6/1/12                                         Design of Modern Aircraft Structure and the Role of NDI

     NDT.net - June 1999, Vol. 4 No. 6

                                        Design of Modern Aircraft Structure and the Role of
                                                              NDI
         Table of Contents ECNDT                                    H.-J. Schmidt, B. Schmidt-Brandecker, G. Tober
         '98                                                                Daimler-Benz Aerospace Airbus
         Session: Aerospace


                                                                                                                TABLE OF CONTENTS
     Introduction                                                                                        Introduction
                                                                                                         Airworthiness requirements and compliance
                                                                                                         Design principles and justification methods
               The current generation of civil transport aircraft were designed
                                                                                                                Design principle 'safe life'
               for at least 20 to 25 years and up to 90 000 flights. These design                               Design principle 'damage tolerant'
               service goals are exceeded by many operators of jets and                                         Example for inspection
               turboprops. Future aircraft types are designed for at least the                           Design of modern aircraft structure
                                                                                                                Design criteria
               same goals, but structure with higher fatigue life (endurance),                                  Material selection
               higher damage tolerance capability and higher corrosion                                          Special NDI application
               resistance are required to minimize the maintenance costs and to                          Aging aircraft issues and activities
               comply with the requirements of the operator and the enhanced                                    Aging aircraft initiatives
                                                                                                                The aging aircraft issue 'Widespread
               airworthiness regulations.                                                                       Fatigue Damage'
               Non destructive inspections (NDI) are still significant means to                                 Repair assessment for aging aircraft
               fulfill all the requirements. Further significant applications of ND1                     Conclusion
               are in the frame of another major aviation issue, the aging aircraft                      References
               issue. Especially the activities regarding widespread fatigue
               damage (WFD) and the assessment of existing repairs require the application of newly developed and available
               ND1 methods.

     Airworthiness requirements and compliance

               Due to several structural damages which occurred during service and under consideration of the requirements of the
               US american airforce the airworthiness regulations for civil transport aircraft have been developed significantly in
               the past 45 years. Especially the introduction of the fatigue and damage tolerance requirements mark the major
               steps. Table 1 shows an overview of the regulations developed in the USA.

                                               Table 1: Development of airworthiness regulations in the USA
               1953 - CAR4b:                             no special regulations regarding fatigue
               1956 - CAR4b Amendment 3:                 regulations regarding 'safe life' and 'fail-safe'.
               1962 - CAR4b Amendment 12:                regulations regarding fatigue for landing gears
               1966 - FAR25 Amendment 10:                sonic fatigue
               1978 - FAR25 Amendment 45:                introduction of 'damage tolerance' regulations
               1981 - FAR25 Amendment 54:                further airworthiness regulations for aircraft certified prior to amendment 45

               To guarantee an equivalent standard of regulations in the USA and Europe harmonization meetings were held
               between the airworthiness authorities and the manufacturers under the umbrella of the Aviation Rulemaking
               Advisory Committee (ARAC). Furthermore the new aspects regarding widespread fatigue damage (WFD) were
               considered. The harmonized forthcoming regulation and advisory circular require: 'An evaluation of the strength,
               detailed design, and fabrication must show that a catastrophic failure due to fatigue, corrosion, or accidental
               damage, will be avoided throughout the operational life of the airplane.' and 'The ultimate purpose of the damage

www.ndt.net/article/ecndt98/aero/001/001.htm                                                                                                           1/13
6/1/12                                         Design of Modern Aircraft Structure and the Role of NDI

             tolerance evaluation is the development of a recommended structural inspection program considering probable
             damage locations, crack initiation mechanisms, crack growth time histories and crack detectability.'

             The major requirements of the damage tolerance evaluation are:

                     Widespread fatigue damage assessment
                     Identification of possible damage locations and extent of damage
                     Damage tolerance analyses and test
                     Determination of inspection threshold and intervals

             The major differences compared with the current regulations are the requirements that:

                     Sufficient fullscale testing must be accomplished to ensure that widespread fatigue damage will not occur
                     within the design service goal of the airplane.
                     The inspection threshold for certain types of structure has to be established based on crack growth analysis
                     and/or tests.

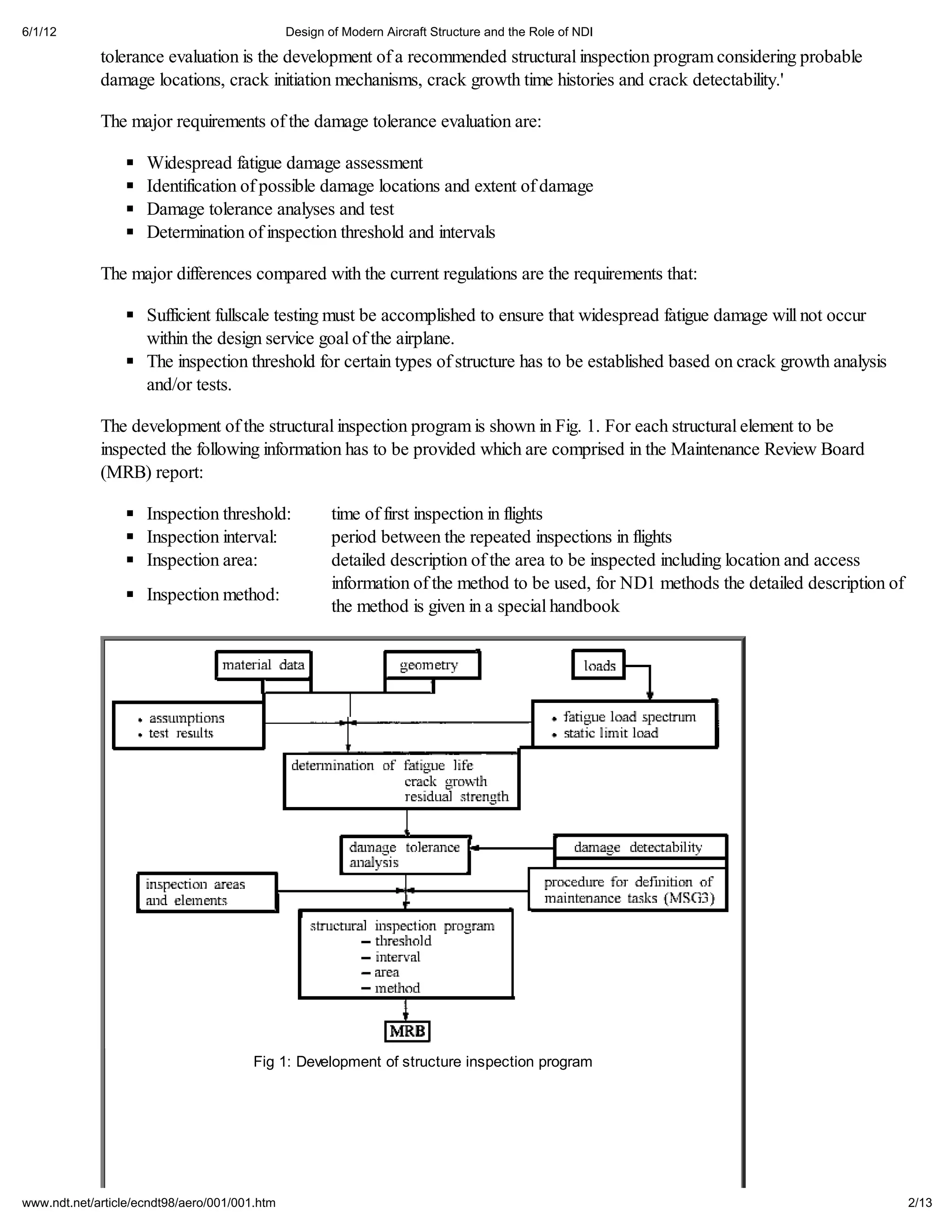
             The development of the structural inspection program is shown in Fig. 1. For each structural element to be
             inspected the following information has to be provided which are comprised in the Maintenance Review Board
             (MRB) report:

                     Inspection threshold:             time of first inspection in flights
                     Inspection interval:              period between the repeated inspections in flights
                     Inspection area:                  detailed description of the area to be inspected including location and access
                                                       information of the method to be used, for ND1 methods the detailed description of
                     Inspection method:
                                                       the method is given in a special handbook




                                        Fig 1: Development of structure inspection program




www.ndt.net/article/ecndt98/aero/001/001.htm                                                                                               2/13
6/1/12                                         Design of Modern Aircraft Structure and the Role of NDI




             In general the inspection threshold is determined by the fatigue life to crack initiation under consideration of a
             relevant scatter factor. For specific structure the threshold is to be based on crack growth analysis.

             The inspection interval is determined from the crack growth period between the detectable crack length for the
             structural detail and the critical crack length under limit load divided by a scatter factor, see Fig. 2.




                                         Fig 2: Principle of damage tolerance investigation

             The damage tolerance requirements lead to three major tasks for the aircraft manufacturer:

                     Structural design according to fatigue and damage tolerance requirements
                     Evaluation of the structure by analysis supported tests
                     Definition of a structural inspection program

     Design principles and justification methods

             Due to the complexity of the structural elements, their function and location,
             several design principles are used to design a damage tolerant structure. In
             addition to this the safe life principle is still applied for specific cases.

             Design principle 'safe life'
             The safe life design principle was applied in aircraft design prior to 1960.
             According to JAR/FAR 25.57 1 a safe life design is now allowed for the landing
             gear and its attachments only.
             An example is given in Fig. 3. A structure designed as safe life contains a single
             load path only and the inspectable crack length may be in the range of the critical
www.ndt.net/article/ecndt98/aero/001/001.htm                                                                                      3/13
6/1/12                                         Design of Modern Aircraft Structure and the Role of NDI

             crack length. Consequently inspection intervals to monitor the structure cannot be
             defined. A failure of one of the structural elements leads to the complete failure of
             the safe life structure and possibly to significant consequences for the aircraft.        Nose Landing Gear A320
                                                                                                       Fig 3: Design Principle 'safe life'
             A fatigue resistant design of safe life structure is based on fatigue life calculations
             for all structural elements during the design phase and is justified by full scale fatigue test with the complete safe
             structure. The fatigue life calculations are performed using the linear damage accumulation according to Palmgren-
             Miner considering relevant load spectra and material (S-N) data. The calculated fatigue life as well as the achieved
             test life are divided by relevant scatter factors.

             Design principle 'damage tolerant'
             The damage tolerance design principle comprises two categories which are 'single load path' and 'multiple load
             path' structure.

             Fig. 4 shows a single load path design where the justification is based on the following analyses. Fatigue life
             calculations are performed to justify the reliability during service and to determine the inspection threshold. For
             future projects the inspection threshold has to be based on crack growth analysis according to the forthcoming
             regulations. The inspection interval is determined from the crack growth period between the detectable and the
             critical crack length divided by a scatter factor. The calculation of the crack growth is based on the Forman
             equation or equivalent.

             Example:




                                     Fig 4: Design principle 'damage tolerant - single load path'




             The 'multiple load path' category is sub-divided into three groups:

                     multiple load path - externally inspectable only
                     multiple load path - not inspectable for less than one complete load path failure
                     multiple load path - inspectable for less than one complete load path failure


www.ndt.net/article/ecndt98/aero/001/001.htm                                                                                                 4/13
6/1/12                                         Design of Modern Aircraft Structure and the Role of NDI

             Only the latter group is described here, see Fig. 5. For structures 'damage tolerant - multiple load path -
             inspectable for less than one complete load path failure' again fatigue life calculations are performed to show
             sufficient reliability during service and to determine the inspection threshold, which is derived from the structural
             element with the lowest fatigue life. The inspection interval is based on the crack growth behavior of both load
             paths were in the primary load path an initial flaw of 1.27 mm is assumed and in the secondary load path an initial
             flaw of 0.127 mm. The interval is determined by the crack growth period between the detectable crack length in
             the primary load path and the critical crack length in the secondary load path divided by an appropriate factor. For
             the crack growth calculations the same method as for single load path structure is applied.

             Example:




                                                 Fig 5: Design principle 'damage tolerant - multiple load path -
                                                    inspectable for less than one complete load path failure'

             The current, and forthcoming, regulations allow both damage tolerance categories, i.e. single load path and multiple
             load path. The multiple load path design, however, is highly recommended in the interpretation of the regulations
             (advisory circular AC/ACJ 25.571). The recommended multiple load path design leads to additional safety, but
             causes, in exceptional cases, significant costs during design and production.

             Examples for inspections
             The structural inspection program comprises three categories or inspection levels which are:

                     General visual inspection (GVI):
                     a visual examination to detect obvious unsatisfactory conditions and discrepancies. The inspections are
                     performed in frame of the so called zonal inspection program where the complete aircraft, divided in zones,
                     is inspected in regular time intervals.
                     Detailed visual inspection (DET):
                     an intensive visual examination of a specified detail or assembly searching for evidence of irregularity.
                     Special detailed inspection (SDET):
                     an intensive examination of a specific location similar to the detailed inspection but requiring special
                     techniques, mostly NDI.

             Fig. 6 shows the distribution of the inspection levels for the structural significant items
             (SSI's) of the major aircraft components using the standard body Airbus A320400 as an
             example. Several SSI's comprise more than one inspection task. Except for the safe life
             landing gears the 5.percentages of the ND1 tasks are 6 percent for the stabilizer (mainly
             composite), 11 percent for fuselage and doors, 18 percent for wing and 19 percent for Fig 6: Application of ND1
                                                                                                            in structural inspection
             the pylons. The percentage of ND1 tasks may be higher for widebody aircraft which              program of A320-100
             have in general higher stress levels in most of the structural details leading to faster crack
             propagation and lower critical crack length. Therefore sometimes an ND1 method is

www.ndt.net/article/ecndt98/aero/001/001.htm                                                                                           5/13
6/1/12                                         Design of Modern Aircraft Structure and the Role of NDI

             chosen to reach a sufficient inspection interval.

             The external inspections of the upper and side shells of the A320-100 are given in Fig. 7.
             Besides a general visual inspection of the complete shells, special tasks of general visual
             inspections, also covered by the zonal program, are described for the upper panel of the Fig 7: External
             longitudinal lap joints. Detailed inspections are to be performed of the skin at the             inspections of upper and
             circumferential joints in the upper area, the surrounding of cut-outs in the upper shell, the skin and theof A320-100
                                                                                                              side shells window
                                                                                                              center fuselage section
             frames and the cut-out comers of the emergency exits. ND1 methods are used for the strap at the circumferential
             joints (upper area) and, offered as an alternative to a detailed inspection of externally visible cracks, for the lower
             panel of the longitudinal lap joint in the upper shell. In principle these external inspections are typical examples for
             the fuselage upper and side shells at standard body and wide-body Airbus aircraft. The only exception are the cut-
             out comers of the doors where on widebody aircraft mostly ND1 are applied due to the higher stress level.

     Design of modern aircraft structure

             Design criteria
             During the design of aircraft structures several aspects have to be considered to reach
             sufficient static strength as well as sufficient fatigue and damage tolerance behavior, see
             Fig. 8. The result of iterative calculations is an optimized design regarding weight, costs
             and aircraft performance.

             Several aspects of the design of modern aircraft structure are described here using the Fig 8: Design of aircraft
                                                                                                     structures
             fuselage of the planned Airbus megaliner A3XX as an example, see Fig. 9. This aircraft
             is to be designed for the following goals:
                    Design service goal                                        24 000 flights
                    Inspections goals
                    - general visual (C-check, zonal program)                  24 months
                    - threshold for detailed inspections / ND1                 12 000 flights
                    - interval for detailed inspections / ND1                  6 000 flights         Fig 9: Planned Airbus
                                                                                                           megaliner A3XX
             The design criteria to be met are static strength, residual strength, durability, crack
             growth, sonic fatigue strength and the so-called two-bay-crack criterion. This requires
             the consideration of corresponding loads as static loads, residual strength loads, discrete
             source damage loads, operational loads and sonic fatigue loads. Furthermore the
             corrosion resistance, the repairability and the inspectability have to be taken into account. Fig 10: Two-bay-crack
                                                                                                           criterion
             One of the major criteria which an aircraft has to fulfill to reach the safety standard of the competitors is the two-
             bay-crack criterion, see Fig. 10. It has to be shown, that a longitudinal crack in the skin of the pressurized fuselage
             with a length of two frame bays above a broken center frame does not lead to a complete failure of the structure.
             The load case to be considered is 1.15 of the onerational cabin differential nressure at cruise altitude without
             consideration of external loads.

             The structure of a pressurized fuselage which fulfills this criterion has to guarantee that neither the crack in the skin
             becomes unstable nor that the stiffeners perpendicular to the crack (i.e. the frames) fail statically. The two-bay-
             crack criterion is the designing criterion for large areas in the upper and side shells of the pressurized fuselage of
             medium and long range aircraft. These aircraft types have lower design service goals in flights compared with short
             range aircraft with the result that the fatigue and damage tolerance criteria have less influence on the design. To limit
             the implications on the weight due to the compliance with the two-bay-crack requirement following precautions are
             possible:


www.ndt.net/article/ecndt98/aero/001/001.htm                                                                                             6/13
6/1/12                                         Design of Modern Aircraft Structure and the Role of NDI

                      selection of skin material with high residual strength
                      selection of frame material with high static strength
                      limitation of the allowable frame pitch
                      adaptation of the stress level to the two-bay-crack criterion.

             Material selection
             During the initial design phase of the Airbus A3XX the application of new materials and production methods is
             considered to reduce the production costs and the weight and to comply with the forthcoming regulations. To
             substitute the fuselage material of the current Airbus types, i.e. the 8.aluminium alloy 2024, three different materials
             are under consideration; these are 2524,60 13 and GLARE, see table 2.

                                                               Table 2: Materials for fuselage skin
                           material data                 2024T3 clad 2524T3 clad 6013T4/T unclad                         GLARE4 (LT/TL) unclad
              Rm                                  (in %)    100         100           ~75                                     190 / 120
              Rp0.2                               (in %)         100                100                 -94                     ll0 / 80
                blunt notch                       (in %)         100                100              not tested                l43 / 100
              young's modulus(tension)            (in %)         100                100                 ~95                     79 / 70
              KC                                  (in %)         100               -120                ~115                   ~120 / -110
                                                  (in %)         100                100                  97                        87
              corrosion resistance                               basis             equal             equal / less                higher

             The materials 2524 and GLARE4 show significantly higher fracture toughness compared with 2024 which results in
             significant weight reductions in those areas which are designed by the two-bay-crack criterion. The disadvantage of
             both materials is the higher price. For the GLARE4 material this may be (partly) compensated by a simplified
             design and production, GLARE4 has additionally advantages with respect to the static strength, the yield strength
             and the corrosion resistance. Furthermore GLARE4 shows a very good bum through behavior which should be
             taken into account besides the structural aspects. The material 6013 leads to similar structural weights as 2524
             considering the slightly lower yield strength which is approximately compensated by the lower density. 60 13 can
             be welded which allows to substitute the bonding or riveting of the stringers to the skin by welding. This new
             production method is very promising with respect to the reduction of the production costs.

             The different material data allow an increase of the allowable circumferential stresses in the fuselage of the A3XX
             for all of the three new materials. An increase of the allowable longitudinal stress in the fuselage is possible when
             using 2524T3. Table 3 contains the allowable skin stresses for a the frame pitch of 656 mm. The allowable stresses
             in circumferential direction result from the two-bay-crack criterion, the criterion for the longitudinal stresses is either
             the crack growth,i.e. the inspection interval, or the two-bay-crack criterion depending on the ratio of static and
             fatigue loads.

                                                        Table 3: Allowable stresses for fuselage skin
                                                   allowable stress in allowable stress in        allowable stress in longitudinal
                          skin material        circumferential direction longitudinal direction direction (crack growth / residual
                                                             (residual strength)                             strength)
                         2024T3 clad                               100 %                                 100 % / 100 %
                         2524T3 clad                               120 %                                 113 % / 110 %
                          6013T4/T6
                        unclad (integral                              115 %                                         104 % / 70 %
                           stringers)
                        CLARE4 clad                                   120 %                                         120 % / 100 %

www.ndt.net/article/ecndt98/aero/001/001.htm                                                                                                     7/13
6/1/12                                         Design of Modern Aircraft Structure and the Role of NDI

             The improvements given in table 3 lead to weight reductions in those areas where the
             damage tolerance aspects are the dimensioning criteria. Further design cases to be
             considered are e.g. the static tension and compression strength and the engine rotor
             failure.
             Fig. 11 shows the design criteria in the different fuselage areas for an A3XX depending           Fig 11: Design criteria for
             on the skin material.                                                                             A3XX fuselage sections

             Finite element analyses were carried out for two fuselage sections of a length of 5.3 m and 2.7 m (forward and aft
             of the center section) considering the different design cases and the allowable stresses. The resulting structural
             weights for the skin and the stringers were determined, see table 4. If the weight of the frame is taken into account
             in addition the total weight reductions are less, e.g. for GLARE4 the weight reduction of the fuselage shell (skin plus
             stringers plus frames) is 12 percent instead of 16 percent for the skin and stringers only.

                                                           Table 4: Weights of two fuselage sections
                                                          cabin differential weight of two fuselage sections skin and stringer only (frame
                          skin material
                                                              pressure                             pitch 656 mm)
                         2024T3 clad                          605 hPa                                   100%
                         2524T3 clad                          605 hPa                                    94%
                       6013T4/T6 unclad                       605 hPa                                   103%
                         GLARE4 clad                          605 hPa                                    84%

             Special ND1 application
             The development of a new production technique such as the laser beam welding (LBW) requires a comprehensive
             use of sophisticated inspection methods, especially the ND1 techniques. During the development of the LBW
             technique for connection of the stringers to the fuselage skin the following standard ND1 methods are used:

                     High frequency ultra sonic test method
                     Penetration test method
                     Eddy current test method

             The overall target is to provide an online ND1 method for valuation of the welding beam quality, i.e. methods
             should be available in the field of production for:

                     Position of welding gap (pre welding)
                     Control of process parameters during welding process
                     Control of welding area (post welding)

     Aging aircraft issues and activities

             The well known Aloha accident near Hawaii in April 1988 which led to the loss of an upper forward fuselage
             segment, resulted in worldwide activities to increase the safety of the aging aircraft fleet. Further events showed that
             the damage mechanism which led to the Aloha accident was not a single case and that the issue of widespread
             fatigue damage (WFD) was not sufficiently covered by the current regulations.

             Aging aircraft initiatives
             The Aloha accident prompted considerable aviation community activity related to aging air frames. Manufacturers,
             operators and authorities got together to initiate changes to the system for safety improvement. A number of
             industry committees were formed and the first was the Air worthiness Assurance Task Force (AATF) later
             renamed as the Airworthiness Assurance Working Group (AAWG) which works under the umbrella of the
             Aviation Regulatory Advisory Committee (ARAC). Two other committees were formed which were the Industry
www.ndt.net/article/ecndt98/aero/001/001.htm                                                                                                 8/13
6/1/12                                         Design of Modern Aircraft Structure and the Role of NDI

             Committee on WFD to study this phenomenon, and the Structural Audit Evaluation Task Group (SAETG) which
             was charged to develop guidelines to establish the beginning of WFD.

             The FAA organized a number of conferences on aging aircraft and structural integrity which were supported by
             NASA. They created centers of excellence by providing funding; two examples are the Georgia Institute of
             Technology tasked with the issue of computational mechanics and the Iowa State University tasked with non
             destructive evaluation. Furthermore, rule changes were initiated to require full scale fatigue testing and inspection
             threshold determination for new aircraft as described in chapter 2.

             Early in all these activities an interim solution was defined for eleven aircraft types which were defined prior to the
             introduction of FAR 25.57 1 Amendment 45. These models are: Boeing B707, B727, B737, B747, Douglas
             DCS, DC9, DClO, Lockheed LlOll, BAe BAC 111, Fokker F28 and Airbus A300.
             For these aircraft types the following activities were defined:

                     Periodical review of the inservice experience regarding structural damage (review of service bulletins)
                     Introduction of a Corrosion Prevention and Control Program (CPCP)
                     Assessment of the fatigue life of structural repairs
                     Establishment of an Supplement Structural Inspection Program (SSIP) to reach the safety standard
                     according to FAR 25.57 1 Amendment 45
                     Assessment of the structure regarding WFD.

             The aging aircraft issue 'Widespread Fatigue Damage'
             The main issue of the aging aircraft fleet is the occurrence of multiple damages at adjacent locations which influence
             each other. Two types of multiple damages are known. The sketch on the upper righthand side of Fig. 12 shows an
             example of multiple site damage (MSD), which is characterized by the simultaneous presence of fatigue cracks in
             the same structural element. The second type is the multiple element damage (MED), which is characterized by the
             simultaneous presence of fatigue cracks in similar adjacent structural elements. Both, MSD and MED, are a source
             of WFD which is reached when the MSD or MED cracks are of sufficient size and density that the structure will
             not longer meet its damage tolerance requirement.

             The effect of MSD is shown in Fig. 12. The lefthand diagram describes the effect of
             MSD on a single lead crack used to establish the inspection program. In the presence of
             MSD adjacent to the lead crack the critical crack or the residual strength, respectively,
             are reduced drastically. The righthand diagram shows the reduction of the crack growth
             period due to the reduction of the critical crack length.
                                                                                                           Fig 12: Effect of multiple
             Boeing has made investigations about the effect of MSD on the residual strength of a          site damage
             lead crack which are published in /l/, see Fig. 13. The residual strength load of a 14 inch
             (356 mm) long lead crack is reduced in the presence of adjacent MSD cracks of 0.05
             inch (1.27 mm) by 30 percent. This demonstrates the dramatic effect even of small MSD
             cracks which are uninspectable by state of the art techniques.                              Fig 13: Effect of MSD on
                                                                                                           residual strength of a lead
             The Industry Committee on WFD has evaluated the experience of the participating             crack
             manufacturers based on the results of large component and full scale fatigue tests as well
             as in service experience in order to identify the locations potentially susceptible to WED.
             From this compilation of data each area was assessed for its susceptible to WFD and
             was then characterized as either multiple element and/or multiple site damage. Fourteen areas were identified as
             potentially susceptible to WFD:

             Fuselage:

www.ndt.net/article/ecndt98/aero/001/001.htm                                                                                             9/13
6/1/12                                         Design of Modern Aircraft Structure and the Role of NDI

                     Longitudinal skin joints, frames and tear straps (MSD, MED)
                     Circumferential joints and stringers (MSD, MED)
                     Fuselage frames (MED)
                     Aft pressure dome outer ring and dome web splices (MSD, MED)
                     Other pressure bulkhead attachment to skin-web attachment to stiffener and pressure decks (MSD, MED)
                     Stringer to frame attachment (MED)
                     Window surround structure (MSD, MED)
                     Over wing fuselage attachments (MED)
                     Latches and hinges of nonplug doors (MSD, MED)
                     Skin at runout of large doubler (MSD)

             Wing and empennage:

                     Skin at runout of large doubler (MSD)
                     Chordwise splices (MSD, MED)
                     Rib to skin attachments (MSD, MED)
                     Stringer runout at tank end ribs (MED9 MSD)

                                               Fig 14: Example of area potentially
                                               susceptible to WFD, circumferential
                                               joints and stringers


             For each of these fourteen areas a typical design was given and the type and possible location of MSD/MED was
             defined. An example is given in Fig. 14 showing circumferential joints and stringers. In detail the following damage
             types were defined:

                     MSD - circumferential joint

                     without outer doubler:
                     - splice plate - between and/or at the inner two rivet rows
                     - skin - forward and aft rivet row of splice plate
                     - skin - at first fastener of stringer coupling

                     with outer doubler:
                     - skin - outer rivet rows
                     - splice plate/outer doubler - inner rivet rows

                     MED - stringer/stringer coupling
                     - stringer - at first fastener of stringer coupling
                     -stringer coupling - in splice plate area

             In August 1997 the FAA has tasked the ARAC to continue the activities on the WFD assessment and to extend
             them to all transport category jets and turboprops with maximum gross weights greater than 75000 lbs. The ARAC
             then chartered a new group in frame of the AAWG called Task Planning Group (TPG) with the following activities:

             (1)

                     Review capability of analytical methods and their validation relative to the detection of WFD.
                     Review evidence of WFD occurring in the fleet.
                     Recommend means of collection of inservice data where data missing.
                     Determine extent of WFD in fleet.
www.ndt.net/article/ecndt98/aero/001/001.htm                                                                                        10/13
6/1/12                                         Design of Modern Aircraft Structure and the Role of NDI

                     Extent AAWG 1993 report for all large transport aircraft > 75000 lb GW.

             (2)

                     Establish time standards for the initiation and completion of model specific programs for prediction,
                     verification and rectification of WFD.
                     Recommend actions for the authorities, if a program for certain model airplanes is not performed prior to the
                     time standard.

             The AAWG-TPG started their work in autumn 1997 in order to complete it within 18 months. The TPG has
             defined eight tasks to fulfill their charter:

             Task 1 - Background:                                                Review actions done
             Task 2 - Technology issues:                                         Technology readiness and validation
             Task 3 - Model specific issues:                                     Establishment of time frame
                                                                                 FAA recourses if OEM fails to voluntary complete WFD
             Task 4 - Regulatory issues:
                                                                                 audit
             Task 5 - Management of MSD/MED in fleet:                            Inspection programs, replacement
             Task 6 - Aircraft to be considered in
                                                                                 Define aircraft
             recommendation:
             Task 7 - March ARAC report issues and items:                        Issues to be presented to ARAC and AAWG response
             Task 8 - Final report:                                              Results of tasks 1 to 5

             One major item of task 2 deals with the readiness of the ND1 technology. In frame of this subtask four actions
             were defined to push the development of the methods needed:

                     Review of recent developments
                     Establishment of baseline flaw detection
                     Determination of flaw size that needs to be detected
                     Determination of additional research and development needs

             Repair assessment for aging aircraft
             Continuous airworthiness assessment of existiong repairs was identified as one of the five significant concerns by the
             AAWG which formed a Repair Assessment Task Group (RATG) with participation of operators, manufacturers
             and authorities. The final draft report of this task group which was issued in December 1996 has recommended a
             one time structural repair assessment task for the external fuselage pressure boundary (skin and bulkhead webs) to
             assure the continued airworthiness. This recommendation is again applicable to the eleven aircraft models certified
             prior to introduction of FAR 25.571 amendment 45. Consequently guidelines were developed to assess the
             damage tolerance of existing structural repairs which may have been designed without using damage tolerance
             criteria.

             Based on the general three stage program, which was                                                Fig 15: Airbus repair
             developed in a common effort by the major manufacturers and                                        assessment process
             operators for categorization of the repairs, the Airbus repair
             assessment process was defined, see Fig. 15. Stage 1 (Data
             Collection) specifies what should be assessed for repairs. If a
             repair is on structure in an area of concern the analysis
             continues, otherwise the repair does not require classification
             as per this program. Stage 2 (Repair Categorization)
             categorizes the repairs regarding maintenance actions to be
             applied. The repair categorization contains several steps which
www.ndt.net/article/ecndt98/aero/001/001.htm                                                                                            11/13
6/1/12                                         Design of Modern Aircraft Structure and the Role of NDI

             consider the general conditions of the repair, the quality of the
             static design, the proximity to other repairs. Stage 3
             (Determination of supplementary maintenance requirements)
             contains the definition of the necessary maintenance program
             for the repair.

             For the Airbus A300 aircraft Repair Assessment
             Guidelines(RAG) were developed which allow the operators
             to determine the inspection threshold and interval for the
             category B repairs. Fig. 16 shows a principle sketch of an external skin repair. In principle four fatigue sensitive
                                                                                          Fig 16: External skin repair
             locations exist which have to be assessed:

                     skin, longitudinal rivet row at doubler run-out
                     skin, circumferential rivet row at doubler run-out
                     doubler, longitudinal rivet row adjacent to cut-out
                     doubler, circumferential rivet row adjacent to cut-out

             The determination of the inspection threshold and interval requires the exact knowledge
             about the geometry, materials and fastener data to calculate the correct values for
             threshold and interval. For dat not known conservative assumptions are to be made
             which would lead to a worse threshold and / or interval. If the data are not available in a
                                                                                                         Fig 17: Determination of
             repair documentation, they may be taken directly from the aircraft. Some of the data may repair parameters
             not easil be measured, but NDI methods have to applied. Fig. 17 shows the application
             of NDI methods to determine the cut-out size hidden by the repair doubler, the thickness
             of skin and doubler and the rivet material.

             The inspection interval for the repair is based on the crack size detectable by NDI          Fig 18: Inspection of skin
                                                                                                          and external repair
             means. Fig. 18 contains the NDI procedures for inspection of the skin and the external       doubler
             repair doubler. All procedures have been qualified and comply with the defined
             inspection requirements that the defect size to be detected is determined with a
             probability of detection (POD) of 90 percent at a confidence level of 95 percent.

     Conclusion

             The next aircraft generation has to comply with the forthcoming more stringent regulations, e.g. regarding
             widespread fatigue damage and initial flaw concept for threshold determination. Furthermore the general aviation
             standard with respect to the two-bay-crack criterion should be reached without special design precautions, such as
             crack stoppers, and without disadvantages in weight. Additionally the requirements of the airlines regarding
             reduction of the maintenance costs have to be considered, i.e. among others the inspection intervals have to be
             increased by decreasing the crack growth. These goals may be reached for fuselage structures by application of
             new materials. The development and application of new material is still under investigation to reach the optimum of
             material and production costs, weight and maintenance costs. During the development and certification of an
             aircraft the NDI plays a major role as shown in this paper. Further significant applications of NDI are within the
             frame of the aging aircraft activities where the detection of MSD and MED is an important item during the
             assessment of the structure susceptible to widespread fatigue damage.
             The Repair Assessment Guidelines which were developed by Airbus also rely on NDI for determination of the
             repair parameters and the inspections of the repair.

     References

www.ndt.net/article/ecndt98/aero/001/001.htm                                                                                           12/13
6/1/12                                         Design of Modern Aircraft Structure and the Role of NDI

         1. T. Swift: Aging Aircraft From The Viewpoint of FAA, Presentation at Daimler-Benz Aerospace Airbus GmbH,
            Hamburg, Germany, September 17, 1997
         2. D. Schiller, G. Tober, H.- J. Schmidt: NDT Technology for Fuselage Repair Assessment, Presentation at ATA
            NDT FORUM 1995 in Cromwell (Hartford), Connecticut, USA, September 26 - 28, 1995

     |Top|


                                                                           NDT.net
                                                             Copyright © NDT.net, info@ndt.net
                         /DB:Article /SO:ECNDT /AU:Schmidt_H-J /AU:Schmidt-Brandecker /AU:Tober_G /CN:DE /CT:NDT /CT:aerospace /ED:1999-06




www.ndt.net/article/ecndt98/aero/001/001.htm                                                                                                 13/13

Design of modern aircraft structure and the role of ndi

  • 1.
    6/1/12 Design of Modern Aircraft Structure and the Role of NDI NDT.net - June 1999, Vol. 4 No. 6 Design of Modern Aircraft Structure and the Role of NDI Table of Contents ECNDT H.-J. Schmidt, B. Schmidt-Brandecker, G. Tober '98 Daimler-Benz Aerospace Airbus Session: Aerospace TABLE OF CONTENTS Introduction Introduction Airworthiness requirements and compliance Design principles and justification methods The current generation of civil transport aircraft were designed Design principle 'safe life' for at least 20 to 25 years and up to 90 000 flights. These design Design principle 'damage tolerant' service goals are exceeded by many operators of jets and Example for inspection turboprops. Future aircraft types are designed for at least the Design of modern aircraft structure Design criteria same goals, but structure with higher fatigue life (endurance), Material selection higher damage tolerance capability and higher corrosion Special NDI application resistance are required to minimize the maintenance costs and to Aging aircraft issues and activities comply with the requirements of the operator and the enhanced Aging aircraft initiatives The aging aircraft issue 'Widespread airworthiness regulations. Fatigue Damage' Non destructive inspections (NDI) are still significant means to Repair assessment for aging aircraft fulfill all the requirements. Further significant applications of ND1 Conclusion are in the frame of another major aviation issue, the aging aircraft References issue. Especially the activities regarding widespread fatigue damage (WFD) and the assessment of existing repairs require the application of newly developed and available ND1 methods. Airworthiness requirements and compliance Due to several structural damages which occurred during service and under consideration of the requirements of the US american airforce the airworthiness regulations for civil transport aircraft have been developed significantly in the past 45 years. Especially the introduction of the fatigue and damage tolerance requirements mark the major steps. Table 1 shows an overview of the regulations developed in the USA. Table 1: Development of airworthiness regulations in the USA 1953 - CAR4b: no special regulations regarding fatigue 1956 - CAR4b Amendment 3: regulations regarding 'safe life' and 'fail-safe'. 1962 - CAR4b Amendment 12: regulations regarding fatigue for landing gears 1966 - FAR25 Amendment 10: sonic fatigue 1978 - FAR25 Amendment 45: introduction of 'damage tolerance' regulations 1981 - FAR25 Amendment 54: further airworthiness regulations for aircraft certified prior to amendment 45 To guarantee an equivalent standard of regulations in the USA and Europe harmonization meetings were held between the airworthiness authorities and the manufacturers under the umbrella of the Aviation Rulemaking Advisory Committee (ARAC). Furthermore the new aspects regarding widespread fatigue damage (WFD) were considered. The harmonized forthcoming regulation and advisory circular require: 'An evaluation of the strength, detailed design, and fabrication must show that a catastrophic failure due to fatigue, corrosion, or accidental damage, will be avoided throughout the operational life of the airplane.' and 'The ultimate purpose of the damage www.ndt.net/article/ecndt98/aero/001/001.htm 1/13
  • 2.
    6/1/12 Design of Modern Aircraft Structure and the Role of NDI tolerance evaluation is the development of a recommended structural inspection program considering probable damage locations, crack initiation mechanisms, crack growth time histories and crack detectability.' The major requirements of the damage tolerance evaluation are: Widespread fatigue damage assessment Identification of possible damage locations and extent of damage Damage tolerance analyses and test Determination of inspection threshold and intervals The major differences compared with the current regulations are the requirements that: Sufficient fullscale testing must be accomplished to ensure that widespread fatigue damage will not occur within the design service goal of the airplane. The inspection threshold for certain types of structure has to be established based on crack growth analysis and/or tests. The development of the structural inspection program is shown in Fig. 1. For each structural element to be inspected the following information has to be provided which are comprised in the Maintenance Review Board (MRB) report: Inspection threshold: time of first inspection in flights Inspection interval: period between the repeated inspections in flights Inspection area: detailed description of the area to be inspected including location and access information of the method to be used, for ND1 methods the detailed description of Inspection method: the method is given in a special handbook Fig 1: Development of structure inspection program www.ndt.net/article/ecndt98/aero/001/001.htm 2/13
  • 3.
    6/1/12 Design of Modern Aircraft Structure and the Role of NDI In general the inspection threshold is determined by the fatigue life to crack initiation under consideration of a relevant scatter factor. For specific structure the threshold is to be based on crack growth analysis. The inspection interval is determined from the crack growth period between the detectable crack length for the structural detail and the critical crack length under limit load divided by a scatter factor, see Fig. 2. Fig 2: Principle of damage tolerance investigation The damage tolerance requirements lead to three major tasks for the aircraft manufacturer: Structural design according to fatigue and damage tolerance requirements Evaluation of the structure by analysis supported tests Definition of a structural inspection program Design principles and justification methods Due to the complexity of the structural elements, their function and location, several design principles are used to design a damage tolerant structure. In addition to this the safe life principle is still applied for specific cases. Design principle 'safe life' The safe life design principle was applied in aircraft design prior to 1960. According to JAR/FAR 25.57 1 a safe life design is now allowed for the landing gear and its attachments only. An example is given in Fig. 3. A structure designed as safe life contains a single load path only and the inspectable crack length may be in the range of the critical www.ndt.net/article/ecndt98/aero/001/001.htm 3/13
  • 4.
    6/1/12 Design of Modern Aircraft Structure and the Role of NDI crack length. Consequently inspection intervals to monitor the structure cannot be defined. A failure of one of the structural elements leads to the complete failure of the safe life structure and possibly to significant consequences for the aircraft. Nose Landing Gear A320 Fig 3: Design Principle 'safe life' A fatigue resistant design of safe life structure is based on fatigue life calculations for all structural elements during the design phase and is justified by full scale fatigue test with the complete safe structure. The fatigue life calculations are performed using the linear damage accumulation according to Palmgren- Miner considering relevant load spectra and material (S-N) data. The calculated fatigue life as well as the achieved test life are divided by relevant scatter factors. Design principle 'damage tolerant' The damage tolerance design principle comprises two categories which are 'single load path' and 'multiple load path' structure. Fig. 4 shows a single load path design where the justification is based on the following analyses. Fatigue life calculations are performed to justify the reliability during service and to determine the inspection threshold. For future projects the inspection threshold has to be based on crack growth analysis according to the forthcoming regulations. The inspection interval is determined from the crack growth period between the detectable and the critical crack length divided by a scatter factor. The calculation of the crack growth is based on the Forman equation or equivalent. Example: Fig 4: Design principle 'damage tolerant - single load path' The 'multiple load path' category is sub-divided into three groups: multiple load path - externally inspectable only multiple load path - not inspectable for less than one complete load path failure multiple load path - inspectable for less than one complete load path failure www.ndt.net/article/ecndt98/aero/001/001.htm 4/13
  • 5.
    6/1/12 Design of Modern Aircraft Structure and the Role of NDI Only the latter group is described here, see Fig. 5. For structures 'damage tolerant - multiple load path - inspectable for less than one complete load path failure' again fatigue life calculations are performed to show sufficient reliability during service and to determine the inspection threshold, which is derived from the structural element with the lowest fatigue life. The inspection interval is based on the crack growth behavior of both load paths were in the primary load path an initial flaw of 1.27 mm is assumed and in the secondary load path an initial flaw of 0.127 mm. The interval is determined by the crack growth period between the detectable crack length in the primary load path and the critical crack length in the secondary load path divided by an appropriate factor. For the crack growth calculations the same method as for single load path structure is applied. Example: Fig 5: Design principle 'damage tolerant - multiple load path - inspectable for less than one complete load path failure' The current, and forthcoming, regulations allow both damage tolerance categories, i.e. single load path and multiple load path. The multiple load path design, however, is highly recommended in the interpretation of the regulations (advisory circular AC/ACJ 25.571). The recommended multiple load path design leads to additional safety, but causes, in exceptional cases, significant costs during design and production. Examples for inspections The structural inspection program comprises three categories or inspection levels which are: General visual inspection (GVI): a visual examination to detect obvious unsatisfactory conditions and discrepancies. The inspections are performed in frame of the so called zonal inspection program where the complete aircraft, divided in zones, is inspected in regular time intervals. Detailed visual inspection (DET): an intensive visual examination of a specified detail or assembly searching for evidence of irregularity. Special detailed inspection (SDET): an intensive examination of a specific location similar to the detailed inspection but requiring special techniques, mostly NDI. Fig. 6 shows the distribution of the inspection levels for the structural significant items (SSI's) of the major aircraft components using the standard body Airbus A320400 as an example. Several SSI's comprise more than one inspection task. Except for the safe life landing gears the 5.percentages of the ND1 tasks are 6 percent for the stabilizer (mainly composite), 11 percent for fuselage and doors, 18 percent for wing and 19 percent for Fig 6: Application of ND1 in structural inspection the pylons. The percentage of ND1 tasks may be higher for widebody aircraft which program of A320-100 have in general higher stress levels in most of the structural details leading to faster crack propagation and lower critical crack length. Therefore sometimes an ND1 method is www.ndt.net/article/ecndt98/aero/001/001.htm 5/13
  • 6.
    6/1/12 Design of Modern Aircraft Structure and the Role of NDI chosen to reach a sufficient inspection interval. The external inspections of the upper and side shells of the A320-100 are given in Fig. 7. Besides a general visual inspection of the complete shells, special tasks of general visual inspections, also covered by the zonal program, are described for the upper panel of the Fig 7: External longitudinal lap joints. Detailed inspections are to be performed of the skin at the inspections of upper and circumferential joints in the upper area, the surrounding of cut-outs in the upper shell, the skin and theof A320-100 side shells window center fuselage section frames and the cut-out comers of the emergency exits. ND1 methods are used for the strap at the circumferential joints (upper area) and, offered as an alternative to a detailed inspection of externally visible cracks, for the lower panel of the longitudinal lap joint in the upper shell. In principle these external inspections are typical examples for the fuselage upper and side shells at standard body and wide-body Airbus aircraft. The only exception are the cut- out comers of the doors where on widebody aircraft mostly ND1 are applied due to the higher stress level. Design of modern aircraft structure Design criteria During the design of aircraft structures several aspects have to be considered to reach sufficient static strength as well as sufficient fatigue and damage tolerance behavior, see Fig. 8. The result of iterative calculations is an optimized design regarding weight, costs and aircraft performance. Several aspects of the design of modern aircraft structure are described here using the Fig 8: Design of aircraft structures fuselage of the planned Airbus megaliner A3XX as an example, see Fig. 9. This aircraft is to be designed for the following goals: Design service goal 24 000 flights Inspections goals - general visual (C-check, zonal program) 24 months - threshold for detailed inspections / ND1 12 000 flights - interval for detailed inspections / ND1 6 000 flights Fig 9: Planned Airbus megaliner A3XX The design criteria to be met are static strength, residual strength, durability, crack growth, sonic fatigue strength and the so-called two-bay-crack criterion. This requires the consideration of corresponding loads as static loads, residual strength loads, discrete source damage loads, operational loads and sonic fatigue loads. Furthermore the corrosion resistance, the repairability and the inspectability have to be taken into account. Fig 10: Two-bay-crack criterion One of the major criteria which an aircraft has to fulfill to reach the safety standard of the competitors is the two- bay-crack criterion, see Fig. 10. It has to be shown, that a longitudinal crack in the skin of the pressurized fuselage with a length of two frame bays above a broken center frame does not lead to a complete failure of the structure. The load case to be considered is 1.15 of the onerational cabin differential nressure at cruise altitude without consideration of external loads. The structure of a pressurized fuselage which fulfills this criterion has to guarantee that neither the crack in the skin becomes unstable nor that the stiffeners perpendicular to the crack (i.e. the frames) fail statically. The two-bay- crack criterion is the designing criterion for large areas in the upper and side shells of the pressurized fuselage of medium and long range aircraft. These aircraft types have lower design service goals in flights compared with short range aircraft with the result that the fatigue and damage tolerance criteria have less influence on the design. To limit the implications on the weight due to the compliance with the two-bay-crack requirement following precautions are possible: www.ndt.net/article/ecndt98/aero/001/001.htm 6/13
  • 7.
    6/1/12 Design of Modern Aircraft Structure and the Role of NDI selection of skin material with high residual strength selection of frame material with high static strength limitation of the allowable frame pitch adaptation of the stress level to the two-bay-crack criterion. Material selection During the initial design phase of the Airbus A3XX the application of new materials and production methods is considered to reduce the production costs and the weight and to comply with the forthcoming regulations. To substitute the fuselage material of the current Airbus types, i.e. the 8.aluminium alloy 2024, three different materials are under consideration; these are 2524,60 13 and GLARE, see table 2. Table 2: Materials for fuselage skin material data 2024T3 clad 2524T3 clad 6013T4/T unclad GLARE4 (LT/TL) unclad Rm (in %) 100 100 ~75 190 / 120 Rp0.2 (in %) 100 100 -94 ll0 / 80 blunt notch (in %) 100 100 not tested l43 / 100 young's modulus(tension) (in %) 100 100 ~95 79 / 70 KC (in %) 100 -120 ~115 ~120 / -110 (in %) 100 100 97 87 corrosion resistance basis equal equal / less higher The materials 2524 and GLARE4 show significantly higher fracture toughness compared with 2024 which results in significant weight reductions in those areas which are designed by the two-bay-crack criterion. The disadvantage of both materials is the higher price. For the GLARE4 material this may be (partly) compensated by a simplified design and production, GLARE4 has additionally advantages with respect to the static strength, the yield strength and the corrosion resistance. Furthermore GLARE4 shows a very good bum through behavior which should be taken into account besides the structural aspects. The material 6013 leads to similar structural weights as 2524 considering the slightly lower yield strength which is approximately compensated by the lower density. 60 13 can be welded which allows to substitute the bonding or riveting of the stringers to the skin by welding. This new production method is very promising with respect to the reduction of the production costs. The different material data allow an increase of the allowable circumferential stresses in the fuselage of the A3XX for all of the three new materials. An increase of the allowable longitudinal stress in the fuselage is possible when using 2524T3. Table 3 contains the allowable skin stresses for a the frame pitch of 656 mm. The allowable stresses in circumferential direction result from the two-bay-crack criterion, the criterion for the longitudinal stresses is either the crack growth,i.e. the inspection interval, or the two-bay-crack criterion depending on the ratio of static and fatigue loads. Table 3: Allowable stresses for fuselage skin allowable stress in allowable stress in allowable stress in longitudinal skin material circumferential direction longitudinal direction direction (crack growth / residual (residual strength) strength) 2024T3 clad 100 % 100 % / 100 % 2524T3 clad 120 % 113 % / 110 % 6013T4/T6 unclad (integral 115 % 104 % / 70 % stringers) CLARE4 clad 120 % 120 % / 100 % www.ndt.net/article/ecndt98/aero/001/001.htm 7/13
  • 8.
    6/1/12 Design of Modern Aircraft Structure and the Role of NDI The improvements given in table 3 lead to weight reductions in those areas where the damage tolerance aspects are the dimensioning criteria. Further design cases to be considered are e.g. the static tension and compression strength and the engine rotor failure. Fig. 11 shows the design criteria in the different fuselage areas for an A3XX depending Fig 11: Design criteria for on the skin material. A3XX fuselage sections Finite element analyses were carried out for two fuselage sections of a length of 5.3 m and 2.7 m (forward and aft of the center section) considering the different design cases and the allowable stresses. The resulting structural weights for the skin and the stringers were determined, see table 4. If the weight of the frame is taken into account in addition the total weight reductions are less, e.g. for GLARE4 the weight reduction of the fuselage shell (skin plus stringers plus frames) is 12 percent instead of 16 percent for the skin and stringers only. Table 4: Weights of two fuselage sections cabin differential weight of two fuselage sections skin and stringer only (frame skin material pressure pitch 656 mm) 2024T3 clad 605 hPa 100% 2524T3 clad 605 hPa 94% 6013T4/T6 unclad 605 hPa 103% GLARE4 clad 605 hPa 84% Special ND1 application The development of a new production technique such as the laser beam welding (LBW) requires a comprehensive use of sophisticated inspection methods, especially the ND1 techniques. During the development of the LBW technique for connection of the stringers to the fuselage skin the following standard ND1 methods are used: High frequency ultra sonic test method Penetration test method Eddy current test method The overall target is to provide an online ND1 method for valuation of the welding beam quality, i.e. methods should be available in the field of production for: Position of welding gap (pre welding) Control of process parameters during welding process Control of welding area (post welding) Aging aircraft issues and activities The well known Aloha accident near Hawaii in April 1988 which led to the loss of an upper forward fuselage segment, resulted in worldwide activities to increase the safety of the aging aircraft fleet. Further events showed that the damage mechanism which led to the Aloha accident was not a single case and that the issue of widespread fatigue damage (WFD) was not sufficiently covered by the current regulations. Aging aircraft initiatives The Aloha accident prompted considerable aviation community activity related to aging air frames. Manufacturers, operators and authorities got together to initiate changes to the system for safety improvement. A number of industry committees were formed and the first was the Air worthiness Assurance Task Force (AATF) later renamed as the Airworthiness Assurance Working Group (AAWG) which works under the umbrella of the Aviation Regulatory Advisory Committee (ARAC). Two other committees were formed which were the Industry www.ndt.net/article/ecndt98/aero/001/001.htm 8/13
  • 9.
    6/1/12 Design of Modern Aircraft Structure and the Role of NDI Committee on WFD to study this phenomenon, and the Structural Audit Evaluation Task Group (SAETG) which was charged to develop guidelines to establish the beginning of WFD. The FAA organized a number of conferences on aging aircraft and structural integrity which were supported by NASA. They created centers of excellence by providing funding; two examples are the Georgia Institute of Technology tasked with the issue of computational mechanics and the Iowa State University tasked with non destructive evaluation. Furthermore, rule changes were initiated to require full scale fatigue testing and inspection threshold determination for new aircraft as described in chapter 2. Early in all these activities an interim solution was defined for eleven aircraft types which were defined prior to the introduction of FAR 25.57 1 Amendment 45. These models are: Boeing B707, B727, B737, B747, Douglas DCS, DC9, DClO, Lockheed LlOll, BAe BAC 111, Fokker F28 and Airbus A300. For these aircraft types the following activities were defined: Periodical review of the inservice experience regarding structural damage (review of service bulletins) Introduction of a Corrosion Prevention and Control Program (CPCP) Assessment of the fatigue life of structural repairs Establishment of an Supplement Structural Inspection Program (SSIP) to reach the safety standard according to FAR 25.57 1 Amendment 45 Assessment of the structure regarding WFD. The aging aircraft issue 'Widespread Fatigue Damage' The main issue of the aging aircraft fleet is the occurrence of multiple damages at adjacent locations which influence each other. Two types of multiple damages are known. The sketch on the upper righthand side of Fig. 12 shows an example of multiple site damage (MSD), which is characterized by the simultaneous presence of fatigue cracks in the same structural element. The second type is the multiple element damage (MED), which is characterized by the simultaneous presence of fatigue cracks in similar adjacent structural elements. Both, MSD and MED, are a source of WFD which is reached when the MSD or MED cracks are of sufficient size and density that the structure will not longer meet its damage tolerance requirement. The effect of MSD is shown in Fig. 12. The lefthand diagram describes the effect of MSD on a single lead crack used to establish the inspection program. In the presence of MSD adjacent to the lead crack the critical crack or the residual strength, respectively, are reduced drastically. The righthand diagram shows the reduction of the crack growth period due to the reduction of the critical crack length. Fig 12: Effect of multiple Boeing has made investigations about the effect of MSD on the residual strength of a site damage lead crack which are published in /l/, see Fig. 13. The residual strength load of a 14 inch (356 mm) long lead crack is reduced in the presence of adjacent MSD cracks of 0.05 inch (1.27 mm) by 30 percent. This demonstrates the dramatic effect even of small MSD cracks which are uninspectable by state of the art techniques. Fig 13: Effect of MSD on residual strength of a lead The Industry Committee on WFD has evaluated the experience of the participating crack manufacturers based on the results of large component and full scale fatigue tests as well as in service experience in order to identify the locations potentially susceptible to WED. From this compilation of data each area was assessed for its susceptible to WFD and was then characterized as either multiple element and/or multiple site damage. Fourteen areas were identified as potentially susceptible to WFD: Fuselage: www.ndt.net/article/ecndt98/aero/001/001.htm 9/13
  • 10.
    6/1/12 Design of Modern Aircraft Structure and the Role of NDI Longitudinal skin joints, frames and tear straps (MSD, MED) Circumferential joints and stringers (MSD, MED) Fuselage frames (MED) Aft pressure dome outer ring and dome web splices (MSD, MED) Other pressure bulkhead attachment to skin-web attachment to stiffener and pressure decks (MSD, MED) Stringer to frame attachment (MED) Window surround structure (MSD, MED) Over wing fuselage attachments (MED) Latches and hinges of nonplug doors (MSD, MED) Skin at runout of large doubler (MSD) Wing and empennage: Skin at runout of large doubler (MSD) Chordwise splices (MSD, MED) Rib to skin attachments (MSD, MED) Stringer runout at tank end ribs (MED9 MSD) Fig 14: Example of area potentially susceptible to WFD, circumferential joints and stringers For each of these fourteen areas a typical design was given and the type and possible location of MSD/MED was defined. An example is given in Fig. 14 showing circumferential joints and stringers. In detail the following damage types were defined: MSD - circumferential joint without outer doubler: - splice plate - between and/or at the inner two rivet rows - skin - forward and aft rivet row of splice plate - skin - at first fastener of stringer coupling with outer doubler: - skin - outer rivet rows - splice plate/outer doubler - inner rivet rows MED - stringer/stringer coupling - stringer - at first fastener of stringer coupling -stringer coupling - in splice plate area In August 1997 the FAA has tasked the ARAC to continue the activities on the WFD assessment and to extend them to all transport category jets and turboprops with maximum gross weights greater than 75000 lbs. The ARAC then chartered a new group in frame of the AAWG called Task Planning Group (TPG) with the following activities: (1) Review capability of analytical methods and their validation relative to the detection of WFD. Review evidence of WFD occurring in the fleet. Recommend means of collection of inservice data where data missing. Determine extent of WFD in fleet. www.ndt.net/article/ecndt98/aero/001/001.htm 10/13
  • 11.
    6/1/12 Design of Modern Aircraft Structure and the Role of NDI Extent AAWG 1993 report for all large transport aircraft > 75000 lb GW. (2) Establish time standards for the initiation and completion of model specific programs for prediction, verification and rectification of WFD. Recommend actions for the authorities, if a program for certain model airplanes is not performed prior to the time standard. The AAWG-TPG started their work in autumn 1997 in order to complete it within 18 months. The TPG has defined eight tasks to fulfill their charter: Task 1 - Background: Review actions done Task 2 - Technology issues: Technology readiness and validation Task 3 - Model specific issues: Establishment of time frame FAA recourses if OEM fails to voluntary complete WFD Task 4 - Regulatory issues: audit Task 5 - Management of MSD/MED in fleet: Inspection programs, replacement Task 6 - Aircraft to be considered in Define aircraft recommendation: Task 7 - March ARAC report issues and items: Issues to be presented to ARAC and AAWG response Task 8 - Final report: Results of tasks 1 to 5 One major item of task 2 deals with the readiness of the ND1 technology. In frame of this subtask four actions were defined to push the development of the methods needed: Review of recent developments Establishment of baseline flaw detection Determination of flaw size that needs to be detected Determination of additional research and development needs Repair assessment for aging aircraft Continuous airworthiness assessment of existiong repairs was identified as one of the five significant concerns by the AAWG which formed a Repair Assessment Task Group (RATG) with participation of operators, manufacturers and authorities. The final draft report of this task group which was issued in December 1996 has recommended a one time structural repair assessment task for the external fuselage pressure boundary (skin and bulkhead webs) to assure the continued airworthiness. This recommendation is again applicable to the eleven aircraft models certified prior to introduction of FAR 25.571 amendment 45. Consequently guidelines were developed to assess the damage tolerance of existing structural repairs which may have been designed without using damage tolerance criteria. Based on the general three stage program, which was Fig 15: Airbus repair developed in a common effort by the major manufacturers and assessment process operators for categorization of the repairs, the Airbus repair assessment process was defined, see Fig. 15. Stage 1 (Data Collection) specifies what should be assessed for repairs. If a repair is on structure in an area of concern the analysis continues, otherwise the repair does not require classification as per this program. Stage 2 (Repair Categorization) categorizes the repairs regarding maintenance actions to be applied. The repair categorization contains several steps which www.ndt.net/article/ecndt98/aero/001/001.htm 11/13
  • 12.
    6/1/12 Design of Modern Aircraft Structure and the Role of NDI consider the general conditions of the repair, the quality of the static design, the proximity to other repairs. Stage 3 (Determination of supplementary maintenance requirements) contains the definition of the necessary maintenance program for the repair. For the Airbus A300 aircraft Repair Assessment Guidelines(RAG) were developed which allow the operators to determine the inspection threshold and interval for the category B repairs. Fig. 16 shows a principle sketch of an external skin repair. In principle four fatigue sensitive Fig 16: External skin repair locations exist which have to be assessed: skin, longitudinal rivet row at doubler run-out skin, circumferential rivet row at doubler run-out doubler, longitudinal rivet row adjacent to cut-out doubler, circumferential rivet row adjacent to cut-out The determination of the inspection threshold and interval requires the exact knowledge about the geometry, materials and fastener data to calculate the correct values for threshold and interval. For dat not known conservative assumptions are to be made which would lead to a worse threshold and / or interval. If the data are not available in a Fig 17: Determination of repair documentation, they may be taken directly from the aircraft. Some of the data may repair parameters not easil be measured, but NDI methods have to applied. Fig. 17 shows the application of NDI methods to determine the cut-out size hidden by the repair doubler, the thickness of skin and doubler and the rivet material. The inspection interval for the repair is based on the crack size detectable by NDI Fig 18: Inspection of skin and external repair means. Fig. 18 contains the NDI procedures for inspection of the skin and the external doubler repair doubler. All procedures have been qualified and comply with the defined inspection requirements that the defect size to be detected is determined with a probability of detection (POD) of 90 percent at a confidence level of 95 percent. Conclusion The next aircraft generation has to comply with the forthcoming more stringent regulations, e.g. regarding widespread fatigue damage and initial flaw concept for threshold determination. Furthermore the general aviation standard with respect to the two-bay-crack criterion should be reached without special design precautions, such as crack stoppers, and without disadvantages in weight. Additionally the requirements of the airlines regarding reduction of the maintenance costs have to be considered, i.e. among others the inspection intervals have to be increased by decreasing the crack growth. These goals may be reached for fuselage structures by application of new materials. The development and application of new material is still under investigation to reach the optimum of material and production costs, weight and maintenance costs. During the development and certification of an aircraft the NDI plays a major role as shown in this paper. Further significant applications of NDI are within the frame of the aging aircraft activities where the detection of MSD and MED is an important item during the assessment of the structure susceptible to widespread fatigue damage. The Repair Assessment Guidelines which were developed by Airbus also rely on NDI for determination of the repair parameters and the inspections of the repair. References www.ndt.net/article/ecndt98/aero/001/001.htm 12/13
  • 13.
    6/1/12 Design of Modern Aircraft Structure and the Role of NDI 1. T. Swift: Aging Aircraft From The Viewpoint of FAA, Presentation at Daimler-Benz Aerospace Airbus GmbH, Hamburg, Germany, September 17, 1997 2. D. Schiller, G. Tober, H.- J. Schmidt: NDT Technology for Fuselage Repair Assessment, Presentation at ATA NDT FORUM 1995 in Cromwell (Hartford), Connecticut, USA, September 26 - 28, 1995 |Top| NDT.net Copyright © NDT.net, info@ndt.net /DB:Article /SO:ECNDT /AU:Schmidt_H-J /AU:Schmidt-Brandecker /AU:Tober_G /CN:DE /CT:NDT /CT:aerospace /ED:1999-06 www.ndt.net/article/ecndt98/aero/001/001.htm 13/13