ADVANCED MATHEMATICS FOUNDATION – INEQUALITIES (DAY 1)
STHITPRAGYA SCIENCE CLASSES, GANDHIDHAM
ADVANCED MATHEMATICS FOR JEE | BITSAT| GUJCET| OLYMPIADS | IX, X, XI, XII, XII +
MISHAL CHAUHAN (M.Tech, IIT Delhi)
Address 1: Near Gayatri Mandir, Opp. PGVCL Office, Shaktinagar Address 2: Sec-5, G.H.B, Gandhidham
Contact: 9879639888 Email:sthitpragyaclasses@gmail.com
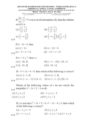
Q. 1
Q. 2
Q. 3
Q. 4
Q. 5
ADVANCED MATHEMATICS FOUNDATION – INEQUALITIES (DAY 1)
STHITPRAGYA SCIENCE CLASSES, GANDHIDHAM
ADVANCED MATHEMATICS FOR JEE | BITSAT| GUJCET| OLYMPIADS | IX, X, XI, XII, XII +
MISHAL CHAUHAN (M.Tech, IIT Delhi)
Address 1: Near Gayatri Mandir, Opp. PGVCL Office, Shaktinagar Address 2: Sec-5, G.H.B, Gandhidham
Contact: 9879639888 Email:sthitpragyaclasses@gmail.com
Q. 6
Q. 7
Q. 8
Q. 9
Q. 10
ADVANCED MATHEMATICS FOUNDATION – INEQUALITIES (DAY 1)
STHITPRAGYA SCIENCE CLASSES, GANDHIDHAM
ADVANCED MATHEMATICS FOR JEE | BITSAT| GUJCET| OLYMPIADS | IX, X, XI, XII, XII +
MISHAL CHAUHAN (M.Tech, IIT Delhi)
Address 1: Near Gayatri Mandir, Opp. PGVCL Office, Shaktinagar Address 2: Sec-5, G.H.B, Gandhidham
Contact: 9879639888 Email:sthitpragyaclasses@gmail.com
Q. 11
Q. 12
Q. 13
Q. 14
ADVANCED MATHEMATICS FOUNDATION – INEQUALITIES (DAY 1)
STHITPRAGYA SCIENCE CLASSES, GANDHIDHAM
ADVANCED MATHEMATICS FOR JEE | BITSAT| GUJCET| OLYMPIADS | IX, X, XI, XII, XII +
MISHAL CHAUHAN (M.Tech, IIT Delhi)
Address 1: Near Gayatri Mandir, Opp. PGVCL Office, Shaktinagar Address 2: Sec-5, G.H.B, Gandhidham
Contact: 9879639888 Email:sthitpragyaclasses@gmail.com
Q. 15
Q. 16
Q. 17
ADVANCED MATHEMATICS FOUNDATION – INEQUALITIES (DAY 1)
STHITPRAGYA SCIENCE CLASSES, GANDHIDHAM
ADVANCED MATHEMATICS FOR JEE | BITSAT| GUJCET| OLYMPIADS | IX, X, XI, XII, XII +
MISHAL CHAUHAN (M.Tech, IIT Delhi)
Address 1: Near Gayatri Mandir, Opp. PGVCL Office, Shaktinagar Address 2: Sec-5, G.H.B, Gandhidham
Contact: 9879639888 Email:sthitpragyaclasses@gmail.com
Q. 18
Q. 19
Q. 20
ADVANCED MATHEMATICS FOUNDATION – INEQUALITIES (DAY 1)
STHITPRAGYA SCIENCE CLASSES, GANDHIDHAM
ADVANCED MATHEMATICS FOR JEE | BITSAT| GUJCET| OLYMPIADS | IX, X, XI, XII, XII +
MISHAL CHAUHAN (M.Tech, IIT Delhi)
Address 1: Near Gayatri Mandir, Opp. PGVCL Office, Shaktinagar Address 2: Sec-5, G.H.B, Gandhidham
Contact: 9879639888 Email:sthitpragyaclasses@gmail.com
Q. 21
Q. 22
ADVANCED MATHEMATICS FOUNDATION – INEQUALITIES (DAY 1)
STHITPRAGYA SCIENCE CLASSES, GANDHIDHAM
ADVANCED MATHEMATICS FOR JEE | BITSAT| GUJCET| OLYMPIADS | IX, X, XI, XII, XII +
MISHAL CHAUHAN (M.Tech, IIT Delhi)
Address 1: Near Gayatri Mandir, Opp. PGVCL Office, Shaktinagar Address 2: Sec-5, G.H.B, Gandhidham
Contact: 9879639888 Email:sthitpragyaclasses@gmail.com
Q. 23
Q. 24
Q. 25
Q. 26
ADVANCED MATHEMATICS FOUNDATION – INEQUALITIES (DAY 1)
STHITPRAGYA SCIENCE CLASSES, GANDHIDHAM
ADVANCED MATHEMATICS FOR JEE | BITSAT| GUJCET| OLYMPIADS | IX, X, XI, XII, XII +
MISHAL CHAUHAN (M.Tech, IIT Delhi)
Address 1: Near Gayatri Mandir, Opp. PGVCL Office, Shaktinagar Address 2: Sec-5, G.H.B, Gandhidham
Contact: 9879639888 Email:sthitpragyaclasses@gmail.com
Q. 27
Q. 28
Q. 29
Q. 30
ADVANCED MATHEMATICS FOUNDATION – INEQUALITIES (DAY 1)
STHITPRAGYA SCIENCE CLASSES, GANDHIDHAM
ADVANCED MATHEMATICS FOR JEE | BITSAT| GUJCET| OLYMPIADS | IX, X, XI, XII, XII +
MISHAL CHAUHAN (M.Tech, IIT Delhi)
Address 1: Near Gayatri Mandir, Opp. PGVCL Office, Shaktinagar Address 2: Sec-5, G.H.B, Gandhidham
Contact: 9879639888 Email:sthitpragyaclasses@gmail.com
Q. 31
Q. 32
Q. 33
Q. 34
Q. 35
Q. 36
ADVANCED MATHEMATICS FOUNDATION – INEQUALITIES (DAY 1)
STHITPRAGYA SCIENCE CLASSES, GANDHIDHAM
ADVANCED MATHEMATICS FOR JEE | BITSAT| GUJCET| OLYMPIADS | IX, X, XI, XII, XII +
MISHAL CHAUHAN (M.Tech, IIT Delhi)
Address 1: Near Gayatri Mandir, Opp. PGVCL Office, Shaktinagar Address 2: Sec-5, G.H.B, Gandhidham
Contact: 9879639888 Email:sthitpragyaclasses@gmail.com
Q. 37
Q. 38
Q. 39
Q. 40
Q. 42

Ix x foundation inequalities - day 1

  • 1.
    ADVANCED MATHEMATICS FOUNDATION– INEQUALITIES (DAY 1) STHITPRAGYA SCIENCE CLASSES, GANDHIDHAM ADVANCED MATHEMATICS FOR JEE | BITSAT| GUJCET| OLYMPIADS | IX, X, XI, XII, XII + MISHAL CHAUHAN (M.Tech, IIT Delhi) Address 1: Near Gayatri Mandir, Opp. PGVCL Office, Shaktinagar Address 2: Sec-5, G.H.B, Gandhidham Contact: 9879639888 Email:sthitpragyaclasses@gmail.com Q. 1 Q. 2 Q. 3 Q. 4 Q. 5
  • 2.
    ADVANCED MATHEMATICS FOUNDATION– INEQUALITIES (DAY 1) STHITPRAGYA SCIENCE CLASSES, GANDHIDHAM ADVANCED MATHEMATICS FOR JEE | BITSAT| GUJCET| OLYMPIADS | IX, X, XI, XII, XII + MISHAL CHAUHAN (M.Tech, IIT Delhi) Address 1: Near Gayatri Mandir, Opp. PGVCL Office, Shaktinagar Address 2: Sec-5, G.H.B, Gandhidham Contact: 9879639888 Email:sthitpragyaclasses@gmail.com Q. 6 Q. 7 Q. 8 Q. 9 Q. 10
  • 3.
    ADVANCED MATHEMATICS FOUNDATION– INEQUALITIES (DAY 1) STHITPRAGYA SCIENCE CLASSES, GANDHIDHAM ADVANCED MATHEMATICS FOR JEE | BITSAT| GUJCET| OLYMPIADS | IX, X, XI, XII, XII + MISHAL CHAUHAN (M.Tech, IIT Delhi) Address 1: Near Gayatri Mandir, Opp. PGVCL Office, Shaktinagar Address 2: Sec-5, G.H.B, Gandhidham Contact: 9879639888 Email:sthitpragyaclasses@gmail.com Q. 11 Q. 12 Q. 13 Q. 14
  • 4.
    ADVANCED MATHEMATICS FOUNDATION– INEQUALITIES (DAY 1) STHITPRAGYA SCIENCE CLASSES, GANDHIDHAM ADVANCED MATHEMATICS FOR JEE | BITSAT| GUJCET| OLYMPIADS | IX, X, XI, XII, XII + MISHAL CHAUHAN (M.Tech, IIT Delhi) Address 1: Near Gayatri Mandir, Opp. PGVCL Office, Shaktinagar Address 2: Sec-5, G.H.B, Gandhidham Contact: 9879639888 Email:sthitpragyaclasses@gmail.com Q. 15 Q. 16 Q. 17
  • 5.
    ADVANCED MATHEMATICS FOUNDATION– INEQUALITIES (DAY 1) STHITPRAGYA SCIENCE CLASSES, GANDHIDHAM ADVANCED MATHEMATICS FOR JEE | BITSAT| GUJCET| OLYMPIADS | IX, X, XI, XII, XII + MISHAL CHAUHAN (M.Tech, IIT Delhi) Address 1: Near Gayatri Mandir, Opp. PGVCL Office, Shaktinagar Address 2: Sec-5, G.H.B, Gandhidham Contact: 9879639888 Email:sthitpragyaclasses@gmail.com Q. 18 Q. 19 Q. 20
  • 6.
    ADVANCED MATHEMATICS FOUNDATION– INEQUALITIES (DAY 1) STHITPRAGYA SCIENCE CLASSES, GANDHIDHAM ADVANCED MATHEMATICS FOR JEE | BITSAT| GUJCET| OLYMPIADS | IX, X, XI, XII, XII + MISHAL CHAUHAN (M.Tech, IIT Delhi) Address 1: Near Gayatri Mandir, Opp. PGVCL Office, Shaktinagar Address 2: Sec-5, G.H.B, Gandhidham Contact: 9879639888 Email:sthitpragyaclasses@gmail.com Q. 21 Q. 22
  • 7.
    ADVANCED MATHEMATICS FOUNDATION– INEQUALITIES (DAY 1) STHITPRAGYA SCIENCE CLASSES, GANDHIDHAM ADVANCED MATHEMATICS FOR JEE | BITSAT| GUJCET| OLYMPIADS | IX, X, XI, XII, XII + MISHAL CHAUHAN (M.Tech, IIT Delhi) Address 1: Near Gayatri Mandir, Opp. PGVCL Office, Shaktinagar Address 2: Sec-5, G.H.B, Gandhidham Contact: 9879639888 Email:sthitpragyaclasses@gmail.com Q. 23 Q. 24 Q. 25 Q. 26
  • 8.
    ADVANCED MATHEMATICS FOUNDATION– INEQUALITIES (DAY 1) STHITPRAGYA SCIENCE CLASSES, GANDHIDHAM ADVANCED MATHEMATICS FOR JEE | BITSAT| GUJCET| OLYMPIADS | IX, X, XI, XII, XII + MISHAL CHAUHAN (M.Tech, IIT Delhi) Address 1: Near Gayatri Mandir, Opp. PGVCL Office, Shaktinagar Address 2: Sec-5, G.H.B, Gandhidham Contact: 9879639888 Email:sthitpragyaclasses@gmail.com Q. 27 Q. 28 Q. 29 Q. 30
  • 9.
    ADVANCED MATHEMATICS FOUNDATION– INEQUALITIES (DAY 1) STHITPRAGYA SCIENCE CLASSES, GANDHIDHAM ADVANCED MATHEMATICS FOR JEE | BITSAT| GUJCET| OLYMPIADS | IX, X, XI, XII, XII + MISHAL CHAUHAN (M.Tech, IIT Delhi) Address 1: Near Gayatri Mandir, Opp. PGVCL Office, Shaktinagar Address 2: Sec-5, G.H.B, Gandhidham Contact: 9879639888 Email:sthitpragyaclasses@gmail.com Q. 31 Q. 32 Q. 33 Q. 34 Q. 35 Q. 36
  • 10.
    ADVANCED MATHEMATICS FOUNDATION– INEQUALITIES (DAY 1) STHITPRAGYA SCIENCE CLASSES, GANDHIDHAM ADVANCED MATHEMATICS FOR JEE | BITSAT| GUJCET| OLYMPIADS | IX, X, XI, XII, XII + MISHAL CHAUHAN (M.Tech, IIT Delhi) Address 1: Near Gayatri Mandir, Opp. PGVCL Office, Shaktinagar Address 2: Sec-5, G.H.B, Gandhidham Contact: 9879639888 Email:sthitpragyaclasses@gmail.com Q. 37 Q. 38 Q. 39 Q. 40 Q. 42