By-
Dr. Prerana B. Jadhav
M. Pharm, Ph.D.
Pharmaceutical Chemistry
Assistant Professor,
Sanjivani College of Pharmaceutical Education and Research,
Kopargaon.
Antihistaminic agents
What is Histamine?
• Histamine consists of an imidazole ring attached to an ethylamine chain;
under physiological conditions, the amino group of the side-chain
is protonated.
• Regulates physiological functions in the gut.
• It has been considered a local hormone (autocoid)
• It acts as a neurotransmitter for the brain, spinal cord, and uterus.
• Histamine is involved in the inflammatory response and has a central
role as a mediator of itching.
• As part of an immune response to foreign pathogens, histamine is
produced by basophils and by mast cells found in nearby connective
tissues.
• Histamine increases the permeability of the capillaries to white blood
cells and some proteins, to allow them to engage pathogens in
the infected tissues.
Synthesis and metabolism
• Histamine is derived from the decarboxylation of the amino
acid histidine, a reaction catalyzed by the enzyme L-
histidine decarboxylase.
• Rapidly inactivated by its primary degradative
enzymes, histamine-N-methyltransferase or diamine
oxidase.
Storage and Release
• Stored in mast cells in Complex with Heparin (anticoagulant)
• Stored in basophiles in Complex with Chondrotin
• Histamine as stored in mast cells are found almost
everywhere : skin and the mucosal cells of the bronchi,
intestine, urinary tract, and tissues adjacent to the circulation
and within neurons of CNS
• It is released in response to a wide variety of immune
(antigen and antibody) and nonimmune (bacterial products,
xenobiotics, physical effects, and cholinergic effects) stimuli.
Mechanism of action
Histamine exerts its effects primarily by binding to G protein-coupled
histamine receptors, designated H1, H2, H3, and H4.
Histaminic receptors are associated with
• H1: Allergic Reponses
• H2: Gastric acid regulation
• H3: Neurotransmitter release modulation
• H4: Immune system function
R Location Function
H1 • CNS: in the
histaminergic tuberomammillary
nucleus, which projects to the dorsal raphe
, locus coeruleus, and additional structures.
• Periphery: Smooth
muscle, endothelium, mast cells , sensory
nerves
• CNS: Sleep-wake cycle (promotes wakefulness), body,
temperature, nociception, endocrine homeostasis,
regulates appetite, involved in cognition
• Periphery: Causes bronchoconstriction,
bronchial smooth muscle contraction, urinary bladder
contractions, vasodilation, promotes hypernociception
(visceral hypersensitivity), involved in itch
perception and urticaria.
H2 Periphery: Located on parietal
cells, vascular smooth muscle
cells, neutrophils, mast cells, as well as on
cells in the heart and uterus
• Periphery: Primarily involved in vasodilation and
stimulation of gastric acid secretion.
Urinary bladder relaxation.
Modulates gastrointestinal function.
H3
Located in the central nervous system and
to a lesser extent peripheral nervous
system tissue
Autoreceptor and heteroreceptor functions:
decreased neurotransmitter release of
histamine, acetylcholine, norepinephrine, serotonin.
Modulates nociception, gastric acid secretion, and food
intake.
H4
Located primarily on basophils and in
the bone marrow. It is also expressed in
the thymus, small intestine, spleen,
and colon.
Plays a role in mast cell chemotaxis, itch perception,
cytokine production and secretion, and visceral
hypersensitivity. Other putative functions (e.g.,
inflammation, allergy, cognition, etc.) have not been fully
characterized.
H1 Receptors
H1 receptors throughout your body, including in neurons (brain cells), smooth
muscle cells of airways and blood vessels
• Itchy skin (pruritus).
• Expanding of blood vessels (vasodilation).
• Low blood pressure (hypotension).
• Increased heart rate (tachycardia).
• Flushing.
• Narrowing of airways (bronchoconstriction).
• Pain.
• Movement of fluids through blood vessel walls (vascular permeability).
• Some of these bodily changes result in sneezing, nasal congestion and runny
nose (rhinorrhea).
• Outside of allergic reactions, H1 receptors also help to regulate:
• Sleep-wake cycles.
• Food intake.
• Body temperature.
• Emotions.
• Memory.
• Learning.
H2 Receptors
• Stomach acid secretion, which helps with digestion.
• Stimulation of mucous glands in your airways.
• Vascular permeability.
• Hypotension.
• Flushing.
• Headache
• Tachycardia.
• Bronchoconstriction.
H3 Receptors
• H3 receptors are mainly involved in blood-brain barrier function.
They’re found in neurons in central nervous system. H3 receptors
regulate the release of histamine
and neurotransmitters like dopamine, norepinephrine and acetylcholine.
• Researchers are currently studying H3 receptor antagonist medications
for potential use in the treatment of neurodegenerative diseases.
H4 Receptors
• H4 receptors are present in bone marrow and hematopoietic cells
(immature cells that can develop into all types of blood cells). They play
a role in the formation of certain blood cells.
• They also play important roles in inflammatory disorders
Classification ofAntihistaminicAgents
1. H1 Antagonist
a) First generation
• Amino-alkyl ether – diphenhydramine, dimenhydrinate, doxylamine succinate,
clemastine fumarate
• Ethylenediamine- Tripelennamine HCl, pyrilamine
• Mono-amino propyl – chlorpheniramine maleate, triprolidine
• Tricyclic ring system- Promethazine HCl, Trimeprazine Tartarate
• Miscellaneous- Phenindamine
b) Second Generation
Astemizole, Loratadine, Cetirizine, Levocetrazine, Cromolyn sodium, fexofenadine
2. H2 Antagonist
Cimetidine, Famotidine, Ranitidine
3. Gastric Proton Pump Inhibitors
Omeprazole, Lansoprazole, Rabeprazole, Pantoprazole
SAR of H1 Antihistaminics
1. Nature of Aryl group
2. Nature of X group
3. Nature of Alkyl Chain
4. Nature of terminal nitrogen
1. Nature of Aryl group
• Diaryl substitution is essential
• -Cl, -Br, -OCH3 substitution on aryl group increases
activity
• Replacement of one of the aromatic rings with 2-pyridyl group
increases histaminic selectivity
• Alkyl Substitution in these aromatic rings influence selectivity
• Increasing alkyl substituions at C2 increases anticholinergic
activity and decreases antihistaminic activity
• Increasing alkyl substituions at C4 decreases anticholinergic
activity and modestly increases antihistaminic activity
2. Nature of X group
• The nature of X provides basis for chemical classification
of antihistaminic.
When, X- Oxygen (Amino alkyl ether analogue)
X- Nitrogen (Ethylene diamine derivative)
X- Carbon (Monoaminopropyl analogue)
3. Nature of alkyl chain
• Ethylene chain is important
• Extension or branching will result in less active compound
MOA
• H1 antagonists act by competitively inhibiting the effects of
histamine at H1 receptor.
• H1 receptor blockade results in decreased vascular
permeability, reduction of pruritus, relaxation of smooth
muscle in the respiratory, GIT.
Chemical Classification of H1 Antagonist
A) Ethylenediamine Derivative
Example: Tripelennamine HCl
N CH2 CH2 N
CH3
CH3
N
• MOA:
Binds with H1 receptor. Blocks the action of endogenous
histamine which leads to temporary relief of negative
symptoms associated with histamine release.
Uses:
Antiprurtic, asthama, rhinitis, urticaria.
Side effects:
Sedation, irritation, dry mouth, dizziness
B) Aminoalkyl ether analogue
• Example
Diphenhydramine
• MOA: Blocks H1 receptor. Rapidly cross BBB acts as
anticholinergic, produces sedation. Acts as antimuscarinic
used in treatment of Parkinsonism.
O CH2 CH2 N
CH3
CH3
H
• Doxylamine succinate
• Used in allergy, used as an antitussive, antiemetic and
hypnotic
O CH2 CH2 N
CH3
CH3
CH3
N
Clemastine Fumarate
O CH2 CH2
CH3
N
Cl
N
C
H3
H
HOOC
H COOH
C) Cyclic basic chain analogues
CH N N R2
X
Example:
Chlorcyclizine
CH N N CH3
Cl
Uses: Urticaria, Rhinitis,
pruritus, and other allergic
symptoms
• Meclizine
• Buclizine
CH N N
Cl
CH3
MOA: H1 antagonist with anti
emetic, anticholinergic activity
Uses: Used to treat motion
sickness
CH N N
Cl
C
H3
CH3
CH3
Uses: prevention and
treatment of nausea,
vomiting, and dizziness
associated with motion
sickness.
D) Monoaminopropyl analogue
• Use: Symptomatic relief of hypersensitivity reaction,
cough and common cold.
E) Tricyclic ring system
F) Miscellaneous
Cromolyn sodium
Adverse effects of Antihistaminic agents
Fig: Effects of H1 antihistamines at histamine, adrenergic, cholinergic, and serotonin-binding
receptors. Many second generation antihistamines do not enter the brain and, therefore,
show minimal CNS effects.
SAR & STRUCTURAL REQUIREMENTS:
GENERAL FORMULA FOR H2 ANTAGONISTS:
BASIC
HETEROCYCLE
GROUP
FLEXIBLE
CHAIN/
AROMATIC RING
These are the result of modification of histamine structure.
The imidazole ring of histamine is not required for competitive antagonism
of histamine at H2
Separation of ring & nitrogen group with the equivalent of 4 carbon chain
is necessary for optimum antagonist activity.
The terminal nitrogen group should be polar, non-basic substituents for maximal
activity.
35
H2 ANTAGONISTS
FAMOTIDINE
33
H2 ANTAGONISTS
CIMETIDINE
33
34
RANITIDINE
USES OF ANTIHISTAMINES
ALLERGIC DISORDERS:
They effectively control certain immediate type of allergies like itching,
urticaria, seasonal hay fever, allergic conjunctivitis & angioedema of lips
eyelids etc.,
CETIRIZINE have adjuvant role in seasonal asthma.
PRURITIS:
Antihistamines are first choice of drugs for idiopathic pruritus.
COMMON COLD:
They do not effect the illness but may afford sympatomatic relief by
anticholinergic & sedative actions.
As hypnotics eg: diphenhydramine & promethazine.
41
Gastric Proton Pump Inhibitors
• The gastric acid secretion is regulated by the functioning
of H+
-K+
ATPase pump present in the parietal cell
membrane.
• These drugs inhibits proton pump via covalent interaction
with sulfhydryl groups with cysteine residue of H+
K+
ATPase pump and blocks gastric acid secretion.
• Example: Omeprazole, Lansoprazole, Rabeprazole,
Pantoprazole.
• Uses:
• Used in the treatment of gastric and duodenal ulcer
• Gastritis associated with NSAID’s
• Used in the treatment of duodenal ulcer
• Gastroesophagal reflux disorder
Pantoprazole
• Used in the treatment of erosive esophagitis.
Omeprazole
• Used in the treatment of Heartburn, duodenal ulcer and
gastric ulcer
Synthesis of Diphenhydramine
Promethazine Hydrochloride
Ranitidine
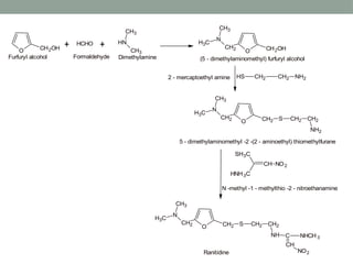
Ranitidine, is synthesized from furfuryl alcohol, which undergoes
aminomethylation reaction using dimethylamine and formaldehyde, which
form 5-(dimethylaminomethyl)furfuryl alcohol. Further reaction with 2-
mercaptoethylamine hydrochloride gives a product of substitution of the
hydroxyl group, 5-dimethylaminomethyl-2-(2′-
aminoethyl)thiomethylfurane. Reacting this with N-methyl-1-methylthio-2-
nitroethenaamine gives ranitidine.
O CH2OH + HCHO + N
H
CH3
CH3
Furfuryl alcohol Formaldehyde Dimethylamine
S
H CH2 CH2 NH2
2 - mercaptoethyl amine
O CH2OH
CH2
N
CH3
C
H3
(5 - dimethylaminomethyl) furfuryl alcohol
O
CH2
N
CH3
C
H3
CH2 S CH2 CH2
NH2
5 - dimethylaminomethyl -2 -(2 - aminoethyl) thiomethylfurane
CH
SH3C
HNH3C
NO2
N -methyl -1 - methylthio -2 - nitroethanamine
O
CH2
N
CH3
C
H3
CH2 S CH2 CH2
NH C NHCH 3
CH
NO2
Ranitidine
Synthesis of Cetrizine
Cetrizine
• The 1-(4-chlorophenylmethyl)-piperazine is alkylated with methyl (2-chloroethoxy)-
acetate in the presence of sodium carbonate and xylene solvent to produce the Sn2
substitution product in 28% yield. Saponification of the acetate ester is done by
refluxing with potassium hydroxide in absolute ethanol to afford a 56% yield of the
potassium salt intermediate. This is then hydrolyzed with aqueous HCl and extracted to
give an 81% yield of the carboxylic acid product.
Autacoids
INTRODUCTION
• AUTACOIDS auto means self, akos means healing
• These are the substances produced by wide variety of
cells in the body, having intense biological activity, but
generally act locally at the site of synthesis and release.
• They have also been called ‘local hormones’.
• Prostaglandins are a group of physiologically active lipid
compounds derived from arachidonic acid (a 20-carbon fatty
acid).
• They are part of a larger group of molecules called
eicosanoids.
• Prostaglandins act like local hormones and are involved in a
wide range of body functions, such as inflammation, blood
flow, the formation of blood clots, and the induction of
labor.
• They are synthesized in almost all tissues and organs and act
locally near the site of synthesis with short half-lives.
Classification of Prostaglandins:
• Prostaglandins are unsaturated carboxylic acids
consisting of of a 20 carbon skeleton that also contains a
five member ring and are based upon prostanoic acid,
which is a C20 fatty acid in which there is a cyclopentane
ring formed by connecting the C8 and C12 positions.
• All prostaglandins share:
• A cyclopentane ring (core)
• Two side chains (at C8 and C12)
• Functional group variations at C9 and C11 define the
subclass.
• Prostaglandins are classified based on the nature and substitution pattern
of the cyclopentane ring,
• This classification is denoted by capital letters such as A, B, C, E, F, etc.,
depending on the functional groups attached to the ring.
Letter Ring Functional Groups
A
Ketone at C9, double bond
between C10–C11
E Ketone at C9, OH at C11
F OH at both C9 and C11
D OH at C9, ketone at C11
I
Prostacyclin (internal epoxide
ring)
G/H
Endoperoxides (intermediates
in biosynthesis)
Nature of adjacent side chain
• The adjacent side chains of prostaglandins are attached at carbon
8 (C-8) and carbon 12 (C-12) of the cyclopentane ring, and they
play a crucial role in the biological activity and specificity of each
prostaglandin.
• α-side chain at C-8 → corresponds to the upper side chain,
carboxyhexyl
• ω-side chain at C-12 → corresponds to the lower side chain,
hydroxy octyl
• Depending on number of double bond in the side chain,
prostaglandins are categorised by giving subscript 1, 2 or 3.
• For example
Nature of Configuration
• α / β Configuration
• Used to describe the orientation of substituents (like OH or H) on the
cyclopentane ring:
• α = below the plane of the ring
• β = above the plane of the ring
• Example: PGF α
₂ has the hydroxyl group at C9 in α-position.
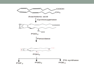
Biosynthesis of Prostaglandins
COOH
CH3
Arachidonic acid
Cyclooxygenase
PGG 2
Peroxidase
PGH2
PG synthase
PGF2
PGD2 PGE2
Metabolism of Prostaglandin
• 15 –OH group of prostaglandin is metabolised by the
enzyme 15 hydroxy prostaglandin dehydrogenase.
• 15- keto group is then reduced to 13, 14 – dihydro
derivative by the enzyme prostaglandin reductase.
• Then oxidation of side chain of prostaglandin giving rise to
polar dicarboxylic acid which is excreted in urine.
SAR OF PROSTAGLANDIN
• In the upper chain: Methyl esters (misoprostal), sulphonamide(sulprostone),
and hydroxyl group (rioprost) possess greater activity than natural
prostaglandins.
• In the cyclopentane ring: Variation in the cyclopentane ring has led to
reduction in PG activity.
• Enlargement of the ring or reduction of ring leads to inactive compounds.
Replacement of carbon atom of cyclopentane ring by O, S, and N leads to
inactive compounds. Replacement of 9 keto group with CH2 group gives
active (metenprost) PG.
Therapeutically useful Prostaglandin
Arbaprostil Carboprost
Uses of Prostaglandin analogue
• Abortion
• Induction of labour
• Peptic ulcer
• Glaucoma
• To avoid platelet damage
• Cancer
• Pulmonary hypertension
Biosynthesis of Leukotriene
Leukotriene receptor antagonists
Leukotriene receptor antagonists are used clinically as an alternative
to steroids in patients with mild, but persistent, symptoms of asthma.
Leukotriene receptor antagonists include montelukast, zafirlukast,
and pranlukast.
• Montelukast is a leukotriene receptor antagonist used as
part of an asthma therapy regimen, to prevent exercise
induced bronchoconstriction, and to treat seasonal allergic
rhinitis.
• MOA:
• It works by blocking the action of leukotriene D4 in the
lungs resulting in decreased inflammation and relaxation
of smooth muscle.
• Zafirlukast is an orally administered leukotriene
receptor antagonist (LTRA) used for the chronic
treatment of asthma.
• Zafirlukast, like other LTRAs, works by inhibiting the
immune system. Through its action on inflammatory cells
in the lungs, zafirlukast reduces the production of
inflammatory mediators that are implicated in the
pathogenesis of asthma.

Antihistaminic_agents & Autocoids .pdf

  • 1.
    By- Dr. Prerana B.Jadhav M. Pharm, Ph.D. Pharmaceutical Chemistry Assistant Professor, Sanjivani College of Pharmaceutical Education and Research, Kopargaon. Antihistaminic agents
  • 2.
    What is Histamine? •Histamine consists of an imidazole ring attached to an ethylamine chain; under physiological conditions, the amino group of the side-chain is protonated. • Regulates physiological functions in the gut. • It has been considered a local hormone (autocoid) • It acts as a neurotransmitter for the brain, spinal cord, and uterus. • Histamine is involved in the inflammatory response and has a central role as a mediator of itching. • As part of an immune response to foreign pathogens, histamine is produced by basophils and by mast cells found in nearby connective tissues. • Histamine increases the permeability of the capillaries to white blood cells and some proteins, to allow them to engage pathogens in the infected tissues.
  • 3.
    Synthesis and metabolism •Histamine is derived from the decarboxylation of the amino acid histidine, a reaction catalyzed by the enzyme L- histidine decarboxylase. • Rapidly inactivated by its primary degradative enzymes, histamine-N-methyltransferase or diamine oxidase.
  • 4.
    Storage and Release •Stored in mast cells in Complex with Heparin (anticoagulant) • Stored in basophiles in Complex with Chondrotin • Histamine as stored in mast cells are found almost everywhere : skin and the mucosal cells of the bronchi, intestine, urinary tract, and tissues adjacent to the circulation and within neurons of CNS • It is released in response to a wide variety of immune (antigen and antibody) and nonimmune (bacterial products, xenobiotics, physical effects, and cholinergic effects) stimuli.
  • 5.
    Mechanism of action Histamineexerts its effects primarily by binding to G protein-coupled histamine receptors, designated H1, H2, H3, and H4. Histaminic receptors are associated with • H1: Allergic Reponses • H2: Gastric acid regulation • H3: Neurotransmitter release modulation • H4: Immune system function
  • 6.
    R Location Function H1• CNS: in the histaminergic tuberomammillary nucleus, which projects to the dorsal raphe , locus coeruleus, and additional structures. • Periphery: Smooth muscle, endothelium, mast cells , sensory nerves • CNS: Sleep-wake cycle (promotes wakefulness), body, temperature, nociception, endocrine homeostasis, regulates appetite, involved in cognition • Periphery: Causes bronchoconstriction, bronchial smooth muscle contraction, urinary bladder contractions, vasodilation, promotes hypernociception (visceral hypersensitivity), involved in itch perception and urticaria. H2 Periphery: Located on parietal cells, vascular smooth muscle cells, neutrophils, mast cells, as well as on cells in the heart and uterus • Periphery: Primarily involved in vasodilation and stimulation of gastric acid secretion. Urinary bladder relaxation. Modulates gastrointestinal function. H3 Located in the central nervous system and to a lesser extent peripheral nervous system tissue Autoreceptor and heteroreceptor functions: decreased neurotransmitter release of histamine, acetylcholine, norepinephrine, serotonin. Modulates nociception, gastric acid secretion, and food intake. H4 Located primarily on basophils and in the bone marrow. It is also expressed in the thymus, small intestine, spleen, and colon. Plays a role in mast cell chemotaxis, itch perception, cytokine production and secretion, and visceral hypersensitivity. Other putative functions (e.g., inflammation, allergy, cognition, etc.) have not been fully characterized.
  • 7.
    H1 Receptors H1 receptorsthroughout your body, including in neurons (brain cells), smooth muscle cells of airways and blood vessels • Itchy skin (pruritus). • Expanding of blood vessels (vasodilation). • Low blood pressure (hypotension). • Increased heart rate (tachycardia). • Flushing. • Narrowing of airways (bronchoconstriction). • Pain. • Movement of fluids through blood vessel walls (vascular permeability). • Some of these bodily changes result in sneezing, nasal congestion and runny nose (rhinorrhea). • Outside of allergic reactions, H1 receptors also help to regulate: • Sleep-wake cycles. • Food intake. • Body temperature. • Emotions. • Memory. • Learning.
  • 8.
    H2 Receptors • Stomachacid secretion, which helps with digestion. • Stimulation of mucous glands in your airways. • Vascular permeability. • Hypotension. • Flushing. • Headache • Tachycardia. • Bronchoconstriction.
  • 9.
    H3 Receptors • H3receptors are mainly involved in blood-brain barrier function. They’re found in neurons in central nervous system. H3 receptors regulate the release of histamine and neurotransmitters like dopamine, norepinephrine and acetylcholine. • Researchers are currently studying H3 receptor antagonist medications for potential use in the treatment of neurodegenerative diseases. H4 Receptors • H4 receptors are present in bone marrow and hematopoietic cells (immature cells that can develop into all types of blood cells). They play a role in the formation of certain blood cells. • They also play important roles in inflammatory disorders
  • 10.
    Classification ofAntihistaminicAgents 1. H1Antagonist a) First generation • Amino-alkyl ether – diphenhydramine, dimenhydrinate, doxylamine succinate, clemastine fumarate • Ethylenediamine- Tripelennamine HCl, pyrilamine • Mono-amino propyl – chlorpheniramine maleate, triprolidine • Tricyclic ring system- Promethazine HCl, Trimeprazine Tartarate • Miscellaneous- Phenindamine b) Second Generation Astemizole, Loratadine, Cetirizine, Levocetrazine, Cromolyn sodium, fexofenadine 2. H2 Antagonist Cimetidine, Famotidine, Ranitidine 3. Gastric Proton Pump Inhibitors Omeprazole, Lansoprazole, Rabeprazole, Pantoprazole
  • 11.
    SAR of H1Antihistaminics 1. Nature of Aryl group 2. Nature of X group 3. Nature of Alkyl Chain 4. Nature of terminal nitrogen
  • 12.
    1. Nature ofAryl group • Diaryl substitution is essential • -Cl, -Br, -OCH3 substitution on aryl group increases activity • Replacement of one of the aromatic rings with 2-pyridyl group increases histaminic selectivity • Alkyl Substitution in these aromatic rings influence selectivity • Increasing alkyl substituions at C2 increases anticholinergic activity and decreases antihistaminic activity • Increasing alkyl substituions at C4 decreases anticholinergic activity and modestly increases antihistaminic activity
  • 13.
    2. Nature ofX group • The nature of X provides basis for chemical classification of antihistaminic. When, X- Oxygen (Amino alkyl ether analogue) X- Nitrogen (Ethylene diamine derivative) X- Carbon (Monoaminopropyl analogue) 3. Nature of alkyl chain • Ethylene chain is important • Extension or branching will result in less active compound
  • 14.
    MOA • H1 antagonistsact by competitively inhibiting the effects of histamine at H1 receptor. • H1 receptor blockade results in decreased vascular permeability, reduction of pruritus, relaxation of smooth muscle in the respiratory, GIT.
  • 15.
    Chemical Classification ofH1 Antagonist A) Ethylenediamine Derivative Example: Tripelennamine HCl N CH2 CH2 N CH3 CH3 N
  • 16.
    • MOA: Binds withH1 receptor. Blocks the action of endogenous histamine which leads to temporary relief of negative symptoms associated with histamine release. Uses: Antiprurtic, asthama, rhinitis, urticaria. Side effects: Sedation, irritation, dry mouth, dizziness
  • 17.
    B) Aminoalkyl etheranalogue • Example Diphenhydramine • MOA: Blocks H1 receptor. Rapidly cross BBB acts as anticholinergic, produces sedation. Acts as antimuscarinic used in treatment of Parkinsonism. O CH2 CH2 N CH3 CH3 H
  • 18.
    • Doxylamine succinate •Used in allergy, used as an antitussive, antiemetic and hypnotic O CH2 CH2 N CH3 CH3 CH3 N
  • 19.
    Clemastine Fumarate O CH2CH2 CH3 N Cl N C H3 H HOOC H COOH
  • 21.
    C) Cyclic basicchain analogues CH N N R2 X Example: Chlorcyclizine CH N N CH3 Cl Uses: Urticaria, Rhinitis, pruritus, and other allergic symptoms
  • 22.
    • Meclizine • Buclizine CHN N Cl CH3 MOA: H1 antagonist with anti emetic, anticholinergic activity Uses: Used to treat motion sickness CH N N Cl C H3 CH3 CH3 Uses: prevention and treatment of nausea, vomiting, and dizziness associated with motion sickness.
  • 23.
  • 24.
    • Use: Symptomaticrelief of hypersensitivity reaction, cough and common cold.
  • 25.
  • 26.
  • 31.
  • 32.
    Adverse effects ofAntihistaminic agents
  • 33.
    Fig: Effects ofH1 antihistamines at histamine, adrenergic, cholinergic, and serotonin-binding receptors. Many second generation antihistamines do not enter the brain and, therefore, show minimal CNS effects.
  • 35.
    SAR & STRUCTURALREQUIREMENTS: GENERAL FORMULA FOR H2 ANTAGONISTS: BASIC HETEROCYCLE GROUP FLEXIBLE CHAIN/ AROMATIC RING These are the result of modification of histamine structure. The imidazole ring of histamine is not required for competitive antagonism of histamine at H2 Separation of ring & nitrogen group with the equivalent of 4 carbon chain is necessary for optimum antagonist activity. The terminal nitrogen group should be polar, non-basic substituents for maximal activity. 35
  • 36.
  • 37.
  • 38.
  • 39.
    USES OF ANTIHISTAMINES ALLERGICDISORDERS: They effectively control certain immediate type of allergies like itching, urticaria, seasonal hay fever, allergic conjunctivitis & angioedema of lips eyelids etc., CETIRIZINE have adjuvant role in seasonal asthma. PRURITIS: Antihistamines are first choice of drugs for idiopathic pruritus. COMMON COLD: They do not effect the illness but may afford sympatomatic relief by anticholinergic & sedative actions. As hypnotics eg: diphenhydramine & promethazine. 41
  • 40.
    Gastric Proton PumpInhibitors • The gastric acid secretion is regulated by the functioning of H+ -K+ ATPase pump present in the parietal cell membrane. • These drugs inhibits proton pump via covalent interaction with sulfhydryl groups with cysteine residue of H+ K+ ATPase pump and blocks gastric acid secretion. • Example: Omeprazole, Lansoprazole, Rabeprazole, Pantoprazole.
  • 41.
    • Uses: • Usedin the treatment of gastric and duodenal ulcer • Gastritis associated with NSAID’s
  • 42.
    • Used inthe treatment of duodenal ulcer • Gastroesophagal reflux disorder
  • 43.
    Pantoprazole • Used inthe treatment of erosive esophagitis.
  • 44.
    Omeprazole • Used inthe treatment of Heartburn, duodenal ulcer and gastric ulcer
  • 45.
  • 46.
  • 47.
    Ranitidine Ranitidine, is synthesizedfrom furfuryl alcohol, which undergoes aminomethylation reaction using dimethylamine and formaldehyde, which form 5-(dimethylaminomethyl)furfuryl alcohol. Further reaction with 2- mercaptoethylamine hydrochloride gives a product of substitution of the hydroxyl group, 5-dimethylaminomethyl-2-(2′- aminoethyl)thiomethylfurane. Reacting this with N-methyl-1-methylthio-2- nitroethenaamine gives ranitidine.
  • 48.
    O CH2OH +HCHO + N H CH3 CH3 Furfuryl alcohol Formaldehyde Dimethylamine S H CH2 CH2 NH2 2 - mercaptoethyl amine O CH2OH CH2 N CH3 C H3 (5 - dimethylaminomethyl) furfuryl alcohol O CH2 N CH3 C H3 CH2 S CH2 CH2 NH2 5 - dimethylaminomethyl -2 -(2 - aminoethyl) thiomethylfurane CH SH3C HNH3C NO2 N -methyl -1 - methylthio -2 - nitroethanamine O CH2 N CH3 C H3 CH2 S CH2 CH2 NH C NHCH 3 CH NO2 Ranitidine
  • 49.
  • 50.
    Cetrizine • The 1-(4-chlorophenylmethyl)-piperazineis alkylated with methyl (2-chloroethoxy)- acetate in the presence of sodium carbonate and xylene solvent to produce the Sn2 substitution product in 28% yield. Saponification of the acetate ester is done by refluxing with potassium hydroxide in absolute ethanol to afford a 56% yield of the potassium salt intermediate. This is then hydrolyzed with aqueous HCl and extracted to give an 81% yield of the carboxylic acid product.
  • 51.
  • 52.
    INTRODUCTION • AUTACOIDS automeans self, akos means healing • These are the substances produced by wide variety of cells in the body, having intense biological activity, but generally act locally at the site of synthesis and release. • They have also been called ‘local hormones’.
  • 53.
    • Prostaglandins area group of physiologically active lipid compounds derived from arachidonic acid (a 20-carbon fatty acid). • They are part of a larger group of molecules called eicosanoids. • Prostaglandins act like local hormones and are involved in a wide range of body functions, such as inflammation, blood flow, the formation of blood clots, and the induction of labor. • They are synthesized in almost all tissues and organs and act locally near the site of synthesis with short half-lives.
  • 54.
    Classification of Prostaglandins: •Prostaglandins are unsaturated carboxylic acids consisting of of a 20 carbon skeleton that also contains a five member ring and are based upon prostanoic acid, which is a C20 fatty acid in which there is a cyclopentane ring formed by connecting the C8 and C12 positions.
  • 55.
    • All prostaglandinsshare: • A cyclopentane ring (core) • Two side chains (at C8 and C12) • Functional group variations at C9 and C11 define the subclass.
  • 56.
    • Prostaglandins areclassified based on the nature and substitution pattern of the cyclopentane ring, • This classification is denoted by capital letters such as A, B, C, E, F, etc., depending on the functional groups attached to the ring.
  • 57.
    Letter Ring FunctionalGroups A Ketone at C9, double bond between C10–C11 E Ketone at C9, OH at C11 F OH at both C9 and C11 D OH at C9, ketone at C11 I Prostacyclin (internal epoxide ring) G/H Endoperoxides (intermediates in biosynthesis)
  • 58.
    Nature of adjacentside chain • The adjacent side chains of prostaglandins are attached at carbon 8 (C-8) and carbon 12 (C-12) of the cyclopentane ring, and they play a crucial role in the biological activity and specificity of each prostaglandin. • α-side chain at C-8 → corresponds to the upper side chain, carboxyhexyl • ω-side chain at C-12 → corresponds to the lower side chain, hydroxy octyl
  • 59.
    • Depending onnumber of double bond in the side chain, prostaglandins are categorised by giving subscript 1, 2 or 3. • For example
  • 60.
    Nature of Configuration •α / β Configuration • Used to describe the orientation of substituents (like OH or H) on the cyclopentane ring: • α = below the plane of the ring • β = above the plane of the ring • Example: PGF α ₂ has the hydroxyl group at C9 in α-position.
  • 61.
  • 62.
  • 63.
    Metabolism of Prostaglandin •15 –OH group of prostaglandin is metabolised by the enzyme 15 hydroxy prostaglandin dehydrogenase. • 15- keto group is then reduced to 13, 14 – dihydro derivative by the enzyme prostaglandin reductase. • Then oxidation of side chain of prostaglandin giving rise to polar dicarboxylic acid which is excreted in urine.
  • 64.
    SAR OF PROSTAGLANDIN •In the upper chain: Methyl esters (misoprostal), sulphonamide(sulprostone), and hydroxyl group (rioprost) possess greater activity than natural prostaglandins. • In the cyclopentane ring: Variation in the cyclopentane ring has led to reduction in PG activity. • Enlargement of the ring or reduction of ring leads to inactive compounds. Replacement of carbon atom of cyclopentane ring by O, S, and N leads to inactive compounds. Replacement of 9 keto group with CH2 group gives active (metenprost) PG.
  • 65.
  • 67.
  • 68.
    Uses of Prostaglandinanalogue • Abortion • Induction of labour • Peptic ulcer • Glaucoma • To avoid platelet damage • Cancer • Pulmonary hypertension
  • 72.
  • 74.
    Leukotriene receptor antagonists Leukotrienereceptor antagonists are used clinically as an alternative to steroids in patients with mild, but persistent, symptoms of asthma. Leukotriene receptor antagonists include montelukast, zafirlukast, and pranlukast.
  • 75.
    • Montelukast isa leukotriene receptor antagonist used as part of an asthma therapy regimen, to prevent exercise induced bronchoconstriction, and to treat seasonal allergic rhinitis. • MOA: • It works by blocking the action of leukotriene D4 in the lungs resulting in decreased inflammation and relaxation of smooth muscle.
  • 76.
    • Zafirlukast isan orally administered leukotriene receptor antagonist (LTRA) used for the chronic treatment of asthma. • Zafirlukast, like other LTRAs, works by inhibiting the immune system. Through its action on inflammatory cells in the lungs, zafirlukast reduces the production of inflammatory mediators that are implicated in the pathogenesis of asthma.