Sistemadigestiu25/02/2015
Introducció a la fisiologiadigestiva
Es necessitaunconjuntde metabòlitsque provinguinde l’exteriori l’aparell digestiuensaportaaigua,electròlits,
vitaminesi nutrientsi s’aconsegueixperdiversesfuncionsdel tub digestiu:
- De trànsit: s’ha de travessar el tub en direcció anterògrada cap a l’anus.
- De secreció: s’han de secretar enzims que puguin digerir els aliments i també secreció de mocs per tal que
l’aliment pugui atravessar el tub ja que aquest és bastant estret malgrat ser elàstic.
- Absorció: processor indispensables ja que sinó no podrien arribar els nutrients a la sang, els enteròcits es
dediquenal’absorciópassantelsnutrientsde lallumintestinal finsalasang o limfaa on esdistribueixenala
resta del cos.
- Circulació: és dels més vascularitzats del cos, hi ha circulació enteropatia que porta els nutrients digeritsa
través de l’intestífinsal fetge(venaporta).Es converteixenen glucogen al fetge la majorpart delsnutrients.
Molts fàrmacs han de ser modificats pel fetge per què siguin més solubles en l’aigua.
- Control:atravésS.Nerviósi endocrí.A travésdel s.Nerviósdoncsenté unde propique ésentèricomientèric.
Està regulat també a través del s nerviós autònom i es pot autoregular degut a la secreció d’hormones.
Digestió:convertirmacronutrients(proteïnes,colesterol,glucolípids) ensubstànciesméssimplesperabsorbir-los
millorpelsenteròcitsi passara lasang i limfa.
- Els enteròcitsmantenenel balançhidroelèctrolíticglobal.
- Eliminasubstànciesde rebuigi també substànciesliposolublesque noespodenbarrejarambl’aigua.
- Funcióde defensajaque l’aparell digestiuésunazonade contacte ambl’exterior,hi haglàndulesque
secretenenzimsque serveixenperdegradaraquestsmicroorganismes.
També la motilitat!!Mirar
Componentsdel sistemadigestiu
 Hi ha òrgansaccessoriscom: la llenguaolaboca i lesdentsi la vesículabiliarimportantperlasecreció
hepàtica.
 A part de lesglàndulesdel tubdigestiuni haque sónespecialitzadescomlessalivals,el fetgeoel pàncrees.
 Els esfínterssónengruiximentsde lamusculaturadel tubdigestiui impedeixenel pasdelsalimentsd’una
regióa una altra,i esfa de manera anterogradai retrogada.(pílor, esfínterd’ Odi, vàlvulaileocecal,
esfíntersexternsi intersi també esofàgicssuperiori inferior.
El sistemanerviósentèricpotactuarpel seucompte,el tubpodriarealitzarelspropismovimentssenseel sistema
nerviósentèric.
Organització funcional de la paret del tub
Capa externa( serosa) de cèl·lulesmesenquimalsescamosesque ajustenomantenenel tubdigestiuenlacavitat
abdominal. Constitueix unacapad’uniói protecció.
Capa muscularexterna: éslaque produeix lescontraccionssegmentariesi el movimentperistàlticque recorre totel
tub digestiu.Lacapamuscularté una túnicaexterna( lesfibresrecorrenel tubde davantendarrere) longitudinali
una internacircular( rodejael tub).
Plexe mientericoplexe d’Auerbach:estrobaentre lesduescapesmuscularsi subministralainnervacióprincipala
tot el tub.
Submucosa:ésmoltvascularitzada.Lesmolèculesabsorbidesque atravésde la cèl·lulade l’epitelientrenalsvasos
de la submucosa. També conté plexesnerviososi glàndulesenformad’acins.
Entre lasubmucosai lacapa muscularcircularhi ha el plexe submucosque també formapartdel sistemanerviós
entèrici l’altre plexeregulael movimentdel tubdigestiumentre que el de Meissnerregulalasecrecióque vaal tub
digestiu,aquestproveeix innervacióalamuscularde la mucosa delsintestinsprimi gruixut.
Sota lasubmucosahi ha lamucosa compostaperuna capa muscularfinaamb poca capacitat de contracció,làmina
pròpiai epitelique ésunicel·lularque esvanespecialitzantsegonslaregiódel tubque enstrobem
HI ha diversescèl·lulesespecialitzades.
- Enteròcits:l’especialitzacióésabsorbirnutrients
- Cèl·lules Enteroendocrines:secretenhormonesperregularprocessossecreció
- Cèl·lulesde laMucosa gàstrica:secretenàcids
- Productoresde mucinaque produeixenunagranquantitatde moc que ésimprescindiblepel recorregutdels
aliments.
Hi ha vellositatspertal d’augmentar lasuperfíciesd’absorciói criptes.
Motilitatdel tub digestiu
La capa musculardel tubdigestiuésllisa(longitudinal i circular).El múscul llisté unionscomunicantsque consisteix
enla uniódelsmiòcitsmitjançantlacomparticióde canalsiònics. El múscul escomportacom unestímul,el múscul
enrebre un impulsnervióss’hade contraure ala mateixavegada.Sobrenelscanalscalci i esprodueix unaugment
del calci intracel·lularque produeix lacontracció.Pertantes boque es contregui total mateix tempsi d’aquíla
importànciaque sigui múscul llis.Aquestrepsenyalselèctriquesatravésdel SN entèrici seran:
 Oneslentes:despolaritzenlamembranaperònoaconsegueixenarribaral llindarde excitabilitat
 Potencial enagulla:produeix una contracciódel múscul llis.
Tipus moviment
- Propulsióoperistaltisme:consisteix enunacontraccióal entrar l’alimenti unarelaxaciódesprés.Aixíels
alimentsvanavançant. És un movimentinvoluntari que consisteix enlacontraccióenla contracció de
l’estomaci intestins.Consisteix enlaapariciói desplaçamentprogressiud’unconjuntd’onesde contracció
circularque es mouena certa velocitat. S’aconsegueix atravésd’una:
 distensióde laparetdel tubja que hi ha mecanoreceptors que notenquanl’alimentprodueix una
distensiói s’enviaunasenyal de contraccióala zona proximal i unade relaxacióala distal produintla
propulsió.
 A travésde irritacionsquímiquesi físiques:
 Senyalsparasimpàtiquesintenses
Es donena faringe, esòfag,antre gàstric,intestíprimi colon
- Movimentsde mescla:esdonenal’intestíprimperquè hi hagi méstempsperdur a terme ladigestió.
El control de la motilitat
a) Innervacióintrínseca: Esdonapel SN entèrici escomponde neuronesqueesdistribueixenenlíniarectai quan
arriba un estímul nerviós es produeix un augment de la contracció tònica i un augment de la intensitat de
contracció rítmica i un augment de la velocitat de conducció de les ones d’excitació.
Els principals neurotransmisors son: acetilcolina que actua com estimulant de la motilitat i la noradrenalina
que fa d’inhibidor.
b) Innervació extrínseca: els senyals arriben a través del sistema nerviós parasimpàtic que actua a través de
l’acetilcolinapromoventl’activitatdel tubdigestiu.Hi ha una regió de nerviscranial, sacres i fàcilsjunt amb
glossofaringis; aquests últims serveixen per regular la secreció de la saliva i el procés de deglució i el nervi
vague innervalaresta del tub digestiudesl’estomacfinsl’intestíprimi la regiómésdistal està innervadapel
nervi sacre que surtde lamedul·laespinal( S2-S4) i regulaelreflex deladefecació. ( A travésdel parasimpàtic)
La innervació extrínseca també pot venir donada pel sistema nerviós simpàtic: els neurotransmissor son la
noradrenalinai elsnervissurtende laL5- E2, arribena ganglismesentèricssuperiorsi inferiorsi surtennervis
postganglionars que innerven tot el tub digestiu. Inhibeix en la majoria dels casos.
En unasituacióde perill s’inhibeixel simpàtici el parasimpàticactivaladigestió. ( El simpàtici parasimpàticsondel SN
autònom)
Quan arriba una senyal (distensió, irritació) es nota a través de neurones sensitives que arriben a l’epiteli on es
generen potencials d’acció que van als ganglis pre-vertrebals, medul·la i tronc encèfalic i d’aquí arribem al sistema
nervióscentral.Aquestpromouunarespostaquevaapararal’aparell digestiu atravésdelSN simpàticoparasimpàtic.
Aquests dos innerven tant el plexe mientèric i submucós
c) Control hormonal de manera endocrina( Secreció de substàncies que va a la sang). Al sistema digestiu les
cèl·lules secreten les substàncies al tub digestiu i a dins són absorbides on passen a la sang i d’aquí a les
cèl·lules mitjançant sistema circulatori enteroendocri.
Activen cèl·lules pròximes i se secreten a l’espai intercel·lular i la capacitat d’acció és més local:
d) Colecistocinina: inhibeix el buidat gàstric
e) Motilina: estimula la motilitat gàstrica
Paracrí: també controla
Ingesta d’aliments
Hi ha d’haverunasenyal conscientperalaingestai provenendelsòrgans.Laoïda també ésimportantjaque després
de diversos sorolls ( estímul sonor) incrementa l’apetit.
Van per vies aferents i d’aquí van als nuclis motors dorsals de la medul·la espinal. I parteixen d’aquí els nervis
parasimpàtics i produeixen una sèrie de activitat:
 Augment secreció salival: nervis nasofaringe i nasosalival
 Augment secreció gàstrica o secreció d’ enzims pancreàtics
 Contracció de la bufeta o relaxació de l’esfínter d’Odi i s’encarrega d’aquests el nervi vague.
Masticació.
Produeix:
 Lubrificació d’aliment amb la saliva
 Barreja d’aliments amb midó amb amilasa salival. La lipasa salival digereix àcids grassos. També hi ha
lisozima bactericida i s’inhibeixen possibles patògens que puguin entrar per la boca.
 Trosseja i polvoritza l’aliment i aconseguim augmentar la superfície dels aliments exposada als enzimsi
aquestes actuen per més zones.
 Evita lesions de la mucosa i facilita el buidament
Els incisius tallen, ullals esqueixen i molars i premolars trituren. El bol alimentari és l’aliment ben mastegat.
Reflex de la masticació:
És voluntàriaperòtambé es pot ferinvoluntàriamentapartir d’una inhibicióde lamusculaturade masticaciói cau la
mandíbula produint tensió i que novament torni a pujar la mandíbula.
Al paladar hi ha mecanoreceptorsque ennotaruna pressióproduïdapel bol alimentari inhibeixenlamusculaturai fa
que torni a baixar.
Deglució:
Procés regulat ja que l’aliment pot anar a la nasofaringe o la tràquea. I té tres fases.
 Voluntària:comprimimllenguacapa dalti enrere i desplacemel bol alimentari. ( es produeix a la boca)
 Involuntària: elsmecanoreceptors del paladar noten aquesta pressió del bol alimentari i inicien el reflex
de la deglucióatravés del nucli de ladegluciódel cervell. El nucli a travésdel glossofaringii facial envien
el reflex deladegluciói provocauntancamentde lanasofaringeper evitarquel’alimentarribialalaringe,
s’elevalafaringe i contraumúsculs,cordesvocalsi laringe i permetque esprodueixi unpetitpasentre la
boca i la faringe. Es produeix el tancament de la via aèria( TRAQUEA) i es produeix obertura esfínter
esofàgic superior i quan l’aliment entra a la faringe es produeix una contracció peristàltica d’aquesta.
Es tenca el esfínter esofàgic i es torna a obrir la via aèria.
Funció de l’esòfag:
Transporta desde lacavitat oral a l’estomacel bol alimentari i també té unafuncióque ésinhibirel pasde sucgàstric
de l’estomac a la boca.
Per això hi ha esfínter superior i inferior( l’inferior impedeix entrada reflux gàstric)
- Funcions de propulsió:
 Transporta el bol a l’esòfag on entra posteriorment.
 Transporta el bol de la laringe a l’estómac.
 Permet l’entrada del bol a l’estómac.
- Efectes de protecció:
 Protegeix la via aèria del suc gàstric i del material empassat
 Protegeix l’esòfag del reflux gàstric.
Alteracions de la deglució: disfàgia
Nucli de ladegluciódanyat:disfàgia.Hemde donaralimentperviavenosaperòtambé pothaverunaalteracióparcial
de la deglució i no completa
1- Paràlisi del mecanisme de la deglució:
 Lesions dels nervis cranials V (trigemin), IX (Glossofaringi) o X (Vague).
 Lesió del centre cerebral de la deglució
 Paràlisi dels músculs de la deglució o una transmissió neuromuscular deficient.
2- Reflux gàstric:esfíntersuperiornotanca amb tota la potenciai passa suc gàstric desde l’estómaca l’esòfag.
A la zona propera a la boca l’àcid activanocioreceptors( receptorsde dolor) que causenmolèsties.Is’ha de
tractar amb ranitinina o bé amb omeoprazol.
3- La acalàsiaés una oberturacontinuadaesfíntersuperiori esprodueix distensióesòfagque atravésdel plexe
entèricenviasenyal a l’esfíntersuperiorperque sobri i si està danyat el plexe,noes produeix l’oberturai el
pas de l’aliment tarda molt a tenir lloc i es va convertint l’esòfag en megaesòfag és a dir una distensió
exagerada i gran. La lesió és del plexe nerviós mientèric dels dos terços inferiors.
L’ús de medicaments que inhibeixin la contracció del múscul llis: espasmolítics produeixen una petita obertura.
Motilitat gàstrica: funcions motores estómac
- Emmagatzematge aliments fins a ser processats pel duodè
- Mescla aliments amb secrecions gàstriques per formar quimo que és el bol més els sucs gàstrics.
- Buidament lent del quimo des de l’estomac a l’intestí prim a un ritme adequat per la digestió.
Estructura funcional estómac:
Es divideix en fundus, cos i antre però a nivell de motilitat es divideix en estomac proximal i distal.
El proximal té:
 capes musculars fines amb alta capacitat de distensió.
 No hi ha afinitat elèctrica pròpia i la funció és la de reservori de l’aliment.
 Contracció tònica dèbil
 Elevada distensibilitat i reservori.

A nivell distal:
 les capes musculars són fortes
 activitatelèctricapotentambcèl·lulesmarcapàsque produeixen la contracció de l’estómac peristàltica
 Baixa distensibilitat.
 S’utilitza per la mescla del bol amb el suc gàstric.
Activitat motora de l’estómac en períodes digestius
El marcapàs propicialacontracció que va del cos a l’anus,hi ha un anell que faque elsalimentsvaginal pílori aquest
estàtancati esmilloralamescladelsalimentsi elsalimentstornenasortirjaque el pílorestàtancat.Enundeterminat
moments’activalabomba pilòricaque esunacontracció moltforta i en arribar al pílor produeix laoberturad’aquest
i passa una petita quantitat de quim a l’intestí i es torna a tancar fins la pròxima bomba pilòrica.
Lescontraccionscada vegadavenende més amuntpertal que l’alimentbaixial’estómaci esmescli ambsucsgàstrics.
Control buidat gàstric:
Hem d’intentarabsorbirel màximpossible i que hi hagi unadigestiómoltbonai nopuc buidarràpidamenti si hofaig
lentament el duodè pot neutralitzar l’àcid i permeto que petitesquantitats d’enzims digestives puguin sintetitzar el
quim. I si buido de cop hi ha més poques enzims que puguin dur a terme la funció.
Hi ha patrons gàstrics que promouen el buidament gàstric i factors duodenals promouen la seva inhibició.
 La primerasenyal que veiemésla distensiógàstricaja que aixòimplicaque l’estómac està ple i s’ha de
buidar. Aquesta senyal va a reflexos nerviosos i promouen el tancament del pílor. Aquesta distensió
desperta sobretot reflexes mientèrics a la pròpia paret que augmenten el buidament gàstric.
També a travésdel SN entèricespromou l’activacióde lagastrinade elscèl·lulesGque estrobenal’antre
de l’estómac. Lagastrina contribueix aestimularlabombapilòricaperla qual cosa es produeix ambmés
facilitat el buidament gàstric.
Hi ha productesproteicsque promouenlasecrecióde gastrinajaque a l’estomacte llocladigestióde les
proteïnes. A partir de les cèl·lules G.
 A nivell duodenal hi ha una distensió duodenal quan arriba el quim al duodè i envia una senyal al plexe
entèric que promou el tancament del pílor o la serva obertura i produeix dos reflexos nerviosos
- Activa via simpàtica: que promou el tancament del pílor i per tant el buidament gàstric.
- Activaviaparasimpàticainhibeixelreflex nerviósquepromouelbuidamentgàstricdegutaladistensiógàstrica
i es tanca el pílor.
Elsgreixossonelsmésdifícild’ingeriri lahormonacolecistocininaéssecretadaper cèl·lulesdeljejú.Iaquestainhibeix
l’acció de la gastrina i per tant no hi ha buidament gàstric i també els greixos poden activar els pèptids.
La secretinaés unahormonaparacrinaque se secretapercèl S del duodè,enpresènciad’acidesaquanhi hamoltsels
receptors de PH estimulen l’acció de cèl·lules S i la secretina inhibeix el buidament gàstric.
Activitat motora de l’estómac en períodes de dejuni i interdigestius.
Quan nohi ha alimentnohi ha motiuperquè el sistemadigestiuesmogui peròhi hael complex mioelèctric migratori
(CMM) que és un complex que consta de 3 fases:
- Diesestència on no hi ha potencial d’acció ni l’estómac ni l’intestí es mouen
- Fase irregular: es produeixen petits potencials d’acció provocant petites contraccions
- Fase regular:es produeix unpotencial d’accióque provocauna contracció forta de l’aparell i va de l’estómac
a l’ili quasi constantment.
Serveix per eliminar els restos de la digestió que encara son al tub digestiu i ho porten al cec. També inhibeixen
l’entrada de bactèries coloniques vers l’ili.
Vòmit
Mecanisme q te l’aparell digestiu superior (duodè a boca) per alliberar-se de agents tòxics o irritants. L’acció està
reguladaperel centre del vòmitenel cervell.Arribensenyalsindicantque quelcomingeritprovocaundany,aquesta
informació activa al nervi vague i produeix una sèrie de símptomes propis del vòmit:
- Inspiració profunda
- Tancament vies aèries.
- Baixadadel diafragmai contracció delsmúsculsabdominalsaugmentantlapressióintrabdominal i permeten
que el que hi ha al tub digestiu superior pugui i s’obre l’esfínter esofàgic superior.
A travésde lavistao olfacte espotproduiraquestefecte,també hi halazonade gatilloquimioreceptoraque estroba
prop del nucli del vòmit i el que fa és que s’activa mitjançant a partir de fàrmacs també com la (morfina).
El centre del gatillo s’activa també per eferents que arriben del cerebel i hi ha senyals que provenen del vestíbul de
l’interiorde l’oïda.Enhaveruncanvi bruscésnotatpel vestíbuli el cerebelactivalazona de gatet.Peraixòquananem
a una muntanya russa passa.
Al costat de la zona del nucli del vòmit hi ha un bulb que s’activa i provoca nàusees , és el missatge que provoca el
vòmit.
Motilitat de l’intestí prim
L’intestí prim és dividit en jejú, ili i duodè. I forma les tres quartes parts del tub gastrointestinal humà (5m)
Hi ha vellositatsque augmenten l’àrea de superfície però a part de les vellositats els enteròcits estan formats de
microvellositat i augmenta encara més la superfície d’absorció.
En períodes interdigestius hi ha el complex mioelètric migratori.
Tipus moviments: activitat motora en períodes digestius.
1- Segmentació: Promou que es mescli el quim i les secrecions uns amb altres i a vegades anar de manera
retrograda i augmenta el temps d’estada del quim a l’intestí prim. Es produeix a través de contraccions i
relaxacions successives i alternants de la musculatura del tub. El temps de cada contracció és de 5s.
2- Peristàltica: a la part proximal hi ha una contracció i una relaxació a la part distal.
3- Relaxació : a través del pèptid vasorelaxant intestinal i sobretot de l’òxid nítric.
4- Escomesa peristàltica:quan hi ha una irritacióal quimesprodueix unvòmitperòsi l’irritantestàméslluny
esdona això.Es provocauna contraccióforta desd’oncomençala irritaciófinsal final de l’ili.El quimviatjaa
l’interiori aixòprovocanodanyarla mucosaintestinal. Ésdoncslairritacióde la mucosade l’intestíque
provocaun reflex nerviós del SnAutònomi del tronde l’encèfal i enparttambé esdeua unapotenciació
intrínsecadelsreflexosdel plexe mientèric.
Senyals nervioses i hormonals: control de la motilitat intestinal
Les senyals nervioses ocorren a partir de:
- la distensióde laparetduodenal i promoulapropulsió intestinal per deixar lloc a la següent bola de quim.
- El reflex gastroentèricquanhi haunadistensióde l’estomacésadirestàple i promoulapropulsiódelduodè.
Les senyals hormonals:
La gastrina promouel buidatgàstric però estimulael movimentintestinal.Leshormonesque promouenessecreten
en la fase de processament dels aliments i les que inhibeixen se secreten en dejú.
Funció i control de la vàlvula ileocecal
Es troba entre la separaciód’intestígros i prim. Té una funcióde defensa,evitaque lescèl·lulesde l’intestípassinal
colon tornant-se en cèl·lules oportunistes.
La vàlvulaconstantmentestàtancada i s’obre segonsarriba l’alimenta l’ili.El control es duu a terme a travésdel Sn
entèric a través de la distensió del cec. Quan està distès la vàlvula està tancada.
Els pacients amb apendicitis tenen la vàlvula tancada.
Motilitat de l’intestí gros: característiques i estructura funcional
Format pel cec, colon(ascendent, transvers, descendent, sigmoide i recte)
Intestí proximal i distal a nivell funcional.
El proximal absorbeix substàncies que no pot absorbir l’intestí prim. Son aquelles substàncies que regnen en el mon
de les bactèries clòniques. Les bactèries fermenten.
S’emmagatzemen en el distal les substànciesde rebuig. La femta. A partir del descendent ja hi ha una divisió entre
proximal i distal.
Activitat motora: hi ha dos grups de moviments
- Barreja: hi ha haustres que són com choriços en l’intestí i es formen xq hi ha una musculatura circular molt
desenvolupada. La musculatura longitudinal està concentrada en les 3 tènies del colon.
La unióde les3 tèniesi lamusculatura longitudinal formaelshaustres,i launiód’aquestamusculaturaforma
els moviments de barreja.
- Propulsió: les haustres poden dur a terme la propulsió de la femta però el moviment més important és el
movimentenmassa. Quan es produeix unadistensióenel colonels mecanoreceptorsenvieninformacióde
que hi ha menjar i es produeix una contracció important abans de la femta i desprésde la femta uns 20 cm
després, es produeix una relaxació i aquesta avança ràpidament a través del colon.
Aquest moviment es dona entre 2 o 3 al dia i comença uns 15 minuts després de l’esmorzar.
Control de la motilitat del còlon
Hi ha elsmecanoreceptorsqueprovoquenlesdistensionsdel coloni aixòestàrealitzat pelsistemanerviósmesentèric.
Provoquen els moviments en massa tot i que també es poden centrar en els de mescla
- Una distensió de la paret colònica provoca l’activacióde receptors d’estirament que augmentenla motilitat
del còlon.
- El SN autònom:quanhi ha unadistensióde laparetgàstricai duodenal provoquen unaugmentde lamotilitat
del colon ( reflex duodenocòlic i gastrocòlic). Això es produeix per deixar lloc pel proper menjar.
- En aixecar-nos es produeix un reflex ortocòlic que també augmenta la motilitat.
- Regulació hormonal: gastrina o CCK augmenten la motilitat del colon i tenen a veure amb el moviment de
l’intestí prim i l’estomac i tenenla mateixa funció que els reflexos duodenocolic i gastrocòlic, és a dir deixar
espai pel proper menjar.
- La fibratambé augmentala motilitat,ésde fet una polisacàridsque nopodemdigerirperòsi que ho pot ser
per les bactèries colòniques.
DEFECACIÓ:
Procés pel qual eliminem la femta del tub digestiu, estan compostes per residus no digeribles, bactèries mortes,
cèl·lules epitelialss mortes, metabòlits biliars i concentració d’aigua.
L’aigua depèn de les necessitats hídriques.Es produeix la creació de cel noves ràpidament de l’epiteli intestinal per
què aquest és malmès constantment
Quan les restes(femta) arriben al recte, aquest s’eixampla i els mecanoreceptors ho noten i el sistema entèric
augmenta la motilitat del colon sigmoide i recte.
Es produeix una contracció del recte a continuació, també pel SN entèric i es produeix la obertura de l’esfínter anal
intern.Peròper evitarque el procés sigui involuntari hi hal’esfínteranal externque estàformat per múscul estriat,
no lliscom l’interni estàinnervatpel nervi pudent. El pudentpertanyal SN somàtic,ésa dirinconscientmentregula
el esfínter anal extern però necessita una senyal conscient per poder-se obrir.
El SN entèric inicia el procés però ha de participar el sistema nerviós parasimpàtic.
SN PARASIMPÀTIC FUNCIÓ: realitzalamateixaque l’entèricperòamb mésforça, la cèl aferent porta informaciódel
recte a la regiósacra de la medul·laespinal.Esdona una respostadelsnervisque vandesdel colon ascendentfinsal
recte i es produeix lacontracció del sigmoide i recte i una oberturade l’esfínteranal internque es produeix peruna
neurotransmissorambòxidnítric i pèptidintestinalvasodilatadorovasoactiu.Lainformacióperobrir l’esfínterintern
prové de la corteza conscient.
Secreció digestiva: glàndules mucoses
Hi hasecrecionsmucosesal llargde totel tubi secrecionsdigestivesque esdonende labocaa l’intestíprincipalment.
Aquestessecrecionssonexocrinesjaque lapartdel tubdigestiuesconsideraunapartexternai nointerna,enl’embrió
es produeix una invaginació i es forma un tub que es converteix en el sistema digestiu.
Tipus de glàndules
 Mucoses unicel·lulars o caliciformes. Secreten moc
 Invaginacions de l’epiteli cap a la submucosa ( criptes de Lierberkühn)
 A la submucosa hi ha glàndulestubulars profundes que es troben a l’estomac i a la zona del duodè. Són
glàndules gàstriques i de Brunner al duodè.
 Glàndules salivals, pàncrees i fetge, formen part de les anomenades glàndules complexes.
La secreciódel tracte digestiusonmoltimportants,secretemunvolumfinal de 7L i tot ell reabsorbitpermantenirla
homeòstasi.
Control secreció: principis generals de la secreció.
Estimulació mecànica a través del sistema nerviós mientèric
. Quanelsalimentsestimulenlaparetesprodueixunaugmentdelasecrecióde moc,peròpothaverestimulaciótàctil
i augmenta secreció saliva.
- Irritació química: barrera protecció.
- Distensió paret intestinal.
Estimulació autònoma ( SN parasimpàtic estimula secrecions glandulars)
- Ho faa travésdel nervi parasimpàticglossofaringi actuasobre lesglàndulessalivalsi el vague que actuasobre
les altres glàndules( esofàguiques,gàstriques, pàncrees i glàndules de Brunner) excepte les glàndules de la
part distal de l’intestí gros.
- I els nervis sacres que estimulen les glàndules de la part distal de l’intestí gros.
El simpàtic
 estimula producció de secrecions
 en combinació amb el parasimpàticdisminueix lasecreciómitjançantladisminuciódel flux sanguiniper
vasoconstricció.
Regulació hormonal : endocrina o paracrina.
Secreció mucosa
 secreció densa composta de:
Aiigua,electròlitsi mucines( proteïnaala qual s’uneix unpolisacàridohidratsde carboni de llargacadena),esconeix
com a glucoproteïnes.
 El moc o la secreció mucosa té les funcions:
1- Adhesiva
2- Protectora: s’uneix a la paret tub digestiu i el protegeix del pas dels aliments i en cas de l’estómac el
protegeix de l’acidesa.
3- Lubricant: fa més fàcil el pas dels aliments pel tub.
 Caracteristiques
- Es també una substància compactant i per això es van unint a la femta.
- Els enzims que destrueixen proteïnes podrien destruir fàcilment a proteïnes de la mucosa però això costa ja
que estan unides a hidrats de carboni. És doncs resistent a la digestió enzimàtica.
- Funció amfòtera ( taponadora), pot regular petits augments o disminucions de PH.
Secreció salival
Les glàndulessalivalsestanformadesperàcinsi son estructurestubulars. Lesglàndulessalivalssondiferentssegons
la secreció dels àcins i poden ser
1- Mucoses : la secreció és moc.
2- Seroses: la secreció són enzims i altres proteïnes.
3- Mixtes: es produeix moc o enzims.
Aquestes secrecions van a conductes:
- El primertubque recull secrecióprimàriaésel conducte intercalat. Aquestasecrecióésisotònica,lasecreció
és de clorur i sodi.
- El segon tub que recull la secreció secundària és estriat: format per diversos tubs intercalats. I es donen
transformacions de la saliva, canvia la osmolaritat i la concentració iònica.
- Conducte terminal: desemboca a la boca i és on acaben els conductes estriats.
Hi ha 3 glàndules salivals principals
Paròtide: secreció serosa.
Submandibular: secreció mucosa.
Sublingual: secreció mixta.
A la llengua també tenim glàndules secretores de moc però són unicel·lulars.
La saliva està formada per composició orgànica;
- Ptialina i degrada el midó. A la boca comença la degradació dels hidrats de carboni .
- Lipasasalival:funcióbaixai télamateixaforçaque lipasespancreàtiquesi noactuacorrectamentjaquenomés
es concentren a la superfície i el greix es distribueix no tant uniformement.
- Mucina
- Factors de creixement i lisozims que son enzims bactericides.
A la nit augmenten les bactèries ja que la secreció de saliva és escassa.
Els inorgànics són altres com calci, magnesi, sodi entre d’altres.
Com es forma la saliva?
1- Peruna secrecióprimàriaque ésisotònica respecte el plasma,té elsmateixosnivellsosmòticsque el
plasma, se secreta clorur i sodi cap al tub col·lector, a l’espai on es troben els àcins.
2- Al llarg del conducte estriat es produeix una secreció secundaria alcalina ja que es produeix la
reabsorció d’ions clorur i sodi i se secreta ions potassi i bicarbonat.
3- Si expulsem bicarbonat i protons els protons son reabsorbits per què surti el potassi. I abans es
produeix una reabsorció d’ions clorur permeten la sortida de bicarbonat.
4- Hi ha un canal de sodi que permetl’entradade sodi perosmosi.Peròhad’haverunaconcentracióde
sodi a l’interiorde lacèl·lulabaixai s’aconsegueix amblabomba sodi potassi que extreuel sodi fora
de la cèl·lula.
Mecanismes de secreció salival
Cada minut les glàndules salivals produeixen el seu pes en saliva. Poden produir un L de saliva i estan ben
vascularitzadesambunaactivitatenorme.Quanhi hamoltaactivitatlasalivapassamésràpidapelsconductesestriats
i lessecrecionssecundàriesnoesduenaterme correctament. El sodi amajorvelocitataugmentalaquantitatde sodi
i esreabsorbeix menys,el mateix passaambel Knoessecretenaigual avelocitat.Iel clorurtambé i augmentaanivell
que van a poc a poc arribant a nivells de plasma.
El bicarbonat es manté constant a qualsevol velocitat i s’aconsegueixen gràcies a accions paracrines, mediadors
propers a les glàndules salivals.
Regulacióde la secreciósalival:
Les cèl·lules parasimpàtiques i simpàtiques activen la secreció salival.
A nivell dels àcins els serosos es poden activar per receptors muscarínic i els sistema entèric també.
Una activaciódel parasimpàticprodueix salivapocespessai amb moltsenzimsi hi ha enzimsmixtes( noradrenalina)
s’uneix a receptors noradrenalinics i augmenta secreció de glàndules dels àcins.
El sistema nerviós entèric mitjançant producció pèptid vasoactiu també produeix un augment de les secrecions.
Les parasimpàtiques i simpàtiques augmenten la secreció salival però la concentració de saliva no és la mateixa.
Els neurotransmisors muscarínics son activats per la acetilcolina.
L’activaciódelsreceptorsprodueix d’unaugmentde laAMPcíclicque ésunsenyalitzadorintracel·lular,s’activenaltres
senyals produint un augment del calci i finalment augmenta la secreció de la saliva. (exam)
La secreciósalivaesregulapelsnuclissalivalsinferiori superiori podenseractivatspercentres superiorde consciencia
( apetit,centresgusti olor,pensamentideatori i areesde temor,sonodeshidrataciódisminueixenlasecrecióde saliva
per mantenir el balanç hidrolític. )
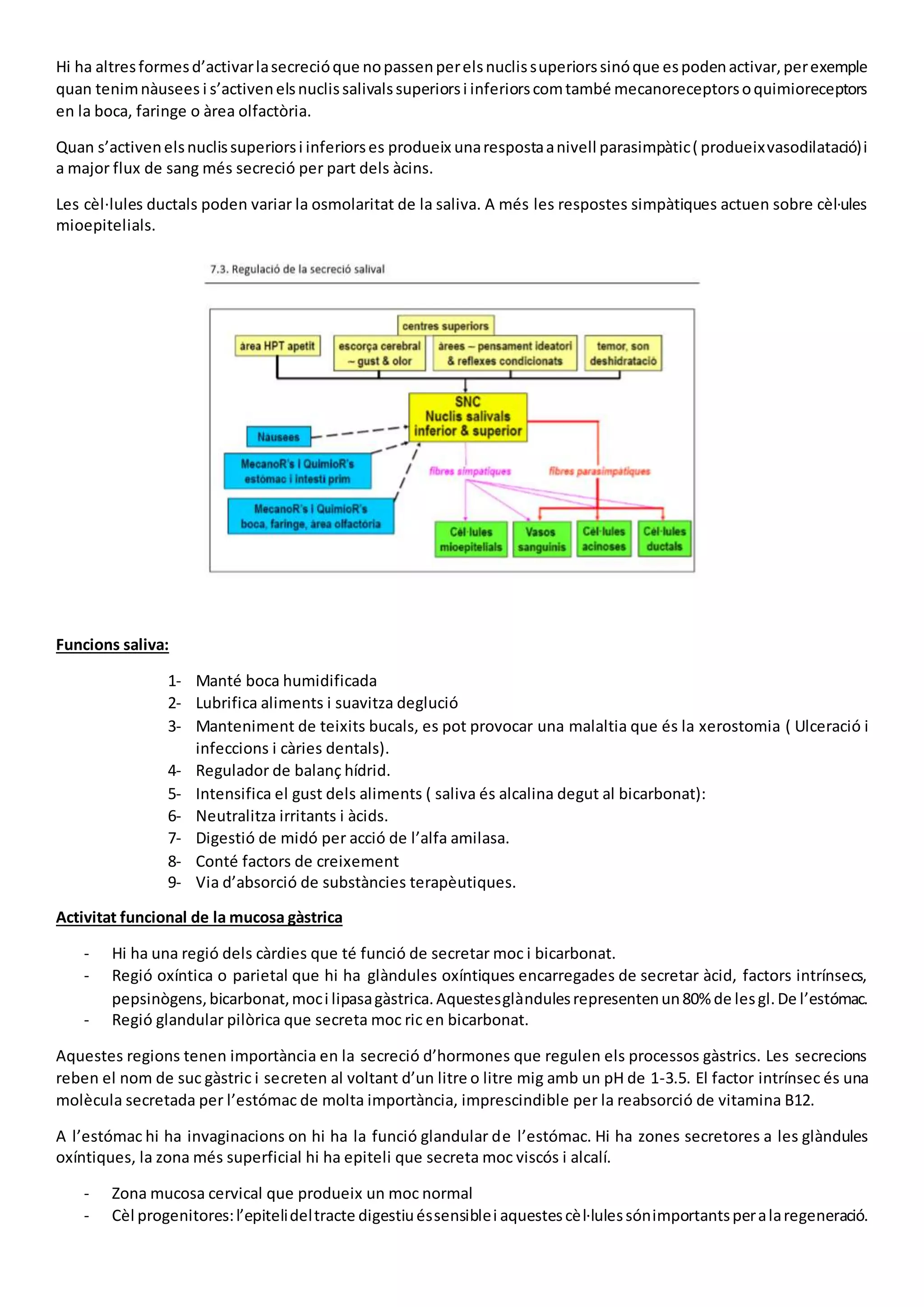
Hi ha altresformesd’activarlasecrecióque nopassenperelsnuclissuperiorssinóque espodenactivar,perexemple
quan tenimnàusees i s’activenelsnuclissalivalssuperiorsi inferiorscomtambé mecanoreceptorsoquimioreceptors
en la boca, faringe o àrea olfactòria.
Quan s’activenelsnuclissuperiorsi inferiorses produeix unarespostaanivell parasimpàtic( produeixvasodilatació)i
a major flux de sang més secreció per part dels àcins.
Les cèl·lules ductals poden variar la osmolaritat de la saliva. A més les respostes simpàtiques actuen sobre cèl·ules
mioepitelials.
Funcions saliva:
1- Manté boca humidificada
2- Lubrifica aliments i suavitza deglució
3- Manteniment de teixits bucals, es pot provocar una malaltia que és la xerostomia ( Ulceració i
infeccions i càries dentals).
4- Regulador de balanç hídrid.
5- Intensifica el gust dels aliments ( saliva és alcalina degut al bicarbonat):
6- Neutralitza irritants i àcids.
7- Digestió de midó per acció de l’alfa amilasa.
8- Conté factors de creixement
9- Via d’absorció de substàncies terapèutiques.
Activitat funcional de la mucosa gàstrica
- Hi ha una regió dels càrdies que té funció de secretar moc i bicarbonat.
- Regió oxíntica o parietal que hi ha glàndules oxíntiques encarregades de secretar àcid, factors intrínsecs,
pepsinògens,bicarbonat,moci lipasagàstrica.Aquestesglàndulesrepresentenun80% de lesgl.De l’estómac.
- Regió glandular pilòrica que secreta moc ric en bicarbonat.
Aquestes regions tenen importància en la secreció d’hormones que regulen els processos gàstrics. Les secrecions
reben el nom de suc gàstric i secreten al voltant d’un litre o litre mig amb un pH de 1-3.5. El factor intrínsec és una
molècula secretada per l’estómac de molta importància, imprescindible per la reabsorció de vitamina B12.
A l’estómac hi ha invaginacions on hi ha la funció glandular de l’estómac. Hi ha zones secretores a les glàndules
oxíntiques, la zona més superficial hi ha epiteli que secreta moc viscós i alcalí.
- Zona mucosa cervical que produeix un moc normal
- Cèl progenitores:l’epitelideltracte digestiuéssensiblei aquestescèl·lulessónimportantsperalaregeneració.
- Cèl parietals:sónlesque produeixenHCLmitjançantel bombeigde protonsi ionsclorur,i l’Hcl li donaacidesa
al suc gàstric. A més són importants per què produeixen el factor intrínsec.
- Cel principals: produeixen pepsinogen.
- A la regió distal hi ha cel endocrines (G ( gastrina) , GRP,D ( SOMATOSTATINA).
- ECL: entorocromafins que secreten hormones (histamina i serotonina).
Composició i funció del suc gàstric
a) Partinorgànica(electròlits):produeixenàcidi protons.Ésimportantl’aportamentdepotassi,unapersonaque
té moltsvòmitspotpatiruna hipotassèmia.Lavelocitatde secreciófavariarlaconcentracióde sodi. A major
velocitat disminueix la concentració de sodi i augmenten els protons.
Les senyalsque arribenal’estómacaugmentenl’acidesa.Unad’aquestessenyalsprovédel nervi vague.Noespretén
augmentar la quantitat de líquid sinó suc.
Hi ha protons que surten al lumen a través d’una bomba protons potassi ATPassa. Això produiria una alcalinització(
augmentde pH) i s’evitagràciesa la sortidade bicarbonata la sangaugmentantl’entradade clorur a dinsla cèl i pot
sortir per un canal clorur a l’exterior. Tenim ions clorur i protons en el suc gàstric.
b) compostos orgànics:
- pepsinògen que és una proteïna inactiva i s’activa amb un pH al voltant de 3 mitjançant la ruptura d’un dels ponts
que dona laconformacióde proteïnai esgenerauna pepsinaque sónenzimsproteolíticsmoltpotents.Lapepsinaés
la única enzimaproteolíticaque degradael col·lagen.També lapepsinaéscapaç de metabolitzarlasevaactivació.El
pepsinogenesconverteix enpepsinaperaccióde l’àcidperòuna pepsinaactivapotunir-se al pepsinogeni trencarel
pont activant la pepsina. Un augment de pH activa la pepsina.
- factor intrínsec.
- mucines:importantlaproduccióde moc rica enbicarbonati ésuna secrecióviscosa.Ies formauna barrera mucosa
entre el suc gàstric i les cel de l’epiteli. El suc pot estar a un pH de 1,5 i la mucosa és de 7 i gràcies a la protecciódel
moc estàaixí.El moc esdegradatper l’accióde protonsque enunir-se abicarbonatesformaaiguai diòxidi també es
degrada per acció de la pepsina ja que el moc està format per glucoproteïnes.
- lipasa i amilasa: la lipasa és més funcional que la saliva. La lipasa té major activitatja que movimentsde l’estómac
permeten conversió de gota gran de greix en més petita.
Regulació secreció gàstrica
- Fase cefàlica: quan hi ha un estímul s’activa el SN central i envia informació, a l’estómac arriba a través del
nervi vague( parasimpàtic) i es produeix acetilcolina. La informacióarriba al SN entèricdesdel nervi vague i
s’activen les cel principals( pepsinogen) i parietals( producció d’àcid i factor intrínsec). Això va a la llum
intestinal.
es secreta pepsinogen, HCL i histamina. També la informació arriba a les cèl G ( cèl endocrines), es genera un
neuropeptidGRP, activen les cèl G que produeixen gastrina i va a la circulació i augmenta la motilitat i el buidat
gàstric.
- Fase Gàstrica: Quan l’aliment arriba a l’estómac es produeix distensió paret i això arriba a través d’una via
aferent fins al nervi vague que dona una resposta que produeix un augment d’àcid i protons, pepsinogeni
secreció gàstrica.
El pepsinogen es transforma en pepsina per acció del pH àcid i causa que proteïnes creïn oligopèptids, els
qualssón detectatsi produeixenunaactivacióde lescel G de la regiópilòricai augmentenlagastrinai actua
endocrinament (primer van a la sang) produint un augment de la secreció d’àcid i pepsinogen.
Les neuronespel nervi vague i acetilcolinaactivencèl parietalsproduintunaugmentd’àcid però a través de
la acetilcolina també es produeix un augment de la histamina a través de enterocromafines.
La histamina és un factor local, activa paracrinament la producció d’àcid de cèl peritetals.
El SN, endocrí i paracrí conflueixen. (MECANISMES DE SECRECIÓ)
La producciód’àcids’inhibeix atravésde l’activacióde lescèl Dque estrobenal pílori notencanvisenel PH.Quan hi
ha una disminuciód’aquest( moltsprotons),lescèl D creen somatostatinaque ésun efecte paracrí i actua sobre cèl
properes, aquesta inhibeix la secreció de gastrina de les cèl G. Així hi ha un control del pH de l’estómac.
- Fase intestinal:quanhi hadistensiódelduodèesprodueixunsreflexesnerviosesque disminueixenlasecreció
d’àcid , les cèl S detecten acidesa i inhibeixen la producció d’àcid així com el pèptid inhibidor gàstric i la
secretina. Les altres dues fases estimulen la secreció gàstrica i aquesta última inhibeix.
Secreció intestí prim
Les glàndules mucoses secreten moc viscós i alcalí als primers cm del duodè ja que s’ha de taponar l’acidesa de
l’estómac. En l’intestí hi ha les criptes de Lieberkühn que son glàndules compostes per diversos tipus cel·lulars
depenent de la situació.
Primer hi ha cèl caliciformes de més superficial a més profunds. Després enteròcits(secretor) que produeix líquid
alcalí.
- Cèl endocrines
- Progenitores
- Paneth: produeixen lisozimes.
Hi ha d’havermicroorganismesi leslisozimeseviteninvasionsi enlessecrecionsfinalssónimportantsperquè eviten
acidesa del colon a l’intestí prim.
La secreció és d’uns 1500 L/ dia i el pH és àcid.
Taula de hormones ( les 4 últimes no). Imprimir.
Secreció intestí gros
Té producció de moc principalment i hi ha dues regions una proximal i una distal.
Les diferències de motilitat respecte les dues regions:
- El proximal absorbeix aigua i nutrients que el prim no pot absorbir
- Distal: emmagatzematge
Lesglàndulesenlaproximalsecretenmocque permetenel pasde lafemta,ésunmoclubrificant.S’hande regularels
moviments i no té cèl·lules de Paneth ja que hi ha flora intestinal i en aquest cas no calen tants enzims.
El laregiódistal laproduccióde mocésméscompactant,formalauniódelafemtaperquèhi hagi unaúnicadeposició.
Secreció pancreàtica exocrina
El pàncrees secreta els enzims digestius.
- Cèl·lules Acinoses:creencomponents enzimàtics,aquestasecrecióvaalsconductesi esprodueix una dilució
- Se secreta molt bicarbonat a través de cel ductals i centroacinoses.
- La secrecióde mocésbaixaenel pàncrees.( sabertaula). Iéssecretatpercèl·lulesgransconductoresexcretors
Zimògens: enzims que s’han d’activar!! Tenen en comú amb aquelles que no s’han d’activar que actuen en les
proteïnesi s’hande secretarde manerano activaja que sinóellesmateixespodendevorarel pàncrees.Ésel casde la
pancreatitis. MIRAR TAULA IMPRIMIR!!!!!
Composició i funcions de la secreció pancreàtica:
La tripsina s’activa per enteropeptidasa que se secreta per part de la glucosa intestinal i fins que el tripsinogen no
arriba a l’intestí no es produeix l’activació. Un cop activada la tripsina pot activar els zimògens pancreàtics.
Regulació de la secreció pancreàtica
- ductal: secrecióbicarbonatal ducte. Quan disminueix ph del duodè esprodueix perpart cel S secretinaque
inhibeix producciósucgàstric i augmentasecrecióbicarbonatal duodè i regulemel pH de l’intestíd’aquesta
manera i s’allibera secretina.
- Regulacióacinal:dutaa terme perla colicistoteninai de maneraque quanarribenaminoàcidsal’intestíoAG
hi ha cel que notenaquestsnutrientsi produeixenpèptidalliberadorde colicistoteninai actua sobre cèl I. La
colcitotenina augmenta la producció d’enzims i el propi pàncrees estimula també la producció, produeix
pèptid monitor que actua sobre cel I i produeixen un augment de colicistotenina.
Hi ha dos bucles de regulació
Detenció secreció pancreàtica
A través de la tripsina, quan hi ha aliment a l’intestí aquesta degrada aliment i pèptid alliberador i monitor. Hi ha
competència entre degradacióaliment i substàncies i la producció de colicistotenina continua. Quan no hi h aliment
la tripsina degrada els pèptids i no es produeix l’activació de cèl I i per tant no es produeix secreció pancreàtica.
Secreció biliar
El fetge ésunòrganmultilobularde granmidaque estrobaalacavitatabdominal alaregódreta.Lafuncióéseliminar
pèptids a través de la secreció de bilis i també elimina fàrmac (xenobiòtics).
- Participa en la secreció de lípids generant bilis.
- Elimina productes per conversió en formes que puguin ser excretades ( metabòliques o xenobiòtics).
- També emmagatzema productes com glucosa, aminoàcids i crea proteïnes plasmàtiques.
a- Composició bilis:
Hi ha unexcésd’hepatocits(cel fetge),se secretenacidsi salsbiliarscomaltrescomponents...segonslasecreciópassa
pels conductes hi ha una reabsorció de sodi i aigua. La reabsorció està afavorida per la secretina i altera
electrolíticament els productes de secreció tant del pàncrees com del fetge.
Un cop la secreció arriba als conductes hepàtics si l’esfínter d’Odi està tancat s’internalitzen a la vesícula biliar. Aquí
es produeix una concentració de la bilis i s’absorbeix aigua, sodi i reabsorció d’ions clorur. Hi ha una bilis molt més
concentrada. El volum és d’uns 600-1200 ml/dia i té un pH de 7,5-8.
Secrecióbiliar
b) funcionsbilis
- secrecióàcidsbiliars que esprodueixenapartirde colesterol al’interiordelshepatòcitsatravésde l’enzimesterol
27 hidroxilasa.
Els àcids principals són: el quenodesoxicolic i colic, el colic es pot conjugar amb glicina o taurina per donar acid
taurocòlic i glicocòlic.
Els àcids conjugats es poden transformar en sals potàssiques o sòdiques i donen lloc a les sals biliars.
A la bilishi haàcidsbiliarsi salsengranquantitat,elsàcidspromouenl’absorciódegreixosi producteslipofilicsgràcies
a la cara hidrofòbica i hodrofilica i poden formar micel·les cilíndriques que a l’interior hi ha productes lipofílics.
També afavoreixen la digestió a través delsenzims pancreàtics ja que elsenzims son solublesi els àcids h troben un
punt de suport per produir la digestió de lípids de l’interior de la micel·la. Això s’anomena punt d’ancoratge.
Altres funcions son secretar bicarbonat però no tant com el pàncrees per afavorir el pas del quim gàstric al duodè i
també se secreten productes de desfeta com la bilirubina
b) regulació secreció biliars:
tenim que la presència de productes de degradació de proteïnes i AG estimulen cel de l’intestí prim es produeix
colicistoteinai augmentalasecrecióprimàriai enzimspancreàtics.Lapresènciade greixosal duodè estimulaproductes
que les emulsionen.
El quimàcidaugmentalaproduccióde secretinaperpartcel Si promoulasortidadel bicarbonatatravésde conductes
pancreàtics i augmenta la secreció del bicarbonat pels conductes hepàtics.
El fetge produeix el 10 % delsàcids biliarsnecessarispera la digestió,jaque hi ha un procés de reciclatge delsàcids.
El fetge secretenalabufetabiliari passenal duodè i esprodueix absorciópassivadelsàcidsbiliarsales celesprimària
duodè.
Les sals arriben a l’ili terminal on hi ha transportadors i els àcids i sals arriben a la vena porta on arriben al fetge i
s’acumulenalshepatòcitsfinsalapròximadigestió. Arribende maneraactivai passivaalavenaportaon s’acumulen
als hepatòcits.
Sempre hi ha una quantitat d’àcids i sals al colon que es perden i és la manera que té l’organisme per excretar el
colesterol.De fetun bon tractamentper la hipercolesterolèmiaseriael bloqueigde transportadorsque absorbeixen
àcids i sals biliars i així hauríem de gastar més colesterol per produir de nou els àcids i sals.
Digestió i absorció
La digestió comença a la boca ràpidament i a l’intestí prim té el seu auge amb els enzims pancreàtics. El procés
d’absorcióésa travésde l’intestíprimi hi ha productesque s’absorbeixenal’estómaccoml’alcohol i altres fàrmacs.
Transport d’aigua
És imprescindible pel funcionament de l’aparell digestiu,hi ha d’haver un medi aquós al tub. Es produeixendiverses
secrecions a l’interior del tub però l’absorció d’aigua té lloc a l’intestí prim per difusió passiva seguint un gradient
osmòtic.
- El transportd’aiguaés secundari al transportde solut.Ja que hi ha un transport passiud’aiguaperequilibrar
el gradient de pressió osmòtic
- Hi ha mecanismes paracelulars ( ions a través de la cel com acuaporines) I transcelulars
El flux net és
- Al duodè hi ha secreciód’aiguajaque el quimestà moltconcentratja que ha de serisosmoticambel plasma
i tenir la mateixa pressió osmòtica.
- Al jejú i ili es produeix una absorció d’aigua
- Colon: hi ha una absorció menor.
Transport d’aigua i electròlics
El principal ióabsorbtra l’aperell digestiuésel sodi que ésnecessari pera l’absorciód’altresnutrientsi s’internalitza
a l’interiorde l’enteròcitatravesd’uncotransportambglucosai aminoàcids.necessitemperaixòquelaconcentració
de sodi a dins enteròcit sigui baixa i s’aconsegueix amb una bomba sodi potassa
L’ióclorura lesprimeresetapess’absorbeixenrespostalaabsorcióde sodi jaque el sodiéspositiui al absorbir-lodins
enteròcitsi hadiferenciade carreguesentre enteròciti tubdigestiu,el clorentradinsl’enteròcitperdifusiófacilitada
per ser negatiu.
L’absorcióbicarbonatesfa de manerasecundari,perun llochi ha el bicarbonatque hemsecretata travéspàncreesi
fetge i per altra banda hi ha protons secretats per una bomba sodi i potassi i allibera protons. La unió dels protons
amb bicarbonat forma àcid carbònic i es troba en equilibri estable en forma d’aigua i diòxid de carboni.
El bicarbonat que se secreta es reabsorbeix de manera secundària. A l’intestí gros és diferent
El clorur no s’absorbeix perlacàrrega produïdaper sodi ja que no s’introdueix tantsodi a l’intestí,hi haun transport
on el clor entra a l’enteròcit i s’excreta bicarbonat.
En l’intestíprims’absorbeixel bicarbonati al grosse secretajaque h hamciroflorabacterianaquesecretaàcidi tapona
l’àcid produït per bactèries del colon.
L’iócalci s’absorbeix activamentenel duodèi jejúi laabsorcióve determinadaperlahormonaparatiroide que activa
la vitamina D i es permet una absorció major calc. Falta de vitamina D produeix problemes ossis
El ferros’absorbeix activamentsobretotaduodè peròvedeterminadaperlesnecessitatsde l’ióferroperpartdel cos,
ja que una concentració elevada de ferro és tòxica.
Absorció i digestió de carbohidrats
Els hidrats de carboni es prenen en forma de polisacàrids (mido o glicogen) o disacàrids i tenim l’acció de la amilasa
salival que durapocjaque a l’estomacambel phàcidesdesactiva,enl’intestíprimhi haalfaamilasapancreàticaamb
afinitat major que la salival i gracies a aquests dos enzims els polisacàrids es converteixen en disacàrids ( maltosa
entre d’altres),a partir d’aquí actuen enzims que degradendisacàridsde la membrana apical de les microvellositats
dels enteròcits.
Elsenzimssonlamaltasaque degradamaltosaenduesglucoses,hi halalactasaque degradalactosa.Hi halasacarasa
que degradasacarosa enfructosa i glucosa. també hi ha les alfa dextrinasa que degrada polímers de 3 a 9 glucoses.
La glucosa s’introdueix a l’enteròcit per cotransport de sodi.
La galactosa té una proteïna que transporti sodi amb lactosa.
La fructosa entre a través de difusió facilitada, l’absorció de fructosa és menor i es perd bastant fructosa.
Una vegadade l’enteròcitvana lavenaporta i cap al fetge.Al fetge passenduescosessegonsl’estatde l’organisme:
- si hi ha nivells alts de glucosa la insulina promou la formació de glucosa.
- Si hi ha menys glucagó promou la sortida de sucres del fetge i es poden acumular en forma de glucogen al
fetge. (mirarrr)
Hem d’eliminar les unions dels aminoàcids i absorbir els aminoàcids de manera individual.
A l’estomacocorre la primeradigestióatravés de lespepsinesal’estomacesdigereixenenun20 % de lesproteïnes
de ladietai també col·lagen. Totselsenzimsaconsegueixenqueelsgreixosproteicsesdegradenenpèptids,dipèptids
i aminoàcids.
L’absorciód’aminoàcidsesfaambcotransportde sodi cadaaminoàcidté unaproteïnaespecífica,d’altrabandaalguns
tri o dipèptidsespodenabsorbirdinsenteròcitonhi ha peptidases intracel·lulars que els degraden en aminoàcids.
Els aminoàcids van a la vena porta fins al fetge on poden anar a la circulació o emmagatzemar-se o convertir-se en
aminoàcids diversos a l’interior dels enteròcits.
Digestió i aborció de lípids
Elsprincipalslípidssontriglicèridsformatsperunacadenade glicerol i tresAG,també hi hafosfolípidsformatsperun
àcid gras i un glicerofosfolipid i un esters de colesterol.
Quanarribenal’intestíesprodueixlaverdaderadigestió,elstriglicèridsdonenllocaunmonoglicèridi dosàcidslliures
i la colesterol esterasa degrada excés de colesterol.
La fosfolipasa A 2 degraden els fosfolípids donant lloc a fosfolípids i àcid gras.
Aquestesreaccionstenentendènciaa regenerar-se.Sonreversiblespertantelsproductesdelsenzimss’hand’aïllari
s’encarreguen d’això els àcids biliars.
Impedeixenque storninaformar elstriglicèrids,fosfolípidsi estersde colesterol i portenalasuperfície de l’enteròcit
els productes de degradació. Un cop a la paret els components entren per difusió simple a l’enteròcit ja que la
membrana plasmàtica és lipídica i les sals tornen a l’intestí donant a terme la seva funció un cop han transportat
aquests productes.
S’uneixen dins l’aparell de golgi als quilomicrons que son lipoproteïnes que s’uneixen per deixar a l’interior els
fosfolípids, esters i triglicèrids. De l’enteròcit passen a la limfa i d’aquí a la sang.
Hi ha àcidsgrassosde curta cadenaque sonhidrosolublesi nos’uneixenalsquilomicronssinóque passendirectament
a la vena porta i van al fetge.
Absorció de vitamines
La mésimportantés la B12 i es la mescomplexaesrequereix perlaformaciódel sistemanerviós,el metabolismede
proteïnes i AG, també participa en la síntesi de ADN....
Aquestalaingerimunidaaunaproteïna,lesglàndulessalivalsfabriquenproteïnaRque arribenal’estómaci peracció
àcidala proteïnaesdeslligade lavitaminaB12 i la b12 S’uneix alaR i lafuncióesprotegiralavitaminab12 delsàcids.
Una vegadasurt el quimde l’estomaci arriba al’intestílatripsinatrencalaunióentraproteïnaRi B12 i laB12 s’uneix
al factor extrínsec i quan arriba al jejú o ili hi ha transportadors específics del factor extrínsec i s’absorbeix .
La vitamina B9 o àcid fòlic té diverses formes )
- Simple s’absorbeix per difusió facilitada o cotransport sodi
- Complexa:necessitaunenzimque hi ha als enteròcitsdel jejúi l’enzimsimplificalavitaminaB9 aconseguint
que es pugui absorbir.
Vitaminab6 s’absorbeix percotransportde sodi però requereix unafosforilacióal tub, concretamental jejúi pot ser
absorbida per cotransport de sodi.
La resta de vitamines hidrosolubles s’absorbeixen per contraport de sodi o difusió facilitada, les liposolubles
s’absorbeixen de manera semblant als greixos: es formen micel·les amb vitamina K a l’interior i un cop arriben a
l’enteròcit son absorbides per difusió simple,
Microflora:
Es crea poc desprésd’havernascut,noésnecessàriapel desenvolupamentde l’individu.Metabolitzasubstànciesque
nosaltres no podem metabolitzar.
Aprendre els substrats que es poden metabolitzar.
Les bactèriesde la flora són importantsperla defensa,creensubstànciesmicrobicidesque podeneliminarbactèries
patògenesde l’organisme i actuencomuna barrera física.S’ha de produiruna colonitzacióal tubuna bactèriaja que
sinó no pot produir una malaltia.
Hi ha barreres físiques que ho eviten i també es produeix l’expressió de patrons gènics contra microorganismes
patògens.
És importantperlaformaciódelsgasos:laporcióinicial absorbeix aire.Enlessecrecionsfinalselmetabolisme bacterià
forma gasos. Una persona pot formal al dia un litre de gasos.

Digestiu apunts net

  • 1.
    Sistemadigestiu25/02/2015 Introducció a lafisiologiadigestiva Es necessitaunconjuntde metabòlitsque provinguinde l’exteriori l’aparell digestiuensaportaaigua,electròlits, vitaminesi nutrientsi s’aconsegueixperdiversesfuncionsdel tub digestiu: - De trànsit: s’ha de travessar el tub en direcció anterògrada cap a l’anus. - De secreció: s’han de secretar enzims que puguin digerir els aliments i també secreció de mocs per tal que l’aliment pugui atravessar el tub ja que aquest és bastant estret malgrat ser elàstic. - Absorció: processor indispensables ja que sinó no podrien arribar els nutrients a la sang, els enteròcits es dediquenal’absorciópassantelsnutrientsde lallumintestinal finsalasang o limfaa on esdistribueixenala resta del cos. - Circulació: és dels més vascularitzats del cos, hi ha circulació enteropatia que porta els nutrients digeritsa través de l’intestífinsal fetge(venaporta).Es converteixenen glucogen al fetge la majorpart delsnutrients. Molts fàrmacs han de ser modificats pel fetge per què siguin més solubles en l’aigua. - Control:atravésS.Nerviósi endocrí.A travésdel s.Nerviósdoncsenté unde propique ésentèricomientèric. Està regulat també a través del s nerviós autònom i es pot autoregular degut a la secreció d’hormones. Digestió:convertirmacronutrients(proteïnes,colesterol,glucolípids) ensubstànciesméssimplesperabsorbir-los millorpelsenteròcitsi passara lasang i limfa. - Els enteròcitsmantenenel balançhidroelèctrolíticglobal. - Eliminasubstànciesde rebuigi també substànciesliposolublesque noespodenbarrejarambl’aigua. - Funcióde defensajaque l’aparell digestiuésunazonade contacte ambl’exterior,hi haglàndulesque secretenenzimsque serveixenperdegradaraquestsmicroorganismes. També la motilitat!!Mirar Componentsdel sistemadigestiu  Hi ha òrgansaccessoriscom: la llenguaolaboca i lesdentsi la vesículabiliarimportantperlasecreció hepàtica.  A part de lesglàndulesdel tubdigestiuni haque sónespecialitzadescomlessalivals,el fetgeoel pàncrees.  Els esfínterssónengruiximentsde lamusculaturadel tubdigestiui impedeixenel pasdelsalimentsd’una regióa una altra,i esfa de manera anterogradai retrogada.(pílor, esfínterd’ Odi, vàlvulaileocecal, esfíntersexternsi intersi també esofàgicssuperiori inferior.
  • 2.
    El sistemanerviósentèricpotactuarpel seucompte,eltubpodriarealitzarelspropismovimentssenseel sistema nerviósentèric. Organització funcional de la paret del tub Capa externa( serosa) de cèl·lulesmesenquimalsescamosesque ajustenomantenenel tubdigestiuenlacavitat abdominal. Constitueix unacapad’uniói protecció. Capa muscularexterna: éslaque produeix lescontraccionssegmentariesi el movimentperistàlticque recorre totel tub digestiu.Lacapamuscularté una túnicaexterna( lesfibresrecorrenel tubde davantendarrere) longitudinali una internacircular( rodejael tub). Plexe mientericoplexe d’Auerbach:estrobaentre lesduescapesmuscularsi subministralainnervacióprincipala tot el tub. Submucosa:ésmoltvascularitzada.Lesmolèculesabsorbidesque atravésde la cèl·lulade l’epitelientrenalsvasos de la submucosa. També conté plexesnerviososi glàndulesenformad’acins. Entre lasubmucosai lacapa muscularcircularhi ha el plexe submucosque també formapartdel sistemanerviós entèrici l’altre plexeregulael movimentdel tubdigestiumentre que el de Meissnerregulalasecrecióque vaal tub digestiu,aquestproveeix innervacióalamuscularde la mucosa delsintestinsprimi gruixut. Sota lasubmucosahi ha lamucosa compostaperuna capa muscularfinaamb poca capacitat de contracció,làmina pròpiai epitelique ésunicel·lularque esvanespecialitzantsegonslaregiódel tubque enstrobem HI ha diversescèl·lulesespecialitzades. - Enteròcits:l’especialitzacióésabsorbirnutrients - Cèl·lules Enteroendocrines:secretenhormonesperregularprocessossecreció - Cèl·lulesde laMucosa gàstrica:secretenàcids - Productoresde mucinaque produeixenunagranquantitatde moc que ésimprescindiblepel recorregutdels aliments. Hi ha vellositatspertal d’augmentar lasuperfíciesd’absorciói criptes. Motilitatdel tub digestiu La capa musculardel tubdigestiuésllisa(longitudinal i circular).El múscul llisté unionscomunicantsque consisteix enla uniódelsmiòcitsmitjançantlacomparticióde canalsiònics. El múscul escomportacom unestímul,el múscul enrebre un impulsnervióss’hade contraure ala mateixavegada.Sobrenelscanalscalci i esprodueix unaugment del calci intracel·lularque produeix lacontracció.Pertantes boque es contregui total mateix tempsi d’aquíla importànciaque sigui múscul llis.Aquestrepsenyalselèctriquesatravésdel SN entèrici seran:  Oneslentes:despolaritzenlamembranaperònoaconsegueixenarribaral llindarde excitabilitat  Potencial enagulla:produeix una contracciódel múscul llis. Tipus moviment - Propulsióoperistaltisme:consisteix enunacontraccióal entrar l’alimenti unarelaxaciódesprés.Aixíels alimentsvanavançant. És un movimentinvoluntari que consisteix enlacontraccióenla contracció de l’estomaci intestins.Consisteix enlaapariciói desplaçamentprogressiud’unconjuntd’onesde contracció circularque es mouena certa velocitat. S’aconsegueix atravésd’una:  distensióde laparetdel tubja que hi ha mecanoreceptors que notenquanl’alimentprodueix una distensiói s’enviaunasenyal de contraccióala zona proximal i unade relaxacióala distal produintla propulsió.  A travésde irritacionsquímiquesi físiques:  Senyalsparasimpàtiquesintenses Es donena faringe, esòfag,antre gàstric,intestíprimi colon
  • 3.
    - Movimentsde mescla:esdonenal’intestíprimperquèhi hagi méstempsperdur a terme ladigestió. El control de la motilitat a) Innervacióintrínseca: Esdonapel SN entèrici escomponde neuronesqueesdistribueixenenlíniarectai quan arriba un estímul nerviós es produeix un augment de la contracció tònica i un augment de la intensitat de contracció rítmica i un augment de la velocitat de conducció de les ones d’excitació. Els principals neurotransmisors son: acetilcolina que actua com estimulant de la motilitat i la noradrenalina que fa d’inhibidor. b) Innervació extrínseca: els senyals arriben a través del sistema nerviós parasimpàtic que actua a través de l’acetilcolinapromoventl’activitatdel tubdigestiu.Hi ha una regió de nerviscranial, sacres i fàcilsjunt amb glossofaringis; aquests últims serveixen per regular la secreció de la saliva i el procés de deglució i el nervi vague innervalaresta del tub digestiudesl’estomacfinsl’intestíprimi la regiómésdistal està innervadapel nervi sacre que surtde lamedul·laespinal( S2-S4) i regulaelreflex deladefecació. ( A travésdel parasimpàtic) La innervació extrínseca també pot venir donada pel sistema nerviós simpàtic: els neurotransmissor son la noradrenalinai elsnervissurtende laL5- E2, arribena ganglismesentèricssuperiorsi inferiorsi surtennervis postganglionars que innerven tot el tub digestiu. Inhibeix en la majoria dels casos. En unasituacióde perill s’inhibeixel simpàtici el parasimpàticactivaladigestió. ( El simpàtici parasimpàticsondel SN autònom) Quan arriba una senyal (distensió, irritació) es nota a través de neurones sensitives que arriben a l’epiteli on es generen potencials d’acció que van als ganglis pre-vertrebals, medul·la i tronc encèfalic i d’aquí arribem al sistema nervióscentral.Aquestpromouunarespostaquevaapararal’aparell digestiu atravésdelSN simpàticoparasimpàtic. Aquests dos innerven tant el plexe mientèric i submucós c) Control hormonal de manera endocrina( Secreció de substàncies que va a la sang). Al sistema digestiu les cèl·lules secreten les substàncies al tub digestiu i a dins són absorbides on passen a la sang i d’aquí a les cèl·lules mitjançant sistema circulatori enteroendocri. Activen cèl·lules pròximes i se secreten a l’espai intercel·lular i la capacitat d’acció és més local: d) Colecistocinina: inhibeix el buidat gàstric e) Motilina: estimula la motilitat gàstrica Paracrí: també controla Ingesta d’aliments Hi ha d’haverunasenyal conscientperalaingestai provenendelsòrgans.Laoïda també ésimportantjaque després de diversos sorolls ( estímul sonor) incrementa l’apetit. Van per vies aferents i d’aquí van als nuclis motors dorsals de la medul·la espinal. I parteixen d’aquí els nervis parasimpàtics i produeixen una sèrie de activitat:  Augment secreció salival: nervis nasofaringe i nasosalival  Augment secreció gàstrica o secreció d’ enzims pancreàtics  Contracció de la bufeta o relaxació de l’esfínter d’Odi i s’encarrega d’aquests el nervi vague.
  • 4.
    Masticació. Produeix:  Lubrificació d’alimentamb la saliva  Barreja d’aliments amb midó amb amilasa salival. La lipasa salival digereix àcids grassos. També hi ha lisozima bactericida i s’inhibeixen possibles patògens que puguin entrar per la boca.  Trosseja i polvoritza l’aliment i aconseguim augmentar la superfície dels aliments exposada als enzimsi aquestes actuen per més zones.  Evita lesions de la mucosa i facilita el buidament Els incisius tallen, ullals esqueixen i molars i premolars trituren. El bol alimentari és l’aliment ben mastegat. Reflex de la masticació: És voluntàriaperòtambé es pot ferinvoluntàriamentapartir d’una inhibicióde lamusculaturade masticaciói cau la mandíbula produint tensió i que novament torni a pujar la mandíbula. Al paladar hi ha mecanoreceptorsque ennotaruna pressióproduïdapel bol alimentari inhibeixenlamusculaturai fa que torni a baixar. Deglució: Procés regulat ja que l’aliment pot anar a la nasofaringe o la tràquea. I té tres fases.  Voluntària:comprimimllenguacapa dalti enrere i desplacemel bol alimentari. ( es produeix a la boca)  Involuntària: elsmecanoreceptors del paladar noten aquesta pressió del bol alimentari i inicien el reflex de la deglucióatravés del nucli de ladegluciódel cervell. El nucli a travésdel glossofaringii facial envien el reflex deladegluciói provocauntancamentde lanasofaringeper evitarquel’alimentarribialalaringe, s’elevalafaringe i contraumúsculs,cordesvocalsi laringe i permetque esprodueixi unpetitpasentre la boca i la faringe. Es produeix el tancament de la via aèria( TRAQUEA) i es produeix obertura esfínter esofàgic superior i quan l’aliment entra a la faringe es produeix una contracció peristàltica d’aquesta. Es tenca el esfínter esofàgic i es torna a obrir la via aèria. Funció de l’esòfag: Transporta desde lacavitat oral a l’estomacel bol alimentari i també té unafuncióque ésinhibirel pasde sucgàstric de l’estomac a la boca. Per això hi ha esfínter superior i inferior( l’inferior impedeix entrada reflux gàstric) - Funcions de propulsió:  Transporta el bol a l’esòfag on entra posteriorment.  Transporta el bol de la laringe a l’estómac.  Permet l’entrada del bol a l’estómac. - Efectes de protecció:  Protegeix la via aèria del suc gàstric i del material empassat  Protegeix l’esòfag del reflux gàstric. Alteracions de la deglució: disfàgia Nucli de ladegluciódanyat:disfàgia.Hemde donaralimentperviavenosaperòtambé pothaverunaalteracióparcial de la deglució i no completa
  • 5.
    1- Paràlisi delmecanisme de la deglució:  Lesions dels nervis cranials V (trigemin), IX (Glossofaringi) o X (Vague).  Lesió del centre cerebral de la deglució  Paràlisi dels músculs de la deglució o una transmissió neuromuscular deficient. 2- Reflux gàstric:esfíntersuperiornotanca amb tota la potenciai passa suc gàstric desde l’estómaca l’esòfag. A la zona propera a la boca l’àcid activanocioreceptors( receptorsde dolor) que causenmolèsties.Is’ha de tractar amb ranitinina o bé amb omeoprazol. 3- La acalàsiaés una oberturacontinuadaesfíntersuperiori esprodueix distensióesòfagque atravésdel plexe entèricenviasenyal a l’esfíntersuperiorperque sobri i si està danyat el plexe,noes produeix l’oberturai el pas de l’aliment tarda molt a tenir lloc i es va convertint l’esòfag en megaesòfag és a dir una distensió exagerada i gran. La lesió és del plexe nerviós mientèric dels dos terços inferiors. L’ús de medicaments que inhibeixin la contracció del múscul llis: espasmolítics produeixen una petita obertura. Motilitat gàstrica: funcions motores estómac - Emmagatzematge aliments fins a ser processats pel duodè - Mescla aliments amb secrecions gàstriques per formar quimo que és el bol més els sucs gàstrics. - Buidament lent del quimo des de l’estomac a l’intestí prim a un ritme adequat per la digestió. Estructura funcional estómac: Es divideix en fundus, cos i antre però a nivell de motilitat es divideix en estomac proximal i distal. El proximal té:  capes musculars fines amb alta capacitat de distensió.  No hi ha afinitat elèctrica pròpia i la funció és la de reservori de l’aliment.  Contracció tònica dèbil  Elevada distensibilitat i reservori.  A nivell distal:  les capes musculars són fortes  activitatelèctricapotentambcèl·lulesmarcapàsque produeixen la contracció de l’estómac peristàltica  Baixa distensibilitat.  S’utilitza per la mescla del bol amb el suc gàstric. Activitat motora de l’estómac en períodes digestius El marcapàs propicialacontracció que va del cos a l’anus,hi ha un anell que faque elsalimentsvaginal pílori aquest estàtancati esmilloralamescladelsalimentsi elsalimentstornenasortirjaque el pílorestàtancat.Enundeterminat moments’activalabomba pilòricaque esunacontracció moltforta i en arribar al pílor produeix laoberturad’aquest i passa una petita quantitat de quim a l’intestí i es torna a tancar fins la pròxima bomba pilòrica. Lescontraccionscada vegadavenende més amuntpertal que l’alimentbaixial’estómaci esmescli ambsucsgàstrics. Control buidat gàstric: Hem d’intentarabsorbirel màximpossible i que hi hagi unadigestiómoltbonai nopuc buidarràpidamenti si hofaig lentament el duodè pot neutralitzar l’àcid i permeto que petitesquantitats d’enzims digestives puguin sintetitzar el quim. I si buido de cop hi ha més poques enzims que puguin dur a terme la funció. Hi ha patrons gàstrics que promouen el buidament gàstric i factors duodenals promouen la seva inhibició.
  • 6.
     La primerasenyalque veiemésla distensiógàstricaja que aixòimplicaque l’estómac està ple i s’ha de buidar. Aquesta senyal va a reflexos nerviosos i promouen el tancament del pílor. Aquesta distensió desperta sobretot reflexes mientèrics a la pròpia paret que augmenten el buidament gàstric. També a travésdel SN entèricespromou l’activacióde lagastrinade elscèl·lulesGque estrobenal’antre de l’estómac. Lagastrina contribueix aestimularlabombapilòricaperla qual cosa es produeix ambmés facilitat el buidament gàstric. Hi ha productesproteicsque promouenlasecrecióde gastrinajaque a l’estomacte llocladigestióde les proteïnes. A partir de les cèl·lules G.  A nivell duodenal hi ha una distensió duodenal quan arriba el quim al duodè i envia una senyal al plexe entèric que promou el tancament del pílor o la serva obertura i produeix dos reflexos nerviosos - Activa via simpàtica: que promou el tancament del pílor i per tant el buidament gàstric. - Activaviaparasimpàticainhibeixelreflex nerviósquepromouelbuidamentgàstricdegutaladistensiógàstrica i es tanca el pílor. Elsgreixossonelsmésdifícild’ingeriri lahormonacolecistocininaéssecretadaper cèl·lulesdeljejú.Iaquestainhibeix l’acció de la gastrina i per tant no hi ha buidament gàstric i també els greixos poden activar els pèptids. La secretinaés unahormonaparacrinaque se secretapercèl S del duodè,enpresènciad’acidesaquanhi hamoltsels receptors de PH estimulen l’acció de cèl·lules S i la secretina inhibeix el buidament gàstric. Activitat motora de l’estómac en períodes de dejuni i interdigestius. Quan nohi ha alimentnohi ha motiuperquè el sistemadigestiuesmogui peròhi hael complex mioelèctric migratori (CMM) que és un complex que consta de 3 fases: - Diesestència on no hi ha potencial d’acció ni l’estómac ni l’intestí es mouen - Fase irregular: es produeixen petits potencials d’acció provocant petites contraccions - Fase regular:es produeix unpotencial d’accióque provocauna contracció forta de l’aparell i va de l’estómac a l’ili quasi constantment. Serveix per eliminar els restos de la digestió que encara son al tub digestiu i ho porten al cec. També inhibeixen l’entrada de bactèries coloniques vers l’ili. Vòmit Mecanisme q te l’aparell digestiu superior (duodè a boca) per alliberar-se de agents tòxics o irritants. L’acció està reguladaperel centre del vòmitenel cervell.Arribensenyalsindicantque quelcomingeritprovocaundany,aquesta informació activa al nervi vague i produeix una sèrie de símptomes propis del vòmit:
  • 7.
    - Inspiració profunda -Tancament vies aèries. - Baixadadel diafragmai contracció delsmúsculsabdominalsaugmentantlapressióintrabdominal i permeten que el que hi ha al tub digestiu superior pugui i s’obre l’esfínter esofàgic superior. A travésde lavistao olfacte espotproduiraquestefecte,també hi halazonade gatilloquimioreceptoraque estroba prop del nucli del vòmit i el que fa és que s’activa mitjançant a partir de fàrmacs també com la (morfina). El centre del gatillo s’activa també per eferents que arriben del cerebel i hi ha senyals que provenen del vestíbul de l’interiorde l’oïda.Enhaveruncanvi bruscésnotatpel vestíbuli el cerebelactivalazona de gatet.Peraixòquananem a una muntanya russa passa. Al costat de la zona del nucli del vòmit hi ha un bulb que s’activa i provoca nàusees , és el missatge que provoca el vòmit. Motilitat de l’intestí prim L’intestí prim és dividit en jejú, ili i duodè. I forma les tres quartes parts del tub gastrointestinal humà (5m) Hi ha vellositatsque augmenten l’àrea de superfície però a part de les vellositats els enteròcits estan formats de microvellositat i augmenta encara més la superfície d’absorció. En períodes interdigestius hi ha el complex mioelètric migratori. Tipus moviments: activitat motora en períodes digestius. 1- Segmentació: Promou que es mescli el quim i les secrecions uns amb altres i a vegades anar de manera retrograda i augmenta el temps d’estada del quim a l’intestí prim. Es produeix a través de contraccions i relaxacions successives i alternants de la musculatura del tub. El temps de cada contracció és de 5s. 2- Peristàltica: a la part proximal hi ha una contracció i una relaxació a la part distal. 3- Relaxació : a través del pèptid vasorelaxant intestinal i sobretot de l’òxid nítric. 4- Escomesa peristàltica:quan hi ha una irritacióal quimesprodueix unvòmitperòsi l’irritantestàméslluny esdona això.Es provocauna contraccióforta desd’oncomençala irritaciófinsal final de l’ili.El quimviatjaa l’interiori aixòprovocanodanyarla mucosaintestinal. Ésdoncslairritacióde la mucosade l’intestíque provocaun reflex nerviós del SnAutònomi del tronde l’encèfal i enparttambé esdeua unapotenciació intrínsecadelsreflexosdel plexe mientèric. Senyals nervioses i hormonals: control de la motilitat intestinal Les senyals nervioses ocorren a partir de: - la distensióde laparetduodenal i promoulapropulsió intestinal per deixar lloc a la següent bola de quim. - El reflex gastroentèricquanhi haunadistensióde l’estomacésadirestàple i promoulapropulsiódelduodè. Les senyals hormonals: La gastrina promouel buidatgàstric però estimulael movimentintestinal.Leshormonesque promouenessecreten en la fase de processament dels aliments i les que inhibeixen se secreten en dejú.
  • 8.
    Funció i controlde la vàlvula ileocecal Es troba entre la separaciód’intestígros i prim. Té una funcióde defensa,evitaque lescèl·lulesde l’intestípassinal colon tornant-se en cèl·lules oportunistes. La vàlvulaconstantmentestàtancada i s’obre segonsarriba l’alimenta l’ili.El control es duu a terme a travésdel Sn entèric a través de la distensió del cec. Quan està distès la vàlvula està tancada. Els pacients amb apendicitis tenen la vàlvula tancada. Motilitat de l’intestí gros: característiques i estructura funcional Format pel cec, colon(ascendent, transvers, descendent, sigmoide i recte) Intestí proximal i distal a nivell funcional. El proximal absorbeix substàncies que no pot absorbir l’intestí prim. Son aquelles substàncies que regnen en el mon de les bactèries clòniques. Les bactèries fermenten. S’emmagatzemen en el distal les substànciesde rebuig. La femta. A partir del descendent ja hi ha una divisió entre proximal i distal. Activitat motora: hi ha dos grups de moviments - Barreja: hi ha haustres que són com choriços en l’intestí i es formen xq hi ha una musculatura circular molt desenvolupada. La musculatura longitudinal està concentrada en les 3 tènies del colon. La unióde les3 tèniesi lamusculatura longitudinal formaelshaustres,i launiód’aquestamusculaturaforma els moviments de barreja. - Propulsió: les haustres poden dur a terme la propulsió de la femta però el moviment més important és el movimentenmassa. Quan es produeix unadistensióenel colonels mecanoreceptorsenvieninformacióde que hi ha menjar i es produeix una contracció important abans de la femta i desprésde la femta uns 20 cm després, es produeix una relaxació i aquesta avança ràpidament a través del colon. Aquest moviment es dona entre 2 o 3 al dia i comença uns 15 minuts després de l’esmorzar. Control de la motilitat del còlon Hi ha elsmecanoreceptorsqueprovoquenlesdistensionsdel coloni aixòestàrealitzat pelsistemanerviósmesentèric. Provoquen els moviments en massa tot i que també es poden centrar en els de mescla - Una distensió de la paret colònica provoca l’activacióde receptors d’estirament que augmentenla motilitat del còlon. - El SN autònom:quanhi ha unadistensióde laparetgàstricai duodenal provoquen unaugmentde lamotilitat del colon ( reflex duodenocòlic i gastrocòlic). Això es produeix per deixar lloc pel proper menjar. - En aixecar-nos es produeix un reflex ortocòlic que també augmenta la motilitat. - Regulació hormonal: gastrina o CCK augmenten la motilitat del colon i tenen a veure amb el moviment de l’intestí prim i l’estomac i tenenla mateixa funció que els reflexos duodenocolic i gastrocòlic, és a dir deixar espai pel proper menjar. - La fibratambé augmentala motilitat,ésde fet una polisacàridsque nopodemdigerirperòsi que ho pot ser per les bactèries colòniques. DEFECACIÓ: Procés pel qual eliminem la femta del tub digestiu, estan compostes per residus no digeribles, bactèries mortes, cèl·lules epitelialss mortes, metabòlits biliars i concentració d’aigua. L’aigua depèn de les necessitats hídriques.Es produeix la creació de cel noves ràpidament de l’epiteli intestinal per què aquest és malmès constantment Quan les restes(femta) arriben al recte, aquest s’eixampla i els mecanoreceptors ho noten i el sistema entèric augmenta la motilitat del colon sigmoide i recte.
  • 9.
    Es produeix unacontracció del recte a continuació, també pel SN entèric i es produeix la obertura de l’esfínter anal intern.Peròper evitarque el procés sigui involuntari hi hal’esfínteranal externque estàformat per múscul estriat, no lliscom l’interni estàinnervatpel nervi pudent. El pudentpertanyal SN somàtic,ésa dirinconscientmentregula el esfínter anal extern però necessita una senyal conscient per poder-se obrir. El SN entèric inicia el procés però ha de participar el sistema nerviós parasimpàtic. SN PARASIMPÀTIC FUNCIÓ: realitzalamateixaque l’entèricperòamb mésforça, la cèl aferent porta informaciódel recte a la regiósacra de la medul·laespinal.Esdona una respostadelsnervisque vandesdel colon ascendentfinsal recte i es produeix lacontracció del sigmoide i recte i una oberturade l’esfínteranal internque es produeix peruna neurotransmissorambòxidnítric i pèptidintestinalvasodilatadorovasoactiu.Lainformacióperobrir l’esfínterintern prové de la corteza conscient. Secreció digestiva: glàndules mucoses Hi hasecrecionsmucosesal llargde totel tubi secrecionsdigestivesque esdonende labocaa l’intestíprincipalment. Aquestessecrecionssonexocrinesjaque lapartdel tubdigestiuesconsideraunapartexternai nointerna,enl’embrió es produeix una invaginació i es forma un tub que es converteix en el sistema digestiu. Tipus de glàndules  Mucoses unicel·lulars o caliciformes. Secreten moc  Invaginacions de l’epiteli cap a la submucosa ( criptes de Lierberkühn)  A la submucosa hi ha glàndulestubulars profundes que es troben a l’estomac i a la zona del duodè. Són glàndules gàstriques i de Brunner al duodè.  Glàndules salivals, pàncrees i fetge, formen part de les anomenades glàndules complexes. La secreciódel tracte digestiusonmoltimportants,secretemunvolumfinal de 7L i tot ell reabsorbitpermantenirla homeòstasi. Control secreció: principis generals de la secreció. Estimulació mecànica a través del sistema nerviós mientèric . Quanelsalimentsestimulenlaparetesprodueixunaugmentdelasecrecióde moc,peròpothaverestimulaciótàctil i augmenta secreció saliva. - Irritació química: barrera protecció. - Distensió paret intestinal. Estimulació autònoma ( SN parasimpàtic estimula secrecions glandulars) - Ho faa travésdel nervi parasimpàticglossofaringi actuasobre lesglàndulessalivalsi el vague que actuasobre les altres glàndules( esofàguiques,gàstriques, pàncrees i glàndules de Brunner) excepte les glàndules de la part distal de l’intestí gros. - I els nervis sacres que estimulen les glàndules de la part distal de l’intestí gros. El simpàtic  estimula producció de secrecions  en combinació amb el parasimpàticdisminueix lasecreciómitjançantladisminuciódel flux sanguiniper vasoconstricció. Regulació hormonal : endocrina o paracrina.
  • 10.
    Secreció mucosa  secreciódensa composta de: Aiigua,electròlitsi mucines( proteïnaala qual s’uneix unpolisacàridohidratsde carboni de llargacadena),esconeix com a glucoproteïnes.  El moc o la secreció mucosa té les funcions: 1- Adhesiva 2- Protectora: s’uneix a la paret tub digestiu i el protegeix del pas dels aliments i en cas de l’estómac el protegeix de l’acidesa. 3- Lubricant: fa més fàcil el pas dels aliments pel tub.  Caracteristiques - Es també una substància compactant i per això es van unint a la femta. - Els enzims que destrueixen proteïnes podrien destruir fàcilment a proteïnes de la mucosa però això costa ja que estan unides a hidrats de carboni. És doncs resistent a la digestió enzimàtica. - Funció amfòtera ( taponadora), pot regular petits augments o disminucions de PH. Secreció salival Les glàndulessalivalsestanformadesperàcinsi son estructurestubulars. Lesglàndulessalivalssondiferentssegons la secreció dels àcins i poden ser 1- Mucoses : la secreció és moc. 2- Seroses: la secreció són enzims i altres proteïnes. 3- Mixtes: es produeix moc o enzims. Aquestes secrecions van a conductes: - El primertubque recull secrecióprimàriaésel conducte intercalat. Aquestasecrecióésisotònica,lasecreció és de clorur i sodi. - El segon tub que recull la secreció secundària és estriat: format per diversos tubs intercalats. I es donen transformacions de la saliva, canvia la osmolaritat i la concentració iònica. - Conducte terminal: desemboca a la boca i és on acaben els conductes estriats. Hi ha 3 glàndules salivals principals Paròtide: secreció serosa. Submandibular: secreció mucosa. Sublingual: secreció mixta. A la llengua també tenim glàndules secretores de moc però són unicel·lulars. La saliva està formada per composició orgànica; - Ptialina i degrada el midó. A la boca comença la degradació dels hidrats de carboni . - Lipasasalival:funcióbaixai télamateixaforçaque lipasespancreàtiquesi noactuacorrectamentjaquenomés es concentren a la superfície i el greix es distribueix no tant uniformement. - Mucina - Factors de creixement i lisozims que son enzims bactericides. A la nit augmenten les bactèries ja que la secreció de saliva és escassa. Els inorgànics són altres com calci, magnesi, sodi entre d’altres.
  • 11.
    Com es formala saliva? 1- Peruna secrecióprimàriaque ésisotònica respecte el plasma,té elsmateixosnivellsosmòticsque el plasma, se secreta clorur i sodi cap al tub col·lector, a l’espai on es troben els àcins. 2- Al llarg del conducte estriat es produeix una secreció secundaria alcalina ja que es produeix la reabsorció d’ions clorur i sodi i se secreta ions potassi i bicarbonat. 3- Si expulsem bicarbonat i protons els protons son reabsorbits per què surti el potassi. I abans es produeix una reabsorció d’ions clorur permeten la sortida de bicarbonat. 4- Hi ha un canal de sodi que permetl’entradade sodi perosmosi.Peròhad’haverunaconcentracióde sodi a l’interiorde lacèl·lulabaixai s’aconsegueix amblabomba sodi potassi que extreuel sodi fora de la cèl·lula. Mecanismes de secreció salival Cada minut les glàndules salivals produeixen el seu pes en saliva. Poden produir un L de saliva i estan ben vascularitzadesambunaactivitatenorme.Quanhi hamoltaactivitatlasalivapassamésràpidapelsconductesestriats i lessecrecionssecundàriesnoesduenaterme correctament. El sodi amajorvelocitataugmentalaquantitatde sodi i esreabsorbeix menys,el mateix passaambel Knoessecretenaigual avelocitat.Iel clorurtambé i augmentaanivell que van a poc a poc arribant a nivells de plasma. El bicarbonat es manté constant a qualsevol velocitat i s’aconsegueixen gràcies a accions paracrines, mediadors propers a les glàndules salivals. Regulacióde la secreciósalival: Les cèl·lules parasimpàtiques i simpàtiques activen la secreció salival. A nivell dels àcins els serosos es poden activar per receptors muscarínic i els sistema entèric també. Una activaciódel parasimpàticprodueix salivapocespessai amb moltsenzimsi hi ha enzimsmixtes( noradrenalina) s’uneix a receptors noradrenalinics i augmenta secreció de glàndules dels àcins. El sistema nerviós entèric mitjançant producció pèptid vasoactiu també produeix un augment de les secrecions. Les parasimpàtiques i simpàtiques augmenten la secreció salival però la concentració de saliva no és la mateixa. Els neurotransmisors muscarínics son activats per la acetilcolina. L’activaciódelsreceptorsprodueix d’unaugmentde laAMPcíclicque ésunsenyalitzadorintracel·lular,s’activenaltres senyals produint un augment del calci i finalment augmenta la secreció de la saliva. (exam) La secreciósalivaesregulapelsnuclissalivalsinferiori superiori podenseractivatspercentres superiorde consciencia ( apetit,centresgusti olor,pensamentideatori i areesde temor,sonodeshidrataciódisminueixenlasecrecióde saliva per mantenir el balanç hidrolític. )
  • 12.
    Hi ha altresformesd’activarlasecrecióquenopassenperelsnuclissuperiorssinóque espodenactivar,perexemple quan tenimnàusees i s’activenelsnuclissalivalssuperiorsi inferiorscomtambé mecanoreceptorsoquimioreceptors en la boca, faringe o àrea olfactòria. Quan s’activenelsnuclissuperiorsi inferiorses produeix unarespostaanivell parasimpàtic( produeixvasodilatació)i a major flux de sang més secreció per part dels àcins. Les cèl·lules ductals poden variar la osmolaritat de la saliva. A més les respostes simpàtiques actuen sobre cèl·ules mioepitelials. Funcions saliva: 1- Manté boca humidificada 2- Lubrifica aliments i suavitza deglució 3- Manteniment de teixits bucals, es pot provocar una malaltia que és la xerostomia ( Ulceració i infeccions i càries dentals). 4- Regulador de balanç hídrid. 5- Intensifica el gust dels aliments ( saliva és alcalina degut al bicarbonat): 6- Neutralitza irritants i àcids. 7- Digestió de midó per acció de l’alfa amilasa. 8- Conté factors de creixement 9- Via d’absorció de substàncies terapèutiques. Activitat funcional de la mucosa gàstrica - Hi ha una regió dels càrdies que té funció de secretar moc i bicarbonat. - Regió oxíntica o parietal que hi ha glàndules oxíntiques encarregades de secretar àcid, factors intrínsecs, pepsinògens,bicarbonat,moci lipasagàstrica.Aquestesglàndulesrepresentenun80% de lesgl.De l’estómac. - Regió glandular pilòrica que secreta moc ric en bicarbonat. Aquestes regions tenen importància en la secreció d’hormones que regulen els processos gàstrics. Les secrecions reben el nom de suc gàstric i secreten al voltant d’un litre o litre mig amb un pH de 1-3.5. El factor intrínsec és una molècula secretada per l’estómac de molta importància, imprescindible per la reabsorció de vitamina B12. A l’estómac hi ha invaginacions on hi ha la funció glandular de l’estómac. Hi ha zones secretores a les glàndules oxíntiques, la zona més superficial hi ha epiteli que secreta moc viscós i alcalí. - Zona mucosa cervical que produeix un moc normal - Cèl progenitores:l’epitelideltracte digestiuéssensiblei aquestescèl·lulessónimportantsperalaregeneració.
  • 13.
    - Cèl parietals:sónlesqueprodueixenHCLmitjançantel bombeigde protonsi ionsclorur,i l’Hcl li donaacidesa al suc gàstric. A més són importants per què produeixen el factor intrínsec. - Cel principals: produeixen pepsinogen. - A la regió distal hi ha cel endocrines (G ( gastrina) , GRP,D ( SOMATOSTATINA). - ECL: entorocromafins que secreten hormones (histamina i serotonina). Composició i funció del suc gàstric a) Partinorgànica(electròlits):produeixenàcidi protons.Ésimportantl’aportamentdepotassi,unapersonaque té moltsvòmitspotpatiruna hipotassèmia.Lavelocitatde secreciófavariarlaconcentracióde sodi. A major velocitat disminueix la concentració de sodi i augmenten els protons. Les senyalsque arribenal’estómacaugmentenl’acidesa.Unad’aquestessenyalsprovédel nervi vague.Noespretén augmentar la quantitat de líquid sinó suc. Hi ha protons que surten al lumen a través d’una bomba protons potassi ATPassa. Això produiria una alcalinització( augmentde pH) i s’evitagràciesa la sortidade bicarbonata la sangaugmentantl’entradade clorur a dinsla cèl i pot sortir per un canal clorur a l’exterior. Tenim ions clorur i protons en el suc gàstric. b) compostos orgànics: - pepsinògen que és una proteïna inactiva i s’activa amb un pH al voltant de 3 mitjançant la ruptura d’un dels ponts que dona laconformacióde proteïnai esgenerauna pepsinaque sónenzimsproteolíticsmoltpotents.Lapepsinaés la única enzimaproteolíticaque degradael col·lagen.També lapepsinaéscapaç de metabolitzarlasevaactivació.El pepsinogenesconverteix enpepsinaperaccióde l’àcidperòuna pepsinaactivapotunir-se al pepsinogeni trencarel pont activant la pepsina. Un augment de pH activa la pepsina. - factor intrínsec. - mucines:importantlaproduccióde moc rica enbicarbonati ésuna secrecióviscosa.Ies formauna barrera mucosa entre el suc gàstric i les cel de l’epiteli. El suc pot estar a un pH de 1,5 i la mucosa és de 7 i gràcies a la protecciódel moc estàaixí.El moc esdegradatper l’accióde protonsque enunir-se abicarbonatesformaaiguai diòxidi també es degrada per acció de la pepsina ja que el moc està format per glucoproteïnes. - lipasa i amilasa: la lipasa és més funcional que la saliva. La lipasa té major activitatja que movimentsde l’estómac permeten conversió de gota gran de greix en més petita. Regulació secreció gàstrica - Fase cefàlica: quan hi ha un estímul s’activa el SN central i envia informació, a l’estómac arriba a través del nervi vague( parasimpàtic) i es produeix acetilcolina. La informacióarriba al SN entèricdesdel nervi vague i s’activen les cel principals( pepsinogen) i parietals( producció d’àcid i factor intrínsec). Això va a la llum intestinal. es secreta pepsinogen, HCL i histamina. També la informació arriba a les cèl G ( cèl endocrines), es genera un neuropeptidGRP, activen les cèl G que produeixen gastrina i va a la circulació i augmenta la motilitat i el buidat gàstric. - Fase Gàstrica: Quan l’aliment arriba a l’estómac es produeix distensió paret i això arriba a través d’una via aferent fins al nervi vague que dona una resposta que produeix un augment d’àcid i protons, pepsinogeni secreció gàstrica. El pepsinogen es transforma en pepsina per acció del pH àcid i causa que proteïnes creïn oligopèptids, els qualssón detectatsi produeixenunaactivacióde lescel G de la regiópilòricai augmentenlagastrinai actua endocrinament (primer van a la sang) produint un augment de la secreció d’àcid i pepsinogen. Les neuronespel nervi vague i acetilcolinaactivencèl parietalsproduintunaugmentd’àcid però a través de la acetilcolina també es produeix un augment de la histamina a través de enterocromafines. La histamina és un factor local, activa paracrinament la producció d’àcid de cèl peritetals. El SN, endocrí i paracrí conflueixen. (MECANISMES DE SECRECIÓ)
  • 14.
    La producciód’àcids’inhibeix atravésdel’activacióde lescèl Dque estrobenal pílori notencanvisenel PH.Quan hi ha una disminuciód’aquest( moltsprotons),lescèl D creen somatostatinaque ésun efecte paracrí i actua sobre cèl properes, aquesta inhibeix la secreció de gastrina de les cèl G. Així hi ha un control del pH de l’estómac. - Fase intestinal:quanhi hadistensiódelduodèesprodueixunsreflexesnerviosesque disminueixenlasecreció d’àcid , les cèl S detecten acidesa i inhibeixen la producció d’àcid així com el pèptid inhibidor gàstric i la secretina. Les altres dues fases estimulen la secreció gàstrica i aquesta última inhibeix. Secreció intestí prim Les glàndules mucoses secreten moc viscós i alcalí als primers cm del duodè ja que s’ha de taponar l’acidesa de l’estómac. En l’intestí hi ha les criptes de Lieberkühn que son glàndules compostes per diversos tipus cel·lulars depenent de la situació. Primer hi ha cèl caliciformes de més superficial a més profunds. Després enteròcits(secretor) que produeix líquid alcalí. - Cèl endocrines - Progenitores - Paneth: produeixen lisozimes. Hi ha d’havermicroorganismesi leslisozimeseviteninvasionsi enlessecrecionsfinalssónimportantsperquè eviten acidesa del colon a l’intestí prim. La secreció és d’uns 1500 L/ dia i el pH és àcid. Taula de hormones ( les 4 últimes no). Imprimir.
  • 15.
    Secreció intestí gros Téproducció de moc principalment i hi ha dues regions una proximal i una distal. Les diferències de motilitat respecte les dues regions: - El proximal absorbeix aigua i nutrients que el prim no pot absorbir - Distal: emmagatzematge Lesglàndulesenlaproximalsecretenmocque permetenel pasde lafemta,ésunmoclubrificant.S’hande regularels moviments i no té cèl·lules de Paneth ja que hi ha flora intestinal i en aquest cas no calen tants enzims. El laregiódistal laproduccióde mocésméscompactant,formalauniódelafemtaperquèhi hagi unaúnicadeposició. Secreció pancreàtica exocrina El pàncrees secreta els enzims digestius. - Cèl·lules Acinoses:creencomponents enzimàtics,aquestasecrecióvaalsconductesi esprodueix una dilució - Se secreta molt bicarbonat a través de cel ductals i centroacinoses. - La secrecióde mocésbaixaenel pàncrees.( sabertaula). Iéssecretatpercèl·lulesgransconductoresexcretors Zimògens: enzims que s’han d’activar!! Tenen en comú amb aquelles que no s’han d’activar que actuen en les proteïnesi s’hande secretarde manerano activaja que sinóellesmateixespodendevorarel pàncrees.Ésel casde la pancreatitis. MIRAR TAULA IMPRIMIR!!!!! Composició i funcions de la secreció pancreàtica: La tripsina s’activa per enteropeptidasa que se secreta per part de la glucosa intestinal i fins que el tripsinogen no arriba a l’intestí no es produeix l’activació. Un cop activada la tripsina pot activar els zimògens pancreàtics. Regulació de la secreció pancreàtica - ductal: secrecióbicarbonatal ducte. Quan disminueix ph del duodè esprodueix perpart cel S secretinaque inhibeix producciósucgàstric i augmentasecrecióbicarbonatal duodè i regulemel pH de l’intestíd’aquesta manera i s’allibera secretina. - Regulacióacinal:dutaa terme perla colicistoteninai de maneraque quanarribenaminoàcidsal’intestíoAG hi ha cel que notenaquestsnutrientsi produeixenpèptidalliberadorde colicistoteninai actua sobre cèl I. La colcitotenina augmenta la producció d’enzims i el propi pàncrees estimula també la producció, produeix pèptid monitor que actua sobre cel I i produeixen un augment de colicistotenina. Hi ha dos bucles de regulació Detenció secreció pancreàtica A través de la tripsina, quan hi ha aliment a l’intestí aquesta degrada aliment i pèptid alliberador i monitor. Hi ha competència entre degradacióaliment i substàncies i la producció de colicistotenina continua. Quan no hi h aliment la tripsina degrada els pèptids i no es produeix l’activació de cèl I i per tant no es produeix secreció pancreàtica. Secreció biliar El fetge ésunòrganmultilobularde granmidaque estrobaalacavitatabdominal alaregódreta.Lafuncióéseliminar pèptids a través de la secreció de bilis i també elimina fàrmac (xenobiòtics). - Participa en la secreció de lípids generant bilis. - Elimina productes per conversió en formes que puguin ser excretades ( metabòliques o xenobiòtics). - També emmagatzema productes com glucosa, aminoàcids i crea proteïnes plasmàtiques.
  • 16.
    a- Composició bilis: Hiha unexcésd’hepatocits(cel fetge),se secretenacidsi salsbiliarscomaltrescomponents...segonslasecreciópassa pels conductes hi ha una reabsorció de sodi i aigua. La reabsorció està afavorida per la secretina i altera electrolíticament els productes de secreció tant del pàncrees com del fetge. Un cop la secreció arriba als conductes hepàtics si l’esfínter d’Odi està tancat s’internalitzen a la vesícula biliar. Aquí es produeix una concentració de la bilis i s’absorbeix aigua, sodi i reabsorció d’ions clorur. Hi ha una bilis molt més concentrada. El volum és d’uns 600-1200 ml/dia i té un pH de 7,5-8. Secrecióbiliar b) funcionsbilis - secrecióàcidsbiliars que esprodueixenapartirde colesterol al’interiordelshepatòcitsatravésde l’enzimesterol 27 hidroxilasa. Els àcids principals són: el quenodesoxicolic i colic, el colic es pot conjugar amb glicina o taurina per donar acid taurocòlic i glicocòlic. Els àcids conjugats es poden transformar en sals potàssiques o sòdiques i donen lloc a les sals biliars. A la bilishi haàcidsbiliarsi salsengranquantitat,elsàcidspromouenl’absorciódegreixosi producteslipofilicsgràcies a la cara hidrofòbica i hodrofilica i poden formar micel·les cilíndriques que a l’interior hi ha productes lipofílics. També afavoreixen la digestió a través delsenzims pancreàtics ja que elsenzims son solublesi els àcids h troben un punt de suport per produir la digestió de lípids de l’interior de la micel·la. Això s’anomena punt d’ancoratge. Altres funcions son secretar bicarbonat però no tant com el pàncrees per afavorir el pas del quim gàstric al duodè i també se secreten productes de desfeta com la bilirubina b) regulació secreció biliars: tenim que la presència de productes de degradació de proteïnes i AG estimulen cel de l’intestí prim es produeix colicistoteinai augmentalasecrecióprimàriai enzimspancreàtics.Lapresènciade greixosal duodè estimulaproductes que les emulsionen. El quimàcidaugmentalaproduccióde secretinaperpartcel Si promoulasortidadel bicarbonatatravésde conductes pancreàtics i augmenta la secreció del bicarbonat pels conductes hepàtics. El fetge produeix el 10 % delsàcids biliarsnecessarispera la digestió,jaque hi ha un procés de reciclatge delsàcids. El fetge secretenalabufetabiliari passenal duodè i esprodueix absorciópassivadelsàcidsbiliarsales celesprimària duodè. Les sals arriben a l’ili terminal on hi ha transportadors i els àcids i sals arriben a la vena porta on arriben al fetge i s’acumulenalshepatòcitsfinsalapròximadigestió. Arribende maneraactivai passivaalavenaportaon s’acumulen als hepatòcits. Sempre hi ha una quantitat d’àcids i sals al colon que es perden i és la manera que té l’organisme per excretar el colesterol.De fetun bon tractamentper la hipercolesterolèmiaseriael bloqueigde transportadorsque absorbeixen àcids i sals biliars i així hauríem de gastar més colesterol per produir de nou els àcids i sals. Digestió i absorció La digestió comença a la boca ràpidament i a l’intestí prim té el seu auge amb els enzims pancreàtics. El procés d’absorcióésa travésde l’intestíprimi hi ha productesque s’absorbeixenal’estómaccoml’alcohol i altres fàrmacs.
  • 17.
    Transport d’aigua És imprescindiblepel funcionament de l’aparell digestiu,hi ha d’haver un medi aquós al tub. Es produeixendiverses secrecions a l’interior del tub però l’absorció d’aigua té lloc a l’intestí prim per difusió passiva seguint un gradient osmòtic. - El transportd’aiguaés secundari al transportde solut.Ja que hi ha un transport passiud’aiguaperequilibrar el gradient de pressió osmòtic - Hi ha mecanismes paracelulars ( ions a través de la cel com acuaporines) I transcelulars El flux net és - Al duodè hi ha secreciód’aiguajaque el quimestà moltconcentratja que ha de serisosmoticambel plasma i tenir la mateixa pressió osmòtica. - Al jejú i ili es produeix una absorció d’aigua - Colon: hi ha una absorció menor. Transport d’aigua i electròlics El principal ióabsorbtra l’aperell digestiuésel sodi que ésnecessari pera l’absorciód’altresnutrientsi s’internalitza a l’interiorde l’enteròcitatravesd’uncotransportambglucosai aminoàcids.necessitemperaixòquelaconcentració de sodi a dins enteròcit sigui baixa i s’aconsegueix amb una bomba sodi potassa L’ióclorura lesprimeresetapess’absorbeixenrespostalaabsorcióde sodi jaque el sodiéspositiui al absorbir-lodins enteròcitsi hadiferenciade carreguesentre enteròciti tubdigestiu,el clorentradinsl’enteròcitperdifusiófacilitada per ser negatiu. L’absorcióbicarbonatesfa de manerasecundari,perun llochi ha el bicarbonatque hemsecretata travéspàncreesi fetge i per altra banda hi ha protons secretats per una bomba sodi i potassi i allibera protons. La unió dels protons amb bicarbonat forma àcid carbònic i es troba en equilibri estable en forma d’aigua i diòxid de carboni. El bicarbonat que se secreta es reabsorbeix de manera secundària. A l’intestí gros és diferent El clorur no s’absorbeix perlacàrrega produïdaper sodi ja que no s’introdueix tantsodi a l’intestí,hi haun transport on el clor entra a l’enteròcit i s’excreta bicarbonat. En l’intestíprims’absorbeixel bicarbonati al grosse secretajaque h hamciroflorabacterianaquesecretaàcidi tapona l’àcid produït per bactèries del colon. L’iócalci s’absorbeix activamentenel duodèi jejúi laabsorcióve determinadaperlahormonaparatiroide que activa la vitamina D i es permet una absorció major calc. Falta de vitamina D produeix problemes ossis El ferros’absorbeix activamentsobretotaduodè peròvedeterminadaperlesnecessitatsde l’ióferroperpartdel cos, ja que una concentració elevada de ferro és tòxica. Absorció i digestió de carbohidrats Els hidrats de carboni es prenen en forma de polisacàrids (mido o glicogen) o disacàrids i tenim l’acció de la amilasa salival que durapocjaque a l’estomacambel phàcidesdesactiva,enl’intestíprimhi haalfaamilasapancreàticaamb afinitat major que la salival i gracies a aquests dos enzims els polisacàrids es converteixen en disacàrids ( maltosa entre d’altres),a partir d’aquí actuen enzims que degradendisacàridsde la membrana apical de les microvellositats dels enteròcits. Elsenzimssonlamaltasaque degradamaltosaenduesglucoses,hi halalactasaque degradalactosa.Hi halasacarasa que degradasacarosa enfructosa i glucosa. també hi ha les alfa dextrinasa que degrada polímers de 3 a 9 glucoses. La glucosa s’introdueix a l’enteròcit per cotransport de sodi.
  • 18.
    La galactosa téuna proteïna que transporti sodi amb lactosa. La fructosa entre a través de difusió facilitada, l’absorció de fructosa és menor i es perd bastant fructosa. Una vegadade l’enteròcitvana lavenaporta i cap al fetge.Al fetge passenduescosessegonsl’estatde l’organisme: - si hi ha nivells alts de glucosa la insulina promou la formació de glucosa. - Si hi ha menys glucagó promou la sortida de sucres del fetge i es poden acumular en forma de glucogen al fetge. (mirarrr) Hem d’eliminar les unions dels aminoàcids i absorbir els aminoàcids de manera individual. A l’estomacocorre la primeradigestióatravés de lespepsinesal’estomacesdigereixenenun20 % de lesproteïnes de ladietai també col·lagen. Totselsenzimsaconsegueixenqueelsgreixosproteicsesdegradenenpèptids,dipèptids i aminoàcids. L’absorciód’aminoàcidsesfaambcotransportde sodi cadaaminoàcidté unaproteïnaespecífica,d’altrabandaalguns tri o dipèptidsespodenabsorbirdinsenteròcitonhi ha peptidases intracel·lulars que els degraden en aminoàcids. Els aminoàcids van a la vena porta fins al fetge on poden anar a la circulació o emmagatzemar-se o convertir-se en aminoàcids diversos a l’interior dels enteròcits. Digestió i aborció de lípids Elsprincipalslípidssontriglicèridsformatsperunacadenade glicerol i tresAG,també hi hafosfolípidsformatsperun àcid gras i un glicerofosfolipid i un esters de colesterol. Quanarribenal’intestíesprodueixlaverdaderadigestió,elstriglicèridsdonenllocaunmonoglicèridi dosàcidslliures i la colesterol esterasa degrada excés de colesterol. La fosfolipasa A 2 degraden els fosfolípids donant lloc a fosfolípids i àcid gras. Aquestesreaccionstenentendènciaa regenerar-se.Sonreversiblespertantelsproductesdelsenzimss’hand’aïllari s’encarreguen d’això els àcids biliars. Impedeixenque storninaformar elstriglicèrids,fosfolípidsi estersde colesterol i portenalasuperfície de l’enteròcit els productes de degradació. Un cop a la paret els components entren per difusió simple a l’enteròcit ja que la membrana plasmàtica és lipídica i les sals tornen a l’intestí donant a terme la seva funció un cop han transportat aquests productes. S’uneixen dins l’aparell de golgi als quilomicrons que son lipoproteïnes que s’uneixen per deixar a l’interior els fosfolípids, esters i triglicèrids. De l’enteròcit passen a la limfa i d’aquí a la sang. Hi ha àcidsgrassosde curta cadenaque sonhidrosolublesi nos’uneixenalsquilomicronssinóque passendirectament a la vena porta i van al fetge. Absorció de vitamines La mésimportantés la B12 i es la mescomplexaesrequereix perlaformaciódel sistemanerviós,el metabolismede proteïnes i AG, també participa en la síntesi de ADN.... Aquestalaingerimunidaaunaproteïna,lesglàndulessalivalsfabriquenproteïnaRque arribenal’estómaci peracció àcidala proteïnaesdeslligade lavitaminaB12 i la b12 S’uneix alaR i lafuncióesprotegiralavitaminab12 delsàcids. Una vegadasurt el quimde l’estomaci arriba al’intestílatripsinatrencalaunióentraproteïnaRi B12 i laB12 s’uneix al factor extrínsec i quan arriba al jejú o ili hi ha transportadors específics del factor extrínsec i s’absorbeix . La vitamina B9 o àcid fòlic té diverses formes ) - Simple s’absorbeix per difusió facilitada o cotransport sodi
  • 19.
    - Complexa:necessitaunenzimque hiha als enteròcitsdel jejúi l’enzimsimplificalavitaminaB9 aconseguint que es pugui absorbir. Vitaminab6 s’absorbeix percotransportde sodi però requereix unafosforilacióal tub, concretamental jejúi pot ser absorbida per cotransport de sodi. La resta de vitamines hidrosolubles s’absorbeixen per contraport de sodi o difusió facilitada, les liposolubles s’absorbeixen de manera semblant als greixos: es formen micel·les amb vitamina K a l’interior i un cop arriben a l’enteròcit son absorbides per difusió simple, Microflora: Es crea poc desprésd’havernascut,noésnecessàriapel desenvolupamentde l’individu.Metabolitzasubstànciesque nosaltres no podem metabolitzar. Aprendre els substrats que es poden metabolitzar. Les bactèriesde la flora són importantsperla defensa,creensubstànciesmicrobicidesque podeneliminarbactèries patògenesde l’organisme i actuencomuna barrera física.S’ha de produiruna colonitzacióal tubuna bactèriaja que sinó no pot produir una malaltia. Hi ha barreres físiques que ho eviten i també es produeix l’expressió de patrons gènics contra microorganismes patògens. És importantperlaformaciódelsgasos:laporcióinicial absorbeix aire.Enlessecrecionsfinalselmetabolisme bacterià forma gasos. Una persona pot formal al dia un litre de gasos.