Today we will find decimal equivalents for common fractions equivalent=  alike fraction=part of a whole decimal=a number less than 1 Concept
Place over 100 Sounds like fraction Divide Divide Move decimal two places to the left Move the decimal two places to the right and add % APK
Divide
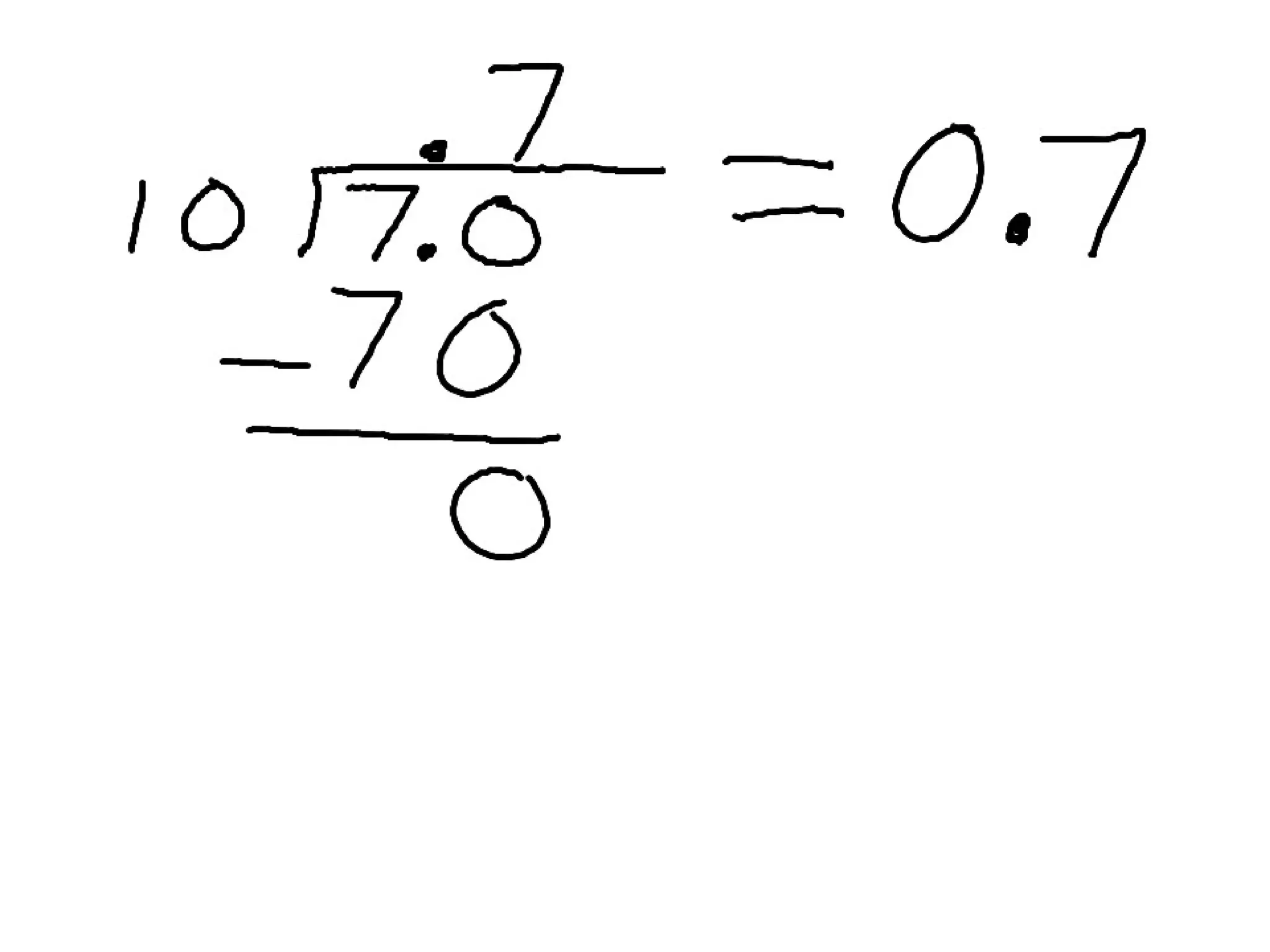
Equivalent means to show the same number in a different way.  Equivalent CD 7 10 = 0.7
CD _ 7 10
 
 
 
½ = .50 = 50%= ¼ = .25 = 25% =
Write     9  25    as a decimal
Write     9  25    as a decimal
Write     9  25    as a decimal
Write     9  25    as a decimal
Fraction A fraction is a number (numerator and denominator) that shows part of a whole set. An example: CD Numerator Denominator
Decimal A number less than 1.  Examples: 0.50 0.25 0.33 0.75 Where 1 = 1.00
Common fraction and their decimal equivalents Fraction Decimal Percent 1 1.0 100% 1/3 .333 33.3% 1/4 .25 25% 1/5 .2 20% 1/8 .125 12.5% 1/10 .1 10% 1/2 .5 50% 2/3 .666 66.6% 3/4 .75 75% 2/5 .4 40% 5/8 .624 62.5% 9/10 .9 90%
Another way to find decimals equivalents from fractions  How to convert fraction to decimals What number do you have to multiply the denominator to get 100? X = X = You get 20/100 and you know that this is .20 .20
Why is understanding  how to  find decimal equivalents for common fractions important? You will know how to convert fractions to decimals. It will be tested on future CST exams! What are other reasons why it is important to know how to  find decimal equivalents for common fractions IMP
Write a fraction and a decimal for each shaded part. = 8  6.00 7 - 56 40 - 4 0 5 00 .
Write a fraction and a decimal for each shaded part. = 0.41
Find the decimal for the fraction. =
Write a fraction for the shaded part of the pie graph. 2  8.00 4 - 8 0 0 - 0  0 0 00 . = Ask yourself, “How much of the pie graph is shaded?” Write the shaded part as a fraction Divide Make sure your decimal is in the right place.
Write a fraction and a decimal for each shaded part. = 4  2.00 5 - 2 0 0 0 - 0  0 0 00 . Ask yourself, “How much of the pie graph is shaded?” Write the shaded part as a fraction Divide  Make sure your decimal is in the right place.
Let’s review how to  find decimal equivalents for common fractions What is a decimal? What is a fraction? What are number equivalents? How do you write as a decimal?  “ out of a hundred” % Percent

Edi Ns 1 2 Decimal Equivalents of Common Fractions

  • 1.
    Today we willfind decimal equivalents for common fractions equivalent= alike fraction=part of a whole decimal=a number less than 1 Concept
  • 2.
    Place over 100Sounds like fraction Divide Divide Move decimal two places to the left Move the decimal two places to the right and add % APK
  • 3.
  • 4.
    Equivalent means toshow the same number in a different way. Equivalent CD 7 10 = 0.7
  • 5.
  • 6.
  • 7.
  • 8.
  • 9.
    ½ = .50= 50%= ¼ = .25 = 25% =
  • 10.
    Write    9  25   as a decimal
  • 11.
    Write    9  25   as a decimal
  • 12.
    Write    9  25   as a decimal
  • 13.
    Write    9  25   as a decimal
  • 14.
    Fraction A fractionis a number (numerator and denominator) that shows part of a whole set. An example: CD Numerator Denominator
  • 15.
    Decimal A numberless than 1. Examples: 0.50 0.25 0.33 0.75 Where 1 = 1.00
  • 16.
    Common fraction andtheir decimal equivalents Fraction Decimal Percent 1 1.0 100% 1/3 .333 33.3% 1/4 .25 25% 1/5 .2 20% 1/8 .125 12.5% 1/10 .1 10% 1/2 .5 50% 2/3 .666 66.6% 3/4 .75 75% 2/5 .4 40% 5/8 .624 62.5% 9/10 .9 90%
  • 17.
    Another way tofind decimals equivalents from fractions How to convert fraction to decimals What number do you have to multiply the denominator to get 100? X = X = You get 20/100 and you know that this is .20 .20
  • 18.
    Why is understanding how to find decimal equivalents for common fractions important? You will know how to convert fractions to decimals. It will be tested on future CST exams! What are other reasons why it is important to know how to find decimal equivalents for common fractions IMP
  • 19.
    Write a fractionand a decimal for each shaded part. = 8 6.00 7 - 56 40 - 4 0 5 00 .
  • 20.
    Write a fractionand a decimal for each shaded part. = 0.41
  • 21.
    Find the decimalfor the fraction. =
  • 22.
    Write a fractionfor the shaded part of the pie graph. 2 8.00 4 - 8 0 0 - 0 0 0 00 . = Ask yourself, “How much of the pie graph is shaded?” Write the shaded part as a fraction Divide Make sure your decimal is in the right place.
  • 23.
    Write a fractionand a decimal for each shaded part. = 4 2.00 5 - 2 0 0 0 - 0 0 0 00 . Ask yourself, “How much of the pie graph is shaded?” Write the shaded part as a fraction Divide Make sure your decimal is in the right place.
  • 24.
    Let’s review howto find decimal equivalents for common fractions What is a decimal? What is a fraction? What are number equivalents? How do you write as a decimal? “ out of a hundred” % Percent