GENERAL
EDUCATION
1. After 7 depressing years, Mitch
finally quit the job. She ___ along with
her superior for a long time before she
finally decided to look for a new
position.
a. Didn’t get
b. Isn’t getting
c. Hasn’t been getting
d. Hadn’t been getting
Past perfect progressive tense (had +
been + ing form of the verb) since there
are two past actions where the first past
action was still happening when the
second transpired.
2. Which among the sentences below
followed the correct order of
adjectives?
a. She drives an expensive black Japanese sports car.
b. She drives a black Japanese expensive sports car.
c. She drives a black expensive Japanese sports car.
d. She drives an expensive Japanese black sports car.
Sentence with multiple adjectives:
D – determiner (a, an, the)
O – observation (smooth, expensive)
S – size (short, big)
S –shape (round, triangular)
A- age (young , old)
C – color (blue, red)
O- origin (Asian, Japanese)
M – material (wood, ceramic)
N – noun qualifier (sports car, tool box)
3. The suspect was spared because all he
said were all white lies. The underlined
word phrase means…
a. lies are made in public
b. lies that bare harmless
c. lies are type written
d. lies recited are illogical
White lies:
The color white symbolizes purity,
and if we connect it with lie by all
means white lies are lies without any
intention to hurt people.
4. The voice resounds across the
Universe. What figure of speech?
a. hyperbole
b. simile
c. personification
d. metaphor
a. Hyperbole - exaggeration
b. simile - the use of like, or as.
c. Personification – giving human
attributes
d. Metaphor – direct comparison
5. The train arrived early. The
underlined word is ____.
a. adjective
b. verb
c. adverb
d. noun
6. One thirds of the population
_____ poor.
a. is
b. are
c. was
d. were
7. A number of whale species _____
now extinct because of illegal hunting
and alarming change in sea water
temperature.
a. are
b. is
c. were
d. was
A number + of phrase – takes a
plural verb
The number + of phrase takes a
singular verb
8. This pertains to the pauses or rest
in speech.
a. pitch
b. juncture
c. stress
d. intonation
Pitch – highness or lowness of sounds
stress- different emphasis on words
Intonation- rising and falling of
sounds
9. Emily was ostracized by her peers primarily
because of her eccentric principles. The
underlined word means….
a. criticized
b. condemned
c. excluded
d. praised
Ostracize/ excluded – being treated in an
unfriendly manner
10. Aside from being renowned writer, Carl
Sunburg is also believed to have the gift of
gab. The underlined word means…
a. ability to speak clearly
b. ability to speak persuasively
c. ability to speak honestly
d. ability to speak accurately
Gift of gab – to speak with confidence and
in turn to convince people
11. Many a man ___ to be rich
and famous.
a. desire
b. desires
c. is desiring
d. desiring
Many a + singular noun takes
a singular verb
Many a + plural noun takes a
plural verb
12. I left the mice some cheese.
What is the function of the
underline noun?
a . Direct object
b. Indirect object
c. Object of the preposition
d. subject
13. Which passage is expressed effectively
and without structural error/s?
a. Having called the other students and they,
the secretary went home
b. Having called the other students and us, the
secretary went home
c. Having called the other students and
ourselves, the secretary went home
d. Having called the other students and we, the
secretary went home
14. If I ______ the same problems you
had as a child, I might not have
succeeded in life as well as you have.
A. should C. have
B. had D. would have
14. If I ______ the same problems you
had as a child, I might not have
succeeded in life as well as you have.
A. should C. have
B. had D. would have
15. The means of transportation__________
dramatically since the end of the 20th
century.
A. have changed
B. will change
C. has changed
D. will have changed
16. The pair of scissors ______ on
the table.
A. was left C. was leaving
B. were left D. is leaving
16. The pair of scissors ______ on
the table.
A. was left C. was leaving
B. were left D. is leaving
17. The price of these sneakers
____ reasonable.
A. is
B. seem
C. are
D. aren’t
18. If I could speak English well, I
______ next year studying in the
States.
A. has spend
B. would spend
C. would have spent
D. will spent
19. Choose the sentence that expresses the
thought clearly and has no error in
structure/spelling.
A. The farmer did plow, plant harvest his corn
in second time.
B. The farmer plowed, has planted and has
harvested his corn in second time.
C. The farmer has plowed, planted and
harvested his corn in second time.
D. The farmer plowed, planted, and harvested
his corn in second time.
20. My grandma had some “lucid moments”
before she died. She was ________.
a. Thinking clearly
b. Sad
c. Confused
d. Ambiguous
21-25. Identify the type of mistake in logic
in the following sentences.
21. If you don’t believe in God, you’ll
burn in hell. What mistake in logic is
committed?
a. Slippery slope
b. Non sequitor
c. Red herring
d. Argument ad baculum
Slippery slope- the decision is deemed to
have slipped down the slope, thus the
situation is going out of control
Ex. Legalizing prostitution will lead to more vices
Non sequitor – a conclusion that does not follow
from the premises
Ex. The students study their lessons,
architects design houses; therefore doctors
cure the sick.
Red herring – irrelevant topic is
presented in order to divert attention from
the original issue
Ex. I should make the academic requirements stricter for
students. I recommend that you support this, because we are
in budget crisis and we don’t want our salaries be affected.
Argument ad baculum – based on
appeal on fear or threat
22. The belief in God is universal.
After all, everyone believes in God.
a. False analogy
b. Red herring
c. Appeal to common practice
d. Begging the question
False analogy – an unjustified reference drawn on
the basis of similarities between two items
Ex. The anger of the man was justified because it was just
like a volcano which has to erupt after too much pressure.
Begging the question – a statement/claim is
assumed to be true without evidence other than the
statement itself.
Ex. The suspected rapist should be put on death row.
23. If you do not buy this type of pet
food, you are neglecting your dog.
a. Appeal to emotion
b. Argumentum ad populum
c. Ad baculum
d. Composition fallacy
Argumentum ad populum – make use of an
appeal to popular prejudices than to reason
Ex. Use Clean Guard; it is the only soap endorsed by
doctors.
Composition fallacy – when conclusion of an
argument depends on an erroneous
characteristics from parts of something to the
whole
24. “We’ve got to stop them from banning
pornography. Once they start banning
one form of literature, they will never
stop. Next thing you know, they will be
burning all books.
a. Slippery slope
b. Appeal to emotion
c. Non sequitor
d. Red herring
25. Human have consciousness and
human bodies and brains consist of
atoms; therefore, atoms have
consciousness.
a. Non sequitor
b. Composition fallacy
c. Appeal to emotion
d. Red herring
26. “I value a man for the SIZE OF HIS
HEART.” The capitalized words mean
that:
a. man’s love is measured by the size of
his heart
b. the size of heart determines the length
of life
c. man should use his mind over his heart
d. man’s kindness is most important
27. She has a penchant for blue
dresses. This indicates
___________.
a. Dislike
b. Avoidance
c. Fondness
d. Strong aversion
28. There was an ESOTERIC lecture on
holography.
a. Cryptic
b. Straightforward
c. Under stable only by a select group
d. Irrefutable proof
29. ‘Her way of speaking is as
entertaining as a laundry list’ is an
example of
a. Simile
b. Hyperbole
c. Metaphor
d. Onomatopoeia
30. Communion is an essential
element in the establishment of a
culture of peace. Which does NOT go
with the spirit of communion?
a. Living peacefully with nature
b. Transcending national boundaries
c. Overcoming ethnic and cultural
divisions
d. Widening the gap among individuals
and nations
31. Ano ang tawag sa mga titik
batay sa bigkas ng Ingles?
A. Alivata or baybayin
B. Alpabetong Filipino
C. Alphabetong Romano
D. Alpabetong Pilipino
32. Ang sabi ni Romulo sa isa niyang akda,
ang Pilipino ay dugong maharlika. Ano ang
kahulugan nito?
A. Ang Pilipino ay sadyang matatag ang
budhi
B. Ang Pilipino ay nanggaling sa malayang
lahi
C. Ang Pilipino ay madaling maipagbili at
mabola
D. Ang Pilipino ay di purong Pilipino
33. Ang Tagalog ang nagging opisyal
na wika ng Pilipinas dahil sa:
A. Saligang batas ng 1986
B. Saligang batas ng 1973
C. Saligang batas ng 1935
D. Saligang batas ng Malolos
34. Di katakataka na ilang pulis a
hinihiling kasangkot sa
pagpalaganap ng krimen. Ano ang
kahulugan ng kasangkot?
A. Kabalikat C. Kasabwat
B. Kabilang D. Kasama-sama
34. Di katakataka na ilang pulis a
hinihiling kasangkot sa
pagpalaganap ng krimen. Ano ang
kahulugan ng kasangkot?
A. Kabalikat C. Kasabwat
B. Kabilang D. Kasama-sama
35. Ang salin sa blangko para sa blank
ay halimbawa ng pagtutumbas na
__________.
A. Panghiram sa Espanyol at pagbaybay
sa Filipino
B. Kung ano ang bigkas siyang sulat
C. Paggamit ng leksikong Filipino
D. Panghihiram ng salitang katutubo
36. “Mahal kita, mahal kita hindi ‘to
bola! Ngumiti ka man lang sana ako’y
nasa langit na”. Ang salitang
pampanitikan na ginagamit sa linya ng
kanta ay nangangahulugang
_________.
A. napakasaya C. pakikipagkaibigan
B. sinisinta D. laruan
36. “Mahal kita, mahal kita hindi ‘to
bola! Ngumiti ka man lang sana ako’y
nasa langit na”. Ang salitang
pampanitikan na ginagamit sa linya ng
kanta ay nangangahulugang
_________.
A. napakasaya C. pakikipagkaibigan
B. sinisinta D. laruan
37. “Heto na, heto na, heto na, /
wahh! Doo bidoo bidoo, bidoo,
bidoo”. Alin ang nabuong salita o
tunog sa linya na nabuo ayon sa
teoryang pooh-pooh?
A. Wahh C. Na
B. Heto D. Doo bidoo
37. “Heto na, heto na, heto na, /
wahh! Doo bidoo bidoo, bidoo,
bidoo”. Alin ang nabuong salita o
tunog sa linya na nabuo ayon sa
teoryang pooh-pooh?
A. Wahh C. Na
B. Heto D. Doo bidoo
38. Alin sa mga sumusunod ang pinakatamang
pangungusap?
A. Ang mga bataan sa lansangan ay naglalaro at
nagtatakbuhan sa lansangan
B. Ang mga kabataan ay naglalaro at nagtatakbuhan
sa lansangan kung maliwanag ang gabi
C. Ang mga kabataan ay naglalaro kung
maliwanagang buwan at nagtakbuhan sa
lansanngan
D. Ang mga kabataan kung maliwanag ang buwan ay
nagtatakbuhan sa lansangan at naglalaro
39. Kabaliwan at paglulustay ang
iyong ginagawa taun-taon. Higit na
marami ang maralitang
nangailangan ng salapi at duong.
Ang nagsasalita ay –
A. Maramot C. Matipid
B. Praktikal D. kuripot
39. Kabaliwan at paglulustay ang
iyong ginagawa taun-taon. Higit na
marami ang maralitang
nangailangan ng salapi at duong.
Ang nagsasalita ay –
A. Maramot C. Matipid
B. Praktikal D. kuripot
40. Piliin ang gawi pagsasalita:
Ayokong sumunod sa mga sinasabi
mo.
A. Babala
B. Pakiusap
C. Pagtanggi
D. Pamungkahi
41. Ikinalulunkot ko ang mga
nangyayari.
A. Pagsagot
B. Panghula
C. Pagtanong
D. Paghingi ng paumanhin
42. Ipinagmamalaki mo siya, BAHAG
naman pala ANG kanyang BUNTOT.
Ang ibig sabihin ng may malaking itik
ay.
A. Mahiyain C. Kuripot
B. Traidor D. Duwag
42. Ipinagmamalaki mo siya, BAHAG
naman pala ANG kanyang BUNTOT.
Ang ibig sabihin ng may malaking itik
ay.
A. Mahiyain C. Kuripot
B. Traidor D. Duwag
43. Ang kaugnayan ng pagkakapantay kina
Burgos, Gomez at Zamora sa panitikang
Pilipino ay –
A. Nanatiling masigla ang diwang Pilipino
B. Nakagising saa damdaming makabayan
ng mga Pilipino
C. Natuong lumabag sa batas at lumaban
sa may kapangyarihan ang mga Pilipino.
D. Naimpluwensyahan ang diwa alipin ng
mga Pilipino
44. Alin sa mga sumusunod ang
pinakatamang pangungusap?
A. Ang pabrikang pinagtrabahuhan nila
malapit sa amin ay bago’t malaki.
B. Ang bago’t malaking pabrikang
pinagtrabahuhan nila ay malapit sa amin.
C. Ang pinagtatrabahuhan nilang malapit
sa amin a bago’ malaking pabrika
D. Ang pabrikang malapi sa amin, bago’t
malaki ay pinagtatrabahuhan nila.
45. Alin sa sumusunod ang pinakatamang
pangungusap?
A. Nagpapabata ang pulbos sa kutis na
Clinique
B. Nagpapabata sa kutis ang pulbos ng
Clinique
C. Nagpapabata ng mukha sa kutis ng
pulbos na Clinique
D. Nagpapabata sa kutis ng mukha ang
pulbos na Clinique
46. Piliin ang gawi ng pagsasalita:
Kasiyahan ko nang makitang kayo’y
nagmamahalan.
A. Pangarap
B. Pagkontrol ng kilos
C. Pagkuha ng impormasyon
D. Pagbabahagi ng damdamin
47. __________ mo kay Luisito na
may pasalubong ako para sa kanya.
A. Sabihin C. Pakisabi
B. Sabihan D. Pakisabihan
47. __________ mo kay Luisito na
may pasalubong ako para sa kanya.
A. Sabihin C. Pakisabi
B. Sabihan D. Pakisabihan
48. Ang pagdadasal at pananalig ay
__________ sa tao upang mapalapit
siya sa Diyos.
A. nakakatulong
B. nakatutulong
C. Nakakatulungan
D. mag-tulungan
49. Nawawala ang alahas na
__________ mo sa akin.
A. pinatago C. ipinapatago
B. pinagtago D. ipinatago
49. Nawawala ang alahas na
__________ mo sa akin.
A. pinatago C. ipinapatago
B. pinagtago D. ipinatago
50. __________ ni Penelope ang
kanyang damit nang hindi niya
sinasadya.
A. Nasira C. Masira
B. Sinira D. Sinisira
50. __________ ni Penelope ang
kanyang damit nang hindi niya
sinasadya.
A. Nasira C. Masira
B. Sinira D. Sinisira
51. __________ na ng magaling na
barber ang buhok ni Felix.
A. Gugupitin
B. Maggugupit
C. Gugupitan
D. Hahagupitin
52. Marumi ang baso. Huwag mong
__________ yan!
A. inumin C. uminom
B. inuman D. pag-inuman
52. Marumi ang baso. Huwag mong
__________ yan!
A. inumin C. uminom
B. inuman D. pag-inuman
53. __________ mo sana kay Roland
kung kailan siya uuwi ng Pilipinas.
A. Ipagtanong C. Tinanong
B. Ipagtatanong D. Itinanong
53. __________ mo sana kay Roland
kung kailan siya uuwi ng Pilipinas.
A. Ipagtanong C. Tinanong
B. Ipagtatanong D. Itinanong
54. Kailan nga ba __________ si
Mayor dahil sa pangungurakot?
A. kinulong C. ikinulong
B. kinukulong D. ikinukulong
54. Kailan nga ba __________ si
Mayor dahil sa pangungurakot?
A. kinulong C. ikinulong
B. kinukulong D. ikinukulong
55. __________ namin ang inyong
pagdating dito sa Villa Escudero.
A. Ikinakagalak
B. Ikinagagalak
C. Gagalakin
D. Ikinakapagpagalak
56. Pinag-aaralang mabuti ng bawat
abogado ang __________ ng 1987.
A. batas pambansa
B. saligang-batas
C. batas military
D. saklawang-batas
57. “Kung sa langit ay nabubuhay ang
sa lupa ay namamatay ano’t
kinatatakutan ang oras ng kamatayan.”
Anong damdamin ang ipinapahayag
nito?
A. Maging matapang
B. Maging mapagpasensiya
C. Mapagbigay
D. Matatag sa buhay
58. Ano ang kahulugan ng
pangungusap na ito: Ilista mo na
lamang sa tubig ang aking utang.
A. Kalimutan na ang utang
B. Magbabayad din ng utan
C. Tubig ang listahan
D. Nasa tubig ang utang
59. Alin sa mga sumusunod ang
pangungusap na may paksa?
A. May pasok ba bukas?
B. Kay ganda ng paglubog ng araw
C. Nagbabasa sila sa aklatan
D. Mainit ngayon
60. Sa taas ng mga bilihin ngayon
kahit kahig ng kahig ay wala pa ring
maipon. Ano ang ibig sabihin?
A. Hanap ng hanap
B. Tago ng tago
C. Gastos ng gastoS
D. trabaho ng trabaho
61. An elevator can carry a
maximum load of 605 kg. How many
passengers of weight 50.5 kg each
can the elevator hold?
A. 12 B. 11.9 C. 11 D. 10
605/50.5 = 11.9
Therefore 11 passengers
62. A room is 30 ft. long, 25 ft. wide
and 14 ft. high. If 42 balloons are
inside the room, how many cubic
feet of space does this allow for
each balloon?
A. 25 B. 9 C. 250 D. 690
30 x 25 x 14 = 10500
10500/42 = 250
63. How much liquid containing 6%
boric acid should to be mixed with 2
quarts of a liquid that is 15% boric
acid in order to obtain a solution
that is 12% boric acid?
A. 1 quart C. 3 quarts
B. 2 quarts D. 5 quarts
0.06(x) + .15 (2) = .12 (x + 2)
0.06x + .3 = .12x + .24
0.06X - .12x = .24 - .3
-0.06x = - 0.06
X = 1
64. A defective ruler was found to
be 11.5 in long. Using this ruler,
Samuel was found to be 4 ft tall.
What is Samuel’s actual height?
A. 4 ft 2 in C. 3 ft 11.5 in
B. 4 ft 4 in D. 3 ft 10 in
1 ft = 12 inches
4ft = 48 inches
Ruler = 11. 5 inches, so less 0.5 in.
0.5 (4) = 2 inches
Therefore 3 ft and 12 inches is the
actual height of Samuel.
65. If an apple weighs about 170
grams, about how many apples are
in a 3.5 kilogram bag of apples?
A. 20 B. 22 C. 21 D. 23
3.5kg = 3500 grams
1:170 = x: 3500
170x = 3500
X = 20.5
20 apples
66. A new supercomputer measures
462 lbs in weight. How much does it
weigh in grams?
A. 210 g C. 21,000 g
B. 2,100 g D. 210,000 g
66. A new supercomputer measures
462 lbs in weight. How much does it
weigh in grams?
462 lbs x 1kg/ 2.2 lbs x 1000 g/1kg
210,000 grams
67. A slow moving snail travelled
4,800 mm. How far did it travel in
kilometers?
A. 0.0048 km C. 0.48 km
B. 4.8 km D. 0.048 km
4800mm x 1m/1000mmx 1km/1000m
0.0048 km
Move 6 decimal places to the left
68. The measure of an angle is 25
more than its supplement. What is
the measure f the larger angle?
A. 102.5 degrees C. 77.5 degrees
B. 90 degrees D. 110 degrees
The measure of an angle is 25 more
than its supplement. What is the
measure 0f the larger angle?
X = 180 – x + 25
2x = 205
X = 102.5
69. If the measure of an angle is
twice the measure of its
complement. What is the measure
of the angle?
A. 30 degrees C. 60 degrees
B. 90 degrees D. 120 degrees
If the measure of an angle is twice the
measure of its complement. What is
the measure of the angle?
X = 2 (90 – x)
X = 180 – 2x
X+ 2x = 180
3x = 180
X = 60
70. Which among the following statements
is ALWAYS TRUE?
A. The supplement of an angle is acute.
B. The complement of an angle is obtuse.
C. The complement of any acute angle is
acute.
D. Two supplementary angles are
congruent.
71. Which of the following is ALWAYS FALSE?
A. Two adjacent right angles are
supplementary
B. Complement of congruent angles are
congruent
C. Two intersecting lines form two pairs of
vertical angles
D. Angles that form a linear pair are
complementary
Angles that form a linear pair are
supplementary.
Supplementary angles are
angles whose sum is 180.
72. What is the measure of an angle if
the measure of its supplement is 39
degrees more than twice the measure
of its complement?
A. 29 degrees C. 39 degrees
B. 49 degrees D. 59 degrees
c. 39
180 – x = 2(90 – x) + 39
180 – x = 180 – 2x + 39
-x + 2x = 180 – 180 + 39
X = 39
73. Which of the following
statement is TRUE?
A. A rectangle is a square
B. A parallelogram is a trapezoid
C. A rhombus is a rectangle
D. A square is a rhombus
74. Factor completely the
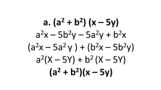
expression: a2x – 5b2y – 5a2y + b2x.
A. (a2 + b2) (x – 5y)
B. (a2 – b2) (x + 4y + 3)
C. (a + b) (a – b)(x – 5y)
D. (a2 + b2) (x2 – 5y2)
a. (a2 + b2) (x – 5y)
a2x – 5b2y – 5a2y + b2x
(a2x – 5a2 y ) + (b2x – 5b2y)
a2(X – 5Y) + b2 (X – 5Y)
(a2 + b2)(x – 5y)
75. Which among the following is
NOT a perfect square trinomial?
A. x2 + 8x + 16
B. 9x2 + 12x + 4
C. 49x2 + 70x + 36
D. x2 + 6x + 9
76. Factor completely the expression:
27a3 – 54a2b + 36ab2 – 8b3.
A. (3a – 3b)3
B. (4a – 3b)3
C. (a – 3b)3
D. (3a – 2b)3
27a3 – 54a2b + 36ab2 – 8b3
Difference of two cubes:
Cube root the first term 27a3
Cube root the last term 8b3
(3a – 2b) 3
77. What is the greatest common
monomial factor of the expression: -
13abc – 39bc + 26ab?
A. 3b C. 13abc
B. -13b D. 26b
77. What is the greatest common
monomial factor of the expression: -
13abc – 39bc + 26ab?
A. 3b C. 13abc
B. -13b D. 26b
78. A triangle has a perimeter of 50.
If 2 of its sides are equal and the
third side is 5 more than the equal
sides, what is the length of the third
side?
A. 5 B. 10 C. 15 D. 20
78. A triangle has a perimeter of 50.
If 2 of its sides are equal and the
third side is 5 more than the equal
sides, what is the length of the third
side?
A. 5 B. 10 C. 15 D. 20
79. A rectangle is 4 times as long as it
is wide. If the length is increase by 4
inches and the width is decrease by 1
inch, the area will be 60 squares
inches. What were the dimensions of
the original rectangle?
A. 2 x 32 B. 4 x 16
C. 3 x 14 D. 5 x 12
79. A rectangle is 4 times as long as it
is wide. If the length is increase by 4
inches and the width is decrease by 1
inch, the area will be 60 squares
inches. What were the dimensions of
the original rectangle?
A. 2 x 32 B. 4 x 16
C. 3 x 14 D. 5 x 12
80. Find the equation of the line
with a slope of 4 and passing
through the point (-5, 3).
A. x – 4y = -23 B. 4x – 4y = 23
B. 4x – y = -23 D. x – y = -4
M = 4 ; (-5, 3)
Y –y1 = m(x – x1)
Y – 3 = 4(x + 5)
Y -3 = 4x + 20
-4x + y – 3 – 20 = 0
-4x + y – 23 = 0
4x – y + 23
4x – y = -23
81. The head of the comet is
described as a “dirty iceberg”.
Which of these is NOT a
component of the “dirty
iceberg”?
a. Frozen water
b. Carbon dioxide
c. Ammonia
d. Nitrogen
82. To what direction is the
comet’s tail pointing?
a. Towards the sun
b. Away from the sun
c. Towards the moon
d. Away from the moon
A comet is a heavenly body that
has a glowing head and a long
bright tail. The head of the comet
is consist of tiny particles of rock
frozen into mass of ice (frozen
water, ammonia, carbon dioxide,
and methane). Its tail is made up of
dust particles and always points
away from the sun.
83. Which of these earth
motions bring about tides?
a. Revolution
b. Rotation
c. Orbit
d. Gravitational pull
84. Which of these has the
strongest tide – making effect?
a. Sun
b. Earth
c. Moon
d. Sun and earth
85. This makes very high high
tides and very low low tides.
a. Neap tide
b. Spring tide
c. Red tide
d. Supreme tide
The moon is the chief maker of tides.
The sun can strengthen or weaken the moon’s
gravitational pull on earth.
At new moon and full moon, the sun and moon
are along the same line. This makes very high
high tides and very low low tides which is
called SPRING TIDES.
At quarter phases of the moon, the sun is
opposite the moon (90degrees). This makes high
tides that are not very high which is called
NEAP TIDES.
86. How do asteroids revolve
around the sun?
a. Clockwise
b. Counter clockwise
c. Left to right
d. Right to left
87. Asteroids that travel in
space is called…
a. Meteors
b. Meteoroids
c. Meteorite
d. asterorite
Asteroids are minor planets found between
Mars and Jupiter (asteroid belt). Like planets,
asteroids revolve around the sun
counterclockwise.
Meteoroids – asteroids that travel in space
Meteors – meteoroids that fall into the
atmosphere of the earth.
Meteorite – a meteor that falls on the surface of
the earth
Asteroids meteoroids meteors meteorites
88. Which of these describes
sunspots?
a. A disturbance
b. A magnetic activity
c. Both a and b
d. A fusion of nuclear energy
Sunspots are seen as dark
spots on the surface of the sun
(photosphere). They are
believed to be the disturbances
in the lower atmosphere of the
sun. Most sunspots are found
within 30 degrees of the sun’s
equator.
89. Which of these is the bright
and visible part of the sun?
a. Chromosphere
b. Photosphere
c. Corona
d. sunspot
90. . Which of these appears as
a thin layer of red light around
the sun during an eclipse?
a. Chromosphere
b. Corona
c. Photosphere
d. prominence
Parts of the Sun:
1. PHOTOSPHERE- the bright and visible surface
where sunspots and prominence appear. Sunspots
are dark spots while prominences are huge arch
of gases.
2. CHROMOSPHERE – a thick layer of boiling and
spinning gases. It appears as a thin layer of red
light during eclipse.
3. CORONA – composed of extremely thin dust and
gases, and has a temperature of 2 million degree
celcius and is much hotter than the surface. During a
total eclipse, it becomes visible to earth.
91. . Which of these could draw
bodies in the universe into one
single mass?
a. Inertia
b. Motion
c. Gravitation
d. acceleration
92. Which prevents the bodies
in the universe to be drawn
together into one single mass?
a. Motion
b. Gravitation
c. Acceleration
d. inertia
Motion is the process of the change in
position. It prevents gravitation from
drawing everything together into one
single mass.
Gravitation is the natural force of
attraction between massive bodies.
Inertia is the tendency of the body to
remain at rest or in motion unless
acted by an external force.
93. Which of these break down
rocks?
a. Erosion
b. Weathering
c. Gravity
d. water
Types of weathering:
1. Disintegration – a physical
weathering. It is a mechanical
process that breaks big mass of
rocks into smaller pieces.
2. Decomposition, a chemical
weathering, is the process that
forms new substance from
minerals in rocks
94. When rocks are already exist have
changed into new kinds of rocks
because of pressure and temperature
changes, the rocks now become….
a. Igneous
b. Sedimentary
c. Metamorphic
d. lava
Igneous rocks – considered as the parent
rocks, formed by cooling and hardening of hot
rocks (magma) from within the mantle of the
earth (e.g. ganite and basalt)
Sedimentary rocks – secondary rocks,
formed by the hardening layers of the earth
sediments (e.g. sandstone, limestone)
Metamorphic – to transform/change into new
kinds of rock because of pressures (e.g.
marble and slate)
95. According to Moh’s scale of
mineral hardness, which among
the following is the hardest?
a. Apatite
b. Topaz
c. Quartz
d. corundum
MOH’S SCALE OF MINERAL HARDNESS (increasing
order):
1. TALC – talcum powder
2. GYPSUM – Plaster of Paris
3. CALCITE – Limestone and shells
4. FLOURITE – fluorine
5. APATITE
6. ORTHOCLASE – feldspar
7. QUARTZ –
8. TOPAZ
9. CORUNDUM – sapphire and ruby
10. DIAMOND – used in jewelry and cutting tools.
96. Which heating element is
found inside the flashlight
bulb?
a. Alloy
b. Nichrome
c. Tungsten
d. filament
97. Which process occurs when dry
ice, CO2 (solid) is changed into CO2
(gas)?
A. Decomposition
B. Evaporation
C. Condensation
D. Sublimation
98. Which of the following is
the product of combining iron
with water and oxygen?
a. Galvanized iron
b. Rust
c. Steel
d. alloy
99. Which of the following highlight the
significance of the process of mitosis?
a. daughter cells have more chromosomes
than the parent cell
b. daughter cells have chromosomes twice
the number as that of the parent cell
c. daughter cells have the same number of
chromosomes as that of the parent cell
d. daughter cells have half the number of
chromosomes as that of the parent cell
100. What vitamin is necessary
for blood clotting?
a. Vitamin B12
b. Vitamin C
c. Vitamin K
d. Vitamin D
a. Vitamin B12 – formation of red
blood cells (red meat, milk, egg.
Cheese)
b. Vitamin C- building strong bones,
fight against infection (citrus fruits)
c. Vitamin K- for normal blood clotting
(green leafy vegetables, liver)
d. Vitamin D – for building strong
bones and teeth (dairy products,
fish, liver oil)
101. What is formed when coral
colonies grow close to the
shore?
a. Fringing reef
b. Barrier reef
c. Coral atoll
d. Coral rocks
102. In what phylum do
earthworms belong?
a. Nematodes
b. Porifera
c. Cnidaria
d. annelids
Classification of Invertebrates:
1. Porifera – pore-bearing animals (sponges)
2. Cnidaria – hollow-intestine animals (hydras)
3. Platyhelminthes – flattened and elongated (flatworms,
tapeworms)
4. Annelids – elongated, segmented (earthworms, leeches)
5. Mollusks – soft-bodied animals living in a shell (snails,
clams, squids)
6. Nematodes – elongated, unsegmented (roundworms)
7. Anthropods – segmented with hardened skeleton (insects,
crabs, spiders, centepedes)
8. Echinoderms – spiny – skinned animals (starfish, sea
urchins
103. They live part of their lives
while they are young in water.
When they mature, they live on
land to survive.
a. Reptile
b. Mammals
c. Amphibian
d. bird
104. Which of these animals
demonstrate cryptic
coloration?
a. Native ducks
b. Bumble bee
c. Grasshoppper
d. tamaraw
105. Where does the filtration
of blood in the kidney take
place?
a. Bowman’s capsule
b. Glomerulus
c. Tubule
d. Renal artery
106. Where does the reabsorption
of most water and other materials
needed for life take place?
a. Bowman’s capsule
b. Glomerulus
c. Tubule
d. Renal artery
107. What is our main organ for
excretion?
a. Bladder
b. Skin
c. Lung
d. kidney
Kidney is the main organ for
excretion. It is composed of about a
million of tiny units called
nephrons. A nephron is made up
of a cuplike structure called
Bowman’s capsule which
surrounds mass of capillaries called
glomerulus and narrows into a long
coiled tubule.
108. Mario met an accident and was bleeding
profusely. He needed a blood type AB
transfusion. There was confusion on what to do
because no blood type AB was available.
Somehow he survived because they were able
to give him blood. Which of the following best
explains this?
a. Type A was mixed with type B blood.
b. Type B was mixed with type A blood.
c. Type AB can receive type A blood.
d. Type AB can be given any blood type.
109. What happens to your
diaphragm when you exhale?
a. Relaxes
b. Relaxes and contracts
c. Contracts
d. Absorbs air
110. Which of the following
greenhouse gases has the
greatest heat trapping ability per
molecule?
a. Nitrous oxide
b. Carbon dioxide
c. Chlorofluorocarbon
d. methane
111. In plant cells, chloroplasts are active in the
chemical processes required to make food.
Animal cells have no chloroplasts. Based on this,
we can conclude that _______
a. plant cells are more complex than animal cells
b. animals must obtain food from outside sources
c. animal cells are more complex than plant cells
d. animal cells prey upon cells as a food source
112. When a spring is released, its
potential energy is converted to
_________ energy.
A. Magnetic C. Electrical
B. Light D. Kinetic
112. When a spring is released, its
potential energy is converted to
_________ energy.
A. Magnetic C. Electrical
B. Light D. Kinetic
113. A car is travelling in a circle with a
constant speed. Which statement is TRUE?
A. The car has constant velocity but
changing acceleration.
B. The car has changing velocity but
constant acceleration.
C. The car has changing velocity and
changing acceleration.
D. The car has constant velocity and
constant acceleration.
114. A rock is dropped out of the window
of a moving car. At the same time a ball is
dropped from rest from the same height.
Neglecting air resistance, which will reach
the ground first?
A. Rock will hit the ground first
B. Ball will hit the ground first
C. Both will hit at the same time
D. Neither will hit the ground
115. Which of the following physical
charges involve adding heat to a
substance?
a. Boiling and condensing
b. Condensing and freezing
c. Evaporating and condensing
d. Melting and boiling
116. If you lower the frequency of a
wave in a string you will _______.
A. shorten its period
B. lower its speed
C. increase its wavelength
D. lower its amplitude
117. Which is the method that uses
organisms to clean up toxic waste?
A. Bioremediation
B. Carrying capacity
C. Deforestation
D. Monoculture
118. The process of restoring mined
land to its original contours and
vegetation is called…
A. bioremediation
B. recycling
C. Reclamation
D. Reforestation
119. What do rays of light demonstrate
when they strike a polished piece of
metal, appearing to bounce off its
surface?
a. Refraction
b. Polarization
c. Reflection
d. Interference
Reflection refers to the bouncing back of a
wave when it hits a barrier.
Refraction is the bending of waves as they
enter another medium at an angle. This is
associated with a change in the direction and
sped of the wave.
Diffraction is the bending of waves around
small openings and around edges of barriers.
Interference is the overlapping of waves. It is
the combined effects of two or more waves
coming together
120. When light falls on soap
bubbles, the band of seven colors
seen is due to __________.
A. Diffraction C. Reflection
B. Scattering D. Interference
120. When light falls on soap
bubbles, the band of seven colors
seen is due to __________.
A. Diffraction C. Reflection
B. Scattering D. Interference
121. It is an inherent power of the
state to impose and collect
revenues to defray the necessary
expenses of the government
a. Police Power
b. Power of eminent domain
c. Taxation
d. None of the above
122. It is concerned with issues
and problems concerning the
overall economy of a nation or the
world economy
a. Microeconomics
b. Macroeconomics
c. Economics
d. Political Economy
123. The distribution of economic
resources among existing
alternatives.
a. Production
b. allocation
b. Consumption
c. conservation
124. A kind of freedom wherein an
individual is free to seek any
opportunity of employment for
living.
a. political freedom
b. academic freedom
c. cultural freedom
d. economic freedom
125. A radical change in the
methods of production from
hand tools to state-of-the-art
machinery.
a. Industrial Revolution
b. feudalism
c. agricultural development
d. cultural development
126. A type of behavior usually
negative or hostile feeling or
attitude toward a group or toward
a person who belongs to a
particular group because s/he is
presumed to have negative
qualities ascribed to the group.
a. Discrimination c. Stereotypes
b. Prejudice d. Harassment
126. A type of behavior usually
negative or hostile feeling or
attitude toward a group or toward
a person who belongs to a
particular group because s/he is
presumed to have negative
qualities ascribed to the group.
a. Discrimination c. Stereotypes
b. Prejudice d. Harassment
127. A type of behavior that
occurs when there is an action
(based on the prejudice) which
denies a person or group
equality of treatment.
a. Discrimination c. Stereotypes
b. Prejudice d. Harassment
127. A type of behavior that
occurs when there is an action
(based on the prejudice) which
denies a person or group
equality of treatment.
a. Discrimination c.
Stereotypes
b. Prejudice d. Harassment
128. When a person fails to adjust
to the fast changing world, he is
likely to suffer from
a. culture shock
b. culture change
c. severe headache
d. extreme loneliness
129. What do you call an oversimplified
generalization about a particular group, which
is usually negative or unfavorable, without
sufficient basis? Example of these includes:
Women are perceived as weak, homosexuals
are dangerous and sexual predators and
ethnic groups are mean and lazy.
a. Prejudice
b. Discrimination
c. Stereotypes
d. Phobia
130. When one considers the
culture of another group as
superior to his own, this
connotes:
a. Ethnocentrism
b. Assimilation
c. Acculturation
d. Xenocentrism
131. In what part of the world can
you find the longest and largest
coral reef which is also known s
the “Great Barrier Reef”?
A. Africa
B. North America
C. Australia
D. South America
132. The Philippines is a democratic
and _____________ state.
Sovereignty resides in the people
and all the government authority
emanates from them.
a. Presidential b. Bicameral
c. Republican d. Constitutional
132. The Philippines is a democratic
and _____________ state.
Sovereignty resides in the people
and all the government authority
emanates from them.
a. Presidential b. Bicameral
c. Republican d. Constitutional
133. The term of office for the
President under the 1987
Constitution.
a. 3 years
b. 3 years with re-election
c. 6 years
d. 6 years with re-election
134. It is the environmental milestone
that requires industries to install anti-
pollution devices and ban the use of
incinerators.
a. The Greenpeace Act
b. The Clean Air Act
c. The Environmental Care Act
d. The Anti-Pollution Act
135. The secret society Jose Rizal
established designed to promote
civic and patriotic education among
the Filipinos.
a. La Liga Filipina
b. Propaganda
c. Companiero System
d. La Juventud
136. This law imposed the equal
rights between the Americans and
Filipinos during the American
occupation of the Philippines.
a. Jones Law
b. Parity Law
c. Tydings Mc Duffie Law
d. Hare-Hawes Cutting Law
The Jones Law of 1916, also known as the Philippine Autonomy Act, changed
the legislative arrangement. The Philippine Commission was abolished and
replaced by the elected Senate of the Philippines. The Philippine Assembly was
also reorganized and renamed the House of Representatives. The new
Philippine Legislature was inaugurated on October 16, 1916.
The Hare–Hawes–Cutting Act was the first US law passed for the
decolonization of the Philippines. It was the result of the OsRox Mission led
by Sergio Osmeña and Manuel Roxas.
137. The late president Ferdinand Marcos
place the Philippines under Martial Law
through which of the following laws?
A. Article 6 Section 14 of the 1973
Constitution
B. R.A 274
C. Proclamation 1081
D. KautusangTagapagpaganapBlg. 25
S.1974
138. What building was the only one
left intact after the destruction of
Intramuros during the Battle of
Manila?
A. Manila Post Office
B. San Agustin Church
C. Manila Cathedral
D. Quiapo Church
139. What was the first book
published in the Philippines?
A. Del Superior Goveirno
B. Doctrina Christiana
C. PasiongMahal
D. BarlaameJosaphat
140. The world of nation is suffering
from recession and so nations are
experiencing the following
EXCEPT____________.
A. people are losing their jobs
B. businesses are raking bigger profits
C. there is a drop total spending
D. Production is slowing down
141. Tomatoes are off season and so
price for tomatoes is up. Which law/
principle in Economics explain it?
A. Substitution effect
B. Law of cause and effect
C. Principle of marginal utility
D. Law of supply and demand
142. Which explains GNP?
A. The total value in pesos of goods and
services produced during the year
B. The total value in pesos of goods
produced during the year
C. The total value in pesos of the services
produced during the year
D. The total value in pesos of goods and
services produced for 2 quarters
143. When parents decide to send their
children to private school and pay their tuition
fee instead of sending them to the public
school, they don’t get their share in the
benefit derived from the taxes they pay. This is
a case of __________.
A. social injustice
B. double jeopardy
C. double taxation
D. social inequity
144. Which one CORRECTLY applies to
Philippine foreign trade?
A. Philippine expenditure exports and earning
from imports fluctuate.
B. The Philippines spends less on imports than
it earns from exports.
C. The Philippine expenditure on imports is
balanced with its earnings from exports.
D. The Philippines spends more on imports
than it earns from exports.
145. What is true of progressive system of
taxation?
A. The rate of tax increases as the income tax
base or income bracket increases.
B. The tax is equal regardless of class and place
C. The rate of tax decreases as the income tax
base increases.
D. The rate of tax increases as the income tax
base decreases.
146. I rent out for P 10,000 per
month my only building and lot to
the Jesus is Lord Group uses it
exclusively for religious purposes. I
am exempt from payments of
________.
A.property tax B. professional tax
C. income tax D. community tax
146. I rent out for P 10,000 per month
my only building and lot to the Jesus is
Lord Group uses it exclusively for
religious purposes. I am exempt from
payments of ________.
A.property tax B. professional tax
C. income tax D. community tax
147. You are member of a cooperative
which operates taxis tricycles and
buses. Of which type of a cooperative
are you a member?
A. Service cooperative
B. Multipurpose cooperative
C. Marketing cooperative
D. Producers cooperative
148. Which is an unlawful act of
escaping from payment of taxes?
A. Evasion C. Avoidance
B. Exemption D. Shifting
148. Which is an unlawful act of
escaping from payment of taxes?
A. Evasion C. Avoidance
B. Exemption D. Shifting
149. Which is required of cooperative
members for the operation of their
cooperative?
A. Share capital
B. Interest on share capital
C. Net surplus
D. Patronage refund
150. The primary purpose of taxation is to
_____.
A. raise revenue for the support of
government
B. reduce inequalities in wealth and
incomes
C. fortify the government against invaders
D. make the country a leading
industrialized country in the world
.

General education

  • 1.
  • 2.
    1. After 7depressing years, Mitch finally quit the job. She ___ along with her superior for a long time before she finally decided to look for a new position. a. Didn’t get b. Isn’t getting c. Hasn’t been getting d. Hadn’t been getting
  • 3.
    Past perfect progressivetense (had + been + ing form of the verb) since there are two past actions where the first past action was still happening when the second transpired.
  • 4.
    2. Which amongthe sentences below followed the correct order of adjectives? a. She drives an expensive black Japanese sports car. b. She drives a black Japanese expensive sports car. c. She drives a black expensive Japanese sports car. d. She drives an expensive Japanese black sports car.
  • 5.
    Sentence with multipleadjectives: D – determiner (a, an, the) O – observation (smooth, expensive) S – size (short, big) S –shape (round, triangular) A- age (young , old) C – color (blue, red) O- origin (Asian, Japanese) M – material (wood, ceramic) N – noun qualifier (sports car, tool box)
  • 6.
    3. The suspectwas spared because all he said were all white lies. The underlined word phrase means… a. lies are made in public b. lies that bare harmless c. lies are type written d. lies recited are illogical
  • 7.
    White lies: The colorwhite symbolizes purity, and if we connect it with lie by all means white lies are lies without any intention to hurt people.
  • 8.
    4. The voiceresounds across the Universe. What figure of speech? a. hyperbole b. simile c. personification d. metaphor
  • 9.
    a. Hyperbole -exaggeration b. simile - the use of like, or as. c. Personification – giving human attributes d. Metaphor – direct comparison
  • 10.
    5. The trainarrived early. The underlined word is ____. a. adjective b. verb c. adverb d. noun
  • 11.
    6. One thirdsof the population _____ poor. a. is b. are c. was d. were
  • 12.
    7. A numberof whale species _____ now extinct because of illegal hunting and alarming change in sea water temperature. a. are b. is c. were d. was
  • 13.
    A number +of phrase – takes a plural verb The number + of phrase takes a singular verb
  • 14.
    8. This pertainsto the pauses or rest in speech. a. pitch b. juncture c. stress d. intonation
  • 15.
    Pitch – highnessor lowness of sounds stress- different emphasis on words Intonation- rising and falling of sounds
  • 16.
    9. Emily wasostracized by her peers primarily because of her eccentric principles. The underlined word means…. a. criticized b. condemned c. excluded d. praised
  • 17.
    Ostracize/ excluded –being treated in an unfriendly manner
  • 18.
    10. Aside frombeing renowned writer, Carl Sunburg is also believed to have the gift of gab. The underlined word means… a. ability to speak clearly b. ability to speak persuasively c. ability to speak honestly d. ability to speak accurately
  • 19.
    Gift of gab– to speak with confidence and in turn to convince people
  • 20.
    11. Many aman ___ to be rich and famous. a. desire b. desires c. is desiring d. desiring
  • 21.
    Many a +singular noun takes a singular verb Many a + plural noun takes a plural verb
  • 22.
    12. I leftthe mice some cheese. What is the function of the underline noun? a . Direct object b. Indirect object c. Object of the preposition d. subject
  • 23.
    13. Which passageis expressed effectively and without structural error/s? a. Having called the other students and they, the secretary went home b. Having called the other students and us, the secretary went home c. Having called the other students and ourselves, the secretary went home d. Having called the other students and we, the secretary went home
  • 24.
    14. If I______ the same problems you had as a child, I might not have succeeded in life as well as you have. A. should C. have B. had D. would have
  • 25.
    14. If I______ the same problems you had as a child, I might not have succeeded in life as well as you have. A. should C. have B. had D. would have
  • 26.
    15. The meansof transportation__________ dramatically since the end of the 20th century. A. have changed B. will change C. has changed D. will have changed
  • 27.
    16. The pairof scissors ______ on the table. A. was left C. was leaving B. were left D. is leaving
  • 28.
    16. The pairof scissors ______ on the table. A. was left C. was leaving B. were left D. is leaving
  • 29.
    17. The priceof these sneakers ____ reasonable. A. is B. seem C. are D. aren’t
  • 30.
    18. If Icould speak English well, I ______ next year studying in the States. A. has spend B. would spend C. would have spent D. will spent
  • 31.
    19. Choose thesentence that expresses the thought clearly and has no error in structure/spelling. A. The farmer did plow, plant harvest his corn in second time. B. The farmer plowed, has planted and has harvested his corn in second time. C. The farmer has plowed, planted and harvested his corn in second time. D. The farmer plowed, planted, and harvested his corn in second time.
  • 32.
    20. My grandmahad some “lucid moments” before she died. She was ________. a. Thinking clearly b. Sad c. Confused d. Ambiguous
  • 33.
    21-25. Identify thetype of mistake in logic in the following sentences. 21. If you don’t believe in God, you’ll burn in hell. What mistake in logic is committed? a. Slippery slope b. Non sequitor c. Red herring d. Argument ad baculum
  • 34.
    Slippery slope- thedecision is deemed to have slipped down the slope, thus the situation is going out of control Ex. Legalizing prostitution will lead to more vices Non sequitor – a conclusion that does not follow from the premises Ex. The students study their lessons, architects design houses; therefore doctors cure the sick.
  • 35.
    Red herring –irrelevant topic is presented in order to divert attention from the original issue Ex. I should make the academic requirements stricter for students. I recommend that you support this, because we are in budget crisis and we don’t want our salaries be affected. Argument ad baculum – based on appeal on fear or threat
  • 36.
    22. The beliefin God is universal. After all, everyone believes in God. a. False analogy b. Red herring c. Appeal to common practice d. Begging the question
  • 37.
    False analogy –an unjustified reference drawn on the basis of similarities between two items Ex. The anger of the man was justified because it was just like a volcano which has to erupt after too much pressure. Begging the question – a statement/claim is assumed to be true without evidence other than the statement itself. Ex. The suspected rapist should be put on death row.
  • 38.
    23. If youdo not buy this type of pet food, you are neglecting your dog. a. Appeal to emotion b. Argumentum ad populum c. Ad baculum d. Composition fallacy
  • 39.
    Argumentum ad populum– make use of an appeal to popular prejudices than to reason Ex. Use Clean Guard; it is the only soap endorsed by doctors. Composition fallacy – when conclusion of an argument depends on an erroneous characteristics from parts of something to the whole
  • 40.
    24. “We’ve gotto stop them from banning pornography. Once they start banning one form of literature, they will never stop. Next thing you know, they will be burning all books. a. Slippery slope b. Appeal to emotion c. Non sequitor d. Red herring
  • 41.
    25. Human haveconsciousness and human bodies and brains consist of atoms; therefore, atoms have consciousness. a. Non sequitor b. Composition fallacy c. Appeal to emotion d. Red herring
  • 42.
    26. “I valuea man for the SIZE OF HIS HEART.” The capitalized words mean that: a. man’s love is measured by the size of his heart b. the size of heart determines the length of life c. man should use his mind over his heart d. man’s kindness is most important
  • 43.
    27. She hasa penchant for blue dresses. This indicates ___________. a. Dislike b. Avoidance c. Fondness d. Strong aversion
  • 44.
    28. There wasan ESOTERIC lecture on holography. a. Cryptic b. Straightforward c. Under stable only by a select group d. Irrefutable proof
  • 45.
    29. ‘Her wayof speaking is as entertaining as a laundry list’ is an example of a. Simile b. Hyperbole c. Metaphor d. Onomatopoeia
  • 46.
    30. Communion isan essential element in the establishment of a culture of peace. Which does NOT go with the spirit of communion? a. Living peacefully with nature b. Transcending national boundaries c. Overcoming ethnic and cultural divisions d. Widening the gap among individuals and nations
  • 47.
    31. Ano angtawag sa mga titik batay sa bigkas ng Ingles? A. Alivata or baybayin B. Alpabetong Filipino C. Alphabetong Romano D. Alpabetong Pilipino
  • 48.
    32. Ang sabini Romulo sa isa niyang akda, ang Pilipino ay dugong maharlika. Ano ang kahulugan nito? A. Ang Pilipino ay sadyang matatag ang budhi B. Ang Pilipino ay nanggaling sa malayang lahi C. Ang Pilipino ay madaling maipagbili at mabola D. Ang Pilipino ay di purong Pilipino
  • 49.
    33. Ang Tagalogang nagging opisyal na wika ng Pilipinas dahil sa: A. Saligang batas ng 1986 B. Saligang batas ng 1973 C. Saligang batas ng 1935 D. Saligang batas ng Malolos
  • 50.
    34. Di katakatakana ilang pulis a hinihiling kasangkot sa pagpalaganap ng krimen. Ano ang kahulugan ng kasangkot? A. Kabalikat C. Kasabwat B. Kabilang D. Kasama-sama
  • 51.
    34. Di katakatakana ilang pulis a hinihiling kasangkot sa pagpalaganap ng krimen. Ano ang kahulugan ng kasangkot? A. Kabalikat C. Kasabwat B. Kabilang D. Kasama-sama
  • 52.
    35. Ang salinsa blangko para sa blank ay halimbawa ng pagtutumbas na __________. A. Panghiram sa Espanyol at pagbaybay sa Filipino B. Kung ano ang bigkas siyang sulat C. Paggamit ng leksikong Filipino D. Panghihiram ng salitang katutubo
  • 53.
    36. “Mahal kita,mahal kita hindi ‘to bola! Ngumiti ka man lang sana ako’y nasa langit na”. Ang salitang pampanitikan na ginagamit sa linya ng kanta ay nangangahulugang _________. A. napakasaya C. pakikipagkaibigan B. sinisinta D. laruan
  • 54.
    36. “Mahal kita,mahal kita hindi ‘to bola! Ngumiti ka man lang sana ako’y nasa langit na”. Ang salitang pampanitikan na ginagamit sa linya ng kanta ay nangangahulugang _________. A. napakasaya C. pakikipagkaibigan B. sinisinta D. laruan
  • 55.
    37. “Heto na,heto na, heto na, / wahh! Doo bidoo bidoo, bidoo, bidoo”. Alin ang nabuong salita o tunog sa linya na nabuo ayon sa teoryang pooh-pooh? A. Wahh C. Na B. Heto D. Doo bidoo
  • 56.
    37. “Heto na,heto na, heto na, / wahh! Doo bidoo bidoo, bidoo, bidoo”. Alin ang nabuong salita o tunog sa linya na nabuo ayon sa teoryang pooh-pooh? A. Wahh C. Na B. Heto D. Doo bidoo
  • 57.
    38. Alin samga sumusunod ang pinakatamang pangungusap? A. Ang mga bataan sa lansangan ay naglalaro at nagtatakbuhan sa lansangan B. Ang mga kabataan ay naglalaro at nagtatakbuhan sa lansangan kung maliwanag ang gabi C. Ang mga kabataan ay naglalaro kung maliwanagang buwan at nagtakbuhan sa lansanngan D. Ang mga kabataan kung maliwanag ang buwan ay nagtatakbuhan sa lansangan at naglalaro
  • 58.
    39. Kabaliwan atpaglulustay ang iyong ginagawa taun-taon. Higit na marami ang maralitang nangailangan ng salapi at duong. Ang nagsasalita ay – A. Maramot C. Matipid B. Praktikal D. kuripot
  • 59.
    39. Kabaliwan atpaglulustay ang iyong ginagawa taun-taon. Higit na marami ang maralitang nangailangan ng salapi at duong. Ang nagsasalita ay – A. Maramot C. Matipid B. Praktikal D. kuripot
  • 60.
    40. Piliin anggawi pagsasalita: Ayokong sumunod sa mga sinasabi mo. A. Babala B. Pakiusap C. Pagtanggi D. Pamungkahi
  • 61.
    41. Ikinalulunkot koang mga nangyayari. A. Pagsagot B. Panghula C. Pagtanong D. Paghingi ng paumanhin
  • 62.
    42. Ipinagmamalaki mosiya, BAHAG naman pala ANG kanyang BUNTOT. Ang ibig sabihin ng may malaking itik ay. A. Mahiyain C. Kuripot B. Traidor D. Duwag
  • 63.
    42. Ipinagmamalaki mosiya, BAHAG naman pala ANG kanyang BUNTOT. Ang ibig sabihin ng may malaking itik ay. A. Mahiyain C. Kuripot B. Traidor D. Duwag
  • 64.
    43. Ang kaugnayanng pagkakapantay kina Burgos, Gomez at Zamora sa panitikang Pilipino ay – A. Nanatiling masigla ang diwang Pilipino B. Nakagising saa damdaming makabayan ng mga Pilipino C. Natuong lumabag sa batas at lumaban sa may kapangyarihan ang mga Pilipino. D. Naimpluwensyahan ang diwa alipin ng mga Pilipino
  • 65.
    44. Alin samga sumusunod ang pinakatamang pangungusap? A. Ang pabrikang pinagtrabahuhan nila malapit sa amin ay bago’t malaki. B. Ang bago’t malaking pabrikang pinagtrabahuhan nila ay malapit sa amin. C. Ang pinagtatrabahuhan nilang malapit sa amin a bago’ malaking pabrika D. Ang pabrikang malapi sa amin, bago’t malaki ay pinagtatrabahuhan nila.
  • 66.
    45. Alin sasumusunod ang pinakatamang pangungusap? A. Nagpapabata ang pulbos sa kutis na Clinique B. Nagpapabata sa kutis ang pulbos ng Clinique C. Nagpapabata ng mukha sa kutis ng pulbos na Clinique D. Nagpapabata sa kutis ng mukha ang pulbos na Clinique
  • 67.
    46. Piliin anggawi ng pagsasalita: Kasiyahan ko nang makitang kayo’y nagmamahalan. A. Pangarap B. Pagkontrol ng kilos C. Pagkuha ng impormasyon D. Pagbabahagi ng damdamin
  • 68.
    47. __________ mokay Luisito na may pasalubong ako para sa kanya. A. Sabihin C. Pakisabi B. Sabihan D. Pakisabihan
  • 69.
    47. __________ mokay Luisito na may pasalubong ako para sa kanya. A. Sabihin C. Pakisabi B. Sabihan D. Pakisabihan
  • 70.
    48. Ang pagdadasalat pananalig ay __________ sa tao upang mapalapit siya sa Diyos. A. nakakatulong B. nakatutulong C. Nakakatulungan D. mag-tulungan
  • 71.
    49. Nawawala angalahas na __________ mo sa akin. A. pinatago C. ipinapatago B. pinagtago D. ipinatago
  • 72.
    49. Nawawala angalahas na __________ mo sa akin. A. pinatago C. ipinapatago B. pinagtago D. ipinatago
  • 73.
    50. __________ niPenelope ang kanyang damit nang hindi niya sinasadya. A. Nasira C. Masira B. Sinira D. Sinisira
  • 74.
    50. __________ niPenelope ang kanyang damit nang hindi niya sinasadya. A. Nasira C. Masira B. Sinira D. Sinisira
  • 75.
    51. __________ nang magaling na barber ang buhok ni Felix. A. Gugupitin B. Maggugupit C. Gugupitan D. Hahagupitin
  • 76.
    52. Marumi angbaso. Huwag mong __________ yan! A. inumin C. uminom B. inuman D. pag-inuman
  • 77.
    52. Marumi angbaso. Huwag mong __________ yan! A. inumin C. uminom B. inuman D. pag-inuman
  • 78.
    53. __________ mosana kay Roland kung kailan siya uuwi ng Pilipinas. A. Ipagtanong C. Tinanong B. Ipagtatanong D. Itinanong
  • 79.
    53. __________ mosana kay Roland kung kailan siya uuwi ng Pilipinas. A. Ipagtanong C. Tinanong B. Ipagtatanong D. Itinanong
  • 80.
    54. Kailan ngaba __________ si Mayor dahil sa pangungurakot? A. kinulong C. ikinulong B. kinukulong D. ikinukulong
  • 81.
    54. Kailan ngaba __________ si Mayor dahil sa pangungurakot? A. kinulong C. ikinulong B. kinukulong D. ikinukulong
  • 82.
    55. __________ naminang inyong pagdating dito sa Villa Escudero. A. Ikinakagalak B. Ikinagagalak C. Gagalakin D. Ikinakapagpagalak
  • 83.
    56. Pinag-aaralang mabuting bawat abogado ang __________ ng 1987. A. batas pambansa B. saligang-batas C. batas military D. saklawang-batas
  • 84.
    57. “Kung salangit ay nabubuhay ang sa lupa ay namamatay ano’t kinatatakutan ang oras ng kamatayan.” Anong damdamin ang ipinapahayag nito? A. Maging matapang B. Maging mapagpasensiya C. Mapagbigay D. Matatag sa buhay
  • 85.
    58. Ano angkahulugan ng pangungusap na ito: Ilista mo na lamang sa tubig ang aking utang. A. Kalimutan na ang utang B. Magbabayad din ng utan C. Tubig ang listahan D. Nasa tubig ang utang
  • 86.
    59. Alin samga sumusunod ang pangungusap na may paksa? A. May pasok ba bukas? B. Kay ganda ng paglubog ng araw C. Nagbabasa sila sa aklatan D. Mainit ngayon
  • 87.
    60. Sa taasng mga bilihin ngayon kahit kahig ng kahig ay wala pa ring maipon. Ano ang ibig sabihin? A. Hanap ng hanap B. Tago ng tago C. Gastos ng gastoS D. trabaho ng trabaho
  • 88.
    61. An elevatorcan carry a maximum load of 605 kg. How many passengers of weight 50.5 kg each can the elevator hold? A. 12 B. 11.9 C. 11 D. 10
  • 89.
  • 90.
    62. A roomis 30 ft. long, 25 ft. wide and 14 ft. high. If 42 balloons are inside the room, how many cubic feet of space does this allow for each balloon? A. 25 B. 9 C. 250 D. 690
  • 91.
    30 x 25x 14 = 10500 10500/42 = 250
  • 92.
    63. How muchliquid containing 6% boric acid should to be mixed with 2 quarts of a liquid that is 15% boric acid in order to obtain a solution that is 12% boric acid? A. 1 quart C. 3 quarts B. 2 quarts D. 5 quarts
  • 93.
    0.06(x) + .15(2) = .12 (x + 2) 0.06x + .3 = .12x + .24 0.06X - .12x = .24 - .3 -0.06x = - 0.06 X = 1
  • 94.
    64. A defectiveruler was found to be 11.5 in long. Using this ruler, Samuel was found to be 4 ft tall. What is Samuel’s actual height? A. 4 ft 2 in C. 3 ft 11.5 in B. 4 ft 4 in D. 3 ft 10 in
  • 95.
    1 ft =12 inches 4ft = 48 inches Ruler = 11. 5 inches, so less 0.5 in. 0.5 (4) = 2 inches Therefore 3 ft and 12 inches is the actual height of Samuel.
  • 96.
    65. If anapple weighs about 170 grams, about how many apples are in a 3.5 kilogram bag of apples? A. 20 B. 22 C. 21 D. 23
  • 97.
    3.5kg = 3500grams 1:170 = x: 3500 170x = 3500 X = 20.5 20 apples
  • 98.
    66. A newsupercomputer measures 462 lbs in weight. How much does it weigh in grams? A. 210 g C. 21,000 g B. 2,100 g D. 210,000 g
  • 99.
    66. A newsupercomputer measures 462 lbs in weight. How much does it weigh in grams? 462 lbs x 1kg/ 2.2 lbs x 1000 g/1kg 210,000 grams
  • 100.
    67. A slowmoving snail travelled 4,800 mm. How far did it travel in kilometers? A. 0.0048 km C. 0.48 km B. 4.8 km D. 0.048 km
  • 101.
    4800mm x 1m/1000mmx1km/1000m 0.0048 km Move 6 decimal places to the left
  • 102.
    68. The measureof an angle is 25 more than its supplement. What is the measure f the larger angle? A. 102.5 degrees C. 77.5 degrees B. 90 degrees D. 110 degrees
  • 103.
    The measure ofan angle is 25 more than its supplement. What is the measure 0f the larger angle? X = 180 – x + 25 2x = 205 X = 102.5
  • 104.
    69. If themeasure of an angle is twice the measure of its complement. What is the measure of the angle? A. 30 degrees C. 60 degrees B. 90 degrees D. 120 degrees
  • 105.
    If the measureof an angle is twice the measure of its complement. What is the measure of the angle? X = 2 (90 – x) X = 180 – 2x X+ 2x = 180 3x = 180 X = 60
  • 106.
    70. Which amongthe following statements is ALWAYS TRUE? A. The supplement of an angle is acute. B. The complement of an angle is obtuse. C. The complement of any acute angle is acute. D. Two supplementary angles are congruent.
  • 107.
    71. Which ofthe following is ALWAYS FALSE? A. Two adjacent right angles are supplementary B. Complement of congruent angles are congruent C. Two intersecting lines form two pairs of vertical angles D. Angles that form a linear pair are complementary
  • 108.
    Angles that forma linear pair are supplementary. Supplementary angles are angles whose sum is 180.
  • 109.
    72. What isthe measure of an angle if the measure of its supplement is 39 degrees more than twice the measure of its complement? A. 29 degrees C. 39 degrees B. 49 degrees D. 59 degrees
  • 110.
    c. 39 180 –x = 2(90 – x) + 39 180 – x = 180 – 2x + 39 -x + 2x = 180 – 180 + 39 X = 39
  • 111.
    73. Which ofthe following statement is TRUE? A. A rectangle is a square B. A parallelogram is a trapezoid C. A rhombus is a rectangle D. A square is a rhombus
  • 112.
    74. Factor completelythe expression: a2x – 5b2y – 5a2y + b2x. A. (a2 + b2) (x – 5y) B. (a2 – b2) (x + 4y + 3) C. (a + b) (a – b)(x – 5y) D. (a2 + b2) (x2 – 5y2)
  • 113.
    a. (a2 +b2) (x – 5y) a2x – 5b2y – 5a2y + b2x (a2x – 5a2 y ) + (b2x – 5b2y) a2(X – 5Y) + b2 (X – 5Y) (a2 + b2)(x – 5y)
  • 114.
    75. Which amongthe following is NOT a perfect square trinomial? A. x2 + 8x + 16 B. 9x2 + 12x + 4 C. 49x2 + 70x + 36 D. x2 + 6x + 9
  • 115.
    76. Factor completelythe expression: 27a3 – 54a2b + 36ab2 – 8b3. A. (3a – 3b)3 B. (4a – 3b)3 C. (a – 3b)3 D. (3a – 2b)3
  • 116.
    27a3 – 54a2b+ 36ab2 – 8b3 Difference of two cubes: Cube root the first term 27a3 Cube root the last term 8b3 (3a – 2b) 3
  • 117.
    77. What isthe greatest common monomial factor of the expression: - 13abc – 39bc + 26ab? A. 3b C. 13abc B. -13b D. 26b
  • 118.
    77. What isthe greatest common monomial factor of the expression: - 13abc – 39bc + 26ab? A. 3b C. 13abc B. -13b D. 26b
  • 119.
    78. A trianglehas a perimeter of 50. If 2 of its sides are equal and the third side is 5 more than the equal sides, what is the length of the third side? A. 5 B. 10 C. 15 D. 20
  • 120.
    78. A trianglehas a perimeter of 50. If 2 of its sides are equal and the third side is 5 more than the equal sides, what is the length of the third side? A. 5 B. 10 C. 15 D. 20
  • 121.
    79. A rectangleis 4 times as long as it is wide. If the length is increase by 4 inches and the width is decrease by 1 inch, the area will be 60 squares inches. What were the dimensions of the original rectangle? A. 2 x 32 B. 4 x 16 C. 3 x 14 D. 5 x 12
  • 122.
    79. A rectangleis 4 times as long as it is wide. If the length is increase by 4 inches and the width is decrease by 1 inch, the area will be 60 squares inches. What were the dimensions of the original rectangle? A. 2 x 32 B. 4 x 16 C. 3 x 14 D. 5 x 12
  • 123.
    80. Find theequation of the line with a slope of 4 and passing through the point (-5, 3). A. x – 4y = -23 B. 4x – 4y = 23 B. 4x – y = -23 D. x – y = -4
  • 124.
    M = 4; (-5, 3) Y –y1 = m(x – x1) Y – 3 = 4(x + 5) Y -3 = 4x + 20 -4x + y – 3 – 20 = 0 -4x + y – 23 = 0 4x – y + 23 4x – y = -23
  • 125.
    81. The headof the comet is described as a “dirty iceberg”. Which of these is NOT a component of the “dirty iceberg”? a. Frozen water b. Carbon dioxide c. Ammonia d. Nitrogen
  • 126.
    82. To whatdirection is the comet’s tail pointing? a. Towards the sun b. Away from the sun c. Towards the moon d. Away from the moon
  • 127.
    A comet isa heavenly body that has a glowing head and a long bright tail. The head of the comet is consist of tiny particles of rock frozen into mass of ice (frozen water, ammonia, carbon dioxide, and methane). Its tail is made up of dust particles and always points away from the sun.
  • 128.
    83. Which ofthese earth motions bring about tides? a. Revolution b. Rotation c. Orbit d. Gravitational pull
  • 129.
    84. Which ofthese has the strongest tide – making effect? a. Sun b. Earth c. Moon d. Sun and earth
  • 130.
    85. This makesvery high high tides and very low low tides. a. Neap tide b. Spring tide c. Red tide d. Supreme tide
  • 131.
    The moon isthe chief maker of tides. The sun can strengthen or weaken the moon’s gravitational pull on earth. At new moon and full moon, the sun and moon are along the same line. This makes very high high tides and very low low tides which is called SPRING TIDES. At quarter phases of the moon, the sun is opposite the moon (90degrees). This makes high tides that are not very high which is called NEAP TIDES.
  • 132.
    86. How doasteroids revolve around the sun? a. Clockwise b. Counter clockwise c. Left to right d. Right to left
  • 133.
    87. Asteroids thattravel in space is called… a. Meteors b. Meteoroids c. Meteorite d. asterorite
  • 134.
    Asteroids are minorplanets found between Mars and Jupiter (asteroid belt). Like planets, asteroids revolve around the sun counterclockwise. Meteoroids – asteroids that travel in space Meteors – meteoroids that fall into the atmosphere of the earth. Meteorite – a meteor that falls on the surface of the earth Asteroids meteoroids meteors meteorites
  • 135.
    88. Which ofthese describes sunspots? a. A disturbance b. A magnetic activity c. Both a and b d. A fusion of nuclear energy
  • 136.
    Sunspots are seenas dark spots on the surface of the sun (photosphere). They are believed to be the disturbances in the lower atmosphere of the sun. Most sunspots are found within 30 degrees of the sun’s equator.
  • 137.
    89. Which ofthese is the bright and visible part of the sun? a. Chromosphere b. Photosphere c. Corona d. sunspot
  • 138.
    90. . Whichof these appears as a thin layer of red light around the sun during an eclipse? a. Chromosphere b. Corona c. Photosphere d. prominence
  • 139.
    Parts of theSun: 1. PHOTOSPHERE- the bright and visible surface where sunspots and prominence appear. Sunspots are dark spots while prominences are huge arch of gases. 2. CHROMOSPHERE – a thick layer of boiling and spinning gases. It appears as a thin layer of red light during eclipse. 3. CORONA – composed of extremely thin dust and gases, and has a temperature of 2 million degree celcius and is much hotter than the surface. During a total eclipse, it becomes visible to earth.
  • 140.
    91. . Whichof these could draw bodies in the universe into one single mass? a. Inertia b. Motion c. Gravitation d. acceleration
  • 141.
    92. Which preventsthe bodies in the universe to be drawn together into one single mass? a. Motion b. Gravitation c. Acceleration d. inertia
  • 142.
    Motion is theprocess of the change in position. It prevents gravitation from drawing everything together into one single mass. Gravitation is the natural force of attraction between massive bodies. Inertia is the tendency of the body to remain at rest or in motion unless acted by an external force.
  • 143.
    93. Which ofthese break down rocks? a. Erosion b. Weathering c. Gravity d. water
  • 144.
    Types of weathering: 1.Disintegration – a physical weathering. It is a mechanical process that breaks big mass of rocks into smaller pieces. 2. Decomposition, a chemical weathering, is the process that forms new substance from minerals in rocks
  • 145.
    94. When rocksare already exist have changed into new kinds of rocks because of pressure and temperature changes, the rocks now become…. a. Igneous b. Sedimentary c. Metamorphic d. lava
  • 146.
    Igneous rocks –considered as the parent rocks, formed by cooling and hardening of hot rocks (magma) from within the mantle of the earth (e.g. ganite and basalt) Sedimentary rocks – secondary rocks, formed by the hardening layers of the earth sediments (e.g. sandstone, limestone) Metamorphic – to transform/change into new kinds of rock because of pressures (e.g. marble and slate)
  • 147.
    95. According toMoh’s scale of mineral hardness, which among the following is the hardest? a. Apatite b. Topaz c. Quartz d. corundum
  • 148.
    MOH’S SCALE OFMINERAL HARDNESS (increasing order): 1. TALC – talcum powder 2. GYPSUM – Plaster of Paris 3. CALCITE – Limestone and shells 4. FLOURITE – fluorine 5. APATITE 6. ORTHOCLASE – feldspar 7. QUARTZ – 8. TOPAZ 9. CORUNDUM – sapphire and ruby 10. DIAMOND – used in jewelry and cutting tools.
  • 149.
    96. Which heatingelement is found inside the flashlight bulb? a. Alloy b. Nichrome c. Tungsten d. filament
  • 150.
    97. Which processoccurs when dry ice, CO2 (solid) is changed into CO2 (gas)? A. Decomposition B. Evaporation C. Condensation D. Sublimation
  • 152.
    98. Which ofthe following is the product of combining iron with water and oxygen? a. Galvanized iron b. Rust c. Steel d. alloy
  • 153.
    99. Which ofthe following highlight the significance of the process of mitosis? a. daughter cells have more chromosomes than the parent cell b. daughter cells have chromosomes twice the number as that of the parent cell c. daughter cells have the same number of chromosomes as that of the parent cell d. daughter cells have half the number of chromosomes as that of the parent cell
  • 154.
    100. What vitaminis necessary for blood clotting? a. Vitamin B12 b. Vitamin C c. Vitamin K d. Vitamin D
  • 155.
    a. Vitamin B12– formation of red blood cells (red meat, milk, egg. Cheese) b. Vitamin C- building strong bones, fight against infection (citrus fruits) c. Vitamin K- for normal blood clotting (green leafy vegetables, liver) d. Vitamin D – for building strong bones and teeth (dairy products, fish, liver oil)
  • 156.
    101. What isformed when coral colonies grow close to the shore? a. Fringing reef b. Barrier reef c. Coral atoll d. Coral rocks
  • 157.
    102. In whatphylum do earthworms belong? a. Nematodes b. Porifera c. Cnidaria d. annelids
  • 158.
    Classification of Invertebrates: 1.Porifera – pore-bearing animals (sponges) 2. Cnidaria – hollow-intestine animals (hydras) 3. Platyhelminthes – flattened and elongated (flatworms, tapeworms) 4. Annelids – elongated, segmented (earthworms, leeches) 5. Mollusks – soft-bodied animals living in a shell (snails, clams, squids) 6. Nematodes – elongated, unsegmented (roundworms) 7. Anthropods – segmented with hardened skeleton (insects, crabs, spiders, centepedes) 8. Echinoderms – spiny – skinned animals (starfish, sea urchins
  • 159.
    103. They livepart of their lives while they are young in water. When they mature, they live on land to survive. a. Reptile b. Mammals c. Amphibian d. bird
  • 160.
    104. Which ofthese animals demonstrate cryptic coloration? a. Native ducks b. Bumble bee c. Grasshoppper d. tamaraw
  • 161.
    105. Where doesthe filtration of blood in the kidney take place? a. Bowman’s capsule b. Glomerulus c. Tubule d. Renal artery
  • 162.
    106. Where doesthe reabsorption of most water and other materials needed for life take place? a. Bowman’s capsule b. Glomerulus c. Tubule d. Renal artery
  • 163.
    107. What isour main organ for excretion? a. Bladder b. Skin c. Lung d. kidney
  • 164.
    Kidney is themain organ for excretion. It is composed of about a million of tiny units called nephrons. A nephron is made up of a cuplike structure called Bowman’s capsule which surrounds mass of capillaries called glomerulus and narrows into a long coiled tubule.
  • 165.
    108. Mario metan accident and was bleeding profusely. He needed a blood type AB transfusion. There was confusion on what to do because no blood type AB was available. Somehow he survived because they were able to give him blood. Which of the following best explains this? a. Type A was mixed with type B blood. b. Type B was mixed with type A blood. c. Type AB can receive type A blood. d. Type AB can be given any blood type.
  • 166.
    109. What happensto your diaphragm when you exhale? a. Relaxes b. Relaxes and contracts c. Contracts d. Absorbs air
  • 167.
    110. Which ofthe following greenhouse gases has the greatest heat trapping ability per molecule? a. Nitrous oxide b. Carbon dioxide c. Chlorofluorocarbon d. methane
  • 168.
    111. In plantcells, chloroplasts are active in the chemical processes required to make food. Animal cells have no chloroplasts. Based on this, we can conclude that _______ a. plant cells are more complex than animal cells b. animals must obtain food from outside sources c. animal cells are more complex than plant cells d. animal cells prey upon cells as a food source
  • 169.
    112. When aspring is released, its potential energy is converted to _________ energy. A. Magnetic C. Electrical B. Light D. Kinetic
  • 170.
    112. When aspring is released, its potential energy is converted to _________ energy. A. Magnetic C. Electrical B. Light D. Kinetic
  • 171.
    113. A caris travelling in a circle with a constant speed. Which statement is TRUE? A. The car has constant velocity but changing acceleration. B. The car has changing velocity but constant acceleration. C. The car has changing velocity and changing acceleration. D. The car has constant velocity and constant acceleration.
  • 172.
    114. A rockis dropped out of the window of a moving car. At the same time a ball is dropped from rest from the same height. Neglecting air resistance, which will reach the ground first? A. Rock will hit the ground first B. Ball will hit the ground first C. Both will hit at the same time D. Neither will hit the ground
  • 173.
    115. Which ofthe following physical charges involve adding heat to a substance? a. Boiling and condensing b. Condensing and freezing c. Evaporating and condensing d. Melting and boiling
  • 175.
    116. If youlower the frequency of a wave in a string you will _______. A. shorten its period B. lower its speed C. increase its wavelength D. lower its amplitude
  • 176.
    117. Which isthe method that uses organisms to clean up toxic waste? A. Bioremediation B. Carrying capacity C. Deforestation D. Monoculture
  • 177.
    118. The processof restoring mined land to its original contours and vegetation is called… A. bioremediation B. recycling C. Reclamation D. Reforestation
  • 178.
    119. What dorays of light demonstrate when they strike a polished piece of metal, appearing to bounce off its surface? a. Refraction b. Polarization c. Reflection d. Interference
  • 179.
    Reflection refers tothe bouncing back of a wave when it hits a barrier. Refraction is the bending of waves as they enter another medium at an angle. This is associated with a change in the direction and sped of the wave. Diffraction is the bending of waves around small openings and around edges of barriers. Interference is the overlapping of waves. It is the combined effects of two or more waves coming together
  • 180.
    120. When lightfalls on soap bubbles, the band of seven colors seen is due to __________. A. Diffraction C. Reflection B. Scattering D. Interference
  • 181.
    120. When lightfalls on soap bubbles, the band of seven colors seen is due to __________. A. Diffraction C. Reflection B. Scattering D. Interference
  • 182.
    121. It isan inherent power of the state to impose and collect revenues to defray the necessary expenses of the government a. Police Power b. Power of eminent domain c. Taxation d. None of the above
  • 183.
    122. It isconcerned with issues and problems concerning the overall economy of a nation or the world economy a. Microeconomics b. Macroeconomics c. Economics d. Political Economy
  • 184.
    123. The distributionof economic resources among existing alternatives. a. Production b. allocation b. Consumption c. conservation
  • 185.
    124. A kindof freedom wherein an individual is free to seek any opportunity of employment for living. a. political freedom b. academic freedom c. cultural freedom d. economic freedom
  • 186.
    125. A radicalchange in the methods of production from hand tools to state-of-the-art machinery. a. Industrial Revolution b. feudalism c. agricultural development d. cultural development
  • 187.
    126. A typeof behavior usually negative or hostile feeling or attitude toward a group or toward a person who belongs to a particular group because s/he is presumed to have negative qualities ascribed to the group. a. Discrimination c. Stereotypes b. Prejudice d. Harassment
  • 188.
    126. A typeof behavior usually negative or hostile feeling or attitude toward a group or toward a person who belongs to a particular group because s/he is presumed to have negative qualities ascribed to the group. a. Discrimination c. Stereotypes b. Prejudice d. Harassment
  • 189.
    127. A typeof behavior that occurs when there is an action (based on the prejudice) which denies a person or group equality of treatment. a. Discrimination c. Stereotypes b. Prejudice d. Harassment
  • 190.
    127. A typeof behavior that occurs when there is an action (based on the prejudice) which denies a person or group equality of treatment. a. Discrimination c. Stereotypes b. Prejudice d. Harassment
  • 191.
    128. When aperson fails to adjust to the fast changing world, he is likely to suffer from a. culture shock b. culture change c. severe headache d. extreme loneliness
  • 192.
    129. What doyou call an oversimplified generalization about a particular group, which is usually negative or unfavorable, without sufficient basis? Example of these includes: Women are perceived as weak, homosexuals are dangerous and sexual predators and ethnic groups are mean and lazy. a. Prejudice b. Discrimination c. Stereotypes d. Phobia
  • 193.
    130. When oneconsiders the culture of another group as superior to his own, this connotes: a. Ethnocentrism b. Assimilation c. Acculturation d. Xenocentrism
  • 194.
    131. In whatpart of the world can you find the longest and largest coral reef which is also known s the “Great Barrier Reef”? A. Africa B. North America C. Australia D. South America
  • 195.
    132. The Philippinesis a democratic and _____________ state. Sovereignty resides in the people and all the government authority emanates from them. a. Presidential b. Bicameral c. Republican d. Constitutional
  • 196.
    132. The Philippinesis a democratic and _____________ state. Sovereignty resides in the people and all the government authority emanates from them. a. Presidential b. Bicameral c. Republican d. Constitutional
  • 197.
    133. The termof office for the President under the 1987 Constitution. a. 3 years b. 3 years with re-election c. 6 years d. 6 years with re-election
  • 198.
    134. It isthe environmental milestone that requires industries to install anti- pollution devices and ban the use of incinerators. a. The Greenpeace Act b. The Clean Air Act c. The Environmental Care Act d. The Anti-Pollution Act
  • 199.
    135. The secretsociety Jose Rizal established designed to promote civic and patriotic education among the Filipinos. a. La Liga Filipina b. Propaganda c. Companiero System d. La Juventud
  • 200.
    136. This lawimposed the equal rights between the Americans and Filipinos during the American occupation of the Philippines. a. Jones Law b. Parity Law c. Tydings Mc Duffie Law d. Hare-Hawes Cutting Law
  • 201.
    The Jones Lawof 1916, also known as the Philippine Autonomy Act, changed the legislative arrangement. The Philippine Commission was abolished and replaced by the elected Senate of the Philippines. The Philippine Assembly was also reorganized and renamed the House of Representatives. The new Philippine Legislature was inaugurated on October 16, 1916. The Hare–Hawes–Cutting Act was the first US law passed for the decolonization of the Philippines. It was the result of the OsRox Mission led by Sergio Osmeña and Manuel Roxas.
  • 202.
    137. The latepresident Ferdinand Marcos place the Philippines under Martial Law through which of the following laws? A. Article 6 Section 14 of the 1973 Constitution B. R.A 274 C. Proclamation 1081 D. KautusangTagapagpaganapBlg. 25 S.1974
  • 203.
    138. What buildingwas the only one left intact after the destruction of Intramuros during the Battle of Manila? A. Manila Post Office B. San Agustin Church C. Manila Cathedral D. Quiapo Church
  • 204.
    139. What wasthe first book published in the Philippines? A. Del Superior Goveirno B. Doctrina Christiana C. PasiongMahal D. BarlaameJosaphat
  • 205.
    140. The worldof nation is suffering from recession and so nations are experiencing the following EXCEPT____________. A. people are losing their jobs B. businesses are raking bigger profits C. there is a drop total spending D. Production is slowing down
  • 206.
    141. Tomatoes areoff season and so price for tomatoes is up. Which law/ principle in Economics explain it? A. Substitution effect B. Law of cause and effect C. Principle of marginal utility D. Law of supply and demand
  • 207.
    142. Which explainsGNP? A. The total value in pesos of goods and services produced during the year B. The total value in pesos of goods produced during the year C. The total value in pesos of the services produced during the year D. The total value in pesos of goods and services produced for 2 quarters
  • 208.
    143. When parentsdecide to send their children to private school and pay their tuition fee instead of sending them to the public school, they don’t get their share in the benefit derived from the taxes they pay. This is a case of __________. A. social injustice B. double jeopardy C. double taxation D. social inequity
  • 209.
    144. Which oneCORRECTLY applies to Philippine foreign trade? A. Philippine expenditure exports and earning from imports fluctuate. B. The Philippines spends less on imports than it earns from exports. C. The Philippine expenditure on imports is balanced with its earnings from exports. D. The Philippines spends more on imports than it earns from exports.
  • 210.
    145. What istrue of progressive system of taxation? A. The rate of tax increases as the income tax base or income bracket increases. B. The tax is equal regardless of class and place C. The rate of tax decreases as the income tax base increases. D. The rate of tax increases as the income tax base decreases.
  • 211.
    146. I rentout for P 10,000 per month my only building and lot to the Jesus is Lord Group uses it exclusively for religious purposes. I am exempt from payments of ________. A.property tax B. professional tax C. income tax D. community tax
  • 212.
    146. I rentout for P 10,000 per month my only building and lot to the Jesus is Lord Group uses it exclusively for religious purposes. I am exempt from payments of ________. A.property tax B. professional tax C. income tax D. community tax
  • 213.
    147. You aremember of a cooperative which operates taxis tricycles and buses. Of which type of a cooperative are you a member? A. Service cooperative B. Multipurpose cooperative C. Marketing cooperative D. Producers cooperative
  • 214.
    148. Which isan unlawful act of escaping from payment of taxes? A. Evasion C. Avoidance B. Exemption D. Shifting
  • 215.
    148. Which isan unlawful act of escaping from payment of taxes? A. Evasion C. Avoidance B. Exemption D. Shifting
  • 216.
    149. Which isrequired of cooperative members for the operation of their cooperative? A. Share capital B. Interest on share capital C. Net surplus D. Patronage refund
  • 217.
    150. The primarypurpose of taxation is to _____. A. raise revenue for the support of government B. reduce inequalities in wealth and incomes C. fortify the government against invaders D. make the country a leading industrialized country in the world .