STEEL DESIGN PROJECT
JOSIA BENSON TANNOS
CEE 4510 – SPRING 2016
Table of Contents
Summary
Introduction………………..………………..………………..………………..…………..1
Estimation of Dead Load……………………………………………………………….....1
Load Combination Factor…………………………………………………………………1
Maximum Live Load Deflection………………………………………………………….1
Cross Beams……….……….….……….……….……….……….……….………………1
Calculation of Height of The Truss………………………………………………….........1
Calculation of Design Values……………………………………………………………..1
The Actual Dead Load…………………………………………………………………….2
Limit States of Connection of Members Subjected to Tension Force…………………….2
Limit States of Connection of Members Subjected to Compression Force……………….2
Final Deflection Check……………………………………………………………………3
Results
Final Drawing………………………………………...…………………………………...3
Members and Connection of Members Subjected to Tension Force………………….…..5
Members and Connection of Members Subjected to Compression Force………………..5
Appendices
Appendix A - Calculation of Height of The Truss………...…………………………………...6
Appendix B - Calculation of Design Values………...…………………………………..............8
Appendix C - Calculation of Connection on Member Subjected to Tension Force
C.1 - Connection on Member 9-10 & 12-13………...…………………………………...13
Appendix D - Calculation of Connection on Member Subjected to Compression Force
D.1 - Connection on Member 1-2 & 6-7………...………………………………….........17
Appendix E – Design of Cross Beam………...………………………………….......................21
Appendix F – Calculation of Actual Dead Load……………………………...........................23
Appendix G - Calculation of Vertical Deflection due to Live Load………............................24
Appendix H - Detailed Drawing of Connection at Joint 3………...........................................26
List of Figures
Figure 1a – Final Drawing of The Truss…………………………………………………………..4
Figure 1b – Final Drawing of The Truss with Dimension………………………………….……..4
Figure A.1 – Calculation of Height of The Truss (1) ………………………………………...…..6
Figure A.2 – Calculation of Height of The Truss (2) ………………………………………...…..7
Figure B.1 – Calculation of Design Values (1) …………………………………………..…...…..8
Figure B.2 – Calculation of Design Values (2) …………………………………………..…...…..9
Figure B.3 – Calculation of Design Values (3) …………………………………………..…...…10
Figure B.4 – Calculation of Design Values (4) …………………………………………..…...…11
Figure C.1 – Calculation of Connection on Member 9-10 & 12-13 (1) ……………..…….....…13
Figure C.2 – Calculation of Connection on Member 9-10 & 12-13 (2) ……………..…….....…14
Figure C.3 – Calculation of Connection on Member 9-10 & 12-13 (3) ……………..…….....…15
Figure C.4 – Calculation of Connection on Member 9-10 & 12-13 (4) ……………..…….....…16
Figure D.1 – Calculation of Connection on Member 1-2 & 6-7 (1) ……………..…….....……..17
Figure D.2 – Calculation of Connection on Member 1-2 & 6-7 (2) ……………..…….....……..18
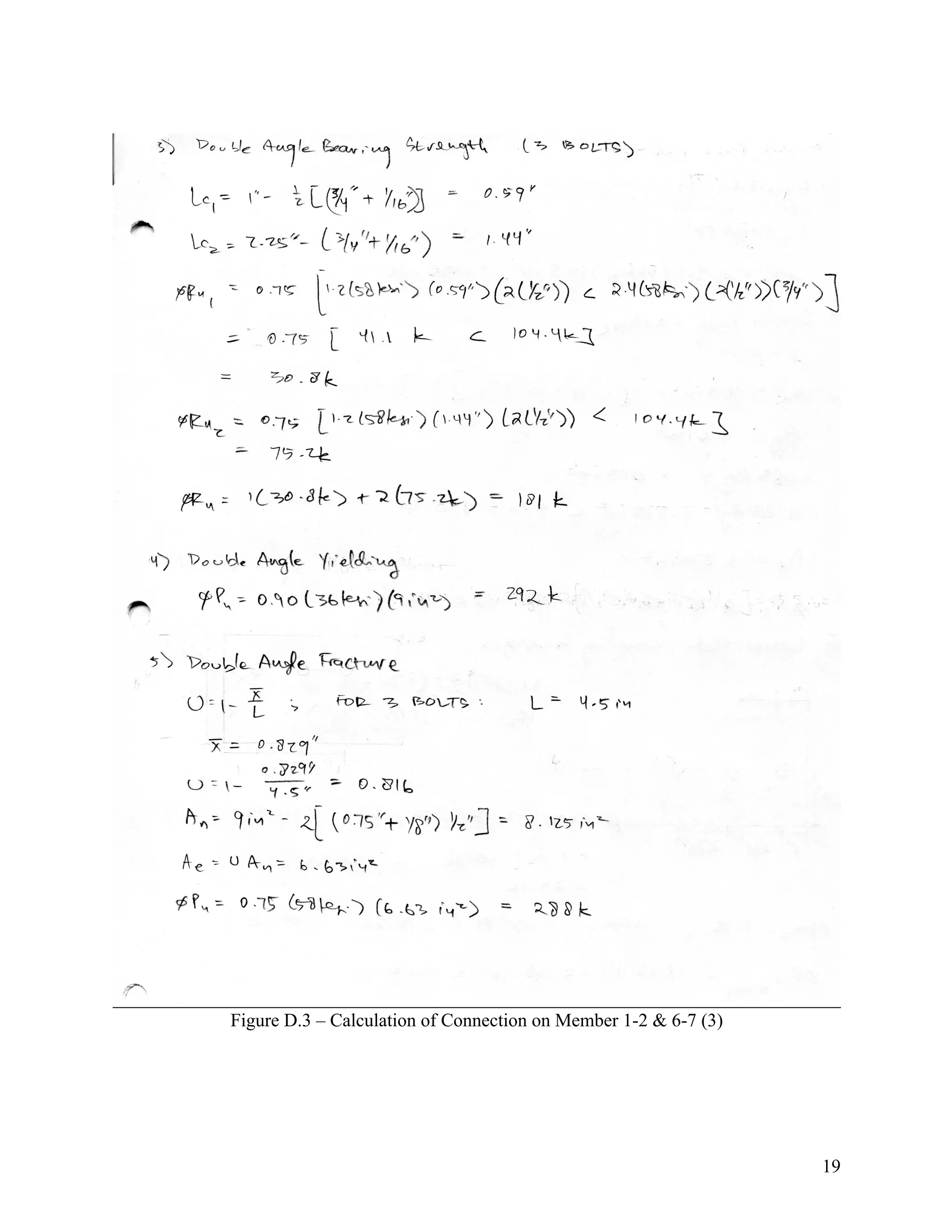
Figure D.3 – Calculation of Connection on Member 1-2 & 6-7 (3) ……………..…….....……..19
Figure D.4 – Calculation of Connection on Member 1-2 & 6-7 (4) ……………..…….....……..20
Figure E.1 – Design of Cross Beams (1) ……………..…………………………….….....……..21
Figure E.2 – Design of Cross Beams (2) ……………..…………………………….….....……..22
Figure F – Calculation of Actual Dead Load……………..…………………………….…..........23
Figure G – Sample calculation of Deflection ( Member 1-2)……………………………………24
Figure H.1 – Detailed Connection at Joint 3 with Dimensions (in Inches) …….……………….26
List of Tables
Table 1 – Member and Connection of Tension Members………………………………………..5
Table 2 – Member and Connection of Compression Members…………………………………..5
Table B.1 – Calculated Design Values with Assumed Dead Load of 80 psf and Live Load of 100
psf……………………………………………………………………………………...12
Table G.2 – Final Deflection Check………………………………………………………..........25
1
Summary
Introduction
In this project, a truss bridge pedestrian walkway must be designed to support a live load of 100
pounds per square foot with a maximum vertical deflection due to live load. The length and
width of the truss bridge are 60 feet and 9 feet respectively. A concrete slab is placed at the top
of cross beams located at on the truss for pedestrian to walk. The maximum live load deflection
shall not exceed 0.2% of the span length, 1.44 inches. Lateral bracing is not part of this project.
The material used for members, gusset plate and bolts are A36, A36 and A325-N respectively.
The connections were designed so that the length of connection (distance from the bolt’s centroid
closest the edge to the farthest bolt’s centroid from the edge) does not exceed 6 inches.
Estimation of Dead Load
In order to start the calculation of this project, a dead load must be estimated. In this project, it is
initially assumed that the dead load is 80 pounds per square foot, including decking, railing,
reinforced concrete slab, cross beams, bolts and bracing.
Load Combination Factor
In the design, two load combination factor from AISC were used. The load combinations were
1.4D and 1.2D + 1.6L, where D represents the dead load and L represents the live load. The
maximum load from the two load combinations from AISC is used for the calculation of design
values.
Maximum Live Load Deflection
The maximum live load deflection of the truss shall not exceed 0.2% of the span length, or
equivalent to 1.44 inches.
Cross Beams
The cross beams to place the concrete slab floor above the truss is designed based on the
maximum applied load from Table 3-6 in AISC manual. The cross beams are made of W-Shape
beam (Grade 50) and are loaded with self-weight, concrete slab and live load (the pedestrian
crossing over above the slab). W8X13 is used for all 7 cross beams.
Calculation of Height of The Truss
The height of the truss is calculated by assuming that the truss is a simply supported I-Beam with
a pin and a roller at each end, with span length of 60 feet. The height of the truss is calculated by
determining the minimum required moment of inertia of the I-Beam for the beam loaded with the
factored dead and live loads to not deflect more than 1.44 inches. The height used for the truss in
this project is 3 feet.
Calculation of Design Values
The design values were calculated by applying the factored dead and live loads to the truss. For
the preliminary calculation, it was assumed that the loads were applied only at the joints of the
upper part of the truss. Then, the force in each member is calculated by using method of joints
and method of sections.
2
The Actual Dead Load
After choosing the double angle used for each member, the number of bolts used and the
dimension of the gusset plate used in each connection and the member for cross beams, the dead
load is recalculated to compare it with the estimated dead load used in the preliminary
calculation. The calculation of the additional weight of bolts and gusset plates and reduction of
the bolt holes in the gusset plate and double angle were simplified by adding 15% to the weight
of the double angle used in the truss. The weight of the cross beams is also included as dead
load. The actual dead load and the estimated dead load were 99.3 pounds per square foot and 80
pounds per square foot respectively. Another calculation of design values, governing load on
each member and connections with the actual dead load value of 99.3 pounds per square foot
was done to get a more accurate design. The final design is based on the dead load of 99.3
pounds per square foot and live load of 100 pounds per square foot.
Limit States of Connection of Members Subjected to Tension Force
For the member subjected to tension force, the connection is designed based on 8 limit states:
1.! Yielding of The Gusset Plate
2.! Shear Strength in Bolts
3.! Fracture of The Gusset Plate
4.! Gusset Plate Bearing Strength
5.! Yielding of The Double Angle
6.! Double Angle Bearing Strength
7.! Fracture of The Double Angle
8.! Double Angle Block Shear
9.! Gusset Plate Block Shear
The number of bolts required is calculated based on 3 limit states, shear strength in bolts, gusset
plate bearing strength and double angle bearing strength. The shear strength in bolts, gusset plate
bearing strength and double angle bearing strength must exceed the calculated design values.
Then, the final number of bolts used were based on the maximum number bolt required from the
3 limit states, and all limit states were checked with the determined number of bolts used to
ensure that all maximum load from all limit states are larger than the design values.
Limit States of Connection of Members Subjected to Compression Force
For compression members, the required number of connectors were calculated to prevent
buckling. The number of welded connectors required for members subjected to compression
force were calculated. Then, the connection is designed based on 7 limit states:
1.! Yielding of The Gusset Plate
2.! Shear Strength in Bolts
3.! Fracture of The Gusset Plate
4.! Gusset Plate Bearing Strength
5.! Yielding of The Double Angle
6.! Double Angle Bearing Strength
7.! Fracture of The Double Angle
The number of bolts required is calculated based on 3 limit states, shear strength in bolts, gusset
plate bearing strength and double angle bearing strength. The shear strength in bolts, gusset plate
bearing strength and double angle bearing strength must exceed the calculated design values.
Then, the final number of bolts used were based on the maximum number bolt required from the
3
3 limit states, and all limit states were checked with the determined number of bolts used to
ensure that all maximum load from all limit states are larger than the design values.
Final Deflection Check
After designing the type of double angle used in each member and the connection for each
particular member, the maximum deflection of the truss must be calculated to ensure that the
deflection does not exceeds the maximum requirement of live load deflection. The maximum
live load deflection is calculated by using virtual work method. The calculated maximum
deflection in the truss is 1.00 inches, which is less than the maximum allowed deflection, 1.44
inches.
Results
Final Drawing
Figure 1a and 1b shows the final drawing of the truss. The connectors of the members subjected
to compression forces are drawn and included. All units for dimension are given in inches.
4
Figure 1a – Final Drawing Figure 1b – Final Drawing with
Dimension (in Feet)
5
Members and Connection of Members Subjected to Tension Force
Table 1 below shows the member and detail of the connection of members subjected to tension
forces. The number of the member are as shown in Figure 1a and Figure 1b.
Table 1 – Member and Connection of Tension Members
Member Double Angle
Number of
Bolt Used
Diameter of
Bolt (in)
Edge
Distance (in)
Spacing Between
Bolts (in)
8-9 2L6X6X3/8 2 1 1.25 3
9-10 2L6X6X3/8 3 1 1.25 3
10-11 2L6X6X3/8 2 1 1.25 3
11-12 2L6X6X3/8 2 1 1.25 3
12-13 2L6X6X3/8 3 1 1.25 3
13-14 2L6X6X3/8 2 1 1.25 3
1-13 2L5X3X3/8 (LLBB) 3 0.875 1.125 2.625
2-12 2L5X3X3/8 (LLBB) 2 0.75 1 2.25
3-11 2L5X3X3/8 (LLBB) 2 0.5 0.75 1.5
7-9 2L5X3X3/8 (LLBB) 3 0.875 1.125 2.625
6-10 2L5X3X3/8 (LLBB) 2 0.75 1 2.25
5-11 2L5X3X3/8 (LLBB) 2 0.5 0.75 1.5
Members and Connection of Members Subjected to Tension Force
Table 2 below shows the member and detail of the connection of members subjected to
compression forces. The number of the member are as shown in Figure 1a and Figure 1b.
Table 2 – Member and Connection of Compression Members
Member Double Angle
Number of
Connectors
Number of
Bolt Used
Diameter
of Bolt (in)
Edge
Distance (in)
Spacing Between
Bolts (in)
1-2 2L6X3.5X1/2 (LLBB) 2 3 0.75 1 2.25
2-3 2L6X3.5X1/2 (LLBB) 2 2 0.75 1 2.25
3-4 2L6X3.5X1/2 (LLBB) 2 2 0.75 1 2.25
4-5 2L6X3.5X1/2 (LLBB) 2 2 0.75 1 2.25
5-6 2L6X3.5X1/2 (LLBB) 2 2 0.75 1 2.25
6-7 2L6X3.5X1/2 (LLBB) 2 3 0.75 1 2.25
1-14 2L2.5X2X1/4 (LLBB) 2 2 0.625 0.875 1.875
2-13 2L2.5X2X1/4 (LLBB) 2 2 0.5 0.75 1.5
3-12 2L2.5X2X1/4 (LLBB) 2 2 0.5 0.75 1.5
4-11 2L2.5X2X1/4 (LLBB) 2 2 0.5 0.75 1.5
5-10 2L2.5X2X1/4 (LLBB) 2 2 0.5 0.75 1.5
6-9 2L2.5X2X1/4 (LLBB) 2 2 0.5 0.75 1.5
7-8 2L2.5X2X1/4 (LLBB) 2 2 0.625 0.875 1.875
6
Appendix A - Calculation of Height of The Truss
Figure A.1 – Calculation of Height of The Truss (1)
7
Figure A.2 – Calculation of Height of The Truss (2)
8
Appendix B - Calculation of Design Values
Figure B.1 – Calculation of Design Values (1)
9
Figure B.2 – Calculation of Design Values (2)
10
Figure B.3 – Calculation of Design Values (3)
11
Figure B.4 – Calculation of Design Values (4)
12
Table B.1 below shows the initial calculated design values before the actual dead load is
determined.
Table B.1 – Calculated Design Values with Assumed Dead Load of 100 psf and Live Load
of 100 psf
Member D [kips] L [kips]
1.4D
[kips]
1.2D+1.6L
[kips]
Compression
[kips]
Tension
[kips]
1-2 -37.2 -37.5 -52.1 -104.7 -104.7 0.0
2-3 -59.6 -60.0 -83.4 -167.5 -167.5 0.0
3-4 -67.0 -67.5 -93.8 -188.4 -188.4 0.0
4-5 -67.0 -67.5 -93.8 -188.4 -188.4 0.0
5-6 -59.6 -60.0 -83.4 -167.5 -167.5 0.0
6-7 -37.2 -37.5 -52.1 -104.7 -104.7 0.0
8-9 0.0 0.0 0.0 0.0 0.0 0.0
9-10 37.2 37.5 52.1 104.7 0.0 104.7
10-11 59.6 60.0 83.4 167.5 0.0 167.5
11-12 59.6 60.0 83.4 167.5 0.0 167.5
12-13 37.2 37.5 52.1 104.7 0.0 104.7
13-14 0.0 0.0 0.0 0.0 0.0 0.0
1-13 38.9 39.2 54.4 109.3 0.0 109.3
2-12 23.3 23.5 32.7 65.6 0.0 65.6
3-11 7.8 7.8 10.9 21.9 0.0 21.9
7-9 7.8 7.8 10.9 21.9 0.0 21.9
6-10 23.3 23.5 32.7 65.6 0.0 65.6
5-11 38.9 39.2 54.4 109.3 0.0 109.3
1-14 -13.4 -13.5 -18.8 -37.7 -37.7 0.0
2-13 -11.2 -11.3 -15.6 -31.4 -31.4 0.0
3-12 -6.7 -6.8 -9.4 -18.8 -18.8 0.0
4-11 -4.5 -4.5 -6.3 -12.6 -12.6 0.0
5-10 -6.7 -6.8 -9.4 -18.8 -18.8 0.0
6-9 -11.2 -11.3 -15.6 -31.4 -31.4 0.0
7-8 -13.4 -13.5 -18.8 -37.7 -37.7 0.0
13
Appendix C- Sample Calculation of Connection on Member Subjected to Tension Force
C.1 Connection on Member 9-10 & 12-13
Figure C.1 – Calculation of Connection on Member 9-10 & 12-13 (1)
14
Figure C.2 – Calculation of Connection on Member 9-10 & 12-13 (2)
15
Figure C.3 – Calculation of Connection on Member 9-10 & 12-13 (3)
16
Figure C.4 – Calculation of Connection on Member 9-10 & 12-13 (4)
17
Appendix D - Calculation of Connection on Member Subjected to Compression Force
D.1 - Connection on Member 1-2 & 6-7
Figure D.1 – Calculation of Connection on Member 1-2 & 6-7 (1)
18
Figure D.2 – Calculation of Connection on Member 1-2 & 6-7 (2)
19
Figure D.3 – Calculation of Connection on Member 1-2 & 6-7 (3)
20
Figure D.4 – Calculation of Connection on Member 1-2 & 6-7 (4)
21
Appendix E – Design of Cross Beam
Figure E.1 – Design of Cross Beams (1)
22
Figure E.2 – Design of Cross Beams (2)
23
Appendix F – Calculation of Actual Dead Load
Figure F – Calculation of Actual Dead Load
24
Appendix G - Calculation of Vertical Deflection due to Live Load
The maximum vertical deflection of the truss occurs at joint 11. The deflection was calculated by
using virtual work method. The deflection due to live load is expressed as δ =
!"#"$"
%&
, where δ
is the deflection, Ni is the actual force due to live load at member i, Mi is the force due to virtual
load of 1 kips at member i, Li is the length of member i, E is the elastic modulus of the member
and A is the cross-sectional area of the member. The sample calculation of
!"#"$"
%&
for member 1-
2 is shown in Figure G. The complete detailed calculation of deflection due to live load at joint
11 is shown in Table G.2.
Figure G – Sample Calculation of Deflection (Member 1-2)
25
Table G.2 – Final Deflection Check
Member
Force
Due
To
Live
Load
(kips)
Force
Due to
Virtual
Load
(kips)
Double
Angle
Length
of The
Member
(ft)
Cross-
Sectional
Area of
The
Member
(in^2)
Elastic
Modulus
(ksi)
'()(*(
+,
Maximum
Vertical
Deflection
Due To
Live Load
(in)
1-2 -37.50 -1.67 2L6X3.5X1/2 10.00 9.00 29000 2.87E-02
1.00
2-3 -60.00 -3.33 2L6X3.5X1/2 10.00 9.00 29000 9.20E-02
3-4 -67.50 -5.00 2L6X3.5X1/2 10.00 9.00 29000 1.55E-01
4-5 -67.50 -5.00 2L6X3.5X1/2 10.00 9.00 29000 1.55E-01
5-6 -60.00 -3.33 2L6X3.5X1/2 10.00 9.00 29000 9.20E-02
6-7 -37.50 -1.67 2L6X3.5X1/2 10.00 9.00 29000 2.87E-02
8-9 0.00 0.00 2L6X6X3/8 10.00 8.76 29000 0.00E+00
9-10 37.50 1.67 2L6X6X3/8 10.00 8.76 29000 2.95E-02
10-11 60.00 3.33 2L6X6X3/8 10.00 8.76 29000 9.45E-02
11-12 60.00 3.33 2L6X6X3/8 10.00 8.76 29000 9.45E-02
12-13 37.50 1.67 2L6X6X3/8 10.00 8.76 29000 2.95E-02
13-14 0.00 0.00 2L6X6X3/8 10.00 8.76 29000 0.00E+00
1-13 39.15 1.74 2L5X3X3/8 10.44 5.72 29000 5.15E-02
2-12 23.49 1.74 2L5X3X3/8 10.44 5.72 29000 3.09E-02
3-11 7.83 1.74 2L5X3X3/8 10.44 5.72 29000 1.03E-02
7-9 7.83 1.74 2L5X3X3/8 10.44 5.72 29000 1.03E-02
6-10 23.49 1.74 2L5X3X3/8 10.44 5.72 29000 3.09E-02
5-11 39.15 1.74 2L5X3X3/8 10.44 5.72 29000 5.15E-02
1-14 -13.50 -0.50 2L2.5X2X1/4 3.00 2.14 29000 3.92E-03
2-13 -11.25 -0.50 2L2.5X2X1/4 3.00 2.14 29000 3.26E-03
3-12 -6.75 -0.50 2L2.5X2X1/4 3.00 2.14 29000 1.96E-03
4-11 -4.50 0.00 2L2.5X2X1/4 3.00 2.14 29000 0.00E+00
5-10 -6.75 -0.50 2L2.5X2X1/4 3.00 2.14 29000 1.96E-03
6-9 -11.25 -0.50 2L2.5X2X1/4 3.00 2.14 29000 3.26E-03
7-8 -13.50 -0.50 2L2.5X2X1/4 3.00 2.14 29000 3.92E-03
Based on the calculation, the maximum vertical deflection on the truss (at joint 11 as shown in
Figure 1) is 1.00 inch.
26
Appendix H - Detailed Drawing of Connection at Joint 3
Figure H.1 – Detailed Connection at Joint 3 with Dimensions (in Inches)
All bolts used in the connection are A325-N. The spacing of the double angle member used is
0.75 inches. The thickness of the gusset plate gusset plate is 0.75 inches.

Final Report (Steel Bridge Design)

  • 1.
    STEEL DESIGN PROJECT JOSIABENSON TANNOS CEE 4510 – SPRING 2016
  • 2.
    Table of Contents Summary Introduction………………..………………..………………..………………..…………..1 Estimationof Dead Load……………………………………………………………….....1 Load Combination Factor…………………………………………………………………1 Maximum Live Load Deflection………………………………………………………….1 Cross Beams……….……….….……….……….……….……….……….………………1 Calculation of Height of The Truss………………………………………………….........1 Calculation of Design Values……………………………………………………………..1 The Actual Dead Load…………………………………………………………………….2 Limit States of Connection of Members Subjected to Tension Force…………………….2 Limit States of Connection of Members Subjected to Compression Force……………….2 Final Deflection Check……………………………………………………………………3 Results Final Drawing………………………………………...…………………………………...3 Members and Connection of Members Subjected to Tension Force………………….…..5 Members and Connection of Members Subjected to Compression Force………………..5
  • 3.
    Appendices Appendix A -Calculation of Height of The Truss………...…………………………………...6 Appendix B - Calculation of Design Values………...…………………………………..............8 Appendix C - Calculation of Connection on Member Subjected to Tension Force C.1 - Connection on Member 9-10 & 12-13………...…………………………………...13 Appendix D - Calculation of Connection on Member Subjected to Compression Force D.1 - Connection on Member 1-2 & 6-7………...………………………………….........17 Appendix E – Design of Cross Beam………...………………………………….......................21 Appendix F – Calculation of Actual Dead Load……………………………...........................23 Appendix G - Calculation of Vertical Deflection due to Live Load………............................24 Appendix H - Detailed Drawing of Connection at Joint 3………...........................................26
  • 4.
    List of Figures Figure1a – Final Drawing of The Truss…………………………………………………………..4 Figure 1b – Final Drawing of The Truss with Dimension………………………………….……..4 Figure A.1 – Calculation of Height of The Truss (1) ………………………………………...…..6 Figure A.2 – Calculation of Height of The Truss (2) ………………………………………...…..7 Figure B.1 – Calculation of Design Values (1) …………………………………………..…...…..8 Figure B.2 – Calculation of Design Values (2) …………………………………………..…...…..9 Figure B.3 – Calculation of Design Values (3) …………………………………………..…...…10 Figure B.4 – Calculation of Design Values (4) …………………………………………..…...…11 Figure C.1 – Calculation of Connection on Member 9-10 & 12-13 (1) ……………..…….....…13 Figure C.2 – Calculation of Connection on Member 9-10 & 12-13 (2) ……………..…….....…14 Figure C.3 – Calculation of Connection on Member 9-10 & 12-13 (3) ……………..…….....…15 Figure C.4 – Calculation of Connection on Member 9-10 & 12-13 (4) ……………..…….....…16 Figure D.1 – Calculation of Connection on Member 1-2 & 6-7 (1) ……………..…….....……..17 Figure D.2 – Calculation of Connection on Member 1-2 & 6-7 (2) ……………..…….....……..18 Figure D.3 – Calculation of Connection on Member 1-2 & 6-7 (3) ……………..…….....……..19 Figure D.4 – Calculation of Connection on Member 1-2 & 6-7 (4) ……………..…….....……..20 Figure E.1 – Design of Cross Beams (1) ……………..…………………………….….....……..21 Figure E.2 – Design of Cross Beams (2) ……………..…………………………….….....……..22 Figure F – Calculation of Actual Dead Load……………..…………………………….…..........23 Figure G – Sample calculation of Deflection ( Member 1-2)……………………………………24 Figure H.1 – Detailed Connection at Joint 3 with Dimensions (in Inches) …….……………….26 List of Tables Table 1 – Member and Connection of Tension Members………………………………………..5 Table 2 – Member and Connection of Compression Members…………………………………..5 Table B.1 – Calculated Design Values with Assumed Dead Load of 80 psf and Live Load of 100 psf……………………………………………………………………………………...12 Table G.2 – Final Deflection Check………………………………………………………..........25
  • 5.
    1 Summary Introduction In this project,a truss bridge pedestrian walkway must be designed to support a live load of 100 pounds per square foot with a maximum vertical deflection due to live load. The length and width of the truss bridge are 60 feet and 9 feet respectively. A concrete slab is placed at the top of cross beams located at on the truss for pedestrian to walk. The maximum live load deflection shall not exceed 0.2% of the span length, 1.44 inches. Lateral bracing is not part of this project. The material used for members, gusset plate and bolts are A36, A36 and A325-N respectively. The connections were designed so that the length of connection (distance from the bolt’s centroid closest the edge to the farthest bolt’s centroid from the edge) does not exceed 6 inches. Estimation of Dead Load In order to start the calculation of this project, a dead load must be estimated. In this project, it is initially assumed that the dead load is 80 pounds per square foot, including decking, railing, reinforced concrete slab, cross beams, bolts and bracing. Load Combination Factor In the design, two load combination factor from AISC were used. The load combinations were 1.4D and 1.2D + 1.6L, where D represents the dead load and L represents the live load. The maximum load from the two load combinations from AISC is used for the calculation of design values. Maximum Live Load Deflection The maximum live load deflection of the truss shall not exceed 0.2% of the span length, or equivalent to 1.44 inches. Cross Beams The cross beams to place the concrete slab floor above the truss is designed based on the maximum applied load from Table 3-6 in AISC manual. The cross beams are made of W-Shape beam (Grade 50) and are loaded with self-weight, concrete slab and live load (the pedestrian crossing over above the slab). W8X13 is used for all 7 cross beams. Calculation of Height of The Truss The height of the truss is calculated by assuming that the truss is a simply supported I-Beam with a pin and a roller at each end, with span length of 60 feet. The height of the truss is calculated by determining the minimum required moment of inertia of the I-Beam for the beam loaded with the factored dead and live loads to not deflect more than 1.44 inches. The height used for the truss in this project is 3 feet. Calculation of Design Values The design values were calculated by applying the factored dead and live loads to the truss. For the preliminary calculation, it was assumed that the loads were applied only at the joints of the upper part of the truss. Then, the force in each member is calculated by using method of joints and method of sections.
  • 6.
    2 The Actual DeadLoad After choosing the double angle used for each member, the number of bolts used and the dimension of the gusset plate used in each connection and the member for cross beams, the dead load is recalculated to compare it with the estimated dead load used in the preliminary calculation. The calculation of the additional weight of bolts and gusset plates and reduction of the bolt holes in the gusset plate and double angle were simplified by adding 15% to the weight of the double angle used in the truss. The weight of the cross beams is also included as dead load. The actual dead load and the estimated dead load were 99.3 pounds per square foot and 80 pounds per square foot respectively. Another calculation of design values, governing load on each member and connections with the actual dead load value of 99.3 pounds per square foot was done to get a more accurate design. The final design is based on the dead load of 99.3 pounds per square foot and live load of 100 pounds per square foot. Limit States of Connection of Members Subjected to Tension Force For the member subjected to tension force, the connection is designed based on 8 limit states: 1.! Yielding of The Gusset Plate 2.! Shear Strength in Bolts 3.! Fracture of The Gusset Plate 4.! Gusset Plate Bearing Strength 5.! Yielding of The Double Angle 6.! Double Angle Bearing Strength 7.! Fracture of The Double Angle 8.! Double Angle Block Shear 9.! Gusset Plate Block Shear The number of bolts required is calculated based on 3 limit states, shear strength in bolts, gusset plate bearing strength and double angle bearing strength. The shear strength in bolts, gusset plate bearing strength and double angle bearing strength must exceed the calculated design values. Then, the final number of bolts used were based on the maximum number bolt required from the 3 limit states, and all limit states were checked with the determined number of bolts used to ensure that all maximum load from all limit states are larger than the design values. Limit States of Connection of Members Subjected to Compression Force For compression members, the required number of connectors were calculated to prevent buckling. The number of welded connectors required for members subjected to compression force were calculated. Then, the connection is designed based on 7 limit states: 1.! Yielding of The Gusset Plate 2.! Shear Strength in Bolts 3.! Fracture of The Gusset Plate 4.! Gusset Plate Bearing Strength 5.! Yielding of The Double Angle 6.! Double Angle Bearing Strength 7.! Fracture of The Double Angle The number of bolts required is calculated based on 3 limit states, shear strength in bolts, gusset plate bearing strength and double angle bearing strength. The shear strength in bolts, gusset plate bearing strength and double angle bearing strength must exceed the calculated design values. Then, the final number of bolts used were based on the maximum number bolt required from the
  • 7.
    3 3 limit states,and all limit states were checked with the determined number of bolts used to ensure that all maximum load from all limit states are larger than the design values. Final Deflection Check After designing the type of double angle used in each member and the connection for each particular member, the maximum deflection of the truss must be calculated to ensure that the deflection does not exceeds the maximum requirement of live load deflection. The maximum live load deflection is calculated by using virtual work method. The calculated maximum deflection in the truss is 1.00 inches, which is less than the maximum allowed deflection, 1.44 inches. Results Final Drawing Figure 1a and 1b shows the final drawing of the truss. The connectors of the members subjected to compression forces are drawn and included. All units for dimension are given in inches.
  • 8.
    4 Figure 1a –Final Drawing Figure 1b – Final Drawing with Dimension (in Feet)
  • 9.
    5 Members and Connectionof Members Subjected to Tension Force Table 1 below shows the member and detail of the connection of members subjected to tension forces. The number of the member are as shown in Figure 1a and Figure 1b. Table 1 – Member and Connection of Tension Members Member Double Angle Number of Bolt Used Diameter of Bolt (in) Edge Distance (in) Spacing Between Bolts (in) 8-9 2L6X6X3/8 2 1 1.25 3 9-10 2L6X6X3/8 3 1 1.25 3 10-11 2L6X6X3/8 2 1 1.25 3 11-12 2L6X6X3/8 2 1 1.25 3 12-13 2L6X6X3/8 3 1 1.25 3 13-14 2L6X6X3/8 2 1 1.25 3 1-13 2L5X3X3/8 (LLBB) 3 0.875 1.125 2.625 2-12 2L5X3X3/8 (LLBB) 2 0.75 1 2.25 3-11 2L5X3X3/8 (LLBB) 2 0.5 0.75 1.5 7-9 2L5X3X3/8 (LLBB) 3 0.875 1.125 2.625 6-10 2L5X3X3/8 (LLBB) 2 0.75 1 2.25 5-11 2L5X3X3/8 (LLBB) 2 0.5 0.75 1.5 Members and Connection of Members Subjected to Tension Force Table 2 below shows the member and detail of the connection of members subjected to compression forces. The number of the member are as shown in Figure 1a and Figure 1b. Table 2 – Member and Connection of Compression Members Member Double Angle Number of Connectors Number of Bolt Used Diameter of Bolt (in) Edge Distance (in) Spacing Between Bolts (in) 1-2 2L6X3.5X1/2 (LLBB) 2 3 0.75 1 2.25 2-3 2L6X3.5X1/2 (LLBB) 2 2 0.75 1 2.25 3-4 2L6X3.5X1/2 (LLBB) 2 2 0.75 1 2.25 4-5 2L6X3.5X1/2 (LLBB) 2 2 0.75 1 2.25 5-6 2L6X3.5X1/2 (LLBB) 2 2 0.75 1 2.25 6-7 2L6X3.5X1/2 (LLBB) 2 3 0.75 1 2.25 1-14 2L2.5X2X1/4 (LLBB) 2 2 0.625 0.875 1.875 2-13 2L2.5X2X1/4 (LLBB) 2 2 0.5 0.75 1.5 3-12 2L2.5X2X1/4 (LLBB) 2 2 0.5 0.75 1.5 4-11 2L2.5X2X1/4 (LLBB) 2 2 0.5 0.75 1.5 5-10 2L2.5X2X1/4 (LLBB) 2 2 0.5 0.75 1.5 6-9 2L2.5X2X1/4 (LLBB) 2 2 0.5 0.75 1.5 7-8 2L2.5X2X1/4 (LLBB) 2 2 0.625 0.875 1.875
  • 10.
    6 Appendix A -Calculation of Height of The Truss Figure A.1 – Calculation of Height of The Truss (1)
  • 11.
    7 Figure A.2 –Calculation of Height of The Truss (2)
  • 12.
    8 Appendix B -Calculation of Design Values Figure B.1 – Calculation of Design Values (1)
  • 13.
    9 Figure B.2 –Calculation of Design Values (2)
  • 14.
    10 Figure B.3 –Calculation of Design Values (3)
  • 15.
    11 Figure B.4 –Calculation of Design Values (4)
  • 16.
    12 Table B.1 belowshows the initial calculated design values before the actual dead load is determined. Table B.1 – Calculated Design Values with Assumed Dead Load of 100 psf and Live Load of 100 psf Member D [kips] L [kips] 1.4D [kips] 1.2D+1.6L [kips] Compression [kips] Tension [kips] 1-2 -37.2 -37.5 -52.1 -104.7 -104.7 0.0 2-3 -59.6 -60.0 -83.4 -167.5 -167.5 0.0 3-4 -67.0 -67.5 -93.8 -188.4 -188.4 0.0 4-5 -67.0 -67.5 -93.8 -188.4 -188.4 0.0 5-6 -59.6 -60.0 -83.4 -167.5 -167.5 0.0 6-7 -37.2 -37.5 -52.1 -104.7 -104.7 0.0 8-9 0.0 0.0 0.0 0.0 0.0 0.0 9-10 37.2 37.5 52.1 104.7 0.0 104.7 10-11 59.6 60.0 83.4 167.5 0.0 167.5 11-12 59.6 60.0 83.4 167.5 0.0 167.5 12-13 37.2 37.5 52.1 104.7 0.0 104.7 13-14 0.0 0.0 0.0 0.0 0.0 0.0 1-13 38.9 39.2 54.4 109.3 0.0 109.3 2-12 23.3 23.5 32.7 65.6 0.0 65.6 3-11 7.8 7.8 10.9 21.9 0.0 21.9 7-9 7.8 7.8 10.9 21.9 0.0 21.9 6-10 23.3 23.5 32.7 65.6 0.0 65.6 5-11 38.9 39.2 54.4 109.3 0.0 109.3 1-14 -13.4 -13.5 -18.8 -37.7 -37.7 0.0 2-13 -11.2 -11.3 -15.6 -31.4 -31.4 0.0 3-12 -6.7 -6.8 -9.4 -18.8 -18.8 0.0 4-11 -4.5 -4.5 -6.3 -12.6 -12.6 0.0 5-10 -6.7 -6.8 -9.4 -18.8 -18.8 0.0 6-9 -11.2 -11.3 -15.6 -31.4 -31.4 0.0 7-8 -13.4 -13.5 -18.8 -37.7 -37.7 0.0
  • 17.
    13 Appendix C- SampleCalculation of Connection on Member Subjected to Tension Force C.1 Connection on Member 9-10 & 12-13 Figure C.1 – Calculation of Connection on Member 9-10 & 12-13 (1)
  • 18.
    14 Figure C.2 –Calculation of Connection on Member 9-10 & 12-13 (2)
  • 19.
    15 Figure C.3 –Calculation of Connection on Member 9-10 & 12-13 (3)
  • 20.
    16 Figure C.4 –Calculation of Connection on Member 9-10 & 12-13 (4)
  • 21.
    17 Appendix D -Calculation of Connection on Member Subjected to Compression Force D.1 - Connection on Member 1-2 & 6-7 Figure D.1 – Calculation of Connection on Member 1-2 & 6-7 (1)
  • 22.
    18 Figure D.2 –Calculation of Connection on Member 1-2 & 6-7 (2)
  • 23.
    19 Figure D.3 –Calculation of Connection on Member 1-2 & 6-7 (3)
  • 24.
    20 Figure D.4 –Calculation of Connection on Member 1-2 & 6-7 (4)
  • 25.
    21 Appendix E –Design of Cross Beam Figure E.1 – Design of Cross Beams (1)
  • 26.
    22 Figure E.2 –Design of Cross Beams (2)
  • 27.
    23 Appendix F –Calculation of Actual Dead Load Figure F – Calculation of Actual Dead Load
  • 28.
    24 Appendix G -Calculation of Vertical Deflection due to Live Load The maximum vertical deflection of the truss occurs at joint 11. The deflection was calculated by using virtual work method. The deflection due to live load is expressed as δ = !"#"$" %& , where δ is the deflection, Ni is the actual force due to live load at member i, Mi is the force due to virtual load of 1 kips at member i, Li is the length of member i, E is the elastic modulus of the member and A is the cross-sectional area of the member. The sample calculation of !"#"$" %& for member 1- 2 is shown in Figure G. The complete detailed calculation of deflection due to live load at joint 11 is shown in Table G.2. Figure G – Sample Calculation of Deflection (Member 1-2)
  • 29.
    25 Table G.2 –Final Deflection Check Member Force Due To Live Load (kips) Force Due to Virtual Load (kips) Double Angle Length of The Member (ft) Cross- Sectional Area of The Member (in^2) Elastic Modulus (ksi) '()(*( +, Maximum Vertical Deflection Due To Live Load (in) 1-2 -37.50 -1.67 2L6X3.5X1/2 10.00 9.00 29000 2.87E-02 1.00 2-3 -60.00 -3.33 2L6X3.5X1/2 10.00 9.00 29000 9.20E-02 3-4 -67.50 -5.00 2L6X3.5X1/2 10.00 9.00 29000 1.55E-01 4-5 -67.50 -5.00 2L6X3.5X1/2 10.00 9.00 29000 1.55E-01 5-6 -60.00 -3.33 2L6X3.5X1/2 10.00 9.00 29000 9.20E-02 6-7 -37.50 -1.67 2L6X3.5X1/2 10.00 9.00 29000 2.87E-02 8-9 0.00 0.00 2L6X6X3/8 10.00 8.76 29000 0.00E+00 9-10 37.50 1.67 2L6X6X3/8 10.00 8.76 29000 2.95E-02 10-11 60.00 3.33 2L6X6X3/8 10.00 8.76 29000 9.45E-02 11-12 60.00 3.33 2L6X6X3/8 10.00 8.76 29000 9.45E-02 12-13 37.50 1.67 2L6X6X3/8 10.00 8.76 29000 2.95E-02 13-14 0.00 0.00 2L6X6X3/8 10.00 8.76 29000 0.00E+00 1-13 39.15 1.74 2L5X3X3/8 10.44 5.72 29000 5.15E-02 2-12 23.49 1.74 2L5X3X3/8 10.44 5.72 29000 3.09E-02 3-11 7.83 1.74 2L5X3X3/8 10.44 5.72 29000 1.03E-02 7-9 7.83 1.74 2L5X3X3/8 10.44 5.72 29000 1.03E-02 6-10 23.49 1.74 2L5X3X3/8 10.44 5.72 29000 3.09E-02 5-11 39.15 1.74 2L5X3X3/8 10.44 5.72 29000 5.15E-02 1-14 -13.50 -0.50 2L2.5X2X1/4 3.00 2.14 29000 3.92E-03 2-13 -11.25 -0.50 2L2.5X2X1/4 3.00 2.14 29000 3.26E-03 3-12 -6.75 -0.50 2L2.5X2X1/4 3.00 2.14 29000 1.96E-03 4-11 -4.50 0.00 2L2.5X2X1/4 3.00 2.14 29000 0.00E+00 5-10 -6.75 -0.50 2L2.5X2X1/4 3.00 2.14 29000 1.96E-03 6-9 -11.25 -0.50 2L2.5X2X1/4 3.00 2.14 29000 3.26E-03 7-8 -13.50 -0.50 2L2.5X2X1/4 3.00 2.14 29000 3.92E-03 Based on the calculation, the maximum vertical deflection on the truss (at joint 11 as shown in Figure 1) is 1.00 inch.
  • 30.
    26 Appendix H -Detailed Drawing of Connection at Joint 3 Figure H.1 – Detailed Connection at Joint 3 with Dimensions (in Inches) All bolts used in the connection are A325-N. The spacing of the double angle member used is 0.75 inches. The thickness of the gusset plate gusset plate is 0.75 inches.