General
Education
March 2022
LET
Questions
1. The sum total of society’s customs,
traditions, ethics, values, beliefs, and
prevalent practices is
a. Science
b. Culture
c. Technology
d. Religion
Science - is the intellectual and practical activity encompassing the
systematic study of the structure and behavior of the physical and
natural world through observation and experiment.
Culture – is the sum total of society’s customs, traditions, ethics,
values, beliefs, and prevalent practices
Technology - the application of scientific knowledge for practical
purposes, especially in industry
Religion - the belief in and worship of a superhuman controlling
power, especially a personal God or gods
2. Playing an important role in the progress
of science by providing the cumulative
wisdom of the nation passed on from
generation to generation is known as
a. customary
b. indigenous
c. traditional
d. inherited
Customary - according to a person's habitual practice
Indigenous - originating or occurring naturally in a
particular place; native
Traditional - existing in or as part of a tradition; long-
established
Inherited - derived genetically from one's parents or
ancestors
3. What is the coefficient in the expression
13𝑥𝑦2
?
a. y
b. 2
c. x
d. 13
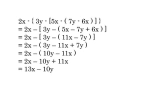
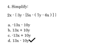
4. Simplify:
2x - { 3y - [5x - ( 7y - 6x ) ] }
a. -13x - 10y
b. 13x + 10y
c. -13x + 10y
d. 13x - 10y
2x - { 3y - [5x - ( 7y - 6x ) ] }
= 2x – [ 3y – ( 5x – 7y + 6x ) ]
= 2x – [ 3y – ( 11x – 7y ) ]
= 2x – ( 3y – 11x + 7y )
= 2x – ( 10y – 11x )
= 2x – 10y + 11x
= 13x – 10y
5. The total amount due on P20,000 which
has been invested for five years at 10%
annual interest is:
a. 15,000
b. 26,000
c. 30,000
d. 10,000
Formula: Final Amount = Principal + Interest
Formula: Interest = Principal x Rate x Time
Solution:
Interest = 20,000 x 10% x 5
Interest = 20,000 x 0.10 x 5
Interest = 10,000
Final Amount = 20,000 + 10,000
Final Amount = 30,000
6. Skyway company manufactures tables
and chairs. In its catalogue a round table is
priced at P6,000.00 less 15%. What will
Katherine have to pay for the round table?
a. P5,100.00
b. P5,300.00
c. P5,000.00
d. P5,250.00
Formula: Discount = Original Price x Rate
Formula: Sale Price = Original Prince – Discount
Solution:
Discount = 6000 x 15%
Discount = 6000 x 0.15
Discount = 900
Sale Price = 6000 – 900
Sale Price = 5100
7. Huwag makisama sa kanya dahil
buwaya siya. Ang salitang buwaya ay
tumutukoy sa kahulugang
a. denotasyon
b. pampanitikan
c. etimolohiya
d. konotasyon
8. The works of the propagandists
opened the eye of the Filipinos on their
country’s need for:
a. rebellion
b. submission
c. colonization
d. freedom
9. When DNA is damaged and not
repaired but replicated, the result is
genetic disorder called
a. transformation
b. succession
c. mutation
d. evolution
10. The proponent of Confucian
philosophy is:
a. Kung Fu Tzu
b. Lao - Tzu
c. Buddha
d. Siddhartha Gautama
11. “Samakatuwid” ay pangatnig na
ginagamit sa dagdag na paliwanag at:
a. paglilinaw
b. paghihiwalay
c. pagtatanong
d. pagbubukod
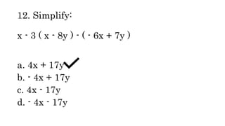
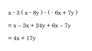
12. Simplify:
x - 3 ( x - 8y ) - ( - 6x + 7y )
a. 4x + 17y
b. - 4x + 17y
c. 4x - 17y
d. - 4x - 17y
x - 3 ( x - 8y ) - ( - 6x + 7y )
= x – 3x + 24y + 6x – 7y
= 4x + 17y
13. The least common multiple of
8, 6, 3 is:
a. 72
b. 48
c. 96
d. 24
14. “Ali Baba and The Forty Thieves,”
“Aladdin and the Wonderful Lamp” and
“The Story of Sinbad” are some of the
entertaining stories in the collection
entitled
a. The Arabian Nights
b. Pirates of the Caribbean
c. The Magic Carpet
d. The Prince of Persia
The Arabian Nights - is a story straight out of a romance novel. It's an
epic collection of Arabic folk tales written during the Islamic Golden
Age.
Pirates of the Caribbean - is an American fantasy swashbuckler film
series produced by Jerry Bruckheimer and based on Walt Disney's
theme park attraction of the same name.
The Magic Carpet - risks its own lifetime and again to get Aladdin out
of precarious situations and helps him win over the heart of Princess
Jasmine.
The Prince of Persia - is a 2010 American action fantasy film directed
by Mike Newell.
15. Decomposition is an important
requirement in which a substance is broken
down into a product that can be useful. The
organisms capable of decomposing are
called:
a. saprotrophs
b. primary consumers
c. autotrophs
d. producers
Saprotrophs - take their food in solution form, from dead and decaying
matter. Bacteria, fungi, and fungus-like organisms are examples of
saprotrophs.
Primary consumer - make up the second trophic level. They are also called
herbivores. They eat primary producers—plants or algae—and nothing else.
For example, a grasshopper living in the Everglades is a primary consumer.
Autotrophs - is an organism that can produce its own food using light, water,
carbon dioxide, or other chemicals. Because autotrophs produce their own
food, they are sometimes called producers.
Producers - are organisms that make their own food; they are also known as
autotrophs.
16. The beneficial effect of scientific
development on medicine is:
a. control of diseases
b. access to information
c. research capability
d. information dissemination
Medicines are chemicals or compounds used
to cure, halt, or prevent disease; ease
symptoms; or help in the diagnosis of
illnesses. Advances in medicines have
enabled doctors to cure many diseases and
save lives. These days, medicines come from
a variety of sources.
17. The mayor’s wife is known for her
“fondness” for signature watches and
handbags. A synonym for fondness is:
a. bias
b. dislike
c. penchant
d. selection
Bias - prejudice in favor of or against one thing, person, or
group compared with another, usually in a way considered
to be unfair.
Dislike - feel distaste for or hostility toward.
Penchant - a strong or habitual liking for something or
tendency to do something.
Selection - the action or fact of carefully choosing someone
or something as being the best or most suitable.
18. What will happen to a plant cell
placed in a hypertonic solution?
a. The plant cell will have edema
b. The plant cell will rupture
c. The plant cell will shrink
d. No effect on the plant cell
19. A 10-meter board leans against the
wall. The foot of the board is 8 meters from
the wall. How far up the wall does the
board each?
a. 6 meters
b. 4 meters
c. 8 meters
d. 10 meters
Use Pythagorean Theorem: the well-known geometric theorem that
the sum of the squares on the legs of a right triangle is equal to the
square on the hypotenuse (the side opposite the right angle)—or, in
familiar algebraic notation, 𝑎2
+ 𝑏2
= 𝑐2
.
Solution:
𝑎2 + 82 = 102
𝑎2 = 102 − 82
𝑎2 = 100 − 64
𝑎2 = 36
𝑎 = 36
𝑎 = 6
20. Arrange the following events chronologically from the first
to the last.
I. Execution of GomBurZa
II. Formal education in Ateneo and UST
III. Execution by firing squad in Bagumbayan
IV. Birth in Calamba
V. Completion of Noli Me Tangere and El Filibusterismo
a. IV, I, II, V, III
b. IV, II, V, I, II
c. II, IV, I, II, V
d. II, I, V, IV, III
21. The interconnections of social and
environmental injustices between rich
and poor nations is demonstrated by:
a. rich nations’ toxic waste disposal to poor countries
b. desertification of verdant regions
c. extinction of endemic flora and fauna
d. temperature warning and rise of sea levels
22. x = 3 and y = 2 then 6xy simplified is:
a. +12
b. -36
c. -12
d. +36
Substitution Method
6xy = 6(3)(2) = 36
23. Karlo had an average of 70% in his first
two tests and an average of 80% in his next
three tests. The average for his five tests is:
a. 80
b. 76
c. 75
d. 78
70% 2 + 80% (3)
5
= ?
140% + 240%
5
= ?
380%
5
= ?
Answer: 76%
24. Modern capitalism is the characteristic
of:
a. socialism
b. imperialism
c. colonialism
d. entrepreneurship
Socialism - a political and economic system in which property and the
means of production are owned in common, typically controlled by the
state or government.
Imperialism - the policy, practice, or advocacy of extending the power
and dominion of a nation especially by direct territorial acquisitions or
by gaining indirect control over the political or economic life of other
areas.
Colonialism - control by one power over a dependent area or people.
Entrepreneurship – is a capitalism of a private capital, and investing in
private start-ups, with potential for a viable harvest.
25. Ang pinakamababang lebel ng wika na
nilikha at nabuo sa pagsasama-sama ng
mga salitang pinaikli o pinahaba at
itinuturing n impormal ay tinatawag na:
a. kolokyal
b. likas
c. dayalek
d. teknikal
26. “Ipapasa ng mag-aaral ang mga sagot
sa takdang-aralin sa darating na Linggo,”
ay nasa panahunang:
a. pangnagdaan
b. perpektibo
c. panghinaharap
d. pangkasalukuyan
27. Energy transfer illustrated by the
storage current in a battery or power bank
is:
a. chemical
b. potential
c. nuclear
d. kinetic
28. In Rizal’s poem which extolls love of the
national language, people who don’t love
their native language are compared to
a. “lupain ng ginto at bulaklak”
b. “bayaning lalong tumatapang”
c. “ibon mang may layang lumipad”
d. “hayop at malansang isda”
29. Mr. Buena ordered a merchandise listed
at P15,000.00, the invoice above the net
price of P12,750.00. Find the discount rate:
a. 18%
b. 20%
c. 15%
d. 22%
𝐷𝑖𝑠𝑐𝑜𝑢𝑛𝑡 𝑅𝑎𝑡𝑒 =
15000 − 12750
15000
× 100% = 0.15 × 100% = 15%
30. Romeo and Juliet is to Shakespeare as
Iliad and Odyssey are to:
a. Homer
b. Agamemnon
c. Marlowe
d. Achilles
Homer – wrote the Iliad and Odyssey; The Iliad is an epic tale of war and
battle, The Odyssey is the story of a journey, a hero's heroic effort to return
to his home.
Agamemnon - a king of Mycenae who led the Greeks at the siege of Troy. On
his return home he was murdered by his wife Clytemnestra and her lover
Aegisthus.
Marlowe - was an Elizabethan poet and William Shakespeare's most
important predecessor in English drama. He is noted especially for his
establishment of dramatic blank verse.
Achilles - was the strongest warrior and hero in the Greek army during the
Trojan War. He was the son of Peleus, king of the Myrmidons, and Thetis, a
sea nymph. The story of Achilles appears in Homer's Iliad and elsewhere.
31. Bernadette’s aquarium has length,
width and height of 10 cm, 8 cm and 6
cm respectively. Its volume is:
a. 72 cubic centimeters
b. 24 cubic centimeters
c. 240 cubic centimeters
d. 480 cubic centimeters
Volume = length x width x height
Volume = 10 cm x 8 cm x 6 cm
Volume = 480 cubic centimeters
32. The union of an ovum and a sperm
inside a test tube is called _______
fertilization.
a. in vivo
b. asexual
c. in vitro
d. sexual
33. Potential energy is to battery, as a
moving electric fan is to:
a. nuclear
b. mechanical
c. chemical
d. kinetic
34. “Subalit” ay pangatnig na ginagamit sa:
a. pagtatanong
b. lubos na pagsang-ayon
c. paglilinaw
d. hindi pagsang-ayon
35. Light travels fastest in:
a. vacuum
b. air
c. liquid
d. water
Light in air is 1.0003 times slower than light in a
vacuum, which slows it all the way down from
299,792,458 meters per second to 299,702,547 meters
per second. That's a slowdown of 89,911 meters per
second, which looks like a lot but is only three ten-
thousandths of the speed of light. Light travels faster in
vacuum than any other medium. This is because there
is no obstruction in vacuum for the propagation of light
and thus, the refractive index of vacuum is the lowest.
36. The monarch of England whose
strict adherence to morality influenced
the struggle of good over evil in literary
pieces was Queen:
a. Mary
b. Elizabeth
c. Sophia
d. Victoria
37. All the sisters and brother of Rizal used
“Mercado”, the father’s surname; Rizal
instead used the maternal surname of his
father to allow Rizal to move freely while
studying because:
a. young Rizal was expelled from a parochial school
b. the Mercado siblings were blacklisted in schools
c. the Mercado family members were suspects as anti-
government
d. Jose Rizal was an adopted son
Dr. Jose Rizal Protasio Mercado y Alonso Realonda should have
used the name Jose Mercado ( Father’s last name) but he used the
name of Jose Rizal instead, most likely to protect his identity, so he
used his middle name. When he studied in Manila at the Jesuit
Areneo Municipal school, he changed his name to “Jose Rizal”
because his brother, Paciano Mercado, was wanted by the colonial
authorities for being an associate of the martyred priest, Fr. Jose
Burgos, and Paciano feared that Jose would not be accepted under
his real name. The name Rizal was considered as illustrado during
the Spanish time and entailed the benefits a Spaniard can get.
38. The designation for places on earth
that are of outstanding universal value
to humanity is called
a. Archaeological Artifact
b. Antique Heirloom
c. Vintage Collection
d. World Heritage
World Heritage Sites
1. Christ the Redeemer - Brazil
2. Machu Picchu - Peru
3. Petra - Jordan
4. Taj Mahal – India
5. The Colosseum - Italy
6. The Great Wall - China
7. Chichen Itza - Mexico
39. Face-to-face communication is made via
computer through:
a. Skype
b. E-mail
c. Google
d. Twitter
40. The Philippines was discovered in 1521
by a Portuguese explorer:
a. Servillano Aquino
b. Ferdinand Magellan
c. Christopher Columbus
d. Fidel Castro
Servillano Aquino - was the grandfather of the slain Senator
Benigno S. "Ninoy" Aquino, Jr.
Ferdinand Magellan - a Portuguese explorer who discovered
the Philippines in 1521
Christopher Columbus - is known for his 1492 'discovery' of
the New World of the Americas on board his ship Santa
Maria.
Fidel Castro – a Cuban communist revolutionary and
politician who took part in the Cuban Revolution from 1953
to 1959.
41. The least common multiple of 5, 2,
7 is:
a. 140
b. 35
c. 15
d. 70
42. The part of a newspaper or a magazine
article which gives the name of the writer
of the article is called:
a. byline
b. deadline
c. headline
d. bannerline
Byline - a line in a newspaper naming the writer of an
article.
Deadline - the latest time or date by which something
should be completed.
Headline - a heading at the top of an article or page in
a newspaper or magazine.
Bannerline - a headline in large type running across a
newspaper page
43. Paraan ng pagbuo ng salita na
ginagamitan ng tatlong uri ng panlapi ay:
a. laguhan
b. inunlapian
c. hinulapian
d. kabilaan
44. Ang mga salitang “kagandahan”,
“magkaibigan”, at “nagunahan” ay mga
halimbawa ng salitang may panlaping:
a. gitlapi
b. kabilaan
c. laguhan
d. unlapi
45. When the source of energy is not
depleted and may be used over and over
again, it is described as:
a. reclaimable
b. renewable
c. reviewable
d. recyclable
46. Pag-aaral ng mga tuntunin kung
paano inaayos ang mga salita sa loob
ng pangungusap ay:
a. syntax
b. pragmatika
c. ortograpiya
d. semantika
Sintaks - ang bahaging ito nglinggwistika na may kinalamaman sa
Sistema ngmga tuntunin at kategorya na siyang batayan sapagbuo
ng mga pangungusap.
Pragmatika - ay isang sangay ng lingguwistika na nababahala sa
paggamit ng wika sa mga konteksto ng lipunan at ang mga paraan
kung saan ang mga tao ay gumagawa at naiintindihan ang mga
kahulugan sa pamamagitan ng wika.
Ortograpiya - ay ang representasyon ng mga tunog ng wika na
nakalimbag na mga simbolo tulad ng alpabeto.
Semantika – ang agham ng linggwistiko na nag-aaral ng kahulugan
ng mga salita at ekspresyon
47. Prokaryotes come in 4 basic
morphologies: spherical, rod-shaped, spiral-
shaped and comma-shaped. The bacterial
etiology of cholera (vibrio cholera) is:
a. spiral
b. comma-shaped
c. spherical
d. rod shaped
48. Ang alpabetikong Filipino ay tinatawag
na:
a. panitikan
b. abakada
c. alibata
d. balarila
Abakada - ang tawag sa pangkat ng mga titik o letra sa wikang
Tagalog at kumakatawan sa tawag sa apat na unang titik nitó (A-
Ba-Ka-Da).
Ang abakáda ay binubuo ng 20 titik: A,B, K, D, E, G, H, I , L, M, N,
Ng, O, P, R, S , T, U, W, Y.
Panitikan - ay nagsasabi o nagpapahayag ng mga kaisipan, mga
damdamin, mgakaranasan, hangarin at diwa ng mga tao.
Alibata - ito ay isang katutubong paraan ng pagsulat ng mga
Filipino.
Balarila - ay ang pag-aaral hinggil sa isang wika.
49. All these are the beneficial effects of
scientific knowledge except:
a. solution to practical problems
b. making informed decisions
c. development of new technology
d. pursuance of political agenda
50. Plants convert into chemical energy
the energy from:
a. sunlight
b. rain
c. biomass
d. coal
51. Humans have mixed attitude towards robots. On one hand, we
appreciate that robots can substitute in doing dangerous or repetitive
tasks and heavy farm works and yet surveys show that the growing
robotization of our society makes us feel uncomfortable and threatened
because of the fear that robots:
a. will destroy offices and factories
b. will spread communicable diseases
c. will turn into criminals
d. will replace humans in the workplace
52. “Isang bandila, isang wika, isang
bayan” ay sawikain na nanghihikayat ng:
a. pagkakabuklod - buklod
b. pagkakaisa
c. pakikipaglaban
d. palaisipan
“Isang Pamahalaan, isang Bandila, isang Puso,
isang Kaluluwa at isang Wika.” - Talumpati Ni
Pangulong Jose P. Laurel Sa Mga Manunulat
Sa Tagalog
53. Violinist who brought classical violin
music to the masses is:
a. Chan
b. Kabayao
c. Molina
d. Katindig
GILOPEZ KABAYAO, the Philippines’
Violin Virtuoso and Musical Crusader.
54. Clear and organized presentation for
lecture and/or instruction is by:
a. PowerPoint
b. Compact disc
c. White board
d. Acetate
55. The following table summarizes the scores of
a class on the recent test. The median score
interval is
SCORE FREQUENCY
16-23 2
24-31 4
32-39 6
40-47 12
48-55 10
56-53 8
64-71 6
72-79 4
a. 56 - 63
b. 64 - 69
c. 48 - 55
d. 40 - 47
56. The educated Filipinos who led the
reform movement during the Spanish
colonial region were called:
a. illustrados
b. indios
c. insulares
d. peninsulares
Ilustrados - constituted the Filipino educated class during the
Spanish colonial period in the late 19th century.
Indios - During the colonization of the Philippines, the natives
were not called Filipinos, instead they were called indios.
Insulares - was the specific term given to criollos (full-blooded
Spaniards born in the colonies) born in the Philippines or the
Marianas.
Peninsulares - was the pure-blooded Spaniards born from
Spain and sent to Spanish colonies to govern.
57. The right to demand the physical
presence of the accused in court is known
as the writ of:
a. habeas corpus
b. habeas data
c. amparo
d. mandamus
58. Kailan nagsimula ang pagkakaroon ng
modernisasyon ng wikang Pambansa:
a. 1974
b. 1987
c. 1997
d. 1988
59. The fisherman uses worms as _____ for
fish.
a. bit
b. bitten
c. bite
d. bait
60. “Ang atletang Pilipino ay lubhang
masigasig”, ang “lubhang” ay isang:
a. Pandiwa
b. Pang - abay
c. Pang - uri
d. Pangngalan
61. The major concern about global
warming arises from increased
concentrations of:
a. greenhouse effect
b. photochemical smog
c. sulfur oxides
d. nitrogen oxides
62. Ang pinakamahalagang gamit ng wika
ay ang pagkakaisa ng mga mamamayan sa
pamamagitan ng:
a. ugnayan
b. salisihan
c. tagisan
d. pantayan
63. What is the amount due on
P8,000.00 after adding the annual
interest of 9%?
a. P 11,720.00
b. P 9,720.00
c. P 8,720.00
d. P 9,020.00
Formula: Final Amount = Principal + Interest
Formula: Interest = Principal x Rate x Time
Solution:
Interest = 8000 x 9% x 1
Interest = 8000 x 0.09 x 1
Interest = 720
Final Amount = 8000 + 720
Final Amount = 8720
64. Bahagi ng pananaliksik kung saan
matatagpuan ang panimula, kaligiran ng
pag-aaral at “conceptual framework” ay:
a. Kabanata IV
b. Kabanata II
c. Kabanata I
d. Kabanata III
65. Ang kahulugan ng “a stitch in time,
saves nine,” ay:
a. maagap
b. masayahin
c. malingap
d. mahinay
66. The true name of Mark Twain is:
a. Edgar Allan Poe
b. George Eliot
c. Samuel Clemens
d. Robert Browning
Edgar Allan Poe - regarded as the father of modern detective
story, was an American poet, author and literary critic.
Mary Ann Evans - known by her pen name George Eliot, was an
English novelist, poet, journalist, translator and one of the leading
writers of the Victorian era.
Samuel Clemens - known by his pen name Mark Twain, was an
American writer, humorist, entrepreneur, publisher, and lecturer.
Robert Browning - advocates a philosophy based on optimism. He
believes that struggles and imperfections are a part of life.
67. What is the oldest religion in Asia?
a. Christianity
b. Hinduism
c. Buddhism
d. Islamism
68. Haiku is traditional Japanese poem
consisting of:
a. four lines that rhymes with love as topic
b. eight lines ending in rhyming couplet with death as
topic
c. three lines totaling 17 syllables with nature as topic
d. lines of poetry in free verse with ordinary things as
topic
69. Mark’s aquarium has length, width and
height of 10 cm, 8 cm and 6 cm,
respectively. The volume of the aquarium
is:
a. 240 cubic centimeters
b. 420 cubic centimeters
c. 144 cubic centimeters
d. 480 cubic centimeters
Volume = length x width x height
Volume = 10 cm x 8 cm x 6 cm
Volume = 480 cubic centimeters
70. Blood compact is the agreement forged
in Bohol between:
a. Villalobos and Datu Puti
b. Legaspi and Sikatuna
c. Delcano and Humabon
d. Magellan and Lapu-lapu
The Sandugo was a blood compact, performed in
the island of Bohol in the Philippines, between the
Spanish explorer Miguel López de Legazpi and Datu
Sikatuna the chieftain of Bohol on March 16, 1565,
to seal their friendship as part of the tribal tradition.
71. Anong uri ng panlapi ang ginagamit sa
mga sumusunod na salita: limutin,
tukuran, suwagin:
a. kabilaan
b. unlapi
c. hulapi
d. gitlapi
72. Ang pang-uri sa sumusunod na
pangungusap “Nakita at nasadya ko na and
kalakhang Maynila” ay:
a. kalakhang
b. Maynila
c. nakita
d. nasadya
73. The laws of heredity were the results of
the study of:
a. Mendel
b. Fleming
c. Curie
d. Darwin
Gregor Mendel - was the first to give scientific explanation regarding
the mode of transmission of characters and formulate the basic laws of
heredity. Hence, he is rightly called the ‘Father of Genetics’.
Alexander Fleming - was a Scottish physician and microbiologist, best
known for discovering the world's first broadly effective antibiotic
substance, which he named penicillin.
Marie Curie - as a Polish and naturalized-French physicist and chemist
who conducted pioneering research on radioactivity.
Charles Darwin - was an English naturalist, geologist and biologist, best
known for his contributions to evolutionary biology.
74. “Laong-laan” and “Dimasalang”
were the pen names used by:
a. Andres Bonifacio
b. Juan Luna
c. Emilio Aguinaldo
d. Jose Rizal
PEN NAMES OF
FILIPINO
PROTAGONISTS
ANDRES BONIFACIO –
May Pag-asa, Agapito
Bagumbayan
ANTONIO LUNA – Taga-
Ilog
EMILIO AGUINALDO -
Magdalo
EMILIO JACINTO – Di
Masilaw, Tingkian
GRACIANO LOPEZ
JAENA – Diego
Laura
JOSEMA. PANGANIBAN
¬ JoMaPa
JOSE RIZAL – Dimas
alang, Laon laan
JUAN LUNA – Buan
MARCELO DEL PILAR –
Plaridel, Dolores
Manapat, Piping Dilat
MARIANO PONCE –
Tikbalang, Naning
Kalipulako
75. Who were the aboriginal settlers in the
islands, prior to the foreign migrants who
crossed the seas from across the Southern
Philippines?
a. Malayans
b. Sumatians
c. Negritos
d. Borneans
76. The predominance of extended families in
the Philippines is traceable to:
a. fondness of children
b. close family ties
c. respect to elders
d. sentimental trait
77. Insulin is secreted by the:
a. pancreas
b. kidney
c. liver
d. intestine
78. Which is TRUE of metalloids?
a. conduct heat better than metals
b. conduct heat and electricity less effectively than non-
metals
c. have properties of both metals and non-metals
d. conduct electricity
79. Anong uri ng pamamahayag ang nag-
uulat ng tunay na pangyayari batay sa pag-
aaral, pananaliksik, o pakikinayam at
isinulat sa paraang kawili-wili?
a. lathalain
b. editoryal
c. pangulong tudling
d. kumento
80. Ecosystem is the relationship between the
physical and biological environments in a
certain plain. Among desert ecosystems, the
world’s largest is:
a. Sahara
b. Gobi
c. Kalahari
d. Chihuahua
81. He was called the “Boy General” because of his
youth whom he fought valiantly to defend Tirad
Pass during the Philippine-American War. “An
officer and a gentleman” was inscribed by an
American office on the tombstone of:
a. Antonio Luna
b. Emilio Aguinaldo
c. Marcelo H. Del Pilar
d. Gregorio Del Pilar
Antonio Luna – founded La Independencia, the
periodical organ of the Revolution.
Emilio Aguinaldo - the first President of the
Philippines.
Marcelo H. Del Pilar – the 2nd editor of La
Solidaridad
Gregorio Del Pilar - was called the “Boy General”
82. Pag-aaral ng mga tuntunin sa
pagbabaybay ng mga salita ay:
a. semantika
b. gramatika
c. ortograpiya
d. sistema
83. The philosophy that advocates logical
reasoning to prove the existence of the
Supreme Being was popularized by:
a. St. Peter the Great
b. St. John the Baptist
c. St. Thomas Aquinas
d. St. Jude the Apostle
84. Katangian ng mahusay na pananaliksik
na sumusuri sa mga nakalap na datos,
partikular na sagot sa mga talatanungan
upang mabigyan ng wastong
interpretasyon ay:
a. obhektibong pananaw
b. lohikal
c. empirical
d. kritikal na pagsusuri
85. Which among the following is NOT a
prime number?
a. 51
b. 41
c. 31
d. 11
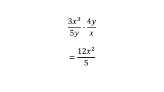
86. Perform the indicated operations and
reduce the result to simplest form 3x^3 / 5y
multiplied by 4y / x
a. 12x^2/5
b. 15y/4x
c. 5x/4y
d. 4x/15y
3𝑥3
5𝑦
∙
4𝑦
𝑥
=
12𝑥2
5
87. The lowest form of learning observed
especially among animals is:
a. maturation
b. motivation
c. reinforcement
d. conditioning
88. If you have misplaced _____ manual, I
will be glad to lend you _____.
a. My , mine
b. My , yours
c. Your , yours
d. Your , mine
89. Sa Batangas ay “nabanas”, sa Bulacan
ay “maalinsangan”, sa Rizal ay “bang-init”
ay mga halibawa ng:
a. lalawiganin
b. kolokyal
c. talinhaga
d. pambansa
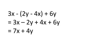
90. Perform the operation and reduce to
simplest form 3x - (2y - 4x) + 6y:
a. -2x - 3y
b. 7x + 4y
c. -7x - 4y
d. 2x + 3y
3x - (2y - 4x) + 6y
= 3x – 2y + 4x + 6y
= 7x + 4y
91. Mahatma Gandhi, icon of non-violence
said; “There go my people, I must hasten to
follow them for I am their leader.” The
quotation refers to leadership by:
a. coercion
b. popularity
c. example
d. command
92. Ms. Sanchez weighed 62 kg. She lost 3 kg on
her first week exercise, gained 4 kg on her
second week, lost 5 kg on the third week and
retained her weight during the fourth week.
What was her weight on the fourth week in kg?
a. 59 kg
b. 60 kg
c. 62 kg
d. 58 kg
Start with 62 kg.
Then, 1st week, lost 3 kg means 62 – 3 = 59 kg
Then, 2nd week, gained 4 kg means 59 + 4 = 63 kg
Then, 3rd week, lost 5 kg means 63 – 5 = 58 kg
Then, 4th week, retained means still 58 kg.
93. That growth and development vary
from person to person is exemplified in the
principle of:
a. individual differences
b. apperceptive basis
c. reward and punishment
d. reinforcement
94. By the time you will arrive the meeting
______ .
a. will have ended
b. will end
c. had ended
d. has ended
95. Simplify: 8xy + 2y + 2xy - y + 4y^3
+ 3y
a. 10xy + 4y + 4y^3
b. 2y + 2y + 6xy
c. 10xy + 4xy + 4y
d. 4y^3 + 4xy + 4y
8xy + 2y + 2xy - y + 4y^3 + 3y
= 10xy + 4y + 4y^3
96. Ang wastong kahulugan ng “Kung may
isinuksok, may titingalain”, ay:
a. umaasa
b. maging masipag
c. mag - impok
d. maglinis
“Kung may isinuksok, may titingalain” –
Mag-impok
97. Since most organization consume more
than one type of animal or plant or
consume both, the transfer of matter and
energy intertwine into the
a. food producer
b. food web
c. food chain
d. food producer
98. A ladder 50 feet long is placed between
the ground and a vertical wall. The lower
end of the ladder forms an angle of 33°
with
the ground. Find the distance of the ladder
from the ground.
a. 30 feet
b. 40 feet
c. 25 feet
d. 100 feet
Solution:
cos 33° =
𝑥
50
𝑥 = (cos 33°)(50)
𝑥 = 41.93 𝑓𝑒𝑒𝑡
𝑥 = 40 𝑓𝑒𝑒𝑡
99. The peace forged in Bohol between
Legaspi and Sikatuna was known as:
a. Onion Obrera
b. Blood Compact
c. Galleon Trade
d. Verdadero Decalogo
100. An avocado tree planted beside a
sampaguita plant in a garden, demonstrate
what kind of relationship?
a. co-optation
b. competition
c. parasitism
d. predation
101. Ang wastong kahulugan ng
“mahinhing talipandas” ay:
a. mayabang
b. mapagkunwari
c. maselan
d. kahanga-hanga
“mahinhing talipandas” -
mapagkunwari
102. Knowledge related to methods or operation
which is goal-oriented, the goal being the actual
performance of a task that requires skills, such
knowledge is known as
a. conceptual
b. procedural
c. metacognitive
d. factual
103. “Sa aming nayon kilala si Cirilo na
bukas-palad”, na ang kahulugan ay: Si
Cirilo ay
a. mapag-upasala
b. mapagkawang-gawa
c. mapaghignti
d. mapaghinala
Bukas-palad –
mapagkawang-gawa
104. In a Senior High School Class
composed of 40 students, 16 chose to take
ABM track, and the rest selected the STEM
track. The total who selected STEM was:
a. 32
b. 8
c. 20
d. 24
Solution:
40 – 16 = 24
105. The standard football fields are 100
meters from goal line to goal line. If it is
360 meters around a football field, how
wide is the field?
a. 86 meters
b. 80 meters
c. 70 meters
d. 85 meters
Use the formula for finding the perimeter of rectangle:
P = 2L + 2W
360 = 2(100) + 2W
360 = 200 + 2W
360 – 200 = 2W
160 = 2W
80 = W
106. What shows the flow of energy and
materials from one organism to the next in
a particular habitat is called?
a. food digestion
b. food producer
c. food chain
d. food consumer
107. The term used to refer to every living
thing including plants, bacteria, animals
and humans existing naturally in a certain
region is:
a. ecosystem
b. bioscience
c. biodiversity
d. habitat
Ecosystem - a biological community of interacting
organisms and their physical environment.
Bioscience - any of the life sciences.
Biodiversity - the variety of life in the world or in
a particular habitat or ecosystem.
Habitat - the natural home or environment of an
animal, plant, or other organism.
108. What does a professional code of
conduct prescribe?
a. civic conduct for all
b. stricter implementation of laws
c. moral and ethnical standards
d. professional traditions and more
109. Before the coming of the first settlers
form neighboring Asian countries, the
earliest occupants of the Philippines were
the:
a. Malayans
b. Sumatrans
c. Negritos
d. Bornean
The Negritos are a dark-skinned people that are
ethnically different from other people in the Philippines
that are mostly Malay in origins. The are believed to be
the original inhabitants of the Philippines. Their origins
are obscure. Some anthologist believe they are
descendant of wandering people that "formed an ancient
human bridge between Africa and Australia.
110. A story put together through an
exchange of letters is called:
a. episode
b. classic
c. politics
d. epistolary
111. The respond to the expected depletion
of the traditional source of energy, Asian
countries including the Philippines:
a. control number of transport facilities
b. explore alternative energy sources
c. control population
d. limit industry activities
112. Organisms that decompose substances
into products that can be useful are called
a. saprolites
b. carnivores
c. saprophytes
d. herbivores
113. What is the exponent in the expression
13x^2 + y?
a. 2
b. x
c. y
d. 13
114. A population of rabbits live in a stable
habitat, with no changes in the
environment for a long time. How will
genetic drift possibly affect this population?
a. It will stimulate the appearance of new traits
b. it will decrease the population of the rabbits
c. it will promote the dominance of the rabbits with superior traits
d. it may decrease genetic variation
Genetic variation is a term used to
describe the variation in the DNA
sequence in each of our genomes.
Genetic variation is what makes us all
unique, whether in terms of hair color,
skin color or even the shape of our faces.
115. “Matuling pinatakbo ni Roger ang
kanyang bagong Toyota Innova”, ang pang-
abay na pangungusap ay:
a. ni
b. matuling
c. bagong
d. kanyang
116. The measure of a system’s energy that
is unavoidable for doing useful work is:
a. entropy
b. convection
c. radiation
d. conservation
117. Rizal’s mother preferred to be imprisoned and
walked 50 kilometers as punishment for a trumped-up
charge of a Spanish official, rather than apologize by
accepting the charge, Such action shows that she was
a woman of:
a. submission
b. incertitude
c. hesitation
d. conviction
118. Bahagi ng pananalita na
nagpapahayag ng kilos, galaw at
pangyayari ay:
a. Pangngalan
b. Pandiwa
c. Panghalip
d. Pang - uri
119. Queen Elizabeth II is the English
monarch with the longest:
a. rind
b. rain
c. rein
d. reign
120. “Reduccion” is the Spanish policy
which provided the resettlement of Filipino
communities to form town centers or
a. haciendas
b. cedulas
c. encomienda
d. cabeceras
REDUCCION
Ang sapilitang pagpapatira sa mga katutubo mula
sa orihinal nilang tirahan (tabing-ilog kabundukan)
tungo sa bayan na tinatawag na pueblo. Lahat ng
naninirahan sa pueblo na naaabot nng tunog ng
kampana ay dapat maging Kristiyano at sumunod
sa mga aral ng simbahan. Ang tawag sa tirahang
nasa ilalim ng tunog ng kampana ay Cabecera.
121. The prime factors of 56 are:
a. 7, 2, 2, 2
b. 7, 8
c. 7, 4, 2
d. 14, 2, 2
122. To describe an easy task, the idiomatic
expression to use is:
a. spill the beans
b. bite the bullet
c. break a leg
d. piece of cake
Spill the beans - reveal secret information
unintentionally or indiscreetly.
Bite the bullet - decide to do something difficult
or unpleasant that one has been putting off or
hesitating over.
Break a leg - good luck!
Piece of cake - something easily achieved.
123. The greatest common divisor of 24, 18,
3 is:
a. 6
b. 18
c. 24
d. 3
Listing Method: GCF
24 - 1, 2, 3, 4, 6, 8, 12 and 24.
18 - 1, 2, 3, 6, 9 and 18.
3 – 1 and 3
Common Factors – 1 and 3
GCF - 3
124. Solar panels are examples of utilizing
alternative sources of energy, specifically:
a. wind
b. sunlight
c. waves
d. water
125. “Siya ay nakilalang masipag at
magalang na mamamayan”; ang pang-
angkop sa pangungusap na ito ay:
a. at
b. ay
c. siya
d. na
126. When an individual is familiar with
some bits of information such as terms,
names of authorities, some particular
details, such knowledge is regarded as:
a. conceptual
b. factual
c. procedural
d. metacognitive
127. Carbon dioxide is produced by
plants in the:
a. afternoon
b. noon
c. morning
d. evening
128. Elizabeth weighed 70 kg before exercising.
She lost 4 kg on her first week, gained 5 kg on
the second week, lost 6 kg on the third week and
retained her weight during the fourth week
which was
a. 70 kg
b. 66 kg
c. 65 kg
d. 72 kg
Start with 70 kg.
Then, 1st week, lost 4 kg, 70 – 4 = 66 kg.
Then, 2nd week, gained 5 kg, 66 + 5 = 71 kg.
Then, 3rd week, lost 6 kg, 71 – 6 = 65 kg.
Then, 4th week, retained means still 65 kg.
129. Interest at 8% after 3 months on
P6,000.00.
a. P 150.00
b. P 120.00
c. P 250.00
d. P 50.00
Formula: Interest = Principal x Rate x Time
Solution:
Interest = 6000 x 8% x (3/12)
Interest = 6000 x 0.08 x (1/4)
Interest = 120
130. The epitome of the traditional Filipino
woman; meek, submissive, obedient was:
a. Donya Victorina
b. Sisa
c. Maria Clara
d. Tiya Isabel
131. The sum of two consecutive even
numbers is 102. The numbers are:
a. 53 and 54
b. 48 and 50
c. 60 and 61
d. 50 and 52
Solution:
50 + 52 = 102
132. The equation of the line with equal
coordinates is:
a. y = 3x
b. y = x
c. x + y = 0
d. y = -x
133. The resettlement of Filipino
communities to town centers called
cabeceras was ordered by the Spanish
policy called:
a. pueblo
b. gobernadorcillo
c. reduccion
d. encomienda
REDUCCION
Ang sapilitang pagpapatira sa mga katutubo mula
sa orihinal nilang tirahan (tabing-ilog kabundukan)
tungo sa bayan na tinatawag na pueblo. Lahat ng
naninirahan sa pueblo na naaabot nng tunog ng
kampana ay dapat maging Kristiyano at sumunod
sa mga aral ng simbahan. Ang tawag sa tirahang
nasa ilalim ng tunog ng kampana ay Cabecera.
134. Which was the first labor union in the
country founded by Isabelo de los Reyes in
July 1901?
a. Association of the Philippines labor
b. Union Trabejadores de Filipinos
c. Association de Compania Tabacalera
d. Union Obrera Democratica
135. Which of the following is an example of
a useful function for bacteria?
a. may be pathogenic and cause human disease
b. can clean up an oil spill by digesting hydrocarbons
c. may be used as vectors to introduce proteins into
cells
d. can synthesize new forms of heavy metals
136. Wikang malikhain ay mataas na
antas ng wika na ginagamit sa:
a. pamantayan
b. panghuhula
c. panitikan
d. palaisipan
137. Perform the indicated operation and
reduce the result to simplest form: 40 xy /
27 xy:
a. 40/27
b. 80x/27
c. 40x/40
d. 40x/81
Solution:
40xy / 27xy
Cancel the xy.
Answer: 40 / 27
138. Animalia is to kingdom, as chordata is
to:
a. class
b. kingdom
c. phylum
d. genus
139. The poem that expresses faith in the
Filipino youth as hope of the fatherland is:
a. La Belleza de Una Rosa
b. Al Trabajo
c. A La Juventud Filipina
d. Mi Ultimo Adios
140. Governor General Narciso Claveria
ordered the:
a. use of Spanish surnames by Filipinos
b. founding of the Union Obrera Democratica
c. tobacco monopoly
d. resettlement of Filipino communities in
cabeceras
141. An example of stored chemical energy
inside the human body which is
transformed into energy for the cells is:
a. water
b. food
c. air
d. blood
142. What is the molecule that allows
plants to capture energy from sunlight?
a. chlorophyll
b. carbohydrates
c. oxygen
d. ATP
143. Salita o parirala na kinakaltas sa
pangungusap ay nangangailangan ng
bantas na:
a. kudlit
b. panaklong
c. panipi
d. gitling
144. Scientists’ values and beliefs are influenced
by the customs and traditions of:
a. association
b. society
c. family
d. relatives
145. “Maghapon at magdamag na nagbasa ng
aklat at lathalain si Gng. Llana”, ang panaguri
sa pangungusap ay
a. nagbasa
b. Gng. Luna
c. maghapon
d. magdamag
146. Apolinario Mabini, the acknowledged
“Brains of the Revolution” wrote the principles
of conduct and morality that should govern the
revolutionary government called:
a. Filipino Dentro El Cien Aeos
b. Himno Al Trabajo
c. La Cartilla
d. El Verdadero Decalogo
147. Ang lahat ng ito ay mahalagang
katangian ng isang mananalumpati
MALIBAN sa:
a. matikas na tindig at pananalita
b. malinaw na pagbigkas
c. panggulat at pagbigkas
d. maayos na pagtalakay ng paksa
148. The law that raised teaching to the
same level as the other professions is:
a. R.A. 10968
b. R.A. 7836
c. R.A. 10533
d. R.A. 10912
149. “Scent of Apples”, a collection of stories
that succeeded with the United States
audience, was written by:
a. Bienvenido Santos
b. Jose Garcia Villa
c. F. Sionil Jose
d. Carlos Bulosan
150. Nobody wanted to do the household
chores and so the senior members of the
family did the chores:
a. myself
b. themselves
c. himself
d. yourselves
GENERAL EDUC MARCH 2022.pptx

GENERAL EDUC MARCH 2022.pptx

  • 1.
  • 2.
    1. The sumtotal of society’s customs, traditions, ethics, values, beliefs, and prevalent practices is a. Science b. Culture c. Technology d. Religion
  • 3.
    Science - isthe intellectual and practical activity encompassing the systematic study of the structure and behavior of the physical and natural world through observation and experiment. Culture – is the sum total of society’s customs, traditions, ethics, values, beliefs, and prevalent practices Technology - the application of scientific knowledge for practical purposes, especially in industry Religion - the belief in and worship of a superhuman controlling power, especially a personal God or gods
  • 4.
    2. Playing animportant role in the progress of science by providing the cumulative wisdom of the nation passed on from generation to generation is known as a. customary b. indigenous c. traditional d. inherited
  • 5.
    Customary - accordingto a person's habitual practice Indigenous - originating or occurring naturally in a particular place; native Traditional - existing in or as part of a tradition; long- established Inherited - derived genetically from one's parents or ancestors
  • 6.
    3. What isthe coefficient in the expression 13𝑥𝑦2 ? a. y b. 2 c. x d. 13
  • 8.
    4. Simplify: 2x -{ 3y - [5x - ( 7y - 6x ) ] } a. -13x - 10y b. 13x + 10y c. -13x + 10y d. 13x - 10y
  • 9.
    2x - {3y - [5x - ( 7y - 6x ) ] } = 2x – [ 3y – ( 5x – 7y + 6x ) ] = 2x – [ 3y – ( 11x – 7y ) ] = 2x – ( 3y – 11x + 7y ) = 2x – ( 10y – 11x ) = 2x – 10y + 11x = 13x – 10y
  • 10.
    5. The totalamount due on P20,000 which has been invested for five years at 10% annual interest is: a. 15,000 b. 26,000 c. 30,000 d. 10,000
  • 11.
    Formula: Final Amount= Principal + Interest Formula: Interest = Principal x Rate x Time Solution: Interest = 20,000 x 10% x 5 Interest = 20,000 x 0.10 x 5 Interest = 10,000 Final Amount = 20,000 + 10,000 Final Amount = 30,000
  • 12.
    6. Skyway companymanufactures tables and chairs. In its catalogue a round table is priced at P6,000.00 less 15%. What will Katherine have to pay for the round table? a. P5,100.00 b. P5,300.00 c. P5,000.00 d. P5,250.00
  • 13.
    Formula: Discount =Original Price x Rate Formula: Sale Price = Original Prince – Discount Solution: Discount = 6000 x 15% Discount = 6000 x 0.15 Discount = 900 Sale Price = 6000 – 900 Sale Price = 5100
  • 14.
    7. Huwag makisamasa kanya dahil buwaya siya. Ang salitang buwaya ay tumutukoy sa kahulugang a. denotasyon b. pampanitikan c. etimolohiya d. konotasyon
  • 16.
    8. The worksof the propagandists opened the eye of the Filipinos on their country’s need for: a. rebellion b. submission c. colonization d. freedom
  • 18.
    9. When DNAis damaged and not repaired but replicated, the result is genetic disorder called a. transformation b. succession c. mutation d. evolution
  • 20.
    10. The proponentof Confucian philosophy is: a. Kung Fu Tzu b. Lao - Tzu c. Buddha d. Siddhartha Gautama
  • 22.
    11. “Samakatuwid” aypangatnig na ginagamit sa dagdag na paliwanag at: a. paglilinaw b. paghihiwalay c. pagtatanong d. pagbubukod
  • 24.
    12. Simplify: x -3 ( x - 8y ) - ( - 6x + 7y ) a. 4x + 17y b. - 4x + 17y c. 4x - 17y d. - 4x - 17y
  • 25.
    x - 3( x - 8y ) - ( - 6x + 7y ) = x – 3x + 24y + 6x – 7y = 4x + 17y
  • 26.
    13. The leastcommon multiple of 8, 6, 3 is: a. 72 b. 48 c. 96 d. 24
  • 28.
    14. “Ali Babaand The Forty Thieves,” “Aladdin and the Wonderful Lamp” and “The Story of Sinbad” are some of the entertaining stories in the collection entitled a. The Arabian Nights b. Pirates of the Caribbean c. The Magic Carpet d. The Prince of Persia
  • 29.
    The Arabian Nights- is a story straight out of a romance novel. It's an epic collection of Arabic folk tales written during the Islamic Golden Age. Pirates of the Caribbean - is an American fantasy swashbuckler film series produced by Jerry Bruckheimer and based on Walt Disney's theme park attraction of the same name. The Magic Carpet - risks its own lifetime and again to get Aladdin out of precarious situations and helps him win over the heart of Princess Jasmine. The Prince of Persia - is a 2010 American action fantasy film directed by Mike Newell.
  • 30.
    15. Decomposition isan important requirement in which a substance is broken down into a product that can be useful. The organisms capable of decomposing are called: a. saprotrophs b. primary consumers c. autotrophs d. producers
  • 31.
    Saprotrophs - taketheir food in solution form, from dead and decaying matter. Bacteria, fungi, and fungus-like organisms are examples of saprotrophs. Primary consumer - make up the second trophic level. They are also called herbivores. They eat primary producers—plants or algae—and nothing else. For example, a grasshopper living in the Everglades is a primary consumer. Autotrophs - is an organism that can produce its own food using light, water, carbon dioxide, or other chemicals. Because autotrophs produce their own food, they are sometimes called producers. Producers - are organisms that make their own food; they are also known as autotrophs.
  • 32.
    16. The beneficialeffect of scientific development on medicine is: a. control of diseases b. access to information c. research capability d. information dissemination
  • 33.
    Medicines are chemicalsor compounds used to cure, halt, or prevent disease; ease symptoms; or help in the diagnosis of illnesses. Advances in medicines have enabled doctors to cure many diseases and save lives. These days, medicines come from a variety of sources.
  • 34.
    17. The mayor’swife is known for her “fondness” for signature watches and handbags. A synonym for fondness is: a. bias b. dislike c. penchant d. selection
  • 35.
    Bias - prejudicein favor of or against one thing, person, or group compared with another, usually in a way considered to be unfair. Dislike - feel distaste for or hostility toward. Penchant - a strong or habitual liking for something or tendency to do something. Selection - the action or fact of carefully choosing someone or something as being the best or most suitable.
  • 36.
    18. What willhappen to a plant cell placed in a hypertonic solution? a. The plant cell will have edema b. The plant cell will rupture c. The plant cell will shrink d. No effect on the plant cell
  • 38.
    19. A 10-meterboard leans against the wall. The foot of the board is 8 meters from the wall. How far up the wall does the board each? a. 6 meters b. 4 meters c. 8 meters d. 10 meters
  • 39.
    Use Pythagorean Theorem:the well-known geometric theorem that the sum of the squares on the legs of a right triangle is equal to the square on the hypotenuse (the side opposite the right angle)—or, in familiar algebraic notation, 𝑎2 + 𝑏2 = 𝑐2 . Solution: 𝑎2 + 82 = 102 𝑎2 = 102 − 82 𝑎2 = 100 − 64 𝑎2 = 36 𝑎 = 36 𝑎 = 6
  • 40.
    20. Arrange thefollowing events chronologically from the first to the last. I. Execution of GomBurZa II. Formal education in Ateneo and UST III. Execution by firing squad in Bagumbayan IV. Birth in Calamba V. Completion of Noli Me Tangere and El Filibusterismo a. IV, I, II, V, III b. IV, II, V, I, II c. II, IV, I, II, V d. II, I, V, IV, III
  • 42.
    21. The interconnectionsof social and environmental injustices between rich and poor nations is demonstrated by: a. rich nations’ toxic waste disposal to poor countries b. desertification of verdant regions c. extinction of endemic flora and fauna d. temperature warning and rise of sea levels
  • 44.
    22. x =3 and y = 2 then 6xy simplified is: a. +12 b. -36 c. -12 d. +36
  • 45.
  • 46.
    23. Karlo hadan average of 70% in his first two tests and an average of 80% in his next three tests. The average for his five tests is: a. 80 b. 76 c. 75 d. 78
  • 47.
    70% 2 +80% (3) 5 = ? 140% + 240% 5 = ? 380% 5 = ? Answer: 76%
  • 48.
    24. Modern capitalismis the characteristic of: a. socialism b. imperialism c. colonialism d. entrepreneurship
  • 49.
    Socialism - apolitical and economic system in which property and the means of production are owned in common, typically controlled by the state or government. Imperialism - the policy, practice, or advocacy of extending the power and dominion of a nation especially by direct territorial acquisitions or by gaining indirect control over the political or economic life of other areas. Colonialism - control by one power over a dependent area or people. Entrepreneurship – is a capitalism of a private capital, and investing in private start-ups, with potential for a viable harvest.
  • 50.
    25. Ang pinakamababanglebel ng wika na nilikha at nabuo sa pagsasama-sama ng mga salitang pinaikli o pinahaba at itinuturing n impormal ay tinatawag na: a. kolokyal b. likas c. dayalek d. teknikal
  • 52.
    26. “Ipapasa ngmag-aaral ang mga sagot sa takdang-aralin sa darating na Linggo,” ay nasa panahunang: a. pangnagdaan b. perpektibo c. panghinaharap d. pangkasalukuyan
  • 54.
    27. Energy transferillustrated by the storage current in a battery or power bank is: a. chemical b. potential c. nuclear d. kinetic
  • 56.
    28. In Rizal’spoem which extolls love of the national language, people who don’t love their native language are compared to a. “lupain ng ginto at bulaklak” b. “bayaning lalong tumatapang” c. “ibon mang may layang lumipad” d. “hayop at malansang isda”
  • 58.
    29. Mr. Buenaordered a merchandise listed at P15,000.00, the invoice above the net price of P12,750.00. Find the discount rate: a. 18% b. 20% c. 15% d. 22%
  • 59.
    𝐷𝑖𝑠𝑐𝑜𝑢𝑛𝑡 𝑅𝑎𝑡𝑒 = 15000− 12750 15000 × 100% = 0.15 × 100% = 15%
  • 60.
    30. Romeo andJuliet is to Shakespeare as Iliad and Odyssey are to: a. Homer b. Agamemnon c. Marlowe d. Achilles
  • 61.
    Homer – wrotethe Iliad and Odyssey; The Iliad is an epic tale of war and battle, The Odyssey is the story of a journey, a hero's heroic effort to return to his home. Agamemnon - a king of Mycenae who led the Greeks at the siege of Troy. On his return home he was murdered by his wife Clytemnestra and her lover Aegisthus. Marlowe - was an Elizabethan poet and William Shakespeare's most important predecessor in English drama. He is noted especially for his establishment of dramatic blank verse. Achilles - was the strongest warrior and hero in the Greek army during the Trojan War. He was the son of Peleus, king of the Myrmidons, and Thetis, a sea nymph. The story of Achilles appears in Homer's Iliad and elsewhere.
  • 62.
    31. Bernadette’s aquariumhas length, width and height of 10 cm, 8 cm and 6 cm respectively. Its volume is: a. 72 cubic centimeters b. 24 cubic centimeters c. 240 cubic centimeters d. 480 cubic centimeters
  • 63.
    Volume = lengthx width x height Volume = 10 cm x 8 cm x 6 cm Volume = 480 cubic centimeters
  • 64.
    32. The unionof an ovum and a sperm inside a test tube is called _______ fertilization. a. in vivo b. asexual c. in vitro d. sexual
  • 66.
    33. Potential energyis to battery, as a moving electric fan is to: a. nuclear b. mechanical c. chemical d. kinetic
  • 68.
    34. “Subalit” aypangatnig na ginagamit sa: a. pagtatanong b. lubos na pagsang-ayon c. paglilinaw d. hindi pagsang-ayon
  • 70.
    35. Light travelsfastest in: a. vacuum b. air c. liquid d. water
  • 71.
    Light in airis 1.0003 times slower than light in a vacuum, which slows it all the way down from 299,792,458 meters per second to 299,702,547 meters per second. That's a slowdown of 89,911 meters per second, which looks like a lot but is only three ten- thousandths of the speed of light. Light travels faster in vacuum than any other medium. This is because there is no obstruction in vacuum for the propagation of light and thus, the refractive index of vacuum is the lowest.
  • 72.
    36. The monarchof England whose strict adherence to morality influenced the struggle of good over evil in literary pieces was Queen: a. Mary b. Elizabeth c. Sophia d. Victoria
  • 74.
    37. All thesisters and brother of Rizal used “Mercado”, the father’s surname; Rizal instead used the maternal surname of his father to allow Rizal to move freely while studying because: a. young Rizal was expelled from a parochial school b. the Mercado siblings were blacklisted in schools c. the Mercado family members were suspects as anti- government d. Jose Rizal was an adopted son
  • 75.
    Dr. Jose RizalProtasio Mercado y Alonso Realonda should have used the name Jose Mercado ( Father’s last name) but he used the name of Jose Rizal instead, most likely to protect his identity, so he used his middle name. When he studied in Manila at the Jesuit Areneo Municipal school, he changed his name to “Jose Rizal” because his brother, Paciano Mercado, was wanted by the colonial authorities for being an associate of the martyred priest, Fr. Jose Burgos, and Paciano feared that Jose would not be accepted under his real name. The name Rizal was considered as illustrado during the Spanish time and entailed the benefits a Spaniard can get.
  • 76.
    38. The designationfor places on earth that are of outstanding universal value to humanity is called a. Archaeological Artifact b. Antique Heirloom c. Vintage Collection d. World Heritage
  • 77.
    World Heritage Sites 1.Christ the Redeemer - Brazil 2. Machu Picchu - Peru 3. Petra - Jordan 4. Taj Mahal – India 5. The Colosseum - Italy 6. The Great Wall - China 7. Chichen Itza - Mexico
  • 78.
    39. Face-to-face communicationis made via computer through: a. Skype b. E-mail c. Google d. Twitter
  • 80.
    40. The Philippineswas discovered in 1521 by a Portuguese explorer: a. Servillano Aquino b. Ferdinand Magellan c. Christopher Columbus d. Fidel Castro
  • 81.
    Servillano Aquino -was the grandfather of the slain Senator Benigno S. "Ninoy" Aquino, Jr. Ferdinand Magellan - a Portuguese explorer who discovered the Philippines in 1521 Christopher Columbus - is known for his 1492 'discovery' of the New World of the Americas on board his ship Santa Maria. Fidel Castro – a Cuban communist revolutionary and politician who took part in the Cuban Revolution from 1953 to 1959.
  • 82.
    41. The leastcommon multiple of 5, 2, 7 is: a. 140 b. 35 c. 15 d. 70
  • 84.
    42. The partof a newspaper or a magazine article which gives the name of the writer of the article is called: a. byline b. deadline c. headline d. bannerline
  • 85.
    Byline - aline in a newspaper naming the writer of an article. Deadline - the latest time or date by which something should be completed. Headline - a heading at the top of an article or page in a newspaper or magazine. Bannerline - a headline in large type running across a newspaper page
  • 86.
    43. Paraan ngpagbuo ng salita na ginagamitan ng tatlong uri ng panlapi ay: a. laguhan b. inunlapian c. hinulapian d. kabilaan
  • 88.
    44. Ang mgasalitang “kagandahan”, “magkaibigan”, at “nagunahan” ay mga halimbawa ng salitang may panlaping: a. gitlapi b. kabilaan c. laguhan d. unlapi
  • 90.
    45. When thesource of energy is not depleted and may be used over and over again, it is described as: a. reclaimable b. renewable c. reviewable d. recyclable
  • 92.
    46. Pag-aaral ngmga tuntunin kung paano inaayos ang mga salita sa loob ng pangungusap ay: a. syntax b. pragmatika c. ortograpiya d. semantika
  • 93.
    Sintaks - angbahaging ito nglinggwistika na may kinalamaman sa Sistema ngmga tuntunin at kategorya na siyang batayan sapagbuo ng mga pangungusap. Pragmatika - ay isang sangay ng lingguwistika na nababahala sa paggamit ng wika sa mga konteksto ng lipunan at ang mga paraan kung saan ang mga tao ay gumagawa at naiintindihan ang mga kahulugan sa pamamagitan ng wika. Ortograpiya - ay ang representasyon ng mga tunog ng wika na nakalimbag na mga simbolo tulad ng alpabeto. Semantika – ang agham ng linggwistiko na nag-aaral ng kahulugan ng mga salita at ekspresyon
  • 94.
    47. Prokaryotes comein 4 basic morphologies: spherical, rod-shaped, spiral- shaped and comma-shaped. The bacterial etiology of cholera (vibrio cholera) is: a. spiral b. comma-shaped c. spherical d. rod shaped
  • 96.
    48. Ang alpabetikongFilipino ay tinatawag na: a. panitikan b. abakada c. alibata d. balarila
  • 97.
    Abakada - angtawag sa pangkat ng mga titik o letra sa wikang Tagalog at kumakatawan sa tawag sa apat na unang titik nitó (A- Ba-Ka-Da). Ang abakáda ay binubuo ng 20 titik: A,B, K, D, E, G, H, I , L, M, N, Ng, O, P, R, S , T, U, W, Y. Panitikan - ay nagsasabi o nagpapahayag ng mga kaisipan, mga damdamin, mgakaranasan, hangarin at diwa ng mga tao. Alibata - ito ay isang katutubong paraan ng pagsulat ng mga Filipino. Balarila - ay ang pag-aaral hinggil sa isang wika.
  • 98.
    49. All theseare the beneficial effects of scientific knowledge except: a. solution to practical problems b. making informed decisions c. development of new technology d. pursuance of political agenda
  • 100.
    50. Plants convertinto chemical energy the energy from: a. sunlight b. rain c. biomass d. coal
  • 102.
    51. Humans havemixed attitude towards robots. On one hand, we appreciate that robots can substitute in doing dangerous or repetitive tasks and heavy farm works and yet surveys show that the growing robotization of our society makes us feel uncomfortable and threatened because of the fear that robots: a. will destroy offices and factories b. will spread communicable diseases c. will turn into criminals d. will replace humans in the workplace
  • 104.
    52. “Isang bandila,isang wika, isang bayan” ay sawikain na nanghihikayat ng: a. pagkakabuklod - buklod b. pagkakaisa c. pakikipaglaban d. palaisipan
  • 105.
    “Isang Pamahalaan, isangBandila, isang Puso, isang Kaluluwa at isang Wika.” - Talumpati Ni Pangulong Jose P. Laurel Sa Mga Manunulat Sa Tagalog
  • 106.
    53. Violinist whobrought classical violin music to the masses is: a. Chan b. Kabayao c. Molina d. Katindig
  • 107.
    GILOPEZ KABAYAO, thePhilippines’ Violin Virtuoso and Musical Crusader.
  • 108.
    54. Clear andorganized presentation for lecture and/or instruction is by: a. PowerPoint b. Compact disc c. White board d. Acetate
  • 110.
    55. The followingtable summarizes the scores of a class on the recent test. The median score interval is SCORE FREQUENCY 16-23 2 24-31 4 32-39 6 40-47 12 48-55 10 56-53 8 64-71 6 72-79 4 a. 56 - 63 b. 64 - 69 c. 48 - 55 d. 40 - 47
  • 112.
    56. The educatedFilipinos who led the reform movement during the Spanish colonial region were called: a. illustrados b. indios c. insulares d. peninsulares
  • 113.
    Ilustrados - constitutedthe Filipino educated class during the Spanish colonial period in the late 19th century. Indios - During the colonization of the Philippines, the natives were not called Filipinos, instead they were called indios. Insulares - was the specific term given to criollos (full-blooded Spaniards born in the colonies) born in the Philippines or the Marianas. Peninsulares - was the pure-blooded Spaniards born from Spain and sent to Spanish colonies to govern.
  • 114.
    57. The rightto demand the physical presence of the accused in court is known as the writ of: a. habeas corpus b. habeas data c. amparo d. mandamus
  • 116.
    58. Kailan nagsimulaang pagkakaroon ng modernisasyon ng wikang Pambansa: a. 1974 b. 1987 c. 1997 d. 1988
  • 118.
    59. The fishermanuses worms as _____ for fish. a. bit b. bitten c. bite d. bait
  • 120.
    60. “Ang atletangPilipino ay lubhang masigasig”, ang “lubhang” ay isang: a. Pandiwa b. Pang - abay c. Pang - uri d. Pangngalan
  • 122.
    61. The majorconcern about global warming arises from increased concentrations of: a. greenhouse effect b. photochemical smog c. sulfur oxides d. nitrogen oxides
  • 124.
    62. Ang pinakamahalaganggamit ng wika ay ang pagkakaisa ng mga mamamayan sa pamamagitan ng: a. ugnayan b. salisihan c. tagisan d. pantayan
  • 126.
    63. What isthe amount due on P8,000.00 after adding the annual interest of 9%? a. P 11,720.00 b. P 9,720.00 c. P 8,720.00 d. P 9,020.00
  • 127.
    Formula: Final Amount= Principal + Interest Formula: Interest = Principal x Rate x Time Solution: Interest = 8000 x 9% x 1 Interest = 8000 x 0.09 x 1 Interest = 720 Final Amount = 8000 + 720 Final Amount = 8720
  • 128.
    64. Bahagi ngpananaliksik kung saan matatagpuan ang panimula, kaligiran ng pag-aaral at “conceptual framework” ay: a. Kabanata IV b. Kabanata II c. Kabanata I d. Kabanata III
  • 130.
    65. Ang kahuluganng “a stitch in time, saves nine,” ay: a. maagap b. masayahin c. malingap d. mahinay
  • 132.
    66. The truename of Mark Twain is: a. Edgar Allan Poe b. George Eliot c. Samuel Clemens d. Robert Browning
  • 133.
    Edgar Allan Poe- regarded as the father of modern detective story, was an American poet, author and literary critic. Mary Ann Evans - known by her pen name George Eliot, was an English novelist, poet, journalist, translator and one of the leading writers of the Victorian era. Samuel Clemens - known by his pen name Mark Twain, was an American writer, humorist, entrepreneur, publisher, and lecturer. Robert Browning - advocates a philosophy based on optimism. He believes that struggles and imperfections are a part of life.
  • 134.
    67. What isthe oldest religion in Asia? a. Christianity b. Hinduism c. Buddhism d. Islamism
  • 136.
    68. Haiku istraditional Japanese poem consisting of: a. four lines that rhymes with love as topic b. eight lines ending in rhyming couplet with death as topic c. three lines totaling 17 syllables with nature as topic d. lines of poetry in free verse with ordinary things as topic
  • 138.
    69. Mark’s aquariumhas length, width and height of 10 cm, 8 cm and 6 cm, respectively. The volume of the aquarium is: a. 240 cubic centimeters b. 420 cubic centimeters c. 144 cubic centimeters d. 480 cubic centimeters
  • 139.
    Volume = lengthx width x height Volume = 10 cm x 8 cm x 6 cm Volume = 480 cubic centimeters
  • 140.
    70. Blood compactis the agreement forged in Bohol between: a. Villalobos and Datu Puti b. Legaspi and Sikatuna c. Delcano and Humabon d. Magellan and Lapu-lapu
  • 141.
    The Sandugo wasa blood compact, performed in the island of Bohol in the Philippines, between the Spanish explorer Miguel López de Legazpi and Datu Sikatuna the chieftain of Bohol on March 16, 1565, to seal their friendship as part of the tribal tradition.
  • 142.
    71. Anong uring panlapi ang ginagamit sa mga sumusunod na salita: limutin, tukuran, suwagin: a. kabilaan b. unlapi c. hulapi d. gitlapi
  • 144.
    72. Ang pang-urisa sumusunod na pangungusap “Nakita at nasadya ko na and kalakhang Maynila” ay: a. kalakhang b. Maynila c. nakita d. nasadya
  • 146.
    73. The lawsof heredity were the results of the study of: a. Mendel b. Fleming c. Curie d. Darwin
  • 147.
    Gregor Mendel -was the first to give scientific explanation regarding the mode of transmission of characters and formulate the basic laws of heredity. Hence, he is rightly called the ‘Father of Genetics’. Alexander Fleming - was a Scottish physician and microbiologist, best known for discovering the world's first broadly effective antibiotic substance, which he named penicillin. Marie Curie - as a Polish and naturalized-French physicist and chemist who conducted pioneering research on radioactivity. Charles Darwin - was an English naturalist, geologist and biologist, best known for his contributions to evolutionary biology.
  • 148.
    74. “Laong-laan” and“Dimasalang” were the pen names used by: a. Andres Bonifacio b. Juan Luna c. Emilio Aguinaldo d. Jose Rizal
  • 149.
    PEN NAMES OF FILIPINO PROTAGONISTS ANDRESBONIFACIO – May Pag-asa, Agapito Bagumbayan ANTONIO LUNA – Taga- Ilog EMILIO AGUINALDO - Magdalo EMILIO JACINTO – Di Masilaw, Tingkian GRACIANO LOPEZ JAENA – Diego Laura JOSEMA. PANGANIBAN ¬ JoMaPa JOSE RIZAL – Dimas alang, Laon laan JUAN LUNA – Buan MARCELO DEL PILAR – Plaridel, Dolores Manapat, Piping Dilat MARIANO PONCE – Tikbalang, Naning Kalipulako
  • 150.
    75. Who werethe aboriginal settlers in the islands, prior to the foreign migrants who crossed the seas from across the Southern Philippines? a. Malayans b. Sumatians c. Negritos d. Borneans
  • 152.
    76. The predominanceof extended families in the Philippines is traceable to: a. fondness of children b. close family ties c. respect to elders d. sentimental trait
  • 154.
    77. Insulin issecreted by the: a. pancreas b. kidney c. liver d. intestine
  • 156.
    78. Which isTRUE of metalloids? a. conduct heat better than metals b. conduct heat and electricity less effectively than non- metals c. have properties of both metals and non-metals d. conduct electricity
  • 158.
    79. Anong uring pamamahayag ang nag- uulat ng tunay na pangyayari batay sa pag- aaral, pananaliksik, o pakikinayam at isinulat sa paraang kawili-wili? a. lathalain b. editoryal c. pangulong tudling d. kumento
  • 160.
    80. Ecosystem isthe relationship between the physical and biological environments in a certain plain. Among desert ecosystems, the world’s largest is: a. Sahara b. Gobi c. Kalahari d. Chihuahua
  • 162.
    81. He wascalled the “Boy General” because of his youth whom he fought valiantly to defend Tirad Pass during the Philippine-American War. “An officer and a gentleman” was inscribed by an American office on the tombstone of: a. Antonio Luna b. Emilio Aguinaldo c. Marcelo H. Del Pilar d. Gregorio Del Pilar
  • 163.
    Antonio Luna –founded La Independencia, the periodical organ of the Revolution. Emilio Aguinaldo - the first President of the Philippines. Marcelo H. Del Pilar – the 2nd editor of La Solidaridad Gregorio Del Pilar - was called the “Boy General”
  • 164.
    82. Pag-aaral ngmga tuntunin sa pagbabaybay ng mga salita ay: a. semantika b. gramatika c. ortograpiya d. sistema
  • 166.
    83. The philosophythat advocates logical reasoning to prove the existence of the Supreme Being was popularized by: a. St. Peter the Great b. St. John the Baptist c. St. Thomas Aquinas d. St. Jude the Apostle
  • 168.
    84. Katangian ngmahusay na pananaliksik na sumusuri sa mga nakalap na datos, partikular na sagot sa mga talatanungan upang mabigyan ng wastong interpretasyon ay: a. obhektibong pananaw b. lohikal c. empirical d. kritikal na pagsusuri
  • 170.
    85. Which amongthe following is NOT a prime number? a. 51 b. 41 c. 31 d. 11
  • 172.
    86. Perform theindicated operations and reduce the result to simplest form 3x^3 / 5y multiplied by 4y / x a. 12x^2/5 b. 15y/4x c. 5x/4y d. 4x/15y
  • 173.
  • 174.
    87. The lowestform of learning observed especially among animals is: a. maturation b. motivation c. reinforcement d. conditioning
  • 176.
    88. If youhave misplaced _____ manual, I will be glad to lend you _____. a. My , mine b. My , yours c. Your , yours d. Your , mine
  • 178.
    89. Sa Batangasay “nabanas”, sa Bulacan ay “maalinsangan”, sa Rizal ay “bang-init” ay mga halibawa ng: a. lalawiganin b. kolokyal c. talinhaga d. pambansa
  • 180.
    90. Perform theoperation and reduce to simplest form 3x - (2y - 4x) + 6y: a. -2x - 3y b. 7x + 4y c. -7x - 4y d. 2x + 3y
  • 181.
    3x - (2y- 4x) + 6y = 3x – 2y + 4x + 6y = 7x + 4y
  • 182.
    91. Mahatma Gandhi,icon of non-violence said; “There go my people, I must hasten to follow them for I am their leader.” The quotation refers to leadership by: a. coercion b. popularity c. example d. command
  • 184.
    92. Ms. Sanchezweighed 62 kg. She lost 3 kg on her first week exercise, gained 4 kg on her second week, lost 5 kg on the third week and retained her weight during the fourth week. What was her weight on the fourth week in kg? a. 59 kg b. 60 kg c. 62 kg d. 58 kg
  • 185.
    Start with 62kg. Then, 1st week, lost 3 kg means 62 – 3 = 59 kg Then, 2nd week, gained 4 kg means 59 + 4 = 63 kg Then, 3rd week, lost 5 kg means 63 – 5 = 58 kg Then, 4th week, retained means still 58 kg.
  • 186.
    93. That growthand development vary from person to person is exemplified in the principle of: a. individual differences b. apperceptive basis c. reward and punishment d. reinforcement
  • 188.
    94. By thetime you will arrive the meeting ______ . a. will have ended b. will end c. had ended d. has ended
  • 190.
    95. Simplify: 8xy+ 2y + 2xy - y + 4y^3 + 3y a. 10xy + 4y + 4y^3 b. 2y + 2y + 6xy c. 10xy + 4xy + 4y d. 4y^3 + 4xy + 4y
  • 191.
    8xy + 2y+ 2xy - y + 4y^3 + 3y = 10xy + 4y + 4y^3
  • 192.
    96. Ang wastongkahulugan ng “Kung may isinuksok, may titingalain”, ay: a. umaasa b. maging masipag c. mag - impok d. maglinis
  • 193.
    “Kung may isinuksok,may titingalain” – Mag-impok
  • 194.
    97. Since mostorganization consume more than one type of animal or plant or consume both, the transfer of matter and energy intertwine into the a. food producer b. food web c. food chain d. food producer
  • 196.
    98. A ladder50 feet long is placed between the ground and a vertical wall. The lower end of the ladder forms an angle of 33° with the ground. Find the distance of the ladder from the ground. a. 30 feet b. 40 feet c. 25 feet d. 100 feet
  • 197.
    Solution: cos 33° = 𝑥 50 𝑥= (cos 33°)(50) 𝑥 = 41.93 𝑓𝑒𝑒𝑡 𝑥 = 40 𝑓𝑒𝑒𝑡
  • 198.
    99. The peaceforged in Bohol between Legaspi and Sikatuna was known as: a. Onion Obrera b. Blood Compact c. Galleon Trade d. Verdadero Decalogo
  • 200.
    100. An avocadotree planted beside a sampaguita plant in a garden, demonstrate what kind of relationship? a. co-optation b. competition c. parasitism d. predation
  • 202.
    101. Ang wastongkahulugan ng “mahinhing talipandas” ay: a. mayabang b. mapagkunwari c. maselan d. kahanga-hanga
  • 203.
  • 204.
    102. Knowledge relatedto methods or operation which is goal-oriented, the goal being the actual performance of a task that requires skills, such knowledge is known as a. conceptual b. procedural c. metacognitive d. factual
  • 206.
    103. “Sa amingnayon kilala si Cirilo na bukas-palad”, na ang kahulugan ay: Si Cirilo ay a. mapag-upasala b. mapagkawang-gawa c. mapaghignti d. mapaghinala
  • 207.
  • 208.
    104. In aSenior High School Class composed of 40 students, 16 chose to take ABM track, and the rest selected the STEM track. The total who selected STEM was: a. 32 b. 8 c. 20 d. 24
  • 209.
  • 210.
    105. The standardfootball fields are 100 meters from goal line to goal line. If it is 360 meters around a football field, how wide is the field? a. 86 meters b. 80 meters c. 70 meters d. 85 meters
  • 211.
    Use the formulafor finding the perimeter of rectangle: P = 2L + 2W 360 = 2(100) + 2W 360 = 200 + 2W 360 – 200 = 2W 160 = 2W 80 = W
  • 212.
    106. What showsthe flow of energy and materials from one organism to the next in a particular habitat is called? a. food digestion b. food producer c. food chain d. food consumer
  • 214.
    107. The termused to refer to every living thing including plants, bacteria, animals and humans existing naturally in a certain region is: a. ecosystem b. bioscience c. biodiversity d. habitat
  • 215.
    Ecosystem - abiological community of interacting organisms and their physical environment. Bioscience - any of the life sciences. Biodiversity - the variety of life in the world or in a particular habitat or ecosystem. Habitat - the natural home or environment of an animal, plant, or other organism.
  • 216.
    108. What doesa professional code of conduct prescribe? a. civic conduct for all b. stricter implementation of laws c. moral and ethnical standards d. professional traditions and more
  • 218.
    109. Before thecoming of the first settlers form neighboring Asian countries, the earliest occupants of the Philippines were the: a. Malayans b. Sumatrans c. Negritos d. Bornean
  • 219.
    The Negritos area dark-skinned people that are ethnically different from other people in the Philippines that are mostly Malay in origins. The are believed to be the original inhabitants of the Philippines. Their origins are obscure. Some anthologist believe they are descendant of wandering people that "formed an ancient human bridge between Africa and Australia.
  • 220.
    110. A storyput together through an exchange of letters is called: a. episode b. classic c. politics d. epistolary
  • 222.
    111. The respondto the expected depletion of the traditional source of energy, Asian countries including the Philippines: a. control number of transport facilities b. explore alternative energy sources c. control population d. limit industry activities
  • 224.
    112. Organisms thatdecompose substances into products that can be useful are called a. saprolites b. carnivores c. saprophytes d. herbivores
  • 226.
    113. What isthe exponent in the expression 13x^2 + y? a. 2 b. x c. y d. 13
  • 228.
    114. A populationof rabbits live in a stable habitat, with no changes in the environment for a long time. How will genetic drift possibly affect this population? a. It will stimulate the appearance of new traits b. it will decrease the population of the rabbits c. it will promote the dominance of the rabbits with superior traits d. it may decrease genetic variation
  • 229.
    Genetic variation isa term used to describe the variation in the DNA sequence in each of our genomes. Genetic variation is what makes us all unique, whether in terms of hair color, skin color or even the shape of our faces.
  • 230.
    115. “Matuling pinatakboni Roger ang kanyang bagong Toyota Innova”, ang pang- abay na pangungusap ay: a. ni b. matuling c. bagong d. kanyang
  • 232.
    116. The measureof a system’s energy that is unavoidable for doing useful work is: a. entropy b. convection c. radiation d. conservation
  • 234.
    117. Rizal’s motherpreferred to be imprisoned and walked 50 kilometers as punishment for a trumped-up charge of a Spanish official, rather than apologize by accepting the charge, Such action shows that she was a woman of: a. submission b. incertitude c. hesitation d. conviction
  • 236.
    118. Bahagi ngpananalita na nagpapahayag ng kilos, galaw at pangyayari ay: a. Pangngalan b. Pandiwa c. Panghalip d. Pang - uri
  • 238.
    119. Queen ElizabethII is the English monarch with the longest: a. rind b. rain c. rein d. reign
  • 240.
    120. “Reduccion” isthe Spanish policy which provided the resettlement of Filipino communities to form town centers or a. haciendas b. cedulas c. encomienda d. cabeceras
  • 241.
    REDUCCION Ang sapilitang pagpapatirasa mga katutubo mula sa orihinal nilang tirahan (tabing-ilog kabundukan) tungo sa bayan na tinatawag na pueblo. Lahat ng naninirahan sa pueblo na naaabot nng tunog ng kampana ay dapat maging Kristiyano at sumunod sa mga aral ng simbahan. Ang tawag sa tirahang nasa ilalim ng tunog ng kampana ay Cabecera.
  • 242.
    121. The primefactors of 56 are: a. 7, 2, 2, 2 b. 7, 8 c. 7, 4, 2 d. 14, 2, 2
  • 244.
    122. To describean easy task, the idiomatic expression to use is: a. spill the beans b. bite the bullet c. break a leg d. piece of cake
  • 245.
    Spill the beans- reveal secret information unintentionally or indiscreetly. Bite the bullet - decide to do something difficult or unpleasant that one has been putting off or hesitating over. Break a leg - good luck! Piece of cake - something easily achieved.
  • 246.
    123. The greatestcommon divisor of 24, 18, 3 is: a. 6 b. 18 c. 24 d. 3
  • 247.
    Listing Method: GCF 24- 1, 2, 3, 4, 6, 8, 12 and 24. 18 - 1, 2, 3, 6, 9 and 18. 3 – 1 and 3 Common Factors – 1 and 3 GCF - 3
  • 248.
    124. Solar panelsare examples of utilizing alternative sources of energy, specifically: a. wind b. sunlight c. waves d. water
  • 250.
    125. “Siya aynakilalang masipag at magalang na mamamayan”; ang pang- angkop sa pangungusap na ito ay: a. at b. ay c. siya d. na
  • 252.
    126. When anindividual is familiar with some bits of information such as terms, names of authorities, some particular details, such knowledge is regarded as: a. conceptual b. factual c. procedural d. metacognitive
  • 254.
    127. Carbon dioxideis produced by plants in the: a. afternoon b. noon c. morning d. evening
  • 256.
    128. Elizabeth weighed70 kg before exercising. She lost 4 kg on her first week, gained 5 kg on the second week, lost 6 kg on the third week and retained her weight during the fourth week which was a. 70 kg b. 66 kg c. 65 kg d. 72 kg
  • 257.
    Start with 70kg. Then, 1st week, lost 4 kg, 70 – 4 = 66 kg. Then, 2nd week, gained 5 kg, 66 + 5 = 71 kg. Then, 3rd week, lost 6 kg, 71 – 6 = 65 kg. Then, 4th week, retained means still 65 kg.
  • 258.
    129. Interest at8% after 3 months on P6,000.00. a. P 150.00 b. P 120.00 c. P 250.00 d. P 50.00
  • 259.
    Formula: Interest =Principal x Rate x Time Solution: Interest = 6000 x 8% x (3/12) Interest = 6000 x 0.08 x (1/4) Interest = 120
  • 260.
    130. The epitomeof the traditional Filipino woman; meek, submissive, obedient was: a. Donya Victorina b. Sisa c. Maria Clara d. Tiya Isabel
  • 262.
    131. The sumof two consecutive even numbers is 102. The numbers are: a. 53 and 54 b. 48 and 50 c. 60 and 61 d. 50 and 52
  • 263.
  • 264.
    132. The equationof the line with equal coordinates is: a. y = 3x b. y = x c. x + y = 0 d. y = -x
  • 266.
    133. The resettlementof Filipino communities to town centers called cabeceras was ordered by the Spanish policy called: a. pueblo b. gobernadorcillo c. reduccion d. encomienda
  • 267.
    REDUCCION Ang sapilitang pagpapatirasa mga katutubo mula sa orihinal nilang tirahan (tabing-ilog kabundukan) tungo sa bayan na tinatawag na pueblo. Lahat ng naninirahan sa pueblo na naaabot nng tunog ng kampana ay dapat maging Kristiyano at sumunod sa mga aral ng simbahan. Ang tawag sa tirahang nasa ilalim ng tunog ng kampana ay Cabecera.
  • 268.
    134. Which wasthe first labor union in the country founded by Isabelo de los Reyes in July 1901? a. Association of the Philippines labor b. Union Trabejadores de Filipinos c. Association de Compania Tabacalera d. Union Obrera Democratica
  • 270.
    135. Which ofthe following is an example of a useful function for bacteria? a. may be pathogenic and cause human disease b. can clean up an oil spill by digesting hydrocarbons c. may be used as vectors to introduce proteins into cells d. can synthesize new forms of heavy metals
  • 272.
    136. Wikang malikhainay mataas na antas ng wika na ginagamit sa: a. pamantayan b. panghuhula c. panitikan d. palaisipan
  • 274.
    137. Perform theindicated operation and reduce the result to simplest form: 40 xy / 27 xy: a. 40/27 b. 80x/27 c. 40x/40 d. 40x/81
  • 275.
    Solution: 40xy / 27xy Cancelthe xy. Answer: 40 / 27
  • 276.
    138. Animalia isto kingdom, as chordata is to: a. class b. kingdom c. phylum d. genus
  • 278.
    139. The poemthat expresses faith in the Filipino youth as hope of the fatherland is: a. La Belleza de Una Rosa b. Al Trabajo c. A La Juventud Filipina d. Mi Ultimo Adios
  • 280.
    140. Governor GeneralNarciso Claveria ordered the: a. use of Spanish surnames by Filipinos b. founding of the Union Obrera Democratica c. tobacco monopoly d. resettlement of Filipino communities in cabeceras
  • 282.
    141. An exampleof stored chemical energy inside the human body which is transformed into energy for the cells is: a. water b. food c. air d. blood
  • 284.
    142. What isthe molecule that allows plants to capture energy from sunlight? a. chlorophyll b. carbohydrates c. oxygen d. ATP
  • 286.
    143. Salita oparirala na kinakaltas sa pangungusap ay nangangailangan ng bantas na: a. kudlit b. panaklong c. panipi d. gitling
  • 288.
    144. Scientists’ valuesand beliefs are influenced by the customs and traditions of: a. association b. society c. family d. relatives
  • 290.
    145. “Maghapon atmagdamag na nagbasa ng aklat at lathalain si Gng. Llana”, ang panaguri sa pangungusap ay a. nagbasa b. Gng. Luna c. maghapon d. magdamag
  • 292.
    146. Apolinario Mabini,the acknowledged “Brains of the Revolution” wrote the principles of conduct and morality that should govern the revolutionary government called: a. Filipino Dentro El Cien Aeos b. Himno Al Trabajo c. La Cartilla d. El Verdadero Decalogo
  • 294.
    147. Ang lahatng ito ay mahalagang katangian ng isang mananalumpati MALIBAN sa: a. matikas na tindig at pananalita b. malinaw na pagbigkas c. panggulat at pagbigkas d. maayos na pagtalakay ng paksa
  • 296.
    148. The lawthat raised teaching to the same level as the other professions is: a. R.A. 10968 b. R.A. 7836 c. R.A. 10533 d. R.A. 10912
  • 298.
    149. “Scent ofApples”, a collection of stories that succeeded with the United States audience, was written by: a. Bienvenido Santos b. Jose Garcia Villa c. F. Sionil Jose d. Carlos Bulosan
  • 300.
    150. Nobody wantedto do the household chores and so the senior members of the family did the chores: a. myself b. themselves c. himself d. yourselves