THE PROSODY OF  KELANTAN MALAY:  The Case of  Initial Geminate Consonants Hilmi Hamzah Supervisors: Associate Professor Janet Fletcher Professor John Hajek THE PROSODY OF  KELANTAN MALAY:  The Case of  Initial Geminate Consonants CONFIRMATION TALK
 
THE STORY OF MY FIRST-YEAR PhD LIFE & THE FOUR STAGES
1st STAGE: GETTING LOST
THE WORLD OF PROSODY “ A  suprasegmental  organisation of  segmental  sounds into higher-level constituents.” (Shattuck-Hufnagel & Turk, 1996)‏ “ A set of higher-level organisation structures that account for variations in  pitch ,  loudness ,  duration ,  spectral tilt ,  segment reduction  and their associated  parameters .” (Clark, Yallop & Fletcher, 2007)
PROSODIC HIERARCHY (Pierrehumbert & Beckman, 1998)
L2 Speech Learning   - Speech Learning Model (Flege et al., 1995)  - Perceptual Assimilation Model (Best, 1993)‏ L2 Intonation   - Japanese & Korean English (Ueyama & Jun, 1998)  - Indian English (Wiltshire & Harnsberger, 2006) ‏ 11 SUMMARIES   SECOND LANGUAGE (L2) PROSODY
2nd STAGE: GETTING FOUND
Intervocalic  position (e.g. Malayalam, Sienese Italian)‏ Initial  position (e.g. Swiss German, Cypriot Greek)  Abramson's experiments (1986, 1987, 1991, 1998, 1999, 2003, 2004)‏ on  Pattani Malay   Kelantan Malay  in Malaysia VS.  Pattani Malay  in Thailand  GEMINATE CONSONANTS
 
/kabo/ 'blurry vision'  vs.  /kkabo/ 'a beetle' /gad Ʒ i/ 'salary'  vs.  /ggad Ʒ i/ 'a saw tool'  /ma Ɣ i/ 'to come'  vs.  /mma Ɣ i/ 'a cupboard' KELANTAN MALAY SINGLETON CONSONANT  vs.  GEMINATE CONSONANT
WHAT ARE GEMINATE CONSONANTS? Long Consonants : two phones in a same syllable Double Consonants : two phones across syllables (Abercrombie, 1967)  Distinctive length : distinguishes languages that contrast meanings through gemination (Abramson, 1986)‏ Geminate consonants : prolonged 1 ½ or  2 times longer (Ladefoged & Maddieson, 1996)‏ Closure duration  is the most salient acoustic correlate
PREVIOUS STUDIES Hankamer et al. (1989) on  Turkish & Bengali :  closure duration  is the main acoustic feature Doty et al. (2007) on  Finnish :  voice onset time  (VOT) and  relative amplitude  play significant roles Gordon (2009) on  Ingrian :  fundamental frequency  (F0) is more significant  INTERVOCALIC GEMINATE CONSONANTS
Kraehenmann (2001) on  Swiss German :  closure duration  is the primary acoustic feature Muller (2003) on  Cypriot Greek :  VOT  duration is a secondary feature Abramson (1986, 1987, 1991, 1998, 1999, 2003, 2004) on  Pattani Malay : closure duration is associated with other  prosodic factors   PREVIOUS STUDIES INITIAL GEMINATE CONSONANTS
KELANTAN MALAY Derived from the 'loss' of  prefixes ,  prepositions ,  trisyllabic  &  reduplicated  words from Standard Malay Based on  impressionistic  approach‏ (e.g. Karim, 1965;  Che Kob, 1985)‏
AIMS OF THE STUDY To offer  instrumental insights  into the  prosody  of Kelantan Malay (KM)‏ To investigate the  acoustic correlates  of singleton-geminate contrast To employ a series of  laboratory phonology experiments   To yield the  first acoustic phonetic analysis  of initial geminate consonants in KM
SIGNIFICANCE OF THE STUDY To explore the possible  prosodic transfers  between KM and L2 learning ‏ To contribute to research in  language education To compare the results with other languages
RESEARCH QUESTIONS What are the  segmental  and  suprasegmental  features involved in the  production  and  perception  of initial geminate consonants in KM? What are their  acoustic parameters ? What is the  relationship  between initial geminate consonants and the  prosody  of KM?
3rd STAGE: GETTING EXCITED
FIRST PRELIMINARY EXPERIMENT To investigate the  production  of initial geminate consonants as spoken by  6 native speakers  of KM To record a number of  minimal pairs  of singleton-geminate contrast in  3 controlled contexts To ascertain the  acoustic correlates  that underlie the distinction between the pairs To examine the role of initial geminate consonants in  stress placement  and  intonational prominence   OBJECTIVES
MATERIALS 10 phonemes = 19 minimal pairs = 38 tokens Disyllabic: C(C)VCV / C(C)VCVC 3 groups:  (1) voiceless stops : / p /  vs / pp /  -  / t / vs / tt /  -  / k / vs / kk /  (2) voiced stops  : / b /  vs / bb /  - / d / vs / dd / -  / g / vs / gg /  (3) sonorants  : / m / vs / mm / - / n / vs / nn / -   / ŋ / vs / ŋŋ /  / l /  vs / ll / 2 distinct vowels after each consonant (high vowel / i / & low vowel / a /), except / ŋ / vs / ŋŋ / (low vowel / a / only)‏
TOKENS
PARTICIPANTS & PROCEDURES 6 native speakers of KM (3 males & 3 females)‏ 6 recording sessions at the Horwood Language Centre  (1 hour and 15 mins per session)‏ ‏ Tokens randomly presented in Standard Malay orthography through powerpoint slides on a computer Recorded in 3 controlled contexts: (A)  Citation   - 228 utterances X 6 speakers =  1368 utterances  (B)  Carrier Sentence   -   / diɔ katɔ  (target word)  tigɔ kali /  “ he said  (target word)  three times”   -  228 utterances X 6 speakers =  1368 utterances
PROCEDURES – cont'd (C)  Focus condition   - 20 tokens (20 unique sentences)  -   3 questions elicited 3 replies with  3   focus conditions :  [i]  a  broad focus  reply  [i]  a reply with a  narrow focus  on  non-target  words  [iii] a reply with a  narrow focus  on  target  words
PROCEDURES – cont'd Example:  / mmaɣi / =  cupboard   Sentence : / diɔ l ət ɔɁ  bad Ʒ u  dalɛ   mmaɣi /  “ he put a  shirt  in a  cupboard  ”   Questions :  1. / diɔ waɁ ggapɔ? /  “ what did he do? ”   2. / diɔ l ət ɔɁ  buku  kɔ  dalɛ  mmaɣi ?/  “ did he put a  book  in a cupboard? ”   3. / diɔ l ət ɔɁ bad Ʒ u   dalɛ   beɁ  kɔ ?/  “ did he put a shirt in a  bag ? ”   300 utterances  X 6 speakers =  1800 utterances Total number of utterances for all 3 contexts  = 4536
DATA ANALYSIS Utterances from the  carrier sentence  have been analyzed  Annotation  was conducted using  Praat  (Boersma, 2001)‏ Segments  &  duration values  were extracted and analyzed statistically using  EMU-R  (Harrington, 2010)‏ Average closure duration was measured in milliseconds  (the beginning of the  consonantal closure  -->  the  onset of voicing )‏ Duration values were submitted to  t -tests  and  ANOVA
 
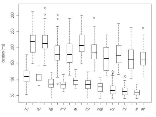
RESULTS The effect of  participant  (6 levels) is highly significant ( F (5,1248)=269.23,  p <.001)‏ The effect of  phoneme  (10 levels) is highly significant ( F (18,1248)=75.59,  p <.001)‏ The effect of  singleton-geminate contrast  (2 levels) is highly significant ( F (1,1248)=11838.57,  p <.001)‏ Singleton-geminate contrast is highly significant in all  10 consonant pairs  ( t- ratio=-27.3 to -13.1,  p <.001)‏ Range of durational ratios:  2.03  (/k/-/kk/) to  2.82  (/l/-/ll/)
DURATIONAL RATIOS
DURATIONAL RATIOS
EFFECT OF GENDER The effect is  significant  for all consonants  ( t -ratio=2.53 to 8.22,  p <.014) ,  except /ŋŋ/( t- ratio=1.35,  p= .187)‏ Male speakers  produce all consonants with longer average duration
GENDER – Singleton Consonant
GENDER – Geminate Consonant
EFFECT OF GENDER
EFFECT OF VOWEL HEIGHT The effect is  highly significant  for all  singleton consonants  ( t- ratio=2.87 to 11.25,  p <.006), except /p/ ( t -ratio=0.61,  p= .542) and /n/ ( t -ratio=1.07,  p= .289)‏ It is  not significant  for all  geminate consonants  ( t -ratio=0.006 to 1.65,  p >.05) except /kk/ ( t -ratio=2.62,  p= .001)‏ Longer duration when followed by  high vowel /i/
VOWEL HEIGHT – Singleton Consonant
VOWEL HEIGHT – Geminate Consonant
EFFECT OF VOWEL HEIGHT
EFFECT OF MANNER OF ARTICULATION The effect is  significant  for the durational ratios of all consonant pairs ( F (2,1290)=3.187,  p <.041)‏ The effect is  highly significant  across both singleton and geminate consonants ( p <.001)‏
EFFECT OF MANNER OF ARTICULATION
DISCUSSION All initial geminate consonants are  clearly distinguished  from singleton consonants in terms of  closure duration The significant effect of gender is  unexpected , but both gender groups show  a clear durational contrast   Durational ratios of the  initial  contrast in KM are somewhat  higher  than  medial  contrast in other languages  The preliminary results provide  experimental confirmation  for initial geminate consonants in KM
4th STAGE: GETTING CONFIRMED
FIELDWORK TRIP Fieldwork trip in Kelantan, Malaysia  -  90 days  (1st October 2010 – 31st December 2010)  -  10 local districts  -  48 participants   -  83 hours  of experiment duration  -  1,126 kilometres  of travel distance around the state  -  4   major experiments
PRODUCTION EXPERIMENT Citation, Carrier Sentence, Focus Condition 10 participants  (5 males & 5 females)  Stricter control  on the participants'  background   (a) CONTROLLED DATA
PRODUCTION EXPERIMENT Map Task Activities  - based on the Human Communication Research Centre (HCRC) Map Task (Anderson et al., 1991)‏ To elicit the production of initial geminate  sonorants   4 map-pairs  -  12 landmarks  for each pair 8 participants  (2 male pairs & 2 females pairs)‏ (b) SPONTANEOUS DATA
PERCEPTION EXPERIMENT 2 sets of force-choice identification test   228 synthesized stimuli  - based on  6 minimal pairs , using  3 parameters : closure duration, F0 & amplitude  (a) IDENTIFICATION TEST
PERCEPTION EXPERIMENT 2 sets of AX discrimination test  (same/ different)‏ 314 modified stimuli  - based on  one minimal pair   30 participants  (15 males & 15 females) for both identification and discrimination tests (a) DISCRIMINATION TEST
FUTURE ANALYSES To compare the results of  spontaneous data  with  controlled data  using the combination  of other  acoustic parameters To explore the possible events of  stress placement, intonational prominence & degemination To test the results of  perception  experiments   against  those of  production  experiments
PROGRESS TO-DATE A request of  amendment  (ethics application)  A paper for the  13th AICSST 2010   A  PhD fieldwork  funding  scheme   The development of new  experimental  materials   The  links  with future participants The  direction  and  timeline  of the research project
 

Confirmation Talk

  • 1.
    THE PROSODY OF KELANTAN MALAY: The Case of Initial Geminate Consonants Hilmi Hamzah Supervisors: Associate Professor Janet Fletcher Professor John Hajek THE PROSODY OF KELANTAN MALAY: The Case of Initial Geminate Consonants CONFIRMATION TALK
  • 2.
  • 3.
    THE STORY OFMY FIRST-YEAR PhD LIFE & THE FOUR STAGES
  • 4.
  • 5.
    THE WORLD OFPROSODY “ A suprasegmental organisation of segmental sounds into higher-level constituents.” (Shattuck-Hufnagel & Turk, 1996)‏ “ A set of higher-level organisation structures that account for variations in pitch , loudness , duration , spectral tilt , segment reduction and their associated parameters .” (Clark, Yallop & Fletcher, 2007)
  • 6.
  • 7.
    L2 Speech Learning - Speech Learning Model (Flege et al., 1995) - Perceptual Assimilation Model (Best, 1993)‏ L2 Intonation - Japanese & Korean English (Ueyama & Jun, 1998) - Indian English (Wiltshire & Harnsberger, 2006) ‏ 11 SUMMARIES SECOND LANGUAGE (L2) PROSODY
  • 8.
  • 9.
    Intervocalic position(e.g. Malayalam, Sienese Italian)‏ Initial position (e.g. Swiss German, Cypriot Greek) Abramson's experiments (1986, 1987, 1991, 1998, 1999, 2003, 2004)‏ on Pattani Malay Kelantan Malay in Malaysia VS. Pattani Malay in Thailand GEMINATE CONSONANTS
  • 10.
  • 11.
    /kabo/ 'blurry vision' vs. /kkabo/ 'a beetle' /gad Ʒ i/ 'salary' vs. /ggad Ʒ i/ 'a saw tool' /ma Ɣ i/ 'to come' vs. /mma Ɣ i/ 'a cupboard' KELANTAN MALAY SINGLETON CONSONANT vs. GEMINATE CONSONANT
  • 12.
    WHAT ARE GEMINATECONSONANTS? Long Consonants : two phones in a same syllable Double Consonants : two phones across syllables (Abercrombie, 1967) Distinctive length : distinguishes languages that contrast meanings through gemination (Abramson, 1986)‏ Geminate consonants : prolonged 1 ½ or 2 times longer (Ladefoged & Maddieson, 1996)‏ Closure duration is the most salient acoustic correlate
  • 13.
    PREVIOUS STUDIES Hankameret al. (1989) on Turkish & Bengali : closure duration is the main acoustic feature Doty et al. (2007) on Finnish : voice onset time (VOT) and relative amplitude play significant roles Gordon (2009) on Ingrian : fundamental frequency (F0) is more significant INTERVOCALIC GEMINATE CONSONANTS
  • 14.
    Kraehenmann (2001) on Swiss German : closure duration is the primary acoustic feature Muller (2003) on Cypriot Greek : VOT duration is a secondary feature Abramson (1986, 1987, 1991, 1998, 1999, 2003, 2004) on Pattani Malay : closure duration is associated with other prosodic factors PREVIOUS STUDIES INITIAL GEMINATE CONSONANTS
  • 15.
    KELANTAN MALAY Derivedfrom the 'loss' of prefixes , prepositions , trisyllabic & reduplicated words from Standard Malay Based on impressionistic approach‏ (e.g. Karim, 1965; Che Kob, 1985)‏
  • 16.
    AIMS OF THESTUDY To offer instrumental insights into the prosody of Kelantan Malay (KM)‏ To investigate the acoustic correlates of singleton-geminate contrast To employ a series of laboratory phonology experiments To yield the first acoustic phonetic analysis of initial geminate consonants in KM
  • 17.
    SIGNIFICANCE OF THESTUDY To explore the possible prosodic transfers between KM and L2 learning ‏ To contribute to research in language education To compare the results with other languages
  • 18.
    RESEARCH QUESTIONS Whatare the segmental and suprasegmental features involved in the production and perception of initial geminate consonants in KM? What are their acoustic parameters ? What is the relationship between initial geminate consonants and the prosody of KM?
  • 19.
  • 20.
    FIRST PRELIMINARY EXPERIMENTTo investigate the production of initial geminate consonants as spoken by 6 native speakers of KM To record a number of minimal pairs of singleton-geminate contrast in 3 controlled contexts To ascertain the acoustic correlates that underlie the distinction between the pairs To examine the role of initial geminate consonants in stress placement and intonational prominence OBJECTIVES
  • 21.
    MATERIALS 10 phonemes= 19 minimal pairs = 38 tokens Disyllabic: C(C)VCV / C(C)VCVC 3 groups: (1) voiceless stops : / p / vs / pp / - / t / vs / tt / - / k / vs / kk / (2) voiced stops : / b / vs / bb / - / d / vs / dd / - / g / vs / gg / (3) sonorants : / m / vs / mm / - / n / vs / nn / - / ŋ / vs / ŋŋ / / l / vs / ll / 2 distinct vowels after each consonant (high vowel / i / & low vowel / a /), except / ŋ / vs / ŋŋ / (low vowel / a / only)‏
  • 22.
  • 23.
    PARTICIPANTS & PROCEDURES6 native speakers of KM (3 males & 3 females)‏ 6 recording sessions at the Horwood Language Centre (1 hour and 15 mins per session)‏ ‏ Tokens randomly presented in Standard Malay orthography through powerpoint slides on a computer Recorded in 3 controlled contexts: (A) Citation - 228 utterances X 6 speakers = 1368 utterances (B) Carrier Sentence - / diɔ katɔ (target word) tigɔ kali / “ he said (target word) three times” - 228 utterances X 6 speakers = 1368 utterances
  • 24.
    PROCEDURES – cont'd(C) Focus condition - 20 tokens (20 unique sentences) - 3 questions elicited 3 replies with 3 focus conditions : [i] a broad focus reply [i] a reply with a narrow focus on non-target words [iii] a reply with a narrow focus on target words
  • 25.
    PROCEDURES – cont'dExample: / mmaɣi / = cupboard Sentence : / diɔ l ət ɔɁ bad Ʒ u dalɛ mmaɣi / “ he put a shirt in a cupboard ” Questions : 1. / diɔ waɁ ggapɔ? / “ what did he do? ” 2. / diɔ l ət ɔɁ buku kɔ dalɛ mmaɣi ?/ “ did he put a book in a cupboard? ” 3. / diɔ l ət ɔɁ bad Ʒ u dalɛ beɁ kɔ ?/ “ did he put a shirt in a bag ? ” 300 utterances X 6 speakers = 1800 utterances Total number of utterances for all 3 contexts = 4536
  • 26.
    DATA ANALYSIS Utterancesfrom the carrier sentence have been analyzed Annotation was conducted using Praat (Boersma, 2001)‏ Segments & duration values were extracted and analyzed statistically using EMU-R (Harrington, 2010)‏ Average closure duration was measured in milliseconds (the beginning of the consonantal closure --> the onset of voicing )‏ Duration values were submitted to t -tests and ANOVA
  • 27.
  • 28.
    RESULTS The effectof participant (6 levels) is highly significant ( F (5,1248)=269.23, p <.001)‏ The effect of phoneme (10 levels) is highly significant ( F (18,1248)=75.59, p <.001)‏ The effect of singleton-geminate contrast (2 levels) is highly significant ( F (1,1248)=11838.57, p <.001)‏ Singleton-geminate contrast is highly significant in all 10 consonant pairs ( t- ratio=-27.3 to -13.1, p <.001)‏ Range of durational ratios: 2.03 (/k/-/kk/) to 2.82 (/l/-/ll/)
  • 29.
  • 30.
  • 31.
    EFFECT OF GENDERThe effect is significant for all consonants ( t -ratio=2.53 to 8.22, p <.014) , except /ŋŋ/( t- ratio=1.35, p= .187)‏ Male speakers produce all consonants with longer average duration
  • 32.
  • 33.
  • 34.
  • 35.
    EFFECT OF VOWELHEIGHT The effect is highly significant for all singleton consonants ( t- ratio=2.87 to 11.25, p <.006), except /p/ ( t -ratio=0.61, p= .542) and /n/ ( t -ratio=1.07, p= .289)‏ It is not significant for all geminate consonants ( t -ratio=0.006 to 1.65, p >.05) except /kk/ ( t -ratio=2.62, p= .001)‏ Longer duration when followed by high vowel /i/
  • 36.
    VOWEL HEIGHT –Singleton Consonant
  • 37.
    VOWEL HEIGHT –Geminate Consonant
  • 38.
  • 39.
    EFFECT OF MANNEROF ARTICULATION The effect is significant for the durational ratios of all consonant pairs ( F (2,1290)=3.187, p <.041)‏ The effect is highly significant across both singleton and geminate consonants ( p <.001)‏
  • 40.
    EFFECT OF MANNEROF ARTICULATION
  • 41.
    DISCUSSION All initialgeminate consonants are clearly distinguished from singleton consonants in terms of closure duration The significant effect of gender is unexpected , but both gender groups show a clear durational contrast Durational ratios of the initial contrast in KM are somewhat higher than medial contrast in other languages The preliminary results provide experimental confirmation for initial geminate consonants in KM
  • 42.
  • 43.
    FIELDWORK TRIP Fieldworktrip in Kelantan, Malaysia - 90 days (1st October 2010 – 31st December 2010) - 10 local districts - 48 participants - 83 hours of experiment duration - 1,126 kilometres of travel distance around the state - 4 major experiments
  • 44.
    PRODUCTION EXPERIMENT Citation,Carrier Sentence, Focus Condition 10 participants (5 males & 5 females) Stricter control on the participants' background (a) CONTROLLED DATA
  • 45.
    PRODUCTION EXPERIMENT MapTask Activities - based on the Human Communication Research Centre (HCRC) Map Task (Anderson et al., 1991)‏ To elicit the production of initial geminate sonorants 4 map-pairs - 12 landmarks for each pair 8 participants (2 male pairs & 2 females pairs)‏ (b) SPONTANEOUS DATA
  • 46.
    PERCEPTION EXPERIMENT 2sets of force-choice identification test 228 synthesized stimuli - based on 6 minimal pairs , using 3 parameters : closure duration, F0 & amplitude (a) IDENTIFICATION TEST
  • 47.
    PERCEPTION EXPERIMENT 2sets of AX discrimination test (same/ different)‏ 314 modified stimuli - based on one minimal pair 30 participants (15 males & 15 females) for both identification and discrimination tests (a) DISCRIMINATION TEST
  • 48.
    FUTURE ANALYSES Tocompare the results of spontaneous data with controlled data using the combination of other acoustic parameters To explore the possible events of stress placement, intonational prominence & degemination To test the results of perception experiments against those of production experiments
  • 49.
    PROGRESS TO-DATE Arequest of amendment (ethics application) A paper for the 13th AICSST 2010 A PhD fieldwork funding scheme The development of new experimental materials The links with future participants The direction and timeline of the research project
  • 50.