Standard equation of the circle
If the circle is at the origin
x 2 + y 2 = r 2 r is the radius
If the circle is not at the origin
The center is at (h, k)
    2
2
2
r
k
y
h
x 



Standard equation of the circle
If the circle is at the origin
x 2 + y 2 = r 2 r is the radius
If the circle is not at the origin
Solve for r
    2
2
2
r
k
y
h
x 



   2
2
k
y
h
x
r 



General Form of the Equation of a Circle
+ = 9
+ 4 + 9 – 9 = 0
+ = 25
+ 1 + 16 – 25= 0
    2
2
2
r
k
y
h
x 



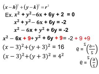
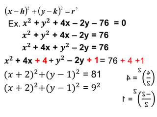
Ex.
+ = 76 + 4 +1
    2
2
2
r
k
y
h
x 



Ex.
+ = -2 + 9 +9
    2
2
2
r
k
y
h
x 



(h,k) - center
r- radius
center
(0,0)
Radius(12)
    2
2
2
r
k
y
h
x 



(h,k) - center
r- radius
center
(-2,1)
radius
center
(1,0)
radius (3)
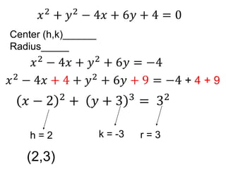
Center (h,k)______
Radius_____
h = 2 k = -3 r = 3
(2,3)
= 2
= -3
Center(2,-3)
Radius(3)
Center:(-2,1)
Radius: 9
Write the equation of Circle
Center at ( 2, -5) and radius is 3
h = 2
k = - 5
r = 3
    2
2
2
r
k
y
h
x 



Write the equation of Circle
    2
2
2
r
k
y
h
x 



+ = 10
Write the equation of Circle
Center at ( 4, -3) and
a point on the circle (2,1)
h = 4
k = - 3
r =
x = 2
y = 1
    2
2
2
r
k
y
h
x 



Given the equation of the Circle
(x – 13)2 + (y – 6)2 = 52
Tell if the point is inside or outside the circle.
(5, 6)
Given the equation of the Circle
(x – 13)2 + (y – 6)2 = 52
Tell if the point is inside or outside the circle.
(5, 6) (5 -13)2 + (6 – 6)2 is it <, >, or = 52
( - 8)2 + 02 = 64 = 25
Greater than outside the circle.
Less than Inside the circle.
Equal is on the circle.
Given the equation of the Circle
(x – 13)2 + (y – 6)2 = 52
Tell if the point is inside or outside the circle.
(5, 6) Outside
(14,8)
Given the equation of the Circle
(x – 13)2 + (y – 6)2 = 52
Tell if the point is inside or outside the circle.
(5, 6) Outside
(14,8) In
(20, 9)
Given the equation of the Circle
(x – 13)2 + (y – 6)2 = 52
Tell if the point is inside or outside the circle.
(5, 6) Outside
(14,8) In
(20, 9) Outside
Given the equation of the Circle
(x – 13)2 + (y – 6)2 = 52
Tell if the point is inside or outside the circle.
(5, 6) Outside
(14,8) In
(20, 9) Outside
(16, 2)
Given the equation of the Circle
(x – 13)2 + (y – 6)2 = 52
Tell if the point is inside or outside the circle.
(5, 6) Outside
(14,8) In
(20, 9) Outside
(16, 2) On
Homework
Page 638 – 639
# 7 – 25 , 33 - 39

Equation of the circle.ppt

  • 2.
    Standard equation ofthe circle If the circle is at the origin x 2 + y 2 = r 2 r is the radius If the circle is not at the origin The center is at (h, k)     2 2 2 r k y h x    
  • 3.
    Standard equation ofthe circle If the circle is at the origin x 2 + y 2 = r 2 r is the radius If the circle is not at the origin Solve for r     2 2 2 r k y h x        2 2 k y h x r    
  • 4.
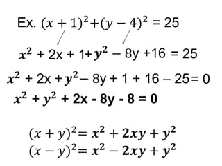
    General Form ofthe Equation of a Circle + = 9 + 4 + 9 – 9 = 0
  • 5.
    + = 25 +1 + 16 – 25= 0
  • 6.
       2 2 2 r k y h x     Ex. + = 76 + 4 +1
  • 7.
       2 2 2 r k y h x     Ex. + = -2 + 9 +9
  • 8.
       2 2 2 r k y h x     (h,k) - center r- radius center (0,0) Radius(12)
  • 9.
       2 2 2 r k y h x     (h,k) - center r- radius center (-2,1) radius
  • 10.
  • 11.
  • 12.
  • 13.
  • 14.
    Write the equationof Circle Center at ( 2, -5) and radius is 3 h = 2 k = - 5 r = 3     2 2 2 r k y h x    
  • 15.
    Write the equationof Circle     2 2 2 r k y h x     + = 10
  • 16.
    Write the equationof Circle Center at ( 4, -3) and a point on the circle (2,1) h = 4 k = - 3 r = x = 2 y = 1     2 2 2 r k y h x    
  • 17.
    Given the equationof the Circle (x – 13)2 + (y – 6)2 = 52 Tell if the point is inside or outside the circle. (5, 6)
  • 18.
    Given the equationof the Circle (x – 13)2 + (y – 6)2 = 52 Tell if the point is inside or outside the circle. (5, 6) (5 -13)2 + (6 – 6)2 is it <, >, or = 52 ( - 8)2 + 02 = 64 = 25 Greater than outside the circle. Less than Inside the circle. Equal is on the circle.
  • 19.
    Given the equationof the Circle (x – 13)2 + (y – 6)2 = 52 Tell if the point is inside or outside the circle. (5, 6) Outside (14,8)
  • 20.
    Given the equationof the Circle (x – 13)2 + (y – 6)2 = 52 Tell if the point is inside or outside the circle. (5, 6) Outside (14,8) In (20, 9)
  • 21.
    Given the equationof the Circle (x – 13)2 + (y – 6)2 = 52 Tell if the point is inside or outside the circle. (5, 6) Outside (14,8) In (20, 9) Outside
  • 22.
    Given the equationof the Circle (x – 13)2 + (y – 6)2 = 52 Tell if the point is inside or outside the circle. (5, 6) Outside (14,8) In (20, 9) Outside (16, 2)
  • 23.
    Given the equationof the Circle (x – 13)2 + (y – 6)2 = 52 Tell if the point is inside or outside the circle. (5, 6) Outside (14,8) In (20, 9) Outside (16, 2) On
  • 24.
    Homework Page 638 –639 # 7 – 25 , 33 - 39