CONTENTS

 INTRODUCTION                         3

 DESCRIPTION                          5

 UNIT CREDIT                          6

 TIME ALLOTMENT                       6

 EXPECTANCIES                         7

 SCOPE AND SEQUENCE                   8

 SUGGESTED STRATEGIES AND MATERIALS   9

 GRADING SYSTEM                       10

 LEARNING COMPETENCIES                11

 SAMPLE LESSON PLANS                  30
INTRODUCTION
     This Handbook aims to provide the general public – parents, students, researchers, and other
stakeholders – an overview of the Mathematics program at the secondary level. Those in education,
however, may use it as a reference for implementing the 2002 secondary education curriculum, or as a
source document to inform policy and guide practice.

For quick reference, the Handbook is outlined as follows:

      * The description defines the focus and the emphasis of the learning area as well as the
        language of instruction used.

      * The unit credit indicates the number of units assigned to a learning area computed
        on a 40-minute per unit credit basis and which shall be used to evaluate a student’s
        promotion to the next year level.

      * The time allotment specifies the number of minutes allocated to a learning area on a
        daily (or weekly, as the case may be) basis.

      * The expectancies refer to the general competencies that the learners are expected to
        demonstrate at the end of each year level.

      * The scope and sequence outlines the content, or the coverage of the learning area in
        terms of concepts or themes, as the case may be.

      * The suggested strategies are those that are typically employed to develop the content,
        build skills, and integrate learning.

      * The materials include those that have been approved for classroom use. The application
        of information and communication technology is encouraged, where available.

      * The grading system specifies how learning outcomes shall be evaluated and the
        aspects of student performance which shall be rated.

      * The learning competencies are the knowledge, skills, attitudes and values that the
        students are expected to develop or acquire during the teaching-learning situations.

      * Lastly, sample lesson plans are provided to illustrate the mode of integration, where
        appropriate, the application of life skills and higher order thinking skills, the valuing
        process and the differentiated activities to address the learning needs of students.
The Handbook is designed as a practical guide and is not intended to structure the operationalization of
the curriculum or impose restrictions on how the curriculum shall be implemented. Decisions on how
best to teach and how learning outcomes can be achieved most successfully rest with the school principals
and teachers. They know the direction they need to take and how best to get there.
DESCRIPTION
First Year is Elementary Algebra. It deals with life situations and problems involving measurement,
real number system, algebraic expressions, first degree equations and inequalities in one variable, linear
equations in two variables, special products and factoring.




Second Year is Intermediate Algebra. It deals with systems of linear equations and inequalities, quadratic
equations, rational algebraic expressions, variation, integral exponents, radical expressions, and searching
for patterns in sequences (arithmetic, geometric, etc) as applied in real-life situations.




Third Year is Geometry. It deals with the practical application to life of the geometry of shape and
size, geometric relations, triangle congruence, properties of quadrilaterals, similarity, circles, and plane
coordinate geometry.




Fourth Year is still the existing integrated ( algebra, geometry, statistics and a unit of trigonometry)
spiral mathematics but in school year 2003-2004 the graduating students have the option to take up either
Business Mathematics and Statistics or Trigonometry and Advanced Algebra.
UNIT CREDIT
Mathematics in each year level shall be given 1.5 units each.



TIME ALLOTMENT
       The daily time allotment for Mathematics in all year levels is 60 minutes or 300 minutes weekly
EXPECTANCIES IN MATHEMATICS
       The student will be able to compute and measure accurately, come up with reasonable estimate,
gather, analyze and interpret data, visualize abstract mathematical ideas, present alternative solutions to
problems using technology, among others, and apply them in real-life situations.




                                               ñ
       At the end of Third Year, the student is expected to demonstrate understanding and skills
in geometric relations, proving and applying theorems on congruence and similarity of triangles,
quadrilaterals, circles and basic concepts on plane coordinate geometry.




                                               ñ
       At the end of Second Year, the student is expected to demonstrate understanding of concepts
and skills related to systems of linear equations and inequalities, quadratic equations, rational algebraic
expressions, variation, integral exponents, radical expressions and searching for patterns in sequences:
arithmetic, geometric and others and apply them in solving problems.




                                               ñ
       At the end of First Year, the student is expected to demonstrate understanding and skills in
measurement and use of measuring devices, performing operations on real numbers and algebraic
expressions, solving first degree equations and inequalities in one variable, linear equations in two
variables and special products and factoring and apply them in solving problems.
SCOPE AND SEQUENCE
ELEMENTARY ALGEBRA (FIRST YEAR)

  1.   Measurement
  2.   Real Number system
  3.   Algebraic Expressions
  4.   First Degree Equations and Inequalities in One Variable
  5.   Linear Equations in Two Variables
  6.   Special Products and Factors



INTERMEDIATE ALGEBRA (SECOND YEAR)

  1.   Systems of Linear Equations and Inequalities
  2.   Quadratic Equations
  3.   Rational Algebraic Expressions
  4.   Variation
  5.   Integral Exponents
  6.   Radical Expressions
  7.   Searching for Patterns in Sequences: Arithmetic, Geometry,etc.



GEOMETRY (THIRD YEAR)

  1.   Geometry of Shape and Size
  2.   Geometric Relations
  3.   Triangle Congruence
  4.   Properties of Quadrilaterals
  5.   Similarity
  6.   Circles
  7.   Plane Coordinate Geometry
SUGGESTED STRATEGIES AND MATERIALS
Strategies in mathematics teaching include discussion, practical work, practice and consolidation,
problem solving, mathematical investigation and cooperative learning.

DISCUSSION
       • It is more than the short question and answer which arise during exposition
       • It takes place between teacher and students or between students themselves.

PRACTICAL WORK
       • More student-centered activities
       • Teacher acts as facilitator
       • Concretizes abstract concepts
       • Develops students’ confidence to discover solutions to problems

PRACTICE AND CONSOLIDATION
       • Develops mastery of a particular concept which is needed in problem solving and
         investigation

PROBLEM SOLVING
       • Process of applying mathematics in the real world
       • Involves the exploration of the solution to a given situation

MATHEMATICAL INVESTIGATION
       • An open-ended problem solving
       • It involves the exploration of a mathematical situation, making conjectures and reason
          logically

COOPERATIVE LEARNING
       • Members are encouraged to work as a team in exchanging ideas, successes and failures.

MATERIALS INCLUDE DEPED APPROVED TEXTBOOKS AND LESSON PLANS.
FEATURES OF THE LESSON PLANS ARE:
       •   Application of higher order thinking skills
       •   Integration of values education
       •   Provision of teaching-learning activities that address multiple intelligences
       •   Use of cooperative learning strategies
GRADING SYSTEM
 The grade will be based on certain criteria weighted accordingly as follows:

 PERIODICAL TEST                                  25%
 UNIT TEST                                        25%
 QUIZZES                                          20%
 PARTICIPATION                                     15%
 HOMEWORK                                          15%
                                                 ______
 TOTAL                                            100%
DETAILED LISTING OF
LEARNING COMPETENCIES
HIGH SCHOOL MATHEMATICS

ELEMENTARY ALGEBRA (1ST YEAR HIGH SCHOOL)

A. Measurement
           1.    Illustrate the development of measurement from the primitive to the present
                 international system of units

           2.    Use instruments to measure length, weight, volume, temperature, time, angle

           3.    Express relationships between two quantities using ratios

           4.    Convert measurements from one unit to another

           5.    Round off measurements; round off numbers to a given place (e.g. nearest ten, nearest
                 tenth)

           6. Solve problems involving measurement



B. Real Number System
           1.    Describe the real number system: natural numbers, whole numbers, integers, rational
                 numbers, irrational numbers, real numbers
                 1.1 Review operations on whole numbers
                 1.2 Describe opposite quantities in real life; illustrate integers on the number line;
                     use integers to describe positive or negative quantities
                 1.3 Visualize integers and their order on a number line; represent movement along
                     the number line using integers
                 1.4 Arrange integers in increasing/decreasing order
                 1.5 Define the absolute value of a number on a number line as distance from the
                     origin.
                 1.6 Determine the absolute value of a number; solve simple absolute value equations
                     using the number line
                 1.7 Perform fundamental operations on integers: addition, subtraction, multiplication,
                     division; state and illustrate the different properties (commutative, associative,
distributive, identity, inverse)
                1.8    Define rational numbers; translate rational numbers (both terminating and
                       repeating/non-terminating) from fraction form to decimal form and vice versa
                1.9    Arrange rational numbers in increasing/decreasing order
                1.10   Review simplification of and operations on fractions
                1.11    Review operations on decimals

           2. Square roots of positive rational numbers
                2.1 Define the square root of a rational number; approximate the square root of a
                     positive rational number
                2.2 Identify square roots which are rational and which are not rational (irrational
                     numbers)
                2.3 If the square root of a number is not rational, determine two integers or rational
                     numbers between which it lies
                2.4 Give examples of other irrational numbers
                2.5 Use knowledge related to signed numbers and square roots in problem-solving



C. Algebraic Expressions
           1.   Define constants, variables, algebraic expressions

           2.   Simplify numerical expressions involving exponents and grouping symbols

           3.   Translate verbal phrases to mathematical expressions and vice versa

           4.   Evaluate mathematical expressions for given values for the variable(s) involved

           5.   Define monomials, binomials, trinomials and multinomials and illustrate these

           6.   Simplify monomials using the laws on exponents
                6.1 Identify monomials; identify the base, coefficient and exponent in a monomial
                6.2 Laws on exponents
                   •

                  •

                  •

                  •
•

                                 where m – n is a positive number if m > n.

                                         m – n is a negative number if m < n.
                 6.3 Simplify and perform operations on monomials
                 6.4 Express numbers in scientific notation

            7.   Define polynomials; classify algebraic expressions as polynomials and non-
                 polynomials

            8.   Perform operations on polynomials
                 8.1 Addition and subtraction
                 8.2 Multiplication : polynomial by a monomial
                 8.3 Multiplication : polynomial by another polynomial
                 8.4 Division : polynomial by a monomial
                      Division : polynomial by a polynomial

            9.   Problem solving involving polynomials



D. First Degree Equations and Inequalities In One Variable
            1.   Introduce first degree equations and inequalities in one variable
                 1.1 Distinguish between mathematical phrases and sentences
                 1.2 Distinguish between expressions and equations
                 1.3 Distinguish between equations and inequalities

            2.   Translate verbal statements involving general or unknown quantities to equations and
                 inequalities and vice versa

            3.   Define first degree equations and inequalities in one variable
                 1.1 Define the solution set of a first degree equation or inequality
                 1.2 Illustrate the solution set of equations and inequalities in one variable on the
                      number line
                 1.3 Find the solution set of simple equations and inequalities in one variable from a
                      given replacement set
                 1.4 Find the solution set of simple equations and inequalities in one variable by
                      inspection
4.   Review the basic properties of real numbers; state and illustrate the different properties
                of equality

           5.   Determine the solution set of first degree equations in one variable by applying the
                properties of equality

           6.   Determine the solution set of first degree inequalities in one variable by applying the
                properties of inequality; visualize solutions of simple mathematical inequalities on a
                number line

           7.   Solve problems using first degree equations and inequalities in one variable (e.g.
                relations among numbers, geometry, business, uniform motion, money problems,etc.)



E. Linear Equations in Two Variables
           1.   Describe the Cartesian Coordinate Plane (x-axis, y-axis, quadrant, origin)

           2.    Describe points plotted on the Cartesian Coordinate Plane; plot points on the Cartesian
                Coordinate Plane
                2.1 Given a point on the coordinate plane, give its coordinates
                2.2 Given a pair of coordinates, plot the point
                2.3 Given the coordinates of a point, determine the quadrant where it is located

           3.   Define a linear equation in two variables: Ax+By=C.
                3.1 construct a table of values for x and y given a linear equation in two variables,
                     Ax+By=C
                2.2 Draw the graph of Ax+By=C based on a table of values for x and y
                3.3 Define x and y intercepts, slope, domain, range
                3.4 Determine the following properties of the graph of a linear equation
                     Ax + By = C :
                     • Intercepts
                     • Trend (increasing or decreasing)
                     • Domain
                     • Range
                     • Slope

           4.   Given a linear equation Ax + By = C, rewrite in the form y = mx + b, and vice versa
                4.1 draw the graph of a linear equation in two variables described by an equation
                     using
• the intercepts
                      • any two points
                      • the slope and a given point
                 4.2 determine whether the graph of Ax+ By = C is increasing or decreasing
                 4.3 obtain the equation of a line given the following:
                      • the intercepts
                      • any two points
                      • the slope and a point
                 4.4 use linear equations in two variables to solve problems


ENRICHMENT FOR LINEAR EQUATIONS IN TWO VARIABLES:


            5.   Define an absolute value equation

                 5.1 Review the meaning of the absolute value of a number
                 5.2 Construct a table of ordered pairs and draw the graphs of the following:
                     • y=

                      •   y=     +b

                      •   y=     -b

                      •   y=

                      •   y=

                      •   y=          +c


F. Special Products and Factoring
            1.   Review multiplication of polynomials
                 1.1 monomial by polynomial – using the distributive property
                 1.2 binomial by binomial – using the distributive property, using the FOIL method

            2. Identify special products
                 • Polynomials whose terms have a common monomial factor
               • Trinomials which are products of two binomials
               • Trinomials which are squares of a binomial
               • Products of the sum and difference of two quantities
3.   Factor polynomials
             • Polynomials whose terms have a common monomial factor
             • Trinomials which are products of two binomials
             • Trinomials which are squares of a binomial
             • Products of the sum and difference of two quantities

        4.   Given a polynomial, factor completely


ENRICHMENT FOR SPECIAL PRODUCTS AND FACTORING


        5. Use special products and factoring to solve problems
INTERMEDIATE ALGEBRA (2ND YEAR HIGH SCHOOL)


A. Systems of Linear Equations and Inequalities
            1.   Review the Cartesian Coordinate System

            2.   Review graphs of linear equations in two variables

            3.   Define a system of linear equations in two variables

            4.   Solve systems of linear equations in two variables
                 4.1 Given a pair of linear equations in two variables, identify those whose graphs
                      are parallel, those that intersect, and those that coincide
                 4.2 Given a system of linear equations in two variables find the solution of the
                      system graphically (i.e. by drawing the graphs and obtaining the coordinates of
                      the intersection point)
                 4.3 Given a system of linear equations in two variables, determine whether or not their
                      graphs intersect, and if they do, find the solution of the system algebraically
                       • By elimination
                       • By substitution

            5.   Use systems of linear equations to solve problems (e.g. number relations, uniform
                 motion, geometric relations, mixture, investment, work)

            6.   Review the definition of inequalities; define a system of linear inequalities

                 6.1 Translate certain situations in real life to linear inequalities

                 6.2 Draw the graph of a linear inequality in two variables

                 6.3 Represent the solution set of a system of linear inequalities by graphing



B. Quadratic Equations

            1.   Define a quadratic equation                     ; distinguish a quadratic equation from a
                 linear equation

            2.   Find the solution set of a quadratic equation
1.1 Review the definition of solution set of an equation; define “root of an equation”
                 1.2 Determine the solution set of a quadratic equation                    by algebraic
                      methods:
                       • Factoring
                       • Quadratic formula
                       • Completing the square
                 2.3 derive the quadratic formula

   3. Solve rational equations which can be reduced to quadratic equations

   4. Use quadratic equations to solve problems


C. Rational Algebraic Expressions
            1.    Review simplification of fractions including complex fractions; review operations on
                  fractions

            2.    Define a rational algebraic expression; domain of a rational algebraic expression;
                  identify rational algebraic expressions; translate verbal expressions into rational
                  algebraic expressions

            3.    Simplify rational algebraic expressions(reduce to lowest terms)

            4.   Add and subtract rational algebraic expressions
                 4.1 Find the least common denominator
                 4.2 Change two or more rational expressions with unlike denominators to those with
                     like denominators
                 4.3 Simplify results

            5.    Multiply and divide rational algebraic expressions

            6.    Simplify complex fractions

            7.   Solve rational equations
                 7.1 Check for extraneous solutions

   8. Solve problems involving rational algebraic expressions
D. Variation
               1.   Define the following:
                    • Direct variation
                    • Direct square variation
                    • Inverse variation
                    • Joint variation

               2.   Identify relationships between two quantities in real life that are direct variations,
                    direct square variations, inverse square variations or joint variations

               3.   Translate statements that describe relationships between two quantities using the
                    following expressions to a table of values, a mathematical equation, or a graph, and
                    vice versa
                    • “_____ is directly proportional to _____”
                    • “_____ is inversely proportional to _____”
                    • “_____ varies directly as _____”
                    • “_____ varies directly as the square of _____”
                    • “_____ varies inversely as _____”

               4.   Solve problems on direct variation, direct square variation, inverse variation and joint
                    variation


E. Integral Exponents
               1.   Review concepts related to positive integer exponents

                    • The meaning of ax when x is a positive integer
                    • Laws on exponents
                    • Multiplying and dividing expressions with positive integral exponents

               2.   Demonstrate understanding of expressions with zero and negative exponents

                    1.1   Give the meaning of ax when x is 0 or a negative integer

                    1.2 Evaluate numerical expressions involving negative and zero exponents

                    1.3 Rewrite algebraic expressions with zero and negative exponents

                    1.4 Use laws of exponents to simplify algebraic expressions containing integral
                        exponents
3.   Review the use of scientific notation

            4.   Solve problems involving expressions with exponents


F. Radical Expressions
            1.   Review roots of numbers
                 1.1 Identify expressions which are perfect squares or perfect cubes, and find their
                     square root or cube root respectively
                 1.2 Given a number in the form         where x is not a perfect nth root, name two
                     rational numbers between which it lies

            2.   Demonstrate understanding of expressions with rational exponents
                 2.1 Use laws of exponents to simplify expressions containing rational exponents
                 2.2 Rewrite expressions with rational exponents as radical expressions and vice
                     versa

            3.   Simplify radical expressions
                 3.1 Identify the radicand and index in a radical expression
                 3.2 Simplify the radical expression      in such a way that the radicand contains no
                     perfect nth root
                 3.3 Rationalize a fraction whose denominator contains square roots

            4.   Add and subtract radical expressions

            5.   Multiply and divide radical expressions

            6.   Solve radical equations

            7.   Solve problems involving radical equations


G. Searching for Patterns in Sequences, Arithmetic, Geometric and Others
            1.   Demonstrate understanding of a sequence
                 1.1 List the next few terms of a sequence given several consecutive terms
                 1.2 Derive, by pattern-searching, a mathematical expression (rule) for generating the
                     sequence

            2.   Demonstrate understanding of an arithmetic sequence
                 2.1 Define and give examples of an arithmetic sequence
2.2 Describe an arithmetic sequence by any of the following ways:
         • Giving the first few terms
         • Giving the formula for the nth term
         • Drawing the graph
     2.3 Derive the formula for the nth term of an arithmetic sequence
         2.3.1 Given the first few terms of an arithmetic sequence, find the common
                difference and the nth term for a specified n
         2.3.2 Given two terms of an arithmetic sequence, find: the first term; the
                common difference or a specified nth term
     2.4 Derive the formula for the sum of the n terms of an arithmetic sequence
     2.5 Define an arithmetic mean; solve problems involving arithmetic means
     2.6 Solve problems involving arithmetic sequences

3.   Demonstrate understanding of a geometric sequence
     3.1 Define and give examples of a geometric sequence
     3.2 Describe a geometric sequence in any of the following ways:
         • Giving the first few terms of the sequence
         • Giving the formula for the nth term
         • Drawing the graph
     3.3 Derive the formula for the nth term of a geometric sequence
         3.3.1 Given the first few terms of a geometric sequence, find the common ratio
                and the nth term for a specified n
         3.3.2 Given two specified terms of a geometric sequence, find: the first term;
                the common ratio or a specified nth term
     3.4 Derive the formula for the sum of the terms of a geometric sequence
     3.5 Derive the formula for an infinite geometric series
     3.6 Define a geometric mean; solve problems involving geometric means
     3.7 Solve problems involving geometric sequences

4.   Define a harmonic sequence, harmonic series, and harmonic mean
     4.1 Illustrate a harmonic sequence and determine the sum of the first n terms
     4.2 Determine the harmonic mean of two numbers
     4.3 Solve problems involving harmonic sequences

5.   Introduce the Fibonacci sequence; define and illustrate the Fibonacci sequence

6.   Introduce the Binomial Theorem
     6.1 State and illustrate the Binomial Theorem
     6.2 State and apply the formula for determining the coefficients of the terms in the
          expansion of          .
GEOMETRY (3RD YEAR HIGH SCHOOL)


A. Geometry of Shape and Size
           1.   Undefined Terms
                1.1 Describe the ideas of point, line, and plane
                1.2 Define, identify, and name the subsets of a line
                    • Segment
                    • Ray

           2.   Angles
                1.1  Illustrate, name, identify and define an angle
                1.2 Name and identify the parts of an angle
                1.3 Read or determine the measure of an angle using a protractor
                1.4 Illustrate, name, identify and define different kinds of angles
                    • Acute
                    • Right
                    • Obtuse

           3.   Polygons
                1.1 Illustrate, identify, and define different kinds of polygons according to the
                     number of sides
                      • Illustrate and identify convex and non-convex polygons
                      • Identify the parts of a regular polygon (vertex angle, central angle, exterior
                         angle)
                1.2 Illustrate, name and identify a triangle and its basic and secondary parts (e.g.,
                     vertices, sides, angles, median, angle bisector, altitude)
                1.3 Illustrate, name and identify different kinds of triangles and their parts (e.g.,
                     legs, base, hypotenuse)
                      • classify triangles according to their angles and according to their sides
                1.4 Illustrate, name and define a quadrilateral and its parts
                1.5 Illustrate, name and identify the different kinds of quadrilaterals
                1.6 Determine the sum of the measures of the interior and exterior angles of a
                     polygon
                      • Sum of the measures of the angles of a triangle is 180
                      • Sum of the measures of the exterior angles of a quadrilateral is 360
                      • Sum of the measures of the interior angles of a quadrilateral is
                      • (n – 2)180
4.   Circle
                4.1 Define a circle
                4.2 Illustrate, name, identify, and define the terms related to the circle (radius,
                     diameter and chord)

           5.   Measurements
                5.1 Identify the following common solids and their parts: cone, pyramid,     sphere,
                     cylinder, rectangular prism)
                5.2 state and apply the formulas for the measurements of plane and solid figures
                      • Perimeter of a triangle, square, and rectangle
                      • Circumference of a circle
                      • Area of a triangle, square, parallelogram, trapezoid, and circle
                      • Surface area of a cube, rectangular prism, square pyramid, cylinder, cone,
                         and a sphere
                      • Volume of a rectangular prism, triangular prism, pyramid, cylinder, cone,
                         and a sphere

                5.3 Solve problems involving plane and solid figures


B. Geometric Relations
           1.   Relations involving Segments and Angles
                1.1 Illustrate and define betweeness and collinearity of points
                1.2 Illustrate, identify and define congruent segments
                1.3 Illustrate, identify and define the midpoint of a segment
                1.4 Illustrate, identify and define the bisector of an angle
                1.5 Illustrate, identify and define the different kinds of angle pairs
                     • Supplementary
                     • Complementary
                     • Congruent
                     • Adjacent
                     • Linear pair
                     • Vertical angles
                1.6 Illustrate, identify and define perpendicularity
                1.7 Illustrate and identify the perpendicular bisector of a segment

           2.   Angles and Sides of a Triangle
                2.1 Derive/apply relationships among the sides and angles of a triangle
                    • Exterior and corresponding remote interior angles of a triangle
                    • Triangle inequality
3.   Angles formed by Parallel Lines cut by a Transversal
                3.1 Illustrate and define Parallel Lines
                3.2 Illustrate and define a Transversal
                3.3 Identify the angles formed by parallel lines cut by a transversal
                3.4 Determine the relationship between pairs of angles formed by parallel lines cut
                     by a transversal
                     • Alternate interior angles
                     • Alternate exterior angles
                     • Corresponding angles
                     • Angles on the same side of the transversal

           4.   Problem Solving involving the Relationships between Segments and between Angles
                4.1 Solve problems using the definitions and properties involving relationships
                     between segments and between angles


C. Triangle Congruence
           1.   Conditions for Triangle Congruence
                1.1 Define and illustrate congruent triangles
                1.2 State and apply the Properties of Congruence
                    • Reflexive Property
                    • Symmetric Property
                    • Transitive Property
                1.3 Use inductive skills to establish the conditions or correspondence sufficient to
                    guarantee congruence between triangles
                1.4 Apply deductive skills to show congruence between triangles
                    • SSS Congruence
                    • SAS Congruence
                    • ASA Congruence
                    • SAA Congruence

           2.   Applying the Conditions for Triangle Congruence
                2.1 Prove congruence and inequality properties in an isosceles triangle using the
                    congruence conditions in 1.3
                    • Congruent sides in a triangle imply that the angles opposite them are
                        congruent
                    • Congruent angles in a triangle imply that the sides opposite them are
                        congruent
                    • Non-congruent sides in a triangle imply that the angles opposite them are not
                        congruent
•  Non-congruent angles in a triangle imply that the sides opposite them are not
                          congruent
                  2.2 Use the definition of congruent triangles and the conditions for triangle
                      congruence to prove congruent segments and congruent angles between two
                      triangles
                  2.3 Solve routine and non-routine problems


Enrichment
             Apply inductive and deductive skills to derive other conditions for congruence between two
                 right triangles
                 • LL Congruence
                 • LA Congruence
                 • HyL Congruence
                 • HyA Congruence



D. Properties of Quadrilaterals
             1.   Different type of Quadrilaterals and their Properties
                  1.1 Recall previous knowledge on the different kinds of quadrilaterals and their
                       properties (square, rectangle, rhombus, trapezoid, parallelogram)
                  1.2 Apply inductive and deductive skills to derive certain properties of the
                       trapezoid
                        • Median of a trapezoid
                        • Base angles and diagonals of an isosceles trapezoid
                  1.3 Apply inductive and deductive skills to derive the properties of a parallelogram
                        • Each diagonal divides a parallelogram into two congruent triangles
                        • Opposite angles are congruent
                        • Non-opposite angles are supplementary
                        • Opposite sides are congruent
                        • Diagonals bisect each other
                  1.4 Apply inductive and deductive skills to derive the properties of the diagonals of
                       special quadrilaterals
                        • Diagonals of a rectangle
                        • Diagonals of a square
                        • Diagonals of a rhombus
2    Conditions that Guarantee that a Quadrilateral is a Parallelogram
                  2.1 Verify sets of sufficient conditions which guarantee that a quadrilateral is a
                      parallelogram
                  2.2 Apply the conditions to prove that a quadrilateral is a parallelogram
                  2.3 Apply the properties of quadrilaterals and the conditions for a parallelogram to
                      solve problems

Enrichment
                  Apply inductive and deductive skills to discover certain properties of the Kite


E. Similarity
             1.   Ratio and Proportion
                  1.1 State and apply the definition of a ratio
                  1.2 Define a proportion and identify its parts
                  1.3 State and apply the fundamental law of proportion
                       • Product of the means is equal to the product of the extremes
                  1.4 Define and identify proportional segments
                  1.5 Apply the definition of proportional segments to find unknown lengths

             2. Proportionality Theorems
                  1.1 State and verify the Basic Proportionality Theorem and its Converse

             3. Similarity between Triangles
                  3.1 Define similar figures
                  3.2 Define similar polygons
                  3.3 Define similar triangles
                  3.4 Apply the definition of similar triangles
                       • Determining if two triangles are similar
                       • Finding the length of a side or measure of an angle of a triangle
                  3.5 State and verify the Similarity Theorems
                  3.6 Apply the properties of similar triangles and the proportionality theorems to
                       calculate lengths of certain line segments, and to arrive at other properties

             4. Similarities in a Right Triangle
                  1.1 Apply the AA Similarity Theorem to determine similarities in a right triangle
                         • In a right triangle the altitude to the hypotenuse divides it into two right
                             triangles which are similar to each other and to the given right triangle
                  1.2 Derive the relationships between the sides of an isosceles triangle and between
                        the sides of a 30-60-90 triangle using the Pythagorean Theorem
Enrichment
             State and verify consequences of the Basic Proportionality Theorem
                   • Parallel lines cut by two or more transversals make proportional segments
                   • Bisector of an angle of a triangle separates the opposite side into segments whose
                     lengths are proportional to the lengths of the other 2 sides

             State, verify and apply the ratio between the perimeters and areas of similar triangle

             Apply the definition of similar triangles to derive the Pythagorean Theorem
                 • If a triangle is a right triangle, then the square of the hypotenuse is equal to the sum
                    of the squares of the legs

             5.   Word Problems involving Similarity
                  1.1 Apply knowledge and skills related to similar triangles to word problems


F. Circles
             1.   The circle
                  1.1 Recall the definition of a circle and the terms related to it
                       • Radius
                       • Diameter
                       • Chord
                       • Secant
                       • Tangent
                       • Interior and exterior

             2.   Arcs and Angles
                  2.1 Define and identify a central angle
                  2.2 Define and identify a minor and major arc of a circle
                  2.3 Determine the degree measure of an arc of a circle
                  2.4 Define and identify an inscribed angle
                  2.5 Determine the measure of an inscribed angle

             3.   Tangent Lines and Tangent Circles
                  3.1 State and apply the properties of a line tangent to a circle
                      • If a line is tangent to a circle, then it is perpendicular to the radius drawn to
                          the point of tangency
                      • If two segments from the same exterior point are tangent to a circle, then the
                          two segments are congruent
4.   Angles formed by Tangent and Secant Lines
                  4.1 Determine the measure of the angle formed by the following:
                      • Two tangent lines
                      • A tangent line and a secant line
                      • Two secant lines

Enrichment
             Illustrate and identify externally and internally tangent circles
             Illustrate and identify a common internal tangent or a common external tangent

             Geometric Constructions
                 • Duplicate or copy a segment
                 • Duplicate or copy an angle
                 • Construct the perpendicular bisector and the midpoint of a segment
                   Derive the Perpendicular Bisector Theorem
                 • Construct the perpendicular to a line
                   From a point on the line
                   From a point not on the line
                 • Construct the bisector of an angle
                 • Construct parallel lines
                 • Perform construction exercises using the constructions in 4.1 to 4.6
                 • Use construction to derive some other geometric properties (e.g., shortest distance
                   from an external point to a line, points on the angle bisector are equidistant from the
                   sides of the angle)



G. Plane Coordinate Geometry
             1.   Review of the Cartesian Coordinate System, Linear Equations and Systems of Linear
                  Equations in 2 Variables
                  1.1 Name the parts of a Cartesian Plane
                  1.2 Represent ordered pairs on the Cartesian Plane and denote points on the Cartesian
                      Plane
                  1.3 Define the slope of a line and compute for the slope given the graph of a line
                  1.4 Define a Linear Equation
                  1.5 Define the y-intercept
                  1.6 Derive the equation of a line given two points of the line
                  1.7 Determine algebraically the point of intersection of two lines
                  1.8 State and apply the definitions of Parallel and Perpendicular Lines
2.   Coordinate Geometry
     2.1 Derive and state the Distance Formula using the Pythagorean Theorem
     2.2 Derive and state the Midpoint Formula
     2.3 Apply the Distance and Midpoint Formulas to find or verify the lengths of
         segments and find unknown vertices or points
     2.4 Verify properties of triangles and quadrilaterals using coordinate proof

3.   Circles in the Coordinate Plane
     3.1 Derive/state the standard form of the equation of a circle with radius r and center
          at (0,0) and at (h,k)
     3.2 Given the equation of a circle, find its center and radius
     3.3 Determine the equation of a circle given:
          • Its center and radius
          • Its radius and the point of tangency with a given line
     3.4 Solve routine and non-routine problems involving circles
SAMPLE LESSON PLANS

MATH I : LINEAR EQUATIONS IN TWO VARIABLES

Competency E1. Describe the Cartesian Coordinate Plane (x-axis, y-axis, quadrant, origin)

Time Frame. 2 Sessions

Objectives:
At the end of the sessions, the students must be able to:
     1. Describe the Cartesian coordinate plane
     2. Given a point, describe its distance from the x or y axis
     3. Given a point on the coordinate plane, give its coordinates
     4. Given a pair of coordinates, plot the points
     5. Given the coordinates of a point, determine the quadrant where it is located

Development of the Lesson:
     A. Introduce the Cartesian coordinate plane using the number line. State that the rectangular
        coordinate plane are also called Cartesian plane can be constructed by drawing a pair of
        perpendicular number lines to intersect at zero on each line.




     B. Ask the students to describe the two lines and their point of intersection, to develop the following
        ideas:
        The two number lines, which are perpendicular lines, are called coordinate axes.
        The horizontal line is called the x-axis.
        The vertical line is called the y-axis
                                        y-axis.
        The point where the two lines intersect is called the origin and is labeled 0 on both axes.
        The two axes divide the plane into four regions called quadrants: the first, second, third and
        fourth quadrants in a counterclockwise direction.
C. State that each point in the coordinate plane has corresponding distance from the y-axis and
   from the x-axis, that a pair of numbers is needed to tell how many units to the right or left of
   the y-axis and how many units above or below of the x-axis the point is located. The pairs of
   numbers will be the name of the point. This pair of numbers is called ordered pair
                                                                                 pair.


D. Present the following examples and ask students to describe the distance of each point from the
   y or x-axis
        1. If x = -2 answer: the point is 2 units to the left of the y-axis

        2. If x = 0    answer: the point is in the y-axis

        3. If x = 2    answer: the point is 2 units to the right of y-axis

        4. If y = -3   answer: the point is 3 units below the x-axis

        5. If y = 3    answer: the point is 3 units above the x-axis



   Hence, the ordered pair (-2, 3) is located 2 units to the left of the y-axis and 3 units above the
   x-axis.

E. Let the student observe what the signs are of the coordinates of the points in the different
   quadrants. (Both positive in quadrant 1, negative-positive in II, negative-negative in III, and
   positive-negative in IV.)

F. State that in the ordered pair (x, y), x and y are called coordinates of the point. x is called the
   x-coordinate or abscissa and y is called the y-coordinate or ordinate.
Ask students to give the coordinates of each point pictured in the graph. e.g. A (3,2)

        1.   B ans. (5,6)
        2.   C (-7,4)
        3.   D (-4,5)
        4.   E (1,0)
        5.   F    (0,-2)
        6.   G (8,-4)
        7.   H (9,3)
        8.   I    (-9,-3)

        9.   J       -2

        10. K




G. Ask the students to what quadrant each point is located.
   To see whether the students understand the concept, go over the exercises on _________.

H. Then proceed to the plotting of points by asking the students to locate the points in the plane
   whose coordinates are (3,5). State that the process of marking a point in a plane is called plotting
   the points
       points.
I. Present the following example
   Locate the points P(-1,2), Q(2,3), R(-3,-4), S(3,-5) in the plane.




J. State that when an entire set of ordered pairs is plotted, the corresponding set of points in the
   plane represents the graph of the set. Sometimes the points in the graph form a recognizable
   pattern, just like the example that follows:

   Plot the points on the graph provided. Connect each point with the next one by a line segment in
   the order given.
               1. (2,0)             6. (-3, -3)         11. (2, -7)
               2. (2,6)             7. (-3. -7)         12. (3, -7)
               3. (0,10)            8. (-2, -7)         13. (3, -3)
               4. (-2,6)            9. (-1, -6)         14. (2, -2)
               5. (-2, -2)          10. (1, -6)         15. (2,0)




   To see whether the students understand the concept of plotting points, go over exercises on
   ___________.
Suggested Teaching Strategies:
    1. Provision for Life Skills or Higher Order Thinking Skills
                 - In plotting points, help the students to realize through several examples that every
                   point on a vertical line has the same x-coordinate and every point on the horizontal
                   line has the same y-coordinate.

                  - Cite instances where the use of the Cartesian plane is found. Assign student to
                    observe and find other applications of the plane.

     2. Provision for Multiple Intelligences
                 - To tap the visual/spatial intelligence of students ask them to draw pictures on a
                    graph paper using only lines. The students will then give the coordinates of the
                    points where the lines intersect.

                  - To tap the interpersonal intelligence of the students, prepare a game of treasure
                    hunting. Indicate in the treasure map the reference point and the locations or
                    position of buildings, places. The whole group will work for a common goal-to find
                    the treasure.

     3. Provision for Cooperative Learning
                 - Prepare a group game on plotting of points. Done outside the classroom, ask the
                    students to serve as markers in plotting the set of points given to them. The first
                    group to plot the points correctly in the coordinate plane wins.
MATH I : SPECIAL PRODUCTS AND FACTORING

Competency F2. identify special products

Time Frame. 3 Sessions

Objective:
At the end of the sessions, the students should be able to:
     1. Identify the following special products:
         a. Square of a binomial,
         b. Difference of two squares,
         c. Sum or difference of two cubes.

Development of the Lesson:

A. Give the students a review of products of polynomials by going over the following exercises in class
   and asking the students to recite.
     1. Product of a polynomial and a monomial
        Find the following products:

                   a. 2x(3x+4)=6x
                   b.
                   c.
                   d.
                   e.

     2. Product of two binomials
        Use the FOIL method to find the following products:

              a.
              b.
              c.
              d.
              e.
B. Start the study of special products with a discussion of squares of binomials.
     1. Let the students do the following exercise by pairs:
        Find the following products:

              a.
              b.
              c.
              d.
              e.

         Answer the following questions:
            a. How many terms are there in each product?
            b. What do you observe about the first and last terms of each product?
            c. Observe the middle terms of the products. What do you notice about the numerical
               coefficient of the middle term and the constant in each factor?

C. Process the activity by going over the answers to the questions. State that these answers suggests the
   characteristics of a special product called a Perfect Square Trinomial (PST). Based on the exercise
   they just did, the students should be able to see that a PST results from multiplying a binomial with
   itself. In other words, a PST is a square of a binomial. Repeat the characteristics of a PST.

D. Test if the students would be able to identify perfect square trinomials by asking them to answer the
   exercises on page _____. (Note: The teacher may give exercises of the suggested form below:

   Practice Exercise:

   Identify whether the given trinomial is a PST or NOT. Write PST or NOT PST.

           _____1.                        _____4.
           _____2.                        _____5.
           _____3.


E. Introduce the next special product by asking the students to find the following products using the
   FOIL method.


    1.
    2.
    3.
    4.
    5.
F. Let the students observe the product in each case. (The products are all binomials; the operation
   in each one is subtraction; the terms are both perfect squares.) Ask them to describe what are the
   products of the outer terms and inner terms when they apply FOIL. (They are additive inverses of
   each other.) Present the special product called Difference of Two squares (DOTS). Summarize the
   characteristics of a difference of two squares and describe what factors result to DOTS.

G. For the development of the idea of a sum of two cubes or difference of two cubes, use the same
   strategy used to develop the idea of a difference of two squares. Let the students find the products
   of pairs of factors which result to a sum of two cubes and factors which result to a difference of two
   cubes. Ask the students to observe the products and what are common to these products. Explain
   that these are special products because they can be easily obtained by inspecting the factors without
   having to do the multiplication process.

H. Assign the exercises on page ____.




Suggested Teaching Strategies:
     1. Provision for Integration of Content Areas in Language Teaching
                 - Go over the meaning of the following terms: polynomial, factor, product, and
                    common factor.

     2. Provision for Life Skills or Higher Order Thinking Skills
                 - In introducing the special product PST, you may use a problem like, “What is the
                    area of a square whose side has a length of (x+6) meters?”

     3. Provision for Cooperative Learning
                 - Prepare a group puzzle on finding the products of binomials, including squares of
                    binomials and factors of DOTS. Let the students do the puzzle in groups of 5 or 6.
MATH I: SPECIAL PRODUCTS AND FACTORING

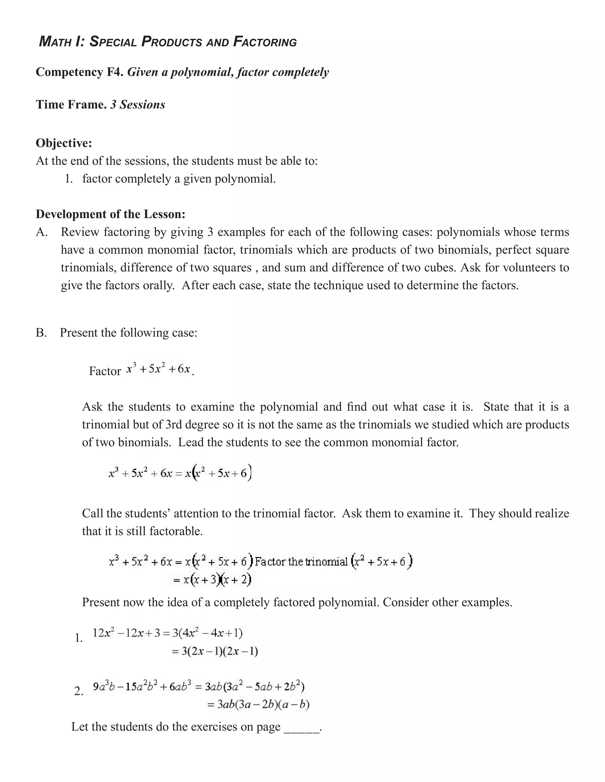
Competency F4. Given a polynomial, factor completely

Time Frame. 3 Sessions


Objective:
At the end of the sessions, the students must be able to:
     1. factor completely a given polynomial.

Development of the Lesson:
A. Review factoring by giving 3 examples for each of the following cases: polynomials whose terms
    have a common monomial factor, trinomials which are products of two binomials, perfect square
    trinomials, difference of two squares , and sum and difference of two cubes. Ask for volunteers to
    give the factors orally. After each case, state the technique used to determine the factors.


B. Present the following case:


            Factor             .

         Ask the students to examine the polynomial and find out what case it is. State that it is a
         trinomial but of 3rd degree so it is not the same as the trinomials we studied which are products
         of two binomials. Lead the students to see the common monomial factor.




         Call the students’ attention to the trinomial factor. Ask them to examine it. They should realize
         that it is still factorable.




         Present now the idea of a completely factored polynomial. Consider other examples.

       1.



       2.

       Let the students do the exercises on page _____.
C. Present a polynomial of the form ax+ay+bx+by

   Challenge the students to factor completely. Let them investigate and discuss with a seatmate.

   Discuss the technique of grouping the terms before factoring, using the given polynomial.




   Ask the students to work on the following exercises.


    1. 4xy+4x+3y+3 = (4xy+4x)+(3y+3)
                    = 4x(y+1)+3(y+1)
                    = (y+1)(4x+3)

    2. ax+2a-bx-2b+cx+2c = (ax-bx+cx)+(2a-2b+2c)
                         = x(a-b+c)+2(a-b+c)
                         = (a-b+c)+(x+2)

   Stress that in each case, the terms are grouped in such a way that a common factor appears in each
   group.

D. Consider other examples which involve factoring polynomials with more than two factors. Guide the
   students in factoring by asking them to examine each of the factors in every step of the solution.


       1.                                        Is          still factorable?
                                                 Do you see any common factor?

       2.




    Note: Ask the students to justify the following when the need comes up in the discussion.

              a. Is      equal to (x+y) ?
              b. Is     equal to (x+y) ?

E. Give a practice set covering all cases of factoring polynomials.
Suggested Teaching Strategies:
    1. Provision for Cooperative Learning
         - Prepare a group puzzle on factoring polynomials of different types. Ask the students to
            work on the puzzle in groups of 5 or 6, or in dyads.

     2. Provision for Values Education and the Valuing Process
         - Try to bring out individual trials in life, then enumerate possible solutions on how to
             overcome these trials in a gradual manner, then in an abrupt manner. Whichever way, these
             are possible solutions for the said trials.
MATH II: QUADRATIC EQUATIONS

Competency B1. Define a quadratic equation ax2 + bx + c = 0; distinguish a quadratic equation
  from a linear equation.

Time Frame. 1 Session


Objectives :
At the end of the session, the students must be able to :
     1. define, identify and give an example of a quadratic equation
     2. distinguish a quadratic equation from a linear equation

Development of the Lesson:
     A. Define a quadratic equation as an equation of the form ax2 + bx + c = 0 where a,b and c are
        constants and a 0.

        Ask the students why the value of a should not be 0. Clearly, when a = 0, the equation is linear
        and not quadratic.

        Cite some examples of quadratic equations like the following:

             3x2 + 5x – 3 = 0
             -9x2 = 10
             (3x-7)(5+2x) = 0

     B. Lead the students to distinguish between a linear equation and a quadratic equation by asking
        them to identify the linear equations and the quadratic equations from a given set of equations.

     C. To check whether the students understood the lesson well, ask them to give examples of quadratic
        equations.

        After the first few examples, challenge them by asking for examples of quadratic equations
        where

             a.     b=0

             b.     c=0

             c.     b and c are both 0
Suggested Teaching Strategies:
    1. Provision for Cooperative Learning
                 - Prepare a group puzzle on distinguishing linear equations from quadratic equations.
                   Then ask the students to work in groups of 4 or 5.
MATH II: QUADRATIC EQUATIONS

Competency B2. Review the definition of solution set of an equation; define “root of an equation”

Time Frame. 1 Session


Objectives :
At the end of the session, the students must be able to :
     1. recall the definition of the solution set of an equation
     2. define “root of an equation”

Development of the Lesson:

A. Ask the student to recall what the “solution set of an equation” means.
   Define the solution set of an equation as the set of all values for the variable which will make the
   equation true.
   Below are examples :
      Example 1 : The solution set of x+2= 0 is {-2} because –2 + 2 = 0.

       Example 2 : The solution set of 3x = 1 is {    } because 3(    ) = 0.

       Example 3 : The solution set of x - 49 = 0 is {7, -7} because
                    (7) - 49 = 0 and (-7) - 49 = 0.

B. Then state that each element in the solution set of an equation is a root of the equation.
   Hence,
      -2 is the root of the equation in Example 1.

           is the root of the equation in Example 2.
        7 and –7 are the roots of the equation in Example 3.

   Ask the student to give the roots of some equations. Make sure that some equations and some
   are quadratic. Make sure that the quadratic equations you will give at this point can be solved by
   inspection.

C. Through the other examples in part B, proceed to lead the students to draw a conclusion about the
   number of roots a linear equation has and the number of roots a quadratic equation has.
Suggested Teaching Strategies:
    1. Provision for Cooperative Learning
                 - Give the student a puzzle which will allow them to practice how to find the solution
                   set of simple linear and quadratic equations.
MATH II: QUADRATIC EQUATIONS

Competency B2.3. Derive the quadratic formula

Time Frame. 3 Sessions



Objective :
At the end of the sessions, the students must be able to derive the quadratic formula.

Development of the Lesson :
     A. To derive the quadratic formula ask the students to “solve” the general quadratic equation ax
        + bx + c = 0 by competing the square. It may help to guide them using the steps on the left side
        below so that they can come up with the derivation as outlined on the right side.

         1. Write the general form of a quadratic equation            1. ax + bx + c = 0

         2. Multiply both sides of the equation by 4a                 2. 4a x + 4abx + 4ac = 0

         3. Subtract 4ac from both sides of the equation              3. 4a x + 4abx = - 4ac

         4. Add to both sides of the equation a term
            which makes the left side a perfect square trinomial      4. 4a x + 4abx + b = b - 4ac

         5. Express the left side as a square of a binomial           5. (2ax + b) = b - 4ac

         6. Extract the left side as a square of a binomial           6 2ax + b =

         7. Add -b to both sides of the equation                      7. 2ax = - b =

         8. Divide both sides by 2a                                   8. x =
                                                                                     2a

     B. Ask the student to multiply both sides of the equation by a or 9a instead of 4a in the second
        step and carry out the derivation process. Find out if they are getting the same results. Draw a
        conclusion about the term which may be used to multiply the equation with, in the second step
        to carry out the derivation of the quadratic formula.
C. Ask the students to rewrite the quadratic formula as

                                          x=
                                                  2a
         and to memorize this. Tell the students that b - 4ac is called the “discriminant”. Show how
         they may use the discriminant to determine whether a given quadratic equation has:
             a. equal or unequal roots
             b. real or imaginary roots
             c. rational or irrational roots



Suggested Teaching Strategies:
    1. Provision for Multiple Intelligence
            -     To tap the interpersonal intelligence of the students, ask them to explain at the end of
                  the lesson, to a partner, the process of deriving the quadratic formula.
MATH III : POLYGONS

Competency 3.1. Illustrate, identify and define different kinds of polygons
           according to the number of sides
                 • illustrate and identify convex and non-convex polygons
                 • identify the parts of a regular polygon (vertex angle,
                   central angle, exterior angle)

Time Frame: 1 Session



Objectives:
At the end of the session, the students must be able to:
     1. Define and identify different kinds of polygons.
     2. Illustrate and identify convex and non-convex polygon.
     3. Identify the parts of a regular polygon.

Development of the Lesson:

A. Show illustrations of different kinds of polygons. Let the students study the figures then ask them
   how these were formed. Lead them to the concept that polygons are made of segments intersecting
   at its endpoints. Also, no two of its segments with common endpoint are collinear.

B. Ask the students to count the number of vertices, sides and angles. Supply a name for each example.
   Clarify that polygons are named according to the number of sides.
        Number of Sides                Polygons
                3                        triangle
                4                     quadrilateral
                5                       pentagon
                6                       hexagon
                7                       heptagon
                8                        octagon
                9                       nonagon
               10                       decagon
               12                      dodecagon
             n-sides                      n-gon
C. Show illustrations of two kinds of polygons like the ones below.




Ask students to extend the sides. Focus on lines FE and ED. Below will be the result




   Ask students like
                   - What happens to the polygon when the line was formed?
                   - Are all the other vertices of the polygon located on one side of the half-plane?

   Answers will lead to the definition of convex and non-convex polygons. Be sure that the students
   will be able to distinguish that a polygon is a convex if no two points of a polygon lie on the opposite
   sides of a line containing any side of the polygon.
D. Show to the students the following figures in order to come up with the definition of a regular
   polygon.




   Help the students define what a regular polygon is.

E. After defining a regular polygon, discuss and identify the parts of the regular polygon




     Attempt to define these parts with students.



F. Tell the students that such kind of polygon is regular, let them formalize the definition.

G. Let the students identify the parts of regular polygon. Sides can be extended to name the exterior
   angles.

H. Provide practice exercises.
Suggested Teaching Strategies:
1. Provision for Multiple Intelligence
                   - to tap the verbal/linguistic intelligence of the students, encourage them to cite their
                     observations in the discussion in Part D.
                   - to tap the interpersonal intelligence, allow them to discuss their observations with
                     the discussion in Part D with a seat mate.
MATH III: POLYGONS

Competency 3.3. Illustrate, name, and identify different kinds of triangles and their parts
                   (e.g. legs, base, hypotenuse)

Time Frame. 2 Sessions



Objectives:
At the end of the sessions, the students must be able to:
     1. name and identify different kinds of triangle.
     2. classify triangles according to sides and according to angles.
     3. name and identify parts of a right triangle.

Development of the Lesson:
A. Distribute 3 pieces of cut out triangles to the students. Let them measure the sides of the triangle.




   Ask students the following questions:
                   •   What have you noticed about the sides of triangle A?
                   •   How will you distinguish triangle A from triangle B and C?
                   •   What is the difference between triangle B and C?
                   •   What are the properties of triangle A? triangle B? triangle C?

   State the following:
                   An equilateral triangle is a triangle with all sides congruent.
                   An isosceles triangle is a triangle with exactly two sides congruent.
                   A scalene triangle is a triangle with no sides congruent

   Further ask the student the following questions.
     What kind of triangle is triangle A? triangle B? triangle C?
     What is the basis of classification for these triangles?
     To see whether the student understand the classification of triangles according to sides, let them
        answer the exercises on _____________________.
B. Review the kinds of angles; acute, right and obtuse. Let them identify the kinds of angles from the
   chart.

   Distribute cut out triangles to the students. (Prepare 3 triangles : acute, right and obtuse triangles)

   Let them measure the angles of the triangles.

   Ask the student the following questions:
                   • What have you noticed about the measure of the angles of the triangle?
                   • If you will group the triangles; how will you do it? Explain your answer.
                   • What is your basis of classification of the triangles?

   State the following: Triangles can be classified according to the measure of their angles?
                   1. An acute triangle is a triangle with all three angles acute.
                   2.A right triangle is a triangle with one right angle.
                   3.An obtuse triangle is a triangle with an obtuse angle.

   To see whether the student understand the classification of triangles according to sides, let them
   answer the exercises on _____________________.



C. Let the student observe the figures on the chart.




   Let the student identify the kinds of triangles in the chart and describe the characteristics of the two
   triangles.

   Explain to the students that in an isosceles triangle:

   The two congruent sides are called LEGS, the third side is called the BASE, the angles on the base
   are called BASE ANGLES.

   Explain further that in a Right Triangle the sides that are perpendicular are the legs and the side
   opposite the right angle is the hypotenuse.
Show the illustration to help the students visualize these parts.




   Give some more figures then ask the students to identify the legs, hypotenuse, base and the base
   angles.



Suggested Teaching Strategies:
     1. Provision for Higher Order Thinking Skills
                 - In classifying triangles, conduct an activity where the students can compare and
                    identify the different kinds of triangles.

     2. Provision for Cooperative Learning
                 - Prepare cut out triangles which students can classify as well as discuss their basis for
                    classification. This can be done in groups.

BEC Mathematics

  • 2.
    CONTENTS INTRODUCTION 3 DESCRIPTION 5 UNIT CREDIT 6 TIME ALLOTMENT 6 EXPECTANCIES 7 SCOPE AND SEQUENCE 8 SUGGESTED STRATEGIES AND MATERIALS 9 GRADING SYSTEM 10 LEARNING COMPETENCIES 11 SAMPLE LESSON PLANS 30
  • 3.
    INTRODUCTION This Handbook aims to provide the general public – parents, students, researchers, and other stakeholders – an overview of the Mathematics program at the secondary level. Those in education, however, may use it as a reference for implementing the 2002 secondary education curriculum, or as a source document to inform policy and guide practice. For quick reference, the Handbook is outlined as follows: * The description defines the focus and the emphasis of the learning area as well as the language of instruction used. * The unit credit indicates the number of units assigned to a learning area computed on a 40-minute per unit credit basis and which shall be used to evaluate a student’s promotion to the next year level. * The time allotment specifies the number of minutes allocated to a learning area on a daily (or weekly, as the case may be) basis. * The expectancies refer to the general competencies that the learners are expected to demonstrate at the end of each year level. * The scope and sequence outlines the content, or the coverage of the learning area in terms of concepts or themes, as the case may be. * The suggested strategies are those that are typically employed to develop the content, build skills, and integrate learning. * The materials include those that have been approved for classroom use. The application of information and communication technology is encouraged, where available. * The grading system specifies how learning outcomes shall be evaluated and the aspects of student performance which shall be rated. * The learning competencies are the knowledge, skills, attitudes and values that the students are expected to develop or acquire during the teaching-learning situations. * Lastly, sample lesson plans are provided to illustrate the mode of integration, where appropriate, the application of life skills and higher order thinking skills, the valuing process and the differentiated activities to address the learning needs of students.
  • 4.
    The Handbook isdesigned as a practical guide and is not intended to structure the operationalization of the curriculum or impose restrictions on how the curriculum shall be implemented. Decisions on how best to teach and how learning outcomes can be achieved most successfully rest with the school principals and teachers. They know the direction they need to take and how best to get there.
  • 5.
    DESCRIPTION First Year isElementary Algebra. It deals with life situations and problems involving measurement, real number system, algebraic expressions, first degree equations and inequalities in one variable, linear equations in two variables, special products and factoring. Second Year is Intermediate Algebra. It deals with systems of linear equations and inequalities, quadratic equations, rational algebraic expressions, variation, integral exponents, radical expressions, and searching for patterns in sequences (arithmetic, geometric, etc) as applied in real-life situations. Third Year is Geometry. It deals with the practical application to life of the geometry of shape and size, geometric relations, triangle congruence, properties of quadrilaterals, similarity, circles, and plane coordinate geometry. Fourth Year is still the existing integrated ( algebra, geometry, statistics and a unit of trigonometry) spiral mathematics but in school year 2003-2004 the graduating students have the option to take up either Business Mathematics and Statistics or Trigonometry and Advanced Algebra.
  • 6.
    UNIT CREDIT Mathematics ineach year level shall be given 1.5 units each. TIME ALLOTMENT The daily time allotment for Mathematics in all year levels is 60 minutes or 300 minutes weekly
  • 7.
    EXPECTANCIES IN MATHEMATICS The student will be able to compute and measure accurately, come up with reasonable estimate, gather, analyze and interpret data, visualize abstract mathematical ideas, present alternative solutions to problems using technology, among others, and apply them in real-life situations. ñ At the end of Third Year, the student is expected to demonstrate understanding and skills in geometric relations, proving and applying theorems on congruence and similarity of triangles, quadrilaterals, circles and basic concepts on plane coordinate geometry. ñ At the end of Second Year, the student is expected to demonstrate understanding of concepts and skills related to systems of linear equations and inequalities, quadratic equations, rational algebraic expressions, variation, integral exponents, radical expressions and searching for patterns in sequences: arithmetic, geometric and others and apply them in solving problems. ñ At the end of First Year, the student is expected to demonstrate understanding and skills in measurement and use of measuring devices, performing operations on real numbers and algebraic expressions, solving first degree equations and inequalities in one variable, linear equations in two variables and special products and factoring and apply them in solving problems.
  • 8.
    SCOPE AND SEQUENCE ELEMENTARYALGEBRA (FIRST YEAR) 1. Measurement 2. Real Number system 3. Algebraic Expressions 4. First Degree Equations and Inequalities in One Variable 5. Linear Equations in Two Variables 6. Special Products and Factors INTERMEDIATE ALGEBRA (SECOND YEAR) 1. Systems of Linear Equations and Inequalities 2. Quadratic Equations 3. Rational Algebraic Expressions 4. Variation 5. Integral Exponents 6. Radical Expressions 7. Searching for Patterns in Sequences: Arithmetic, Geometry,etc. GEOMETRY (THIRD YEAR) 1. Geometry of Shape and Size 2. Geometric Relations 3. Triangle Congruence 4. Properties of Quadrilaterals 5. Similarity 6. Circles 7. Plane Coordinate Geometry
  • 9.
    SUGGESTED STRATEGIES ANDMATERIALS Strategies in mathematics teaching include discussion, practical work, practice and consolidation, problem solving, mathematical investigation and cooperative learning. DISCUSSION • It is more than the short question and answer which arise during exposition • It takes place between teacher and students or between students themselves. PRACTICAL WORK • More student-centered activities • Teacher acts as facilitator • Concretizes abstract concepts • Develops students’ confidence to discover solutions to problems PRACTICE AND CONSOLIDATION • Develops mastery of a particular concept which is needed in problem solving and investigation PROBLEM SOLVING • Process of applying mathematics in the real world • Involves the exploration of the solution to a given situation MATHEMATICAL INVESTIGATION • An open-ended problem solving • It involves the exploration of a mathematical situation, making conjectures and reason logically COOPERATIVE LEARNING • Members are encouraged to work as a team in exchanging ideas, successes and failures. MATERIALS INCLUDE DEPED APPROVED TEXTBOOKS AND LESSON PLANS. FEATURES OF THE LESSON PLANS ARE: • Application of higher order thinking skills • Integration of values education • Provision of teaching-learning activities that address multiple intelligences • Use of cooperative learning strategies
  • 10.
    GRADING SYSTEM Thegrade will be based on certain criteria weighted accordingly as follows: PERIODICAL TEST 25% UNIT TEST 25% QUIZZES 20% PARTICIPATION 15% HOMEWORK 15% ______ TOTAL 100%
  • 11.
    DETAILED LISTING OF LEARNINGCOMPETENCIES HIGH SCHOOL MATHEMATICS ELEMENTARY ALGEBRA (1ST YEAR HIGH SCHOOL) A. Measurement 1. Illustrate the development of measurement from the primitive to the present international system of units 2. Use instruments to measure length, weight, volume, temperature, time, angle 3. Express relationships between two quantities using ratios 4. Convert measurements from one unit to another 5. Round off measurements; round off numbers to a given place (e.g. nearest ten, nearest tenth) 6. Solve problems involving measurement B. Real Number System 1. Describe the real number system: natural numbers, whole numbers, integers, rational numbers, irrational numbers, real numbers 1.1 Review operations on whole numbers 1.2 Describe opposite quantities in real life; illustrate integers on the number line; use integers to describe positive or negative quantities 1.3 Visualize integers and their order on a number line; represent movement along the number line using integers 1.4 Arrange integers in increasing/decreasing order 1.5 Define the absolute value of a number on a number line as distance from the origin. 1.6 Determine the absolute value of a number; solve simple absolute value equations using the number line 1.7 Perform fundamental operations on integers: addition, subtraction, multiplication, division; state and illustrate the different properties (commutative, associative,
  • 12.
    distributive, identity, inverse) 1.8 Define rational numbers; translate rational numbers (both terminating and repeating/non-terminating) from fraction form to decimal form and vice versa 1.9 Arrange rational numbers in increasing/decreasing order 1.10 Review simplification of and operations on fractions 1.11 Review operations on decimals 2. Square roots of positive rational numbers 2.1 Define the square root of a rational number; approximate the square root of a positive rational number 2.2 Identify square roots which are rational and which are not rational (irrational numbers) 2.3 If the square root of a number is not rational, determine two integers or rational numbers between which it lies 2.4 Give examples of other irrational numbers 2.5 Use knowledge related to signed numbers and square roots in problem-solving C. Algebraic Expressions 1. Define constants, variables, algebraic expressions 2. Simplify numerical expressions involving exponents and grouping symbols 3. Translate verbal phrases to mathematical expressions and vice versa 4. Evaluate mathematical expressions for given values for the variable(s) involved 5. Define monomials, binomials, trinomials and multinomials and illustrate these 6. Simplify monomials using the laws on exponents 6.1 Identify monomials; identify the base, coefficient and exponent in a monomial 6.2 Laws on exponents • • • •
  • 13.
    where m – n is a positive number if m > n. m – n is a negative number if m < n. 6.3 Simplify and perform operations on monomials 6.4 Express numbers in scientific notation 7. Define polynomials; classify algebraic expressions as polynomials and non- polynomials 8. Perform operations on polynomials 8.1 Addition and subtraction 8.2 Multiplication : polynomial by a monomial 8.3 Multiplication : polynomial by another polynomial 8.4 Division : polynomial by a monomial Division : polynomial by a polynomial 9. Problem solving involving polynomials D. First Degree Equations and Inequalities In One Variable 1. Introduce first degree equations and inequalities in one variable 1.1 Distinguish between mathematical phrases and sentences 1.2 Distinguish between expressions and equations 1.3 Distinguish between equations and inequalities 2. Translate verbal statements involving general or unknown quantities to equations and inequalities and vice versa 3. Define first degree equations and inequalities in one variable 1.1 Define the solution set of a first degree equation or inequality 1.2 Illustrate the solution set of equations and inequalities in one variable on the number line 1.3 Find the solution set of simple equations and inequalities in one variable from a given replacement set 1.4 Find the solution set of simple equations and inequalities in one variable by inspection
  • 14.
    4. Review the basic properties of real numbers; state and illustrate the different properties of equality 5. Determine the solution set of first degree equations in one variable by applying the properties of equality 6. Determine the solution set of first degree inequalities in one variable by applying the properties of inequality; visualize solutions of simple mathematical inequalities on a number line 7. Solve problems using first degree equations and inequalities in one variable (e.g. relations among numbers, geometry, business, uniform motion, money problems,etc.) E. Linear Equations in Two Variables 1. Describe the Cartesian Coordinate Plane (x-axis, y-axis, quadrant, origin) 2. Describe points plotted on the Cartesian Coordinate Plane; plot points on the Cartesian Coordinate Plane 2.1 Given a point on the coordinate plane, give its coordinates 2.2 Given a pair of coordinates, plot the point 2.3 Given the coordinates of a point, determine the quadrant where it is located 3. Define a linear equation in two variables: Ax+By=C. 3.1 construct a table of values for x and y given a linear equation in two variables, Ax+By=C 2.2 Draw the graph of Ax+By=C based on a table of values for x and y 3.3 Define x and y intercepts, slope, domain, range 3.4 Determine the following properties of the graph of a linear equation Ax + By = C : • Intercepts • Trend (increasing or decreasing) • Domain • Range • Slope 4. Given a linear equation Ax + By = C, rewrite in the form y = mx + b, and vice versa 4.1 draw the graph of a linear equation in two variables described by an equation using
  • 15.
    • the intercepts • any two points • the slope and a given point 4.2 determine whether the graph of Ax+ By = C is increasing or decreasing 4.3 obtain the equation of a line given the following: • the intercepts • any two points • the slope and a point 4.4 use linear equations in two variables to solve problems ENRICHMENT FOR LINEAR EQUATIONS IN TWO VARIABLES: 5. Define an absolute value equation 5.1 Review the meaning of the absolute value of a number 5.2 Construct a table of ordered pairs and draw the graphs of the following: • y= • y= +b • y= -b • y= • y= • y= +c F. Special Products and Factoring 1. Review multiplication of polynomials 1.1 monomial by polynomial – using the distributive property 1.2 binomial by binomial – using the distributive property, using the FOIL method 2. Identify special products • Polynomials whose terms have a common monomial factor • Trinomials which are products of two binomials • Trinomials which are squares of a binomial • Products of the sum and difference of two quantities
  • 16.
    3. Factor polynomials • Polynomials whose terms have a common monomial factor • Trinomials which are products of two binomials • Trinomials which are squares of a binomial • Products of the sum and difference of two quantities 4. Given a polynomial, factor completely ENRICHMENT FOR SPECIAL PRODUCTS AND FACTORING 5. Use special products and factoring to solve problems
  • 17.
    INTERMEDIATE ALGEBRA (2NDYEAR HIGH SCHOOL) A. Systems of Linear Equations and Inequalities 1. Review the Cartesian Coordinate System 2. Review graphs of linear equations in two variables 3. Define a system of linear equations in two variables 4. Solve systems of linear equations in two variables 4.1 Given a pair of linear equations in two variables, identify those whose graphs are parallel, those that intersect, and those that coincide 4.2 Given a system of linear equations in two variables find the solution of the system graphically (i.e. by drawing the graphs and obtaining the coordinates of the intersection point) 4.3 Given a system of linear equations in two variables, determine whether or not their graphs intersect, and if they do, find the solution of the system algebraically • By elimination • By substitution 5. Use systems of linear equations to solve problems (e.g. number relations, uniform motion, geometric relations, mixture, investment, work) 6. Review the definition of inequalities; define a system of linear inequalities 6.1 Translate certain situations in real life to linear inequalities 6.2 Draw the graph of a linear inequality in two variables 6.3 Represent the solution set of a system of linear inequalities by graphing B. Quadratic Equations 1. Define a quadratic equation ; distinguish a quadratic equation from a linear equation 2. Find the solution set of a quadratic equation
  • 18.
    1.1 Review thedefinition of solution set of an equation; define “root of an equation” 1.2 Determine the solution set of a quadratic equation by algebraic methods: • Factoring • Quadratic formula • Completing the square 2.3 derive the quadratic formula 3. Solve rational equations which can be reduced to quadratic equations 4. Use quadratic equations to solve problems C. Rational Algebraic Expressions 1. Review simplification of fractions including complex fractions; review operations on fractions 2. Define a rational algebraic expression; domain of a rational algebraic expression; identify rational algebraic expressions; translate verbal expressions into rational algebraic expressions 3. Simplify rational algebraic expressions(reduce to lowest terms) 4. Add and subtract rational algebraic expressions 4.1 Find the least common denominator 4.2 Change two or more rational expressions with unlike denominators to those with like denominators 4.3 Simplify results 5. Multiply and divide rational algebraic expressions 6. Simplify complex fractions 7. Solve rational equations 7.1 Check for extraneous solutions 8. Solve problems involving rational algebraic expressions
  • 19.
    D. Variation 1. Define the following: • Direct variation • Direct square variation • Inverse variation • Joint variation 2. Identify relationships between two quantities in real life that are direct variations, direct square variations, inverse square variations or joint variations 3. Translate statements that describe relationships between two quantities using the following expressions to a table of values, a mathematical equation, or a graph, and vice versa • “_____ is directly proportional to _____” • “_____ is inversely proportional to _____” • “_____ varies directly as _____” • “_____ varies directly as the square of _____” • “_____ varies inversely as _____” 4. Solve problems on direct variation, direct square variation, inverse variation and joint variation E. Integral Exponents 1. Review concepts related to positive integer exponents • The meaning of ax when x is a positive integer • Laws on exponents • Multiplying and dividing expressions with positive integral exponents 2. Demonstrate understanding of expressions with zero and negative exponents 1.1 Give the meaning of ax when x is 0 or a negative integer 1.2 Evaluate numerical expressions involving negative and zero exponents 1.3 Rewrite algebraic expressions with zero and negative exponents 1.4 Use laws of exponents to simplify algebraic expressions containing integral exponents
  • 20.
    3. Review the use of scientific notation 4. Solve problems involving expressions with exponents F. Radical Expressions 1. Review roots of numbers 1.1 Identify expressions which are perfect squares or perfect cubes, and find their square root or cube root respectively 1.2 Given a number in the form where x is not a perfect nth root, name two rational numbers between which it lies 2. Demonstrate understanding of expressions with rational exponents 2.1 Use laws of exponents to simplify expressions containing rational exponents 2.2 Rewrite expressions with rational exponents as radical expressions and vice versa 3. Simplify radical expressions 3.1 Identify the radicand and index in a radical expression 3.2 Simplify the radical expression in such a way that the radicand contains no perfect nth root 3.3 Rationalize a fraction whose denominator contains square roots 4. Add and subtract radical expressions 5. Multiply and divide radical expressions 6. Solve radical equations 7. Solve problems involving radical equations G. Searching for Patterns in Sequences, Arithmetic, Geometric and Others 1. Demonstrate understanding of a sequence 1.1 List the next few terms of a sequence given several consecutive terms 1.2 Derive, by pattern-searching, a mathematical expression (rule) for generating the sequence 2. Demonstrate understanding of an arithmetic sequence 2.1 Define and give examples of an arithmetic sequence
  • 21.
    2.2 Describe anarithmetic sequence by any of the following ways: • Giving the first few terms • Giving the formula for the nth term • Drawing the graph 2.3 Derive the formula for the nth term of an arithmetic sequence 2.3.1 Given the first few terms of an arithmetic sequence, find the common difference and the nth term for a specified n 2.3.2 Given two terms of an arithmetic sequence, find: the first term; the common difference or a specified nth term 2.4 Derive the formula for the sum of the n terms of an arithmetic sequence 2.5 Define an arithmetic mean; solve problems involving arithmetic means 2.6 Solve problems involving arithmetic sequences 3. Demonstrate understanding of a geometric sequence 3.1 Define and give examples of a geometric sequence 3.2 Describe a geometric sequence in any of the following ways: • Giving the first few terms of the sequence • Giving the formula for the nth term • Drawing the graph 3.3 Derive the formula for the nth term of a geometric sequence 3.3.1 Given the first few terms of a geometric sequence, find the common ratio and the nth term for a specified n 3.3.2 Given two specified terms of a geometric sequence, find: the first term; the common ratio or a specified nth term 3.4 Derive the formula for the sum of the terms of a geometric sequence 3.5 Derive the formula for an infinite geometric series 3.6 Define a geometric mean; solve problems involving geometric means 3.7 Solve problems involving geometric sequences 4. Define a harmonic sequence, harmonic series, and harmonic mean 4.1 Illustrate a harmonic sequence and determine the sum of the first n terms 4.2 Determine the harmonic mean of two numbers 4.3 Solve problems involving harmonic sequences 5. Introduce the Fibonacci sequence; define and illustrate the Fibonacci sequence 6. Introduce the Binomial Theorem 6.1 State and illustrate the Binomial Theorem 6.2 State and apply the formula for determining the coefficients of the terms in the expansion of .
  • 22.
    GEOMETRY (3RD YEARHIGH SCHOOL) A. Geometry of Shape and Size 1. Undefined Terms 1.1 Describe the ideas of point, line, and plane 1.2 Define, identify, and name the subsets of a line • Segment • Ray 2. Angles 1.1 Illustrate, name, identify and define an angle 1.2 Name and identify the parts of an angle 1.3 Read or determine the measure of an angle using a protractor 1.4 Illustrate, name, identify and define different kinds of angles • Acute • Right • Obtuse 3. Polygons 1.1 Illustrate, identify, and define different kinds of polygons according to the number of sides • Illustrate and identify convex and non-convex polygons • Identify the parts of a regular polygon (vertex angle, central angle, exterior angle) 1.2 Illustrate, name and identify a triangle and its basic and secondary parts (e.g., vertices, sides, angles, median, angle bisector, altitude) 1.3 Illustrate, name and identify different kinds of triangles and their parts (e.g., legs, base, hypotenuse) • classify triangles according to their angles and according to their sides 1.4 Illustrate, name and define a quadrilateral and its parts 1.5 Illustrate, name and identify the different kinds of quadrilaterals 1.6 Determine the sum of the measures of the interior and exterior angles of a polygon • Sum of the measures of the angles of a triangle is 180 • Sum of the measures of the exterior angles of a quadrilateral is 360 • Sum of the measures of the interior angles of a quadrilateral is • (n – 2)180
  • 23.
    4. Circle 4.1 Define a circle 4.2 Illustrate, name, identify, and define the terms related to the circle (radius, diameter and chord) 5. Measurements 5.1 Identify the following common solids and their parts: cone, pyramid, sphere, cylinder, rectangular prism) 5.2 state and apply the formulas for the measurements of plane and solid figures • Perimeter of a triangle, square, and rectangle • Circumference of a circle • Area of a triangle, square, parallelogram, trapezoid, and circle • Surface area of a cube, rectangular prism, square pyramid, cylinder, cone, and a sphere • Volume of a rectangular prism, triangular prism, pyramid, cylinder, cone, and a sphere 5.3 Solve problems involving plane and solid figures B. Geometric Relations 1. Relations involving Segments and Angles 1.1 Illustrate and define betweeness and collinearity of points 1.2 Illustrate, identify and define congruent segments 1.3 Illustrate, identify and define the midpoint of a segment 1.4 Illustrate, identify and define the bisector of an angle 1.5 Illustrate, identify and define the different kinds of angle pairs • Supplementary • Complementary • Congruent • Adjacent • Linear pair • Vertical angles 1.6 Illustrate, identify and define perpendicularity 1.7 Illustrate and identify the perpendicular bisector of a segment 2. Angles and Sides of a Triangle 2.1 Derive/apply relationships among the sides and angles of a triangle • Exterior and corresponding remote interior angles of a triangle • Triangle inequality
  • 24.
    3. Angles formed by Parallel Lines cut by a Transversal 3.1 Illustrate and define Parallel Lines 3.2 Illustrate and define a Transversal 3.3 Identify the angles formed by parallel lines cut by a transversal 3.4 Determine the relationship between pairs of angles formed by parallel lines cut by a transversal • Alternate interior angles • Alternate exterior angles • Corresponding angles • Angles on the same side of the transversal 4. Problem Solving involving the Relationships between Segments and between Angles 4.1 Solve problems using the definitions and properties involving relationships between segments and between angles C. Triangle Congruence 1. Conditions for Triangle Congruence 1.1 Define and illustrate congruent triangles 1.2 State and apply the Properties of Congruence • Reflexive Property • Symmetric Property • Transitive Property 1.3 Use inductive skills to establish the conditions or correspondence sufficient to guarantee congruence between triangles 1.4 Apply deductive skills to show congruence between triangles • SSS Congruence • SAS Congruence • ASA Congruence • SAA Congruence 2. Applying the Conditions for Triangle Congruence 2.1 Prove congruence and inequality properties in an isosceles triangle using the congruence conditions in 1.3 • Congruent sides in a triangle imply that the angles opposite them are congruent • Congruent angles in a triangle imply that the sides opposite them are congruent • Non-congruent sides in a triangle imply that the angles opposite them are not congruent
  • 25.
    • Non-congruentangles in a triangle imply that the sides opposite them are not congruent 2.2 Use the definition of congruent triangles and the conditions for triangle congruence to prove congruent segments and congruent angles between two triangles 2.3 Solve routine and non-routine problems Enrichment Apply inductive and deductive skills to derive other conditions for congruence between two right triangles • LL Congruence • LA Congruence • HyL Congruence • HyA Congruence D. Properties of Quadrilaterals 1. Different type of Quadrilaterals and their Properties 1.1 Recall previous knowledge on the different kinds of quadrilaterals and their properties (square, rectangle, rhombus, trapezoid, parallelogram) 1.2 Apply inductive and deductive skills to derive certain properties of the trapezoid • Median of a trapezoid • Base angles and diagonals of an isosceles trapezoid 1.3 Apply inductive and deductive skills to derive the properties of a parallelogram • Each diagonal divides a parallelogram into two congruent triangles • Opposite angles are congruent • Non-opposite angles are supplementary • Opposite sides are congruent • Diagonals bisect each other 1.4 Apply inductive and deductive skills to derive the properties of the diagonals of special quadrilaterals • Diagonals of a rectangle • Diagonals of a square • Diagonals of a rhombus
  • 26.
    2 Conditions that Guarantee that a Quadrilateral is a Parallelogram 2.1 Verify sets of sufficient conditions which guarantee that a quadrilateral is a parallelogram 2.2 Apply the conditions to prove that a quadrilateral is a parallelogram 2.3 Apply the properties of quadrilaterals and the conditions for a parallelogram to solve problems Enrichment Apply inductive and deductive skills to discover certain properties of the Kite E. Similarity 1. Ratio and Proportion 1.1 State and apply the definition of a ratio 1.2 Define a proportion and identify its parts 1.3 State and apply the fundamental law of proportion • Product of the means is equal to the product of the extremes 1.4 Define and identify proportional segments 1.5 Apply the definition of proportional segments to find unknown lengths 2. Proportionality Theorems 1.1 State and verify the Basic Proportionality Theorem and its Converse 3. Similarity between Triangles 3.1 Define similar figures 3.2 Define similar polygons 3.3 Define similar triangles 3.4 Apply the definition of similar triangles • Determining if two triangles are similar • Finding the length of a side or measure of an angle of a triangle 3.5 State and verify the Similarity Theorems 3.6 Apply the properties of similar triangles and the proportionality theorems to calculate lengths of certain line segments, and to arrive at other properties 4. Similarities in a Right Triangle 1.1 Apply the AA Similarity Theorem to determine similarities in a right triangle • In a right triangle the altitude to the hypotenuse divides it into two right triangles which are similar to each other and to the given right triangle 1.2 Derive the relationships between the sides of an isosceles triangle and between the sides of a 30-60-90 triangle using the Pythagorean Theorem
  • 27.
    Enrichment State and verify consequences of the Basic Proportionality Theorem • Parallel lines cut by two or more transversals make proportional segments • Bisector of an angle of a triangle separates the opposite side into segments whose lengths are proportional to the lengths of the other 2 sides State, verify and apply the ratio between the perimeters and areas of similar triangle Apply the definition of similar triangles to derive the Pythagorean Theorem • If a triangle is a right triangle, then the square of the hypotenuse is equal to the sum of the squares of the legs 5. Word Problems involving Similarity 1.1 Apply knowledge and skills related to similar triangles to word problems F. Circles 1. The circle 1.1 Recall the definition of a circle and the terms related to it • Radius • Diameter • Chord • Secant • Tangent • Interior and exterior 2. Arcs and Angles 2.1 Define and identify a central angle 2.2 Define and identify a minor and major arc of a circle 2.3 Determine the degree measure of an arc of a circle 2.4 Define and identify an inscribed angle 2.5 Determine the measure of an inscribed angle 3. Tangent Lines and Tangent Circles 3.1 State and apply the properties of a line tangent to a circle • If a line is tangent to a circle, then it is perpendicular to the radius drawn to the point of tangency • If two segments from the same exterior point are tangent to a circle, then the two segments are congruent
  • 28.
    4. Angles formed by Tangent and Secant Lines 4.1 Determine the measure of the angle formed by the following: • Two tangent lines • A tangent line and a secant line • Two secant lines Enrichment Illustrate and identify externally and internally tangent circles Illustrate and identify a common internal tangent or a common external tangent Geometric Constructions • Duplicate or copy a segment • Duplicate or copy an angle • Construct the perpendicular bisector and the midpoint of a segment Derive the Perpendicular Bisector Theorem • Construct the perpendicular to a line From a point on the line From a point not on the line • Construct the bisector of an angle • Construct parallel lines • Perform construction exercises using the constructions in 4.1 to 4.6 • Use construction to derive some other geometric properties (e.g., shortest distance from an external point to a line, points on the angle bisector are equidistant from the sides of the angle) G. Plane Coordinate Geometry 1. Review of the Cartesian Coordinate System, Linear Equations and Systems of Linear Equations in 2 Variables 1.1 Name the parts of a Cartesian Plane 1.2 Represent ordered pairs on the Cartesian Plane and denote points on the Cartesian Plane 1.3 Define the slope of a line and compute for the slope given the graph of a line 1.4 Define a Linear Equation 1.5 Define the y-intercept 1.6 Derive the equation of a line given two points of the line 1.7 Determine algebraically the point of intersection of two lines 1.8 State and apply the definitions of Parallel and Perpendicular Lines
  • 29.
    2. Coordinate Geometry 2.1 Derive and state the Distance Formula using the Pythagorean Theorem 2.2 Derive and state the Midpoint Formula 2.3 Apply the Distance and Midpoint Formulas to find or verify the lengths of segments and find unknown vertices or points 2.4 Verify properties of triangles and quadrilaterals using coordinate proof 3. Circles in the Coordinate Plane 3.1 Derive/state the standard form of the equation of a circle with radius r and center at (0,0) and at (h,k) 3.2 Given the equation of a circle, find its center and radius 3.3 Determine the equation of a circle given: • Its center and radius • Its radius and the point of tangency with a given line 3.4 Solve routine and non-routine problems involving circles
  • 30.
    SAMPLE LESSON PLANS MATHI : LINEAR EQUATIONS IN TWO VARIABLES Competency E1. Describe the Cartesian Coordinate Plane (x-axis, y-axis, quadrant, origin) Time Frame. 2 Sessions Objectives: At the end of the sessions, the students must be able to: 1. Describe the Cartesian coordinate plane 2. Given a point, describe its distance from the x or y axis 3. Given a point on the coordinate plane, give its coordinates 4. Given a pair of coordinates, plot the points 5. Given the coordinates of a point, determine the quadrant where it is located Development of the Lesson: A. Introduce the Cartesian coordinate plane using the number line. State that the rectangular coordinate plane are also called Cartesian plane can be constructed by drawing a pair of perpendicular number lines to intersect at zero on each line. B. Ask the students to describe the two lines and their point of intersection, to develop the following ideas: The two number lines, which are perpendicular lines, are called coordinate axes. The horizontal line is called the x-axis. The vertical line is called the y-axis y-axis. The point where the two lines intersect is called the origin and is labeled 0 on both axes. The two axes divide the plane into four regions called quadrants: the first, second, third and fourth quadrants in a counterclockwise direction.
  • 31.
    C. State thateach point in the coordinate plane has corresponding distance from the y-axis and from the x-axis, that a pair of numbers is needed to tell how many units to the right or left of the y-axis and how many units above or below of the x-axis the point is located. The pairs of numbers will be the name of the point. This pair of numbers is called ordered pair pair. D. Present the following examples and ask students to describe the distance of each point from the y or x-axis 1. If x = -2 answer: the point is 2 units to the left of the y-axis 2. If x = 0 answer: the point is in the y-axis 3. If x = 2 answer: the point is 2 units to the right of y-axis 4. If y = -3 answer: the point is 3 units below the x-axis 5. If y = 3 answer: the point is 3 units above the x-axis Hence, the ordered pair (-2, 3) is located 2 units to the left of the y-axis and 3 units above the x-axis. E. Let the student observe what the signs are of the coordinates of the points in the different quadrants. (Both positive in quadrant 1, negative-positive in II, negative-negative in III, and positive-negative in IV.) F. State that in the ordered pair (x, y), x and y are called coordinates of the point. x is called the x-coordinate or abscissa and y is called the y-coordinate or ordinate.
  • 32.
    Ask students togive the coordinates of each point pictured in the graph. e.g. A (3,2) 1. B ans. (5,6) 2. C (-7,4) 3. D (-4,5) 4. E (1,0) 5. F (0,-2) 6. G (8,-4) 7. H (9,3) 8. I (-9,-3) 9. J -2 10. K G. Ask the students to what quadrant each point is located. To see whether the students understand the concept, go over the exercises on _________. H. Then proceed to the plotting of points by asking the students to locate the points in the plane whose coordinates are (3,5). State that the process of marking a point in a plane is called plotting the points points.
  • 33.
    I. Present thefollowing example Locate the points P(-1,2), Q(2,3), R(-3,-4), S(3,-5) in the plane. J. State that when an entire set of ordered pairs is plotted, the corresponding set of points in the plane represents the graph of the set. Sometimes the points in the graph form a recognizable pattern, just like the example that follows: Plot the points on the graph provided. Connect each point with the next one by a line segment in the order given. 1. (2,0) 6. (-3, -3) 11. (2, -7) 2. (2,6) 7. (-3. -7) 12. (3, -7) 3. (0,10) 8. (-2, -7) 13. (3, -3) 4. (-2,6) 9. (-1, -6) 14. (2, -2) 5. (-2, -2) 10. (1, -6) 15. (2,0) To see whether the students understand the concept of plotting points, go over exercises on ___________.
  • 34.
    Suggested Teaching Strategies: 1. Provision for Life Skills or Higher Order Thinking Skills - In plotting points, help the students to realize through several examples that every point on a vertical line has the same x-coordinate and every point on the horizontal line has the same y-coordinate. - Cite instances where the use of the Cartesian plane is found. Assign student to observe and find other applications of the plane. 2. Provision for Multiple Intelligences - To tap the visual/spatial intelligence of students ask them to draw pictures on a graph paper using only lines. The students will then give the coordinates of the points where the lines intersect. - To tap the interpersonal intelligence of the students, prepare a game of treasure hunting. Indicate in the treasure map the reference point and the locations or position of buildings, places. The whole group will work for a common goal-to find the treasure. 3. Provision for Cooperative Learning - Prepare a group game on plotting of points. Done outside the classroom, ask the students to serve as markers in plotting the set of points given to them. The first group to plot the points correctly in the coordinate plane wins.
  • 35.
    MATH I :SPECIAL PRODUCTS AND FACTORING Competency F2. identify special products Time Frame. 3 Sessions Objective: At the end of the sessions, the students should be able to: 1. Identify the following special products: a. Square of a binomial, b. Difference of two squares, c. Sum or difference of two cubes. Development of the Lesson: A. Give the students a review of products of polynomials by going over the following exercises in class and asking the students to recite. 1. Product of a polynomial and a monomial Find the following products: a. 2x(3x+4)=6x b. c. d. e. 2. Product of two binomials Use the FOIL method to find the following products: a. b. c. d. e.
  • 36.
    B. Start thestudy of special products with a discussion of squares of binomials. 1. Let the students do the following exercise by pairs: Find the following products: a. b. c. d. e. Answer the following questions: a. How many terms are there in each product? b. What do you observe about the first and last terms of each product? c. Observe the middle terms of the products. What do you notice about the numerical coefficient of the middle term and the constant in each factor? C. Process the activity by going over the answers to the questions. State that these answers suggests the characteristics of a special product called a Perfect Square Trinomial (PST). Based on the exercise they just did, the students should be able to see that a PST results from multiplying a binomial with itself. In other words, a PST is a square of a binomial. Repeat the characteristics of a PST. D. Test if the students would be able to identify perfect square trinomials by asking them to answer the exercises on page _____. (Note: The teacher may give exercises of the suggested form below: Practice Exercise: Identify whether the given trinomial is a PST or NOT. Write PST or NOT PST. _____1. _____4. _____2. _____5. _____3. E. Introduce the next special product by asking the students to find the following products using the FOIL method. 1. 2. 3. 4. 5.
  • 37.
    F. Let thestudents observe the product in each case. (The products are all binomials; the operation in each one is subtraction; the terms are both perfect squares.) Ask them to describe what are the products of the outer terms and inner terms when they apply FOIL. (They are additive inverses of each other.) Present the special product called Difference of Two squares (DOTS). Summarize the characteristics of a difference of two squares and describe what factors result to DOTS. G. For the development of the idea of a sum of two cubes or difference of two cubes, use the same strategy used to develop the idea of a difference of two squares. Let the students find the products of pairs of factors which result to a sum of two cubes and factors which result to a difference of two cubes. Ask the students to observe the products and what are common to these products. Explain that these are special products because they can be easily obtained by inspecting the factors without having to do the multiplication process. H. Assign the exercises on page ____. Suggested Teaching Strategies: 1. Provision for Integration of Content Areas in Language Teaching - Go over the meaning of the following terms: polynomial, factor, product, and common factor. 2. Provision for Life Skills or Higher Order Thinking Skills - In introducing the special product PST, you may use a problem like, “What is the area of a square whose side has a length of (x+6) meters?” 3. Provision for Cooperative Learning - Prepare a group puzzle on finding the products of binomials, including squares of binomials and factors of DOTS. Let the students do the puzzle in groups of 5 or 6.
  • 38.
    MATH I: SPECIALPRODUCTS AND FACTORING Competency F4. Given a polynomial, factor completely Time Frame. 3 Sessions Objective: At the end of the sessions, the students must be able to: 1. factor completely a given polynomial. Development of the Lesson: A. Review factoring by giving 3 examples for each of the following cases: polynomials whose terms have a common monomial factor, trinomials which are products of two binomials, perfect square trinomials, difference of two squares , and sum and difference of two cubes. Ask for volunteers to give the factors orally. After each case, state the technique used to determine the factors. B. Present the following case: Factor . Ask the students to examine the polynomial and find out what case it is. State that it is a trinomial but of 3rd degree so it is not the same as the trinomials we studied which are products of two binomials. Lead the students to see the common monomial factor. Call the students’ attention to the trinomial factor. Ask them to examine it. They should realize that it is still factorable. Present now the idea of a completely factored polynomial. Consider other examples. 1. 2. Let the students do the exercises on page _____.
  • 39.
    C. Present apolynomial of the form ax+ay+bx+by Challenge the students to factor completely. Let them investigate and discuss with a seatmate. Discuss the technique of grouping the terms before factoring, using the given polynomial. Ask the students to work on the following exercises. 1. 4xy+4x+3y+3 = (4xy+4x)+(3y+3) = 4x(y+1)+3(y+1) = (y+1)(4x+3) 2. ax+2a-bx-2b+cx+2c = (ax-bx+cx)+(2a-2b+2c) = x(a-b+c)+2(a-b+c) = (a-b+c)+(x+2) Stress that in each case, the terms are grouped in such a way that a common factor appears in each group. D. Consider other examples which involve factoring polynomials with more than two factors. Guide the students in factoring by asking them to examine each of the factors in every step of the solution. 1. Is still factorable? Do you see any common factor? 2. Note: Ask the students to justify the following when the need comes up in the discussion. a. Is equal to (x+y) ? b. Is equal to (x+y) ? E. Give a practice set covering all cases of factoring polynomials.
  • 40.
    Suggested Teaching Strategies: 1. Provision for Cooperative Learning - Prepare a group puzzle on factoring polynomials of different types. Ask the students to work on the puzzle in groups of 5 or 6, or in dyads. 2. Provision for Values Education and the Valuing Process - Try to bring out individual trials in life, then enumerate possible solutions on how to overcome these trials in a gradual manner, then in an abrupt manner. Whichever way, these are possible solutions for the said trials.
  • 41.
    MATH II: QUADRATICEQUATIONS Competency B1. Define a quadratic equation ax2 + bx + c = 0; distinguish a quadratic equation from a linear equation. Time Frame. 1 Session Objectives : At the end of the session, the students must be able to : 1. define, identify and give an example of a quadratic equation 2. distinguish a quadratic equation from a linear equation Development of the Lesson: A. Define a quadratic equation as an equation of the form ax2 + bx + c = 0 where a,b and c are constants and a 0. Ask the students why the value of a should not be 0. Clearly, when a = 0, the equation is linear and not quadratic. Cite some examples of quadratic equations like the following: 3x2 + 5x – 3 = 0 -9x2 = 10 (3x-7)(5+2x) = 0 B. Lead the students to distinguish between a linear equation and a quadratic equation by asking them to identify the linear equations and the quadratic equations from a given set of equations. C. To check whether the students understood the lesson well, ask them to give examples of quadratic equations. After the first few examples, challenge them by asking for examples of quadratic equations where a. b=0 b. c=0 c. b and c are both 0
  • 42.
    Suggested Teaching Strategies: 1. Provision for Cooperative Learning - Prepare a group puzzle on distinguishing linear equations from quadratic equations. Then ask the students to work in groups of 4 or 5.
  • 43.
    MATH II: QUADRATICEQUATIONS Competency B2. Review the definition of solution set of an equation; define “root of an equation” Time Frame. 1 Session Objectives : At the end of the session, the students must be able to : 1. recall the definition of the solution set of an equation 2. define “root of an equation” Development of the Lesson: A. Ask the student to recall what the “solution set of an equation” means. Define the solution set of an equation as the set of all values for the variable which will make the equation true. Below are examples : Example 1 : The solution set of x+2= 0 is {-2} because –2 + 2 = 0. Example 2 : The solution set of 3x = 1 is { } because 3( ) = 0. Example 3 : The solution set of x - 49 = 0 is {7, -7} because (7) - 49 = 0 and (-7) - 49 = 0. B. Then state that each element in the solution set of an equation is a root of the equation. Hence, -2 is the root of the equation in Example 1. is the root of the equation in Example 2. 7 and –7 are the roots of the equation in Example 3. Ask the student to give the roots of some equations. Make sure that some equations and some are quadratic. Make sure that the quadratic equations you will give at this point can be solved by inspection. C. Through the other examples in part B, proceed to lead the students to draw a conclusion about the number of roots a linear equation has and the number of roots a quadratic equation has.
  • 44.
    Suggested Teaching Strategies: 1. Provision for Cooperative Learning - Give the student a puzzle which will allow them to practice how to find the solution set of simple linear and quadratic equations.
  • 45.
    MATH II: QUADRATICEQUATIONS Competency B2.3. Derive the quadratic formula Time Frame. 3 Sessions Objective : At the end of the sessions, the students must be able to derive the quadratic formula. Development of the Lesson : A. To derive the quadratic formula ask the students to “solve” the general quadratic equation ax + bx + c = 0 by competing the square. It may help to guide them using the steps on the left side below so that they can come up with the derivation as outlined on the right side. 1. Write the general form of a quadratic equation 1. ax + bx + c = 0 2. Multiply both sides of the equation by 4a 2. 4a x + 4abx + 4ac = 0 3. Subtract 4ac from both sides of the equation 3. 4a x + 4abx = - 4ac 4. Add to both sides of the equation a term which makes the left side a perfect square trinomial 4. 4a x + 4abx + b = b - 4ac 5. Express the left side as a square of a binomial 5. (2ax + b) = b - 4ac 6. Extract the left side as a square of a binomial 6 2ax + b = 7. Add -b to both sides of the equation 7. 2ax = - b = 8. Divide both sides by 2a 8. x = 2a B. Ask the student to multiply both sides of the equation by a or 9a instead of 4a in the second step and carry out the derivation process. Find out if they are getting the same results. Draw a conclusion about the term which may be used to multiply the equation with, in the second step to carry out the derivation of the quadratic formula.
  • 46.
    C. Ask thestudents to rewrite the quadratic formula as x= 2a and to memorize this. Tell the students that b - 4ac is called the “discriminant”. Show how they may use the discriminant to determine whether a given quadratic equation has: a. equal or unequal roots b. real or imaginary roots c. rational or irrational roots Suggested Teaching Strategies: 1. Provision for Multiple Intelligence - To tap the interpersonal intelligence of the students, ask them to explain at the end of the lesson, to a partner, the process of deriving the quadratic formula.
  • 47.
    MATH III :POLYGONS Competency 3.1. Illustrate, identify and define different kinds of polygons according to the number of sides • illustrate and identify convex and non-convex polygons • identify the parts of a regular polygon (vertex angle, central angle, exterior angle) Time Frame: 1 Session Objectives: At the end of the session, the students must be able to: 1. Define and identify different kinds of polygons. 2. Illustrate and identify convex and non-convex polygon. 3. Identify the parts of a regular polygon. Development of the Lesson: A. Show illustrations of different kinds of polygons. Let the students study the figures then ask them how these were formed. Lead them to the concept that polygons are made of segments intersecting at its endpoints. Also, no two of its segments with common endpoint are collinear. B. Ask the students to count the number of vertices, sides and angles. Supply a name for each example. Clarify that polygons are named according to the number of sides. Number of Sides Polygons 3 triangle 4 quadrilateral 5 pentagon 6 hexagon 7 heptagon 8 octagon 9 nonagon 10 decagon 12 dodecagon n-sides n-gon
  • 48.
    C. Show illustrationsof two kinds of polygons like the ones below. Ask students to extend the sides. Focus on lines FE and ED. Below will be the result Ask students like - What happens to the polygon when the line was formed? - Are all the other vertices of the polygon located on one side of the half-plane? Answers will lead to the definition of convex and non-convex polygons. Be sure that the students will be able to distinguish that a polygon is a convex if no two points of a polygon lie on the opposite sides of a line containing any side of the polygon.
  • 49.
    D. Show tothe students the following figures in order to come up with the definition of a regular polygon. Help the students define what a regular polygon is. E. After defining a regular polygon, discuss and identify the parts of the regular polygon Attempt to define these parts with students. F. Tell the students that such kind of polygon is regular, let them formalize the definition. G. Let the students identify the parts of regular polygon. Sides can be extended to name the exterior angles. H. Provide practice exercises.
  • 50.
    Suggested Teaching Strategies: 1.Provision for Multiple Intelligence - to tap the verbal/linguistic intelligence of the students, encourage them to cite their observations in the discussion in Part D. - to tap the interpersonal intelligence, allow them to discuss their observations with the discussion in Part D with a seat mate.
  • 51.
    MATH III: POLYGONS Competency3.3. Illustrate, name, and identify different kinds of triangles and their parts (e.g. legs, base, hypotenuse) Time Frame. 2 Sessions Objectives: At the end of the sessions, the students must be able to: 1. name and identify different kinds of triangle. 2. classify triangles according to sides and according to angles. 3. name and identify parts of a right triangle. Development of the Lesson: A. Distribute 3 pieces of cut out triangles to the students. Let them measure the sides of the triangle. Ask students the following questions: • What have you noticed about the sides of triangle A? • How will you distinguish triangle A from triangle B and C? • What is the difference between triangle B and C? • What are the properties of triangle A? triangle B? triangle C? State the following: An equilateral triangle is a triangle with all sides congruent. An isosceles triangle is a triangle with exactly two sides congruent. A scalene triangle is a triangle with no sides congruent Further ask the student the following questions. What kind of triangle is triangle A? triangle B? triangle C? What is the basis of classification for these triangles? To see whether the student understand the classification of triangles according to sides, let them answer the exercises on _____________________.
  • 52.
    B. Review thekinds of angles; acute, right and obtuse. Let them identify the kinds of angles from the chart. Distribute cut out triangles to the students. (Prepare 3 triangles : acute, right and obtuse triangles) Let them measure the angles of the triangles. Ask the student the following questions: • What have you noticed about the measure of the angles of the triangle? • If you will group the triangles; how will you do it? Explain your answer. • What is your basis of classification of the triangles? State the following: Triangles can be classified according to the measure of their angles? 1. An acute triangle is a triangle with all three angles acute. 2.A right triangle is a triangle with one right angle. 3.An obtuse triangle is a triangle with an obtuse angle. To see whether the student understand the classification of triangles according to sides, let them answer the exercises on _____________________. C. Let the student observe the figures on the chart. Let the student identify the kinds of triangles in the chart and describe the characteristics of the two triangles. Explain to the students that in an isosceles triangle: The two congruent sides are called LEGS, the third side is called the BASE, the angles on the base are called BASE ANGLES. Explain further that in a Right Triangle the sides that are perpendicular are the legs and the side opposite the right angle is the hypotenuse.
  • 53.
    Show the illustrationto help the students visualize these parts. Give some more figures then ask the students to identify the legs, hypotenuse, base and the base angles. Suggested Teaching Strategies: 1. Provision for Higher Order Thinking Skills - In classifying triangles, conduct an activity where the students can compare and identify the different kinds of triangles. 2. Provision for Cooperative Learning - Prepare cut out triangles which students can classify as well as discuss their basis for classification. This can be done in groups.