Factoring and Finding Roots of
Polynomials
Polynomials
A Polynomial Expression can be a monomial or a
sum of monomials. The Polynomial Expressions
that we are discussing today are in terms of one
variable.
In a Polynomial Equation, two
polynomials are set equal to each other.
Factoring Polynomials
Terms are Factors of a Polynomial if, when they
are multiplied, they equal that polynomial:
2
2 15 ( 3)( 5)
x x x x
    
 (x - 3) and (x + 5) are Factors
of the polynomial
2
2 15
x x
 
Since Factors are a Product...
…and the only way a product can equal zero
is if one or more of the factors are zero…
…then the only way the polynomial can
equal zero is if one or more of the factors are
zero.
Solving a Polynomial Equation
The only way that x2 +2x - 15 can = 0 is if x = -5 or x = 3
Rearrange the terms to have zero on one side:
2 2
2 15 2 15 0
x x x x
     
Factor:
( 5)( 3) 0
x x
  
Set each factor equal to zero and solve:
( 5) 0 and ( 3) 0
5 3
x x
x x
   
  
Solutions/Roots a Polynomial
Setting the Factors of a Polynomial
Expression equal to zero gives the
Solutions to the Equation when the
polynomial expression equals zero.
Another name for the Solutions of a
Polynomial is the Roots of a
Polynomial !
Zeros of a Polynomial Function
A Polynomial Function is usually written in
function notation or in terms of x and y.
f (x)  x2
 2x 15 or y  x2
 2x 15
The Zeros of a Polynomial Function are the
solutions to the equation you get when you
set the polynomial equal to zero.
Zeros of a Polynomial Function
The Zeros of a Polynomial
Function ARE the Solutions to
the Polynomial Equation
when the polynomial equals
zero.
Graph of a Polynomial Function
Here is the graph of our
polynomial function:
The Zeros of the Polynomial are the values of x
when the polynomial equals zero. In other words,
the Zeros are the x-values where y equals zero.
y  x2
 2x 15
y  x2
 2x 15
x-Intercepts of a Polynomial
The points where y = 0 are
called the x-intercepts of the
graph.
The x-intercepts for our graph
are the points...
and
(-5, 0) (3, 0)
x-Intercepts of a Polynomial
When the Factors of a Polynomial
Expression are set equal to zero, we get
the Solutions or Roots of the Polynomial
Equation.
The Solutions/Roots of the Polynomial
Equation are the x-coordinates for the
x-Intercepts of the Polynomial Graph!
Factors, Roots, Zeros
y  x2
 2x 15
For our Polynomial Function:
The Factors are: (x + 5) & (x - 3)
The Roots/Solutions are: x = -5 and 3
The Zeros are at: (-5, 0) and (3, 0)
Factoring a polynomial
means expressing it as
a product of other
polynomials.
Factoring polynomials with a
common monomial factor
(using GCF).
**Always look for a GCF before
using any other factoring
method.
Factoring Method #1
Steps
1. Find the greatest common factor
(GCF).
2. Divide the polynomial by the GCF.
The quotient is the other factor.
3. Express the polynomial as the
product of the quotient and the GCF.
3 2 2
: 6 12 3
Example c d c d cd
 
3
GCF cd

Step 1:
Step 2: Divide by GCF
(6c3
d 12c2
d2
 3cd)  3cd 
2c2
 4cd  1
 3cd(2c2
 4cd  1)
The answer should look like this:
Ex: 6c3
d 12c2
d2
 3cd
Factor these on your
own looking for a GCF.
1. 6x
3
 3x
2
 12x
2. 5x2
10x  35
3. 16x3
y4
z 8x2
y2
z3
12xy3
z2
 
2
3 2 4
x x x
  
 
2
5 2 7
x x
  
 
2 2 2 2
4 4 2 3
xy z x y xz yz
  
Factoring polynomials that are a
difference of squares.
Factoring Method #2
A “Difference of Squares” is a
binomial (*2 terms only*) and
it factors like this:
a2
 b2
 (a  b)(a  b)
To factor, express each term as a
square of a monomial then apply
the rule...a2
 b2
 (a  b)(a  b)
Ex: x2
16 
x2
 42

(x  4)(x  4)
Here is another
example:
1
49
x2
81 
1
7
x




2
 9
2

1
7
x  9




1
7
x  9




Try these on your own:
1. x2
121
2. 9y2
169x2
3. x4
16
Be careful!
  
11 11
x x
  
  
3 13 3 13
y x y x
  
   
2
2 2 4
x x x
   
Factoring Method #3
Factoring a trinomial in the
form:
ax2
 bx  c
Factoring a
trinomial:
ax2
 bx  c
2. Product of first terms of both binomials
must equal first term of the trinomial.
1. Write two sets of parenthesis, ( )( ).
These will be the factors of the
trinomial.
2
( )
ax
3. The product of last terms of both
binomials must equal last term of the
trinomial (c).
4. Think of the FOIL method of
multiplying binomials, the sum of the
outer and the inner products must
equal the middle term (bx).
Factoring a
trinomial:
ax2
 bx  c
x
x
2
: 6 8
Example x x
 
   x x  x2
x
  x
 
Factors of +8: 1 & 8
2 & 4
-1 & -8
-2 & -4
2x + 4x = 6x
1x + 8x = 9x
O + I = bx ?
-2x - 4x = -6x
-1x - 8x = -9x
-2
-4
x2
 6x  8
Check your answer by
using FOIL
 (x  2)(x  4)
(x  2)(x  4)  x2
 4x  2x  8
F O I L
 x2
 6x  8
Lets do another example:
6x2
12x 18
6(x2
 2x  3) Find a GCF
6(x  3)(x 1) Factor trinomial
Don’t Forget Method #1.
Always check for GCF before you do anything else.
When a>1 and c<1, there may
be more combinations to try!
2
: 6 13 5
Example x x
 
2
Find the factors of 6x :
Step 1:
3x  2x
6x  x
2
: 6 13 5
Example x x
 
Find the factors of -5:
Step 2:
5 -1
-5 1
-1 5
1 -5
 
 
 
 
Order can make
a difference!
Step 3: Place the factors inside the
parenthesis until O + I = bx.
6x2
 30x  x  5
F O I L
O + I = 30 x - x =
29x
This
doesn’t
work!!
2
: 6 13 5
Example x x
 
6x 1
  x  5
 
Try:
6x2
 6x  5x  5
F O I L
O + I = -6x + 5x = -
x
This
doesn’t
work!!
2
: 6 13 5
Example x x
 
6x  5
  x 1
 
Switch the order of the second terms
and try again.
Try another combination:
(3x 1)(2x  5)
6x2
15x 2x 5
F O I L
O+I = 15x - 2x = 13x IT WORKS!!
 (3x 1)(2x  5)
6x2
 13x  5
Switch to 3x and 2x
T H E Q U A D R A T I C F O R M U L A
Factoring Technique #4
a
ac
b
b
x
2
4
2




Solve using the quadratic formula.
0
2
7
3 2


 x
x
a
ac
b
b
x
2
4
2




2
,
7
,
3 


 c
b
a
)
3
(
2
)
2
)(
3
(
4
)
7
(
)
7
( 2






x
6
24
49
7 


x
6
5
7 

x
6
12

x
6
2

x
3
1
,
2

x
6
25
7 

x
Factoring Technique #5
Factoring By Grouping
for polynomials
with 4 or more terms
Factoring By Grouping
1. Group the first set of terms and
last set of terms with parentheses.
2. Factor out the GCF from each group
so that both sets of parentheses
contain the same factors.
3. Factor out the GCF again (the GCF
is the factor from step 2).
Step 1: Group
3 2
3 4 12
b b b
  
Example 1:
 b3
 3b2
  4b 12
 
Step 2: Factor out GCF from each group
 b2
b  3
  4 b  3
 
Step 3: Factor out GCF
again  b  3
  b2
 4
 
3 2
2 16 8 64
x x x
  
 2 x3
 8x2
 4x 32
 
 2 x3
 8x2
  4x  32
 
 
 2 x2
x  8
  4 x  8
 
 
 2 x 8
  x2
 4
 
 
 2 x 8
  x  2
  x  2
 
 
Example 2:
Try these on your own:
1. x
2
 5x  6
2. 3x2
11x  20
3. x3
 216
4. 8x3
 8
5. 3x3
 6x2
 24x
Answers:
1. (x  6)(x 1)
2. (3x  4)(x  5)
3. (x  6)(x2
 6x  36)
4. 8(x 1)(x2
 x  1)
5. 3x(x  4)(x  2)

Factoring Polynomials (1).pptx

  • 1.
    Factoring and FindingRoots of Polynomials
  • 2.
    Polynomials A Polynomial Expressioncan be a monomial or a sum of monomials. The Polynomial Expressions that we are discussing today are in terms of one variable. In a Polynomial Equation, two polynomials are set equal to each other.
  • 3.
    Factoring Polynomials Terms areFactors of a Polynomial if, when they are multiplied, they equal that polynomial: 2 2 15 ( 3)( 5) x x x x       (x - 3) and (x + 5) are Factors of the polynomial 2 2 15 x x  
  • 4.
    Since Factors area Product... …and the only way a product can equal zero is if one or more of the factors are zero… …then the only way the polynomial can equal zero is if one or more of the factors are zero.
  • 5.
    Solving a PolynomialEquation The only way that x2 +2x - 15 can = 0 is if x = -5 or x = 3 Rearrange the terms to have zero on one side: 2 2 2 15 2 15 0 x x x x       Factor: ( 5)( 3) 0 x x    Set each factor equal to zero and solve: ( 5) 0 and ( 3) 0 5 3 x x x x       
  • 6.
    Solutions/Roots a Polynomial Settingthe Factors of a Polynomial Expression equal to zero gives the Solutions to the Equation when the polynomial expression equals zero. Another name for the Solutions of a Polynomial is the Roots of a Polynomial !
  • 7.
    Zeros of aPolynomial Function A Polynomial Function is usually written in function notation or in terms of x and y. f (x)  x2  2x 15 or y  x2  2x 15 The Zeros of a Polynomial Function are the solutions to the equation you get when you set the polynomial equal to zero.
  • 8.
    Zeros of aPolynomial Function The Zeros of a Polynomial Function ARE the Solutions to the Polynomial Equation when the polynomial equals zero.
  • 9.
    Graph of aPolynomial Function Here is the graph of our polynomial function: The Zeros of the Polynomial are the values of x when the polynomial equals zero. In other words, the Zeros are the x-values where y equals zero. y  x2  2x 15
  • 10.
    y  x2 2x 15 x-Intercepts of a Polynomial The points where y = 0 are called the x-intercepts of the graph. The x-intercepts for our graph are the points... and (-5, 0) (3, 0)
  • 11.
    x-Intercepts of aPolynomial When the Factors of a Polynomial Expression are set equal to zero, we get the Solutions or Roots of the Polynomial Equation. The Solutions/Roots of the Polynomial Equation are the x-coordinates for the x-Intercepts of the Polynomial Graph!
  • 12.
    Factors, Roots, Zeros y x2  2x 15 For our Polynomial Function: The Factors are: (x + 5) & (x - 3) The Roots/Solutions are: x = -5 and 3 The Zeros are at: (-5, 0) and (3, 0)
  • 13.
    Factoring a polynomial meansexpressing it as a product of other polynomials.
  • 14.
    Factoring polynomials witha common monomial factor (using GCF). **Always look for a GCF before using any other factoring method. Factoring Method #1
  • 15.
    Steps 1. Find thegreatest common factor (GCF). 2. Divide the polynomial by the GCF. The quotient is the other factor. 3. Express the polynomial as the product of the quotient and the GCF.
  • 16.
    3 2 2 :6 12 3 Example c d c d cd   3 GCF cd  Step 1: Step 2: Divide by GCF (6c3 d 12c2 d2  3cd)  3cd  2c2  4cd  1
  • 17.
     3cd(2c2  4cd 1) The answer should look like this: Ex: 6c3 d 12c2 d2  3cd
  • 18.
    Factor these onyour own looking for a GCF. 1. 6x 3  3x 2  12x 2. 5x2 10x  35 3. 16x3 y4 z 8x2 y2 z3 12xy3 z2   2 3 2 4 x x x      2 5 2 7 x x      2 2 2 2 4 4 2 3 xy z x y xz yz   
  • 19.
    Factoring polynomials thatare a difference of squares. Factoring Method #2
  • 20.
    A “Difference ofSquares” is a binomial (*2 terms only*) and it factors like this: a2  b2  (a  b)(a  b)
  • 21.
    To factor, expresseach term as a square of a monomial then apply the rule...a2  b2  (a  b)(a  b) Ex: x2 16  x2  42  (x  4)(x  4)
  • 22.
    Here is another example: 1 49 x2 81 1 7 x     2  9 2  1 7 x  9     1 7 x  9    
  • 23.
    Try these onyour own: 1. x2 121 2. 9y2 169x2 3. x4 16 Be careful!    11 11 x x       3 13 3 13 y x y x        2 2 2 4 x x x    
  • 24.
    Factoring Method #3 Factoringa trinomial in the form: ax2  bx  c
  • 25.
    Factoring a trinomial: ax2  bx c 2. Product of first terms of both binomials must equal first term of the trinomial. 1. Write two sets of parenthesis, ( )( ). These will be the factors of the trinomial. 2 ( ) ax
  • 26.
    3. The productof last terms of both binomials must equal last term of the trinomial (c). 4. Think of the FOIL method of multiplying binomials, the sum of the outer and the inner products must equal the middle term (bx). Factoring a trinomial: ax2  bx  c
  • 27.
    x x 2 : 6 8 Examplex x      x x  x2 x   x   Factors of +8: 1 & 8 2 & 4 -1 & -8 -2 & -4 2x + 4x = 6x 1x + 8x = 9x O + I = bx ? -2x - 4x = -6x -1x - 8x = -9x -2 -4
  • 28.
    x2  6x 8 Check your answer by using FOIL  (x  2)(x  4) (x  2)(x  4)  x2  4x  2x  8 F O I L  x2  6x  8
  • 29.
    Lets do anotherexample: 6x2 12x 18 6(x2  2x  3) Find a GCF 6(x  3)(x 1) Factor trinomial Don’t Forget Method #1. Always check for GCF before you do anything else.
  • 30.
    When a>1 andc<1, there may be more combinations to try! 2 : 6 13 5 Example x x   2 Find the factors of 6x : Step 1: 3x  2x 6x  x
  • 31.
    2 : 6 135 Example x x   Find the factors of -5: Step 2: 5 -1 -5 1 -1 5 1 -5         Order can make a difference!
  • 32.
    Step 3: Placethe factors inside the parenthesis until O + I = bx. 6x2  30x  x  5 F O I L O + I = 30 x - x = 29x This doesn’t work!! 2 : 6 13 5 Example x x   6x 1   x  5   Try:
  • 33.
    6x2  6x 5x  5 F O I L O + I = -6x + 5x = - x This doesn’t work!! 2 : 6 13 5 Example x x   6x  5   x 1   Switch the order of the second terms and try again.
  • 34.
    Try another combination: (3x1)(2x  5) 6x2 15x 2x 5 F O I L O+I = 15x - 2x = 13x IT WORKS!!  (3x 1)(2x  5) 6x2  13x  5 Switch to 3x and 2x
  • 35.
    T H EQ U A D R A T I C F O R M U L A Factoring Technique #4 a ac b b x 2 4 2    
  • 36.
    Solve using thequadratic formula. 0 2 7 3 2    x x a ac b b x 2 4 2     2 , 7 , 3     c b a ) 3 ( 2 ) 2 )( 3 ( 4 ) 7 ( ) 7 ( 2       x 6 24 49 7    x 6 5 7   x 6 12  x 6 2  x 3 1 , 2  x 6 25 7   x
  • 37.
    Factoring Technique #5 FactoringBy Grouping for polynomials with 4 or more terms
  • 38.
    Factoring By Grouping 1.Group the first set of terms and last set of terms with parentheses. 2. Factor out the GCF from each group so that both sets of parentheses contain the same factors. 3. Factor out the GCF again (the GCF is the factor from step 2).
  • 39.
    Step 1: Group 32 3 4 12 b b b    Example 1:  b3  3b2   4b 12   Step 2: Factor out GCF from each group  b2 b  3   4 b  3   Step 3: Factor out GCF again  b  3   b2  4  
  • 40.
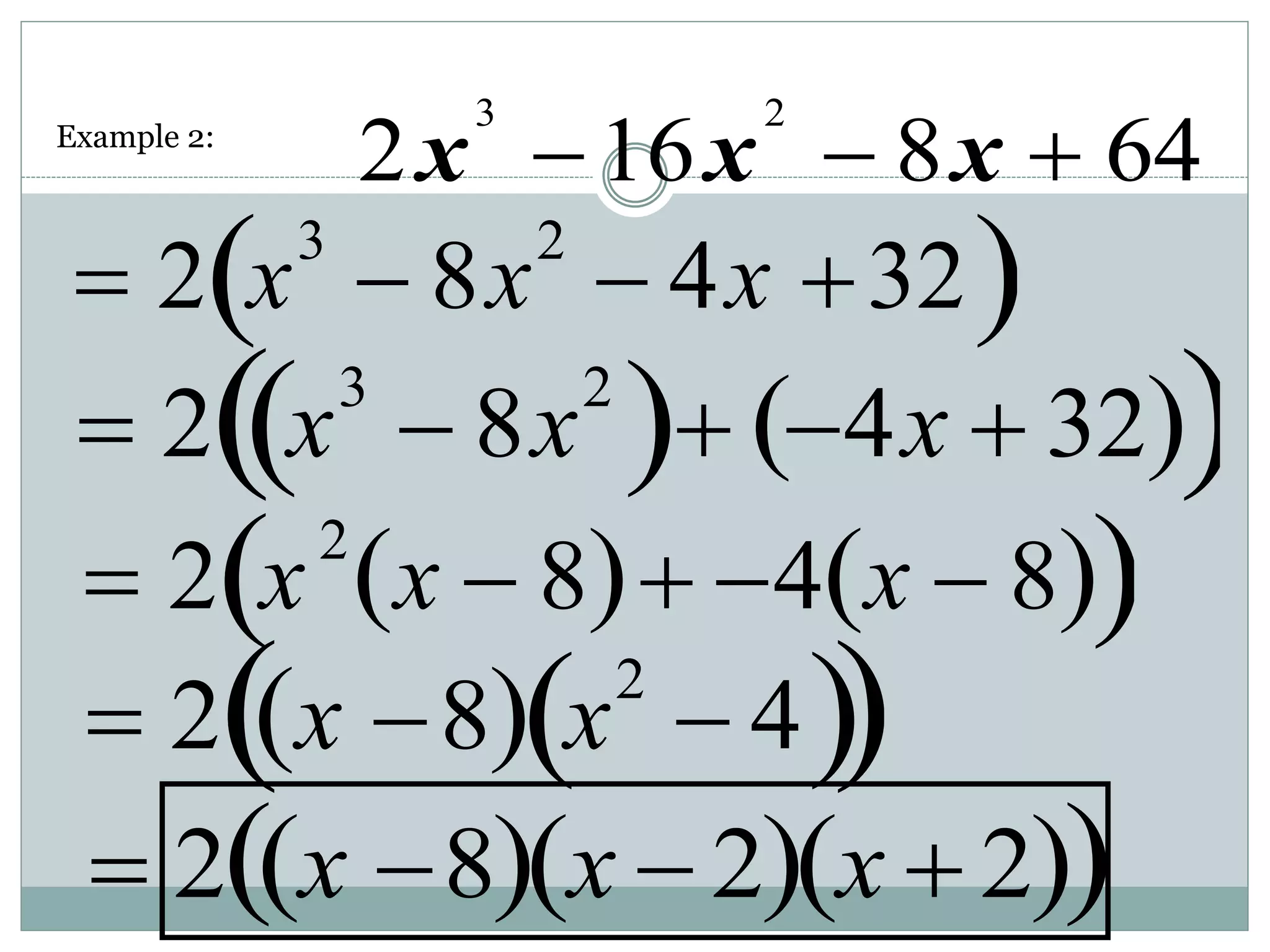
    3 2 2 168 64 x x x     2 x3  8x2  4x 32    2 x3  8x2   4x  32      2 x2 x  8   4 x  8      2 x 8   x2  4      2 x 8   x  2   x  2     Example 2:
  • 41.
    Try these onyour own: 1. x 2  5x  6 2. 3x2 11x  20 3. x3  216 4. 8x3  8 5. 3x3  6x2  24x
  • 42.
    Answers: 1. (x 6)(x 1) 2. (3x  4)(x  5) 3. (x  6)(x2  6x  36) 4. 8(x 1)(x2  x  1) 5. 3x(x  4)(x  2)