula. Solve for x. 2x + 1 = 2 1 (4x – 10 + x + 5) 2x + 1 = 2 1 ( 5x –5) 2(2x +1) = 5x – 5 4x + 2 = 5x – 5 4x – 5x = -5 – 2 - x = -7 x = 7 Step 3. Substitute 7 for x. Solve for EF EF = 2x + 1 = 2(7) + 1 = 14 + 1 = 15 Therefore EF = 15 cm. Try this out Set A ABCD is a trapezoid with median EF. D C E F A B 1. If DC = 4 and AB = 10, what is EF? 2. If DC = 7 and AB = 12, what is EF? 3. If AB = 14.5 and DC = 8.5, what is EF? 4. If AB = 10.5 and DC = 6.5, what is EF? 5. IF DC = 10 and EF = 12, what is AB? 6. If DC = 14 and EF = 16, what is AB? 7. If AB = 14.6 and EF = 10.4, what is DC?
  • 60.
    7 8. IF AB= 22.8 and EF = 16.2, what is DC? 9. If DE = 14 what is AE? 10.If BF = 24, what is CF? Set B EFGH is a trapezoid with median IJ. H G I J E F 1. If IJ = x, HG = 8 and EF = 12, what is x? 2. If IJ = y, HG = 14, and EF = 20, what is Y? 3. If IJ = x + 2, HG = 10 and EF = 14, what is x? 4. If IJ = y + 3, HG = 14 and EF = 18, what is y? 5. If HG = x , IJ = 16, and EF = 22, what is x? 6. If HG = Y, IJ = 24 and EF = 30, what is y? 7. If HG = x – 1, IJ = 21 and EF = 34, what is x? 8. If HG = y – 2, IJ = 20 and EF = 31, what is y? 9. If HI = x + 4 and IE = 6, what is x? 10.If GJ = 10 and FJ = x –4, what is x? Set C KLMN is a trapezoid with median OP. N M O P K L 1. If OP = 20, NM = x + 3 and KL = x + 6, what is x? 2. If NM = x – 2, KL = x + 4 and OP = 24, what is x? 3. If OP = 22, NM = x + 4, and KL = x + 8, what is NM? 4. If OP = 24, NM = x – 3 and KL = x + 7, what is KL? 5. If NM = 12, OP = x +3, and KL = x + 10, what is x? 6. If NM = 18, OP = x – 2 and KL = x + 3, what is x? 7. If KL = 30, OP = x + 1 and NM = x – 6, what is OP?
  • 61.
    8 D C B 8. IfKL = 34, OP = x - 1, and NM = x – 7, what is NM? 9. If NM = 2x, OP = 3x, and KL = 2(x+5), what is OP? 10.If NM = 2x + 2. OP = 3x + 3 and KL = 2(x + 6), what is NM? Lesson 2 Isosceles Trapezoid An isosceles trapezoid is a trapezoid with congruent non-parallel sides. Trapezoid DAVE below is an isosceles trapezoid. The nonparallel sides ED and VA are congruent. E V D A Do the following: 1. Using a ruler, draw isosceles trapezoid ABCD with base angles, ∠A and ∠B, on a graphing paper. A 2. Using a protractor, find the measures of ∠A and ∠B. What do you notice? 3. Using the same protractor find the measures of ∠ D and ∠ C. What do you notice? 4. Draw the diagonals AC and BD. Using a ruler, find their lengths. Are the lengths equal?
  • 62.
    9 Perhaps you discoveredthe following properties of an isosceles trapezoid. 1. The base angles of an isosceles trapezoid are congruent. 2. The diagonals of an isosceles trapezoid are congruent. If you know the properties of an isosceles trapezoid, you will find the next set of exercises easy to solve. Example 1 In isosceles trapezoid ABCD, with base angles, ∠ A and ∠ B. If m∠B = 40, what is m∠A? D C A B Solution: Step 1. Base angles of an isosceles trapezoid are congruent. ∠ A ≅∠ B m∠ A = m∠ B (The measures of congruent angles are equal) Step 2. Substitute 40 for m∠B m∠A = 40 Example 2 In isosceles trapezoid ABCD with ∠ A and ∠ B as base angles. If m∠A = x + 20 and m∠B = 2x. Find m∠A. D C A B Solution: Step 1. Base angles of an isosceles trapezoid are congruent. ∠ A ≅ ∠ B m∠ A = m∠ B (the measures two angles congruent are equal)
  • 63.
    10 Step 2. Substitutex + 20 for m∠ A and 2x for m∠ B. x+ 20 = 2x x – 2x = -20 x = 20 Step 3. Substitute 20 for x in m∠ A = x + 20. Then solve for m∠ A. m∠ A = x + 20 = 20 + 20 = 40 Example 3 In isosceles trapezoid ABCD, AD = 10. What is BC? D C A B Solution: Step 1. Non-parallel sides of an isosceles trapezoid are congruent. BC ≅ AD BC = AD (Congruent segments have equal lengths) Step 2. Replace BC with 10 BC = 10 Example 4. In isosceles trapezoid ABCD, AC = 4x + 4 and BD = 2x + 10. What is x? D C A B
  • 64.
    11 Solution: Step 1 Thediagonals of an isosceles trapezoid are congruent. AC ≅ BD AC = BD ( Congruent segments have equal lengths) Step 2. Substitute 4x + 4 for AC and 2x + 10 for BD. 4x + 4 = 2x + 10 4x – 2x = 10 – 4 2x = 6 x = 3 Try this out Set A PQRS is an isosceles trapezoid S R P Q 1. Name the two pairs of base angles. 2. Name the nonparallel sides. 3. Name the parallel sides. 4. If m∠A = 30, what is the m∠B? 5. If m∠B = 60, what is m∠A? 6. If m∠C = 110, what is m∠D? 7. If m ∠D = 105, what is m∠C? 8. If m∠A = 35, what is m∠D? 9. If m∠C = 120, what is m∠B? 10.If m∠A = 35 what is m∠C? Set B. EFGH is an isosceles trapezoid. H G E F
  • 65.
    12 1. If m∠E= x + 10 and m∠F = 50, what is x? 2. If m∠F = x – 15 and m∠E = 70 what is x? 3. If m∠H = x + 20 and m∠G = 100 what is x? 4. If m∠G = x – 10 and m∠H = 135 what is x? 5. If m∠E = 2x and m∠F = 46 what is x? 6. If m∠F = 3x and m∠E = 39 what is x? 7. If m∠E = 2x + 5 and m∠F = 44 what is x? 8. If m∠F = 2x – 6 and m∠E = 56 what is x? 9. If m∠H = 2(x + 4) and m∠G = 116 what is x? 10.If m∠G = 2(x –5) and m∠H = 120 what is x? Set C. ABCD is an isosceles trapezoid. D C A B 1. If m∠A = 2x + 10 and m∠B = 3x – 20 what is m∠A? 2. If m∠A = 2x + 15 and m∠B = 4x – 11 what is m∠B? 3. If m∠D = x + 15m and m∠C = 2x –85 what is m∠D? 4. If m∠C = 3y + 12 and m∠D = 2y + 50, what is m∠C? 5. If m∠C = 4x + 70 and m∠D = 2x + 90, what is x? 6. If m∠D = 4x – 20 and m∠C = 5x – 50, what is x? 7. If AC = 60 cm, what is BD? 8. If BD = 70 cm, what is AC? 9. If AC = 4x – 6 and BD = 2x + 10, what is AC? 10.If AC = 3y + 7 and BD = 6y – 8, what is BD? Lesson 3 Properties of a Parallelogram A parallelogram is a quadrilateral in which both pairs of opposite sides are parallel.
  • 66.
    13 Do the following: 1.On a graphing paper, draw a parallelogram similar to the one below. Name your parallelogram ABCD. 2. Draw diagonal AC. What do you notice? 3. Using a protractor, find the measures of the opposite angles of parallelogram ABCD. Are the angles congruent? 4. Using a protractor, find the measures of each pair of non-opposite angles. Add their measures. Are the angles supplementary? 5. Using a ruler, find the lengths of each pair of opposite sides. Are their lengths equal? 6. Draw diagonal BD. What do you notice? Were you careful in doing the above activity? You actually proved inductively the following properties of a parallelogram. 1. Each diagonal divides a parallelogram into two congruent triangles. 2. The opposite angles of a parallelogram are congruent. 3. The non-opposite angles of a parallelogram are supplementary. 4. The opposite sides of a parallelogram are congruent. 5. The diagonals of a parallelogram bisect each other. These properties of a parallelogram can also be proven deductively. 1. Each diagonal divides a parallelogram into two congruent triangles. Given: Parallelogram MATH with diagonal MT. H T Prove: ∆HTM ≅ ∆AMT M A D C A B
  • 67.
    14 Proof: Statements Reasons 1. ParallelogramMATH with diagonal MT 2. MH // TA 3. ∠HMT ≅ ∠ATM (A) 4. MT ≅ MT (S) 5. HT // MA 6. ∠HTM ≅ ∠AMT (A) 7. ∆HTM ≅ ∆AMT 1. Given 2. A parallelogram is a quadrilateral in which both pairs of opposite sides are parallel. 3. If two parallel lines are cut by a transversal, then any pair of alternate interior angles are congruent. 4. Reflexive Property of Congruence 5. A parallelogram is a quadrilateral in which both pairs of opposite sides are parallel.(Same as reason # 2) 6. If two parallel lines are cut by a transversal, then any pair of alternate interior angles are congruent. ( Same as reason #3) 7. ASA Congruence 2. The opposite angles of a parallelogram are congruent H T Given: Parallelogram MATH Prove: ∠H ≅ ∠ A Proof: M A Statements Reasons 1. Parallelogram MATH 2. Draw MT 3. ∆MHT ≅ ∆TAM 4. ∠H ≅ ∠A 1. Given 2. Two points determine a line. 3. Each diagonal divides a parallelogram into two congruent triangles. (First property) 4. Corresponding parts of congruent triangles are congruent. (CPCTC)
  • 68.
    15 If you wantto prove that ∠M ≅ ∠ T, draw diagonal HA. Then follow the above steps. 3. The non-opposite angles of a parallelogram are supplementary Given: Parallelogram MATH H T Prove: ∠H and ∠ M are supplementary M A Proof: Statements Reasons 1. Parallelogram MATH 2. HT // MA 3. ∠H and ∠ M are supplementary 1. Given 2. A parallelogram is a quadrilateral in which both pairs of opposite sides are parallel 3. If two parallel lines are cut by a transversal, then the interior angles on the same side of the transversal are supplementary. 4. The opposite sides of a parallelogram are congruent Given : Parallelogram MATH H T Prove: HT ≅ MA HM ≅ TA M A Proof: Statements Reasons 1. Parallelogram MATH 2. Draw diagonal MT 3. ∆MHT ≅ ∆TAM 4. HT ≅ MA HM ≅ TA 1. Given 2. Two points determine a line 3. Each diagonal divides a parallelogram into two congruent triangles. 4. Corresponding parts of congruent triangles are congruent.
  • 69.
    16 5. The diagonalsof a parallelogram bisect each other. Given: Parallelogram LOVE E V A 2 Prove: EO and LV bisect each other 3 4 1 L O Proof: Statements Reasons 1. Parallelogram LOVE with diagonals EO and LV 2. LE ≅ VO (S) 3. LE // VO 4. ∠1 ≅ ∠2 (A) 5. ∠3 ≅ ∠4 (A) 6. ∆LEA ≅ ∆VOA 7. EA ≅ OA LA ≅ VA 8. EO and LV bisect each other 1. Given 2. Opposite sides of a parallelogram are congruent 3. A parallelogram is a quadrilateral in which both pairs of opposite sides are parallel 4. If two parallel lines are cut by a transversal, then the alternate interior angles are congruent. 5. Vertical angles re congruent 6. SAA Congruence 7. Corresponding parts of congruent triangles are congruent 8. The bisector of a segment is a point, line, segment, or plane that divides the segment into two segments (Definition of bisector of a segment) Example 1 JACK is a parallelogram. If m∠K = 110, what is m∠A. K C J A Solution: Step 1. Opposite angles of a parallelogram are congruent ∠A ≅ ∠K m ∠A = m∠K (Congruent angles have equal measures)
  • 70.
    17 Step 2. Replacem∠K with 110 m∠A = 110 Example 2 ABCD is a parallelogram. If m∠ A = x + 15 and m∠C = 40, what is x? D C A B Solution: Step 1 Opposite angles of a parallelogram are congruent ∠A ≅ ∠C m∠A = m∠C ( Congruent angles have equal measures) Step 2. Replace m∠A with x + 15 and m∠C with 40 and solve for x. x + 15 = 40 x = 40 – 15 x = 25 Example 3 The figure below is a parallelogram. If m∠O = 2x + 10 and m∠E = x + 30, what is m∠O? E V Solution: L O Step 1. Opposite angles of a parallelogram are congruent. ∠O ≅ ∠E m∠O = m∠E (Congruent angles have equal measures) Step 2. Substitute 2x +10 for m∠O and x +30 for m∠E. Then solve for x. 2x + 10 = x + 30 2x – x = 30 – 10 x = 20 Step 3. Substitute 20 for x in m∠O = 2x + 10 to solve for m∠O. m∠O = 2(20) + 10 m∠O = 40 + 10 m∠O = 50
  • 71.
    18 Example 4 Quadrilateral ABCDis a parallelogram. If m∠A = 60, what is m∠B? D C A B Solution: Step 1. Non-opposite angles of a parallelogram are supplementary ∠A and ∠B are supplementary m∠A + m∠B = 180 Step 2. Substitute 60 for m∠A and solve for m∠B 60 + m∠B = 180 m∠B = 180 – 60 m∠B = 120 Example 5 Quadrilateral ETNA is a parallelogram. If m∠E = x – 60 and m∠A = 2x, what is m∠E? A N E T Solution: Step 1. Non-opposite angles of a parallelogram are supplementary. ∠E and ∠A are supplementary m∠E + m∠A = 180 Step 2. Substitute x – 60 for m∠E, and 2x for m∠A. x –60 + 2x = 180 x + 2x = 180 + 60 3x = 240 x = 80 Step 3. Substitute 80 for x in m∠E = x – 60. Then solve for m∠E. m∠E = x – 60 m∠E = 80 – 60 m∠E = 20
  • 72.
    19 Example 6 In theparallelogram below, m∠A = 2x and m∠C = 4x – 80. What is m∠B? D C A B Solution: Step 1. Opposite angles of a parallelogram are congruent. ∠A ≅ ∠C m∠A = m∠C (Congruent angles have equal measures) Step 2. Substitute 2x for m∠A and 4x – 80 for m∠C. Then solve for x. 2x = 4x – 80 2x – 4x = – 80 –2x = – 80 x = 40 Step 3. Substitute 40 for x m∠A = 2x m∠A =2(40) =80 Step 4. Non-opposite angles of a parallelogram are supplementary ∠A and ∠B are supplementary m∠A + m∠B = 180 Step 5. Substitute 80 for m∠A and solve for m∠B. 80 + m∠B = 180 m∠B = 180 – 80 m∠B = 100 Example 7 Quadrilateral EFGH is a parallelogram. If EH = 14 cm long, how long is side FG? H G E F
  • 73.
    20 Solution: Step 1. Oppositesides of a parallelogram are congruent FG ≅ EH FG = EH (Congruent segments have equal lengths) Step 2. Substitute 14 for EH in the equation FG = EH FG = 14 Therefore FG is 14 cm long. Example 8 Quadrilateral GEOM is a parallelogram. If MO = 2x + 3 and GE = 4x - 15. What is MO? M O G E Solution: Step 1. Opposite sides of a parallelogram are congruent MO ≅ GE MO = GE (Congruent segments have equal lengths) Step 2. Substitute 2x + 3 for MO and 4x – 15 for GE. Solve for x 2x + 3 = 4x – 15 2x – 4x = –15 – 3 –2x = –18 x = 9 Step 3. Substitute 9 for x in MO = 2x + 3 MO = 2(9) + 3 = 18 +3 = 21
  • 74.
    21 Example 9 CDEF isa parallelogram. If FD = 12 cm, what is the length of FG? F E G C D Solution: The diagonals of a parallelogram bisect each other. CE bisects FD Therefore: FG = 2 1 FD = 2 1 (12) =6 cm Example 10 CDEF is a parallelogram with diagonals CE and DF intersecting at G. If FG = 3x –7 and DG = x +21, find FG. Solution: Step 1. Draw the figure. F E G C D Step 2. The diagonals of a parallelogram bisect each other. FG = DG Step 3. Substitute 3x – 7 for FG and x + 21 for DG in the equation FG DG. 3x – 7 = x + 21 3x –x = 21 + 7 2x = 28 x = 14
  • 75.
    22 Step 4. Substitute14 for x in the equation FG = 3x – 7 . (See given data) FG = 3x – 7 =3(14) – 7 =42 – 7 = 35 Try this out Set A Fill in the blanks Quadrilateral ABCD is a parallelogram.. D C 500 880 A B 1. m∠A = ________ 2. m∠ABC = _____ 3. m∠A + m∠ABC = ________ 4. m∠ABC + m∠C = ________ 5. m∠C + m∠ADC = ________ 6. ∆ ABD ≅ ________ Quadrilateral EFGH is a parallelogram. H G I E F 7. HI = __________ 8. EI = ________ 9. If EG is 16 cm, then EI = ________ 10.If HI is 7 cm, then FI = __________
  • 76.
    23 Set B Quadrilateral ABCDis a parallelogram D C A B 1. If m∠A is 50 , what is m∠C? 2. If m∠B is 125 , what is m∠D? 3. If m∠A = x and m∠C = 30, what is x? 4. If m∠B = y and m∠D = 115, what is y? 5. If m∠A = x + 30, and m∠C = 60, what is x? 6. If m∠D = 100 and m∠B = y – 40, what is y? 7. If m∠A = 50, what is m∠D? 8. If m∠D = 130, what is m∠C? 9. If m∠B = 2x – 20 and m∠D = x + 40, what is m∠B? 10.If m∠A = 2x – 50 and m∠C = x + 10 what is m∠A? Set C Use the figure below for exercises 1-10 Quadrilateral ABCD is a parallelogram. D C E A B 1. If AB = 17 cm, then CD = _________ 2. If AD = 25 cm, then BC = __________ 3. If AE = 5 dm, then CE = __________ 4. If BD = 36 cm, then BE = __________ 5. If AB = 2x + 10 and CD = 15, then AB = _________ 6. If AD = 4x + 15 and BC = 2x + 21 then AD = _________ 7. If AB = x + 6 and CD = 14, what is x? 8. If AD = 20 and BC = x – 5, what is x? 9. If AE = 15 and CE = x + 4, what is x? 10.If BE = 2x and DE = 6, what is x?
  • 77.
    24 Let’s summarize 1. Atrapezoid is a quadrilateral with exactly one pair of parallel sides. 2. The median of a trapezoid is a segment joining the midpoints of the non- parallel sides of a trapezoid. 3. The median of a trapezoid is parallel to its bases and half the sum of the lengths of the bases. 4. An isosceles trapezoid is a trapezoid with congruent non-parallel sides. 5. The base angles of an isosceles trapezoid are congruent. 6. The diagonals of an isosceles trapezoid are congruent. 7. A parallelogram is a quadrilateral in which both pairs of opposite sides are parallel. 8. Each diagonal divides a parallelogram into two congruent triangles. 9. Opposite angles of a parallelogram are congruent. 10.Non-opposite angles of a parallelogram are supplementary. 11.The diagonals of a parallelogram bisect each other. What have you learned Multiple Choice. Choose the letter of the correct answer. 1. Non-opposite angles of a parallelogram are A. Complementary C. Adjacent B. Supplementary D. Congruent C. 2. A quadrilateral with exactly one pair of parallel sides A. Square C. Trapezoid B. Rectangle D. Rhombus 3. In the figure at the right, DC = 20 cm And AB = 36 cm. What is EF? D C A. 16 cm B. 56 cm E F C. 28 cm D. 46 cm A B 4. The figure below is a parallelogram. If AD = 2x - 10 and BC = x + 30, then BC = A. 50 D C B. 60 C. 70 D. 80 A B
  • 78.
    25 5. The figurebelow is a rhombus. If m ∠I = 4x and m ∠E = 2x + 60, what is m ∠I in degrees? E V A. 100 E. 110 F. 120 G. 130 G I 6. Quadrilateral BEST is a parallelogram. If m ∠B = x + 40 and m ∠E = 2x + 20, what is m ∠B in degrees? A. 50 T S B. 60 C. 70 D. 80 B E 7. The figure below is a parallelogram. The diagonals AC and BD intersect at E. If AE = 2x and EC = 12, what is x? A. 5 D C B. 6 C. 7 E D. 9 A B 8. Quadrilateral CDEF is a parallelogram. If m ∠C = y and m ∠E = 2y – 40, then m ∠D is A. 80 F E B. 110 C. 140 D. 170 C D 9. Into how many congruent triangles is a parallelogram divided by one of its diagonals? A. 1 C. 3 B. 2 D. 4 10.Base angles of an isosceles trapezoid are A. Complementary C. Congruent B Supplementary D. Adjacent
  • 79.
    26 Answer Key How muchdo you know 1. False 2. True 3. False 4. False 5. 17.5 6. AB = 16 7. BE + TS = 30 8. m∠ADC = 130 9. AC = 12 10.m∠C = 40 Try this out Lesson 1 Set A 1. 7 2. 9.5 3. 11.5 4. 8.5 5. 14 6. 18 7. 6.2 8. 9.6 9. 14 10.24 Lesson 2 Set A 1. ∠P and ∠Q; ∠R and ∠S 2. AD and BC 3. DC and AB 4. m∠B = 30 5. m∠A = 60 6. m∠D = 110 7. m∠C = 105 8. m∠D = 145 9. m∠B = 60 10.m∠C = 145 Set B 1. x = 10 2. y = 17 3. x = 10 4. y = 13 5. x = 10 6. y = 18 7. x = 9 8. y = 11 9. x = 2 10.x = 14 Set C 1. x = 15.5 2. x = 23 3. NM = 20 4. KL = 29 5. x = 16 6. x = 25 7. OP = 23 8. NM = 22 9. OP = 15 10.NM = 10 Set B 1. x = 40 2. x = 85 3. x = 80 4. x = 145 5. x = 23 6. x = 13 7. x = 19.5 8. x = 31 9. x = 54 10.x = 35 Set C 1. m∠A = 70 2. m∠B = 41 3. m∠D = 115 4. m∠C = 126 5. x = 10 6. x = 30 7. BD = 60 8. AC = 70 9. AC = 26 10.BD = 22
  • 80.
    27 Lesson 3 Set A 1.50 2. 130 3. 180 4. 180 5. 180 6. 42 7. FI 8. GI 9. 8 cm 10.7 cm What have you learned 1. B 2. C 3. C 4. C 5. C 6. D 7. B 8. C 9. B 10.C Set B 1. m∠C = 50 2. m∠D = 125 3. x = 30 4. y = 115 5. x = 30 6. y = 140 7. m∠D = 130 8. m∠C = 50 9. m∠B = 100 10.m∠A = 70 Set C 1. CD = 17 cm 2. BC = 25 cm 3. CE = 5 dm 4. BE = 18 cm 5. AB = 15 6. AD = 27 7. x = 8 8. x = 25 9. x =11 10.x = 3
  • 81.
    Module 2 Properties ofQuadrilaterals What this module is about This module is about the properties of the diagonals of special quadrilaterals. The special quadrilaterals are rectangles, square, and rhombus. The conditions sufficient to guarantee that a quadrilateral is a parallelogram are also discussed in this module. What you are expected to learn This module is designed for you to 1. apply inductive/deductive skills to derive the properties of the diagonals of special quadrilaterals • rectangle • square • rhombus 2. verify sets of sufficient conditions which guarantee that a quadrilateral is a parallelogram 3. apply the conditions to prove that a quadrilateral is a parallelogram 4. solve routine and non routine problems How much do you know True of False 1. The diagonals of a square are congruent. 2. The diagonals of a rectangle are perpendicular. 3. The diagonals of a rhombus bisect each other. 4. A square is a rhombus. 5. If both pairs of opposite angles of a quadrilateral are congruent, then the quadrilateral is a parallelogram.
  • 82.
    2 6. If thediagonals of a quadrilateral bisect each other, then the quadrilateral is a parallelogram. Quadrilateral ABCD is a rectangle. Its diagonals AC and BD intersect at E. D C E A B 7. If AC = 2(x + 10) and BD = x + 60, what is AC? 8. If AE = 4x – 5 and CE = 10 + x, what is AE? 9. Quadrilateral CDEF is a rhombus. If m∠FCE = 3x - 5 and m∠DCE = 2x, find m∠FCD. F E C D Quadrilateral GHIJ is a square. J I G H 10.If m∠HGI is 3(x + 5), what is x?
  • 83.
    3 What you willdo Lesson 1 The Properties of the Diagonals of Special Quadrilaterals A diagonal of a quadrilateral is a segment which connects any two non-consecutive vertices. In the following quadrilateral, AC and BD are the diagonals. D C A B The following are the properties of the diagonals of special quadrilaterals. 1. The diagonals of a rectangle are congruent. 2. The diagonals of a square are congruent. 3. The diagonals of a square are perpendicular 4. Each diagonal of a square bisects a pair of opposite angles. 5. The diagonals of a rhombus are perpendicular. 6. Each diagonal of a rhombus bisects a pair of opposite angles You can apply inductive skills to derive these properties of the diagonals of special quadrilaterals. In the following activities you need a ruler, a pencil, a protractor and pieces of graphing paper. 1. Do the following activity: a. On a graphing paper, draw a rectangle. b. Name your rectangle ABCD. c. Draw diagonals AC and BD. d. Find the lengths of AC and BD. Are their lengths equal? Are the diagonals congruent? Conclusion: The diagonals of a rectangle are congruent 2. Do the following activity: a. On a graphing paper, draw a square. b. Name your square ABCD. c. Draw diagonals AC and BD.
  • 84.
    4 d. Find thelengths of the diagonals. Are their lengths equal? Are the diagonals of the square congruent? Conclusion: The diagonals of a square are congruent. 3. Do the following activity: a. Construct a square on a graphing paper b. Name your square EFGH. c. Draw its diagonals EG and HF. d. Label the intersection of the diagonals, M. e. Using a protractor, find the measures of ∠HME, and ∠HMG. f. What kind of angles are the two angles? g. Are the diagonals perpendicular? Conclusion: The diagonals of a square are perpendicular 4. Do the following activity. a. Draw a square on a graphing paper. b. Name your square ABCD. c. Draw diagonal AC. d. What do you notice? Into how many angles are the two opposite vertex angles divided? e. What do you conclude? Conclusion: Each diagonal of a square bisects a pair of opposite angles. 5. Do the following activity. a. Draw a rhombus on a graphing paper. b. Name your rhombus ABCD. c. Draw the diagonals and name the point of intersection, E. d. Find the measures of ∠AED and ∠CED. e. What kind of angles are they? f. What can you say about the diagonals? Conclusion: The diagonals of a rhombus are perpendicular. 6. Do the following activity. a. Draw a rhombus on a graphing paper. b. Name your rhombus ABCD. c. Draw diagonal AC. d. What do you notice? Into how many angles are the two opposite vertex angles divided? e. What do you conclude? Conclusion: Each diagonal of a rhombus bisects a pair of opposite angles.
  • 85.
    5 These properties ofthe diagonals of special quadrilaterals can also be proven deductively. Let us prove the first three properties deductively. 1. The diagonals of a rectangle are congruent. D C Given: Rectangle ABCD with diagonals AC and BD. Prove: BD ≅ AC A B Proof: Statements Reasons 1. Rectangle ABCD with diagonals AC and BD 2. AD ≅ BC (S) 3. ∠DAB and ∠CBA are right angles 4. ∠DAB ≅ ∠CBA (A) 5. AB ≅ AB (S) 6. ∆DAB ≅ ∆ CBA 7. BD ≅ AC 1. Given 2. Opposite sides of a parallelogram are congruent (Remember, a rectangle is a parallelogram) 3. A rectangle is a parallelogram with four right angles 4. Any two right angles are congruent 5. Reflexive Property of Congruence 6. SAS Congruence 7. Corresponding Parts of Congruent Triangles are Congruent Triangles ∆DAB and ∆ CBA overlap. If you find difficulty visualizing the two overlapping triangles, separate the figure into two triangles . D C D C A B A B A B 2. The diagonals of a square are congruent. D C Given: ABCD is a square with diagonals AC and BD Prove: BD ≅ AC A B
  • 86.
    6 Proof Statements Reasons 1. ABCDis a square with diagonals AC and BD 2. AD ≅ BC (S) 3. ∠DAB and ∠CBA are right angles 4. ∠DAB ≅ ∠CBA (A) 5. AB ≅ AB (S) 6. ∆ DAB ≅ ∆ CBA 7. BD ≅ AC 1. Given 2. Opposite sides of a parallelogram are congruent (Remember, a square is a parallelogram) 3. A rectangle has four right angles (Remember that a square is a rectangle with four congruent sides and a rectangle has four right angles.) 4. Any two right angles are congruent 5. Reflexive Property of Congruence 6. SAS Congruence 7. Corresponding Parts of Congruent Triangles are Congruent 3. The diagonals of a square are perpendicular Given: TEAM is a square with diagonals AT and ME M A Prove: ME ⊥ AT O T E A proof can also be written in paragraph form. Proof: Side TM and side EA are congruent since they are sides of a square. A square is a rectangle with four congruent sides. MO ≅ MO by Reflexive Property of Congruence. The diagonals of a parallelogram bisect each other. Since a square is a parallelogram therefore TO ≅ AO. ∆MOT ≅ ∆MOA by SSS congruence. Since ∠MOT and ∠MOA are supplementary and congruent, then each of them is a right angle. Therefore ME ⊥ AT by the definition of perpendicular.
  • 87.
    7 Example 1 The figureat the right is a rectangle. E V If the diagonal LV = 2x and the diagonal OE = 12 cm, find x. Solution: Step 1. The diagonals of a rectangle are congruent. L O LV ≅ OE LV = OE (Congruent segments have equal lengths) Step 2. Substitute 2x for LV and 12 for OE. Then solve for x. 2x = 12 x = 6 Answer: The value of x is 6 cm. Example 2 D C Quadrilateral ABCD at the right is a square. Find m∠CAB Solution: Step 1, Quadrilateral ABCD is a square and a square is a rectangle. A B Therefore: m∠DAB = 90. Step 2. But each diagonal of a square bisects a pair of opposite angles. Hence: m ∠CAB = 2 1 m∠DAB Step 3. Substitute 90 for m∠DAB. m ∠CAB = 2 1 (90) = 45 Answer: m ∠CAB =45 A N Example 3 EDNA is a square. If m∠END is 3(x +5), what is x? E D
  • 88.
    8 Solution: a. m∠DCB =90 since ABCD is a square b. Each diagonal of a square bisects a pair of opposite angles. Hence: m∠ACB = 45 3(x + 5) = 45 3x + 15 = 45 3x = 45 – 15 3x = 30 x = 10 D C Example 4 The figure at the right is a rhombus. If m ∠CAB = 30 , what is the m ∠ CAD? Step 1. Each diagonal of a rhombus bisects pair of opposite angles. A B m ∠ CAD = m ∠CAB Step 2. Substitute 30 for m ∠CAB in the above equation. m ∠ CAD = 30 Answer: The measure of ∠ CAD is 300 . Example 5 DEFG is a rhombus. If m∠FGE = 5x – 8 and m∠DGE = 3x + 22, find the measure of (a) m ∠FGE (b) m∠DGE and (c) m∠FGD G F D E Solution: Step 1. Each diagonal of a rhombus bisects a pair of opposite angles. m∠FGE = m∠DGE 5x – 8 = 3x + 22 5x – 3x = 22 + 8 2x = 30 x = 15
  • 89.
    9 Step 2. Substitute15 for x a. m∠FGE = 5x – 8 = 5(15) – 8 = 67 b. m∠DGE = 3x + 22 =3(15) + 22 = 67 c. m∠FGD = m∠FGE + m∠DGE = 67 + 67 = 134 Answers: (a) m ∠FGE = 67 (b) m∠DGE = 67 (c) m∠FGD = 134 Example 6 BETH is a rhombus. If m∠TBE = 35, H T what is m∠HEB? M Solution: Step 1. The diagonals of a rhombus B E are perpendicular. Hence, ∠BME is a right angle and its measure is 900 . m∠BME = 90 Step 2. The sum of the measures of the angles of a triangle is 1800 m∠TBE + m∠BME+ m∠HEB = 180 Step 3. Substitute 35 for m∠TBE and 90 for m∠BME in the above equation. 35 + 90 + m∠HEB = 180 125 + m∠HEB = 180 m∠HEB = 180 – 125 m∠HEB = 55. Answer: m∠HEB = 55 D C Example 7 M ABCD is a rhombus. If AM = 16 cm, what is CM? A B
  • 90.
    10 Solution: Step 1. Thediagonals of a rhombus Bisect each other. CM = AM Step 2. Substitute 16 cm for AM in the above equation. CM = 16 cm Answer: CM = 16 cm Try this out Set A . ABCD is a rectangle. D C A B True or False 1. The lengths of AC and BD are equal. 2. Diagonals AC and BD are perpendicular. 3. The diagonal AC bisects ∠DCB. 4. A rectangle is a parallelogram. ABCD is a square D C E 5. ∠EAB ≅ ∠EBC 6. ∠DEC is a right angle. A B FGHI is a rhombus. I H 7. m∠FIG = m∠HIG J 8. The sum of m∠JFG and m∠JGF is 45. 9. ∆FIG ≅∆ HGI F G 10.The diagonal FH bisects the rhombus into two congruent triangles.
  • 91.
    11 Set B ABCD isa rectangle D C A B Find the indicated measure 1. AC = 15 dm. Find BD 2. BD = 23 cm. Find AC EFGH is a rhombus Find the indicated measure. H G 3. m∠HGE = 35. Find m∠FGE. I 4. m∠HEI = 20. Find m∠FEI. 5. m∠IEF = 30. Find m∠IFE 6. m∠IHE = 58. Find m∠IEH 7. m∠IEF = 20. Find m∠IEF + m∠EIF E F 8. m∠IGH = 25. Find m∠IGH + m∠HIG 9. If ABCD is a square, D C then m∠ACB = ________ 10.If ABCD is square, then m∠ DEC =___________ E A B Set C ABCD is a rectangle with diagonals AC and BD. D C 1. AC = 2x + 15, BD = 3x + 10. Find AC. 2. BD = 6x + 5, AC = 5x + 14. Find BD. A B
  • 92.
    12 FERM is arhombus. M R I F E 3. If m∠IFE = x +20, m∠IEF = x + 26 ,find x. 4. If m∠IMR = 4x + 20, m∠IRM = 2x + 10, find x. 5. m∠IFE + m∠IEF = __________ 6. m∠IMR + m∠IRM = _________ BETH is a square. H T B E 7. If HM = x + 15, HE = 40, what is x? 8. If EM = x + 9, HE = 30, what is x? 9. If BM = x + 12, EM = 2x – 20, what is x? 10.If HM = 44 – x, TM = 4 + 3x, what is x? Lesson 2 Conditions for a Parallelogram The following are some conditions which guarantee that a given quadrilateral is a parallelogram. 1. If both pairs of opposite sides of a quadrilateral are congruent, then the quadrilateral is a parallelogram. 2. If both pairs of opposite angles of a quadrilateral are congruent, then the quadrilateral is a parallelogram. 3. If one pair of opposite sides of a quadrilateral are both congruent and parallel, then the quadrilateral is a parallelogram. 4. If the diagonals of a quadrilateral bisect each other, then the quadrilateral is a parallelogram.
  • 93.
    13 5. If thenon-opposite angles of a quadrilateral are supplementary, then the quadrilateral is a parallelogram. You can verify these sets of sufficient conditions which guarantee that a quadrilateral is a parallelogram. In the following activities you need a pencil, a ruler, a protractor and pieces of bond paper and graphing paper. 1. If both pairs of opposite sides of a quadrilateral are congruent, then the quadrilateral is a parallelogram. Do this activity: a. On a graphing paper, draw a quadrilateral such that both pairs of opposite sides are congruent. ( See the illustration.) b. Are the opposite sides equidistant? Find this out by using a ruler. c. Are both pairs of sides parallel? (Remember, parallel lines are everywhere equidistant.) d. Can you now conclude that the quadrilateral is a parallelogram? Why? 2. If both pairs of opposite angles of a quadrilateral are congruent, then the quadrilateral is a parallelogram. a. On a graphing paper, with the aids of a ruler and a protractor, construct an quadrilateral such that both pairs of opposite angles are congruent. (See illustration)
  • 94.
    14 b. Are theopposite sides congruent? c. Can you now conclude that the quadrilateral is a parallelogram? Why? 3. If one pair of opposite sides of a quadrilateral are both congruent and parallel, then the quadrilateral is a parallelogram. Do this activity a. On a graphing paper, draw a quadrilateral such that one pair of opposite sides are both congruent and parallel. ( See illustration below) b. Are the other two opposite sides congruent? c. Can you now conclude that the quadrilateral is a parallelogram? Why? 4. If the diagonals of a quadrilateral bisect each other, then the quadrilateral is a parallelogram.
  • 95.
    15 a. On abond paper, draw segments AC and BD bisecting each other. (See the illustration below.) D C A B b. Connect A to B, B to C, C to D and D to A . D C A B c. Using a ruler, find the lengths of AB and CD. Are they equal? d. Using a ruler, find the lengths of AD and BC. Are the lengths equal? e. What kind of quadrilateral is ABCD? 5. If the non-opposite angles of a quadrilateral are supplementary, then the quadrilateral is a parallelogram. a. On a bond paper, draw angle A. (See the illustration below.) A b. Draw angle ADC such that its measure is supplementary to that of angle A. ● C A D
  • 96.
    16 c. Draw angleDCB such that its measure is equal to that of angle A. B ● C A D d. Find the measure of angle CBA. Is it equal to the measure of angle ADC? Are ∠A and ∠B supplementary? How about ∠B and ∠C? How about ∠D and ∠C? Why/ e.What kind of quadrilateral is ABCD? Example 1 Determine whether the figure is a parallelogram. Identical “tick marks” indicate that the sides are congruent and identical “arrowheads” indicate the lines are parallel. Solution: If one pair of opposite sides of a quadrilateral are both congruent and parallel, then the quadrilateral is a parallelogram. Hence the geometric figure is a parallelogram. Example 2 Determine whether the figure is a parallelogram. Solution:
  • 97.
    17 A pair ofalternate interior angles are congruent, therefore a pair of opposite sides are parallel. These parallel sides are also congruent. As can be seen in the figure, they have the same length. Hence the figure is a parallelogram. Example 3. Find the value of x for which ABCD is a parallelogram. A D 270 3x B C Solution: If two lines are cut by a transversal and a pair of alternate interior angles are congruent, then the lines are parallel. AD // BC since ∠ADB ≅∠CBD CD // AB if 3x = 27 x = 9 Hence the value of x should be 9. Try this out Set A True or False 1. If both pairs of opposite sides of a quadrilateral are congruent, then the quadrilateral is a parallelogram. 2. If both pairs of opposite angles of a quadrilateral are congruent, then the quadrilateral is a parallelogram. 3. If one pair of opposite sides of a quadrilateral are parallel, then the quadrilateral is a parallelogram. 4. If the diagonals of a quadrilateral bisect each other, then the quadrilateral is a parallelogram. 5. If the opposite angles of a quadrilateral are supplementary , then the quadrilateral is a parallelogram.
  • 98.
    18 ABCD is aquadrilateral. AD = 5 cm and AB = 9 cm. y D C 5 cm x A B 9 cm 6. ABCD is a parallelogram if x = 5 cm and y = 9 cm. 7. ABCD is a parallelogram if m∠C = 60 and m∠B = 120. 8. ABCD is a parallelogram if AB // DC. 9. ABCD is a parallelogram if m∠B ≅m∠D 10. ABCD is a parallelogram if AB ≅ DC ≅ AD ≅ BC. Set B. Determine whether each quadrilateral is a parallelogram. Identical “tick marks” indicate that the sides or angles are congruent and identical “arrowheads” indicate the lines are parallel. D C 1. A B D C 2. A B 3.
  • 99.
  • 100.
    20 15 cm 10. 300 300 15cm Set C. What values of x and y guarantee that each quadrilateral is a parallelogram. 1. 6. y 500 450 1350 x y 3x y 2y 2 1100 700 7. x 8 cm x y 14 cm y 126 3. 8. 6 cm x 90 x 12 cm 3y 15 cm 2x + 10 4. 9. y 4 cm 2y 24 70 x 4y 2x 600 5. 10, 5 2x – 5 y 1200 32
  • 101.
    21 Let’s summarize 1. Adiagonal of a quadrilateral is a segment which connects any two non-consecutive vertices. 2. The diagonals of a rectangle are congruent. 3. The diagonals of a square are congruent. 4. The diagonals of a square are perpendicular 5. Each diagonal of a square bisects a pair of opposite angles. 6. The diagonals of a rhombus are perpendicular. 7. Each diagonal of a rhombus bisects a pair of opposite angles 8. A square is a special type of rhombus. 9. If both pairs of opposite sides of a quadrilateral are congruent, then the quadrilateral is a parallelogram. 10.If both pairs of opposite angles of a quadrilateral are congruent, then the quadrilateral is a parallelogram. 11.If one pair of opposite sides of a quadrilateral are both congruent and parallel, then the quadrilateral is a parallelogram. 12.If the diagonals of a quadrilateral bisect each other, then the quadrilateral is a parallelogram. 13.If the non-opposite angles of a quadrilateral are supplementary, then the quadrilateral is a parallelogram. 14.A quadrilateral is a parallelogram if both pairs of opposite side are parallel What have you learned Multiple Choice. Choose the letter of the correct answer. 1. A parallelogram is a rhombus if A. The diagonals bisect each other B. The diagonals are perpendicular. C. Two consecutive angles are supplementary. D. The opposite sides are parallel. 2. Which of the following is sufficient to guarantee that a quadrilateral is a parallelogram? A. The diagonals are perpendicular B. A pair of adjacent sides are congruent C. Two consecutive angles are congruent D. The diagonals bisect each other
  • 102.
    22 3. ABCD isa rectangle. if diagonal AC = 2x + 6 and diagonal BD = 10, what is x? A. 1 C. 3 B. 2 D. 4 4. ABCD is a rhombus. D C A B If m∠DCA = 2(x+8) and m∠BCA = 3x + 9, what is m∠DCB? A. 40 C. 60 B. 50 D. 70 5. ABCD is a square. D C A B If m∠ABD = 3(x + 10), what is x? A. 1 C. 5 B. 3 D. 7 6. ABCD is a rhombus. Diagonals AC and BD intersect each other at E. D C E A B If AE = 12 and CE = 3x, what is x? A. 2 C. 6 B. 4 D. 8
  • 103.
    23 7. ABCD isa rhombus . Diagonals AC and BD intersect at E. D C E A B What is m∠AED? A. 30 C. 60 B. 45 D. 90 8. What values of x and y guarantee that ABCD is a parallelogram. D C y 64 x y A. x = 64 , y = 116 C. x = 64, y = 64 B. x = 32, y = 116 D. x = 32, y = 64 9. Find the value of x for which ABCD is a parallelogram. D C 400 800 800 2x A B A. 10 C. 30 B. 20 D. 40 10. Find the value of x for which ABCD is a parallelogram. 18 3x – 6 12 18 A. 8 C. 4 B. 6 D. 2
  • 104.
    24 Answer Key How muchdo you know 1. True 2. False 3. True 4. True 5. True 6. True 7. AC = 100 8. AE = 15 9. m∠FCD = 20 10.x = 10 Lesson 1 Set A 1. True 2. False 3. False 4. True 5. True 6. True 7. True 8. False 9. True 10.True Set B 1. 15 2. 23 3. 35 4. 20 5. 60 6. 32 7. 110 8. 115 9. 45 10.90 Set C 1. AC = 25 2. BD = 59 3. x = 22 4. x = 10 5. 90 6. 90 7. x = 5 8. x = 6 9. x = 32 10.x = 10 Lesson 2 Set A 1. True 2. True 3. False 4. True 5. False 6. True 7. True 8. True 9. True 10.False Set B 1. Parallelogram 2. Parallelogram 3. Parallelogram 4. Parallelogram 5. Parallelogram 6. Parallelogram 7. Not a parallelogram 8. Not a parallelogram 9. Parallelogram 10.Parallelogram Set C 1. x = 500 y = 1300 2. x = 700 y = 1100 3. x = 6 cm y = 12 cm 4. x = 15 cm y = 4 cm 5. x = 600 y = 600 6. x = 450 y = 450 7. x = 8 cm y = 7 cm 8. x = 90 units y = 42 units 9. x = 30 units y = 12 units 10.x = 5 units y = 8 units What have you learned 1. B 2. D 3. B 4. C 5. C 6. B 7. D 8. A 9. B 10.B
  • 105.
    MODULE 1 Geometric Relations Whatthis module is about This module is about relations of segments and angles. As you go over the exercises, you will develop your skills involving points, segments and angle pairs and solve problems on the relationships between segments and between angles. Treat the lessons with fun and take time to go back if you feel you are at loss. What you are expected to learn This module is designed for you to: 1. illustrate betweenness and collinearity. 2. illustrate the following: • congruent segments • midpoint of a segment • congruent angles • bisector of an angle • complementary angles • supplementary angles • adjacent angles • linear pair • vertical angles
  • 106.
    2 How much doyou know Answer the following questions asked from the given figure: . A D I M H J P . . . . . . . . . . -3 E O 3 6 F C Answer the following questions: 1. What is /IP/? 2. If /IM/ = /MH/ = /IH/, then what point is between the other two? 3. If M is the midpoint of AC, what segments are congruent? 4. Name the coordinate of the midpoint of IJ 5. ∠ EMF and ∠ FMC are ____ angles. 6. ∠ EMF form a linear pair with ______. 7. If ∠ EMF is the complement of ∠ FMC and on ∠ FMC = 75, what is on ∠ EMF? 8. If ∠ AMD ≅ ∠ DMC and are supplementary, what kind of angle is each? 9. What is the measure of each angle if the measure of the angles in a supplementary pair is twice that of the other? 10. What is the measure of each angle if the two angles are both vertical and complementary?
  • 107.
    3 What you willdo Lesson 1 Collinearity of Points You may ask this question, “how many points are there in a line?” “ How many points are there in a plane?” Do you know the answer? Yes, it is infinite or many points. Now you take a look at BP in the figure. • .X B C P • Y •Z Points B, C, P are contained in BP Points X, Y, Z are not in BP Points B, X, Y are not in BP The set of points B, C, P are collinear The set of points X, Y, Z are not collinear The set of points B, X, Y are not collinear Collinear points is a set of points which are contained in a line Examples: The following set of points are collinear 1. A, O, P, L S 2. M, N, P, S A O P L M N
  • 108.
    4 A 3. A, Q,C P . . Q 4. A, P, B, S 5. B, R, C . B .R . C S Do you still remember the number line? A B C D E F G H I J K L M N . . . . . . . . . . . . . . . -6 -5 -4 -3 -2 -1 0 1 2 3 4 5 6 7 The points of a line can be placed in correspondence with the real numbers in such a way that: 1. to every point of the line there corresponds exactly one real number; 2. to every real number there corresponds exactly one point of the line; 3. the distance between any two points is the absolute value of the corresponding numbers. The number corresponding to a given point is called the coordinate of the point. Examples: 1. The coordinate of M is 6, the coordinate of G is 0, the coordinate of B is -5. B C . . . . . X -1 O 1 Y 2. If the coordinate of B is x and the coordinate of C is y then, /BC/ = /X-Y/ (read as distance BC equals the absolute value of X minus Y).
  • 109.
    5 J B . .. . . . . . . . . -5 O 3 3) /JB/ = │-5 - +3│ = │-8│ = 8 Try this out Which set of points are collinear: C B . 1. A, O D D E 2. A, B, O A O 3. B, O, F 4. G, O, F 5. C, O G G . F A B C D E F G H I J K L M . . . . . . . . . . . . . -6 -5 -4 -3 -2 -1 0 1 2 3 4 5 Give the coordinate of each of the following points: 6. G 7. D 8. M 9. A 10. K B. The coordinates of P and Q are listed. Find /PQ/. 1. P: O 6. P: 7 Q: 7 Q: 3
  • 110.
    6 2. P: 127. P: 19 Q: 0 Q: 113 3. P: 4 8. P: 5 Q: 15 Q: - 5 4. P: 21 9. P: 56 Q: 14 Q: -18 5. P: 15 10. P: -12 Q: 6 Q: -51 M N O P Q R S C T U V W X Y Z A B C. . . . . . . . . . . . . . . . . . . . . . -5 -4 -3 -2 -1 0 1 2 3 4 5 -4.5 0.5 ∏ Find: 1. /PS/ 6. /RX/ + /PR/ 2. /US/ 7. /CR/ + /OR/ 3. /PT/ 8. /PS/ + /RU/ 4. /NC/ 9. /SW + /WY/ 5. /NT/ 10. /NR/ + /RW/ Lesson 2 Betweenness A B C . . . Let A, B, C be three points. B is between A and C. If A, B and C are on one line and /AB/ + /BC/ = /AC/. This definition of betweenness means that: 1. If B is between A and C, then A, B and C then, A, B, C are collinear and /AB/ + /BC/ = /AC/. 2. If A, B and C are collinear and /AB/ + /BC/ = /AC/ then, B is between A and C.
  • 111.
    7 Examples: 1. If x,y, and z are collinear X Y Z and /xy/ + /yz/ = /xz/ then, Y is between X and Z. R 2. Given: T is between R and U Conclusion: R, T, U are collinear and /RT/ + /TU/ = /RU/ . T .U 3. O is between S and P S O P Find /SP/ . . . Solution: -2 0 3 /SO/ + /OP/ = /SP/ 2 + 3 = /SP/ 5 = /SP/ Try this out A. Which point is between the other two? 1. . P . O . M C E U 2. B O A 3. 4. A, B, and C are three points on a line with coordinates 8, 4, and 13 respectively.
  • 112.
    8 5. R, S,and T have coordinates x, y, and z respectively x < y < z. From each of the following equations determine which point is between the other two. 6. /AB/ + /BC/ = /AC/ 7. /PO/ + /QR/ = /PR/ 8. /LM/ + /LN/ = /MN/ 9. /BC/ - /AB/ = /AC/ 10. /QR/ - /PQ/ = /RP/ P Q R S T U V W X B. . . . . . . . . . . -5 -4 -3 -2 -1 0 1 2 3 4 1. Is it true that /QS/ + /ST/ = /QT/? 2. Is it true that /PS/ + /ST/ = /PT/? 3. Is it true that /PW/ - /PR/ = /RW/? 4. Is it true that O is the coordinate of the midpoint of PX? 5. Is it true that /XP/ - /WX/ = /PW/? A B C D E F G H I J K L M 6. – 10. . . . . . . . . . . . . . -6 -5 -4 -3 -2 -1 0 1 2 3 4 5 6 6. Give the distance between points G and J. 7. Give the distance between points G and D. 8. Find the distance between G and the midpoint JL . 9. Find the coordinate of the midpoint of DK. 10. Find the midpoint of AM. C. A E I O U B . . . . . . -10 -5 0 5 10 15 Using the figure complete the statement in nos. 1 – 5. If E is between A and B, 1. /AB/ = /AE/ + ____________________ 2. /AE/ = /AB/ - ____________________ 3. /E/ = /AB/ - ____________________ 4. /AB/ = __________________________ 5. /IB/ = ________________________ 6. What is the coordinate of the midpoint of AU?
  • 113.
    9 7. What twosegments are congruent if O is the midpoint of BE? 8. Find a segment congruent to AO with B as one endpoint. 9. O is the midpoint of a segment with I as one of the endpoints. Find the segments. 10. AU ≅ ________. Lesson 3 Congruent Segments and Midpoint of a Segment Segments are congruent if and only if they have equal measures. Examples: R O 1. RS ≅ XY . 0 4 If you look at RS and XY X Y m RS = /0-4/ = 4 . . m XY = /4-8/ = 4 4 8 m RS = m XY ∴RS ≅ XY 2. AD ≅ EH A B C D E F G H I J . . . . . . . . . . -4 -3 -2 -1 0 1 2 3 4 5 3. AI ≅ BJ 4. if m MB = 25 cm. and m ST = 25 cm then MB ≅ ST 5. RM = MB = 6 then, RM ≅ MB Midpoint – is a midpoint of the segment which divides the segment into two congruent parts. Examples: 1. P is the midpoint of BC __.________.____ ___.__ B P C if and only if BP ≅ PC .
  • 114.
    10 2. O isthe midpoint of SP .S 2.5 O 2.5 3. M is between D and E .P such that MD ≅ ME , then M is called the midpoint of DE More about midpoint A A segment has exactly one midpoint If M is also midpoint of AY then .M 2 /AM/ = /AY/ 2 /MY/ = /AY/ /AM = 2 1 /AY/ /MY/ = 2 1 /AY/ Y Any line that passes through the midpoint of a segment is called a bisector of the segment. Try this out A. D E F G H I J K L M N O P Q R S . . . . . . . . . . . . . . . . -8 -7 -6 -5 -4 -3 -2 -1 0 1 2 3 4 5 6 7 1. What is the distance between D and G? 2. What is m LO? 3. What can you conclude about DG and LO? 4. What two points are at a distance 3 from L? 5. What can you say about LO and LI? Given: MD with point A M between points M and D such that /MA/ = 2 1 /MD/ and /MD/ = 12 A 6. What is /MA/? 7. What is /AD/? D 8. Is /MA/ = /AD/?
  • 115.
    11 9. Is MA≅ AD? 10. Is A the midpoint of MD? Given ME, SO, PA, and RU with their respective measures M . 5 cm . E S . 10 cm .O P . 10 cm .A R . 12 cm .U Write <, > or = to compare the measures of the line segments. 1. /ME/ ________ /SO/ 2. /SO/ ________ /PA/ 3. /PA/ ________ /RU/ 4. /RU/ ________ /PA/ 5. /RU/ ________ /ME/ M N O P Q R S T U V W X Y Z A B C . . . . . . . . . . . . . . . . . -8 -7 -6 -5 -4 -3 -2 -1 0 1 2 3 4 5 6 7 8 6. How far is it from M to P? 7. How far is it from C to Z? 8. Find /RZ/ 9. Find /CU/ 10. Give two pairs of congruent segments. C. A B C D E F G H I J K . . . . . . . . . . . . . . . -10 -8 -4 -2 0 2 4 6 1. /AD/ = ________ 2. m AD _________ m DG 3. AD _________DG 4. If D is between A and G, /AD/ + /DG/ = __________. 5. D is the midpoint of ______________. 6. If G is the midpoint of EI then __________≅ _______. 7. If AD ≅ DG then_______ is the midpoint of AG 8. Suppose point B is on AC and B is not a midpoint of AC, then /AB/ + /BC/ = ___________.
  • 116.
    12 Given: Point Mis the midpoint of JK and JM = 5. Complete the following: 9. /MK/ = _______ 10. /JK/ = _______ and JM ≅ ________. Lesson 4 Congruent Angles and Angle Bisector Congruent Angles are two angles with equal measure Angle bisector is a ray from the vertex of an angle to a point in its interior which divides the angle into two congruent parts. Examples: C 1. m ∠ AOF = 15 90 D m ∠ EOG = 15 B 45 m ∠ AOF = m∠ EG E . ∴ ∠ AOF ≅ ∠ EDG A 15 2. m∠ 1 = 45 m∠ 2 = 45 F O G m∠ 1 = m∠ 2 ∴ ∠ 1 ≅ ∠ 2 3. ∠ X ≅ ∠ Y X 60º Y 60º B . 4. OB is an angle bisector A . C . O
  • 117.
    13 L 5. OB isan angle bisector of ∠ LOA B 30º O 30º A 6. AC is not an angle bisector B C 40º 30º A D You can also state the definition of angle bisector this way: If D is in the interior of ∠ BAC B and ∠ BAD ≅ ∠ DAC, then AD bisects ∠ BAC and AD is called the bisector of LBAC D A C Try this out A. Complete the following statements: 1.Two angles are said to be congruent if the angles have ______ measures. 2. When two angles have equal measures, the angles are________ 3. If m∠ 3 = 57 and ∠ 4 = 57 then ∠ 3 and ∠ 4 are _____________ angles. 4. A ray from the vertex to the interior of the angle which bisects an angle is called ____. 5. If ∠ LEM ≅ ∠ MEN then________ L M is the angle bisector of ∠ LEN E N 6. ∠ MON ≅ _________ 7. ∠ SOT ≅ _________
  • 118.
    14 8. ∠ POQ≅ _________ 9. ∠ MDQ ≅ _________ 10. ________ is the angle Nos. 6-10 bisector of ∠ POR. M O T 30 15º N 15º 30º 45º 45º S P Q R B. 1. Name two congruent angles with R H S JK as a common side. 30º 30º 2. Give another pair of congruent angles each measuring 30º. J 3. What do you call JH? 30º 30º 4. JK is ______of angle PJQ. 5. ∠ RJS____∠ PJQ P K Q 6. If IT is the angle bisector name two congruent angles. Nos. 6-8 7. If m∠ PIS = 90 and IT is a P T bisector what is m∠ SIT? 8. If IT is a bisector of ∠ PIS and m∠ PIT = 33, what is m∠ SIP? I S 9. If m∠ O = 120 what is m∠ A if ∠ O ≅ ∠ A? 10. If ∠ O is bisected what is the measure of each part? O A
  • 119.
    15 Lesson 5 Complementary andSupplementary Angles The sum of the measures of complementary angles and two angles is equal to 90. Here you can see ∠ M is the complement of ∠ P. ∠ is the complement of ∠ P. 60º 60º M N m∠ M + m∠ P = 90 ∠ M and ∠ P are complementary angles. 30º P The sum of the measures of supplementary angles are two angles is equal to 180. Each of two supplementary angles is called a supplement of the other angle. You can see that ∠ B is the supplement of ∠ E. 120 60 m∠ B + m∠ E = 180 B E ∠ B and ∠ E are supplementary angles. Examples: A 1. 15º + 75º = 90º B ∠ AOB and ∠ BOC are 75º complementary angles. 15º O C 2. 140º + 40º = 180º R ∠ SER and ∠ TER are supplementary angles 140º 40º S E T 3. Given m∠ LI = ∠ 70º, find its complement. Since the sum of the measures of complementary angles is equal to 90, subtract the given angle from 90 to get the complement. Solution: 90 – m∠ I = complement 90 – 70 = 20
  • 120.
    16 4. ∠ Xand ∠ Y are supplementary. Find m∠ Y if m∠ X = 100. Solution: m∠ X + m∠ Y = 180 100 + m∠ Y = 180 m∠ Y = 180 - 100 m∠ Y = 80 Try this out A. In the given figure, ∠ AOB and ∠ DOC are right angles 1 - 2. Name all pairs A B of complementary angles 1 2 3 4 3 – 4. Name all pairs of supplementary angles O 5 6 7 8 C D What is the complement of each of the angles whose measures are given: 5. 12º 8. 67º 6. 39º 9. 79º 7. 41º 10. 84.5º B. What is the supplement of each of the angles whose measures are: 1. 11º 2. 44º 3. 121º 4. 152.5º 5. 78.6º 6. ∠ A and ∠ B are complementary. If ∠ A = 78º then, ∠ B = _______. 7. ∠ C and ∠ D are supplementary. If ∠ C = 110.5º then, ∠ D = _______. 8. An angle has a measure x. Find the measure of its complement. 9. An angle has a measure 2x. Find the measure of its supplement. 10.Two supplementary angles have measure of 2x – 15 and x + 30. C. Find the measure of each angle. 1. If∠ X and ∠ Y are supplementary then, m∠ X + m∠ Y = _______. 2. If the m∠ O + m∠ P = 90 then, ∠ O and ∠ P are ______________.
  • 121.
    17 3. What isthe complement of ∠ K whose measure is m? 4. Find the supplement of an angle whose measure is a. 5. If two congruent angles are complementary then, each angle has a measure of ____. 6. If two angle are complementary then, each is a ____of the other. 7-8. The measure of an angle is 15 greater than twice the measure of its complement. Find the measure of each angle: 9-10. The measure of an angle is 20 less than three times the measure of its supplement. Find the measure of each angle. Lesson 6 Adjacent Angles, Linear Pair, Vertical Angles Adjacent angles are two angles which have a common side and a common vertex but no interior points common. Examples: B 1 A C R 2 M P Q ∠ 1 and∠ 2 are adjacent ∠ S ∠ AOB and∠ BOC ∠ MPR and ∠ RPQ are adjacent∠ S are adjacent ∠ S M J N B L A E Y O P ∠ BEL and ∠ JAY are not ∠ MOP and ∠ MON are not adjacent angles adjacent angles
  • 122.
    18 A linear pairare two adjacent angles whose non common sides are opposite rays. Examples: S C P I P S E M A O B T ∠ SEP and ∠ PEM ∠ COA and ∠ BOC ∠ PIT and ∠ SIT form a linear pair form a linear pair form a linear pair If you try to measure each angle forming a linear pair, you will find out that the sum of their measures is 180. So angles forming a linear pair are supplementary. Vertical Angles are two nonadjacent angles formed by two intersecting lines: Examples: A B 1 4 2 O 3 C D ∠ 1 and ∠ 3 are vertical angles ∠ AOB are DOC vertical angles ∠ 2 and ∠ 4 are vertical angles ∠ BOC and ∠ AOD are vertical angles Use your protractor to measure each angle in the figure Find: m∠ 1 = ___________ m∠ 2 = _________ m∠ 3 = ___________ m∠ 4 = _________ m∠ AOB = _______ m∠ BOC = ______ m∠ DOC = _______ m∠ AOD = ______ Have you found out that they have the same measure? Therefore, vertical angles are congruent.
  • 123.
    19 Try this out A.. R U. 1 – 2 Name 2 angles adjacent to ∠ 1 2 . 1 3 . T O 4 Q . 5 S 3. Name an angle which form a linear pair with ∠ 4. 4 – 5. Name two pairs of vertical angles 6. Are ∠ 1 and ∠ 5 adjacent? 7. Are ∠ 4 and ∠ 5 adjacent? 8. What pair of ∠ S are ∠ 3 and ∠ 4? 9. Are ∠ 1 and ∠ 3 vertical angles? 10. ∠ SOU form a linear pair with ∠ ________. B. Answer with Yes or No. 1. Are ∠ 3 and ∠ 6 vertical angles? 2 3 2. Are ∠ 2 and ∠ 3 adjacent angles? 3. Are ∠ 1 and ∠ 8 vertical angles? 4. Are ∠ 7 and ∠ 8 linear pair? 5. Are ∠ 4 and ∠ 8 linear pair? 1 6. Are ∠ 1 and ∠ 8 adjacent? 7 8 7. Are ∠ 1 and ∠ 7 linear adjacent? 4 8. Are ∠ 1 and ∠ 7 linear pair? 9. Are ∠ 5 and ∠ 6 adjacent? 10. Are ∠ 1 and ∠ 4 vertical angles? 6 5 C. True or False 1. Complementary angles are always adjacent. 2. Supplementary angles are sometimes adjacent. 3. The angles of a linear pair are always adjacent. 4. Vertical angles are sometimes adjacent. 5. If two angles are vertical then, they are either both acute or both obtuse. 6. Two adjacent right angles are supplementary. 7. Two vertical angles are always congruent. 8. If two angles form a linear pair, they are supplementary. 9. If one of the angles in a linear pair is 90, then the other angle has a measure greater than 90. 10. If two adjacent angles are congruent and complementary, the measure of each angle is 90.
  • 124.
    20 Let’s Summarize Collinear pointsis a set of points which are contained in a line. The points of a line can be place in correspondence with the real numbers in such a way that: • to every point of the line there corresponds exactly one real number; • to every real number there corresponds exactly one point of the line; • the distance between any two points is the absolute value of the difference of the corresponding numbers. The number corresponding to a given point is called the coordinate of the point. Let A, B, C be three points. If A, B, C are on one line and. B is between A and C then, /AB + /BC/ = /AC/ Congruent segments are segments with equal measure. Midpoint is a point of a segment which divides the segment into 2 congruent parts. Congruent angles are angles with equal measure. Angle bisector is a ray from the vertex of an angle to a point In its interior which divides the angle into two congruent parts. Complementary angles are two angles whose measures have the sum equal to 90. Supplementary angles are two angles whose measures have the sum equal to 180. Adjacent angles are two angles which have a common side and a common vertex but no interior points in common. Linear Pair are two adjacent angles whose noncommon sides are opposite rays. Vertical angles are two nonadjacent angles formed between two intersecting lines.
  • 125.
    21 What have youlearned 1. What is /BD/? 2. If RA ≅ SA what do you call point A? R N 3. Name a supplement of ∠ NAS. 4. What angle pair is 400 Illustrated by B E A 50º C D ∠ RAN and ∠ NAS? -6 -3 3 6 5. If ∠ BAM ≅ ∠ SAM what do you call AM? M S 6. ∠ RAN is vertical to ∠ _____. 7. The measure of ∠ SAM = _____. 8.- 9. If the measure of an angle is twice the measure of its complement, what is the measure of each angle? 10. The measure of ∠ B is 9 more than twice the measure of ∠ C. If ∠ B and ∠ C are supplementary angles, what is the measure of ∠ B?
  • 126.
    22 Answer Key How muchdo you know 1. 9 6. ∠ FMD 2. M is between and H 7. 15 3. AM ≅ MC 8. right 4. I 9. 60º, 120º 5. adjacent 10. 45ºTry this out Try this out Lesson 1 A. 1. collinear 6. 0 2. not collinear 7. -3 3. collinear 8. 6 4. not collinear 9. -6 5. collinear 10. 4 B. 1. 7 6. 4 2. 12 7. 94 3. 11 8. 10 4. 7 9. 74 5. 9 10. 39 C. 1. 3 6. 7 2. 2 7. 4.5 3. 4 8. 6 4. 5 9. 5 5. 5.5 10. 7.64 Lesson 2 A. 1. O is between P and M 6. B is between A and C 2. E is between C and U 7. Q is between P and R 3. O is between B and A 8. L is between M and N 4. A is between B and C 9. A is between B and C 5. S is between R and T 10. P is between R and Q B. 1. Yes 6. 3 2. Yes 7. 3 3. Yes 8. 4 4. Yes 9. 0.5
  • 127.
    23 5. Yes 10.G C. 1. /EB/ 6. O 2. /EB/ 7. EO ≡ OB 3. /AE/ 8. IB 4. 25 9. IU 5. 15 10. BE Lesson 3 A. 1. 3 6. 6 2. 3 7. 6 3. DG≅ LO 8. Yes 4. O and I 9. Yes 5. LO ≅ U 10. Yes B. 1. < 6. 3 2. = 7. 3 3. < 8. 8 4. > 9. 8 5. > 10. MD ≅ CZ and RZ ≅ CU (answers may vary) C. 1. 6 6. EG≅ GI 2. = 7. D 3. ≅ 8. /AC/ 4. 12 9. 5 5. /AG/ (answers may vary) 10. 10, MK Lesson 4 A. 1. equal or the same 6. ∠ SOR 2. congruent 7. ∠ NOP 3. congruent 8. ∠ QOR 4. angle bisector 9. ∠ TOQ 5. EM 10. OQ B. 1. ∠ PJK and ∠ QJK 6. ∠ PIT ≅ ∠ SIT 2. ∠ RJH and ∠ HJS 7. 45 3. angle bisector 8. 66 4. angle bisector 9. 120 5. ≅ 10. 60 Lesson 5 A. 1. ∠ 3 and ∠ 4 6. 51º
  • 128.
    24 2. ∠ 5and ∠ 6 7. 49º 3. ∠ 1 and ∠ 2 8. 23º 4. ∠ 7 and ∠ 8 9. 11º 5. 78 10. 5.5º B. 1. 169º 6. 12º 2. 136º 7. 69.5º 3. 59º 8. 90 - x 4. 27.5º 9. 180 - 2x 5. 101º 10. 95, 85 C. 1. 180 6. complement 2. complementary 7. 65 3. 90 - m 8. 25 4. 180 - a 9. 130 5. 45º 10. 50 Lesson 6 A. 1. ∠ 2 6. Yes 2. ∠ 5 7. Yes 3. ∠ 5 and ∠ ROQ 8. adjacent 4. ∠ 1 and ∠ 4 9. No 5. ∠ SOT and ∠ ROQ 10. ∠ ROU B. 1. No 6. Yes 2. No 7. Yes 3. No 8. Yes 4. Yes 9. No 5. Yes 10. Yes C. 1. False 6. True 2. True 7. True 3. True 8. True 4. False 9. False 5. False 10. False What have you learned 1. 12 6. ∠ SAM 2. Midpoint 7. 40º 3. ∠ RAN 8. 60º 4. Linear pair 9. 30º 5. Angle bisector 10. 123º
  • 129.
    Module 2 Geometric Relations Whatthis module is about This module will explain to you different characteristics of lines on a plane. In this module, you will discover that in a plane, lines may be parallel, perpendicular or just intersecting. This module will introduce you on the relationship among sides and angles of a triangle. You will also discover some theorems associated with perpendicularity and inequalities among sides and angles of a triangle. In addition, this module will define characteristics of lines in a plane. What you are expected to learn This module is designed for you to 1. define and illustrate perpendicular and parallel lines 2. define and give examples of the perpendicular bisector of a segment. 3. define and illustrate exterior angles of a triangle and its relationships with other angles of a triangle. 4. define inequalities among angles and sides of a triangle. 5. illustrate lines that serve as transversal. How much do you know L1 Answer the following questions. 1 1. If l1 ⊥ l2 , then ∠ 1 is _________ angle. L2 2. Given: AB ⊥ BC . If ∠ ABE = 2x + 15, and A ∠ EBC = x, what is m∠ ABE? E B C
  • 130.
    2 3. An anglewhich is adjacent and supplementary to one of the angles of a triangle is a ________ angle. E 4. In the figure, m∠ EFD + m∠ EFG = ________. D F G 5. What property of inequality supports the statement, If m > 5 and 5 > n, then m > n. W 6. If WY = 5 and YX = 8, what is the range of values of WX? Y X 7. If B is the midpoint of AX , then AB _____ BX . 8. What is the length of the hypotenuse of a right triangle whose length of the legs are 3 cm and 4 cm respectively.? 9. Coplanar lines that do not intersect are called ___________. t 10. In the figure, line t intersects lines m m and n at two points. t is called ______. n What you will do Lesson 1 Perpendicular Lines and Perpendicular Bisector of Segment a In the figure, two lines a and b intersect at point X, forming four angles. Two of these angles are ∠ 1 and ∠ 2. If all these angle are right angles, 1 2 b then a is perpendicular to b. The symbol to be x used for perpendicular is “ ⊥ “. The figure above can be represented in symbols as a ⊥ b. We will define perpendicular lines as follows: Two lines are perpendicular if and only if they intersect to form right angles. Since a ⊥ b then ∠ 1 and ∠ 2 are right angles. The two other angles in the figure are also right angles. In the definition stated, there is the phrase if and only if (iff) which means that the definition is two way. 1) If the lines are perpendicular, then the angles formed are right angles and 2) if
  • 131.
    3 the angles areright angles, then the lines or sides of the angle are perpendicular. This goes to show that one way of proving perpendicularity is to prove that the angles formed are right angles. For you to recognize perpendicular lines, a small square is indicated at the foot of the perpendiculars which is the intersection. Consider the given figure. OD ⊥ XM at O. Hence there is a symbol of small square at the intersection. D Notice that XM is divided into two segments XO and OM which has similar markings. Those X M Markings indicate that XO ≅ OM making O O The midpoint of the segment. Therefore OD is the perpendicular bisector of XM . The perpendicular bisector of a segment is a line, ray, segment or plane that is perpendicular to the segment at its midpoint. There are four cases by which a segment has its perpendicular bisector. t Case 1. line t is the perpendicular bisector of MN . M x N D Case 2. Ray OD is the perpendicular bisector of MN M N B O Case 3. Segment AB is the perpendicular bisector of MN . M N A Case 4 Plane P is the perpendicular bisector of XY P X Y “Any two right angles are congruent”. All right angles measure 90˚.
  • 132.
    4 Example: ∠ MOPis a right angle M R ∠ RST is a right angle Conclusion: ∠ MOP ≅ ∠ RST O P S T Try this out In the figure, MO ⊥ OP , CO ⊥ OD 1. ∠ MOP is __________ angle M C 2. m∠ MOP = ________. P 3. ∠ COD is __________ angle. 4. m∠ COD = _________. O D Give the reason for the following statements. 5. m∠ MOP = m∠ COD 6. m∠ MOP = m∠ MOC + m∠ COP 7. m∠ COD = m∠ COP + m∠ POD 8. m∠ MOC + m∠ COP = m∠ COP + m∠ POD 9. - m∠ COP = - m∠ COP 10. m∠ MOC = m∠ POD 11. ∠ MOC ≅ ∠ POD In the figure, OR ⊥ bisector of SP . 12. SO ≅ ________. R If SO = 3x + 7 , OP = 5x – 19, 13. The value of X is _________. 14. The length of SO is _______. S O P 15. The length of OP is _______. 16. The length of SP is _______. AD ⊥ AG . Using the given in the figure, find D 17. x E 18. m∠ DAE 3x x+3 19. m∠ EAF F 20. m∠ FAG x - 5 21. m∠ DAF A G 21. m∠ EAG In the figure, ∠ STM is a right angle. S The ratio of m∠ STL to m∠ LTM is 2:1. Find: L 23. m∠ STL 24. m∠ MTL T M
  • 133.
    5 W 2 Y AX ⊥AY , AW ⊥ AZ X 1 3 Z 25. What conclusion can you draw on A R W ∠ 1 and ∠ 3? 26. If m∠ ROM = 2x + 22 and O m∠ NOW = 3x – 12 , show that MW ⊥ RN M N 27. In the given figure, solve for y. 7y – 71 28. Given: AE bisects ∠ DAS AT bisects ∠ SAM T S E 2 3 1 4 D A M Prove: AE ⊥ AT Proof: Statement Reason 1. AE bisects ∠ DAS 1. Given AT bisects ∠ SAM 2. ∠ 1 ≅ ∠ 2, ∠ 3 ≅ ∠ 4 2. Definition of ___________ 3. m∠ 1 = m∠ 2, m∠ 3 = m∠ 4 3. Definition of congruent angles 4. m∠ DAS + m∠ SAM = 180 4. Definition of _____________ 5. m∠ DAS = m∠ 1 + m∠ 2 5. Angle ______ Postulate m∠ SAM = m∠ 3 + m∠ 4 6. m∠ 1 + m∠ 2 + m∠ 3 + m∠ 4 = 180 6. ________ Property of Equality 7. m∠ 2 + m∠ 2 + m∠ 3 + m∠ 3 = 180 7. ________ Property of Equality 8. 2 m∠ 2 + 2 m∠ 3 = 180 8. Combining like terms 9. m∠ 2 + m∠ 3 = 90 9. Multiplication Property of Equality 10. m∠ EAT = m∠ 2 + m∠ 3 10. Angle Addition Postulate 11. m∠ EAT = 90 11. Substitution 12. ∠ EAT is a right angle 12. Definition of a __________. 13. AE ⊥ AT 13. Definition of ___________
  • 134.
    6 Lesson 2 Exterior Angleof Triangle and Triangle Inequality Given ∆ABC. If you extend side AC B through point D, then there is a new angle formed , ∠ BCD. ∠ BCD is both adjacent and supplementary to one of the angles of ∆ABC. ∠ BCD is called an exterior angle of ∆ABC . Two angles, ∠ A and ∠ B are A C D interior angles of ∆ABC which are not adjacent to ∠ BCD. Therefore, ∠ A and ∠ B are called remote interior angles of the exterior angle. ∠ BCD is adjacent to ∠ BCA. So ∠ BCA is called the adjacent interior angle. An exterior angle of a triangle is an angle which is adjacent and supplementary to one of the angles of a triangle. The remote interior angles are angles of a triangle which are not adjacent to the given exterior angle of the triangle. Adjacent interior angle is an interior angle which forms a linear pair with the given exterior angle. Illustration: Given ∆RST. S ∠ STP is an exterior angle. ∠ STP and ∠ STR are adjacent and supplementary. ∠ S and ∠ R are the two remote interior angles. R T P ∠ STR is the adjacent interior angle to ∠ STP. Exterior Angle Equality Theorem The measure of an exterior angle of a triangle is equal to the sum of its two remote interior angles. In ∆CEF, ∠ FED is an exterior angle F Conclusions: Since ∠ C and ∠ F are the two remote interior angles. Therefore, m∠ FED = m∠ C + m∠ F C E D Example: R If in the given triangle ∆MRE, m∠ M = 31, m∠ R = 34 then, m∠ RED = m∠ M + m∠ R m∠ RED = 31 + 34 m∠ RED = 65 M E D and m∠ REM = 180 – 65 m∠ REM = 115
  • 135.
    7 Since in thelatter part of the lesson, you will be dealing with inequalities, it is necessary that you recall some properties of inequality which are of great help to you in proving statements in Geometry. Let a, b, x and y be real numbers. Trichotomy Property. Exactly one of the following is true: a < b; a = b; or a > b Addition Property of Inequality If a > b, then a + x > b + x Subtraction Property of Inequality If a > b, then a – x > b – x and x – b > x – a Multiplication Property of Inequality If a > b and y > 0, then ay > by If a > b and y < 0, then ay < by Transitive Property of Inequality If a > b and b > c, then a > c. This properties of inequality can be applied to geometric figures since the measures of angles and segments are real numbers. Illustrations: For segments: AB > CD if and only if AB > CD AB < CD if and only if AB < CD For angles: ∠ A > ∠ B if and only if m∠ A > m∠ B ∠ A < ∠ B if and only if m∠ A < m∠ B In Geometry, whenever possible, every statement is supported by reasons. In this lesson, you will find theorems are given but are not proven formally. Instead, illustrations are provided for easier understanding. You may opt to prove them though but you are allowed to use these theorems once you have gone through the illustrations and examples. Theorem: The whole is greater than any of its parts. The meaning of this theorem is very clear to see. Examples: 1. 10 = 7 + 3 Therefore: 10 > 7 or 10 > 3
  • 136.
    8 2. Given PRwith point Q in between P and R. By definition of betweenness, PR = PQ + QR P Q R Therefore: PR > PQ PR > QR A C 3. Given ∠ X and C is in the interior of ∠ X By the Angle Addition Postulate, B m∠ X = m∠ AXC + m∠ CXB X Therefore by using the theorem, m∠ X > m∠ AXC m∠ x > m∠ CXB Theorem: Exterior Angle Inequality Theorem. The measure of an exterior angle of a triangle is greater than the measure of either of the two remote interior angles. Illustration: In the figure, ∠ BAG is an B exterior angle of ∆ABC. ∠ B and ∠ C are the two Remote interior angles Therefore: ∠ BAG > ∠ C C A G ∠ BAG > ∠ B Examples: 1. If m∠ BAG = 113, then m∠ C < 113 and m∠ B < 113 But m∠ C + m∠ B = 113. 2. If m∠ C = 28, then m∠ BAG > 28. Theorem: Triangle Inequality Theorem. In any triangle, the sum of the lengths of any two of its sides is greater than the length of its third side. C Illustration: In ∆ABC, the following side inequalities hold a. AB + BC > AC b. AC + BC > AB c. AC + AB > BC A B Examples: Determine if the following segments whose given measures are sides of a triangle. 1. 5 cm, 3 cm, 4 cm 2. 10 cm, 11 cm, 6 cm 3. 3 cm, 2 cm, 1 cm
  • 137.
    9 Solution: 1. 5 +3 > 4 3 + 4 > 5 5 + 4 > 3 Conclusion: Since the sum of any two sides is greater than the third side, then 5cm, 3cm and 4cm are measures of the sides of a triangle. 2. 10 + 11 > 6 11 + 6 > 10 10 + 6 > 11 Conclusion: Since the sum of any two sides is greater than the third side, then 10 cm, 11 cm and 6cm are measures of the sides of a triangle. 3. 3 + 2 > 1 3 + 1 > 2 2 + 1 = 3 Conclusion: Since one of the sum is not greater than the third side then, 3cm, 2cm and 1 cm are not measures of sides of a triangle. 4. If in the given triangle, the lengths of the two sides are given, what is the range of the length of the third side, PQ ? a. 5 + 8 > PQ 13 > PQ b. 5 + PQ > 8 PQ > 8 – 5 PQ > 3 c. 8 + PQ > 5 PQ > 5 – 8 PQ > - 3 (This cannot be since the side of triangle is always positive) d. Combining statements a and b into a single statement will give you 13 > PQ and PQ > 3 which is written as 13 > PQ > 3. Reversing the order, the statement can be written as 3 < PQ < 13. So the range of the third side is 3 < PQ < 13. If you have noticed, that 3 is the difference between the lengths of the two given sides, while 13 is the sum of the lengths of the two given sides. The Pythagorean Theorem states that “In any right triangle, the square of the length of the hypotenuse is equal to the sum of the squares of the lengths of the two legs.”
  • 138.
    10 Illustration: E Given: DEF∆s a right triangle. FE is the length of the hypotenuse DE and FD are the lengths of the legs Conclusion: DE2 + FD2 = FE2 D F Examples: 1. Given a right triangle, find x Solution: c2 = a2 + b2 x x2 = 32 + 42 3 x2 = 9 + 16 x2 = 25 x = 25 4 x = 5 2. If c = 13, a = 12, find b. Solution: c2 = a2 + b2 c 132 = 122 + b2 b 169 = 144 + b2 b2 = 169 – 144 a b2 = 25 b = 25 b = 5 3. If c = 10, b = 6, find a. c2 = a2 + b2 102 = a2 + 62 100 = a2 + 36 a2 = 100 - 36 a2 = 64 a = 64 a = 8 4. The side of a square is 3 cm. Find the length of its diagonal. Solution: x2 = 32 + 32 x2 = 9 + 9 x2 = 18 3 x = 18 x = 3 2 3 x
  • 139.
    11 In an isoscelesright triangle like example no. 4, the legs are of equal lengths. Thus in order to find the length of the hypotenuse, you simply apply the Pythagorean formula. In an isosceles right triangle, the length of the hypotenuse is equal to the length of the leg multiplied by 2 . Try this out A. Justify each statement by stating the property, theorem, postulate, or definition that supports the statement. 1. If a < b, then 3a < 3b. 2. If m∠ A = 65 and m∠ D > m∠ A, then m∠ D > 65. 3. A is the midpoint of XY . Therefore, AX = AY. 4. If x and y are the lengths of the legs of a right triangle and z is the length of the hypotenuse, then x2 + y2 = z2 . 5. ∠ 1 is an exterior angle of PQR∆ . R m∠ 1 > m∠ P 1 P Q B. Supply the missing statement 6. If m∠ x = m∠ 1 + m∠ 2, then m∠ 1 _______ m∠ x 7. If AM bisects ∠ DAY, then ∠ DAM _____ ∠ MAY Using the figure at the right, N 8. If m∠ A = 31, then m∠ LEN ____ 31. 9. If m∠ N = 43 and m∠ A = 39, m∠ LEN = _______. A 10. ∠ LEN and ∠ NEA are ___________ and ___________. L E C. Determine if the following are lengths of the sides of a triangle. 11. 5, 5, 6 12. 3, 4, 5 13. 3, 3, 2 14. 1, 1, 2 15. 6, 8, 10 16. 7.5, 6.5, 14 D. Given the lengths of the two sides of a triangle, determine the range of the length of the third side. 17. 13, 10 18. 7, 11 19. 5, 5 20. 3.25, 6.1 21. 4.73, 8.92
  • 140.
    12 A 11 N 22. Giventhe lengths of the four sides of quadrilateral KANE, determine the 6 range of possible lengths of diagonals 9 AE and KN . E K 14 Y F. Given rt. XYZ∆ , compute for the missing side using the table below. X Z XZ YZ XY 23. 7 5 24 12 13 25. 6 12 G. Find the length of the diagonal of a rectangle given the measure of a side or sides. 26. 3, 5 27. 7 28. 10 , 15 29. 3 2 30. What is the length of the hypotenuse of an isosceles right triangle if one of the leg measures 13 cm? Lesson 3 Introduction to Parallel Lines and Transversals a Lines may be classified as: a. coplanar and intersecting like lines a and b b b. coplanar but not intersecting m like lines m and n n k c. Non-coplanar and non-intersecting like lines k and l I
  • 141.
    13 Illustration a representsintersecting lines. The second illustration represents parallel lines and the third illustration showed skew lines. Parallel lines are coplanar lines that do not intersect. Skew lines are non-coplanar lines. t Given coplanar lines a and b. A third a X line t intersects lines a and b at two distinct points X and Y. We call line t a transversal. A transversal is a line that intersect s two or b more lines at two or more distinct points. Y Try this out Determine if the following statements define intersecting, parallel or skew lines. 1. The two frames of jalousie windows 2. Electric wires near the post 3. The iron base on the railroad tracks 4. The two flyovers at Nagtahan Write true if the statement is always true, sometimes if the statement is sometimes true and false if it is never true. 5. Intersecting lines are coplanar. 6. Skew lines are non-coplanar. 7. Two parallel lines determine .a plane 8. Two non-intersecting lines are parallel. 9. Transversal intersect only two lines at a time. 10.Parallel lines are non coplanar. Let’s summarize Two lines are perpendicular if and only if they intersect to form right angles. The perpendicular bisector of a segment is a line, ray, segment or plane that is perpendicular to the segment at its midpoint. Any two right angles are congruent. An exterior angle of a triangle is an angle, which is adjacent and supplementary to one of the angles of a triangle. The remote interior angles are angles of the triangle which are not adjacent to the given exterior angle.
  • 142.
    14 The measure ofan exterior angle is equal to the sum of the measures of the two remote interior angles. Properties of Inequality a. Trichotomy property of Inequality b. Addition property of Inequality c. Subtraction property of Inequality d. Multiplication property of Inequality e. Transitive property of Inequality The whole is greater than any of its parts. Exterior angle Inequality Theorem. The measure of an exterior angle of a triangle is greater than the measure of either of the two remote interior angles. Triangle Inequality Theorem. In any triangle, the sum of the lengths of any two of its sides is greater than the length of its third side. Pythagorean theorem. In any right triangle, the square of the length of the hypotenuse is equal to the sum of the squares of the lengths of the two legs. Parallel lines are coplanar lines that do not intersect. Skew lines are non-coplanar lines. Transversal is a line that intersects two or more lines at two or more distinct points. What have you learned Answer the following as indicated: R 1. ∠ A is a right angle, ∠ X is a right angle. ∠ A _____∠ X 2. Using the figure at the right, ∠ RYP_____ ∠ R. Y P T 3. AB ⊥ BC . BD bisects ∠ B. What is m∠ 1? A D 1 2 4. What property of inequality supports the B C Following statement. If x < 7, then 5x < 35. T 5. ∆BET is a right triangle. m∠ B < _________. 6. In ∆BET, if BE = 5, ET = 3, what is BT? B E
  • 143.
    15 A 7. Using themeasures given in ∆MAN, give 4 9 the range of values or length of MN . M N 8. Prison bars are examples of ________ lines D 9. If m∠ D = 23, and m∠ y = 19 , then m∠ DAP = ___________. Y P A 10. Find the perimeter of a square whose diagonal is 7 2 cm long.
  • 144.
    16 Answer Key How muchdo you know 1. right 2. 65 3. an exterior 4. 180 5. transitive property of Inequality 6. 3 < WX < 13 7. ≅ 8. 5 cm 9. parallel lines 10.transversal Try this out Lesson 1 1. right 2. 90 3. right 4. 90 5. Any two right angles are congruent 6. Angle Addition Postulate 7. Angle Addition Postulate 8. Transitive Property of Equality 9. Reflexive Property of Equality 10. Subtraction Property of Equality 11. Definition of Congruent Angles 12. OP 13. 13 14. 46 15. 46 16. 92 17. 23 18. 46 19. 26 20. 18 21. 72 22. 44 23. 60 24. 30 25. ∠ 1 ≅ ∠ 3 26. m∠ ROM = m ∠ NOW 2x + 22 = 3x – 12 - x = - 34 x = 34
  • 145.
    17 m ∠ ROM= 2(34) + 22 m ∠ ROM = 68 + 22 m ∠ ROM = 90 m ∠ NOW = 3(34) – 12 m ∠ NOW = 102 – 12 m ∠ NOW = 90 Both m∠ ROM and m∠ NOW are 90 each So ∠ ROM and ∠ NOW are right angles Therefore MW ⊥ RN 27. 7y – 71 = 90 7y = 90 + 71 7y = 161 y = 23 28. 2. angle bisector 4. supplementary angles or linear pair postulate 5. Addition 6. Addition 7. Transitive 11. Right angle 12. Perpendicular lines Lesson 2 A. 1. Multiplication Property of Inequality 2. Transitive Property of Inequality 3. Definition of Midpoint 4. Pythagorean Theorem 5. Exterior Angle Inequality Theorem 6. < 7. ≅ 8. > 9. 82 10. Adjacent and supplementary 11. Yes 12. Yes 13. Yes 14. No 15. Yes 16. No 17. 3 < third side < 23 18. 4 < third side < 18 19. 0 < third side < 10 20. 2.85 < third side < 9.35 21. 4.19 < third side < 13.65 22. a. 5 < AE < 17 b. 8 < KN < 20
  • 146.
    18 23. 74 24. 5 25.6 3 26. 34 27. 7 2 28. 5 29. 6 30. 13 2 cm Lesson 3 1. Parallel 2. Intersecting 3. Parallel 4. Skew 5. True 6. True 7. True 8. Sometimes 9. Sometimes 10. False What have you learned 1. ≅ 2. > 3. 45 4. Multiplication Property of Inequality 5. 90 6. BT = 34 7. 5 < MN < 13 8. parallel 9. 42 10.7(4) = 28 cm.
  • 147.
    Module 3 Geometric Relations Whatthis module is about This module is about the angles formed by parallel lines (//) cut by a transversal. You will learn to determine the relation between pairs of angles formed by parallel lines cut by a transversal and solve problems involving segments and angles. What you are expected to learn This module is designed for you to: 1. identify the angles formed by parallel lines cut by a transversal. 2. determine the relationship between pairs of angles formed by parallel lines cut by a transversal: • alternate interior angles • alternate exterior angles • corresponding angles • angles on the same side of the transversal 3. solve problems using the definition and properties involving relationships between segments and between angles. How much do you know The figure below shows lines m // n with t as transversal. Name: 1. 4 pairs of corresponding angles 2. 2 pairs of alternate interior angles 3. 2 pairs of alternate exterior angles m n 8 7 5 6 4 3 1 2 t
  • 148.
    2 4. 2 pairsof interior angles on the same side of the transversal 5. 2 pairs of exterior angles on the same side of the transversal Using the same figure: 6. Name all numbered angles congruent to ∠ 7. 7. Name all numbered angles congruent to ∠ 4. 8. Name all numbered angles supplementary to ∠ 8, to∠ 7. 9. Name all numbered angles supplementary to ∠ 3, to ∠ 4. 10.Name the pairs of equal angles and supplementary angles in the figure. Given: AB // CD AD // BC In the figure below, AB ⊥ BD, DF ⊥ BD, BC // DE 11. Is m ∠ 2 = m ∠ 3? Why? 12. ∠ 2 is a complement of _____ and ∠ 3 is a complement of ____. 13. Is m ∠ 1 + m ∠ 2 = m ∠ 3 + m ∠ 4? Why? A B C D A B C E D F 1 2 3 4
  • 149.
    3 Find the valueof x in each of the following figure: 14. 15. 16. 17. 70o 55o xo 140o 110o xo 3x xo 4x xo
  • 150.
    4 In the figure,write down the pairs of parallel lines and the pairs of congruent angles. 18. 19. If m∠ 3 = 135, find the measure of each angle in the figure. 20. If m∠ 6 = 85, find the measure of each numbered angle in the figure, a // b and c // d. BCA D F E G m n 8 7 5 6 4 3 1 2 t m n 8 7 5 6 4 3 1 2 c 11 10 12 9 15 14 16 13 d
  • 151.
    5 What you willdo Lesson 1 Angles Formed by Parallel Lines Cut by a Transversal In the rectangular solid below, AB and CD are coplanar in plane x. AB and EF are coplanar in plane y. EF and HF are coplanar in plane z. Line E intersect AB and CD at two different points. Line E is a transversal of lines AB and CD. Definitions: Coplanar lines are lines that lie in one plane. Parallel lines are two lines that are coplanar and do not intersect. Transversal is a line that intersects two or more lines at different points. Line E intersect AB and CD at 2 different points. Line E is a transversal of lines AB and CD. A E G C D H B F x z y A BE DC
  • 152.
    6 Examples: 1. In thefigure, lines AB and CD are parallel lines cut by transversal line t. The angles formed are: Angles 1, 2, 7 and 8 are exterior angles Angles 3, 4, 5, and 6 are interior angles The pairs of corresponding angles are: ∠ 1 and ∠ 5 ∠ 2 and ∠ 6 ∠ 4 and ∠ 8 ∠ 3 and ∠ 7 The pairs of alternate interior angles are: ∠ 3 and ∠ 5 ∠ 4 and ∠ 6 The pairs of alternate exterior angles are: ∠ 1 and ∠ 7 ∠ 2 and ∠ 8 The pairs of exterior angles on the same side of a transversal (SST) are: ∠ 1 and ∠ 8 ∠ 2 and ∠ 7 The pairs of interior angles on the same side of a transversal (SST) are: ∠ 4 and ∠ 5 ∠ 3 and ∠ 6 2. Given: m // n, s is the transversal. The pairs of angles formed are: a. Corresponding angles: ∠ 3 and ∠ 9 ∠ 6 and ∠ 12 ∠ 4 and ∠ 10 ∠ 5 and ∠ 11 B 8 7 5 6 4 3 1 2 t A C D m 14 11 9 10 6 5 3 4 s n
  • 153.
    7 b. Alternate exteriorangles ∠ 3 and ∠ 11 ∠ 4 and ∠ 12 c. Alternate interior angles ∠ 6 and ∠ 10 ∠ 5 and ∠ 9 d. Interior angles on the same side of the transversal (SST). ∠ 6 and ∠ 9 ∠ 5 and ∠ 10 e. Exterior angles on the same side of the transversal (SST). ∠ 3 and ∠ 12 ∠ 4 and ∠ 11 3. m // n, t is the transversal. In the figure, name and identify he pairs of angles formed: a. Corresponding angles: ∠ 1 and ∠ 9 ∠ 8 and ∠ 12 ∠ 2 and ∠ 10 ∠ 7 and ∠ 11 b. Alternate interior angles ∠ 8 and ∠ 10 ∠ 7 and ∠ 9 12 11 9 10 78 1 2 t m n
  • 154.
    8 c. Alternate exteriorangles ∠ 1 and ∠ 11 ∠ 2 and ∠ 12 d. Exterior angles on the same side of the transversal (SST). ∠ 1 and ∠ 12 ∠ 2 and ∠ 11 e. Interior angles on the same side of the transversal (SST). ∠ 8 and ∠ 9 ∠ 7 and ∠ 10 Try this out 1. In the figure, lines g // h and is cut by line k. Name and identify the pairs of angles formed 2. In the figure, q // r and s // t. Name and identify the pairs of angles formed. g 7 6 8 5 3 2 4 1 k h q r 1615 1314 11 12 10 9 s 5 8 6 7 1 4 2 3 t
  • 155.
    9 3. In thefigure, u // w. Lines x and y are transversals. Name and identify the pairs of angles formed 4. In the figure, identify and name the pairs of parallel lines and its transversal. 5. In the figure, identify and name the pairs of parallel lines and its transversal / transversals. 9 u 7 6 8 5 3 2 4 1 y w 1410 11 13 12 x B F A C D G E c d a e b
  • 156.
    10 Lesson 2 Relationship BetweenPairs of Angles Formed by Parallel Lines Cut by a Transversal If two lines are cut by a transversal, then: a. corresponding angles are congruent b. alternate interior angles are congruent c. alternate exterior angles are congruent d. interior angles on the same side of a transversal are supplementary e. exterior angles on the same side of a transversal are supplementary Examples: 1. Given: p // q, r is a transversal Figure: What is the measure of each numbered angles if m∠ 1 = 120? Give the reason for your answer. Answers: If ∠ 1 = 120o , ∠ 5 = 120o Corresponding angles are ≅ . If ∠ 5 = 120o , ∠ 3 = 120o Alternate interior angles are ≅ If ∠ 3 = 120o , ∠ 7 = 120o Corresponding angles are ≅ If ∠ 7 = 120o , ∠ 4 = 60o Exterior angles on the same side of a transversal are supplementary If ∠ 4 = 60o , ∠ 8 = 60o Corresponding angles are ≅ If ∠ 8 = 80o , ∠ 2 = 60o Alternate interior angles are ≅ If ∠ 2 = 60o , ∠ 6 = 60o Corresponding angles are ≅ p q r 1 4 2 3 5 8 6 7
  • 157.
    11 2. Given: Inthe figure, if m∠ 1 = 105, determine the measures of the other numbered angles. Justify your answers. Figure: Answers: If ∠ 1 = 105o , ∠ 5 = 105o Corresponding angles are ≅ . If ∠ 5 = 105o , ∠ 3 = 105o Alternate interior angles are ≅ If ∠ 3 = 105o , ∠ 7 = 105o Corresponding angles are ≅ If ∠ 7 = 105o , ∠ 2 = 75o Exterior angles on the same side of a transversal are supplementary If ∠ 2 = 75o , ∠ 8 = 75o Alternate exterior angles are ≅ If ∠ 8 = 75o , ∠ 4 = 75o Corresponding angles are ≅ If ∠ 4 = 75o , ∠ 6 = 75o Alternate interior angles are ≅ 3. Given: m // n, s and t are the transversals If m∠ 5 = 110 and m∠ 12 = 90, determine the measures of the other numbered ∠ s. Justify your answer. Answers: If m∠ 5 = 110, m∠ 12 + m∠ 13 = 110 Since m∠ 12 = 90, m∠ 13 = 20. Corresponding angles are ≅ m∠ 4 = 70 ∠ 4 and ∠ 5 are supplementary If m∠ 4 = 70, m∠ 11 = 70 Corresponding angles are ≅ m∠ 3 = 110 ∠ 3 and ∠ 5 are vertical angles B D t 1 4 2 3 5 8 6 7 A C m 7 68 5 32 41 s n 14 10 11 13 12 t 9
  • 158.
    12 If m∠ 3= 110, m∠ 9 + m∠ 10 = 110 Corresponding angles are ≅ If m∠ 9 = 90, m∠ 7 = 90 Alternate interior angles are ≅ If m∠ 12 = 90, m∠ 2 = 90 Exterior angles on the same side of a transversal are supplementary Since m∠ 9 = 90, m∠ 1 = 90 Corresponding angles are ≅ If m∠ 13 + m∠ 14 = m∠ 8, m∠ 8 = 90 Corresponding angles are ≅ Therefore, the measures of the numbered angles are: ∠ 1 = 90o ∠ 8 = 90o ∠ 2 = 90o ∠ 9 = 90o ∠ 3 = 110o ∠ 10 = 20o ∠ 4= 70o ∠ 11 = 70o ∠ 5 = 110o ∠ 12 = 90o ∠ 6 = 70o ∠ 13 = 20o ∠ 7 = 90o ∠ 14 = 70o Try this out 1. If m∠ 6 = 85, find the measure of the other numbered angles. Justify your answers. Given: a // b, c is the transversal Figure: ba c1 4 2 3 5 8 6 7
  • 159.
    13 2. If m∠10 = 118 and m∠ 4 = 85, find the measures of the other numbered angles. Justify your answers. Given: f // g, r // q 3. In the figure, u // w. Lines x and y are transversals. If m∠ 8 = 62, m∠ 14 = 90, find the measures of the other numbered ∠ s. Justify your answers. Figure: Form an equation in x and solve the equation. 4. f g 16 15 13 14 1112 109 r 5 8 6 7 1 4 2 3 q u 7 6 8 5 3 2 4 1 y w 1410 11 13 12 x 9 2xo xo
  • 160.
    14 5. Let’ summarize The anglesformed by parallel lines cut by a transversal are: 1. corresponding angles 2. alternate interior angles 3. alternate exterior angles 4. exterior angles on the same side of a transversal 5. interior angles on the same side of a transversal The relationship of the angles formed by parallel lines cut by a transversal are: 1. pairs of corresponding s are ≅ 2. pairs of alternate interior angles are ≅ 3. pairs of alternate exterior angles are ≅ 4. pairs of interior angles on the same side of a transversal are supplementary 5. pairs of exterior angles on the same side of a transversal are supplementary 120o 100o xo
  • 161.
    15 What have youlearned The figure below shows lines m // n with t as transversal. Figure: Name: 1. 4 pairs of corresponding angles. 2. 2 pairs of alternate interior angles. 3. 2 pairs of alternate exterior angles. 4. 2 pairs of interior angles on the same side of a transversal. 5. 2 pairs of exterior angles on the same side of a transversal. Using the same figure: 6. Name all numbered angles congruent to ∠ 7. 7. Name all numbered angles congruent to ∠ 4. 8. Name all numbered angles supplementary to ∠ 8, ∠ 7. 9. Name all numbered angles supplementary to ∠ 3, ∠ 4. 10.Name the pairs of equal angles and supplementary angles in the figure. Given: AB // CD Figure: AD // BC m n t 1 4 2 3 5 8 6 7 A B CD
  • 162.
    16 11. – 13.In the figure, AB ⊥ BD, DF ⊥ BD, BC // DE Figure: 11. Is m∠ 2 = m∠ 3? Why? 12. ∠ 2 is a complement of _____ and ∠ 3 is a complement of _____. 13. Is m∠ 1 + m∠ 2 = m∠ 3 + m∠ 4? Why? Find the value of x in each of the following figures. 14. 15. B C A D 1 E F 2 3 4 120o 100o xo 50o xo xo
  • 163.
    17 16. 17. In the figure,Write down the pairs of parallel lines and the pairs of congruent angles. 18. 5x xo 4x xo AB CDF E
  • 164.
    18 19. If m∠1 = 135, find the measure of each angle in the figure below: 20. If m∠ 6 = 75, find the measure of each numbered angle in the figure, a // b and c // d. m n t 1 4 2 3 5 8 6 7 a b 16 15 13 14 1112 109 c 5 6 8 7 1 4 2 3 d
  • 165.
    19 Answer key How muchdo you know 1. ∠ 8 and ∠ 4, ∠ 7 and ∠ 3 ∠ 5 and ∠ 1, ∠ 6 and ∠ 2 2. ∠ 5 and ∠ 3, ∠ 4 and ∠ 6 3. ∠ 8 and ∠ 2, ∠ 7 and ∠ 1 4. ∠ 5 and ∠ 4, ∠ 6 and ∠ 3 5. ∠ 8 and ∠ 1, ∠ 7 and ∠ 2 6. ∠ 3, ∠ 1 7. ∠ 8, ∠ 6 8. To ∠ 8: ∠ 1, ∠ 5, ∠ 7; To ∠ 7: ∠ 2, ∠ 8, ∠ 6 9. To ∠ 3: ∠ 6, ∠ 4, ∠ 2; To ∠ 4: ∠ 5, ∠ 3, ∠ 1 10. ∠ A ≅ ∠ C, ∠ B ≅ ∠ D, ∠ A supplement ∠ B, ∠ B supplement ∠ C ∠ C supplement ∠ D, ∠ D supplement ∠ A 11. They are alternate interior ∠ s 12. ∠ 1, ∠ 4 13. Yes, because they are right angles. 14. x = 55o 15. x = 110o 16. x = 45o 17. x = 36o 18. AB // DE; CD // FG; ∠ ACD ≅ ∠ EDC; ∠ EFG ≅ ∠ CDF 19. ∠ 2 = 45 o ; ∠ 4 = 45 o ; ∠ 1 = 135 o ; ∠ 7 = 135 o ; ∠ 8 = 45 o ; ∠ 6 = 45 o ; ∠ 5 = 135 o 20. ∠ 4 = 85 o ;∠ 5 = 95 o ; ∠ 1 = 95 o ;∠ 7 = 95 o ;∠ 3 = 95 o ; ∠ 8 = 85 o ;∠ 2 = 85 o ∠ 10 = 95 o ; ∠ 9 = 85 o ; ∠ 12 = 95 o ; ∠ 11 = 85 o ; ∠ 13 = 85 o ; ∠ 14 = 95 o ; ∠ 16 = 95 o ; ∠ 15 = 85 o
  • 166.
    20 Try this out Lesson1 1. ∠ 4 and ∠ 8; ∠ 3 and ∠ 7; ∠ 1 and ∠ 5; ∠ 2 and ∠ 6 are corresponding angles; ∠ 4 and ∠ 7; ∠ 1 and ∠ 6 are exterior angles on SST; ∠ 3 and ∠ 5; ∠ 2 and ∠ 8 are alternate interior angles; ∠ 4 and ∠ 7; ∠ 1 and ∠ 6 are exterior angles on SST; ∠ 3 and ∠ 5; ∠ 2 and ∠ 8 are alternate interior angles; ∠ 3 and ∠ 8; ∠ 2 and ∠ 5 are interior angles on SST; ∠ 4 and ∠ 6; ∠ 1 and ∠ 8 are exterior angles on SST; 2. ∠ 1 and ∠ 5; ∠ 4 and ∠ 8; ∠ 2 and ∠ 6; ∠ 3 and ∠ 7 are corresponding angles; ∠ 4 and ∠ 6; ∠ 3 and ∠ 5 are alternate interior angles; ∠ 7and ∠ 2; ∠ 8 and ∠ 1 are exterior angles on SST; ∠ 6 and ∠ 3; ∠ 5 and ∠ 4 are interior angles on SST; ∠ 5 and ∠ 13; ∠ 6 and ∠ 14; ∠ 7 and ∠ 15; ∠ 8 and ∠ 16 are corresponding angles; ∠ 8 and ∠ 15; ∠ 5 and ∠ 14 are exterior angles on SST; ∠ 7and ∠ 16; ∠ 6 and ∠ 13 are interior angles on SST; ∠ 16 and ∠ 6; ∠ 13 and ∠ 7 are alternate interior angles; ∠ 15 and ∠ 5; ∠ 14 and ∠ 8 are alternate exterior angles; ∠ 15 and ∠ 11; ∠ 14 and ∠ 10; ∠ 16 and ∠ 12; ∠ 13 and ∠ 9 are corresponding angles; ∠ 14 and ∠ 11; ∠ 13 and ∠ 12 are interior angles on SST; ∠ 15and ∠ 10; ∠ 16 and ∠ 9 are exterior angles on SST; ∠ 4 and ∠ 12; ∠ 13 and ∠ 11 are alternate interior angles; ∠ 15 and ∠ 9; ∠ 16 and ∠ 10 are alternate exterior angles; ∠ 3 and ∠ 11; ∠ 4 and ∠ 12; ∠ 2 and ∠ 10; ∠ 1 and ∠ 9 are corresponding angles; ∠ 12 and ∠ 2; ∠ 3 and ∠ 9 are alternate interior angles; ∠ 11 and ∠ 1; ∠ 4 and ∠ 10 are alternate exterior angles;
  • 167.
    21 ∠ 1and ∠10; ∠ 4 and ∠ 11 are exterior angles on SST; ∠ 3 and ∠ 12; ∠ 2 and ∠ 9 are interior angles on SST; 3. ∠ 1 and ∠ 9 + ∠ 10; ∠ 4 and ∠ 11 are corresponding angles; ∠ 2 and ∠ 14; ∠ 3 and ∠ 12 + ∠ 13 are corresponding angles; ∠ 4 and ∠ 14; ∠ 3 and ∠ 9 + ∠ 10 are alternate interior angles; ∠ 1 and ∠ 12 +∠ 13; ∠ 2 and ∠ 11 are alternate exterior angles; ∠ 1 and ∠ 11; ∠ 2 and ∠ 12 + ∠ 13 are exterior angles on SST; ∠ 4 and ∠ 9 +∠ 10; ∠ 3 and ∠ 14 are interior angles on SST; ∠ 6 and ∠ 10; ∠ 7 and ∠ 11; ∠ 5 and ∠ 9 + ∠ 14; ∠ 8 and ∠ 13 are corresponding angles; ∠ 7 and ∠ 9 + ∠ 14; ∠ 8 and ∠ 10 are alternate interior angles; ∠ 6 and ∠ 13; ∠ 5 and ∠ 11 + ∠ 12 are alternate exterior angles; ∠ 6and ∠ 11 + ∠ 12; ∠ 5 and ∠ 13 are exterior angles on SST; ∠ 7 and ∠ 10; ∠ 8 and ∠ 9 + ∠ 14 are interior angles on SST; 4. AB // CD with BC as transversal CD // FE with DE as transversal DE // FG with FE as transversal 5. a // b, e, c and d are the transversals 6. c // d, a, b and c are the transversals Lesson 2 1. ∠ 2 = 85o ; ∠ 5 = 95o ; ∠ 1 = 95o ; ∠ 7 = 95o ; ∠ 3 = 95o ; ∠ 8 = 85o ; ∠ 4 = 85o 2. ∠ 12 = 118o ; ∠ 9 = 62o ; ∠ 11 = 62o ; ∠ 16 = 118o ; ∠ 13 = 62o ; ∠ 14 = 118o ; ∠ 15 = 62o ∠ 8 = 85o ; ∠ 6 = 85o ; ∠ 2 = 85o ; ∠ 1 = 95o ; ∠ 5 = 95o ; ∠ 3 = 95o ; ∠ 1 = 95o 3. ∠ 8 = 62o ; ∠ 6 = 62o ; ∠ 10 = 62o ; ∠ 13 = 118o ; ∠ 9 = 28o ; ∠ 12 = 28o ; ∠ 11 = 90o ; ∠ 13 = 62o ; ∠ 7 = 118o ; ∠ 5 = 118o ; ∠ 1 = 90o ; ∠ 2 = 90o ; ∠ 3 = 90o ; ∠ 4 = 90o
  • 168.
    22 4. x =60o 5. x = 140o What have you learned 1. ∠ 1 and ∠ 5, ∠ 4 and ∠ 8, ∠ 2 and ∠ 6, ∠ 3 and ∠ 7 2. ∠ 4 and ∠ 6, ∠ 3 and ∠ 5 3. ∠ 1 and ∠ 7, ∠ 2 and ∠ 8 4. ∠ 4 and ∠ 5, ∠ 3 and ∠ 6 5. ∠ 1 and ∠ 8, ∠ 2 and ∠ 7 6. ∠ 3, ∠ 5, ∠ 1 7. ∠ 8, ∠ 6, ∠ 2 8. ∠ 8: ∠ 5, ∠ 7, ∠ 1; ∠ 7: ∠ 2, ∠ 6, ∠ 8 9. ∠ 3: ∠ 6, ∠ 4, ∠ 2; ∠ 4: ∠ 5, ∠ 3, ∠ 1 10. ∠ A ≅ ∠ C; ∠ B ≅ ∠ D; ∠ A supplementary ∠ B ∠ B supplementary ∠ C ∠ C supplementary ∠ D ∠ A supplementary ∠ D 11. Yes, they are alternate interior angles 12. ∠ 1, ∠ 4 13. Yes, because their sum is equal to 90o 14. x = 65o 15. x = 140o 16. x = 30o 17. x = 36o 18. BA // CF, BC // DE, ∠ ABC ≅ ∠ BCF; ∠ BCD ≅ ∠ CDE 19. ∠ 2 = 45o , ∠ 3 = 135o , ∠ 4 = 45o , ∠ 5 = 135o , ∠ 6 = 45o , ∠ 7 = 135o , ∠ 8 = 45o 20. ∠ 4 = 75o , ∠ 1 = 105o , ∠ 5 = 105o , ∠ 7 = 105o , ∠ 3 = 105o , ∠ 8 = 75o , ∠ 2 = 75o , ∠ 9 = 75o , ∠ 10 = 105o , ∠ 12 = 105o , ∠ 11 = 75o
  • 169.
    Module 1 Similarity What thismodule is about This module is about ratio, proportion, and the Basic Proportionality Theorem and its Converse. In this module, you will learn the meanings of ratio and proportion. And as you go over the exercises, you will develop skills that you will need to solve problems especially on triangles in the next module. What you are expected to learn This module is designed for you to: 1. apply the fundamental law of proportions • product of the means is equal to the product of the extremes. 2. apply the definition of proportion of segments to find unknown lengths. 3. illustrate and verify the Basic Proportionality Theorem and its Converse. How much do you know 1. Express each ratio in simplest form. a. 18 12 b. 12 8 2. Find the value of x in each proportion. a. x 2 = 6 3 b. 4:8 = 8:x 3. State the means and the extremes in each proportion. a. 3:6 = 6:12 b. 3:4 = 6: 8 4. Write each ratio as a fraction in simplest form. a. 6 to 30 b. 16 to 48
  • 170.
    2 5. In thefigure, points W, X, Y, and Z are collinear. WX = 4, XY = 6 , YZ = 10 ● ● ● ● W X Y Z Give each ratio in simplest form a. xy wx b. WX to (XY + YZ) 6. In ∆ ABC, CD = 2, AD = 4, CE = 3, EB = 5 C D E A B Find the ratio: a. CE to BC b. CD to CA 7. Two consecutive angles of a parallelogram are in the ratio 1:2. a. What is the measure of the smaller angle? b. What is the measure of the larger angle? 8. In ∆ABC, DE //AC B D E A C a. Given that BD = 4, DA = 6 and BE = 5, find EC. b. Given that BE = 4, EC = 5 and BD = 2, find DA.
  • 171.
    3 9. In thefigure ∠ADE ≅ ∠C B E A C D a. If AE = 2, AB = 8, AD = 3, what is AC? b. If AD = 4, AC = 6, AE = 3, find AB. 10. In triangle ABC, DE // AB. C D E A B If DC = 6, DA = 8, CE = 2x, EB = 2x + 4 a. What is x? b. What is CB? What you will do Lesson 1 Ratio and Proportion A ratio is a comparison of two numbers. The ratio of two numbers a and b where b is not equal to zero can be written in three ways: a :b, a/b and a to b. A proportion is a statement of equality between two ratios. In the proportion a: b = c:d or b a = d c , a, b, c, and d are called the terms of the proportion. In a proportion, the product of the extremes is equal to the product
  • 172.
    4 of the means.In the proportion a: b = c:d , the extremes are a and d and the means are b and c, hence, ad = bc Example 1 Express the ratio 16 12 in simplest form. Solution: Divide the numerator and the denominator by their GCF (Greatest Common Factor), 4 . 12 ÷ 4 = 3 16 ÷ 4 4 The ratio in simplest form is 4 3 or 3:4. Example 2 Find the ratio and express your answer in simplest form. 6 hours to 3 days Solution: Step 1. Convert 3 days to hours 3 x 24 = 72 ( Since there are 24 hours in one day) Step 2. Write the ratio in terms of hours 6 hours to 72 hours hours hours 72 6 = 12 1 Another solution: Step 1. Convert 6 hours to days 6 ÷ 24 = 24 6 = 2 1 (Since there are 24 hours in one day) This may be done as follows: 6 hours x hours day 24 1 = 4 1 of a day
  • 173.
    5 Step 2. Writethe ratio in terms of days days dayaof 3 4 1 = 4 1 ÷3 = 4 1 x 3 1 = 12 1 Example 3 a. What is AB:BC? 3 5 7 b. What is (AB + BC) CD ● ● ● ● A B C D Solution: a. AB = 3 BC = 5 Hence AB :BC = 3:5 b. AB = 3 BC = 5 CD = 7 Hence (AB + BC) : CD = (3 + 5 ): 7 = 8:7 Example 4 1. a. What is AX:AB? A b. What is AY :YC? 4 2 X Y 7 3.5 B C Solution a. AX = 4 AB = AX + X B = 4 + 7 = 11 Hence AX : AB = 4:11
  • 174.
    6 b. AY =2 YC = 3.5 Hence AY:YC = 2:3.5 3.5 can be written as 10 5 3 or 2 1 3 or 2 7 . Therefore, YC AY = 2 7 2 But 2 7 2 can be written as 2 ÷ 2 7 which is equal to 2 x 2 7 or 7 4 Hence YC AY = 7 4 or AY:YC = 4:7 Example 5 State the means and the extremes in the following statement. 3:7 = 6:14 Solution: The means are 7 and 6 and the extremes are 3 and 14. Example 6 Determine whether each pair of ratios forms a proportion. a. 5 4 , 8 6 b. 7 4 , 14 8 Solution: a. A proportion is an equality of two ratios 5 4 = 8 6 4:5 = 6:8
  • 175.
    7 The product ofthe means is equal to the product of the extremes 5(6) =4(8) 30 = 32 This is a false statement Hence the two ratios do not form a proportion. b. A proportion is an equality of two ratios c. 7 4 = 14 8 4:7 = 8:14 The product of the means is equal to the product of the extremes 7(8) = 4(14) 56 = 56 This is a true statement Hence the two ratios form a proportion. Example 7 Find the value of x. 3 = x 10 30 Solution: Step 1. Rewrite in the ratio 3:10 = x:30 Step 2. Find the products of the means and the extremes. Then solve for x. Remember, the product of the means is equal to the product of the extremes. 10(x) = 3(30) 10x = 90 x = 9 Example 8 The measures of two complementary angles are in the ratio 1:2. Find the measure of each angle.
  • 176.
    8 Solution: Representation: Let x =the measure one angle 90 –x = the measure of its complement Proportion: x x −90 = 2 1 x : (90-x) = 1:2 1(90 –x) = 2(x) 90-x = 2x -x –2x = - 90 -3x = - 90 x = 30 measure of one angle 90 – x = 60 measure of its complement Example 9 The measure of two supplementary angles are in the ratio 2:3. Find the measure of each angle. Solution: Representation: Let x = the measure of one angle 180 – x = the measure of its supplement Proportion: x x −180 = 3 2 x:(180-x) = 2:3 2(180-x) = 3(x) 360 – 2x = 3x -2x –3x = -360
  • 177.
    9 -5x = -360 x = 72 the measure of one angle 180 – x = 108 the measure of its supplement Example 10 In ∆ABC below, m∠C = 90. The measures of ∠ A and ∠B are in the ratio 4:5. Find the measures of ∠ A and ∠B. B C A Solution: Representation: Let x = measure of ∠ A 90-x = measure of ∠B (Because, ∠A and ∠B are acute angles) Proportion: x:90-x = 4:5 4(90-x) = 5x 360-4x = 5x -4x – 5x = -360 -9x = -360 x = 40 measure of ∠A 90-x = 50 measure of ∠B Example 11 In the figure, ∠ABD and ∠CBD form a linear pair. If the measures of ∠ABD and ∠CBD are in the ratio 7 to 3, what is the measure of ∠CBD? D ● ● ● A B C
  • 178.
    10 Solution: Let x bethe measure of ∠CBD. 180-x be the measure of ∠ABD [Remember that if two angles form a linear pair they are supplementary] Proportion: m ∠ ABD = 7 m ∠ CBD 3 Substitute 180-x for m ∠ ABD and x for m ∠ CBD x x−180 = 3 7 (180-x):x = 7:3 7x = 3(180-x) 7x = 540 – 3x 7x + 3x = 540 10 x = 540 x = 54 measure of ∠CBD. 180 – x = 126 measure of ∠ABD. Example 12 In the figure, EB ⊥ EH and ET is in the interior of ∠ BEH. If the B ● T● measures of ∠BET and ∠HET are in the ratio 1:5, what is the measure of ∠HET? ● E H Solution: Let x = measure of ∠ BET 90-x = measure of ∠ HET [Remember that perpendicular rays form a right angle and the measure of a right angle is 90.] Proportion: m∠ BET = 1 m∠HET 5
  • 179.
    11 Substitute x form∠BET and 90-x for m∠HET x x −90 = 5 1 x : (90-x) =1:5 5x = 1(90 – x) 5x = 90 – x 5x + x = 90 x = 15 measure of ∠BET 90-x = 75 measure of ∠HET Try this out Set A Find the ratio of each of the following. Use the colon and write your answers in simplest form. 1. 14 cm to 28 cm 2. 8 hours to 12 hours 3. 16 days to 36 days 4. 42 dm to 63 dm 5. 12 inches to 36 inches 6. 24 feet to 36 feet 7. 12 inches to 24 inches 8. 6 inches to 2 feet 9. 3 feet to 24 inches 10.8 hours to 1 day 11.14 days to 2 weeks 12.3 weeks to 24 days 13.5 minutes to 60 seconds 14.5 centimeters to 2 decimeters 15.4 months to 1 year 16.3 feet to 12 inches 17.3 hours to 72 minutes 18. 2 weeks to 8 days 19. 2 centuries to 300 years 20. 200 years to 3 centuries Set B. Find the missing number
  • 180.
    12 1. 4 2 = 10 n 2. n =2 6 3 3. 3 = 5 n 10 4. 6 = 3 10 n 5. n = 2 7 5 6. 4 = n 8 7 7. 7 = 5 n 2.5 8. 3 = 4 3.6 n 9. 2n = 5 3 2 10. 6 = 3n 5 4 11.3n = 6 7 14 12. 4 = 2 5n 10 13. 3 = n 2 7 14. 3n = 3 5 2 15. 8 = 2 5 n
  • 181.
    13 16. 6n =9 8 2 17. 5n = 6 9 4 18. 5 = 12 4 n 19. 15 = n 3 4 20. 6 = 2 n 5 Set C 1. The measures of two supplementary angles are in the ratio 1:2. Find the measure of each angle. 2. The measures of two supplementary angles are in the ratio 1: 4. Find the measure of each angle 3. The measures of two complementary angles are in the ratio 2:3. Find the measure of each angle. 4. The measures of two complementary angles are in the ratio 3:7. Find the measure of each angle. 5. a. What is the ratio of AB to AC? b. What is AE:ED? A 5 6 B E 5 6 C D 6. a. What is BE:CD? D b. What is AB :BC? E 8 4 A C
  • 182.
    14 3 B 5 7.a. What is AB:BC? 4 5 8 b. What is AB: (BC + CD) ● ● ● ● A B C D 8. a. What is y x b. What is x + y ● ● ● ● y + z X Y Z Determine whether each pair of ratios forms a proportion. 9. 6 , 7 7 8 10. 8, 16 9 18 11. 6, 18 9 27 12. 7 , 42 6 36 13. 11, 22 12 24 14.13, 7 9 6 15. 22, 4 11 2 16. 14, 12 7 6 17.The acute angles in a right triangle are in the ratio 3: 6. Find the measure of the larger of the two angles. 18. The acute angles in a right triangle are in the ratio 2 to seven. What is the measure of the smaller of the two angles. 19. In the figure at the right, ∠1 and ∠2 form a linear pair. If the measures of ∠1 and ∠2 are in the ratio 2 to 8. Find the measures ∠1 and ∠2. 1 2 3 6 7
  • 183.
    15 20.In the figurebelow, BA ⊥ BC. BD is in the interior of ∠ABC. If the measures of ∠ABD and ∠CBD are in the ratio 7 to 2. Find the measure of ∠ABD. A D B C Lesson 2 The Basic Proportionality Theorem and Its Converse The Basic Proportionality Theorem: If a line is parallel to one side of a triangle and intersects the other two sides in distinct points, then it divides the two sides proportionally. Illustration: A E F B C In the figure, if EF is parallel to BC and intersects AB and AC at points E and F respectively, then a. AE = AF EB FC b. AE = AF AB AC c. EB = FC AB AC
  • 184.
    16 The Converse ofthe Proportionality Theorem: If a line divides the two sides of a triangle proportionally, then the line is parallel to the third line. Illustration: A E F B C If in ∆ABC, AE = AF, then EF // BC. EB FC You can verify the Basic Proportionality Theorem by doing the following activity. In this activity you need a ruler, a pencil and a protractor. 1. Draw ∆ABC such AB = 5 cm and AC = 10 cm. 2. Draw point E on side AB such that it is 2 cm away from vertex B. 3. Draw a line parallel to BC passing thru point E intersecting AC at point F. Illustration: A E F ● ● 2 B C 4. Verify whether line EF is really parallel to BC by measuring ∠AEF and ∠ABC. Recall: If two lines are cut by a transversal and a pair of corresponding angles are congruent, then the lines are parallel. 5. Find the lengths of AE, AF and FC. 6. Is AE = AF ? EB FC Is AE = AF ? AB AC Is EB = FC ? AB AC
  • 185.
    17 You can verifythe Converse of the Basic Proportionality Theorem by doing the following activity. 1. Draw ∆ABC such that AB = 7 cm and AC = 14 cm. 2. Draw point E on side AB such that it is 3 cm away from vertex A. What is the length of EB? 3. Draw point F on side AC such that it is 6 cm away from vertex A. What is the length of FC? 4. Draw a line passing through points E and F. Notice that line EF divides sides AB ad AC proportionally. 4 3 = 8 6 Illustration: A 3 6 E ● ● F 4 8 B C 5. What can you say about line EF? Is it parallel to BC? Verify by measuring ∠AEF and ∠ABC. Example 1 In ∆ABC, DE // BC. If AD = 6, DB = 8 and EC = 12, find AE. A 6 x D E 8 12 B C Solution: Let x = AE x = 6 12 8 x = 3 12 4 x:12 = 3:4 12(3) = 4(x) 4x = 12(3) (by Symmetric Property of Equality)
  • 186.
    18 4x = 36 x= 9 Example 2 A In ∆ACD, BE //CD If AB = 8, BC = 4, AE = 6, find AD and ED Solution: 8 6 B E Let x = AD AB = AE 4 AC AD C D 8 = 6 8 + 4 x 8:12 = 6:x 12(6) = 8(x) 8x = 72 x = 9 AD = 9 Hence: ED =AD – AE = x – 6 = 3 Example 3 A 2x 3x D E 12 B C In ∆ABC, DE // BC, AD =2x, AB = 20, AE = 3x and EC = 12. Find AD Solution: Step 1. AD = AE AB AC 20 2x = 123 3 +x x 10 x = 123 3 +x x
  • 187.
    19 x(3x + 12)= 10(3x) 3x2 + 12x = 30x 3x2 + 12x – 30x = 0 3x2 – 18x = 0 3x(x – 6) = 0 by factoring 3x = 0 x – 6 = 0 Equating both factors to 0. x = 0 x = 6 Step 2. Substitute 6 for x in 2x 2x = 2(6) = 12 Hence AD = 12 Try this out Set A In the figure, DE // BC. A D E B C True or False 1. AD = AE 6. BD = AE DB EC AD EC 2. AD = AE 7. DB = AB . AB AC EC AC 3. AD = EC 8. AE = EC DB AE AD DB 4. AD = AC 9. AD = AE AB AE EC DB 5. DB = EC 10. AD = DB AB AC AE EC
  • 188.
    20 B In the figure,AB // ED. D 11. CD = CA BD AE 12. BC = AC CD AE A E C 13. AE = BC EC BD 14. AE = CD AC BD 15. CD = CB AB AC Set B In ∆ABC , DE // BC. A D E B C 1 If AD = 1, DB = 2, and EC = 4, find AE. 2. If AD = 2, DB = 4, and AE = 1, find EC. 3. If BD = 6, AD = 4, and AE = 5, find EC. 4. If BD = 5, AD = 6, and CE = 9. what is AE? 5. If AD = 2, AB = 8, and AC = 10 what is AE? In ∆ ABC, DE // BC C E A D B
  • 189.
    21 6. If AD= 4, AB = 12 and AC = 15, what is AE? 7. If AD = 6, DB = 2 and AC = 10 what is AE? 8. If AB = 12, AE = 4 and EC = 6, what is AD? 9. If AD = 2.5, DB = 4 and EC = 6, find AE. 10.If DB = 5, AE = 3.5 and EC = 7, what is AD? In ∆CAT, AC // GD. A G C D T 11.If CD = 10, DT = 12, AG = 8, what is GT? 12.If CT = 10, CD = 4, AT = 7, what is AG? 13.If AG = 3, TG = 6, DT = 8, what is CD? 14.If AG = 4, GT = 12, CD = 6, what is DT? 15.If AT = 12, AG = 6, CT = 16, what is CD? Set C A D E B C 1. If AD = x + 1, DB = 2, AE = 10 and EC = 5, what is x? 2. If AD = x + 2, DB = 4, AE = 6 and EC =8, what is x? 3. If AD = 4, DB = 6, AE = x + 3 and EC = 7.5, what is x? 4. If AD = 2, DB = 6, AE = x + 2 and EC = 9, find x 5. If AD = 5, DB = x + 2, AE = 4 and EC = 4.8, what is x? In ∆ BAC, BC // DE C E B D A
  • 190.
    22 6. If AD= 6, AE = 9, and AC = 21, what is BD? 7. If AD = 4, BD = 5 and AE = 6, what is EC? 8. If DB = 6, AE = 6 and EC = 9 what is AD? 9. If AD = x, AB = 5, AE = 2x and EC = 4, what is AD? 10.If AD = x, AB = 5, AE = 2x and EC = 6, what is AD? In ∆ABC, EF// BC. C F A E B 11.If AE = x, EB = x + 10, AF = 4 and FC = 6, what is x? 12.If AE = 6, EB = 8, AF = y and FC = 2y –2, what is y? 13.If AE = 5, AB = x +2, AF = 10 and AC = 3x, what is x? 14.If AE = x + 4, EB = 12, AF = x + 5 and FC = 14, what is x? 15.If AE = 6, EB = 4y –1, AF = 2 and FC = 3, what is y? Let’s summarize 1. A ratio is a quotient of two numbers . 2. A proportion is an equality of two ratios. 3. The Basic Proportionality Theorem: If a line is parallel to one side of a triangle and intersects the other two sides in distinct points, then it divides the two sides proportionally. 4. The Converse of the Basic Proportionality Theorem: If a line divides the two sides of a triangle proportionally, then the line is parallel to the third side What have you learned 1. The value of n in 4:5 = n:20 is A. 14 C. 16 B. 15 D. 17 2. The value of x in 2x = 3 6 2 A. 3.5 C. 5.5
  • 191.
    23 B. 4.5 D.6.5 3. Write the ratio 30 18 as a fraction in lowest terms A. 16 9 C. 5 3 B. 9 15 D. 3 5 4. Which of the following proportions is true? A. 2: 3 = 4:5 C. 4: 8 = 2: 4 B. 5:7 = 3: 2 D. 4 :7 = 7: 4 5. Two consecutive angles of a parallelogram are in the ratio 2:3. What is the measure of the smaller angle? A. 36 C. 108 B. 72 D. 90 A 6. In ∆ ABC, XY // BC. X Y B C Given that AX = 5, XB = 6, and AY = 8, what is YC? A. 9 C. 7.6 B. 7 D. 9.6 7. In the figure below, What is AB:(BC + CD)? 3 7 2 ● ● ● ● A B C D A. 7 3 C. 14 3 B. 9 10 D. 3 1 8. Which of the following pairs of ratios forms a proportion? A. 5 3 , 9 5 C. 7 6 , 9 8
  • 192.
    24 B. 7 5 , 14 10 , D. 6 5 , 5 6 9. In∆ ABC, DE // AB. C D E A B If DC = x, AD = 4, CE = x + 1 and EB = 8, what is x? A. 4 C. 2 B. 3 D. 1 10.In the figure, DE // AC. B D E A C If BE =2, BC = 6 and BD = 3, what is BA? A. 8 C. 5 B. 9 D. 12 11.Write the ratio 2 hours : 1 day as a fraction in lowest terms A. 2:1 C. 1:12 B. 1:2 D. 12:1 12.Which of the following proportions is false? A. 2:7 =8:28 C. 4:7 = 8:14 B. 3:5 = 9:15 D. 5:6 = 15:24 13.In ∆ABC, DE // BC. Which of the following proportions is false? B D A E C
  • 193.
    25 A. AD =AE C. EC = DB DB EC AC AB B. AB = AC D. AD = EC AD AE AB AC 14.in the figure. Points A, B, and C are collinear. The ratio of ∠ABD to ∠CBD is 5:1 . What is m∠CBD? D ● ● ● ● A B C A. 150 C. 50 B. 30 D. 100 15.∆ ABC is a right triangle. If the ratio of ∠A to ∠B is 2:3, what is m∠ B? B C A A. 18 C. 20 B. 27 D. 36
  • 194.
    26 Answer Key How muchdo you know 1. a. 3 2 b. 3 2 2. a. x = 4 b. x = 16 3. The means are 6 and 6 The extremes are 3 and 12 4. a. 5 1 b. 3 1 5. a. 3 2 b. 4 1 6. a. 8 3 b. 3 1 7. a. 60 b. 120 8. a. 7.5 b. 2.5 9. a. AC = 12 b. AB = 4.5 10.a. x = 4 b. CB = 28
  • 195.
    27 Try this out Lesson1 Set A 1. 1:2 2. 2:3 3. 4:9 4. 2:3 5. 1:3 6. 2:3 7. 1:2 8. 1:4 9. 3:2 10.1:3 11.1:1 12.7:8 13.5:1 14.1:4 15.1:3 16.3:1 17.5:2 18.7:4 19.2:3 20.2:3 Lesson 2 Set A 1. True 2. True 3. False 4. False 5. True 6. False 7. True 8. True 9. False 10.True 11.False 12. False 13.False 14.False 15.False Set B 1. n = 5 2. n = 4 3. n = 6 4. n = 5 5. n = 2.8 6. n = 3.5 7. n = 3.5 8. n = 4.8 9. n = 3.75 10.n = 1.6 11.n = 1 12.n = 4 13.n = 10.5 14.n = 2.5 15.n = 1.25 16.n = n = 6 17.n = 2.7 18.n = 9.6 19.n = 20 20.n = 40 Set C 1. 60 and 120 2. 36 and 144 3. 36 and 54 4. 27 and 63 5. a.1:2 b. 1:1 6. a. 1:2 b. 3:5 7. a. 4:5 b. 4:13 8. a. 1:2 b. 9:13 9. No 10.Yes 11.Yes 12.Yes 13.Yes 14.No 15.Yes 16.Yes 17.60 Set B 1. 2 2. 2 3. 7.5 4. 10.8 5. 2.5 6. 5 7. 7.5 8. 4.8 9. 3.75 10. 2.5 11. 9.6 12. 2.8 13. 4 14. 18 15. 8 Set C 1. 3 2. 1 3. 2 4. 1 5. 4 6. 8 7. 7.5 8. 4 9. 3 10. 2 11. 20 12. 3 13. 4 14. 2 15. 2.5
  • 196.
    28 What have youlearned 1. C 2. B 3. C 4. C 5. B 6. D 7. D 8. B 9. D 10.B 11.C 12.D 13.D 14.B 15.D
  • 197.
    Module 17 Similar Triangles Whatthis module is about? This module is about similar triangles, definition and similarity theorems. As you go over the exercises you will develop your skills in determining if two triangles are similar and finding the length of a side or measure of an angle of a triangle. What are you expected to learn? This module is designed for you to: 1. apply the definition of similar triangles in: a. determining if two triangles are similar b. finding the length of a side or measure of an angle of a triangle 2. verify the Similarity Theorems: a. AAA Similarity b. SAS Similarity c. SSS Similarity 3. apply the properties of similar triangles and the proportionality theorems to calculate lengths of certain line segments. How much do you know? A. For each pair of triangles, indicate whether the two triangles are similar or not. If they are similar, state the similarity theorem or definition that supports your answer. 1. 2 450 3 4 450 6
  • 198.
    2. 3. 4. 5. B. 6 – 10.The length of the sides of a triangle are 14, 8 and 6. Find the length of the two sides of a similar triangle if the length of the shortest side is 12. 3 3 1 2 3 3 2 2 800 500 500 6 4 3 2 4 12
  • 199.
    Lesson 1 Definition ofSimilar Triangles Similar Triangles Two triangles are similar if corresponding angles are congruent and corresponding sides are proportional. Examples: 1. If in ∆ ABC and ∆ XYZ ∠ A≅ ∠ X ∠ B≅ ∠ Y ∠ C≅ ∠ Z XY AB = YZ BC = XZ AC then ∆ABC ∼ ∆XYZ (Triangle ABC is similar to triangle XYZ) 2. ∆BMP ∼ ∆SEC Find the value of x and y Since the corresponding sides are proportional SE BM = EC MP = SC BP x 3 = 8 4 = y 5 x 3 = 2 1 = y 5 x 3 = 2 1 ; 2 1 = y 5 x = 6 y = 10 A B C X Y Z B P M 3 4 5 S E C x y 8
  • 200.
    Exercises: A. Given: MOL∆∼ REY∆ Fill the blanks. 1) M∠ ≅ ______ 2) O∠ ≅ ______ 3) _____ ≅ Y∠ 4) RY ML = ? MO 5) RY ML = ? LO 6) 3 2 = 15 ? 7) 6 4 = ? 2 B. State whether the proportion is correct for the indicated similar triangles 1. RST∆ ∼ XYZ∆ 4. DEF∆ ~ HIS∆ XY RS = YZ ST HI DE = IJ EF 2. ABC∆ ~ DEF∆ 5. KLM∆ ~ PQR∆ DE AB = EF BC PR KM = QR LM 3. RST∆ ~ LMK∆ 6. XYZ∆ ~ UVW∆ LM RT = MK ST UV XY = UW XZ L O M 2 4 5 Y R E 3 6 2 15
  • 201.
    Complete the proportions 7.ABC∆ ~ DEF∆ 9. RST∆ ~ XYZ∆ ? AB = ? BC = ? AC ? XY = ? XZ = ? YZ 8. KLM∆ ~ RST∆ 10. MNO∆ ~ VWX∆ KL ? = LM ? = KM ? ? VX = ? VW = ? WX C. Find the missing length 1. ABC∆ ~ XYZ∆ find b and a 2. SIM∆ ~ PON∆ SI = 6cm. IM = 4cm. SM= 8cm, Find the lengths of the sides of PON∆ if the ratio of the lengths of the corresponding sides is 1:3. A B C 3 a b X Z Y 5 10 15 S 6cm. I 4cm. M 8cm P O N
  • 202.
    Lesson 2 AAA SimilarityTheorem If in two triangles the corresponding angles are congruent, then the two triangles are similar. If BOS∆ ↔ VIC∆ B∠ ≅ V∠ , O∠ ≅ I∠ , S∠ ≅ C∠ then BOS∆ ~ VIC∆ AA Similarity If two angles of one triangle are congruent to the corresponding two angles of another triangle, the triangles are similar. Given: A∠ ≅ O∠ J∠ ≅ B∠ Then: JAM∆ ~ BON∆ Examples: Are the triangles similar by AA Similarity? 1. B O S V I C J A M O B N 330 470 1000 330 470 1000
  • 203.
  • 204.
    SAS Similarity Theorem Ifin two triangles two pairs of corresponding sides are proportional and the included angles are congruent, then the triangles are similar. If ICE∆ ↔ BOX∆ OB CI = OX CE and C∠ ≅ O∠ then ICE∆ ~ BOX∆ Examples: AOB∆ ~ DOC∆ by SAS since DO AO = CO BO and AOB∠ ≅ DOC∠ Can you explain why is RAT∆ ~ RAM∆ by SAS ? I C E B O X B A O D C 9 6 12 8 R A T M 33 4
  • 205.
    SSS Similarity Theorem Ifthe two triangles three corresponding sides are proportional, then the triangles are similar. If SUN∆ ↔ BLK∆ BL SU = LK UN = BK SN then SUN∆ ~ BLK∆ Example: 1. OB SN = PE NA = DE SA 6 4 = 9 6 = 12 8 since the corresponding sides are proportional then NSAPOE ∆∆ ~ by SSS Similarity. 2. Explain: Any two congruent triangles are similar. S N U B K L P E O 6 12 9 N A S 84 6
  • 206.
    Exercises: A. Tell whetherthe two triangles are similar. Cite the Similarity Postulate or Theorem to justify your answer. (Identical marks indicate ≅ parts.) 1. 2. 3. 4. 6 8 10 3 5 4 6 8 3 4 3 6 6 3 9 6 8 10 12 15
  • 207.
  • 208.
    9. PS QS = ST RS 10. B. Determine whethereach pair of the following triangles are similar by SAS, AAA, SSS or not at all. 1. Q R S P T 750 1214 750 67
  • 209.
  • 210.
    C. Answer thefollowing: 1. Two isosceles triangles have an angle of 500 . Does it follows that the triangles are similar? 2. Two angles of BEL∆ have measures of 20 and 50. Two angles of JAY∆ have measures of 30 and 100. IS JAYBEL ∆∆ ~ ? 3. Is it possible for two triangles to be similar if two angles of one have measures 50 and 75, where as two angles of the other have measures 55 and 70? 4. Two angles of have measures 40 and 80, where as the two angles of the other have measures 60 and 80, are the two triangles similar? 5 – 6. The lengths of the sides of a triangle are 12 and 15. If the length of the shortest side of a similar triangle is 12, find the lengths of the other two sides. 7- 8. In the figure, if AE = 8 AB=4, BC=10, ED=3 Find BD and DC. 9 – 10. Explain: Any two equilateral triangle are similar. 500 500 A B D C E
  • 211.
    Lesson 3 Application ofthe Properties of Similar Triangles to Calculate Lengths of certain line segments. Examples: DEFABC ∆∆ ~ . Find the missing measure. 1. AB = 36, BC = 24, DE = 48 Bm∠ = 110, Em∠ = 110; EF =_______. DE AB = EF BC 48 36 = x 24 36x = 1152 x = 32 EF = 32 2. AB = 38, BC =24, AC=30, DE=12, EF=16, DF= _______. DE AB = DF AC 12 18 = x 30 2 3 = x 30 3x = 60 x = 20 DF = 20 3. AC = 15, DE=12, DF=20, =∠Am 35=∠Dm , AB =__________ DE AB = DF AC 12 x = 20 15 12 x = 4 3 4x = 36 x = 9 AB = 9
  • 212.
    4. The lengthsof the sides of a triangle are 14, 8 and 6. Find the perimeter of a similar triangle if the length of its shortest side is 12. Let x = the length of one side of a triangle x = the length of the longest side of the triangle 12 6 = x 8 2 1 = x 8 x = 16 12 6 = y 14 2 1 = y 14 y = 28 P = 12 + 16 + 28 P = 56 5. On a level ground, a 5ft. person and a flagpole cast shadows of 10 feet and 60 feet respectively. What is the height of the flagpole? Let x = the height of the flagpole x 5 = 60 10 x 5 = 6 1 x = 30 feet the height of the flagpole
  • 213.
    Exercises 1. A yardstickcasts a shadow of 24in. at the same time an electric post cast a shadow of 20ft. 8 in. What is the height of the electric post? 2. Two triangles are similar. The lengths of the sides of one triangle are 5, 12 and 13. Find the lengths of the missing sides of the other triangle if its longest side is 39. 3. The perimeter of a triangle is 32cm. and the ratio of the sides is 3:6:7. Find the length of each side of the triangle. 4. A tall building at Makati casts a shadow of 12m. at the same time a 7m. light pole cast a shadow of 3m. Find the height of the building. 5. If the shadow of the tree is 20m. long and the shadow of the person, who is 190cm. tall, is 250cm. long. How tall is the tree? Let’s Summarize 1. Two triangles are similar if their vertices can be paired so that corresponding angles are congruent and the lengths of corresponding sides are proportional. 2. The AAA Similarity. If the corresponding of two triangles are congruent, then the two triangles are similar. 3. The AA Similarity. If two pairs of corresponding angles of two triangles are congruent, then the two triangles are similar. 4. The SSS Similarity. If the lengths of corresponding sides of two triangles are proportional, then the two triangles are similar. 5. The SAS Similarity. If one pair of corresponding angles of two triangles are congruent and the lengths of the corresponding sides that include these angles are proportional, then the two triangles are similar.
  • 214.
    What have youlearned? A. Given the figures and the information below can you conclude that RPSKMN ∆∆ ~ ? If so what Similarity Theorem? 1. 80=∠Mm 80=∠Pm 2. 80=∠Mm , 100=∠+∠ SmRm 3. RS = 26 KN = 40 B. Find the missing side 4. 5. 6 – 7. If the shadow of the tree is 14cm. long and the shadow of the person who is 1.8m. tall is 4m long, how tall is the tree? 8 – 10. A pole 3m. high has a shadow 5m long when the shadow of a nearby building is 110m. long. How tall is the building? K 24 M 36 N R 16 P 24 S 24 x 5 6 16 20 3 4 5 9 12 X =?
  • 215.
    Key How much doyou know? 1. yes, SAS 2. No 3. yes, SAS 4. yes, AAA 5. yes, SSS 6. 16,28 Lesson 1 Exercises: A.1. R∠ B. 1. Correct C. 1. a=6 2. E∠ 2. correct b=1 3. L∠ 3. Not correct 4. RE 4. correct 2. NP=24 5. YE 5. correct NO=12 6. 5 6. correct PO = 18 7. 3 7. DE, EF, DF 8. RS, ST, RT 9. RS, RT, ST 10. MO, MN, NO Lesson 2 A.1. Similar, SSS B.1. Similar, SAS C.1. yes 2. Similar, SAS 2. Similar, AA 2. no 3. Similar, SAS 3. Similar, SAS, AA 3. no 4. Similar, SSS 4. Similar, AA 4. yes 5. Similar, AAA 5. Similar, SSS 5 6. Similar, SSS 6 7. Similar, SAS 7. BD = 5.7’ 8. not similar 8. DC = 7.5 9. Similar, SAS 9 10.Similar, SSS 10 18, 22.5 Equilateral ∆ is equiangular by AAA. Any 2 equilateral ∆ are similar.
  • 216.
    Lesson 3 Exercises 1. 372in. 2.15, 36 3. 6cm., 12cm., 14cm. 4. 28m. 5. 152cm. What have your learned? 1. Similar, SAS 2. Similar, SAS 3. not similar 4. 4 5. 15 6-7. 6.3m 8 - 10. 66m.
  • 217.
  • 218.
    List all thetriangles in the figure that are similar to MAN∆ . C B A E D D O L M N
  • 219.
    Polymonies are madeup of a number of squares connected by common sides. Thirteen sticks were used to make this one with four squares. Investigate the numbers of sticks needed to make others.
  • 220.
    How many rectanglesare there in this diagram?
  • 221.
    Make a rectangulargrid of squares. Cut it along the grid lines to make two identical pieces.
  • 222.
    Module 3 Similarity What thismodule is about This module is about similarities on right triangles. As you go over the exercises you will develop skills in applying similarity on right triangles and solve for the missing lengths of sides using the famous Pythagorean theorem. What you are expected to learn 1. Apply AA similarity on Right triangles 2. In a right triangle, the altitude to the hypotenuse separates the triangle into two triangles each similar to the given triangle and similar to each other. 3. On a right triangle, the altitude to the hypotenuse is the geometric mean of the segments in which it divides, each leg is the geometric mean of the hypotenuse and the segment of the hypotenuse adjacent to it. 4. Pythagorean Theorem and its application to special right triangles How much do you know Use the figure to answer each of the following: 1. What is the hypotenuse of rt. ∆ABC? C BA D
  • 223.
    2 2. If ∠C is the right angle of ∆ABC and CD ⊥ AB then ∆ABC ∼ ∆BDC ∼ ___. 3. Complete the proportion: BDCD AD ? = 4. In rt. ∆PRO, ∠ R is a right angle OR = 24 and PO = 26, find PR: 5. In a 30°-60°-90° triangle the length of the hypotenuse is 14. Find the length of the longer leg. 6. In a 30°-60°-90° triangle, the length of the hypotenuse is 11 2 1 . Find the length of the shorter leg. 7. In a 45° - 45° - 90° triangle, the length of the hypotenuse is 16. Find the length of a leg. 8. Find the length of the altitude of an equilateral triangle if the length of a side is 6. 9. Find the length of the diagonal of a square if the length o a side is 10 cm. 10. ∆BAC is a right triangle ∠C is right angle CD ⊥ AB. Find CD if AD = 14, DB = 6 O P R 24 26 C B D A 14 6
  • 224.
    3 What will youdo Lesson 1 Similarity on Right Triangle Let us recall the AA Similarity Theorem. Given a correspondence between the vertices of two triangles. If two pairs of corresponding angles are congruent, then the triangles are similar. From the theorem, if ABC ↔ RST and ∠A = ∠R, ∠B = ∠S then ∆ABC ∼ ∆RST. We can apply this theorem to prove another theorem, this time in a right triangle. Theorem: In a right triangle, the altitude to the hypotenuse separates the triangle into to two triangles each similar to the given triangle and similar to each other. Given: Right ∆ABC with altitude CP Prove: ∆ACP ∼ ∆CBP ∼ ∆ABC To prove this theorem, we apply the AA Similarity Theorem A P B C S TR B A C
  • 225.
    4 Examples: If you aregiven ∆PRT a right triangle and RM an altitude to the hypotenuse then we can have three pairs of similar triangles. ∆RMP ∼ ∆TRP ∆TMR ∼ ∆TRP ∆RMP ∼ ∆TMR Try this out A. Use the figure to answer each of the following: 1. Name the right triangle of ∆ABC 2. What is the altitude to the hypotenuse of ∆ABC? 3. Name the hypotenuse of ∆ABC 4. Two segments of the hypotenuse Are AD and ____. 5. The hypotenuse of ∆BCD if CD ⊥ AB is ____. 6. Name the right angle of ∆ACD 7. Name the hypotenuse of right ∆BCD 8. ∆ADC ∼ _____ 9. ∆ABC ∼ _____ 10.∆ABC ∼ _____ B. Name the pairs of right triangles that are similar. 1. 2. 3. R P M T D C BA S R T O
  • 226.
    5 4. 5. 6. C. Use thefigure at the right. 1. Name all the right triangles. 2. In ∆ABC, name the altitude to the hypotenuse. 3. Name the hypotenuse in ∆ADC. 4. Name the hypotenuse of ∆ACB. One of the segments shown is an altitude to the hypotenuse of a right triangle. Name the segment. 5. 6. 7. Name the three pairs of similar triangles: 8. 9. 10. A D C B B CA D M N OP M S RO I D J KG F H E
  • 227.
    6 Lesson 2 Geometric Meanin Similar Right Triangles The previous theorem states that: In a right triangle, the altitude to the hypotenuse divides the triangle into similar triangles, each similar to the given triangle. If : ∆ACB is right with ∠C, the right angle CD is the altitude to the hypotenuse AB. Then : ∆ADC ∼ ∆ACB ∆CDB ∼ ∆ACB ∆ADC ∼ ∆CDB Corollary: 1. In a right triangle, the altitude to the hypotenuse is the geometric mean of the segments into which divides the hypotenuse In the figure: DB CD CD AD = Corollary 2: In a right triangle, each leg is the geometric mean of the hypotenuse and the segment of the hypotenuse adjacent to it. In the figure: AD AC AC AB = AD BC BC AB = C BA D C B D A C A B D
  • 228.
    7 Examples: 1. How longis the altitude of a right triangle that separates the hypotenuse into lengths 4 and 20? 20 4 a a = a2 = 80 a = 80 a = 516⋅ a = 54 2. Use the figure at the right to solve for x and y. 8 2 x x = x2 = 16 x = 16 x = 4 Solve for y 8 6 y y = y2 = 48 y = 48 y = 316⋅ y = 4 3 204 a 2 y x 8
  • 229.
    8 Try this out A.Supply the missing parts: 1. ? RT RT RW = 2. RS TSWS = ? 3. RS TS TS = ? 4. ? RT RT RS = Give the indicated proportions. 5. The altitude is the geometric mean 6. The horizontal leg is the geometric mean 7. The vertical leg is the geometric mean Find: 8. BS 9. RS 10.ST B. Solve for x and y: 1. x = y = F S OP R B TS 8 2 x 4 7 y T S W R
  • 230.
    9 x y 2. x = y = 3. x= y = 4. x = y = 5. x = y = C. Given: Right ∆POM OR ⊥ PM, xy 5 10 6 O M R P 10 x y 4 10 y 10 20 x
  • 231.
    10 Find the missingparts: 1. PR = 5, RM = 10, OR = 2. OR = 6, RM = 9, PR = 3. PR = 4, PM =12, PO = 4. RM = 8, PM =12, OM = 5. PO = 9, PR = 3, PM = 6. PR = 6, RM = 8, PO = 7. PR = 4, RM = 12, OM = 8. PR = 4, PO = 6, RM = 9. PR = 8, OR = 12, RM = 10.PM =15, OM = 12, RM = Lesson 3 The Pythagorean Theorem In a right triangle, the square of the length of the hypotenuse is equal to the sum of the squares of the lengths of the legs. In the figure: ∆BCA is right with leg lengths, a and b and hypotenuse length, c. The Pythagorean Theorem in symbol: c2 = a2 + b2 Pythagorean Theorem is named after Pythagoras, a Greek Mathematician of the sixth century BC. This theorem can be used to find a missing side length in a right triangle. Examples: 1. In the figure c = 13, b = 12 Find a: c2 = a2 + b2 132 = a2 + 122 B C A a c b a = ? c = 13 b = 12
  • 232.
    11 a2 =132 - 122 a2 =169 –144 a2 = 25 a = 25 a = 5 2. Find c, if a = 16 and b = 12 c2 = a2 + b2 c2 = 162 + 122 c2 = 256 + 144 c = 400 c = 20 3. c2 = a2 + b2 82 = 42 + b2 b2 = 82 – 42 b2 = 64 –16 b2 = 48 b = 48 b = 316⋅ b = 4 3 Try this out: A. State whether the equation is correct or not 1. a2 + b2 = c2 2. r2 = s2 + t2 a = 16 b = 12 c = ? a = 4 b = ? c = 8 ac b rt s
  • 233.
    12 3. e2 = f2 – d2 4. a2 =c2 – b2 5. k2 = l2 – m2 6. p2 = r2 + q2 7. x2 = 32 + 42 e d f a c b l k m p q r 3x 4
  • 234.
    13 8. x2 = 102 – 72 9. x2 =42 + 62 10. x2 = 72 – 52 B. Write the equation you would use to find the value of x. 1. 2. 10 7 x x4 6 x7 5 x4 3 x6 5
  • 235.
    14 3. 4. Classify each statementas true or false 5. 32 + 42 = 52 6. 102 – 62 = 82 7. 12 + 12 = 22 8. 22 + 22 = 42 9. 72 – 52 = 52 10.92 + 122 = 152 C. Given the lengths of two sides of a right triangle. Find the length of the third side 1. a = 6, b = 8, c = 2. a = 5, b = 12, c = 3. a = 12, c = 15, b = 4. b = 4, c = 5, b = 5. a = 24, c = 26, b = 6. b = 16, c = 20 x 7 10 x5 6 ac b B CA
  • 236.
    15 7. 8. 9. 10 Lesson 4 Special RightTriangle Isosceles Right Triangle or 45° – 45° – 90° Theorem: In a 45° – 45° – 90° triangle, the length of the hypotenuse is equal to the length of a leg times 2 . In the figure: If ∆ABC, a 45° – 45° – 90° triangle when AC = BC = s then AB = s 2 . 30° - 60° - 90° Theorem: In a 30° - 60° - 90° triangle, the length of the hypotenuse is twice the length of the shorter leg, and the length of the longer leg is 3 times the length of the shorter leg. In the figure: If ∆PRT where ∠R is a right angle and ∠T = 30°, Then: a. PT = 2PR b. RT = PR 3 a b c 7 24 ? 4 6 ? 7 9 ? 6 3 ? 12 ss C BA 45° 45° P RT 60° 30°
  • 237.
    16 Examples: 1.Find the lengthof the hypotenuse of an isosceles right triangle with a leg 7 2 cm long. Hypotenuse = leg 2⋅ . = 7 2 2⋅ = 7 · 2 = 14 2. Find the length of each leg of a 45° - 45° - 90° triangle with a hypotenuse 12 cm long. Leg = 2 hypotenuse = 2 12 = 2 2 2 12 ⋅ = 2 212 = 6 2 cm 3. Find the length of the longer leg and the length of the hypotenuse. Longer leg = shorter leg · 3 = 30 · 3 = 30 3 m hypotenuse = shorter leg · 2 = 30 · 2 = 60 m Try this out A. Use the figure to answer the following: 1. The hypotenuse of a rt. ∆ABC is ___________. 2. The shorter leg of rt. ∆ABC is ___________. 7 2 45°45° 45° 45° 12 cm 30° 30 m 30° 30° 60° 60° C BA D
  • 238.
    17 3. The shorterleg of rt. ∆ADC is ___________. 4. The longest side of rt. ∆ADC is _________. 5. The altitude to the hypotenuse of ∆ACD is ________. 6. The longer leg of rt. ∆ACB is _________. 7. The longer leg of rt. ∆ADC is ________. 8. When CD = 2 then ____ = 4. 9. When CB = 6 then _____ = 6 3 10. When CB = 6 then _____ = 3 B. Find the value of x in each of the following: 1. 2. 3. 4. 5. 6. 7. 8. 9. 10. x 45° 45° 10 30° x 60° 24 30° x 60° 30x 45° 45° 12 x 45° 45° 7 30° x 60° 26 30° x 60° 18 30° 60° x 16 30° 60° x 10 60° 30° x 6
  • 239.
    18 30°60° x y 10 C. Find themissing lengths, x and y. 1. 2. 45° 45° 3. 4. 5. 6. 7. 8. 60° 30° 9. 10. 45° yx 5 45° 45° x y 3 y x 7 30° 10 3 x y 30° x y 5 45° 45° y x 2 3 45° 45° x y 2 3 45° x y 1.5 60° 30° .5 3 x y
  • 240.
    19 Beyond the PythagoreanTheorem In symbol c2 = a2 + b2 , where c is the hypotenuse and a and b are the legs of a right triangle. Figure shows acute triangles Figure shows obtuse triangles Figure shown right triangle
  • 241.
    20 Activity: This activity willhelp you extend your understanding of the relationship of the sides of a triangle. Materials: Strips of paper cut in measured lengths of 2, 3, 4, 5, 6 and 8 units. Procedure: 1. Form triangles with strips indicated by the number triplets below. 2. Draw the triangle formed for each number triple. 3. Fill out the table: Number triplets What kind of triangle Compute c2 Compute a2 + b2 1. 3 4 5 Right 52 = 25 32 + 42 = 25 2. 2 3 4 3. 2 4 5 4. 5 4 8 5. 6 5 8 6. 4 5 6 7. 2 3 3 8. 3 3 4 After the computation, the completed table will look like this Number triplets Kind of triangle c2 a2 + b2 Comparison of c with (a2 + b2 ) 1. 3 4 5 Right 25 25 Equal to 2. 2 3 4 Obtuse 16 13 Greater than 3. 2 4 5 Obtuse 25 20 Greater than 4. 5 4 8 Obtuse 64 41 Greater than 5. 6 5 8 Obtuse 64 61 Greater than 6. 4 5 6 Acute 36 41 Smaller than 7. 2 3 3 Acute 9 13 Smaller than 8. 3 3 4 Acute 16 18 Smaller than 1. What kind of ∆ did you get from triplet no. 1? 2. In triplet no. 1, what is the relation between c2 and (a2 + b2 )? 3. Which triplets showed obtuse triangle?
  • 242.
    21 4. For eachobtuse triangle compare the result from c2 and (a2 + b2 ). 5. For acute triangles how will you compare the result of c2 and (a2 + b2 ) Fill in the blanks with <, =, >: 6. In a right triangle, c2 ____ a2 + b2 7. In an obtuse triangle, c2 ______ a2 + b2 8. In an acute triangle, c2 ____a2 + b2 Let’s Summarize Theorem: In a right triangle, the altitude to the hypotenuse separates the triangle into two triangles each similar to the given triangle and similar to each other. Corollary 1: In a right triangle, the altitude to the hypotenuse is the geometric mean of the segments into which it divides the hypotenuse. Corollary 2: In a right triangle, each leg is the geometric mean of the hypotenuse and the segment of the hypotenuse adjacent to it. Pythagorean Theorem: The square of the length of the hypotenuse is equal to the sum of the squares of the legs. 45°-45°-90° Theorem: In a 45°-45°-90° triangle, the length of the hypotenuse is equal to the length of a leg times 2 . 30°- 60° - 90° Theorem: In a 30°- 60°- 90° triangle, the length of the hypotenuse is twice the length of the shorter leg, and the length of the leg is 3 times the length of the shorter leg.
  • 243.
    22 What have youLearned Fill in the blanks: 1. The _______ to the hypotenuse of a right triangle forms two triangles each similar to the given triangle & to each other. 2. The lengths of the ________ to the hypotenuse is the geometric mean of the lengths of the segments of the hypotenuse. 3. In the figure ? MA MA AB = for nos. 3 & 4 4. If BP = 8 AB = 4 Find PM ___ 5. If in a right triangle the lengths of the legs are 8 and 15, the length of the hypotenuse is _______ 6. Find the length of an altitude of an equilateral triangle if the length of a side is 10. 7. In a 30° – 60° – 90° triangle, the length of the hypotenuse is 8. Find the length of the shorter leg. 8. - 9. ∆ACB is an isosceles right triangle. CD bisects ∠C, the right angle. Find AB and CB. 10. What is the height of the Flag Pole? M P B A C A B D 3 2 m 8 m
  • 244.
    23 Answer key How muchdo you know 1. AB 6. 5 4 3 2. ∆ACB 7. 8 2 3. CD 8. 3 3 4. 10 9. 10 2 5. 7 3 10. 2 21 Lesson 1: A. B. 1. ∠C or ∠ACB 1. ∆ROS ∼ ∆RST 2. CD 2. ∆TOS ∼ ∆RST 3. AB 3. ∆ROS ∼ ∆TOS 4. BD or DB 5. BC 4. ∆MST ∼ ∆MOR 6. ∠ADC 5. ∆RSO ∼ ∆MOR 7. BC 6. ∆MST ∼ ∆RSO 8. ∆BDC 9. ∆ADC 10.∆BDC C. 1. ∆ADC, ∆BDC, ∆ACB 2. CD 3. AC 4. AB 5. BD 6. GH 7. OK 8. ∆MNR ∼ ∆MPO 9. ∆ONP ∼ ∆MPO 10. ∆MNP ∼ ∆ONP Lesson 2 A. B. C. 1. WS 1. x = 2 11 1. 5 2 2. TS y = 2 7 2. 4
  • 245.
    24 3. WS 2.x = 10 3 3. 4 3 4. RW y = 30 4. 4 6 5. SP OS OS SF = 3. x = 2 14 5. 27 y = 2 35 6. 4 3 6. PF PO PO SP = 4. x = 20 7. 8 3 y = 5 5 8. 9 7. PF OF OF FS = 5. x = 3 2 16 6 100 or 9. 18 y = 10 10. 9.6 8. 4 9. 2 5 10. 4 5 Lesson 3 A. B. C. 1. correct 1. x2 = 32 + 42 1. 10 2. correct 2. x2 = 62 – 52 2. 13 3. not 3. x2 = 102 – 72 3. 9 4. correct 4. x2 = 62 – 52 4. 3 5. correct 5. true 5. 10 6. not 6. true 6. 12 7. correct 7. false 7. 25 8. correct 8. false 8. 2 13 9. not 9. false 9. 130 10. not 10. true 10. 6 Lesson 4 A. B. C. x y 1. AB 1. 12 1. 5 3 5 2. BD 2. 10 3 2. 2 3 2 23 3. CD 3. 8 3. 3 3 4. AC 4. 18 3 4. 2 23 2 23
  • 246.
    25 5. CD 5.13 5. 2 25 2 25 6. AC 6. 7 2 6. 2 25.1 2 25.1 7. AD 7. 12 3 7. 14 7 3 8. AC 8. 12 2 8. 5 5 3 9. AC 9. 15 3 9. 5 3 15 10. DB 10. 3 310 10. 5 10 What have you learned 1. altitude 2. altitude 3. AP 4. 4 2 5. 17 6. 5 3 7. 4 8. 3 2 9. 3 10. 2 3
  • 247.
    Module 1 Plane CoordinateGeometry What this module is about This module will explain to you the relationship among lines on the plane. This will also tell you about intersecting line, non-intersecting lines, characteristics of parallel lines and perpendicular lines. Furthermore, this will tell you how to determine the intersection of two lines if there is any. What you are expected to learn This module will help you 1. Determine the point of intersection of two lines 2. Compute for the coordinates of the intersection of two lines. 3. Determine without graphing if the given lines are parallel, perpendicular or neither. 4. Define algebraically parallel and perpendicular lines. How much do you know Given each pair of lines, determine if they are a) intersecting but not perpendicular, b) perpendicular and c) parallel 1. y = 3x – 7 y = 3x + 1 2. 2x + 3y = 5 3x – 2y = 8 3. x + 2y = 9 4x + 3y = 1 4. 3x – 2y = 3 3x + 5y = 14 5. 2x – 4y = 1 4x – 8y = 7
  • 248.
    2 6. The slopesof parallel lines are ___________. 7. What is the slope of the line parallel to 2x + 4y – 3 = 0? 8. What is the slope of the line perpendicular to x – 6y + 5 = 0? 9. Write equation of the line parallel to 5x + 8y = 7 and passing through (2, 4). 10. At what point do the lines 3x – y = 7 and 5x + y = 9 intersect? What you will do Lesson 1 Intersection of Two Lines Lines on the plane can either intersect or not. If two lines intersect, then there is a common point between them. That common point is where the two lines intersect. In a plane, this point has two coordinates, the x and y coordinates. The coordinates of the intersection can be solved algebraically. In second year algebra, you are taught how to solve systems of linear equations. That knowledge will help you a lot in understanding this lesson. Since every equation of the line assumes the general form ax + by + c = 0, to get the intersection of two lines, you solve for the value of x and y common to both equations. To solve for the value of x and y algebraically, there are methods that can be used. The following steps can help you in solving systems of linear equations. 1. Eliminate one variable by using a. addition or subtraction b. finding the value of one variable in terms of the other variable 2. Solve for the value of the other variable 3. Substitute the computed value of one variable on either of the two equations to solve for the value of the remaining variable. Examples: 1. Find the point of intersection of the lines whose equations are 3x – y =10 and 5x + y =14. Solution: To find the intersection of the two lines, solve the system by eliminating one variable through addition. Add the similar terms of the first equation to that of the second equation. Equation 1 3x – y = 10 Equation 2 5x + y = 14 Add 8x + 0 = 24 8x = 24 x = 3
  • 249.
    3 Then replace xwith 3 in either Equation 1 0r Equation 2 Equation 1 3x – y = 10 3(3) – y = 10 9 - y = 10 - y = -1 y = 1 Therefore the point of intersection of the two lines is (3, -1) 2. Find the point of intersection of the two lines whose equations are x + 2y = 4 and 3x + 5y = -21. Solution: Another method of eliminating one variable is through substitution. You get the value of one variable in terms of the other variable. Equation 1 x + 2y = 4 Equation 2 3x – 5y = -21 Using Equation 1, solve for x in terms of y x + 2y = 4 x = 4 – 2y Using Equation 2, replace x with 4 – 2y Equation 2 3x – 5y = -21 3(4 – 2y) - 5y = -21 12 – 6y – 5y = - 21 - 11y = - 21 – 12 - 11y = - 33 y = 3 Then replace y with 3 on either Equation 1 or Equation 2 to solve for the value of x. Equation 1 x + 2y = 4 x+ 2(3) = 4 x + 6 = 4 x = -2 So the intersection of the two lines is the point whose coordinates are (-2, 3). 3. At what point do the lines 3x + 2y = 12 and 4x – 3y = -1 intersect?
  • 250.
    4 Solution. To eliminate avariable in this example, first find equivalent equations with equal but opposite coefficient in x or in y by multiplying one or both equations by a number factor. Equation 1 3x + 2y = 12 Equation 2 4x – 3y = -1 3(3x + 2y) = 12 9x + 6y = 36 2(4x – 3y) = -1 8x – 6y = -2 Add Equation 1 and 2 17x + 0 = 34 7x = 34 x = 2 Then replace x with 2 in either Equation 1 or 2 Equation 1 3x + 2y = 12 3(2) + 2y = 12 6 + 2y = 12 2y = 6 y = 3 Therefore, the point of intersection is (2, 3). Example 4. Find the point of intersection of the lines y = 2x – 2 and y – 2x = 1. Solution: Using any of the previous methods, solve the system of equations. Equation 1 y = 2x – 2 Equation 2 y – 2x = 1 Using Equation 1, solve for y in terms of x y = 2x - 2 Replace y by 2x - 2 in the second equation. (2x – 2) – 2x = 1 2x - 2 – 2x = 1 -2 = 1 , this is a false statement. Solving the system led to a false statement. Therefore the system is inconsistent and has no solution . So the lines do not intersect. There is a way of determining whether the two lines intersect or not. The following theorem can be used to determine if two lines intersect or not.
  • 251.
    5 Theorem: If twonon-vertical lines intersect, then their slopes are not equal. This theorem can be verified as follows. Y B (x2,y2) C(x3,y3) A (x1, y1) X Let A, B and C be three distinct points on a plane. By line determination postulate, line AB and line AC can be constructed with A as a common point or point of intersection. Get the slopes of the two lines. For line AB, the slope m1 = 12 12 xx yy − − For line AC, the slope m2 = 13 13 xx yy − − Since the numerators and denominators in the two fractions are different, then the two slopes are not equal. Thus 21 mm ≠ The converse of the theorem, “ If two non-vertical lines have different slopes, then the lines are intersecting,” is also true. 5. Without graphing, show that 5x – y = 7 and 3x + 2y = 4 are intersecting lines. Solution: Transform each equation to slope-intercept form. Equation 1 5x – y = 7 - y = -5x + 7 y = 5x - 7 slope (m1) = 5
  • 252.
    6 Equation 2 3x+ 2y = 4 2y = - 3x + 4 y = 2 2 3 +− x slope (m2) = 2 3 − Since 21 mm ≠ , then the two lines are intersecting. Try this out A. Without graphing, show that the following pairs of lines are intersecting. 1. y = 3x – 4 y = x + 7 2. y = 4 2 1 −x y = 6 2 3 +x 3. x + 4y = 3 2x + y = 7 4. 2x – y = 8 2x + y = 7 5. 3x – 5y = 4 x + y = 4 B. Find the intersection of the following pairs of lines. 1. 3x – 4y = 1 3x + y = -4 2. x + 5y = 13 2x – y = -7 3. x – 6y = 11 3x + 3y = 12 4. 2x – 5y = -7 3x + 2y = 18 5. 3x – 7y = -15 2x + 6y = -10
  • 253.
    7 Lesson 2 Parallel andPerpendicular Lines In the previous lesson, there was an example in which the solution of the system of equations led to a false statement. This showed that the two lines do not intersect. In a plane, if two lines do not intersect, then they are parallel. Let us consider the given in example 4. Equation 1 y = 2x - 2 Equation 2 y – 2x = 1 If we graph the two lines on the same set of axes, they will look like this. The graphs showed that the two lines are parallel. Without graphing, you can also determine if the lines are parallel or if they intersect. The following theorem can be used to prove that two lines are parallel. Theorem: If two non vertical lines are parallel, then the slopes are equal. The converse of this theorem is also true. Converse theorem: If two lines which are not coincident have the same slope, then the lines are parallel.
  • 254.
    8 Consider the givenlines above. To prove that they are parallel, their slopes must be equal, transform the equations into y-form or slope-intercept form. Equation 1 y = 2x - 2 The equation is already in y - form. slope(m1) = -2 Equation 2 y – 2x = 1 Again, transform to slop-intercept form y = -2x + 1 slope (m2) = -2 You can see that m1 = m2 . Therefore, the two lines are parallel. The slope of horizontal line is zero (0), thus all horizontal lines are parallel to each other. Slope of vertical line is undefined and so all vertical lines are also parallel to each other. In a plane, some lines are parallel, and others are intersecting. Intersecting lines may be perpendicular or not. The next theorem will help you determine if the pair of lines is perpendicular or not. Theorem: If two non vertical lines are perpendicular, then their slopes are negative reciprocals. Examples: 1. Show that the lines whose equations are 3x + y = 4 and x – 3y = 7 are perpendicular. Solution: Equation 1 3x + y = 4 Transform to slope-intercept form y = -3x + 4 slope (m1) = -3 Equation 2 x – 3y = 7 Transform to slope-intercept form - 3y = -x + 7
  • 255.
    9 y = 3 7 3 1 − + − − x y = 3 7 3 1 −x slope(m2) = 3 1 Comparing their slopes, it is obvious that they are the negative reciprocal of each other. Hence, we can conclude that the two lines are perpendicular. 2. Determine which pairs of lines are parallel, perpendicular or just intersecting. a. Line 1 5x – 2y = 7 b. Line 2 2x + 5y = 4 c. Line 3 4x + 10y = 6 d. Line 4 3x + y = 5 e. Line 5 x – 3y = 6 f. Line 6 2x + 6y =1 Solution: Transform each equation to slope-intercept form a. 5x – 2y = 7 - 2y = - 5x + 7 y = 2 7 2 5 − + − − x y = 2 7 2 5 −x m1 = 2 5 b. 2x + 5y = 4 5y = -2x + 4 y = 5 4 5 2 + − x m2 = 5 2 − c. 4x + 10 y = 6 10 y = -4x + 6
  • 256.
    10 y = 10 6 10 4 + − x y = 5 3 5 2 +−x m3 = 5 2 − d. 3x + y = 5 y = -3x + 5 m4 = -3 e. x – 3y = 6 - 3y = -x + 6 y = 3 6 3 − + − − x y = 2 3 1 −x m5 = 3 1 f. 2x + 6y = 1 6y = -2x + 1 y = 6 1 6 2 + − x y = 6 1 3 1 +− x m6 = 3 1 − By comparing the computed slopes, you can determine the relationship of a line with the other lines. Since the slopes of line 1 and line 2 are negative reciprocals, then line 1 is perpendicular to line 2. Line 1 and line 3 are also perpendicular to each other since their slopes are negative reciprocals. The slopes of line 2 and line 3 are equal so line 2 is parallel to line 3. The slopes of line 4 and line 5 are also negative reciprocals so these lines are also perpendicular. On the other hand, other pairs of lines like line 4 and line 6, line 5 and line 6 are just intersecting line since their slopes are not equal. The summary of the relationship between each pair of lines is given below.
  • 257.
    11 Pair of LinesRelationship Pair of Lines Relationship Line 1 and line 2 Perpendicular Line 2 and line 6 Just intersecting Line 1 and line 3 Perpendicular Line 3 and line 4 Just intersecting Line 1 and line 4 Just intersecting Line 3 and line 5 Just intersecting Line 1 and line 5 Just intersecting Line 3 and line 6 Just intersecting Line 1 and line 6 Just intersecting Line 4 and line 5 Perpendicular Line 2 and line 3 Parallel Line 4 and line 6 Just intersecting Line 2 and line 4 Just intersecting Line 5 and line 6 Just intersecting Line 2 and line 5 Just intersecting 3. Prove that the quadrilateral whose vertices are given is a parallelogram. A(-3, 3), B(-2, -2), C(8, 3), D(7, 8) Solution: Parallelogram is defined as quadrilateral whose opposite sides are parallel. To prove that ABCD is a parallelogram, show that opposite sides have equal slopes. Slope of AB: mAB = )3(2 32 −−− −− = 1 5− mAB = -5 Slope of CD: mCD = 87 38 − − = 1 5 − mCD = -5 Since the slopes of side AB and side CD are equal, then AB║CD. Slope of BC: mBC = )2(8 )2(3 −− −− = 28 23 + + = 10 5 mBC = 2 1
  • 258.
    12 Slope of AD: mAD= )3(7 38 −− − = 10 5 mAD = 2 1 Since the slope of side BC is equal to the slope of side AD then BC║AD. Therefore we can conclude that ABCD is a parallelogram since the opposite sides are parallel. 4. Prove that the following points are vertices of a right triangle. A(-3, 5), B(6, 1) and C(-7, -4). Solution: Since one angle of a right triangle is right, then two sides must be perpendicular and you have to find the slopes of the three sides to prove this. Slope of AB: mAB = )3(6 51 −− − mAB = 9 4− Slope of BC: mBC = 67 14 −− −− = 13 5 − − mBC = 13 5 Slope of AC: mAC = )3(7 54 −−− −− = 4 9 − − mAC = 4 9
  • 259.
    13 From the computedslopes of the three sides AB, BC and AC, it is clear that AB is perpendicular to AC since their slopes are negative reciprocals. Hence we can conclude that BAC∠ is a right angle. It only proved that ∆ABC is a right triangle. If we sketch the graph on the Cartesian plane, it will look like this. Y (-3, 5) 5. Write an equation in standard form of the line passing through a. point (1, -2) and parallel to y = 3x + 2 b. point (3, 4) and perpendicular to y = 2x – 7. Solution: a. Since parallel lines have equal slopes, then the slope of the required line is 3. Using the point slope form, determine the equation of the line. y – y1 = m(x – x1) y – (-2) = 3(x – 1) y +2 = 3x -3 -3x + y +2+3 = 0 -3x + y + 5 = 0 or 3x – y - 5 = 0, this is the required equation of the line b. Perpendicular lines have slopes which are negative reciprocal of one another. Since the slope of the given line is 2, then the slope of the required line is 2 1 − . Using the point-slope form of the line, determine the equation of the required line. y – y1 = m(x – x1) y – 4 = )3( 2 1 −− x X (-7,-4) (6,1)
  • 260.
    14 2(y – 4)= -1(x – 3) 2y – 8 = -x + 3 x + 2y – 8 – 3 = 0 x + 2y – 11 = 0 , the required equation of the line. 6. A right triangle has its right angle at (-4, 1) and the equation of one of its legs is 2x – 3y + 11 = 0. Find the equation of the other leg. Solution: The two legs of a right triangle are perpendicular at the vertex of the right angle. Their slopes are the negative reciprocal of each other. Since the equation of one of its legs is 2x – 3y + 11 = 0, then we have to compute for the slope first. Get the slope of the given leg. 2x – 3y + 11 = 0 Transform the equation to slope intercept form. - 3y = - 2x - 11 y = 3 11 3 2 − − + − − x y = 3 11 3 2 +x Since the slope of the given line is 3 2 , then the slope of the required line is 2 3 − . Using the point - slope form, determine the equation of the line: y – y1 = m(x – x1) y – 1 = [ ])4( 2 3 −− − x 2(y – 1) = -3(x + 4) 2y – 2 = -3x – 12 3x + 2y – 2 + 12 = 0 The equation of the other leg is 3x + 2y + 10 = 0 Try this out A. Determine if the pair of lines are parallel, perpendicular or neither. 1. y = 2x + 5 y = 7 2 1 −− x
  • 261.
    15 2. y =4x – 1 y = 4x + 3 3. y = 2 3 2 5 +x y = 3 5 2 +− x 4. y = 3x – 7 y = x + 8 5. 2y = x + 4 y = 2x – 5 6. x + y = 5 x – y = 3 7. 2x + y = 9 x – 2y = - 4 8. 2x + y = 8 4x + 2y = -3 9. 3x + 2y – 1 = 0 2x – 3y – 7 = 0 10. 2x + 7y + 6 = 0 2x + 7y – 11 = 0 B. Prove that the following points are vertices of a parallelogram or not. Justify. 1. A(3, 7), B(4, 3), C(-2, 1), D(-3, 5) 2. L(4, 2), O(8, 3), V(6, -5), E(2, -6) 3. P(-3, -2), L(1, -1), A(1, -8), N(-3, -6) C. Verify if the following are vertices of a right triangle. Explain your answer. 1. E(1, 6), A(6, 2), r(1, 2) 2. A(1, 4), C(-3, -1), E(7, -5) 3. P(3, -1), E(6, -3), N(3, -7) D. Find the equation of the line in standard form given the following conditions. 1. Passing through (-1, -1) and parallel to y = 4x + 1. 2. Passing through (0, 4) and parallel to y = -3x – 2. 3. Passing through (3, 0) and parallel to x – 3y = 7.
  • 262.
    16 4. Passing through(1, -5) and parallel to 2x + 5y – 4 = 0. 5. Passing through (2, 1) and perpendicular to x – y = 3. 6. Passing through (3, -4) and perpendicular to y = 3x + 1. 7. Passing through (-2, -4) and perpendicular to 5x + 2y = 4. E. Solve the following problems. 1. The line containing points (-6, k) and (4, 3) is perpendicular to the line containing points (9, 1) and (13, k+1). Find k. 2. A right triangle has its angle at (5, 7) and the equation of one of its legs is 2x – y – 3 = 0. Find the equation of the other leg. 3. Write the equations of three lines parallel to 2x + y = 4. 4. Write the equations of three lines perpendicular to 3x + y – 4 = 0 5. Show that the lines 6x + 7y – 6 = 0 and 7x – 6y + 9 = 0 are the legs of a right triangle. Let’s summarize 1. If two lines intersect, there is a common point between them which is the intersection of the two lines. 2. The coordinates of the point of intersection of two lines can be determined algebraically by using specific method according to the given problem. 3. If two non vertical lines intersect, their slopes are not equal. 4. If two non vertical lines are parallel, then their slopes are equal. 5. If two non vertical lines are perpendicular, then their slopes are negative reciprocals. What have you learned Nos. 1. – 5. Determine if the following pairs of lines are parallel, perpendicular or neither. 1. y = 2x + 3 y = 2x – 8 2. y = x – 5 y = -x + 5 3. y = 3x + 7
  • 263.
    17 y = 2x– 1 4. 2x + y = 4 x – 2y = 5 5. 3x + 7y – 6 = 0 3x + 7y + 1 = 0 6. What is the slope of the line parallel to 5x + 4y – 3 = 0? 7. Find the slope of the line perpendicular to 4x – 2y – 7 = 0. 8. Find the equation of the line passing through (1, 3) and parallel to y = 4x + 7. 9. Find the equation of the line perpendicular to 3x + y – 7 = 0 and passing through (4, 3). 10. At what point do lines 3x – 4y = 8 and 3x + y = -2 intersect?
  • 264.
    18 Answer Key How muchdo you know 1. parallel 2. perpendicular 3. intersecting but not perpendicular 4. intersecting but not perpendicular 5. parallel 6. equal 7. 2 1 − 8. -6 9. 5x + y – 14 = 0 10.(2, -1) Lesson 1 1. Equation 1 y = 3x – 4 m1 = 3 Equation 2 y = x + 7 m2 = 1 Therefore m1 ≠ m2 , so the lines are intersecting. 2. Equation 1 y = 4 2 1 −x m1 = 2 1 Equation 2 y = 6 2 3 +x m2 = 2 3 Since m1 ≠ m2 , so the lines are intersecting. 3. Equation 1 x + 4y = 3 4y = -x + 3 y = 4 3 4 1 +− x m1 = 4 1 − Equation 2 2x + y = 7 y = -2x + 7 m2 = -2
  • 265.
    19 Since m1 ≠m2 , so the lines are intersecting. 4. Equation 1 2x – y = 8 - y = - 2x + 8 y = 2x – 8 m1 = 2 Equation 2 x + 3y = 1 3y = - x + 1 y = 3 1 3 1 +− x m2 = 3 1 − Since m1 ≠ m2 , so the lines are intersecting. 5. Equation 1 3x – 5y = 4 – 5y = – 3x + 4 y = 5 4 5 3 − + − − x y = 5 4 5 3 −x m1 = 5 3 Equation 2 x + y = 4 y = -x + 4 m2 = -1 Since m1 ≠ m2 , so the lines are intersecting. B. 1. (-1, -1) 2. (-2, 3) 3. (5, -1) 4. (4, 3) 5. (-5, 0) Lesson 2 A. 1. Equation 1 y = 2x + 5 m1 = 2 Equation 2 y = 7 2 1 −− x m2 = 2 1 −
  • 266.
    20 The two slopesare the negative reciprocals of each other, hence the two lines are perpendicular. 2. Equation 1 y = 4x – 1 m1 = 4 Equation 2 y = 4x + 3 m2 = 4 The two slopes are equal, therefore the two lines are parallel. 3. Equation 1 y = 2 3 2 5 +x m1 = 2 5 Equation 2 y = 3 5 2 +− x m2 = 5 2 − Since the two slopes are negative reciprocals, then the two lines are perpendicular. 4. Equation 1 y = 3x – 7 m1 = 3 Equation 2 y = x + 8 m2 = 1 Since m1 ≠ m2 , and are also not the negative reciprocals, then the lines are neither parallel nor perpendicular. 5. Equation 1 2y = x + 4 y = 2 4 2 + x y = 2 2 1 +x m1 = 2 1 Equation 2 y = 2x – 5 m2 = 2 Since m1 ≠ m2 , and are not negative reciprocals, then the lines are neither parallel nor perpendicular.
  • 267.
    21 6. Equation 1x + y = 5 y = -x + 5 m1 = -1 Equation 2 x – y = 3 -y = -x + 3 y = x – 3 m2 = 1 Since the negative reciprocal of 1 is -1, then the two lines are perpendicular. 7. Equation 1 2x + y = 9 y = - 2x + 9 m1 = -2 Equation 2 x – 2y = - 4 - 2y = -x – 4 y = 2 4 2 − − + − − x y = 2 2 1 +x m2 = 2 1 Since m1 and m2 , are negative reciprocals, then the lines are perpendicular. 8. Equation 1 2x + y = 8 y = -2x + 8 m1 = -2 Equation 2 4x + 2y = -3 2y = -4x – 3 y = − − x 2 4 2 3 m2 = -2 Since m1 = m2 , then the two lines are parallel. 9. Equation 1 3x + 2y - 1 = 0 2y = -3x + 1 y = + − x 2 3 2 1 m1 = 2 3 − Equation 2 2x – 3y + 7 = 0
  • 268.
    22 -3y = -2x-7 y = 3 7 3 2 − − + − − x y = 3 7 3 2 +x m2 = 3 2 Since m1 and m2 , are negative reciprocals, then the lines are perpendicular. 10. Equation 1 2x + 7y + 6 = 0 7y = -2x – 6 y = − − x 7 2 7 6 m1 = 7 2 − Equation 2 2x + 7y – 11 = 0 7y = -2x + 11 y = + − x 7 2 7 11 y = 7 11 7 2 +− x m2 = 7 2 − Since m1 = m2 , then the two lines are parallel. B. To prove that the given quadrilateral is a parallelogram, show that the slopes of opposite sides are equal, otherwise, the quadrilateral is not a parallelogram. Step 1. Get the slopes of ,AB BC , CD and AD mAB = 1 4 34 73 − = − − = -4 mBC = 42 31 −− − = 6 2 − − = 3 1
  • 269.
    23 mCD = )2(3 15 −−− − = 23 4 +− = 4 1 4 −= − mAD= 33 75 −− − = 6 2 − − = 3 1 In this quadrilateral, the opposite sides are AB and CD. Likewise, BC and AD are also opposite sides. Note that the computed slopes of the opposite sides are equal, thus the opposite sides are parallel. Therefore by definition, ABCD is a parallelogram. 2. Compute for the slopes of the opposite sides. mLO = 48 23 − − = 4 1 mOV = 86 35 − −− = 2 8 − − = 4 mVE = 62 )5(6 − −−− = 62 56 − +− = 4 1 mLE = 42 26 − −− = 2 8 − − = 4
  • 270.
    24 Since the twopairs of opposite sides of LOVE are parallel, then LOVE is a parallelogram. 3. Compute for the slopes of the sides of quadrilateral PLAN. mPL = )3(1 )2(1 −− −− = 31 21 + +− = 4 1 mLA = 11 )1(8 − −−− = 0 7− , undefined mAN = 13 )8(6 −− −−− = 4 86 − +− = 4 2 − = 2 1 − mPN = )3(3 )2(6 −−− −−− = 33 26 +− +− = 0 4− , undefined From the computed values, LA and PN have equal slopes, hence they are parallel. On the other hand, the slopes of PL and AN are not equal, so they are not parallel. Therefore, PLAN is not a parallelogram. C. To verify if the vertices were that of a right triangle, show that the slopes of a pair of adjacent sides are negative reciprocals. 1. Compute for the slopes of the sides EA, AR and ER.
  • 271.
    25 mEA = 16 62 − − = 5 4− mAR = 5 22 − − = 5 0 − =0 mER = 11 62 − − = 0 4− , undefined From the computed values, it is clear that the slopes of AR and ER are negative reciprocals, hence the two sides are perpendicular. Therefore, ∆EAR is a right triangle. 2. Compute for the slope of each side of the triangle. mAC = )1(3 41 −−− −− = 13 5 +− − = 2 5 − − = 2 5 mCE = 73 )5(1 −− −−− = 10 51 − +− = 10 4 − = 5 2 − mAE = 71 )5(4 −− −−
  • 272.
    26 = 8 54 − + = 8 9 − Since the slopesof two sides, AC and CE are negative reciprocals, then AC and CE are perpendicular. Hence ∆ACE is a right triangle because two of the sides form a right angle in between them. 3. Find the slopes of PE, EP and PN. mPE = 36 )1(3 − −−− = 3 13 +− = 3 2 − mEN = 36 )7(3 − −−− = 3 73 +− = 3 4 mPN = 33 )7(1 − −−− = 0 71+− = 0 6 , undefined Based on the computation, no two slopes are negative reciprocals, hence no sides are perpendicular. Therefore, ∆PEN is not a right triangle. D. 1. 4x – y + 7 = 0 2. 3x + y – 4 = 0 3. x – 3y – 3 = 0 4. 2x + 5y + 8 = 0 5. x + y – 3 = 0 6. x + 3y + 15 = 0 7. 2x – 5y – 16 = 0
  • 273.
    27 E. 1. k =8 2. Equation 1 2x – y -3 = 0 - y = -2x + 3 y = 2x – 3 m1 = 2 m2 = 2 1 − Using the point slope form y – y1 = m(x – x1) y – 7 = 2 1 − (x – 5 ) 2(y – 7) = -1 (x – 5) 2y – 14 = -x + 5 x + 2y – 19 = 0 , the required equation 3. Some of the possible equations of the line parallel to 2x + y = 4 can be of this form. 2x + y = c, where c is any real number. 4. All equation of the line whose slope is 3 1 . 5. Equation 1 6x + 7y – 6 = 0 Rewrite to slope-intercept form 7y = - 6x + 6 y = 7 6 7 6 + − x m1 = 7 6 − Equation 2 7x – 6y + 9 = 0 - 6y = - 7x - 9 6y = 7x + 9 y = 6 9 6 7 +x y = 2 3 6 7 +x m2 = 6 7 Their slopes are negative reciprocals.
  • 274.
    28 What have youlearned 1. Parallel 2. Perpendicular 3. Neither parallel nor perpendicular 4. Perpendicular 5. Parallel 6. 4 5 − 7. 2 1 − 8. 4x – y – 1 = 0 9. x – 3y + 5 = 0 10. (0, -2)
  • 275.
    Module 2 Plane CoordinateGeometry What this module is about This module will discuss how the distance between two points can be derived by applying the Pythagorean theorem. By using the derivation of distance, this module will also define and discuss the midpoint formula. Furthermore, this module will also define and verify figures and their characteristics on the coordinate plane using the coordinate proof. This will also enhance your knowledge of distances between two points and how to get the lengths of segments and sides of polygons. What you are expected to learn This module is written for you to 1. Derive the distance formula using the Pythagorean theorem. 2. Apply the distance formula in finding lengths of segments. 3. Verify congruence of segments by applying the distance formula. 4. Derive the midpoint formula. 5. Verify the midpoint of a segment using the distance formula. 6. Solve problems that are application of the distance and midpoint formula. How much do you know Answer the following questions as indicated. 1. If the coordinate of point X is - 2 , and the coordinate of point Y is 3, what is the length of XY ? Find the distance between the following given pairs of points. 2. M(5, 5) and N(9, 8) 3. R(0, 6) and S(8, 0) 4. P(4, -3) and Q(4, 4) Find the coordinate of the midpoint X of the segments whose endpoints are: 5. (3, 0), (7, 6) 6. (-2, -3), (-6, 9) 7. (8, 1), (-5, 5)
  • 276.
    2 8. Find theperimeter of a triangle whose vertices are at the given points A(2, 3), B(5, 7), C(0, 1). 9. If A is the midpoint of MN , determine the coordinates of A if the coordinates of the endpoints are M(-4, -3) and N(5, 7) 10.The coordinates of the vertices of a quadrilateral are (6, 0), (2, 3), (3, -4) and (-1, -1). What kind of quadrilateral is formed when you connect the vertices? What you will do Lesson 1 The Distance Formula When you refer to the distance between any two points on the plane, either horizontally, vertically or any other positions, then what you mean is getting the length of the segment joining the two points. Illustrations: Horizontal Distance A B -3 -2 -1 0 1 2 3 4 5 6 The distance between A and B, which is denoted by AB is 4 AB = │5 – 0│= │5│= 5. Vertical Distance 3 E The distance between E and F, which is denoted by EF is EF = │3 – (-1)│ = │4│ = 4. 2 Distance between two points or length of a segment is always a unique positive real number. That is why it is necessary to use the symbol ││ for 1 absolute value. If x1 and x2 are the coordinates of A and B respectively on a 0 horizontal number line, then the distance between A and B is denoted by -1 F If y1 and y2 are the coordinates of E and F respectively on a -2 vertical number line, then the distance between E and F is denoted by AB = │x2 – x1│ EF = │y2 – y1│
  • 277.
    3 Examples: Find the lengthof the following segments: a. CD Y b. XY c. RS X Solution: a. Points C and D have the same y-coordinate. Therefore, distance CD is denoted by CD = │8 – 1│ = │7│ = 7 b. Points X and Y have the same x-coordinate. So distance XY can computed as XY = │2 –(-3)│ = │2 + 3│= 5 c. Points R and S have the same y-coordinate. So distance RS is RS = │-7 - 0│ = │-7│= 7 Suppose the given segment on a coordinate plane is neither horizontal nor vertical. How are you going to find the distance? Let M (x1, y1) and N(x2, y2) be two points on a Cartesian coordinate plane. Let there be another point A where an imaginary horizontal segment through M intersects an imaginary segment through N. Y N(x2,y2) M(x1,y1) A(x2,y1) X D (8,4)C (1,4) X (6,2) Y (6,-3)R (-7,-4) S (0,-4) 0 -5 5 55 5 -5 -5 -5
  • 278.
    4 Observe that righttriangle MAN is formed on the coordinate plane. The distance between M and N is equal to the length of the hypotenuse MN of the right triangle. By the Pythagorean theorem, (MN)2 = (MA)2 + (NA)2 But in the earlier discussion, you were given the some formula how to get the distance on the horizontal number line and the vertical number line. You can just call them horizontal distance and vertical distance. Therefore if you substitute the previous formula to the above formula you will get (MA)2 = │x2 – x1│ and (NA)2 = │y2 – y1│ Putting together the formula above and the Pythagorean theorem, you will have (MN)2 = │x2 - x1│2 + │y2 – y1│2 . Simplifying, you will get the distance formula. The distance between two points M(x1, y1) and N(x2, y2) is given by the formula, This we can do since the absolute value of a number is non negative, so is the square of a number is also non negative. Examples: 1. Use the distance formula to find the length of the given segments in the coordinate plane. a. AB Y b. LP c. RS d. TU X MN = 2 12 2 12 )()( yyxx −+− -5 -5 -5 -5 5 5 5 5 0 A B S T U R P L
  • 279.
    5 Solutions: In eachof the following segments, determine first the coordinates of the endpoints from the graphs. a. AB ; A(2, 7), B(5, 3) x1 = 2 x2 = 5 y1 = 7 y2 = 3 AB = 2 12 2 12 )()( yyxx −+− = 22 )73()25( −+− = 22 )4()3( −+ = 169 + = 25 AB = 5 b. LP ; L(-1, 5) , P(3, 0) x1 = -1 x2 = 3 y1 = 5 y2 = 0 LP = 2 12 2 12 )()( yyxx −+− = 22 )50()]1(3[ −+−− = 22 )5()4( −+ = 2516 + LP = 41 c. RS ; R(-3, 5) , S(-5, -4) x1 = -3 x2 = -5 y1 = 5 y2 = -4 RS = 2 12 2 12 )()( yyxx −+− = 22 )54()]3(5[ −−+−−− = 22 )9()35( −++− = 22 )9()2( −+− = 814 + RS = 85 d. TU ; T(-2, -2), U(5, -6) x1 = -2 x2 = 5 y1 = -2 y2 = -6
  • 280.
    6 TU = 2 12 2 12)()( yyxx −+− = 22 )]2(6[)]2(5[ −−−+−− = 22 )26()25( +−++ = 22 )4()7( −+ = 1649 + TU = 65 2. Draw a triangle with vertices A(1, 5), B(3, 1), C(-3, 3). Show that ∆ABC is isosceles. Solution: a. Plot the given points (vertices) on a Cartesian coordinate plan. Y X b. To show that ∆ABC is isosceles, find the length of the sides. For the triangle to be isosceles, at least two of the sides must have the same length. 1. Find AC; A(1, 5), C(-3, 3) x1 = 1 x2 = -3 y1 = 5 y2 = 3 AC = 2 12 2 12 )()( yyxx −+− = 22 )53()13( −+−− = 22 )2()4( −+− = 416 + = 20 AC = 2 5 2. Find BC; B(3, 1) , C(-3, 3) x1 = 3 x2 = -3 y1 = 1 y2 =3 42 4 -2 -4 2 -2 4 6 -2 0 6 4 2 -2 2 -4 C B A
  • 281.
    7 BC = 2 12 2 12)()( yyxx −+− = )13()33( 2 −+−− = 22 )2()6( +− = 436 + = 40 BC = 2 10 3. Find AB; A(1, 5) B(3, 1 x1 = 1 x2 = 3 y1 = 5 y2 = 1 AB = 2 12 2 12 )()( yyxx −+− = 22 )51()13( −+− = 22 )4()2( −+ = 164 + = 20 AB = 2 5 Since the length of AC equals the length of AB, then AC AB≅ . Therefore ∆ABC is an isosceles triangle. 3. Find the perimeter of a quadrilateral whose vertices are P(-2,2), Q(5, 2), R(4, -3) and S(-3, -3). What kind of quadrilateral is PQRS? Solution: a. Find PQ; the y-coordinate of P and Q is the same PQ = 2 )]2(5[ −− = 2 )25( + = 2 )7( PQ = 7 b. Find QR QR = 22 )23()54( −−+− = 22 )5()1( −+− = 251+ QR = 26
  • 282.
    8 c. Find RS;the y-coordinate of R and S is the same RS = 2 )43( −− = 2 )7(− = 49 RS = 7 d. Find PS PS = 22 )23()]2(3[ −−+−−− = 22 )5()1( −+− = 251+ = 26 The perimeter of quadrilateral PQRS = PQ + QR + RS + PS = 7 + 26 + 7 + 26 = 14 + 2 26 Based on the computed lengths of the sides, PQ = RS and QR = PS which means that the opposite sides of the quadrilateral are congruent. Therefore, PQRS is a parallelogram. 4. Show by the distance formula that the following points R(3, 5), S(0, -1) and T(1,1) are collinear. Solution: To illustrate that the given points R, S and T are collinear, you have to show that the sum of the lengths of the two short segments is equal to the length of the longer segment. a. Find RS RS = 22 )51()30( −−+− = 22 )6()3( −+− = 369 + = 45 RS = 3 5 b. Find ST ST = 22 )]1(1[)01( −−+− = 22 )2()1( + = 41+ ST = 5
  • 283.
    9 c. Find RT RT= 22 )51()31( −+− = 22 )4()2( −+− = 164 + = 20 RT = 2 5 Now add ST and RT. ST + RT = 5 + 2 5 = 3 5 which means that ST + RT = RS. This conclusion satisfies the definition of betweenness and so R, S and T are collinear. To verify further, plot the three points on the Cartesian coordinate plane. 5. The endpoints of the base of an isosceles triangle are A( 1, 2) and B(4, -1). Find the y- coordinate of the third vertex if its x-coordinate is 6. Solution: Let C(6, y) be the coordinates of the third vertex. Since ∆ABC is isosceles, and AB is the base, then AC = BC. AC = 22 )2()16( −+− y BC = 22 )]1([)46( −−+− y But AC = BC, therefore to solve for y, equate the values of AC and BC. 22 )2()16( −+− y = 22 )]1([)46( −−+− y Y 22 )2(5 −+ y = 22 )1(2 ++ y Squaring both sides 25 + y2 – 4y + 4 = 4 + y2 +2y +1 5 5 – 6y = -24 y = 4 So the third vertex is C(6, 4). The triangle is shown in the figure at the right. -5 -5 X -2 5 10 5 10 A (1,2) C (6,y) B (4,-1)
  • 284.
    10 6. A pointA(x, 1) is 29 units from B(8, 3). Find x. Solution: AB = 22 )13()8( −+− x = 29 22 21664 ++− xx = 29 64 – 16x + x2 + 4 = 29 Squaring both sides of the equation x2 - 6x + 39 = 0 (x – 13) (x - 3) = 0 x – 13 = 0 x – 3 = 0 x = 13 x = 3 There are two values of x. Therefore the two points are (13, 1) and (3, 1) 7. Three of the vertices of a square are points A(2, 4), B(-2, 4), C(-2, 0). Find the fourth vertex D(x, y). Solution: Plot the points on the coordinate plane. Y X Try this out A. Find the distance between the following pairs of points. 1. (0, 4 ), ( 0, 6 ) 2. ( 2, -1), ( 7, -1 ) B(-2,4) C(-2,0) A(2,4) D(x, y)
  • 285.
    11 3. ( 4,-3 ), ( -7, -3 ) 4. ( 1, 5 ), ( 3, 8 ) 5. ( -4, -7 ), ( 0, 5 ) 6. ( 2, 8 ), (-5, -1) 7. ( -5, 4 ), ( -3, -3 ) 8. ( 6, 2 ), ( 5, -2 ) 9. ( -1, 6 ), ( 5, -1 ) 10. ( -4, -5 ), ( 6, 0 ) B. Find the perimeter of the polygons with vertices at the given points. 11. ( 1, 2 ), ( 4, 6 ), ( 7, 2 ) 12. ( -1, 7 ), ( -1, 1 ), ( -9, 1) 13. ( 2, -2 ), ( -1, -5 ), ( -3, -1) 14. ( 2, -6 ), ( 2. -9 ), ( -3, -6 ), (-3, 9) 15. ( 4, -1 ), ( 7, -2 ), ( 5, -6), (2, -5) 16. ( -2, 4 ), ( 0, 6 ), ( 2, 4 ), (0, 0) 17. ( -5, -4 ), ( -3, -6 ), ( -5, -9 ), ( -8, 8 ), ( -8, -5 ) C. Given the distance(d) between two points D and F and the coordinates of one of the endpoints. Find the coordinates of the other endpoint if either x or y coordinate is given. 18. d = 13, D(-4, 1), F( x, -4) 19. d = 7, D( 5, 0), F( 1, y) 20. d = 5, D(-4, y), F(0, -3) 21. d = 5 , D(x, 4), F(3, 5) D. Solve the following problems: 22. Draw a triangle with vertices ( 6, 3 ), ( 2, 7 ), ( 10, 7 ). What kind of triangle is it? 23. Use the distance formula to show that (3, 0), (0, 4), ( 6, -4) are collinear. 24. The distance from (5, 7) to (x, 2) is 34 . Find all possible values for x. 25. Find the fourth vertex S of a rectangle whose three vertices are p(-3, 2), Q(-3, 7) and R(2, 7). 26. The point (5, y) is 17 units from (6, 2). Find y. 27. A line segment 5 units long has one of its ends at (3, 1). The y-coordinate of the other end is 5. Find its x-coordinate.
  • 286.
    12 Lesson 2 The MidpointFormula The midpoint of a segment is a point that divides a segment into two (2) congruent segments. Illustrations: 1. C is the midpoint of AB . Then A B AC BC≅ . So AC = CB. X 2. If M is the midpoint of XY then M XM MY≅ , thus XM = MY. T S 3. S is the midpoint of XY Y Therefore, RS ST≅ , and RS = ST. R From the illustrations given, you can say that the midpoint of a segment should lie between the endpoints of the segments and the three points must be collinear. How do you get the midpoint of the segment on the coordinate plane? Consider the coordinate plane below and the segments on it. C X(-2,3) Y(6,3) Q(-4,-3) P(-4,2) M R Y X 5 -5-5 -5 -5 5 5 5 0
  • 287.
    13 If M andR are the midpoints of XY and PQ respectively, how do your determine the coordinates of M and R? To get the midpoint of XY , you have to consider that the segment is horizontal, thus the y-coordinate is the same. Since point M lies between the two endpoints and in the middle, the x-coordinate of M is the average of the x-coordinates of the two endpoints of the segment and the y-coordinate is 3. So the coordinates of M is M(xm, ym) =       +− 3, 2 62 =       3, 2 4 = (2, 3) To get the coordinates of R, consider PQ . Since the segment is vertical, the two endpoints have the same x-coordinate which is -4. To get the y-coordinate, get the average of the y-coordinates of the two endpoints. That is R(xm, ym ) =       −+ − 2 )3(2 ,4 =       −− 2 1 ,4 Therefore, to get the coordinates of the midpoint of horizontal segment the formula below is used. Since the two endpoints have the same y – coordinate the midpoint (M) is M       + y xx , 2 21 For vertical segments, since the two endpoints have the same x-coordinate, then the formula is M       + 2 , 21 yy x How do you get the coordinates of the segment on the coordinate plane which is neither horizontal nor vertical? AB illustrated below is neither horizontal nor vertical.
  • 288.
    14 The endpoints ofAB are A(2, 1) and B(4, 7). Let M be the midpoint of AB . To determine the coordinates of M, draw horizontal segment passing through A and a vertical segment passing through B. The two segments intersect at a point whose coordinates are (4, 1). Get the coordinates of the midpoint H of the horizontal segment. H       + 1, 2 42 or H(3, 1) Then get the coordinates of the midpoint V of the vertical segment . V       + 2 71 ,4 or V(4, 4). The points H and V suggest that the midpoint of M are (3, 4). To check if M is really the midpoint of AB , we have to show that AM = MB. AM = 22 )14()23( −+− = 22 31 + = 91+ = 10 MB = 22 )47()34( −+− = 22 31 + = 91+ = 10 Since AM = MB = 10 , then M is really the midpoint of AB . For segments on the coordinate plane which are neither horizontal nor vertical, the formula for finding its midpoint M is given below. H (4,1) B(4,7) A(2,1) M V X Y 0
  • 289.
    15 The Midpoint Formula: IfA(x1, y1) and B(x2, y2) are any two points in a coordinate plane, then the midpoint M of AB has coordinates Examples: 1. Find the coordinates of the midpoint M of the segments whose endpoints are a. (3, 5), (7, 1) b. (0, 1), (-4, 3) c. (-3, -6), (2, -11) d. (4, -1), (-7, 3) Solutions: Using the midpoint formula, a. (3, 5), (7, 1) x1 = 3, x2 = 7 y1 = 5, y2 = 1 M       ++ 2 51 , 2 37 = M       2 6 , 2 10 = M(5,3) b. (0, 1), (-4, 3) x1 = 0 , x2 = -4 y1 = 1 , y2 = 3 M       ++− 2 13 ' 2 04 M(-2, 2) c. (-3, 6), (2, 11) x1 = -3, x2 = 2 y1 = 6 , y2 = 11 M       −+−+− 2 )11(6 , 2 23 M       −− 2 17 , 2 1 M       ++ 2 , 2 2121 yyxx
  • 290.
    16 d. (4, 1),(-7, 3) x1 = 4 , x2 = -7 y1 = 1 , y2 = 3 M       +−+ 2 13 , 2 )7(4 M       − =      − 2, 2 3 2 4 , 2 3 2. M(-1, -3) is the midpoint of ST , If the coordinates of S are (-3, 2), find the coordinates of T. Solution: Step 1. Let T have coordinates (x, y). By the midpoint formula, the midpoint of ST is       +−+ 2 2 , 2 )3( yx =       +− 2 2 , 2 3 yx Step 2. We are given that the coordinates of M is (-1, -3) and M is the midpoint of ST . Therefore, 2 3−x = -1 x – 3 = -1(2) x – 3 = -2 x = -2 + 3 x = 1 and 2 2+y = -3 y + 2 = 2(-3) y + 2 = -6 y = -6 -2 y = -8 So the coordinates of T are (1, -6) 3. One endpoint P of segment PS and its midpoint R are given. Use the midpoint formula to find the coordinates of the second segment S. a. P(3, -4), R(0, 0) b. P(2, 5), R(5, -1) c. P(-6, -3), R(0, 1)
  • 291.
    17 Solutions: a. Let Shave the coordinates (x, y). Using the midpoint formula, the midpoint of PS is given as       −+ 2 4 , 2 3 yx The coordinates of midpoint R are (0, 0) 0 2 3 = +x x + 3 = 0 x = -3 0 2 4 = −y y -4 = 0 y = 4 The coordinates of R are (-3, 4) b. Coordinates of S are (x, y). Applying the midpoint formula, the coordinates of R is       ++ 2 5 , 2 2 yx The coordinates of midpoint R are ((5, -1) 5 2 2 = +x x + 2 = 10 x = 8 1 2 5 −= +y y + 5 = -2 y = -7 The coordinates of R are ( 8, -7) c. Coordinates of S are (x, y). Using the midpoint formula, the coordinates of midpoint R is given as       −+−+ 2 )3( , 2 )6( yx The coordinates of midpoint R are (0, 1). Solving for x and y, 0 2 6 = −x x – 6 = 0 x = 6
  • 292.
    18 1 2 3 = −y y – 3= 2 y = 2 + 3 y = 5 Therefore the coordinates of S are (6, 5) 4. The vertices of ∆XYZ are X(1, 4), Y(6, 2) and Z(-2, -1). Find the length of the median to ZY . Solution: The median of a triangle is a segment joining the vertex and the midpoint of the opposite side . Let the midpoint of XY be point P. Step 1. Get the coordinates of P P       −− 2 12 , 2 26 P       2 1 , 2 4 P       2 1 ,2 Step 2. Find the length of XP . X(1, 4), P       2 1 ,2 XP = ( )2 2 12 4)12( −+− = ( )2 2 72 1 − + = 4 49 1+ 0 Y(6,2) X(1,4) Z(-2,-1) Y X 0 P
  • 293.
    19 = 4 53 XP = 2 53 Hence, thelength of median XP is 2 53 . 5. Find the perimeter of a the triangle formed by joining the midpoints of the sides of a triangle whose vertices are P(-4, 0), Q(2, 3) and R(5, -2). Solution: Step 1. Let A, B and C be the midpoints of PQ, QR and PR . Get the coordinates of each midpoint. For the coordinates of A P(-4, 0), Q(2, 3) A       ++− 2 03 , 2 24 = A       − 2 3 , 2 2 = A       − 2 3 ,2 For the coordinates of B Q(2, 3), R(5, -2) B       −+ 2 23 , 2 52 = B       2 1 , 2 7 For the coordinates of C P(-4, 0), R(5, -2) C       −+− 2 20 , 2 54 = C       −1, 2 1 0 R(5,-2) P(-4,0) Q(2,3) A B C X Y 0
  • 294.
    20 Step 2. Findthe lengths of AB , BC and AC . AB = 22 2 1 2 3 2 7 1       −+      −− = 22 2 2 2 9       +      − = 2 1 4 81 + = 4 85 AB = 2 85 BC = 22 2 1 1 2 7 2 1       −−+      − = 22 2 3 2 6       −+      − = 4 9 4 36 + = 4 45 BC = 2 53 AC = 22 )1( 2 3 2 1 1       −−+      −− = 22 1 2 3 2 3       ++      − = 2 2 5 4 9       + = 4 25 4 9 + = 4 34 AC = 2 34
  • 295.
    21 Step 3. Getthe sum of the lengths AB + BC + AC Perimeter of ∆ABC = 2 85 + 2 53 + 2 34 = 2 345385 ++ Try this out A. What are the coordinates of the midpoint of the segment joining each pair of points. 1. (0, 0), (6, 0) 2. (0, 0), (-7, 0 3. (0, 0), (0, -8) 4. (1, 3), (5, 7) 5. (5, -1), (-1, -7) 6. (-8, -2), (0, 0) 7. (-3, -4), (3, -3) 8. (6, -1), (-4, 7) 9. (-1, -1), (-8, -9) 10. (a, b), (c, d) B. If M is the midpoint of AB , determine the coordinates of B. 11. A(3, 7), M(3, 0) 12. A(5, 2), M(-1, -1) 13. A(-4, -1), M(5, 2) 14. A(3, -4), M(5, 2) 15. A(-5, 6), M(7, 2) 16. A(0, -8), M(4, -4) 17. A(-1, 4), M(1, 1) 18. A(7, 0), M(0, 9) 19. A(-3, -5), M(3, -7) 20. A(a, b), M(c, d) C. Solve the following problems: 21. Find the coordinates of the midpoint of each side of a triangle with vertices at (3, 5), (6,-4) and (-1, 1). 22. Find the coordinates of the midpoint of each side of a quadrilateral with vertices at (-2, -4), (7, -8), (4, -3) and (_5, 3). 23. Find the length of the median to side RP of ∆RPQ whose vertices are R(-3, 2), P(3, -3) and Q(-1, 6).
  • 296.
    22 24. Find thelength of each median of a triangle with vertices at (-1, 6), (-3, -2) and (7, -4). 25. A rectangle has vertices R(-3, 4), S(-3, -4), T(2, -4) and U(2, 4). Show that its diagonals have the same midpoint. 26. Use the distance formula to show that X(1, -1) is the midpoint of the segment with endpoints A(4, 1) and B(-2, -3). 27. Given R(5, 2), S(a, -2) and T(-3, b). Find a and b so that S is the midpoint of RT . 28. Show that the points (-1, -2), (2, 1) and (-3, 6) are the vertices of a right triangle. Use the distance formula. 29. Given A(7, 1), R(2, x) and B(-x, 5), find x so that R is the midpoint of AB . 30. Find the perimeter of the triangle in no. 28. Let’s summarize 1. The distance between two points on the plane is the length of the segment joining the two points. For horizontal distance between points A and B, the formula to be used is AB = │x2 – x1│, where the y-coordinate is the same. For vertical distance between points A and B, the distance is denoted by AB = │y2 – y1│, where the x-coordinate is the same. 2. The distance between two points A(x1, y1) and B(x2, y2) is given by the formula AB = 2 12 2 12 )()( yyxx −+− 3. The midpoint of a segment is a point that divides the segment into two congruent segments. 4. The midpoint of a horizontal segment can be determined by the formula M = 2 21 xx + 5. The midpoint of a vertical segment is determined by the formula M = 2 21 yy + 6. The midpoint M of a segment whose endpoints are A(x1, y1) and B(x2, y2) is given by the formula M       ++ 2 , 2 2121 yyxx
  • 297.
    23 What have youlearned Answer the following questions as indicated. 1. What is the length of PQ? P Q -4 -3 -2 -1 0 1 2 3 4 5 Find the length of each side of a triangle whose vertices are J(0, 3), K(-4, 0) and L(1, -1). 2. JK 3. KL 4. JL What are the coordinates of the midpoint of a segment whose endpoints are: 5. A(7, 3), and X(1, -11) 6. R(-6, 1) , and S(1, -10) 7. Find the perimeter of ∆XYZ in the figure if X, Y and Z are the midpoints of FD, DE and EF respectively. 8. M is the midpoint of PR . If the coordinates of M and P are given, find the coordinates of R. P(-3, 7) and M(1, 1) 9. If the length of RS is 29 , and the coordinates of R are (-5, 1), find the x-coordinate of S if its y-coordinate is 3. 10. Find the coordinate of the intersection of the diagonal of a rectangle whose vertices are M(2, 7), N(6, 3), O(-1, -4) and P(-5, 0) Y(2,3) Z(1,-1) X(-1,1) D E F X Y
  • 298.
    24 Answer Key How muchdo you know 1. 5 2. 5 3. 10 4. 7 5. (5, 3) 6. (-4, 3) 7.       3, 2 3 8. 5 + 2 2 + 61 9.       2, 2 1 10. From the figure, you can easily conclude that the quadrilateral is a parallelogram. To determine what kind of parallelogram it is, compute for the slope of any two adjacent sides and compare. Their slopes are the negative reciprocal of each other. Try this out Lesson 1 A. 1. 2 2. 5 3. 11 4. 13 5. 4 10 6. 130 7. 53 8. 17 9. 85 10. 5 5 B. 11. 16 12. 24 13. 265223 ++ 14. 3410518 ++ (2,3) (-1,-1) (3,-4) (6,0) X Y
  • 299.
    25 15. 10254 + 16.5424 + 17. 13102981322 ++++ C. 18. x = -16 ; x = 8 19. y = 33± 20. y = -6 ; y = 0 21. x = 5 ; x = 1 D. 22. the triangle is isosceles 23. Let A(3, 0) , B(0, 4) and C(6, -4) be the given points. Find the lengths, AB, BC and AC. Solution: AB = 22 )04()30( −+− = 22 43 + = 169 + = 25 AB = 5 BC = 22 )44()06( −−+− = 22 )8(6 −+ = 6436 + = 100 BC = 10 AC = 22 )04()36( −−+− = 22 )4(3 −+ = 169 + = 25 AC = 5 AB + AC = 5 + 5 = 10 = BC. By definition of betweenness, A is between B and C. Therefore, A, B and C are collinear. (2,7) (10,7) (6,3) Y X 0
  • 300.
    26 24. x =8; x = 2 25. S(2, 2) 26. y = 6; y = -2 27. x = 6; x = 0 Lesson 2 A. 1. (3, 0) 2.       − 0, 2 7 3. (0, -4) 4. (3, 5) 5. (2, -4) 6. (-4, -1) 7.       − 2 7 ,0 8. (1, 3) 9.       −− 5, 2 9 10.       ++ 2 , 2 dbca 11.(3, -7) 12.(-7, -4) 13.(14, 5) 14.(7, 8) 15.(19, -2) 16.(8, 0) 17.(3, -2) 18.(-7, 18) 19.(9, -9) 20.(2c – a, 2d – b) 21.       2 1 , 2 9 , ( )3,1, 2 3 , 2 5       − 22.       −−      −      −      − 2 1 , 2 7 ,0, 2 1 , 2 11 , 2 11 ,6, 2 5 23. Length of the median is 2 173
  • 301.
    27 24. Length ofthe medians are 53 , 103 and 117 25. Midpoint of RT =       − 0, 2 1 Midpoint of SU =       − 0, 2 1 26. AX = 13 , BX = 13 Since AX = BX, therefore, X is the midpoint of AB. 27. a = 1, b = -6 28. s1 = [ ] [ ]22 )2(1)1(2 −−+−− = 22 33 + = 99 + = 18 s1 = 3 2 s2 = ( ) ( )22 1623 −+−− = ( ) 22 )5(5 +− = 2525 + = 50 s2 = 25 s3 = [ ] 22 )62()3(1 −−+−−− = 22 )8(2 −+ = 644 + = 68 s1 2 + s2 2 = ( )2 23 + ( )2 25 = 18 + 50 = 68 = s3 2 The square of s3 is equal to the sum of the squares of s1 and s2. 29. x = 3 30. P = s1 + s2 + s3 = 1722523 ++ = 17228 +
  • 302.
    28 What have youlearned. 1. │PQ│= 5 2. 5 3. 26 4. 17 5. (4, -4) 6.       −− 2 9 , 2 5 7. 171322 ++ 8. R(5, -5) 9. x = 0; x = -10 10.       2 3 , 2 1
  • 303.
    Module 3 Plane CoordinateGeometry What this module is about This module will show you a different kind of proving. The properties of triangles and quadrilaterals will be verified in this module using coordinate plane and the application of the lessons previously discussed in the other modules. Furthermore, you will also have the chance to do analytical proof and compare it with the geometric proof that you have been doing since the start of the year. Included in this module are lessons that will discuss in detail properties/relationships of circles with other figures in the coordinate plane. What you are expected to learn This module is written for you to 1. Define and illustrate coordinate proof. 2. Verify some properties of triangles and quadrilaterals by using coordinate proof. 3. Determine the difference between geometric proofs and coordinate proof. 4. Illustrate the general form of the equation of the circle in a coordinate plane. 5. Derive the standard form of the equation of the circle from the given general form. 6. Find the coordinate of the center of the circle and its radius given the equation . 7. Determine the equation of a circle given its a. center and radius b. radius and the point of tangency with the given line 8. Analyze and solve problems involving circles. How much do you know Answer the following questions Tell which of the axes placements will simplify a coordinate proof for a theorem involving the figure shown.
  • 304.
    2 1. a b c 2. ab c 3. a b c Give the center and radius of the following circles: 4. x2 + y2 = 16 5. x2 + y2 – 25 = 0 6. (x – 3)2 + (y + 1)2 = 36 7. x2 + y2 – 4x + 10y + 16 = 0 8. Give the standard form of the circle whose center is at (2, -1) and a radius of 7 units. Write the equation of the circle satisfying the following conditions. 9. The line segment joining (4, -2) and (-8, -6) is a diameter. 10. The center is at (0, 5) and the circle passes through (6, 1).
  • 305.
    3 What you willdo Lesson 1 Coordinate Proof The coordinates of a point on the coordinate plane are real numbers, thus it is possible to prove theorems on geometric figures by analytic or algebraic method. We call this proof the coordinate proof. In writing coordinate proof, some suggestions have to be taken into considerations. First, we may choose the position of the figure in relation to the coordinate axes. If the figure is a polygon, it is always simpler to put one of the sides on either the x-axis or the y- axis. Second, we may place one of the vertices on the origin. Third, the essential properties of the given figure should be expressed by the coordinates of key points. The proof is accomplished by setting up and simplifying algebraically equations and relations involving these coordinates. Fourth, the figure should never be made special in any way so that the proof will be general and can be applied to all cases. Except for zero (0), numerical coordinate should not be used in the proof. Example 1. Prove analytically that the line segment joining the midpoints of two sides of a triangle is parallel to the third side and measures one-half of it. Solution: y A(a, t) X Y X O(0.0) B(b,0)
  • 306.
    4 a. Analysis: Thefigure shows the triangle appropriately placed on rectangular coordinate plane. We have to show two properties here. 1) XY ║OB and (2) XY = 2 1 OB. b. Since X and Y are midpoints, then the midpoint formula can be used to get their coordinates. The coordinates of X are       2 , 2 ta and that of Y are       + 2 , 2 tba . The slope m1 of OB = 0 0 00 = − − b . The slope m2 of XY is m2 = 22 22 baa tt + − − = 0 2 0 = − b Since the slope of OB = 0 and that of XY = 0, then the two slopes are equal. Therefore, XY ║OB . Therefore, the segment joining the midpoints of the two sides of a triangle is parallel to the third side. c. For the second conclusion, get the length of XY and OB. XY = 22 2222       −+      − + ttaba = 2 2       b = 2 b OB = 22 )00()0( −+−b = 2 b = b The computation showed that XY = 2 b and OB = b. Therefore, XY = 2 1 OB. Hence, the segment joining the midpoints of the two sides of a triangle is one-half the third side.
  • 307.
    5 Example 2. Provethat the diagonals of a rectangle are equal. Given: ABCD is a rectangle Prove: AC = BD Proof: In this problem we are given not just any quadrilateral but a rectangle. Place one vertex on the origin. In the figure, it was vertex A which was in the origin. Then vertex B on the x-axis, and vertex D on the y-axis. The following are the coordinates of the vertex : A(0, 0), B(b, 0), C(b, c) and D(0, a). AC and BD are the two diagonals. We have to determine if the length of AC is equal to the length of BD. AC = 22 )0()0( −+− cb = 22 cb + BD = 22 )0()0( −+− cb = 22 )( cb +− = 2 cb + Therefore, from the computed distances or lengths, AC = BD. Hence, the diagonals of rectangle are equal. y D(0, c) C(b, c) x A(0,0) B(b, 0)
  • 308.
    6 Example 3. Provethat the diagonals of a square are perpendicular to each other. Given: HOPE is a square Prove: HP ⊥ OE Proof: To show the perpendicularity of HP and OE , then their slopes must be the negative reciprocal of each other. Since the vertices of the square were placed on the coordinate plane in such a way that makes proving simpler, then we are now ready to find the slopes of both HP and OE . Computing for the two slopes , m HP = 1 0 0 == − − a a a a m OE = 1 0 0 −= − = − − a a a a From the results you can easily see that the reciprocals of HP and OE are 1 and – 1 which are negative reciprocals. Therefore, HP and OE are perpendicular to each other. y E(0, a) P(a, a) H(0,0) O(a, 0)
  • 309.
    7 Try this out A.Determine the coordinates of A, B or C. B. Given the following statements, do the following: a. Use the given figure on the rectangular coordinate plane. b. Write the hypothesis. c. Write what is to be proven. d. Prove analytically. 1. y MAIN is a rectangle 2. y BEAM is a parallelogram M(c,b) B M(0,b) A A(0,0) E(a,0) N(0,0) I(a, 0) y y 3. LEAD is an isosceles trapezoid 4. ABC is an isosceles triangle C L(b,c) E(a-b, c) C F x x B(0,0) A(a, 0) D(0,0) A(a, 0)
  • 310.
    8 1. The mediansto the legs of an isosceles triangle are equal. y E (a, b) D F D F x A (0, 0) C (2a, 0) 2. The diagonals of an isosceles trapezoid are equal. y D (b, c) C (a-b, c) x A (0, 0) B (a, 0) 3. The diagonals of a parallelogram bisect each other. y E (b, c) P (a+b, c) x H (0, 0) O (a, 0)
  • 311.
    9 4. The midpointof the hypotenuse of a right triangle is equidistant from the vertices. y C (0, 2b) E x A (0, 0) B (2a, 0) 5. The segments joining the midpoints of the opposite sides of a quadrilateral bisect each other. y K (4d, 4e) B E (4b, 4c) F C x M(0, 0) D A (4a, 0) Lesson 2 Circles on Coordinate Plane You know from the previous chapter that the set of all points equidistant from a fixed point is called a circle. The fixed point is called the center. If the circle is on the Cartesian coordinate plane, the distance formula will lead us to write an algebraic condition for a circle.
  • 312.
    10 r y In the figure,if P has coordinates (x, y), using the distance formula will give us 22 )0()0( −+− yx = r 22 yx + = r Squaring both sides, we get x x2 + y2 = r2 Thus the equation of a circle with center at (0, 0) and radius r in standard form is x2 + y2 = r2 Example 1. Find the equation of the circle whose center is the origin and the radius is a. r = 3 b. r = 1 c. r = 5 d. r = 2 2 Solution: a. C(0, 0) r = 3 The equation of the circle is x2 + y2 = 32 x2 + y2 = 9 b. C(0, 0) r = 1 The equation of the circle is x2 + y2 = 12 x2 + y2 = 1 c. C(0, 0) r = 5 The equation of the circle is x2 + y2 = 52 x2 + y2 = 25 d. C(0, 0) r = 2 2 The equation of the circle is x2 + y2 = (2 2 )2 x2 + y2 = 8 (x,y) c (0,0)
  • 313.
    11 Example 2. Determinethe center and the radius of the circle whose equations are given. a. x2 + y2 = 49 b. x2 + y2 = 36 c. x2 + y2 = 18 Solutions: The equations are of the form x2 + y2 = r2 , hence the center is the origin. The radius in each circle is a. r = 9 b. r = 6 c. r = 3 2 Not all circles on the rectangular coordinate plane has its center at the origin. In the given circle below, its center is not the origin. We will represent the center of the circle which is not the origin as (h, k). y x In the coordinate plane given above, center C has coordinates (h, k) and radius r. By Pythagorean Theorem, the distance from the center of the circle to a point A(x, y) on the circle can be solved. This will also give us the standard form of the equation of a circle. AC = ( ) ( )22 kyhx −+− = r (x - h)2 + (y – k)2 = r2 The standard form of the equation of the circle with center at (h, k) and radius r is (x – h)2 + (y – k)2 = r2 r (x,y) c (h,k)
  • 314.
    12 r Example 1. Findthe equation of a circle with center at (1, 5) and a radius of 3 units. Solution: Substitute the following values in the standard form h = 1, k = 5, r = 3 The equation is (x – 1)2 + (y – 5)2 = 32 (x – 1)2 + (y – 5)2 = 9 Example 2. Find the equation of a circle with center at (2, -3) and radius of 5 units. Sketch the figure. h = 2, k = -3, r = 5 The equation is (x – 2)2 + (y + 3)2 = 52 (x – 2)2 + (y + 3)2 = 25 The figure is y x The standard form of the equation of a circle with center at C(h, k) and radius r can be presented in another form. This is done by squaring the binomials and simplifying the results. (x – h)2 + (y – k)2 = r2 x2 – 2hx + h2 + y2 – 2yk + k2 = r2 x2 + y2 – 2hx – 2yk + h2 + k2 – r2 = 0 By assigning capital letters D, E and F to represent the constants, the equation will now assume this general form. x2 + y2 + Dx + Ey + F = 0 C (2,-3)
  • 315.
    13 Example 1. Findthe radius and the center of the circle given its equation. x2 + y2 – 4x – 6y -12 = 0 Solution: First isolate the constant term at the right side of the equal sign by applying the addition property of equality x2 + y2 – 4x – 6y – 12 = 0 x2 + y2 – 4x – 6y = 12 Then group the terms with x together and those with y together. (x2 - 4x)+ (y2 - 6y) = 12 Complete each group like in completing the square by adding the third term of the trinomial. Note that what you added to each group should be added to the right side of the equation also. (Application of addition property of equality) (x2 - 4x + 4 ) + (y2 – 6y + 9 ) = 12 + 4 + 9 (x2 - 4x + 4 ) + (y2 – 6y + 9 ) = 25 Rewrite each perfect trinomial square into binomial factors. (x – 2)2 + (y – 3)2 = 25 (x – 2)2 + (y – 3)2 = 52 Since the equation is in center-radius form, then we can determine the coordinates of the center and the radius of the circle. The center is at (2, 3) and the radius is 5 units. Example 2. Find the radius and the coordinates of the center of the circle given the Equation x2 + y2 + 6x – 2y + 6 = 0 Solution: Isolate first the constant term x2 + y2 + 6x – 2y = -6 Then group the x and y together (x2 + 6x) + (y2 – 2y) = - 6 Add constants to each group by completing the square. Add to the right side of the equation what you will add to the left side. (x2 + 6y + 9) + (y2 – 2y + 1) = -6 + 9 + 1 (x2 + 6y + 9) + (y2 – 2y + 1) = 4
  • 316.
    14 Write each trinomialas factors or square of binomial. (x + 3)2 + (y – 1)2 = 4 x + 3)2 + (y – 1)2 = 22 The equation is in center-radius form. So the center of the circle is at (-3, 1) and its radius is 2 units. Example 3. Tell whether the equation x2 + y2 -4x + 8y + 24 determines a circle. Solution: To solve this problem, you should be aware of these fact. The existence of a circle depends on the value of r2 . In the standard form of equation of the circle, (x – h)2 + (y – k)2 = r2 , one of the following statements is always true if r2 > 0, the graph is a circle. r2 = 0, the graph is a point (We call this the point circle) r2 < 0, the graph or the circle does not exist In the given example, solve for the value of r2 . In doing this, you simply follow the procedure in examples 1and 2. x2 + y2 - 4x + 8y + 24 = 0 x2 + y2 – 4x + 8y = - 24 (x2 – 4x) + (y2 + 8y) = - 24 (x2 – 4x + 4 ) + (y2 + 8y + 16 ) = -24 +4 + 16 (x – 2)2 + (y + 4)2 = -4 Since r2 = -4, then the circle does not exist. The following examples discuss of problems that involve circles in the coordinate plane. Each problem is treated differently according to what is given and what is being asked .
  • 317.
    15 Example 4. Findthe equation of a circle whose center is at (4, 2) and is tangent to y-axis. Sketch the figure. y y x Solution: Since the circle is tangent to y-axis, the radius of the circle is perpendicular to y-axis. It also means that the length of the radius is also the length of the perpendicular segment from the center of the circle to y –axis. From the figure, you can determine that the point of tangency is at (0, 2). To find the length of the radius, use the distance formula. r = ( ) ( )22 2204 −+− = 042 + = 16 r = 4 To solve for the equation , use the coordinates of the center (4, 2) and the computed length of radius r = 4. (x - h)2 + (y – k)2 = r2 (x – 4 )2 + (y – 2)2 = 42 x2 – 8x + 16 + y2 – 4y + 4 = 16 x2 + y2 – 8x – 4y + 4 = 0 r C(4,2)
  • 318.
    16 Example 5. Writethe equation of the circle with the given condition. (10, 8) and (4, -2) are the endpoints of the diameter. Sketch the figure. y x Solution: In a circle, the radius is one-half of the diameter. Since the given are the endpoints of the diameter, then the center of the circle is the midpoint of the diameter. M       −++ 2 )2(8 , 2 410 M       2 6 , 2 14 M( )3,7 The next step is to get the length of the radius. Since radius is one-half of the circle, so get the distance from the center to one of the endpoint of the diameter. Any endpoint will do. r = ( ) ( )22 38710 −+− r = 22 54 + r = 2516 + r = 41 ●C (10,8) (4,-2)
  • 319.
    17 To find theequation of the line, use C(7, 3) and r = 41 (x – 7)2 + (y – 3)2 = ( 41 )2 x2 – 14x + 49 + y2 – 6y + 9 = 41 x2 + y2 – 14x – 6y + 17 = 0 Example 6. Write the equation of the circle with center at (-8, 5) and passing through A(- 6, 4). Solution: Since the circle is passing through A, then the distance from the center to A is the length of the radius of the circle. Compute first the radius of the circle. r = ( )[ ] ( )22 4568 −+−−− . r = 22 1)2( +− r = 14 + r = 5 The equation of the circle is (x + 8)2 + (y – 5)2 = ( 5 )2 x x2 + 16x + 64 + y2 – 10y + 25 = 5 x2 + y2 + 16x – 10y + 84 = 0 y Try this out. A. Determine if the following are equations of a circle, a point or a circle that does not exist. 1. x2 + y2 = 3 2. x2 + y2 - 12 = 0 3. x2 + y2 + 121 = 0 4. (x – 5)2 + y2 = 1 5. x2 + y2 – 10x – 8y + 41 = 0 B. Give the center and the radius of each circle. 1. x2 + y2 = 25 2. x2 + y2 - 12 = 0 3. x2 + (y – 3)2 = 121 C (-8,5) (-6,4)
  • 320.
    18 4. (x –7)2 + (y – 5)2 = 18 5. (x + 1)2 + (y – 4)2 = 3 6. (x – 8)2 + y2 = 49 7. 2 2 1       +x + (y – 7)2 = 25 8. x2 + y2 + 6x + 16y – 11 = 0 9. x2 + y2 + 2x – 6y – 8 = 0 10. x2 + y2 – 4x – 12y + 30 = 0 C. Write the equation of a circle in standard form with center C and radius r given. 1. C(0, 0), r = 4 2. C(0, 0), r = 2 3 3. C(1, 1), r = 3 4. C(-2, -5), r = 10 5. C(-3, 4), r = 2 2 6. C(2, -5), r = 5 7. C(0, 6), r = 6 8. C(-4, 0), r = 3.5 9. C(0, -5), r = 5 10. C(3, 0), r = 3 3 D. Solve the following problems. Sketch the figure. Show the complete solution. 1. Write the equation of the circle with center at (3, -1) and tangent to the x-axis. 2. Write the equation of a circle with center at (2, 5) and passing through (-2, 1). 3. The line segment joining ( -2, 5) and (-2, -3) is a diameter. 4. A circle is tangent to both axes and the radius at the first quadrant is 3 units. 5. A circle is tangent to the line 3x – 4y = 24 and the center is at (1, 0). Lets summarize 1. Proving theorems in geometry analytically is also known as coordinate proof. 2. In coordinate proof, the location of one of the vertices and one of the sides of the figure can help in proving easily the theorem. 3. The set of all points equidistant from a fixed point is called a circle. The fixed point is called the center. 4. The standard form of equation of a circle with center at the origin and radius r is x2 + y2 = r2 5. The standard form of equation of a circle with center at (h, k) and radius r is (x – h)2 + (y – k)2 = r2
  • 321.
    19 6. The generalform of equation of a circle is x2 + y2 + Dx + Ey + F = 0 7. The existence of a circle depends upon the value of r2 . If r2 > 0, the circle exist. If r2 = 0, point circle exist. If r2 < 0, the circle does not exist. What have you learned 1. y D(0, b) C A(0, 0) B(2a, 0) x ABCD is a rectangle, What is the coordinate of C ? 2. In figure in # 1, find the length of AC . 3. In doing coordinate proof, it is always simpler to put one of the vertices of the polygon or figure on the ___________. 4. What is the standard form of the equation of a circle if the center is the origin and the radius is r units? What is the center and the radius of the following circles given their equations? 5. x2 + y2 = 64 6. x2 + (y + 1)2 = 25 7. (x – 6)2 + y2 = 1 8. (x – 3)2 + (y + 7)2 = 12 9. (x – 1)2 + (y +1)2 = 49 10. What is the equation of the circle whose center is at (-4, -1) and passing through the origin? Sketch the figure. Express the answer in general form.
  • 322.
    20 Answer Key How muchdo you know. 1. c 2. a 3. b 4. C(0,0) or origin, r = 4 5. C(0, 0) or origin, r = 5 6. C(3, -1), r = 6 7. C(2, -5), r = 13 8. (x – 2)2 + (y + 1)2 = 49 9. x2 + y2 + 4x + 8y – 20 = 0 10. x2 + y2 – 10y – 27 = 0 Lesson 1 A. 1. A(a, b) 2. B(a + c, b) 3. C       2 , 2 cb 4. C       c a , 2 B. 1. y E (a, b) D F A(0, 0) C (2a, 0) x Given: ACE is an isosceles triangle. AF and DC are medians Prove: AF = DC Solution: 1. First determine the coordinates of D and F.
  • 323.
    21 Since AF andDC are medians, then D and F are midpoints. D       ++ 2 0 , 2 0 ba D       2 , 2 ba F       + 2 , 2 2 baa F       2 , 2 3 ba 2. After finding the coordinates of D and F, determine the length of AF and DC . AF = 22 0 2 0 2 3       −+      − ba = 22 22 3       +      ba = 44 9 22 ba + = 4 9 22 ba + AF = 2 9 22 ba + DC = 22 2 0 2 2       −+      − ba a = 22 22 3       −+      ba = 44 9 22 ba + = 4 9 22 ba + DC = 2 9 22 ba +
  • 324.
    22 Based on computations,AF = DC. Therefore, the two medians are equal and we can conclude that that the medians to the legs of an isosceles triangle are equal. 2. y D(b, c) C (a-b, c) A (0, 0) B (a, 0) x Given: ABCD is an isosceles trapezoid. AC and BD are its diagonals Prove: AC ≅ BD Solution: To prove that AC ≅ BD we have to show that AC = BD. AC = ( ) 22 )0(0 −+−− cba = ( ) 22 cba +− AC = 222 2 cbaba ++− BD = ( ) ( )22 0 cba −+− = 222 2 cbaba ++− The computations showed that AC = BD. Thus we can conclude that the diagonals of an isosceles trapezoid are congruent. 3. y E (b, c) P (a+b, c) x H (0,0) O (a, 0)
  • 325.
    23 Given: HOPE isa parallelogram HP and EO are the diagonals Prove: HP and EO bisect each other Solution: The simplest way of proving this is to show that the midpoints of the two diagonals are one and the same. 1. Find the midpoints of HP and EO and compare. M (HP)       ++ 2 , 2 0 cba M (HP)       + 2 , 2 cba M (OE)       + 2 , 2 cba The results showed that HP and EO have the same midpoint. Hence they bisect each other. We can conclude that the diagonals of a parallelogram bisect each other. y 4. C (0, 2b) E x A (0, 0) B (2a, 0) Given: ∆ABC is a right triangle. E is the midpoint of the hypotenuse BC. Prove: CE = BE = AE Solutions: Since E is the midpoint of BC, then its coordinates are
  • 326.
    24 E       2 2 , 2 2 ba E(a,b) After finding the coordinates of E, find CE, BE and AE. Then compare the lengths. CE = ( ) ( )22 20 bba −+− = ( ) ( )22 ba −+− CE = 22 ba + BE = ( ) 22 2 baa +− BE = 22 ba + AE = ( ) ( )22 00 −+− ba AE = 22 ba + Since the three segments CE, BE and AE have the same lengths, we can therefore conclude that E is equidistant from the vertices of the right triangle. y 5. K (4d, 4e) E (4b, 4c) B F C x M (0, 0) D A (4a, 0) Given: MAKE is a quadrilateral B, C, D and F are midpoints of the sides Prove: FC and BD bisect each other Solutions: 1. Get the coordinates of F, B, C and D. F       ++ 2 04 , 2 04 cb
  • 327.
    25 F( )cb 2,2 B      ++ 2 44 , 2 44 ecdb B( )ecdb 22,22 ++ C       + 2 4 , 2 44 ead C( )ead 2,22 + D       2 0 , 2 4a D( )0,2a 2. Get the midpoints of FC and BD. Midpoint of FC M1       +++ 2 22 , 2 222 ecadb M1 ( )ecadb +++ , Midpoint of BD M2       ++++ 2 022 , 2 222 ecadb M2 ( )ecadb +++ , You can see that the midpoints of FC and BD are both (a+b+d, c+e). Therefore, we can conclude that the segments joining the midpoints of opposite sides of a quadrilateral bisect each other. Lesson 2 A. 1. a circle 2. a circle 3. the circle does not exist 4. a circle 5. a point circle
  • 328.
    26 ● B. 1. C(0, 0),r = 5 2. C(0, 0), r = 2 3 3. C(0, 3), r = 11 4. C(7, 5), r = 3 2 5. C(-1, 4), r = 3 6. C(8, 0), r = 7 7. C       − 7, 2 1 , r = 5 8. C(-3, -4), r = 6 9. C(-1, 3), r = 3 2 10. C(2, 6), r = 10 C. 1. x2 + y2 = 16 2. x2 + y2 = 12 3. (x – 1)2 + (y – 1)2 = 9 4. (x + 2)2 + (y + 5)2 = 10 5. (x + 3)2 + (y – 4)2 = 8 6. (x – 2)2 + (y + 5)2 = 25 7. x2 + (y – 6)2 = 36 8. (x + 4)2 + y2 = 12.25 9. x2 + (y + 5) = 5 10. (x – 3)2 + y2 = 27 . D. y 1. C(3, -1) , tangent to x-axis Solution: Since the circle is tangent to x-axis, then r is ⊥ to x-axis. The distance from the center of the circle to the x-axis or the x length of radius r is I unit. The equation of the circle with center at (3, -1) and r = 1 is (x – 3)2 + (y + 1) = 1 x2 – 6x + 9 + y2 + 2y + 1 = 1 x2 + y2 – 6x + 2y + 10 – 1 = 0 x2 + y2 – 6x + 2y + 9 = 0
  • 329.
    27 2. Center at(2, 5) and passing through ( -2, 1) y Solution: Since the center is known what we need is the length of the radius. To find the length of the radius, use the other point as the other end of the radius. r = ( )[ ] ( )22 1522 −+−− r = ( ) 22 422 ++ r = 22 44 + r = 1616 + x r = 32 r = 4 2 The equation of the circle therefore is (x – 2)2 + (y – 5)2 = (4 2 )2 x2 – 4x + 4 + y2 – 10y + 25 = 32 x2 + y2 – 4x – 10y – 3 = 0 3. Line segment joining (-2, 5) and (-2, -3) is a diameter. Solution: The midpoint of the segment is the center of the circle. Find the coordinates of the midpoint. M       −−+− 2 35 , 2 )2(2 M       − 2 2 , 2 4 M (-2, 1) Then find the length of the radius using the midpoint and one of the endpoints of the diameter . r = [ ] ( )22 15)2(2 −+−−− = 22 4)22( ++− = 2 40 + = 2 4 C(2,5) (-2,1) (-2,5) (-2,1)
  • 330.
    28 r C(3,3) x r C(1,0) 3x-4y=24 r = 4 Theequation of the circle with center at ( -2, 1) and r = 4 is (x + 2)2 + (y – 1)2 = 42 x2 + 4x + 4 + y2 – 2y + 1 = 16 x2 + y2 + 4x – 2y - 11 = 0 y 4. Solution: Since the circle is tangent to both axes, therefore the center of the circle is at equal distance from both x and y axes. That distance is 3 units since the radius is given at 3 units. The center is also at the first quadrant. The circle passes through (0, 3) and (3, 0). The center is at (3, 3) x The equation of the circle is (x – 3)2 + (y – 3) = 32 x2 – 6x + 9 + y2 – 6y + 9 = 9 x2 + y2 – 6x – 6y + 9 = 0 5. Tangent to the line 3x – 4y = 24 with center at (1, 0). y Solution: The radius of the circle is equal to the distance of the center (1, 0) from the line 3x – 4y = 24. To find the distance from a point to a line, we use the formula d = 22 11 BA CByAx +− ++ where A and B are the coefficients of x and y, and C is the constant in the equation of line. x1 and y1 are the coordinates of the point. Therefore in the given, A = 3, B = -4 and C = -24. x1 = 1, y2 = 0 r = 22 43 24)0)(4()1(3 +− −−+
  • 331.
    29 C(4,-1) = 169 2403 +− −+ = 5 21 − − r = 5 21 The equationof the circle with center at (1, 0) and radius r = 5 21 is (x – 1)2 + y2 = 2 5 21       = 25 441 What have you learned 1. C(2a, b) 2. AC = 22 2 ba + 3. origin 4. x2 + y2 = r2 5. C(0, 0), r = 8 6. C(0, -1), r = 5 7. C(6, 0), r = 1 8. C(3, -7), r = 2 3 9. C(1, -1), r = 7 10. Solution: Find the length of r using the origin and the coordinates of the center (-4, -1). r = 22 )01()04( −−++− y = 22 )1()4( −+− = 116 + = 17 The equation is (x + 4)2 + (y + 1)2 = ( 17 )2 x x2 + 8x + 16 + y2 + 2y + 1 = 17 x2 + y2 + 8x + 2y + 17 – 17 = 0 x2 + y2 + 8x + 2y = 0
  • 332.
    Module 1 Triangle Congruence Whatthis module is about This module is about triangle congruence. It will teach you how to prove that two triangles are congruent by SSS, SAS, ASA and SSS congruent postulates. What you are expected to learn This module is designed for you to: 1. apply the properties of congruence by: • Reflexive property • Symmetric property • Transitive property 2. use inductive skills to prove congruence between triangles 3. show congruence between triangles by: • SSS congruence • SAS congruence • ASA congruence • SAA congruence How much do you know For each pair of triangles, identical marks indicate two pairs of corresponding congruent parts. Name the congruence postulate which will prove the triangles congruent.
  • 333.
    What you willdo Lesson 1 Properties of Congruence Lesson 2 Congruent Triangles Lesson 3 SSS Congruence SSS Congruence Lesson 4 SAS Congruence
  • 334.
  • 335.
    Let’s summarize What haveyou learned Answer key
  • 336.
    93o 50’ 32o c 4 b C Module2 Triangle Trigonometry What this module is about This module is about law of sines. As you go over this material, you will develop the skills in deriving the law of sines. Moreover, you are also expected to learn how to solve different problems involving the law of sines. What you are expected to learn This module is designed for you to demonstrate ability to apply the law of sines to solve problems involving triangles. How much do you know 1. Find the measure of ∠ B in ABC if m∠ A = 8o and m∠ C = 97o . 2. Find the measure of ∠ A in ABC if m∠ B = 18o 14’ and m∠ C = 81o 41’. 3. Two of the measures of the angles of ABC are A = 8o 3’ and B = 59o 6’. Which is the longest side? 4. What equation involving sin 32o will be used to find side b? 5. Given a = 62.5 cm, m∠ A = 62o 20’ and m∠ C = 42o 10’. Solve for side b. 6. Solve for the perimeter of ABC if c = 25 cm, m∠ A = 35o 14’ and m∠ B = 68o . 7. Solve ABC if a = 38.12 cm, m∠ A = 46o 32’ and m∠ C = 79o 17’. A B
  • 337.
    2 8. Solve ABCif b = 67.25 mm, c = 56.92 mm and m∠ B = 65o 16’. 9. From the top of a building 300 m high, the angles of depression of two street signs are 17.5o and 33.2o . If the street signs are due south of the observation point, find the distance between them. 10.The angles of elevation of the top of a tower are 35o from point A and 51o from another point B which is 35 m from the base of the tower. If the base of the tower and the points of observation are on the same level, how far are they from each other? What you will do Lesson 1 Oblique Triangles An oblique triangle is a triangle which does not contain a right angle. It contains either three acute angles (acute triangle) or two acute angles and one obtuse angle (obtuse triangle). Acute triangle Obtuse triangle If two of the angles of an oblique triangle are known, the third angle can be computed. Recall that the sum of the interior angles in a triangle is 180o . Examples: Given two of the angles of ABC, solve for the measure of the third angle. 1. A = 30o , B = 45o . A + B + C = 180o . 30o + 45o + C = 180o . C = 180o – (30o + 45o ) C = 180o – 75o C = 105o
  • 338.
    3 2. B =69.25o , C = 114.5o . A + B + C = 180o . A + 69.25o + 114.5o = 180o . A = 180o – (69.25o + 114.5o ) A = 180o – 183.75o A = 3.75o 3. A = 56o 38’, C = 64o 49’. A + B + C = 180o . 56o 38’ + B + 64o 49’o = 180o . B = 180o – (56o 38’ + 64o 49’) B = 180o – 121o 27’ B = 58o 33’ Try this out Given two of the angles of ABC, solve for the measure of the third angle. Set A 1. A = 60o , B = 45o 2. B = 76o , C = 64o 3. A = 69.25o , C = 14.5o 4. B = 19.15o , A = 107.05o 5. C = 85o 38’, A = 74o 23’ Set B 1. A = 57o , B = 118o 2. B = 46o , C = 69o 3. A = 51.63o , C = 70.47o 4. B = 37.3o , A = 77.24o 5. C = 58o 6’, A = 47o 24’ Set C 1. A = 58o , B = 77o 2. B = 64o , C = 64o 3. A = 18.82o , C = 109.3o 4. B = 56.85o , A = 37.18o
  • 339.
    4 5. C =27o 34’, A = 72o 43’ Lesson 2 Deriving the Law of Sines; Solving Oblique Triangles Involving Two Angles and a Side Opposite One of Them Consider ABC with altitude h. The area of this triangle is 1 Area ch 2 = (1) From the right triangle h sin A b = (2) Solving h in (2) gives H = bsin A (3) Substituting (3) in (1) gives 1 Area c(bsin A) 2 = (4) Similarly, two other formulas for the area of ABC can be derived, namely: 1 Area a(csin B) 2 = (5) b h a BA C c
  • 340.
    5 93o 50’ 32o c 4 b C B A and 1 Areab(asin C) 2 = (6) Since (4), (5), and (6) represent the area of one and the same triangle, then 1 1 1 c(bsin A) a(csin B) b(asin C) 2 2 2 = = or equivalently sin A sin B sin C a b c = = . This is the Law of Sines which states that “In any triangle ABC, with a, b, and c as its sides, and A, B and C as its angles, sin A sin B sin C a b c = = .” Note that this is also equivalent to a b c sin A sin B sin C = = . The Law of Sines is used to solve different cases of oblique triangles. One case of oblique triangle that can be solved using the law of sines involves two angles and a side opposite one of them. Examples: Solve each triangle ABC described below. 1. a = 4, A = 32o , B = 93o 50’ The given parts of the triangle involve two angles A and B, and side a which is opposite A. The given parts and the unknown parts are shown in the figure below. To solve for C: A + B + C = 180o
  • 341.
    6 32o + 93o 50’ +C = 180 C = 180o – (32o + 93o 50’) C = 180o – 125o 50’ C = 54o 10’ To solve for b: a b sin A sin B = asin B b sin A = 4(sin93 50') b sin32 ° = ° 4(0.99776) b 0.52992 = b = 7.53 To solve for c: a c sin A sin C = asin C c sin A = 4(sin54 10') c sin32 ° = ° 4(0.81072) b 0.52992 = b = 6.12 2. b = 2.3, C = 42.5o , B = 84o The given parts of the triangle involve two angles B and C, and side b which is opposite B. The given parts and the unknown parts are shown in the figure below. 84o 42.5o a 2.3 c B C A
  • 342.
    7 To solve forA: A + B + C = 180o A + 84o + 42.5o = 180o A = 180o – (84o + 42.5o ) A = 180o – 126.5o A = 53.5o or 53o 30’ To solve for c: c b sin C sin B = bsin C c sin B = 2.3(sin 42.5 ) c sin84 ° = ° 2.3(0.67559) c 0.99452 = c = 1.6 To solve for a: a b sin A sin B = bsin A a sin B = 2.3(sin53 30') a sin84 ° = ° 2.3(0.80386) a 0.99452 = a =1.86 Try this out Solve triangle ABC described by the given parts. Set A 1. a = 12, A = 60o , B = 45o 2. b = 20, B = 32o , C = 24o
  • 343.
    8 3. c =42.5, A= 35.2o , C = 29o 4. a = 9, A = 42.4o , C = 37.8o 5. b = 75, B = 30o 45’, C = 32o 30’ Set B 1. a = 10, A = 61o , B = 49o 2. c = 80, C = 56o , B = 68o 3. b = 38, B = 47o , A = 30o 4. c = 8, C = 77.2o , A = 88o 5. b = 8, B = 67o 15’, A = 33o 5’ Set C 1. A = 65o 50’, B = 14o , b = 16 2. A = 69o 15’, C = 28o 40’, a = 80 3. B = 47.5o , A = 80o , a = 15.1 4. B = 63o 36’, C = 89o , b = 8 5. C = 57.25o , A = 33.5o , c = 23.5 Lesson 3 Solving Oblique Triangles Involving Two Angles and the Included Side Another case of oblique triangle that can be solved using the law of sines involves two angles and the included side. Examples: 1. c = 440, A = 48o , B = 75o The given parts of the triangle involve two angles and the included side. This case can also be solved using the law of sines. To solve for C: A + B + C = 180o 75o 48o 440 b C a A B
  • 344.
    9 48o + 75o + C= 180 C = 180o – (48o + 75o ) C = 180o – 123o C = 57o To solve for a: a c sin A sin C = csin A a sin C = 440(sin 48 ) a sin57 ° = ° 440(0.74315) a 0.83867 = a = 389.87 To solve for b: b c sin B sin C = csin B b sin C = 440(sin 48 ) b sin57 ° = ° 440(0.74314) b 0.96593 = b = 338.51 2. a = 8.2, B = 38o 26’, C = 75o 19’ The given parts of the triangle involve two angles and the included side. This case can also be solved using the law of sines. 38o 26’75o 19’ 8.2 b c A BC
  • 345.
    10 To solve forA: A + B + C = 180o A + 38o 26’ + 75o 19’ = 180 A = 180o – (38o 26’ + 75o 19’) C = 180o – 113o 45’ C = 66o 15’ To solve for b: a b sin A sin B = asin B b sin A = 8.2(sin38 26') b sin 75 19' ° = ° 8.2(0.62160) b 0.96734 = b = 5.27 To solve for c: a c sin A sin C = asin C c sin A = 8.2(sin 66 15') c sin75 19' ° = ° 8.2(0.91531) c 0.96734 = c = 7.76 Try this out Solve each triangle ABC described below. Set A 1. a = 12, A = 60o , B = 45o 2. b = 20, A = 32o , C = 24o
  • 346.
    11 3. c =42.5, A = 35.2o , B = 79o 4. a = 9, A = 42.4o , B = 37.8o 5. b = 0.751, A = 100o 30’, C = 32o 45’ Set B 1. a = 248, A = 51o , B = 49o 2. c = 8.5, A = 56o , B = 68o 3. b = 38, A = 47.2o , C = 50.5o 4. a = 8, B = 77o 26’, C = 28o 40’ 5. c = 1.2, A = 67.3o , B = 33.9o Set C 1. A = 65o 50’, B = 14o , c = 16 2. B = 69.2o , C = 28.8o a = 0.8 3. A = 15o 28’, C = 77o , b = 100 4. a = 1.8, B = 36o 36’, C = 98o 5. c = 23.5, B = 57.25o , A = 33o 33’ Lesson 4 Solving Oblique Triangles Involving Two Sides and an Angle Opposite One of Them Another case of oblique triangle that can be solved using the law of sines involves two sides and an angle opposite one of them. Examples: The given parts and the unknown parts are shown in the figures: 1. b = 15, a = 20, A = 80o 25’ To solve for B: a b sin A sin B = C 80o 25’ 15 20 c BA
  • 347.
    12 bsin A sin B a = 15(sin8025') sin B 20 ° = 15(0.98604) sin B 20 = sin B 0.73953= B = Arcsin (0.73953) B = 47o 41’29” To solve for C: A + B + C = 180o 80o 25’ + 47o 41’ + C = 180 C = 180o – (80o 25’ + 47o 41’) C = 180o – 128o 6’ C = 51o 54’ To solve for c: a c sin A sin C = asin C c sin A = 20(sin51 54') c sin80 25' ° = ° 20(0.78694) b 0.98604 = b = 15.96 2. a = 2.46, c = 5, C = 70.2o 70.2o b 2.46 A 5 B C
  • 348.
    13 To solve forA: a c sin A sin C = asin C sin A c = 2.46(sin70.2 ) sin A 5 ° = 2.46(0.94088) sin A 5 = sin A = 0.46291 A = Arcsin (0.46291) A = 27.58o To solve for B: A + B + C = 180o 27.58o + B + 70.2o = 180 B = 180o – (27.58o + 70.2o ) B = 180o – 97.78o B = 82.22o To solve for b: b c sin B sin C = csin B b sin C = 5(sin82.22 ) b sin 70.2 ° = ° 5(0.99080) b 0.94088 = b = 5.27 Try this out Solve each triangle ABC described below. Set A 1. a = 12, b = 18, B = 45o 2. b = 20, c = 32, B = 24o
  • 349.
    14 3. a =2.5, c = 5.2, C = 79o 4. a = 9, b = 14.4, B = 37.8o 5. b = 0.751, c = 1, C = 32o 45’ Set B 1. a = 140, b = 150, B = 49o 2. a = 8.5, c = 5.6, A = 68o 3. a = 47.2, b = 38, A = 50.5o 4. a = 0.8, c = 0.72, C = 28o 40’ 5. c = 1.2, b = 6.3, B = 131.5o Set C 1. A = 65o 50’, a = 15, c = 16 2. B = 95.2o , b = 2.8, c = 0.8 3. C = 15o 28’, c = 77, b = 100 4. B = 36o 36’, a = 1.8, b = 2.98 5. A = 33o 33’, a = 33.5, b = 57.25 Lesson 5 Solving Problems Involving Oblique Triangles The following examples show how the law of sines is used to solve word problems involving oblique triangles. Examples: Solve each problem. Show a complete solution. 1. The longer diagonal of a parallelogram is 27 cm. Find the perimeter of the parallelogram if the angles between the sides and the diagonal are 30o and 40o 10’. The perimeter of any parallelogram is twice the sum of the lengths of the two consecutive sides. 40o 10’ 30o 27 cm y x θ
  • 350.
    15 Let x andy be the consecutive sides as shown in the figure. The angle opposite x is 40o 10’. Hence, the angle θ between x and y is 30o + 40o 10’ + θ = 180o θ = 180o – (30o + 40o 10’) θ = 180o – 70o 10’ θ = 109o 50’ To solve for x: x 27 sin 40 10' sin109 50' = ° ° 27sin 40 10' x sin109 50' ° = ° 27(0.64501) x 0.94068 = x = 18.51 cm To solve for y: y 27 sin30 sin109 50' = ° ° 27sin30 y sin109 50' ° = ° 27(0.5) y 0.94068 = x = 14.35 cm The perimeter P of the parallelogram is P = 2(x + y) P = 2(18.51 + 14.35) P = 2(32.86) P = 65.72 cm 2. From the top of a 300 m building, the angle of depression of two traffic aides on the street are 17o 30’ and 33o 12’, respectively. If they are due south of the observation point, find the distance between them.
  • 351.
    16 Let B1B2 bethe distance between the two traffic aides. First, find θ1: θ1 = 33o 12’ – 17o 30’ θ1 = 15o 42’ Then, find OB1: 1 300 cos33 12' OB ° = 1 300 OB cos33 12' = ° 1 300 OB 0.83676 = OB1 = 358.53 To solve for B1B2: 1 2 1B B OB sin15 42' sin17 30' = ° ° 1 1 2 OB (sin15 42') B B sin17 30' ° = ° 1 2 358.53(0.27060) B B 0.30071 = B1B2 = 322.63 m 17o 30’ 300 m P B1 B2 33o 12’ θ1 O 17o 30’33o 12’
  • 352.
    17 Try this out Solveeach problem. Show a complete solution. Set A 1. The shorter diagonal of a parallelogram is 5.2 m. Find the perimeter of the parallelogram if the angles between the sides and the diagonal are 40o and 30o 10’. 2. From the top of a 150 m lighthouse, the angles of depression of two boats on the shore are 20o and 50o , respectively. If they are due north of the observation point, find the distance between them. 3. Two policemen 122 meters apart are looking at a woman on top of a tower. One cop is on the east side and the other on the west side. If the angles of elevation of the woman from the cops are 42.5o and 64.8o , how far is she from the two cops? 4. The angle between Rizal St. and Bonifacio St. is 27o and intersect at P. Jose and Andres leaves P at the same time. Jose jogs at 10 kph on Rizal St. If he is 3 km from Andres after 30 minutes, how fast is Andres running along Bonifacio St? 5. The angle of elevation of the top of a tower is 40o 30’ from point X and 55o from another point Y. Point Y is 30 meters from the base of the tower. If the base of the tower and points X and Y are on the same level, find the approximate distance from X and Y. Set B 1. The vertex of an isosceles triangle is 40o . If the base of the triangle is 18 cm. find its perimeter. 2. An 80-meter building is on top of a hill. From the top of the building, a nipa hut is sighted with an angle of depression of 54o . From the foot of the building the same nipa hut was sighted with an angle of depression of 45o . Find the height of the hill and the horizontal distance from the building to the nipa hut. 3. The lengths of the diagonals of a parallelogram are 32.5 cm and 45.2 cm. The angle between the longer side and the longer diagonal is 35o . Find the length of the longer side of the parallelogram.
  • 353.
    18 4. A diagonalof a parallelogram is 35 cm long and forms angles of 34o and 43o with the sides. Find the perimeter and area of the parallelogram. 5. A wooden post is inclined 85o with the ground. It was broken by a strong typhoon. If a broken part makes an angle of 25o with the ground, and the topmost part of the post is 40 ft from its base, how long was the post? Set C 1. The measures of two of the angles of a triangle are 50o and 55o . If its longest side measures 17 cm, find the perimeter of the triangle. 2. Bryan’s (B) and Carl’s (C) houses are along the riverbank. On the opposite side is Angel’s (A) house which is 275 m away from Carl’s. The angles CAB and ACB are measured and are found to be 125o and 49o , respectively. Find the distance between Angel’s and Bryan’s houses. 3. A park is in the shape of an obtuse triangle. One angle is 45o and the opposite side is 280-m long and the other angle is 40o . Find the perimeter of the park. 4. Three circles are arranged as shown in the figure. Their centers are joined to form a triangle. Find angle θ. 5. Two forces are acting on each other at point A at an angle 50o . One force has a magnitude of 60 lbs. If the resultant force is 75 lbs find the magnitude of the second force. r = 1.5 r = 3 r = 2.5θ 30o
  • 354.
    19 Let’s summarize 1. Anoblique triangle is a triangle which does not contain a right angle. It contains either three acute angles (acute triangle) or two acute angles and one obtuse angle (obtuse triangle). 2. If two of the angles of an oblique triangle are known, the third angle can be computed. The sum of the interior angles in a triangle is 180o . 3. In any triangle ABC, with a, b, and c as its sides, and A, B and C as its angles, sin A sin B sin C a b c = = . This is also equivalent to a b c sin A sin B sin C = = . 4. The Law of Sines is used to solve different cases of oblique triangles. This law is used to solve oblique triangles that involve a. two angles and a side opposite one of them. b. two angles and the included side c. two sides and the angle opposite one of them What have you learned 1. Find the measure of ∠ B in ABC if m∠ A = 8o and m∠ C = 97o . 2. Find the measure of ∠ A in ABC if m∠ B = 18o 14’ and m∠ C = 81o 41’. 3. The measures of the side of ABC are c = 83 cm and b = 59 cm and a = 45 cm. Which is the largest angle? 4. What equation that involves sin 70.2o will be used to find angle A? 70.2o b 2.46 A 5 B C
  • 355.
    20 5. Given a= 62.5 cm, m∠ A = 112o 20’ and m∠ C = 42o 10’. Solve for side b. 6. Solve for the perimeter of ABC if c = 25 cm, m∠ A = 35o 14’ and m∠ B = 68o . 7. Solve ABC if b = 38.12 cm, m∠ B = 46o 32’ and m∠ A = 79o 17’. 8. Solve ABC if b = 67.25 mm, c = 56.92 mm and m∠ B = 65o 16’. 9. From the top of a building 300 m high, the angles of depression of two street signs are 17.5o and 33.2o . If the street signs are due south of the observation point, find the distance between them. 10.A park is in the shape of an acute triangle. One angle is 55o and the opposite side is 300-m long and the other angle is 60o . Find the perimeter of the park.
  • 356.
    21 Answer Key How muchdo you know 1. 75o 2. 80o 5’ 3. c 4. b 4 sin93 50' sin32 = ° ° 5. 68.32 cm 6. 14.82 cm 7. B = 54o 11’, b = 42.59 cm, c = 51.61 cm 8. C = 50o 14’30”, A = 64o 29’30”, a = 66.83 mm 9. 155.45 m 10.26.73 m Try this out Lesson 1 Set A 1. 75o 2. 40o 3. 96.25o 4. 53.8o 5. 19o 59’ Set B 1. 5o 2. 65o 3. 57.9o 4. 65.46o 5. 74o 30’
  • 357.
    22 Set C 1. 45o 2. 52 o 3. 51.88o 4. 85.97o 5. 79o 43’ Lesson 2 Set A 1. C = 75o , b = 9.80, c = 13.38 2. A = 124o , a = 31.29, c = 15.35 3. B = 115.8o , a = 50.53, b = 78.92 4. B = 99.8o , b = 13.15, c = 8.18 5. A = 116o 45’, a = 130.99, c = 78.81 Set B 1. C = 70o , b = 8.63, c = 10.74 2. A = 56o , a = 80, b = 89.47 3. C = 103o , a = 25.98, c = 50.63 4. B = 14.8o , a = 8.20, b = 2.10 5. C = 79o 40’, a = 4.74, c = 8.53 Set C 1. C = 100o 10’, a = 60.34, c = 65.10 2. B = 82o 5’, b = 84.73, c = 41.04 3. C = 52.5o , b = 11.30, c = 12.16 4. A = 27o 24’, a = 4.11, c = 8.93 5. B = 89.25o , a = 15.42, b = 27.94 Lesson 3 Set A 1. C = 75 o , b = 9.80, c = 13.38 2. B = 123 o , a = 12.64, c = 9.70
  • 358.
    23 3. C =65.8 o , a = 26.84, b = 45.74 4. C = 99.8 o , b = 8.18, c = 13.15 5. B = 46o 45’, a = 1.014, c = 0.558 Set B 1. C = 80o , b = 240.84, c = 314.27 2. C = 56o , a = 8.50, b = 9.51 3. B = 82.3o , a = 28.14, c = 29.59 4. A = 73o 54’, b = 8.13, c = 3.99 5. C = 79o 33’, a = 1.13, b = 0.68 Set C 1. C = 100o , a = 14.83, b = 14.83 2. A = 82o , b = 0.76, c = 0.39 3. B = 87o 32’, a = 26.69, c = 97.53 4. A = 45o 24’, b = 1.51, c = 2.50 5. C = 89o 12’, a = 13.00, b = 19.77 Lesson 4 Set A 1. A = 28o 7’32”, C = 106o 52’28”, c = 10.83 2. A = 115o 23’48”, C = 40o 36’12”, a = 44.42 3. A = 28o 9’36”, B = 72o 50’24”, b = 5.06 4. A = 22o 31’56”, C = 119o 40’4”, c = 20.41 5. A = 123o 16’45”, B = 23o 58’15”, a = 1.55 Set B 1. A = 44o 46’51”, C = 86o 13’9”, c = 198.32 2. B = 74o 20’56”, C = 37o 39’4”, b = 8.83 3. B = 38o 24’20”, C = 91o 5’40”, c = 61.16 4. A = 32o 12’34”, B = 119o 7’26”, b = 1.31 5. A = 40.3o , C = 8.2, a = 5.44
  • 359.
    24 Set C 1. B= 37o 27’57”, C = 76o 42’3”, b = 10.00 2. A = 71.21o , C = 16.59o , a = 0.76 3. A = 144o 16’12”, B = 20o 15’48”, a = 168.61 4. A = 21o 6’31”, C = 122o 17’29”, c = 4.23 5. B = 70o 49’4”, C = 75o 37’56”, c = 58.72 Lesson 5 Set A 1. The perimeter is 12.66 m. 2. The distance between them is approximately 286.26 m. 3. The distances of the woman from the two policemen are approximately 86.33 m and 115.62 m. 4. Andres ran approximately at the rate of 3.21 kph. 5. The distance between X and Y is approximately 20.16 m. Set B 1. The perimeter of the isosceles triangle is approximately 70.62 cm. 2. The horizontal distance of the building to the nipa hut is 212.55 m. 3. The longer side is 28.31 cm. 4. The perimeter of the parallelogram is 89.18 cm and its area is 1,962.21 sq.cm. 5. The wooden post is 60.40 ft long. Set C 1. The perimeter is 44.90 cm. 2. The distance between Angel’s and Bryan’s houses is 1,985.54 m. 3. The perimeter of the park is 929 m. 4. The angle θ is 115o 46’ 12” 5. The second force is approximately 97.83 lbs.
  • 360.
    25 How much haveyou learned 1. 75o 2. 80o 5’ 3. Angle C 4. sin A sin 70.2 2.46 5 ° = 5. 29.20 cm 6. 63.63 cm 7. C = 54o 11’, a = 51.61 cm, c = 42.59 cm 8. C = 50o 14’30”, A = 64o 29’30”, a = 66.83 mm 9. The distance between the signs is 493.03 m. 10.The perimeter is 949.09 m
  • 361.
    Module 3 Triangle Congruence Whatthis module is about This module is about using triangle congruence to prove congruent segments and angles. You will understand that a correspondence between two triangles is a congruence if the corresponding angle and corresponding sides are congruent. What you are expected to learn This module is designed for you to: 1. prove congruent segments and angles using the conditions for triangle congruence. 2. solve routine and non-routine problems. How much do you know 1. Given: HS bisects ∠ THE ∠ HTS ≅ ∠ HES Prove: TS ≅ ES T H S E
  • 362.
    2 2. Given: PM// NS; PM ≅ SN Prove: ML ≅ LN 3. Given: NO ≅ XS; OE ≅ SI; NI ≅ XE Prove: ∠ O ≅ ∠ S 4. Given: ∆ PNC and ∆ TNC are isosceles triangles with common base NC. Prove: ∠ PNT ≅ ∠ PCT P N C T P M N S L N I O E S X
  • 363.
    3 H 5. Given: AEis the ⊥ bisector of BC Prove: ∠ B ≅ ∠ C 6. Given: CH ≅ EH, FH ≅ GH Prove: ∠ C ≅ ∠ E 7. Given: ∠ A and ∠ B are right angles and AP ≅ BP. Prove: AQ ≅ BQ A B C E D C E F G P A B Q
  • 364.
    4 8. Given: ∠1 ≅ ∠ 2 O is the midpoint of SP Prove: MO ≅ NO 9. Given: LO ≅ LN ∆JLO and ∆MLN are right ∆s Prove: ∠ J ≅ ∠ K 10. Given: PQ ≅ RS ∠ QRP ≅ ∠ SRP Prove: SP ≅ QR O J L M N 1 2S M O N P SP RQ
  • 365.
    5 What you willdo Lesson Congruent Segments and Congruent Angles To prove two segments or two angles are congruent, you must show that they are corresponding parts of congruent triangles. For triangle congruence, you have the following: • SSS congruence • SAS congruence • ASA congruence • SAA congruence For right triangle congruence, you have the following: • LL congruence • LA congruence • HyL congruence • HyA congruence Examples: Formal Proofs: 1. Given: AB // DC, AD // BC Prove: AB ≅ DC DA CB 1 4 3 2
  • 366.
    6 Proof: Statement Reason 1. AB// DC, AD // BC 1. Given 2. ∠ 1 ≅ ∠ 2, ∠ 3 ≅ ∠ 4 2. If two parallel lines are cut by a transversal, then the alternate interior angles are ≅ 3. BD ≅ BD 3. Reflexivity 4. ∆ABD ≅ ∆CDB 4. ASA 5. ∴AB ≅ DC 5. Corresponding parts of ≅ triangles are ≅ or CPCTC 2. Given: LS bisects ∠ TLE ∠ LTS ≅ ∠ LES Prove: TS ≅ ES Proof: Statement Reason 1. LS bisects ∠ TLE 1. Given 2. ∠ TLS ≅ ∠ ELS 2. Definition of angle bisector 3. LS ≅ LS 3. Reflexivity 4. ∠ LTS ≅ ∠ LES 4. Given 5. ∆ TSL ≅ ∆ ESL 5. SAA congruence 6. TS ≅ ES 6. Corresponding parts of ≅ ∆ s are ≅ or CPCTC T S L E
  • 367.
    7 3. Given: MO≅ YS, OB ≅ SP, MP ≅ YB Prove: ∠ O ≅ ∠ S Proof: Statement Reason 1. MO ≅ YS 1. Given OB ≅ SP MP ≅ YB 2. PB ≅ PB 2. Reflexivity 3. MB ≅ PY 3. By addition 4. ∆MOB ≅ ∆ YSP 4. SSS congruence 5. ∠ O ≅ ∠ S 5. CPCTC 4. Given: AR is the ⊥ bisector of BX. Prove: ∠ B ≅ ∠ X M P O B S Y R A B X
  • 368.
    8 Proof: Statement Reason 1. ARis the ⊥ bisector of BX 1. Given 2. AR ≅ AR 2. Reflexivity 3. BR ≅ XR 3. Definition of ⊥ bisector 4. ∆ARB ≅ ∆ARX 4. LL congruence 5. ∠ B ≅ ∠ X 5. CPCTC 5. Given: ∠ 1 ≅ ∠ 2 O is the midpoint of SP Prove: DO ≅ SO Proof: Statement Reason 1. ∠ 1 ≅ ∠ 2 1. Given 2. ∠ DSO ≅ ∠ SPO 2. Supplements of ≅ ∠ s are also ≅ 3. O is the midpoint of SP 3. Given 4. SO ≅ PO 4. Definition of midpoint 5. ∠ DOS ≅ ∠ SOP 5. Vertical ∠ s are ≅ 6. ∆ SDO ≅ ∆ PSO 6. ASA congruence 7. DO ≅ SO 7. CPCTC 1 2S D O S P
  • 369.
    9 Try this out 1.Given: ∠ SLO and ∠ KMO are right angles LO ≅ MO Prove: ∠ S ≅ ∠ K 2. Given: XY ≅ RS ∠ YXR ∠ SRX Prove: SX ≅ YR 3. Given: ∆ PNU and ∆ TNU are isosceles triangles with common base NU Prove: ∠ PNT ≅ ∠ PUT L S O K M YX S R P N u T O
  • 370.
    10 4. Given: CD≅ ED, FC ≅ FE Prove: ∠ C ≅ ∠ E 5. Given: ∠ A ≅ ∠ C are right angles AK ≅ MC Prove: MA ≅ KC 6. Given: MN ⊥ NR, PR ⊥ NR, MR ≅ PN Prove: MN ≅ NR D C E F M C A K M P N R
  • 371.
    11 7. Given: AI≅ BN, BI ≅ AN Prove: ∠ I ≅ ∠ N 8. Given: In the figure, JV and NC bisect each other at O Prove: ∠ J ≅ ∠ V 9. Given: MQ and PN bisect each other at O Prove: ∠ P ≅ ∠ N A B I N J C N V O Q N O P M
  • 372.
    12 10. Given: GQ≅ RS ∠ QGR ≅ ∠ SRG Prove: SG ≅ QR Let’s summarize To prove two segments or two angles are congruent, you must show that they are corresponding parts of congruent triangles. For triangle congruence, you have the following: • SSS congruence • SAS congruence • ASA congruence • SAA congruence For right triangle congruence, you have the following: • LL congruence • LA congruence • HyL congruence • HyA congruence QG S R
  • 373.
    13 What have youlearned 1. Given: TS bisects ∠ MTE ∠ TMS ≅ ∠ TES Prove: TM ≅ TE 2. Given: PQ // NS; PQ ≅ SN Prove: QL ≅ LN M S T E P Q N S L
  • 374.
    14 3. Given: XO≅ YS; OE ≅ SI; XI ≅ YE Prove: ∠ O ≅ ∠ S 4. Given: ∆PNQ and ∆TNQ are isosceles triangles with common base NQ. Prove: ∠ PNQ ≅ ∠ TNQ 5. Given: HE is the ⊥ bisector of BC Prove: ∠ B ≅ ∠ C P N Q T H B C E X I O E S Y
  • 375.
    15 H 6. Given: CG≅ EG, FG ≅ HG Prove: ∠ C ≅ ∠ E 7. Given: ∠ R and ∠ S are right angles and RP ≅ SP. Prove: RQ ≅ SQ 8. Given: ∠ 1 ≅ ∠ 2 O is the midpoint of SP Prove: RO ≅ TO P R S Q 1 2S R O T P D C E F H G
  • 376.
    16 9. Given: ∠JLO and ∠ KMO are right ∠ s LO and MO Prove: ∠ J ≅ ∠ K 10.Given: PQ ≅ RS ∠ QPR ≅ ∠ SRP Prove: SP ≅ QR QP S R L J O K M
  • 377.
    17 Answer key How muchdo you know 1. Proof Statement Reason 1. HS bisects ∠ THE 1. Given ∠ HTS ≅ ∠ HES 2. ∠ THS ≅ ∠ EHS 2. Definition of ∠ bisector 3. HS ≅ HS 3. Reflexivity 4. ∆THS ≅ ∆ EHS 4. SAA congruence 5. TS ≅ ES 5. CPCTC 2. Proof: Statement Reason 1. PM // NS, PM ≅ SN 1. Given 2. ∠ P ≅ ∠ S, ∠ M ≅ ∠ N 2. If 2 // lines cut by a transversal, the alternate interior ∠ s are ≅ 3. ∆PLM ≅ ∆ SLN 3. ASA congruence 4. ML ≅ LN 4. CPCTC 3. Proof: Statement Reason 1. NO ≅ XS, OE ≅ SI 1. Given NI ≅ XE 2. IE ≅ IE 2. Reflexivity 3. NE ≅ IX 3. By addition 4. ∆NOE ≅ ∆XSI 4. SSS congruence 5. ∠ O ≅ ∠ S 5. CPCTC 4. Proof: Statement Reason 1. ∆PNC and ∆TNC 1. Given are isosceles ∆ 2. PN ≅ PC, TN ≅ TC 2. Definition of isosceles 3. PT ≅ PT 3. Reflexivity 4. ∆PNT ≅ ∆ PCT 4. SSS congruence 5. ∠ PNT ≅ ∠ PCT 5. CPCTC
  • 378.
    18 5. Proof: Statement Reason 1.AE is the ⊥ bisector of BC 1. Given 2. BE ≅ CE 3. Definition of ⊥ bisector 3. AE ≅ AE 2. Reflexivity 4. ∆AEB ≅ ∆AEC 4. LL congruence 5. ∠ B ≅ ∠ C 5. CPCTC 6. Proof: Statement Reason 1. CH ≅ EH, FH ≅ GH 1. Given 2. ∠ FHC ≅ ∠ GHE 2. Vertical ∠ s are ≅ 3. ∆FHC ≅ ∆GHE 3. SAS 4. ∠ C ≅ ∠ E 4. CPCTC 7. Proof: Statement Reason 1. ∠ A and ∠ B are rt. ∠ s 1. Given AP ≅ BP 2. PQ ≅ PQ 2. Reflexivity 3. ∆PAQ ≅ ∆ PBQ 3. HyL congruence 4. AQ ≅ BQ 4. CPCTC 8. Proof: Statement Reason 1. ∠ 1 ≅ ∠ 2 1. Given 2. ∠ MSO ≅ ∠ NPO 2. Supplements of ≅ ∠ s are also ≅ 3. O is the midpoint of SP 3. Given 4. SO ≅ PO 4. Definition of midpoint 5. ∠ MOS ≅ ∠ NOP 5. Vertical ∠ s are ≅ 6. ∆ MDO ≅ ∆ NPO 6. ASA congruence 7. MO ≅ NO 7. CPCTC
  • 379.
    19 9. Proof: Statement Reason 1.LO ≅ LN 1. Given 2. ∠ JLO ≅ ∠ MLN 2. Vertical ∠ s are ≅ 3. ∆JLO ≅ ∆MLN 3. LA congruence 4. ∠ J ≅ ∠ K 4. CPCTC 10. Proof: Statement Reason 1. PQ ≅ RS 1. Given ∠ QRP ≅ ∠ SRP 2. PR ≅ PR 2. Reflexivity 3. ∆PSR ≅ ∆RQP 3. SAS congruence 4. SP ≅ QR 4. CPCTC Try this out Lesson 1. Proof: Statement Reason 1. LO ≅ MO 1. Given 2. ∠ SOL ≅ ∠ KOM 2. Vertical ∠ s are ≅ 3. ∆SLO ≅ ∆ KMO 3. LA congruence 4. ∠ S ≅ ∠ K 4. CPCTC 2. Proof: Statement Reason 1. XY ≅ RS 1. Given ∠ YXR ≅ ∠ SRX 2. RX ≅ RX 2. Reflexivity 3. ∆XYR ≅ ∆ RSX 3. SAS congruence 4. SX ≅ YR 4. CPCTC
  • 380.
    20 3. Proof: Statement Reason 1.∆PNU and ∆TNU 1. Given are isosceles ∆ 2. PN ≅ PU, TN ≅ TU 2. Definition of isosceles 3. PT ≅ PT 3. Reflexivity 4. ∆PNT ≅ ∆PUT 4. SSS congruence 5. ∠ PNT ≅ ∠ PUT 5. CPCTC 4. Proof: Statement Reason 1. CD ≅ ED, FC ≅ FE 1. Given 2. DF ≅ DF 2. Reflexivity 3. ∆DCF ≅ ∆DEF 3. SSS congruence 4. ∠ C ≅ ∠ E 4. CPCTC 5. Proof: Statement Reason 1. ∠ A ≅ ∠ C 1. Given AK ≅ MC 2. MK ≅ MK 2. Reflexivity 3. ∆MCK ≅ ∆ KAM 3. HyL congruence 4. MA ≅ KC 4. CPCTC 6. Proof: Statement Reason 1. MR ≅ PN 1. Given 2. NR ≅ NR 2. Reflexivity 3. ∆MNR ≅ ∆ PRN 3. Hyl congruence 4. MN ≅ PR 4. CPCTC
  • 381.
    21 7. Proof: Statement Reason 1.AI ≅ BN 1. Given BI ≅ AN 2. IN ≅ IN 2. Reflexivity 3. ∆AIN ≅ ∆BNI 3. SSS congruence 4. ∠ I ≅ ∠ N 4. CPCTC 8. Proof: Statement Reason 1. JV and NC bisect 1. Given each other at O 2. JO ≅ VO 2. Definition of Segment Bisector CO ≅ NO 3. ∠ JOC ≅ ∠ VON 3. Vertical ∠ s are ≅ 4. ∆JOC ≅ ∆VON 4. SAS 5. ∠ J ≅ ∠ V 5. CPCTC 9. Proof: Statement Reason 1. MQ and PN bisect 1. Given each other at O 2. MO ≅ QO 2. Definition of Segment Bisector PO ≅ NO 3. ∠ POM ≅ ∠ NOQ 3. Vertical ∠ s are ≅ 4. ∆POM ≅ ∆ VOQ 4. SAS 5. ∠ P ≅ ∠ N 5. CPCTC 10. Proof: Statement Reason 1. GQ ≅ RS 1. Given ∠ QGR ≅ ∠ SRG 2. RG ≅ RG 2. Reflexivity 3. ∆QGR ≅ ∆ SRG 3. SAS congruence 4. SG ≅ QR 4. CPCTC
  • 382.
    22 What have youlearned 1. Proof Statement Reason 1. TS bisects ∠ MHE 1. Given ∠ TMS ≅ ∠ TES 2. ∠ MTS ≅ ∠ ETS 2. Definition of ∠ bisector 3. TS ≅ TS 3. Reflexivity 4. ∆SMT ≅ ∆SET 4. SAA congruence 5. TM ≅ TE 5. CPCTC 2. Proof: Statement Reason 1. PQ // SN 1. Given 2. ∠ QPL ≅ ∠ NSL 2. If 2 // lines cut by a transversal, ∠ PQL ≅ ∠ SNL the alternate interior ∠ s are ≅ 3. ∆PQL ≅ ∆SNL 3. ASA congruence 4. QL ≅ LN 4. CPCTC 3. Proof: Statement Reason 1. XO ≅ YS, OE ≅ SI 1. Given XI ≅ YE 2. IE ≅ IE 2. Reflexivity 3. XE ≅ YI 3. By addition 4. ∆XOE ≅ ∆ YSI 4. SSS congruence 5. ∠ O ≅ ∠ S 5. CPCTC 4. Proof: Statement Reason 1. ∆PNQ and ∆ TNQ 1. Given are isosceles ∆ 2. PN ≅ PQ, TN ≅ TQ 2. Definition of isosceles 3. PT ≅ PT 3. Reflexivity 4. ∆PNT ≅ ∆ PQT 4. SSS congruence 5. ∠ PNQ ≅ ∠ TNQ 5. CPCTC
  • 383.
    23 5. Proof: Statement Reason 1.HE is the ⊥ bisector of BC 1. Given 2. BE ≅ CE 3. Definition of ⊥ bisector 3. HE ≅ HE 2. Reflexivity 4. ∆HEB ≅ ∆HEC 4. LL congruence 5. ∠ B ≅ ∠ C 5. CPCTC 6. Proof: Statement Reason 1. CG ≅ EG, FG ≅ HG 1. Given 2. ∠ FGC ≅ ∠ HGE 2. Vertical ∠ s are ≅ 3. ∆FGC ≅ ∆HGE 3. SAS 4. ∠ C ≅ ∠ E 4. CPCTC 7. Proof: Statement Reason 1. RP ≅ SP 1. Given 2. PQ ≅ PQ 2. Reflexivity 3. ∆PRQ ≅ ∆PSQ 3. HyL congruence 4. RQ ≅ SQ 4. CPCTC 8. Proof: Statement Reason 1. ∠ 1 ≅ ∠ 2 1. Given 2. ∠ RSP ≅ ∠ TPO 2. Supplements of ≅ ∠ s are also ≅ 3. O is the midpoint of SP 3. Given 4. SO ≅ PO 4. Definition of midpoint 5. ∠ SOR ≅ ∠ POT 5. Vertical ∠ s are ≅ 6. ∆ SOR ≅ ∆ POT 6. ASA congruence 7. RO ≅ TO 7. CPCTC
  • 384.
    24 9. Proof: Statement Reason 1.LO ≅ MO 1. Given 2. ∠ LOJ ≅ ∠ MOK 2. Vertical ∠ s are ≅ 3. ∆LOJ ≅ ∆MOK 3. LA congruence 4. ∠ J ≅ ∠ K 4. CPCTC 10. Proof: Statement Reason 1. PQ ≅ RS 1. Given ∠ QPR ≅ ∠ SRP 2. PR ≅ PR 2. Reflexivity 3. ∆QPR ≅ ∆SRP 3. SAS congruence 4. SP ≅ QR 4. CPCTC
  • 385.
    Module 1 Geometry ofShape and Size What this module is about This module is about undefined terms and angles. As you go over the exercises you will learn to name the real-world objects around you that suggest points, lines and planes. You will develop skills in naming a point, a line and its subsets. You will also learn to name the parts of an angle and determine its measure in degrees. What you are expected to learn This module is designed for you to: 1. describe the ideas of • point • line • plane 2. name the subsets of a line • segment • ray 3. name the parts of an angle 4. determine the measure of an angle using a protractor 5. illustrate different kinds of angles • acute • right • obtuse How much do you know Identify the term described. 1. It has no length, width, or thickness. 2. It has length but no width and no thickness. 3. It is a flat surface that extends infinitely in all directions. 4. It is the union of two noncollinear rays with a common endpoint. 5. It is an instrument used to determine the approximate measure of an angle.
  • 386.
    2 2 6. An anglewith a measure greater than 0 but less than 90 7. It is a subset of a line with two endpoints. 8. An angle with a measure greater than 90 but less than 180. 9. The geometric figure suggested by the ceiling of your room. 10.It is the intersection of two distinct planes. What you will do Lesson 1 Undefined Terms The three undefined terms are point, line and plane. These three undefined terms form the foundation of geometry. Although they will not be defined they will however be used in defining other important terms. For example, space is defined as a set of all points. A point is an exact location in space. It has no length, width or thickness. It is represented by a dot. Look at the tip of your pen. It suggests a point. A point is named by using a capital letter. The points below are named points P, Q and R respectively. • P • Q • R A line has infinite length, but no width and no thickness. It is an infinite set of points that extends infinitely in opposite directions. The pen or pencil you are holding right now is a real world object that suggests a line. A line is represented by . The arrow suggests that the line continues without end in both directions. You can name a line in two ways. One way of naming a line is by using two different capital letters. Observe the line below. It is named line AB written as AB . The double- headed arrow placed over AB indicates that the line has no endpoints. A B • • Example: Give six names for the line below. S T U • • • Answers: ST, TS, TU, UT, SU, US
  • 387.
    3 3 The second methodof naming a line is by using a small letter. The line below is named line m. m Like a line, a plane is also a set of infinite points. However, a plane has infinite width and length but no thickness. It is a flat surface that extends infinitely in all directions. The top of your dining table, the wall of your room and even a page of this module are examples of real-world objects that suggest planes. A slanted four sided figure similar to the one below is used to represent a plane. You can name a plane in three ways. You may use a capital letter placed at one of its corners. The plane below is named plane P. P You may use a small letter placed at one of its corners. The plane below is named plane m. m You may named it by using three points not on a straight line. The plane below is named plane PRQ. • P • Q • R
  • 388.
    4 4 The three pointsbelow are collinear. Points are collinear if they are on the same line. D E F • • • Example: List all sets of three collinear points in the figure. • D A C • • • B • E Answers: : A, B, C and D, B, E Consider the three points below. It is not possible to draw one straight line through the three points A, B and C. These three points are non collinear points. • A •B • C In the figure below, points A, B, and C are in the same plane. Points such as points A, B, and C, which are in the same plane are called coplanar points. In the same figure, points A, B, C and D are not coplanar because they do not lie in the same plane. Points A, B, C lie in plane P, whereas point D lies in plane Q. P Q A • •D B• C•
  • 389.
    5 5 The following statementsdescribe some basic relationships among points, lines and planes 1. Two points determine exactly one line. . a. Through two different points B and C below, you can draw one and only one line. B C • • In geometry, line means straight line. b. It is not possible to draw more than one straight line through given two points. In the following illustration, there is only one straight line that passes through points C and D. The other line is a curve line. C D • • 2. Three collinear points are contained in at least one plane. . R • A Q • B P • C In the figure, points A, B, and C are collinear. They lie in plane P, plane Q and plane R. In fact they can be contained in an infinite number of planes. 3. Three non collinear points are contained in exactly one plane. Q •E P •D F• In the figure, points D, E, and F are not collinear. They are contained in exactly one plane P.
  • 390.
    6 6 4. The intersectionof two distinct lines is a point. In the figure, line m and line n intersect and their intersection is point A. m A n 5. The intersection of two distinct planes is a line. In the figure below, planes P and Q intersect and their intersection is line AB. Q A B P 6. If two points are in a plane, then the line containing the points is in the same plane. If the two points A and B are in plane P, then the line l which contains them lies also in plane P. A B l • • P 7. A line and a point not on the line are contained in exactly one plane. In the figure, point A does not lie on line BC. This point and line BC are contained in one plane P. This is the same as saying they determine exactly one plane P. C • A B P • •
  • 391.
    7 7 8. Two intersectinglines are contained in exactly one plane. Example: Lines a and b which intersect at point P are contained in exactly one plane Q. There is no other plane that can contain them. a P b Q 9. If a line not contained in a plane intersects the plane, the intersection is a single point. In the figure, plane P does not contain line m. The intersection of line m and plane P is a single point Q. m Q P Try this out Set A. Determine the undefined term suggested by each of the following. 1. the tip of a pencil 2. the top of a coffee table 3. telephone wires 4. the wall of a room 5. the surface of the page of a book 6. the ruler’s edge 7. the tip of a needle 8. a window pane
  • 392.
    8 8 9. the floorof your bedroom 10.the string on a guitar Set B. Write True or False Use the three-dimensional figure below for exercises 1-10. A F I E J D B H G C 1. Points A, F, B are collinear. 2. Points A, E, B are collinear 3. Points B, G and C are on the same line 4. Points G, C, D are not on the same line. 5. Points A, I, H are coplanar. 6. Points A, F, G are coplanar. 7. Points A, F, G , E are coplanar. 8. Points A, F, B, G are coplanar. 9. Points A. I, C are collinear and coplanar. 10.Points A, F, C are collinear and coplanar. Set C. Complete the following statements. 1. A ______ is an exact location in space. 2. A ______ has infinite length but no width and no thickness. 3. A ______ has infinite width and length but no thickness. 4. Two points determine exactly one ______ 5. Three _________points are contained in at least one plane. 6. Three _________points are contained in exactly one plane. 7. The intersection of two distinct planes is a ________. 8. The intersection of two distinct lines is a ________. 9. Two intersecting lines determine a _________. 10. If a line not contained in a plane intersects the plane, the intersection is a single _____.
  • 393.
    9 9 Lesson 2 The Subsetsof a Line The subsets of a line are segment and ray. A segment has two endpoints. It is named by its endpoints. The segment below may be named AC or CA. A vinculum is placed above its name to distinguish it from the name of a line where the same letters are used. A C • • Example: Write the name of each segment. E F M N a. • • b. • • Answers: a. EF or FE b. MN or NM The length of a segment is the distance between its endpoints. Example: If the distance between points C and D below is 9 cm. then the length of segment CD is 9 cm. This is written as CD = 9 cm. Notice that there is no vinculum above CD. C D • • A segment may be defined as the union of points A, C together with all the points between them. Illustration: A B C • • • In the above segment, A and C are the endpoints of the segment. There are points between A and C. These points together with the endpoints A and C make a segment. In the above figure, point B is just one of the points between A and C.
  • 394.
    10 10 A point suchas point B above is between point A and C if and only if (1) A, B, and C are distinct points, (2) they are collinear and (3) AB + BC = AC. These three conditions must be satisfied before it can be said that B is between A and C. The word distinct in the first condition means that the three points are different from one another. Examples: 1. Draw points C, D, and E on a line. How many different segments are determined? Name them. C D E • • • Answers: CD, DE, CE 2. If AB =5 cm, BC = 7 cm, and AC = 12 cm. Is B between A and C? A B C • • • In the figure, A, B, and C are different points on the same line. The sum of the lengths of AB and BC is equal to the length of AC. AB + BC = AC 5 cm + 7 cm = 12 cm Since the three conditions are satisfied, therefore B is between A and C. Example: Is F in the figure below between E and G? F• E • • G In the figure , points E, F and G are not collinear, hence F is not between point E and point G. Also, EF + FG ≠ EG. A ray is a subset of a line that has one endpoint and extends forever in one direction.
  • 395.
    11 11 Example: The part ofthe line from point B that goes on indefinitely to the right is a ray. The part of the line from point B that goes on indefinitely to the left is another ray. A B C l • • • The ray which starts from point B that goes on indefinitely to the right is named ray BC denoted by BC. Its endpoint is B. Notice that when you name a ray, you use two capital letters, and its endpoint is written first. The other ray in the above figure is ray BA, denoted by BA. Example: Write a name for each figure. J K N M a. • • b. • • Answers: a. JK b. MN Another term you should learn in this lesson is the term opposite rays. Two rays are opposite if they are subsets of the same line and have a common endpoint. A B C • • • BC and BA are opposite rays. They are parts of the same line l and their common endpoint is B. F G E D • • • • DE and FG are not opposite rays because they are not subsets of the same line. A B C D l • • • • BA and CD are not opposite rays because they do not have a common endpoint. Example: D Name all the points, segments and rays in the figure. Answers: A B C The points are A, B, C, and D. The segments are AB, BC, AC, and BD. The rays are BA, BC, and BD
  • 396.
    12 12 Try this out SetA: Use the figure below for exercises nos. 1-10 A B C D • • • • 1. Name the ray with endpoint at B going in the direction of D. 2. Name the ray with endpoint at C going in the direction of A. 3. Name the segment joining point B with point D. 4. Give two opposite rays with common endpoint C. 5. What is the intersection of ray BD and ray CA? 6. Name the ray opposite BC. 6. Name the ray opposite CA. 7. What point is between points B and D? 8. Give another name for BC 9. Give another name for CB Set B Write true or false Use the following figure C• A B D E • • • • 1. AB + BD = AD 2. AB + BE = AE 3. AC + CD = AD 4. B is between A and D 5. C is between B and D 6. A, B, C, D are collinear 7. AB = AD – BD 8. DE and BA are opposite rays. 9. Ray BE can be named BD. 10.Ray DA can be named AD. Set C Fill in the blanks 1. A segment has _________endpoints
  • 397.
    13 13 2. A __________isa subset of a line with one definite endpoint and extends infinitely in one direction. 3. _________are two collinear rays with a common endpoint. Use the figure at the right for exercises nos. 4-8 • • • C D E 4. CD + ______ = CE. 5. The ray opposite DE is ________ 6. The ray with endpoint C going in the direction of D is _________ 7. The ray with endpoint E going in the direction C is __________ 8. The point between two other points is ________. 9. If two points P and Q are exactly the same point, then the distance between them is ______ 10. The endpoint of each ray in the figure is _______ Lesson 3 Angles An angle is a union of two noncollinear rays with a common endpoint. The common endpoint is called the vertex of the angle and the two rays are called sides. Example: The figure below is an angle. Its vertex is point B and its two sides are BA and BC. The symbol used for an angle is ∠. The angle in the example can be named ∠ ABC. It can also be called ∠CBA. The letter representing the vertex is written between the other two letters. A • B • C An angle may be written in other ways.
  • 398.
    14 14 Example: Angle DFG canalso be named ∠EFG, ∠GFD, ∠GFE, ∠F and ∠a. Angle HIJ can be named ∠ 1. D • H • E • a 1 F • I • G J There are times when it is not advisable to use the vertex letter in naming an angle. Using it may result to confusion. Example: Angle ABC below may be named ∠ B A • B • C Angle ABC below should not be named ∠B. In the figure, there are three angles with vertex B. They are ∠ABC, ∠DBC and ∠ABD. A • C • B • Example: D Give three different names for the angle shown below. P • • • Answers: Q R ∠ PQR, ∠ RQP, ∠Q An angle separates a plane into three sets: the points on the angle, the interior of the angle, and the exterior of the angle.
  • 399.
    15 15 Example: In the figure,points T and S are on ∠ABC.. Point P is in the interior and points Q and R are in the exterior of the angle. • • Q • Exterior Interior • P B • • • T C • R Exterior The Measure of an angle You can determine the measure of an angle in degrees by means of a protractor. You can do this by placing the center mark of the protractor on the vertex of the angle you want to measure and then placing the 0 degree mark on one side of the angle. Then read the number where the other side crosses the scale. You can also use a protractor in constructing an angle of a given measure. Example: Measure angle ABC below. A B C The measure of ∠ABC as indicated in the protractor is 90 degrees. This can be written in two ways. ∠ ABC = 900 (Angle ABC equals 90 degrees.) m∠ABC = 90. (The measure of ∠ABC is 90.)
  • 400.
    16 16 In this modulethe measure of an angle is always greater than 0 degree but less than 180 degrees. This restriction will be followed in this module because of the definition of an angle. Addition of Angles The measures of two or more angles can be added. Example The measure of ∠A is 500 and the measure of ∠ B is 600. Find the sum of their measures. A 500 B 600 m ∠ A + m ∠ B = 500 + 600. = 1100 Example ∠ABD and ∠CBD are two coplanar angles with a common side BD. If m ∠ ABD = 40 and m ∠ CBD = 30, find the measure of angle ABC. A D 400 B 300 C m ∠ ABD + m ∠ CBD = 400 + 300 = 700 Example: If m∠ABC = 120, m∠ABD = 2x + 10, and m∠CBD =3 x [Use the preceding figure] Find m∠ABD.
  • 401.
    17 17 m∠ABD + m∠CBD= m∠ABC 2x + 10 + 3x = 120 2x + 3x = 120 – 10 5x = 110 x = 22 2x + 10 = 2(22) + 10 = 44 + 10 = 54 Kinds of Angles There are three kinds of angles according to measure. They are the following. 1. Acute angle- is an angle with a measure grater than 0 but less than 90. ∠ABC below is an acute angle. A 450 C B 2. Right angle- is an angle with a measure of 90. ∠ABC below is a right angle. D E F The symbol in the corner of a right of the figure indicates that the measure of the angle is 90. 3. Obtuse angle – is an angle with a measure greater than 90 but less than 180, G 1100 H I
  • 402.
    18 18 Try this out SetA. 1. Name the angle below in three ways. A B C 2. Which is the vertex letter in angle STG? 3. Name the three angles in the figure below. D F E G 4. What are the sides of ∠ BET? 5. What is the common side of ∠ABD and ∠CBD? 6. Into how many sets does an angle separate a plane? 7. Is the vertex of an angle in its interior? 8. How many angles are there in the figure? E A B C D 9. Is the figure below an angle? Why? Why not? A B C 10. Explain why it is not correct to name the angle below ∠ Q? P R Q S
  • 403.
    19 19 Set B. Usethe figure below for exercises 1-10. The three angles in the figure are coplanar. A D C B 1. If m∠ABD = 80 and . m∠CBD = 40, find the m∠ ABC. 2. If m∠CBD = 30 and m∠ABD = 85, find the m∠ABC 3. If m∠ABD =45.5 and m∠CBD= 44, find the m∠ABC. 4. If the m∠CBD = 30.5 and m∠ ABD = 65, find the m∠ABC. 5. If m∠ABC =110 and . m∠CBD = 40, find the m∠ ABD. 6. If m∠ABC =115 and . m∠ABD = 40, find the m∠ CBD 7. If m∠ABC =84 and . m∠CBD = 2x, and m∠ABD = 4x, find m∠ABD 8. If m∠ABC =96 and . m∠CBD = x, and m∠ABD = 2x, find m∠CBD Use a protractor for exercises 9-10 9. Construct an angle with a measure of 45 degrees. 10.Construct an angle with measure of 125 degrees. Set C. Use the figure below for exercise 1 –3. A • D • • F • K •G • • • B E C •H 1. Name all the points in the interior of ∠ABC. 2. Name all the points in the exterior of ∠ABC. 3. Name all the points that are neither on the exterior nor interior of ∠ABC. Use the figure below for exercises 4-6 E D A C
  • 404.
    20 20 In the figureBC and BA are opposite rays. 4. Name all the angles determined in the figure. 5. Tell whether the angles in the figure are acute, right or obtuse. 6. Name the two angles with the same measure. 7. In the figure below, BA, BD and BC are coplanar rays. If ∠ABC is a right angle, find x A D (3x)0 x0 B C 8. Which of the following angles is an acute angle a. b. c. 9. Using your protractor, find the measure of each angle below. a. b. 10.Draw angles with the following measures. a. 1250 c. 900 b. 350 d. 1400 Let’s summarize 1. The three undefined terms in geometry are point, line and plane. 2. A line is an exact location in space. It has no length, width or thickness. 3. A line has infinite length, but no width and no thickness. 4. A plane has infinite width and length but no thickness. 5. Two points determine exactly one line. 6. Two distinct lines intersect in only one point 7. Collinear points are points on the same line. 8. Coplanar points are points on the same plane. 9. Three collinear points are contained in at least one plane. 10.Three noncollinear point are contained in exactly one plane.
  • 405.
    21 21 11.The intersection oftwo distinct planes is a line 12. If two points are in a plane, then the line containing the points is in the same line. 13.A line and a point not on the line, are contained in exactly one plane. 14.Two intersecting lines are contained in exactly one plane. 15.If a line not contained in a plane intersects the plane, the intersection is a single point. 16.A segment is a subset of a line that consists of two endpoints and all the points between them. 17.A ray is a subset of a line with a definite endpoint and extends infinitely in one direction. 18.An angle is the union of two noncollinear rays with a common endpoint. 19.An angle separates the plane into three sets: the points in the interior of the angle, the points in the exterior of the angle and the points on the angle itself. 20.A protractor is used to measure an angle in degrees. 21.An angle with a measure greater than 0 but les than 90 is an acute angle. 22.An angle with a measure of 90 is a right angle. 23.An angle with a measure greater than 90 but less than 180 is an obtuse angle. What have you learned Multiple Choice. Choose the letter of the correct answer. 1. It is flat surface that extends infinitely in all directions. A. Point C. Plane B. Line D. rectangle 2. It is a set of points that extends forever in opposite directions. A. Point C. Plane B. Line D. Space. 3. Which of the following is false? A. Exactly one plane contains two intersecting lines. B. Two points determine a line. C. The intersection of two distinct planes is a line D. Three collinear points are contained in exactly one plane 4. Which of the following real objects suggest a point? A. The edge of the beam of a building B. The corner of the Main street and the 1st Ave. C. The floor of a newly constructed building. D. The wall of your room. 5. It is a subset of a line with a definite endpoint and extends infinitely in one direction. A. Ray C. Opposite Rays
  • 406.
    22 22 B. Segment D.Plane 6. It is the union of two noncollinear rays with a common endpoint. A. Plane C. Space B. Angle D. Segment 7. It is an angle with a measure greater than 0 but less than 90. A. Acute angle C. Obtuse angle B. Right Angle D. non of these 8. It is angle with a measure of 90. A. Acute angle C. Obtuse angle B. Right Angle D. none of these 9. Which of the following angles is obtuse? I III. II. IV. A. I only C. II only B. I and II D. I and III 10. It is used to measure an angle in degrees. A. Compass C. protractor B. Ruler D. tape measure
  • 407.
    23 23 Answer Key How muchdo you know 1. point 2. line 3. plane 4. angle 5. protractor 6. acute angle 7. segment 8. obtuse angle 9. plane 10.line Try this out Lesson 1 Set A 1. point 2. plane 3. line 4. plane 5. plane 6. line 7. point 8. plane 9. plane 10.line Set B 1. True 2. False 3. True 4. True 5. True 6. True 7. False 8. True 9. True 10.False
  • 408.
    24 24 Set C 1. point 2.line 3. plane 4. line 5. non-collinear 6. collinear 7. line 8. point 9. plane 10.point Lesson 2 Set A . 1. BC or BD 2. CA or CB 3. BD 4. CD and CA or CD or CB 5. BC 6. BA 7. CD 8. C 9. CB 10.BC, AB Set B 1. True 2. True 3. False 4. True 5. False 6. False 7. True 8. False 9. True 10.False Set C 1. two 2. ray
  • 409.
    25 25 3. opposite rays 4.DE 5. DC 6. CD or CE 7. EC or ED 8. D 9. 0 10.B Lesson 3 Set A 1. ∠ABC, ∠CBA, ∠B 2. T 3. ∠DEF, ∠GEF, ∠DEG 4. EB, ET 5. BC 6. Three sets including itself 7. No. 8. 4 9. No 10.Q is the vertex of the three angles. ∠Q may mean ∠PQR, ∠RQS, and ∠PQS Set B 1. 120 2. 115 3. 89.5 4. 95.5 5. 70 6. 75 7. 56 8. 32 9. Use your protractor 10.Use your protractor Set C. 1. F, K 2. G, H 3. A, D, B, E, C 4. ∠ABE, ∠ABD, ∠DBE, ∠EBC, ∠DBC 5. ∠ABE and ∠DBE are acute angles ∠ABD and ∠DBC are right angles ∠EBC is obtuse
  • 410.
    26 26 6. ∠ABD and∠DBC. Both are right angles with measure of 900 each. 7. 22.5 8. a 9. Use your protractor 10.Use your protractor What have you learned 1. C 2. B 3. D 4. B 5. A 6. B 7. A 8. B 9. C 10.C
  • 411.
    Module 2 GEOMETRY OFSHAPE and SIZE What this module is about There are different shapes around us. Everywhere you look, you see varied geometric figures. Many of these figures are called polygons. This module will help you be on familiar terms with them. You will also learn to distinguish types of triangles; knowledge of which will help you communicate ideas about real life situations. What you are expected to learn This module is designed to 1. illustrate different kinds of polygons and identify the parts of a regular polygon; 2. differentiate convex and non-convex polygons; 3. illustrate a triangle, its basic and secondary parts and 4. classify triangles according to angles and sides. How much do you know Select the correct answer for each question: 1. Which of the following is a polygon? a. b. c. d. 2. A pentagon is a polygon with a. 4 b. 5 c. 6 d. 7 sides 3. One of the following is NOT a convex polygon. Which one is it? a. b. c. d.
  • 412.
    2 4. In ∆ABC,AB, AC and BC are called a. sides b. interior angles c. vertices d. exterior angles 5. Using the figure at the right, BD is a /an B a. median b. altitude c. ∠ bisector d. ⊥ bisector A D C 6. In ∆DEF, m∠E = 120. ∆DEF is a. acute b. right c. obtuse d. equilateral triangle 7. It is a triangle with all sides congruent a. scalene b. isosceles c. obtuse d. equilateral 8. The figure below is a regular hexagon. ∠COD is a / an a. inscribed angle b. central angle c. obtuse angle d. interior angle C O 9. The longest side in a right triangle is known as D a. leg b. hypotenuse c. vertex d. base 10. In isosceles triangle ABC, AB = BC. AB and BC are called a. bases b. vertices c. hypotenuse d. legs 11. A polygon with no given number of sides can be named as a. dodecagon b. undecagon c. n-gon d. gon 12. The sides of a polygon is made up of a. segments b. rays c. lines d. planes 13. A line segment from a vertex of a triangle to the midpoint of the opposite side. a. altitude b. perpendicular bisector c. median d. angle bisector 14. A right triangle with congruent legs is a. equilateral b. isosceles c. scalene d. isosceles right triangle
  • 413.
    3 15. An equilateraltriangle is also isosceles. The statement is a. always true b. sometimes true c. never true d. can’t be determined What you will do Lesson 1 Different Kinds of Polygons and the Parts of a Regular Polygon The word polygon is from 2 Greek words poly (many) and gon (sides). The following are polygons: Each of the figures above is closed, made up of segments and the segments or sides intersect only at their endpoints. A polygon is a closed figure made up of segments that intersect at their endpoints and no two consecutive segments are collinear. Each line segment is a side of the polygon and each endpoint is a vertex. The following are NOT polygons: The figure is made up of segments but it is not closed The figure is closed but not entirely made up of segments Curved portion The figure is closed but it is curved
  • 414.
    4 The figure isclosed, made up of segments but 2 sides intersect at another segment. The intersection should be at the endpoints only. Look at the figures below. Can you identify the parts/portion that are polygons? Polygons have special names depending on their number of sides. Name of polygon Number of sides Triangle 3 Quadrilateral 4 Pentagon 5 Hexagon 6 Heptagon 7 Octagon 8 Nonagon 9 Decagon 10 Examples: Triangle Quadrilateral Pentagon Hexagon Heptagon Octagon Nonagon Decagon
  • 415.
    5 11 – gon24 - gon Polygons with more than 10 sides are often referred to as 11-gon, 12-gon, 13-gon and so on. When the number of sides is not given, the polygon is simply called n-gon. Drawing Tip: To draw a polygon easily, Step 1: Lightly sketch a circle. Step 2: Place the points you need on the circle. Step 3: Then connect the points to form your polygon. Step 4: Erase the circle. . . . . . . . . . . . . . . . . Step 1 Step 2 Step 3 Step 4 Regular Polygons: Polygons with equal sides and equal angles are called regular polygons. Study the following illustrations: I II Equal sides equal sides and = angles not equal angles 60 0 60 0 III IV equal angles equal sides not = sides equal angles
  • 416.
    6 Figures I andIV are regular polygons. A regular polygon has the following parts: A B Vertex angle F o C Exterior angle central angle E D G ABCDEF is a regular polygon. All sides are equal and all angles have the same measure. Vertex Angle A vertex angle is an angle formed by the intersection of two sides of the polygon. ∠B is a vertex angle. ∠C is also a vertex angle. Can you name 4 more vertex angles? They are ∠D, ∠E, ∠F, and ∠G. Central Angle ∠COD is a central angle because the center of the polygon is also the vertex of the angle. Name some more central angles. There are more than 6. When you name them, be sure that the middle letter is O. Exterior Angle If you extend one side of the polygon, you form an exterior angle. In the above figure, ∠CDG is an exterior angle. Let’s have some more exterior angles: 1 4 5 8 2 3 6 7 Lesson 2 Differentiate convex and non-convex polygons Polygons are also classified as convex and non-convex. Let’s find out how they differ by studying these examples:
  • 417.
    7 Convex Polygons: Non-Convex Polygons: Apolygon is convex if a segment joining any two interior points lies completely within the polygon. within outside convex non-convex Try this out A. Which of the following is a polygon? 1 2 3 4 5 6 7 B. Tell whether the polygon is convex or non-convex: ___________ ___________ ___________ ___________ _________ ___________ ___________ ___________ ___________ _______
  • 418.
    8 C. Name thepolygon: 1 2 3 4 5 6 7 8 D. If possible, draw a polygon that fits each description 1. A regular quadrilateral. 2. A non-convex pentagon 3. An equilateral octagon. 4. An equilateral nonagon. 5. A convex 15-gon Let’s summarize 1. A polygon is a closed figure made up of segments that intersect at their endpoints and no two consecutive segments are collinear. 2. Each line segment is a side of the polygon and each endpoint is a vertex. 3. Polygons are named based on the number of their sides 4. Polygons with equal sides and equal angles are called regular polygons. 5. A polygon is convex if a segment joining any two interior points lies completely within the polygon. Lesson 3 A Triangle. Its Basic and Secondary Parts You have learned that the triangle is the simplest polygon because it has the least number of sides. But how do we name triangles? Triangles are named by using the letters at their vertices. Starting from any vertex, go clockwise or counterclockwise.
  • 419.
    9 Examples: A Clockwise naming oftriangle C B Triangle ABC is the same as ∆BCA, ∆CAB. A Counterclockwise C B ∆ACB = ∆CBA = ∆BAC. The basic parts of a triangle are sides, vertices and angles. 1. The sides of ∆ABC are AB, BC, and AC. A Side AC side AB C B Side BC 2. The vertices are the endpoints A, B, and C. A vertex A vertex C vertex B C B 3. The angles. Can you name the 3 angles of the figure below?
  • 420.
    10 They are ∠ABC,∠BCA, and ∠CAB. A ∠CAB C B ∠ACB ∠CBA Name Triangle I and II in different ways and then complete the table below. P I II Q S R Name Sides Vertices Angles Triangle I ∆QPR,__,__ QP,__,__ Q,__.__ ∠PQR,__,__ Triangle II ∆PSR,__,__ PS,__,__ P,__,__ ∠PSR,__,__ Secondary parts of a triangle a. Median A median is a segment whose endpoints are a vertex of a triangle and the midpoint of the opposite side. (A midpoint divides a segment into two equal segments). P P P S T Q V R Q R Q R PV is a median of ∆PQR. V is the midpoint of QR. QS is a median of ∆PQR. S is the midpoint of PR. RT is a median of ∆ PQR. T is the midpoint of PQ.
  • 421.
    11 b. Altitude An altitudeis a segment from a vertex of the triangle perpendicular to the opposite side or to the line containing the opposite side. (Perpendicular means the two segments form a right angle). X U X Y U Y V X V U V Y In all the figures above, XY is an altitude. c. Angle Bisector M C C M C M MC bisects angle M in all the triangles above. MC is called angle bisector. You will notice that a triangle has 3 medians, 3 altitudes and 3 angle bisectors. If the triangle is equilateral, the median is the same as the angle bisector and altitude. See the figure below: C J K L
  • 422.
    12 Lesson 4 Classification oftriangles according to sides and angles Triangles are classified by their sides into 3 categories: 1. Scalene – all sides have different lengths 2. Isosceles – 2 sides have the same length 3. Equilateral – all 3 sides have the same length 10 7 8 scalene ∆ isosceles ∆ equilateral ∆ Triangles are classified by their angles into 3 categories: 1. Acute ∆ - all 3 angles are acute 2. Right ∆ - one angle is right 3. Obtuse ∆ - one angle is obtuse All angles are acute Acute ∆ 600 600 600 An acute triangle is equiangular if all 3 angles have the same measure. Right angle Right ∆
  • 423.
    13 Obtuse angle Obtuse ∆ Partsof special triangles: Triangle MON is an isosceles triangle. M Vertex angle leg base angle O N Base Legs – the congruent sides Base – the third side Vertex angle – the angle opposite the base Base angles – the angles at the base Triangle ACB is a right triangle A Hypotenuse legs C B Hypotenuse – the longest side; the side opposite the right angle Legs – the sides forming right angle Try this out A. Using the figure at the right, identify the following. A 1. AB, AC, BC 2. C, B, A 3. AE F D 4. BD 5. CF B C E
  • 424.
    14 B. Match eachtriangle with all words that describe it: a. scalene b. isosceles c. equilateral d. acute e. right f. obtuse g. equiangular (1) (2) (3) 600 6 1000 8 600 600 500 300 9 (4) (5) C. Tell if each statement is true or false. Draw a figure to justify your answer. 1. A triangle can be isosceles and acute. 2. A triangle can have two obtuse angles. 3. A triangle can be obtuse and scalene. 4. A right triangle can be equilateral. 5. A triangle can be right and isosceles. 6. A triangle can have two right angles. 7. A triangle can have at most 3 acute angles. 8. A triangle can have at least one (1) acute angle. 9. An equilateral triangle is also an acute triangle. 10. An equiangular triangle can never be a right triangle. Tessellations A tessellation is a design in which congruent copies of a figure are arranged to fill the plane in such a way that no figures overlap and there are no gaps.
  • 425.
    15 Examples: Try to makea tessellation for each figure below. Which figure could not be used for tessellation? You can also combine figures to make a tessellation: To make an original pattern for a tessellation, start with a parallelogram. Make congruent changes on one or both pairs of sides:
  • 426.
    16 Let’s summarize 1. Thebasic parts of a triangle are sides, angles and vertices while the secondary parts are median, altitude and angle bisector. 2. A median is a segment whose endpoints are a vertex of a triangle and the midpoint of the opposite side. 3. An altitude is a segment from a vertex of the triangle perpendicular to the opposite side or to the line containing the opposite side. 4. Triangles are classified according to sides and angles. a. Scalene – all sides have different lengths b. Isosceles – 2 sides have the same length c. Equilateral – all 3 sides have the same length d. Acute ∆ - all 3 angles are acute e. Right ∆ - one angle is right f. Obtuse ∆ - one angle is obtuse What have you learned Select the correct answer for each question: 1. Which of the following is a polygon? a b c d 2. A heptagon is a polygon with a. 4 b. 5 c. 6 d. 7 sides 3. One of the following is NOT a convex polygon. Which one is it? a b c d 4. In ∆ABC, A, C and B are called a. sides b. interior angles c. vertices d. exterior angles
  • 427.
    17 5. Using thefigure at the right, BD is a /an B a. median b. altitude c. ∠ bisector d. ⊥ bisector A D C 6. In ∆DEF, m∠E = 90. ∆DEF is a. acute b. right c. obtuse d. equilateral triangle 7. It is a triangle with all angles congruent a. scalene b. isosceles c. obtuse d. equiangular 8. ∠CBA is a B A a. inscribed angle b. central angle C O c. obtuse angle d. vertex angle D 9. The longest side in a right triangle is known as a. leg b. hypotenuse c. vertex d. base 10. In isosceles triangle ABC, AB = BC. AB and BC are called a. bases b. vertices c. hypotenuse d. legs 11. A polygon with no given number of sides can be named as a. dodecagon b. undecagon c. n-gon d. gon 12. The sides of a polygon is made up of a. segments b. rays c. lines d. planes 13. A line segment from a vertex of a triangle to the midpoint of the opposite side. a. altitude b. perpendicular bisector c. median d. angle bisector 14. A right triangle with congruent legs is a. equilateral b. isosceles c. scalene d. isosceles right triangle 15. An isosceles triangle is also equilateral. The statement is a. always true b. sometimes true c. never true d. can’t be determined
  • 428.
    18 Answer Key How muchdo you know 1. C 2. B 3. A 4. A 5. B 6. C 7. D 8. B 9. B 10. D 11. C 12. A 13. C 14. D 15.A Try this out Lesson 2 A. 1. Polygon 2. not 3. not 4. not 5. Polygon 6. Polygon 7. not B. 1. non-convex 2. convex 3. non-convex 4. convex 5. non-convex 6. non-convex 7. non-convex 8. convex 9. convex 10.non-convex
  • 429.
    19 C. 1. Nonagon 2. Heptagon 3.Quadrilateral 4. Octagon 5. Heptagon 6. Pentagon 7. Hexagon 8. Quadrilateral D. 1. Draw a square 2. Any 5-sided polygon that is not convex 3. 4. – 5. Refer to the drawing tip Try this out Lesson 4 A. 1. Sides 2. Vertex / vertices 3. altitude 4. angle bisector 5. median B. 1. isosceles right triangle 2. scalene right triangle 3. isosceles acute triangle 4. equilateral / equiangular 5. scalene obtuse triangle C. 1. true 2. false
  • 430.
    20 3. true 4. false 5.true 6. false 7. true 8. false 9. true 10. true What have you learned 1. B 2. D 3. C 4. C 5. B 6. B 7. D 8. D 9. B 10. D 11. C 12. A 13. C 14. D 15. C
  • 431.
    Module 3 Quadrilaterals What thismodule is about This module is about Quadrilaterals. As you go over the exercises, you will develop skills in identifying Quadrilaterals and their parts and ability to appreciate their application in daily life. Treat the lesson with fun and take time to go back if you think you are at a loss. What you are expected to learn This module is designed for you to learn 1. illustrate a Quadrilateral and its parts 2. illustrate the different kinds of Quadrilaterals How much do you know? Write the letter of the correct answer Z E Y N O 1. Quadrilateral ZENY is a ____. a. parallelogram b. trapezoid c. trapezium d. rectangle 2. A diagonal of quadrilateral ZENY is ____. a. ZE b. ZN c. ZO d. ZY 3. Y∠ is opposite angle ____. a. Z∠ b. E∠ c. N∠ d. O∠ 4. DH & ET are the ____ of the Quadrilateral DETH a. median b. altitude c. bases d. legs 5. If BH ET≅ then BETH is a/an ____. a. rectangle b. trapezium c. isosceles trapezoid d. square 6. BH ET≅ are the _____ of Quadrilateral BETH. a. legs b. bases c. median d. altitude
  • 432.
    7. whish isthe median of quadrilateral DETH a. BH b. MP c. EA d. DH 8. What kind of parallelogram is quadrilateral DETH? a. rhombus b. square c. parallelogram d. rectangle 9. Using the figure at the right which is a rhombus? a. ACGH b. CEFG c. BDGH d. AEFH A B C D E H G F 10.Which is a rhombus and a rectangle? a. AEFH b. CEFG c. ACGH d. BDGH What you will do Lesson 1 Identifying and Naming Quadrilaterals. A quadrilateral is a polygon of four sides Example: M O D E O O L A D E R P M E You ca name a quadrilateral by its vertices. The order of vertives is very important. You read or write the four letters clockwise or counterclockwise. Examples: R O You can name a quadrilateral at the Right as. ROSE or OSER or SERO or EROS Or RESO or ESOR or SORE E S The name of this quadrilateral can be: K L
  • 433.
    KLMN or LMNKor MNKL or NKLM Or NMLK or MLKN or LKNM or KNML N M Try this out. A. Which of the following is a quadrilateral or not. 1) 3) 5) 2) 4) 6) 7) 9) 8) 10) B. Name the following quadrilaterals. C 1) O 2) H O D L E P 3)B E 4) O P H A T S 5) A L R 6) B M A Y Y 7)M A 8)A B
  • 434.
    Y N DC 9) O R 10) S P R Q S E C. Name & Identify the Quadrilaterals in the figure. A B C D EEE hhhdhjhsjsjj Name 10 Quadrilaterals.
  • 435.
    Lesson 2 Parts ofa Quadrilateral A quadrilateral has the following parts: 4 sides 4 vertices 4 angles 2 diagonals You can take a look on quadrilateral LOVE • the sides are: LO , OV , EV , LE • the vertices are: L, O, V, E • the angles are L∠ , O∠ , V∠ , E∠ • the diagonals are LV & OE diagonals are segments joining opposite vertices. The vertices E and O; L and V are opposite vertices. Vertices L and O, O and V, V and E, E and L are consecutive vertices. Two sides with a common vertex like LO and OV are consecutive sides. So, OV and VE , VE and EL , EL and LO are other pairs of consecutive sides. On the otherhand, LO and EV , OV and LE are opposite sides. Two angles with a common side like L∠ and O∠ are consecutive angles, the others are O∠ and V∠ , V∠ and E∠ , E∠ and L∠ , on the other hand, E∠ and O∠ ; L∠ and V∠ are opposite angles. Try this out A. Using quadrilateral COLA, identify 1. two pairs of opposite vertices 2. two pairs of opposite angles 3. two pairs of opposite sides 4. one pair of diagonals 5. four pairs of consecutive vertices 6. four pairs of consecutive angles 7. four pairs of consecutive sides 8. four sides of quadrilateral POEM 9. four angles of quadrilateral POEM E M P L O O E V C LA O
  • 436.
    10. two diagonalsthat can be drawn in quadrilateral POEM B. Fill the blanks: 1) ______ the vertex opposite S 2) ______ is the opposite side of PS 3) Q∠ is opposite _________ 4) PQ and QR are _______ sides. 5) The diagonals that can be drawn are QS and ______ 6) BC and CD are ___________ sides. 7) B and C are consecutive vertices, B and _____ are also consecutive vertices. 8) AC and _____ are the diagonals of quadrilateral ABCD. 9) A∠ and D∠ are ______ angles. 10) A∠ and _____ are opposite angles. C. Choose the letter of the correct answer. Use quadrilateral D E T H 1. How many diagonals has quadrilateral DETH? a. one b. twoc. three d. four 2. The sides of quadrilateral DETH are DH , HT , TE and ______ a. HE b. DT c. DE d. DO 3. LH∠ is opposite of what angle? a. E∠ b. D∠ c. T∠ d. O∠ 4. The opposite side of ET is _________ a. DO b. DE c. HT d. DH 5. The diagonals of quadrilateral DETH are _________ a. DO & OT b. HE & DT c. DH & ET d. DE & HT Given: quadrilateral PQRS 6. How many vertices are there in Quadrilateral PQRS? ED A D C B RS QP O H I Q R SP
  • 437.
    a. one b.twoc. three d. four 7. A pair of consecutive sides is PQ and ______ a. QR b. RS c. PR d. QS 8. A pair of opposite vertices is P and ______ a. R b. Q c. S d. M 9. How many pairs of opposite s∠ has quadrilateral PQRS? a. one b. twoc. three d. four 10. How many pairs of consecutive sides has quadrilateral PQRS? a. one b. twoc. three d. four
  • 438.
    Quadrilateral Trapezium ParallelogramTrapezoid Lesson 3 Parallels& Perpendiculars Kinds of Quadrilaterals As you can see the diagram of the different kinds of quadrilaterals, you can notice the characteristics of the sides of each quadrilateral. Before you proceed to the definition of each quadrilateral, you must know first the meaning of the following: i. parallel lines two lines are parallel if they are coplanar and they do not meet. ii. perpendicular lines two lines are perpendicular if they intersect and form a right angle. Examples:
  • 439.
    A B C D L1L2 X SR Y O N A 1.two lines are parallel if they are coplanar and they do not meet. 2. l1 is parallel to l2. In symbol l1 // l2 3. If XY intersects RS at O and XOS∠ is a right angle, then XY is perpendicular to RS , in symbol: XY ⊥ RS 4, If MAN∠ is a right angle, then ANAM ⊥ Try this out.
  • 440.
    A. Which ofthe following seem to be parallel? Write yes if it is and no if not. 1) 7) 2) 8) 3) 9) 4) 10) 5) 6) B. Write parallel or perpendicular.
  • 441.
    K L 1) 4) 2) 5) 3) 6)A pair of lines of your pad paper 7) The corner of the blackboard 8) Railroad tracks 9) The grills 10) A pair of consecutive sides of a picture frame C. Are we parallel or perpendicular? 1) Two lines on a plane which do not meet. 2) Two intersecting lines which form a right angle. 3) 4) BDAB & 5) EHFG & 6) FGKI & I J GF E HA B C D
  • 442.
    7) TUPT & 8)PSQR & 9) TUPV & 10) BOBY & P V Q RS T U B O DY
  • 443.
    Lesson 4 Kinds ofQuadrilaterals 1. Trapezium If a quadrilateral has no parallel sides, then it is a trapezium. MORE is a trapezium. 2. Trapezoid If a quadrilateral has exactly a pair of parallel sides, then it is a trapezoid. If EPHO // , then HOPE is a trapezoid. 3. Parallelogram If a quadrilateral has two pairs of parallel sides, then it is a parallelogram. If POST // and POSP // then STOP is a parallelogram. A. Identify: ______ 1. A quadrilateral whose opposite sides are parallel. ______ 2. A quadrilateral with no parallel sides. ______ 3. A quadrilateral with a pair of parallel sides. ______ 4. Quadrilateral WHEN. D R EM H O PE O TS P W H N E
  • 444.
    ______ 5. QuadrilateralCOLD. ______ 6. Quadrilateral SORE ______ 7. Quadrilateral PEAS ______ 8. Quadrilateral TOME ______ 9. Quadrilateral PEAK ______ 10. Quadrilateral LOAF C O LD C O LD S O RE XX X X X X P S E A T O ME X X X X RE X S A T OX P E AK ME X RE X S A T OX L O A F
  • 445.
    B. Select thecorrect word from the set (trapezium, trapezoid, parallelogram) 1. quadrilateral DETH 2. quadrilateral DANS 3. quadrilateral SNLU 4. quadrilateral LOVU 5. quadrilateral JMRK 6. quadrilateral OMPV 7. quadrilateral RWCR 8. quadrilateral WGFC 9. quadrilateral PWGY 10. quadrilateral TERY C. Draw the following figures: 1. trapezium ZENY 2. trapezoid BETH 3. parallelogram LOVE 4. parallelogram with diagonals BWDL & 5. trapezoid with diagonals MCIE & A N D S H T Y H G F E U V R P W C L O M R Q KJ
  • 446.
    Two tents arefixed above. Give me: 6. 7. three parallelograms 8. 9. 10. A E D F B C H G J H K L N M Two trapezoids
  • 447.
    Module 4 Geometry ofShape and Size What this module is about This module is about polygons, specifically angles of the polygon. This module will teach you how to find the sum of the interior angles of the polygon. You will also discover other interesting facts about the interior and exterior angles of the polygon. You can also form your own generalization regarding the sum of the measures of the interior and exterior angles of a convex polygon. What you are expected to learn This module will help you: 1. Determine the sum of the measures of the interior and exterior angles of the triangle. 2. Determine the sum of the measures of the interior and exterior angles of a quadrilateral. 3. Make generalizations on the sum of the measures of the interior and exterior angles of a polygon. How much do you know 1. What is the measure of each angle of an equilateral triangle? 2. If the sum of the two angles of a triangle is 130º, what is the measure of the third angle? 3. One acute angle of a right triangle is 27º. What is the measure of the other acute angle? 4. What is the measure of an exterior angle of an equilateral triangle? 5. If the measure of the vertex angle of an isosceles triangle is 50º, what is the measure of each base angles? 6. What is the sum of the measures of the interior angles of a quadrilateral? 7. How many sides does a regular polygon have if each interior angle is 120º? 8. The measures of the four angles of a pentagon are 140º, 75º, 120º, and 115º. Find the measure of the fifth angle. 9. If the radius of the circle is 12 cm, what is the diameter of the circle? 10.What is the appropriate name of the given circle?
  • 448.
    2 What you willdo Lesson 1 Determining the Sum of the Measures of the Interior Angles of a Triangle. In any given triangle, say ∆ABC, there are three interior angles and by observation, A there are 6 exterior angles. In the given figure, 1 2 ∠ A, ∠ B, and ∠ C are the interior angles of ∆ABC. Each interior angle has two angles adjacent to it. For ∠ A, ∠ 1 and ∠ 2, for ∠ B, ∠ 3 and ∠ 4, and for ∠ C, ∠ 5 and ∠ 6. 6 3 Aside from being adjacent, ∠ 1 C 5 4 B and ∠ 2 are both supplementary to ∠ A. Those six angles which are adjacent to the interior angles of the triangle are called exterior angles of ∆ABC. Measures A of the exterior angles will be discussed in the next lesson. To get the sum of the measures of ∠ A ∠ B and ∠ C, you can use the protractor and then add the sum of their measures. There is another way of doing this. Here are the steps: C B A 1. Prepare a cut out of any triangle of any size. 2. Cut off the three angles as in the figure 3. On the given line l, align the 3 cut out angles with all the vertices coinciding with point O. 4. All three vertices should fit perfectly on one side of the line. 5. The measure in degree of the angles about a point on the same side of a line is 180. B C From the two experiment that you did, you can conclude that the m∠ A + m∠ B + m∠ C = 180. B l A C Examples: o 1. What is the measure of the third angle of a triangle if the measures of the two angles are a. 46º, 82º
  • 449.
    3 b. 51 2 1 º,67 2 1 º Solutions: Let x be the measure of the third angle a. x + (46º + 82º) = 180º x + 128º = 180º x = 180º - 128º x = 52º, measure of the third angle b. x + (51 2 1 º + 67 2 1 º) = 180º x + 119º = 180º x = 180º - 119º x = 61º , measure of the third angle P 2. The measure of one acute angle of right triangle PQR is 33º. What are the measures of the other angles? R Q Solution: Since ∆PQR and ∠ R = 90º , and ∠ Q = 33º, then ∠ P = 33º + 90º + ∠ P = 180º 23º + ∠ P = 180º ∠ P = 180º - 123º ∠ P = 57º Alternate Solution: Remember, the two acute angles of a right triangle are complementary, hence the sum of their measures is 90º. In other words, the sum of the measures of the two acute angles of a right triangle is 90. You can use this knowledge in solving the given problem. 33º + ∠ P = 90º ∠ P = 90º - 33º ∠ P = 57º A 3. In an isosceles triangle, one base angle measures 49º. Find the measures of the other two angles. Solution: Let ∆MAN be isosceles. ∠ M ≅ ∠ N m∠ M = 49º m∠ N = m∠ M = 49º M N m∠ M + m∠ N + m∠ A = 180º 49º + 49º + m∠ A = 180º 98º + m∠ A = 180º m∠ A = 180º - 98º m∠ A = 82º
  • 450.
    4 Try this out A.Given the measures of the two angles of a triangle, determine the measure of the third. 1. 36º, 70º 2. 58º, 50º 3. 90º, 25º 5. 64 2 1 º, 59º 4. 35º, 35º B. Given the measure of one base angle of an isosceles triangle, determine the measures of the other two angles. 1. 45º 4. 37 2 1 º 2. 50º 5. 63 4 1 º 3. 53º C. Given the measure of the vertex angle of an isosceles triangle, find the measure of a base angle. 1. 75º 4. 88º 2. 100º 5. 97º 3. 39º D. In a right triangle, the measure of one acute angle is given. Find the measure of the other acute angle. 1. 45º 4. 43º 2. 36º 5. 61 2 1 º 3. 52º E. Solve the following problems. 1. The measure of one acute angle of a right triangle is twice that of the other acute angle. Find the measures of the three angles. 2. Find the measures of the angles of a triangle that are in the ratio 1:2:3. 3. The vertex angle of an isosceles triangle is 15 degrees more than three times the base angle. Find the measures of all the three angles of the triangle. 4. n a triangle, one angle is ten degrees more than twice the smallest angle and the third angle is four less than three times the smallest angle. Find the measures of the three angles. 5. What are the measures of the angles of an isosceles right triangle?
  • 451.
    5 Lesson 2 Sum ofthe Measures of Exterior Angles of a Triangle. Sum of the Interior Angles of a Quadrilateral To find the sum of the measures of the exterior angles of a triangle, it is necessary to apply the previous lesson; the sum of the measures of the interior angles of the triangle is 180º. The phrase sum of the exterior angles of a triangle means you will use one exterior angle from each vertex of the triangle. Thus in the given figure, A to find the sum of the exterior angles 1 of ∆ABC, ∠ 1, ∠ 2 and ∠ 3 are the designated exterior angles. Each of the exterior angle is adjacent to one of the interior angle of the triangle. 3 2 C B Study the following procedure: m∠ A + m∠ B + m∠ C = 180 Sum of the angles of a triangle is 180 m∠ 1 + m∠ A = 180 Definition of exterior angle of a triangle m∠ 2 + m∠ B = 180 Definition of exterior angle of a triangle m∠ 3 + m∠ C = 180 Definition of exterior angle of a triangle m∠ 1 + m∠ 2 + m∠ 3 + m∠ A + m∠ B + m∠ C = 540 APE m∠ A + m∠ B + m∠ C = 180 by subtraction m∠ 1 + m∠ 2 + m∠ 3 = 360 Therefore, the sum of the measures of the exterior angles of a triangle one on each vertex is equal to 360. What about a quadrilateral? How do you get the sum of the measures of the interior angles of a four-sided polygon? Consider quadrilateral ABCD. B What is the sum of the measures of A 1 2 ∠ A, ∠ B, ∠ C and ∠ D? To determine this, draw a diagonal, say BD. Two triangles are formed, ∆ABD and ∆BCD. 4 3 D In each triangle, the sum of the C interior angles is 180.
  • 452.
    6 To determine thesum of the four angles, study the following procedures. In ∆ABD, m∠ A + m∠ 1 + m∠ 4 = 180 In ∆BCD, m∠ C + m∠ 2 + m∠ 3 = 180 m∠ A + m∠ 1 + m∠ 2 + m∠ C + m∠ 3 + m∠ 4 = 360 by APE But m∠ B = m∠ 1 + m∠ 2 and m∠ D = m∠ 3 + m∠ 4 By substitution, m∠ A + m∠ B + m∠ C + m∠ D = 360. Therefore, the conclusion is that, the sum of the measures of the interior angles of a quadrilateral is 360. How about the sum of the exterior angles of a quadrilateral? Is it the same as that of the sum of the exterior angles of the triangle? Exploration: Given the figure at the right. Quadrilateral ABCD has one exterior angle in each vertex. Those are ∠ 1, ∠ 2, ∠ 3 and∠ 4. Let us name the interior angles, ∠ A, ∠ B, ∠ C and ∠ D. To determine the sum of the measures of B ∠ 1, ∠ 2, ∠ 3 and ∠ 4, study the following steps. 1 2 A From the previous paragraph, it is known that m∠ A + m∠ B + m∠ C + m∠ D = 360. By definition of exterior angle, 4 m∠ A + m∠ 1 = 180 D 3 C m∠ B + m∠ 2 = 180 m∠ C + m∠ 3 = 180 m∠ D + m∠ 4 = 180 By Addition Property of Equality or APE (m∠ A + m∠ B + m∠ C + m∠ D) + (m∠ 1 + m∠ 2 + m∠ 3 + m∠ 4) = 720 Subtract: (m∠ A + m∠ B+ m∠ C + m∠ D) = 360 m∠ 1 + m∠ 2 + m∠ 3 + m∠ 4 = 360 Therefore, the sum of exterior angles of a quadrilateral is equal to 360. Examples: 1. The measures of the three angles of a quadrilateral are 75º, 101º and 83º. Find the measure of the fourth angle.
  • 453.
    7 Solution: Let x =the measure of the fourth angle. x + 75º + 101º + 83º = 360º x + 259º = 360º x = 360º - 259º x = 101º S 2. Given quadrilateral PRST. Using the figure, R 3x - 23 find x, m∠ P, m∠ R, m∠ S and m∠ T. 2x Solution: Write the representations for each angle. m∠ P = 2x – 10 m∠ R = 2x m∠ S = 3x – 23 2x - 10 m∠ T = x + 33 P x + 33 T Using the representations for each angle, substitute to the equation m∠ P + m∠ R + m∠ S + m∠ T = 360 (2x – 10) + (2x) + (3x – 23) + (x + 33) = 360 8x + 33 – 33 = 360 8x + 0 = 360 8x = 360 x = 8 360 x = 45 m∠ P = 2x – 10 = 2(45) – 10 = 90 – 10 m∠ P = 80 m∠ R = 2x = 2(45) m∠ R = 90 m∠ S = 3x – 23 = 3(45) – 23 = 135 – 23 m∠ S = 112 m∠ T = x + 33 = 45 + 33 m∠ T = 78 To check: m∠ P + m∠ R + m∠ S + m∠ T = _____ 80 + 90 + 112 + 78 = 360
  • 454.
    8 Try this out A.Use the given information to find the measure of each 4 5 numbered angle in the figure. ∠ 1 ≅ ∠ 5. 1. m∠ 2 = 106, m∠ 6 = 85 2. m∠ 1 = 43, m∠ 7 = 112 3. m∠ 2 = 115, m∠ 4 = 31 1 2 3 6 4. m∠ 5 = 51, m∠ 3 = 72 7 B. In the figure, determine the measure of the numbered angles. 460 4. m∠ 1 820 5. m∠ 2 2 6. m∠ 3 1 7. m∠ 4 3 39 0 27 0 4 C. In quadrilateral MNOP, ∠ M ≅ ∠ O, M 2x–7 x + 16 N ∠ N ≅ ∠ P. Using the given in the figure, find the measures of all the angles. P O D. Use the given information to find the measures of the following angles. 3 2 41 0 5 1. ∠ 1 2. ∠ 2 3. ∠ 3 58 0 4. ∠ 4 4 45 0 75 0 5. ∠ 5 6. ∠ 6 Lesson 3 Finding the Sum of the Interior Angles and Exterior Angles of Any Polygon. To determine the sum of the measures of interior angles and exterior angles of any polygon (polygon of n sides) like the given pentagon, you have to find out the number of triangles that can be formed by drawing the diagonals without intersecting each other except at their endpoints.
  • 455.
    9 In quad ABCD,draw diagonal AC. A B With the introduction of diagonal AC, two triangles are formed. The same thing happens if diagonal BD is drawn. If the sum of the measures of the interior angles C of each triangle is 180, then for quadrilaterals, the sum of the interior angles is 360. D The polygon at the right has five (5) sides. If the diagonal is drawn from one vertex, say D, D E only two diagonals can be drawn, DF and DG . With these two diagonals, three non-overlapping H triangles are formed, ∆DEF, ∆DFG and ∆DGH. F If in each triangle, the sum of the measures of interior angles is 180, then in pentagon DEFGH, the sum of the measures of the five angles is equal to 3(180) or 540. G This findings can be summarized using the formula Sa = (n – 2) 180, where Sq is the sum of the measures of interior angles of the polygon, n is the number of sides of the polygon. This formula can be applied to convex polygons only. You also have to remember this: The sum of the measures of interior angles of a regular polygon with n sides is equal to Sa = (n – 2) 180. Regular polygons are polygons which are both equilateral and equiangular. A polygon is convex if and only if the lines containing the sides of the polygon do not contain points in its interior. To get the measure of each interior angle of a regular polygon you simply remember this. The measure of each interior angle of a regular polygon with n sides is equal to Ia = n n 180)2( − , where, Ia is an interior angle, and n is the number of sides of the polygon. If you can get the measure of each interior angle of a regular polygon, then you can also compute for the measure of each exterior angle of a regular polygon. You only have to remember these formulas. From the generalizations that you had made in the earlier part of the lesson, the sum of the measures of the exterior angle of the convex polygon is equal to 360. This includes the regular polygons too.
  • 456.
    10 The measure ofeach exterior angle of a regular polygon with n sides is given by the formula: Ea = n 360 , where Ea is an exterior angle of a regular polygon, and n is the number of sides of the polygon. Examples: 1. What is the sum of the measures of the interior angles of a convex polygon with a. 11 sides b. 15 sides Solutions: a. Sa = (n – 2) 180 = (11 – 2) 180 = 9(180) = 1620 b. Sa = (n – 2) 180 = (15 – 2) 180 = 13(180) = 2340 2. How many sides does a convex polygon have if the sum of the measures of its interior angles is 1440? Solution: Sa = (n – 2) 180 1440 = (n – 2) 180 1440 = 180n – 360 n = 180 3601440 + n = 180 1800 n = 10 The polygon has 10 sides. 3. Find the sum of the measures of the interior angles of a convex heptagon. Solution: Sa = (n – 2) 180 = (7 – 2) 180 = 5(180) = 900
  • 457.
    11 4. Find themeasure of each interior angle of a regular 11-sided polygon. Solution: Measure of each interior angle is Ia = n n 180)2( − Ia = 11 )180)(211( − Ia = 11 )180(9 Ia = 11 1620 5. How many degrees are there in each of the exterior angle of a regular hexagon. Solution: Ea = n 360 Ea = 6 360 = 60 6. If each exterior angle of a polygon is 36º, how many sides does the polygon have? Solution: Ea = n 360 36 = n 360 36n = 360 n = 36 360 n = 10 7. If each interior angle of a polygon is 150º, how many sides does the polygon have? Solution: m + 150 = 180 m = 180 – 150 m = 30 Using the figure, with m as the exterior angle of the polygon, Ea = n 360
  • 458.
    12 30 = n 360 30n =360 n = 30 360 m 150 n = 12 Try this out A. Complete the table below. Polygon No. of Sides No. of Vertices No. of Diagonals from one vertex No of triangles Sum of the Measures of interior Angles 1 Quadrilateral 2 Pentagon 3 Hexagon 4 Nonagon 5 Dodecagon 6 N-gon B. Find the number of sides in each regular polygon with exterior angle of the given measure. 1. 90º 2. 45º 3. 36º 4. 60º C. How many sides does a regular polygon have if each angle measures: 5. 120º 6. 90º 7. 135º 8. 150º D. Find the sum of the measures of the exterior angles one at each vertex, of each of the following convex polygon. 9. decagon 10. hexagon 11. octagon 12. dodecagon E. The sum of the measures of the interior angles of a polygon is given. Find the number of sides of the convex polygon. 13. 1260º 14. 1620º 15. 2520º 16. 3060º
  • 459.
    13 F. The sumof the measures of the interior angles of a regular polygon is given. Find the measure of each angle. 17. 1260º 18. 2520º 19. 3060º 20. 720º G. Solve the following problems. 62 0 21. Find y in the given figure. 68 0 y 22. The measures of the two angles of a quadrilateral are 105º and 107º. If the remaining two angles are congruent, find the measure of each angle. 23. In a convex quadrilateral WXYZ, the measure of ∠ X is twice the measure of ∠ Y. If ∠ Y ≅ ∠ Z ≅ ∠ W, find the measure of each angle. 24. The number of diagonals from a vertex in a regular polygon is 7. How many sides does the polygon have? What is the measure of each interior angle? 25. Each interior angle of a regular polygon is twice the measure of each exterior angle. How many sides does the polygon have? M N 26. In the figure, like markings indicate 420 congruent parts. Find the measure of each unknown angle. P 42 0 O A 27. ∠ ABC is a right angle, ∠ CDB is D a right angle. If the m∠ C = 32, find the measures of the following angles: ∠ A ∠ ADB ∠ ABD C B ∠ CBD S 7 28. In the given figure, RV = UV, RU = SU, 4 ST = TU, m∠ RVU = 92, m∠ STU = 106, R 6 m∠ U = 137, find the measures of all 1 the numbered angles. T 106 0 5 3 V 92 0 2 U
  • 460.
    14 Let’s summarize 1. Thesum of the measures of the interior angles of a triangle is 180. 2. The sum of the measures of the interior angles of a quadrilateral is 360. 3. The sum of the measures of the interior angles of a convex polygon is given by the formula (n -2)180, where n is the number of sides of the polygon. 4. The sum of the measures of the exterior angle one on each vertex of a polygon is 360. 5. The measure of each interior angle of a regular polygon of n sides is given by the formula Ia = n n 180)2( − , where n is the number of sides of the polygon. 6. The measure of each exterior angle of a regular polygon of n sides is given by the formula Ea = n 360 , where n is the number of sides of the polygon. What have you learned Answer each question as indicated. 1. What is the measure of each angle of a regular pentagon? 2. The sum of the measures of the two angles of a triangle is 127. What is the measure of the third angle? 3. The measure of one base angle of an isosceles triangle is 67. Find the measure of the vertex angle. A B 4. Given quadrilateral ABCD. If m∠ C = 60, and if ∠ A ≅ ∠ B, what is the m∠ D if its measure is 27 less than the measure of ∠ A. D C 5. What is the sum of the measures of the interior angles of an octagon? 6. If each interior angle of a polygon is 160º, how many sides does the polygon have?
  • 461.
    15 P Q 7. Findthe value of x using the given in the 2x + 10 3x figure x R 2x x T S 8. The angles of a triangle are in the ratio 1:3:5. Find the measures of the three angles. 9. If each interior angle of a regular polygon measures 150º, how many sides does the polygon have? 10. In the figure, ≅AN XN . If ∠ A = 62º, find the measure of ∠ 1. A 1 X N
  • 462.
    16 Answer Key How muchdo you know. 1. 60º 2. 50º 3. 63º 4. 120º 5. 65º 6. 360º 7. 6 8. 90 9. 24 cm 10.circle A Try this out Lesson 1 A. 1. 74º 2. 72º 3. 65º 4. 110º 5. 56 2 1 º B. 1. 45º, 90º 2. 50º, 80º 3. 53º, 74º 4. 37 2 1 º, 105º 5. 63 4 1 º, 53 2 1 º C. 1. 52 2 1 º 2. 40º 3. 70 2 1 º 4. 46º 5. 41 2 1 º
  • 463.
    17 D. 1. 45º 2.54º 3. 38º 4. 47º 5. 28 2 1 º E. 1. 30º, 60º, 90º 2. 30º, 60º, 90º 3. 33º, 33º, 114º 4. 29º, 68º, 83º 5. 45º, 45º, 90º Lesson 2 A. 1. m∠ 3 = 74, m∠ 4 = 53, m∠ 5 = 21, m∠ 1 = 21, m∠ 7 = 95 2. m∠ 2 = 11, m∠ 3 = 69, m∠ 4 = 26, m∠ 6 = 68, m∠ 5 = 43 3. m∠ 1 = 34, m∠ 3 = 65, m∠ 5 = 34, m∠ 6 = 81, m∠ 7 = 99 4. m∠ 1 = 51, m∠ 2 = 108, m∠ 4 = 21, m∠ 6 = 57, m∠ 7 = 123 B. 5. m∠ 1 = 114 6. m∠ 2 = 66 7. m∠ 3 = 68 8. m∠ 4 = 32 C. m∠ M = m∠ O = 2(57) – 7 = 107 m∠ P = m∠ N = 57 + 16 = 73 D. 1. m∠ 1 = 120 2. m∠ 2 = 19 3. m∠ 3 = 62 4. m∠ 4 = 15 5. m∠ 5 = 45 6. m∠ 6 = 60
  • 464.
    18 Lesson 3 A. Polygon No.of Sides No. of Vertices No. of Diagonals from one vertex No of triangles Sum of the Measures Of interior Angles 1 Quadrilateral 4 4 1 2 360 2 Pentagon 5 5 2 3 540 3 Hexagon 6 6 3 4 720 4 Nonagon 9 9 6 7 1260 5 Dodecagon 12 12 9 10 1800 6 N - gon n N N – 3 N – 2 (n – 2 )180 B. 1. 4 sides 2. 8 sides 3. 10 sides 4. 6 sides C. 5. 6 sides 6. 4 sides 7. 8 sides 8. 12 sides D. 9. 360 10. 360 11. 360 12. 360 E. 13. 9 sides 14. 11 sides 15. 16 sides 16. 19 sides F. 17. 140º 18. 157.5º 19. 161.05º 20. 120º G. 21. y = 130º 22. Each of the remaining angle measures 74º. 23. m∠ W = 72, m∠ X = 144, m∠ Y = 72, m∠ Z = 72 24. 10 sides, 144 25. 6 sides 26. m∠ N = 69, m∠ MON = 69, m∠ P = 69, m∠ PMO = 69
  • 465.
    19 27. m∠ A= 58, m∠ ADB = 90, m∠ ABD = 32, m∠ CBD = 58 28. m∠ 1 = 44, m∠ 2 = 44, m∠ 3 = 37, m∠ 4 = 37, m∠ 5 = 56, m∠ 6 = 62 m∠ 7 = 62 What have you learned 1. 108º 2. 53º 3. 46º 4. 82º 5. 1080º 6. 18 sides 7. x = 50º 8. 20º, 60º, 100º 9. 12 sides 10. m∠ 1 = 124
  • 466.
    Module 5 Geometry ofShape and Size What this module is about This module will discuss the perimeter of the commonly used polygons in geometry such as triangles, quadrilaterals and others (with their corresponding formulas). In addition, this module will also expound on the circumference of the circle. Furthermore, this module will help you apply these concepts in solving problems associated with real life. What you are expected to learn This module is written for you to 1. Recall the different plane figures and their properties which are commonly used in geometry. 2. Name the properties of the sides of different polygons. 3. Define perimeter and determine the different formulas of getting the perimeter of the different polygons . 4. Define a circle. 5. Identify the lines and segments associated with circles. 6. Define circumference of a circle and determine the formula for getting the circumference of the circle. 7. Use the formulas for finding perimeter and circumference in solving real life problems. How much do you know Answer the following questions as indicated. Find the perimeter of a regular polygon(indicated) given the length of a side. 1. triangle, s = 13 cm 2. square, s = 10 cm 3. rhombus, s = 11.5 dm 4. pentagon, s = 9.25 cm 5. hexagon, s = 12.73cm
  • 467.
    2 6. The circumferenceof a circle is 66 cm. Find the radius of the circle. Use π = 7 22 . 7. The length of a rectangle is 13 more than twice its width. If the perimeter is 116 cm, find the dimensions of the rectangle. 8. One of the sides of a rhombus is 2x + 1. What is its perimeter? 9. The diameter of a circle is 14 cm. Find its circumference. Use π = 3.14. 10.If the perimeter of a regular hexagon is 69 cm, what is the length of each side? What you will do Lesson 1 Perimeters of Polygon The perimeter of a polygon is the distance around it. It can be computed by getting the sum of the length or measures of all the sides. If the polygon is identified as regular, then the perimeter is computed by simply multiplying the given measure of the side with the number of sides. Let us recall the different formulas for finding the perimeter of different polygons. Triangle: For a general triangle, the perimeter (P) is a b P = a + b + c , where a, b, and c are the measures of the sides. c For isosceles triangle, perimeter is P = m + m + n, where m is the m m length of one of the legs, and n is the length of the base. n For equilateral triangle, the perimeter is P = 3s, where s is the length of s one of the equal sides.
  • 468.
    3 For polygon offour sides or quadrilaterals, consider the given figures. x Given quad ABCD, then its perimeter is P = w + x + y + z, where w, x, y and z are the length of the sides w y z For a square, its perimeter is P = s + s + s + s, where s is the length of a side. Therefore, s P = 4s l For a rectangle, the perimeter is P = l + l + w + w, where l is the length and w is the width. Therefore, w w P = 2l + 2w or P = 2 (l + w) l For a parallelogram, the perimeter is a P = a + a + b + b, where a, and b are the lengths of the two consecutive sides of the parallelogram. Thus b b P = 2a + 2b P = 2(a + b) a For other figures like pentagon and hexagon or those polygons with more than five sides, the formula is practically the same. Get the sum of all the length of the sides. a For the given pentagon, the perimeter is P = a + b + c + d + e, where a, b, c, b c d, and e are the measures of the sides. e f For a regular pentagon with a as the length of a side, the perimeter is P = 5a s r For a hexagon, the perimeter is t P = r + s + t + u + v + w, where r, s, t, u, v, and w are the length w of the sides. u v
  • 469.
    4 For a regularhexagon whose length of side is denoted by r, the perimeter is given by the formula P = 6r Example 1. Find the perimeter of the following figures. 1. 2. 3. 3cm 5 cm 6 cm 6 cm 5 cm 4 cm 4. 5. 7 cm 6. 7 cm 5 cm 3 cm 5 cm 9 cm 6 cm Solutions: 1. P = (3 + 5 + 6)cm = 14 cm 2. P = [2(6) + 4] cm = 12 + 4 = 16 cm 3. P = 3(5 cm) = 15 cm 4. P = 4(6 cm) = 24 cm 5. P = [2(7cm) + 2(5cm)] = 14cm + 10cm = 24cm 6. P = (3 + 7 + 5 + 9)cm = 24cm Example 2. Find the perimeter of the following regular polygons given the measure of a side (s). 1. triangle, s = 10 cm
  • 470.
    5 2. square, s= 7cm 3. pentagon, s = 13.5cm 4. hexagon, s = 11.25 cm 5. nonagon, s = 9.3 cm Solutions: 1. P = 3s = 3 (10cm) = 30 cm 2. P = 4s = 4(7cm) = 28cm 3. P = 5s = 5(13.5cm) = 67.5 cm 4. P = 6s = 6(11.25cm) = 67.50cm 5. P = 9s = 9(9.3cm) = 83.7cm Example 3 The width of a rectangular garden is 5m. If the length is 2m more than its width, how many meters of fencing materials are needed to enclose the whole garden? How much will the cost of fencing material be if the owner pays P59 per meter? Solution: Width (w) = 5m Length (l) = 2m more than the width Length (l) = 5m + 2m = 7m Get the perimeter: P = 2(l + w) = 2(7m + 5m) = 2(12m) = 24m Cost of materials = 24m (P59 /m) = P1416.00
  • 471.
    6 Example 4. Theperimeter of a regular pentagon is 120 m. What is the length of each side? Solution: Pentagon has 5 sides, and since it is a regular pentagon, the sides are equal. P = 5s 5s = 120 m s = 5 120m s = 24m. Example 5. A saleslady is preparing to wrap a box whose dimensions are 30cm by 20cm by 7cm. If she is going to tie a ribbon around the box as in the figure, how long should the ribbon be if she will allow 25cm for the design at the top? How much will the ribbon cost if a meter is P8.25. Solution: To find the length of the ribbon, find the two perimeters. P1 = 2(30cm) + 2(7cm) = 60cm + 14cm = 74 cm P2 = 2(20cm) + 2(7cm) = 40cm + 14cm = 54 cm Total length = P1 + P2 + 25cm = 74cm + 54cm + 25cm = 128cm = 1.28 m Total cost = 1.28 m(P8.25) = P12.6225 ≈ P12.65 Try this out A. Find the perimeter of the following using the given information in the figure. 1. 2. 3. 9 5 7 15.3 10 10
  • 472.
    7 4. 21 5. 12 1510 16 B. The sides of an isosceles triangle are given. Find the perimeter. 1. 8, 8, 13 2. 5, 4, 4 3. 7, 7, 5 4. 6, 7, 6 5. 1.2, 1.2, 1.3 6. 8.13, 8.14, 8.13 7. 12.75, 12.75, 10 8. 1, 2, 2 C. Given are the length and width of a rectangle. Find its perimeter. 1. 4.5, 8.3 2. 12.01, 19.22 3. 18.3, 21.5 4. 2.03, 5.43 5. 9.75, 12.25 6. 3 , 35 7. 54 , 58 8. a, 3a 9. x + 1, 5x + 4 10. x2 + 1, x2 + 25 D. Find the perimeter of the following 1. A square with side of 25cm. 2. A parallelogram whose consecutive sides are 21cm and 27.5 cm respectively. 3. A regular hexagon whose side is ( )`732 + cm. 4. A rectangle 17m by 11m. 5. A rhombus with side of 18.23dm. E. Solve the following problems. 1. The length of a rectangle is 4 less than three time its width. If the perimeter of the rectangle is 272, what are its dimensions?
  • 473.
    8 ●A 2. The perimeterof a regular pentagon is 215 cm. Find the length of each side. 3. In an isosceles trapezoid, the length of one leg is 53dm and the median is 63dm. Find its perimeter. 4. James always jogs around his rectangular pool, 10m by 6m. If he jogs around it 5 times, what is the distance covered by James? 5. Find the perimeter of the given quadrilateral. 4x - 9 2x + 1 3x - 4 6. When the side of a square is increased by 2cm, its perimeter becomes 40 cm. What is the length of the original square? 7. When the side of a square is reduced by 7cm, the perimeter becomes 84. What is the perimeter of the original square? 8. The length of a rectangle is 64 cm. Its width is 13cm more than half its length. What is the perimeter of the rectangle? 9. The base of an isosceles triangle is 15 more than one-third of the length of the leg. If a leg measures 57 dm, find the perimeter of the triangle. 10. If the side of a square is increased by 25%, by how many percent will the perimeter increase? Lesson 2 Circle and its Circumference A circle is defined as the set of points equidistant from a fixed point called the center. Though the center is not a part of the circle, it is essential that every circle has a center A circle on a plane can be represented geometrically or algebraically. In this part of the lesson, geometric circles will be the focus of our discussion. In the given circle, A is the center of the circle, thus we can name the circle, circle A. There are other lines and segments associated with a circle like radius, chord, diameter, secant and tangent.
  • 474.
    9 In circle O,OA is a segment from the center to the circle. OA therefore is a radius of the circle. Aside from OA, B other radii are OB and OC . BC is a segment whose endpoints are points on the circle and it passes through 0 the center of the circle. Therefore, BC is called the diameter of the circle. If the endpoints of a segment are points on the circle, it is called chord of the circle. A C By this definition, the diameter is also a chord of a circle. By inspection, it is very easy to recognize that the length of the diameter is twice that of the radius. Therefore, in the figure, OCOBBC += . Other lines and segments associated with a circle D E are shown in the figure. They are DEBC, and line t. BC has its endpoints on the circle. Thus it is an example of chord ●A C of the circle. It is not a diameter since it did not pass through B the center of the circle. DE intersects the circle at two points D and E. It is called a secant of the circle. Line t intersects the T X circle at only one point X. Line t is called tangent of the circle. Example 1. Given circle A and points B, H, C, D and E on it. Name: B H 1. 4 radii 2. 2 chords A C 3. a diameter 4. a secant 5. a tangent E D F Solutions: 1. AEAHACAB ,,, 2. ECEH, 3. EH 4. EC 5. DF Every polygon has its own perimeter. Likewise a circle has its own perimeter too. To distinguish it from those of polygons, we call the distance around the circle circumference. There is also a formula for finding the circumference of a circle. The letter “C” will be used to represent the circumference of the circle. The formula that we will use is
  • 475.
    10 C = 2πr, where r is the radius of the circle and π is an irrational number whose value is approximated at 3.1416 or 7 22 . An alternative formula for circumference can be used utilizing the diameter instead of the radius of the circle. C = π D, where D is the length of the diameter of the circle. Example 1. Find the circumference of a circle of radius 9cm. Solution: C = 2π r C = 2π (9cm) C = 18π cm If there is assigned value for π , say 7 22 , then C = 2( 7 22 )(9cm) C = 7 396 cm C ≈ 56.57cm If π ≈ 3.1416, then C = 2(3.1416)(9cm) C ≈ 56.55cm Example 2. The diameter of a circle is 12.6 dm. What is its circumference? Express the answer in terms of π . Solution: C = π D C = π (12.6dm) C = 12.6π dm Example 3. The circumference of a circle is 39.27cm. Find the radius of the circle. Use π =3.1416. Solution: C = 2π r r = π2 C r = )1416.3(2 27.39 r = 6.25cm
  • 476.
    11 Try this out A.Find the length of the diameter of a circle given its radius. 1. 24cm 2. 19 m 3. 3.96dm 4. .08 cm 5. 7 4 dm 6. 18 m 7. (x+2) cm 8. 2 x km 9. nm + m 10. 4 2 ba − dm B. Use the figure and answer each of the following: B C 1. What is the center of the circle? D 2. Name the circle. E 3. Name 5 radii 4. Name 2 diameters A F 5. Name all the chords 6. Name a tangent of the circle H G 7. Name a secant C. Find the circumference of the circle given the radius of the circle. Express answers in terms of π . 1. 19cm 2. 25dm 3. 11cm 4. 8cm 5. 13.75cm 6. 2.03cm 7. m 7 5 8. cm5 9. a dm 10. (x + 3)cm
  • 477.
    12 D. Find thecircumference of the circle if the diameter is given. Use π = 3.1416. 1. 24cm 2. 50dm 3. 35m 4. km 4 3 5. 12.56m 6. 19.75cm 7. km 3 1 8. 18.7cm 9. 25.76cm 10. 10.705cm 11. m 5 2 12. 105.031cm 13. (a+b)dm 14. ( )12 + km 15. 56 dm 16. 3x2 cm 17. (5x – 1) cm 18. 47 +x dm 19. 3.1416m 20. 35 3 + m E. Given the circumference of the circle, find the radius and the diameter of the circle. Use the appropriate value of π . 1. 36π 2. 58π 3. 126π 4. 39π 5. 101π 6. 37.24π 7. 65.78π 8. 137.5π 9. 89.93π 10. 452.76π 11. 14.25 12. 549.78 13. 298.452 14. 314.16
  • 478.
    13 15. 75.5 16. 78.54 17.π3 18. 18456.9 19. 72 π 20. (10x – 4y) π F. Solve the following problems. 1. An artificial lake has a diameter of 34 m. If Teena jogs around it 6 times, how many meters will that be? (Use π =3.14) 2. At one point in a race, Joseph was 15 m behind Allan and 18 m ahead of Brad. Brad was trailing Nick by 30m. Allan was ahead of Nick by how many meters? 3. What is the perimeter of a square inscribed in a circle of radius 10 cm? Let’s summarize 1. Perimeter of a polygon is the distance around the polygon. 2. The general formula for finding the perimeter of a polygon is Perimeter = s1 + s2 + s3 +. . . + sn-1 + sn , where sn is the measure of the sides and n is the number of sides of the polygon. 3. For regular polygons, the perimeter is equal to the measure of a side multiplied by the number of sides. 4. A circle is the set of points equidistant from a fixed point called the center. The center of the circle defines the name of the circle. 5. Every circle must have a center. 6. Lines and segments associated with circle are the following: Radius – the segment joining the center and any point on the circle. Chord – segment joining any two points on the circle. Diameter – chord which passes through the center. Secant – a line intersecting a circle at two points. Tangent – a line intersecting a circle at only one point. 7. Circumference of a circle is the distance around a circle.
  • 479.
    14 8. The formulafor finding the circumference of a circle is C = 2π r , where r is the radius of the circle and π is an irrational number approximately equal to 3.1416 or 7 22 . What have you learned 1. What is the perimeter of a regular heptagon with side of 23 cm? 2. The length of a leg of an isosceles trapezoid is 15 dm. The length of the median is 35dm. What is the perimeter of the trapezoid? 3x - 7 3. Find the perimeter of the given rectangle. 2x + 9 4. The circumference of a circle is 141π . Find the radius of the circle. 5. If the side of a square is increased by 4 cm, the perimeter becomes 136 cm. Find the length of the side of the original square. 6. The perimeter of a regular pentagon is 17.5 m. What is the length of each side? 7. What is the longest chord in a circle? 8. If the diameter of a circle is 25 cm , what is the length of the radius of the circle? 9. The base of an isosceles triangle is 27 dm. If the length of a leg is 11 more than one-third of the base, find the perimeter of the triangle. D 3x - 7 C 10. ABCD is a parallelogram. Using the given in the figure, find x if the perimeter is 130 cm. 2x + 1 A B
  • 480.
    15 Answer Key How muchdo you know 1. 52 cm 2. 40 cm 3. 46 dm 4. 46.25 cm 5. 76.38 cm 6. 10.5 cm 7. length = 43, width = 15 8. 8x + 4 9. 43.96 cm 10.11.5 cm Lesson 1 A. 1. 24 2. 24 3. 61.2 4. 72 5. 48 B. 1. 29 2. 13 3. 19 4. 19 5. 3.7 6. 24.4 7. 35.5 8. 5 C. 1. 25.6 2. 62.46 3. 79.6 4. 14.92 5. 44 6. 12 3 7. 24 5 8. 8a 9. 12x + 10 10. 4x2 + 52
  • 481.
    16 D. 1. 100 cm 2.97 cm 3. ( )cm42312 + 4. 56 m 5. 72.92 dm E. 1. length = 101, width = 35 2. 43 cm 3. 232 dm 4. 160 m 5. 11x - 11 6. 8 cm 7. 112 cm 8. 218 cm 9. 148 dm 10. 25% Lesson 2 A. 1. 48 cm 2. 38 m 3. 7.92 dm 4. 0.16 cm 5. dm 7 8 6. 26 m 7. (2x + 4)cm 8. x cm 9. nm +2 m 10. 2 2 ba − dm B. 1. E 2. circle E 3. EAEGEFEDEC ,,,, 4. CGAD, 5. CGADAB ,, 6. HG 7. AB
  • 482.
    17 C. 1. 38π cm 2.50π dm 3. 22π cm 4. 16π cm 5. 27.5π cm 6. 4.06π cm 7. π 7 10 m 8. 52 cm 9. 2a dm 10. (2x + 6) cm D. 1. 75.3984 cm 2. 157.08dm 3. 109.956 m 4. 2.3562 km 5. 39.458 m 6. 62.0466 cm 7. 1.0472 km 8. 58.74797 cm 9. 80.93 cm 10.33.63 cm 11.1.2566 m 12.329.96 cm 13.3.1416(a+b) dm 14.7.58 km 15.42.15 dm 16.9.4248x2 cm 17. (15.708x – 3.1416) cm 18. 3.1416( 47 +x ) dm 19. 9.8696 m 20. 1.8 m E. 1. r = 18, d = 36 2. r = 29, d = 58 3. r = 63, d = 126 4. r = 19.5 d = 39 5. r = 50.5, d = 101 6. r = 18.62, d = 37.24 7. r = 32.89, d = 65.78 8. r = 68.75, d = 137 9. r = 44.965, d = 89.93
  • 483.
    18 10. r =226.38, d = 452.76 11. r = 2.268, d = 4.536 12. r = 87.34, d = 174.68 13. r = 47.5, d =95 14. r = 50, d =100 15. r = 12.02, d = 24.04 16. r = 12.5, d = 25 17. r = 2 3 , d = 3 18. 2937.5, d = 5875 19. 23 , d = 26 20. 5x – 2y, d = 10x – 4y F. 1. 640.56 m 2. 3 meters 3. 40 2 cm What have you learned 1. 161 cm 2. 100 dm 3. 10x + 4 4. 70.5 5. 30 cm 6. 3.5 m 7. diameter 8. 12.5 cm 9. 67 dm 10. 14.2 cm
  • 484.
    Module 6 Geometry ofShape and Size What this module is about This module is about areas of plane figures. In this module you will study the areas of squares, rectangles, parallelograms, triangles, trapezoids and circles, and learn to compute them. What you are expected to learn This module is designed for you to 1. Apply the formulas for the measurements of the following plane figures a. square, b. rectangle, c. parallelogram, d. triangle, e. trapezoid, and f. circle. 2. Solve problems involving areas of plane figures How much do you know 1. Find the area of a square whose side is 9 cm. 2. Find the area of the triangle below. 8 cm 6 cm
  • 485.
    2 3. Find thearea of a rectangle whose length and width are 12 cm and 5 cm respectively. 4. Find the area of the trapezoid ABCD below B 6 cm C 4 cm A D 10 cm 5. Find the area of a circle whose radius is 7 mm. 6. Find the base of a triangle if the altitude is 4 cm and the area is 16 cm2 . 7. Find the area of a parallelogram with base 12 cm and height 8 cm. 8. The area of the parallelogram ABCD below is 96 cm2 . Find x. B C X A D 12 cm 9. Find the area of the figure 9 cm 5 cm 3 cm 6 cm 1 cm 10.Beth’s garden is 4 meters wide and 6 meters long. Find the area of the garden.
  • 486.
    3 What you willdo Lesson 1 Areas of Rectangles and Squares The first figure below is a rectangle and the second is a rectangular region. Rectangle Rectangular region A rectangular region is a union of a rectangle and its interior. When you are asked to find the area of a rectangle, you are actually asked to determine the area of a rectangular region. The area of a region is the number of square units contained in the region. A square unit is a square with a side 1 unit in length. I unit l unit Example 1 In the rectangle below, each small square is one unit in length. Find the area of the rectangle. The area can be determined by counting the number of small squares. Since there are 24 small squares, therefore, the area is 24 square units. The standard units of area are square units, such as square centimeters, square decimeters and square meters.
  • 487.
    4 Example 2 Find thearea of the rectangle below. 12 cm 9 cm Solution: The length ( l ) of the rectangle is 12 cm and the width (w) is 9 cm. Substitute these data in the formula. A = lw = (12 )( 9) = 108 cm2 The area is 108 square centimeters. Example 3 Find the area of a rectangle whose length and width are 14 cm and 12 cm respectively. Solution: Step 1. Draw and label the figure. 12 cm 14 cm Step 2. Substitute the data in the formula. The figure shows that l = 14 cm and w = 12 cm. A = lw = (14)(12) = 168 cm2 The area is 168 square centimeters. .
  • 488.
    5 Example 4 Find thewidth of the rectangle with an area of 80 cm2 and length equal to 10 cm. Solution: Step 1. Draw and label the figure. 10 cm A = 80 cm2 Step 2. A = 80 cm 2 , l = 10 cm. Substitute these data in the formula. A = lw 80 = 10 w 10w = 80 w = 8 cm The width is 8 cm Example 5 The area of rectangle EFGH below is 48 cm2 . Find its width. 8 cm (x + 2) cm Solution: In the figure, l= 8 cm and w = (x + 2) cm. Substitute 8 in place of l and (x + 2) in place of w in the formula A = lw. Replace A by 48 since the area of the rectangle is given as 48 cm2 . Then solve the resulting equation for x. A = lw. 48 = 8 ( x + 2 ) 48 = 8x + 16 48 –16 = 8x 32 = 8x or 8x = 32 x = 4 Since the width is represented by x + 2, then the width is 4 + 2 or 6 cm
  • 489.
    6 The Area ofa Square When the length and width of a rectangle are equal, the figure is a square. The formula for finding the area of a square is A = s2 where s = length of a side. D s C s A B Square AB = BC = CD = DA Example 1 Find the area of the square ABCD. Solution: D C A = s2 = 62 s = 6 cm = (6)(6) = 36 cm2 A B The area is 36 square centimeters Example 2 Find the side of a square whose area is 25 cm2 . Solution: Step 1. Draw and label the figure. Step 2. Substitute the data in the formula. A = 25 cm2 s = ? A = s2 25 = s2 s2 = 25 2 s = 25 s = 5 cm The side is 5 centimeters
  • 490.
    7 Example 3 Find thearea of the shaded region. 20 cm 15 cm 8 cm 8 cm Solution: Step 1. Find the area of the rectangle A = lw = (20)(15) = 300 cm2 Step 2. Find the area of the square A = s2 = 82 = (8)(8) = 64 cm2 Step 3. Find the area of the shaded region by subtracting the area of the square from the area of the rectangle. A = lw - s2 A = 300 – 64 = 236 cm2 The area of the shaded region is 236 square centimeters. Another important thing you will learn from this lesson is that areas of plane figures can be added as long as the figures do not overlap.
  • 491.
    8 The area ofthe entire figure in the following illustration is the sum of the areas of the rectangle and the square. Example: Find the area of the figure below. B C 2 E F 6 4 A D 4 G Notice that polygon ABCD is a rectangle and polygon DEFG is a square. The area of the entire figure is the sum of the areas of the rectangle and the square. Solution: Step 1. Find the area of the rectangle ABCD A1 = lw = (10)(6) = 60 Step 2. Find the area of the square DEFG. A2 = s2 = 42 = (4)(4) = 16 Step 3. Find the area of the entire figure by adding the area of the rectangle to the area of the square. A3 = A1 + A2 = 60 + 16 = 76 cm2 The area of the entire figure is 76 square centimeters
  • 492.
    9 Try this out SetA In exercises 1-4, each plane figure is divided into small squares each with a side 1 unit in length. 1. Find the area. A = _______ square units. 2. Find the area. A = ________ square units 3. Find the area. A = ________ square units
  • 493.
    10 4. Find thearea. A = _________ square units Find the area of each rectangle or square described below. 5. 5 cm 7. 19 cm 5 cm 16 cm 8 cm 5.5 m 6. 8. 16 cm 5.5 m 9. A rectangle with a length of 14 meters and a width of 10 meters. 10. A square with a side of 7 mm. Set B 1. Find the area of a square whose side is 15 cm. 2. Find the area of a rectangle whose length and width are 12 m and 7 m respectively. 3. Find the area of a square whose side is 8.5 m 4. Find the area of a rectangle with length of 8 cm and width of 5 cm. 5. A side of a square is 13 cm. Find its area. 6. The length and width of a rectangle are 18 cm and 10 cm respectively. Find its area.
  • 494.
    11 6 6 Find the areaof the following figure. 7. 2 cm 8. 3 cm 3 cm 3 cm 2 cm 2 cm 5 cm 4 cm Find the area of the shaded region in the following figures 12 9. 10 8 10 8 Set C Find the area of each square 1. side = 4 m 2. side = 4.5 cm Find the area of each rectangle 3. Length = 11 cm and width = 8 cm 4. length = 9 cm and width = 8 cm Find the length of a side of each square. 5. Area = 36 cm2 6. Area = 81 c m2 Find the length of each rectangle 7. Area = 112 c m2 and width = 8 cm 8. Area = 135 c m2 and width = 9 cm 6 4
  • 495.
    12 Find the widthof each rectangle 9. Area = 176 c m2 and length = 16 cm 10 Area = 216 c m2 and length = 18 cm Lesson 2 Areas of Parallelograms and Triangles The area of a parallelogram is equal to the product of the base times the height. The formula is A = bh Example 1 Find the area of a parallelogram with a base of 5 cm and a height of 3 cm. Solution: Step 1. Draw and label the figure. The base AB has length of 5 cm and the height or altitude is 3 cm. D C 3 cm A 5 cm B Step 2. Substitute the data in the formula A = bh = 5(3) = 15 cm2 The area is 15 square centimeters Example 2 Find the area of the parallelogram below h = 5.5 15.2
  • 496.
    13 The figure showsthat b = 15.s cm and h = 5.5 cm. Substitute these data in the formula. Solution: A = bh = (15.2)(5.5) = 83.6 cm2 The area is 83.6 square centimeters Example 3 The area of a parallelogram is 84 m2 . The lengths of a base is 6 m. Find the length of the corresponding altitude. Solution: Step 1. Draw and label the figure. A = 84 m2 h = ? 6 m Step 2. Substitute the data in the formula A = bh 84 = 6h 6h = 84 h = 84/6 h = 14 m The height is 14 m Example 4 Find the height of a parallelogram that has a base of 14 cm and an area of 126 cm2 Solution: Step 1. Draw and label the figure. A = 126 cm2 h = ? 14 cm
  • 497.
    14 Step 2. Substitutethe data in the formula A = bh 126 = 14 h 14 h = 126 h = 126/14 h = 9 cm The height is 9 centimeters The Area of a Triangle The diagonal separates the parallelogram into two congruent triangles. D C D C D A B B A B The diagonal BD divides the parallelogram ABCD into two congruent triangles. Two congruent triangles have equal areas. The area of ∆ABD is equal to the area of ∆CDB. Since the formula for finding the area of a parallelogram is A = bh, therefore, the formula for finding the area of a triangle is A = 2 1 bh. Example 1 Find the area of the triangle shown below. h = 4 m 9 m Solution: A = 2 1 bh = 2 1 ( 9 ) ( 4 ) = 18 m2 The area is 18 square meters
  • 498.
    15 Example 2 Find thearea of the triangle below. 12 dm 20 dm Solution A = 2 1 bh = 2 1 (20) (12) = 120 dm2 The area is 120 square decimeters Example 3 Find the area of the triangle shown below. 5.5 m 7.2 m Solution: A = 2 1 bh = 2 1 ( 7.2) ( 5.5) = 19.8 m2 The area is 19.8 square meters Example 4 Find the area the triangle with base equal to 12 cm and altitude equal to 10 cm.
  • 499.
    16 Solution: Step 1. Drawand label the triangle h = 10 cm 12 cm Step 2. Substitute the data in the formula A = 2 1 bh = 2 1 (12) (10) = 60 cm The area is 60 square centimeters Example 5 Find the base of the triangle with an altitude of 12 cm and an area of 66 cm2 . Solution Step 1. Draw and label the figure h = 12 cm b = ? Step 2. Substitute the data in the formula. A = 2 1 bh 66 = 2 1 (b) (12) 66 = 6 b 6 b = 66 b = 11 The base is 11 centimeters.
  • 500.
    17 Try this out SetA Find the area of each parallelogram. 1. 3. 4 mm 4 m 13 mm 6 m 2. 4. 6 cm 8 m 5.2 cm 6 m Find the area of each triangle 5. 8. 12 mm 2 15 mm 4 6. 9. 5 20 m 3 25 m 7. 10. 5 cm 6 m 6 cm 11 m
  • 501.
    18 Set B. Complete thetable below Base Altitude Area of the Parallelogram 1 16 5 2 10 cm 180 cm2 3 14 km 168 km2 4 8 m 92 m2 5 4.5 cm 36 cm2 . Complete the table below base Altitude Area of the Triangle 6 14 cm 84 cm2 7 16 m 80 m2 8 16 cm 64 cm2 9 7.6 cm 4.5 cm __cm2 10 5.6 m 23.8 m2 Set C Find the area of the parallelogram in which 1. b = 30, h=6 2. b = 3 2 1 , h = 6.5 3. b = 24. h = 12 Find the area of each triangle described below. 4. b = 40, h = 24 5. b = 26, h = 14 6. b = 28, h = 16 Solve the following 7. Find the area of a parallelogram with base 17 m and height 14 m. 8. Find the area of a triangle with base of 16 m and height of 12 m. 9. A piece of cardboard is in the form of a parallelogram. Find its area if the base is 17 cm and the altitude is 12 cm. 10.A piece of paper is in the form of a triangle. What is its area if the base is 18 cm and its altitude is 8.6 cm?
  • 502.
    19 Lesson 3 Area ofa Trapezoid Recall that a trapezoid is a quadrilateral with two bases which are parallel. The area of a trapezoid is one half the product of the length of an altitude and the sum of the lengths of the two bases. D b2 C A b1 B A = 2 1 h ( b1 + b2) Where h = altitude b1 = lower base b2 = upper base Example 1 Find the area of trapezoid ABCD. D 6 C h =4 A B 8 A = 2 1 h ( b1 + b2) = 2 1 ( 4) (8 + 6 ) = 2 1 ( 4 ) ( 14 ) = 28 The area is 28 square units.
  • 503.
    20 Example 2 In thefollowing trapezoid, HG = 6 cm and EF = 12 cm. If its area is 36 cm2 , find its altitude h. H 6 cm G h = ? E F 12 cm Solution: A = 2 1 h ( b1 + b2) 36 = 2 1 h ( 6 + 12) 36 = 2 1 h ( 18) 36(2) = 18 h 18h = 72 h = 4 cm The altitude h is 4 cm. Example 3 Find the longer base of a trapezoid with shorter base 5, height 4 and area 24.. Step 1 Draw and label the figure. Represent the longer leg by x. 5 A = 24 4 x Step 2. Substitute the data in the formula. A = 2 1 h( b1 + b2) 24 = 2 1 (4)( x + 5) 24 = 2( x + 5) 2(x + 5 ) = 24 2x + 10 = 24 2x = 24 – 10 2x = 14 x = 7 The longer base is 7 .
  • 504.
    21 Try this out SetA ABCD is a trapezoid. D C A B 1. If AB = 16, DC = 8, DE = 6, find the area 2. If AB = 17, DC = 9 , DE = 8, find the area 3. If AB = 20, DC = 18, DE = 10, find the area 4. If AB = 30, DC = 20, DE = 10, find the area 5. If AB = 40, DC = 30, DE = 20, find the area EFGH is a trapezoid. H G E F 6. If EF = 8, HG = 10, HE = 6, find the area. 7. If EF = 6, HG = 8, HE = 4, find the area 8. If EF = 12, HG =16, HE = 6, find the area 9. If EF = 10, HG =12, HE = 9, find the area 10.If EF = 12, HG =14, HE = 7, find the area Set B Supply the missing information for each trapezoid H b1 b2 Area 1 4 8 11 2 8 10 13 3 12 10 14 4 12 16 140 5 10 18 112
  • 505.
    22 Find the areaof each trapezoid 8 6. 7. 7 cm 5 5 cm 11 13 cm 8. Given a trapezoid with bases 16 and 20 and height 9, Find the area. 9. The bases of a trapezoid are 8 and 20 and the area is 84. Find the height. 8 h = ? A = 84 20 10.The height of a trapezoid is 12 and the area is 162. If one of the bases is 16, find the other. Set C 1. The height of a trapezoid is 4. The bases are 5 and 7. Find the area. 2. The height of a trapezoid is 6. The bases are 7 and 9. What is the area? 3. The bases of a trapezoid are 4 and 8 and the area is 36. Find the height. 4. The bases of a trapezoid are 6 and 8 and the area is 56. Find the altitude. 5. The altitude of a trapezoid is 8 and the area is 64. If one base is 5, find the other base. 6. The height of a trapezoid is 2 and the area is 16. If the upper base is 9, find the lower base. 7. A trapezoid has bases 9 and 10 and the area 38. Find its altitude. 8. A trapezoid has bases 8 and 12 and area 80. Find its height. 9. Find the longer base of a trapezoid with shorter base 5, height 6, and area 48. 10.Find the shorter base of a trapezoid with longer base 12 , altitude 6, and area 54. Lesson 4 Area of a Circle Recall that a circle is a set of points in a plane that have the same distance from a given point in the plane. The given point is called the center, and the distance from the center to any given point on the circle is called the radius.
  • 506.
    23 d = 6cm The area of a circle is the measure of the space bounded by it. The ratio of the circumference to the diameter of any circle is equal to the same number, represented by the Greek letter π (pi) The approximate value of π is 3.14 or 22/7. The formula for the area of a circle with radius r units is A = πr2 Where A = area r = radius Example 1 The radius of a circle is 2 cm. Find its area. Solution: A = πr2 2 cm ≈ 3.14 (2)2 ● ≈ 12.56 cm2 The area is 12.56 square cm. Example 2 The diameter of a circle is 6 cm. Find its area. Solution: Step 1. Find the radius Radius( r ) = diameter (d) divided by 2 r = 6 ÷ 2 r = 3 cm The radius is 3 cm. ● Step 2. Find the area. A = πr2 ≈ 3.14 (3)2 ≈ 3.14 (9) ≈ 28.26 cm2 The area is 28.26 square centimeters
  • 507.
    24 Example 3 Findthe area of the circle in terms of π if its radius is 2 m. Solution A = πr2 2 m ≈ π(2)2 ● ≈ 4π Example 4 Find the area of the shaded region. 22 cm 8 cm Solution: Step 1. Find the area of the rectangle. A = lw = (22) ( 8) = 176 cm2 Step 2. Find the area of the circle The diameter of the circle is the width of the rectangle. r = 2 d r = 2 8 r = 4 cm2 Substitute 4 in the area formula for circles A = πr2 ≈ 3.14 ( 4)2 ≈ 3.14 ( 16) ≈ 50.24 Step 3. Subtract the area of the circle from the area of the rectangle. Area of the shaded region = area of the rectangle – area of the circle = 176 –50.24 = 125.76 cm2 The area of the shaded region is 125.76 square centimeters.
  • 508.
    25 Try this out SetA. Find the area of each circle with the given diameter or radius Use 3.14 for π. 1. radius = 5 cm 2. radius = 1.5 mm 3. diameter = 4 cm 4. diameter = 12 dm 5. radius = 4.6 m 6. radius = 2.2 cm 7. diameter = 4.8 dm 8. diameter = 6.4 cm 9. radius = 4.8 m 10.radius = 3.4 dm Set B Find the area of each circle described below. Give the answers in terms of π. 1. 3. d = 10 ● ● r = 8 2. 4. ● ● d = 11 r = 9 5. The radius is 7 cm 6. The radius is 12 cm 7. The diameter is 14 mm 8. The diameter is 26 mm 9. The radius is 3.4 km 10.The radius is 2.6 km
  • 509.
    26 Set C. Find thearea of each circle in terms of π 1. r = 8 dm 2. r = 18 dm 3. d = 5 cm 4. d = 14 cm 5. r = 4.6 mm 6. r = 4.4 mm 7. The students performed their dance number in a circular platform 20 m in diameter. Find the area of the platform. 8. The radius of a circular garden is 40 m. Half of the garden will be planted with roses. How many square meters will be planted with roses. Find the area of the shaded part of the figure. Give the answers in terms of π 9 r of the bigger circle is 8 cm ● r of the smaller circle is 6 cm. 10. ● 14 cm 12 cm
  • 510.
    27 Let’s Summarize 1. Thearea of a region is the number of square units contained in the region. 2. A square unit is a square with a side I unit in length. 3. The area (A) of a rectangle is the product of its length (l) and its width (w). A = lw 4. The area (A) of a square is the square of the length of a side (s). A = s2 5. The area (A) of a parallelogram is equal to the product of the base (b) and the height (h). A = bh 6. The diagonal separates the parallelogram into two congruent triangles. 7. The area (A) of a triangle equals half the product of the base (b) and the height (h). A = 2 1 bh. Sometimes altitude is used instead of height. 8. The area (A) of a trapezoid is one half the product of the length of its altitude and the sum of the lengths of the two bases. A = 2 1 h (b1 + b1). 9. A circle is a set of points in a plane that have the same distance from a given point in the plane. 10. In all circles the ratio of the circumference to the diameter is always equal to the same number, represented by the Greek letter π. 11.The formula for finding the area of a circle with a radius of r units is: A = πr2 What have you learned 1. Find the area of a square whose side is 15 dm. 2. Find the area of the triangle below. 9 cm 10 cm 3. Find the area of a rectangle whose length and width are 14 dm and 8 dm respectively.
  • 511.
    28 4. Find thearea of the trapezoid ABCD below B 8 cm C 6 cm A 12 cm D 5. Find the area of a circle whose radius is 6 cm. 6. Find the base of a triangle if the altitude is 6 cm and the area is 36 cm2 . 7. Find the area of a parallelogram with base 14 cm and height 6 cm. 8. The area of the parallelogram ABCD below is 66 cm2 . Find h. B C h = ? A 11 cm D 9. Find the area of the figure 7 5 3 2 3 10.Gen’s garden is 5 meters wide and 7 meters long. Find the area of the garden.
  • 512.
    29 Answer Key How muchdo you know 1. 81 cm2 2. 24 cm2 3. 60 cm2 4. 32 cm 2 5. 153.86 mm2 6. 8 cm 7. 96 cm2 8. 8 cm 9. 44 cm2 10. 24 m Try this out Lesson 1 Set A. 1. 10 2. 18 3. 14 4. 16 5. 25 cm2 6. 128 cm2 7. 304 cm2 8. 30.25 m2 9. 140 10. 49 mm2 Set B. 1. 225 cm2 2. 84 m2 3. 72.25 m2 4. 40 cm2 5. 169 cm2 6. 180 cm2 7. 10 cm2 8. 13 cm2 9. 28 sq. units 10.96 sq. units Set C 1. 16 m2 2. 20.25 cm2 3. 88 cm2 4. 72 cm2 5. 6 cm 6. 9 cm 7. 14 cm 8. 15 cm 9. 11 cm 10.12 cm Lesson 2 Set A 1. 24 m2 2. 31.2 cm2 3. 52 mm2 4. 48 m2 5. 4 sq. units 6. 7.5 sq. units 7. 15 cm2 8. 90 mm2 9. 250 m2 10. 33 m2
  • 513.
    30 Set B 1. 80sq. units 2. 18 cm 3. 12 km 4. 11.5 m 5. 8 cm 6. 12 cm 7. 10 m 8. 8 cm 9. 17.1 cm 10.8.5 m Set C 1. 180 sq. units 2. 22.75 sq. units 3. 288 sq. units 4. 480 sq. units 5. 182 sq. units 6. 224 sq. units 7. 238 m2 8. 96 m2 9. 204 cm2 10.77.4 cm2 Lesson 3 Set A 1. 72 sq. units 2. 104 sq. units 3. 190 sq. units 4. 250 sq. units 5. 700 sq. units 6. 54 sq. units 7. 28 sq. units 8. 84 sq. units 9. 99 sq. units 10.91 sq. Units Set B 1. 38 sq. units 2. 92 sq. units 3. 144 sq. units 4. 10 5. 8 6. 47.5 sq. units 7. 50 cm2 8. 162 sq. units 9. 6 10.11 Set C. 1. 24 sq. units 2. 48 sq. units 3. 6 4. 8 5. 11 6. 7 7. 4 8. 8 9. 11 10.6 Lesson 4 Set A 1. 78.5 cm2 2. 7.065 mm2 3. 12.56 cm2 4. 113.04 dm2 5. 66.4424 m2 6. 15.1976cm2 7. 18.0864 dm2 8. 32.1536 cm2 9. 72.3456 m2 10. 36.2984 dm2
  • 514.
    31 Set B 1. 64π 2. 81 π 3. 25 π 4. 30.25 π 5. 49 π cm2 6. 144 π cm2 7. 49 π cm2 8. 169 π mm2 9. 11.56 π km2 10.6.76 π km2 Set C 1. 64 π dm2 2. 324 π dm2 3. 6.25 π cm2 4. 49 π cm2 5. 21.16 π mm2 6. 19. 36 π mm2 7. 100 π m2 8. 800 π m2 9. 64 π cm2 – 36 π cm2 = 28 π cm2 10.196 cm2 – 49 π cm2 What have you learned? 1. 225 dm2 2. 45 cm2 3. 112 dm2 4. 60 cm2 5. 36 π cm2 6. 12 cm 7. 84 cm2 8. 6 cm 9. 29 sq. units 10.35 m2
  • 515.
    Module 7 Geometry ofShape and Size What this module is about This module is about surface area of solids. As you go over the exercises, you will develop skills in solving surface area of different solid figures. Treat the lesson with fun and take time to go back if you think you are at a loss. What you are expected to learn This module is designed for you to 1. define surface area of solids. 2. find the surface area of solids such as • cube • prism ( rectangular, triangular ) • pyramid ( square, rectangular, triangular ) • cylinder • cone • sphere 3. solve problems involving surface area of solids. How much do you know Find the surface area of each solid. 1. A cube with side (s) = 2.2 cm. 2. A cylinder with h = 15 cm, r = 3.2 cm. 3. A rectangular prism with l = 12 cm, w = 7 cm, h = 6 cm. 4. A square pyramid with s = 4.2 cm, h = 7 cm (slant height).
  • 516.
    2 5. A conewith r = 5 cm , s = 12 cm (slant height). 6. A triangular prism with height 14 cm, base (a right triangle with sides 6, 8 and 10 cm and the right angle between shorter sides). 7. A ball with radius of 6 cm (Use π = 3.14). 8. A triangular pyramid with b = 4 cm, h = 8.2 cm (altitude of the base), s = 7 cm (slant height). 9. A rectangular pyramid with l = 5 cm, w = 3.3 cm, h = 9 cm (slant height). 10.A cylindrical tank is 2.6 meters high. If the radius of its base is 0.92 meters, what is its surface area? 11.find the surface area of a rectangular prism which is 45 cm long, 36 cm wide and 24 cm high. 12.Find the surface area of a pyramid with a square base if the length of the sides of the base is 1.4 m and the height of the triangular face is 1.9 m. 13.Cube with edge 4 2/3 cm 14.Cylinder with radius of base 6.7 cm and height 14 cm 15. Rectangular prism with base 9m by 10m by 12m What you will do Lesson 1 Finding the Surface Area of a Cube, Prism and Pyramid The surface area of a three-dimensional figure is the total area of its exterior surface. For three-dimensional figures having bases, the surface area is the lateral surface area plus the area of the bases.
  • 517.
    3 Examples : 1. Findthe surface area of a cube with side of 5 cm. Figure : Cube If you open this up, This solid is composed of 6 squares or 6 faces. Since the area of a square is the square of its side or s2 , then the surface area of a cube is 6 s2 . SA of a Cube = 6s2 Substituting s by 5 cm: SA = 6(52 ) = 6(25) SA = 150 cm2 edge lateral face face face face facefaceface
  • 518.
    4 2. Find thesurface area of a rectangular prism whose length is 7 cm, width is 5 cm and thickness is 4 cm. Figure : To find the surface area of a Rectangular prism, add the areas of its flat surfaces. Area of top and bottom rectangles (bases) plus area of left and right rectangles and area of back and front rectangles (lateral areas). SA of rectangular prism = 2B + LA Solution: SA = 2(7cm x 5 cm) + 2(4 cm x 5 cm) + 2(7cm x 4 cm) = 70 cm2 + 40 cm2 + 56 cm2 SA = 166 cm2 3. Find the surface area of a triangular prism. Figure : Triangular Prism 7 cm 5 cm 4 cm base base Rectangular Prism 5 cm 5 cm 4.5 cm 2.8 cm 3.9 cm
  • 519.
    5 3 cm 3 cm 5cm SA of a triangular prism = 2B + LA Solution: SA = 2 ( 2 1 bh) + LA SA = bh + LA = (4.5cm x 3.9cm) + 2( 5cm x 2.8 cm) + (4.5 cm x 2.8cm) = 17.55 cm2 + 28 cm2 + 12.6 cm2 SA = 58.15 cm2 4. Find the surface area of a square pyramid with a side of the base as 3 cm and the height of a triangle as 5 cm. Figure: To find the surface area of a square pyramid, add the area of the square base and the areas of the four face triangles. Solution: SA of Square Pyramid = B + 4 ( 2 1 bh) SA = 32 + 4( 2 1 x 3 x 5) = 9 + 30 SA = 39 cm2
  • 520.
    6 5 cm 8 cm 6cm 5. Find the surface area of the rectangular pyramid with the given dimensions. Figure : Rectangular Pyramid SA of Rectangular Pyramid = B + 2 A1 + 2 A2 Solution: SA = bh + 2 ( 2 1 b1h1) + 2 ( 2 1 b2h2) = bh + (b1h1) + ( b2h2) = (8 cm x 5 cm)+ (8 cm x 6 cm) + (5 cm x 6 cm) = 40 cm2 + 48 cm2 + 30 cm2 SA = 118 cm2 6. Find the surface area of a triangular pyramid with the given dimensions. Figure : Triangular Pyramid 8 cm (slant height) 20 cm 5 cm 20 cm 20 cm
  • 521.
    7 1.6 cm 1.6 cm 1.6cm 52 mm 180 mm 204 mm 6.6 cm 6.6 cm 9.4 cm SA of Triangular Pyramid = Area of the base + Area of the 3 triangular faces Solution: SA = ( 2 1 x 20 cm x 5 cm) + (10 cm x 8 cm) + ( 2 1 x 20 cm x 8 cm) = 50 cm2 + 80 cm2 + 80 cm2 SA = 210 cm2 Try this out Find the surface area of each solid. 1. 2. 3.
  • 522.
    8 6 cm 9 cm 7cm 4. 5. 6. 4 cm3 cm 5 cm 10 cm 10 cm 5 cm 5 cm 3 cm (altitude of the base) 7 cm (slant height)
  • 523.
    9 7. What isthe total surface area of a cardboard box that is 1.2 m long, 0.6 m wide, and 0.3 m high? Figure: 8. Find the surface area of a cube whose side measures 10 cm. Figure: 9. Find the surface area of a triangular chocolate box . Figure: 0.3 cm 1.2 cm 0.6 cm 10 cm 10 cm 10 cm 8 cm 6 cm6 cm 6 2 cm
  • 524.
    10 10. Find thesurface area of a camping tent in a square pyramid shape with a side of the base as 5 cm and the height of a triangle as 7 cm. Figure : 11. A pyramid has a rectangular base whose length and width are 5.5 cm and 3.2 cm respectively. Find its surface area. Figure: 12. Find the surface area of a tetra pack juice drink in triangular pyramid shape with the given dimensions. Figure: 5.5 cm 3.2 cm 10 cm (slant height) 5 cm 5 cm 7 cm (slant height) 10 cm (slant height) 6 cm 4.5 cm (altitude of the base) 6 cm 6 cm
  • 525.
    11 Lesson 2 Finding theSurface Area of Cylinder, Cone and Sphere Surface Area of a Cylinder Figure: To find the surface are of a cylinder, add the areas of the circular bases and the area of the rectangular region which is the body of the cylinder. SA = Area of 2 Circular Bases + Area of a rectangle SA = 2πr2 + 2πrh Example: Find the surface area of a cylinder which has a radius of 5 cm and a body length of 20 cm. ( Use 3.14 for π) Solution: SA = 2πr2 + 2πrh = 2(3.14)(5) 2 + 2(3.14)(5)(20) = (6.28)(25) + (6.28)(100) = 157 + 628 SA = 785 cm2 base radius (r) altitude (h) h base base base circumference of the base = 2 rπ r Area of the 2 bases = 2 rπ r2
  • 526.
    12 h = s b= rπ r 2 rπ r Surface Area of a Cone Figure: SA = Area of the circular base + Area of the region which resembles a parallelogram SA = πr2 + πrs Example: Find the surface area of a cone if the radius of its base is 3.5 cm and its slant height is 7.25 cm. (Use π = 3.14) Solution : SA = πr2 + πrs = (3.14)(3.5)2 + (3.14)(3.5)(7.25) = (3.14)(12.25) + (10.99)(7.25) = 38.465 + 79.6775 SA = 118.1425 cm2 Consider an ice-cream cone with its curved surface opened out to resemble a fan. The fan-shaped surface can be cut into smaller pieces and rearranged to resemble a parallelogram with base b = πr and height h equal to side s. radius Slant height s r = 3.5 cm s = 7.25 cm
  • 527.
    13 Surface Area ofa Sphere Figure: SA = area of 4 circles SA = 4πr2 Example: What is the surface area of a ball with radius equal to 7 cm? (Use π = 3.14) Solution : SA = 4πr2 = 4(3.14)(7)2 = (12.56)(49) SA = 615.44 cm2 Try this out Find the surface area of each solid. 1. A sphere is a solid where every point is equally distant from its center. This distance is the length of the radius of radius r = 7 1.8 m height = 2.4 m
  • 528.
    14 2. 3. 4. 2.6 m s =12.3 m r =7.8 cm 8.2 cm 7.6 cm
  • 529.
    15 5. 6. 7. A cylindricalwater tank is 2.2 meters high. If the radius of its base is 0.8 meter, what is its surface area? Figure: r = 8 mm s = 20 mm r = 6 cm r = 0.8 m h = 2.2 m
  • 530.
    16 8. The radiusof a ball is 19 cm. What is its surface area? Figure: 9. Find the surface area of a conic solid whose radius is 2.5cm and its height is 3.3 cm. Figure: 10. Find the surface area of a spherical tank whose radius is 0.7meter. Figure: r = 19 cm r = 2.5 cm s = 3.3 cm r = 0.7 m
  • 531.
    17 11. A conewith a diameter of 10 cm and height of 8 cm. Find its surface area. Figure : 12. A can whose height is 20 cm and 12 cm is the diameter. Find its surface area. Figure: r = 12 cm h = 20 cm r = 10 cm s = 8 cm
  • 532.
    18 Let’s summarize The surfacearea of a three-dimensional figure is the total area of its exterior surface. For three-dimensional figures having bases, the surface area is the lateral surface area plus the area of the bases. • Surface Area of a Cube = 6s2 • Surface Area of Rectangular Prism = 2B + LA • Surface Area of Rectangular Prism = 2B + LA • Surface Area of Square Pyramid = B + 4 ( 2 1 bh) • Surface Area of Rectangular Pyramid = B + 2 A1 + 2 A2 • Surface Area of Triangular Pyramid = Area of the base + Area of the 3 triangular faces • Surface Area of a Cylinder = Area of 2 Circular Bases + Area of a rectangle SA = 2πr2 + 2πrh • Surface Area of a Cone = Area of the circular base + Area of the region which resembles a parallelogram SA = πr2 + πrs • Surface Area of a Sphere = area of 4 circles SA = 4πr2
  • 533.
    19 What have youlearned Find the surface area of each solid. 1. A cube with side (s) = 4.3 cm 2. A cylinder with h = 13 cm, r = 4.1 cm 3. A rectangular prism with l = 15 cm, w = 8 cm, h = 7 cm 4. A square pyramid with s = 5.4 cm, h = 9 cm (slant height). 5. A cone with r = 4cm , s = 9 cm (slant height). 6. A triangular prism with height 16 cm, base (a right triangle with sides 7 cm, 8 cm and 10 cm and the right angle between shorter sides). 7. A ball with radius of 12 cm. (Use π = 3.14) 8. A triangular pyramid with b = 5 cm, h = 7.2 cm (altitude of the base), s = 8 cm (slant height) 9. A rectangular pyramid with l = 6 cm, w = 6.3 cm, h = 8 cm (slant height) 10. A cylindrical tank is 3.6 meters high. If the radius of its base is 1.9 meters, what is its surface area? 11. Find the surface area of a rectangular prism which is 40 cm long, 35 cm wide and 23 cm high. 12. Find the surface area of a pyramid with a square base if the length of the sides of the base is 1.6 m and the height of the triangular face is 2.8 m. 13. Cube with edge 5 2 1 cm. 14. Cylinder with radius of base 8.7 cm and height 13 cm. 15. Rectangular prism with base 10m by 12m by 14m.
  • 534.
    20 Answer Key How muchdo you know 1. 29.04 cm2 2. 365.74742 cm2 3. 396 cm2 4. 135.24 cm2 5. 266.9 cm2 6. 384 cm2 7. 452.16 cm2 8. 100.4 cm2 9. 91.2 cm2 10. 20.337152 cm2 11. 7, 128 cm2 12. 12.6 m2 13. 130 3 2 cm2 14. 870.9732 cm2 15. 636 m2 Try this out Lesson 1 1. 15.36 cm2 2. 113, 376 mm2 3. 167.64 cm2
  • 535.
    21 4. 159 cm2 5.132 cm2 6. 85 cm2 7. 2.52 m2 8. 600 cm2 9. 181.88 cm2 10. 95 cm2 11. 104.6 cm2 12. 78.3 cm2 Lesson 2 1. 18.6516 m2 2. 21.2264 m2 3. 492.2892 cm2 4. 301.3576 cm2 5. 703.36 mm2 6. 452.16 cm2 7. 15.072 m2 8. 4,534.16 cm2 9. 45.53 cm2 10. 6.1544 m2 11. 204.1 cm2 12. 979.68 cm2
  • 536.
    22 What have youlearned 1. 110.94 cm2 2. 131.3148 cm2 3. 562 cm2 4. 101.16 cm2 5. 163.24 cm2 6. 228 cm2 7. 1,808.64 cm2 8. 138 cm2 9. 136.2 cm2 10. 65.626 m2 11. 6,250 cm2 12. 20.48 m2 13. 181.5 cm2 14. 1,185.6012 cm2 15. 856 m2
  • 537.
    Module 8 Geometry ofShape and Size What this module is about This module is about volume of solids. The volume of a solid is the number of cubic units contained in the solid. If measures are given in centimeter, the volume is stated in cubic cm, written as cm3 . What you are expected to learn This module is designed for you to: 1. define volume of solids. 2. find the volume of solids such as: • cube • prism (rectangular, triangular) • pyramid (square, rectangular, triangular) • cylinder • cone • sphere 3. solve problems involving volume of solids. How much do you know Find the volume of each solid: 1. a cube with side (s) = 2.4 m 2. a cylinder with h = 20 cm, r = 22 cm. 3. a rectangular prism with l = 25 cm, w = 17 cm, h = 30 cm
  • 538.
    2 4. a squarepyramid with s = 5 m, h = 6 m. 5. a cone with r = 2 cm, h = 6 cm. 6. a triangular prism with height 10 cm, base (a right triangle with sides 3, 4 and 5 cm and the right angle between shorter sides). 7. a ball with radius of 17 cm (use = 3.14) 8. a triangular pyramid with b = 4 cm, h = 8.2 cm (altitude of the base), h = 7 cm (height of the pyramid). 9. a rectangular pyramid with l = 6 cm, w = 4.3 cm, h = 8 cm (height of the pyramid) 10. a cylindrical tank is 5.3 meters high. If the radius of its base is 2.8 meters, what is its volume? 11.Find the volume of a rectangular prism which is 46 cm long, 37 cm wide and 25 cm high. 12.Find the volume of a pyramid with a square base if the length of the sides of the base is 2.4 m and the height of the triangular face is 3.5 m. 13.cube with edge of 6 3 2 cm. 14.cylinder with radius of base 8.7 cm and height 12 cm. 15.rectangular prism with base 8 m by 10 m by 15 m. What you will do Lesson 1 Finding the Volume of a Cube, Prism and Pyramid One problem with rooms that have high ceilings is that they are hard to heat and cool. The amount of air in a room determines the heating or cooling power needed. To find the amount of air in a room, you need to find the volume of the room. In finding volume of solids, you have to consider the area of a face and height of the solid. If the base is triangular, you have to make use of the area of a triangle, if rectangular, make use of the area of a rectangle and so on.
  • 539.
    3 The next exampleswill help you to understand more about volume or the amount of space in three – dimensional figures. Volume of a cube Example: Find the volume of a cube with edge ( e ) of 3 cm. Figure: Solution: V = e3 Substituting e by 3 cm: V = 33 V = 27 cm3 The volume V of a cube with edge e is the cube of e. That is, V = e3 . 3 cm 3 cm 3 cm Cube
  • 540.
    4 Volume of Prism Example: Findthe volume of a rectangular prism whose length is 7.5 cm, width is 4.3 cm and thickness is 5.1 cm. Figure: Solution: V = lwh V = (7.5 cm)(4.3 cm)(5.1 cm) V = 164.475 cm3 The volume of a prism can also be expressed in terms of area of the base, B. The volume V of a rectangular prism is the product of its altitude h, the length l and the width w of the base. That is, V = lwh. The volume V of a prism is the product of its altitude h and area B of the base. That is, V = Bh. 7.5 cm 5.1 cm 4.3 cm
  • 541.
    5 Example: Find the volumeof a triangular prism whose dimensions is given in the figure below. Solution: Let B = area of the triangular base B = 2 1 bh = 2 1 (4.5 cm)(3.9 cm) B = 8.775 cm2 Finding the volume of the prism: V = Bh = 8.775 cm2 (2.8 cm) = 24.57 cm3 3.9 cm 4.5 cm 2.8 cm
  • 542.
    6 Volume of Pyramids Considera pyramid and a prism having equal altitudes and bases with equal areas. If the pyramid is filled with water or sand and its contents poured into a prism, only a third of the prism will be filled. Thus the volume of a pyramid is 3 1 the volume of the prism. Example: 1. Find the volume of the rectangular pyramid with the given dimensions. Figure: Solution: Let B = the area of the rectangular base B = lw = (9 cm)(4 cm) = 36 cm2 Finding the volume V: V = 3 1 Bh = 3 1 (36 cm2 ) (6 cm) = 72 cm3 The volume V of a pyramid is one third the product of its altitude h and the area B of its base. That is, V = 3 1 Bh. w = 4 cm l = 9 cm h = 6 cm base
  • 543.
    7 2. Find thevolume of a square pyramid with a side of the base as 4 cm and the height of a pyramid as 6 cm. Figure: Solution: Let B = area of the square base = s2 = (4 cm)2 B = 16 cm2 Finding the volume of the pyramid: V = 3 1 Bh = 3 1 (16 cm2 )(6 cm) = 32 cm3 s = 4 cm h = 6 cm
  • 544.
    8 3. Find thevolume of a triangular pyramid with the given dimensions. Figure: Solution: Let B = area of the triangular base B = 2 1 bh = 2 1 (20 cm)(5 cm) B = 50 cm2 Finding the volume of the pyramid: V = Bh = (50 cm2 )(8cm) V = 400 cm3 h = 8 cm (height of the pyramid) b = 20 cm h = 5 cm (height of the base)
  • 545.
    9 Try this out Findthe volume of each solid: 1. 2. 3. 6 cm 6 cm 6 cm 12 mm 6 mm 9 mm 1.5 cm 15 cm h = 3 cm
  • 546.
    10 Find the volumeof each pyramid: 4. 5. 6. h = 15 cm w = 10 cm l = 25 cm h = 7 m 3.5 m 3.5 m h = 10.4 cm (pyramid) h = 4.3 cm (base) b = 16.2 cm
  • 547.
    11 7. What isthe volume of a cardboard box that is 9 m long, 6 m wide, and 3 m high? 8. Find the volume of a cube with side of 8 cm. 9. Find the volume of a triangular chocolate box. 9 m 3 m 6 m 8 cm 8 cm 8 cm 4 cm 3 cm h = 7 cm
  • 548.
    12 10. Find thevolume of a camping tent in a square pyramid shape with a side of the base as 5 cm and the height of a triangle as 7 cm. 11. A pyramid has a rectangular base whose length and width are 15.5 cm and 3.3 cm respectively. The height of the pyramid is 4 cm. Find its volume. 12. Find the volume of a tetra pack juice drink in triangular pyramid shape with the given dimensions. h = 8.5 cm 6.3 cm 6.3 cm h = 4 cm w = 3.3 cm l = 15.5 cm h = 10 cm (pyramid) h = 5 cm (base)
  • 549.
    13 Lesson 2 Finding theVolume of a Cylinder, Cone and Sphere A cylinder has 2 congruent circular bases. The volume of a cylinder is just like finding the volume of a prism. Figure: Volume of a Cylinder Example: Find the volume of a cylinder which has a radius of 8 cm and a height of 15 cm. (Use 3.14 for π ) The volume V of a circular cylinder is the product of the altitude h and the area B of the base. That is, V = Bh or V = π r2 h. r h r = 8 cm h = 15 cm
  • 550.
    14 Solution: Let B =area of the circular base = π r2 = (3.14)(8 cm) B = 200.96 cm2 Finding the volume of the cylinder: V = Bh = (200.96 cm2 )(15 cm) = 3014.4 cm3 Volume of a Cone If a cone is filled with water or sand, and then its content is poured into the cylinder (the cone and cylinder have equal areas) only a third of the cylinder will be filled. This shows that the volume of a cone is 3 1 that of the cylinder. The volume V of a circular cone is one third the product of the altitude h and the area B of the base. That is, V = 3 1 Bh or V = 3 1 π r2 h r h
  • 551.
    15 Example: Find the volumeof a cone if the radius of its base is 4.5 cm and its height is 8.75 cm (Use π = 3.14) Solution: V = 3 1 π r2 h = 3 1 (3.14)(4.5 cm)2 (8.75 cm) V = 185.46 cm3 Volume of a Sphere Fill a cylinder with water. Push the sphere into the cylinder and determine the amount of water displaced. About 3 2 of the water will be displaced, so the volume of the sphere is 3 2 that of the cylinder. Figure: In the figure, the height of the cylinder is equal to the diameter of the sphere, the volume of the cylinder will now be equal to 2π r3 . Since the volume of the sphere is 3 2 that of the cylinder and the height of the cylinder = 2r, then V = 3 2 (2π r3 ) = 3 4 π r3 . The volume V of a sphere = 3 4 π r3 r = 4.5 cm h = 8.75 cm radius radius
  • 552.
    16 Example: What is thevolume of a ball with radius equal to7.8 cm? Solution: V = 3 4 π r3 = 3 4 (3.14)(7.8 cm)3 = 1,986.79 cm3 Try this out Find the volume of each solid. 1. 2. r = 7.8 cm h = 8.2 cm r = 4.3 cm r = 5.4 cm
  • 553.
    17 3. 4. 5. r = 4.4cm h = 7.6 cm r = 1.7 cm r = 2.7 cm h = 6.3 cm
  • 554.
    18 6. 7. A cylindricalwater tank is 6.2 meters high. If the radius of its base is 1.8 m, what is its volume. 8. The radius of a ball is 5.2 cm. What is its volume? r = 1.3 cm h = 3 cm h = 8.5 cm h = 2.6 cm r = 8.3 cm
  • 555.
    19 9. Find thevolume of a conic solid whose radius is 6.3 cm and its height is 13.5 cm. 10. Find the volume of a spherical tank whose radius is 1.7 meters. r = 6.3 cm h = 13.5 cm r = 1.7 m
  • 556.
    20 11. A conewith a diameter of 12 cm and height of 6 cm. Find its volume. 12. A can of milk has a diameter of 12 cm and a height of 17.3 cm. Find its volume. diameter = 12 cm h = 6 cm h = 17.3 cm diameter = 12 cm
  • 557.
    21 Let’s summarize The volumeof a three dimensional figure is the amount of space it encloses. The volume V of a cube with edge e is the cube of e. That is, V = e3 . The volume V of a rectangular prism is the product of its altitude h, the length l and the width w of the base. That is, V = lwh. The volume of a prism can be expressed in terms of area of the base, B. The volume V of a prism is the product of its altitude h and area B of the base. That is, V = Bh. The volume V of a pyramid is one third the product of its altitude h and the area B of its base. That is, V = 3 1 Bh. The volume V of a circular cylinder is the product of the altitude h and the area B of the base. That is, V = Bh or V = π r2 h. The volume V of a circular cone is one third the product of the altitude h and the area B of the base. That is, V = 3 1 Bh or V = 3 1 π r2 h The volume V of a sphere = 3 4 π r3
  • 558.
    22 What have youlearned Find the volume of each solid: 1. A cube with edge ( e) = 6.3 cm. 2. A cylinder with h = 15 cm, r = 7.1 cm. 3. A rectangular prism with l = 18 cm, w = 7 cm, h = 5 cm. 4. A square pyramid with s = 8.5 cm, h = 6 cm. 5. A cone with r = 3.8 cm, h = 7.2 cm. 6. A triangular prism with height 16 cm, base ( a right triangle with sides 3, 4 and 5 cm and the right angle between shorter sides). 7. A ball with radius of 13 cm. 8. A triangular pyramid with b = 5 cm, h = 7.2 cm (altitude of the base), h = 8 cm (height of the pyramid). 9. A rectangular pyramid with l = 9 cm, w = 6.3 cm, h = 8 cm (height of the pyramid). 10. A cylindrical tank is 5.4 m high. If the radius of its base is 4.9 m, what is its volume? 11. Find the volume of a rectangular prism which is 42 cm long, 38 cm wide and 22 cm high. 12. Find the volume of a pyramid with a square base if the length of the sides of the base is 3.6 m and a height of 1.8 m. 13. Cube with edge 10.5 cm. 14. Cylinder with radius of base 9.7 cm and height of 12 cm. 15. Rectangular prism with base 12 m by 14.6 m and height of 9.1 m.
  • 559.
    23 Answer key How muchdo you know 1. 13.82 m3 2. 30,395.20 cm3 3. 12,750 cm3 4. 50 m3 5. 25.12 cm3 6. 60 cm3 7. 20,569 cm3 8. 38.27 cm3 9. 68.8 cm3 10. 130.47 m3 11.42,550 cm3 12.6.72 m3 13.295.408 cm3 14.2,851.99 cm3 15.1,200 m3 Try this out Lesson 1 1. 216 cm3 2. 648 mm3 3. 33.75 cm3 4. 1,250 cm3 5. 28.58 m3 6. 120.74 cm3 7. 162 m3 8. 512 cm3 9. 42 cm3 10.112.46 cm3 11.68.2 cm3
  • 560.
    24 12.125 cm3 Lesson 2 1.158.69 cm3 2. 659.25 cm3 3. 462.01 cm3 4. 20.57 cm3 5. 48.07 cm3 6. 15.92 m3 7. 180.42 cm3 8. 2,393.88 cm3 9. 560.82 cm3 10.20.57 m3 11.226.08 cm3 12.1,955.59 cm3 What have you learned 1. 250.047 cm3 2. 2.374.311 cm3 3. 630 cm3 4. 144.5 cm3 5. 108.82 cm3 6. 96 cm3 7. 2,547.168 cm3 8. 48 cm3 9. 151.2 cm3 10. 407.11356 m3 11. 35,112 cm3 12. 7.776 m3 13. 1,157.625 cm3 14. 3,545.3112 cm3 15. 1,594.32 m3