CLASS XII INVERSE TRIGONOMETRY, RELATION, FUNCTION
STHITPRAGYA SCIENCE CLASSES, GANDHIDHAM
ADVANCED MATHEMATICS FOR JEE | BITSAT| GUJCET| OLYMPIADS | IX, X, XI, XII, XII +
MISHAL CHAUHAN (M.Tech, IIT Delhi)
Address 1: Near Gayatri Mandir, Opp. PGVCL Office, Shaktinagar Address 2: Sec-5, G.H.B, Gandhidham
Contact: 9879639888 Email:sthitpragyaclasses@gmail.com
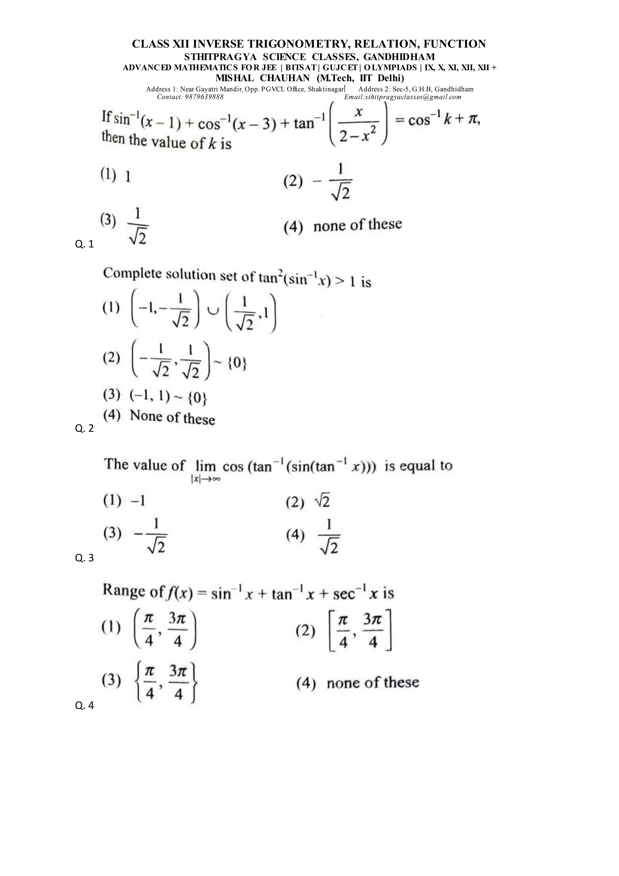
Q. 1
Q. 2
Q. 3
Q. 4
CLASS XII INVERSE TRIGONOMETRY, RELATION, FUNCTION
STHITPRAGYA SCIENCE CLASSES, GANDHIDHAM
ADVANCED MATHEMATICS FOR JEE | BITSAT| GUJCET| OLYMPIADS | IX, X, XI, XII, XII +
MISHAL CHAUHAN (M.Tech, IIT Delhi)
Address 1: Near Gayatri Mandir, Opp. PGVCL Office, Shaktinagar Address 2: Sec-5, G.H.B, Gandhidham
Contact: 9879639888 Email:sthitpragyaclasses@gmail.com
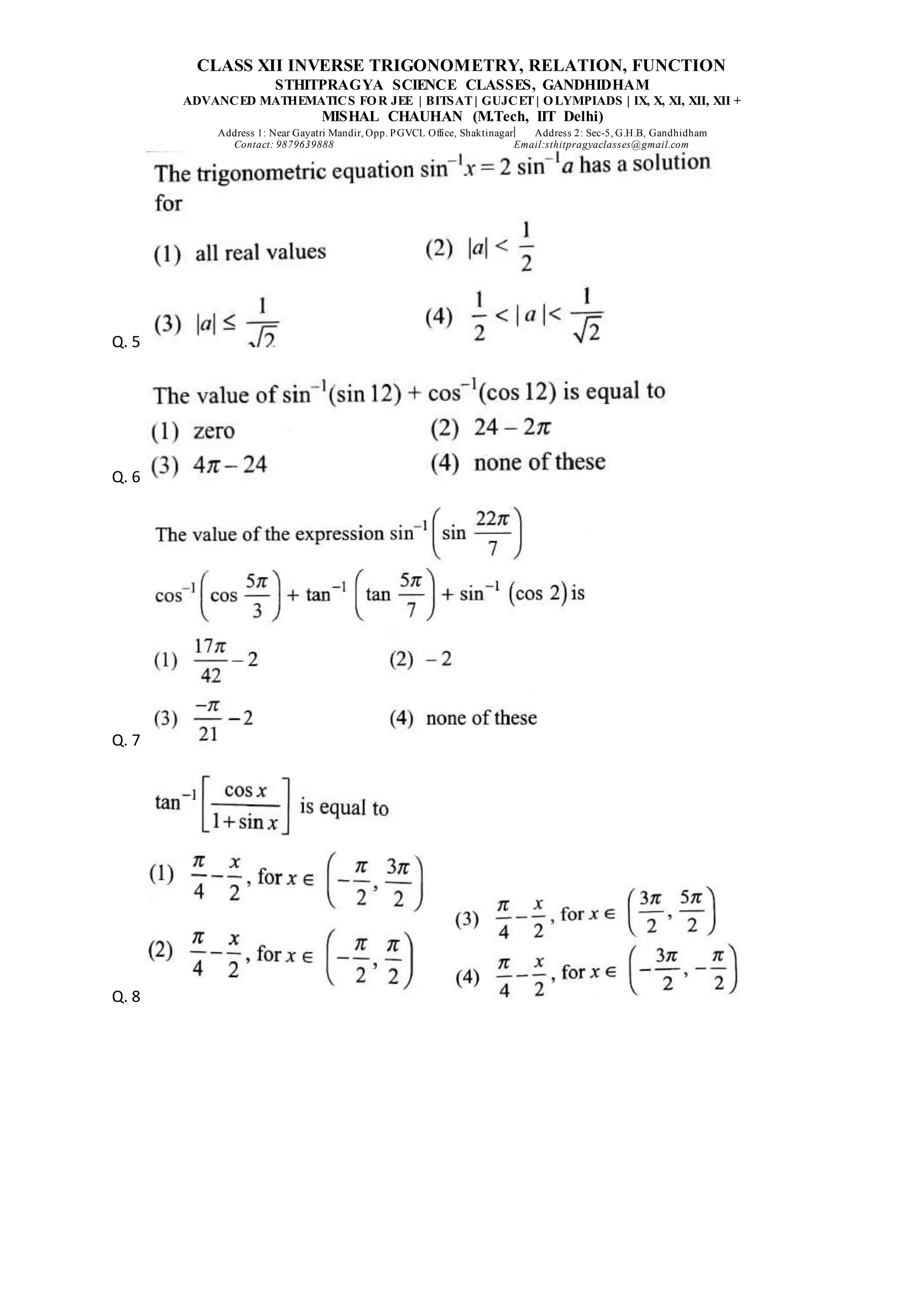
Q. 5
Q. 6
Q. 7
Q. 8
CLASS XII INVERSE TRIGONOMETRY, RELATION, FUNCTION
STHITPRAGYA SCIENCE CLASSES, GANDHIDHAM
ADVANCED MATHEMATICS FOR JEE | BITSAT| GUJCET| OLYMPIADS | IX, X, XI, XII, XII +
MISHAL CHAUHAN (M.Tech, IIT Delhi)
Address 1: Near Gayatri Mandir, Opp. PGVCL Office, Shaktinagar Address 2: Sec-5, G.H.B, Gandhidham
Contact: 9879639888 Email:sthitpragyaclasses@gmail.com
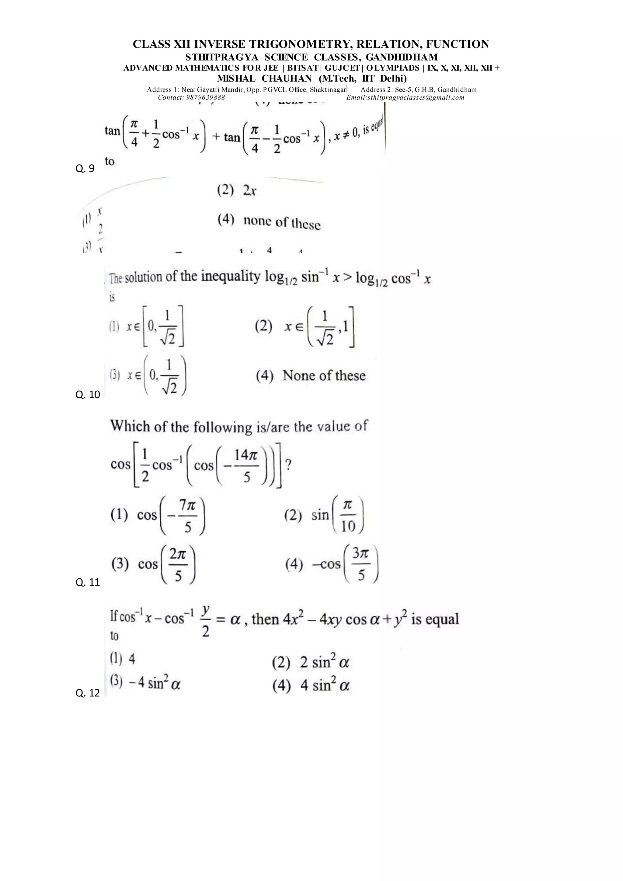
Q. 9
Q. 10
Q. 11
Q. 12
CLASS XII INVERSE TRIGONOMETRY, RELATION, FUNCTION
STHITPRAGYA SCIENCE CLASSES, GANDHIDHAM
ADVANCED MATHEMATICS FOR JEE | BITSAT| GUJCET| OLYMPIADS | IX, X, XI, XII, XII +
MISHAL CHAUHAN (M.Tech, IIT Delhi)
Address 1: Near Gayatri Mandir, Opp. PGVCL Office, Shaktinagar Address 2: Sec-5, G.H.B, Gandhidham
Contact: 9879639888 Email:sthitpragyaclasses@gmail.com
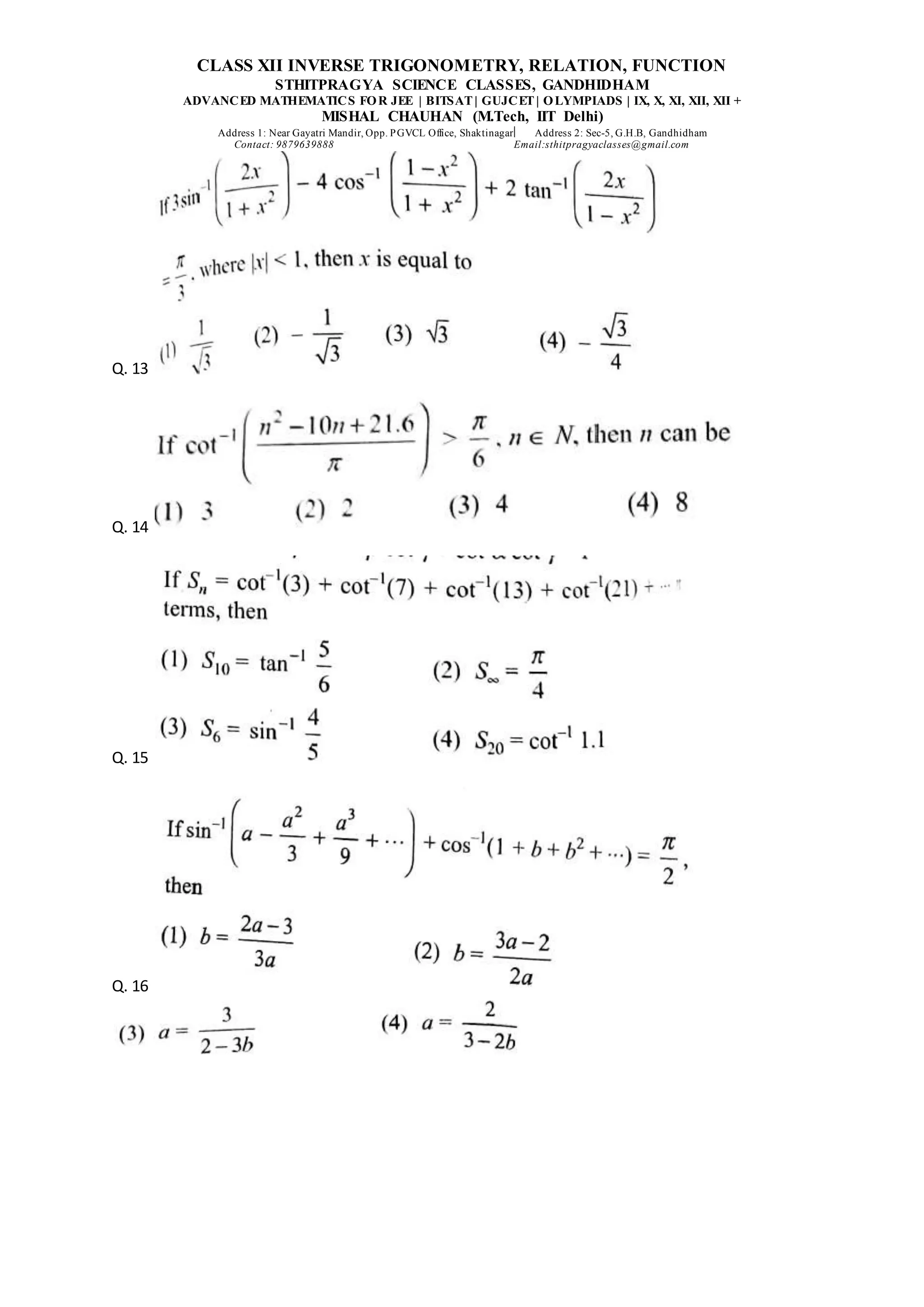
Q. 13
Q. 14
Q. 15
Q. 16
CLASS XII INVERSE TRIGONOMETRY, RELATION, FUNCTION
STHITPRAGYA SCIENCE CLASSES, GANDHIDHAM
ADVANCED MATHEMATICS FOR JEE | BITSAT| GUJCET| OLYMPIADS | IX, X, XI, XII, XII +
MISHAL CHAUHAN (M.Tech, IIT Delhi)
Address 1: Near Gayatri Mandir, Opp. PGVCL Office, Shaktinagar Address 2: Sec-5, G.H.B, Gandhidham
Contact: 9879639888 Email:sthitpragyaclasses@gmail.com
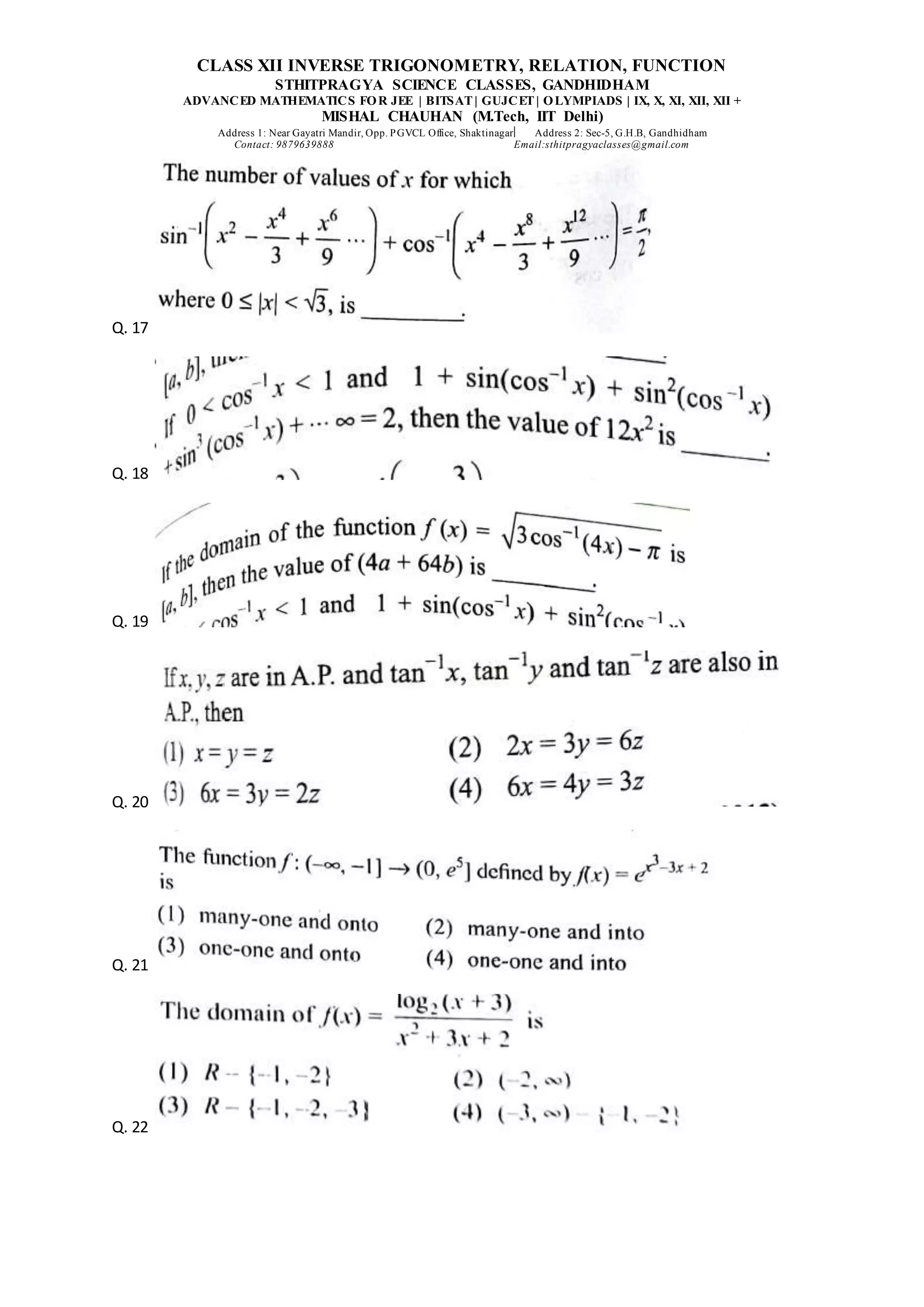
Q. 17
Q. 18
Q. 19
Q. 20
Q. 21
Q. 22
CLASS XII INVERSE TRIGONOMETRY, RELATION, FUNCTION
STHITPRAGYA SCIENCE CLASSES, GANDHIDHAM
ADVANCED MATHEMATICS FOR JEE | BITSAT| GUJCET| OLYMPIADS | IX, X, XI, XII, XII +
MISHAL CHAUHAN (M.Tech, IIT Delhi)
Address 1: Near Gayatri Mandir, Opp. PGVCL Office, Shaktinagar Address 2: Sec-5, G.H.B, Gandhidham
Contact: 9879639888 Email:sthitpragyaclasses@gmail.com
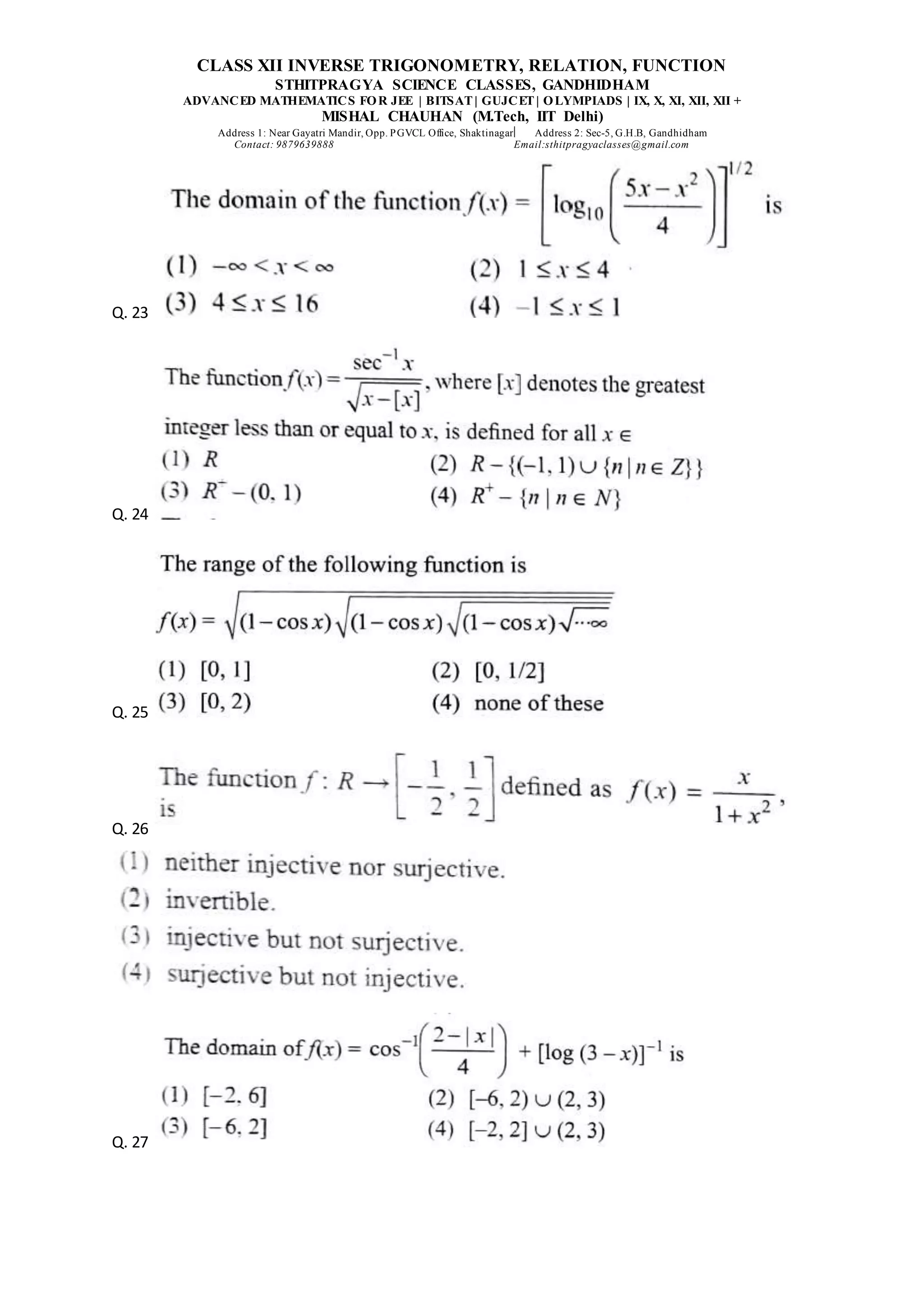
Q. 23
Q. 24
Q. 25
Q. 26
Q. 27
CLASS XII INVERSE TRIGONOMETRY, RELATION, FUNCTION
STHITPRAGYA SCIENCE CLASSES, GANDHIDHAM
ADVANCED MATHEMATICS FOR JEE | BITSAT| GUJCET| OLYMPIADS | IX, X, XI, XII, XII +
MISHAL CHAUHAN (M.Tech, IIT Delhi)
Address 1: Near Gayatri Mandir, Opp. PGVCL Office, Shaktinagar Address 2: Sec-5, G.H.B, Gandhidham
Contact: 9879639888 Email:sthitpragyaclasses@gmail.com
Q.28
Q. 29

Class XII Inverse Trigo, Relation, Function worksheet

  • 1.
    CLASS XII INVERSETRIGONOMETRY, RELATION, FUNCTION STHITPRAGYA SCIENCE CLASSES, GANDHIDHAM ADVANCED MATHEMATICS FOR JEE | BITSAT| GUJCET| OLYMPIADS | IX, X, XI, XII, XII + MISHAL CHAUHAN (M.Tech, IIT Delhi) Address 1: Near Gayatri Mandir, Opp. PGVCL Office, Shaktinagar Address 2: Sec-5, G.H.B, Gandhidham Contact: 9879639888 Email:sthitpragyaclasses@gmail.com Q. 1 Q. 2 Q. 3 Q. 4
  • 2.
    CLASS XII INVERSETRIGONOMETRY, RELATION, FUNCTION STHITPRAGYA SCIENCE CLASSES, GANDHIDHAM ADVANCED MATHEMATICS FOR JEE | BITSAT| GUJCET| OLYMPIADS | IX, X, XI, XII, XII + MISHAL CHAUHAN (M.Tech, IIT Delhi) Address 1: Near Gayatri Mandir, Opp. PGVCL Office, Shaktinagar Address 2: Sec-5, G.H.B, Gandhidham Contact: 9879639888 Email:sthitpragyaclasses@gmail.com Q. 5 Q. 6 Q. 7 Q. 8
  • 3.
    CLASS XII INVERSETRIGONOMETRY, RELATION, FUNCTION STHITPRAGYA SCIENCE CLASSES, GANDHIDHAM ADVANCED MATHEMATICS FOR JEE | BITSAT| GUJCET| OLYMPIADS | IX, X, XI, XII, XII + MISHAL CHAUHAN (M.Tech, IIT Delhi) Address 1: Near Gayatri Mandir, Opp. PGVCL Office, Shaktinagar Address 2: Sec-5, G.H.B, Gandhidham Contact: 9879639888 Email:sthitpragyaclasses@gmail.com Q. 9 Q. 10 Q. 11 Q. 12
  • 4.
    CLASS XII INVERSETRIGONOMETRY, RELATION, FUNCTION STHITPRAGYA SCIENCE CLASSES, GANDHIDHAM ADVANCED MATHEMATICS FOR JEE | BITSAT| GUJCET| OLYMPIADS | IX, X, XI, XII, XII + MISHAL CHAUHAN (M.Tech, IIT Delhi) Address 1: Near Gayatri Mandir, Opp. PGVCL Office, Shaktinagar Address 2: Sec-5, G.H.B, Gandhidham Contact: 9879639888 Email:sthitpragyaclasses@gmail.com Q. 13 Q. 14 Q. 15 Q. 16
  • 5.
    CLASS XII INVERSETRIGONOMETRY, RELATION, FUNCTION STHITPRAGYA SCIENCE CLASSES, GANDHIDHAM ADVANCED MATHEMATICS FOR JEE | BITSAT| GUJCET| OLYMPIADS | IX, X, XI, XII, XII + MISHAL CHAUHAN (M.Tech, IIT Delhi) Address 1: Near Gayatri Mandir, Opp. PGVCL Office, Shaktinagar Address 2: Sec-5, G.H.B, Gandhidham Contact: 9879639888 Email:sthitpragyaclasses@gmail.com Q. 17 Q. 18 Q. 19 Q. 20 Q. 21 Q. 22
  • 6.
    CLASS XII INVERSETRIGONOMETRY, RELATION, FUNCTION STHITPRAGYA SCIENCE CLASSES, GANDHIDHAM ADVANCED MATHEMATICS FOR JEE | BITSAT| GUJCET| OLYMPIADS | IX, X, XI, XII, XII + MISHAL CHAUHAN (M.Tech, IIT Delhi) Address 1: Near Gayatri Mandir, Opp. PGVCL Office, Shaktinagar Address 2: Sec-5, G.H.B, Gandhidham Contact: 9879639888 Email:sthitpragyaclasses@gmail.com Q. 23 Q. 24 Q. 25 Q. 26 Q. 27
  • 7.
    CLASS XII INVERSETRIGONOMETRY, RELATION, FUNCTION STHITPRAGYA SCIENCE CLASSES, GANDHIDHAM ADVANCED MATHEMATICS FOR JEE | BITSAT| GUJCET| OLYMPIADS | IX, X, XI, XII, XII + MISHAL CHAUHAN (M.Tech, IIT Delhi) Address 1: Near Gayatri Mandir, Opp. PGVCL Office, Shaktinagar Address 2: Sec-5, G.H.B, Gandhidham Contact: 9879639888 Email:sthitpragyaclasses@gmail.com Q.28 Q. 29