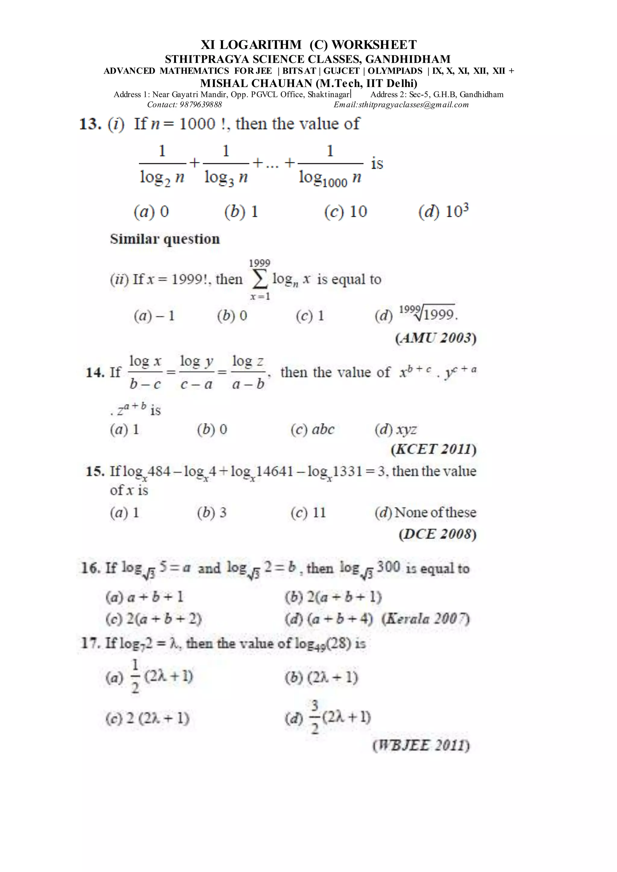
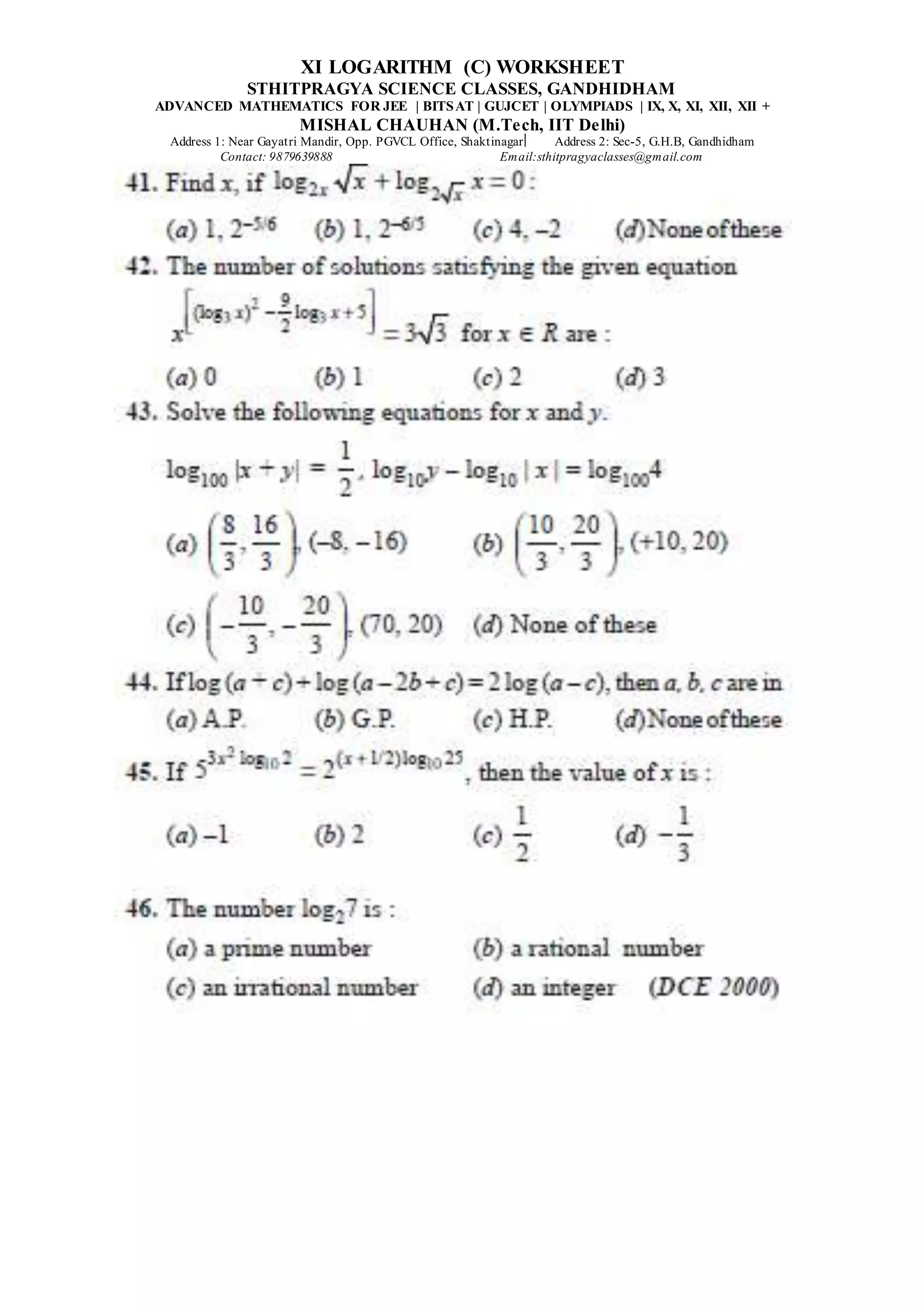
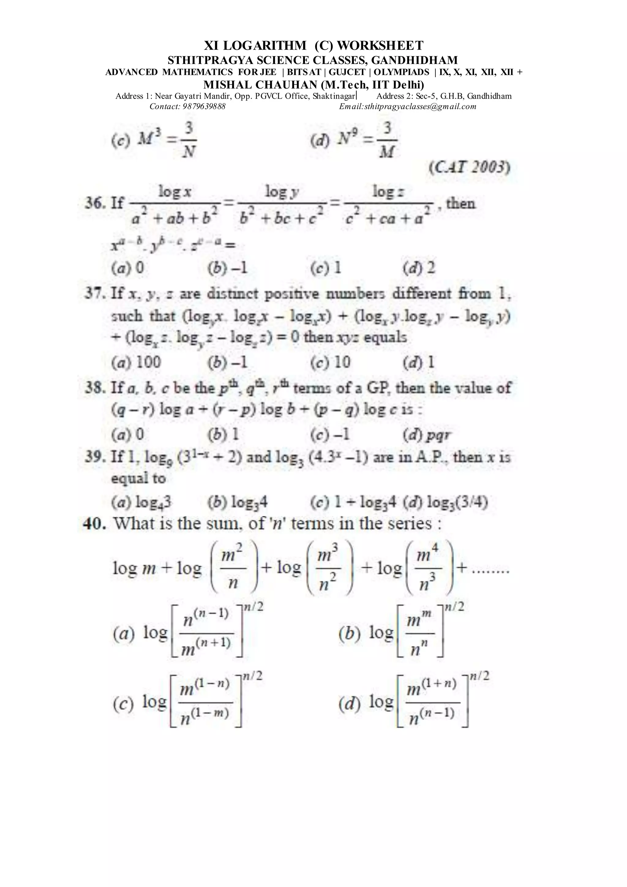
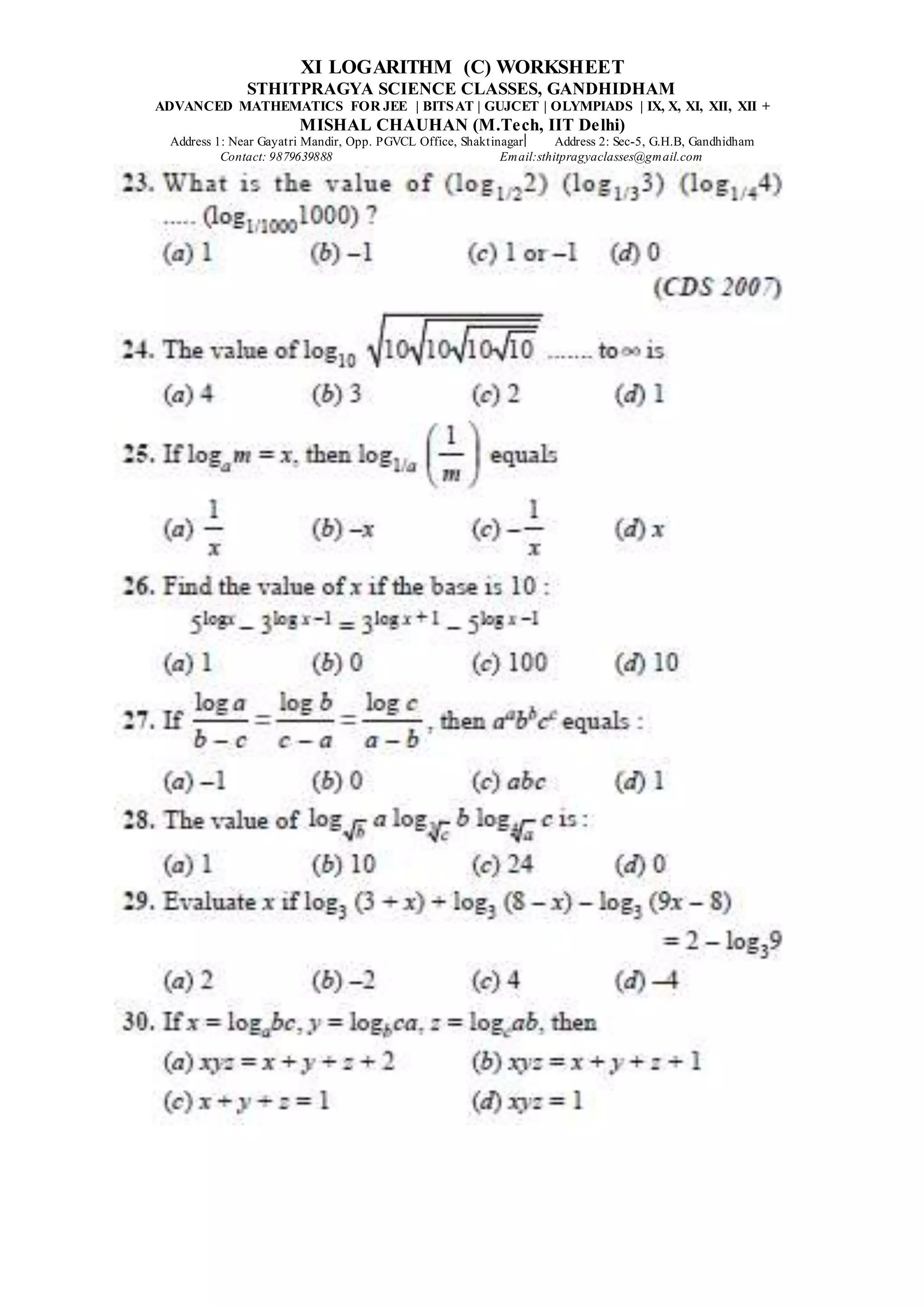
XI LOGARITHM (C) WORKSHEET
STHITPRAGYA SCIENCE CLASSES, GANDHIDHAM
ADVANCED MATHEMATICS FOR JEE | BITSAT | GUJCET | OLYMPIADS | IX, X, XI, XII, XII +
MISHAL CHAUHAN (M.Tech, IIT Delhi)
Address 1: Near Gayatri Mandir, Opp. PGVCL Office, Shaktinagar Address 2: Sec-5, G.H.B, Gandhidham
Contact: 9879639888 Email:sthitpragyaclasses@gmail.com
XI LOGARITHM (C) WORKSHEET
STHITPRAGYA SCIENCE CLASSES, GANDHIDHAM
ADVANCED MATHEMATICS FOR JEE | BITSAT | GUJCET | OLYMPIADS | IX, X, XI, XII, XII +
MISHAL CHAUHAN (M.Tech, IIT Delhi)
Address 1: Near Gayatri Mandir, Opp. PGVCL Office, Shaktinagar Address 2: Sec-5, G.H.B, Gandhidham
Contact: 9879639888 Email:sthitpragyaclasses@gmail.com
XI LOGARITHM (C) WORKSHEET
STHITPRAGYA SCIENCE CLASSES, GANDHIDHAM
ADVANCED MATHEMATICS FOR JEE | BITSAT | GUJCET | OLYMPIADS | IX, X, XI, XII, XII +
MISHAL CHAUHAN (M.Tech, IIT Delhi)
Address 1: Near Gayatri Mandir, Opp. PGVCL Office, Shaktinagar Address 2: Sec-5, G.H.B, Gandhidham
Contact: 9879639888 Email:sthitpragyaclasses@gmail.com
XI LOGARITHM (C) WORKSHEET
STHITPRAGYA SCIENCE CLASSES, GANDHIDHAM
ADVANCED MATHEMATICS FOR JEE | BITSAT | GUJCET | OLYMPIADS | IX, X, XI, XII, XII +
MISHAL CHAUHAN (M.Tech, IIT Delhi)
Address 1: Near Gayatri Mandir, Opp. PGVCL Office, Shaktinagar Address 2: Sec-5, G.H.B, Gandhidham
Contact: 9879639888 Email:sthitpragyaclasses@gmail.com
XI LOGARITHM (C) WORKSHEET
STHITPRAGYA SCIENCE CLASSES, GANDHIDHAM
ADVANCED MATHEMATICS FOR JEE | BITSAT | GUJCET | OLYMPIADS | IX, X, XI, XII, XII +
MISHAL CHAUHAN (M.Tech, IIT Delhi)
Address 1: Near Gayatri Mandir, Opp. PGVCL Office, Shaktinagar Address 2: Sec-5, G.H.B, Gandhidham
Contact: 9879639888 Email:sthitpragyaclasses@gmail.com
XI LOGARITHM (C) WORKSHEET
STHITPRAGYA SCIENCE CLASSES, GANDHIDHAM
ADVANCED MATHEMATICS FOR JEE | BITSAT | GUJCET | OLYMPIADS | IX, X, XI, XII, XII +
MISHAL CHAUHAN (M.Tech, IIT Delhi)
Address 1: Near Gayatri Mandir, Opp. PGVCL Office, Shaktinagar Address 2: Sec-5, G.H.B, Gandhidham
Contact: 9879639888 Email:sthitpragyaclasses@gmail.com
XI LOGARITHM (C) WORKSHEET
STHITPRAGYA SCIENCE CLASSES, GANDHIDHAM
ADVANCED MATHEMATICS FOR JEE | BITSAT | GUJCET | OLYMPIADS | IX, X, XI, XII, XII +
MISHAL CHAUHAN (M.Tech, IIT Delhi)
Address 1: Near Gayatri Mandir, Opp. PGVCL Office, Shaktinagar Address 2: Sec-5, G.H.B, Gandhidham
Contact: 9879639888 Email:sthitpragyaclasses@gmail.com
XI LOGARITHM (C) WORKSHEET
STHITPRAGYA SCIENCE CLASSES, GANDHIDHAM
ADVANCED MATHEMATICS FOR JEE | BITSAT | GUJCET | OLYMPIADS | IX, X, XI, XII, XII +
MISHAL CHAUHAN (M.Tech, IIT Delhi)
Address 1: Near Gayatri Mandir, Opp. PGVCL Office, Shaktinagar Address 2: Sec-5, G.H.B, Gandhidham
Contact: 9879639888 Email:sthitpragyaclasses@gmail.com
XI LOGARITHM (C) WORKSHEET
STHITPRAGYA SCIENCE CLASSES, GANDHIDHAM
ADVANCED MATHEMATICS FOR JEE | BITSAT | GUJCET | OLYMPIADS | IX, X, XI, XII, XII +
MISHAL CHAUHAN (M.Tech, IIT Delhi)
Address 1: Near Gayatri Mandir, Opp. PGVCL Office, Shaktinagar Address 2: Sec-5, G.H.B, Gandhidham
Contact: 9879639888 Email:sthitpragyaclasses@gmail.com

Class xi logarithm (c) worksheet

  • 1.
    XI LOGARITHM (C)WORKSHEET STHITPRAGYA SCIENCE CLASSES, GANDHIDHAM ADVANCED MATHEMATICS FOR JEE | BITSAT | GUJCET | OLYMPIADS | IX, X, XI, XII, XII + MISHAL CHAUHAN (M.Tech, IIT Delhi) Address 1: Near Gayatri Mandir, Opp. PGVCL Office, Shaktinagar Address 2: Sec-5, G.H.B, Gandhidham Contact: 9879639888 Email:sthitpragyaclasses@gmail.com
  • 2.
    XI LOGARITHM (C)WORKSHEET STHITPRAGYA SCIENCE CLASSES, GANDHIDHAM ADVANCED MATHEMATICS FOR JEE | BITSAT | GUJCET | OLYMPIADS | IX, X, XI, XII, XII + MISHAL CHAUHAN (M.Tech, IIT Delhi) Address 1: Near Gayatri Mandir, Opp. PGVCL Office, Shaktinagar Address 2: Sec-5, G.H.B, Gandhidham Contact: 9879639888 Email:sthitpragyaclasses@gmail.com
  • 3.
    XI LOGARITHM (C)WORKSHEET STHITPRAGYA SCIENCE CLASSES, GANDHIDHAM ADVANCED MATHEMATICS FOR JEE | BITSAT | GUJCET | OLYMPIADS | IX, X, XI, XII, XII + MISHAL CHAUHAN (M.Tech, IIT Delhi) Address 1: Near Gayatri Mandir, Opp. PGVCL Office, Shaktinagar Address 2: Sec-5, G.H.B, Gandhidham Contact: 9879639888 Email:sthitpragyaclasses@gmail.com
  • 4.
    XI LOGARITHM (C)WORKSHEET STHITPRAGYA SCIENCE CLASSES, GANDHIDHAM ADVANCED MATHEMATICS FOR JEE | BITSAT | GUJCET | OLYMPIADS | IX, X, XI, XII, XII + MISHAL CHAUHAN (M.Tech, IIT Delhi) Address 1: Near Gayatri Mandir, Opp. PGVCL Office, Shaktinagar Address 2: Sec-5, G.H.B, Gandhidham Contact: 9879639888 Email:sthitpragyaclasses@gmail.com
  • 5.
    XI LOGARITHM (C)WORKSHEET STHITPRAGYA SCIENCE CLASSES, GANDHIDHAM ADVANCED MATHEMATICS FOR JEE | BITSAT | GUJCET | OLYMPIADS | IX, X, XI, XII, XII + MISHAL CHAUHAN (M.Tech, IIT Delhi) Address 1: Near Gayatri Mandir, Opp. PGVCL Office, Shaktinagar Address 2: Sec-5, G.H.B, Gandhidham Contact: 9879639888 Email:sthitpragyaclasses@gmail.com
  • 6.
    XI LOGARITHM (C)WORKSHEET STHITPRAGYA SCIENCE CLASSES, GANDHIDHAM ADVANCED MATHEMATICS FOR JEE | BITSAT | GUJCET | OLYMPIADS | IX, X, XI, XII, XII + MISHAL CHAUHAN (M.Tech, IIT Delhi) Address 1: Near Gayatri Mandir, Opp. PGVCL Office, Shaktinagar Address 2: Sec-5, G.H.B, Gandhidham Contact: 9879639888 Email:sthitpragyaclasses@gmail.com
  • 7.
    XI LOGARITHM (C)WORKSHEET STHITPRAGYA SCIENCE CLASSES, GANDHIDHAM ADVANCED MATHEMATICS FOR JEE | BITSAT | GUJCET | OLYMPIADS | IX, X, XI, XII, XII + MISHAL CHAUHAN (M.Tech, IIT Delhi) Address 1: Near Gayatri Mandir, Opp. PGVCL Office, Shaktinagar Address 2: Sec-5, G.H.B, Gandhidham Contact: 9879639888 Email:sthitpragyaclasses@gmail.com
  • 8.
    XI LOGARITHM (C)WORKSHEET STHITPRAGYA SCIENCE CLASSES, GANDHIDHAM ADVANCED MATHEMATICS FOR JEE | BITSAT | GUJCET | OLYMPIADS | IX, X, XI, XII, XII + MISHAL CHAUHAN (M.Tech, IIT Delhi) Address 1: Near Gayatri Mandir, Opp. PGVCL Office, Shaktinagar Address 2: Sec-5, G.H.B, Gandhidham Contact: 9879639888 Email:sthitpragyaclasses@gmail.com
  • 9.
    XI LOGARITHM (C)WORKSHEET STHITPRAGYA SCIENCE CLASSES, GANDHIDHAM ADVANCED MATHEMATICS FOR JEE | BITSAT | GUJCET | OLYMPIADS | IX, X, XI, XII, XII + MISHAL CHAUHAN (M.Tech, IIT Delhi) Address 1: Near Gayatri Mandir, Opp. PGVCL Office, Shaktinagar Address 2: Sec-5, G.H.B, Gandhidham Contact: 9879639888 Email:sthitpragyaclasses@gmail.com