Embed presentation
Download to read offline










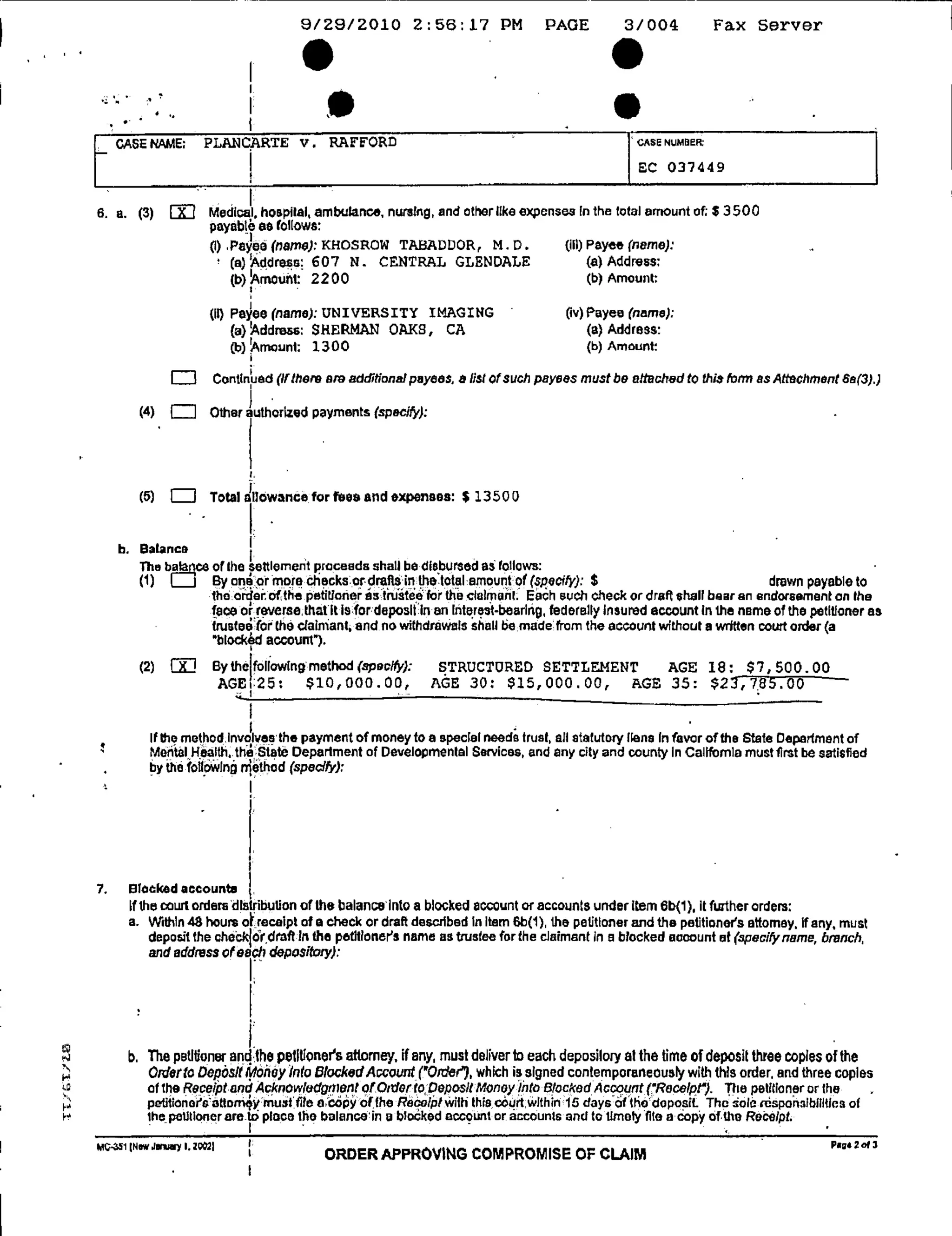
Catalina California Structured Settlement Transfer Court order example. Uploaded by leading company Einstein Structured Settlements for those who are interested in learning how the sale process and transferring process works.









