Backscatter Working Group Software Inter-comparison Project
Requesting and Comparing Intermediate Backscatter Processing Results
Project Facilitators:
Mashkoor Malik, NOAA, USA
Marc Roche, ECONOMIE, Belgium
Julian Le Deunf, SHOM, France
Giuseppe Masetti, CCOM UNH, USA
Alexandre Schimel, NIWA New Zealand
Margaret Dolan, NGU, Norway
Shallow Survey Conference
1 October 2018
Project Collaborators:
SonarScope, IFREMER
FMGT, QPS
HIPS & SIPS, Teledyne CARIS
MB Process, Curtin University, CMST
Why?
● Validation of backscatter processing steps
○ Using same data set, may result in different final products
○ Need input from developers to document the processing chain better
● Backscatter working group (BSWG, 2015) recommended:
“to check the consistency of the processing results provided by various software suites,
initiatives promoting comparative tests on common data sets should be encouraged [...]” (Lurton
and Lamarche, 2015: BSWG report ).
Proprietary
ProcessingRaw data Mosaic
Angular
response
Example of end user frustration !
(Mosaic to mosaic comparison)
End result of backscatter mosaic offers little insight as
What went wrong and where?
Lucieer et al. (2017); Roche et al. (2018)
What are we proposing?
A collaborative project between data users and software developers:
● Goal 1: Collectively come to an agreement over processing stages and
reporting of intermediate results;
○ Launched project at GeoHab 2018 (May 2018)
○ A mini-workshop with software developers conducted (June 2018)
○ Provided common data set (June 2018)
○ Software vendors provided processing results (September 2018)
● Goal 2: To identify discrepancies in the processing chain and explain
differences in results when processed with different processing tools;
○ Same dataset processed by software developers
○ Compare intermediate processing results
● Goal 3: To develop consensus among software developers about adopting a
standard processing chain, nomenclature and metadata.
Backscatter data processing sequence
(Schimel et al. 2018)
Backscatter data processing sequence
(Schimel et al. 2018)
Current outputs
Current outputs
Current outputs
BSWG recommended processing stages
Current outputs
Recommended outputs
Metadata
Metadata
BSWG recommended processing stages
Current outputs
Recommended outputs
Metadata
Metadata
Available Sept 2018
CARIS and Sonar
Scope (Augustin
talk in this session)
implemented
(some)
intermediate
results output
The inter-comparison dataset
Kongsberg EM302
Johnston Atoll area
NOAA - USA
Teledyne 7125
Wembury Bay UK
Shallow survey 2015
Kongsberg EM710 and EM3002
Carré Renard reference area
SHOM - FRANCE
Kongsberg EM2040
Kwinte reference area
FPS Economy - BELGIUM
Phase I: Request intermediate results from software
ASCII export in Ping Beam geometry with backscatter as provided by sonar and
processed results prior to mosaicking (BL0 and BL3)
Vessel Data
acquisition
Agency Location Weather Date Depth
range
EM 2040 RV Simon Stevin SIS FPS
Economy
Kwinte reference area Calm Dec
2016
23-26 m
EM 3002 HSL Guillemont SIS SHOM Carre Renard area,
Brest Bay, France
Calm Jan
2010
18-22 m
EM 710 BH2 Borda SIS SHOM Carre Renard area,
Brest Bay, France
Calm Feb
2013
18-22 m
EM 302 Okeanos
Explorer
SIS NOAA Johnston Atoll near
Hawaii, USA
Rough Aug
2017
~3000 m
Reson
7125
s7k Shallow
survey
2015
Plymouth, UK Calm 2015 < 10 m
Processing status (Sept 2018)
Software KB 710 KB 302 KB 3002 KB 2040 Reson 7125
Sonar Scope
FMGT
CARIS
Curtin
Hypack
Swath Ed
MB System
Available No results Awaiting confirmation
Backscatter results provided by different vendors
Software SonarScope FMGT CARIS Curtin
# columns 31 12 17 11
Time stamp Ping Time Timestamp Ping Time
Ping # Ping
First ping = 0
Ping Number
First ping = 1
Ping Ping Number
Beam # Beam
First beam = 1
Beam Number Beam Beam Number
Beam location (Lat / Long) Latitude/Longitude Latitude /Longitude Longitude /Latitude Longitude / Latitude
Beam location (E / N) GeoX / GeoY Easting / Northing Easting / Northing Easting / Northing
Beam depth BathyRT Depth Depth
Incidence angle IncidenceAngles True Angle IncidentAngle Incidence Angle
BS as read from data files ReflecKM Backscatter Value BLO Backscatter value
BS processed angular response ReflecSSc Corrected Bacskcatter Value BL3 Corr Backscatter
Value
RV Simon Stevin EM2040 single Rx L0005_20160412_104116.all (300kHz, 216µs)
Kwinte reference gravel and sandy gravel area
black dots = GIS beam
plot (lat long)
white line =
navigation
yellow =
calculation
area
Processing of data from Sonarscope, FMGT and
CARIS:
1. GIS integration using Lat Long associated with each
ping/beam
2. Extraction of the data inside the yellow calculation
area (homogeneous area, bs reference subarea!)
3. Per beam number, calculation of the average value
of the different backscatter provided:
• SonarScope:
• ReflecKM
• ReflecSSc
• FMGT:
• Bsvalue
• Bscorvalue
• CARIS:
• BL0
• BL3
RV Simon Stevin EM2040 single Rx L0005_20160412_104116.all (300kHz, 216µs)
Kwinte reference gravel and sandy gravel area BoxPlot : outliers 25% 50% 75%
outliers
1
%
99
%
(A selected area)
-17 dB
-15 dB
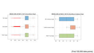
- 11.5 dB
(First 100,000 data points)
Why is CARIS incidence angles different ?
Within 5 cm
RV Simon Stevin EM2040 single Rx L0005_20160412_104116.all (300kHz, 216µs)
EM 2040 Depth (One Ping)
Within 15 dB
RV Simon Stevin EM2040 single Rx L0005_20160412_104116.all (300kHz, 216µs)
EM 2040 Backscatter (One Ping)
RV Simon Stevin EM2040 single Rx L0005_20160412_104116.all (300kHz, 216µs)
Kwinte reference gravel and sandy gravel area
EM302 L0213_20170717_112534_EX1706.all (main frequency =27.75kHz, pl = 40ms)
Johnston Atoll area
Processing of data from Sonarscope, FMGT and
CARIS:
1. GIS integration using Lat Long associated with each
ping/beam
2. Per beam number, calculation of the average value
of the different backscatter provided using all the
data:
• SonarScope:
• ReflecKM
• ReflecSSc
• FMGT:
• Bsvalue
• Bscorvalue
• CARIS:
• BL0
• BL3
Note: considering the heterogeneity of the seabed, a sub
calculation area should be select in order to keep a good
coherency of the statistics.
SSc Reflec KM
EM302 L0213_20170717_112534_EX1706.all (main frequency =27.75kHz, pl = 40ms)
Johnston Atoll area
(One survey line)
- 26.5 dB
- 26 dB
- 22 dB
- 21.5 dB
- 27.2 dB
- 24 dB
BL0 BL3
EM302 L0213_20170717_112534_EX1706.all (main frequency =27.75kHz, pl = 40ms)
Johnston Atoll area
EM302 L0213_20170717_112534_EX1706.all (main frequency =27.75kHz, pl = 40ms)
Johnston Atoll area
(One survey line)
(First 100,000 data points)
EM302 L0213_20170717_112534_EX1706.all (main frequency =27.75kHz, pl = 40ms)
Johnston Atoll area
EM710 0002_20130214_091514_borda.all (main frequency=81kHz, pl=0.3ms)
SHOM reference area
Processing of data from Sonarscope, FMGT and CARIS:
1. GIS integration using Lat Long associated with each
ping/beam
2. Per beam number, calculation of the average value of the
different backscatter provided using all the data:
• SonarScope:
• ReflecKM
• ReflecSSc
• FMGT:
• Bsvalue
• Bscorvalue
• CARIS:
• BL0
• BL3
Note: Due to the high homogeneity of the seabed in the Carré
Renard area, defining a sub area is not required.
FMGT Mosaic
(beam time series, default settings)
EM710 0002_20130214_091514_borda.all (main frequency=81kHz, pl=0.3ms)
SHOM reference area
-19.3 dB
-14.5 dB
- 10.4 dB
EM710 0002_20130214_091514_borda.all (main frequency=81kHz, pl=0.3ms)
SHOM reference area
EM710 0002_20130214_091514_borda.all (main frequency=81kHz, pl=0.3ms)
… area
EM710 0002_20130214_091514_borda.all (main frequency=81kHz, pl=0.3ms)
SHOM reference area
RESON 7125 20140729_082527_SMB Owen.s7k
Shallow Survey 2015
Processing of data from Sonarscope, FMGT and Curtin
1. GIS integration using Lat Long associated with each
ping/beam
2. Per beam number, calculation of the average value
of the different backscatter provided using all the
data:
• MB System :
• BL0
• BL3
• FMGT:
• Bsvalue
• Bscorvalue
• CARIS:
• BL0
• BL3
Reson 7125 area
FMGT Mosaic
40 dB
- 55 dB
40 dB
RESON 7125 20140729_082527_SMB Owen.s7k
Shallow Survey 2015
RESON 7125 20140729_082527_SMB Owen.s7k
Shallow Survey 2015
Discussions needed
1. Large unexplained differences among results BL0 and BL3
2. An initial step to show that differences exist
3. More work needed to identify reasons of these differences:
Sonar dependent?
Depth dependent?
Differences in processing methodology?
4. Involvement of sonar manufacturers to clarify data acquisition assumptions?
Next Steps
● Revisit calculations of BL0
● Request other intermediate
processing results
● 2nd round of processing after
agreeing upon the processing
approaches
● An independent assessment of
processed results
● Other software ?
We need your support !!
● Users: To demand results processed by different tools should agree
reasonably with each other
○ Accuracy standards of backscatter still distant goal
● Software developers: To work together to implement best practices for
backscatter processing
● BSWG: Provide a platform to facilitate these discussions
Questions
Mashkoor Malik (mashkoor.malik@noaa.gov)
Alexandre C. G. Schimel (alexandre.schimel@niwa.co.nz)
Marc Roche (Marc.Roche@economie.fgov.be)
Giuseppe Masetti (gmasetti@ccom.unh.edu)
Margaret Dolan (Margaret.Dolan@ngu.no)
Julian Le Deunf (julian.le.deunf@shom.fr)
Thanks to software developers & BSWG
References cited
Lamarche G, Lurton X. 2017. Recommendations for improved and coherent acquisition and processing of backscatter data from seafloor-mapping
sonars. Mar. Geophys. Res. 39:5-22.
Lucieer V, Roche M, Degrendele K, Malik M, Dolan M, Lamarche G. 2017. User expectations for multibeam echo sounders backscatter strength
data-looking back into the future. Mar. Geophys. Res. 39:23-40.
Lurton X, Lamarche G. 2015. Backscatter measurements by seafloor-mapping sonars. Guidelines and recommendations. Retrieved 27th April 2018
from http://geohab.org/wp-content/uploads/2013/02/BWSG-REPORT-MAY2015.pdf.
Roche M, Degrendele K, Vrignaud C, Loyer S, Le Bas T, Augustin J-M, Lurton X. 2018. Control of the repeatability of high frequency multibeam
echosounder backscatter by using natural reference areas. Mar. Geophys. Res. 39: 89-104.
Schimel ACG, Beaudoin J, Parnum IM, Le Bas T, Schmidt V, Gordon K, Ierodiaconou D. 2018. Multibeam sonar backscatter data processing. Mar.
Geophys. Res. 39:121-137.

Backscatter Working Group Software Inter-comparison Project Requesting and Comparing Intermediate Backscatter Processing Results

  • 1.
    Backscatter Working GroupSoftware Inter-comparison Project Requesting and Comparing Intermediate Backscatter Processing Results Project Facilitators: Mashkoor Malik, NOAA, USA Marc Roche, ECONOMIE, Belgium Julian Le Deunf, SHOM, France Giuseppe Masetti, CCOM UNH, USA Alexandre Schimel, NIWA New Zealand Margaret Dolan, NGU, Norway Shallow Survey Conference 1 October 2018 Project Collaborators: SonarScope, IFREMER FMGT, QPS HIPS & SIPS, Teledyne CARIS MB Process, Curtin University, CMST
  • 2.
    Why? ● Validation ofbackscatter processing steps ○ Using same data set, may result in different final products ○ Need input from developers to document the processing chain better ● Backscatter working group (BSWG, 2015) recommended: “to check the consistency of the processing results provided by various software suites, initiatives promoting comparative tests on common data sets should be encouraged [...]” (Lurton and Lamarche, 2015: BSWG report ). Proprietary ProcessingRaw data Mosaic Angular response
  • 3.
    Example of enduser frustration ! (Mosaic to mosaic comparison) End result of backscatter mosaic offers little insight as What went wrong and where? Lucieer et al. (2017); Roche et al. (2018)
  • 4.
    What are weproposing? A collaborative project between data users and software developers: ● Goal 1: Collectively come to an agreement over processing stages and reporting of intermediate results; ○ Launched project at GeoHab 2018 (May 2018) ○ A mini-workshop with software developers conducted (June 2018) ○ Provided common data set (June 2018) ○ Software vendors provided processing results (September 2018) ● Goal 2: To identify discrepancies in the processing chain and explain differences in results when processed with different processing tools; ○ Same dataset processed by software developers ○ Compare intermediate processing results ● Goal 3: To develop consensus among software developers about adopting a standard processing chain, nomenclature and metadata.
  • 5.
    Backscatter data processingsequence (Schimel et al. 2018)
  • 6.
    Backscatter data processingsequence (Schimel et al. 2018) Current outputs
  • 7.
  • 8.
    BSWG recommended processingstages Current outputs Recommended outputs Metadata Metadata
  • 9.
    BSWG recommended processingstages Current outputs Recommended outputs Metadata Metadata Available Sept 2018 CARIS and Sonar Scope (Augustin talk in this session) implemented (some) intermediate results output
  • 10.
    The inter-comparison dataset KongsbergEM302 Johnston Atoll area NOAA - USA Teledyne 7125 Wembury Bay UK Shallow survey 2015 Kongsberg EM710 and EM3002 Carré Renard reference area SHOM - FRANCE Kongsberg EM2040 Kwinte reference area FPS Economy - BELGIUM
  • 11.
    Phase I: Requestintermediate results from software ASCII export in Ping Beam geometry with backscatter as provided by sonar and processed results prior to mosaicking (BL0 and BL3) Vessel Data acquisition Agency Location Weather Date Depth range EM 2040 RV Simon Stevin SIS FPS Economy Kwinte reference area Calm Dec 2016 23-26 m EM 3002 HSL Guillemont SIS SHOM Carre Renard area, Brest Bay, France Calm Jan 2010 18-22 m EM 710 BH2 Borda SIS SHOM Carre Renard area, Brest Bay, France Calm Feb 2013 18-22 m EM 302 Okeanos Explorer SIS NOAA Johnston Atoll near Hawaii, USA Rough Aug 2017 ~3000 m Reson 7125 s7k Shallow survey 2015 Plymouth, UK Calm 2015 < 10 m
  • 12.
    Processing status (Sept2018) Software KB 710 KB 302 KB 3002 KB 2040 Reson 7125 Sonar Scope FMGT CARIS Curtin Hypack Swath Ed MB System Available No results Awaiting confirmation
  • 13.
    Backscatter results providedby different vendors Software SonarScope FMGT CARIS Curtin # columns 31 12 17 11 Time stamp Ping Time Timestamp Ping Time Ping # Ping First ping = 0 Ping Number First ping = 1 Ping Ping Number Beam # Beam First beam = 1 Beam Number Beam Beam Number Beam location (Lat / Long) Latitude/Longitude Latitude /Longitude Longitude /Latitude Longitude / Latitude Beam location (E / N) GeoX / GeoY Easting / Northing Easting / Northing Easting / Northing Beam depth BathyRT Depth Depth Incidence angle IncidenceAngles True Angle IncidentAngle Incidence Angle BS as read from data files ReflecKM Backscatter Value BLO Backscatter value BS processed angular response ReflecSSc Corrected Bacskcatter Value BL3 Corr Backscatter Value
  • 14.
    RV Simon StevinEM2040 single Rx L0005_20160412_104116.all (300kHz, 216µs) Kwinte reference gravel and sandy gravel area black dots = GIS beam plot (lat long) white line = navigation yellow = calculation area Processing of data from Sonarscope, FMGT and CARIS: 1. GIS integration using Lat Long associated with each ping/beam 2. Extraction of the data inside the yellow calculation area (homogeneous area, bs reference subarea!) 3. Per beam number, calculation of the average value of the different backscatter provided: • SonarScope: • ReflecKM • ReflecSSc • FMGT: • Bsvalue • Bscorvalue • CARIS: • BL0 • BL3
  • 15.
    RV Simon StevinEM2040 single Rx L0005_20160412_104116.all (300kHz, 216µs) Kwinte reference gravel and sandy gravel area BoxPlot : outliers 25% 50% 75% outliers 1 % 99 % (A selected area) -17 dB -15 dB - 11.5 dB
  • 16.
  • 17.
    Why is CARISincidence angles different ?
  • 18.
    Within 5 cm RVSimon Stevin EM2040 single Rx L0005_20160412_104116.all (300kHz, 216µs) EM 2040 Depth (One Ping)
  • 19.
    Within 15 dB RVSimon Stevin EM2040 single Rx L0005_20160412_104116.all (300kHz, 216µs) EM 2040 Backscatter (One Ping)
  • 20.
    RV Simon StevinEM2040 single Rx L0005_20160412_104116.all (300kHz, 216µs) Kwinte reference gravel and sandy gravel area
  • 21.
    EM302 L0213_20170717_112534_EX1706.all (mainfrequency =27.75kHz, pl = 40ms) Johnston Atoll area Processing of data from Sonarscope, FMGT and CARIS: 1. GIS integration using Lat Long associated with each ping/beam 2. Per beam number, calculation of the average value of the different backscatter provided using all the data: • SonarScope: • ReflecKM • ReflecSSc • FMGT: • Bsvalue • Bscorvalue • CARIS: • BL0 • BL3 Note: considering the heterogeneity of the seabed, a sub calculation area should be select in order to keep a good coherency of the statistics. SSc Reflec KM
  • 22.
    EM302 L0213_20170717_112534_EX1706.all (mainfrequency =27.75kHz, pl = 40ms) Johnston Atoll area (One survey line) - 26.5 dB - 26 dB - 22 dB - 21.5 dB - 27.2 dB - 24 dB BL0 BL3
  • 23.
    EM302 L0213_20170717_112534_EX1706.all (mainfrequency =27.75kHz, pl = 40ms) Johnston Atoll area
  • 24.
    EM302 L0213_20170717_112534_EX1706.all (mainfrequency =27.75kHz, pl = 40ms) Johnston Atoll area (One survey line)
  • 25.
    (First 100,000 datapoints) EM302 L0213_20170717_112534_EX1706.all (main frequency =27.75kHz, pl = 40ms) Johnston Atoll area
  • 26.
    EM710 0002_20130214_091514_borda.all (mainfrequency=81kHz, pl=0.3ms) SHOM reference area Processing of data from Sonarscope, FMGT and CARIS: 1. GIS integration using Lat Long associated with each ping/beam 2. Per beam number, calculation of the average value of the different backscatter provided using all the data: • SonarScope: • ReflecKM • ReflecSSc • FMGT: • Bsvalue • Bscorvalue • CARIS: • BL0 • BL3 Note: Due to the high homogeneity of the seabed in the Carré Renard area, defining a sub area is not required. FMGT Mosaic (beam time series, default settings)
  • 27.
    EM710 0002_20130214_091514_borda.all (mainfrequency=81kHz, pl=0.3ms) SHOM reference area -19.3 dB -14.5 dB - 10.4 dB
  • 28.
    EM710 0002_20130214_091514_borda.all (mainfrequency=81kHz, pl=0.3ms) SHOM reference area
  • 29.
    EM710 0002_20130214_091514_borda.all (mainfrequency=81kHz, pl=0.3ms) … area
  • 30.
    EM710 0002_20130214_091514_borda.all (mainfrequency=81kHz, pl=0.3ms) SHOM reference area
  • 31.
    RESON 7125 20140729_082527_SMBOwen.s7k Shallow Survey 2015 Processing of data from Sonarscope, FMGT and Curtin 1. GIS integration using Lat Long associated with each ping/beam 2. Per beam number, calculation of the average value of the different backscatter provided using all the data: • MB System : • BL0 • BL3 • FMGT: • Bsvalue • Bscorvalue • CARIS: • BL0 • BL3 Reson 7125 area FMGT Mosaic
  • 32.
    40 dB - 55dB 40 dB RESON 7125 20140729_082527_SMB Owen.s7k Shallow Survey 2015
  • 33.
    RESON 7125 20140729_082527_SMBOwen.s7k Shallow Survey 2015
  • 34.
    Discussions needed 1. Largeunexplained differences among results BL0 and BL3 2. An initial step to show that differences exist 3. More work needed to identify reasons of these differences: Sonar dependent? Depth dependent? Differences in processing methodology? 4. Involvement of sonar manufacturers to clarify data acquisition assumptions?
  • 35.
    Next Steps ● Revisitcalculations of BL0 ● Request other intermediate processing results ● 2nd round of processing after agreeing upon the processing approaches ● An independent assessment of processed results ● Other software ?
  • 36.
    We need yoursupport !! ● Users: To demand results processed by different tools should agree reasonably with each other ○ Accuracy standards of backscatter still distant goal ● Software developers: To work together to implement best practices for backscatter processing ● BSWG: Provide a platform to facilitate these discussions
  • 37.
    Questions Mashkoor Malik (mashkoor.malik@noaa.gov) AlexandreC. G. Schimel (alexandre.schimel@niwa.co.nz) Marc Roche (Marc.Roche@economie.fgov.be) Giuseppe Masetti (gmasetti@ccom.unh.edu) Margaret Dolan (Margaret.Dolan@ngu.no) Julian Le Deunf (julian.le.deunf@shom.fr) Thanks to software developers & BSWG
  • 38.
    References cited Lamarche G,Lurton X. 2017. Recommendations for improved and coherent acquisition and processing of backscatter data from seafloor-mapping sonars. Mar. Geophys. Res. 39:5-22. Lucieer V, Roche M, Degrendele K, Malik M, Dolan M, Lamarche G. 2017. User expectations for multibeam echo sounders backscatter strength data-looking back into the future. Mar. Geophys. Res. 39:23-40. Lurton X, Lamarche G. 2015. Backscatter measurements by seafloor-mapping sonars. Guidelines and recommendations. Retrieved 27th April 2018 from http://geohab.org/wp-content/uploads/2013/02/BWSG-REPORT-MAY2015.pdf. Roche M, Degrendele K, Vrignaud C, Loyer S, Le Bas T, Augustin J-M, Lurton X. 2018. Control of the repeatability of high frequency multibeam echosounder backscatter by using natural reference areas. Mar. Geophys. Res. 39: 89-104. Schimel ACG, Beaudoin J, Parnum IM, Le Bas T, Schmidt V, Gordon K, Ierodiaconou D. 2018. Multibeam sonar backscatter data processing. Mar. Geophys. Res. 39:121-137.