NOTICE OF A PUBLIC MEETING

                            AN AGENDA OF A REGULAR MEETING OF THE CITY COUNCIL
                                       THE CITY OF SAN ANGELO, TEXAS
                                         9:00 A.M. - Tuesday, April 16, 2013
                                   McNease Convention Center, South Meeting Room
                                               500 Rio Concho Drive
                                              San Angelo, TX 76903

THE MCNEASE CONVENTION CENTER IS ACCESSIBLE TO PERSONS WITH DISABILITIES.
ACCESSIBLE ENTRIES AND SPECIALLY MARKED PARKING SPACES ARE AVAILABLE AT BOTH
MAIN ENTRANCES AT SURBER DRIVE AND RIO CONCHO DRIVE. IF ADDITIONAL ASSISTANCE
IS NEEDED TO OBSERVE OR COMMENT, PLEASE NOTIFY THE OFFICE OF THE CITY CLERK,
ROOM 210, CITY HALL, 657-4405, AT LEAST 24 HOURS PRIOR TO THE MEETING.

City Council meetings are broadcast on Channel 17-Government Access at 10:30 A.M. and 7:00 P.M. every
day for two weeks beginning on the Thursday after each meeting.

         As a courtesy to those in attendance, please place your cell phone on “Silent” or “Vibrate”
                                                 Thank You!

I.    OPEN SESSION (9:00 A.M.)
      A. Call to Order
      B. Prayer and Pledge
         "Honor the Texas flag; I pledge allegiance to thee, Texas, one state under God, one and indivisible.”
      C. Proclamation
         “West Texas Genealogy Appreciation Day”, April 26, 2013, Commemoration of the 40th Anniversary, to
         be accepted by Susan Ball, President San Angelo Genealogical and Historical Society
      D. Public Comment
         The Council takes public comment on all items in the Regular Agenda. Public input on a Regular Agenda
         item will be taken at its appropriate discussion. Public input on an item not on the Agenda or Consent
         Agenda may be identified and requested for consideration by the Council at this time. The Council may
         request an item to be placed on a future agenda, or for a Consent Agenda item, to be moved to the Regular
         Agenda for public comment.

II.   CONSENT AGENDA
         1. Consideration of approving the April 2, 2013 City Council Regular meeting minutes
         2. Consideration of awarding bid(s) and authorizing the City Manager or his designee to execute any
            necessary related documents:
             a. VM-06-13: Aerial Bucket Truck, National Joint Powers Association (NJPA) purchasing
                cooperative contract #060311-All, $94,217.00
             b. VM-07-13: Emergency Vehicle Upfit Equipment, GT Distributors (Austin, TX) Buyboard Contract
                #363-10, $54,286.27
         3. Consideration of matters related to CFM-02-13 Construction and Facilities Management Janitorial
            Services: (submitted by Construction and Facilities Manager Ron Lewis)
             a. Consideration of adopting a Resolution to award RFB CFM-02-13 Construction and Facilities
City Council Agenda                                 Page 1 of 5                                     April 16, 2013
Management Janitorial Services to Donna Bargley and Curtis E. Bargley d/b/a Bargley Janitorial
                Services and to authorize the City Manager to execute a services agreement, and related documents,
                between the City of San Angelo and Donna Bargley and Curtis E. Bargley d/b/a Bargley Janitorial
                Services in accordance with said bid award; and providing for an effective date
             b. a Consideration of adopting a Resolution to award RFB CFM-02-13 Construction and Facilities
                Management Janitorial Services to ABM Janitorial Service - South Central, Incorporated and to
                authorize the City Manager to execute a services agreement, and related documents, between the City
                of San Angelo and ABM Janitorial Service - South Central, incorporated in accordance with said bid
                award; and providing for an effective date
             c. Consideration of adopting a Resolution to award RFB CFM-02-13 Construction and Facilities
                Management Janitorial Services to Varsity Contractors, Incorporated and to authorize the City
                Manager to execute a janitorial services agreement, and related documents, between the City of San
                Angelo and Varsity Contractors, Incorporated in accordance with said bid award; and providing for
                an effective date
         4. Consideration of authorizing the sale of the following properties for the appraised value and authorizing
            the Mayor, City Manager, or Water Utilities Director to execute all necessary legal documents
            pertaining to the sale of subject properties, subject to completion of all curative requirements:
            (submitted by Water Utilities Director Ricky Dickson)
             a. 2810 Red Bluff Road, Lot 18, Group Red Bluff (Benetich),$91,800.00
             b. 2165 Gun Club Road, Lot 10, Group 10 (Butts), $88,000.00
         5. Consideration of adopting a Resolution authorizing the Mayor to execute a Special Warranty Deed
            conveying all right, title and interest of the City of San Angelo:
             a. 108 Arlington Street, (Gonzalez), Lots 10 & 11 SAVE & EXCEPT N 65’ & S 20’ , W.E. Phillips,
                $2,000
         6. Consideration of adopting a Resolution authorizing the Mayor to execute a tax-resale (quitclaim) deed
            conveying all right, title and interest of the City of San Angelo, and all other taxing units interested in
            the tax foreclosure judgment:
             a. 2223 Lillie Street, (Ballard), S ½ of S 100’ of N 150’ of S 783.7’ of Block 8, Kirby, $750, Suit No.
                TAX91-0010B
             b. 309 E 10th Street, (Deanda), N ½ of Lot 7, Block 3, Akins, $750, Suit No. TAX90-0082B
             c. 310 E 9th Street, (Deanda), S 80’ of E 12 2/3’ of Lot 8, S 80’ of Lot 7 & S 80’ of W 1 5/6’ of Lot 6,
                Block 3, Akins, $750, Suit No. TAX89-0364B
             d. 115 W 16th Street, (Guerra), Lot 3, Block 11, Lasker, $1,900, Suit No. B-06-0088-T
             e. 217 W 16th Street, (Guerra), Lot 3, Block 12, Lasker, $2,500, Suit No. B-05-0274-T
             f. 2327 Lillie Street, (Lewis-McKinney), S 50’ of N 447.7’ of Block 8, Kirby, $750, Suit No. TAX89-
                0217B
             g. 209 W 9th Street, (Lewis-McKinney), Lot 3, Block 31, Miles, $750, Suit No. B-95-0055-T
             h. 1923 Coleman Street, (Pearcy), Lot 12, Block 5 “E”, Chapman, $2,500, Suit No. B-07-0200-T
             i. 322 N Harrison Street, (Pearcy), Lot 30, Block 2B, George Allen, $2,500, Suit No. B-09-0050-T
             j. 613 N Adams Street, (Pearcy), Lot 3, Block 93, Angelo Heights, $2,700, Suit No. B-05-0268-T
             k. 800 W 16th Street, (Roberts), Lot 10, Block 5, Mineola, $750, Suit No. TAX89-0032B
             l. 804 W 16th Street, (Roberts), Lot 11, Block 5, Mineola, $750, Suit No. TAX91-0054B
             m. 810 W 16th Street, (Roberts), Lot 12, Block 5, Mineola, $750, Suit No. TAX93-0151B
         7. Consideration of approving a Recreational or Agricultural Lease agreement with MK-Allan
            Enterprises, Inc., a Texas corporation for 9.77 acres of land located adjacent to the Concho River and
            authorizing the City Manager or Water Utilities Director to execute the same (submitted by Water
            Utilities Director Ricky Dickson)

City Council Agenda                                   Page 2 of 5                                       April 16, 2013
8. Consideration of adopting a Resolution authorizing the City Manager to execute a second amendment
            to Commercial Lease Agreement with lessee, Lee Brown and Gale Brown , d/b/a Spring Creek
            Marina, at Lake Nasworthy, specifically-describing the leased premises, providing for the non-
            exclusive joint use of certain areas of the leased premises, and revising indemnification and insurance
            requirements of lessee (submitted by Assistant City Manager Rick Weise and Water Utilities Director
            Ricky Dickson)
         9. Consideration of adopting a Resolution authorizing the City Manager to execute a first amended lease
            agreement with Texas Southwest Council of the Boys Scouts of America, Inc, (formerly known as
            Concho Valley Council, Inc., Boy Scouts of America) to amend original lease agreement between
            City of San Angelo and Concho Valley Council, Inc., Boy Scouts of America, for lease of city
            premises located at 104 West Veterans Memorial Drive, San Angelo, Tom Green County, Texas
            (submitted by Parks and Recreation Director Carl White)
         10. Consideration of adopting a Resolution authorizing the City Manager to execute a First Amendment to
             Lake Nasworthy Cruise Boat Concession Agreement to: provide for a prorated credit against the
             annual fixed base payment for days during a contract year in which lake level is insufficient for
             operation of the cruise boat concession; clarify the beginning and ending months applicable to the
             annual fixed base payment schedule; and describe the concession premises (submitted by Parks and
             Recreation Director Carl White)
         11. Consideration of adopting By-Laws for the Parks and Recreation Advisory Board (submitted by Parks
             and Recreation Director Carl White)
         12. Consideration of adopting a Resolution to approve the City of San Angelo’s participation in the Texas
             Events Trust Fund for the National Reined Cow Horse Association 2013 Celebration of Champions in
             the amount of $13,136.00 with a state match of $82,098.00, to create a total trust fund of $95,234.00
             (submitted by Civic Events Manager Angelica Pena)
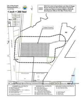
         13. Second Hearing and consideration of adopting an Ordinance amending Chapter 12, Exhibit “A”
             (Zoning Ordinance) of the Code of Ordinances, City of San Angelo
             PD 07-01 (2013 amendment): Carrie & John Maier and Glenn & Peggy Rosser
             AN ORDINANCE AMENDING CHAPTER 12, EXHIBIT “A” OF THE CODE OF ORDINANCES,
             CITY OF SAN ANGELO, TEXAS, WHICH SAID EXHIBIT “A” OF CHAPTER 12 ADOPTS
             ZONING REGULATIONS, USE DISTRICTS AND A ZONING MAP, IN ACCORDANCE WITH A
             COMPREHENSIVE PLAN, BY CHANGING THE ZONING AND CLASSIFICATION OF THE
             FOLLOWING PROPERTY, TO WIT: 3512 Ben Ficklin Road, located approximately 200 feet east
             from the intersection of Ben Ficklin Road and South Bryant Boulevard. This property specifically
             occupies approximately 10.8 acres in the southwest portion of a 73.9 acre tract of the E Hermes
             Survey 0174 Abstract 0349 in south central San Angelo, as indicated in Exhibit B of this Ordinance,
             changing the zoning classification from Ranch & Estate (R&E) to Planned Development (PD)
             District; PROVIDING FOR SEVERABILITY AND PROVIDING A PENALTY
         14. Second Hearing and consideration of adopting an Ordinance amending Chapter 12, Exhibit “A”
             (Zoning Ordinance) of the Code of Ordinances, City of San Angelo
             Z 13-08: Cho Walker
             CITY OF SAN ANGELO, TEXAS, WHICH SAID EXHIBIT “A” OF CHAPTER 12 ADOPTS
             ZONING REGULATIONS, USE DISTRICTS AND A ZONING MAP, IN ACCORDANCE WITH A
             COMPREHENSIVE PLAN, BY CHANGING THE ZONING AND CLASSIFICATION OF THE
             FOLLOWING PROPERTY, TO WIT: 1205 South Jackson Street; located approximately 75 feet
             southwest from the intersection at South Jackson Street and West Avenue H. This property
             specifically occupies the South Heights Addition, Block 6, Lots 2 and 3, in southwest San Angelo,
             changing the zoning classification from a Single Family Residential (RS-1) to a Two-Family
             Residential (RS-2) District; PROVIDING FOR SEVERABILITY AND PROVIDING A PENALTY
City Council Agenda                                 Page 3 of 5                                     April 16, 2013
15. Second Hearing and consideration of adopting an Ordinance amending Chapter 12, Exhibit “A”
             (Zoning Ordinance) of the Code of Ordinances, City of San Angelo
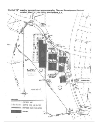
             Z 13-09 AKA PD 07-03 (2013 Amendment): Jack Gabriel
             AN ORDINANCE AMENDING CHAPTER 12, EXHIBIT “A” OF THE CODE OF ORDINANCES,
             CITY OF SAN ANGELO, TEXAS, WHICH SAID EXHIBIT “A” OF CHAPTER 12 ADOPTS
             ZONING REGULATIONS, USE DISTRICTS AND A ZONING MAP, IN ACCORDANCE WITH A
             COMPREHENSIVE PLAN, BY CHANGING THE ZONING AND CLASSIFICATION OF THE
             FOLLOWING PROPERTY, TO WIT: a 7.938 acres at southwest corner of South Oxford Drive and
             A&M Avenue in southwestern San Angelo, amending the zoning classification from a Planned
             Development (PD) District (PD 07-03) previously approved for assisted group living to specifically add
             allowance for the operation of a gymnastics academy; PROVIDING FOR SEVERABILITY AND
             PROVIDING A PENALTY
         16. Second Hearing and consideration of adopting an Ordinance amending Chapter 12, Exhibit “A”
             (Zoning Ordinance) of the Code of Ordinances, City of San Angelo
             Z 13-10: Mills Development Inc.
             AN ORDINANCE AMENDING CHAPTER 12, EXHIBIT “A” OF THE CODE OF ORDINANCES,
             CITY OF SAN ANGELO, TEXAS, WHICH SAID EXHIBIT “A” OF CHAPTER 12 ADOPTS
             ZONING REGULATIONS, USE DISTRICTS AND A ZONING MAP, IN ACCORDANCE WITH A
             COMPREHENSIVE PLAN, BY CHANGING THE ZONING AND CLASSIFICATION OF THE
             FOLLOWING PROPERTY, TO WIT: An unaddressed tract occupying 8.895 acres of the Deaf & Dumb
             Asylum Survey Number Two, Abstract 8211. This property was annexed into the City Limits on March
             5, 2013 and is directly west from Mills Pass Drive along a proposed extension of Autumwood Trail. This
             property specifically occupies a proposed subdivision titled, Prestonwood Addition, Section Two, Block 6,
             Lots 1-18 and Prestonwood Addition, Section Two, Block 7, Lots 1-16 in southwest San Angelo,
             changing the zoning classification from Ranch & Estate (R&E) to Single-Family Residential (RS-1)
             District; PROVIDING FOR SEVERABILITY AND PROVIDING A PENALTY
III. REGULAR AGENDA:
     E. EXECUTIVE/CLOSED SESSION
         Executive Session under the provision of Government Code, Title 5. Open Government; Ethics, Subtitle
         A. Open Government, Chapter 551. Open Meetings, Subchapter D. Exceptions to Requirement that
         Meetings be Open, Section 551.072 to deliberate the purchase, exchange, lease, or value of real
         property
         Executive Session under the provision of Government Code, Title 5. Open Government; Ethics, Subtitle
         A. Open Government, Chapter 551. Open Meetings, Subchapter D. Exceptions to Requirement that
         Meetings be Open, Section 551.087 to discuss an offer of financial or other incentive to a company or
         companies with whom the City of San Angelo is conducting economic development negotiations and
         which the City of San Angelo seeks to have, locate, stay or expand in San Angelo

     F. PUBLIC HEARING AND COMMENT

         17. Discussion and consideration of the possibility of issuing rebates of Water Fees and any action related
             thereto (Presentation by Morgan Chegwidden, Budget Manager)
         18. Discussion and update on current water supply and any action in connection thereto (Presentation by
             Water Utilities Director Ricky Dickson)
         19. Discussion of late fees associated with delinquent water utility statements (Presentation by Water
             Utilities Director Ricky Dickson)


City Council Agenda                                  Page 4 of 5                                       April 16, 2013
20. Update and presentation on Boards and Commissions regarding attendance, meeting quorum issues,
             related matters, and any action in connection thereto (Presentation by City Clerk Alicia Ramirez and
             related Board Liaisons)
     G. FOLLOW UP AND ADMINISTRATIVE ISSUES

         21. Consideration of and possible action on matters discussed in Executive/Closed Session, if needed
         22. Consideration of approving a Board nomination by Council and designated Councilmembers:
             a. Civic Events Board: Estela Salas (SMD5) to an unexpired term October 2014
         23. Consideration of Civil Service Commission nomination, Raul Lopez, by City Manager and approval
             by City Council
         24. Announcements and consideration of Future Agenda Items
         25. Adjournment

      Given by order of the City Council and posted in accordance with Title 5, Texas Government Code, Chapter
      551, Thursday, April 11, 2013, at 5:30 P.M.


      /s/________________________
      Alicia Ramirez, City Clerk




City Council Agenda                                Page 5 of 5                                     April 16, 2013
City of San Angelo
Memo

        Date:             March 26, 2013

        To:               Councilmembers

        From:             Patrick Frerich, Equipment Maintenance Superintendent - Vehicle Maintenance

        Subject:          Agenda Item for April 16, 2013

        Contact:          Patrick Frerich, Vehicle Maintenance - 657-4329 x1651

        Caption:          Consent

                          Consideration of approving NJPA quote VM-06-13 for an aerial bucket truck and
                          authorizing the City Manager or designee to execute any necessary related
                          documents.


        Summary: The Vehicle Maintenance Department requested a quote for an aerial bucket truck
        for the use of the City’s Traffic Department. Altec Industries (Kaufman, TX) submitted a quote
        through the National Joint Powers Association (NJPA) purchasing cooperative contract #060311-
        All.

        History: Quotes were requested for replacing current equipment that is past its useful
        operational life. Vendor selection is based on the financial impact of the quote; inclusion and
        pricing of items and options requested; the competence of the vendor regarding the purchase
        transaction; and the after-sale benefits including location of warranty shops, parts supply lead-
        time and availability, etc.

        Financial Impact: The City will purchase one (1) aerial bucket truck from Altec Industries
        through the NJPA purchasing cooperative for $94,217.00 expensed from the account number
        501-3102-800-0742.

        Related Vision Item: NA

        Other information/Recommendation: Staff recommends awarding quote and subsequent
        purchase to Altec Industries (Kaufman, TX) through NJPA pricing.

        Attachments: None

        Reviewed by: Shane Kelton, Operations Director




X:PF DocumentsBid Documents2013 Equipment BidsAgenda BackgroundBackground Memo VM-06-13 - Bucket Truck.doc
City of San Angelo
Memo

        Date:             April 1, 2013

        To:               Councilmembers

        From:             Patrick Frerich, Equipment Maintenance Superintendent - Vehicle Maintenance

        Subject:          Agenda Item for April 16, 2013

        Contact:          Patrick Frerich, Vehicle Maintenance - 657-4329 x1651

        Caption:          Consent

                          Consideration of approving Buyboard quote VM-07-13 for Emergency Vehicle
                          Upfit Equipment and authorizing the City Manager or designee to execute any
                          necessary related documents.


        Summary: The Vehicle Maintenance Department requested quotes for equipment used in the
        upfitting process of emergency response vehicles. GT Distributors (Austin, TX) submitted a quote
        through the Buyboard purchasing cooperative contract #363-10.

        History: Quotes were requested for emergency lightbars, emergency lighting, prisoner transport
        seats, and prisoner partitions used in the upfitting process by the Vehicle Maintenance
        Department. Items chosen are those proven by San Angelo patrol officers to provide maximum
        safety to officers and prisoners, prisoner confinement, and consistency and familiarity with
        existing equipment.

        Financial Impact: The City will purchase equipment for 17 vehicles for Police Patrol, Municipal
        Court and Lake Patrol totaling $54,286.27 from their respective capital accounts.

        Related Vision Item: NA

        Other information/Recommendation: Staff recommends awarding quote and subsequent
        purchase to GT Distributors (Austin, TX) through Buyboard contract number 363-10.

        Attachments: Buyboard Quote QTE0061884, QTE0060246 – GT Distributors

        Reviewed by: Tim Vasquez, Chief of Police




X:PF DocumentsBid Documents2013 Equipment BidsAgenda BackgroundBackground Memo VM-07-13 - Emergency Vehicle
Upfit Equipment.doc
Quote     QTE0061884
                                                                                                      Date      1/9/2013
                                                                                                      Page:     1

                                          GT Distributors - Austin
                                          P.O. Box 16080
                                          Austin             TX    78761
                                          (512) 451-8298

  Bill To:                                                              Ship To:
   San Angelo, City of                                                  San Angelo, City of
   Attn:Accounts Payable                                                1727 St. Ann St.
   P.O. Box 1751                                                        Attn: Patrick Frerich
   San Angelo TX 76902                                                  San Angelo TX 76905

Purchase Order No. Customer ID           Salesperson ID Shipping Method Payment Terms Req Ship Date Master No.
TAHOE                  003582             JD                U                  NET 15                0/0/0000             956,316
Quantity     Item Number         Description                                            UOM           Unit Price     Ext. Price
        12 PG-P5712T12A*         Progard 1/2 Polyc 1/2 Expanded Metal Window            Each              $413.44       $4,961.28

                                  2010-2013 Tahoe
        12 PG-SP57FW12*          Progard Lower Ext. Panel Full Width                    Each                $44.20        $530.40

        12 PG-S5705T07*          Progard ABS Std. Transport Seat with                   EA                $723.52       $8,682.24

                                  7ga Steel Screen Window
                                  Cargo Barrier & seat mount kit
        12 SET-WB-SUV-STEEL*     Setina Window Barriers Steel                           EA                $159.00       $1,908.00

                                 2013 Tahoe
        24 WE-LINZ6J             Whelen Split Red Blue LED Lighthead                    EA                  $77.90      $1,869.60




All returns must be authorized by GT Distributors. Interest charges on past                  Subtotal                  $17,951.52
due invoices at the maximum rate allowed by law.                                             Misc                           $0.00
Peter Hernandez                                                                              Tax                            $0.00
does not include shipping cost                                                               Freight                        $0.00
                                                                                             Total                     $17,951.52
Quote       QTE0060246
                                                                                                Date        11/1/2012
                                                                                                Page:       1

                                        GT Distributors - Austin
                                        P.O. Box 16080
                                        Austin             TX    78761
                                        (512) 451-8298

  Bill To:                                                           Ship To:
   San Angelo, City of                                                San Angelo, City of
   Attn:Accounts Payable                                              1727 St. Ann St.
   P.O. Box 1751                                                      Attn: Patrick Frerich
   San Angelo TX 76902                                                San Angelo TX 76905

Purchase Order No. Customer ID         Salesperson ID Shipping Method Payment Terms Req Ship Date Master No.
WHELEN               003582            JD                    U                  NET 15         0/0/0000                920,955
Quantity     Item Number       Description                                               UOM    Unit Price        Ext. Price
       1 WE-VTX609J            Whelen Vertex Split Red Blue                              EA           $67.90            $67.90

       1 WE-VTXFB              Whelen Vertex Flange Kit Black                            EA               $4.67          $4.67

       1 WE-TXLIB-SR2PKG55 Whelen Liberty CenCom SA315P PKG 55"                          EA        $2,259.95         $2,259.95

       1 WE-TXLIB-SR8PKG       Whelen Liberty CenCom SA315P PKG                          EA        $2,259.95         $2,259.95

       1 WE-SXTDLED            Whelen Two High Int. LED Takedown Lights                  EA         $213.00            $213.00

       1 PG-WB56NPC11*         Progard Black Powder Coated Steel Standard Push           EA         $149.90            $149.90

       1 PG-S56C06*            PG-Rear Seat-2004-08 Dodge Charger Grey                   EA         $308.90            $308.90

       1 PG-P5612C11A*         Progard 1/2 Polyc , 1/2 Exp Metal Window Part.            EA         $414.50            $414.50

       1 PG-RP56C11*           Progard LEP 2011 Charger                                  EA           $59.95            $59.95

       1 PG-PB56C11*           Progard Black Powder Coated Steel Standard Push           EA         $177.25            $177.25

       1 HS-C-VS-0809-CHGR-1*Havis 2011 Charger Vehicle Spec 17" Console                 EA         $269.94            $269.94

       1 HS-C-ARM-103*         Havis Shield Adjustable Armrest                           EA           $65.34            $65.34

       1 HS-C-CUP2-I*          Havis Shield-4 Inch High Plate-2 Cup Holders              EA           $27.68            $27.68

       2 HS-MC*                Havis Shields Mic Clip Only                               EA               $7.26         $14.52

       2 HS-MCB*               Havis Shields Mic-Clip Bracket                            EA               $9.24         $18.48

       1 HS-EB30-EOR-1P*       Havis Shield-Orion Radio Bracket                          EA               $0.00          $0.00

       1 HS-EB40-CCS-1P*       Havis Shield-Equipment Bracket                            EA               $0.00          $0.00
Quote       QTE0060246
                                                                                                  Date        11/1/2012
                                                                                                  Page:       2

                                         GT Distributors - Austin
                                         P.O. Box 16080
                                         Austin             TX    78761
                                         (512) 451-8298

  Bill To:                                                          Ship To:
   San Angelo, City of                                              San Angelo, City of
   Attn:Accounts Payable                                            1727 St. Ann St.
   P.O. Box 1751                                                    Attn: Patrick Frerich
   San Angelo TX 76902                                              San Angelo TX 76905

Purchase Order No. Customer ID         Salesperson ID Shipping Method Payment Terms Req Ship Date Master No.
WHELEN                003582            JD                 U               NET 15                0/0/0000                920,955
Quantity     Item Number       Description                                          UOM           Unit Price        Ext. Price
        1 HS-C-FP-2*           Havis Shield-Two Inch Filler Plate                   EA                      $0.00          $0.00

        1 HS-C-FP-1*           Havis Shield-One Inch Filler Plate                   EA                      $0.00          $0.00

        1 HS-C-FP-3*           Havis Shield-3 Inch Filler Plate                     EA                      $0.00          $0.00

        1 HS-C-TMW-CHGR-01* Havis-Console Mounting Base-Charger                     EA                  $83.70            $83.70

        1 HS-C-TMW-GMC-02*     Havis 28" Long Tunnel Mt. 2010 Tahoe/Sub             EA                  $83.70            $83.70




All returns must be authorized by GT Distributors. Interest charges on past              Subtotal                      $6,479.33
due invoices at the maximum rate allowed by law.                                         Misc                              $0.00
Peter Hernandez                                                                          Tax                               $0.00
Buyboard contract price                                                                  Freight                         $175.00
on Whelen #363-10                                                                        Total                         $6,654.33
SERVICES AGREEMENT BETWEEN THE CITY OF SAN ANGELO
     AND ABM JANITORIAL SERVICES – SOUTH CENTRAL, INCORPORATED
                          RFB No. CFM-02-13




       This Agreement is entered into this ___ day of ____________, 2013 (but effective as of

__________________________) by and between the City of San Angelo, a municipal

corporation of the State of Texas (“City”) and ABM Janitorial Services – South Central,

Incorporated, a foreign corporation (“Provider”).

                                           RECITAL

               A.      City has issued a Request for Bid Construction & Facilities Management

Janitorial Services RFB No.CFM-02-13 (“RFB No.CFM-02-13”) for the provision of

professional janitorial services (“Services”) and Provider’s bid, in response thereto, has been

selected as the most qualified proposal for the provision of the Services. The RFB referred to

herein, collectively, as the Contract Documents, and are by this reference incorporated into and

made a part of this Agreement (“Agreement”).

       B.      On _____________, 2013, the City Council of City of San Angelo, approved the

selection of Provider and authorized the City Manager to execute a contract, under the terms and

conditions set forth herein.

                                            TERMS:

1.     RECITALS: The recitals are true and correct and are hereby incorporated into and

made a part of this Agreement.
2.     TERM: The term of this Agreement shall be for three (3) years commencing on the

effective date hereof.

3.     OPTION TO EXTEND:              City shall have two (2) option(s) to extend the term hereof

for a period of one (1) year each, subject to availability, appropriation of funds and to agreement

of both parties. City Council approval shall not be required as long as the total extended term

does not exceed two (2) years.

4.     SCOPE OF SERVICE:

       A.      Provider agrees to provide the Services as specifically described, and under the

special terms and conditions set forth, in Exhibit “A” attached hereto, which by this reference is

incorporated into and made a part of this Agreement.

       B.      Provider represents and warrants to City that: (i) it possesses all qualifications,

licenses and expertise required for the performance of the Services; (ii) it is not delinquent in

the payment of any sums due City, including payment of permit fees, occupational licenses, etc.,

nor in the performance of any obligations to City; (iii) all personnel assigned to perform

Services are and shall be, at all times during the term hereof, fully qualified and trained to

perform the tasks assigned to each; and (iv) Services will be performed in the manner described

in Contract Documents.

5.     COMPENSATION:

       A.      The amount of compensation payable by the City to Provider shall be based on

the rates described in Exhibit “B” attached hereto, which by this reference is incorporated into

this Agreement.

       B.      Unless otherwise specifically provided in Exhibit “B”, payment shall be made

within thirty (30) calendar days after receipt of Provider’s invoice, which shall be accompanied




                                                2
by sufficient supporting documentation and contain sufficient detail, to allow a proper audit of

expenditures should City require one to be performed. No advance payments shall be made at

any time.

6.     OWNERSHIP OF DOCUMENTS: Provider                   understands    and   agrees   that    any

information, document, report or any other material whatsoever which is given by City to

Provider or which is otherwise obtained or prepared by Provider pursuant to or under the terms

of this Agreement is and shall at all times remain the property of City. Provider agrees not to use

any such information, document, report or material for any other purpose whatsoever without the

written consent of City, which may be withheld or conditioned by City in its sole discretion.

7.     AUDIT AND INSPECTION RIGHTS:

       A.      City may, at reasonable times, and for a period of up to three (3) years following

the date of final payment by City to Provider under this Agreement, audit, or cause to be audited,

those books and records of Provider which are related to Provider’s performance under this

Agreement. Provider agrees to maintain all such books and records at its principal place of

business for a period of three (3) years after final payment is made under this Agreement.

       B.      City may, at reasonable times during the term hereof, inspect Provider’s work and

perform such tests, as City deems reasonably necessary, to determine whether the goods or

services required to be provided by Provider under this Agreement conform to the terms hereof

and/or the terms found in Exhibit “A”, if applicable. Provider shall make available to City all

reasonable access and assistance to facilitate the performance of tests or inspections by City

representatives.

8.     AWARD OF AGREEMENT: Provider represents and warrants to City that it has not

employed or retained any person or company employed by City to solicit or secure this




                                                3
Agreement and that it has not offered to pay, paid, or agreed to pay any person any fee,

percentage, brokerage fee, or gift of any kind contingent upon or in connection with, the award

of this Agreement.

9.       PUBLIC RECORDS: Provider understands that the public shall have access, at all

reasonable times, to all documents and information pertaining to City contracts, subject to the

provisions of Chapter 552, Texas Government Code, and agrees to allow access by City and the

public to all documents subject to disclosure under applicable law. Provider’s failure or refusal

to comply with the provisions of this section shall result in the immediate cancellation of this

Agreement by City.

10.      COMPLIANCE WITH FEDERAL, STATE, AND LOCAL LAWS:                          Provider,    its

agents, employees and sub-providers understands that agreements between private entities and

local governments are subject to certain laws and regulations, including laws pertaining to public

records, conflict of interest, record keeping, etc. Provider agrees to comply with and observe all

applicable laws, city charter, codes and ordinances as they may be amended from time to time.

Provider must obtain all necessary permits and licenses that are required in completing the work

contracted for in this agreement.

11.      VENUE: Venue for any cause of action arising under this contract is Tom Green

County, Texas. This contract is governed by the laws of the State of Texas both as to

interpretation and performance.     This contract shall, in any dispute over its meaning or

application, be interpreted fairly and reasonably, and not more strongly for or against either

party.

12.      INDEMNIFICATION: Provider shall indemnify, defend and hold harmless City and its

officials, employees and agents (collectively referred to as “Indemnitees”) and each of them from




                                                4
and against all loss, costs, penalties, fines, damages, claims, expenses (including attorney’s fees)

or liabilities (collectively referred to as “Liabilities”) by reason of any injury to or death of any

person or damage to or destruction or loss of any property arising out of, resulting from, or in

connection with (i) the performance or non-performance of the services contemplated by this

Agreement which is or is alleged to be directly or indirectly caused, in whole or in part, by any

act, omission, default or negligence (whether active or passive) of Provider or its employees,

agents or sub-providers (collectively referred to as “Provider”), regardless of whether it is, or is

alleged to be, caused in whole or part (whether joint, concurrent or contributing) by any act,

omission, default or negligence (whether active or passive) of the Indemnitees, or any of them or

(ii) the failure of provider to comply with any of the paragraphs herein or the failure of provider

to conform to statutes, ordinances, or other regulations or requirements of any governmental

authority, federal or state, in connection with the performance of this Agreement. Provider

expressly agrees to indemnify and hold harmless the Indemnitees, or any of them, from and

against all liabilities which may be asserted by an employee or former employee of Provider, or

any of its sub-providers, as provided above, for which provider’s liability to such employee or

former employee would otherwise be limited to payments under state Workers’ Compensation or

similar laws.

13.    DEFAULT: If Provider fails to comply with any term or condition of this Agreement,

or fails to perform any of its obligations hereunder, then Provider shall be in default. Upon the

occurrence of a default hereunder City, in addition to all remedies available to it by law, may

immediately, upon written notice to Provider, terminate this Agreement whereupon all payments,

advances, or other compensation paid by City to Provider while Provider was in default shall be

immediately returned to City.       Provider understands and agrees that termination of this




                                                 5
Agreement under this section shall not release Provider from any obligation accruing prior to the

effective date of termination. Should Provider be unable or unwilling to commence to perform

the Services within the time provided or contemplated herein, then, in addition to the foregoing,

Provider shall be liable to City for all expenses incurred by City in preparation and negotiation of

this Agreement, as well as all costs and expenses incurred by City in the re-procurement of the

Services, including consequential and incidental damages.

14.    RESOLUTION OF CONTRACT DISPUTES:                       Provider understands and agrees that

all disputes between Provider and City based upon an alleged violation of the terms of this

Agreement by City shall be submitted to the City Manager for his/her resolution, prior to

Provider being entitled to seek judicial relief in connection therewith. In the event that the

amount of compensation hereunder exceeds Twenty-five Thousand and 00/00 Dollars

($25,000.00), the City Manager’s decision shall be approved or disapproved by City Council.

Provider shall not be entitled to seek judicial relief unless: (i) it has first received the City

Manager’s written decision, approved by City Council if the amount of compensation hereunder

exceeds Twenty-five Thousand and 00/00 Dollars ($25,000.00), or (ii) a period of sixty (60) days

has expired, after submitting to the City Manager a detailed statement of the dispute,

accompanied by all supporting documentation (ninety (90) days if the City Manager’s decision is

subject to City Council approval); or (iii) City has waived compliance with the procedure set

forth in this section by written instruments, signed by the City Manager.

15.    CITY’S TERMINATION RIGHTS:

       A.      City shall have the right to terminate this Agreement, in its sole discretion, at any

time, by giving written notice to Provider at least five (5) business days prior to the effective date

of such termination.     In such event, City shall pay to Provider compensation for services




                                                  6
rendered and expenses incurred prior to the effective date of termination. In no event shall City

be liable to Provider for any additional compensation, other than that provided herein, or for any

consequential or incidental damages.

       B.      City shall have the right to terminate this Agreement, without notice to Provider,

upon the occurrence of an event of default hereunder. In such event, City shall not be obligated

to pay any amounts to Provider and Provider shall reimburse to City all amounts received while

Provider was in default under this Agreement.

16.    INSURANCE:         Provider shall, at all times during the term hereof, maintain such

insurance coverage as may be required by City. All such insurance, including renewals, shall be

subject to the approval of City for adequacy of protection and evidence of such coverage shall be

furnished to City on Certificates of Insurance indicating such insurance to be in force and effect

and providing that it will not be canceled during the performance of the services under this

contract without thirty (30) calendar days prior written notice to City. Completed Certificates of

Insurance shall be filed with City prior to the performance of services hereunder, provided,

however, that Provider shall at any time upon request file duplicate copies of the policies of such

insurance with City.

       If, in the judgment of City, prevailing conditions warrant the provision by Provider of

additional liability insurance coverage or coverage which is different in kind, City reserves the

right to require the provision by Provider of an amount of coverage different from the amounts or

kind previously required and shall afford written notice of such change in requirements thirty

(30) days prior to the date on which the requirements shall take effect. Should provider fail or

refuse to satisfy the requirement of changed coverage within thirty (30) days following City’s




                                                7
written notice, this Contract shall be considered terminated on the date that the required change

in policy coverage would otherwise take effect.

17.    SPECIAL INDEMNIFICATION AND INSURANCE:

A.     INDEMNIFICATION:
       1.     GENERAL         INDEMNIFICATION.                PROVIDER         AGREES        TO
       INDEMNIFY, DEFEND, AND HOLD CITY, ITS COUNCIL MEMBERS, BOARD
       AND COMMISSION MEMBERS, OFFICIALS, AGENTS, GUESTS, INVITEES,
       CONSULTANTS AND EMPLOYEES FREE AND HARMLESS FROM AND
       AGAINST ANY AND ALL CLAIMS, DEMANDS, PROCEEDINGS, SUITS,
       JUDGMENTS,          COSTS,      PENALTIES,         FINES,     DAMAGES,          LOSSES,
       ATTORNEYS’ FEES AND EXPENSES ASSERTED BY ANY PERSON OR
       PERSONS, INCLUDING AGENTS OR EMPLOYEES OF PROVIDER OR CITY,
       BY REASON OF DEATH OR INJURY TO PERSONS, OR LOSS OR DAMAGE
       TO PROPERTY, RESULTING FROM OR ARISING OUT OF, THE VIOLATION
       OF ANY LAW OR REGULATION OR IN ANY MANNER ATTRIBUTABLE TO
       ANY ACT OF COMMISSION, OMISSION, NEGLIGENCE OR FAULT OF
       PROVIDER, ITS AGENTS OR EMPLOYEES, OR THE JOINT NEGLIGENCE
       OF PROVIDER AND ANY OTHER ENTITY, AS A CONSEQUENCE OF ITS
       EXECUTION OR PERFORMANCE OF THIS AGREEMENT OR SUSTAINED
       IN OR UPON THE PREMISES, OR AS A RESULT OF ANYTHING CLAIMED
       TO BE DONE OR ADMITTED TO BE DONE BY PROVIDER HEREUNDER.
       THIS     INDEMNIFICATION           SHALL       SURVIVE      THE     TERM      OF    THIS
       AGREEMENT AS LONG AS ANY LIABILITY COULD BE ASSERTED.
       NOTHING HEREIN SHALL REQUIRE PROVIDER TO INDEMNIFY, DEFEND,
       OR HOLD HARMLESS ANY INDEMNIFIED PARTY FOR THE INDEMNIFIED
       PARTY’S OWN GROSS NEGLIGENCE OR WILLFUL MISCONDUCT.
       2.     ENVIRONMENTAL INDEMNIFICATION.                       PROVIDER AGREES TO
       INDEMNIFY, DEFEND AND HOLD CITY AND ITS COUNCIL MEMBERS,
       BOARD AND COMMISSION MEMBERS, OFFICIALS, AGENTS, GUESTS,
       INVITEES, CONSULTANTS AND EMPLOYEES FREE AND HARMLESS



                                                  8
FROM AND AGAINST ANY AND ALL CLAIMS, DEMANDS, PROCEEDINGS,
SUITS, JUDGMENTS, COSTS, PENALTIES, FINES, DAMAGES, LOSSES,
ATTORNEYS’ FEES AND EXPENSES ASSERTED BY LOCAL, STATE OR
FEDERAL ENVIRONMENTAL AGENCIES OR PRIVATE INDIVIDUALS OR
ENTITIES IN CONNECTION WITH OR RESULTING FROM OR ARISING
OUT OF PROVIDER’S        HANDLING, COLLECTION, TRANSPORTATION,
STORAGE, DISPOSAL, TREATMENT, RECOVERY, AND/OR REUSE BY ANY
PERSON UNDER PROVIDER’S DIRECTION OR CONTROL OF WASTE
COLLECTED, TRANSPORTED OR LANDFILLED OR ANY CLEANUP
ASSOCIATED WITH ENVIRONMENTAL CONTAMINATION, WHETHER
SUCH CLEANUP IS OF AIR, SOIL, STRUCTURE, GROUND WATER OR
SURFACE      WATER     CONTAMINATION.           PROVIDER     SPECIFICALLY
AGREES TO INDEMNIFY, DEFEND AND HOLD HARMLESS CITY AGAINST
ALL CLAIMS, DAMAGES AND LIABILITIES OF WHATEVER NATURE
ASSERTED UNDER CERCLA CAUSED BY ACTS OR OMISSIONS OF
PROVIDER REGARDLESS OF WHEN SUCH INCIDENT IS DISCOVERED.
PROVIDER SHALL BE RESPONSIBLE AND LIABLE FOR ANY SPILL,
UNDERGROUND      POLLUTION       OR       ANY   OTHER   ENVIRONMENTAL
IMPAIRMENT INCIDENT CAUSED BY ACTS OR OMISSIONS OF PROVIDER
REGARDLESS OF WHEN SUCH INCIDENT IS DISCOVERED. IT IS THE
INTENT OF THE PARTIES THAT THIS SECTION SHALL IN NO WAY LIMIT
OTHER       COVERAGE    HEREIN       AS    IT   MAY   RELATE     TO   ANY
ENVIRONMENTAL CLAIM, DAMAGE, LOSS OR LIABILITY OF ANY KIND.
3.   PROSPECTIVE       APPLICATION.         ANY   AND   ALL    INDEMNITY
PROVIDED FOR IN THIS AGREEMENT SHALL SURVIVE THE EXPIRATION
OF   THIS    AGREEMENT     AND   THE       DISCHARGE    OF    ALL   OTHER
OBLIGATIONS OWED BY THE PARTIES TO EACH OTHER HEREUNDER
AND SHALL APPLY PROSPECTIVELY NOT ONLY DURING THE TERM OF
THIS AGREEMENT BUT THEREAFTER SO LONG AS ANY LIABILITY
(INCLUDING BUT NOT LIMITED TO LIABILITY FOR CLOSURE AND POST




                                 9
CLOSURE COSTS) COULD BE ASSERTED IN REGARD TO ANY ACTS OR
     OMISSIONS OF PROVIDER IN PERFORMING UNDER THIS AGREEMENT.
     4.       RETROACTIVE APPLICATION. THE INDEMNITY PROVIDED FOR IN
     THIS AGREEMENT SHALL EXTEND NOT ONLY TO CLAIMS AND
     ASSESSMENTS OCCURRING DURING THE TERM OF THIS AGREEMENT
     BUT RETROACTIVELY TO CLAIMS AND ASSESSMENTS WHICH MAY
     HAVE OCCURRED DURING THE TERM OF PREVIOUS AGREEMENTS
     BETWEEN CITY AND PROVIDER.

B.   INSURANCE:
     1.   GENERAL CONDITIONS. The following conditions shall apply to all
     insurance policies obtained by Provider for the purpose of complying with this
     Agreement.
              a)    Satisfactory Companies. Coverage shall be maintained with insurers and
     under forms of policies satisfactory to City and with insurers licensed to do business in
     Texas.
              b)    Named Insureds. All insurance policies required herein shall be drawn in
     the name of Provider, with City, its council members, board and commission members,
     officials, agents, guests, invitees, consultants and employees named as additional
     insureds, except on Workers’ Compensation coverage.
              c)    Waiver of Subrogation. Provider shall require its insurance carrier(s), with
     respect to all insurance policies, to waive all rights of subrogation against City, its council
     members, board and commission members, officials, agents, guests, invitees, consultants
     and employees.
              d)    Certificates of Insurance.      At or before the time of execution of this
     Agreement, Provider shall furnish City’s Risk Manager with certificates of insurance as
     evidence that all of the policies required herein are in full force and effect and provide the
     required coverage and limits of insurance. All certificates of insurance shall clearly state
     that all applicable requirements have been satisfied. The certificates shall provide that
     any company issuing an insurance policy shall provide to City not less than thirty (30)
     days advance notice in writing of cancellation, non-renewal, or material change in the
     policy of insurance. In addition, Provider and insurance company shall immediately


                                               10
provide written notice to City’s Risk Manager upon receipt of notice of cancellation of
any insurance policy, or of a decision to terminate or alter any insurance policy. Copies
of required endorsements will be attached to the certificates to confirm the required
endorsements are in effect.       Certificates of insurance and notices of cancellations,
terminations, or alterations shall be furnished to City’s Risk Manager at City Hall, 72 W.
Beauregard Ave., San Angelo, Texas 76903.
       e)        Provider’s Liability. The procurement of such policy of insurance shall not
be construed to be a limitation upon Provider’s liability or as a full performance on its
part of the indemnification provisions of this Agreement. Provider’s obligations are,
notwithstanding any policy of insurance, for the full and total amount of any damage,
injury or loss caused by or attributable to its activities conducted at or upon the premises.
Failure of Provider to maintain adequate coverage shall not relieve Provider of any
contractual responsibility or obligation.
       f)        Sub-providers’ Insurance. Provider shall cause each Sub-Provider and
Sub-Sub-Provider of Provider to purchase and maintain insurance of the types and in the
amounts specified below. Provider shall require Sub-providers and Sub-Sub-Providers to
furnish copies of certificates of insurance to Provider’s Risk Manager evidencing
coverage for each Sub-Provider and Sub-Sub-Provider.
2.     TYPES AND AMOUNTS OF INSURANCE REQUIRED.                                  Provider shall
obtain and continuously maintain in effect at all times during the term hereof, at
Provider’s sole expense, insurance coverage as follows with limits not less than those set
forth below:
       a)        Commercial General Liability. This policy shall be an occurrence-type
policy and shall protect provider and additional insureds against all claims arising from
bodily injury, sickness, disease or death of any person (other than provider’s employees)
and damage to property of city or others arising out of the act or omission of provider or
its agents and employees. This policy shall also include protection against claims for the
contractual liability assumed by Provider under the paragraph of this Agreement entitled
“Indemnification,” including completed operations, products liability, contractual
coverage,      broad   form   property      coverage,   explosion,   collapse,    underground,




                                            11
premises/operations, and independent providers (to remain in force for two years after
final payment). Coverage limits shall not be less than:

       $ 1,000,000.00                General Aggregate
       $ 500,000.00                  Products – Completed Operations
       $ 500,000.00                  Personal & Advertising Injury
       $ 500,000.00                  Each Occurrence
       $ 100,000.00                  Fire Damage (any one fire)

       b)      Business Automobile Liability. This policy shall be written in
comprehensive form and shall protect Provider and the additional insureds against all
claims for injuries to members of the public and damage to property of others arising
from the use of motor vehicles and shall cover operation on and off the premises of all
motor vehicles licensed for highway use, whether they are owned, non-owned or hired.
Coverage shall be as follows:


                   $ 500,000.00      Each Accident Limit


       c)      Workers’ Compensation and Employer’s Liability. If Provider hires any
employees, Provider shall maintain Workers’ Compensation and Employer’s Liability
insurance, which shall protect provider against all claims under applicable state workers’
compensation laws and employer’s liability. The insured shall also be protected against
claim for injury, disease or death of employees which for any reason, may not fall within
the provisions of a workers’ compensation law. Coverage shall not be less than:

       Statutory Amount           Workers’ Compensation

   $ 500,000.00                   Employer’s Liability, Each Accident
   $ 500,000.00                   Employer’s Liability, Disease - Each Employee
   $ 500,000.00                   Employer’s Liability, Disease – Policy Limit


The foregoing requirement will not be applicable if, and so long as, Provider qualifies as
a self-insurer under the rules and regulations of the commission or agency administering
the workers’ compensation program in Texas and furnishes evidence of such
qualification to City in accordance with the notice provisions of this Agreement.



                                        12
If Provider uses contract labor, Provider shall require its sub-provider to maintain the
       above referenced coverage and furnish copies of certificates of insurance as required
       herein.


18.    NONDISCRIMINATION: Provider represents and warrants to City that Provider does

not and will not engage in discriminatory practices and that there shall be no discrimination in

connection with Provider’s performance under this Agreement on account of race, color, sex,

religion, age, handicap, marital status or national origin. Provider further covenants that no

otherwise qualified individual shall, solely by reason of his/her race, color, sex, religion, age,

handicap, marital status or national origin, be excluded from participation in, be denied services,

or be subject to discrimination under any provision of this Agreement.

19.    VERIFICATION OF EMPLOYMENT ELIGIBILITY: Provider must comply with

the Immigration Reform and Control Act (IRCA) and may not knowingly obtain labor or

services of an unauthorized alien. Provider -- not City -- must verify eligibility for employment

as required by IRCA.

20.    INDEBTEDNESS TO CITY: Provider agrees that no payments owed by him, of any

nature whatsoever, to the City, including payment in advance for service charges or any sums of

any character whatsoever, shall become delinquent or in arrears.

21.    ASSIGNMENT: This Agreement shall not be assigned by Provider, in whole or in part,

without the prior written consent of City, which may be withheld or conditioned, in City’s sole

discretion.

22.    NOTICES: All notices or other communications required under this Agreement shall be

in writing and shall be given by hand-delivery or by registered or certified U.S. Mail, return

receipt requested, addressed to the other party at the address indicated herein or to such other



                                                13
address as a party may designate by notice given as herein provided. Notice shall be deemed

given on the day on which personally delivered; or, if by mail, on the fifth day after being posted

or the date of actual receipt, whichever is earlier.

TO CITY:                                                 TO PROVIDER:

City of San Angelo                                     ABM Janitorial Services-South Central, Inc.
Attn: Ron Lewis                                        Attn: Tom McDonald
72 West College Avenue                                 809 North Judge Ely
San Angelo, Texas 76903                                Abilene, Texas 79601
Phone: (325) 481-2773                                  Phone: (325) 677-1198
Email: ron.lewis@sanangelotexas.us                     Email: tom.mcdonald@abm.com


23.     MISCELLANEOUS PROVISIONS:

        A.      This Agreement shall be construed and enforced according to the laws of the State

of Texas.

        B.      Title and paragraph headings are for convenient reference and are not a part of

this Agreement.

        C.      No waiver or breach of any provision of this Agreement shall constitute a waiver

of any subsequent breach of the same or any other provision hereof, and no waiver shall be

effective, unless made in writing.

        D.      Should any provision, paragraph, sentence, word or phrase contained in this

Agreement be determined by a court of competent jurisdiction to be invalid, illegal or otherwise

unenforceable under the laws of the State of Texas or City of San Angelo, such provision,

paragraph, sentence, word or phrase shall be deemed modified to the extent necessary in order to

conform with such laws, or if not modifiable, then same shall be deemed severable, and in either

event, the remaining terms and provisions of this Agreement shall remain unmodified and in full

force and effect or limitation of its use.




                                                  14
E.      This Agreement constitutes the sole and entire agreement between the parties

hereto. No modification or amendment hereto shall be valid unless in writing and executed by

properly authorized representatives of the parties hereto.

24.    SUCCESSORS AND ASSIGNS: This Agreement shall be binding upon the parties

hereto, their heirs, executors, legal representatives, successors, or assigns.

25.    INDEPENDENT PROVIDER: Provider has been procured and is being engaged to

provide services to City as an independent provider, and not as an agent or employee of City.

Accordingly, Provider shall not attain, nor be entitled to, any rights or benefits under the Civil

Service or Pension Ordinances of City, nor any rights generally afforded classified or

unclassified employees.      Provider further understands that Texas Workers’ Compensation

benefits available to employees of City are not available to Provider, and agrees to provide

workers’ compensation insurance for any employee or agent of Provider rendering services to

City under this Agreement.

26.    HISTORICALLY              UNDERUTILIZED               BUSINESSES          PROCUREMENT

PROGRAM:          City has established a Historically Underutilized Businesses Procurement

Program (“HUB Program”) designed to increase the volume of City procurement and agreements

with minorities and women-owned businesses. Provider understand and agrees that City shall

have the right to terminate and cancel this Agreement, without notice or penalty to City, and to

eliminate Provider from consideration and participation in future City contracts if Provider, in

the preparation and/or submission of the Proposal, submitted false or misleading information as

to its status as a minority and/or a woman-owned business and/or the quality and/or type of

minority or woman-owned business participation.




                                                  15
27.       AMENDMENTS: City or Provider may amend this Contract at any time provided that

such amendments make specific reference to this Contract, and are executed in writing, signed

by a duly authorized representative of City and Provider, and approved by City.               Such

amendments shall not invalidate this Contract, nor relieve or release City or Provider from their

respective obligations under this Contract.

28.       CONTINGENCY CLAUSE:                 Funding for this Agreement is contingent on the

availability of funds and continued authorization for program activities and the Agreement is

subject to amendment or termination due to lack of funds, reduction of funds and/or change in

regulations, upon thirty (30) days notice.

29.       REAFFIRMATION OF REPRESENTATIONS: Provider hereby reaffirms all of the

representations contained in this Agreement, and included in Exhibit “A” attached hereto and

made a part thereof. Contractor herby reaffirms all of the representations contained in RFB

No.CFM-02-13

30.       DOCUMENTS OF INCORPORATION:                  This Agreement is expressly made subject

to all attachments hereto, to all of the attachments, provisions, requirements, federal, state and

local laws, rules and regulations as of the effective date herein, and to any and all requirements,

whether federal, state or local, verbal or written, placed upon City. The foregoing is hereby

made a part of this Agreement and incorporated herein by reference as if fully set out herein.

31.       ENTIRE AGREEMENT:           This instrument and its attachments constitute the sole and

only agreement of the parties relating to the subject matter hereof and correctly set forth the

rights, duties, and obligations of each to the other as of its date. Any prior agreements, promises,

negotiations, or representations not expressly set forth in this Agreement are of no force or

effect.




                                                  16
32.    COUNTERPARTS: This Agreement may be executed in two or more counterparts,

each of which shall constitute an original but all of which, when taken together, shall constitute

one and the same agreement.




                                               17
NOW, THEREFORE, in consideration of the mutual covenants and promises herein

contained, Provider and City agree as follows:



                                     “City”

                                     CITY OF SAN ANGELO, a municipal corporation

ATTEST:


_________________________            By:      ______________________________
Alicia Ramirez, City Clerk                    Daniel Valenzuela, City Manager




                                     “Provider”
                                     ABM JANITORIAL SERVICES-SOUTH CENTRAL
                                     INC.




                                     By:      __________________________________
                                               Tom McDonald, Branch Manager


ATTEST:
_________________, Secretary




                                                 18
EXHIBIT “A”

Scope of Work




     19
EXHIBIT “B”

Compensation Fee Schedule




           20
SERVICES AGREEMENT
                 BETWEEN CITY OF SAN ANGELO, TEXAS
            AND ABM JANITORIAL SERVICES-SOUTH CENTRAL INC.
                          RFB No. CFM-02-13




APPROVED AS TO FORM AND           APPROVED AS TO INSURANCE
CORRECTNESS:                      REQUIREMENTS:


______________________________    __________________________________
Lysia H. Bowling City Attorney    John Seaton, Risk Manager




APPROVED AS TO CONTENT:           APPROVED AS TO CONTENT:


______________________________    _____________________________________
Roger Banks, Purchasing Manager   Ron Lewis, Facilities/Maintenance Manager




                                    21
SERVICES AGREEMENT BETWEEN THE
                               CITY OF SAN ANGELO, TEXAS
                           AND Curtis E. Bargley and Donna Bargley
                          d/b/a BARGLEY JANITORIAL SERVICES
                                      RFB CFM-02-13

       This Agreement is entered into this ___ day of ____________, 2013(but effective as of

_____________________) by and between the City of San Angelo, a municipal corporation of

the State of Texas (“City”) and Donna Bargley and Curtis E. Bargley d/b/a Bargley Janitorial

Services (“Provider”).

                                            RECITAL

               A.        City has issued a Request for Bid Construction & Facilities Management

Janitorial Services RFB No.CFM-02-13 (“RFB No.CFM-02-13”) for the provision of

professional janitorial services (“Services”) and Provider’s bid, in response thereto, has been

selected as the most qualified proposal for the provision of the Services. The RFB referred to

herein, collectively, as the Contract Documents, and are by this reference incorporated into and

made a part of this Agreement (“Agreement”).

       B.      On _____________, 2013, the City Council of City of San Angelo, approved the

selection of Provider and authorized the City Manager to execute a contract, under the terms and

conditions set forth herein.

                                            TERMS:

1.     RECITALS: The recitals are true and correct and are hereby incorporated into and

made a part of this Agreement.

2.     TERM: The term of this Agreement shall be for three (3) years commencing on the

effective date hereof.
3.     OPTION TO EXTEND:              City shall have two (2) option(s) to extend the term hereof

for a period of one (1) year each, subject to availability, appropriation of funds and to agreement

of both parties. City Council approval shall not be required as long as the total extended term

does not exceed two (2) years.

4.     SCOPE OF SERVICE:

       A.      Provider agrees to provide the Services as specifically described, and under the

special terms and conditions set forth, in Exhibit “A” attached hereto, which by this reference is

incorporated into and made a part of this Agreement.

       B.      Provider represents and warrants to City that: (i) it possesses all qualifications,

licenses and expertise required for the performance of the Services; (ii) it is not delinquent in

the payment of any sums due City, including payment of permit fees, occupational licenses, etc.,

nor in the performance of any obligations to City; (iii) all personnel assigned to perform

Services are and shall be, at all times during the term hereof, fully qualified and trained to

perform the tasks assigned to each; and (iv) Services will be performed in the manner described

in Contract Documents.

5.     COMPENSATION:

       A.      The amount of compensation payable by the City to Provider shall be based on

the rates described in Exhibit “B” attached hereto, which by this reference is incorporated into

this Agreement.

       B.      Unless otherwise specifically provided in Exhibit “B”, payment shall be made

within thirty (30) calendar days after receipt of Provider’s invoice, which shall be accompanied

by sufficient supporting documentation and contain sufficient detail, to allow a proper audit of




                                                2
expenditures should City require one to be performed. No advance payments shall be made at

any time.

6.     OWNERSHIP OF DOCUMENTS: Provider                   understands    and   agrees   that    any

information, document, report or any other material whatsoever which is given by City to

Provider or which is otherwise obtained or prepared by Provider pursuant to or under the terms

of this Agreement is and shall at all times remain the property of City. Provider agrees not to use

any such information, document, report or material for any other purpose whatsoever without the

written consent of City, which may be withheld or conditioned by City in its sole discretion.

7.     AUDIT AND INSPECTION RIGHTS:

       A.      City may, at reasonable times, and for a period of up to three (3) years following

the date of final payment by City to Provider under this Agreement, audit, or cause to be audited,

those books and records of Provider which are related to Provider’s performance under this

Agreement. Provider agrees to maintain all such books and records at its principal place of

business for a period of three (3) years after final payment is made under this Agreement.

       B.      City may, at reasonable times during the term hereof, inspect Provider’s work and

perform such tests, as City deems reasonably necessary, to determine whether the goods or

services required to be provided by Provider under this Agreement conform to the terms hereof

and/or the terms found in Exhibit “A”, if applicable. Provider shall make available to City all

reasonable access and assistance to facilitate the performance of tests or inspections by City

representatives.

8.     AWARD OF AGREEMENT: Provider represents and warrants to City that it has not

employed or retained any person or company employed by City to solicit or secure this

Agreement and that it has not offered to pay, paid, or agreed to pay any person any fee,




                                                3
percentage, brokerage fee, or gift of any kind contingent upon or in connection with, the award

of this Agreement.

9.       PUBLIC RECORDS: Provider understands that the public shall have access, at all

reasonable times, to all documents and information pertaining to City contracts, subject to the

provisions of Chapter 552, Texas Government Code, and agrees to allow access by City and the

public to all documents subject to disclosure under applicable law. Provider’s failure or refusal

to comply with the provisions of this section shall result in the immediate cancellation of this

Agreement by City.

10.      COMPLIANCE WITH FEDERAL, STATE, AND LOCAL LAWS:                            Provider,    its

agents, employees and sub-providers understands that agreements between private entities and

local governments are subject to certain laws and regulations, including laws pertaining to public

records, conflict of interest, record keeping, etc. Provider agrees to comply with and observe all

applicable laws, city charter, codes and ordinances as they may be amended from time to time.

Provider must obtain all necessary permits and licenses that are required in completing the work

contracted for in this agreement.

11.      VENUE: Venue for any cause of action arising under this contract is Tom Green

County, Texas. This contract is governed by the laws of the State of Texas both as to

interpretation and performance.      This contract shall, in any dispute over its meaning or

application, be interpreted fairly and reasonably, and not more strongly for or against either

party.

12.      INDEMNIFICATION: Provider shall indemnify, defend and hold harmless City and its

officials, employees and agents (collectively referred to as “Indemnitees”) and each of them from

and against all loss, costs, penalties, fines, damages, claims, expenses (including attorney’s fees)




                                                 4
or liabilities (collectively referred to as “Liabilities”) by reason of any injury to or death of any

person or damage to or destruction or loss of any property arising out of, resulting from, or in

connection with (i) the performance or non-performance of the services contemplated by this

Agreement which is or is alleged to be directly or indirectly caused, in whole or in part, by any

act, omission, default or negligence (whether active or passive) of Provider or its employees,

agents or sub-providers (collectively referred to as “Provider”), regardless of whether it is, or is

alleged to be, caused in whole or part (whether joint, concurrent or contributing) by any act,

omission, default or negligence (whether active or passive) of the Indemnitees, or any of them or

(ii) the failure of provider to comply with any of the paragraphs herein or the failure of provider

to conform to statutes, ordinances, or other regulations or requirements of any governmental

authority, federal or state, in connection with the performance of this Agreement. Provider

expressly agrees to indemnify and hold harmless the Indemnitees, or any of them, from and

against all liabilities which may be asserted by an employee or former employee of Provider, or

any of its sub-providers, as provided above, for which provider’s liability to such employee or

former employee would otherwise be limited to payments under state Workers’ Compensation or

similar laws.

13.    DEFAULT: If Provider fails to comply with any term or condition of this Agreement,

or fails to perform any of its obligations hereunder, then Provider shall be in default. Upon the

occurrence of a default hereunder City, in addition to all remedies available to it by law, may

immediately, upon written notice to Provider, terminate this Agreement whereupon all payments,

advances, or other compensation paid by City to Provider while Provider was in default shall be

immediately returned to City.       Provider understands and agrees that termination of this

Agreement under this section shall not release Provider from any obligation accruing prior to the




                                                 5
effective date of termination. Should Provider be unable or unwilling to commence to perform

the Services within the time provided or contemplated herein, then, in addition to the foregoing,

Provider shall be liable to City for all expenses incurred by City in preparation and negotiation of

this Agreement, as well as all costs and expenses incurred by City in the re-procurement of the

Services, including consequential and incidental damages.

14.    RESOLUTION OF CONTRACT DISPUTES:                       Provider understands and agrees that

all disputes between Provider and City based upon an alleged violation of the terms of this

Agreement by City shall be submitted to the City Manager for his/her resolution, prior to

Provider being entitled to seek judicial relief in connection therewith. In the event that the

amount of compensation hereunder exceeds Twenty-five Thousand and 00/00 Dollars

($25,000.00), the City Manager’s decision shall be approved or disapproved by City Council.

Provider shall not be entitled to seek judicial relief unless: (i) it has first received the City

Manager’s written decision, approved by City Council if the amount of compensation hereunder

exceeds Twenty-five Thousand and 00/00 Dollars ($25,000.00), or (ii) a period of sixty (60) days

has expired, after submitting to the City Manager a detailed statement of the dispute,

accompanied by all supporting documentation (ninety (90) days if the City Manager’s decision is

subject to City Council approval); or (iii) City has waived compliance with the procedure set

forth in this section by written instruments, signed by the City Manager.

15.    CITY’S TERMINATION RIGHTS:

       A.      City shall have the right to terminate this Agreement, in its sole discretion, at any

time, by giving written notice to Provider at least five (5) business days prior to the effective date

of such termination.     In such event, City shall pay to Provider compensation for services

rendered and expenses incurred prior to the effective date of termination. In no event shall City




                                                  6
be liable to Provider for any additional compensation, other than that provided herein, or for any

consequential or incidental damages.

       B.      City shall have the right to terminate this Agreement, without notice to Provider,

upon the occurrence of an event of default hereunder. In such event, City shall not be obligated

to pay any amounts to Provider and Provider shall reimburse to City all amounts received while

Provider was in default under this Agreement.

16.    INSURANCE:         Provider shall, at all times during the term hereof, maintain such

insurance coverage as may be required by City. All such insurance, including renewals, shall be

subject to the approval of City for adequacy of protection and evidence of such coverage shall be

furnished to City on Certificates of Insurance indicating such insurance to be in force and effect

and providing that it will not be canceled during the performance of the services under this

contract without thirty (30) calendar days prior written notice to City. Completed Certificates of

Insurance shall be filed with City prior to the performance of services hereunder, provided,

however, that Provider shall at any time upon request file duplicate copies of the policies of such

insurance with City.

       If, in the judgment of City, prevailing conditions warrant the provision by Provider of

additional liability insurance coverage or coverage which is different in kind, City reserves the

right to require the provision by Provider of an amount of coverage different from the amounts or

kind previously required and shall afford written notice of such change in requirements thirty

(30) days prior to the date on which the requirements shall take effect. Should provider fail or

refuse to satisfy the requirement of changed coverage within thirty (30) days following City’s

written notice, this Contract shall be considered terminated on the date that the required change

in policy coverage would otherwise take effect.




                                                  7
17.   SPECIAL INDEMNIFICATION AND INSURANCE:

A.    INDEMNIFICATION:
      1.     GENERAL     INDEMNIFICATION.       PROVIDER      AGREES     TO
      INDEMNIFY, DEFEND, AND HOLD CITY, ITS COUNCIL MEMBERS, BOARD
      AND COMMISSION MEMBERS, OFFICIALS, AGENTS, GUESTS, INVITEES,
      CONSULTANTS AND EMPLOYEES FREE AND HARMLESS FROM AND
      AGAINST ANY AND ALL CLAIMS, DEMANDS, PROCEEDINGS, SUITS,
      JUDGMENTS,       COSTS,   PENALTIES,   FINES,    DAMAGES,     LOSSES,
      ATTORNEYS’ FEES AND EXPENSES ASSERTED BY ANY PERSON OR
      PERSONS, INCLUDING AGENTS OR EMPLOYEES OF PROVIDER OR CITY,
      BY REASON OF DEATH OR INJURY TO PERSONS, OR LOSS OR DAMAGE
      TO PROPERTY, RESULTING FROM OR ARISING OUT OF, THE VIOLATION
      OF ANY LAW OR REGULATION OR IN ANY MANNER ATTRIBUTABLE TO
      ANY ACT OF COMMISSION, OMISSION, NEGLIGENCE OR FAULT OF
      PROVIDER, ITS AGENTS OR EMPLOYEES, OR THE JOINT NEGLIGENCE
      OF PROVIDER AND ANY OTHER ENTITY, AS A CONSEQUENCE OF ITS
      EXECUTION OR PERFORMANCE OF THIS AGREEMENT OR SUSTAINED
      IN OR UPON THE PREMISES, OR AS A RESULT OF ANYTHING CLAIMED
      TO BE DONE OR ADMITTED TO BE DONE BY PROVIDER HEREUNDER.
      THIS   INDEMNIFICATION     SHALL   SURVIVE      THE   TERM   OF   THIS
      AGREEMENT AS LONG AS ANY LIABILITY COULD BE ASSERTED.
      NOTHING HEREIN SHALL REQUIRE PROVIDER TO INDEMNIFY, DEFEND,
      OR HOLD HARMLESS ANY INDEMNIFIED PARTY FOR THE INDEMNIFIED
      PARTY’S OWN GROSS NEGLIGENCE OR WILLFUL MISCONDUCT.
      2.     ENVIRONMENTAL INDEMNIFICATION.           PROVIDER AGREES TO
      INDEMNIFY, DEFEND AND HOLD CITY AND ITS COUNCIL MEMBERS,
      BOARD AND COMMISSION MEMBERS, OFFICIALS, AGENTS, GUESTS,
      INVITEES, CONSULTANTS AND EMPLOYEES FREE AND HARMLESS
      FROM AND AGAINST ANY AND ALL CLAIMS, DEMANDS, PROCEEDINGS,
      SUITS, JUDGMENTS, COSTS, PENALTIES, FINES, DAMAGES, LOSSES,
      ATTORNEYS’ FEES AND EXPENSES ASSERTED BY LOCAL, STATE OR


                                     8
FEDERAL ENVIRONMENTAL AGENCIES OR PRIVATE INDIVIDUALS OR
ENTITIES IN CONNECTION WITH OR RESULTING FROM OR ARISING
OUT OF PROVIDER’S        HANDLING, COLLECTION, TRANSPORTATION,
STORAGE, DISPOSAL, TREATMENT, RECOVERY, AND/OR REUSE BY ANY
PERSON UNDER PROVIDER’S DIRECTION OR CONTROL OF WASTE
COLLECTED, TRANSPORTED OR LANDFILLED OR ANY CLEANUP
ASSOCIATED WITH ENVIRONMENTAL CONTAMINATION, WHETHER
SUCH CLEANUP IS OF AIR, SOIL, STRUCTURE, GROUND WATER OR
SURFACE      WATER     CONTAMINATION.           PROVIDER     SPECIFICALLY
AGREES TO INDEMNIFY, DEFEND AND HOLD HARMLESS CITY AGAINST
ALL CLAIMS, DAMAGES AND LIABILITIES OF WHATEVER NATURE
ASSERTED UNDER CERCLA CAUSED BY ACTS OR OMISSIONS OF
PROVIDER REGARDLESS OF WHEN SUCH INCIDENT IS DISCOVERED.
PROVIDER SHALL BE RESPONSIBLE AND LIABLE FOR ANY SPILL,
UNDERGROUND      POLLUTION       OR       ANY   OTHER   ENVIRONMENTAL
IMPAIRMENT INCIDENT CAUSED BY ACTS OR OMISSIONS OF PROVIDER
REGARDLESS OF WHEN SUCH INCIDENT IS DISCOVERED. IT IS THE
INTENT OF THE PARTIES THAT THIS SECTION SHALL IN NO WAY LIMIT
OTHER       COVERAGE    HEREIN       AS    IT   MAY   RELATE     TO   ANY
ENVIRONMENTAL CLAIM, DAMAGE, LOSS OR LIABILITY OF ANY KIND.
3.   PROSPECTIVE       APPLICATION.         ANY   AND   ALL    INDEMNITY
PROVIDED FOR IN THIS AGREEMENT SHALL SURVIVE THE EXPIRATION
OF   THIS    AGREEMENT     AND   THE       DISCHARGE    OF    ALL   OTHER
OBLIGATIONS OWED BY THE PARTIES TO EACH OTHER HEREUNDER
AND SHALL APPLY PROSPECTIVELY NOT ONLY DURING THE TERM OF
THIS AGREEMENT BUT THEREAFTER SO LONG AS ANY LIABILITY
(INCLUDING BUT NOT LIMITED TO LIABILITY FOR CLOSURE AND POST
CLOSURE COSTS) COULD BE ASSERTED IN REGARD TO ANY ACTS OR
OMISSIONS OF PROVIDER IN PERFORMING UNDER THIS AGREEMENT.
4.   RETROACTIVE APPLICATION. THE INDEMNITY PROVIDED FOR IN
THIS AGREEMENT SHALL EXTEND NOT ONLY TO CLAIMS AND



                                 9
ASSESSMENTS OCCURRING DURING THE TERM OF THIS AGREEMENT
     BUT RETROACTIVELY TO CLAIMS AND ASSESSMENTS WHICH MAY
     HAVE OCCURRED DURING THE TERM OF PREVIOUS AGREEMENTS
     BETWEEN CITY AND PROVIDER.

B.   INSURANCE:
     1.   GENERAL CONDITIONS. The following conditions shall apply to all
     insurance policies obtained by Provider for the purpose of complying with this
     Agreement.
              a)    Satisfactory Companies. Coverage shall be maintained with insurers and
     under forms of policies satisfactory to City and with insurers licensed to do business in
     Texas.
              b)    Named Insureds. All insurance policies required herein shall be drawn in
     the name of Provider, with City, its council members, board and commission members,
     officials, agents, guests, invitees, consultants and employees named as additional
     insureds, except on Workers’ Compensation coverage.
              c)    Waiver of Subrogation. Provider shall require its insurance carrier(s), with
     respect to all insurance policies, to waive all rights of subrogation against City, its council
     members, board and commission members, officials, agents, guests, invitees, consultants
     and employees.
              d)    Certificates of Insurance.      At or before the time of execution of this
     Agreement, Provider shall furnish City’s Risk Manager with certificates of insurance as
     evidence that all of the policies required herein are in full force and effect and provide the
     required coverage and limits of insurance. All certificates of insurance shall clearly state
     that all applicable requirements have been satisfied. The certificates shall provide that
     any company issuing an insurance policy shall provide to City not less than thirty (30)
     days advance notice in writing of cancellation, non-renewal, or material change in the
     policy of insurance. In addition, Provider and insurance company shall immediately
     provide written notice to City’s Risk Manager upon receipt of notice of cancellation of
     any insurance policy, or of a decision to terminate or alter any insurance policy. Copies
     of required endorsements will be attached to the certificates to confirm the required
     endorsements are in effect.      Certificates of insurance and notices of cancellations,


                                               10
terminations, or alterations shall be furnished to City’s Risk Manager at City Hall, 72 W.
Beauregard Ave., San Angelo, Texas 76903.
       e)        Provider’s Liability. The procurement of such policy of insurance shall not
be construed to be a limitation upon Provider’s liability or as a full performance on its
part of the indemnification provisions of this Agreement. Provider’s obligations are,
notwithstanding any policy of insurance, for the full and total amount of any damage,
injury or loss caused by or attributable to its activities conducted at or upon the premises.
Failure of Provider to maintain adequate coverage shall not relieve Provider of any
contractual responsibility or obligation.
       f)        Sub-providers’ Insurance. Provider shall cause each Sub-Provider and
Sub-Sub-Provider of Provider to purchase and maintain insurance of the types and in the
amounts specified below. Provider shall require Sub-providers and Sub-Sub-Providers to
furnish copies of certificates of insurance to Provider’s Risk Manager evidencing
coverage for each Sub-Provider and Sub-Sub-Provider.
2.     TYPES AND AMOUNTS OF INSURANCE REQUIRED.                                  Provider shall
obtain and continuously maintain in effect at all times during the term hereof, at
Provider’s sole expense, insurance coverage as follows with limits not less than those set
forth below:
       a)        Commercial General Liability. This policy shall be an occurrence-type
policy and shall protect provider and additional insureds against all claims arising from
bodily injury, sickness, disease or death of any person (other than provider’s employees)
and damage to property of city or others arising out of the act or omission of provider or
its agents and employees. This policy shall also include protection against claims for the
contractual liability assumed by Provider under the paragraph of this Agreement entitled
“Indemnification,” including completed operations, products liability, contractual
coverage,      broad   form   property      coverage,   explosion,   collapse,    underground,
premises/operations, and independent providers (to remain in force for two years after
final payment). Coverage limits shall not be less than:

       $ 1,000,000.00                    General Aggregate
       $ 500,000.00                      Products – Completed Operations
       $ 500,000.00                      Personal & Advertising Injury



                                            11
$    500,000.00               Each Occurrence
          $    100,000.00               Fire Damage (any one fire)

          b)      Business Automobile Liability. This policy shall be written in
comprehensive form and shall protect Provider and the additional insureds against all
claims for injuries to members of the public and damage to property of others arising
from the use of motor vehicles and shall cover operation on and off the premises of all
motor vehicles licensed for highway use, whether they are owned, non-owned or hired.
Coverage shall be as follows:


                      $ 500,000.00      Each Accident Limit


          c)      Workers’ Compensation and Employer’s Liability. If Provider hires any
employees, Provider shall maintain Workers’ Compensation and Employer’s Liability
insurance, which shall protect provider against all claims under applicable state workers’
compensation laws and employer’s liability. The insured shall also be protected against
claim for injury, disease or death of employees which for any reason, may not fall within
the provisions of a workers’ compensation law. Coverage shall not be less than:

          Statutory Amount           Workers’ Compensation

   $ 500,000.00                      Employer’s Liability, Each Accident
   $ 500,000.00                      Employer’s Liability, Disease - Each Employee
   $ 500,000.00                      Employer’s Liability, Disease – Policy Limit


The foregoing requirement will not be applicable if, and so long as, Provider qualifies as
a self-insurer under the rules and regulations of the commission or agency administering
the workers’ compensation program in Texas and furnishes evidence of such
qualification to City in accordance with the notice provisions of this Agreement.

If Provider uses contract labor, Provider shall require its sub-provider to maintain the
above referenced coverage and furnish copies of certificates of insurance as required
herein.




                                          12
18.    NONDISCRIMINATION: Provider represents and warrants to City that Provider does

not and will not engage in discriminatory practices and that there shall be no discrimination in

connection with Provider’s performance under this Agreement on account of race, color, sex,

religion, age, handicap, marital status or national origin. Provider further covenants that no

otherwise qualified individual shall, solely by reason of his/her race, color, sex, religion, age,

handicap, marital status or national origin, be excluded from participation in, be denied services,

or be subject to discrimination under any provision of this Agreement.

19.    VERIFICATION OF EMPLOYMENT ELIGIBILITY: Provider must comply with

the Immigration Reform and Control Act (IRCA) and may not knowingly obtain labor or

services of an unauthorized alien. Provider -- not City -- must verify eligibility for employment

as required by IRCA.

20.    INDEBTEDNESS TO CITY: Provider agrees that no payments owed by him, of any

nature whatsoever, to the City, including payment in advance for service charges or any sums of

any character whatsoever, shall become delinquent or in arrears.

21.    ASSIGNMENT: This Agreement shall not be assigned by Provider, in whole or in part,

without the prior written consent of City, which may be withheld or conditioned, in City’s sole

discretion.

22.    NOTICES: All notices or other communications required under this Agreement shall be

in writing and shall be given by hand-delivery or by registered or certified U.S. Mail, return

receipt requested, addressed to the other party at the address indicated herein or to such other

address as a party may designate by notice given as herein provided. Notice shall be deemed

given on the day on which personally delivered; or, if by mail, on the fifth day after being posted

or the date of actual receipt, whichever is earlier.




                                                  13
TO CITY:                                             TO PROVIDER:

        City of San Angelo                               Bargley Janitorial Services
        Attn: Ron Lewis                                  Attn: Donna Bargley
        72 West College Avenue                           1613 Idaho Avenue
        San Angelo, Texas 76903                          San Angelo, Texas 76904
        Phone: (325)481-2773                             Phone: (325) 617-2010
        Email: ron.lewis@sanangelotexas.us                Email:bargley janitorial@suddenlink.net


23.     MISCELLANEOUS PROVISIONS:

        A.      This Agreement shall be construed and enforced according to the laws of the State

of Texas.

        B.      Title and paragraph headings are for convenient reference and are not a part of

this Agreement.

        C.      No waiver or breach of any provision of this Agreement shall constitute a waiver

of any subsequent breach of the same or any other provision hereof, and no waiver shall be

effective, unless made in writing.

        D.      Should any provision, paragraph, sentence, word or phrase contained in this

Agreement be determined by a court of competent jurisdiction to be invalid, illegal or otherwise

unenforceable under the laws of the State of Texas or City of San Angelo, such provision,

paragraph, sentence, word or phrase shall be deemed modified to the extent necessary in order to

conform with such laws, or if not modifiable, then same shall be deemed severable, and in either

event, the remaining terms and provisions of this Agreement shall remain unmodified and in full

force and effect or limitation of its use.

        E.      This Agreement constitutes the sole and entire agreement between the parties

hereto. No modification or amendment hereto shall be valid unless in writing and executed by

properly authorized representatives of the parties hereto.




                                                14
24.    SUCCESSORS AND ASSIGNS: This Agreement shall be binding upon the parties

hereto, their heirs, executors, legal representatives, successors, or assigns.

25.    INDEPENDENT PROVIDER: Provider has been procured and is being engaged to

provide services to City as an independent provider, and not as an agent or employee of City.

Accordingly, Provider shall not attain, nor be entitled to, any rights or benefits under the Civil

Service or Pension Ordinances of City, nor any rights generally afforded classified or

unclassified employees.      Provider further understands that Texas Workers’ Compensation

benefits available to employees of City are not available to Provider, and agrees to provide

workers’ compensation insurance for any employee or agent of Provider rendering services to

City under this Agreement.

26.    HISTORICALLY              UNDERUTILIZED               BUSINESSES          PROCUREMENT

PROGRAM:          City has established a Historically Underutilized Businesses Procurement

Program (“HUB Program”) designed to increase the volume of City procurement and agreements

with minorities and women-owned businesses. Provider understand and agrees that City shall

have the right to terminate and cancel this Agreement, without notice or penalty to City, and to

eliminate Provider from consideration and participation in future City contracts if Provider, in

the preparation and/or submission of the Proposal, submitted false or misleading information as

to its status as a minority and/or a woman-owned business and/or the quality and/or type of

minority or woman-owned business participation.

27.    AMENDMENTS: City or Provider may amend this Contract at any time provided that

such amendments make specific reference to this Contract, and are executed in writing, signed

by a duly authorized representative of City and Provider, and approved by City.              Such




                                                  15
amendments shall not invalidate this Contract, nor relieve or release City or Provider from their

respective obligations under this Contract.

28.       CONTINGENCY CLAUSE:                 Funding for this Agreement is contingent on the

availability of funds and continued authorization for program activities and the Agreement is

subject to amendment or termination due to lack of funds, reduction of funds and/or change in

regulations, upon thirty (30) days notice.

29.       REAFFIRMATION OF REPRESENTATIONS: Provider hereby reaffirms all of the

representations contained in this Agreement, and included in Exhibit “A” attached hereto and

made a part thereof. Contractor herby reaffirms all of the representations contained in RFB

No.CFM-02-13

30.       DOCUMENTS OF INCORPORATION:                  This Agreement is expressly made subject

to all attachments hereto, to all of the attachments, provisions, requirements, federal, state and

local laws, rules and regulations as of the effective date herein, and to any and all requirements,

whether federal, state or local, verbal or written, placed upon City. The foregoing is hereby

made a part of this Agreement and incorporated herein by reference as if fully set out herein.

31.       ENTIRE AGREEMENT:           This instrument and its attachments constitute the sole and

only agreement of the parties relating to the subject matter hereof and correctly set forth the

rights, duties, and obligations of each to the other as of its date. Any prior agreements, promises,

negotiations, or representations not expressly set forth in this Agreement are of no force or

effect.

32.       COUNTERPARTS: This Agreement may be executed in two or more counterparts,

each of which shall constitute an original but all of which, when taken together, shall constitute

one and the same agreement.




                                                  16
IN WITNESS WHEREOF, the parties hereto have caused this instrument to be
executed by their respective officials thereunto duly authorized, this the day and year above
written.
                                       “City”
                                       CITY OF SAN ANGELO, a municipal corporation

ATTEST:


_________________________            By:     ______________________________
Alicia Ramirez, City Clerk                   Daniel Valenzuela, City Manager




                                     “Provider”
                                     BARGLEY JANITORIAL SERVICES




                                     By:     _______________________________
                                             Donna Bargley,




ATTEST:
_________________, Secretary




                                               17
EXHIBIT “A”

Scope of Work




     18
EXHIBIT “B”

Fee Schedule




    19
SERVICES AGREEMENT
                   BETWEEN CITY OF SAN ANGELO, TEXAS
                    AND BARGLEY JANITORIAL SERVICES
                           RFB No.CFM-02-13




APPROVED AS TO FORM AND           APPROVED AS TO INSURANCE
CORRECTNESS:                      REQUIREMENTS:


______________________________    __________________________________
Lysia H. Bowling City Attorney    John Seaton, Risk Manager




APPROVED AS TO CONTENT:           APPROVED AS TO CONTENT:




______________________________    ____________________________________
Roger Banks, Purchasing Manager   Ron Lewis, Construction & Facility Manger




                                    20
SERVICES AGREEMENT BETWEEN THE CITY OF SAN ANGELO
                      AND VARSITY JANITORIAL SERVICES
                              RFB No. CFM-02-13




       This Agreement is entered into this ___ day of ____________, 2013 (but effective as of

__________________________) by and between the City of San Angelo, a municipal

corporation of the State of Texas (“City”) and Varsity Contractors, Inc., a foreign corporation

(“Provider”).

                                          RECITAL

                A.     City has issued a Request for Bid Construction & Facilities Management

Janitorial Services RFB No.CFM-02-13 (“RFB No.CFM-02-13”) for the provision of

professional janitorial services (“Services”) and Provider’s bid, in response thereto, has been

selected as the most qualified proposal for the provision of the Services. The RFB referred to

herein, collectively, as the Contract Documents, and are by this reference incorporated into and

made a part of this Agreement (“Agreement”).

       B.       On _____________, 2013, the City Council of City of San Angelo, approved the

selection of Provider and authorized the City Manager to execute a contract, under the terms and

conditions set forth herein.

                                           TERMS:

1.     RECITALS: The recitals are true and correct and are hereby incorporated into and

made a part of this Agreement.
2.     TERM: The term of this Agreement shall be for three (3) years commencing on the

effective date hereof.

3.     OPTION TO EXTEND:              City shall have two (2) option(s) to extend the term hereof

for a period of one (1) year each, subject to availability, appropriation of funds and to agreement

of both parties. City Council approval shall not be required as long as the total extended term

does not exceed two (2) years.

4.     SCOPE OF SERVICE:

       A.      Provider agrees to provide the Services as specifically described, and under the

special terms and conditions set forth, in Exhibit “A” attached hereto, which by this reference is

incorporated into and made a part of this Agreement.

       B.      Provider represents and warrants to City that: (i) it possesses all qualifications,

licenses and expertise required for the performance of the Services; (ii) it is not delinquent in

the payment of any sums due City, including payment of permit fees, occupational licenses, etc.,

nor in the performance of any obligations to City; (iii) all personnel assigned to perform

Services are and shall be, at all times during the term hereof, fully qualified and trained to

perform the tasks assigned to each; and (iv) Services will be performed in the manner described

in Contract Documents.

5.     COMPENSATION:

       A.      The amount of compensation payable by the City to Provider shall be based on

the rates described in Exhibit “B” attached hereto, which by this reference is incorporated into

this Agreement.

       B.      Unless otherwise specifically provided in Exhibit “B”, payment shall be made

within thirty (30) calendar days after receipt of Provider’s invoice, which shall be accompanied




                                                2
by sufficient supporting documentation and contain sufficient detail, to allow a proper audit of

expenditures should City require one to be performed. No advance payments shall be made at

any time.

6.     OWNERSHIP OF DOCUMENTS: Provider                   understands    and   agrees   that    any

information, document, report or any other material whatsoever which is given by City to

Provider or which is otherwise obtained or prepared by Provider pursuant to or under the terms

of this Agreement is and shall at all times remain the property of City. Provider agrees not to use

any such information, document, report or material for any other purpose whatsoever without the

written consent of City, which may be withheld or conditioned by City in its sole discretion.

7.     AUDIT AND INSPECTION RIGHTS:

       A.      City may, at reasonable times, and for a period of up to three (3) years following

the date of final payment by City to Provider under this Agreement, audit, or cause to be audited,

those books and records of Provider which are related to Provider’s performance under this

Agreement. Provider agrees to maintain all such books and records at its principal place of

business for a period of three (3) years after final payment is made under this Agreement.

       B.      City may, at reasonable times during the term hereof, inspect Provider’s work and

perform such tests, as City deems reasonably necessary, to determine whether the goods or

services required to be provided by Provider under this Agreement conform to the terms hereof

and/or the terms found in Exhibit “A”, if applicable. Provider shall make available to City all

reasonable access and assistance to facilitate the performance of tests or inspections by City

representatives.

8.     AWARD OF AGREEMENT: Provider represents and warrants to City that it has not

employed or retained any person or company employed by City to solicit or secure this




                                                3
Agreement and that it has not offered to pay, paid, or agreed to pay any person any fee,

percentage, brokerage fee, or gift of any kind contingent upon or in connection with, the award

of this Agreement.

9.       PUBLIC RECORDS: Provider understands that the public shall have access, at all

reasonable times, to all documents and information pertaining to City contracts, subject to the

provisions of Chapter 552, Texas Government Code, and agrees to allow access by City and the

public to all documents subject to disclosure under applicable law. Provider’s failure or refusal

to comply with the provisions of this section shall result in the immediate cancellation of this

Agreement by City.

10.      COMPLIANCE WITH FEDERAL, STATE, AND LOCAL LAWS:                          Provider,    its

agents, employees and sub-providers understands that agreements between private entities and

local governments are subject to certain laws and regulations, including laws pertaining to public

records, conflict of interest, record keeping, etc. Provider agrees to comply with and observe all

applicable laws, city charter, codes and ordinances as they may be amended from time to time.

Provider must obtain all necessary permits and licenses that are required in completing the work

contracted for in this agreement.

11.      VENUE: Venue for any cause of action arising under this contract is Tom Green

County, Texas. This contract is governed by the laws of the State of Texas both as to

interpretation and performance.     This contract shall, in any dispute over its meaning or

application, be interpreted fairly and reasonably, and not more strongly for or against either

party.

12.      INDEMNIFICATION: Provider shall indemnify, defend and hold harmless City and its

officials, employees and agents (collectively referred to as “Indemnitees”) and each of them from




                                                4
and against all loss, costs, penalties, fines, damages, claims, expenses (including attorney’s fees)

or liabilities (collectively referred to as “Liabilities”) by reason of any injury to or death of any

person or damage to or destruction or loss of any property arising out of, resulting from, or in

connection with (i) the performance or non-performance of the services contemplated by this

Agreement which is or is alleged to be directly or indirectly caused, in whole or in part, by any

act, omission, default or negligence (whether active or passive) of Provider or its employees,

agents or sub-providers (collectively referred to as “Provider”), regardless of whether it is, or is

alleged to be, caused in whole or part (whether joint, concurrent or contributing) by any act,

omission, default or negligence (whether active or passive) of the Indemnitees, or any of them or

(ii) the failure of provider to comply with any of the paragraphs herein or the failure of provider

to conform to statutes, ordinances, or other regulations or requirements of any governmental

authority, federal or state, in connection with the performance of this Agreement. Provider

expressly agrees to indemnify and hold harmless the Indemnitees, or any of them, from and

against all liabilities which may be asserted by an employee or former employee of Provider, or

any of its sub-providers, as provided above, for which provider’s liability to such employee or

former employee would otherwise be limited to payments under state Workers’ Compensation or

similar laws.

13.    DEFAULT: If Provider fails to comply with any term or condition of this Agreement,

or fails to perform any of its obligations hereunder, then Provider shall be in default. Upon the

occurrence of a default hereunder City, in addition to all remedies available to it by law, may

immediately, upon written notice to Provider, terminate this Agreement whereupon all payments,

advances, or other compensation paid by City to Provider while Provider was in default shall be

immediately returned to City.       Provider understands and agrees that termination of this




                                                 5
Agreement under this section shall not release Provider from any obligation accruing prior to the

effective date of termination. Should Provider be unable or unwilling to commence to perform

the Services within the time provided or contemplated herein, then, in addition to the foregoing,

Provider shall be liable to City for all expenses incurred by City in preparation and negotiation of

this Agreement, as well as all costs and expenses incurred by City in the re-procurement of the

Services, including consequential and incidental damages.

14.    RESOLUTION OF CONTRACT DISPUTES:                       Provider understands and agrees that

all disputes between Provider and City based upon an alleged violation of the terms of this

Agreement by City shall be submitted to the City Manager for his/her resolution, prior to

Provider being entitled to seek judicial relief in connection therewith. In the event that the

amount of compensation hereunder exceeds Twenty-five Thousand and 00/00 Dollars

($25,000.00), the City Manager’s decision shall be approved or disapproved by City Council.

Provider shall not be entitled to seek judicial relief unless: (i) it has first received the City

Manager’s written decision, approved by City Council if the amount of compensation hereunder

exceeds Twenty-five Thousand and 00/00 Dollars ($25,000.00), or (ii) a period of sixty (60) days

has expired, after submitting to the City Manager a detailed statement of the dispute,

accompanied by all supporting documentation (ninety (90) days if the City Manager’s decision is

subject to City Council approval); or (iii) City has waived compliance with the procedure set

forth in this section by written instruments, signed by the City Manager.

15.    CITY’S TERMINATION RIGHTS:

       A.      City shall have the right to terminate this Agreement, in its sole discretion, at any

time, by giving written notice to Provider at least five (5) business days prior to the effective date

of such termination.     In such event, City shall pay to Provider compensation for services




                                                  6
rendered and expenses incurred prior to the effective date of termination. In no event shall City

be liable to Provider for any additional compensation, other than that provided herein, or for any

consequential or incidental damages.

       B.      City shall have the right to terminate this Agreement, without notice to Provider,

upon the occurrence of an event of default hereunder. In such event, City shall not be obligated

to pay any amounts to Provider and Provider shall reimburse to City all amounts received while

Provider was in default under this Agreement.

16.    INSURANCE:         Provider shall, at all times during the term hereof, maintain such

insurance coverage as may be required by City. All such insurance, including renewals, shall be

subject to the approval of City for adequacy of protection and evidence of such coverage shall be

furnished to City on Certificates of Insurance indicating such insurance to be in force and effect

and providing that it will not be canceled during the performance of the services under this

contract without thirty (30) calendar days prior written notice to City. Completed Certificates of

Insurance shall be filed with City prior to the performance of services hereunder, provided,

however, that Provider shall at any time upon request file duplicate copies of the policies of such

insurance with City.

       If, in the judgment of City, prevailing conditions warrant the provision by Provider of

additional liability insurance coverage or coverage which is different in kind, City reserves the

right to require the provision by Provider of an amount of coverage different from the amounts or

kind previously required and shall afford written notice of such change in requirements thirty

(30) days prior to the date on which the requirements shall take effect. Should provider fail or

refuse to satisfy the requirement of changed coverage within thirty (30) days following City’s




                                                7
written notice, this Contract shall be considered terminated on the date that the required change

in policy coverage would otherwise take effect.

17.    SPECIAL INDEMNIFICATION AND INSURANCE:

A.     INDEMNIFICATION:
       1.     GENERAL         INDEMNIFICATION.                PROVIDER         AGREES        TO
       INDEMNIFY, DEFEND, AND HOLD CITY, ITS COUNCIL MEMBERS, BOARD
       AND COMMISSION MEMBERS, OFFICIALS, AGENTS, GUESTS, INVITEES,
       CONSULTANTS AND EMPLOYEES FREE AND HARMLESS FROM AND
       AGAINST ANY AND ALL CLAIMS, DEMANDS, PROCEEDINGS, SUITS,
       JUDGMENTS,          COSTS,      PENALTIES,         FINES,     DAMAGES,          LOSSES,
       ATTORNEYS’ FEES AND EXPENSES ASSERTED BY ANY PERSON OR
       PERSONS, INCLUDING AGENTS OR EMPLOYEES OF PROVIDER OR CITY,
       BY REASON OF DEATH OR INJURY TO PERSONS, OR LOSS OR DAMAGE
       TO PROPERTY, RESULTING FROM OR ARISING OUT OF, THE VIOLATION
       OF ANY LAW OR REGULATION OR IN ANY MANNER ATTRIBUTABLE TO
       ANY ACT OF COMMISSION, OMISSION, NEGLIGENCE OR FAULT OF
       PROVIDER, ITS AGENTS OR EMPLOYEES, OR THE JOINT NEGLIGENCE
       OF PROVIDER AND ANY OTHER ENTITY, AS A CONSEQUENCE OF ITS
       EXECUTION OR PERFORMANCE OF THIS AGREEMENT OR SUSTAINED
       IN OR UPON THE PREMISES, OR AS A RESULT OF ANYTHING CLAIMED
       TO BE DONE OR ADMITTED TO BE DONE BY PROVIDER HEREUNDER.
       THIS     INDEMNIFICATION           SHALL       SURVIVE      THE     TERM      OF    THIS
       AGREEMENT AS LONG AS ANY LIABILITY COULD BE ASSERTED.
       NOTHING HEREIN SHALL REQUIRE PROVIDER TO INDEMNIFY, DEFEND,
       OR HOLD HARMLESS ANY INDEMNIFIED PARTY FOR THE INDEMNIFIED
       PARTY’S OWN GROSS NEGLIGENCE OR WILLFUL MISCONDUCT.
       2.     ENVIRONMENTAL INDEMNIFICATION.                       PROVIDER AGREES TO
       INDEMNIFY, DEFEND AND HOLD CITY AND ITS COUNCIL MEMBERS,
       BOARD AND COMMISSION MEMBERS, OFFICIALS, AGENTS, GUESTS,
       INVITEES, CONSULTANTS AND EMPLOYEES FREE AND HARMLESS



                                                  8
FROM AND AGAINST ANY AND ALL CLAIMS, DEMANDS, PROCEEDINGS,
SUITS, JUDGMENTS, COSTS, PENALTIES, FINES, DAMAGES, LOSSES,
ATTORNEYS’ FEES AND EXPENSES ASSERTED BY LOCAL, STATE OR
FEDERAL ENVIRONMENTAL AGENCIES OR PRIVATE INDIVIDUALS OR
ENTITIES IN CONNECTION WITH OR RESULTING FROM OR ARISING
OUT OF PROVIDER’S        HANDLING, COLLECTION, TRANSPORTATION,
STORAGE, DISPOSAL, TREATMENT, RECOVERY, AND/OR REUSE BY ANY
PERSON UNDER PROVIDER’S DIRECTION OR CONTROL OF WASTE
COLLECTED, TRANSPORTED OR LANDFILLED OR ANY CLEANUP
ASSOCIATED WITH ENVIRONMENTAL CONTAMINATION, WHETHER
SUCH CLEANUP IS OF AIR, SOIL, STRUCTURE, GROUND WATER OR
SURFACE      WATER     CONTAMINATION.           PROVIDER     SPECIFICALLY
AGREES TO INDEMNIFY, DEFEND AND HOLD HARMLESS CITY AGAINST
ALL CLAIMS, DAMAGES AND LIABILITIES OF WHATEVER NATURE
ASSERTED UNDER CERCLA CAUSED BY ACTS OR OMISSIONS OF
PROVIDER REGARDLESS OF WHEN SUCH INCIDENT IS DISCOVERED.
PROVIDER SHALL BE RESPONSIBLE AND LIABLE FOR ANY SPILL,
UNDERGROUND      POLLUTION       OR       ANY   OTHER   ENVIRONMENTAL
IMPAIRMENT INCIDENT CAUSED BY ACTS OR OMISSIONS OF PROVIDER
REGARDLESS OF WHEN SUCH INCIDENT IS DISCOVERED. IT IS THE
INTENT OF THE PARTIES THAT THIS SECTION SHALL IN NO WAY LIMIT
OTHER       COVERAGE    HEREIN       AS    IT   MAY   RELATE     TO   ANY
ENVIRONMENTAL CLAIM, DAMAGE, LOSS OR LIABILITY OF ANY KIND.
3.   PROSPECTIVE       APPLICATION.         ANY   AND   ALL    INDEMNITY
PROVIDED FOR IN THIS AGREEMENT SHALL SURVIVE THE EXPIRATION
OF   THIS    AGREEMENT     AND   THE       DISCHARGE    OF    ALL   OTHER
OBLIGATIONS OWED BY THE PARTIES TO EACH OTHER HEREUNDER
AND SHALL APPLY PROSPECTIVELY NOT ONLY DURING THE TERM OF
THIS AGREEMENT BUT THEREAFTER SO LONG AS ANY LIABILITY
(INCLUDING BUT NOT LIMITED TO LIABILITY FOR CLOSURE AND POST




                                 9
CLOSURE COSTS) COULD BE ASSERTED IN REGARD TO ANY ACTS OR
     OMISSIONS OF PROVIDER IN PERFORMING UNDER THIS AGREEMENT.
     4.       RETROACTIVE APPLICATION. THE INDEMNITY PROVIDED FOR IN
     THIS AGREEMENT SHALL EXTEND NOT ONLY TO CLAIMS AND
     ASSESSMENTS OCCURRING DURING THE TERM OF THIS AGREEMENT
     BUT RETROACTIVELY TO CLAIMS AND ASSESSMENTS WHICH MAY
     HAVE OCCURRED DURING THE TERM OF PREVIOUS AGREEMENTS
     BETWEEN CITY AND PROVIDER.

B.   INSURANCE:
     1.   GENERAL CONDITIONS. The following conditions shall apply to all
     insurance policies obtained by Provider for the purpose of complying with this
     Agreement.
              a)    Satisfactory Companies. Coverage shall be maintained with insurers and
     under forms of policies satisfactory to City and with insurers licensed to do business in
     Texas.
              b)    Named Insureds. All insurance policies required herein shall be drawn in
     the name of Provider, with City, its council members, board and commission members,
     officials, agents, guests, invitees, consultants and employees named as additional
     insureds, except on Workers’ Compensation coverage.
              c)    Waiver of Subrogation. Provider shall require its insurance carrier(s), with
     respect to all insurance policies, to waive all rights of subrogation against City, its council
     members, board and commission members, officials, agents, guests, invitees, consultants
     and employees.
              d)    Certificates of Insurance.      At or before the time of execution of this
     Agreement, Provider shall furnish City’s Risk Manager with certificates of insurance as
     evidence that all of the policies required herein are in full force and effect and provide the
     required coverage and limits of insurance. All certificates of insurance shall clearly state
     that all applicable requirements have been satisfied. The certificates shall provide that
     any company issuing an insurance policy shall provide to City not less than thirty (30)
     days advance notice in writing of cancellation, non-renewal, or material change in the
     policy of insurance. In addition, Provider and insurance company shall immediately


                                               10
provide written notice to City’s Risk Manager upon receipt of notice of cancellation of
any insurance policy, or of a decision to terminate or alter any insurance policy. Copies
of required endorsements will be attached to the certificates to confirm the required
endorsements are in effect.       Certificates of insurance and notices of cancellations,
terminations, or alterations shall be furnished to City’s Risk Manager at City Hall, 72 W.
Beauregard Ave., San Angelo, Texas 76903.
       e)        Provider’s Liability. The procurement of such policy of insurance shall not
be construed to be a limitation upon Provider’s liability or as a full performance on its
part of the indemnification provisions of this Agreement. Provider’s obligations are,
notwithstanding any policy of insurance, for the full and total amount of any damage,
injury or loss caused by or attributable to its activities conducted at or upon the premises.
Failure of Provider to maintain adequate coverage shall not relieve Provider of any
contractual responsibility or obligation.
       f)        Sub-providers’ Insurance. Provider shall cause each Sub-Provider and
Sub-Sub-Provider of Provider to purchase and maintain insurance of the types and in the
amounts specified below. Provider shall require Sub-providers and Sub-Sub-Providers to
furnish copies of certificates of insurance to Provider’s Risk Manager evidencing
coverage for each Sub-Provider and Sub-Sub-Provider.
2.     TYPES AND AMOUNTS OF INSURANCE REQUIRED.                                  Provider shall
obtain and continuously maintain in effect at all times during the term hereof, at
Provider’s sole expense, insurance coverage as follows with limits not less than those set
forth below:
       a)        Commercial General Liability. This policy shall be an occurrence-type
policy and shall protect provider and additional insureds against all claims arising from
bodily injury, sickness, disease or death of any person (other than provider’s employees)
and damage to property of city or others arising out of the act or omission of provider or
its agents and employees. This policy shall also include protection against claims for the
contractual liability assumed by Provider under the paragraph of this Agreement entitled
“Indemnification,” including completed operations, products liability, contractual
coverage,      broad   form   property      coverage,   explosion,   collapse,    underground,




                                            11
premises/operations, and independent providers (to remain in force for two years after
final payment). Coverage limits shall not be less than:

       $ 1,000,000.00                General Aggregate
       $ 500,000.00                  Products – Completed Operations
       $ 500,000.00                  Personal & Advertising Injury
       $ 500,000.00                  Each Occurrence
       $ 100,000.00                  Fire Damage (any one fire)

       b)      Business Automobile Liability. This policy shall be written in
comprehensive form and shall protect Provider and the additional insureds against all
claims for injuries to members of the public and damage to property of others arising
from the use of motor vehicles and shall cover operation on and off the premises of all
motor vehicles licensed for highway use, whether they are owned, non-owned or hired.
Coverage shall be as follows:


                   $ 500,000.00      Each Accident Limit


       c)      Workers’ Compensation and Employer’s Liability. If Provider hires any
employees, Provider shall maintain Workers’ Compensation and Employer’s Liability
insurance, which shall protect provider against all claims under applicable state workers’
compensation laws and employer’s liability. The insured shall also be protected against
claim for injury, disease or death of employees which for any reason, may not fall within
the provisions of a workers’ compensation law. Coverage shall not be less than:

       Statutory Amount           Workers’ Compensation

   $ 500,000.00                   Employer’s Liability, Each Accident
   $ 500,000.00                   Employer’s Liability, Disease - Each Employee
   $ 500,000.00                   Employer’s Liability, Disease – Policy Limit


The foregoing requirement will not be applicable if, and so long as, Provider qualifies as
a self-insurer under the rules and regulations of the commission or agency administering
the workers’ compensation program in Texas and furnishes evidence of such
qualification to City in accordance with the notice provisions of this Agreement.



                                        12
If Provider uses contract labor, Provider shall require its sub-provider to maintain the
       above referenced coverage and furnish copies of certificates of insurance as required
       herein.


18.    NONDISCRIMINATION: Provider represents and warrants to City that Provider does

not and will not engage in discriminatory practices and that there shall be no discrimination in

connection with Provider’s performance under this Agreement on account of race, color, sex,

religion, age, handicap, marital status or national origin. Provider further covenants that no

otherwise qualified individual shall, solely by reason of his/her race, color, sex, religion, age,

handicap, marital status or national origin, be excluded from participation in, be denied services,

or be subject to discrimination under any provision of this Agreement.

19.    VERIFICATION OF EMPLOYMENT ELIGIBILITY: Provider must comply with

the Immigration Reform and Control Act (IRCA) and may not knowingly obtain labor or

services of an unauthorized alien. Provider -- not City -- must verify eligibility for employment

as required by IRCA.

20.    INDEBTEDNESS TO CITY: Provider agrees that no payments owed by him, of any

nature whatsoever, to the City, including payment in advance for service charges or any sums of

any character whatsoever, shall become delinquent or in arrears.

21.    ASSIGNMENT: This Agreement shall not be assigned by Provider, in whole or in part,

without the prior written consent of City, which may be withheld or conditioned, in City’s sole

discretion.

22.    NOTICES: All notices or other communications required under this Agreement shall be

in writing and shall be given by hand-delivery or by registered or certified U.S. Mail, return

receipt requested, addressed to the other party at the address indicated herein or to such other



                                                13
address as a party may designate by notice given as herein provided. Notice shall be deemed

given on the day on which personally delivered; or, if by mail, on the fifth day after being posted

or the date of actual receipt, whichever is earlier.

        TO CITY:                                            TO PROVIDER:

        City of San Angelo                                Varsity Contractors, Inc.
        Attn: Ron Lewis                                   Attn: Michael Franssen
        72 West College Avenue                            1901 Austin Street
        San Angelo, Texas 76903                           San Angelo, Texas 76903
        Phone: (325)481-2773                              Phone: (281) 896-7773
        Email: ron.lewis@sanangelotexas.us                Email: mfranssen@varsityfs.com


23.     MISCELLANEOUS PROVISIONS:

        A.      This Agreement shall be construed and enforced according to the laws of the State

of Texas.

        B.      Title and paragraph headings are for convenient reference and are not a part of

this Agreement.

        C.      No waiver or breach of any provision of this Agreement shall constitute a waiver

of any subsequent breach of the same or any other provision hereof, and no waiver shall be

effective, unless made in writing.

        D.      Should any provision, paragraph, sentence, word or phrase contained in this

Agreement be determined by a court of competent jurisdiction to be invalid, illegal or otherwise

unenforceable under the laws of the State of Texas or City of San Angelo, such provision,

paragraph, sentence, word or phrase shall be deemed modified to the extent necessary in order to

conform with such laws, or if not modifiable, then same shall be deemed severable, and in either

event, the remaining terms and provisions of this Agreement shall remain unmodified and in full

force and effect or limitation of its use.




                                                  14
E.      This Agreement constitutes the sole and entire agreement between the parties

hereto. No modification or amendment hereto shall be valid unless in writing and executed by

properly authorized representatives of the parties hereto.

24.    SUCCESSORS AND ASSIGNS: This Agreement shall be binding upon the parties

hereto, their heirs, executors, legal representatives, successors, or assigns.

25.    INDEPENDENT PROVIDER: Provider has been procured and is being engaged to

provide services to City as an independent provider, and not as an agent or employee of City.

Accordingly, Provider shall not attain, nor be entitled to, any rights or benefits under the Civil

Service or Pension Ordinances of City, nor any rights generally afforded classified or

unclassified employees.      Provider further understands that Texas Workers’ Compensation

benefits available to employees of City are not available to Provider, and agrees to provide

workers’ compensation insurance for any employee or agent of Provider rendering services to

City under this Agreement.

26.    HISTORICALLY              UNDERUTILIZED               BUSINESSES          PROCUREMENT

PROGRAM:          City has established a Historically Underutilized Businesses Procurement

Program (“HUB Program”) designed to increase the volume of City procurement and agreements

with minorities and women-owned businesses. Provider understand and agrees that City shall

have the right to terminate and cancel this Agreement, without notice or penalty to City, and to

eliminate Provider from consideration and participation in future City contracts if Provider, in

the preparation and/or submission of the Proposal, submitted false or misleading information as

to its status as a minority and/or a woman-owned business and/or the quality and/or type of

minority or woman-owned business participation.




                                                  15
27.       AMENDMENTS: City or Provider may amend this Contract at any time provided that

such amendments make specific reference to this Contract, and are executed in writing, signed

by a duly authorized representative of City and Provider, and approved by City.               Such

amendments shall not invalidate this Contract, nor relieve or release City or Provider from their

respective obligations under this Contract.

28.       CONTINGENCY CLAUSE:                 Funding for this Agreement is contingent on the

availability of funds and continued authorization for program activities and the Agreement is

subject to amendment or termination due to lack of funds, reduction of funds and/or change in

regulations, upon thirty (30) days notice.

29.       REAFFIRMATION OF REPRESENTATIONS: Provider hereby reaffirms all of the

representations contained in this Agreement, and included in Exhibit “A” attached hereto and

made a part thereof. Contractor herby reaffirms all of the representations contained in RFB

No.CFM-02-13

30.       DOCUMENTS OF INCORPORATION:                  This Agreement is expressly made subject

to all attachments hereto, to all of the attachments, provisions, requirements, federal, state and

local laws, rules and regulations as of the effective date herein, and to any and all requirements,

whether federal, state or local, verbal or written, placed upon City. The foregoing is hereby

made a part of this Agreement and incorporated herein by reference as if fully set out herein.

31.       ENTIRE AGREEMENT:           This instrument and its attachments constitute the sole and

only agreement of the parties relating to the subject matter hereof and correctly set forth the

rights, duties, and obligations of each to the other as of its date. Any prior agreements, promises,

negotiations, or representations not expressly set forth in this Agreement are of no force or

effect.




                                                  16
32.    COUNTERPARTS: This Agreement may be executed in two or more counterparts,

each of which shall constitute an original but all of which, when taken together, shall constitute

one and the same agreement.




                                               17
NOW, THEREFORE, in consideration of the mutual covenants and promises herein

contained, Provider and City agree as follows:



                                     “City”


                                     CITY OF SAN ANGELO, a municipal corporation

ATTEST:


_________________________            By:______________________________
Alicia Ramirez, City Clerk             Daniel Valenzuela, City Manager




                                     “Provider”
                                     VARSITY CONTRACTORS, INC.




                                     By:_________________________________
                                       Michael Franssen, Texas District Manager

ATTEST:
_________________, Secretary




                                                 18
EXHIBIT “A”

Scope of Work




     19
EXHIBIT “B”

Compensation Fee Schedule




           20
SERVICES AGREEMENT
                   BETWEEN CITY OF SAN ANGELO, TEXAS
                     AND VARSITY CONTRACTORS, INC.
                            RFB No. CFM-02-13




APPROVED AS TO FORM AND           APPROVED AS TO INSURANCE
CORRECTNESS:                      REQUIREMENTS:


______________________________    __________________________________
Lysia H. Bowling City Attorney    John Seaton, Risk Manager




APPROVED AS TO CONTENT:           APPROVED AS TO CONTENT:


______________________________    _____________________________________
Roger Banks, Purchasing Manager   Ron Lewis, Facilities/Maintenance Manager




                                    21
City of San Angelo



Memo
 Date:                 March 13, 2013

 To:                   Mayor and Council Members

 From:                 Ron Lewis, Construction and Facilities Maintenance

 Subject:              Agenda Item for April 2, 2013 Council Meeting

 Contact:              Ron Lewis, 481.2773

 Caption:              Consent

                       Adoption of a resolution awarding a contract for Janitorial Services between the City of
                       San Angelo and ABM Janitorial Services, Varsity Contractors, and Bargley Janitorial
                       and authorizing the Mayor and/or City Manager to execute said contract.

                       The City of San Angelo posted RFB: CFM-02-13 on the COSA website and
                       advertised twice in the San Angelo Standard Times Newspaper, and directly
 Summary:              notified twenty-five (25) vendors for Janitorial Services. Twenty (20) vendors
                       were located in San Angelo. The bids were opened on Friday, February 8, 2013.
                       Eight (8) vendors responded. The resulting best value for the City of San Angelo
                       includes three (3) vendors to clean a total of twelve (12) COSA buildings. The
                       initial term of the contract is for three (3) years with two (2) options to extend for a
                       period of one (1) year each.

 History:              Construction and Facilities Maintenance and the Purchasing Department
                       prepared RFB: CFM-02-13 for Janitorial Services. Varsity Contractors and ABM
                       Janitorial Services are currently providing Janitorial Services to some COSA
                       facilities.

 Financial Impact:     Total impact is $13,372.83 per month ($160,473.96 annually) budgeted
                       throughout several City department accounts.
 Related Vision Item   Financial Vision: Review contracted services on annual basis to ensure highest
                       and best use of public funds.
 (if applicable):

 Other Information/    Staff recommends approval of the three (3) contracts with ABM Janitorial Services,
 Recommendation:       Varsity Contractors, and Bargley Janitorial

 Attachments:          ABM Janitorial Services: Resolution, Contract, Bid Tabs
                       Varsity Contractors: Resolution, Contract, Bid Tabs
                       Bargley Janitorial: Resolution, Contract, Bid Tabs
 Presentation:         NA

 Publication:          NA

 Reviewed by           Rick Weise, Assistant City Manager
 Director:

 Approved by Legal:




                                                                                                Adopted: 5/30/03
                                                                                                Revised: 6/21/10
A RESOLUTION OF THE CITY OF SAN ANGELO FOR CITY COUNCIL TO
       AWARD RFB NO. CFM-02-13 CONSTRUCTION AND FACILITIES
       MANAGEMENT JANITORIAL SERVICES TO ABM JANITORIAL SERVICE -
       SOUTH CENTRAL, INCORPORATED AND TO AUTHORIZE THE CITY
       MANAGER TO EXECUTE A SERVICES AGREEMENT, AND RELATED
       DOCUMENTS, BETWEEN THE CITY OF SAN ANGELO AND ABM
       JANITORIAL SERVICE - SOUTH CENTRAL, INCORPORATED IN
       ACCORDANCE WITH SAID BID AWARD; AND PROVIDING FOR AN
       EFFECTIVE DATE.


        WHEREAS, the City of San Angelo issued a Request for Bid RFB No. CFM-02-13
Construction & Facilities Management Janitorial Services for the provision of professional
janitorial services at various city facilities; and,

        WHEREAS, ABM Janitorial Service - South Central, Incorporated’s bid, in response
thereto, has been selected as the most qualified proposal for the provision of such janitorial
services.

     NOW THEREFORE BE IT RESOLVED BY THE CITY COUNCIL OF THE CITY OF
SAN ANGELO, TEXAS THAT:

       The City Council hereby awards RFB No. CFM-01-13 Construction & Facilities
Management Janitorial Services to ABM Janitorial Service - South Central, Incorporated for the
provision of professional janitorial services at various city facilities and authorizes the City
Manager to execute a services agreement, and any related documents, between the City of San
Angelo and ABM Janitorial Service - South Central, Incorporated in accordance with said bid
award.



       PASSED,      APPROVED,         and    ADOPTED        on    this   the   ____    day   of
___________________, 2013.



                                                   CITY OF SAN ANGELO


                                                   By:     ________________________
                                                           Alvin New, Mayor
ATTEST:



Alicia Ramirez, City Clerk
Approved as to Content:             Approved as to Form:


__________________________          __________________________
Ron Lewis, Facilities/Maintenance   Lysia H. Bowling, City Attorney
Manager
Building Description                            Base Bid
1    Accounting                                             $160.00      ABM
2    Business Resource Center
3    City Hall
4    Community Development Building
5    Construction & Facilities Maintenance Shop                 $75.00   ABM
6    Emergency Operations Center
7    Traffic Operations Shop                                        ABM
                                                                $75.00
8    Utility Maintenance Shop                               $175.00 ABM
9    Water Billing                                         $647.92 ABM
10   Water Quality Lab Shop                                     $75.00

                               Subtotal Items 1-10     $1,207.92

11   Ralph Chase State Building
12   Texas Workforce Commission

                            Subtotal Items 11-12
A RESOLUTION OF THE CITY OF SAN ANGELO FOR CITY COUNCIL TO
       AWARD RFB NO. CFM-02-13 CONSTRUCTION AND FACILITIES
       MANAGEMENT JANITORIAL SERVICES TO DONNA BARGLEY AND
       CURTIS E. BARGLEY D/B/A BARGLEY JANITORIAL SERVICES AND TO
       AUTHORIZE THE CITY MANAGER TO EXECUTE A SERVICES
       AGREEMENT, AND RELATED DOCUMENTS, BETWEEN THE CITY OF SAN
       ANGELO AND DONNA BARGLEY AND CURTIS E. BARGLEY D/B/A
       BARGLEY JANITORIAL SERVICES IN ACCORDANCE WITH SAID BID
       AWARD; AND PROVIDING FOR AN EFFECTIVE DATE.


        WHEREAS, the City of San Angelo issued a Request for Bid RFB No. CFM-02-13
Construction & Facilities Management Janitorial Services for the provision of professional
janitorial services at various city facilities; and,

WHEREAS, Donna Bargley and Curtis E. Bargley d/b/a Bargley Janitorial Services’ bid, in
response thereto, has been selected as the most qualified proposal for the provision of such
janitorial services.

     NOW THEREFORE BE IT RESOLVED BY THE CITY COUNCIL OF THE CITY OF
SAN ANGELO, TEXAS THAT:

       The City Council hereby awards RFB No. CFM-01-13 Construction & Facilities
Management Janitorial Services to Donna Bargley and Curtis E. Bargley d/b/a Bargley Janitorial
Services for the provision of professional janitorial services at various city facilities and
authorizes the City Manager to execute a services agreement, and any related documents,
between the City of San Angelo and Donna Bargley and Curtis E. Bargley d/b/a
Bargley Janitorial Services in accordance with said bid award.



       PASSED,      APPROVED,        and    ADOPTED        on   this   the   ____    day   of
___________________, 2013.



                                                  CITY OF SAN ANGELO


                                                  By:    ________________________
                                                         Alvin New, Mayor
ATTEST:



Alicia Ramirez, City Clerk
Approved as to Content:             Approved as to Form:


__________________________          __________________________
Ron Lewis, Facilities/Maintenance   Lysia H. Bowling, City Attorney
Manager
Building Description                            Base Bid
1    Accounting
2    Business Resource Center
3    City Hall
4    Community Development Building
5    Construction & Facilities Maintenance Shop
6    Emergency Operations Center
7    Traffic Operations Shop
8    Utility Maintenance Shop
9    Water Billing
10   Water Quality Lab Shop

                               Subtotal Items 1-10


11   Ralph Chase State Building                            $4,500.00 Bargely
12   Texas Workforce Commission                            $3,500.00 Bargely
                            Subtotal Items 11-12        $8,000.00
A RESOLUTION OF THE CITY OF SAN ANGELO FOR CITY COUNCIL TO
       AWARD RFB NO. CFM-02-13 CONSTRUCTION AND FACILITIES
       MANAGEMENT JANITORIAL SERVICES TO VARSITY CONTRACTORS,
       INCORPORATED AND TO AUTHORIZE THE CITY MANAGER TO
       EXECUTE A JANITORIAL SERVICES     AGREEMENT, AND RELATED
       DOCUMENTS, BETWEEN THE CITY OF SAN ANGELO AND VARSITY
       CONTRACTORS, INCORPORATED IN ACCORDANCE WITH SAID BID
       AWARD; AND PROVIDING FOR AN EFFECTIVE DATE.


        WHEREAS, the City of San Angelo issued a Request for Bid RFB No. CFM-02-13
Construction & Facilities Management Janitorial Services for the provision of professional
janitorial services at various city facilities; and,

        WHEREAS, Varsity Contractors, Incorporated’s bid, in response thereto, has been
selected as the most qualified proposal for the provision of such pest control services.

     NOW THEREFORE BE IT RESOLVED BY THE CITY COUNCIL OF THE CITY OF
SAN ANGELO, TEXAS THAT:

        The City Council hereby awards RFB No. CFM-01-13 Construction & Facilities
Management Janitorial Service to Varsity Contractors, Incorporated for the provision of
janitorial services at various city facilities and authorizes the City Manager to execute a services
agreement, and any related documents, between the City of San Angelo and Varsity Contractors,
Incorporated in accordance with said bid award.



       PASSED,       APPROVED,         and     ADOPTED         on   this   the    ____    day    of
___________________, 2013.



                                                     CITY OF SAN ANGELO


                                                     By:     ________________________
                                                             Alvin New, Mayor
ATTEST:



Alicia Ramirez, City Clerk
Approved as to Content:             Approved as to Form:


__________________________          __________________________
Ron Lewis, Facilities/Maintenance   Lysia H. Bowling, City Attorney
Manager
Building Description                          Base Bid       Alternate Bid
1
2    Business Resource Center                                            $628.71   Varsity
3    City Hall                                        $1,819.63                    Varsity
4    Community Development Building                   $1,143.75                    Varsity
5
6    Emergency Operations Center                                         572.82    Varsity
7
8
9
10

                             Subtotal Items 1-10     $2,963.38        $1,201.53       $4,164.91

11
12

                            Subtotal Items 11-12


                                 Total Item 1-12
City of San Angelo



Memo
 Date:          March 26, 2013
 To:            Mayor and Councilmembers
 From:          Ricky Dickson, Water Utilities Director
 Subject:       Agenda Item for April 16, 2013 Council Meeting
 Contact:       Ricky Dickson, Water Utilities Director, 657-4209
 Caption:       Consent Item
                Consideration of authorizing the sale of the following residential properties for the appraised
                value and authorizing the Mayor, City Manager, or Water Utilities Director to execute all
                necessary legal documents pertaining to the sale of subject properties, subject to completion
                of all curative requirements.

 Summary:       Michael and Nancy Benetich                   2810 Red Bluff Road
                Lot 18, Group Red Bluff                      $91,800

                Bill and Mary Butts                           2165 Gun Club Road
                Lot 10, Group 10                              $88,000


 History:       None.

 Financial Impact:      Proceeds from the sale of lake lots go into the Lake Nasworthy Trust Fund.

 Related Vision Item (if applicable): None.

 Other Information/Recommendation: If the sales are approved at the appraised value, a title
 examination will be performed and legal staff will prepare a Real Estate Contract of Sale, Special
 Warranty Deed and Surrender of Lease, as previously approved by City Council.

 Staff recommends approval.

 Attachments: Appraisal Reports (Benetich); (Butts)

 Presentation: None.

 Publication: None.

 Reviewed by Service Area Director: Ricky Dickson, Water Utilities Director, March 26, 2013
City of San Angelo



Memo
 Date:                 March 26, 2013

 To:                   Mayor and Councilmembers

 From:                 Cindy M. Preas, Real Estate Administrator (657-4407)

 Subject:              Agenda Item for April 16, 2013 Council Meeting

 Contact:              Diana Farris, Property Specialist (657-4407)

 Caption:              Consent Item

                       Consideration of adopting a Resolution of the City of San Angelo authorizing the
                       mayor to execute a Special Warranty Deed conveying all right, title and interest of
                       the City of San Angelo:
                       108 Arlington Street, (Gonzalez), Lots 10 & 11 SAVE & EXCEPT N 65’ & S 20’ ,
                       W.E. Phillips, $2,000


 Summary:              A Request for Bids (RFB: PRO-06-12) was advertised for three (3) consecutive
                       weeks and was mailed to six (6) potential bidders for the subject property. RFB
                       Submittal Deadline was September 14, 2012. No bids were received.

 History:              The City acquired the subject property on October 24, 1957. The City has no
                       future plans for the subject property, and is deemed as excess property.
                       The City has received a reasonable offer from Carlos Gonzalez in the amount of
                       $2,000 for the purchase of the subject property.

 Financial Impact:     Upon approval: Property will be reinstated back onto tax roll.

 Related Vision Item   Financial Vision – Examine liquidation of unused or underperforming city-owned
                       properties
 (if applicable):
                       Neighborhood Vision – Attract reinvestment

 Other Information/    Staff recommends approval.
 Recommendation:

 Attachments:          Resolution, Property Analysis, Special Warranty Deed and Property Location Map

 Presentation:         N/A

 Publication:          N/A

 Reviewed by           Lysia H. Bowling, City Attorney
 Director:

 Approved by Legal:




                                                                                            Adopted: 5/30/03
                                                                                            Revised: 6/21/10
A RESOLUTION OF THE CITY OF SAN ANGELO AUTHORIZING THE
          MAYOR TO EXECUTE A SPECIAL WARRANTY DEED CONVEYING ALL
          RIGHT, TITLE AND INTEREST OF THE CITY OF SAN ANGELO


 WHEREAS, the property described below was acquired on October 24, 1957 from W.E. Phillips as a
part of the consideration to connect the black-top paving on Arlington Street to the paving on Paint Rock
Road; and

WHEREAS, the City has no future plans for the subject property and is now deemed as excess
property; and

 WHEREAS, on July 5, 2012, an appraisal was prepared by Stribling-Probandt Appraisals. The fee
simple market value of the subject property was $4,000; and

WHEREAS, on September 14, 2012, no bids were received for a Request for Bids: PRO-06-12; and

 WHEREAS, the City has received a reasonable offer from Carlos Gonzalez in the amount of $2,000
for the purchase of the subject property; and

  NOW THEREFORE BE IT RESOLVED BY THE CITY COUNCIL OF THE CITY OF SAN
ANGELO that its Mayor, Alvin New, is hereby authorized to execute a Special Warranty Deed
conveying the following described real property to the following as specified below, all of the right,
title, and interest of the City of San Angelo, located in San Angelo, Tom Green County, Texas:

Conveying to:

CARLOS GONZALEZ, a single person; ($2,000):

          All of Lots 10 and 11 of the W.E. Phillips Addition to the City of San Angelo, Tom
          Green County, Texas, except the North 65 feet of said Lots 10 and 11 and the South 20
          feet of said lots.
          Account #21-38700-0000-013-00


APPROVED AND ADOPTED ON THE                        DAY OF                      , 2013.


                                                            THE CITY OF SAN ANGELO

                                                            _______________________________
                                                            Alvin New, Mayor
Attest:

______________________________
Alicia Ramirez, City Clerk

Approved As to Content:                                     Approved As to Form:

______________________________                              ______________________________
Cindy M. Preas, Real Estate Administrator                   Lysia H. Bowling, City Attorney
NOTICE OF CONFIDENTIALITY RIGHTS: If you are a natural person, you may remove or
strike any or all of the following information from this instrument before it is filed for record in
the public records: your social security number or your driver’s license number.


                                SPECIAL WARRANTY DEED

   Date: __________________

   Grantor:       CITY OF SAN ANGELO, a Texas home-rule municipal corporation
                  72 West College Avenue
                  San Angelo, Tom Green County, Texas 76903

   Grantee:       CARLOS GONZALEZ, a single person
                  725 Amberton Parkway
                  San Angelo, Tom Green County, Texas 76901

   Consideration: Ten and No/100 Dollars ($10.00) and other good and valuable consideration

   Property (including any improvements):

          All of Lots 10 and 11 of the W.E. Phillips Addition to the City of San Angelo,
          Tom Green County, Texas, except the North 65 feet of said Lots 10 and 11 and
          the South 20 feet of said lots.

          Account #21-38700-0000-013-00

   Reservations from Conveyance:

           This conveyance is subject to easements, rights-of-way, and prescriptive rights, whether
   of record or not; all presently recorded restrictions, reservations, covenants, conditions, oil and
   gas leases, mineral severances, and other instruments, other than liens and conveyances, that
   affect the Property; validly existing rights of adjoining owners in any walls and fences situated
   on a common boundary; any discrepancies, conflicts, or shortages in area or boundary lines; any
   encroachments or overlapping of improvements; and taxes for 2013, the payment of which
   Grantee assumes.

   Exceptions to Conveyance and Warranty:

           For the consideration, Grantor – acting by and through its Mayor, who has been duly
   authorized to execute this instrument on Grantor’s behalf by resolution and order of Grantor’s
   City Council recorded in the City Council’s official minutes – hereby conveys to Grantee the
   Property, together with all Grantor’s right, title, appurtenances and interest in and to the
   Property, subject to the Reservations from Conveyance and the Exceptions to Conveyance and
   Warranty, grants, sells, and conveys the Property, to have and to hold it to Grantee and Grantee’s
   heirs, successors, and assigns forever. Grantor hereby binds Grantor and Grantor’s heirs and
   successors to warrant and forever defend all and singular the Property to Grantee and Grantee’s
   heirs, successors, and assigns against every person whomsoever lawfully claiming or to claim the
   same or any part thereof, except as to the Reservations from Conveyance and the Exceptions to
Conveyance and Warranty.

      When the context requires, singular nouns and pronouns include the plural.



                                                  GRANTOR:

                                                  CITY OF SAN ANGELO,

ATTEST:                                           ____________________________
                                                  Alvin New, Mayor

____________________________
Alicia Ramirez, City Clerk



STATE OF TEXAS                     §
                                   §
COUNTY OF TOM GREEN                §

        This instrument was acknowledged before me on _____________________, 2013, by
Alvin New, as Mayor of the City of San Angelo, a Texas home-rule municipal corporation, on
behalf of said corporation.


                                          __________________________________
                                          Notary Public, State of Texas


After Recording, Return To:
108 Arlington Street , Lots 10 & 11 S /E N 65' of S 20' , W.E. Phillips Addition




March 7, 2013                                                                                              1:2,699
                                                                                              0   0.0225   0.045      0.09 mi
      City Address Points       County Address Points      Platted Lot Line L abels
                                                                                              0   0.035    0.07      0.14 km
      Pending City Addresses    Pending County Addresses   Platted Lot Lines

      Retired City Addresse s   Retired County Addresses   City Pa rcel Popups Transparen t
CITY OF SAN ANGELO
                  BID TABULATION * RFB NO: PRO-06-12/Sale of Tax Foreclosed Property * September 14, 2012
                  Property 1: Lots 10 & 11, SAVE & EXCEPT the North 65’ and South 20’, W.E. Phillips Addition,
                  108 Arlington St




Property 1: 108 Arlington Street
                                         Bid Security              Bid
        Bidders                             $500.00             Min $4,500       Rank
   1    No Bids Received                                    $            -        1
   2
   3
   4
   5
   6
   7
   8
   9
  10




        Bid Packages Mailed To:
        San Angelo Realtors
        Association             San Angelo, TX
        Mr. P. Gilbert Gallegos San Angelo, TX
        Mr. Miguel Duran        San Angelo, TX
        Mr. Lee Robles          San Angelo, TX
        Mr. Kenneth Barrows     San Angelo, TX
        Mr. Marshal Gray        San Angelo, TX




Y:Real Estate DivisionPropertyAGENDA APR 16, 2013108 Arlington Street, (Gonzalez), Lots 10 & 11, Phillips, $2,000 - City Owned PropertyBid
Tab
CITY OF SAN ANGELO
              REQUEST FOR BID

                 RFP No: PRO-06-12

                 Real Estate Division

Lots 10 & 11, SAVE & EXCEPT the North 65’ and South 20’,
                 W.E. Phillips Addition

                   108 Arlington Street

                      Zoned – RS-1


                  RFB Submittal Deadline

           September 13, 2012/2:00 PM, Local Time




                       City of San Angelo
                    72 West College Avenue
                   San Angelo, Texas 76903
TABLE OF CONTENTS



  This Table of Contents is intended as an aid and not as a comprehensive listing of the proposal package. Bidders
            are responsible for reading the entire proposal package and complying with all specifications.

Section                                                                                                                                                                     Page

REQUEST FOR BID ........................................................................................................................................... 1
    GENERAL......................................................................................................................................................................1
    DOCUMENT AVAILABILITY................................................................................................................................................1
    DIGITAL FORMAT ...........................................................................................................................................................1
    DISQUALIFICATION .........................................................................................................................................................1
    REQUIRED RESPONSE......................................................................................................................................................1
    NO BID INSTRUCTIONS ....................................................................................................................................................1
    INTERPRETATIONS ..........................................................................................................................................................1
    ADDENDA.....................................................................................................................................................................2
    CONFIDENTIALITY ...........................................................................................................................................................2
    AWARD OF CONTRACT ....................................................................................................................................................2
    ACCEPTANCE OF PROPOSAL CONTENT ................................................................................................................................2
    COPIES OF BID TABULATION RESULTS ................................................................................................................................2
DEADLINE AND DELIVERY LOCATION ......................................................................................................... 3
    DEADLINE.....................................................................................................................................................................3
    COPIES.........................................................................................................................................................................3
    FAXED/ELECTRONIC BIDS ................................................................................................................................................3
    SEALED ENVELOPE ADDRESSING .......................................................................................................................................3
    DELIVERY ENVELOPE/CONTAINER ADDRESSING ...................................................................................................................3
    DELIVERY SERVICE ADDRESSES                 USPS ADDRESS ..............................................................................................................3
    POINTS OF CONTACT ......................................................................................................................................................3
INSTRUCTIONS .................................................................................................................................................. 5
    PROPOSAL/BID INTERPRETATION ......................................................................................................................................5
    BID ITEM ......................................................................................................................................................................5
    SALE “AS IS”.................................................................................................................................................................5
    BID SECURITY ................................................................................................................................................................5
    DEFAULT IN PURCHASE ...................................................................................................................................................6
    COMMISSIONS ..............................................................................................................................................................6
    EXECUTION OF SALES CONTRACT ......................................................................................................................................6
    CORRECTIONS, ADDITIONS, OR DELETIONS..........................................................................................................................5
    AUTHORIZED SIGNATURE.................................................................................................................................................5
    MODIFICATION OR WITHDRAWAL OF BIDS..........................................................................................................................5
    CONTINGENCY...............................................................................................................................................................5
    DELIVERY DATE .............................................................................................................................................................5
    RESERVATIONS ..............................................................................................................................................................6
    SUBMISSION OF BIDS ......................................................................................................................................................6
    LATE BIDS ....................................................................................................................................................................6
    ACCEPTANCE.................................................................................................................................................................6
TERMS AND CONDITIONS ............................................................................................................................... 7
    TITLE ...........................................................................................................................................................................7
    TITLE POLICY .................................................................................................................................................................7

                                                                                                                                                                                   ii
UTILITIES ......................................................................................................................................................................7
    INVOICES & PAYMENTS ...................................................................................................................................................7
    GRATUITIES ..................................................................................................................................................................7
    WARRANTY-PRICE .........................................................................................................................................................7
    NO WARRANTY BY CITY AGAINST INFRINGEMENTS ...............................................................................................................7
    RIGHT OF INSPECTION .....................................................................................................................................................7
    CANCELLATION ..............................................................................................................................................................7
    ASSIGNMENT-DELEGATION ..............................................................................................................................................7
    WAIVER .......................................................................................................................................................................8
    MODIFICATIONS ............................................................................................................................................................8
    APPLICABLE LAW ...........................................................................................................................................................8
    ADVERTISING ................................................................................................................................................................8
    CONFLICT OF INTEREST ...................................................................................................................................................8
    LEGAL VENUE................................................................................................................................................................8
    AWARD CRITERIA ...........................................................................................................................................................8
MAP ...................................................................................................................................................................... 9
FACT SHEET .................................................................................................................................................... 11
SAMPLE SALES CONTRACT ........................................................................................................................ 13
BID FORMS ....................................................................................................................................................... 19
    DISCLOSURE OF CERTAIN RELATIONSHIPS..........................................................................................................................21
    DEBARMENT AND SUSPENSION CERTIFICATION ..................................................................................................................25
    ADDENDUM ACKNOWLEDGMENT....................................................................................................................................27
    BID SHEET ..................................................................................................................................................................29
CITY OF SAN ANGELO
                  PURCHASING DEPARTMENT
                  72 West College Avenue, San Angelo, Texas 76903
                  Tel: (325) 657-4219 or 657-4220



REQUEST FOR BID

    General

         The City of San Angelo, Real Estate Division is accepting bids for the sale of Lots 10 & 11, SAVE &
         EXCEPT the North 65’ and South 20’, W.E. Phillips Addition, San Angelo, Tom Green County, Texas;
         located at 108 Arlington Street. This property is a SINGLE-FAMILY RESIDENCE (RS-1) ZONING
         DISTRICT.

    Document Availability

         Bid Documents are available in the Purchasing Department at the address listed below, or may be
         downloaded at the City’s website at www.sanangelotexas.us. To locate the documents on the website go
         to:

              •   City Departments
              •   Purchasing
              •   Bid Opportunities

    Digital Format

         If Respondents obtained the bid specifications in digital format in order to prepare a proposal, the bid must
         be submitted in hard copy according to the instructions contained in this bid package. If, in its bid
         response, Respondents makes any changes whatsoever to the published bid specifications, the bid
         specification as published shall control. Furthermore, if an alteration of any kind to the bid specification is
         discovered after the contract is executed and is or is not being performed; the contract is subject to
         immediate cancellation without recourse.

    Disqualification

         The Respondent may be disqualified for any of the following reasons:

              •   The Respondent is involved in any litigation against the City of San Angelo;
              •   The Respondent is in arrears on any existing contract or has defaulted on a previous contract with
                  the City;
              •   The Respondent is debarred, suspended, or otherwise excluded from or ineligible for participation
                  in State or Federal assistance programs.

    Required Response

         The City requires a response to any RFB’s mailed to potential Respondents. Should a company receive an
         RFB, but choose not to bid on the project, then in order to remain on the City of San Angelo’s Potential
         Bidders List you must submit a “No Bid”.

    No Bid Instructions

         To submit a No Bid, complete the Bid Sheet by entering “No Bid” on Line Item 1, complete the Contact
         Information section, and mail the Bid Sheet pages before the deadline. Firms that do not respond will be
         removed from the bidders list.

    Interpretations

         All questions about the meaning or intent of the Contract Documents, including specifications shall be
         submitted to Purchasing Division in writing. Replies will be issued by Addenda posted on the Purchasing
         Department page of the City’s website Questions received less than ten (10) days prior to the date for
         opening of Bids will not be answered. Only questions answered by formal written Addenda will be binding.
         Oral interpretations or clarifications will be without legal effect. All addenda will be published on the City’s
         website. It is the Respondents responsibility to consider all addendums prior to submitting a bid.




RFB: PRO-06-12/108 Arlington Street                                                                               Page 1
Addenda

         Should specifications be revised prior to the deadline for submittals, the City’s Purchasing Division will issue an
         addendum addressing the nature of the change. Respondents must acknowledge the addendums and include
         the form in the returned proposal package.

    Confidentiality

         All bids submitted shall remain confidential. After award, proposals will be made available for public
         inspection. The City shall not be responsible for the confidentiality of any trade secrets or other information
         contained or disclosed in the proposal unless clearly identified as such.

    Award of Contract

         The City reserves the right to accept or reject any or all bids, and to waive any informalities or irregularities
         in the RFB process. The City is an equal opportunity employer.

    Acceptance of Proposal Content

         Before submitting a proposal, each Respondent shall make all investigations and examinations necessary to
         ascertain all conditions and requirements affecting the performance of the contract and to verify any
         representations made by the City upon which the proposal will rely. If the Respondent receives an award,
         failure to have made such investigation and examinations will in no way relieve the Respondent from his
         obligation to comply in every detail with all provisions and requirements.

    Copies of Bid Tabulation Results

         For a copy of the Bid Tabulation results, send a self-addressed stamped envelope to: Purchasing
         Department, City of San Angelo, 72 West College Avenue, San Angelo, Texas 76903 or email
         roger.banks@sanangelotexas.us.




RFB: PRO-06-12/108 Arlington Street                                                                                  Page 2
CITY OF SAN ANGELO
                  PURCHASING DEPARTMENT
                  72 West College Avenue, San Angelo, Texas 76903
                  Tel: (325) 657-4219 or 657-4220


DEADLINE AND DELIVERY LOCATION

    Deadline

         Sealed Request for Bids (RFB) submittals must be received and time stamped on or before September 13,
         2012, 2:00 PM, Local Time. The clock located in Purchasing will be the official time. Bids not received on
         time will be rejected

         It is the sole responsibility of the Respondent to ensure that the sealed submittal arrives at the above
         location by the specified deadline regardless of method chosen by the firm for delivery.

    Copies

         •    One (1) unbound original of all required submission forms
         •    One (1) electronic copy in PDF format on CD or USB Flash Drive of all requested submissions forms
         •    One (1) complete bound copy of all submission forms (staples or binder clips are acceptable).

    Faxed/Electronic Bids

         Faxed or electronically transmitted RFB submittals will not be accepted.

    Sealed Envelope Addressing

         Lower left-hand corner: “RFB No. PRO-06-12/108 Arlington Street”
         Top Left-hand Corner: Bidders Name and Address

    Delivery Envelope/Container Addressing

         Mark delivery envelope “Sealed RFB Enclosed”

              Delivery Service Addresses                                  USPS Address

              City of San Angelo                                          City of San Angelo
                   Purchasing Division, RFB: PRO-06-12                    Purchasing Division, RFB: PRO-06-12
                   72 W College Avenue                                    72 W College Avenue, Suite 314
                   San Angelo, Texas 76903                                San Angelo, Texas 76903

    Points of Contact


     Roger Banks, Division Manager                               Diana Farris, Property Specialist
     Purchasing Department                                       Real Estate Division
     City of San Angelo                                          City of San Angelo
     72 W College Avenue                                         72 W College Avenue
     San Angelo Texas, 76903                                     San Angelo Texas, 76903
     Email: roger.banks@sanangelotexas.us                        Email: diana.farris@sanangelotexas.us
     Telephone: (325) 657-4220                                   Telephone: (325) 657-4212




RFB: PRO-06-12/108 Arlington Street                                                                                 Page 3
Intentionally Left Blank




RFB: PRO-06-12/108 Arlington Street   Page 4
CITY OF SAN ANGELO
                   PURCHASING DEPARTMENT
                   72 West College Avenue, San Angelo, Texas 76903
                   Tel: (325) 657-4219 or 657-4220



INSTRUCTIONS

    Bid Item

         Respondent is expected to examine all specifications herein and responsible for the inspection of the
         property and should satisfy themselves of exact location of the property. It is the Respondent’s
         responsibility for inspections, zoning, environmental assessments, engineering studies, mechanical
         inspections, pest control, etc. Such inspections will be at the expense of the Respondent. FAILURE to do
         so will be at the Respondent‘s risk.

    Sale “As Is”

         Property will be sold “As Is”, subject to ALL easements, blanket easements, right-of-ways, covenants,
         conditions, zoning, restrictions, water rights and all other restrictions or conditions, including physical
         conditions whether recorded or not.

    Proposal/Bid Interpretation

         Any explanation desired by a Respondent regarding the meaning or interpretation of the invitation, drawings,
         specifications, etc. must be requested in writing seven (7) days prior to the deadline to the Purchasing
         Department, City of San Angelo, 72 West College Avenue, San Angelo, TX 76903 to allow sufficient
         time for evaluation and reply to all prospective bidders before the submission of their bids. The bid invitation
         number must appear on all correspondence, inquiries, etc. pertaining to the invitation. Oral explanations or
         instructions given before the award of the contract are not binding and do not form a part of or alter in any
         way, the written agreement.

    Corrections, Additions, or Deletions

         Corrections, additions, or deletions to any portion of the invitation will be in the form of a written amendment
         or addendum.

    Bid Security

         All bids shall include a bid security in the amount of $500.00, which will be applied toward the purchase
         price. Only Money Orders and Certified Checks are accepted; and are to be payable to the City of San
         Angelo. The bid securities will be returned to all unsuccessful Respondents within ten (10) business days
         of the City Council award of bid.

    Modification or Withdrawal of Bids

         Bid pricing CANNOT be altered or amended after the closing time. Bids may be modified or withdrawn prior
         to the closing hour and date by written notice to the Purchasing Department. A bid may also be withdrawn
         in person by a Respondent or his authorized agent, provided his identity is made known and he signs a
         receipt for the bid. No bid may be withdrawn after the closing time and date without acceptable reason in
         writing and with approval of the Purchasing Department.

    Authorized Signature

         Bids must show Respondent’s name, address, and be manually signed. The person signing the bid must
         have authority to execute contract. Any erasures or other changes must be initialed by the person signing
         the offer. If Respondent is married, the spouse must also sign the bid, unless the property will be purchased
         with separate property funds.

    Contingency

         No Contingency Contracts will be accepted.




RFB: PRO-06-12/108 Arlington Street                                                                               Page 5
Submission of Bids

         Sealed bids are to be returned by the closing time and date stated in the Deadlines and Delivery Options
         Section. Faxed bids will not be accepted.

    Late Bids

         Bids received after the advertised closing time and date regardless of the mode of delivery will be refused
         and returned unopened

    Acceptance

         Acceptance of Respondent’s offer will be notified by telephone and/or mail after final approval and
         acceptance of its offer by the San Angelo City Council.

    Default in Purchase

         If Respondent is awarded the bid and fails to purchase the property, Respondent agrees to forfeit the Bid
         Security amount in addition to any amount required by the Sales Contract to the City of San Angelo.

    Commissions

         Should a Respondent solicit representation from a Real Estate Licensee (Agent), the Respondent will be
         responsible for payment of commissions.

    Execution of Sales Contract

         Within ten (10) business days of awarding the bid, Respondent will execute a Sales Contract in substantially
         form with attached hereto.

    Delivery of Property

         Delivery of property shall occur as recognized in the Sales Contract and subject to approval by City Council.

    Reservations

         The City expressly reserves the right to accept, reject, or cancel all bids AND:

              •   Waive any defect, irregularity, or informality in any bid or bidding procedure.
              •   Extend the bid closing time and date.
              •   Reissue a bid invitation or proposal.
              •   Consider and accept an alternate bid as provided herein when most advantageous to the City.
              •   Extend any contract when most advantageous to the City.




RFB: PRO-06-12/108 Arlington Street                                                                             Page 6
CITY OF SAN ANGELO
                   PURCHASING DEPARTMENT
                   72 West College Avenue, San Angelo, Texas 76903
                   Tel: (325) 657-4219 or 657-4220


TERMS AND CONDITIONS

    Title

         Title shall not pass to Buyer until the City Special Warranty Deed is fully executed and sales price is paid to
         the City in full.

    Title Policy

         City will provide a Texas Owner’s Title Policy at the City’s expense.

    Utilities

         The City makes no representation as to the availability of utilities or costs associated with utilities. It is the
         Buyer’s responsibility to determine availability and cost of utilities.

    Invoices & Payments

         This sale is a cash sale, closed at a local title company. The City will not carry a note on this property.

    Gratuities

         The City may, by written notice to the Buyer, cancel this contract without liability to Buyer if it is determined
         by City that gratuities were offered from an agent or representative of the Buyer to any officer or employee of
         the City with a view toward securing a contract or securing favorable treatment with respect to the awarding
         or amending, or the making of any determinations in respect to the performing of such contract. In the event
         this contract is canceled by City, remedies to recover or withhold the amount of the cost shall be incurred by
         Buyer in providing such gratuities.

    Warranty-Price

         The Buyer warrants that no person or purchasing agency has been employed or retained to solicit or secure
         this contract upon an agreement or understanding for commission, percentage, brokerage, or contingent fee
         excepting bona fide employees of bona fide established commercial or purchasing agencies maintained by
         the Buyer for the purpose of securing business. For breach or violation of the warranty, the City shall have
         the right in addition to any other right or rights to cancel this contract without liability and to deduct from the
         contract price, or otherwise recover the full amount of such commission, percentage, brokerage, or
         contingent fee.

    No Warranty by City Against Infringements

         The City does not make any Warranties or Guaranties, expressed or otherwise, except as provided for in the
         Sales Contract.

    Right of Inspection

         Respondent shall have the right to inspect the property before submittal deadline.

    Cancellation

         Any cancellation Sales Contract shall be in accordance with the terms herein and the Sales Contract.

    Assignment-Delegation

         No right or interest in the Sales Contract shall be assigned nor shall any delegation of any obligation made
         by Buyer be valid without written permission of the City. Any attempted assignment or delegation by Buyer
         shall be wholly void and totally ineffective for all purposes unless made in conformity with this paragraph.




RFB: PRO-06-12/108 Arlington Street                                                                                    Page 7
Waiver

         No claim or right arising out of a breach of this Sales Contract can be discharged in whole or in part by a
         waiver or renunciation of the claim or right unless the waiver or renunciation is supported by consideration
         and is in writing signed by the aggrieved party.

    Modifications

         This Sales Contract can be modified or rescinded only by a writing signed by both of the parties or their duly
         authorized agents.

    Applicable Law

         This agreement shall be governed by all applicable laws.

    Advertising

         Buyer shall not advertise or publish, without City’s prior consent, the fact that City has entered into this
         contract, except to the extent necessary to comply with proper requests for information from an authorized
         representative of the Federal, State, or Local government.

    Conflict Of Interest

         Buyer agrees to comply with the conflict of interest provisions of the Texas State Law and City Of San
         Angelo Charter and Code of Ordinances. Buyer agrees to maintain current, updated disclosure of
         information on file with the Purchasing Department throughout the term of the Sales Contract, as applicable.

    Legal Venue

         San Angelo, Tom Green County, Texas

    Award Criteria

         The property will be awarded to the Respondent who submits the highest qualified bid. Final approval and
         acceptance rest with the San Angelo City Council.




RFB: PRO-06-12/108 Arlington Street                                                                             Page 8
CITY OF SAN ANGELO
                  PURCHASING DEPARTMENT
                  72 West College Avenue, San Angelo, Texas 76903
                  Tel: (325) 657-4219 or 657-4220



MAP




RFB: PRO-06-12/108 Arlington Street                                 Page 9
Intentionally Left Blank




RFB: PRO-06-12/108 Arlington Street   Page 10
CITY OF SAN ANGELO
                  PURCHASING DEPARTMENT
                  72 West College Avenue, San Angelo, Texas 76903
                  Tel: (325) 657-4219 or 657-4220


FACT SHEET


         Property Address: 108 Arlington Street

         Legal Description: W.E. Phillips Addition, Lot 10 & 11 except the N. 65’ & S. 20’ (Paint Rock Road)

         Tax ID Number: 2138700000001300

         Lot Size: 95’ (eastern lot boundary) & 53’ (western lot boundary) x 133’

         Zoning: RS-1 (Single-Family Residential); allows single-family homes on minimum lots of 50’x100’.

         Water/Sewer Connections:                      Subdivision Plat:




         Lot Characteristics:
             •   Vacant;
             •   Conditional/Special Uses – No;
             •   Variances – No;
             •   Special Permits – No;
             •   Historic Overlay – No;
             •   Open Structure Overlay -Partially;
             •   River Corridor – No;
             •   Is a replat needed to build? Yes;

         For more information:

              Zoning/Subdivision Requirements – City of San Angelo Planning Division, 657-4210
              Permit Requirements – City of San Angelo Inspections & Permits Division, 657-4420
              General Development Questions – City of San Angelo Development Coordinator, 657-4210
              Water Billing/Meters – City of San Angelo Water Billing Division, 657-4323
              Purchasing of Tax Lots – City of San Angelo Real Estate Division, 657-4212
              Ownership and Tax Information – Tom Green County Appraisal District, 658-5575
              Documents of Record, including Plats – Tom Green County Clerk, Real Estate, 659-6552


         NOTE: All information provided herein is based upon initial analysis of the property and is intended
         as a guide only; the City of San Angelo is not responsible for any error in this information or for any
         information concerning the property which is not included herein. Before purchasing any property,
         it is strongly advised to contact, at a minimum, the City and County offices listed above for the most
         up-to-date information.




RFB: PRO-06-12/108 Arlington Street                                                                                Page 11
Intentionally Left Blank




RFB: PRO-06-12/108 Arlington Street   Page 12
CITY OF SAN ANGELO
                  PURCHASING DEPARTMENT
                  72 West College Avenue, San Angelo, Texas 76903
                  Tel: (325) 657-4219 or 657-4220



SAMPLE SALES CONTRACT

                                       REAL ESTATE CONTRACT OF SALE
                                              (FOR CASH SALE)

        THIS REAL ESTATE CONTRACT OF SALE (”Agreement”) is made by and between CITY OF SAN
ANGELO, a Texas home-rule municipal corporation whose address is 72 W. College Avenue, San Angelo, Tom
Green County, Texas 76903, (hereinafter “Seller”) and, _______________________________________(hereinafter
"Purchaser"), upon the terms and conditions set forth in this Agreement.

                                                  ARTICLE I
                                              PURCHASE AND SALE

          Seller agrees to sell and convey to Purchaser, and Purchaser agrees to purchase, the real property thereon,
commonly known 108 ARLINGTON STREET and described as LOTS 10 & 11, SAVE & EXCEPT THE NORTH 65
FEET AND SOUTH 20 FEET OF SAID LOTS 10 & 11, W.E.PHILLIPS ADDITION (hereinafter “Property”), together
with all and singular the rights and appurtenances pertaining to the property, for the consideration and upon and
subject to the terms, provisions, and conditions set forth below.

                                                    ARTICLE II
                                                 PURCHASE PRICE

2.01     Amount of Purchase Price

         The purchase price for the Property shall be the sum of                                    Dollars ($        -
         ___.00).

2.02     Payment of Purchase Price

         The full amount of the Purchase Price shall be due and payable at the closing.

                                             ARTICLE III
                          CONDITIONS PRECEDENT TO PURCHASER'S OBLIGATIONS

         The obligations of Purchaser hereunder to consummate the transactions contemplated hereby are subject to
the satisfaction of each of the following conditions precedent (any of which may be waived in whole or in part by
Purchaser at or prior to the closing).

3.01     Preliminary Title Report

         Within thirty-five (35) days after the date hereof, Seller shall cause       (Title Company)          to issue
a preliminary title report (the "Title Report") accompanied by copies of restrictive covenants and all recorded
documents referred to in the Preliminary Title Opinion affecting title such as easements, rights-of-way, liens and
encumbrances. Purchaser shall give Seller written notice on or before the expiration of twenty-one (21) days after
Purchaser receives the Preliminary Title Report of any condition of title as set forth in the report not acceptable to
Purchaser. In that event Seller may, at Seller’s option, promptly undertake to eliminate or correct all unacceptable
conditions of title to the reasonable satisfaction of Purchaser. If Seller chooses not to or is unable to correct the
unacceptable conditions of title within twenty-one (21) days after receipt of the written notice thereof given by
Purchaser, this Agreement shall thereupon immediately become null and void for all purposes and the Escrow
Deposit shall be returned by the Title Company to Purchaser. Purchaser will be deemed to have approved all
conditions of title disclosed by the preliminary title report to which Purchaser has made no timely objection as herein
provided.

3.02     Survey

        Purchaser at Purchaser’s option and expense may commission and be responsible for the expense of a
survey of the Property. It is a condition precedent to Purchaser’s obligations under this Agreement that the survey
not reveal a circumstance or condition relating to the Property that is unforeseen by the Purchaser. If such an
unforeseen circumstance or condition is revealed by the survey, Purchaser may, at Purchaser’s option, terminate this



RFB: PRO-06-12/108 Arlington Street                                                                            Page 13
Agreement by giving written notice of termination to the Seller at any time on or before the expiration of twenty-one
(21) days after Purchaser receives the Preliminary Title Report as provided in paragraph 3.01 above. If Purchaser
chooses not to give notice of an unforeseen circumstance or condition as provided by this paragraph, this condition
precedent shall be deemed waived by the Purchaser.

3.03     Seller’s Performance

         Seller shall have performed, observed, and complied with all of the covenants, agreements, and conditions
required by this Agreement to be performed, observed, and complied with by Seller prior to or as of the closing.

                                               ARTICLE IV
                                REPRESENTATIONS AND WARRANTIES OF SELLER

         Seller represents and warrants to Purchaser, as of the closing date, as follows:

         (1)      Seller has received no notice of pending or threatened condemnation or similar proceeding
                  affecting the Property, nor to the knowledge of Seller is there any such proceeding contemplated by
                  any governmental authority.

         (2)      Seller has no knowledge of any pending or threatened claim or proceeding relating to access to the
                  Property;

         (3)      The property is zoned for                                    ; Seller has no knowledge of any
                  non-conforming use or conditional use on the subject real property occurring within the preceding
                  twelve months.

         (4)      There are no lawsuits, claims, attachments, executions, or other proceedings pending, or to the
                  Seller’s knowledge, threatened, against or involving the Property;

         (5)      Seller is not a “foreign person” as that term is defined in §1445 of the Internal Revenue Code of
                  1986, as amended;

         (6)      Seller has not retained the services of a real estate broker and to Seller’s knowledge no broker fee
                  is or will be due or payable relating to the sale and conveyance of the Property as contemplated by
                  this Agreement.

         (7)      Seller expressly makes no representations or warranties pertaining to any buildings or residential
                  structures that may be located on the Property.

         Seller’s representations and warranties made herein shall survive closing of the transaction contemplated by
this Agreement.

                                                     ARTICLE V
                                                      CLOSING

         The closing shall be held at the office of _______(Title Company) __   (referred to in this Agreement as
                                                                                        th
“Title Company”), ____________________, San Angelo, Texas, 76903 on or before the 90 day after the last party
executes this Agreement or at such time, date, and place as Seller and Purchaser may agree upon (which date is
herein referred to as the "closing date"). At the closing Seller shall:

         (1)      Deliver to Purchaser a duly executed and acknowledged Special Warranty Deed, in a form
                  acceptable to the title company, conveying good and indefeasible title in fee simple to all of the
                  Property, free and clear of any and all liens, encumbrances, conditions, easements, assessments,
                  and restrictions, except for the following:

                  (a)       General real estate taxes for the year of closing and subsequent years not yet due and
                            payable, which shall be prorated between the parties to date of closing;

                  (b)       Any exceptions and reservations approved by Purchaser pursuant to Article III hereof; and

                  (c)       Any exceptions and reservations approved by Purchaser in writing; and




RFB: PRO-06-12/108 Arlington Street                                                                           Page 14
(2)       Deliver to Purchaser actual, exclusive possession of the property.

         Costs, fees and expenses of closing in consummating the sale and purchase of the Property shall be borne
and paid as follows:

                   (a)      If sale is unconsummated, any fees or expenses owed to Title Company shall be paid out
                            of the escrow deposit;

                   (b)      Appraisal fees shall be paid by Purchaser;

                   (c)      Premiums for Mortgagee’s Title Policy, if any, shall be paid by Purchaser;

                   (d)      Any escrow fee shall be paid by Purchaser;

                   (e)      Survey fees shall be paid by Purchaser;

                   (f)      Attorney's fees shall be borne by and paid by the party at whose request the legal work
                            was performed.

                   (g)      Deed preparation and recording fees of same shall be paid by Seller;

                   (h)      Loan documents preparation and related recording fees, if any, paid by Purchaser;

                   (i)      Recording and copying costs shall be paid by Purchaser;

                   (j)      Costs for tax certificates shall be paid by Seller.

                                                       ARTICLE VI
                                                       BROKERS

       It is understood and agreed that no brokers have been involved in the negotiation and consummation of this
Agreement.

                                                     ARTICLE VII
                                                   ESCROW DEPOSIT

         For the purpose of securing the performance of Purchaser under the terms and provisions of this
Agreement, Purchaser has delivered to the Title Company, the sum of Five Hundred Dollars ($500.00), the Escrow
Deposit, which shall be paid by the Title Company to Seller in the event Purchaser breaches this Agreement as
provided in Article IX hereof. At the closing, the Escrow Deposit shall be paid to Seller and applied against the
purchase price, provided, however, that in the event the Purchaser shall have given written notice to the Title
Company that one or more of the conditions precedent to Purchaser’s obligations set forth in Article III have not been
met, or, in the, opinion of Purchaser, cannot be satisfied, in the manner and as provided for in Article III, then the
balance of the Escrow Deposit remaining after withholding escrow fees and costs incurred, shall be forthwith
returned by the Title Company to Purchaser.

                                                     ARTICLE VIII
                                                  BREACH BY SELLER

         In the event Seller shall fail to fully and timely perform any of its obligations hereunder or shall fail to
consummate the sale of the Property for any reason, except Purchaser's default, Purchaser may pursue any remedy
to which Purchaser may be entitled at law or in equity, including: (1) enforce specific performance of this Agreement;
(2) request that the Escrow Deposit shall be forthwith returned by the Title Company to Purchaser, after duly
deducting Title Company fees and expenses which have been incurred; and (3) bring suit for damages against Seller.

                                                    ARTICLE IX
                                               BREACH BY PURCHASER

         In the event Purchaser should fail to consummate the purchase of the Property for reason other than default
of the Seller and if the conditions precedent to Purchaser's obligations set forth in Article III are satisfied, Seller shall
have the right to: (1) bring suit for damages against Purchaser or (2) receive the entire Escrow Deposit from the Title
Company, the sum being agreed on as liquidated damages for Purchaser’s breach of this Agreement



RFB: PRO-06-12/108 Arlington Street                                                                                  Page 15
ARTICLE X
                                                    MISCELLANEOUS

10.01    Assignment of Agreement

         This Agreement may not be assigned without the express written consent of Seller.

10.02    Survival of Covenants

          Any of the representations, warranties, covenants, and agreements of the parties, as well as any rights and
benefits of the parties, pertaining to a period of time following the closing of the transactions contemplated hereby
shall survive the closing and shall not be merged therein.

10.03    Notice

        Any notice required or permitted to be delivered hereunder shall be deemed received when hand-delivered
or sent by United States mail, postage prepaid, certified mail, return receipt requested, addressed to Seller or
Purchaser, as the case may be, at the address set forth below with the signature of the party.

10.04    Texas Law to Apply

         This Agreement shall be construed under and in accordance with the laws of the State of Texas, and all
obligations of the parties created hereunder are performable in Tom Green County, Texas.

10.05    Parties Bound

        This Agreement shall be binding upon and inure to the benefit of the parties and their respective heirs,
executors, administrators, legal representatives, successors, and assigns where permitted by this Agreement.

10.06    Legal Construction

           In case any one or more of the provisions contained in this Agreement shall for any reason be held to be
invalid, illegal, or unenforceable in any respect, this invalidity, illegality, or unenforceability shall not affect any other
provision hereof, and this Agreement shall be construed as if the invalid, illegal, or unenforceable provision had never
existed.

10.07    Prior Agreements Superseded

          This Agreement constitutes the only agreement of the parties and supersedes any prior understandings or
written or oral agreements between the parties respecting the within subject matter.

10.08    Time of Essence

         Time is of the essence in this Agreement.

10.09    Gender

        Words of any gender used in this Agreement shall be held and construed to include any other gender, and
words in the singular number shall be held to include the plural, and vice versa, unless the context requires
otherwise.

10.10    The Term “Days”/Deadline

        In this Agreement, the term “days” shall be construed to mean calendar days. All deadlines in this
Agreement expire at 5:00 p.m. Central Standard Time. If a deadline falls on a Saturday, Sunday, or national holiday,
the deadline will be extended to the next day that is not on a Saturday, Sunday, or national holiday.




RFB: PRO-06-12/108 Arlington Street                                                                                  Page 16
10.11     Counterparts

       If this Agreement is executed in multiple counterparts, all counterparts taken together will constitute this
Agreement.

          Dated and entered into this    day of _____________, 2012.




                                                             SELLER:

                                                             CITY OF SAN ANGELO
                                                             72 W. College Avenue
Attest:                                                      San Angelo, TX 76903



Alicia Ramirez, City Clerk                                   Michael Dane, Interim City Manager




                                                             PURCHASER:
                                                             __________________

                                                             _______




Title Company acknowledges receipt of Escrow Deposit (Earnest Money) in the amount of $500.00 and a copy of this

Agreement executed by both Purchaser and Seller.



                                                             TITLE COMPANY:

                                                             __________________________________



                                                             By:               ______________________

                                                             Printed Name:     ______________________

                                                             Title:            ______________________
Date:




RFB: PRO-06-12/108 Arlington Street                                                                        Page 17
Intentionally Left Blank




RFB: PRO-06-12/108 Arlington Street   Page 18
CITY OF SAN ANGELO
                  PURCHASING DEPARTMENT
                  72 West College Avenue, San Angelo, Texas 76903
                  Tel: (325) 657-4219 or 657-4220


BID FORMS

    Please submit one (1) original, one (1) copy and one (1) electronic copy in PDF format on CD or USB
    Flash drive of the following bid forms.

              Conflict of Interest Questionnaire (if applicable)
              Debarment and Suspension Certification
              Addendum Acknowledgment
              Bid Sheet




RFB: PRO-06-12/108 Arlington Street                                                              Page 19
Intentionally Left Blank




RFB: PRO-06-12/108 Arlington Street   Page 20
CITY OF SAN ANGELO
                  PURCHASING DEPARTMENT
                  72 West College Avenue, San Angelo, Texas 76903
                  Tel: (325) 657-4219 or 657-4220


                                                NOTICE TO VENDORS


                              Disclosure of Certain Relationships
           Effective January 1, 2006, Chapter 176 of the Texas Local Government Code requires that any vendor or
person considering doing business with a local governmental entity make certain disclosures concerning any
affiliation or business relationship that might cause a conflict of interest with the local governmental entity. The
provisions of Chapter 176 and the Form CIQ questionnaire that you must complete to comply with this law, are
available at the Texas Ethics Commission website at http://www.ethics.state.tx.us/whasnew/confliict forms.htm.

          A current list of City of San Angelo and City of San Angelo Development Corporations officers is available in
the office of the City of San Angelo City Clerk’s office located in Room 201 of City Hall or on the City’s website at
http://sanangelotexas.org. If you are considering doing business with the City of San Angelo or the City of San
Angelo Development Corporation and have an affiliation or business relationship that requires you to submit a
completed Form CIQ, it must be filed with the records administrator (City Clerk) of the City of San Angelo no later
                      th
than the seventh (7 ) business day after the date you become aware of facts that require the form to be filed. See
Section 176.006, Texas Local Government Code. It is a Class C misdemeanor to violate this provision.

         By Submitting a response to a City of San Angelo or City of San Angelo Development Corporation
Request for Proposals, Request for Bids, or Request for Qualifications or by conducting business with either
of those two entities, you are representing that you are in compliance with the requirements of Chapter 176
of the Texas Local Government Code.




                                                                         Roger S. Banks
                                                                         Division Manager




RFB: PRO-06-12/108 Arlington Street                                                                            Page 21
Intentionally Left Blank




RFB: PRO-06-12/108 Arlington Street   Page 22
CONFLICT OF INTEREST QUESTIONNAIRE                                                                                             FORM CIQ
For vendor or other person doing business with local governmental entity

This questionnaire reflects changes made to the law by H.B. 1491, 80th Leg., Regular Session                              OFFICE USE ONLY
This questionnaire is being filed in accordance with chapter 176 of the Local Government Code by a person
doing business with the governmental entity.                                                                         Date Received

By law, this questionnaire must be filed with the records administrator of the local government entity not
later than the 7th business day after the date the person becomes aware of facts that require the statement to
be filed. See Section 176.006, Local Government Code.

A person commits an offense if the person knowing violates Section 176.006, Local Government Code. An
offense under this section is a Class C misdemeanor.


1.   Name of person doing business with local governmental entity.



2.         Check this box if you are filing an update to a previously filed questionnaire.

          (The law requires that you file an updated completed questionnaire with the appropriate filing authority not later than the 7th business
          day after the date the originally filed questionnaire becomes incomplete or inaccurate.)


3.   Name of local government officer with whom filer has affiliation or business relationship.

                                               _______________________________________________
                                                                Name of Officer

     This section, (item 3 including subparts A, B, C & D, must be completed for each officer with whom the filer has an employment or other
     business relationship as defined by Section 176.001(1-a),. Local Government Code. Attach additional pages to this Form CIQ as
     necessary.

     A. Is the local government officer named in this section receiving or likely to receive taxable income, other than investment income, from
     the filer of the questionnaire?

                                                                       Yes      No

     B. Is the filer of the questionnaire receiving or likely to receive taxable income, other than investment, from or at the direction of the local
     government officer named in this section AND the taxable income is not received from the local governmental entity?

                                                                      Yes       No

     C. Is the filer of this questionnaire employed by a corporation or other business entity with respect to which the local government officer
     serves as an officer or director, or holds an ownership of ten (10) percent or more?

                                                                       Yes      No

     D. Describe each employment of business relationship with the local government officer named in this section.




4.

___________________________________________________                                                     __________________
Signature of person doing business with the governmental entity                                                 Date




       RFB: PRO-06-12/108 Arlington Street                                                                                            Page 23
Intentionally Left Blank




RFB: PRO-06-12/108 Arlington Street   Page 24
CITY OF SAN ANGELO
                    PURCHASING DEPARTMENT
                    72 West College Avenue, San Angelo, Texas 76903
                    Tel: (325) 657-4219 or 657-4220




                           Debarment and Suspension Certification
(1)      The prospective primary participant certifies to the best of its knowledge and belief that it and its principals:

                (a) Are not presently debarred, suspended, proposed for disbarment, declared ineligible, or voluntarily
                    excluded from covered transactions by any Federal department or agency;
                (b) Have not within a three-year period preceding this application been convicted of or had a civil
                    judgment rendered against them for commission of fraud or a criminal offense in connection with
                    obtaining, attempting to obtain, or performing a public (Federal, State, or local) transaction or
                    contract under a public transaction; violation of Federal or State antitrust statutes or commission of
                    embezzlement, theft, forgery, bribery, falsification or destruction of records, making false
                    statements, or receiving stolen property;
                (c) Are not presently indicted for or otherwise criminally or civilly charged by a governmental entity
                    (Federal, State, or local) with commission of any of the offenses enumerated in paragraph (1)(b) of
                    this certification; and
                (d) Have not within a three-year period preceding this application had one or more public transactions
                    (Federal, State, or local) terminated for cause or default.

(2)      Where the prospective primary participant is unable to certify to any of the statements in this certification,
         such prospective primary participant shall attach an explanation to this proposal.




         Business Name:


         ______________________________________                   __________________
            Signature of Authorized Representative                Date


         By:
               Printed Name and Title of Authorized Representative




RFB: PRO-06-12/108 Arlington Street                                                                                 Page 25
Debarment and Suspension Certification
                                                    INSTRUCTIONS

1.   By signing and submitting this proposal, the prospective participant is providing the certification set out below.
2.   The inability of a person to provide the certification required below will not necessarily result in denial of
     participation in this covered transaction. The prospective participant shall submit an explanation of why it cannot
     provide the certification set out below. The certification or explanation will be considered in connection with the
     determination whether to enter into this transaction. However, failure of the prospective participant to furnish a
     certification or an explanation shall disqualify such person from participation in this transaction.
3.   The certification in this clause is a material representation of fact upon which reliance was placed when the City
     of San Angelo determined to enter into this transaction. If it is later determined that the prospective participant
     knowingly rendered an erroneous certification, in addition to other remedies available, the City of San Angelo
     may terminate this transaction for cause.
4.   The prospective participant shall provide immediate written notice to the City of San Angelo to which this
     proposal is submitted if at any time the prospective participant learns that its certification was erroneous when
     submitted or has become erroneous because of changed circumstances.
5.   The terms "covered transaction," "debarred," "suspended," "ineligible," "lower tier covered transaction,"
     "participant," "person," "primary covered transaction," "principal," "proposal," and "voluntarily excluded," as used
     in this clause, have the meanings set out in the Definitions and Coverage sections of the rules implementing
     Executive Order 12549(13 CFR Part 145). You may contact the City of San Angelo for assistance in obtaining a
     copy of these regulations.
6.   The prospective participant agrees by submitting this proposal that, should the proposed transaction be entered
     into, it shall not knowingly enter into any lower tier covered transaction with a person who is debarred,
     suspended, declared ineligible, or voluntarily excluded from participation in this covered transaction, unless
     authorized by the City of San Angelo.
7.   The prospective participant further agrees by submitting this proposal that it will include the clause titled
     "Certification Regarding Debarment and Suspension" provided by the City of San Angelo, without modification, in
     all lower tier covered transactions and in all solicitations for lower tier covered transactions.
8.   A participant in a covered transaction may rely upon a certification of a prospective participant in a lower tier
     covered transaction that it is not debarred, suspended, ineligible, or voluntarily excluded from the covered
     transaction, unless it knows that the certification is erroneous. A participant may decide the method and
     frequency by which it determines the ineligibility of its principals. Each participant may, but is not required to,
     check the Nonprocurement List.
9.   Nothing contained in the foregoing shall be construed to require establishment of a system of records in order to
     render in good faith the certification required by this clause. The knowledge and information of a participant is
     not required to exceed that which is normally possessed by a prudent person in the ordinary course of business
     dealings.
10. Except for transactions authorized under paragraph 6 of these instructions, if a participant in a covered
    transaction knowingly enters into a lower tier covered transaction with a person who is suspended, debarred,
    ineligible, or voluntarily excluded from participation in this transaction, in addition to other remedies available to
    the City of San Angelo, the City of San Angelo may terminate this transaction for cause.




RFB: PRO-06-12/108 Arlington Street                                                                                Page 26
CITY OF SAN ANGELO
                   PURCHASING DEPARTMENT
                   72 West College Avenue, San Angelo, Texas 76903
                   Tel: (325) 657-4219 or 657-4220




                                      Addendum Acknowledgment
The bidder is responsible for determining if any addendums have been issued and agrees that the prices(s) quoted
on the Bid Sheet reflect any changes or modifications created by any addendum(s). All addendums are posted on
the City’s website as they are issued.


Receipt is hereby acknowledged of the following addenda to the Contract documents.


 Addendum No. 1 Dated:                                               Received:

 Addendum No. 2 Dated:                                               Received:

 Addendum No. 3 Dated                                                Received:

 Addendum No. 4 Dated:                                               Received:

 Addendum No. 5 Dated:                                               Received:

 Addendum No. 6 Dated                                                Received:



         Business Name:


         ______________________________________                 __________________
         Signature of Authorized Representative                 Date


         By:
               Printed Name and Title of Authorized Representative




RFB: PRO-06-12/108 Arlington Street                                                                        Page 27
Intentionally Left Blank




RFB: PRO-06-12/108 Arlington Street   Page 28
CITY OF SAN ANGELO
                     PURCHASING DEPARTMENT
                     72 West College Avenue, San Angelo, Texas 76903
                     Tel: (325) 657-4219 or 657-4220




                                                            Bid Sheet
                                           RFB No: PRO-06-12/108 Arlington Street

           Completed Disclosure of Certain Relationships (if applicable)
           Completed Debarment and Suspension Certification (REQUIRED)
           Completed Addendum Acknowledgment (REQUIRED)
           Please submit one (1) original, one (1) copy and one (1) electronic copy in PDF format on CD or USB Flash
           drive of the following bid forms. (REQUIRED)


                               ITEM                                        MINIMUM BID               BID AMOUNT


 PROPERTY DESCRIPTION:
                                                                             $4,500.00
 Lots 10 & 11, SAVE & EXCEPT the North 65’ and                                                   $
 South 20’, W.E. Phillips Addition
 Located at 108 Arlington Street

                                                                                  TOTAL BID      $




                                                      BID SECURITY: $500.00

 Money Order / Certified Check                                                                   INCLUDED

                                                                                         YES                NO
 #
     BIDS THAT DO NOT INCLUDE A BID SECURITY OF $500.00 WILL BE CONSIDERED NON-RESPONSIVE.



Respondent understands the City reserves the right to reject any and all bids. Bids which are not signed and dated
or bids which do not comply will all bid requirements herein, may be considered non-responsive and may be rejected.


Authorized Signature/Contact Information


 Firm Name:

 Mailing Address:
 City, State Zip Code:

 Authorized Signature:
 Print Name:                                                                             Date:
 Tax ID:
 Payment Terms:
 Telephone:                                                                FAX:

 Email:




RFB: PRO-06-12/108 Arlington Street                                                                               Page 29
y:12-rfxpropertyrfb prp-06-12 108 arlingtonrfb pro-06-12 091312.docx
CITY OF SAN ANGELO
                  BID TABULATION * RFB NO: PRO-06-12/Sale of Tax Foreclosed Property * September 14, 2012
                  Property 1: Lots 10 & 11, SAVE & EXCEPT the North 65’ and South 20’, W.E. Phillips Addition,
                  108 Arlington St




Property 1: 108 Arlington Street
                                         Bid Security              Bid
        Bidders                             $500.00             Min $4,500       Rank
   1    No Bids Received                                    $            -        1
   2
   3
   4
   5
   6
   7
   8
   9
  10




        Bid Packages Mailed To:
        San Angelo Realtors
        Association             San Angelo, TX
        Mr. P. Gilbert Gallegos San Angelo, TX
        Mr. Miguel Duran        San Angelo, TX
        Mr. Lee Robles          San Angelo, TX
        Mr. Kenneth Barrows     San Angelo, TX
        Mr. Marshal Gray        San Angelo, TX




Y:Real Estate DivisionPropertyAGENDA APR 16, 2013108 Arlington Street, (Gonzalez), Lots 10 & 11, Phillips, $2,000 - City Owned PropertyBid
Tab
eptember 14, 2012




              Y:Real Estate DivisionPropertyAGENDA APR 16, 2013108 Arlington Street, (Gonzalez), Lots 10 & 11, Phillips, $2,000 - City Owned PropertyBid
              Tab
NOTICE OF CONFIDENTIALITY RIGHTS: If you are a natural person, you may remove or
strike any or all of the following information from this instrument before it is filed for record in
the public records: your social security number or your driver’s license number.


                                SPECIAL WARRANTY DEED

   Date: __________________

   Grantor:       CITY OF SAN ANGELO, a Texas home-rule municipal corporation
                  72 West College Avenue
                  San Angelo, Tom Green County, Texas 76903

   Grantee:       CARLOS GONZALEZ, a single person
                  725 Amberton Parkway
                  San Angelo, Tom Green County, Texas 76901

   Consideration: Ten and No/100 Dollars ($10.00) and other good and valuable consideration

   Property (including any improvements):

          All of Lots 10 and 11 of the W.E. Phillips Addition to the City of San Angelo,
          Tom Green County, Texas, except the North 65 feet of said Lots 10 and 11 and
          the South 20 feet of said lots.

          Account #21-38700-0000-013-00

   Reservations from Conveyance:

           This conveyance is subject to easements, rights-of-way, and prescriptive rights, whether
   of record or not; all presently recorded restrictions, reservations, covenants, conditions, oil and
   gas leases, mineral severances, and other instruments, other than liens and conveyances, that
   affect the Property; validly existing rights of adjoining owners in any walls and fences situated
   on a common boundary; any discrepancies, conflicts, or shortages in area or boundary lines; any
   encroachments or overlapping of improvements; and taxes for 2013, the payment of which
   Grantee assumes.

   Exceptions to Conveyance and Warranty:

           For the consideration, Grantor – acting by and through its Mayor, who has been duly
   authorized to execute this instrument on Grantor’s behalf by resolution and order of Grantor’s
   City Council recorded in the City Council’s official minutes – hereby conveys to Grantee the
   Property, together with all Grantor’s right, title, appurtenances and interest in and to the
   Property, subject to the Reservations from Conveyance and the Exceptions to Conveyance and
   Warranty, grants, sells, and conveys the Property, to have and to hold it to Grantee and Grantee’s
   heirs, successors, and assigns forever. Grantor hereby binds Grantor and Grantor’s heirs and
   successors to warrant and forever defend all and singular the Property to Grantee and Grantee’s
   heirs, successors, and assigns against every person whomsoever lawfully claiming or to claim the
   same or any part thereof, except as to the Reservations from Conveyance and the Exceptions to
Conveyance and Warranty.

      When the context requires, singular nouns and pronouns include the plural.



                                                  GRANTOR:

                                                  CITY OF SAN ANGELO,

ATTEST:                                           ____________________________
                                                  Alvin New, Mayor

____________________________
Alicia Ramirez, City Clerk



STATE OF TEXAS                     §
                                   §
COUNTY OF TOM GREEN                §

        This instrument was acknowledged before me on _____________________, 2013, by
Alvin New, as Mayor of the City of San Angelo, a Texas home-rule municipal corporation, on
behalf of said corporation.


                                          __________________________________
                                          Notary Public, State of Texas


After Recording, Return To:
108 Arlington Street , Lots 10 & 11 S /E N 65' of S 20' , W.E. Phillips Addition




March 7, 2013                                                                                              1:2,699
                                                                                              0   0.0225   0.045      0.09 mi
      City Address Points       County Address Points      Platted Lot Line L abels
                                                                                              0   0.035    0.07      0.14 km
      Pending City Addresses    Pending County Addresses   Platted Lot Lines

      Retired City Addresse s   Retired County Addresses   City Pa rcel Popups Transparen t
A RESOLUTION OF THE CITY OF SAN ANGELO AUTHORIZING THE
          MAYOR TO EXECUTE A SPECIAL WARRANTY DEED CONVEYING ALL
          RIGHT, TITLE AND INTEREST OF THE CITY OF SAN ANGELO


 WHEREAS, the property described below was acquired on October 24, 1957 from W.E. Phillips as a
part of the consideration to connect the black-top paving on Arlington Street to the paving on Paint Rock
Road; and

WHEREAS, the City has no future plans for the subject property and is now deemed as excess
property; and

 WHEREAS, on July 5, 2012, an appraisal was prepared by Stribling-Probandt Appraisals. The fee
simple market value of the subject property was $4,000; and

WHEREAS, on September 14, 2012, no bids were received for a Request for Bids: PRO-06-12; and

 WHEREAS, the City has received a reasonable offer from Carlos Gonzalez in the amount of $2,000
for the purchase of the subject property; and

  NOW THEREFORE BE IT RESOLVED BY THE CITY COUNCIL OF THE CITY OF SAN
ANGELO that its Mayor, Alvin New, is hereby authorized to execute a Special Warranty Deed
conveying the following described real property to the following as specified below, all of the right,
title, and interest of the City of San Angelo, located in San Angelo, Tom Green County, Texas:

Conveying to:

CARLOS GONZALEZ, a single person; ($2,000):

          All of Lots 10 and 11 of the W.E. Phillips Addition to the City of San Angelo, Tom
          Green County, Texas, except the North 65 feet of said Lots 10 and 11 and the South 20
          feet of said lots.
          Account #21-38700-0000-013-00


APPROVED AND ADOPTED ON THE                        DAY OF                      , 2013.


                                                            THE CITY OF SAN ANGELO

                                                            _______________________________
                                                            Alvin New, Mayor
Attest:

______________________________
Alicia Ramirez, City Clerk

Approved As to Content:                                     Approved As to Form:

______________________________                              ______________________________
Cindy M. Preas, Real Estate Administrator                   Lysia H. Bowling, City Attorney
CITY OF SAN ANGELO
              REQUEST FOR BID

                 RFP No: PRO-06-12

                 Real Estate Division

Lots 10 & 11, SAVE & EXCEPT the North 65’ and South 20’,
                 W.E. Phillips Addition

                   108 Arlington Street

                      Zoned – RS-1


                  RFB Submittal Deadline

           September 13, 2012/2:00 PM, Local Time




                       City of San Angelo
                    72 West College Avenue
                   San Angelo, Texas 76903
TABLE OF CONTENTS



  This Table of Contents is intended as an aid and not as a comprehensive listing of the proposal package. Bidders
            are responsible for reading the entire proposal package and complying with all specifications.

Section                                                                                                                                                                     Page

REQUEST FOR BID ........................................................................................................................................... 1
    GENERAL......................................................................................................................................................................1
    DOCUMENT AVAILABILITY................................................................................................................................................1
    DIGITAL FORMAT ...........................................................................................................................................................1
    DISQUALIFICATION .........................................................................................................................................................1
    REQUIRED RESPONSE......................................................................................................................................................1
    NO BID INSTRUCTIONS ....................................................................................................................................................1
    INTERPRETATIONS ..........................................................................................................................................................1
    ADDENDA.....................................................................................................................................................................2
    CONFIDENTIALITY ...........................................................................................................................................................2
    AWARD OF CONTRACT ....................................................................................................................................................2
    ACCEPTANCE OF PROPOSAL CONTENT ................................................................................................................................2
    COPIES OF BID TABULATION RESULTS ................................................................................................................................2
DEADLINE AND DELIVERY LOCATION ......................................................................................................... 3
    DEADLINE.....................................................................................................................................................................3
    COPIES.........................................................................................................................................................................3
    FAXED/ELECTRONIC BIDS ................................................................................................................................................3
    SEALED ENVELOPE ADDRESSING .......................................................................................................................................3
    DELIVERY ENVELOPE/CONTAINER ADDRESSING ...................................................................................................................3
    DELIVERY SERVICE ADDRESSES                 USPS ADDRESS ..............................................................................................................3
    POINTS OF CONTACT ......................................................................................................................................................3
INSTRUCTIONS .................................................................................................................................................. 5
    PROPOSAL/BID INTERPRETATION ......................................................................................................................................5
    BID ITEM ......................................................................................................................................................................5
    SALE “AS IS”.................................................................................................................................................................5
    BID SECURITY ................................................................................................................................................................5
    DEFAULT IN PURCHASE ...................................................................................................................................................6
    COMMISSIONS ..............................................................................................................................................................6
    EXECUTION OF SALES CONTRACT ......................................................................................................................................6
    CORRECTIONS, ADDITIONS, OR DELETIONS..........................................................................................................................5
    AUTHORIZED SIGNATURE.................................................................................................................................................5
    MODIFICATION OR WITHDRAWAL OF BIDS..........................................................................................................................5
    CONTINGENCY...............................................................................................................................................................5
    DELIVERY DATE .............................................................................................................................................................5
    RESERVATIONS ..............................................................................................................................................................6
    SUBMISSION OF BIDS ......................................................................................................................................................6
    LATE BIDS ....................................................................................................................................................................6
    ACCEPTANCE.................................................................................................................................................................6
TERMS AND CONDITIONS ............................................................................................................................... 7
    TITLE ...........................................................................................................................................................................7
    TITLE POLICY .................................................................................................................................................................7

                                                                                                                                                                                   ii
UTILITIES ......................................................................................................................................................................7
    INVOICES & PAYMENTS ...................................................................................................................................................7
    GRATUITIES ..................................................................................................................................................................7
    WARRANTY-PRICE .........................................................................................................................................................7
    NO WARRANTY BY CITY AGAINST INFRINGEMENTS ...............................................................................................................7
    RIGHT OF INSPECTION .....................................................................................................................................................7
    CANCELLATION ..............................................................................................................................................................7
    ASSIGNMENT-DELEGATION ..............................................................................................................................................7
    WAIVER .......................................................................................................................................................................8
    MODIFICATIONS ............................................................................................................................................................8
    APPLICABLE LAW ...........................................................................................................................................................8
    ADVERTISING ................................................................................................................................................................8
    CONFLICT OF INTEREST ...................................................................................................................................................8
    LEGAL VENUE................................................................................................................................................................8
    AWARD CRITERIA ...........................................................................................................................................................8
MAP ...................................................................................................................................................................... 9
FACT SHEET .................................................................................................................................................... 11
SAMPLE SALES CONTRACT ........................................................................................................................ 13
BID FORMS ....................................................................................................................................................... 19
    DISCLOSURE OF CERTAIN RELATIONSHIPS..........................................................................................................................21
    DEBARMENT AND SUSPENSION CERTIFICATION ..................................................................................................................25
    ADDENDUM ACKNOWLEDGMENT....................................................................................................................................27
    BID SHEET ..................................................................................................................................................................29
CITY OF SAN ANGELO
                  PURCHASING DEPARTMENT
                  72 West College Avenue, San Angelo, Texas 76903
                  Tel: (325) 657-4219 or 657-4220



REQUEST FOR BID

    General

         The City of San Angelo, Real Estate Division is accepting bids for the sale of Lots 10 & 11, SAVE &
         EXCEPT the North 65’ and South 20’, W.E. Phillips Addition, San Angelo, Tom Green County, Texas;
         located at 108 Arlington Street. This property is a SINGLE-FAMILY RESIDENCE (RS-1) ZONING
         DISTRICT.

    Document Availability

         Bid Documents are available in the Purchasing Department at the address listed below, or may be
         downloaded at the City’s website at www.sanangelotexas.us. To locate the documents on the website go
         to:

              •   City Departments
              •   Purchasing
              •   Bid Opportunities

    Digital Format

         If Respondents obtained the bid specifications in digital format in order to prepare a proposal, the bid must
         be submitted in hard copy according to the instructions contained in this bid package. If, in its bid
         response, Respondents makes any changes whatsoever to the published bid specifications, the bid
         specification as published shall control. Furthermore, if an alteration of any kind to the bid specification is
         discovered after the contract is executed and is or is not being performed; the contract is subject to
         immediate cancellation without recourse.

    Disqualification

         The Respondent may be disqualified for any of the following reasons:

              •   The Respondent is involved in any litigation against the City of San Angelo;
              •   The Respondent is in arrears on any existing contract or has defaulted on a previous contract with
                  the City;
              •   The Respondent is debarred, suspended, or otherwise excluded from or ineligible for participation
                  in State or Federal assistance programs.

    Required Response

         The City requires a response to any RFB’s mailed to potential Respondents. Should a company receive an
         RFB, but choose not to bid on the project, then in order to remain on the City of San Angelo’s Potential
         Bidders List you must submit a “No Bid”.

    No Bid Instructions

         To submit a No Bid, complete the Bid Sheet by entering “No Bid” on Line Item 1, complete the Contact
         Information section, and mail the Bid Sheet pages before the deadline. Firms that do not respond will be
         removed from the bidders list.

    Interpretations

         All questions about the meaning or intent of the Contract Documents, including specifications shall be
         submitted to Purchasing Division in writing. Replies will be issued by Addenda posted on the Purchasing
         Department page of the City’s website Questions received less than ten (10) days prior to the date for
         opening of Bids will not be answered. Only questions answered by formal written Addenda will be binding.
         Oral interpretations or clarifications will be without legal effect. All addenda will be published on the City’s
         website. It is the Respondents responsibility to consider all addendums prior to submitting a bid.




RFB: PRO-06-12/108 Arlington Street                                                                               Page 1
Addenda

         Should specifications be revised prior to the deadline for submittals, the City’s Purchasing Division will issue an
         addendum addressing the nature of the change. Respondents must acknowledge the addendums and include
         the form in the returned proposal package.

    Confidentiality

         All bids submitted shall remain confidential. After award, proposals will be made available for public
         inspection. The City shall not be responsible for the confidentiality of any trade secrets or other information
         contained or disclosed in the proposal unless clearly identified as such.

    Award of Contract

         The City reserves the right to accept or reject any or all bids, and to waive any informalities or irregularities
         in the RFB process. The City is an equal opportunity employer.

    Acceptance of Proposal Content

         Before submitting a proposal, each Respondent shall make all investigations and examinations necessary to
         ascertain all conditions and requirements affecting the performance of the contract and to verify any
         representations made by the City upon which the proposal will rely. If the Respondent receives an award,
         failure to have made such investigation and examinations will in no way relieve the Respondent from his
         obligation to comply in every detail with all provisions and requirements.

    Copies of Bid Tabulation Results

         For a copy of the Bid Tabulation results, send a self-addressed stamped envelope to: Purchasing
         Department, City of San Angelo, 72 West College Avenue, San Angelo, Texas 76903 or email
         roger.banks@sanangelotexas.us.




RFB: PRO-06-12/108 Arlington Street                                                                                  Page 2
CITY OF SAN ANGELO
                  PURCHASING DEPARTMENT
                  72 West College Avenue, San Angelo, Texas 76903
                  Tel: (325) 657-4219 or 657-4220


DEADLINE AND DELIVERY LOCATION

    Deadline

         Sealed Request for Bids (RFB) submittals must be received and time stamped on or before September 13,
         2012, 2:00 PM, Local Time. The clock located in Purchasing will be the official time. Bids not received on
         time will be rejected

         It is the sole responsibility of the Respondent to ensure that the sealed submittal arrives at the above
         location by the specified deadline regardless of method chosen by the firm for delivery.

    Copies

         •    One (1) unbound original of all required submission forms
         •    One (1) electronic copy in PDF format on CD or USB Flash Drive of all requested submissions forms
         •    One (1) complete bound copy of all submission forms (staples or binder clips are acceptable).

    Faxed/Electronic Bids

         Faxed or electronically transmitted RFB submittals will not be accepted.

    Sealed Envelope Addressing

         Lower left-hand corner: “RFB No. PRO-06-12/108 Arlington Street”
         Top Left-hand Corner: Bidders Name and Address

    Delivery Envelope/Container Addressing

         Mark delivery envelope “Sealed RFB Enclosed”

              Delivery Service Addresses                                  USPS Address

              City of San Angelo                                          City of San Angelo
                   Purchasing Division, RFB: PRO-06-12                    Purchasing Division, RFB: PRO-06-12
                   72 W College Avenue                                    72 W College Avenue, Suite 314
                   San Angelo, Texas 76903                                San Angelo, Texas 76903

    Points of Contact


     Roger Banks, Division Manager                               Diana Farris, Property Specialist
     Purchasing Department                                       Real Estate Division
     City of San Angelo                                          City of San Angelo
     72 W College Avenue                                         72 W College Avenue
     San Angelo Texas, 76903                                     San Angelo Texas, 76903
     Email: roger.banks@sanangelotexas.us                        Email: diana.farris@sanangelotexas.us
     Telephone: (325) 657-4220                                   Telephone: (325) 657-4212




RFB: PRO-06-12/108 Arlington Street                                                                                 Page 3
Intentionally Left Blank




RFB: PRO-06-12/108 Arlington Street   Page 4
CITY OF SAN ANGELO
                   PURCHASING DEPARTMENT
                   72 West College Avenue, San Angelo, Texas 76903
                   Tel: (325) 657-4219 or 657-4220



INSTRUCTIONS

    Bid Item

         Respondent is expected to examine all specifications herein and responsible for the inspection of the
         property and should satisfy themselves of exact location of the property. It is the Respondent’s
         responsibility for inspections, zoning, environmental assessments, engineering studies, mechanical
         inspections, pest control, etc. Such inspections will be at the expense of the Respondent. FAILURE to do
         so will be at the Respondent‘s risk.

    Sale “As Is”

         Property will be sold “As Is”, subject to ALL easements, blanket easements, right-of-ways, covenants,
         conditions, zoning, restrictions, water rights and all other restrictions or conditions, including physical
         conditions whether recorded or not.

    Proposal/Bid Interpretation

         Any explanation desired by a Respondent regarding the meaning or interpretation of the invitation, drawings,
         specifications, etc. must be requested in writing seven (7) days prior to the deadline to the Purchasing
         Department, City of San Angelo, 72 West College Avenue, San Angelo, TX 76903 to allow sufficient
         time for evaluation and reply to all prospective bidders before the submission of their bids. The bid invitation
         number must appear on all correspondence, inquiries, etc. pertaining to the invitation. Oral explanations or
         instructions given before the award of the contract are not binding and do not form a part of or alter in any
         way, the written agreement.

    Corrections, Additions, or Deletions

         Corrections, additions, or deletions to any portion of the invitation will be in the form of a written amendment
         or addendum.

    Bid Security

         All bids shall include a bid security in the amount of $500.00, which will be applied toward the purchase
         price. Only Money Orders and Certified Checks are accepted; and are to be payable to the City of San
         Angelo. The bid securities will be returned to all unsuccessful Respondents within ten (10) business days
         of the City Council award of bid.

    Modification or Withdrawal of Bids

         Bid pricing CANNOT be altered or amended after the closing time. Bids may be modified or withdrawn prior
         to the closing hour and date by written notice to the Purchasing Department. A bid may also be withdrawn
         in person by a Respondent or his authorized agent, provided his identity is made known and he signs a
         receipt for the bid. No bid may be withdrawn after the closing time and date without acceptable reason in
         writing and with approval of the Purchasing Department.

    Authorized Signature

         Bids must show Respondent’s name, address, and be manually signed. The person signing the bid must
         have authority to execute contract. Any erasures or other changes must be initialed by the person signing
         the offer. If Respondent is married, the spouse must also sign the bid, unless the property will be purchased
         with separate property funds.

    Contingency

         No Contingency Contracts will be accepted.




RFB: PRO-06-12/108 Arlington Street                                                                               Page 5
Submission of Bids

         Sealed bids are to be returned by the closing time and date stated in the Deadlines and Delivery Options
         Section. Faxed bids will not be accepted.

    Late Bids

         Bids received after the advertised closing time and date regardless of the mode of delivery will be refused
         and returned unopened

    Acceptance

         Acceptance of Respondent’s offer will be notified by telephone and/or mail after final approval and
         acceptance of its offer by the San Angelo City Council.

    Default in Purchase

         If Respondent is awarded the bid and fails to purchase the property, Respondent agrees to forfeit the Bid
         Security amount in addition to any amount required by the Sales Contract to the City of San Angelo.

    Commissions

         Should a Respondent solicit representation from a Real Estate Licensee (Agent), the Respondent will be
         responsible for payment of commissions.

    Execution of Sales Contract

         Within ten (10) business days of awarding the bid, Respondent will execute a Sales Contract in substantially
         form with attached hereto.

    Delivery of Property

         Delivery of property shall occur as recognized in the Sales Contract and subject to approval by City Council.

    Reservations

         The City expressly reserves the right to accept, reject, or cancel all bids AND:

              •   Waive any defect, irregularity, or informality in any bid or bidding procedure.
              •   Extend the bid closing time and date.
              •   Reissue a bid invitation or proposal.
              •   Consider and accept an alternate bid as provided herein when most advantageous to the City.
              •   Extend any contract when most advantageous to the City.




RFB: PRO-06-12/108 Arlington Street                                                                             Page 6
CITY OF SAN ANGELO
                   PURCHASING DEPARTMENT
                   72 West College Avenue, San Angelo, Texas 76903
                   Tel: (325) 657-4219 or 657-4220


TERMS AND CONDITIONS

    Title

         Title shall not pass to Buyer until the City Special Warranty Deed is fully executed and sales price is paid to
         the City in full.

    Title Policy

         City will provide a Texas Owner’s Title Policy at the City’s expense.

    Utilities

         The City makes no representation as to the availability of utilities or costs associated with utilities. It is the
         Buyer’s responsibility to determine availability and cost of utilities.

    Invoices & Payments

         This sale is a cash sale, closed at a local title company. The City will not carry a note on this property.

    Gratuities

         The City may, by written notice to the Buyer, cancel this contract without liability to Buyer if it is determined
         by City that gratuities were offered from an agent or representative of the Buyer to any officer or employee of
         the City with a view toward securing a contract or securing favorable treatment with respect to the awarding
         or amending, or the making of any determinations in respect to the performing of such contract. In the event
         this contract is canceled by City, remedies to recover or withhold the amount of the cost shall be incurred by
         Buyer in providing such gratuities.

    Warranty-Price

         The Buyer warrants that no person or purchasing agency has been employed or retained to solicit or secure
         this contract upon an agreement or understanding for commission, percentage, brokerage, or contingent fee
         excepting bona fide employees of bona fide established commercial or purchasing agencies maintained by
         the Buyer for the purpose of securing business. For breach or violation of the warranty, the City shall have
         the right in addition to any other right or rights to cancel this contract without liability and to deduct from the
         contract price, or otherwise recover the full amount of such commission, percentage, brokerage, or
         contingent fee.

    No Warranty by City Against Infringements

         The City does not make any Warranties or Guaranties, expressed or otherwise, except as provided for in the
         Sales Contract.

    Right of Inspection

         Respondent shall have the right to inspect the property before submittal deadline.

    Cancellation

         Any cancellation Sales Contract shall be in accordance with the terms herein and the Sales Contract.

    Assignment-Delegation

         No right or interest in the Sales Contract shall be assigned nor shall any delegation of any obligation made
         by Buyer be valid without written permission of the City. Any attempted assignment or delegation by Buyer
         shall be wholly void and totally ineffective for all purposes unless made in conformity with this paragraph.




RFB: PRO-06-12/108 Arlington Street                                                                                    Page 7
Waiver

         No claim or right arising out of a breach of this Sales Contract can be discharged in whole or in part by a
         waiver or renunciation of the claim or right unless the waiver or renunciation is supported by consideration
         and is in writing signed by the aggrieved party.

    Modifications

         This Sales Contract can be modified or rescinded only by a writing signed by both of the parties or their duly
         authorized agents.

    Applicable Law

         This agreement shall be governed by all applicable laws.

    Advertising

         Buyer shall not advertise or publish, without City’s prior consent, the fact that City has entered into this
         contract, except to the extent necessary to comply with proper requests for information from an authorized
         representative of the Federal, State, or Local government.

    Conflict Of Interest

         Buyer agrees to comply with the conflict of interest provisions of the Texas State Law and City Of San
         Angelo Charter and Code of Ordinances. Buyer agrees to maintain current, updated disclosure of
         information on file with the Purchasing Department throughout the term of the Sales Contract, as applicable.

    Legal Venue

         San Angelo, Tom Green County, Texas

    Award Criteria

         The property will be awarded to the Respondent who submits the highest qualified bid. Final approval and
         acceptance rest with the San Angelo City Council.




RFB: PRO-06-12/108 Arlington Street                                                                             Page 8
CITY OF SAN ANGELO
                  PURCHASING DEPARTMENT
                  72 West College Avenue, San Angelo, Texas 76903
                  Tel: (325) 657-4219 or 657-4220



MAP




RFB: PRO-06-12/108 Arlington Street                                 Page 9
Intentionally Left Blank




RFB: PRO-06-12/108 Arlington Street   Page 10
CITY OF SAN ANGELO
                  PURCHASING DEPARTMENT
                  72 West College Avenue, San Angelo, Texas 76903
                  Tel: (325) 657-4219 or 657-4220


FACT SHEET


         Property Address: 108 Arlington Street

         Legal Description: W.E. Phillips Addition, Lot 10 & 11 except the N. 65’ & S. 20’ (Paint Rock Road)

         Tax ID Number: 2138700000001300

         Lot Size: 95’ (eastern lot boundary) & 53’ (western lot boundary) x 133’

         Zoning: RS-1 (Single-Family Residential); allows single-family homes on minimum lots of 50’x100’.

         Water/Sewer Connections:                      Subdivision Plat:




         Lot Characteristics:
             •   Vacant;
             •   Conditional/Special Uses – No;
             •   Variances – No;
             •   Special Permits – No;
             •   Historic Overlay – No;
             •   Open Structure Overlay -Partially;
             •   River Corridor – No;
             •   Is a replat needed to build? Yes;

         For more information:

              Zoning/Subdivision Requirements – City of San Angelo Planning Division, 657-4210
              Permit Requirements – City of San Angelo Inspections & Permits Division, 657-4420
              General Development Questions – City of San Angelo Development Coordinator, 657-4210
              Water Billing/Meters – City of San Angelo Water Billing Division, 657-4323
              Purchasing of Tax Lots – City of San Angelo Real Estate Division, 657-4212
              Ownership and Tax Information – Tom Green County Appraisal District, 658-5575
              Documents of Record, including Plats – Tom Green County Clerk, Real Estate, 659-6552


         NOTE: All information provided herein is based upon initial analysis of the property and is intended
         as a guide only; the City of San Angelo is not responsible for any error in this information or for any
         information concerning the property which is not included herein. Before purchasing any property,
         it is strongly advised to contact, at a minimum, the City and County offices listed above for the most
         up-to-date information.




RFB: PRO-06-12/108 Arlington Street                                                                                Page 11
Intentionally Left Blank




RFB: PRO-06-12/108 Arlington Street   Page 12
CITY OF SAN ANGELO
                  PURCHASING DEPARTMENT
                  72 West College Avenue, San Angelo, Texas 76903
                  Tel: (325) 657-4219 or 657-4220



SAMPLE SALES CONTRACT

                                       REAL ESTATE CONTRACT OF SALE
                                              (FOR CASH SALE)

        THIS REAL ESTATE CONTRACT OF SALE (”Agreement”) is made by and between CITY OF SAN
ANGELO, a Texas home-rule municipal corporation whose address is 72 W. College Avenue, San Angelo, Tom
Green County, Texas 76903, (hereinafter “Seller”) and, _______________________________________(hereinafter
"Purchaser"), upon the terms and conditions set forth in this Agreement.

                                                  ARTICLE I
                                              PURCHASE AND SALE

          Seller agrees to sell and convey to Purchaser, and Purchaser agrees to purchase, the real property thereon,
commonly known 108 ARLINGTON STREET and described as LOTS 10 & 11, SAVE & EXCEPT THE NORTH 65
FEET AND SOUTH 20 FEET OF SAID LOTS 10 & 11, W.E.PHILLIPS ADDITION (hereinafter “Property”), together
with all and singular the rights and appurtenances pertaining to the property, for the consideration and upon and
subject to the terms, provisions, and conditions set forth below.

                                                    ARTICLE II
                                                 PURCHASE PRICE

2.01     Amount of Purchase Price

         The purchase price for the Property shall be the sum of                                    Dollars ($        -
         ___.00).

2.02     Payment of Purchase Price

         The full amount of the Purchase Price shall be due and payable at the closing.

                                             ARTICLE III
                          CONDITIONS PRECEDENT TO PURCHASER'S OBLIGATIONS

         The obligations of Purchaser hereunder to consummate the transactions contemplated hereby are subject to
the satisfaction of each of the following conditions precedent (any of which may be waived in whole or in part by
Purchaser at or prior to the closing).

3.01     Preliminary Title Report

         Within thirty-five (35) days after the date hereof, Seller shall cause       (Title Company)          to issue
a preliminary title report (the "Title Report") accompanied by copies of restrictive covenants and all recorded
documents referred to in the Preliminary Title Opinion affecting title such as easements, rights-of-way, liens and
encumbrances. Purchaser shall give Seller written notice on or before the expiration of twenty-one (21) days after
Purchaser receives the Preliminary Title Report of any condition of title as set forth in the report not acceptable to
Purchaser. In that event Seller may, at Seller’s option, promptly undertake to eliminate or correct all unacceptable
conditions of title to the reasonable satisfaction of Purchaser. If Seller chooses not to or is unable to correct the
unacceptable conditions of title within twenty-one (21) days after receipt of the written notice thereof given by
Purchaser, this Agreement shall thereupon immediately become null and void for all purposes and the Escrow
Deposit shall be returned by the Title Company to Purchaser. Purchaser will be deemed to have approved all
conditions of title disclosed by the preliminary title report to which Purchaser has made no timely objection as herein
provided.

3.02     Survey

        Purchaser at Purchaser’s option and expense may commission and be responsible for the expense of a
survey of the Property. It is a condition precedent to Purchaser’s obligations under this Agreement that the survey
not reveal a circumstance or condition relating to the Property that is unforeseen by the Purchaser. If such an
unforeseen circumstance or condition is revealed by the survey, Purchaser may, at Purchaser’s option, terminate this



RFB: PRO-06-12/108 Arlington Street                                                                            Page 13
Agreement by giving written notice of termination to the Seller at any time on or before the expiration of twenty-one
(21) days after Purchaser receives the Preliminary Title Report as provided in paragraph 3.01 above. If Purchaser
chooses not to give notice of an unforeseen circumstance or condition as provided by this paragraph, this condition
precedent shall be deemed waived by the Purchaser.

3.03     Seller’s Performance

         Seller shall have performed, observed, and complied with all of the covenants, agreements, and conditions
required by this Agreement to be performed, observed, and complied with by Seller prior to or as of the closing.

                                               ARTICLE IV
                                REPRESENTATIONS AND WARRANTIES OF SELLER

         Seller represents and warrants to Purchaser, as of the closing date, as follows:

         (1)      Seller has received no notice of pending or threatened condemnation or similar proceeding
                  affecting the Property, nor to the knowledge of Seller is there any such proceeding contemplated by
                  any governmental authority.

         (2)      Seller has no knowledge of any pending or threatened claim or proceeding relating to access to the
                  Property;

         (3)      The property is zoned for                                    ; Seller has no knowledge of any
                  non-conforming use or conditional use on the subject real property occurring within the preceding
                  twelve months.

         (4)      There are no lawsuits, claims, attachments, executions, or other proceedings pending, or to the
                  Seller’s knowledge, threatened, against or involving the Property;

         (5)      Seller is not a “foreign person” as that term is defined in §1445 of the Internal Revenue Code of
                  1986, as amended;

         (6)      Seller has not retained the services of a real estate broker and to Seller’s knowledge no broker fee
                  is or will be due or payable relating to the sale and conveyance of the Property as contemplated by
                  this Agreement.

         (7)      Seller expressly makes no representations or warranties pertaining to any buildings or residential
                  structures that may be located on the Property.

         Seller’s representations and warranties made herein shall survive closing of the transaction contemplated by
this Agreement.

                                                     ARTICLE V
                                                      CLOSING

         The closing shall be held at the office of _______(Title Company) __   (referred to in this Agreement as
                                                                                        th
“Title Company”), ____________________, San Angelo, Texas, 76903 on or before the 90 day after the last party
executes this Agreement or at such time, date, and place as Seller and Purchaser may agree upon (which date is
herein referred to as the "closing date"). At the closing Seller shall:

         (1)      Deliver to Purchaser a duly executed and acknowledged Special Warranty Deed, in a form
                  acceptable to the title company, conveying good and indefeasible title in fee simple to all of the
                  Property, free and clear of any and all liens, encumbrances, conditions, easements, assessments,
                  and restrictions, except for the following:

                  (a)       General real estate taxes for the year of closing and subsequent years not yet due and
                            payable, which shall be prorated between the parties to date of closing;

                  (b)       Any exceptions and reservations approved by Purchaser pursuant to Article III hereof; and

                  (c)       Any exceptions and reservations approved by Purchaser in writing; and




RFB: PRO-06-12/108 Arlington Street                                                                           Page 14
(2)       Deliver to Purchaser actual, exclusive possession of the property.

         Costs, fees and expenses of closing in consummating the sale and purchase of the Property shall be borne
and paid as follows:

                   (a)      If sale is unconsummated, any fees or expenses owed to Title Company shall be paid out
                            of the escrow deposit;

                   (b)      Appraisal fees shall be paid by Purchaser;

                   (c)      Premiums for Mortgagee’s Title Policy, if any, shall be paid by Purchaser;

                   (d)      Any escrow fee shall be paid by Purchaser;

                   (e)      Survey fees shall be paid by Purchaser;

                   (f)      Attorney's fees shall be borne by and paid by the party at whose request the legal work
                            was performed.

                   (g)      Deed preparation and recording fees of same shall be paid by Seller;

                   (h)      Loan documents preparation and related recording fees, if any, paid by Purchaser;

                   (i)      Recording and copying costs shall be paid by Purchaser;

                   (j)      Costs for tax certificates shall be paid by Seller.

                                                       ARTICLE VI
                                                       BROKERS

       It is understood and agreed that no brokers have been involved in the negotiation and consummation of this
Agreement.

                                                     ARTICLE VII
                                                   ESCROW DEPOSIT

         For the purpose of securing the performance of Purchaser under the terms and provisions of this
Agreement, Purchaser has delivered to the Title Company, the sum of Five Hundred Dollars ($500.00), the Escrow
Deposit, which shall be paid by the Title Company to Seller in the event Purchaser breaches this Agreement as
provided in Article IX hereof. At the closing, the Escrow Deposit shall be paid to Seller and applied against the
purchase price, provided, however, that in the event the Purchaser shall have given written notice to the Title
Company that one or more of the conditions precedent to Purchaser’s obligations set forth in Article III have not been
met, or, in the, opinion of Purchaser, cannot be satisfied, in the manner and as provided for in Article III, then the
balance of the Escrow Deposit remaining after withholding escrow fees and costs incurred, shall be forthwith
returned by the Title Company to Purchaser.

                                                     ARTICLE VIII
                                                  BREACH BY SELLER

         In the event Seller shall fail to fully and timely perform any of its obligations hereunder or shall fail to
consummate the sale of the Property for any reason, except Purchaser's default, Purchaser may pursue any remedy
to which Purchaser may be entitled at law or in equity, including: (1) enforce specific performance of this Agreement;
(2) request that the Escrow Deposit shall be forthwith returned by the Title Company to Purchaser, after duly
deducting Title Company fees and expenses which have been incurred; and (3) bring suit for damages against Seller.

                                                    ARTICLE IX
                                               BREACH BY PURCHASER

         In the event Purchaser should fail to consummate the purchase of the Property for reason other than default
of the Seller and if the conditions precedent to Purchaser's obligations set forth in Article III are satisfied, Seller shall
have the right to: (1) bring suit for damages against Purchaser or (2) receive the entire Escrow Deposit from the Title
Company, the sum being agreed on as liquidated damages for Purchaser’s breach of this Agreement



RFB: PRO-06-12/108 Arlington Street                                                                                  Page 15
ARTICLE X
                                                    MISCELLANEOUS

10.01    Assignment of Agreement

         This Agreement may not be assigned without the express written consent of Seller.

10.02    Survival of Covenants

          Any of the representations, warranties, covenants, and agreements of the parties, as well as any rights and
benefits of the parties, pertaining to a period of time following the closing of the transactions contemplated hereby
shall survive the closing and shall not be merged therein.

10.03    Notice

        Any notice required or permitted to be delivered hereunder shall be deemed received when hand-delivered
or sent by United States mail, postage prepaid, certified mail, return receipt requested, addressed to Seller or
Purchaser, as the case may be, at the address set forth below with the signature of the party.

10.04    Texas Law to Apply

         This Agreement shall be construed under and in accordance with the laws of the State of Texas, and all
obligations of the parties created hereunder are performable in Tom Green County, Texas.

10.05    Parties Bound

        This Agreement shall be binding upon and inure to the benefit of the parties and their respective heirs,
executors, administrators, legal representatives, successors, and assigns where permitted by this Agreement.

10.06    Legal Construction

           In case any one or more of the provisions contained in this Agreement shall for any reason be held to be
invalid, illegal, or unenforceable in any respect, this invalidity, illegality, or unenforceability shall not affect any other
provision hereof, and this Agreement shall be construed as if the invalid, illegal, or unenforceable provision had never
existed.

10.07    Prior Agreements Superseded

          This Agreement constitutes the only agreement of the parties and supersedes any prior understandings or
written or oral agreements between the parties respecting the within subject matter.

10.08    Time of Essence

         Time is of the essence in this Agreement.

10.09    Gender

        Words of any gender used in this Agreement shall be held and construed to include any other gender, and
words in the singular number shall be held to include the plural, and vice versa, unless the context requires
otherwise.

10.10    The Term “Days”/Deadline

        In this Agreement, the term “days” shall be construed to mean calendar days. All deadlines in this
Agreement expire at 5:00 p.m. Central Standard Time. If a deadline falls on a Saturday, Sunday, or national holiday,
the deadline will be extended to the next day that is not on a Saturday, Sunday, or national holiday.




RFB: PRO-06-12/108 Arlington Street                                                                                  Page 16
10.11     Counterparts

       If this Agreement is executed in multiple counterparts, all counterparts taken together will constitute this
Agreement.

          Dated and entered into this    day of _____________, 2012.




                                                             SELLER:

                                                             CITY OF SAN ANGELO
                                                             72 W. College Avenue
Attest:                                                      San Angelo, TX 76903



Alicia Ramirez, City Clerk                                   Michael Dane, Interim City Manager




                                                             PURCHASER:
                                                             __________________

                                                             _______




Title Company acknowledges receipt of Escrow Deposit (Earnest Money) in the amount of $500.00 and a copy of this

Agreement executed by both Purchaser and Seller.



                                                             TITLE COMPANY:

                                                             __________________________________



                                                             By:               ______________________

                                                             Printed Name:     ______________________

                                                             Title:            ______________________
Date:




RFB: PRO-06-12/108 Arlington Street                                                                        Page 17
Intentionally Left Blank




RFB: PRO-06-12/108 Arlington Street   Page 18
CITY OF SAN ANGELO
                  PURCHASING DEPARTMENT
                  72 West College Avenue, San Angelo, Texas 76903
                  Tel: (325) 657-4219 or 657-4220


BID FORMS

    Please submit one (1) original, one (1) copy and one (1) electronic copy in PDF format on CD or USB
    Flash drive of the following bid forms.

              Conflict of Interest Questionnaire (if applicable)
              Debarment and Suspension Certification
              Addendum Acknowledgment
              Bid Sheet




RFB: PRO-06-12/108 Arlington Street                                                              Page 19
Intentionally Left Blank




RFB: PRO-06-12/108 Arlington Street   Page 20
CITY OF SAN ANGELO
                  PURCHASING DEPARTMENT
                  72 West College Avenue, San Angelo, Texas 76903
                  Tel: (325) 657-4219 or 657-4220


                                                NOTICE TO VENDORS


                              Disclosure of Certain Relationships
           Effective January 1, 2006, Chapter 176 of the Texas Local Government Code requires that any vendor or
person considering doing business with a local governmental entity make certain disclosures concerning any
affiliation or business relationship that might cause a conflict of interest with the local governmental entity. The
provisions of Chapter 176 and the Form CIQ questionnaire that you must complete to comply with this law, are
available at the Texas Ethics Commission website at http://www.ethics.state.tx.us/whasnew/confliict forms.htm.

          A current list of City of San Angelo and City of San Angelo Development Corporations officers is available in
the office of the City of San Angelo City Clerk’s office located in Room 201 of City Hall or on the City’s website at
http://sanangelotexas.org. If you are considering doing business with the City of San Angelo or the City of San
Angelo Development Corporation and have an affiliation or business relationship that requires you to submit a
completed Form CIQ, it must be filed with the records administrator (City Clerk) of the City of San Angelo no later
                      th
than the seventh (7 ) business day after the date you become aware of facts that require the form to be filed. See
Section 176.006, Texas Local Government Code. It is a Class C misdemeanor to violate this provision.

         By Submitting a response to a City of San Angelo or City of San Angelo Development Corporation
Request for Proposals, Request for Bids, or Request for Qualifications or by conducting business with either
of those two entities, you are representing that you are in compliance with the requirements of Chapter 176
of the Texas Local Government Code.




                                                                         Roger S. Banks
                                                                         Division Manager




RFB: PRO-06-12/108 Arlington Street                                                                            Page 21
Intentionally Left Blank




RFB: PRO-06-12/108 Arlington Street   Page 22
CONFLICT OF INTEREST QUESTIONNAIRE                                                                                             FORM CIQ
For vendor or other person doing business with local governmental entity

This questionnaire reflects changes made to the law by H.B. 1491, 80th Leg., Regular Session                              OFFICE USE ONLY
This questionnaire is being filed in accordance with chapter 176 of the Local Government Code by a person
doing business with the governmental entity.                                                                         Date Received

By law, this questionnaire must be filed with the records administrator of the local government entity not
later than the 7th business day after the date the person becomes aware of facts that require the statement to
be filed. See Section 176.006, Local Government Code.

A person commits an offense if the person knowing violates Section 176.006, Local Government Code. An
offense under this section is a Class C misdemeanor.


1.   Name of person doing business with local governmental entity.



2.         Check this box if you are filing an update to a previously filed questionnaire.

          (The law requires that you file an updated completed questionnaire with the appropriate filing authority not later than the 7th business
          day after the date the originally filed questionnaire becomes incomplete or inaccurate.)


3.   Name of local government officer with whom filer has affiliation or business relationship.

                                               _______________________________________________
                                                                Name of Officer

     This section, (item 3 including subparts A, B, C & D, must be completed for each officer with whom the filer has an employment or other
     business relationship as defined by Section 176.001(1-a),. Local Government Code. Attach additional pages to this Form CIQ as
     necessary.

     A. Is the local government officer named in this section receiving or likely to receive taxable income, other than investment income, from
     the filer of the questionnaire?

                                                                       Yes      No

     B. Is the filer of the questionnaire receiving or likely to receive taxable income, other than investment, from or at the direction of the local
     government officer named in this section AND the taxable income is not received from the local governmental entity?

                                                                      Yes       No

     C. Is the filer of this questionnaire employed by a corporation or other business entity with respect to which the local government officer
     serves as an officer or director, or holds an ownership of ten (10) percent or more?

                                                                       Yes      No

     D. Describe each employment of business relationship with the local government officer named in this section.




4.

___________________________________________________                                                     __________________
Signature of person doing business with the governmental entity                                                 Date




       RFB: PRO-06-12/108 Arlington Street                                                                                            Page 23
Intentionally Left Blank




RFB: PRO-06-12/108 Arlington Street   Page 24
CITY OF SAN ANGELO
                    PURCHASING DEPARTMENT
                    72 West College Avenue, San Angelo, Texas 76903
                    Tel: (325) 657-4219 or 657-4220




                           Debarment and Suspension Certification
(1)      The prospective primary participant certifies to the best of its knowledge and belief that it and its principals:

                (a) Are not presently debarred, suspended, proposed for disbarment, declared ineligible, or voluntarily
                    excluded from covered transactions by any Federal department or agency;
                (b) Have not within a three-year period preceding this application been convicted of or had a civil
                    judgment rendered against them for commission of fraud or a criminal offense in connection with
                    obtaining, attempting to obtain, or performing a public (Federal, State, or local) transaction or
                    contract under a public transaction; violation of Federal or State antitrust statutes or commission of
                    embezzlement, theft, forgery, bribery, falsification or destruction of records, making false
                    statements, or receiving stolen property;
                (c) Are not presently indicted for or otherwise criminally or civilly charged by a governmental entity
                    (Federal, State, or local) with commission of any of the offenses enumerated in paragraph (1)(b) of
                    this certification; and
                (d) Have not within a three-year period preceding this application had one or more public transactions
                    (Federal, State, or local) terminated for cause or default.

(2)      Where the prospective primary participant is unable to certify to any of the statements in this certification,
         such prospective primary participant shall attach an explanation to this proposal.




         Business Name:


         ______________________________________                   __________________
            Signature of Authorized Representative                Date


         By:
               Printed Name and Title of Authorized Representative




RFB: PRO-06-12/108 Arlington Street                                                                                 Page 25
Debarment and Suspension Certification
                                                    INSTRUCTIONS

1.   By signing and submitting this proposal, the prospective participant is providing the certification set out below.
2.   The inability of a person to provide the certification required below will not necessarily result in denial of
     participation in this covered transaction. The prospective participant shall submit an explanation of why it cannot
     provide the certification set out below. The certification or explanation will be considered in connection with the
     determination whether to enter into this transaction. However, failure of the prospective participant to furnish a
     certification or an explanation shall disqualify such person from participation in this transaction.
3.   The certification in this clause is a material representation of fact upon which reliance was placed when the City
     of San Angelo determined to enter into this transaction. If it is later determined that the prospective participant
     knowingly rendered an erroneous certification, in addition to other remedies available, the City of San Angelo
     may terminate this transaction for cause.
4.   The prospective participant shall provide immediate written notice to the City of San Angelo to which this
     proposal is submitted if at any time the prospective participant learns that its certification was erroneous when
     submitted or has become erroneous because of changed circumstances.
5.   The terms "covered transaction," "debarred," "suspended," "ineligible," "lower tier covered transaction,"
     "participant," "person," "primary covered transaction," "principal," "proposal," and "voluntarily excluded," as used
     in this clause, have the meanings set out in the Definitions and Coverage sections of the rules implementing
     Executive Order 12549(13 CFR Part 145). You may contact the City of San Angelo for assistance in obtaining a
     copy of these regulations.
6.   The prospective participant agrees by submitting this proposal that, should the proposed transaction be entered
     into, it shall not knowingly enter into any lower tier covered transaction with a person who is debarred,
     suspended, declared ineligible, or voluntarily excluded from participation in this covered transaction, unless
     authorized by the City of San Angelo.
7.   The prospective participant further agrees by submitting this proposal that it will include the clause titled
     "Certification Regarding Debarment and Suspension" provided by the City of San Angelo, without modification, in
     all lower tier covered transactions and in all solicitations for lower tier covered transactions.
8.   A participant in a covered transaction may rely upon a certification of a prospective participant in a lower tier
     covered transaction that it is not debarred, suspended, ineligible, or voluntarily excluded from the covered
     transaction, unless it knows that the certification is erroneous. A participant may decide the method and
     frequency by which it determines the ineligibility of its principals. Each participant may, but is not required to,
     check the Nonprocurement List.
9.   Nothing contained in the foregoing shall be construed to require establishment of a system of records in order to
     render in good faith the certification required by this clause. The knowledge and information of a participant is
     not required to exceed that which is normally possessed by a prudent person in the ordinary course of business
     dealings.
10. Except for transactions authorized under paragraph 6 of these instructions, if a participant in a covered
    transaction knowingly enters into a lower tier covered transaction with a person who is suspended, debarred,
    ineligible, or voluntarily excluded from participation in this transaction, in addition to other remedies available to
    the City of San Angelo, the City of San Angelo may terminate this transaction for cause.




RFB: PRO-06-12/108 Arlington Street                                                                                Page 26
CITY OF SAN ANGELO
                   PURCHASING DEPARTMENT
                   72 West College Avenue, San Angelo, Texas 76903
                   Tel: (325) 657-4219 or 657-4220




                                      Addendum Acknowledgment
The bidder is responsible for determining if any addendums have been issued and agrees that the prices(s) quoted
on the Bid Sheet reflect any changes or modifications created by any addendum(s). All addendums are posted on
the City’s website as they are issued.


Receipt is hereby acknowledged of the following addenda to the Contract documents.


 Addendum No. 1 Dated:                                               Received:

 Addendum No. 2 Dated:                                               Received:

 Addendum No. 3 Dated                                                Received:

 Addendum No. 4 Dated:                                               Received:

 Addendum No. 5 Dated:                                               Received:

 Addendum No. 6 Dated                                                Received:



         Business Name:


         ______________________________________                 __________________
         Signature of Authorized Representative                 Date


         By:
               Printed Name and Title of Authorized Representative




RFB: PRO-06-12/108 Arlington Street                                                                        Page 27
Intentionally Left Blank




RFB: PRO-06-12/108 Arlington Street   Page 28
CITY OF SAN ANGELO
                     PURCHASING DEPARTMENT
                     72 West College Avenue, San Angelo, Texas 76903
                     Tel: (325) 657-4219 or 657-4220




                                                            Bid Sheet
                                           RFB No: PRO-06-12/108 Arlington Street

           Completed Disclosure of Certain Relationships (if applicable)
           Completed Debarment and Suspension Certification (REQUIRED)
           Completed Addendum Acknowledgment (REQUIRED)
           Please submit one (1) original, one (1) copy and one (1) electronic copy in PDF format on CD or USB Flash
           drive of the following bid forms. (REQUIRED)


                               ITEM                                        MINIMUM BID               BID AMOUNT


 PROPERTY DESCRIPTION:
                                                                             $4,500.00
 Lots 10 & 11, SAVE & EXCEPT the North 65’ and                                                   $
 South 20’, W.E. Phillips Addition
 Located at 108 Arlington Street

                                                                                  TOTAL BID      $




                                                      BID SECURITY: $500.00

 Money Order / Certified Check                                                                   INCLUDED

                                                                                         YES                NO
 #
     BIDS THAT DO NOT INCLUDE A BID SECURITY OF $500.00 WILL BE CONSIDERED NON-RESPONSIVE.



Respondent understands the City reserves the right to reject any and all bids. Bids which are not signed and dated
or bids which do not comply will all bid requirements herein, may be considered non-responsive and may be rejected.


Authorized Signature/Contact Information


 Firm Name:

 Mailing Address:
 City, State Zip Code:

 Authorized Signature:
 Print Name:                                                                             Date:
 Tax ID:
 Payment Terms:
 Telephone:                                                                FAX:

 Email:




RFB: PRO-06-12/108 Arlington Street                                                                               Page 29
y:12-rfxpropertyrfb prp-06-12 108 arlingtonrfb pro-06-12 091312.docx
City of San Angelo



Memo
 Date:      March 14, 2013

 To:        Mayor and Councilmembers

 From:      Cindy M. Preas, Real Estate Administrator (657-4407)

 Subject:   Agenda Item for April 16, 2013 Council Meeting

 Contact:   Diana Farris, Property Specialist (657-4407)

 Caption:   Consent Item

            Consideration of adopting a Resolution of the City of San Angelo authorizing the
            mayor to execute a tax-resale (quitclaim) deed conveying all right, title and interest
            of the City of San Angelo, and all other taxing units interested in the tax
            foreclosure judgment:
            2223 Lillie Street, (Ballard), S ½ of S 100’ of N 150’ of S 783.7’ of Block 8, Kirby,
            $750, Suit No. TAX91-0010B
                     th
            309 E 10 Street, (Deanda), N ½ of Lot 7, Block 3, Akins, $750, Suit No. TAX90-
            0082B
                    th
            310 E 9 Street, (Deanda), S 80’ of E 12 2/3’ of Lot 8, S 80’ of Lot 7 & S 80’ of W
            1 5/6’ of Lot 6, Block 3, Akins, $750, Suit No. TAX89-0364B
                         th
            115 W 16 Street, (Guerra), Lot 3, Block 11, Lasker, $1,900, Suit No. B-06-0088-
            T
                         th
            217 W 16 Street, (Guerra), Lot 3, Block 12, Lasker, $2,500, Suit No. B-05-0274-
            T
            2327 Lillie Street, (Lewis-McKinney), S 50’ of N 447.7’ of Block 8, Kirby, $750,
            Suit No. TAX89-0217B
                     th
            209 W 9 Street, (Lewis-McKinney), Lot 3, Block 31, Miles, $750, Suit No. B-95-
            0055-T
            1923 Coleman Street, (Pearcy), Lot 12, Block 5 “E”, Chapman, $2,500, Suit No.
            B-07-0200-T
            322 N Harrison Street, (Pearcy), Lot 30, Block 2B, George Allen, $2,500, Suit No.
            B-09-0050-T
            613 N Adams Street, (Pearcy), Lot 3, Block 93, Angelo Heights, $2,700, Suit No.
            B-05-0268-T
                          th
            800 W 16           Street, (Roberts), Lot 10, Block 5, Mineola, $750, Suit No. TAX89-
            0032B
                          th
            804 W 16           Street, (Roberts), Lot 11, Block 5, Mineola, $750, Suit No. TAX91-
            0054B
                          th
            810 W 16           Street, (Roberts), Lot 12, Block 5, Mineola, $750, Suit No. TAX93-
            0151B

 Summary:   The subject properties were auctioned at Sheriff’s Sale. No offers were received
            causing subject properties to be stuck-off to the City, as Trustee for itself and the
                                                                                    Adopted: 5/30/03
                                                                                    Revised: 6/21/10
other taxing entities.


History:              The attached Property Analysis reflects amounts of delinquent taxes, accrued
                      penalties, interest, attorney fees and costs for delinquent years of, together with
                      additional penalties and interest at the rates prescribed by Chapter 33, Tex.
                      Propety

Financial Impact:     Upon approval: (1) The City will retain a $500 Administration fee; (2) The balance
                      will be distributed according to the judgment on the Sheriff’s Return; and (3)
                      Property will be reinstated back onto tax roll.

Related Vision Item   Financial Vision – Examine liquidation of unused or underperforming city-owned
                      properties
(if applicable):
                      Neighborhood Vision – Attract reinvestment

Other Information/    Staff recommends approval.
Recommendation:

Attachments:          Resolution, Property Analysis, Tax-Resale Deed and Property Location Map

Presentation:         N/A

Publication:          N/A

Reviewed by           Lysia H. Bowling, City Attorney
Director:

Approved by Legal:
A RESOLUTION OF THE CITY OF SAN ANGELO AUTHORIZING THE
       MAYOR TO EXECUTE A TAX-RESALE (QUITCLAIM) DEED
       CONVEYING ALL RIGHT, TITLE AND INTEREST OF THE CITY OF
       SAN ANGELO, AND ALL OTHER TAXING UNITS INTERESTED IN
       THE TAX FORECLOSURE JUDGMENT


 WHEREAS, by Sheriff’s Sale, the properties described below were struck-off to the City of
San Angelo, Trustee, pursuant to delinquent tax foreclosure decrees of the 119th Judicial District,
Tom Green County, Texas; and

 WHEREAS, offers have been made for the purchase of said properties pursuant to Section
34.05, Texas Tax Code Ann.(Vernon, 1982); and

  NOW THEREFORE BE IT RESOLVED BY THE CITY COUNCIL OF THE CITY OF
SAN ANGELO that its Mayor, Alvin New, is hereby authorized to execute a Tax-Resale
(quitclaim) Deed conveying the following described real properties to the following as specified
below, all of the right, title, and interest of the City of San Angelo, and all other taxing units
interested in the tax foreclosure judgment, located in San Angelo, Tom Green County, Texas:

Conveying to:

CAYDDRICK O’BRIEN BALLARD, a single person; ($750):

       The South 1/2 of the South 100 feet of the North 150 feet of the South 783.7 feet of
       Block 8, E.E. Kirby Addition, as described in Volume 688, Page 128, Deed Records of
       Tom Green County, Texas.
       Account #15-30200-0008-011-00

SALVADOR DEANDA, a single person; ($750):

       The South 80 feet of the East 12 2/3 Feet of Lot 8, the South 80 Feet of Lot 7, and the
       South 80 Feet of the West 1 5/6 Feet of Lot 6, Block 3, Akin’s Addition, City of San
       Angelo, as described in Volume 234, Page 485, Deed Records of Tom Green County,
       Texas.
       Account #01-10100-0003-008-00

SALVADOR DEANDA, a single person; ($750):

       The North ½ of Lot 7, Block 3, Akin Addition, City of San Angelo, as described in
       Volume 478, Page 95, Deed Records of Tom Green County, Texas.
       Account #01-10100-003-009-00

ALEJOS GUERRA and MARTHA ANN GUERRA, a married couple; ($1,900):

       Lot 3, Block 11, Lasker Addition, an addition to the City of San Angelo, Tom Green
       County, Texas, as described in Volume 1234, Page 952, Official Public Records of Real
       Property of Tom Green County, Texas.
       Account #16-31200-0011-002-00
ALEJOS GUERRA and MARTHA ANN GUERRA, a married couple; ($2,500):

      Lot 3, Block 12, Lasker Addition, an addition to the City of San Angelo, Tom Green
      County, Texas, according to the map or plat thereof, recorded in Volume 23, Page 272,
      Deed Records of Tom Green County, Texas.
      Account #16-31200-0012-003-00

MARLOW LEWIS, a single person, and CARLETTA MCKINNEY, a single person; ($750):

      The South 50 feet of the North 447.7 feet of Block 8 of the E.S. Kirby Subdivision, City
      of San Angelo, as described in Volume 687, Page 547, Deed Records of Tom Green
      County, Texas.
      Account #15-30200-0008-019-00

MARLOW LEWIS, a single person, and CARLETTA MCKINNEY, a single person; ($750):

      Lot 3, Block 31, Miles Addition, as described in Volume 186, Page 339, Deed Records of
      Tom Green County, Texas.
      Account #18-34200-0031-003-00

JOHN S. PEARCY, a single person; ($2,500):

      Lots 12, Block 5 “E”, Chapman’s Subdivision of Blocks 4 and 5, Freeland’s Addition,
      City of San Angelo, Tom Green County, Texas, as described in Volume 182, Page 208,
      Deed Records of Tom Green County, Texas.
      Account #05-17700-0005-012-00

JOHN S. PEARCY, a single person; ($2,500):

      Lot 30, Block 2B, George Allen Addition, City of San Angelo, being more particularly
      described in Volume 1131, Page 119, Official Public Records of Tom Green County,
      Texas.
      Account #01-10500-0002-027-00

JOHN S. PEARCY, a single person; ($2,700):

      Lot 3, Block 93, Dallas Subdivision of Miles Addition No. 2, known as Angelo Heights
      Addition, an addition to the City of San Angelo, Tom Green County, Texas, according to
      the map or plat thereof, recorded in Volume 54, Page 168, Deed Records of Tom Green
      County, Texas.
      Account #01-11000-0093-003-00

MACKLE E. ROBERTS and JACQUELINE P. ROBERTS, a married couple; ($750):

      Lot 10, Block 5, Mineola Addition, City of San Angelo, as described in Volume 620,
      Page 365, Deed Records of Tom Green County, Texas.
      Account #20-34900-0005-007-00
MACKLE E. ROBERTS and JACQUELINE P. ROBERTS, a married couple; ($750):

          Lot 11, Block 5, Mineola Addition, City of San Angelo, Tom Green County, Texas.
          Account #20-34900-0005-008-00

MACKLE E. ROBERTS and JACQUELINE P. ROBERTS, a married couple; ($750):

          Lot 12, Block 5, Mineola Addition, City of San Angelo, as described in Volume 408,
          Page 15, Deed Records of Tom Green County, Texas.
          Account #20-34900-0005-009-00


APPROVED AND ADOPTED ON THE                            DAY OF                      , 2013.


                                                        THE CITY OF SAN ANGELO

                                                        _______________________________
                                                        Alvin New, Mayor
Attest:

______________________________
Alicia Ramirez, City Clerk

Approved As to Content:                                 Approved As to Form:


______________________________                          ______________________________
Cindy M. Preas, Real Estate Administrator               Lysia H. Bowling, City Attorney
S 1/2 of the S 100' of N 150' o S 783.7' of
Block 8, E.S. Kirby Addition
2223 Lillie St                50' x 216'




Copyright 2011 Esri. All rights reserved. Mon Feb 13 2012 09:27:30 AM.
CLOSING TRUSTEE LOTS
                                              ACCEPTED OFFER              3/25/2013
                                                         SUIT #          TAX91-0010B

                                                     ACCOUNT #        15-30200-0008-011-00

WRITTEN OFFER BY          DATE        3/22/2013              BY    Cayddrick O'Brien Ballard

MEMO                                                              
PROPERTY ANALYSIS                                                 
RESOLUTION AUTHORIZING SALE OF REAL PROPERTY                      
RESOLUTION AUTHORIZING TAX RESALE COUNTY                          
RESOLUTION AUTHORIZING TAX RESALE SCHOOL                          
MAP                                                               

VERIFICATION SENT          3/27/2013 TGCAD                            CITY

REQUEST FOR LEGAL ASSISTANCE                  SENT     3/27/2013 RETURNED

EMAIL AGENDA                                          AGENDA                 4/16/2013

RECEIVE SIGNED RESOLUTIONS & TAX-RESALE DEED

COUNTY AGENDA             SENT                        DATE

DISTRICT AGENDA           SENT                        DATE

PAID     Earnest DATE      3/25/2013 CK/MO#    CC/Rcpt. #156722 AMT PD        $             350.00

         Closing DATE              CK/MO#                         AMT PD
                                                                        plus $30.00 filing fee
RECORDED AT TOM GREEN COUNTY CLERK'S OFFICE

REQUEST CHECKS TO DISTRIBUTE FUNDS

MAIL LETTERS AND DISTRIBUTE FUNDS

SEND LIEN ADJUSTMENT FORM (Mary/Blanca)
 David           Alicia              Cindy              Mike                    Mike
  Hall          Ramirez              Preas              Smith                   Dane

REMOVE FROM CITY OWNED PROPERTY

REMOVE FROM TAX FORECLOSURE LIST

PLACE ON RECORD MANAGEMENT - TAX RESALE SOLD LIST

MAIL ORIGINAL DEED TO NEW OWNER
NOTICE OF CONFIDENTIALITY RIGHTS: If you are a natural person, you may remove or
strike any or all of the following information from this instrument before it is filed for record in
the public records: your social security number or your driver’s license number.

                                               Tax-Resale Deed
                                     (Property Sold for Less than Adjudged Value)

   Date:            __________________________

   Grantor:         The City of San Angelo, a Texas home-rule municipal corporation, for itself and as Trustee
                    for itself, Tom Green County, and San Angelo Independent School District
                    72 West College Avenue
                    San Angelo, Tom Green County, Texas 76903

   Grantee:         CAYDDRICK O’BRIEN BALLARD, a single person
                    2339 North Lillie Street
                    San Angelo, Tom Green County, Texas 76903

   Consideration: Ten and No/100 Dollars ($10.00) and other good and valuable consideration

   Property (including any improvements):

                    The South 1/2 of the South 100 feet of the North 150 feet of the South 783.7 feet of Block 8,
                    E.E. Kirby Addition, as described in Volume 688, Page 128, Deed Records of Tom Green
                    County, Texas.
                    Account #15-30200-0008-011-00

   Judgment:        Judgment for the foreclosure of a tax lien against the Property entered on September 2, 1992
                    in Suit No. TAX91-0010B by the 119th District Court of Tom Green County, Texas.

   Sheriff’s Deed: Grantor acquired full legal title to the Property — both for its own benefit and as Trustee for
                   all other taxing authorities entitled to receive proceeds from the sale of the Property under the
                   terms of the Judgment — by Sheriff’s Deed dated February 15, 1993, and recorded in
                   Volume 350, Page 175, Official Public Records of Real Property, Tom Green County, Texas.

            For the Consideration, Grantor — acting by and through its Mayor, who has been duly authorized to
   execute this instrument on Grantor’s behalf by resolution and order of Grantor’s City Council recorded in the
   City Council’s official minutes — hereby quitclaims to Grantee all of Grantor's right, title, and interest in and
   to the Property, to have and to hold it to Grantee and Grantee's heirs, successors, and assigns forever. Neither
   Grantor, nor any other taxing unit interested in the Judgment, nor any other person or entity claiming under
   them, will have, claim, or demand any right or title to the Property or any part of it. Grantor gives this Tax-
   Resale Deed without any express or implied warranty whatsoever; and all warranties that might arise by
   common law and the warranties in § 5.023 of the Texas Property Code (or its successor) are hereby specifically
   excluded.

            Grantee's rights under this deed are subject to the provisions of Chapter 34 of the Texas Tax Code,
   including, without limitation, any right of redemption remaining in the former owner of the Property; the terms
   of any recorded restrictive covenants running with the land that were recorded before January 1 of the year in
   which the tax lien on the property arose; any recorded lien that arose under such restrictive covenants that was
not extinguished in the judgment foreclosing the tax lien; and each valid easement of record as of the date of
the sale that was recorded before January 1 of the year the tax lien arose.

        Grantor is selling the Property to Grantee for an amount that is less than the lesser of (1) the market
value specified in the Judgment, or (2) the total amount of the Judgment.

        Grantee assumes full payment of any ad valorem taxes for the Property for the current year and all
future years.

        When the context requires, singular nouns and pronouns include the plural.

                                                           GRANTOR:

                                                           The City of San Angelo, a Texas home-rule
                                                           municipal corporation, for itself and as Trustee for
                                                           any taxing authorities named in the Judgment


ATTEST:                                                    By:      ____________________________
                                                                    Alvin New, Mayor and
                                                                    duly-authorized agent

Alicia Ramirez, City Clerk


STATE OF TEXAS                            §
                                          §
COUNTY OF TOM GREEN                       §

        This instrument was acknowledged before me on _____________________, 2013, by Alvin New,
Mayor and duly-authorized agent of the City of San Angelo, a Texas home-rule municipal corporation, on
behalf of such corporation and as Trustee for any taxing authorities named in the Judgment identified in the
above instrument.


                                                   __________________________________
                                                   Notary Public, State of Texas


After Recording, Return To:
PROPERTY ANALYSIS
                                             For Tax Resale Property

Legal Description:          The South 1/2 of the South 100 feet of the North 150 feet of the South 783.7 feet
                           of Block 8, E.E. Kirby Addition, as described in Volume 688, Page 128, Deed Records
                                                        of Tom Green County, Texas.
                                                      Account #15-30200-0008-011-00

Improved/Unimproved        Unimproved
Tax Suit Number:           TAX91-0010B
Location:                  2223 Lillie Street
Parcel Size/Dimensions:    50' x 216'
City of San Angelo vs.     Fay Hudson, a/k/a Fayrene Hudson Account # UNKNOWN
Tax ID Number:             #15-30200-0008-011-00
Judgment Date:             September 2, 1992
Date of Sheriff's Sale:    February 2, 1993
Sheriff's Deed Recorded:   February 17, 1993
                                                            Years Held in Trust                      20 YRS
Adjudge Value:             $ 4,000.00                       Sale under Urban Redevelopment?           No
Amount of Offer:           $     750.00




                           Amounts Due                         Priority    % of     Pro Rata    Amounts
                              Fees     Judgment              Allocations Remainder Allocations Distributed
Administration Fee            $500.00                            $500.00     0.00%                $500.00
Maintenance Fee            $ 2,800.00                       $    2,800.00     100.00% $   250.00 $    250.00
District Clerk                    $0.00                            $0.00          0.00%                 $0.00
Sheriff's Fee                     $0.00                            $0.00          0.00%                 $0.00
Attorney Fee                      $0.00                            $0.00          0.00%                 $0.00
Municipal Liens            $            -          $0.00                          0.00%   $0.00         $0.00
Taxes                      $            -          $0.00                          0.00%   $0.00         $0.00
Total                          $3,300.00           $0.00        $3,300.00     100.00%     $0.00      $750.00
Actual Total Amt Due                            $3,300.00
Amount Remaining                                            $     250.00

                           Offer will satisfy all costs according to the Judgment.
S 80' of E 12 2/2' of Lot 8, S 80' of Lot 7 & S
80' of W 1 5/6' of Lot 6, Block 3, Akins
Addition
310 E 9th Street                    64' x 80'




Copyright 2011 Esri. All rights reserved. Tue Feb 14 2012 03:32:37 PM.
S 80' of E 12 2/2' of Lot 8, S 80' of Lot 7 & S
80' of W 1 5/6' of Lot 6, Block 3, Akins
Addition
310 E 9th Street                    64' x 80'




Copyright 2011 Esri. All rights reserved. Tue Feb 14 2012 03:32:37 PM.
Date of                  Sales     Due      Customer
       Subdivision                         Lot                   Block         Sec             Owner   Service     Principal     Tax      Date        ID       Volume     Page     Instrument
Akin        S80 of E12.6' of Lot 8& S80' of Lot 7& S80' of W10' of Lot 6   3         Allcorn, A.J.               10/10/95      $45.00   $3.49   11/10/95      9999      514        7
Akin        S80' of E12.6 of 8 & S80' of W1'10" of 6                       3         Allcorn, R. J.              06/28/94      $45.00   $3.49   07/28/94      9999      444      786
Akin        S80' of 3,E12.6' of Lot 8 & S80' of Lot 7 & S80' of W1' of 6             Allcorn, R.J.               07/11/96      $45.00   $3.49   08/29/96      9999      594      444
Akin        S80' of E12.6' of Lot 8 & S80' of Lot 7 & S80' of Lot 6        3         Allcorn, R.J.               10/07/94      $45.00   $3.49   11/07/94      9999      463      699
Akin        S80' of E12.6' of Lot 8& S80' of Lot 7& S80 of W10' of Lot 6   3         Allcorn, R.J.               07/13/95      $45.00   $3.49   08/13/95      9999      494      122
Akin        S80' of E12.6' of Lot8 & S80' of Lot7 & S80' of W10' of Lot6   3         Allcorn, R.J.               04/28/95      $90.00   $6.98   05/28/95      9999      491      431
PARTIAL RELEASE OF LIEN

Holder of Lien: City of San Angelo, Tom Green County, Texas, a Texas home-rule municipal corporation

Holder’s Mailing Address (including county): c/o City Attorney
                                             72 W College Avenue
                                             San Angelo, Tom Green County, TX 76903

Owner of Property at Time Liens were Filed: R.J. Allcom

Liens are Described in the Following Documents:

   1. That one certain Lien recorded in Volume 514, Page 7, of the Official Public Records of                 Real
      Property, Tom Green County, Texas.
   2. That one certain Lien recorded in Volume 444, Page 786, of the Official Public Records of               Real
      Property, Tom Green County, Texas.
   3. That one certain Lien recorded in Volume 594, Page 444, of the Official Public Records of               Real
      Property, Tom Green County, Texas.
   4. That one certain Lien recorded in Volume 463, Page 699, of the Official Public Records of               Real
      Property, Tom Green County, Texas.
   5. That one certain Lien recorded in Volume 494, Page 122, of the Official Public Records of               Real
      Property, Tom Green County, Texas.
   6. That one certain Lien recorded in Volume 491, Page 431, of the Official Public Records of               Real
      Property, Tom Green County, Texas.

Property (including any improvements) to be Released from Lien:

   Tract 1: Being S. 80’ of E. 12.6’ of lot 8 & S. 80’ of W. 10’ of lot 6, Block 3, Akin Addition, City of San
   Angelo, Tom Green County, Texas.
   Tract 2: Being S. 80’ of E. 12.6’ of Lot 8 & S. 80’ of W. 1’10” of Lot 6, Block 3, Akin Addition, City of San
   Angelo, Tom Green County, Texas.
   Tract 3: Being S. 80’ of E. 12.6 of lot 8 & S. 80’ of Lot 7 & S. 80’ of W. 1’0” of lot 6, Block 3, Akin Addition,
   City of San Angelo, Tom Green County, Texas.
   Tract 4: Being S. 80’ of E. 12.6’ of Lot 8 & S. 80’ of Lot 7 & S. 80’ of Lot 6, Block 3, Akin Addition, City of
   San Angelo, Tom Green County, Texas.
   Tract 5: Being S. 80’ of E. 12.6 of lot 8 & S. 80’ of Lot 7 & S. 80’ of W. 10’ of lot 6, Block 3, Akin Addition,
   City of San Angelo, Tom Green County, Texas.

Holder of the lien acknowledges partial payment or other satisfaction of indebtedness secured thereby and
releases from the lien only the property described above.

When the context requires, singular nouns and pronouns include the plural.

       EXECUTED on the _______ day of _____________________, 2013.


                                                CITY OF SAN ANGELO
                                                a Texas home-rule municipal corporation


                                                BY:
                                                        Michael Dane, Assistant City Manager
STATE OF TEXAS      §
COUNTY OF TOM GREEN §

      This instrument was acknowledged before me on the ______ day of _________________, 2013, by
Michael Dane, as Assistant City Manager of the City of San Angelo, a Texas home-rule municipal corporation,
on behalf of said corporation.



                                                        Notary Public, State of Texas
WRITTEN OFFER

April 1, 2013


Mayor Alvin New
c/o Real Estate Division
City Attorney’s Office
72 W College Avenue
San Angelo, TX 76903

RE: TAX89-0364B

I, Salvador Deanda, a single person, submit a written offer in the amount of $750.00 for the
property described as follows:

       The South 80 feet of the East 12 2/3 Feet of Lot 8, the South 80 Feet of Lot 7, and
       the South 80 Feet of the West 1 5/6 Feet of Lot 6, Block 3, Akin’s Addition, City
       of San Angelo, as described in Volume 234, Page 485, Deed Records of Tom
       Green County, Texas.
       Account #01-10100-0003-008-00

I understand there is an additional $30.00 filing fee.

I understand I must provide a Certified or Cashier’s Check in the sum of $350.00. I also
understand that this earnest money shall be made payable without condition to the City of San
Angelo, Texas and is non-refundable once the offer has been accepted by the Property Manager.
Monies furnished as “earnest money” will be credited towards the sales price.

I understand I can not owe any delinquent taxes or fees to any of the taxing entities (City of San
Angelo, Tom Green County, and San Angelo Independent School District).

I understand that I have sixty (60) days from the date of purchase to notify the City Property
Manager of any City Liens; if I do not, I understand that I will be monetarily responsible for all
unpaid Liens.

If approved by the City Council, please make deed in the name(s) of:

Salvador Deanda
503 S Washington
San Angelo, TX 76901

325-650-4341 or 325-658-3043

Sincerely,


Salvador Deanda
NOTICE OF CONFIDENTIALITY RIGHTS: If you are a natural person, you may remove or
strike any or all of the following information from this instrument before it is filed for record in
the public records: your social security number or your driver’s license number.

                                               Tax-Resale Deed
                                     (Property Sold for Less than Adjudged Value)

   Date:            __________________________

   Grantor:         The City of San Angelo, a Texas home-rule municipal corporation, for itself and as Trustee
                    for itself, Tom Green County, and San Angelo Independent School District
                    72 West College Avenue
                    San Angelo, Tom Green County, Texas 76903

   Grantee:         SALVADOR DEANDA, a single person
                    503 S Washington
                    San Angelo, Tom Green County, Texas 76901

   Consideration: Ten and No/100 Dollars ($10.00) and other good and valuable consideration

   Property (including any improvements):

                    The South 80 feet of the East 12 2/3 Feet of Lot 8, the South 80 Feet of Lot 7, and the South
                    80 Feet of the West 1 5/6 Feet of Lot 6, Block 3, Akin’s Addition, City of San Angelo, as
                    described in Volume 234, Page 485, Deed Records of Tom Green County, Texas.
                    Account #01-10100-0003-008-00

   Judgment:        Judgment for the foreclosure of a tax lien against the Property entered on March 27, 1996 in
                    Suit No. TAX89-0364B by the 119th District Court of Tom Green County, Texas.

   Sheriff’s Deed: Grantor acquired full legal title to the Property — both for its own benefit and as Trustee for
                   all other taxing authorities entitled to receive proceeds from the sale of the Property under the
                   terms of the Judgment — by Sheriff’s Deed dated April 12, 1996, and recorded in
                   Volume 528, Page 999, Official Public Records of Real Property, Tom Green County, Texas.

            For the Consideration, Grantor — acting by and through its Mayor, who has been duly authorized to
   execute this instrument on Grantor’s behalf by resolution and order of Grantor’s City Council recorded in the
   City Council’s official minutes — hereby quitclaims to Grantee all of Grantor's right, title, and interest in and
   to the Property, to have and to hold it to Grantee and Grantee's heirs, successors, and assigns forever. Neither
   Grantor, nor any other taxing unit interested in the Judgment, nor any other person or entity claiming under
   them, will have, claim, or demand any right or title to the Property or any part of it. Grantor gives this Tax-
   Resale Deed without any express or implied warranty whatsoever; and all warranties that might arise by
   common law and the warranties in § 5.023 of the Texas Property Code (or its successor) are hereby specifically
   excluded.

            Grantee's rights under this deed are subject to the provisions of Chapter 34 of the Texas Tax Code,
   including, without limitation, any right of redemption remaining in the former owner of the Property; the terms
   of any recorded restrictive covenants running with the land that were recorded before January 1 of the year in
   which the tax lien on the property arose; any recorded lien that arose under such restrictive covenants that was
PARTIAL RELEASE OF LIEN

Holder of Lien: City of San Angelo, Tom Green County, Texas, a Texas home-rule municipal corporation

Holder’s Mailing Address (including county): c/o City Attorney
                                             72 W College Avenue
                                             San Angelo, Tom Green County, TX 76903

Owner of Property at Time Liens were Filed: R.J. Allcom

Liens are Described in the Following Documents:

   1. That one certain Lien recorded in Volume 514, Page 7, of the Official Public Records of                 Real
      Property, Tom Green County, Texas.
   2. That one certain Lien recorded in Volume 444, Page 786, of the Official Public Records of               Real
      Property, Tom Green County, Texas.
   3. That one certain Lien recorded in Volume 594, Page 444, of the Official Public Records of               Real
      Property, Tom Green County, Texas.
   4. That one certain Lien recorded in Volume 463, Page 699, of the Official Public Records of               Real
      Property, Tom Green County, Texas.
   5. That one certain Lien recorded in Volume 494, Page 122, of the Official Public Records of               Real
      Property, Tom Green County, Texas.
   6. That one certain Lien recorded in Volume 491, Page 431, of the Official Public Records of               Real
      Property, Tom Green County, Texas.

Property (including any improvements) to be Released from Lien:

   Tract 1: Being S. 80’ of E. 12.6’ of lot 8 & S. 80’ of W. 10’ of lot 6, Block 3, Akin Addition, City of San
   Angelo, Tom Green County, Texas.
   Tract 2: Being S. 80’ of E. 12.6’ of Lot 8 & S. 80’ of W. 1’10” of Lot 6, Block 3, Akin Addition, City of San
   Angelo, Tom Green County, Texas.
   Tract 3: Being S. 80’ of E. 12.6 of lot 8 & S. 80’ of Lot 7 & S. 80’ of W. 1’0” of lot 6, Block 3, Akin Addition,
   City of San Angelo, Tom Green County, Texas.
   Tract 4: Being S. 80’ of E. 12.6’ of Lot 8 & S. 80’ of Lot 7 & S. 80’ of Lot 6, Block 3, Akin Addition, City of
   San Angelo, Tom Green County, Texas.
   Tract 5: Being S. 80’ of E. 12.6 of lot 8 & S. 80’ of Lot 7 & S. 80’ of W. 10’ of lot 6, Block 3, Akin Addition,
   City of San Angelo, Tom Green County, Texas.

Holder of the lien acknowledges partial payment or other satisfaction of indebtedness secured thereby and
releases from the lien only the property described above.

When the context requires, singular nouns and pronouns include the plural.

       EXECUTED on the _______ day of _____________________, 2013.


                                                CITY OF SAN ANGELO
                                                a Texas home-rule municipal corporation


                                                BY:
                                                        Michael Dane, Assistant City Manager
STATE OF TEXAS      §
COUNTY OF TOM GREEN §

      This instrument was acknowledged before me on the ______ day of _________________, 2013, by
Michael Dane, as Assistant City Manager of the City of San Angelo, a Texas home-rule municipal corporation,
on behalf of said corporation.



                                                        Notary Public, State of Texas
not extinguished in the judgment foreclosing the tax lien; and each valid easement of record as of the date of
the sale that was recorded before January 1 of the year the tax lien arose.

        Grantor is selling the Property to Grantee for an amount that is less than the lesser of (1) the market
value specified in the Judgment, or (2) the total amount of the Judgment.

        Grantee assumes full payment of any ad valorem taxes for the Property for the current year and all
future years.

        When the context requires, singular nouns and pronouns include the plural.

                                                           GRANTOR:

                                                           The City of San Angelo, a Texas home-rule
                                                           municipal corporation, for itself and as Trustee for
                                                           any taxing authorities named in the Judgment


ATTEST:                                                    By:      ____________________________
                                                                    Alvin New, Mayor and
                                                                    duly-authorized agent

Alicia Ramirez, City Clerk


STATE OF TEXAS                            §
                                          §
COUNTY OF TOM GREEN                       §

        This instrument was acknowledged before me on _____________________, 2013, by Alvin New,
Mayor and duly-authorized agent of the City of San Angelo, a Texas home-rule municipal corporation, on
behalf of such corporation and as Trustee for any taxing authorities named in the Judgment identified in the
above instrument.


                                                   __________________________________
                                                   Notary Public, State of Texas


After Recording, Return To:
S 80' of E 12 2/2' of Lot 8, S 80' of Lot 7 & S
80' of W 1 5/6' of Lot 6, Block 3, Akins
Addition
310 E 9th Street                    64' x 80'




Copyright 2011 Esri. All rights reserved. Tue Feb 14 2012 03:32:37 PM.
WRITTEN OFFER

April 1, 2013


Mayor Alvin New
c/o Real Estate Division
City Attorney’s Office
72 W College Avenue
San Angelo, TX 76903

RE: TAX89-0364B

I, Salvador Deanda, a single person, submit a written offer in the amount of $750.00 for the
property described as follows:

       The South 80 feet of the East 12 2/3 Feet of Lot 8, the South 80 Feet of Lot 7, and
       the South 80 Feet of the West 1 5/6 Feet of Lot 6, Block 3, Akin’s Addition, City
       of San Angelo, as described in Volume 234, Page 485, Deed Records of Tom
       Green County, Texas.
       Account #01-10100-0003-008-00

I understand there is an additional $30.00 filing fee.

I understand I must provide a Certified or Cashier’s Check in the sum of $350.00. I also
understand that this earnest money shall be made payable without condition to the City of San
Angelo, Texas and is non-refundable once the offer has been accepted by the Property Manager.
Monies furnished as “earnest money” will be credited towards the sales price.

I understand I can not owe any delinquent taxes or fees to any of the taxing entities (City of San
Angelo, Tom Green County, and San Angelo Independent School District).

I understand that I have sixty (60) days from the date of purchase to notify the City Property
Manager of any City Liens; if I do not, I understand that I will be monetarily responsible for all
unpaid Liens.

If approved by the City Council, please make deed in the name(s) of:

Salvador Deanda
503 S Washington
San Angelo, TX 76901

325-650-4341 or 325-658-3043

Sincerely,


Salvador Deanda
NOTICE OF CONFIDENTIALITY RIGHTS: If you are a natural person, you may remove or
strike any or all of the following information from this instrument before it is filed for record in
the public records: your social security number or your driver’s license number.

                                               Tax-Resale Deed
                                     (Property Sold for Less than Adjudged Value)

   Date:            __________________________

   Grantor:         The City of San Angelo, a Texas home-rule municipal corporation, for itself and as Trustee
                    for itself, Tom Green County, and San Angelo Independent School District
                    72 West College Avenue
                    San Angelo, Tom Green County, Texas 76903

   Grantee:         SALVADOR DEANDA, a single person
                    503 S Washington
                    San Angelo, Tom Green County, Texas 76901

   Consideration: Ten and No/100 Dollars ($10.00) and other good and valuable consideration

   Property (including any improvements):

                    The South 80 feet of the East 12 2/3 Feet of Lot 8, the South 80 Feet of Lot 7, and the South
                    80 Feet of the West 1 5/6 Feet of Lot 6, Block 3, Akin’s Addition, City of San Angelo, as
                    described in Volume 234, Page 485, Deed Records of Tom Green County, Texas.
                    Account #01-10100-0003-008-00

   Judgment:        Judgment for the foreclosure of a tax lien against the Property entered on March 27, 1996 in
                    Suit No. TAX89-0364B by the 119th District Court of Tom Green County, Texas.

   Sheriff’s Deed: Grantor acquired full legal title to the Property — both for its own benefit and as Trustee for
                   all other taxing authorities entitled to receive proceeds from the sale of the Property under the
                   terms of the Judgment — by Sheriff’s Deed dated April 12, 1996, and recorded in
                   Volume 528, Page 999, Official Public Records of Real Property, Tom Green County, Texas.

            For the Consideration, Grantor — acting by and through its Mayor, who has been duly authorized to
   execute this instrument on Grantor’s behalf by resolution and order of Grantor’s City Council recorded in the
   City Council’s official minutes — hereby quitclaims to Grantee all of Grantor's right, title, and interest in and
   to the Property, to have and to hold it to Grantee and Grantee's heirs, successors, and assigns forever. Neither
   Grantor, nor any other taxing unit interested in the Judgment, nor any other person or entity claiming under
   them, will have, claim, or demand any right or title to the Property or any part of it. Grantor gives this Tax-
   Resale Deed without any express or implied warranty whatsoever; and all warranties that might arise by
   common law and the warranties in § 5.023 of the Texas Property Code (or its successor) are hereby specifically
   excluded.

            Grantee's rights under this deed are subject to the provisions of Chapter 34 of the Texas Tax Code,
   including, without limitation, any right of redemption remaining in the former owner of the Property; the terms
   of any recorded restrictive covenants running with the land that were recorded before January 1 of the year in
   which the tax lien on the property arose; any recorded lien that arose under such restrictive covenants that was
not extinguished in the judgment foreclosing the tax lien; and each valid easement of record as of the date of
the sale that was recorded before January 1 of the year the tax lien arose.

        Grantor is selling the Property to Grantee for an amount that is less than the lesser of (1) the market
value specified in the Judgment, or (2) the total amount of the Judgment.

        Grantee assumes full payment of any ad valorem taxes for the Property for the current year and all
future years.

        When the context requires, singular nouns and pronouns include the plural.

                                                           GRANTOR:

                                                           The City of San Angelo, a Texas home-rule
                                                           municipal corporation, for itself and as Trustee for
                                                           any taxing authorities named in the Judgment


ATTEST:                                                    By:      ____________________________
                                                                    Alvin New, Mayor and
                                                                    duly-authorized agent

Alicia Ramirez, City Clerk


STATE OF TEXAS                            §
                                          §
COUNTY OF TOM GREEN                       §

        This instrument was acknowledged before me on _____________________, 2013, by Alvin New,
Mayor and duly-authorized agent of the City of San Angelo, a Texas home-rule municipal corporation, on
behalf of such corporation and as Trustee for any taxing authorities named in the Judgment identified in the
above instrument.


                                                   __________________________________
                                                   Notary Public, State of Texas


After Recording, Return To:
PROPERTY ANALYSIS
                                            For Tax Resale Property

Legal Description:         The South 80 feet of the East 12 2/3 Feet of Lot 8, the South 80 Feet of Lot 7, and
                           the South 80 Feet of the West 1 5/6 Feet of Lot 6, Block 3, Akin’s Addition, City of
                            San Angelo, as described in Volume 234, Page 485, Deed Records of Tom Green
                                                             County, Texas.
                                                   Account #01-10100-0003-008-00
Improved/Unimproved        Unimproved
Tax Suit Number:           TAX89-0364B
Location:                  310 E 9th Street
Parcel Size/Dimensions:    64' x 80'
City of San Angelo vs.     Robbie Allcorn, a/k/a Robbie Alcorn Mayes, a/k/a R.J. Allcorn Account # 995
Tax ID Number:             #01-10100-0003-008-00
Judgment Date:             March 27, 1996
Date of Sheriff's Sale:    February 6, 1996
Sheriff's Deed Recorded:   May 7, 1996
                                                          Years Held in Trust                        17 YRS
Adjudge Value:             $ 3,200.00                     Sale under Urban Redevelopment?              No
Amount of Offer:           $     750.00




                           Amounts Due                       Priority    % of     Pro Rata    Amounts
                              Fees     Judgment            Allocations Remainder Allocations Distributed
Administration Fee            $500.00                          $500.00     0.00%                $500.00
Maintenance Fee            $ 2,448.00                     $    2,448.00     100.00% $    250.00 $      250.00
District Clerk                    $0.00                          $0.00          0.00%                    $0.00
Sheriff's Fee                     $0.00                          $0.00          0.00%                    $0.00
Attorney Fee                      $0.00                          $0.00          0.00%                    $0.00
Municipal Liens            $           -         $0.00                          0.00%      $0.00         $0.00
Taxes                      $           -         $0.00                          0.00%      $0.00         $0.00
Total                          $2,948.00         $0.00        $2,948.00     100.00%        $0.00      $750.00
Actual Total Amt Due                          $2,948.00
Amount Remaining                                          $     250.00

                           Offer will satisfy all costs according to the Judgment.
N 1/2 of Lot 7, Block 2, Akin Addition
309 E 10th St                    50' x 80'




Copyright 2011 Esri. All rights reserved. Wed Dec 21 2011 03:47:06 PM.
PARTIAL RELEASE OF LIEN

Holder of Lien: City of San Angelo, Tom Green County, Texas, a Texas home-rule municipal corporation

Holder’s Mailing Address (including county): c/o City Attorney
                                             72 W College Avenue
                                             San Angelo, Tom Green County, TX 76903

Owner of Property at Time Liens were Filed: R.J. Allcom

Liens are Described in the Following Documents:

   1. That one certain Lien recorded in Volume 514, Page 7, of the Official Public Records of                 Real
      Property, Tom Green County, Texas.
   2. That one certain Lien recorded in Volume 444, Page 786, of the Official Public Records of               Real
      Property, Tom Green County, Texas.
   3. That one certain Lien recorded in Volume 594, Page 444, of the Official Public Records of               Real
      Property, Tom Green County, Texas.
   4. That one certain Lien recorded in Volume 463, Page 699, of the Official Public Records of               Real
      Property, Tom Green County, Texas.
   5. That one certain Lien recorded in Volume 494, Page 122, of the Official Public Records of               Real
      Property, Tom Green County, Texas.
   6. That one certain Lien recorded in Volume 491, Page 431, of the Official Public Records of               Real
      Property, Tom Green County, Texas.

Property (including any improvements) to be Released from Lien:

   Tract 1: Being S. 80’ of E. 12.6’ of lot 8 & S. 80’ of W. 10’ of lot 6, Block 3, Akin Addition, City of San
   Angelo, Tom Green County, Texas.
   Tract 2: Being S. 80’ of E. 12.6’ of Lot 8 & S. 80’ of W. 1’10” of Lot 6, Block 3, Akin Addition, City of San
   Angelo, Tom Green County, Texas.
   Tract 3: Being S. 80’ of E. 12.6 of lot 8 & S. 80’ of Lot 7 & S. 80’ of W. 1’0” of lot 6, Block 3, Akin Addition,
   City of San Angelo, Tom Green County, Texas.
   Tract 4: Being S. 80’ of E. 12.6’ of Lot 8 & S. 80’ of Lot 7 & S. 80’ of Lot 6, Block 3, Akin Addition, City of
   San Angelo, Tom Green County, Texas.
   Tract 5: Being S. 80’ of E. 12.6 of lot 8 & S. 80’ of Lot 7 & S. 80’ of W. 10’ of lot 6, Block 3, Akin Addition,
   City of San Angelo, Tom Green County, Texas.

Holder of the lien acknowledges partial payment or other satisfaction of indebtedness secured thereby and
releases from the lien only the property described above.

When the context requires, singular nouns and pronouns include the plural.

       EXECUTED on the _______ day of _____________________, 2013.


                                                CITY OF SAN ANGELO
                                                a Texas home-rule municipal corporation


                                                BY:
                                                        Michael Dane, Assistant City Manager
STATE OF TEXAS      §
COUNTY OF TOM GREEN §

      This instrument was acknowledged before me on the ______ day of _________________, 2013, by
Michael Dane, as Assistant City Manager of the City of San Angelo, a Texas home-rule municipal corporation,
on behalf of said corporation.



                                                        Notary Public, State of Texas
Date of                  Sales     Due      Customer
       Subdivision                         Lot                   Block         Sec             Owner   Service     Principal     Tax      Date        ID       Volume     Page     Instrument
Akin        S80 of E12.6' of Lot 8& S80' of Lot 7& S80' of W10' of Lot 6   3         Allcorn, A.J.               10/10/95      $45.00   $3.49   11/10/95      9999      514        7
Akin        S80' of E12.6 of 8 & S80' of W1'10" of 6                       3         Allcorn, R. J.              06/28/94      $45.00   $3.49   07/28/94      9999      444      786
Akin        S80' of 3,E12.6' of Lot 8 & S80' of Lot 7 & S80' of W1' of 6             Allcorn, R.J.               07/11/96      $45.00   $3.49   08/29/96      9999      594      444
Akin        S80' of E12.6' of Lot 8 & S80' of Lot 7 & S80' of Lot 6        3         Allcorn, R.J.               10/07/94      $45.00   $3.49   11/07/94      9999      463      699
Akin        S80' of E12.6' of Lot 8& S80' of Lot 7& S80 of W10' of Lot 6   3         Allcorn, R.J.               07/13/95      $45.00   $3.49   08/13/95      9999      494      122
Akin        S80' of E12.6' of Lot8 & S80' of Lot7 & S80' of W10' of Lot6   3         Allcorn, R.J.               04/28/95      $90.00   $6.98   05/28/95      9999      491      431
S 80' of E 12 2/2' of Lot 8, S 80' of Lot 7 & S
80' of W 1 5/6' of Lot 6, Block 3, Akins
Addition
310 E 9th Street                    64' x 80'




Copyright 2011 Esri. All rights reserved. Tue Feb 14 2012 03:32:37 PM.
PROPERTY ANALYSIS
                                            For Tax Resale Property

Legal Description:         The South 80 feet of the East 12 2/3 Feet of Lot 8, the South 80 Feet of Lot 7, and
                           the South 80 Feet of the West 1 5/6 Feet of Lot 6, Block 3, Akin’s Addition, City of
                            San Angelo, as described in Volume 234, Page 485, Deed Records of Tom Green
                                                             County, Texas.
                                                   Account #01-10100-0003-008-00
Improved/Unimproved        Unimproved
Tax Suit Number:           TAX89-0364B
Location:                  310 E 9th Street
Parcel Size/Dimensions:    64' x 80'
City of San Angelo vs.     Robbie Allcorn, a/k/a Robbie Alcorn Mayes, a/k/a R.J. Allcorn Account # 995
Tax ID Number:             #01-10100-0003-008-00
Judgment Date:             March 27, 1996
Date of Sheriff's Sale:    February 6, 1996
Sheriff's Deed Recorded:   May 7, 1996
                                                          Years Held in Trust                        17 YRS
Adjudge Value:             $ 3,200.00                     Sale under Urban Redevelopment?              No
Amount of Offer:           $     750.00




                           Amounts Due                       Priority    % of     Pro Rata    Amounts
                              Fees     Judgment            Allocations Remainder Allocations Distributed
Administration Fee            $500.00                          $500.00     0.00%                $500.00
Maintenance Fee            $ 2,448.00                     $    2,448.00     100.00% $    250.00 $      250.00
District Clerk                    $0.00                          $0.00          0.00%                    $0.00
Sheriff's Fee                     $0.00                          $0.00          0.00%                    $0.00
Attorney Fee                      $0.00                          $0.00          0.00%                    $0.00
Municipal Liens            $           -         $0.00                          0.00%      $0.00         $0.00
Taxes                      $           -         $0.00                          0.00%      $0.00         $0.00
Total                          $2,948.00         $0.00        $2,948.00     100.00%        $0.00      $750.00
Actual Total Amt Due                          $2,948.00
Amount Remaining                                          $     250.00

                           Offer will satisfy all costs according to the Judgment.
PROPERTY ANALYSIS
                                          CITY PROPERTY

Legal Description:
                      Subdivision:
                            Block:
                               Lot:
Location:
Usage:
Tax ID Number:
Deed:                                                            Date:
Responsible Department:
Zoning:
Parcel Size/Dimensions:                                   Miscellaneous Information:
Plat Restictions?
Recent Survey:
Connected to other Parcel?
Easements:
Right-of-Ways:
Utilities:
Available for Sale?


                       Front                                       Aerial
PROPERTY ANALYSIS
                                         For Tax Resale Property:

Legal Description:       Lot 5, Block 6, Kenley Addition, an addition to the City of San Angelo, Tom Green County,
                         Texas, as described in Volume 335, Page 11, Deed Records of Tom Green County, Texas.



Improved or            Unimproved
Unimproved:
Tax Suit Number:       B-06-0131-T
Location:              1814 Ellis Street
Size/Dimensions:       50' x 130'
City of San Angelo vs. Katie Glenn         Account #1822
Tax ID Number:         15-29800-0006-005-00
Judgment Date:         November 14, 2007
Date of Sheriff's Sale: October 7, 2008

Sheriff's Deed         October 22, 2008
Recorded:
                                                    Years Held in Trust                                     4 YRS
Adjudge Value:
                        $2,250.00                   Purchased under Urban Redevlopment?                     YES
Amount of Offer:
                          $750.00




                                     Amounts Due                      Priority   % of        Pro Rata   Amounts

                          Fees         Priority      Judgment     Allocations Remainder Allocations Distributed
                                      Judgment
Administration Fee     $ 500.00                                   $     500.00     0.00%                $    500.00
Maintenance Fee                      $     137.09                                100.00% $     137.09 $      137.09
District Clerk                       $        -                   $         -      0.00%                $         -
Sheriff's Fee                        $        -                   $         -      0.00%                $         -
Attorney Fee                         $        -                   $         -      0.00%                $         -
Municipal Liens                                     $    112.91                  100.00% $     112.91 $      112.91
Taxes                                               $       -                      0.00% $         -    $         -
Total
                       $ 500.00 $             -     $    112.91 $       500.00   200.00% $     112.91 $      750.00
Actual Total Amt Due                 $     612.91
Amount Remaining                                        $137.09
Under Tex. Tax Code §34.051 a municipality is authorized to resell tax foreclosed property for less than the market value
specified in the judgment of foreclosure or less than the total amount of the judgments against the property if consent to the
  conveyance is evidenced by an Interlocal Agreement between the municipality and each taxing unit that is a party to the
                                                           judgment.
PROPERTY ANALYSIS
                                         For Tax Resale Property:

Legal Description:       Lot 5, Block 6, Kenley Addition, an addition to the City of San Angelo, Tom Green County,
                         Texas, as described in Volume 335, Page 11, Deed Records of Tom Green County, Texas.



Improved or            Unimproved
Unimproved:
Tax Suit Number:       B-06-0131-T
Location:              1814 Ellis Street
Size/Dimensions:       50' x 130'
City of San Angelo vs. Katie Glenn         Account #1822
Tax ID Number:         15-29800-0006-005-00
Judgment Date:         November 14, 2007
Date of Sheriff's Sale: October 7, 2008

Sheriff's Deed         October 22, 2008
Recorded:
                                                    Years Held in Trust                                     4 YRS
Adjudge Value:
                        $2,250.00                   Purchased under Urban Redevlopment?                     YES
Amount of Offer:
                          $750.00




                                     Amounts Due                      Priority   % of        Pro Rata   Amounts

                          Fees         Priority      Judgment     Allocations Remainder Allocations Distributed
                                      Judgment
Administration Fee     $ 500.00                                   $     500.00     0.00%                $    500.00
Maintenance Fee                      $        -                                    0.00% $         -    $         -
District Clerk                       $     333.00                                45.43% $      113.57 $      113.57
Sheriff's Fee                        $     100.00                                13.64% $        34.11 $      34.11
Attorney Fee                         $     300.00                                40.93% $      102.32 $      102.32
Municipal Liens                                     $    428.00                    0.00% $         -    $         -
Taxes                                               $ 2,535.00                     0.00% $         -    $         -
Total
                       $ 500.00 $          733.00 $ 2,963.00 $          500.00   100.00% $     250.00 $      750.00
Actual Total Amt Due                 $ 4,196.00
Amount Remaining                                        $250.00
Under Tex. Tax Code §34.051 a municipality is authorized to resell tax foreclosed property for less than the market value
specified in the judgment of foreclosure or less than the total amount of the judgments against the property if consent to the
  conveyance is evidenced by an Interlocal Agreement between the municipality and each taxing unit that is a party to the
                                                           judgment.
NOTICE OF CONFIDENTIALITY RIGHTS: If you are a natural person, you may remove or
strike any or all of the following information from this instrument before it is filed for record in
the public records: your social security number or your driver’s license number.

                                               Tax-Resale Deed
                                     (Property Sold for Less than Adjudged Value)

   Date:            __________________________

   Grantor:         The City of San Angelo, a Texas home-rule municipal corporation, for itself and as Trustee
                    for itself, Tom Green County, and San Angelo Independent School District
                    72 West College Avenue
                    San Angelo, Tom Green County, Texas 76903

   Grantee:         SALVADOR DEANDA, a single person
                    503 S Washington
                    San Angelo, Tom Green County, Texas 76901

   Consideration: Ten and No/100 Dollars ($10.00) and other good and valuable consideration

   Property (including any improvements):

                    The South 80 feet of the East 12 2/3 Feet of Lot 8, the South 80 Feet of Lot 7, and the South
                    80 Feet of the West 1 5/6 Feet of Lot 6, Block 3, Akin’s Addition, City of San Angelo, as
                    described in Volume 234, Page 485, Deed Records of Tom Green County, Texas.
                    Account #01-10100-0003-008-00

   Judgment:        Judgment for the foreclosure of a tax lien against the Property entered on March 27, 1996 in
                    Suit No. TAX89-0364B by the 119th District Court of Tom Green County, Texas.

   Sheriff’s Deed: Grantor acquired full legal title to the Property — both for its own benefit and as Trustee for
                   all other taxing authorities entitled to receive proceeds from the sale of the Property under the
                   terms of the Judgment — by Sheriff’s Deed dated April 12, 1996, and recorded in
                   Volume 528, Page 999, Official Public Records of Real Property, Tom Green County, Texas.

            For the Consideration, Grantor — acting by and through its Mayor, who has been duly authorized to
   execute this instrument on Grantor’s behalf by resolution and order of Grantor’s City Council recorded in the
   City Council’s official minutes — hereby quitclaims to Grantee all of Grantor's right, title, and interest in and
   to the Property, to have and to hold it to Grantee and Grantee's heirs, successors, and assigns forever. Neither
   Grantor, nor any other taxing unit interested in the Judgment, nor any other person or entity claiming under
   them, will have, claim, or demand any right or title to the Property or any part of it. Grantor gives this Tax-
   Resale Deed without any express or implied warranty whatsoever; and all warranties that might arise by
   common law and the warranties in § 5.023 of the Texas Property Code (or its successor) are hereby specifically
   excluded.

            Grantee's rights under this deed are subject to the provisions of Chapter 34 of the Texas Tax Code,
   including, without limitation, any right of redemption remaining in the former owner of the Property; the terms
   of any recorded restrictive covenants running with the land that were recorded before January 1 of the year in
   which the tax lien on the property arose; any recorded lien that arose under such restrictive covenants that was
not extinguished in the judgment foreclosing the tax lien; and each valid easement of record as of the date of
the sale that was recorded before January 1 of the year the tax lien arose.

        Grantor is selling the Property to Grantee for an amount that is less than the lesser of (1) the market
value specified in the Judgment, or (2) the total amount of the Judgment.

        Grantee assumes full payment of any ad valorem taxes for the Property for the current year and all
future years.

        When the context requires, singular nouns and pronouns include the plural.

                                                           GRANTOR:

                                                           The City of San Angelo, a Texas home-rule
                                                           municipal corporation, for itself and as Trustee for
                                                           any taxing authorities named in the Judgment


ATTEST:                                                    By:      ____________________________
                                                                    Alvin New, Mayor and
                                                                    duly-authorized agent

Alicia Ramirez, City Clerk


STATE OF TEXAS                            §
                                          §
COUNTY OF TOM GREEN                       §

        This instrument was acknowledged before me on _____________________, 2013, by Alvin New,
Mayor and duly-authorized agent of the City of San Angelo, a Texas home-rule municipal corporation, on
behalf of such corporation and as Trustee for any taxing authorities named in the Judgment identified in the
above instrument.


                                                   __________________________________
                                                   Notary Public, State of Texas


After Recording, Return To:
WRITTEN OFFER

April 1, 2013


Mayor Alvin New
c/o Real Estate Division
City Attorney’s Office
72 W College Avenue
San Angelo, TX 76903

RE: TAX89-0364B

I, Salvador Deanda, a single person, submit a written offer in the amount of $750.00 for the
property described as follows:

       The South 80 feet of the East 12 2/3 Feet of Lot 8, the South 80 Feet of Lot 7, and
       the South 80 Feet of the West 1 5/6 Feet of Lot 6, Block 3, Akin’s Addition, City
       of San Angelo, as described in Volume 234, Page 485, Deed Records of Tom
       Green County, Texas.
       Account #01-10100-0003-008-00

I understand there is an additional $30.00 filing fee.

I understand I must provide a Certified or Cashier’s Check in the sum of $350.00. I also
understand that this earnest money shall be made payable without condition to the City of San
Angelo, Texas and is non-refundable once the offer has been accepted by the Property Manager.
Monies furnished as “earnest money” will be credited towards the sales price.

I understand I can not owe any delinquent taxes or fees to any of the taxing entities (City of San
Angelo, Tom Green County, and San Angelo Independent School District).

I understand that I have sixty (60) days from the date of purchase to notify the City Property
Manager of any City Liens; if I do not, I understand that I will be monetarily responsible for all
unpaid Liens.

If approved by the City Council, please make deed in the name(s) of:

Salvador Deanda
503 S Washington
San Angelo, TX 76901

325-650-4341 or 325-658-3043

Sincerely,


Salvador Deanda
Date of                 Sales     Due    Customer
       Subdivision                Lot    Block   Sec                  Owner   Service    Principal     Tax      Date      ID     Volume    Page     Instrument
Akin                 N80' of 7          3              Marshall, Weldon C.         10/05/93      $45.00    $3.49 12/12/93     1443    427       957
Akin                 N 80' of 7         3              Marshall, Weldon C.         11/18/75     $321.50    $0.00 11/18/75     1443
Akin, C.A.           N80' of 7          3              Marshall, Weldon C.         04/03/86      $25.00    $0.00 05/10/86     1443    145       561
Akin, C.A.           N80' of 7          3              Marshall, Weldon C.         02/06/85      $15.00    $0.00 03/08/85     1443    142       400
Akin, C.A.           7, N80'            3              Marshall, Weldon C.         02/06/85      $15.00    $0.00 02/07/85     1443    139       251
Akin, C.A.           N80' of 7          3              Marshall, Weldon C.         09/12/86      $25.00    $0.00 10/24/86     1443      26      265
N 1/2 of Lot 7, Block 2, Akin Addition
309 E 10th St                    50' x 80'




Copyright 2011 Esri. All rights reserved. Wed Dec 21 2011 03:47:06 PM.
PARTIAL RELEASE OF LIEN

Holder of Lien: City of San Angelo, Tom Green County, Texas, a Texas home-rule municipal corporation

Holder’s Mailing Address (including county): c/o City Attorney
                                             72 W College Avenue
                                             San Angelo, Tom Green County, TX 76903

Owner of Property at Time Liens were Filed: Weldon C. Marshall

Liens are Described in the Following Documents:

   1. That one certain Lien recorded in Volume 427, Page 957, of the Official Public Records       of Real
      Property, Tom Green County, Texas.
   2. That one certain Lien recorded in Volume 145, Page 561, of the Official Public Records       of Real
      Property, Tom Green County, Texas.
   3. That one certain Lien recorded in Volume 142, Page 400, of the Official Public Records       of Real
      Property, Tom Green County, Texas.
   4. That one certain Lien recorded in Volume 139, Page 251, of the Official Public Records       of Real
      Property, Tom Green County, Texas.
   5. That one certain Lien recorded in Volume 26, Page 265, of the Official Public Records        of Real
      Property, Tom Green County, Texas.

Property (including any improvements) to be Released from Lien:

   Tract 1: Being N 80’ of Lot 7, Block 3, Akin Addition, City of San Angelo, Tom Green County, Texas.
   Tract 2: Being N 80’ of Lot 7, Block 3, C.A. Akin Addition, City of San Angelo, Tom Green County, Texas.
   Tract 2: Being Lot 7 (N 80’), Block 3, C.A. Akin Addition, City of San Angelo, Tom Green County, Texas.

Holder of the lien acknowledges partial payment or other satisfaction of indebtedness secured thereby and
releases from the lien only the property described above.

When the context requires, singular nouns and pronouns include the plural.

       EXECUTED on the _______ day of _____________________, 2013.


                                            CITY OF SAN ANGELO
                                            a Texas home-rule municipal corporation


                                            BY:
                                                    Michael Dane, Assistant City Manager
STATE OF TEXAS      §
COUNTY OF TOM GREEN §

      This instrument was acknowledged before me on the ______ day of _________________, 2013, by
Michael Dane, as Assistant City Manager of the City of San Angelo, a Texas home-rule municipal corporation,
on behalf of said corporation.



                                                    Notary Public, State of Texas
RELEASE OF PAVING ASSESSMENT

DATE:                           April 2, 2013

PAYEE:                          City of San Angelo

DATE OF MATURITY:               As Therein Provided

HOLDER OF LIEN:                 City of San Angelo

HOLDER’S MAILING ADDRESS:               72 W College Avenue, San Angelo, Texas 76903

PROPERTIES AND OWNERS TO BE RELEASED FROM LIENS:


NAME                                  LOT                                BLOCK          SUBDIVISION

Marshall C. Weldon                    N 80’ of 7                         3              Akins


Holder of the lien acknowledges payment or other satisfaction of indebtedness secured thereby and
releases from the lien only the properties described above.

When the context requires, singular nouns and pronouns include the plural.

EXECUTED on the _______ day of _____________________, 2013.


                                                        CITY OF SAN ANGELO



                                                BY:
                                                        Michael Dane, Assistant City Manager


STATE OF TEXAS                  §
COUNTY OF TOM GREEN             §

This instrument was acknowledged before me on the ______ day of _________________, 2013, by
MICHAEL DANE, as Assistant City Manager of the City of San Angelo, a Texas home- rule municipal
corporation, on behalf of said corporation.



                                                        Notary Public, State of Texas
PROPERTY ANALYSIS
                                            For Tax Resale Property

Legal Description:             The North ½ of Lot 7, Block 3, Akin Addition, City of San Angelo, as described in
                                     Volume 478, Page 95, Deed Records of Tom Green County, Texas.
                                                       Account #01-10100-003-009-00



Improved/Unimproved        Unimproved
Tax Suit Number:           TAX90-0082B
Location:                  309 E 10th Street
Parcel Size/Dimensions:    50' x 80'
City of San Angelo vs.     Weldon Carlos Marshall Account # 1443
Tax ID Number:             Account #01-10100-003-009-00
Judgment Date:             October 14, 1992
Date of Sheriff's Sale:    February 4, 1997
Sheriff's Deed Recorded:   February 21, 1997
                                                          Years Held in Trust                           16 YRS
Adjudge Value:             $ 2,500.00                     Sale under Urban Redevelopment?                 No
Amount of Offer:           $      750.00




                           Amounts Due                       Priority    % of     Pro Rata    Amounts
                              Fees     Judgment            Allocations Remainder Allocations Distributed
Administration Fee            $500.00                          $500.00     0.00%                $500.00
Maintenance Fee            $ 2,240.00                     $    2,240.00      100.00% $      250.00 $      250.00
District Clerk                      $0.00                        $0.00          0.00%                      $0.00
Sheriff's Fee                       $0.00                        $0.00          0.00%                      $0.00
Attorney Fee                        $0.00                        $0.00          0.00%                      $0.00
Municipal Liens            $           -          $0.00                         0.00%        $0.00         $0.00
Taxes                      $           -          $0.00                         0.00%        $0.00         $0.00
Total                          $2,740.00          $0.00       $2,740.00      100.00%         $0.00       $750.00
Actual Total Amt Due                         $2,740.00
Amount Remaining                                          $     250.00

                           Offer will satisfy all costs according to the Judgment.
PROPERTY ANALYSIS
                                          CITY PROPERTY

Legal Description:
                      Subdivision:
                            Block:
                               Lot:
Location:
Usage:
Tax ID Number:
Deed:                                                            Date:
Responsible Department:
Zoning:
Parcel Size/Dimensions:                                   Miscellaneous Information:
Plat Restictions?
Recent Survey:
Connected to other Parcel?
Easements:
Right-of-Ways:
Utilities:
Available for Sale?


                       Front                                       Aerial
PROPERTY ANALYSIS
                                         For Tax Resale Property:

Legal Description:       Lot 5, Block 6, Kenley Addition, an addition to the City of San Angelo, Tom Green County,
                         Texas, as described in Volume 335, Page 11, Deed Records of Tom Green County, Texas.



Improved or            Unimproved
Unimproved:
Tax Suit Number:       B-06-0131-T
Location:              1814 Ellis Street
Size/Dimensions:       50' x 130'
City of San Angelo vs. Katie Glenn         Account #1822
Tax ID Number:         15-29800-0006-005-00
Judgment Date:         November 14, 2007
Date of Sheriff's Sale: October 7, 2008

Sheriff's Deed         October 22, 2008
Recorded:
                                                    Years Held in Trust                                     4 YRS
Adjudge Value:
                        $2,250.00                   Purchased under Urban Redevlopment?                     YES
Amount of Offer:
                          $750.00




                                     Amounts Due                      Priority   % of        Pro Rata   Amounts

                          Fees         Priority      Judgment     Allocations Remainder Allocations Distributed
                                      Judgment
Administration Fee     $ 500.00                                   $     500.00     0.00%                $    500.00
Maintenance Fee                      $     137.09                                100.00% $     137.09 $      137.09
District Clerk                       $        -                   $         -      0.00%                $         -
Sheriff's Fee                        $        -                   $         -      0.00%                $         -
Attorney Fee                         $        -                   $         -      0.00%                $         -
Municipal Liens                                     $    112.91                  100.00% $     112.91 $      112.91
Taxes                                               $       -                      0.00% $         -    $         -
Total
                       $ 500.00 $             -     $    112.91 $       500.00   200.00% $     112.91 $      750.00
Actual Total Amt Due                 $     612.91
Amount Remaining                                        $137.09
Under Tex. Tax Code §34.051 a municipality is authorized to resell tax foreclosed property for less than the market value
specified in the judgment of foreclosure or less than the total amount of the judgments against the property if consent to the
  conveyance is evidenced by an Interlocal Agreement between the municipality and each taxing unit that is a party to the
                                                           judgment.
PROPERTY ANALYSIS
                                         For Tax Resale Property:

Legal Description:       Lot 5, Block 6, Kenley Addition, an addition to the City of San Angelo, Tom Green County,
                         Texas, as described in Volume 335, Page 11, Deed Records of Tom Green County, Texas.



Improved or            Unimproved
Unimproved:
Tax Suit Number:       B-06-0131-T
Location:              1814 Ellis Street
Size/Dimensions:       50' x 130'
City of San Angelo vs. Katie Glenn         Account #1822
Tax ID Number:         15-29800-0006-005-00
Judgment Date:         November 14, 2007
Date of Sheriff's Sale: October 7, 2008

Sheriff's Deed         October 22, 2008
Recorded:
                                                    Years Held in Trust                                     4 YRS
Adjudge Value:
                        $2,250.00                   Purchased under Urban Redevlopment?                     YES
Amount of Offer:
                          $750.00




                                     Amounts Due                      Priority   % of        Pro Rata   Amounts

                          Fees         Priority      Judgment     Allocations Remainder Allocations Distributed
                                      Judgment
Administration Fee     $ 500.00                                   $     500.00     0.00%                $    500.00
Maintenance Fee                      $        -                                    0.00% $         -    $         -
District Clerk                       $     333.00                                45.43% $      113.57 $      113.57
Sheriff's Fee                        $     100.00                                13.64% $        34.11 $      34.11
Attorney Fee                         $     300.00                                40.93% $      102.32 $      102.32
Municipal Liens                                     $    428.00                    0.00% $         -    $         -
Taxes                                               $ 2,535.00                     0.00% $         -    $         -
Total
                       $ 500.00 $          733.00 $ 2,963.00 $          500.00   100.00% $     250.00 $      750.00
Actual Total Amt Due                 $ 4,196.00
Amount Remaining                                        $250.00
Under Tex. Tax Code §34.051 a municipality is authorized to resell tax foreclosed property for less than the market value
specified in the judgment of foreclosure or less than the total amount of the judgments against the property if consent to the
  conveyance is evidenced by an Interlocal Agreement between the municipality and each taxing unit that is a party to the
                                                           judgment.
NOTICE OF CONFIDENTIALITY RIGHTS: If you are a natural person, you may remove or
strike any or all of the following information from this instrument before it is filed for record in
the public records: your social security number or your driver’s license number.

                                               Tax-Resale Deed
                                     (Property Sold for Less than Adjudged Value)

   Date:            __________________________

   Grantor:         The City of San Angelo, a Texas home-rule municipal corporation, for itself and as Trustee
                    for itself, Tom Green County, and San Angelo Independent School District
                    72 West College Avenue
                    San Angelo, Tom Green County, Texas 76903

   Grantee:         SALVADOR DEANDA, a single person
                    503 S Washington
                    San Angelo, Tom Green County, Texas 76901

   Consideration: Ten and No/100 Dollars ($10.00) and other good and valuable consideration

   Property (including any improvements):

                    The North ½ of Lot 7, Block 3, Akin Addition, City of San Angelo, as described in Volume
                    478, Page 95, Deed Records of Tom Green County, Texas.
                    Account #01-10100-003-009-00

   Judgment:        Judgment for the foreclosure of a tax lien against the Property entered on October 14, 1992 in
                    Suit No. TAX90-0082B by the 119th District Court of Tom Green County, Texas.

   Sheriff’s Deed: Grantor acquired full legal title to the Property — both for its own benefit and as Trustee for
                   all other taxing authorities entitled to receive proceeds from the sale of the Property under the
                   terms of the Judgment — by Sheriff’s Deed dated February 17, 1997, and recorded in
                   Volume 570, Page 94, Official Public Records of Real Property, Tom Green County, Texas.

            For the Consideration, Grantor — acting by and through its Mayor, who has been duly authorized to
   execute this instrument on Grantor’s behalf by resolution and order of Grantor’s City Council recorded in the
   City Council’s official minutes — hereby quitclaims to Grantee all of Grantor's right, title, and interest in and
   to the Property, to have and to hold it to Grantee and Grantee's heirs, successors, and assigns forever. Neither
   Grantor, nor any other taxing unit interested in the Judgment, nor any other person or entity claiming under
   them, will have, claim, or demand any right or title to the Property or any part of it. Grantor gives this Tax-
   Resale Deed without any express or implied warranty whatsoever; and all warranties that might arise by
   common law and the warranties in § 5.023 of the Texas Property Code (or its successor) are hereby specifically
   excluded.

            Grantee's rights under this deed are subject to the provisions of Chapter 34 of the Texas Tax Code,
   including, without limitation, any right of redemption remaining in the former owner of the Property; the terms
   of any recorded restrictive covenants running with the land that were recorded before January 1 of the year in
   which the tax lien on the property arose; any recorded lien that arose under such restrictive covenants that was
not extinguished in the judgment foreclosing the tax lien; and each valid easement of record as of the date of
the sale that was recorded before January 1 of the year the tax lien arose.

        Grantor is selling the Property to Grantee for an amount that is less than the lesser of (1) the market
value specified in the Judgment, or (2) the total amount of the Judgment.

        Grantee assumes full payment of any ad valorem taxes for the Property for the current year and all
future years.

        When the context requires, singular nouns and pronouns include the plural.

                                                           GRANTOR:

                                                           The City of San Angelo, a Texas home-rule
                                                           municipal corporation, for itself and as Trustee for
                                                           any taxing authorities named in the Judgment


ATTEST:                                                    By:      ____________________________
                                                                    Alvin New, Mayor and
                                                                    duly-authorized agent

Alicia Ramirez, City Clerk


STATE OF TEXAS                            §
                                          §
COUNTY OF TOM GREEN                       §

        This instrument was acknowledged before me on _____________________, 2013, by Alvin New,
Mayor and duly-authorized agent of the City of San Angelo, a Texas home-rule municipal corporation, on
behalf of such corporation and as Trustee for any taxing authorities named in the Judgment identified in the
above instrument.


                                                   __________________________________
                                                   Notary Public, State of Texas


After Recording, Return To:
WRITTEN OFFER

April 1, 2013


Mayor Alvin New
c/o Real Estate Division
City Attorney’s Office
72 W College Avenue
San Angelo, TX 76903

RE: TAX90-0082B

I, Salvador Deanda, a single person, submit a written offer in the amount of $750.00 for the
property described as follows:

       The North ½ of Lot 7, Block 3, Akin Addition, City of San Angelo, as described
       in Volume 478, Page 95, Deed Records of Tom Green County, Texas.
       Account #01-10100-003-009-00

I understand there is an additional $30.00 filing fee.

I understand I must provide a Certified or Cashier’s Check in the sum of $350.00. I also
understand that this earnest money shall be made payable without condition to the City of San
Angelo, Texas and is non-refundable once the offer has been accepted by the Property Manager.
Monies furnished as “earnest money” will be credited towards the sales price.

I understand I can not owe any delinquent taxes or fees to any of the taxing entities (City of San
Angelo, Tom Green County, and San Angelo Independent School District).

I understand that I have sixty (60) days from the date of purchase to notify the City Property
Manager of any City Liens; if I do not, I understand that I will be monetarily responsible for all
unpaid Liens.

If approved by the City Council, please make deed in the name(s) of:

Salvador Deanda
503 S Washington
San Angelo, TX 76901

325-650-4341 or 325-658-3043

Sincerely,


Salvador Deanda
City of San Angelo



Memo
 Date:      March 14, 2013

 To:        Mayor and Councilmembers

 From:      Cindy M. Preas, Real Estate Administrator (657-4407)

 Subject:   Agenda Item for April 16, 2013 Council Meeting

 Contact:   Diana Farris, Property Specialist (657-4407)

 Caption:   Consent Item

            Consideration of adopting a Resolution of the City of San Angelo authorizing the
            mayor to execute a tax-resale (quitclaim) deed conveying all right, title and interest
            of the City of San Angelo, and all other taxing units interested in the tax
            foreclosure judgment:
            2223 Lillie Street, (Ballard), S ½ of S 100’ of N 150’ of S 783.7’ of Block 8, Kirby,
            $750, Suit No. TAX91-0010B
                     th
            309 E 10 Street, (Deanda), N ½ of Lot 7, Block 3, Akins, $750, Suit No. TAX90-
            0082B
                    th
            310 E 9 Street, (Deanda), S 80’ of E 12 2/3’ of Lot 8, S 80’ of Lot 7 & S 80’ of W
            1 5/6’ of Lot 6, Block 3, Akins, $750, Suit No. TAX89-0364B
                         th
            115 W 16 Street, (Guerra), Lot 3, Block 11, Lasker, $1,900, Suit No. B-06-0088-
            T
                         th
            217 W 16 Street, (Guerra), Lot 3, Block 12, Lasker, $2,500, Suit No. B-05-0274-
            T
            2327 Lillie Street, (Lewis-McKinney), S 50’ of N 447.7’ of Block 8, Kirby, $750,
            Suit No. TAX89-0217B
                     th
            209 W 9 Street, (Lewis-McKinney), Lot 3, Block 31, Miles, $750, Suit No. B-95-
            0055-T
            1923 Coleman Street, (Pearcy), Lot 12, Block 5 “E”, Chapman, $2,500, Suit No.
            B-07-0200-T
            322 N Harrison Street, (Pearcy), Lot 30, Block 2B, George Allen, $2,500, Suit No.
            B-09-0050-T
            613 N Adams Street, (Pearcy), Lot 3, Block 93, Angelo Heights, $2,700, Suit No.
            B-05-0268-T
                          th
            800 W 16           Street, (Roberts), Lot 10, Block 5, Mineola, $750, Suit No. TAX89-
            0032B
                          th
            804 W 16           Street, (Roberts), Lot 11, Block 5, Mineola, $750, Suit No. TAX91-
            0054B
                          th
            810 W 16           Street, (Roberts), Lot 12, Block 5, Mineola, $750, Suit No. TAX93-
            0151B

 Summary:   The subject properties were auctioned at Sheriff’s Sale. No offers were received
            causing subject properties to be stuck-off to the City, as Trustee for itself and the
                                                                                    Adopted: 5/30/03
                                                                                    Revised: 6/21/10
other taxing entities.


History:              The attached Property Analysis reflects amounts of delinquent taxes, accrued
                      penalties, interest, attorney fees and costs for delinquent years of, together with
                      additional penalties and interest at the rates prescribed by Chapter 33, Tex.
                      Propety

Financial Impact:     Upon approval: (1) The City will retain a $500 Administration fee; (2) The balance
                      will be distributed according to the judgment on the Sheriff’s Return; and (3)
                      Property will be reinstated back onto tax roll.

Related Vision Item   Financial Vision – Examine liquidation of unused or underperforming city-owned
                      properties
(if applicable):
                      Neighborhood Vision – Attract reinvestment

Other Information/    Staff recommends approval.
Recommendation:

Attachments:          Resolution, Property Analysis, Tax-Resale Deed and Property Location Map

Presentation:         N/A

Publication:          N/A

Reviewed by           Lysia H. Bowling, City Attorney
Director:

Approved by Legal:
City of San Angelo



Memo
 Date:                 March 26, 2013

 To:                   Mayor and Councilmembers

 From:                 Cindy M. Preas, Real Estate Administrator (657-4407)

 Subject:              Agenda Item for April 16, 2013 Council Meeting

 Contact:              Diana Farris, Property Specialist (657-4407)

 Caption:              Consent Item

                       Consideration of adopting a Resolution of the City of San Angelo authorizing the
                       mayor to execute a Special Warranty Deed conveying all right, title and interest of
                       the City of San Angelo:
                       108 Arlington Street, (Gonzalez), Lots 10 & 11 SAVE & EXCEPT N 65’ & S 20’ ,
                       W.E. Phillips, $2,000


 Summary:              A Request for Bids (RFB: PRO-06-12) was advertised for three (3) consecutive
                       weeks and was mailed to six (6) potential bidders for the subject property. RFB
                       Submittal Deadline was September 14, 2012. No bids were received.

 History:              The City acquired the subject property on October 24, 1957. The City has no
                       future plans for the subject property, and is deemed as excess property.
                       The City has received a reasonable offer from Carlos Gonzalez in the amount of
                       $2,000 for the purchase of the subject property.

 Financial Impact:     Upon approval: Property will be reinstated back onto tax roll.

 Related Vision Item   Financial Vision – Examine liquidation of unused or underperforming city-owned
                       properties
 (if applicable):
                       Neighborhood Vision – Attract reinvestment

 Other Information/    Staff recommends approval.
 Recommendation:

 Attachments:          Resolution, Property Analysis, Special Warranty Deed and Property Location Map

 Presentation:         N/A

 Publication:          N/A

 Reviewed by           Lysia H. Bowling, City Attorney
 Director:

 Approved by Legal:




                                                                                            Adopted: 5/30/03
                                                                                            Revised: 6/21/10
PARTIAL RELEASE OF LIEN

Holder of Lien: City of San Angelo, Tom Green County, Texas, a Texas home-rule municipal corporation

Holder’s Mailing Address (including county): c/o City Attorney
                                             72 W College Avenue
                                             San Angelo, Tom Green County, TX 76903

Owner of Property at Time Liens were Filed: R.J. Allcom

Liens are Described in the Following Documents:

   1. That one certain Lien recorded in Volume 514, Page 7, of the Official Public Records of                 Real
      Property, Tom Green County, Texas.
   2. That one certain Lien recorded in Volume 444, Page 786, of the Official Public Records of               Real
      Property, Tom Green County, Texas.
   3. That one certain Lien recorded in Volume 594, Page 444, of the Official Public Records of               Real
      Property, Tom Green County, Texas.
   4. That one certain Lien recorded in Volume 463, Page 699, of the Official Public Records of               Real
      Property, Tom Green County, Texas.
   5. That one certain Lien recorded in Volume 494, Page 122, of the Official Public Records of               Real
      Property, Tom Green County, Texas.
   6. That one certain Lien recorded in Volume 491, Page 431, of the Official Public Records of               Real
      Property, Tom Green County, Texas.

Property (including any improvements) to be Released from Lien:

   Tract 1: Being S. 80’ of E. 12.6’ of lot 8 & S. 80’ of W. 10’ of lot 6, Block 3, Akin Addition, City of San
   Angelo, Tom Green County, Texas.
   Tract 2: Being S. 80’ of E. 12.6’ of Lot 8 & S. 80’ of W. 1’10” of Lot 6, Block 3, Akin Addition, City of San
   Angelo, Tom Green County, Texas.
   Tract 3: Being S. 80’ of E. 12.6 of lot 8 & S. 80’ of Lot 7 & S. 80’ of W. 1’0” of lot 6, Block 3, Akin Addition,
   City of San Angelo, Tom Green County, Texas.
   Tract 4: Being S. 80’ of E. 12.6’ of Lot 8 & S. 80’ of Lot 7 & S. 80’ of Lot 6, Block 3, Akin Addition, City of
   San Angelo, Tom Green County, Texas.
   Tract 5: Being S. 80’ of E. 12.6 of lot 8 & S. 80’ of Lot 7 & S. 80’ of W. 10’ of lot 6, Block 3, Akin Addition,
   City of San Angelo, Tom Green County, Texas.

Holder of the lien acknowledges partial payment or other satisfaction of indebtedness secured thereby and
releases from the lien only the property described above.

When the context requires, singular nouns and pronouns include the plural.

       EXECUTED on the _______ day of _____________________, 2013.


                                                CITY OF SAN ANGELO
                                                a Texas home-rule municipal corporation


                                                BY:
                                                        Michael Dane, Assistant City Manager
STATE OF TEXAS      §
COUNTY OF TOM GREEN §

      This instrument was acknowledged before me on the ______ day of _________________, 2013, by
Michael Dane, as Assistant City Manager of the City of San Angelo, a Texas home-rule municipal corporation,
on behalf of said corporation.



                                                        Notary Public, State of Texas
CITY OF SAN ANGELO
                 BID TABULATION * RFB NO: PRO-06-12/Sale of Tax Foreclosed Property * September 14, 20
                 Property 1: Lots 10 & 11, SAVE & EXCEPT the North 65’ and South 20’, W.E. Phillips Addition,
                 108 Arlington St




Property 1: 108 Arlington Street
                                       Bid Security             Bid
        Bidders                           $500.00            Min $4,500      Rank
   1    No Bids Received                                 $            -       1
   2
   3
   4
   5
   6
   7
   8
   9
  10




        Bid Packages Mailed To:
        San Angelo Realtors
        Association             San Angelo, TX
        Mr. P. Gilbert Gallegos San Angelo, TX
        Mr. Miguel Duran        San Angelo, TX
        Mr. Lee Robles          San Angelo, TX
        Mr. Kenneth Barrows     San Angelo, TX
        Mr. Marshal Gray        San Angelo, TX




Y:COUNCILElectronic Agendas201304-16-13Tax LotsGonzalez, 108 Arlington Street, City Owned PropertyBid Tab
012




Y:COUNCILElectronic Agendas201304-16-13Tax LotsGonzalez, 108 Arlington Street, City Owned PropertyBid Tab
NOTICE OF CONFIDENTIALITY RIGHTS: If you are a natural person, you may remove or
strike any or all of the following information from this instrument before it is filed for record in
the public records: your social security number or your driver’s license number.


                                SPECIAL WARRANTY DEED

   Date: __________________

   Grantor:       CITY OF SAN ANGELO, a Texas home-rule municipal corporation
                  72 West College Avenue
                  San Angelo, Tom Green County, Texas 76903

   Grantee:       CARLOS GONZALEZ, a single person
                  725 Amberton Parkway
                  San Angelo, Tom Green County, Texas 76901

   Consideration: Ten and No/100 Dollars ($10.00) and other good and valuable consideration

   Property (including any improvements):

          All of Lots 10 and 11 of the W.E. Phillips Addition to the City of San Angelo,
          Tom Green County, Texas, except the North 65 feet of said Lots 10 and 11 and
          the South 20 feet of said lots.

          Account #21-38700-0000-013-00

   Reservations from Conveyance:

           This conveyance is subject to easements, rights-of-way, and prescriptive rights, whether
   of record or not; all presently recorded restrictions, reservations, covenants, conditions, oil and
   gas leases, mineral severances, and other instruments, other than liens and conveyances, that
   affect the Property; validly existing rights of adjoining owners in any walls and fences situated
   on a common boundary; any discrepancies, conflicts, or shortages in area or boundary lines; any
   encroachments or overlapping of improvements; and taxes for 2013, the payment of which
   Grantee assumes.

   Exceptions to Conveyance and Warranty:

           For the consideration, Grantor – acting by and through its Mayor, who has been duly
   authorized to execute this instrument on Grantor’s behalf by resolution and order of Grantor’s
   City Council recorded in the City Council’s official minutes – hereby conveys to Grantee the
   Property, together with all Grantor’s right, title, appurtenances and interest in and to the
   Property, subject to the Reservations from Conveyance and the Exceptions to Conveyance and
   Warranty, grants, sells, and conveys the Property, to have and to hold it to Grantee and Grantee’s
   heirs, successors, and assigns forever. Grantor hereby binds Grantor and Grantor’s heirs and
   successors to warrant and forever defend all and singular the Property to Grantee and Grantee’s
   heirs, successors, and assigns against every person whomsoever lawfully claiming or to claim the
   same or any part thereof, except as to the Reservations from Conveyance and the Exceptions to
Conveyance and Warranty.

      When the context requires, singular nouns and pronouns include the plural.



                                                  GRANTOR:

                                                  CITY OF SAN ANGELO,

ATTEST:                                           ____________________________
                                                  Alvin New, Mayor

____________________________
Alicia Ramirez, City Clerk



STATE OF TEXAS                     §
                                   §
COUNTY OF TOM GREEN                §

        This instrument was acknowledged before me on _____________________, 2013, by
Alvin New, as Mayor of the City of San Angelo, a Texas home-rule municipal corporation, on
behalf of said corporation.


                                          __________________________________
                                          Notary Public, State of Texas


After Recording, Return To:
PARTIAL RELEASE OF LIEN

Holder of Lien: City of San Angelo, Tom Green County, Texas, a Texas home-rule municipal corporation

Holder’s Mailing Address (including county):        c/o City Attorney
                                                    72 W College Avenue
                                                    San Angelo, Tom Green County, TX 76903

Owner of Property at Time Liens were Filed:          Edward Henderson, a/k/a Edward Henderson c/o Cecil
                                                     Henderson, a/k/a Edward Seeley Henderson

Liens are Described in the Following Documents:

    1. That one certain Lien recorded in Volume 600, Page 166, of the Official Public Records of Real Property, Tom Green
        County, Texas.
    2. That one certain Lien recorded in Volume 540, Page 639, of the Official Public Records of Real Property, Tom Green
        County, Texas.
    3. Those certain Liens recorded in Instrument Number 608245 of the Official Public Records of Real Property, Tom Green
        County, Texas, securing debts in the original principal amounts of $100.00 (07/27/05) and $90.00 (06/24/05).
    4. That one certain Lien recorded in Volume 514, Page 784, of the Official Public Records of Real Property, Tom Green
        County, Texas.
    5. That one certain Lien recorded in Volume 1163, Page 497, of the Official Public Records of Real Property, Tom Green
        County, Texas.
    6. That one certain Lien recorded in Volume 1245, Page 577, of the Official Public Records of Real Property, Tom Green
        County, Texas.
    7. That one certain Lien recorded in Volume 673, Page 135, of the Official Public Records of Real Property, Tom Green
        County, Texas.
    8. That one certain Lien recorded in Volume 1211, Page 601, of the Official Public Records of Real Property, Tom Green
        County, Texas.
    9. That one certain Lien recorded in Volume 613, Page 32, of the Official Public Records of Real Property, Tom Green
        County, Texas.
    10. That one certain Lien recorded in Volume 850, Page 726, of the Official Public Records of Real Property, Tom Green
        County, Texas.
    11. That one certain Lien recorded in Volume 1069, Page 460, of the Official Public Records of Real Property, Tom Green
        County, Texas.
    12. That one certain Lien recorded in Volume 638, Page 408, of the Official Public Records of Real Property, Tom Green
        County, Texas.
    13. That one certain Lien recorded in Volume 1096, Page 697, of the Official Public Records of Real Property, Tom Green
        County, Texas.
    14. That one certain Lien recorded in Volume 774, Page 870, of the Official Public Records of Real Property, Tom Green
        County, Texas.
    15. That one certain Lien recorded in Instrument Number 612983, of the Official Public Records of Real Property, Tom Green
        County, Texas.

Property (including any improvements) to be Released from Lien:

        Being Lot 3, Block 93, Angelo Heights Addition, City of San Angelo, Tom Green County, Texas.

Holder of the lien acknowledges partial payment or other satisfaction of indebtedness secured thereby and releases from
the lien only the property described above.

When the context requires, singular nouns and pronouns include the plural.

        EXECUTED on the _______ day of _____________________, 2013.


                                                    CITY OF SAN ANGELO
                                                    a Texas home-rule municipal corporation


                                                    BY:
                                                             Michael Dane, Assistant City Manager
STATE OF TEXAS                     §
COUNTY OF TOM GREEN                §

        This instrument was acknowledged before me on the ______ day of _________________, 2013, by Michael
Dane, as Assistant City Manager of the City of San Angelo, a Texas home-rule municipal corporation, on behalf of said
corporation.



                                                             Notary Public, State of Texas
PARTIAL RELEASE OF LIEN

Holder of Lien: City of San Angelo, Tom Green County, Texas, a Texas home-rule municipal corporation

Holder’s Mailing Address (including county): c/o City Attorney
                                             72 W College Avenue
                                             San Angelo, Tom Green County, TX 76903

Owner of Property at Time Liens were Filed: Eddie Jackson

Liens are Described in the Following Documents:

   1. Those certain Liens recorded in Volume 174, Page 675, and corrected in Volume 191, Page 78, of
      the Official Public Records of Real Property, Tom Green County, Texas, securing debts in the original
      principal amounts of $50.00 (07/25/88), $25.00 (11/07/88), and $25.00 (11/12/87).
   2. That one certain Lien recorded in Volume 142, Page 400, of the Official Public Records of Real
      Property, Tom Green County, Texas.
   3. That one certain Lien recorded in Volume 78, Page 358, and corrected in Volume 191, Page 72, of
      the Official Public Records of Real Property, Tom Green County, Texas.
   4. Those certain Liens recorded in Volume 101, Page 738, and corrected in Volume 191, Page 94, of
      the Official Public Records of Real Property, Tom Green County, Texas, securing debts in the original
      principal amounts of $25.00 (09/17/86) and $50.00 (07/09/87).
   5. That one certain Lien recorded in Volume 292, Page 320, of the Official Public Records of Real
      Property, Tom Green County, Texas.

Property (including any improvements) to be Released from Lien:

   Tract 1: Being S. 50’ of No. 447.7 of 8, Block 8, E. S. Kirby Addition, City of San Angelo, Tom Green
             County, Texas.
   Tract 2: Being S. 50’ of North 442.7 of Block 8, E. S. Kirby Addition, City of San Angelo, Tom Green
             County, Texas.
   Tract 3: Being S. 50’ of N. 422.7 of 8, E. S. Kirby Addition, City of San Angelo, Tom Green County,
             Texas.
   Tract 4: Being S. 50’ of No. 442.7 of 8, E. S. Kirby Addition, City of San Angelo, Tom Green County,
             Texas.
   Tract 5: Being S. 50’ of N. 442.7’ of Block 8, E. S. Kirby Subdivision, City of San Angelo, Tom Green
             County, Texas.
   Tract 6: Being S. 50’ of N. 442.7, E. S. Kirby Addition, City of San Angelo, Tom Green County, Texas.

Holder of the lien acknowledges partial payment or other satisfaction of indebtedness secured thereby and
releases from the lien only the property described above.

When the context requires, singular nouns and pronouns include the plural.

       EXECUTED on the _______ day of _____________________, 2013.


                                            CITY OF SAN ANGELO
                                            a Texas home-rule municipal corporation


                                            BY:
                                                    Michael Dane, Assistant City Manager
STATE OF TEXAS      §
COUNTY OF TOM GREEN §

      This instrument was acknowledged before me on the ______ day of _________________, 2013, by
Michael Dane, as Assistant City Manager of the City of San Angelo, a Texas home-rule municipal corporation,
on behalf of said corporation.



                                                    Notary Public, State of Texas
PARTIAL RELEASE OF LIEN

Holder of Lien: City of San Angelo, Tom Green County, Texas, a Texas home-rule municipal corporation

Holder’s Mailing Address (including county): c/o City Attorney
                                             72 W College Avenue
                                             San Angelo, Tom Green County, TX 76903

Owner of Property at Time Liens were Filed: Estella Jones

Liens are Described in the Following Documents:

   1. That one certain Lien recorded in Volume 174, Page 675, and corrected in Volume 191, Page 78, of
      the Official Public Records of Real Property, Tom Green County, Texas.
   2. That one certain Lien recorded in Volume 257, Page 382, of the Official Public Records of Real
      Property, Tom Green County, Texas.
   3. That one certain Lien recorded in Volume 230, Page 85, of the Official Public Records of Real
      Property, Tom Green County, Texas.
   4. That one certain Lien recorded in Volume 315, Page 508, of the Official Public Records of Real
      Property, Tom Green County, Texas.

Property (including any improvements) to be Released from Lien:

       Being Lot 10, Block 5, Mineola Addition, City of San Angelo, Tom Green County, Texas.

Holder of the lien acknowledges partial payment or other satisfaction of indebtedness secured thereby and
releases from the lien only the property described above.

When the context requires, singular nouns and pronouns include the plural.

       EXECUTED on the _______ day of _____________________, 2013.


                                            CITY OF SAN ANGELO
                                            a Texas home-rule municipal corporation


                                            BY:
                                                   Michael Dane, Assistant City Manager
STATE OF TEXAS      §
COUNTY OF TOM GREEN §

      This instrument was acknowledged before me on the ______ day of _________________, 2013, by
Michael Dane, as Assistant City Manager of the City of San Angelo, a Texas home-rule municipal corporation,
on behalf of said corporation.



                                                   Notary Public, State of Texas
PARTIAL RELEASE OF LIEN

Holder of Lien: City of San Angelo, Tom Green County, Texas, a Texas home-rule municipal corporation

Holder’s Mailing Address (including county): c/o City Attorney
                                             72 W College Avenue
                                             San Angelo, Tom Green County, TX 76903

Owner of Property at Time Liens were Filed: Fred B. Jones

Liens are Described in the Following Documents:

   1. That one certain Lien recorded in Volume 472, Page 834, of the Official Public Records of Real
      Property, Tom Green County, Texas.
   2. That one certain Lien recorded in Volume 417, Page 99, of the Official Public Records of Real
      Property, Tom Green County, Texas.

Property (including any improvements) to be Released from Lien:

       Being Lot 11, Block 5, Mineola Addition, City of San Angelo, Tom Green County, Texas.

Holder of the lien acknowledges partial payment or other satisfaction of indebtedness secured thereby and
releases from the lien only the property described above.

When the context requires, singular nouns and pronouns include the plural.

       EXECUTED on the _______ day of _____________________, 2013.


                                            CITY OF SAN ANGELO
                                            a Texas home-rule municipal corporation


                                            BY:
                                                   Michael Dane, Assistant City Manager
STATE OF TEXAS      §
COUNTY OF TOM GREEN §

      This instrument was acknowledged before me on the ______ day of _________________, 2013, by
Michael Dane, as Assistant City Manager of the City of San Angelo, a Texas home-rule municipal corporation,
on behalf of said corporation.



                                                   Notary Public, State of Texas
LETTER OF INTENT

March 7, 2013


Mayor Alvin New
c/o Real Estate Division
City Attorney’s Office
72 W College Avenue
San Angelo, TX 76903


RE: 108 Arlington Street

I, Carlos Gonzalez, a single person, submit a written offer in the amount of $2,000.00 for the
property described as follows:

       All of Lots 10 and 11 of the W.E. Phillips Addition to the City of San Angelo,
       Tom Green County, Texas, except the North 65 feet of said Lots 10 and 11 and
       the South 20 fee of said lots.
       Account #21-38700-0000-013-00

I understand there is an additional $30.00 filing fee.

My plans are to construct a residential home on the subject property.

I understand I must provide a Certified or Cashier’s Check in the sum of $350.00. I also
understand that this earnest money shall be made payable without condition to the City of San
Angelo, Texas and is non-refundable once the offer has been accepted by the Property Manager.
Monies furnished as “earnest money” will be credited towards the sales price.

I understand I can not owe any delinquent taxes or fees to any of the taxing entities (City of San
Angelo, Tom Green County, and San Angelo Independent School District).

If approved by the City Council, please make deed in the name(s) of:

Carlos Gonzalez
725 Amberton Parkway
San Angelo, TX 76901

480-329-6478

Sincerely,


Carlos Gonzalez
Date of                  Sales      Due    Customer
      Subdivision        Lot    Block   Sec                    Owner   Service    Principal       Tax      Date      ID     Volume   Page     Instrument
Mineola             10         5              Jones, Estella                10/05/88        $0.00     $0.00 11/14/88     9999    174      675
Mineola             10         5              Jones, Estella                02/01/91      $60.00      $4.65 03/22/91     9999    257      382
Mineola             10         5              Jones, Estella                10/05/88      $25.00      $1.88 11/14/88     9999    191       78
Mineola             10         5              Jones, Estella                07/31/90      $60.00      $4.65 09/17/90     9999    230       85
Mineola             10         5              Jones, Estella                07/18/91      $64.65      $0.00 09/26/91     9999    315      508            0
Date of                  Sales      Due    Customer
       Subdivision                   Lot           Block   Sec                    Owner   Service    Principal       Tax      Date      ID     Volume    Page     Instrument
Kirby, E.S.          S50' of N447.7' of 8         8              Jackson, Eddie                11/07/88        $0.00     $0.00 12/28/88     9999    174       675
Kirby, E.S.          S50' of N447.7' of 8         8              Jackson, Eddie                11/12/87        $0.00     $0.00 12/20/87     9999    174       675
Kirby, E.S.          S50' of N447.7' of 8         8              Jackson, Eddie                07/25/88        $0.00     $0.00 09/08/88     9999    174       675
Kirby, E.S.          S50' of N442.7' of Block 8   8              Jackson, Eddie                08/27/85      $25.00      $0.00 09/29/85     9999    142       400
Kirby, E.S.          S50' of N447.7 of 8          8              Jackson, Eddie                07/25/88      $50.00      $3.75 09/08/88     9999    191        78
Kirby, E.S.          S50' of N447.7 of 8          8              Jackson, Eddie                11/07/88      $25.00      $1.88 12/28/88     9999    191        78
Kirby, E.S.          S50' of N447.7 of 8          8              Jackson, Eddie                11/12/87      $25.00      $0.00 12/20/87     9999    191        78
Kirby, E.S.          S50' of N422.7' of 8         8              Jackson, Eddie                03/13/87        $0.00     $0.00 05/09/87     9999      78      358
Kirby, E.S.          S50' of N442.7' of 8         8              Jackson, Eddie                09/17/86        $0.00     $0.00 03/13/88     9999    101       738
Kirby, E.S.          S50' of N442.7' of 8         8              Jackson, Eddie                03/13/87        $0.00     $0.00 04/23/87     9999    101       738
Kirby, E.S.          S50' of N442.7' of 8         8              Jackson, Eddie                07/09/87        $0.00     $0.00 09/20/87     9999    101       738
Kirby, E.S. S/D      S50' of N447.7' of Block 8   8              Jackson, Eddie                03/13/87      $25.00      $0.00 05/09/87     9999    191        72
Kirby, E.S. S/D      S50' of N447'7 of Block 8    8              Jackson, Eddie                09/17/86      $25.00      $0.00 03/13/88     9999    191        94
Kirby, E.S. S/D      S50' of N447'7 of Block 8    8              Jackson, Eddie                07/09/87      $50.00      $0.00 09/20/87     9999    191        94
Kirby, E.S. S/D      S50' of N442.7'              8              Jackson, Eddie                03/01/91      $85.00      $6.59 05/05/91     9999    292       320
Date of                 Sales     Due    Customer
       Subdivision                Lot    Block   Sec                  Owner   Service    Principal     Tax      Date      ID     Volume    Page     Instrument
Akin                 N80' of 7          3              Marshall, Weldon C.         10/05/93      $45.00    $3.49 12/12/93     1443    427       957
Akin                 N 80' of 7         3              Marshall, Weldon C.         11/18/75     $321.50    $0.00 11/18/75     1443
Akin, C.A.           N80' of 7          3              Marshall, Weldon C.         04/03/86      $25.00    $0.00 05/10/86     1443    145       561
Akin, C.A.           N80' of 7          3              Marshall, Weldon C.         02/06/85      $15.00    $0.00 03/08/85     1443    142       400
Akin, C.A.           7, N80'            3              Marshall, Weldon C.         02/06/85      $15.00    $0.00 02/07/85     1443    139       251
Akin, C.A.           N80' of 7          3              Marshall, Weldon C.         09/12/86      $25.00    $0.00 10/24/86     1443      26      265
Date of                 Sales      Due    Customer
      Subdivision        Lot    Block   Sec                 Owner   Service    Principal      Tax      Date      ID     Volume   Page     Instrument
Mineola             12         5              Sims, Bobbie               06/30/94      $45.00     $3.49 07/30/94      953    444      790
Mineola             12         5              Sims, Bobbie               09/22/94      $45.00     $3.49 10/30/94      953    472      269
Mineola             12         5              Sims, Bobbie               01/24/91      $60.00     $4.65 03/22/91      953    257      382
Mineola             12         5              Sims, Bobbie               07/18/91      $60.00     $4.65 09/26/91      953    315      508
Mineola             12         5              Sims, Bobbie               04/29/91      $60.00     $4.65 06/10/91      953    292      320
Mineola             12         5              Sims, Bobbie Jean          11/02/95      $45.00     $3.49 12/02/95      953    514        7
Mineola             12         5              Sims, Bobbie Jean          09/27/96      $45.00     $3.49 11/15/96      953    596      248
Mineola             12         5              Sims, Bobbie Jean          06/26/97      $45.00     $3.49 08/15/97      953    596      248
Mineola             12         5              Sims, Bobbie Jean          07/31/90      $60.00     $4.65 09/17/90      953    230       85
Mineola             12         5              Sims, Bobbie Jean          08/27/68     $152.80     $0.00 08/27/68      953
Mineola             12         5              Sims, Bobbie Jean          08/27/68     $430.00     $0.00 08/27/68      953
Date of               Sales        Due    Customer
     Subdivision        Lot   Block   Sec                  Owner   Service   Principal    Tax         Date      ID      Volume       Page       Instrument
Chapman S/D        12         5E            Turner, C.W. (dec'd)       06/09/05      $90.00   $7.43    07/09/05    7047          0          0        608245
Chapman S/D        12         5E            Turner, W.C. - dec         03/31/08     $100.00   $8.25    04/30/08    7047          0          0        678661
Date of                  Sales     Due      Customer
       Subdivision                         Lot                   Block         Sec             Owner   Service     Principal     Tax      Date        ID       Volume     Page     Instrument
Akin        S80 of E12.6' of Lot 8& S80' of Lot 7& S80' of W10' of Lot 6   3         Allcorn, A.J.               10/10/95      $45.00   $3.49   11/10/95      9999      514        7
Akin        S80' of E12.6 of 8 & S80' of W1'10" of 6                       3         Allcorn, R. J.              06/28/94      $45.00   $3.49   07/28/94      9999      444      786
Akin        S80' of 3,E12.6' of Lot 8 & S80' of Lot 7 & S80' of W1' of 6             Allcorn, R.J.               07/11/96      $45.00   $3.49   08/29/96      9999      594      444
Akin        S80' of E12.6' of Lot 8 & S80' of Lot 7 & S80' of Lot 6        3         Allcorn, R.J.               10/07/94      $45.00   $3.49   11/07/94      9999      463      699
Akin        S80' of E12.6' of Lot 8& S80' of Lot 7& S80 of W10' of Lot 6   3         Allcorn, R.J.               07/13/95      $45.00   $3.49   08/13/95      9999      494      122
Akin        S80' of E12.6' of Lot8 & S80' of Lot7 & S80' of W10' of Lot6   3         Allcorn, R.J.               04/28/95      $90.00   $6.98   05/28/95      9999      491      431
Date of               Sales        Due    Customer
      Subdivision        Lot   Block   Sec                    Owner   Service   Principal    Tax         Date      ID      Volume     Page         Instrument
Mineola             11         5             Jones, Fred B.               09/22/94      $25.00   $1.94    10/30/94    9999      472          834
Mineola             11         5             Jones, Fred B.               07/01/93     $145.46   $0.00    08/27/93    9999      417           99
Date of               Sales        Due    Customer
      Subdivision       Lot   Block   Sec                 Owner            Service   Principal    Tax         Date      ID      Volume     Page         Instrument


Angelo Heights      3         93            Henderson, Edward                  05/13/97      $45.00   $3.49    06/20/97    9999      600          166
Angelo Heights      3         93            Henderson, Edward & Cecil          11/07/95      $45.00   $3.49    12/30/95    9999      540          639
Angelo Heights      3         93            Henderson, Edward S. & Cecil       07/28/95      $90.00   $6.98    09/30/95    9999      514          784
Angelo Heights      3         93            Henderson, Edward Seeley           07/27/05     $100.00   $8.25    08/27/05     831        0            0        608245
Angelo Heights      3         93            Henderson, Edward Seeley           06/24/05      $90.00   $7.43    07/24/05     831        0            0        608245
Angelo Heights      3         93            Henderson, Edward Seeley           06/10/04      $45.00   $3.71    07/10/04     831     1163          497
Angelo Heights      3         93            Henderson, Edward Seeley           04/05/05      $45.00   $3.71    05/05/05     831     1245          577
Angelo Heights      3         93            Henderson, Edward Seeley           06/26/98      $45.00   $3.49    07/26/98    7532      673          135
Angelo Heights      3         93            Henderson, Edward Seeley           09/17/04      $45.00   $3.71    10/17/04     831     1211          601
Angelo Heights      3         93            Henderson, Edward Seeley           07/18/97      $45.00   $3.49    09/08/97    9999      613           32
Angelo Heights      3         93            Henderson, Edward Seeley           01/29/01      $25.00   $2.06    03/28/01     831      850          726
Angelo Heights      3         93            Henderson, Edward Seeley           05/14/03      $45.00   $3.71    06/14/03     831     1069          460
Angelo Heights      3         93            Henderson, Edward Seeley           11/05/97      $45.00   $3.49    02/21/98    7532      638          408
Angelo Heights      3         93            Henderson, Edward Seeley           08/29/03      $45.00   $3.71    09/29/03     831     1096          697
Angelo Heights      3         93            Henderson, Edward Seeley           09/28/99      $90.00   $7.43    10/28/99     831      774          870
Angelo Heights      3         93            Henderson, Edward Seeley           09/02/05      $45.00   $3.71    10/02/05     831        0            0        612983
Date of               Sales        Due    Customer
      Subdivision       Lot   Block   Sec                 Owner            Service   Principal    Tax         Date      ID      Volume     Page         Instrument


Angelo Heights      3         93            Henderson, Edward                  05/13/97      $45.00   $3.49    06/20/97    9999      600          166
Angelo Heights      3         93            Henderson, Edward & Cecil          11/07/95      $45.00   $3.49    12/30/95    9999      540          639
Angelo Heights      3         93            Henderson, Edward S. & Cecil       07/28/95      $90.00   $6.98    09/30/95    9999      514          784
Angelo Heights      3         93            Henderson, Edward Seeley           07/27/05     $100.00   $8.25    08/27/05     831        0            0        608245
Angelo Heights      3         93            Henderson, Edward Seeley           06/24/05      $90.00   $7.43    07/24/05     831        0            0        608245
Angelo Heights      3         93            Henderson, Edward Seeley           06/10/04      $45.00   $3.71    07/10/04     831     1163          497
Angelo Heights      3         93            Henderson, Edward Seeley           04/05/05      $45.00   $3.71    05/05/05     831     1245          577
Angelo Heights      3         93            Henderson, Edward Seeley           06/26/98      $45.00   $3.49    07/26/98    7532      673          135
Angelo Heights      3         93            Henderson, Edward Seeley           09/17/04      $45.00   $3.71    10/17/04     831     1211          601
Angelo Heights      3         93            Henderson, Edward Seeley           07/18/97      $45.00   $3.49    09/08/97    9999      613           32
Angelo Heights      3         93            Henderson, Edward Seeley           01/29/01      $25.00   $2.06    03/28/01     831      850          726
Angelo Heights      3         93            Henderson, Edward Seeley           05/14/03      $45.00   $3.71    06/14/03     831     1069          460
Angelo Heights      3         93            Henderson, Edward Seeley           11/05/97      $45.00   $3.49    02/21/98    7532      638          408
Angelo Heights      3         93            Henderson, Edward Seeley           08/29/03      $45.00   $3.71    09/29/03     831     1096          697
Angelo Heights      3         93            Henderson, Edward Seeley           09/28/99      $90.00   $7.43    10/28/99     831      774          870
Angelo Heights      3         93            Henderson, Edward Seeley           09/02/05      $45.00   $3.71    10/02/05     831        0            0        612983
Date of                 Sales     Due    Customer
        Subdivision       Lot    Block   Sec                  Owner   Service    Principal     Tax      Date      ID     Volume   Page     Instrument
Miles                 3         31             Stephens, Alverda           06/24/94      $45.00    $3.49 07/24/94     9999    444      790
Miles                 3         31             Stephens, Alverda           08/16/95      $45.00    $3.49 09/16/95     9999    514        7
Miles                 3         31             Stephens, Alverda           09/23/94      $45.00    $3.49 10/30/94     9999    472      269
Miles                 3         31             Stephens, Alverda           03/27/95      $45.00    $3.49 04/27/95     9999    491      431
Miles                 3         31             Stephens, Alverda           05/17/95      $45.00    $3.49 06/17/95     9999    491      431
Miles                 3         31             Stephens, Alverda           05/14/97      $45.00    $3.49 06/23/97     9999    596      248
Miles                 3         31             Stephens, Alverda           06/26/97      $45.00    $3.49 08/21/97     9999    596      248
Miles                 3         31             Stephens, Alverda           05/06/91      $60.00    $4.65 07/07/91     9999    292      320
Miles                 3         31             Stephens, Alverdo           06/29/93      $90.00    $6.98 07/07/93     9999    417       99
Date of               Sales        Due    Customer
     Subdivision       Lot   Block   Sec                  Owner   Service   Principal    Tax         Date      ID      Volume     Page         Instrument
Lasker             3         11            Wilkins, Lynn B.           10/01/93      $70.00   $5.42    12/12/93    9999      427          956
Potential Bidders List
                                                                   Sale OF 108 Arlington


Vendor Type Contact Name or Dept       Business Name                     Business Address       City         ST Zip       Telephone
Property                               San Angelo Realtors Association   1902 Pecos             San Angelo   TX   76901   325-944-2521
Property     Mr. P. Gilbert Gallegos                                     112 Arlington Street   San Angelo   TX   76904   325-617-6173
Property     Mr. Miguel Duran                                            1110 Ashford Drive     San Angelo   TX   76901
Property     Mr. Lee Robles                                              3230 Sierra Drive      San Angelo   TX   76904
Property     Mr. Kenneth Barrows                                         2431 College Hills     San Angelo   TX   76904
Property     Mr. Marshal Gray                                            217 Tyler Terrace      San Angelo   TX   76905   325-651-7919




Y:COUNCILElectronic Agendas201304-16-13Tax LotsGonzalez, 108 Arlington Street, City Owned PropertyMailing List
108 Arlington Street , Lots 10 & 11 S /E N 65' of S 20' , W.E. Phillips Addition




March 7, 2013                                                                                              1:2,699
                                                                                              0   0.0225   0.045      0.09 mi
      City Address Points       County Address Points      Platted Lot Line L abels
                                                                                              0   0.035    0.07      0.14 km
      Pending City Addresses    Pending County Addresses   Platted Lot Lines

      Retired City Addresse s   Retired County Addresses   City Pa rcel Popups Transparen t
Lot 3, Block 31 Miles Addition
209 W 9th Street 50' x 100'




Copyright 2011 Esri. All rights reserved. Mon Feb 13 2012 12:54:57 PM.
S 1/2 of the S 100' of N 150' o S 783.7' of
Block 8, E.S. Kirby Addition
2223 Lillie St                50' x 216'




Copyright 2011 Esri. All rights reserved. Mon Feb 13 2012 09:27:30 AM.
S 80' of E 12 2/2' of Lot 8, S 80' of Lot 7 & S
80' of W 1 5/6' of Lot 6, Block 3, Akins
Addition
310 E 9th Street                    64' x 80'




Copyright 2011 Esri. All rights reserved. Tue Feb 14 2012 03:32:37 PM.
N 1/2 of Lot 7, Block 2, Akin Addition
309 E 10th St                    50' x 80'




Copyright 2011 Esri. All rights reserved. Wed Dec 21 2011 03:47:06 PM.
217 W 16th Street, Lot 3, Block 12, Lasker Addition       50' x 140'




March 14, 2013                                                                                           1:2,699
                                                                                   0        0.0225       0.045      0.09 mi
      Address Points
                                                                                   0        0.035        0.07      0.14 km
      City Address Points                                                Copyright:© 2013 ESRI, NAVTEQ, DeLorme

      Pending City Addresses

      Retired City Addresses
115 W 16th Street, Lot 3, Block 11, Lasker Addition       50' x 140'




March 14, 2013                                                                                           1:2,699
                                                                                   0        0.0225       0.045      0.09 mi
      Address Points
                                                                                   0        0.035        0.07      0.14 km
      City Address Points                                                Copyright:© 2013 ESRI, NAVTEQ, DeLorme

      Pending City Addresses

      Retired City Addresses
S 50' of the N 447.7' of Block 8, E.S. Kirby
Addition
2327 Lillie St                50' x 200'




Copyright 2011 Esri. All rights reserved. Mon Feb 13 2012 09:29:18 AM.
613 N Adams Street Lot 3, Block 93, Angelo Heights Addition 50' x 140'




March 28, 2013                                                                                   1:2,699
                                                                           0        0.0225       0.045      0.09 mi

                                                                           0        0.035        0.07      0.14 km
                                                                 Copyright:© 2013 ESRI, NAVTEQ, DeLorme
1923Coleman Street Lots 12, Block 5 "E", Chapman's S/D 64' x 100'




March 27, 2013                                                                                    1:2,699
                                                                            0        0.0225       0.045      0.09 mi

                                                                            0        0.035        0.07      0.14 km
                                                                  Copyright:© 2013 ESRI, NAVTEQ, DeLorme
Lot 30, Block 2B, George Allen Addition
Addition
322 N Harrison Street                          50'' x 125'




Copyright 2011 Esri. All rights reserved. Tue Jun 5 2012 03:48:19 PM.
Lot 10, Block 5, Mineola Addition
810 W 16th St                   51' x 150'




Copyright 2011 Esri. All rights reserved. Thu Dec 15 2011 08:12:40 AM.
Lot 12, Block 5, Mineola Addition
800 W 16th St                            51' x 150'




Copyright 2011 Esri. All rights reserved. Thu Dec 22 2011 08:47:46 AM.
Lot 11, Block 5, Mineola Addition
804 W 16th St                    50' x 150'




Copyright 2011 Esri. All rights reserved. Tue Dec 20 2011 04:34:12 PM.
PARTIAL RELEASE OF LIEN

Holder of Lien: City of San Angelo, Tom Green County, Texas, a Texas home-rule municipal corporation

Holder’s Mailing Address (including county): c/o City Attorney
                                             72 W College Avenue
                                             San Angelo, Tom Green County, TX 76903

Owner of Property at Time Liens were Filed: Weldon C. Marshall

Liens are Described in the Following Documents:

   1. That one certain Lien recorded in Volume 427, Page 957, of the Official Public Records       of Real
      Property, Tom Green County, Texas.
   2. That one certain Lien recorded in Volume 145, Page 561, of the Official Public Records       of Real
      Property, Tom Green County, Texas.
   3. That one certain Lien recorded in Volume 142, Page 400, of the Official Public Records       of Real
      Property, Tom Green County, Texas.
   4. That one certain Lien recorded in Volume 139, Page 251, of the Official Public Records       of Real
      Property, Tom Green County, Texas.
   5. That one certain Lien recorded in Volume 26, Page 265, of the Official Public Records        of Real
      Property, Tom Green County, Texas.

Property (including any improvements) to be Released from Lien:

   Tract 1: Being N 80’ of Lot 7, Block 3, Akin Addition, City of San Angelo, Tom Green County, Texas.
   Tract 2: Being N 80’ of Lot 7, Block 3, C.A. Akin Addition, City of San Angelo, Tom Green County, Texas.
   Tract 2: Being Lot 7 (N 80’), Block 3, C.A. Akin Addition, City of San Angelo, Tom Green County, Texas.

Holder of the lien acknowledges partial payment or other satisfaction of indebtedness secured thereby and
releases from the lien only the property described above.

When the context requires, singular nouns and pronouns include the plural.

       EXECUTED on the _______ day of _____________________, 2013.


                                            CITY OF SAN ANGELO
                                            a Texas home-rule municipal corporation


                                            BY:
                                                    Michael Dane, Assistant City Manager
STATE OF TEXAS      §
COUNTY OF TOM GREEN §

      This instrument was acknowledged before me on the ______ day of _________________, 2013, by
Michael Dane, as Assistant City Manager of the City of San Angelo, a Texas home-rule municipal corporation,
on behalf of said corporation.



                                                    Notary Public, State of Texas
**ATTENTION - PLEASE READ CAREFULLY**
                                                              • Mistakes not corrected on this proof become your liability.
                                                              • We cannot be responsible for any changes NOT indicated, by phone, fax, or by email,
                                                                to this proof.
                                                              • If we do not hear from you, by phone or by email, by the deadline indicated, we will
                                                                publish your ad AS SCHEDULED.
Client:         600332            COSA - PURCHASING                                            Phone:        (325) 657-4219
Class.:         PO BOX 1751                                                              SAN ANGELO, TX 76902
Ad #            145973            Requested By:        ROGER/EMAIL                             Fax:

Sales Rep.:                       Maria Velasquez                                              Phone:        (325) 659-8325
                                  mvelasquez@gosanangelo.com                                   Fax:          (325) 659-8172
Class.:              8300         Request for Bids
Start Date:          08/25/2012                          End Date:             09/05/2012                    Nb. of Inserts:                 3
Publications:        STANDARD TIMES
Paid Amount:         $0.00                                                  Balance:           $111.77

Total Price:                         $111.77                                                                             Page 1 of 1




                                             THE CITY of San Angelo, Real Estate Division
                                               is accepting sealed bids for the sale of Lots
                                               10 & 11, SAVE & EXCEPT the North 65’ and
                                               South 20’, W.E. Phillips Addition, San Ange-
                                               lo, Texas, Tom Green County; located at 108
                                               Arlington Street. Submission instructions
                                               and documents may be downloaded at
                                               www.sanangelotexas.us. Submissions will
                                               be accepted until 2:00 P.M., September 19,
                                               2012, 2:00 PM in the Purchasing Division at
                                               which time all respondents will be publicly
                                               acknowledged. For more information, call
                                               (325) 657-4212 or visit
                                               www.sanangelotexas.us.
RELEASE OF PAVING ASSESSMENT

DATE:                           April 2, 2013

PAYEE:                          City of San Angelo

DATE OF MATURITY:               As Therein Provided

HOLDER OF LIEN:                 City of San Angelo

HOLDER’S MAILING ADDRESS:               72 W College Avenue, San Angelo, Texas 76903

PROPERTIES AND OWNERS TO BE RELEASED FROM LIENS:


NAME                                  LOT                                BLOCK          SUBDIVISION

Marshall C. Weldon                    N 80’ of 7                         3              Akins


Holder of the lien acknowledges payment or other satisfaction of indebtedness secured thereby and
releases from the lien only the properties described above.

When the context requires, singular nouns and pronouns include the plural.

EXECUTED on the _______ day of _____________________, 2013.


                                                        CITY OF SAN ANGELO



                                                BY:
                                                        Michael Dane, Assistant City Manager


STATE OF TEXAS                  §
COUNTY OF TOM GREEN             §

This instrument was acknowledged before me on the ______ day of _________________, 2013, by
MICHAEL DANE, as Assistant City Manager of the City of San Angelo, a Texas home- rule municipal
corporation, on behalf of said corporation.



                                                        Notary Public, State of Texas
PROPERTY ANALYSIS
                                                  For Tax Resale Property

Legal Description:               Lot 3, Block 11, Lasker Addition, an addition to the City of San Angelo, Tom Green
                                 County, Texas, as described in Volume 1234, Page 952, Official Public Records of
                                                     Real Property of Tom Green County, Texas.
                                                          Account #16-31200-0011-002-00

Improved/Unimproved             Unimproved
Tax Suit Number:                B-06-0088-T
Location:                       115 W 16th Street
Parcel Size/Dimensions:         50' x 140'
City of San Angelo vs.          Unknown Heirs of B.M. Wilkins, deceased Account # 8096
Tax ID Number:                   #16-31200-0011-002-00
Judgment Date:                  October 15, 2008
Date of Sheriff's Sale:         June 7, 2011
Sheriff's Deed Recorded:        June 30, 2011
                                                               Years Held in Trust                          1 1/2 YRS
Adjudge Value:                   $ 3,000.00                    Purchased under Urban Redevelopment             No
Amount of Offer:                 $ 1,900.00




                                Amounts Due                       Priority    % of     Pro Rata    Amounts
                                   Fees     Judgment            Allocations Remainder Allocations Distributed
Administration Fee                 $500.00                          $500.00     0.00%                $500.00
Maintenance Fee                       $270.00                       $270.00           0.00%                   $270.00
District Clerk                        $471.00                       $471.00           0.00%                   $471.00
Sheriff's Fee                         $100.00                       $100.00           0.00%                   $100.00
Attorney Fee                          $371.00                       $371.00           0.00%                   $371.00
Municipal Liens                  $           -     $1,889.77                         36.42%    $68.46          $68.46
Taxes                            $           -     $3,299.76                         63.58%   $119.54         $119.54
Total                                $1,712.00     $5,189.53       $1,712.00     100.00%      $188.00       $1,900.00
Actual Total Amt Due                               $6,901.53
Amount Remaining                                               $     188.00

                Offer will satisfy all costs and a small portion of the taxes, according to the Judgment.
PROPERTY ANALYSIS
                                          CITY PROPERTY

Legal Description:
                      Subdivision:
                            Block:
                               Lot:
Location:
Usage:
Tax ID Number:
Deed:                                                            Date:
Responsible Department:
Zoning:
Parcel Size/Dimensions:                                   Miscellaneous Information:
Plat Restictions?
Recent Survey:
Connected to other Parcel?
Easements:
Right-of-Ways:
Utilities:
Available for Sale?


                       Front                                       Aerial
PROPERTY ANALYSIS
                                         For Tax Resale Property:

Legal Description:       Lot 5, Block 6, Kenley Addition, an addition to the City of San Angelo, Tom Green County,
                         Texas, as described in Volume 335, Page 11, Deed Records of Tom Green County, Texas.



Improved or            Unimproved
Unimproved:
Tax Suit Number:       B-06-0131-T
Location:              1814 Ellis Street
Size/Dimensions:       50' x 130'
City of San Angelo vs. Katie Glenn         Account #1822
Tax ID Number:         15-29800-0006-005-00
Judgment Date:         November 14, 2007
Date of Sheriff's Sale: October 7, 2008

Sheriff's Deed         October 22, 2008
Recorded:
                                                    Years Held in Trust                                     4 YRS
Adjudge Value:
                        $2,250.00                   Purchased under Urban Redevlopment?                     YES
Amount of Offer:
                          $750.00




                                     Amounts Due                      Priority   % of        Pro Rata   Amounts

                          Fees         Priority      Judgment     Allocations Remainder Allocations Distributed
                                      Judgment
Administration Fee     $ 500.00                                   $     500.00     0.00%                $    500.00
Maintenance Fee                      $     137.09                                100.00% $     137.09 $      137.09
District Clerk                       $        -                   $         -      0.00%                $         -
Sheriff's Fee                        $        -                   $         -      0.00%                $         -
Attorney Fee                         $        -                   $         -      0.00%                $         -
Municipal Liens                                     $    112.91                  100.00% $     112.91 $      112.91
Taxes                                               $       -                      0.00% $         -    $         -
Total
                       $ 500.00 $             -     $    112.91 $       500.00   200.00% $     112.91 $      750.00
Actual Total Amt Due                 $     612.91
Amount Remaining                                        $137.09
Under Tex. Tax Code §34.051 a municipality is authorized to resell tax foreclosed property for less than the market value
specified in the judgment of foreclosure or less than the total amount of the judgments against the property if consent to the
  conveyance is evidenced by an Interlocal Agreement between the municipality and each taxing unit that is a party to the
                                                           judgment.
PROPERTY ANALYSIS
                                         For Tax Resale Property:

Legal Description:       Lot 5, Block 6, Kenley Addition, an addition to the City of San Angelo, Tom Green County,
                         Texas, as described in Volume 335, Page 11, Deed Records of Tom Green County, Texas.



Improved or            Unimproved
Unimproved:
Tax Suit Number:       B-06-0131-T
Location:              1814 Ellis Street
Size/Dimensions:       50' x 130'
City of San Angelo vs. Katie Glenn         Account #1822
Tax ID Number:         15-29800-0006-005-00
Judgment Date:         November 14, 2007
Date of Sheriff's Sale: October 7, 2008

Sheriff's Deed         October 22, 2008
Recorded:
                                                    Years Held in Trust                                     4 YRS
Adjudge Value:
                        $2,250.00                   Purchased under Urban Redevlopment?                     YES
Amount of Offer:
                          $750.00




                                     Amounts Due                      Priority   % of        Pro Rata   Amounts

                          Fees         Priority      Judgment     Allocations Remainder Allocations Distributed
                                      Judgment
Administration Fee     $ 500.00                                   $     500.00     0.00%                $    500.00
Maintenance Fee                      $        -                                    0.00% $         -    $         -
District Clerk                       $     333.00                                45.43% $      113.57 $      113.57
Sheriff's Fee                        $     100.00                                13.64% $        34.11 $      34.11
Attorney Fee                         $     300.00                                40.93% $      102.32 $      102.32
Municipal Liens                                     $    428.00                    0.00% $         -    $         -
Taxes                                               $ 2,535.00                     0.00% $         -    $         -
Total
                       $ 500.00 $          733.00 $ 2,963.00 $          500.00   100.00% $     250.00 $      750.00
Actual Total Amt Due                 $ 4,196.00
Amount Remaining                                        $250.00
Under Tex. Tax Code §34.051 a municipality is authorized to resell tax foreclosed property for less than the market value
specified in the judgment of foreclosure or less than the total amount of the judgments against the property if consent to the
  conveyance is evidenced by an Interlocal Agreement between the municipality and each taxing unit that is a party to the
                                                           judgment.
PROPERTY ANALYSIS
                                            For Tax Resale Property

Legal Description:         Lots 12, Block 5 “E”, Chapman’s Subdivision of Blocks 4 and 5, Freeland’s Addition,
                            City of San Angelo, Tom Green County, Texas, as described in Volume 182, Page
                                             208, Deed Records of Tom Green County, Texas.
                                                    Account #05-17700-0005-012-00

Improved/Unimproved        Unimproved
Tax Suit Number:           B-07-0200-T
Location:                  1923 Coleman Street
Parcel Size/Dimensions:    64' x 100'
City of San Angelo vs.     W.C. Turner Account # 7047
Tax ID Number:             #05-17700-0005-012-00
Judgment Date:             August 7, 2009
Date of Sheriff's Sale:    August 3, 2010
Sheriff's Deed Recorded:   August 13, 2010
                                                         Years Held in Trust                       2 1/2 YRS
Adjudge Value:             $ 4,358.00                    Sale under Urban Redevelopment?              No
Amount of Offer:           $ 2,500.00




                           Amounts Due                      Priority    % of     Pro Rata    Amounts
                              Fees     Judgment           Allocations Remainder Allocations Distributed
Administration Fee            $500.00                         $500.00     0.00%                $500.00
Maintenance Fee                 $500.00                       $500.00          0.00%                 $500.00
District Clerk                  $371.00                       $371.00          0.00%                 $371.00
Sheriff's Fee                   $100.00                       $100.00          0.00%                 $100.00
Attorney Fee                    $365.00                       $365.00          0.00%                 $365.00
Municipal Liens                   $0.00          $0.00                         0.00%      $0.00         $0.00
Taxes                             $0.00      $3,522.00                     100.00%     $664.00       $664.00
Total                         $1,836.00      $3,522.00       $1,836.00     100.00%     $664.00     $2,500.00
Actual Total Amt Due                         $5,358.00
Amount Remaining                                         $     664.00

                           Offer will satisfy all costs according to the Judgment.
PROPERTY ANALYSIS
                                          CITY PROPERTY

Legal Description:
                      Subdivision:
                            Block:
                               Lot:
Location:
Usage:
Tax ID Number:
Deed:                                                            Date:
Responsible Department:
Zoning:
Parcel Size/Dimensions:                                   Miscellaneous Information:
Plat Restictions?
Recent Survey:
Connected to other Parcel?
Easements:
Right-of-Ways:
Utilities:
Available for Sale?


                       Front                                       Aerial
PROPERTY ANALYSIS
                                         For Tax Resale Property:

Legal Description:       Lot 5, Block 6, Kenley Addition, an addition to the City of San Angelo, Tom Green County,
                         Texas, as described in Volume 335, Page 11, Deed Records of Tom Green County, Texas.



Improved or            Unimproved
Unimproved:
Tax Suit Number:       B-06-0131-T
Location:              1814 Ellis Street
Size/Dimensions:       50' x 130'
City of San Angelo vs. Katie Glenn         Account #1822
Tax ID Number:         15-29800-0006-005-00
Judgment Date:         November 14, 2007
Date of Sheriff's Sale: October 7, 2008

Sheriff's Deed         October 22, 2008
Recorded:
                                                    Years Held in Trust                                     4 YRS
Adjudge Value:
                        $2,250.00                   Purchased under Urban Redevlopment?                     YES
Amount of Offer:
                          $750.00




                                     Amounts Due                      Priority   % of        Pro Rata   Amounts

                          Fees         Priority      Judgment     Allocations Remainder Allocations Distributed
                                      Judgment
Administration Fee     $ 500.00                                   $     500.00     0.00%                $    500.00
Maintenance Fee                      $     137.09                                100.00% $     137.09 $      137.09
District Clerk                       $        -                   $         -      0.00%                $         -
Sheriff's Fee                        $        -                   $         -      0.00%                $         -
Attorney Fee                         $        -                   $         -      0.00%                $         -
Municipal Liens                                     $    112.91                  100.00% $     112.91 $      112.91
Taxes                                               $       -                      0.00% $         -    $         -
Total
                       $ 500.00 $             -     $    112.91 $       500.00   200.00% $     112.91 $      750.00
Actual Total Amt Due                 $     612.91
Amount Remaining                                        $137.09
Under Tex. Tax Code §34.051 a municipality is authorized to resell tax foreclosed property for less than the market value
specified in the judgment of foreclosure or less than the total amount of the judgments against the property if consent to the
  conveyance is evidenced by an Interlocal Agreement between the municipality and each taxing unit that is a party to the
                                                           judgment.
PROPERTY ANALYSIS
                                         For Tax Resale Property:

Legal Description:       Lot 5, Block 6, Kenley Addition, an addition to the City of San Angelo, Tom Green County,
                         Texas, as described in Volume 335, Page 11, Deed Records of Tom Green County, Texas.



Improved or            Unimproved
Unimproved:
Tax Suit Number:       B-06-0131-T
Location:              1814 Ellis Street
Size/Dimensions:       50' x 130'
City of San Angelo vs. Katie Glenn         Account #1822
Tax ID Number:         15-29800-0006-005-00
Judgment Date:         November 14, 2007
Date of Sheriff's Sale: October 7, 2008

Sheriff's Deed         October 22, 2008
Recorded:
                                                    Years Held in Trust                                     4 YRS
Adjudge Value:
                        $2,250.00                   Purchased under Urban Redevlopment?                     YES
Amount of Offer:
                          $750.00




                                     Amounts Due                      Priority   % of        Pro Rata   Amounts

                          Fees         Priority      Judgment     Allocations Remainder Allocations Distributed
                                      Judgment
Administration Fee     $ 500.00                                   $     500.00     0.00%                $    500.00
Maintenance Fee                      $        -                                    0.00% $         -    $         -
District Clerk                       $     333.00                                45.43% $      113.57 $      113.57
Sheriff's Fee                        $     100.00                                13.64% $        34.11 $      34.11
Attorney Fee                         $     300.00                                40.93% $      102.32 $      102.32
Municipal Liens                                     $    428.00                    0.00% $         -    $         -
Taxes                                               $ 2,535.00                     0.00% $         -    $         -
Total
                       $ 500.00 $          733.00 $ 2,963.00 $          500.00   100.00% $     250.00 $      750.00
Actual Total Amt Due                 $ 4,196.00
Amount Remaining                                        $250.00
Under Tex. Tax Code §34.051 a municipality is authorized to resell tax foreclosed property for less than the market value
specified in the judgment of foreclosure or less than the total amount of the judgments against the property if consent to the
  conveyance is evidenced by an Interlocal Agreement between the municipality and each taxing unit that is a party to the
                                                           judgment.
PROPERTY ANALYSIS
                                                  For Tax Resale Property

Legal Description:               Lot 3, Block 12, Lasker Addition, an addition to the City of San Angelo, Tom Green
                                 County, Texas, according to the map or plat thereof, recorded in Volume 23, Page
                                                   272, Deed Records of Tom Green County, Texas.
                                                          Account #16-31200-0012-003-00

Improved/Unimproved             Unimproved
Tax Suit Number:                B-05-0274-T
Location:                       217 W 16th Street
Parcel Size/Dimensions:         50' x 140'
City of San Angelo vs.          Eusebia Munoz, deceased Account # 8087
Tax ID Number:                   #16-31200-0012-003-00
Judgment Date:                  June 30, 2010
Date of Sheriff's Sale:         October 5, 2010
Sheriff's Deed Recorded:        October 19, 2010
                                                               Years Held in Trust                          2 1/2 YRS
Adjudge Value:                   $ 3,000.00                    Purchased under Urban Redevelopment             No
Amount of Offer:                 $ 2,500.00




                                Amounts Due                       Priority    % of     Pro Rata    Amounts
                                   Fees     Judgment            Allocations Remainder Allocations Distributed
Administration Fee                 $500.00                          $500.00     0.00%                $500.00
Maintenance Fee                  $     400.00                  $     400.00          0.00%                    $400.00
District Clerk                       $1,061.00                     $1,061.00         0.00%                  $1,061.00
Sheriff's Fee                         $100.00                       $100.00          0.00%                    $100.00
Attorney Fee                          $413.00                       $413.00          0.00%                    $413.00
Municipal Liens                  $           -         $0.00                         0.00%      $0.00           $0.00
Taxes                            $           -     $3,804.00                     100.00%       $26.00          $26.00
Total                                $2,474.00     $3,804.00       $2,474.00     100.00%       $26.00       $2,500.00
Actual Total Amt Due                               $6,278.00
Amount Remaining                                               $      26.00

                Offer will satisfy all costs and a small portion of the taxes, according to the Judgment.
PROPERTY ANALYSIS
                                          CITY PROPERTY

Legal Description:
                      Subdivision:
                            Block:
                               Lot:
Location:
Usage:
Tax ID Number:
Deed:                                                            Date:
Responsible Department:
Zoning:
Parcel Size/Dimensions:                                   Miscellaneous Information:
Plat Restictions?
Recent Survey:
Connected to other Parcel?
Easements:
Right-of-Ways:
Utilities:
Available for Sale?


                       Front                                       Aerial
PROPERTY ANALYSIS
                                         For Tax Resale Property:

Legal Description:       Lot 5, Block 6, Kenley Addition, an addition to the City of San Angelo, Tom Green County,
                         Texas, as described in Volume 335, Page 11, Deed Records of Tom Green County, Texas.



Improved or            Unimproved
Unimproved:
Tax Suit Number:       B-06-0131-T
Location:              1814 Ellis Street
Size/Dimensions:       50' x 130'
City of San Angelo vs. Katie Glenn         Account #1822
Tax ID Number:         15-29800-0006-005-00
Judgment Date:         November 14, 2007
Date of Sheriff's Sale: October 7, 2008

Sheriff's Deed         October 22, 2008
Recorded:
                                                    Years Held in Trust                                     4 YRS
Adjudge Value:
                        $2,250.00                   Purchased under Urban Redevlopment?                     YES
Amount of Offer:
                          $750.00




                                     Amounts Due                      Priority   % of        Pro Rata   Amounts

                          Fees         Priority      Judgment     Allocations Remainder Allocations Distributed
                                      Judgment
Administration Fee     $ 500.00                                   $     500.00     0.00%                $    500.00
Maintenance Fee                      $     137.09                                100.00% $     137.09 $      137.09
District Clerk                       $        -                   $         -      0.00%                $         -
Sheriff's Fee                        $        -                   $         -      0.00%                $         -
Attorney Fee                         $        -                   $         -      0.00%                $         -
Municipal Liens                                     $    112.91                  100.00% $     112.91 $      112.91
Taxes                                               $       -                      0.00% $         -    $         -
Total
                       $ 500.00 $             -     $    112.91 $       500.00   200.00% $     112.91 $      750.00
Actual Total Amt Due                 $     612.91
Amount Remaining                                        $137.09
Under Tex. Tax Code §34.051 a municipality is authorized to resell tax foreclosed property for less than the market value
specified in the judgment of foreclosure or less than the total amount of the judgments against the property if consent to the
  conveyance is evidenced by an Interlocal Agreement between the municipality and each taxing unit that is a party to the
                                                           judgment.
PROPERTY ANALYSIS
                                         For Tax Resale Property:

Legal Description:       Lot 5, Block 6, Kenley Addition, an addition to the City of San Angelo, Tom Green County,
                         Texas, as described in Volume 335, Page 11, Deed Records of Tom Green County, Texas.



Improved or            Unimproved
Unimproved:
Tax Suit Number:       B-06-0131-T
Location:              1814 Ellis Street
Size/Dimensions:       50' x 130'
City of San Angelo vs. Katie Glenn         Account #1822
Tax ID Number:         15-29800-0006-005-00
Judgment Date:         November 14, 2007
Date of Sheriff's Sale: October 7, 2008

Sheriff's Deed         October 22, 2008
Recorded:
                                                    Years Held in Trust                                     4 YRS
Adjudge Value:
                        $2,250.00                   Purchased under Urban Redevlopment?                     YES
Amount of Offer:
                          $750.00




                                     Amounts Due                      Priority   % of        Pro Rata   Amounts

                          Fees         Priority      Judgment     Allocations Remainder Allocations Distributed
                                      Judgment
Administration Fee     $ 500.00                                   $     500.00     0.00%                $    500.00
Maintenance Fee                      $        -                                    0.00% $         -    $         -
District Clerk                       $     333.00                                45.43% $      113.57 $      113.57
Sheriff's Fee                        $     100.00                                13.64% $        34.11 $      34.11
Attorney Fee                         $     300.00                                40.93% $      102.32 $      102.32
Municipal Liens                                     $    428.00                    0.00% $         -    $         -
Taxes                                               $ 2,535.00                     0.00% $         -    $         -
Total
                       $ 500.00 $          733.00 $ 2,963.00 $          500.00   100.00% $     250.00 $      750.00
Actual Total Amt Due                 $ 4,196.00
Amount Remaining                                        $250.00
Under Tex. Tax Code §34.051 a municipality is authorized to resell tax foreclosed property for less than the market value
specified in the judgment of foreclosure or less than the total amount of the judgments against the property if consent to the
  conveyance is evidenced by an Interlocal Agreement between the municipality and each taxing unit that is a party to the
                                                           judgment.
PROPERTY ANALYSIS
                                              For Tax Resale Property

Legal Description:                Lot 3, Block 31, Miles Addition, as described in Volume 186, Page 339, Deed
                                                      Records of Tom Green County, Texas.
                                                        Account #18-34200-0031-003-00


Improved/Unimproved          Unimproved
Tax Suit Number:             B-95-0055-T
Location:                    209 W 19th Street
Parcel Size/Dimensions:      50' x 100'
City of San Angelo vs.       Alverda Stephens Account # 2275
Tax ID Number:               #18-34200-0031-003-00
Judgment Date:               April 22, 1996
Date of Sheriff's Sale:      August 4, 1998
Sheriff's Deed Recorded:     October 29, 1998
                                                           Years Held in Trust                         14 1/2 YRS
Adjudge Value:                $ 3,163.00                   Sale under Urban Redevelopment?                 No
Amount of Offer:              $     750.00




                             Amounts Due                      Priority    % of     Pro Rata    Amounts
                                Fees     Judgment           Allocations Remainder Allocations Distributed
Administration &                $511.00                         $511.00     0.00%                $511.00
Recording Fees
Maintenance Fee                   $2,030.00                    $2,030.00         0.00% $         -     $        -
District Clerk                     $358.69                      $358.69          74.73% $   178.62 $        178.62
Sheriff's Fee                       $40.00                       $40.00          8.33% $       19.92 $       19.92
Attorney Fee                        $81.26                       $81.26          16.93% $      40.46 $       40.46
Municipal Liens                      $0.00         $0.00                         0.00%         $0.00         $0.00
Taxes                                $0.00     $2,579.80                         0.00%         $0.00         $0.00
Total                             $3,020.95    $2,579.80       $3,020.95     100.00% $      239.00         $750.00
Actual Total Amt Due                           $5,600.75        $479.95
Amount Remaining                                           $     239.00

                      Offer will satisfy a portion of court costs according to the Judgment.
PROPERTY ANALYSIS
                                          CITY PROPERTY

Legal Description:
                      Subdivision:
                            Block:
                               Lot:
Location:
Usage:
Tax ID Number:
Deed:                                                            Date:
Responsible Department:
Zoning:
Parcel Size/Dimensions:                                   Miscellaneous Information:
Plat Restictions?
Recent Survey:
Connected to other Parcel?
Easements:
Right-of-Ways:
Utilities:
Available for Sale?


                       Front                                       Aerial
PROPERTY ANALYSIS
                                         For Tax Resale Property:

Legal Description:       Lot 5, Block 6, Kenley Addition, an addition to the City of San Angelo, Tom Green County,
                         Texas, as described in Volume 335, Page 11, Deed Records of Tom Green County, Texas.



Improved or            Unimproved
Unimproved:
Tax Suit Number:       B-06-0131-T
Location:              1814 Ellis Street
Size/Dimensions:       50' x 130'
City of San Angelo vs. Katie Glenn         Account #1822
Tax ID Number:         15-29800-0006-005-00
Judgment Date:         November 14, 2007
Date of Sheriff's Sale: October 7, 2008

Sheriff's Deed         October 22, 2008
Recorded:
                                                    Years Held in Trust                                     4 YRS
Adjudge Value:
                        $2,250.00                   Purchased under Urban Redevlopment?                     YES
Amount of Offer:
                          $750.00




                                     Amounts Due                      Priority   % of        Pro Rata   Amounts

                          Fees         Priority      Judgment     Allocations Remainder Allocations Distributed
                                      Judgment
Administration Fee     $ 500.00                                   $     500.00     0.00%                $    500.00
Maintenance Fee                      $     137.09                                100.00% $     137.09 $      137.09
District Clerk                       $        -                   $         -      0.00%                $         -
Sheriff's Fee                        $        -                   $         -      0.00%                $         -
Attorney Fee                         $        -                   $         -      0.00%                $         -
Municipal Liens                                     $    112.91                  100.00% $     112.91 $      112.91
Taxes                                               $       -                      0.00% $         -    $         -
Total
                       $ 500.00 $             -     $    112.91 $       500.00   200.00% $     112.91 $      750.00
Actual Total Amt Due                 $     612.91
Amount Remaining                                        $137.09
Under Tex. Tax Code §34.051 a municipality is authorized to resell tax foreclosed property for less than the market value
specified in the judgment of foreclosure or less than the total amount of the judgments against the property if consent to the
  conveyance is evidenced by an Interlocal Agreement between the municipality and each taxing unit that is a party to the
                                                           judgment.
PROPERTY ANALYSIS
                                         For Tax Resale Property:

Legal Description:       Lot 5, Block 6, Kenley Addition, an addition to the City of San Angelo, Tom Green County,
                         Texas, as described in Volume 335, Page 11, Deed Records of Tom Green County, Texas.



Improved or            Unimproved
Unimproved:
Tax Suit Number:       B-06-0131-T
Location:              1814 Ellis Street
Size/Dimensions:       50' x 130'
City of San Angelo vs. Katie Glenn         Account #1822
Tax ID Number:         15-29800-0006-005-00
Judgment Date:         November 14, 2007
Date of Sheriff's Sale: October 7, 2008

Sheriff's Deed         October 22, 2008
Recorded:
                                                    Years Held in Trust                                     4 YRS
Adjudge Value:
                        $2,250.00                   Purchased under Urban Redevlopment?                     YES
Amount of Offer:
                          $750.00




                                     Amounts Due                      Priority   % of        Pro Rata   Amounts

                          Fees         Priority      Judgment     Allocations Remainder Allocations Distributed
                                      Judgment
Administration Fee     $ 500.00                                   $     500.00     0.00%                $    500.00
Maintenance Fee                      $        -                                    0.00% $         -    $         -
District Clerk                       $     333.00                                45.43% $      113.57 $      113.57
Sheriff's Fee                        $     100.00                                13.64% $        34.11 $      34.11
Attorney Fee                         $     300.00                                40.93% $      102.32 $      102.32
Municipal Liens                                     $    428.00                    0.00% $         -    $         -
Taxes                                               $ 2,535.00                     0.00% $         -    $         -
Total
                       $ 500.00 $          733.00 $ 2,963.00 $          500.00   100.00% $     250.00 $      750.00
Actual Total Amt Due                 $ 4,196.00
Amount Remaining                                        $250.00
Under Tex. Tax Code §34.051 a municipality is authorized to resell tax foreclosed property for less than the market value
specified in the judgment of foreclosure or less than the total amount of the judgments against the property if consent to the
  conveyance is evidenced by an Interlocal Agreement between the municipality and each taxing unit that is a party to the
                                                           judgment.
PROPERTY ANALYSIS
                                              For Tax Resale Property

Legal Description:            The South 50 feet of the North 447.7 feet of Block 8 of the E.S. Kirby Subdivision,
                              City of San Angelo, as described in Volume 687, Page 547, Deed Records of Tom
                                                            Green County, Texas.
                                                      Account #15-30200-0008-019-00

Improved/Unimproved          Unimproved
Tax Suit Number:             TAX89-0217B
Location:                    2327 Lillie Street
Parcel Size/Dimensions:      50' x 200'
City of San Angelo vs.       Eddie Jackson Account # 899
Tax ID Number:               #15-30200-0008-019-00
Judgment Date:               January 10, 1992
Date of Sheriff's Sale:      April 7, 1992
Sheriff's Deed Recorded:     April 24, 1992
                                                              Years Held in Trust                          21 YRS
Adjudge Value:                $ 2,500.00                      Sale under Urban Redevelopment?               No
Amount of Offer:              $     750.00




                             Amounts Due                         Priority    % of     Pro Rata    Amounts
                                Fees     Judgment              Allocations Remainder Allocations Distributed
Administration Fee              $500.00                            $500.00     0.00%                $500.00
Maintenance Fee                   $5,880.00                       $5,880.00     100.00% $     250.00 $      250.00
District Clerk                       $0.00                           $0.00          0.00% $      -     $         -
Sheriff's Fee                        $0.00                           $0.00          0.00% $      -     $         -
Attorney Fee                         $0.00                           $0.00          0.00% $      -     $         -
Municipal Liens                      $0.00           $0.00                          0.00%      $0.00          $0.00
Taxes                                $0.00           $0.00                          0.00%      $0.00          $0.00
Total                             $6,380.00          $0.00        $6,380.00     100.00% $     250.00       $750.00
Actual Total Amt Due                              $6,380.00          $0.00
Amount Remaining                                              $     250.00

                      Offer will satisfy a portion of court costs according to the Judgment.
PROPERTY ANALYSIS
                                          CITY PROPERTY

Legal Description:
                      Subdivision:
                            Block:
                               Lot:
Location:
Usage:
Tax ID Number:
Deed:                                                            Date:
Responsible Department:
Zoning:
Parcel Size/Dimensions:                                   Miscellaneous Information:
Plat Restictions?
Recent Survey:
Connected to other Parcel?
Easements:
Right-of-Ways:
Utilities:
Available for Sale?


                       Front                                       Aerial
PROPERTY ANALYSIS
                                         For Tax Resale Property:

Legal Description:       Lot 5, Block 6, Kenley Addition, an addition to the City of San Angelo, Tom Green County,
                         Texas, as described in Volume 335, Page 11, Deed Records of Tom Green County, Texas.



Improved or            Unimproved
Unimproved:
Tax Suit Number:       B-06-0131-T
Location:              1814 Ellis Street
Size/Dimensions:       50' x 130'
City of San Angelo vs. Katie Glenn         Account #1822
Tax ID Number:         15-29800-0006-005-00
Judgment Date:         November 14, 2007
Date of Sheriff's Sale: October 7, 2008

Sheriff's Deed         October 22, 2008
Recorded:
                                                    Years Held in Trust                                     4 YRS
Adjudge Value:
                        $2,250.00                   Purchased under Urban Redevlopment?                     YES
Amount of Offer:
                          $750.00




                                     Amounts Due                      Priority   % of        Pro Rata   Amounts

                          Fees         Priority      Judgment     Allocations Remainder Allocations Distributed
                                      Judgment
Administration Fee     $ 500.00                                   $     500.00     0.00%                $    500.00
Maintenance Fee                      $     137.09                                100.00% $     137.09 $      137.09
District Clerk                       $        -                   $         -      0.00%                $         -
Sheriff's Fee                        $        -                   $         -      0.00%                $         -
Attorney Fee                         $        -                   $         -      0.00%                $         -
Municipal Liens                                     $    112.91                  100.00% $     112.91 $      112.91
Taxes                                               $       -                      0.00% $         -    $         -
Total
                       $ 500.00 $             -     $    112.91 $       500.00   200.00% $     112.91 $      750.00
Actual Total Amt Due                 $     612.91
Amount Remaining                                        $137.09
Under Tex. Tax Code §34.051 a municipality is authorized to resell tax foreclosed property for less than the market value
specified in the judgment of foreclosure or less than the total amount of the judgments against the property if consent to the
  conveyance is evidenced by an Interlocal Agreement between the municipality and each taxing unit that is a party to the
                                                           judgment.
PROPERTY ANALYSIS
                                         For Tax Resale Property:

Legal Description:       Lot 5, Block 6, Kenley Addition, an addition to the City of San Angelo, Tom Green County,
                         Texas, as described in Volume 335, Page 11, Deed Records of Tom Green County, Texas.



Improved or            Unimproved
Unimproved:
Tax Suit Number:       B-06-0131-T
Location:              1814 Ellis Street
Size/Dimensions:       50' x 130'
City of San Angelo vs. Katie Glenn         Account #1822
Tax ID Number:         15-29800-0006-005-00
Judgment Date:         November 14, 2007
Date of Sheriff's Sale: October 7, 2008

Sheriff's Deed         October 22, 2008
Recorded:
                                                    Years Held in Trust                                     4 YRS
Adjudge Value:
                        $2,250.00                   Purchased under Urban Redevlopment?                     YES
Amount of Offer:
                          $750.00




                                     Amounts Due                      Priority   % of        Pro Rata   Amounts

                          Fees         Priority      Judgment     Allocations Remainder Allocations Distributed
                                      Judgment
Administration Fee     $ 500.00                                   $     500.00     0.00%                $    500.00
Maintenance Fee                      $        -                                    0.00% $         -    $         -
District Clerk                       $     333.00                                45.43% $      113.57 $      113.57
Sheriff's Fee                        $     100.00                                13.64% $        34.11 $      34.11
Attorney Fee                         $     300.00                                40.93% $      102.32 $      102.32
Municipal Liens                                     $    428.00                    0.00% $         -    $         -
Taxes                                               $ 2,535.00                     0.00% $         -    $         -
Total
                       $ 500.00 $          733.00 $ 2,963.00 $          500.00   100.00% $     250.00 $      750.00
Actual Total Amt Due                 $ 4,196.00
Amount Remaining                                        $250.00
Under Tex. Tax Code §34.051 a municipality is authorized to resell tax foreclosed property for less than the market value
specified in the judgment of foreclosure or less than the total amount of the judgments against the property if consent to the
  conveyance is evidenced by an Interlocal Agreement between the municipality and each taxing unit that is a party to the
                                                           judgment.
PROPERTY ANALYSIS
                                            For Tax Resale Property

Legal Description:         The South 80 feet of the East 12 2/3 Feet of Lot 8, the South 80 Feet of Lot 7, and
                           the South 80 Feet of the West 1 5/6 Feet of Lot 6, Block 3, Akin’s Addition, City of
                            San Angelo, as described in Volume 234, Page 485, Deed Records of Tom Green
                                                             County, Texas.
                                                   Account #01-10100-0003-008-00
Improved/Unimproved        Unimproved
Tax Suit Number:           TAX89-0364B
Location:                  310 E 9th Street
Parcel Size/Dimensions:    64' x 80'
City of San Angelo vs.     Robbie Allcorn, a/k/a Robbie Alcorn Mayes, a/k/a R.J. Allcorn Account # 995
Tax ID Number:             #01-10100-0003-008-00
Judgment Date:             March 27, 1996
Date of Sheriff's Sale:    February 6, 1996
Sheriff's Deed Recorded:   May 7, 1996
                                                          Years Held in Trust                        17 YRS
Adjudge Value:             $ 3,200.00                     Sale under Urban Redevelopment?              No
Amount of Offer:           $     750.00




                           Amounts Due                       Priority    % of     Pro Rata    Amounts
                              Fees     Judgment            Allocations Remainder Allocations Distributed
Administration Fee            $500.00                          $500.00     0.00%                $500.00
Maintenance Fee            $ 2,448.00                     $    2,448.00     100.00% $    250.00 $      250.00
District Clerk                    $0.00                          $0.00          0.00%                    $0.00
Sheriff's Fee                     $0.00                          $0.00          0.00%                    $0.00
Attorney Fee                      $0.00                          $0.00          0.00%                    $0.00
Municipal Liens            $           -         $0.00                          0.00%      $0.00         $0.00
Taxes                      $           -         $0.00                          0.00%      $0.00         $0.00
Total                          $2,948.00         $0.00        $2,948.00     100.00%        $0.00      $750.00
Actual Total Amt Due                          $2,948.00
Amount Remaining                                          $     250.00

                           Offer will satisfy all costs according to the Judgment.
PROPERTY ANALYSIS
                                          CITY PROPERTY

Legal Description:
                      Subdivision:
                            Block:
                               Lot:
Location:
Usage:
Tax ID Number:
Deed:                                                            Date:
Responsible Department:
Zoning:
Parcel Size/Dimensions:                                   Miscellaneous Information:
Plat Restictions?
Recent Survey:
Connected to other Parcel?
Easements:
Right-of-Ways:
Utilities:
Available for Sale?


                       Front                                       Aerial
PROPERTY ANALYSIS
                                         For Tax Resale Property:

Legal Description:       Lot 5, Block 6, Kenley Addition, an addition to the City of San Angelo, Tom Green County,
                         Texas, as described in Volume 335, Page 11, Deed Records of Tom Green County, Texas.



Improved or            Unimproved
Unimproved:
Tax Suit Number:       B-06-0131-T
Location:              1814 Ellis Street
Size/Dimensions:       50' x 130'
City of San Angelo vs. Katie Glenn         Account #1822
Tax ID Number:         15-29800-0006-005-00
Judgment Date:         November 14, 2007
Date of Sheriff's Sale: October 7, 2008

Sheriff's Deed         October 22, 2008
Recorded:
                                                    Years Held in Trust                                     4 YRS
Adjudge Value:
                        $2,250.00                   Purchased under Urban Redevlopment?                     YES
Amount of Offer:
                          $750.00




                                     Amounts Due                      Priority   % of        Pro Rata   Amounts

                          Fees         Priority      Judgment     Allocations Remainder Allocations Distributed
                                      Judgment
Administration Fee     $ 500.00                                   $     500.00     0.00%                $    500.00
Maintenance Fee                      $     137.09                                100.00% $     137.09 $      137.09
District Clerk                       $        -                   $         -      0.00%                $         -
Sheriff's Fee                        $        -                   $         -      0.00%                $         -
Attorney Fee                         $        -                   $         -      0.00%                $         -
Municipal Liens                                     $    112.91                  100.00% $     112.91 $      112.91
Taxes                                               $       -                      0.00% $         -    $         -
Total
                       $ 500.00 $             -     $    112.91 $       500.00   200.00% $     112.91 $      750.00
Actual Total Amt Due                 $     612.91
Amount Remaining                                        $137.09
Under Tex. Tax Code §34.051 a municipality is authorized to resell tax foreclosed property for less than the market value
specified in the judgment of foreclosure or less than the total amount of the judgments against the property if consent to the
  conveyance is evidenced by an Interlocal Agreement between the municipality and each taxing unit that is a party to the
                                                           judgment.
PROPERTY ANALYSIS
                                         For Tax Resale Property:

Legal Description:       Lot 5, Block 6, Kenley Addition, an addition to the City of San Angelo, Tom Green County,
                         Texas, as described in Volume 335, Page 11, Deed Records of Tom Green County, Texas.



Improved or            Unimproved
Unimproved:
Tax Suit Number:       B-06-0131-T
Location:              1814 Ellis Street
Size/Dimensions:       50' x 130'
City of San Angelo vs. Katie Glenn         Account #1822
Tax ID Number:         15-29800-0006-005-00
Judgment Date:         November 14, 2007
Date of Sheriff's Sale: October 7, 2008

Sheriff's Deed         October 22, 2008
Recorded:
                                                    Years Held in Trust                                     4 YRS
Adjudge Value:
                        $2,250.00                   Purchased under Urban Redevlopment?                     YES
Amount of Offer:
                          $750.00




                                     Amounts Due                      Priority   % of        Pro Rata   Amounts

                          Fees         Priority      Judgment     Allocations Remainder Allocations Distributed
                                      Judgment
Administration Fee     $ 500.00                                   $     500.00     0.00%                $    500.00
Maintenance Fee                      $        -                                    0.00% $         -    $         -
District Clerk                       $     333.00                                45.43% $      113.57 $      113.57
Sheriff's Fee                        $     100.00                                13.64% $        34.11 $      34.11
Attorney Fee                         $     300.00                                40.93% $      102.32 $      102.32
Municipal Liens                                     $    428.00                    0.00% $         -    $         -
Taxes                                               $ 2,535.00                     0.00% $         -    $         -
Total
                       $ 500.00 $          733.00 $ 2,963.00 $          500.00   100.00% $     250.00 $      750.00
Actual Total Amt Due                 $ 4,196.00
Amount Remaining                                        $250.00
Under Tex. Tax Code §34.051 a municipality is authorized to resell tax foreclosed property for less than the market value
specified in the judgment of foreclosure or less than the total amount of the judgments against the property if consent to the
  conveyance is evidenced by an Interlocal Agreement between the municipality and each taxing unit that is a party to the
                                                           judgment.
PROPERTY ANALYSIS
                                             For Tax Resale Property

Legal Description:           Lot 3, Block 93, Dallas Subdivision of Miles Addition No. 2, known as Angelo Heights
                                  Addition, an addition to the City of San Angelo, Tom Green County, Texas,
                                according to the map or plat thereof, recorded in Volume 54, Page 168, Deed
                                                      Records of Tom Green County, Texas.
                                                        Account #01-11000-0093-003-00
Improved/Unimproved          Unimproved
Tax Suit Number:             B-05-0268-T
Location:                    613 N. Adams Street
Parcel Size/Dimensions:      50' x 140'
City of San Angelo vs.       Edward Seeley Henderson Account # 831
Tax ID Number:               #01-11000-0093-003-00
Judgment Date:               April 4, 2007
Date of Sheriff's Sale:      October 2, 2007
Sheriff's Deed Recorded:     October 15, 2007
                                                           Years Held in Trust                        6 1/2 YRS
Adjudge Value:               $ 6,250.00                    Sale under Urban Redevelopment?               No
Amount of Offer:             $ 2,700.00




                            Amounts Due                       Priority    % of     Pro Rata    Amounts
                               Fees     Judgment            Allocations Remainder Allocations Distributed
Administration Fee             $500.00                          $500.00     0.00%                $500.00
Maintenance Fee                 $1,300.00                      $1,300.00          0.00%               $1,300.00
District Clerk                    $333.00                       $333.00           0.00%                 $333.00
Sheriff's Fee                     $100.00                       $100.00           0.00%                 $100.00
Attorney Fee                      $345.00                       $345.00           0.00%                 $345.00
Municipal Liens                     $0.00      $1,808.00                         30.56%    $37.28            $37.28
Taxes                               $0.00      $4,109.00                         69.44%    $84.72            $84.72
Total                           $2,578.00      $5,917.00       $2,578.00     100.00%      $122.00     $2,700.00
Actual Total Amt Due                           $8,495.00
Amount Remaining                                           $     122.00

        Offer will satisfy all costs and a small portion of the taxes and liens according to the Judgment.
PROPERTY ANALYSIS
                                          CITY PROPERTY

Legal Description:
                      Subdivision:
                            Block:
                               Lot:
Location:
Usage:
Tax ID Number:
Deed:                                                            Date:
Responsible Department:
Zoning:
Parcel Size/Dimensions:                                   Miscellaneous Information:
Plat Restictions?
Recent Survey:
Connected to other Parcel?
Easements:
Right-of-Ways:
Utilities:
Available for Sale?


                       Front                                       Aerial
PROPERTY ANALYSIS
                                         For Tax Resale Property:

Legal Description:       Lot 5, Block 6, Kenley Addition, an addition to the City of San Angelo, Tom Green County,
                         Texas, as described in Volume 335, Page 11, Deed Records of Tom Green County, Texas.



Improved or            Unimproved
Unimproved:
Tax Suit Number:       B-06-0131-T
Location:              1814 Ellis Street
Size/Dimensions:       50' x 130'
City of San Angelo vs. Katie Glenn         Account #1822
Tax ID Number:         15-29800-0006-005-00
Judgment Date:         November 14, 2007
Date of Sheriff's Sale: October 7, 2008

Sheriff's Deed         October 22, 2008
Recorded:
                                                    Years Held in Trust                                     4 YRS
Adjudge Value:
                        $2,250.00                   Purchased under Urban Redevlopment?                     YES
Amount of Offer:
                          $750.00




                                     Amounts Due                      Priority   % of        Pro Rata   Amounts

                          Fees         Priority      Judgment     Allocations Remainder Allocations Distributed
                                      Judgment
Administration Fee     $ 500.00                                   $     500.00     0.00%                $    500.00
Maintenance Fee                      $     137.09                                100.00% $     137.09 $      137.09
District Clerk                       $        -                   $         -      0.00%                $         -
Sheriff's Fee                        $        -                   $         -      0.00%                $         -
Attorney Fee                         $        -                   $         -      0.00%                $         -
Municipal Liens                                     $    112.91                  100.00% $     112.91 $      112.91
Taxes                                               $       -                      0.00% $         -    $         -
Total
                       $ 500.00 $             -     $    112.91 $       500.00   200.00% $     112.91 $      750.00
Actual Total Amt Due                 $     612.91
Amount Remaining                                        $137.09
Under Tex. Tax Code §34.051 a municipality is authorized to resell tax foreclosed property for less than the market value
specified in the judgment of foreclosure or less than the total amount of the judgments against the property if consent to the
  conveyance is evidenced by an Interlocal Agreement between the municipality and each taxing unit that is a party to the
                                                           judgment.
PROPERTY ANALYSIS
                                         For Tax Resale Property:

Legal Description:       Lot 5, Block 6, Kenley Addition, an addition to the City of San Angelo, Tom Green County,
                         Texas, as described in Volume 335, Page 11, Deed Records of Tom Green County, Texas.



Improved or            Unimproved
Unimproved:
Tax Suit Number:       B-06-0131-T
Location:              1814 Ellis Street
Size/Dimensions:       50' x 130'
City of San Angelo vs. Katie Glenn         Account #1822
Tax ID Number:         15-29800-0006-005-00
Judgment Date:         November 14, 2007
Date of Sheriff's Sale: October 7, 2008

Sheriff's Deed         October 22, 2008
Recorded:
                                                    Years Held in Trust                                     4 YRS
Adjudge Value:
                        $2,250.00                   Purchased under Urban Redevlopment?                     YES
Amount of Offer:
                          $750.00




                                     Amounts Due                      Priority   % of        Pro Rata   Amounts

                          Fees         Priority      Judgment     Allocations Remainder Allocations Distributed
                                      Judgment
Administration Fee     $ 500.00                                   $     500.00     0.00%                $    500.00
Maintenance Fee                      $        -                                    0.00% $         -    $         -
District Clerk                       $     333.00                                45.43% $      113.57 $      113.57
Sheriff's Fee                        $     100.00                                13.64% $        34.11 $      34.11
Attorney Fee                         $     300.00                                40.93% $      102.32 $      102.32
Municipal Liens                                     $    428.00                    0.00% $         -    $         -
Taxes                                               $ 2,535.00                     0.00% $         -    $         -
Total
                       $ 500.00 $          733.00 $ 2,963.00 $          500.00   100.00% $     250.00 $      750.00
Actual Total Amt Due                 $ 4,196.00
Amount Remaining                                        $250.00
Under Tex. Tax Code §34.051 a municipality is authorized to resell tax foreclosed property for less than the market value
specified in the judgment of foreclosure or less than the total amount of the judgments against the property if consent to the
  conveyance is evidenced by an Interlocal Agreement between the municipality and each taxing unit that is a party to the
                                                           judgment.
PROPERTY ANALYSIS
                                            For Tax Resale Property

Legal Description:             The North ½ of Lot 7, Block 3, Akin Addition, City of San Angelo, as described in
                                     Volume 478, Page 95, Deed Records of Tom Green County, Texas.
                                                       Account #01-10100-003-009-00



Improved/Unimproved        Unimproved
Tax Suit Number:           TAX90-0082B
Location:                  309 E 10th Street
Parcel Size/Dimensions:    50' x 80'
City of San Angelo vs.     Weldon Carlos Marshall Account # 1443
Tax ID Number:             Account #01-10100-003-009-00
Judgment Date:             October 14, 1992
Date of Sheriff's Sale:    February 4, 1997
Sheriff's Deed Recorded:   February 21, 1997
                                                          Years Held in Trust                           16 YRS
Adjudge Value:             $ 2,500.00                     Sale under Urban Redevelopment?                 No
Amount of Offer:           $      750.00




                           Amounts Due                       Priority    % of     Pro Rata    Amounts
                              Fees     Judgment            Allocations Remainder Allocations Distributed
Administration Fee            $500.00                          $500.00     0.00%                $500.00
Maintenance Fee            $ 2,240.00                     $    2,240.00      100.00% $      250.00 $      250.00
District Clerk                      $0.00                        $0.00          0.00%                      $0.00
Sheriff's Fee                       $0.00                        $0.00          0.00%                      $0.00
Attorney Fee                        $0.00                        $0.00          0.00%                      $0.00
Municipal Liens            $           -          $0.00                         0.00%        $0.00         $0.00
Taxes                      $           -          $0.00                         0.00%        $0.00         $0.00
Total                          $2,740.00          $0.00       $2,740.00      100.00%         $0.00       $750.00
Actual Total Amt Due                         $2,740.00
Amount Remaining                                          $     250.00

                           Offer will satisfy all costs according to the Judgment.
PROPERTY ANALYSIS
                                          CITY PROPERTY

Legal Description:
                      Subdivision:
                            Block:
                               Lot:
Location:
Usage:
Tax ID Number:
Deed:                                                            Date:
Responsible Department:
Zoning:
Parcel Size/Dimensions:                                   Miscellaneous Information:
Plat Restictions?
Recent Survey:
Connected to other Parcel?
Easements:
Right-of-Ways:
Utilities:
Available for Sale?


                       Front                                       Aerial
PROPERTY ANALYSIS
                                         For Tax Resale Property:

Legal Description:       Lot 5, Block 6, Kenley Addition, an addition to the City of San Angelo, Tom Green County,
                         Texas, as described in Volume 335, Page 11, Deed Records of Tom Green County, Texas.



Improved or            Unimproved
Unimproved:
Tax Suit Number:       B-06-0131-T
Location:              1814 Ellis Street
Size/Dimensions:       50' x 130'
City of San Angelo vs. Katie Glenn         Account #1822
Tax ID Number:         15-29800-0006-005-00
Judgment Date:         November 14, 2007
Date of Sheriff's Sale: October 7, 2008

Sheriff's Deed         October 22, 2008
Recorded:
                                                    Years Held in Trust                                     4 YRS
Adjudge Value:
                        $2,250.00                   Purchased under Urban Redevlopment?                     YES
Amount of Offer:
                          $750.00




                                     Amounts Due                      Priority   % of        Pro Rata   Amounts

                          Fees         Priority      Judgment     Allocations Remainder Allocations Distributed
                                      Judgment
Administration Fee     $ 500.00                                   $     500.00     0.00%                $    500.00
Maintenance Fee                      $     137.09                                100.00% $     137.09 $      137.09
District Clerk                       $        -                   $         -      0.00%                $         -
Sheriff's Fee                        $        -                   $         -      0.00%                $         -
Attorney Fee                         $        -                   $         -      0.00%                $         -
Municipal Liens                                     $    112.91                  100.00% $     112.91 $      112.91
Taxes                                               $       -                      0.00% $         -    $         -
Total
                       $ 500.00 $             -     $    112.91 $       500.00   200.00% $     112.91 $      750.00
Actual Total Amt Due                 $     612.91
Amount Remaining                                        $137.09
Under Tex. Tax Code §34.051 a municipality is authorized to resell tax foreclosed property for less than the market value
specified in the judgment of foreclosure or less than the total amount of the judgments against the property if consent to the
  conveyance is evidenced by an Interlocal Agreement between the municipality and each taxing unit that is a party to the
                                                           judgment.
PROPERTY ANALYSIS
                                         For Tax Resale Property:

Legal Description:       Lot 5, Block 6, Kenley Addition, an addition to the City of San Angelo, Tom Green County,
                         Texas, as described in Volume 335, Page 11, Deed Records of Tom Green County, Texas.



Improved or            Unimproved
Unimproved:
Tax Suit Number:       B-06-0131-T
Location:              1814 Ellis Street
Size/Dimensions:       50' x 130'
City of San Angelo vs. Katie Glenn         Account #1822
Tax ID Number:         15-29800-0006-005-00
Judgment Date:         November 14, 2007
Date of Sheriff's Sale: October 7, 2008

Sheriff's Deed         October 22, 2008
Recorded:
                                                    Years Held in Trust                                     4 YRS
Adjudge Value:
                        $2,250.00                   Purchased under Urban Redevlopment?                     YES
Amount of Offer:
                          $750.00




                                     Amounts Due                      Priority   % of        Pro Rata   Amounts

                          Fees         Priority      Judgment     Allocations Remainder Allocations Distributed
                                      Judgment
Administration Fee     $ 500.00                                   $     500.00     0.00%                $    500.00
Maintenance Fee                      $        -                                    0.00% $         -    $         -
District Clerk                       $     333.00                                45.43% $      113.57 $      113.57
Sheriff's Fee                        $     100.00                                13.64% $        34.11 $      34.11
Attorney Fee                         $     300.00                                40.93% $      102.32 $      102.32
Municipal Liens                                     $    428.00                    0.00% $         -    $         -
Taxes                                               $ 2,535.00                     0.00% $         -    $         -
Total
                       $ 500.00 $          733.00 $ 2,963.00 $          500.00   100.00% $     250.00 $      750.00
Actual Total Amt Due                 $ 4,196.00
Amount Remaining                                        $250.00
Under Tex. Tax Code §34.051 a municipality is authorized to resell tax foreclosed property for less than the market value
specified in the judgment of foreclosure or less than the total amount of the judgments against the property if consent to the
  conveyance is evidenced by an Interlocal Agreement between the municipality and each taxing unit that is a party to the
                                                           judgment.
PROPERTY ANALYSIS
                                             For Tax Resale Property

Legal Description:          Lot 12, Block 5, Mineola Addition, City of San Angelo, as described in Volume 408,
                                           Page 15, Deed Records of Tom Green County, Texas.
                                                     Account #20-34900-0005-009-00


Improved/Unimproved        Unimproved
Tax Suit Number:           TAX93-0151B
Location:                  800 W 16th Street
Parcel Size/Dimensions:    51' x 150'
City of San Angelo vs.     Bobbie Jean Sims       Account #953
Tax ID Number:             #20-34900-0005-009-00
Judgment Date:             November 8, 1993
Date of Sheriff's Sale:    May 6, 1997
Sheriff's Deed Recorded:   June 12, 1997
                                                          Years Held in Trust                     15 1/2 YRS
Adjudge Value:             $ 2,550.00                     Sale under Urban Redevelopment?             No
Amount of Offer:           $     750.00




                           Amounts Due                       Priority    % of     Pro Rata    Amounts
                              Fees     Judgment            Allocations Remainder Allocations Distributed
Administration Fee            $500.00                          $500.00     0.00%                $500.00
Maintenance Fee            $ 2,170.00                     $    2,170.00     100.00% $    250.00 $      250.00
District Clerk                    $0.00                          $0.00          0.00%                   $0.00
Sheriff's Fee                     $0.00                          $0.00          0.00%                   $0.00
Attorney Fee                      $0.00                          $0.00          0.00%                   $0.00
Municipal Liens            $            -         $0.00                         0.00%     $0.00         $0.00
Taxes                      $            -         $0.00                         0.00%     $0.00         $0.00
Total                          $2,670.00          $0.00       $2,670.00     100.00%       $0.00       $750.00
Actual Total Amt Due                          $2,670.00
Amount Remaining                                          $     250.00

                           Offer will satisfy all costs according to the Judgment.
PROPERTY ANALYSIS
                                          CITY PROPERTY

Legal Description:
                      Subdivision:
                            Block:
                               Lot:
Location:
Usage:
Tax ID Number:
Deed:                                                            Date:
Responsible Department:
Zoning:
Parcel Size/Dimensions:                                   Miscellaneous Information:
Plat Restictions?
Recent Survey:
Connected to other Parcel?
Easements:
Right-of-Ways:
Utilities:
Available for Sale?


                       Front                                       Aerial
PROPERTY ANALYSIS
                                         For Tax Resale Property:

Legal Description:       Lot 5, Block 6, Kenley Addition, an addition to the City of San Angelo, Tom Green County,
                         Texas, as described in Volume 335, Page 11, Deed Records of Tom Green County, Texas.



Improved or            Unimproved
Unimproved:
Tax Suit Number:       B-06-0131-T
Location:              1814 Ellis Street
Size/Dimensions:       50' x 130'
City of San Angelo vs. Katie Glenn         Account #1822
Tax ID Number:         15-29800-0006-005-00
Judgment Date:         November 14, 2007
Date of Sheriff's Sale: October 7, 2008

Sheriff's Deed         October 22, 2008
Recorded:
                                                    Years Held in Trust                                     4 YRS
Adjudge Value:
                        $2,250.00                   Purchased under Urban Redevlopment?                     YES
Amount of Offer:
                          $750.00




                                     Amounts Due                      Priority   % of        Pro Rata   Amounts

                          Fees         Priority      Judgment     Allocations Remainder Allocations Distributed
                                      Judgment
Administration Fee     $ 500.00                                   $     500.00     0.00%                $    500.00
Maintenance Fee                      $     137.09                                100.00% $     137.09 $      137.09
District Clerk                       $        -                   $         -      0.00%                $         -
Sheriff's Fee                        $        -                   $         -      0.00%                $         -
Attorney Fee                         $        -                   $         -      0.00%                $         -
Municipal Liens                                     $    112.91                  100.00% $     112.91 $      112.91
Taxes                                               $       -                      0.00% $         -    $         -
Total
                       $ 500.00 $             -     $    112.91 $       500.00   200.00% $     112.91 $      750.00
Actual Total Amt Due                 $     612.91
Amount Remaining                                        $137.09
Under Tex. Tax Code §34.051 a municipality is authorized to resell tax foreclosed property for less than the market value
specified in the judgment of foreclosure or less than the total amount of the judgments against the property if consent to the
  conveyance is evidenced by an Interlocal Agreement between the municipality and each taxing unit that is a party to the
                                                           judgment.
PROPERTY ANALYSIS
                                         For Tax Resale Property:

Legal Description:       Lot 5, Block 6, Kenley Addition, an addition to the City of San Angelo, Tom Green County,
                         Texas, as described in Volume 335, Page 11, Deed Records of Tom Green County, Texas.



Improved or            Unimproved
Unimproved:
Tax Suit Number:       B-06-0131-T
Location:              1814 Ellis Street
Size/Dimensions:       50' x 130'
City of San Angelo vs. Katie Glenn         Account #1822
Tax ID Number:         15-29800-0006-005-00
Judgment Date:         November 14, 2007
Date of Sheriff's Sale: October 7, 2008

Sheriff's Deed         October 22, 2008
Recorded:
                                                    Years Held in Trust                                     4 YRS
Adjudge Value:
                        $2,250.00                   Purchased under Urban Redevlopment?                     YES
Amount of Offer:
                          $750.00




                                     Amounts Due                      Priority   % of        Pro Rata   Amounts

                          Fees         Priority      Judgment     Allocations Remainder Allocations Distributed
                                      Judgment
Administration Fee     $ 500.00                                   $     500.00     0.00%                $    500.00
Maintenance Fee                      $        -                                    0.00% $         -    $         -
District Clerk                       $     333.00                                45.43% $      113.57 $      113.57
Sheriff's Fee                        $     100.00                                13.64% $        34.11 $      34.11
Attorney Fee                         $     300.00                                40.93% $      102.32 $      102.32
Municipal Liens                                     $    428.00                    0.00% $         -    $         -
Taxes                                               $ 2,535.00                     0.00% $         -    $         -
Total
                       $ 500.00 $          733.00 $ 2,963.00 $          500.00   100.00% $     250.00 $      750.00
Actual Total Amt Due                 $ 4,196.00
Amount Remaining                                        $250.00
Under Tex. Tax Code §34.051 a municipality is authorized to resell tax foreclosed property for less than the market value
specified in the judgment of foreclosure or less than the total amount of the judgments against the property if consent to the
  conveyance is evidenced by an Interlocal Agreement between the municipality and each taxing unit that is a party to the
                                                           judgment.
PROPERTY ANALYSIS
                                              For Tax Resale Property

Legal Description:            Lot 10, Block 5, Mineola Addition, City of San Angelo, as described in Volume 620,
                                             Page 365, Deed Records of Tom Green County, Texas.
                                                       Account #20-34900-0005-007-00


Improved/Unimproved          Unimproved
Tax Suit Number:             TAX89-0032B
Location:                    810 W 16th Street
Parcel Size/Dimensions:      51' x 150'
City of San Angelo vs.       Rachael M. Clark Account # 4371 Estella Jones Account # 903
Tax ID Number:               #20-34900-0005-007-00
Judgment Date:               March 30, 1992
Date of Sheriff's Sale:      July 7, 1992
Sheriff's Deed Recorded:     July 24, 1992
                                                           Years Held in Trust                         20 1/2 YRS
Adjudge Value:                $ 1,393.00                   Sale under Urban Redevelopment?                No
Amount of Offer:              $     750.00




                             Amounts Due                      Priority    % of     Pro Rata    Amounts
                                Fees     Judgment           Allocations Remainder Allocations Distributed
Administration Fee              $500.00                         $500.00     0.00%                $500.00
Maintenance Fee                   $2,870.00                    $2,870.00         0.00%                      $0.00
District Clerk                     $360.25                      $360.25          78.34% $   195.85 $      195.85
Sheriff's Fee                       $40.00                       $40.00          8.70% $       21.75 $      21.75
Attorney Fee                        $59.61                       $59.61          12.96% $      32.41 $      32.41
Municipal Liens                      $0.00         $0.00                         0.00%         $0.00        $0.00
Taxes                                $0.00       $875.62                         0.00%         $0.00        $0.00
Total                             $3,829.86      $875.62       $3,829.86     100.00% $      250.00       $750.00
Actual Total Amt Due                           $4,705.48        $459.86
Amount Remaining                                           $     250.00

                      Offer will satisfy a portion of court costs according to the Judgment.
PROPERTY ANALYSIS
                                          CITY PROPERTY

Legal Description:
                      Subdivision:
                            Block:
                               Lot:
Location:
Usage:
Tax ID Number:
Deed:                                                            Date:
Responsible Department:
Zoning:
Parcel Size/Dimensions:                                   Miscellaneous Information:
Plat Restictions?
Recent Survey:
Connected to other Parcel?
Easements:
Right-of-Ways:
Utilities:
Available for Sale?


                       Front                                       Aerial
PROPERTY ANALYSIS
                                         For Tax Resale Property:

Legal Description:       Lot 5, Block 6, Kenley Addition, an addition to the City of San Angelo, Tom Green County,
                         Texas, as described in Volume 335, Page 11, Deed Records of Tom Green County, Texas.



Improved or            Unimproved
Unimproved:
Tax Suit Number:       B-06-0131-T
Location:              1814 Ellis Street
Size/Dimensions:       50' x 130'
City of San Angelo vs. Katie Glenn         Account #1822
Tax ID Number:         15-29800-0006-005-00
Judgment Date:         November 14, 2007
Date of Sheriff's Sale: October 7, 2008

Sheriff's Deed         October 22, 2008
Recorded:
                                                    Years Held in Trust                                     4 YRS
Adjudge Value:
                        $2,250.00                   Purchased under Urban Redevlopment?                     YES
Amount of Offer:
                          $750.00




                                     Amounts Due                      Priority   % of        Pro Rata   Amounts

                          Fees         Priority      Judgment     Allocations Remainder Allocations Distributed
                                      Judgment
Administration Fee     $ 500.00                                   $     500.00     0.00%                $    500.00
Maintenance Fee                      $     137.09                                100.00% $     137.09 $      137.09
District Clerk                       $        -                   $         -      0.00%                $         -
Sheriff's Fee                        $        -                   $         -      0.00%                $         -
Attorney Fee                         $        -                   $         -      0.00%                $         -
Municipal Liens                                     $    112.91                  100.00% $     112.91 $      112.91
Taxes                                               $       -                      0.00% $         -    $         -
Total
                       $ 500.00 $             -     $    112.91 $       500.00   200.00% $     112.91 $      750.00
Actual Total Amt Due                 $     612.91
Amount Remaining                                        $137.09
Under Tex. Tax Code §34.051 a municipality is authorized to resell tax foreclosed property for less than the market value
specified in the judgment of foreclosure or less than the total amount of the judgments against the property if consent to the
  conveyance is evidenced by an Interlocal Agreement between the municipality and each taxing unit that is a party to the
                                                           judgment.
PROPERTY ANALYSIS
                                         For Tax Resale Property:

Legal Description:       Lot 5, Block 6, Kenley Addition, an addition to the City of San Angelo, Tom Green County,
                         Texas, as described in Volume 335, Page 11, Deed Records of Tom Green County, Texas.



Improved or            Unimproved
Unimproved:
Tax Suit Number:       B-06-0131-T
Location:              1814 Ellis Street
Size/Dimensions:       50' x 130'
City of San Angelo vs. Katie Glenn         Account #1822
Tax ID Number:         15-29800-0006-005-00
Judgment Date:         November 14, 2007
Date of Sheriff's Sale: October 7, 2008

Sheriff's Deed         October 22, 2008
Recorded:
                                                    Years Held in Trust                                     4 YRS
Adjudge Value:
                        $2,250.00                   Purchased under Urban Redevlopment?                     YES
Amount of Offer:
                          $750.00




                                     Amounts Due                      Priority   % of        Pro Rata   Amounts

                          Fees         Priority      Judgment     Allocations Remainder Allocations Distributed
                                      Judgment
Administration Fee     $ 500.00                                   $     500.00     0.00%                $    500.00
Maintenance Fee                      $        -                                    0.00% $         -    $         -
District Clerk                       $     333.00                                45.43% $      113.57 $      113.57
Sheriff's Fee                        $     100.00                                13.64% $        34.11 $      34.11
Attorney Fee                         $     300.00                                40.93% $      102.32 $      102.32
Municipal Liens                                     $    428.00                    0.00% $         -    $         -
Taxes                                               $ 2,535.00                     0.00% $         -    $         -
Total
                       $ 500.00 $          733.00 $ 2,963.00 $          500.00   100.00% $     250.00 $      750.00
Actual Total Amt Due                 $ 4,196.00
Amount Remaining                                        $250.00
Under Tex. Tax Code §34.051 a municipality is authorized to resell tax foreclosed property for less than the market value
specified in the judgment of foreclosure or less than the total amount of the judgments against the property if consent to the
  conveyance is evidenced by an Interlocal Agreement between the municipality and each taxing unit that is a party to the
                                                           judgment.
PROPERTY ANALYSIS
                                              For Tax Resale Property

Legal Description:             Lot 11, Block 5, Mineola Addition, City of San Angelo, Tom Green County, Texas.
                                                       Account #20-34900-0005-008-00



Improved/Unimproved          Unimproved
Tax Suit Number:             TAX91-0054B
Location:                    804 W 16th Street
Parcel Size/Dimensions:      50' x 150'
City of San Angelo vs.       Fred B. Jones, a/k/a Freddie Jones     Account # 1376
Tax ID Number:               #20-34900-0005-008-00
Judgment Date:               October 7, 1993
Date of Sheriff's Sale:      February 7, 1995
Sheriff's Deed Recorded:     February 24, 1995
                                                           Years Held in Trust                             18 YRS
Adjudge Value:                $ 11,400.00                  Sale under Urban Redevelopment?                  No
Amount of Offer:              $     750.00




                             Amounts Due                      Priority    % of     Pro Rata    Amounts
                                Fees     Judgment           Allocations Remainder Allocations Distributed
Administration Fee              $500.00                         $500.00     0.00%                $500.00
Maintenance Fee                   $3,600.00                    $3,600.00     100.00% $     250.00 $         250.00
District Clerk                       $0.00                                       0.00% $         -     $         -
Sheriff's Fee                        $0.00                                       0.00% $         -     $         -
Attorney Fee                         $0.00                                       0.00% $         -     $         -
Municipal Liens                      $0.00         $0.00                         0.00%         $0.00          $0.00
Taxes                                $0.00         $0.00                         0.00%         $0.00          $0.00
Total                             $4,100.00        $0.00       $4,100.00     100.00% $     250.00          $750.00
Actual Total Amt Due                           $4,100.00
Amount Remaining                                           $      250.00

                      Offer will satisfy a portion of court costs according to the Judgment.
PROPERTY ANALYSIS
                                          CITY PROPERTY

Legal Description:
                      Subdivision:
                            Block:
                               Lot:
Location:
Usage:
Tax ID Number:
Deed:                                                            Date:
Responsible Department:
Zoning:
Parcel Size/Dimensions:                                   Miscellaneous Information:
Plat Restictions?
Recent Survey:
Connected to other Parcel?
Easements:
Right-of-Ways:
Utilities:
Available for Sale?


                       Front                                       Aerial
PROPERTY ANALYSIS
                                         For Tax Resale Property:

Legal Description:       Lot 5, Block 6, Kenley Addition, an addition to the City of San Angelo, Tom Green County,
                         Texas, as described in Volume 335, Page 11, Deed Records of Tom Green County, Texas.



Improved or            Unimproved
Unimproved:
Tax Suit Number:       B-06-0131-T
Location:              1814 Ellis Street
Size/Dimensions:       50' x 130'
City of San Angelo vs. Katie Glenn         Account #1822
Tax ID Number:         15-29800-0006-005-00
Judgment Date:         November 14, 2007
Date of Sheriff's Sale: October 7, 2008

Sheriff's Deed         October 22, 2008
Recorded:
                                                    Years Held in Trust                                     4 YRS
Adjudge Value:
                        $2,250.00                   Purchased under Urban Redevlopment?                     YES
Amount of Offer:
                          $750.00




                                     Amounts Due                      Priority   % of        Pro Rata   Amounts

                          Fees         Priority      Judgment     Allocations Remainder Allocations Distributed
                                      Judgment
Administration Fee     $ 500.00                                   $     500.00     0.00%                $    500.00
Maintenance Fee                      $     137.09                                100.00% $     137.09 $      137.09
District Clerk                       $        -                   $         -      0.00%                $         -
Sheriff's Fee                        $        -                   $         -      0.00%                $         -
Attorney Fee                         $        -                   $         -      0.00%                $         -
Municipal Liens                                     $    112.91                  100.00% $     112.91 $      112.91
Taxes                                               $       -                      0.00% $         -    $         -
Total
                       $ 500.00 $             -     $    112.91 $       500.00   200.00% $     112.91 $      750.00
Actual Total Amt Due                 $     612.91
Amount Remaining                                        $137.09
Under Tex. Tax Code §34.051 a municipality is authorized to resell tax foreclosed property for less than the market value
specified in the judgment of foreclosure or less than the total amount of the judgments against the property if consent to the
  conveyance is evidenced by an Interlocal Agreement between the municipality and each taxing unit that is a party to the
                                                           judgment.
PROPERTY ANALYSIS
                                         For Tax Resale Property:

Legal Description:       Lot 5, Block 6, Kenley Addition, an addition to the City of San Angelo, Tom Green County,
                         Texas, as described in Volume 335, Page 11, Deed Records of Tom Green County, Texas.



Improved or            Unimproved
Unimproved:
Tax Suit Number:       B-06-0131-T
Location:              1814 Ellis Street
Size/Dimensions:       50' x 130'
City of San Angelo vs. Katie Glenn         Account #1822
Tax ID Number:         15-29800-0006-005-00
Judgment Date:         November 14, 2007
Date of Sheriff's Sale: October 7, 2008

Sheriff's Deed         October 22, 2008
Recorded:
                                                    Years Held in Trust                                     4 YRS
Adjudge Value:
                        $2,250.00                   Purchased under Urban Redevlopment?                     YES
Amount of Offer:
                          $750.00




                                     Amounts Due                      Priority   % of        Pro Rata   Amounts

                          Fees         Priority      Judgment     Allocations Remainder Allocations Distributed
                                      Judgment
Administration Fee     $ 500.00                                   $     500.00     0.00%                $    500.00
Maintenance Fee                      $        -                                    0.00% $         -    $         -
District Clerk                       $     333.00                                45.43% $      113.57 $      113.57
Sheriff's Fee                        $     100.00                                13.64% $        34.11 $      34.11
Attorney Fee                         $     300.00                                40.93% $      102.32 $      102.32
Municipal Liens                                     $    428.00                    0.00% $         -    $         -
Taxes                                               $ 2,535.00                     0.00% $         -    $         -
Total
                       $ 500.00 $          733.00 $ 2,963.00 $          500.00   100.00% $     250.00 $      750.00
Actual Total Amt Due                 $ 4,196.00
Amount Remaining                                        $250.00
Under Tex. Tax Code §34.051 a municipality is authorized to resell tax foreclosed property for less than the market value
specified in the judgment of foreclosure or less than the total amount of the judgments against the property if consent to the
  conveyance is evidenced by an Interlocal Agreement between the municipality and each taxing unit that is a party to the
                                                           judgment.
PROPERTY ANALYSIS
                                            For Tax Resale Property

Legal Description:           Lot 30, Block 2B, George Allen Addition, City of San Angelo, being more particularly
                             described in Volume 1131, Page 119, Official Public Records of Tom Green County,
                                                                   Texas.
                                                      Account #01-10500-0002-027-00

Improved/Unimproved          Unimproved
Tax Suit Number:             B-09-0050-T
Location:                    322 N Harrison Street
Parcel Size/Dimensions:      50' x 125'
City of San Angelo vs.       Trilateral Investments Account # 7106
Tax ID Number:               #01-10500-0002-027-00
Judgment Date:               November 9, 2011
Date of Sheriff's Sale:      June 5, 2012
Sheriff's Deed Recorded:     June 7, 2012
                                                          Years Held in Trust                         1 1/2 YRS
Adjudge Value:               $ 7,500.00                   Sale under Urban Redevelopment?                No
Amount of Offer:             $ 2,500.00




                            Amounts Due                      Priority    % of     Pro Rata    Amounts
                               Fees     Judgment           Allocations Remainder Allocations Distributed
Administration Fee             $500.00                         $500.00     0.00%                $500.00
Maintenance Fee                   $300.00                      $300.00           0.00%                  $300.00
District Clerk                    $264.00                      $264.00           0.00%                  $264.00
Sheriff's Fee                     $100.00                      $100.00           0.00%                  $100.00
Attorney Fee                      $202.00                      $202.00           0.00%                  $202.00
Municipal Liens                     $0.00     $7,922.02                         60.77%    $689.18       $689.18
Taxes                               $0.00     $5,113.10                         39.23%    $444.82       $444.82
Total                           $1,366.00   $13,035.12        $1,366.00      100.00%     $1,134.00    $2,500.00
Actual Total Amt Due                        $14,401.12
Amount Remaining                                          $    1,134.00

        Offer will satisfy all costs and a small portion of the taxes and liens according to the Judgment.
PROPERTY ANALYSIS
                                          CITY PROPERTY

Legal Description:
                      Subdivision:
                            Block:
                               Lot:
Location:
Usage:
Tax ID Number:
Deed:                                                            Date:
Responsible Department:
Zoning:
Parcel Size/Dimensions:                                   Miscellaneous Information:
Plat Restictions?
Recent Survey:
Connected to other Parcel?
Easements:
Right-of-Ways:
Utilities:
Available for Sale?


                       Front                                       Aerial
PROPERTY ANALYSIS
                                         For Tax Resale Property:

Legal Description:       Lot 5, Block 6, Kenley Addition, an addition to the City of San Angelo, Tom Green County,
                         Texas, as described in Volume 335, Page 11, Deed Records of Tom Green County, Texas.



Improved or            Unimproved
Unimproved:
Tax Suit Number:       B-06-0131-T
Location:              1814 Ellis Street
Size/Dimensions:       50' x 130'
City of San Angelo vs. Katie Glenn         Account #1822
Tax ID Number:         15-29800-0006-005-00
Judgment Date:         November 14, 2007
Date of Sheriff's Sale: October 7, 2008

Sheriff's Deed         October 22, 2008
Recorded:
                                                    Years Held in Trust                                     4 YRS
Adjudge Value:
                        $2,250.00                   Purchased under Urban Redevlopment?                     YES
Amount of Offer:
                          $750.00




                                     Amounts Due                      Priority   % of        Pro Rata   Amounts

                          Fees         Priority      Judgment     Allocations Remainder Allocations Distributed
                                      Judgment
Administration Fee     $ 500.00                                   $     500.00     0.00%                $    500.00
Maintenance Fee                      $     137.09                                100.00% $     137.09 $      137.09
District Clerk                       $        -                   $         -      0.00%                $         -
Sheriff's Fee                        $        -                   $         -      0.00%                $         -
Attorney Fee                         $        -                   $         -      0.00%                $         -
Municipal Liens                                     $    112.91                  100.00% $     112.91 $      112.91
Taxes                                               $       -                      0.00% $         -    $         -
Total
                       $ 500.00 $             -     $    112.91 $       500.00   200.00% $     112.91 $      750.00
Actual Total Amt Due                 $     612.91
Amount Remaining                                        $137.09
Under Tex. Tax Code §34.051 a municipality is authorized to resell tax foreclosed property for less than the market value
specified in the judgment of foreclosure or less than the total amount of the judgments against the property if consent to the
  conveyance is evidenced by an Interlocal Agreement between the municipality and each taxing unit that is a party to the
                                                           judgment.
PROPERTY ANALYSIS
                                         For Tax Resale Property:

Legal Description:       Lot 5, Block 6, Kenley Addition, an addition to the City of San Angelo, Tom Green County,
                         Texas, as described in Volume 335, Page 11, Deed Records of Tom Green County, Texas.



Improved or            Unimproved
Unimproved:
Tax Suit Number:       B-06-0131-T
Location:              1814 Ellis Street
Size/Dimensions:       50' x 130'
City of San Angelo vs. Katie Glenn         Account #1822
Tax ID Number:         15-29800-0006-005-00
Judgment Date:         November 14, 2007
Date of Sheriff's Sale: October 7, 2008

Sheriff's Deed         October 22, 2008
Recorded:
                                                    Years Held in Trust                                     4 YRS
Adjudge Value:
                        $2,250.00                   Purchased under Urban Redevlopment?                     YES
Amount of Offer:
                          $750.00




                                     Amounts Due                      Priority   % of        Pro Rata   Amounts

                          Fees         Priority      Judgment     Allocations Remainder Allocations Distributed
                                      Judgment
Administration Fee     $ 500.00                                   $     500.00     0.00%                $    500.00
Maintenance Fee                      $        -                                    0.00% $         -    $         -
District Clerk                       $     333.00                                45.43% $      113.57 $      113.57
Sheriff's Fee                        $     100.00                                13.64% $        34.11 $      34.11
Attorney Fee                         $     300.00                                40.93% $      102.32 $      102.32
Municipal Liens                                     $    428.00                    0.00% $         -    $         -
Taxes                                               $ 2,535.00                     0.00% $         -    $         -
Total
                       $ 500.00 $          733.00 $ 2,963.00 $          500.00   100.00% $     250.00 $      750.00
Actual Total Amt Due                 $ 4,196.00
Amount Remaining                                        $250.00
Under Tex. Tax Code §34.051 a municipality is authorized to resell tax foreclosed property for less than the market value
specified in the judgment of foreclosure or less than the total amount of the judgments against the property if consent to the
  conveyance is evidenced by an Interlocal Agreement between the municipality and each taxing unit that is a party to the
                                                           judgment.
PROPERTY ANALYSIS
                                             For Tax Resale Property

Legal Description:          The South 1/2 of the South 100 feet of the North 150 feet of the South 783.7 feet
                           of Block 8, E.E. Kirby Addition, as described in Volume 688, Page 128, Deed Records
                                                        of Tom Green County, Texas.
                                                      Account #15-30200-0008-011-00

Improved/Unimproved        Unimproved
Tax Suit Number:           TAX91-0010B
Location:                  2223 Lillie Street
Parcel Size/Dimensions:    50' x 216'
City of San Angelo vs.     Fay Hudson, a/k/a Fayrene Hudson Account # UNKNOWN
Tax ID Number:             #15-30200-0008-011-00
Judgment Date:             September 2, 1992
Date of Sheriff's Sale:    February 2, 1993
Sheriff's Deed Recorded:   February 17, 1993
                                                            Years Held in Trust                      20 YRS
Adjudge Value:             $ 4,000.00                       Sale under Urban Redevelopment?           No
Amount of Offer:           $     750.00




                           Amounts Due                         Priority    % of     Pro Rata    Amounts
                              Fees     Judgment              Allocations Remainder Allocations Distributed
Administration Fee            $500.00                            $500.00     0.00%                $500.00
Maintenance Fee            $ 2,800.00                       $    2,800.00     100.00% $   250.00 $    250.00
District Clerk                    $0.00                            $0.00          0.00%                 $0.00
Sheriff's Fee                     $0.00                            $0.00          0.00%                 $0.00
Attorney Fee                      $0.00                            $0.00          0.00%                 $0.00
Municipal Liens            $            -          $0.00                          0.00%   $0.00         $0.00
Taxes                      $            -          $0.00                          0.00%   $0.00         $0.00
Total                          $3,300.00           $0.00        $3,300.00     100.00%     $0.00      $750.00
Actual Total Amt Due                            $3,300.00
Amount Remaining                                            $     250.00

                           Offer will satisfy all costs according to the Judgment.
PROPERTY ANALYSIS
                                          CITY PROPERTY

Legal Description:
                      Subdivision:
                            Block:
                               Lot:
Location:
Usage:
Tax ID Number:
Deed:                                                            Date:
Responsible Department:
Zoning:
Parcel Size/Dimensions:                                   Miscellaneous Information:
Plat Restictions?
Recent Survey:
Connected to other Parcel?
Easements:
Right-of-Ways:
Utilities:
Available for Sale?


                       Front                                       Aerial
PROPERTY ANALYSIS
                                         For Tax Resale Property:

Legal Description:       Lot 5, Block 6, Kenley Addition, an addition to the City of San Angelo, Tom Green County,
                         Texas, as described in Volume 335, Page 11, Deed Records of Tom Green County, Texas.



Improved or            Unimproved
Unimproved:
Tax Suit Number:       B-06-0131-T
Location:              1814 Ellis Street
Size/Dimensions:       50' x 130'
City of San Angelo vs. Katie Glenn         Account #1822
Tax ID Number:         15-29800-0006-005-00
Judgment Date:         November 14, 2007
Date of Sheriff's Sale: October 7, 2008

Sheriff's Deed         October 22, 2008
Recorded:
                                                    Years Held in Trust                                     4 YRS
Adjudge Value:
                        $2,250.00                   Purchased under Urban Redevlopment?                     YES
Amount of Offer:
                          $750.00




                                     Amounts Due                      Priority   % of        Pro Rata   Amounts

                          Fees         Priority      Judgment     Allocations Remainder Allocations Distributed
                                      Judgment
Administration Fee     $ 500.00                                   $     500.00     0.00%                $    500.00
Maintenance Fee                      $     137.09                                100.00% $     137.09 $      137.09
District Clerk                       $        -                   $         -      0.00%                $         -
Sheriff's Fee                        $        -                   $         -      0.00%                $         -
Attorney Fee                         $        -                   $         -      0.00%                $         -
Municipal Liens                                     $    112.91                  100.00% $     112.91 $      112.91
Taxes                                               $       -                      0.00% $         -    $         -
Total
                       $ 500.00 $             -     $    112.91 $       500.00   200.00% $     112.91 $      750.00
Actual Total Amt Due                 $     612.91
Amount Remaining                                        $137.09
Under Tex. Tax Code §34.051 a municipality is authorized to resell tax foreclosed property for less than the market value
specified in the judgment of foreclosure or less than the total amount of the judgments against the property if consent to the
  conveyance is evidenced by an Interlocal Agreement between the municipality and each taxing unit that is a party to the
                                                           judgment.
PROPERTY ANALYSIS
                                         For Tax Resale Property:

Legal Description:       Lot 5, Block 6, Kenley Addition, an addition to the City of San Angelo, Tom Green County,
                         Texas, as described in Volume 335, Page 11, Deed Records of Tom Green County, Texas.



Improved or            Unimproved
Unimproved:
Tax Suit Number:       B-06-0131-T
Location:              1814 Ellis Street
Size/Dimensions:       50' x 130'
City of San Angelo vs. Katie Glenn         Account #1822
Tax ID Number:         15-29800-0006-005-00
Judgment Date:         November 14, 2007
Date of Sheriff's Sale: October 7, 2008

Sheriff's Deed         October 22, 2008
Recorded:
                                                    Years Held in Trust                                     4 YRS
Adjudge Value:
                        $2,250.00                   Purchased under Urban Redevlopment?                     YES
Amount of Offer:
                          $750.00




                                     Amounts Due                      Priority   % of        Pro Rata   Amounts

                          Fees         Priority      Judgment     Allocations Remainder Allocations Distributed
                                      Judgment
Administration Fee     $ 500.00                                   $     500.00     0.00%                $    500.00
Maintenance Fee                      $        -                                    0.00% $         -    $         -
District Clerk                       $     333.00                                45.43% $      113.57 $      113.57
Sheriff's Fee                        $     100.00                                13.64% $        34.11 $      34.11
Attorney Fee                         $     300.00                                40.93% $      102.32 $      102.32
Municipal Liens                                     $    428.00                    0.00% $         -    $         -
Taxes                                               $ 2,535.00                     0.00% $         -    $         -
Total
                       $ 500.00 $          733.00 $ 2,963.00 $          500.00   100.00% $     250.00 $      750.00
Actual Total Amt Due                 $ 4,196.00
Amount Remaining                                        $250.00
Under Tex. Tax Code §34.051 a municipality is authorized to resell tax foreclosed property for less than the market value
specified in the judgment of foreclosure or less than the total amount of the judgments against the property if consent to the
  conveyance is evidenced by an Interlocal Agreement between the municipality and each taxing unit that is a party to the
                                                           judgment.
A RESOLUTION OF THE CITY OF SAN ANGELO AUTHORIZING THE
          MAYOR TO EXECUTE A SPECIAL WARRANTY DEED CONVEYING ALL
          RIGHT, TITLE AND INTEREST OF THE CITY OF SAN ANGELO


 WHEREAS, the property described below was acquired on October 24, 1957 from W.E. Phillips as a
part of the consideration to connect the black-top paving on Arlington Street to the paving on Paint Rock
Road; and

WHEREAS, the City has no future plans for the subject property and is now deemed as excess
property; and

 WHEREAS, on July 5, 2012, an appraisal was prepared by Stribling-Probandt Appraisals. The fee
simple market value of the subject property was $4,000; and

WHEREAS, on September 14, 2012, no bids were received for a Request for Bids: PRO-06-12; and

 WHEREAS, the City has received a reasonable offer from Carlos Gonzalez in the amount of $2,000
for the purchase of the subject property; and

  NOW THEREFORE BE IT RESOLVED BY THE CITY COUNCIL OF THE CITY OF SAN
ANGELO that its Mayor, Alvin New, is hereby authorized to execute a Special Warranty Deed
conveying the following described real property to the following as specified below, all of the right,
title, and interest of the City of San Angelo, located in San Angelo, Tom Green County, Texas:

Conveying to:

CARLOS GONZALEZ, a single person; ($2,000):

          All of Lots 10 and 11 of the W.E. Phillips Addition to the City of San Angelo, Tom
          Green County, Texas, except the North 65 feet of said Lots 10 and 11 and the South 20
          feet of said lots.
          Account #21-38700-0000-013-00


APPROVED AND ADOPTED ON THE                        DAY OF                      , 2013.


                                                           THE CITY OF SAN ANGELO

                                                           _______________________________
                                                           Alvin New, Mayor
Attest:

______________________________
Alicia Ramirez, City Clerk

Approved As to Content:                                    Approved As to Form:

______________________________                             ______________________________
Cindy M. Preas, Real Estate Administrator                  Lysia H. Bowling, City Attorney
A RESOLUTION OF THE CITY OF SAN ANGELO AUTHORIZING THE
       MAYOR TO EXECUTE A TAX-RESALE (QUITCLAIM) DEED
       CONVEYING ALL RIGHT, TITLE AND INTEREST OF THE CITY OF
       SAN ANGELO, AND ALL OTHER TAXING UNITS INTERESTED IN
       THE TAX FORECLOSURE JUDGMENT


 WHEREAS, by Sheriff’s Sale, the properties described below were struck-off to the City of
San Angelo, Trustee, pursuant to delinquent tax foreclosure decrees of the 119th Judicial District,
Tom Green County, Texas; and

 WHEREAS, offers have been made for the purchase of said properties pursuant to Section
34.05, Texas Tax Code Ann.(Vernon, 1982); and

  NOW THEREFORE BE IT RESOLVED BY THE CITY COUNCIL OF THE CITY OF
SAN ANGELO that its Mayor, Alvin New, is hereby authorized to execute a Tax-Resale
(quitclaim) Deed conveying the following described real properties to the following as specified
below, all of the right, title, and interest of the City of San Angelo, and all other taxing units
interested in the tax foreclosure judgment, located in San Angelo, Tom Green County, Texas:

Conveying to:

CAYDDRICK O’BRIEN BALLARD, a single person; ($750):

       The South 1/2 of the South 100 feet of the North 150 feet of the South 783.7 feet of
       Block 8, E.E. Kirby Addition, as described in Volume 688, Page 128, Deed Records of
       Tom Green County, Texas.
       Account #15-30200-0008-011-00

SALVADOR DEANDA, a single person; ($750):

       The South 80 feet of the East 12 2/3 Feet of Lot 8, the South 80 Feet of Lot 7, and the
       South 80 Feet of the West 1 5/6 Feet of Lot 6, Block 3, Akin’s Addition, City of San
       Angelo, as described in Volume 234, Page 485, Deed Records of Tom Green County,
       Texas.
       Account #01-10100-0003-008-00

SALVADOR DEANDA, a single person; ($750):

       The North ½ of Lot 7, Block 3, Akin Addition, City of San Angelo, as described in
       Volume 478, Page 95, Deed Records of Tom Green County, Texas.
       Account #01-10100-003-009-00

ALEJOS GUERRA and MARTHA ANN GUERRA, a married couple; ($1,900):

       Lot 3, Block 11, Lasker Addition, an addition to the City of San Angelo, Tom Green
       County, Texas, as described in Volume 1234, Page 952, Official Public Records of Real
       Property of Tom Green County, Texas.
       Account #16-31200-0011-002-00
ALEJOS GUERRA and MARTHA ANN GUERRA, a married couple; ($2,500):

      Lot 3, Block 12, Lasker Addition, an addition to the City of San Angelo, Tom Green
      County, Texas, according to the map or plat thereof, recorded in Volume 23, Page 272,
      Deed Records of Tom Green County, Texas.
      Account #16-31200-0012-003-00

MARLOW LEWIS, a single person, and CARLETTA MCKINNEY, a single person; ($750):

      The South 50 feet of the North 447.7 feet of Block 8 of the E.S. Kirby Subdivision, City
      of San Angelo, as described in Volume 687, Page 547, Deed Records of Tom Green
      County, Texas.
      Account #15-30200-0008-019-00

MARLOW LEWIS, a single person, and CARLETTA MCKINNEY, a single person; ($750):

      Lot 3, Block 31, Miles Addition, as described in Volume 186, Page 339, Deed Records of
      Tom Green County, Texas.
      Account #18-34200-0031-003-00

JOHN S. PEARCY, a single person; ($2,500):

      Lots 12, Block 5 “E”, Chapman’s Subdivision of Blocks 4 and 5, Freeland’s Addition,
      City of San Angelo, Tom Green County, Texas, as described in Volume 182, Page 208,
      Deed Records of Tom Green County, Texas.
      Account #05-17700-0005-012-00

JOHN S. PEARCY, a single person; ($2,500):

      Lot 30, Block 2B, George Allen Addition, City of San Angelo, being more particularly
      described in Volume 1131, Page 119, Official Public Records of Tom Green County,
      Texas.
      Account #01-10500-0002-027-00

JOHN S. PEARCY, a single person; ($2,700):

      Lot 3, Block 93, Dallas Subdivision of Miles Addition No. 2, known as Angelo Heights
      Addition, an addition to the City of San Angelo, Tom Green County, Texas, according to
      the map or plat thereof, recorded in Volume 54, Page 168, Deed Records of Tom Green
      County, Texas.
      Account #01-11000-0093-003-00

MACKLE E. ROBERTS and JACQUELINE P. ROBERTS, a married couple; ($750):

      Lot 10, Block 5, Mineola Addition, City of San Angelo, as described in Volume 620,
      Page 365, Deed Records of Tom Green County, Texas.
      Account #20-34900-0005-007-00
MACKLE E. ROBERTS and JACQUELINE P. ROBERTS, a married couple; ($750):

          Lot 11, Block 5, Mineola Addition, City of San Angelo, Tom Green County, Texas.
          Account #20-34900-0005-008-00

MACKLE E. ROBERTS and JACQUELINE P. ROBERTS, a married couple; ($750):

          Lot 12, Block 5, Mineola Addition, City of San Angelo, as described in Volume 408,
          Page 15, Deed Records of Tom Green County, Texas.
          Account #20-34900-0005-009-00


APPROVED AND ADOPTED ON THE                            DAY OF                      , 2013.


                                                        THE CITY OF SAN ANGELO

                                                        _______________________________
                                                        Alvin New, Mayor
Attest:

______________________________
Alicia Ramirez, City Clerk

Approved As to Content:                                 Approved As to Form:


______________________________                          ______________________________
Cindy M. Preas, Real Estate Administrator               Lysia H. Bowling, City Attorney
CITY OF SAN ANGELO
              REQUEST FOR BID

                 RFP No: PRO-06-12

                 Real Estate Division

Lots 10 & 11, SAVE & EXCEPT the North 65’ and South 20’,
                 W.E. Phillips Addition

                   108 Arlington Street

                      Zoned – RS-1


                  RFB Submittal Deadline

           September 13, 2012/2:00 PM, Local Time




                       City of San Angelo
                    72 West College Avenue
                   San Angelo, Texas 76903
TABLE OF CONTENTS



  This Table of Contents is intended as an aid and not as a comprehensive listing of the proposal package. Bidders
            are responsible for reading the entire proposal package and complying with all specifications.

Section                                                                                                                                                                     Page

REQUEST FOR BID ........................................................................................................................................... 1
    GENERAL......................................................................................................................................................................1
    DOCUMENT AVAILABILITY................................................................................................................................................1
    DIGITAL FORMAT ...........................................................................................................................................................1
    DISQUALIFICATION .........................................................................................................................................................1
    REQUIRED RESPONSE......................................................................................................................................................1
    NO BID INSTRUCTIONS ....................................................................................................................................................1
    INTERPRETATIONS ..........................................................................................................................................................1
    ADDENDA.....................................................................................................................................................................2
    CONFIDENTIALITY ...........................................................................................................................................................2
    AWARD OF CONTRACT ....................................................................................................................................................2
    ACCEPTANCE OF PROPOSAL CONTENT ................................................................................................................................2
    COPIES OF BID TABULATION RESULTS ................................................................................................................................2
DEADLINE AND DELIVERY LOCATION ......................................................................................................... 3
    DEADLINE.....................................................................................................................................................................3
    COPIES.........................................................................................................................................................................3
    FAXED/ELECTRONIC BIDS ................................................................................................................................................3
    SEALED ENVELOPE ADDRESSING .......................................................................................................................................3
    DELIVERY ENVELOPE/CONTAINER ADDRESSING ...................................................................................................................3
    DELIVERY SERVICE ADDRESSES                 USPS ADDRESS ..............................................................................................................3
    POINTS OF CONTACT ......................................................................................................................................................3
INSTRUCTIONS .................................................................................................................................................. 5
    PROPOSAL/BID INTERPRETATION ......................................................................................................................................5
    BID ITEM ......................................................................................................................................................................5
    SALE “AS IS”.................................................................................................................................................................5
    BID SECURITY ................................................................................................................................................................5
    DEFAULT IN PURCHASE ...................................................................................................................................................6
    COMMISSIONS ..............................................................................................................................................................6
    EXECUTION OF SALES CONTRACT ......................................................................................................................................6
    CORRECTIONS, ADDITIONS, OR DELETIONS..........................................................................................................................5
    AUTHORIZED SIGNATURE.................................................................................................................................................5
    MODIFICATION OR WITHDRAWAL OF BIDS..........................................................................................................................5
    CONTINGENCY...............................................................................................................................................................5
    DELIVERY DATE .............................................................................................................................................................5
    RESERVATIONS ..............................................................................................................................................................6
    SUBMISSION OF BIDS ......................................................................................................................................................6
    LATE BIDS ....................................................................................................................................................................6
    ACCEPTANCE.................................................................................................................................................................6
TERMS AND CONDITIONS ............................................................................................................................... 7
    TITLE ...........................................................................................................................................................................7
    TITLE POLICY .................................................................................................................................................................7

                                                                                                                                                                                   ii
UTILITIES ......................................................................................................................................................................7
    INVOICES & PAYMENTS ...................................................................................................................................................7
    GRATUITIES ..................................................................................................................................................................7
    WARRANTY-PRICE .........................................................................................................................................................7
    NO WARRANTY BY CITY AGAINST INFRINGEMENTS ...............................................................................................................7
    RIGHT OF INSPECTION .....................................................................................................................................................7
    CANCELLATION ..............................................................................................................................................................7
    ASSIGNMENT-DELEGATION ..............................................................................................................................................7
    WAIVER .......................................................................................................................................................................8
    MODIFICATIONS ............................................................................................................................................................8
    APPLICABLE LAW ...........................................................................................................................................................8
    ADVERTISING ................................................................................................................................................................8
    CONFLICT OF INTEREST ...................................................................................................................................................8
    LEGAL VENUE................................................................................................................................................................8
    AWARD CRITERIA ...........................................................................................................................................................8
MAP ...................................................................................................................................................................... 9
FACT SHEET .................................................................................................................................................... 11
SAMPLE SALES CONTRACT ........................................................................................................................ 13
BID FORMS ....................................................................................................................................................... 19
    DISCLOSURE OF CERTAIN RELATIONSHIPS..........................................................................................................................21
    DEBARMENT AND SUSPENSION CERTIFICATION ..................................................................................................................25
    ADDENDUM ACKNOWLEDGMENT....................................................................................................................................27
    BID SHEET ..................................................................................................................................................................29
CITY OF SAN ANGELO
                  PURCHASING DEPARTMENT
                  72 West College Avenue, San Angelo, Texas 76903
                  Tel: (325) 657-4219 or 657-4220



REQUEST FOR BID

    General

         The City of San Angelo, Real Estate Division is accepting bids for the sale of Lots 10 & 11, SAVE &
         EXCEPT the North 65’ and South 20’, W.E. Phillips Addition, San Angelo, Tom Green County, Texas;
         located at 108 Arlington Street. This property is a SINGLE-FAMILY RESIDENCE (RS-1) ZONING
         DISTRICT.

    Document Availability

         Bid Documents are available in the Purchasing Department at the address listed below, or may be
         downloaded at the City’s website at www.sanangelotexas.us. To locate the documents on the website go
         to:

              •   City Departments
              •   Purchasing
              •   Bid Opportunities

    Digital Format

         If Respondents obtained the bid specifications in digital format in order to prepare a proposal, the bid must
         be submitted in hard copy according to the instructions contained in this bid package. If, in its bid
         response, Respondents makes any changes whatsoever to the published bid specifications, the bid
         specification as published shall control. Furthermore, if an alteration of any kind to the bid specification is
         discovered after the contract is executed and is or is not being performed; the contract is subject to
         immediate cancellation without recourse.

    Disqualification

         The Respondent may be disqualified for any of the following reasons:

              •   The Respondent is involved in any litigation against the City of San Angelo;
              •   The Respondent is in arrears on any existing contract or has defaulted on a previous contract with
                  the City;
              •   The Respondent is debarred, suspended, or otherwise excluded from or ineligible for participation
                  in State or Federal assistance programs.

    Required Response

         The City requires a response to any RFB’s mailed to potential Respondents. Should a company receive an
         RFB, but choose not to bid on the project, then in order to remain on the City of San Angelo’s Potential
         Bidders List you must submit a “No Bid”.

    No Bid Instructions

         To submit a No Bid, complete the Bid Sheet by entering “No Bid” on Line Item 1, complete the Contact
         Information section, and mail the Bid Sheet pages before the deadline. Firms that do not respond will be
         removed from the bidders list.

    Interpretations

         All questions about the meaning or intent of the Contract Documents, including specifications shall be
         submitted to Purchasing Division in writing. Replies will be issued by Addenda posted on the Purchasing
         Department page of the City’s website Questions received less than ten (10) days prior to the date for
         opening of Bids will not be answered. Only questions answered by formal written Addenda will be binding.
         Oral interpretations or clarifications will be without legal effect. All addenda will be published on the City’s
         website. It is the Respondents responsibility to consider all addendums prior to submitting a bid.




RFB: PRO-06-12/108 Arlington Street                                                                               Page 1
Addenda

         Should specifications be revised prior to the deadline for submittals, the City’s Purchasing Division will issue an
         addendum addressing the nature of the change. Respondents must acknowledge the addendums and include
         the form in the returned proposal package.

    Confidentiality

         All bids submitted shall remain confidential. After award, proposals will be made available for public
         inspection. The City shall not be responsible for the confidentiality of any trade secrets or other information
         contained or disclosed in the proposal unless clearly identified as such.

    Award of Contract

         The City reserves the right to accept or reject any or all bids, and to waive any informalities or irregularities
         in the RFB process. The City is an equal opportunity employer.

    Acceptance of Proposal Content

         Before submitting a proposal, each Respondent shall make all investigations and examinations necessary to
         ascertain all conditions and requirements affecting the performance of the contract and to verify any
         representations made by the City upon which the proposal will rely. If the Respondent receives an award,
         failure to have made such investigation and examinations will in no way relieve the Respondent from his
         obligation to comply in every detail with all provisions and requirements.

    Copies of Bid Tabulation Results

         For a copy of the Bid Tabulation results, send a self-addressed stamped envelope to: Purchasing
         Department, City of San Angelo, 72 West College Avenue, San Angelo, Texas 76903 or email
         roger.banks@sanangelotexas.us.




RFB: PRO-06-12/108 Arlington Street                                                                                  Page 2
CITY OF SAN ANGELO
                  PURCHASING DEPARTMENT
                  72 West College Avenue, San Angelo, Texas 76903
                  Tel: (325) 657-4219 or 657-4220


DEADLINE AND DELIVERY LOCATION

    Deadline

         Sealed Request for Bids (RFB) submittals must be received and time stamped on or before September 13,
         2012, 2:00 PM, Local Time. The clock located in Purchasing will be the official time. Bids not received on
         time will be rejected

         It is the sole responsibility of the Respondent to ensure that the sealed submittal arrives at the above
         location by the specified deadline regardless of method chosen by the firm for delivery.

    Copies

         •    One (1) unbound original of all required submission forms
         •    One (1) electronic copy in PDF format on CD or USB Flash Drive of all requested submissions forms
         •    One (1) complete bound copy of all submission forms (staples or binder clips are acceptable).

    Faxed/Electronic Bids

         Faxed or electronically transmitted RFB submittals will not be accepted.

    Sealed Envelope Addressing

         Lower left-hand corner: “RFB No. PRO-06-12/108 Arlington Street”
         Top Left-hand Corner: Bidders Name and Address

    Delivery Envelope/Container Addressing

         Mark delivery envelope “Sealed RFB Enclosed”

              Delivery Service Addresses                                  USPS Address

              City of San Angelo                                          City of San Angelo
                   Purchasing Division, RFB: PRO-06-12                    Purchasing Division, RFB: PRO-06-12
                   72 W College Avenue                                    72 W College Avenue, Suite 314
                   San Angelo, Texas 76903                                San Angelo, Texas 76903

    Points of Contact


     Roger Banks, Division Manager                               Diana Farris, Property Specialist
     Purchasing Department                                       Real Estate Division
     City of San Angelo                                          City of San Angelo
     72 W College Avenue                                         72 W College Avenue
     San Angelo Texas, 76903                                     San Angelo Texas, 76903
     Email: roger.banks@sanangelotexas.us                        Email: diana.farris@sanangelotexas.us
     Telephone: (325) 657-4220                                   Telephone: (325) 657-4212




RFB: PRO-06-12/108 Arlington Street                                                                                 Page 3
Intentionally Left Blank




RFB: PRO-06-12/108 Arlington Street   Page 4
CITY OF SAN ANGELO
                   PURCHASING DEPARTMENT
                   72 West College Avenue, San Angelo, Texas 76903
                   Tel: (325) 657-4219 or 657-4220



INSTRUCTIONS

    Bid Item

         Respondent is expected to examine all specifications herein and responsible for the inspection of the
         property and should satisfy themselves of exact location of the property. It is the Respondent’s
         responsibility for inspections, zoning, environmental assessments, engineering studies, mechanical
         inspections, pest control, etc. Such inspections will be at the expense of the Respondent. FAILURE to do
         so will be at the Respondent‘s risk.

    Sale “As Is”

         Property will be sold “As Is”, subject to ALL easements, blanket easements, right-of-ways, covenants,
         conditions, zoning, restrictions, water rights and all other restrictions or conditions, including physical
         conditions whether recorded or not.

    Proposal/Bid Interpretation

         Any explanation desired by a Respondent regarding the meaning or interpretation of the invitation, drawings,
         specifications, etc. must be requested in writing seven (7) days prior to the deadline to the Purchasing
         Department, City of San Angelo, 72 West College Avenue, San Angelo, TX 76903 to allow sufficient
         time for evaluation and reply to all prospective bidders before the submission of their bids. The bid invitation
         number must appear on all correspondence, inquiries, etc. pertaining to the invitation. Oral explanations or
         instructions given before the award of the contract are not binding and do not form a part of or alter in any
         way, the written agreement.

    Corrections, Additions, or Deletions

         Corrections, additions, or deletions to any portion of the invitation will be in the form of a written amendment
         or addendum.

    Bid Security

         All bids shall include a bid security in the amount of $500.00, which will be applied toward the purchase
         price. Only Money Orders and Certified Checks are accepted; and are to be payable to the City of San
         Angelo. The bid securities will be returned to all unsuccessful Respondents within ten (10) business days
         of the City Council award of bid.

    Modification or Withdrawal of Bids

         Bid pricing CANNOT be altered or amended after the closing time. Bids may be modified or withdrawn prior
         to the closing hour and date by written notice to the Purchasing Department. A bid may also be withdrawn
         in person by a Respondent or his authorized agent, provided his identity is made known and he signs a
         receipt for the bid. No bid may be withdrawn after the closing time and date without acceptable reason in
         writing and with approval of the Purchasing Department.

    Authorized Signature

         Bids must show Respondent’s name, address, and be manually signed. The person signing the bid must
         have authority to execute contract. Any erasures or other changes must be initialed by the person signing
         the offer. If Respondent is married, the spouse must also sign the bid, unless the property will be purchased
         with separate property funds.

    Contingency

         No Contingency Contracts will be accepted.




RFB: PRO-06-12/108 Arlington Street                                                                               Page 5
Submission of Bids

         Sealed bids are to be returned by the closing time and date stated in the Deadlines and Delivery Options
         Section. Faxed bids will not be accepted.

    Late Bids

         Bids received after the advertised closing time and date regardless of the mode of delivery will be refused
         and returned unopened

    Acceptance

         Acceptance of Respondent’s offer will be notified by telephone and/or mail after final approval and
         acceptance of its offer by the San Angelo City Council.

    Default in Purchase

         If Respondent is awarded the bid and fails to purchase the property, Respondent agrees to forfeit the Bid
         Security amount in addition to any amount required by the Sales Contract to the City of San Angelo.

    Commissions

         Should a Respondent solicit representation from a Real Estate Licensee (Agent), the Respondent will be
         responsible for payment of commissions.

    Execution of Sales Contract

         Within ten (10) business days of awarding the bid, Respondent will execute a Sales Contract in substantially
         form with attached hereto.

    Delivery of Property

         Delivery of property shall occur as recognized in the Sales Contract and subject to approval by City Council.

    Reservations

         The City expressly reserves the right to accept, reject, or cancel all bids AND:

              •   Waive any defect, irregularity, or informality in any bid or bidding procedure.
              •   Extend the bid closing time and date.
              •   Reissue a bid invitation or proposal.
              •   Consider and accept an alternate bid as provided herein when most advantageous to the City.
              •   Extend any contract when most advantageous to the City.




RFB: PRO-06-12/108 Arlington Street                                                                             Page 6
CITY OF SAN ANGELO
                   PURCHASING DEPARTMENT
                   72 West College Avenue, San Angelo, Texas 76903
                   Tel: (325) 657-4219 or 657-4220


TERMS AND CONDITIONS

    Title

         Title shall not pass to Buyer until the City Special Warranty Deed is fully executed and sales price is paid to
         the City in full.

    Title Policy

         City will provide a Texas Owner’s Title Policy at the City’s expense.

    Utilities

         The City makes no representation as to the availability of utilities or costs associated with utilities. It is the
         Buyer’s responsibility to determine availability and cost of utilities.

    Invoices & Payments

         This sale is a cash sale, closed at a local title company. The City will not carry a note on this property.

    Gratuities

         The City may, by written notice to the Buyer, cancel this contract without liability to Buyer if it is determined
         by City that gratuities were offered from an agent or representative of the Buyer to any officer or employee of
         the City with a view toward securing a contract or securing favorable treatment with respect to the awarding
         or amending, or the making of any determinations in respect to the performing of such contract. In the event
         this contract is canceled by City, remedies to recover or withhold the amount of the cost shall be incurred by
         Buyer in providing such gratuities.

    Warranty-Price

         The Buyer warrants that no person or purchasing agency has been employed or retained to solicit or secure
         this contract upon an agreement or understanding for commission, percentage, brokerage, or contingent fee
         excepting bona fide employees of bona fide established commercial or purchasing agencies maintained by
         the Buyer for the purpose of securing business. For breach or violation of the warranty, the City shall have
         the right in addition to any other right or rights to cancel this contract without liability and to deduct from the
         contract price, or otherwise recover the full amount of such commission, percentage, brokerage, or
         contingent fee.

    No Warranty by City Against Infringements

         The City does not make any Warranties or Guaranties, expressed or otherwise, except as provided for in the
         Sales Contract.

    Right of Inspection

         Respondent shall have the right to inspect the property before submittal deadline.

    Cancellation

         Any cancellation Sales Contract shall be in accordance with the terms herein and the Sales Contract.

    Assignment-Delegation

         No right or interest in the Sales Contract shall be assigned nor shall any delegation of any obligation made
         by Buyer be valid without written permission of the City. Any attempted assignment or delegation by Buyer
         shall be wholly void and totally ineffective for all purposes unless made in conformity with this paragraph.




RFB: PRO-06-12/108 Arlington Street                                                                                    Page 7
Waiver

         No claim or right arising out of a breach of this Sales Contract can be discharged in whole or in part by a
         waiver or renunciation of the claim or right unless the waiver or renunciation is supported by consideration
         and is in writing signed by the aggrieved party.

    Modifications

         This Sales Contract can be modified or rescinded only by a writing signed by both of the parties or their duly
         authorized agents.

    Applicable Law

         This agreement shall be governed by all applicable laws.

    Advertising

         Buyer shall not advertise or publish, without City’s prior consent, the fact that City has entered into this
         contract, except to the extent necessary to comply with proper requests for information from an authorized
         representative of the Federal, State, or Local government.

    Conflict Of Interest

         Buyer agrees to comply with the conflict of interest provisions of the Texas State Law and City Of San
         Angelo Charter and Code of Ordinances. Buyer agrees to maintain current, updated disclosure of
         information on file with the Purchasing Department throughout the term of the Sales Contract, as applicable.

    Legal Venue

         San Angelo, Tom Green County, Texas

    Award Criteria

         The property will be awarded to the Respondent who submits the highest qualified bid. Final approval and
         acceptance rest with the San Angelo City Council.




RFB: PRO-06-12/108 Arlington Street                                                                             Page 8
CITY OF SAN ANGELO
                  PURCHASING DEPARTMENT
                  72 West College Avenue, San Angelo, Texas 76903
                  Tel: (325) 657-4219 or 657-4220



MAP




RFB: PRO-06-12/108 Arlington Street                                 Page 9
Intentionally Left Blank




RFB: PRO-06-12/108 Arlington Street   Page 10
CITY OF SAN ANGELO
                  PURCHASING DEPARTMENT
                  72 West College Avenue, San Angelo, Texas 76903
                  Tel: (325) 657-4219 or 657-4220


FACT SHEET


         Property Address: 108 Arlington Street

         Legal Description: W.E. Phillips Addition, Lot 10 & 11 except the N. 65’ & S. 20’ (Paint Rock Road)

         Tax ID Number: 2138700000001300

         Lot Size: 95’ (eastern lot boundary) & 53’ (western lot boundary) x 133’

         Zoning: RS-1 (Single-Family Residential); allows single-family homes on minimum lots of 50’x100’.

         Water/Sewer Connections:                      Subdivision Plat:




         Lot Characteristics:
             •   Vacant;
             •   Conditional/Special Uses – No;
             •   Variances – No;
             •   Special Permits – No;
             •   Historic Overlay – No;
             •   Open Structure Overlay -Partially;
             •   River Corridor – No;
             •   Is a replat needed to build? Yes;

         For more information:

              Zoning/Subdivision Requirements – City of San Angelo Planning Division, 657-4210
              Permit Requirements – City of San Angelo Inspections & Permits Division, 657-4420
              General Development Questions – City of San Angelo Development Coordinator, 657-4210
              Water Billing/Meters – City of San Angelo Water Billing Division, 657-4323
              Purchasing of Tax Lots – City of San Angelo Real Estate Division, 657-4212
              Ownership and Tax Information – Tom Green County Appraisal District, 658-5575
              Documents of Record, including Plats – Tom Green County Clerk, Real Estate, 659-6552


         NOTE: All information provided herein is based upon initial analysis of the property and is intended
         as a guide only; the City of San Angelo is not responsible for any error in this information or for any
         information concerning the property which is not included herein. Before purchasing any property,
         it is strongly advised to contact, at a minimum, the City and County offices listed above for the most
         up-to-date information.




RFB: PRO-06-12/108 Arlington Street                                                                                Page 11
Intentionally Left Blank




RFB: PRO-06-12/108 Arlington Street   Page 12
CITY OF SAN ANGELO
                  PURCHASING DEPARTMENT
                  72 West College Avenue, San Angelo, Texas 76903
                  Tel: (325) 657-4219 or 657-4220



SAMPLE SALES CONTRACT

                                       REAL ESTATE CONTRACT OF SALE
                                              (FOR CASH SALE)

        THIS REAL ESTATE CONTRACT OF SALE (”Agreement”) is made by and between CITY OF SAN
ANGELO, a Texas home-rule municipal corporation whose address is 72 W. College Avenue, San Angelo, Tom
Green County, Texas 76903, (hereinafter “Seller”) and, _______________________________________(hereinafter
"Purchaser"), upon the terms and conditions set forth in this Agreement.

                                                  ARTICLE I
                                              PURCHASE AND SALE

          Seller agrees to sell and convey to Purchaser, and Purchaser agrees to purchase, the real property thereon,
commonly known 108 ARLINGTON STREET and described as LOTS 10 & 11, SAVE & EXCEPT THE NORTH 65
FEET AND SOUTH 20 FEET OF SAID LOTS 10 & 11, W.E.PHILLIPS ADDITION (hereinafter “Property”), together
with all and singular the rights and appurtenances pertaining to the property, for the consideration and upon and
subject to the terms, provisions, and conditions set forth below.

                                                    ARTICLE II
                                                 PURCHASE PRICE

2.01     Amount of Purchase Price

         The purchase price for the Property shall be the sum of                                    Dollars ($        -
         ___.00).

2.02     Payment of Purchase Price

         The full amount of the Purchase Price shall be due and payable at the closing.

                                             ARTICLE III
                          CONDITIONS PRECEDENT TO PURCHASER'S OBLIGATIONS

         The obligations of Purchaser hereunder to consummate the transactions contemplated hereby are subject to
the satisfaction of each of the following conditions precedent (any of which may be waived in whole or in part by
Purchaser at or prior to the closing).

3.01     Preliminary Title Report

         Within thirty-five (35) days after the date hereof, Seller shall cause       (Title Company)          to issue
a preliminary title report (the "Title Report") accompanied by copies of restrictive covenants and all recorded
documents referred to in the Preliminary Title Opinion affecting title such as easements, rights-of-way, liens and
encumbrances. Purchaser shall give Seller written notice on or before the expiration of twenty-one (21) days after
Purchaser receives the Preliminary Title Report of any condition of title as set forth in the report not acceptable to
Purchaser. In that event Seller may, at Seller’s option, promptly undertake to eliminate or correct all unacceptable
conditions of title to the reasonable satisfaction of Purchaser. If Seller chooses not to or is unable to correct the
unacceptable conditions of title within twenty-one (21) days after receipt of the written notice thereof given by
Purchaser, this Agreement shall thereupon immediately become null and void for all purposes and the Escrow
Deposit shall be returned by the Title Company to Purchaser. Purchaser will be deemed to have approved all
conditions of title disclosed by the preliminary title report to which Purchaser has made no timely objection as herein
provided.

3.02     Survey

        Purchaser at Purchaser’s option and expense may commission and be responsible for the expense of a
survey of the Property. It is a condition precedent to Purchaser’s obligations under this Agreement that the survey
not reveal a circumstance or condition relating to the Property that is unforeseen by the Purchaser. If such an
unforeseen circumstance or condition is revealed by the survey, Purchaser may, at Purchaser’s option, terminate this



RFB: PRO-06-12/108 Arlington Street                                                                            Page 13
Agreement by giving written notice of termination to the Seller at any time on or before the expiration of twenty-one
(21) days after Purchaser receives the Preliminary Title Report as provided in paragraph 3.01 above. If Purchaser
chooses not to give notice of an unforeseen circumstance or condition as provided by this paragraph, this condition
precedent shall be deemed waived by the Purchaser.

3.03     Seller’s Performance

         Seller shall have performed, observed, and complied with all of the covenants, agreements, and conditions
required by this Agreement to be performed, observed, and complied with by Seller prior to or as of the closing.

                                               ARTICLE IV
                                REPRESENTATIONS AND WARRANTIES OF SELLER

         Seller represents and warrants to Purchaser, as of the closing date, as follows:

         (1)      Seller has received no notice of pending or threatened condemnation or similar proceeding
                  affecting the Property, nor to the knowledge of Seller is there any such proceeding contemplated by
                  any governmental authority.

         (2)      Seller has no knowledge of any pending or threatened claim or proceeding relating to access to the
                  Property;

         (3)      The property is zoned for                                    ; Seller has no knowledge of any
                  non-conforming use or conditional use on the subject real property occurring within the preceding
                  twelve months.

         (4)      There are no lawsuits, claims, attachments, executions, or other proceedings pending, or to the
                  Seller’s knowledge, threatened, against or involving the Property;

         (5)      Seller is not a “foreign person” as that term is defined in §1445 of the Internal Revenue Code of
                  1986, as amended;

         (6)      Seller has not retained the services of a real estate broker and to Seller’s knowledge no broker fee
                  is or will be due or payable relating to the sale and conveyance of the Property as contemplated by
                  this Agreement.

         (7)      Seller expressly makes no representations or warranties pertaining to any buildings or residential
                  structures that may be located on the Property.

         Seller’s representations and warranties made herein shall survive closing of the transaction contemplated by
this Agreement.

                                                     ARTICLE V
                                                      CLOSING

         The closing shall be held at the office of _______(Title Company) __   (referred to in this Agreement as
                                                                                        th
“Title Company”), ____________________, San Angelo, Texas, 76903 on or before the 90 day after the last party
executes this Agreement or at such time, date, and place as Seller and Purchaser may agree upon (which date is
herein referred to as the "closing date"). At the closing Seller shall:

         (1)      Deliver to Purchaser a duly executed and acknowledged Special Warranty Deed, in a form
                  acceptable to the title company, conveying good and indefeasible title in fee simple to all of the
                  Property, free and clear of any and all liens, encumbrances, conditions, easements, assessments,
                  and restrictions, except for the following:

                  (a)       General real estate taxes for the year of closing and subsequent years not yet due and
                            payable, which shall be prorated between the parties to date of closing;

                  (b)       Any exceptions and reservations approved by Purchaser pursuant to Article III hereof; and

                  (c)       Any exceptions and reservations approved by Purchaser in writing; and




RFB: PRO-06-12/108 Arlington Street                                                                           Page 14
(2)       Deliver to Purchaser actual, exclusive possession of the property.

         Costs, fees and expenses of closing in consummating the sale and purchase of the Property shall be borne
and paid as follows:

                   (a)      If sale is unconsummated, any fees or expenses owed to Title Company shall be paid out
                            of the escrow deposit;

                   (b)      Appraisal fees shall be paid by Purchaser;

                   (c)      Premiums for Mortgagee’s Title Policy, if any, shall be paid by Purchaser;

                   (d)      Any escrow fee shall be paid by Purchaser;

                   (e)      Survey fees shall be paid by Purchaser;

                   (f)      Attorney's fees shall be borne by and paid by the party at whose request the legal work
                            was performed.

                   (g)      Deed preparation and recording fees of same shall be paid by Seller;

                   (h)      Loan documents preparation and related recording fees, if any, paid by Purchaser;

                   (i)      Recording and copying costs shall be paid by Purchaser;

                   (j)      Costs for tax certificates shall be paid by Seller.

                                                       ARTICLE VI
                                                       BROKERS

       It is understood and agreed that no brokers have been involved in the negotiation and consummation of this
Agreement.

                                                     ARTICLE VII
                                                   ESCROW DEPOSIT

         For the purpose of securing the performance of Purchaser under the terms and provisions of this
Agreement, Purchaser has delivered to the Title Company, the sum of Five Hundred Dollars ($500.00), the Escrow
Deposit, which shall be paid by the Title Company to Seller in the event Purchaser breaches this Agreement as
provided in Article IX hereof. At the closing, the Escrow Deposit shall be paid to Seller and applied against the
purchase price, provided, however, that in the event the Purchaser shall have given written notice to the Title
Company that one or more of the conditions precedent to Purchaser’s obligations set forth in Article III have not been
met, or, in the, opinion of Purchaser, cannot be satisfied, in the manner and as provided for in Article III, then the
balance of the Escrow Deposit remaining after withholding escrow fees and costs incurred, shall be forthwith
returned by the Title Company to Purchaser.

                                                     ARTICLE VIII
                                                  BREACH BY SELLER

         In the event Seller shall fail to fully and timely perform any of its obligations hereunder or shall fail to
consummate the sale of the Property for any reason, except Purchaser's default, Purchaser may pursue any remedy
to which Purchaser may be entitled at law or in equity, including: (1) enforce specific performance of this Agreement;
(2) request that the Escrow Deposit shall be forthwith returned by the Title Company to Purchaser, after duly
deducting Title Company fees and expenses which have been incurred; and (3) bring suit for damages against Seller.

                                                    ARTICLE IX
                                               BREACH BY PURCHASER

         In the event Purchaser should fail to consummate the purchase of the Property for reason other than default
of the Seller and if the conditions precedent to Purchaser's obligations set forth in Article III are satisfied, Seller shall
have the right to: (1) bring suit for damages against Purchaser or (2) receive the entire Escrow Deposit from the Title
Company, the sum being agreed on as liquidated damages for Purchaser’s breach of this Agreement



RFB: PRO-06-12/108 Arlington Street                                                                                  Page 15
ARTICLE X
                                                    MISCELLANEOUS

10.01    Assignment of Agreement

         This Agreement may not be assigned without the express written consent of Seller.

10.02    Survival of Covenants

          Any of the representations, warranties, covenants, and agreements of the parties, as well as any rights and
benefits of the parties, pertaining to a period of time following the closing of the transactions contemplated hereby
shall survive the closing and shall not be merged therein.

10.03    Notice

        Any notice required or permitted to be delivered hereunder shall be deemed received when hand-delivered
or sent by United States mail, postage prepaid, certified mail, return receipt requested, addressed to Seller or
Purchaser, as the case may be, at the address set forth below with the signature of the party.

10.04    Texas Law to Apply

         This Agreement shall be construed under and in accordance with the laws of the State of Texas, and all
obligations of the parties created hereunder are performable in Tom Green County, Texas.

10.05    Parties Bound

        This Agreement shall be binding upon and inure to the benefit of the parties and their respective heirs,
executors, administrators, legal representatives, successors, and assigns where permitted by this Agreement.

10.06    Legal Construction

           In case any one or more of the provisions contained in this Agreement shall for any reason be held to be
invalid, illegal, or unenforceable in any respect, this invalidity, illegality, or unenforceability shall not affect any other
provision hereof, and this Agreement shall be construed as if the invalid, illegal, or unenforceable provision had never
existed.

10.07    Prior Agreements Superseded

          This Agreement constitutes the only agreement of the parties and supersedes any prior understandings or
written or oral agreements between the parties respecting the within subject matter.

10.08    Time of Essence

         Time is of the essence in this Agreement.

10.09    Gender

        Words of any gender used in this Agreement shall be held and construed to include any other gender, and
words in the singular number shall be held to include the plural, and vice versa, unless the context requires
otherwise.

10.10    The Term “Days”/Deadline

        In this Agreement, the term “days” shall be construed to mean calendar days. All deadlines in this
Agreement expire at 5:00 p.m. Central Standard Time. If a deadline falls on a Saturday, Sunday, or national holiday,
the deadline will be extended to the next day that is not on a Saturday, Sunday, or national holiday.




RFB: PRO-06-12/108 Arlington Street                                                                                  Page 16
10.11     Counterparts

       If this Agreement is executed in multiple counterparts, all counterparts taken together will constitute this
Agreement.

          Dated and entered into this    day of _____________, 2012.




                                                             SELLER:

                                                             CITY OF SAN ANGELO
                                                             72 W. College Avenue
Attest:                                                      San Angelo, TX 76903



Alicia Ramirez, City Clerk                                   Michael Dane, Interim City Manager




                                                             PURCHASER:
                                                             __________________

                                                             _______




Title Company acknowledges receipt of Escrow Deposit (Earnest Money) in the amount of $500.00 and a copy of this

Agreement executed by both Purchaser and Seller.



                                                             TITLE COMPANY:

                                                             __________________________________



                                                             By:               ______________________

                                                             Printed Name:     ______________________

                                                             Title:            ______________________
Date:




RFB: PRO-06-12/108 Arlington Street                                                                        Page 17
Intentionally Left Blank




RFB: PRO-06-12/108 Arlington Street   Page 18
CITY OF SAN ANGELO
                  PURCHASING DEPARTMENT
                  72 West College Avenue, San Angelo, Texas 76903
                  Tel: (325) 657-4219 or 657-4220


BID FORMS

    Please submit one (1) original, one (1) copy and one (1) electronic copy in PDF format on CD or USB
    Flash drive of the following bid forms.

              Conflict of Interest Questionnaire (if applicable)
              Debarment and Suspension Certification
              Addendum Acknowledgment
              Bid Sheet




RFB: PRO-06-12/108 Arlington Street                                                              Page 19
Intentionally Left Blank




RFB: PRO-06-12/108 Arlington Street   Page 20
CITY OF SAN ANGELO
                  PURCHASING DEPARTMENT
                  72 West College Avenue, San Angelo, Texas 76903
                  Tel: (325) 657-4219 or 657-4220


                                                NOTICE TO VENDORS


                              Disclosure of Certain Relationships
           Effective January 1, 2006, Chapter 176 of the Texas Local Government Code requires that any vendor or
person considering doing business with a local governmental entity make certain disclosures concerning any
affiliation or business relationship that might cause a conflict of interest with the local governmental entity. The
provisions of Chapter 176 and the Form CIQ questionnaire that you must complete to comply with this law, are
available at the Texas Ethics Commission website at http://www.ethics.state.tx.us/whasnew/confliict forms.htm.

          A current list of City of San Angelo and City of San Angelo Development Corporations officers is available in
the office of the City of San Angelo City Clerk’s office located in Room 201 of City Hall or on the City’s website at
http://sanangelotexas.org. If you are considering doing business with the City of San Angelo or the City of San
Angelo Development Corporation and have an affiliation or business relationship that requires you to submit a
completed Form CIQ, it must be filed with the records administrator (City Clerk) of the City of San Angelo no later
                      th
than the seventh (7 ) business day after the date you become aware of facts that require the form to be filed. See
Section 176.006, Texas Local Government Code. It is a Class C misdemeanor to violate this provision.

         By Submitting a response to a City of San Angelo or City of San Angelo Development Corporation
Request for Proposals, Request for Bids, or Request for Qualifications or by conducting business with either
of those two entities, you are representing that you are in compliance with the requirements of Chapter 176
of the Texas Local Government Code.




                                                                         Roger S. Banks
                                                                         Division Manager




RFB: PRO-06-12/108 Arlington Street                                                                            Page 21
Intentionally Left Blank




RFB: PRO-06-12/108 Arlington Street   Page 22
CONFLICT OF INTEREST QUESTIONNAIRE                                                                                             FORM CIQ
For vendor or other person doing business with local governmental entity

This questionnaire reflects changes made to the law by H.B. 1491, 80th Leg., Regular Session                              OFFICE USE ONLY
This questionnaire is being filed in accordance with chapter 176 of the Local Government Code by a person
doing business with the governmental entity.                                                                         Date Received

By law, this questionnaire must be filed with the records administrator of the local government entity not
later than the 7th business day after the date the person becomes aware of facts that require the statement to
be filed. See Section 176.006, Local Government Code.

A person commits an offense if the person knowing violates Section 176.006, Local Government Code. An
offense under this section is a Class C misdemeanor.


1.   Name of person doing business with local governmental entity.



2.         Check this box if you are filing an update to a previously filed questionnaire.

          (The law requires that you file an updated completed questionnaire with the appropriate filing authority not later than the 7th business
          day after the date the originally filed questionnaire becomes incomplete or inaccurate.)


3.   Name of local government officer with whom filer has affiliation or business relationship.

                                               _______________________________________________
                                                                Name of Officer

     This section, (item 3 including subparts A, B, C & D, must be completed for each officer with whom the filer has an employment or other
     business relationship as defined by Section 176.001(1-a),. Local Government Code. Attach additional pages to this Form CIQ as
     necessary.

     A. Is the local government officer named in this section receiving or likely to receive taxable income, other than investment income, from
     the filer of the questionnaire?

                                                                       Yes      No

     B. Is the filer of the questionnaire receiving or likely to receive taxable income, other than investment, from or at the direction of the local
     government officer named in this section AND the taxable income is not received from the local governmental entity?

                                                                      Yes       No

     C. Is the filer of this questionnaire employed by a corporation or other business entity with respect to which the local government officer
     serves as an officer or director, or holds an ownership of ten (10) percent or more?

                                                                       Yes      No

     D. Describe each employment of business relationship with the local government officer named in this section.




4.

___________________________________________________                                                     __________________
Signature of person doing business with the governmental entity                                                 Date




       RFB: PRO-06-12/108 Arlington Street                                                                                            Page 23
Intentionally Left Blank




RFB: PRO-06-12/108 Arlington Street   Page 24
CITY OF SAN ANGELO
                    PURCHASING DEPARTMENT
                    72 West College Avenue, San Angelo, Texas 76903
                    Tel: (325) 657-4219 or 657-4220




                           Debarment and Suspension Certification
(1)      The prospective primary participant certifies to the best of its knowledge and belief that it and its principals:

                (a) Are not presently debarred, suspended, proposed for disbarment, declared ineligible, or voluntarily
                    excluded from covered transactions by any Federal department or agency;
                (b) Have not within a three-year period preceding this application been convicted of or had a civil
                    judgment rendered against them for commission of fraud or a criminal offense in connection with
                    obtaining, attempting to obtain, or performing a public (Federal, State, or local) transaction or
                    contract under a public transaction; violation of Federal or State antitrust statutes or commission of
                    embezzlement, theft, forgery, bribery, falsification or destruction of records, making false
                    statements, or receiving stolen property;
                (c) Are not presently indicted for or otherwise criminally or civilly charged by a governmental entity
                    (Federal, State, or local) with commission of any of the offenses enumerated in paragraph (1)(b) of
                    this certification; and
                (d) Have not within a three-year period preceding this application had one or more public transactions
                    (Federal, State, or local) terminated for cause or default.

(2)      Where the prospective primary participant is unable to certify to any of the statements in this certification,
         such prospective primary participant shall attach an explanation to this proposal.




         Business Name:


         ______________________________________                   __________________
            Signature of Authorized Representative                Date


         By:
               Printed Name and Title of Authorized Representative




RFB: PRO-06-12/108 Arlington Street                                                                                 Page 25
Debarment and Suspension Certification
                                                    INSTRUCTIONS

1.   By signing and submitting this proposal, the prospective participant is providing the certification set out below.
2.   The inability of a person to provide the certification required below will not necessarily result in denial of
     participation in this covered transaction. The prospective participant shall submit an explanation of why it cannot
     provide the certification set out below. The certification or explanation will be considered in connection with the
     determination whether to enter into this transaction. However, failure of the prospective participant to furnish a
     certification or an explanation shall disqualify such person from participation in this transaction.
3.   The certification in this clause is a material representation of fact upon which reliance was placed when the City
     of San Angelo determined to enter into this transaction. If it is later determined that the prospective participant
     knowingly rendered an erroneous certification, in addition to other remedies available, the City of San Angelo
     may terminate this transaction for cause.
4.   The prospective participant shall provide immediate written notice to the City of San Angelo to which this
     proposal is submitted if at any time the prospective participant learns that its certification was erroneous when
     submitted or has become erroneous because of changed circumstances.
5.   The terms "covered transaction," "debarred," "suspended," "ineligible," "lower tier covered transaction,"
     "participant," "person," "primary covered transaction," "principal," "proposal," and "voluntarily excluded," as used
     in this clause, have the meanings set out in the Definitions and Coverage sections of the rules implementing
     Executive Order 12549(13 CFR Part 145). You may contact the City of San Angelo for assistance in obtaining a
     copy of these regulations.
6.   The prospective participant agrees by submitting this proposal that, should the proposed transaction be entered
     into, it shall not knowingly enter into any lower tier covered transaction with a person who is debarred,
     suspended, declared ineligible, or voluntarily excluded from participation in this covered transaction, unless
     authorized by the City of San Angelo.
7.   The prospective participant further agrees by submitting this proposal that it will include the clause titled
     "Certification Regarding Debarment and Suspension" provided by the City of San Angelo, without modification, in
     all lower tier covered transactions and in all solicitations for lower tier covered transactions.
8.   A participant in a covered transaction may rely upon a certification of a prospective participant in a lower tier
     covered transaction that it is not debarred, suspended, ineligible, or voluntarily excluded from the covered
     transaction, unless it knows that the certification is erroneous. A participant may decide the method and
     frequency by which it determines the ineligibility of its principals. Each participant may, but is not required to,
     check the Nonprocurement List.
9.   Nothing contained in the foregoing shall be construed to require establishment of a system of records in order to
     render in good faith the certification required by this clause. The knowledge and information of a participant is
     not required to exceed that which is normally possessed by a prudent person in the ordinary course of business
     dealings.
10. Except for transactions authorized under paragraph 6 of these instructions, if a participant in a covered
    transaction knowingly enters into a lower tier covered transaction with a person who is suspended, debarred,
    ineligible, or voluntarily excluded from participation in this transaction, in addition to other remedies available to
    the City of San Angelo, the City of San Angelo may terminate this transaction for cause.




RFB: PRO-06-12/108 Arlington Street                                                                                Page 26
CITY OF SAN ANGELO
                   PURCHASING DEPARTMENT
                   72 West College Avenue, San Angelo, Texas 76903
                   Tel: (325) 657-4219 or 657-4220




                                      Addendum Acknowledgment
The bidder is responsible for determining if any addendums have been issued and agrees that the prices(s) quoted
on the Bid Sheet reflect any changes or modifications created by any addendum(s). All addendums are posted on
the City’s website as they are issued.


Receipt is hereby acknowledged of the following addenda to the Contract documents.


 Addendum No. 1 Dated:                                               Received:

 Addendum No. 2 Dated:                                               Received:

 Addendum No. 3 Dated                                                Received:

 Addendum No. 4 Dated:                                               Received:

 Addendum No. 5 Dated:                                               Received:

 Addendum No. 6 Dated                                                Received:



         Business Name:


         ______________________________________                 __________________
         Signature of Authorized Representative                 Date


         By:
               Printed Name and Title of Authorized Representative




RFB: PRO-06-12/108 Arlington Street                                                                        Page 27
Intentionally Left Blank




RFB: PRO-06-12/108 Arlington Street   Page 28
CITY OF SAN ANGELO
                     PURCHASING DEPARTMENT
                     72 West College Avenue, San Angelo, Texas 76903
                     Tel: (325) 657-4219 or 657-4220




                                                            Bid Sheet
                                           RFB No: PRO-06-12/108 Arlington Street

           Completed Disclosure of Certain Relationships (if applicable)
           Completed Debarment and Suspension Certification (REQUIRED)
           Completed Addendum Acknowledgment (REQUIRED)
           Please submit one (1) original, one (1) copy and one (1) electronic copy in PDF format on CD or USB Flash
           drive of the following bid forms. (REQUIRED)


                               ITEM                                        MINIMUM BID               BID AMOUNT


 PROPERTY DESCRIPTION:
                                                                             $4,500.00
 Lots 10 & 11, SAVE & EXCEPT the North 65’ and                                                   $
 South 20’, W.E. Phillips Addition
 Located at 108 Arlington Street

                                                                                  TOTAL BID      $




                                                      BID SECURITY: $500.00

 Money Order / Certified Check                                                                   INCLUDED

                                                                                         YES                NO
 #
     BIDS THAT DO NOT INCLUDE A BID SECURITY OF $500.00 WILL BE CONSIDERED NON-RESPONSIVE.



Respondent understands the City reserves the right to reject any and all bids. Bids which are not signed and dated
or bids which do not comply will all bid requirements herein, may be considered non-responsive and may be rejected.


Authorized Signature/Contact Information


 Firm Name:

 Mailing Address:
 City, State Zip Code:

 Authorized Signature:
 Print Name:                                                                             Date:
 Tax ID:
 Payment Terms:
 Telephone:                                                                FAX:

 Email:




RFB: PRO-06-12/108 Arlington Street                                                                               Page 29
y:12-rfxpropertyrfb prp-06-12 108 arlingtonrfb pro-06-12 091312.docx
PARTIAL RELEASE OF LIEN

Holder of Lien: City of San Angelo, Tom Green County, Texas, a Texas home-rule municipal corporation

Holder’s Mailing Address (including county): c/o City Attorney
                                             72 W College Avenue
                                             San Angelo, Tom Green County, TX 76903

Owner of Property at Time Liens were Filed: Bobbie Sims, a/k/a Bobbie Jean Sims

Liens are Described in the Following Documents:

   1. That one certain Lien recorded in Volume 444, Page 790, of the Official Public Records of Real
      Property, Tom Green County, Texas.
   2. That one certain Lien recorded in Volume 472, Page 269, of the Official Public Records of Real
      Property, Tom Green County, Texas.
   3. That one certain Lien recorded in Volume 257, Page 382, of the Official Public Records of Real
      Property, Tom Green County, Texas.
   4. That one certain Lien recorded in Volume 315, Page 508, of the Official Public Records of Real
      Property, Tom Green County, Texas.
   5. That one certain Lien recorded in Volume 292, Page 320, of the Official Public Records of Real
      Property, Tom Green County, Texas.
   6. That one certain Lien recorded in Volume 514, Page 7, of the Official Public Records of Real
      Property, Tom Green County, Texas.
   7. Those certain Liens recorded in Volume 596, Page 248, of the Official Public Records of Real
      Property, Tom Green County, Texas, securing debts in the original principal amounts of $45.00
      (09/27/96) and $45.00 (06/26/97).
   8. That one certain Lien recorded in Volume 230, Page 85, of the Official Public Records of Real
      Property, Tom Green County, Texas.

Property (including any improvements) to be Released from Lien:

       Being Lot 12, Block 5, Mineola Addition, City of San Angelo, Tom Green County, Texas.

Holder of the lien acknowledges partial payment or other satisfaction of indebtedness secured thereby and
releases from the lien only the property described above.

When the context requires, singular nouns and pronouns include the plural.

       EXECUTED on the _______ day of _____________________, 2013.


                                            CITY OF SAN ANGELO
                                            a Texas home-rule municipal corporation


                                            BY:
                                                   Michael Dane, Assistant City Manager
STATE OF TEXAS      §
COUNTY OF TOM GREEN §

      This instrument was acknowledged before me on the ______ day of _________________, 2013, by
Michael Dane, as Assistant City Manager of the City of San Angelo, a Texas home-rule municipal corporation,
on behalf of said corporation.



                                                   Notary Public, State of Texas
PARTIAL RELEASE OF LIEN

Holder of Lien: City of San Angelo, Tom Green County, Texas, a Texas home-rule municipal corporation

Holder’s Mailing Address (including county): c/o City Attorney
                                             72 W College Avenue
                                             San Angelo, Tom Green County, TX 76903

Owner of Property at Time Liens were Filed: Alverda Stephens, a/k/a Alnerda Stephens, a/k/a Alverdo
                                           Stephens

Liens are Described in the Following Documents:

   1. That one certain Lien recorded in Volume 444, Page 790, of the Official Public Records of Real
      Property, Tom Green County, Texas.
   2. That one certain Lien recorded in Volume 514, Page 7, of the Official Public Records of Real
      Property, Tom Green County, Texas.
   3. That one certain Lien recorded in Volume 472, Page 269, of the Official Public Records of Real
      Property, Tom Green County, Texas.
   4. Those certain Liens recorded in Volume 491, Page 431, of the Official Public Records of Real
      Property, Tom Green County, Texas, securing debts in the original principal amounts of $45.00
      (03/27/95) and $45.00 (05/17/95).
   5. Those certain Liens recorded in Volume 596, Page 248, of the Official Public Records of Real
      Property, Tom Green County, Texas, securing debts in the original principal amounts of $45.00
      (05/14/97) and $45.00 (06/26/97).
   6. That one certain Lien recorded in Volume 292, Page 320, of the Official Public Records of Real
      Property, Tom Green County, Texas.
   7. That one certain Lien recorded in Volume 417, Page 99, of the Official Public Records of Real
      Property, Tom Green County, Texas.

Property (including any improvements) to be Released from Lien:

       Being Lot 3, Block 31, Miles Addition, City of San Angelo, Tom Green County, Texas.

Holder of the lien acknowledges partial payment or other satisfaction of indebtedness secured thereby and
releases from the lien only the property described above.

When the context requires, singular nouns and pronouns include the plural.

       EXECUTED on the _______ day of _____________________, 2013.


                                            CITY OF SAN ANGELO
                                            a Texas home-rule municipal corporation


                                            BY:
                                                   Michael Dane, Assistant City Manager
STATE OF TEXAS      §
COUNTY OF TOM GREEN §

      This instrument was acknowledged before me on the ______ day of _________________, 2013, by
Michael Dane, as Assistant City Manager of the City of San Angelo, a Texas home-rule municipal corporation,
on behalf of said corporation.



                                                   Notary Public, State of Texas
NOTICE OF CONFIDENTIALITY RIGHTS: If you are a natural person, you may remove or
strike any or all of the following information from this instrument before it is filed for record in
the public records: your social security number or your driver’s license number.

                                               Tax-Resale Deed
                                     (Property Sold for Less than Adjudged Value)

   Date:            __________________________

   Grantor:         The City of San Angelo, a Texas home-rule municipal corporation, for itself and as Trustee
                    for itself, Tom Green County, and San Angelo Independent School District
                    72 West College Avenue
                    San Angelo, Tom Green County, Texas 76903

   Grantee:         JOHN S. PEARCY, a single person
                    2726 Alta Vista
                    San Angelo, Tom Green County, Texas 76904

   Consideration: Ten and No/100 Dollars ($10.00) and other good and valuable consideration

   Property (including any improvements):

                    Lots 12, Block 5 “E”, Chapman’s Subdivision of Blocks 4 and 5, Freeland’s
                    Addition, City of San Angelo, Tom Green County, Texas, as described in Volume
                    182, Page 208, Deed Records of Tom Green County, Texas.
                    Account #05-17700-0005-012-00

   Judgment:        Judgment for the foreclosure of a tax lien against the Property entered on August 7, 2009 in
                    Suit No. B-07-0200-T by the 119th District Court of Tom Green County, Texas.

   Sheriff’s Deed: Grantor acquired full legal title to the Property — both for its own benefit and as Trustee for
                   all other taxing authorities entitled to receive proceeds from the sale of the Property under the
                   terms of the Judgment — by Sheriff’s Deed dated August 12, 2010, and recorded in
                   Instrument Number 690718, Official Public Records of Real Property, Tom Green County,
                   Texas.

            For the Consideration, Grantor — acting by and through its Mayor, who has been duly authorized to
   execute this instrument on Grantor’s behalf by resolution and order of Grantor’s City Council recorded in the
   City Council’s official minutes — hereby quitclaims to Grantee all of Grantor's right, title, and interest in and
   to the Property, to have and to hold it to Grantee and Grantee's heirs, successors, and assigns forever. Neither
   Grantor, nor any other taxing unit interested in the Judgment, nor any other person or entity claiming under
   them, will have, claim, or demand any right or title to the Property or any part of it. Grantor gives this Tax-
   Resale Deed without any express or implied warranty whatsoever; and all warranties that might arise by
   common law and the warranties in § 5.023 of the Texas Property Code (or its successor) are hereby specifically
   excluded.

            Grantee's rights under this deed are subject to the provisions of Chapter 34 of the Texas Tax Code,
   including, without limitation, any right of redemption remaining in the former owner of the Property; the terms
   of any recorded restrictive covenants running with the land that were recorded before January 1 of the year in
which the tax lien on the property arose; any recorded lien that arose under such restrictive covenants that was
not extinguished in the judgment foreclosing the tax lien; and each valid easement of record as of the date of
the sale that was recorded before January 1 of the year the tax lien arose.

        Grantor is selling the Property to Grantee for an amount that is less than the lesser of (1) the market
value specified in the Judgment, or (2) the total amount of the Judgment.

        Grantee assumes full payment of any ad valorem taxes for the Property for the current year and all
future years.

        When the context requires, singular nouns and pronouns include the plural.

                                                            GRANTOR:

                                                            The City of San Angelo, a Texas home-rule
                                                            municipal corporation, for itself and as Trustee for
                                                            any taxing authorities named in the Judgment


ATTEST:                                                     By:     ____________________________
                                                                    Alvin New, Mayor and
                                                                    duly-authorized agent

Alicia Ramirez, City Clerk


STATE OF TEXAS                             §
                                           §
COUNTY OF TOM GREEN                        §

        This instrument was acknowledged before me on _____________________, 2013, by Alvin New,
Mayor and duly-authorized agent of the City of San Angelo, a Texas home-rule municipal corporation, on
behalf of such corporation and as Trustee for any taxing authorities named in the Judgment identified in the
above instrument.


                                                   __________________________________
                                                   Notary Public, State of Texas


After Recording, Return To:
NOTICE OF CONFIDENTIALITY RIGHTS: If you are a natural person, you may remove or
strike any or all of the following information from this instrument before it is filed for record in
the public records: your social security number or your driver’s license number.

                                               Tax-Resale Deed
                                     (Property Sold for Less than Adjudged Value)

   Date:            __________________________

   Grantor:         The City of San Angelo, a Texas home-rule municipal corporation, for itself and as Trustee
                    for itself, Tom Green County, and San Angelo Independent School District
                    72 West College Avenue
                    San Angelo, Tom Green County, Texas 76903

   Grantee:         JOHN S. PEARCY, a single person
                    2726 Alta Vista
                    San Angelo, Tom Green County, Texas 76904

   Consideration: Ten and No/100 Dollars ($10.00) and other good and valuable consideration

   Property (including any improvements):

                    Lot 30, Block 2B, George Allen Addition, City of San Angelo, being more
                    particularly described in Volume 1131, Page 119, Official Public Records of Tom
                    Green County, Texas.
                    Account #01-10500-0002-027-00

   Judgment:        Judgment for the foreclosure of a tax lien against the Property entered on November 9, 2011
                    in Suit No. B-09-0050-T by the 119th District Court of Tom Green County, Texas.

   Sheriff’s Deed: Grantor acquired full legal title to the Property — both for its own benefit and as Trustee for
                   all other taxing authorities entitled to receive proceeds from the sale of the Property under the
                   terms of the Judgment — by Sheriff’s Deed dated June 7, 2012, and recorded in
                   Instrument Number 719870, Official Public Records of Real Property, Tom Green County,
                   Texas.

            For the Consideration, Grantor — acting by and through its Mayor, who has been duly authorized to
   execute this instrument on Grantor’s behalf by resolution and order of Grantor’s City Council recorded in the
   City Council’s official minutes — hereby quitclaims to Grantee all of Grantor's right, title, and interest in and
   to the Property, to have and to hold it to Grantee and Grantee's heirs, successors, and assigns forever. Neither
   Grantor, nor any other taxing unit interested in the Judgment, nor any other person or entity claiming under
   them, will have, claim, or demand any right or title to the Property or any part of it. Grantor gives this Tax-
   Resale Deed without any express or implied warranty whatsoever; and all warranties that might arise by
   common law and the warranties in § 5.023 of the Texas Property Code (or its successor) are hereby specifically
   excluded.

            Grantee's rights under this deed are subject to the provisions of Chapter 34 of the Texas Tax Code,
   including, without limitation, any right of redemption remaining in the former owner of the Property; the terms
   of any recorded restrictive covenants running with the land that were recorded before January 1 of the year in
which the tax lien on the property arose; any recorded lien that arose under such restrictive covenants that was
not extinguished in the judgment foreclosing the tax lien; and each valid easement of record as of the date of
the sale that was recorded before January 1 of the year the tax lien arose.

        Grantor is selling the Property to Grantee for an amount that is less than the lesser of (1) the market
value specified in the Judgment, or (2) the total amount of the Judgment.

        Grantee assumes full payment of any ad valorem taxes for the Property for the current year and all
future years.

        When the context requires, singular nouns and pronouns include the plural.

                                                            GRANTOR:

                                                            The City of San Angelo, a Texas home-rule
                                                            municipal corporation, for itself and as Trustee for
                                                            any taxing authorities named in the Judgment


ATTEST:                                                     By:     ____________________________
                                                                    Alvin New, Mayor and
                                                                    duly-authorized agent

Alicia Ramirez, City Clerk


STATE OF TEXAS                             §
                                           §
COUNTY OF TOM GREEN                        §

        This instrument was acknowledged before me on _____________________, 2013, by Alvin New,
Mayor and duly-authorized agent of the City of San Angelo, a Texas home-rule municipal corporation, on
behalf of such corporation and as Trustee for any taxing authorities named in the Judgment identified in the
above instrument.


                                                   __________________________________
                                                   Notary Public, State of Texas


After Recording, Return To:
NOTICE OF CONFIDENTIALITY RIGHTS: If you are a natural person, you may remove or
strike any or all of the following information from this instrument before it is filed for record in
the public records: your social security number or your driver’s license number.

                                               Tax-Resale Deed
                                     (Property Sold for Less than Adjudged Value)

   Date:            __________________________

   Grantor:         The City of San Angelo, a Texas home-rule municipal corporation, for itself and as Trustee
                    for itself, Tom Green County, and San Angelo Independent School District
                    72 West College Avenue
                    San Angelo, Tom Green County, Texas 76903

   Grantee:         CAYDDRICK O’BRIEN BALLARD, a single person
                    2339 North Lillie Street
                    San Angelo, Tom Green County, Texas 76903

   Consideration: Ten and No/100 Dollars ($10.00) and other good and valuable consideration

   Property (including any improvements):

                    The South 1/2 of the South 100 feet of the North 150 feet of the South 783.7 feet of Block 8,
                    E.E. Kirby Addition, as described in Volume 688, Page 128, Deed Records of Tom Green
                    County, Texas.
                    Account #15-30200-0008-011-00

   Judgment:        Judgment for the foreclosure of a tax lien against the Property entered on September 2, 1992
                    in Suit No. TAX91-0010B by the 119th District Court of Tom Green County, Texas.

   Sheriff’s Deed: Grantor acquired full legal title to the Property — both for its own benefit and as Trustee for
                   all other taxing authorities entitled to receive proceeds from the sale of the Property under the
                   terms of the Judgment — by Sheriff’s Deed dated February 15, 1993, and recorded in
                   Volume 350, Page 175, Official Public Records of Real Property, Tom Green County, Texas.

            For the Consideration, Grantor — acting by and through its Mayor, who has been duly authorized to
   execute this instrument on Grantor’s behalf by resolution and order of Grantor’s City Council recorded in the
   City Council’s official minutes — hereby quitclaims to Grantee all of Grantor's right, title, and interest in and
   to the Property, to have and to hold it to Grantee and Grantee's heirs, successors, and assigns forever. Neither
   Grantor, nor any other taxing unit interested in the Judgment, nor any other person or entity claiming under
   them, will have, claim, or demand any right or title to the Property or any part of it. Grantor gives this Tax-
   Resale Deed without any express or implied warranty whatsoever; and all warranties that might arise by
   common law and the warranties in § 5.023 of the Texas Property Code (or its successor) are hereby specifically
   excluded.

            Grantee's rights under this deed are subject to the provisions of Chapter 34 of the Texas Tax Code,
   including, without limitation, any right of redemption remaining in the former owner of the Property; the terms
   of any recorded restrictive covenants running with the land that were recorded before January 1 of the year in
   which the tax lien on the property arose; any recorded lien that arose under such restrictive covenants that was
not extinguished in the judgment foreclosing the tax lien; and each valid easement of record as of the date of
the sale that was recorded before January 1 of the year the tax lien arose.

        Grantor is selling the Property to Grantee for an amount that is less than the lesser of (1) the market
value specified in the Judgment, or (2) the total amount of the Judgment.

        Grantee assumes full payment of any ad valorem taxes for the Property for the current year and all
future years.

        When the context requires, singular nouns and pronouns include the plural.

                                                           GRANTOR:

                                                           The City of San Angelo, a Texas home-rule
                                                           municipal corporation, for itself and as Trustee for
                                                           any taxing authorities named in the Judgment


ATTEST:                                                    By:      ____________________________
                                                                    Alvin New, Mayor and
                                                                    duly-authorized agent

Alicia Ramirez, City Clerk


STATE OF TEXAS                            §
                                          §
COUNTY OF TOM GREEN                       §

        This instrument was acknowledged before me on _____________________, 2013, by Alvin New,
Mayor and duly-authorized agent of the City of San Angelo, a Texas home-rule municipal corporation, on
behalf of such corporation and as Trustee for any taxing authorities named in the Judgment identified in the
above instrument.


                                                   __________________________________
                                                   Notary Public, State of Texas


After Recording, Return To:
NOTICE OF CONFIDENTIALITY RIGHTS: If you are a natural person, you may remove or
strike any or all of the following information from this instrument before it is filed for record in
the public records: your social security number or your driver’s license number.

                                               Tax-Resale Deed
                                     (Property Sold for Less than Adjudged Value)

   Date:            __________________________

   Grantor:         The City of San Angelo, a Texas home-rule municipal corporation, for itself and as Trustee
                    for itself, Tom Green County, and San Angelo Independent School District
                    72 West College Avenue
                    San Angelo, Tom Green County, Texas 76903

   Grantee:         MACKLE E. ROBERTS and JACQUELINE P. ROBERTS, a married couple
                    5216 Meadowland Drive
                    Fort Worth, Tarrant County, Texas 76123

   Consideration: Ten and No/100 Dollars ($10.00) and other good and valuable consideration

   Property (including any improvements):

                    Lot 12, Block 5, Mineola Addition, City of San Angelo, as described in Volume 408, Page
                    15, Deed Records of Tom Green County, Texas.
                    Account #20-34900-0005-009-00

   Judgment:        Judgment for the foreclosure of a tax lien against the Property entered on November 8, 1993
                    in Suit No. TAX93-0151B by the 119th District Court of Tom Green County, Texas.

   Sheriff’s Deed: Grantor acquired full legal title to the Property — both for its own benefit and as Trustee for
                   all other taxing authorities entitled to receive proceeds from the sale of the Property under the
                   terms of the Judgment — by Sheriff’s Deed dated June 10, 1997, and recorded in
                   Volume 586, Page 791, Official Public Records of Real Property, Tom Green County, Texas.

            For the Consideration, Grantor — acting by and through its Mayor, who has been duly authorized to
   execute this instrument on Grantor’s behalf by resolution and order of Grantor’s City Council recorded in the
   City Council’s official minutes — hereby quitclaims to Grantee all of Grantor's right, title, and interest in and
   to the Property, to have and to hold it to Grantee and Grantee's heirs, successors, and assigns forever. Neither
   Grantor, nor any other taxing unit interested in the Judgment, nor any other person or entity claiming under
   them, will have, claim, or demand any right or title to the Property or any part of it. Grantor gives this Tax-
   Resale Deed without any express or implied warranty whatsoever; and all warranties that might arise by
   common law and the warranties in § 5.023 of the Texas Property Code (or its successor) are hereby specifically
   excluded.

            Grantee's rights under this deed are subject to the provisions of Chapter 34 of the Texas Tax Code,
   including, without limitation, any right of redemption remaining in the former owner of the Property; the terms
   of any recorded restrictive covenants running with the land that were recorded before January 1 of the year in
   which the tax lien on the property arose; any recorded lien that arose under such restrictive covenants that was
not extinguished in the judgment foreclosing the tax lien; and each valid easement of record as of the date of
the sale that was recorded before January 1 of the year the tax lien arose.

        Grantor is selling the Property to Grantee for an amount that is less than the lesser of (1) the market
value specified in the Judgment, or (2) the total amount of the Judgment.

        Grantee assumes full payment of any ad valorem taxes for the Property for the current year and all
future years.

        When the context requires, singular nouns and pronouns include the plural.

                                                           GRANTOR:

                                                           The City of San Angelo, a Texas home-rule
                                                           municipal corporation, for itself and as Trustee for
                                                           any taxing authorities named in the Judgment


ATTEST:                                                    By:      ____________________________
                                                                    Alvin New, Mayor and
                                                                    duly-authorized agent

Alicia Ramirez, City Clerk


STATE OF TEXAS                            §
                                          §
COUNTY OF TOM GREEN                       §

        This instrument was acknowledged before me on _____________________, 2013, by Alvin New,
Mayor and duly-authorized agent of the City of San Angelo, a Texas home-rule municipal corporation, on
behalf of such corporation and as Trustee for any taxing authorities named in the Judgment identified in the
above instrument.


                                                   __________________________________
                                                   Notary Public, State of Texas


After Recording, Return To:
NOTICE OF CONFIDENTIALITY RIGHTS: If you are a natural person, you may remove or
strike any or all of the following information from this instrument before it is filed for record in
the public records: your social security number or your driver’s license number.

                                               Tax-Resale Deed
                                     (Property Sold for Less than Adjudged Value)

   Date:            __________________________

   Grantor:         The City of San Angelo, a Texas home-rule municipal corporation, for itself and as Trustee
                    for itself, Tom Green County, and San Angelo Independent School District
                    72 West College Avenue
                    San Angelo, Tom Green County, Texas 76903

   Grantee:         SALVADOR DEANDA, a single person
                    503 S Washington
                    San Angelo, Tom Green County, Texas 76901

   Consideration: Ten and No/100 Dollars ($10.00) and other good and valuable consideration

   Property (including any improvements):

                    The North ½ of Lot 7, Block 3, Akin Addition, City of San Angelo, as described in Volume
                    478, Page 95, Deed Records of Tom Green County, Texas.
                    Account #01-10100-003-009-00

   Judgment:        Judgment for the foreclosure of a tax lien against the Property entered on October 14, 1992 in
                    Suit No. TAX90-0082B by the 119th District Court of Tom Green County, Texas.

   Sheriff’s Deed: Grantor acquired full legal title to the Property — both for its own benefit and as Trustee for
                   all other taxing authorities entitled to receive proceeds from the sale of the Property under the
                   terms of the Judgment — by Sheriff’s Deed dated February 17, 1997, and recorded in
                   Volume 570, Page 94, Official Public Records of Real Property, Tom Green County, Texas.

            For the Consideration, Grantor — acting by and through its Mayor, who has been duly authorized to
   execute this instrument on Grantor’s behalf by resolution and order of Grantor’s City Council recorded in the
   City Council’s official minutes — hereby quitclaims to Grantee all of Grantor's right, title, and interest in and
   to the Property, to have and to hold it to Grantee and Grantee's heirs, successors, and assigns forever. Neither
   Grantor, nor any other taxing unit interested in the Judgment, nor any other person or entity claiming under
   them, will have, claim, or demand any right or title to the Property or any part of it. Grantor gives this Tax-
   Resale Deed without any express or implied warranty whatsoever; and all warranties that might arise by
   common law and the warranties in § 5.023 of the Texas Property Code (or its successor) are hereby specifically
   excluded.

            Grantee's rights under this deed are subject to the provisions of Chapter 34 of the Texas Tax Code,
   including, without limitation, any right of redemption remaining in the former owner of the Property; the terms
   of any recorded restrictive covenants running with the land that were recorded before January 1 of the year in
   which the tax lien on the property arose; any recorded lien that arose under such restrictive covenants that was
not extinguished in the judgment foreclosing the tax lien; and each valid easement of record as of the date of
the sale that was recorded before January 1 of the year the tax lien arose.

        Grantor is selling the Property to Grantee for an amount that is less than the lesser of (1) the market
value specified in the Judgment, or (2) the total amount of the Judgment.

        Grantee assumes full payment of any ad valorem taxes for the Property for the current year and all
future years.

        When the context requires, singular nouns and pronouns include the plural.

                                                           GRANTOR:

                                                           The City of San Angelo, a Texas home-rule
                                                           municipal corporation, for itself and as Trustee for
                                                           any taxing authorities named in the Judgment


ATTEST:                                                    By:      ____________________________
                                                                    Alvin New, Mayor and
                                                                    duly-authorized agent

Alicia Ramirez, City Clerk


STATE OF TEXAS                            §
                                          §
COUNTY OF TOM GREEN                       §

        This instrument was acknowledged before me on _____________________, 2013, by Alvin New,
Mayor and duly-authorized agent of the City of San Angelo, a Texas home-rule municipal corporation, on
behalf of such corporation and as Trustee for any taxing authorities named in the Judgment identified in the
above instrument.


                                                   __________________________________
                                                   Notary Public, State of Texas


After Recording, Return To:
NOTICE OF CONFIDENTIALITY RIGHTS: If you are a natural person, you may remove or
strike any or all of the following information from this instrument before it is filed for record in
the public records: your social security number or your driver’s license number.

                                               Tax-Resale Deed
                                     (Property Sold for Less than Adjudged Value)

   Date:            __________________________

   Grantor:         The City of San Angelo, a Texas home-rule municipal corporation, for itself and as Trustee
                    for itself, Tom Green County, and San Angelo Independent School District
                    72 West College Avenue
                    San Angelo, Tom Green County, Texas 76903

   Grantee:         SALVADOR DEANDA, a single person
                    503 S Washington
                    San Angelo, Tom Green County, Texas 76901

   Consideration: Ten and No/100 Dollars ($10.00) and other good and valuable consideration

   Property (including any improvements):

                    The South 80 feet of the East 12 2/3 Feet of Lot 8, the South 80 Feet of Lot 7, and the South
                    80 Feet of the West 1 5/6 Feet of Lot 6, Block 3, Akin’s Addition, City of San Angelo, as
                    described in Volume 234, Page 485, Deed Records of Tom Green County, Texas.
                    Account #01-10100-0003-008-00

   Judgment:        Judgment for the foreclosure of a tax lien against the Property entered on March 27, 1996 in
                    Suit No. TAX89-0364B by the 119th District Court of Tom Green County, Texas.

   Sheriff’s Deed: Grantor acquired full legal title to the Property — both for its own benefit and as Trustee for
                   all other taxing authorities entitled to receive proceeds from the sale of the Property under the
                   terms of the Judgment — by Sheriff’s Deed dated April 12, 1996, and recorded in
                   Volume 528, Page 999, Official Public Records of Real Property, Tom Green County, Texas.

            For the Consideration, Grantor — acting by and through its Mayor, who has been duly authorized to
   execute this instrument on Grantor’s behalf by resolution and order of Grantor’s City Council recorded in the
   City Council’s official minutes — hereby quitclaims to Grantee all of Grantor's right, title, and interest in and
   to the Property, to have and to hold it to Grantee and Grantee's heirs, successors, and assigns forever. Neither
   Grantor, nor any other taxing unit interested in the Judgment, nor any other person or entity claiming under
   them, will have, claim, or demand any right or title to the Property or any part of it. Grantor gives this Tax-
   Resale Deed without any express or implied warranty whatsoever; and all warranties that might arise by
   common law and the warranties in § 5.023 of the Texas Property Code (or its successor) are hereby specifically
   excluded.

            Grantee's rights under this deed are subject to the provisions of Chapter 34 of the Texas Tax Code,
   including, without limitation, any right of redemption remaining in the former owner of the Property; the terms
   of any recorded restrictive covenants running with the land that were recorded before January 1 of the year in
   which the tax lien on the property arose; any recorded lien that arose under such restrictive covenants that was
not extinguished in the judgment foreclosing the tax lien; and each valid easement of record as of the date of
the sale that was recorded before January 1 of the year the tax lien arose.

        Grantor is selling the Property to Grantee for an amount that is less than the lesser of (1) the market
value specified in the Judgment, or (2) the total amount of the Judgment.

        Grantee assumes full payment of any ad valorem taxes for the Property for the current year and all
future years.

        When the context requires, singular nouns and pronouns include the plural.

                                                           GRANTOR:

                                                           The City of San Angelo, a Texas home-rule
                                                           municipal corporation, for itself and as Trustee for
                                                           any taxing authorities named in the Judgment


ATTEST:                                                    By:      ____________________________
                                                                    Alvin New, Mayor and
                                                                    duly-authorized agent

Alicia Ramirez, City Clerk


STATE OF TEXAS                            §
                                          §
COUNTY OF TOM GREEN                       §

        This instrument was acknowledged before me on _____________________, 2013, by Alvin New,
Mayor and duly-authorized agent of the City of San Angelo, a Texas home-rule municipal corporation, on
behalf of such corporation and as Trustee for any taxing authorities named in the Judgment identified in the
above instrument.


                                                   __________________________________
                                                   Notary Public, State of Texas


After Recording, Return To:
NOTICE OF CONFIDENTIALITY RIGHTS: If you are a natural person, you may remove or
strike any or all of the following information from this instrument before it is filed for record in
the public records: your social security number or your driver’s license number.

                                               Tax-Resale Deed
                                     (Property Sold for Less than Adjudged Value)

   Date:            __________________________

   Grantor:         The City of San Angelo, a Texas home-rule municipal corporation, for itself and as Trustee
                    for itself, Tom Green County, and San Angelo Independent School District
                    72 West College Avenue
                    San Angelo, Tom Green County, Texas 76903

   Grantee:         ALEJOS GUERRA and MARTHA ANN GUERRA, a married couple
                    2326 River Valley Lane
                    San Angelo, Tom Green County, Texas 76904

   Consideration: Ten and No/100 Dollars ($10.00) and other good and valuable consideration

   Property (including any improvements):

                    Lot 3, Block 11, Lasker Addition, an addition to the City of San Angelo, Tom Green
                    County, Texas, as described in Volume 1234, Page 952, Official Public Records of Real
                    Property of Tom Green County, Texas.
                    Account #16-31200-0011-002-00

   Judgment:        Judgment for the foreclosure of a tax lien against the Property entered on October 15, 2008 in
                    Suit No. B-06-0088-T by the 119th District Court of Tom Green County, Texas.

   Sheriff’s Deed: Grantor acquired full legal title to the Property — both for its own benefit and as Trustee for
                   all other taxing authorities entitled to receive proceeds from the sale of the Property under the
                   terms of the Judgment — by Sheriff’s Deed dated June 30, 2011, and recorded in
                   Instrument Number 705020, Official Public Records of Real Property, Tom Green County,
                   Texas.

            For the Consideration, Grantor — acting by and through its Mayor, who has been duly authorized to
   execute this instrument on Grantor’s behalf by resolution and order of Grantor’s City Council recorded in the
   City Council’s official minutes — hereby quitclaims to Grantee all of Grantor's right, title, and interest in and
   to the Property, to have and to hold it to Grantee and Grantee's heirs, successors, and assigns forever. Neither
   Grantor, nor any other taxing unit interested in the Judgment, nor any other person or entity claiming under
   them, will have, claim, or demand any right or title to the Property or any part of it. Grantor gives this Tax-
   Resale Deed without any express or implied warranty whatsoever; and all warranties that might arise by
   common law and the warranties in § 5.023 of the Texas Property Code (or its successor) are hereby specifically
   excluded.

            Grantee's rights under this deed are subject to the provisions of Chapter 34 of the Texas Tax Code,
   including, without limitation, any right of redemption remaining in the former owner of the Property; the terms
   of any recorded restrictive covenants running with the land that were recorded before January 1 of the year in
which the tax lien on the property arose; any recorded lien that arose under such restrictive covenants that was
not extinguished in the judgment foreclosing the tax lien; and each valid easement of record as of the date of
the sale that was recorded before January 1 of the year the tax lien arose.

        Grantor is selling the Property to Grantee for an amount that is less than the lesser of (1) the market
value specified in the Judgment, or (2) the total amount of the Judgment.

        Grantee assumes full payment of any ad valorem taxes for the Property for the current year and all
future years.

        When the context requires, singular nouns and pronouns include the plural.

                                                            GRANTOR:

                                                            The City of San Angelo, a Texas home-rule
                                                            municipal corporation, for itself and as Trustee for
                                                            any taxing authorities named in the Judgment


ATTEST:                                                     By:     ____________________________
                                                                    Alvin New, Mayor and
                                                                    duly-authorized agent

Alicia Ramirez, City Clerk


STATE OF TEXAS                             §
                                           §
COUNTY OF TOM GREEN                        §

        This instrument was acknowledged before me on _____________________, 2013, by Alvin New,
Mayor and duly-authorized agent of the City of San Angelo, a Texas home-rule municipal corporation, on
behalf of such corporation and as Trustee for any taxing authorities named in the Judgment identified in the
above instrument.


                                                   __________________________________
                                                   Notary Public, State of Texas


After Recording, Return To:
NOTICE OF CONFIDENTIALITY RIGHTS: If you are a natural person, you may remove or
strike any or all of the following information from this instrument before it is filed for record in
the public records: your social security number or your driver’s license number.

                                               Tax-Resale Deed
                                     (Property Sold for Less than Adjudged Value)

   Date:            __________________________

   Grantor:         The City of San Angelo, a Texas home-rule municipal corporation, for itself and as Trustee
                    for itself, Tom Green County, and San Angelo Independent School District
                    72 West College Avenue
                    San Angelo, Tom Green County, Texas 76903

   Grantee:         MACKLE E. ROBERTS and JACQUELINE P. ROBERTS, a married couple
                    5216 Meadowland Drive
                    Fort Worth, Tarrant County, Texas 76123

   Consideration: Ten and No/100 Dollars ($10.00) and other good and valuable consideration

   Property (including any improvements):

                    Lot 11, Block 5, Mineola Addition, City of San Angelo, Tom Green County, Texas.
                    Account #20-34900-0005-008-00

   Judgment:        Judgment for the foreclosure of a tax lien against the Property entered on October 7, 1993 in
                    Suit No. TAX91-0054B by the 119th District Court of Tom Green County, Texas.

   Sheriff’s Deed: Grantor acquired full legal title to the Property — both for its own benefit and as Trustee for
                   all other taxing authorities entitled to receive proceeds from the sale of the Property under the
                   terms of the Judgment — by Sheriff’s Deed dated February 22, 1995, and recorded in
                   Volume 469, Page 521, Official Public Records of Real Property, Tom Green County, Texas.

            For the Consideration, Grantor — acting by and through its Mayor, who has been duly authorized to
   execute this instrument on Grantor’s behalf by resolution and order of Grantor’s City Council recorded in the
   City Council’s official minutes — hereby quitclaims to Grantee all of Grantor's right, title, and interest in and
   to the Property, to have and to hold it to Grantee and Grantee's heirs, successors, and assigns forever. Neither
   Grantor, nor any other taxing unit interested in the Judgment, nor any other person or entity claiming under
   them, will have, claim, or demand any right or title to the Property or any part of it. Grantor gives this Tax-
   Resale Deed without any express or implied warranty whatsoever; and all warranties that might arise by
   common law and the warranties in § 5.023 of the Texas Property Code (or its successor) are hereby specifically
   excluded.

            Grantee's rights under this deed are subject to the provisions of Chapter 34 of the Texas Tax Code,
   including, without limitation, any right of redemption remaining in the former owner of the Property; the terms
   of any recorded restrictive covenants running with the land that were recorded before January 1 of the year in
   which the tax lien on the property arose; any recorded lien that arose under such restrictive covenants that was
   not extinguished in the judgment foreclosing the tax lien; and each valid easement of record as of the date of
   the sale that was recorded before January 1 of the year the tax lien arose.
Grantor is selling the Property to Grantee for an amount that is less than the lesser of (1) the market
value specified in the Judgment, or (2) the total amount of the Judgment.

        Grantee assumes full payment of any ad valorem taxes for the Property for the current year and all
future years.

        When the context requires, singular nouns and pronouns include the plural.

                                                           GRANTOR:

                                                           The City of San Angelo, a Texas home-rule
                                                           municipal corporation, for itself and as Trustee for
                                                           any taxing authorities named in the Judgment


ATTEST:                                                    By:      ____________________________
                                                                    Alvin New, Mayor and
                                                                    duly-authorized agent

Alicia Ramirez, City Clerk


STATE OF TEXAS                            §
                                          §
COUNTY OF TOM GREEN                       §

        This instrument was acknowledged before me on _____________________, 2013, by Alvin New,
Mayor and duly-authorized agent of the City of San Angelo, a Texas home-rule municipal corporation, on
behalf of such corporation and as Trustee for any taxing authorities named in the Judgment identified in the
above instrument.


                                                   __________________________________
                                                   Notary Public, State of Texas


After Recording, Return To:
NOTICE OF CONFIDENTIALITY RIGHTS: If you are a natural person, you may remove or
strike any or all of the following information from this instrument before it is filed for record in
the public records: your social security number or your driver’s license number.

                                               Tax-Resale Deed
                                     (Property Sold for Less than Adjudged Value)

   Date:            __________________________

   Grantor:         The City of San Angelo, a Texas home-rule municipal corporation, for itself and as Trustee
                    for itself, Tom Green County, and San Angelo Independent School District
                    72 West College Avenue
                    San Angelo, Tom Green County, Texas 76903

   Grantee:         JOHN S. PEARCY, a single person
                    2726 Alta Vista
                    San Angelo, Tom Green County, Texas 76904

   Consideration: Ten and No/100 Dollars ($10.00) and other good and valuable consideration

   Property (including any improvements):

                    Lot 3, Block 93, Dallas Subdivision of Miles Addition No. 2, known as Angelo
                    Heights Addition, an addition to the City of San Angelo, Tom Green County, Texas,
                    according to the map or plat thereof, recorded in Volume 54, Page 168, Deed
                    Records of Tom Green County, Texas.
                    Account #01-11000-0093-003-00

   Judgment:        Judgment for the foreclosure of a tax lien against the Property entered on April 4, 2007 in Suit
                    No. B-05-0268-T by the 119th District Court of Tom Green County, Texas.

   Sheriff’s Deed: Grantor acquired full legal title to the Property — both for its own benefit and as Trustee for
                   all other taxing authorities entitled to receive proceeds from the sale of the Property under the
                   terms of the Judgment — by Sheriff’s Deed dated October 12, 2007, and recorded in
                   Instrument Number 640792, Official Public Records of Real Property, Tom Green County,
                   Texas.

            For the Consideration, Grantor — acting by and through its Mayor, who has been duly authorized to
   execute this instrument on Grantor’s behalf by resolution and order of Grantor’s City Council recorded in the
   City Council’s official minutes — hereby quitclaims to Grantee all of Grantor's right, title, and interest in and
   to the Property, to have and to hold it to Grantee and Grantee's heirs, successors, and assigns forever. Neither
   Grantor, nor any other taxing unit interested in the Judgment, nor any other person or entity claiming under
   them, will have, claim, or demand any right or title to the Property or any part of it. Grantor gives this Tax-
   Resale Deed without any express or implied warranty whatsoever; and all warranties that might arise by
   common law and the warranties in § 5.023 of the Texas Property Code (or its successor) are hereby specifically
   excluded.

           Grantee's rights under this deed are subject to the provisions of Chapter 34 of the Texas Tax Code,
   including, without limitation, any right of redemption remaining in the former owner of the Property; the terms
of any recorded restrictive covenants running with the land that were recorded before January 1 of the year in
which the tax lien on the property arose; any recorded lien that arose under such restrictive covenants that was
not extinguished in the judgment foreclosing the tax lien; and each valid easement of record as of the date of
the sale that was recorded before January 1 of the year the tax lien arose.

        Grantor is selling the Property to Grantee for an amount that is less than the lesser of (1) the market
value specified in the Judgment, or (2) the total amount of the Judgment.

        Grantee assumes full payment of any ad valorem taxes for the Property for the current year and all
future years.

        When the context requires, singular nouns and pronouns include the plural.

                                                            GRANTOR:

                                                            The City of San Angelo, a Texas home-rule
                                                            municipal corporation, for itself and as Trustee for
                                                            any taxing authorities named in the Judgment


ATTEST:                                                     By:     ____________________________
                                                                    Alvin New, Mayor and
                                                                    duly-authorized agent

Alicia Ramirez, City Clerk


STATE OF TEXAS                             §
                                           §
COUNTY OF TOM GREEN                        §

        This instrument was acknowledged before me on _____________________, 2013, by Alvin New,
Mayor and duly-authorized agent of the City of San Angelo, a Texas home-rule municipal corporation, on
behalf of such corporation and as Trustee for any taxing authorities named in the Judgment identified in the
above instrument.


                                                   __________________________________
                                                   Notary Public, State of Texas


After Recording, Return To:
NOTICE OF CONFIDENTIALITY RIGHTS: If you are a natural person, you may remove or
strike any or all of the following information from this instrument before it is filed for record in
the public records: your social security number or your driver’s license number.

                                               Tax-Resale Deed
                                     (Property Sold for Less than Adjudged Value)

   Date:            __________________________

   Grantor:         The City of San Angelo, a Texas home-rule municipal corporation, for itself and as Trustee
                    for itself, Tom Green County, and San Angelo Independent School District
                    72 West College Avenue
                    San Angelo, Tom Green County, Texas 76903

   Grantee:         MARLOW LEWIS, a single person, and CARLETTA MCKINNEY, a single person
                    P.O. Box 720557
                    Houston, Harris County, Texas 77272

   Consideration: Ten and No/100 Dollars ($10.00) and other good and valuable consideration

   Property (including any improvements):

                    Lot 3, Block 31, Miles Addition, as described in Volume 186, Page 339, Deed Records of
                    Tom Green County, Texas.
                    Account #18-34200-0031-003-00

   Judgment:        Judgment for the foreclosure of a tax lien against the Property entered on April 22, 1996 in
                    Suit No. B-95-0055-T by the 119th District Court of Tom Green County, Texas.

   Sheriff’s Deed: Grantor acquired full legal title to the Property — both for its own benefit and as Trustee for
                   all other taxing authorities entitled to receive proceeds from the sale of the Property under the
                   terms of the Judgment — by Sheriff’s Deed dated October 26, 1998, and recorded in
                   Volume 671, Page 148, Official Public Records of Real Property, Tom Green County, Texas.

            For the Consideration, Grantor — acting by and through its Mayor, who has been duly authorized to
   execute this instrument on Grantor’s behalf by resolution and order of Grantor’s City Council recorded in the
   City Council’s official minutes — hereby quitclaims to Grantee all of Grantor's right, title, and interest in and
   to the Property, to have and to hold it to Grantee and Grantee's heirs, successors, and assigns forever. Neither
   Grantor, nor any other taxing unit interested in the Judgment, nor any other person or entity claiming under
   them, will have, claim, or demand any right or title to the Property or any part of it. Grantor gives this Tax-
   Resale Deed without any express or implied warranty whatsoever; and all warranties that might arise by
   common law and the warranties in § 5.023 of the Texas Property Code (or its successor) are hereby specifically
   excluded.

            Grantee's rights under this deed are subject to the provisions of Chapter 34 of the Texas Tax Code,
   including, without limitation, any right of redemption remaining in the former owner of the Property; the terms
   of any recorded restrictive covenants running with the land that were recorded before January 1 of the year in
   which the tax lien on the property arose; any recorded lien that arose under such restrictive covenants that was
not extinguished in the judgment foreclosing the tax lien; and each valid easement of record as of the date of
the sale that was recorded before January 1 of the year the tax lien arose.

        Grantor is selling the Property to Grantee for an amount that is less than the lesser of (1) the market
value specified in the Judgment, or (2) the total amount of the Judgment.

        Grantee assumes full payment of any ad valorem taxes for the Property for the current year and all
future years.

        When the context requires, singular nouns and pronouns include the plural.

                                                           GRANTOR:

                                                           The City of San Angelo, a Texas home-rule
                                                           municipal corporation, for itself and as Trustee for
                                                           any taxing authorities named in the Judgment


ATTEST:                                                    By:      ____________________________
                                                                    Alvin New, Mayor and
                                                                    duly-authorized agent

Alicia Ramirez, City Clerk


STATE OF TEXAS                            §
                                          §
COUNTY OF TOM GREEN                       §

        This instrument was acknowledged before me on _____________________, 2013, by Alvin New,
Mayor and duly-authorized agent of the City of San Angelo, a Texas home-rule municipal corporation, on
behalf of such corporation and as Trustee for any taxing authorities named in the Judgment identified in the
above instrument.


                                                   __________________________________
                                                   Notary Public, State of Texas


After Recording, Return To:
NOTICE OF CONFIDENTIALITY RIGHTS: If you are a natural person, you may remove or
strike any or all of the following information from this instrument before it is filed for record in
the public records: your social security number or your driver’s license number.

                                               Tax-Resale Deed
                                     (Property Sold for Less than Adjudged Value)

   Date:            __________________________

   Grantor:         The City of San Angelo, a Texas home-rule municipal corporation, for itself and as Trustee
                    for itself, Tom Green County, and San Angelo Independent School District
                    72 West College Avenue
                    San Angelo, Tom Green County, Texas 76903

   Grantee:         ALEJOS GUERRA and MARTHA ANN GUERRA, a married couple
                    2326 River Valley Lane
                    San Angelo, Tom Green County, Texas 76904

   Consideration: Ten and No/100 Dollars ($10.00) and other good and valuable consideration

   Property (including any improvements):

                    Lot 3, Block 12, Lasker Addition, an addition to the City of San Angelo, Tom Green
                    County, Texas, according to the map or plat thereof, recorded in Volume 23, Page 272,
                    Deed Records of Tom Green County, Texas.
                    Account #16-31200-0012-003-00

   Judgment:        Judgment for the foreclosure of a tax lien against the Property entered on June 30, 2010 in
                    Suit No. B-05-0274-T by the 119th District Court of Tom Green County, Texas.

   Sheriff’s Deed: Grantor acquired full legal title to the Property — both for its own benefit and as Trustee for
                   all other taxing authorities entitled to receive proceeds from the sale of the Property under the
                   terms of the Judgment — by Sheriff’s Deed dated October 18, 2010, and recorded in
                   Instrument Number 693692, Official Public Records of Real Property, Tom Green County,
                   Texas.

            For the Consideration, Grantor — acting by and through its Mayor, who has been duly authorized to
   execute this instrument on Grantor’s behalf by resolution and order of Grantor’s City Council recorded in the
   City Council’s official minutes — hereby quitclaims to Grantee all of Grantor's right, title, and interest in and
   to the Property, to have and to hold it to Grantee and Grantee's heirs, successors, and assigns forever. Neither
   Grantor, nor any other taxing unit interested in the Judgment, nor any other person or entity claiming under
   them, will have, claim, or demand any right or title to the Property or any part of it. Grantor gives this Tax-
   Resale Deed without any express or implied warranty whatsoever; and all warranties that might arise by
   common law and the warranties in § 5.023 of the Texas Property Code (or its successor) are hereby specifically
   excluded.

            Grantee's rights under this deed are subject to the provisions of Chapter 34 of the Texas Tax Code,
   including, without limitation, any right of redemption remaining in the former owner of the Property; the terms
   of any recorded restrictive covenants running with the land that were recorded before January 1 of the year in
which the tax lien on the property arose; any recorded lien that arose under such restrictive covenants that was
not extinguished in the judgment foreclosing the tax lien; and each valid easement of record as of the date of
the sale that was recorded before January 1 of the year the tax lien arose.

        Grantor is selling the Property to Grantee for an amount that is less than the lesser of (1) the market
value specified in the Judgment, or (2) the total amount of the Judgment.

        Grantee assumes full payment of any ad valorem taxes for the Property for the current year and all
future years.

        When the context requires, singular nouns and pronouns include the plural.

                                                            GRANTOR:

                                                            The City of San Angelo, a Texas home-rule
                                                            municipal corporation, for itself and as Trustee for
                                                            any taxing authorities named in the Judgment


ATTEST:                                                     By:     ____________________________
                                                                    Alvin New, Mayor and
                                                                    duly-authorized agent

Alicia Ramirez, City Clerk


STATE OF TEXAS                             §
                                           §
COUNTY OF TOM GREEN                        §

        This instrument was acknowledged before me on _____________________, 2013, by Alvin New,
Mayor and duly-authorized agent of the City of San Angelo, a Texas home-rule municipal corporation, on
behalf of such corporation and as Trustee for any taxing authorities named in the Judgment identified in the
above instrument.


                                                   __________________________________
                                                   Notary Public, State of Texas


After Recording, Return To:
NOTICE OF CONFIDENTIALITY RIGHTS: If you are a natural person, you may remove or
strike any or all of the following information from this instrument before it is filed for record in
the public records: your social security number or your driver’s license number.

                                               Tax-Resale Deed
                                     (Property Sold for Less than Adjudged Value)

   Date:            __________________________

   Grantor:         The City of San Angelo, a Texas home-rule municipal corporation, for itself and as Trustee
                    for itself, Tom Green County, and San Angelo Independent School District
                    72 West College Avenue
                    San Angelo, Tom Green County, Texas 76903

   Grantee:         MARLOW LEWIS, a single person, and CARLETTA MCKINNEY, a single person
                    P.O. Box 720557
                    Houston, Harris County, Texas 77272

   Consideration: Ten and No/100 Dollars ($10.00) and other good and valuable consideration

   Property (including any improvements):

                    The South 50 feet of the North 447.7 feet of Block 8 of the E.S. Kirby Subdivision, City
                    of San Angelo, as described in Volume 687, Page 547, Deed Records of Tom Green
                    County, Texas.
                    Account #15-30200-0008-019-00

   Judgment:        Judgment for the foreclosure of a tax lien against the Property entered on January 10, 1992 in
                    Suit No. TAX89-0217B by the 119th District Court of Tom Green County, Texas.

   Sheriff’s Deed: Grantor acquired full legal title to the Property — both for its own benefit and as Trustee for
                   all other taxing authorities entitled to receive proceeds from the sale of the Property under the
                   terms of the Judgment — by Sheriff’s Deed dated April 22, 1992, and recorded in
                   Volume 302, Page 429, Official Public Records of Real Property, Tom Green County, Texas.

            For the Consideration, Grantor — acting by and through its Mayor, who has been duly authorized to
   execute this instrument on Grantor’s behalf by resolution and order of Grantor’s City Council recorded in the
   City Council’s official minutes — hereby quitclaims to Grantee all of Grantor's right, title, and interest in and
   to the Property, to have and to hold it to Grantee and Grantee's heirs, successors, and assigns forever. Neither
   Grantor, nor any other taxing unit interested in the Judgment, nor any other person or entity claiming under
   them, will have, claim, or demand any right or title to the Property or any part of it. Grantor gives this Tax-
   Resale Deed without any express or implied warranty whatsoever; and all warranties that might arise by
   common law and the warranties in § 5.023 of the Texas Property Code (or its successor) are hereby specifically
   excluded.

            Grantee's rights under this deed are subject to the provisions of Chapter 34 of the Texas Tax Code,
   including, without limitation, any right of redemption remaining in the former owner of the Property; the terms
   of any recorded restrictive covenants running with the land that were recorded before January 1 of the year in
   which the tax lien on the property arose; any recorded lien that arose under such restrictive covenants that was
not extinguished in the judgment foreclosing the tax lien; and each valid easement of record as of the date of
the sale that was recorded before January 1 of the year the tax lien arose.

        Grantor is selling the Property to Grantee for an amount that is less than the lesser of (1) the market
value specified in the Judgment, or (2) the total amount of the Judgment.

        Grantee assumes full payment of any ad valorem taxes for the Property for the current year and all
future years.

        When the context requires, singular nouns and pronouns include the plural.

                                                           GRANTOR:

                                                           The City of San Angelo, a Texas home-rule
                                                           municipal corporation, for itself and as Trustee for
                                                           any taxing authorities named in the Judgment


ATTEST:                                                    By:      ____________________________
                                                                    Alvin New, Mayor and
                                                                    duly-authorized agent

Alicia Ramirez, City Clerk


STATE OF TEXAS                            §
                                          §
COUNTY OF TOM GREEN                       §

        This instrument was acknowledged before me on _____________________, 2013, by Alvin New,
Mayor and duly-authorized agent of the City of San Angelo, a Texas home-rule municipal corporation, on
behalf of such corporation and as Trustee for any taxing authorities named in the Judgment identified in the
above instrument.


                                                   __________________________________
                                                   Notary Public, State of Texas


After Recording, Return To:
NOTICE OF CONFIDENTIALITY RIGHTS: If you are a natural person, you may remove or
strike any or all of the following information from this instrument before it is filed for record in
the public records: your social security number or your driver’s license number.

                                               Tax-Resale Deed
                                     (Property Sold for Less than Adjudged Value)

   Date:            __________________________

   Grantor:         The City of San Angelo, a Texas home-rule municipal corporation, for itself and as Trustee
                    for itself, Tom Green County, and San Angelo Independent School District
                    72 West College Avenue
                    San Angelo, Tom Green County, Texas 76903

   Grantee:         MACKLE E. ROBERTS and JACQUELINE P. ROBERTS, a married couple
                    5216 Meadowland Drive
                    Fort Worth, Tarrant County, Texas 76123

   Consideration: Ten and No/100 Dollars ($10.00) and other good and valuable consideration

   Property (including any improvements):

                    Lot 10, Block 5, Mineola Addition, City of San Angelo, as described in Volume 620, Page
                    365, Deed Records of Tom Green County, Texas.
                    Account #20-34900-0005-007-00

   Judgment:        Judgment for the foreclosure of a tax lien against the Property entered on March 30, 1992 in
                    Suit No. TAX89-0032B by the 119th District Court of Tom Green County, Texas.

   Sheriff’s Deed: Grantor acquired full legal title to the Property — both for its own benefit and as Trustee for
                   all other taxing authorities entitled to receive proceeds from the sale of the Property under the
                   terms of the Judgment — by Sheriff’s Deed dated July 23, 1992, and recorded in
                   Volume 317, Page 70, Official Public Records of Real Property, Tom Green County, Texas.

            For the Consideration, Grantor — acting by and through its Mayor, who has been duly authorized to
   execute this instrument on Grantor’s behalf by resolution and order of Grantor’s City Council recorded in the
   City Council’s official minutes — hereby quitclaims to Grantee all of Grantor's right, title, and interest in and
   to the Property, to have and to hold it to Grantee and Grantee's heirs, successors, and assigns forever. Neither
   Grantor, nor any other taxing unit interested in the Judgment, nor any other person or entity claiming under
   them, will have, claim, or demand any right or title to the Property or any part of it. Grantor gives this Tax-
   Resale Deed without any express or implied warranty whatsoever; and all warranties that might arise by
   common law and the warranties in § 5.023 of the Texas Property Code (or its successor) are hereby specifically
   excluded.

            Grantee's rights under this deed are subject to the provisions of Chapter 34 of the Texas Tax Code,
   including, without limitation, any right of redemption remaining in the former owner of the Property; the terms
   of any recorded restrictive covenants running with the land that were recorded before January 1 of the year in
   which the tax lien on the property arose; any recorded lien that arose under such restrictive covenants that was
not extinguished in the judgment foreclosing the tax lien; and each valid easement of record as of the date of
the sale that was recorded before January 1 of the year the tax lien arose.

        Grantor is selling the Property to Grantee for an amount that is less than the lesser of (1) the market
value specified in the Judgment, or (2) the total amount of the Judgment.

        Grantee assumes full payment of any ad valorem taxes for the Property for the current year and all
future years.

        When the context requires, singular nouns and pronouns include the plural.

                                                           GRANTOR:

                                                           The City of San Angelo, a Texas home-rule
                                                           municipal corporation, for itself and as Trustee for
                                                           any taxing authorities named in the Judgment


ATTEST:                                                    By:      ____________________________
                                                                    Alvin New, Mayor and
                                                                    duly-authorized agent

Alicia Ramirez, City Clerk


STATE OF TEXAS                            §
                                          §
COUNTY OF TOM GREEN                       §

        This instrument was acknowledged before me on _____________________, 2013, by Alvin New,
Mayor and duly-authorized agent of the City of San Angelo, a Texas home-rule municipal corporation, on
behalf of such corporation and as Trustee for any taxing authorities named in the Judgment identified in the
above instrument.


                                                   __________________________________
                                                   Notary Public, State of Texas


After Recording, Return To:
CLOSING TRUSTEE LOTS
                                              ACCEPTED OFFER              3/25/2013
                                                         SUIT #          TAX91-0010B

                                                     ACCOUNT #        15-30200-0008-011-00

WRITTEN OFFER BY          DATE        3/22/2013              BY    Cayddrick O'Brien Ballard

MEMO                                                              ü
PROPERTY ANALYSIS                                                 ü
RESOLUTION AUTHORIZING SALE OF REAL PROPERTY                      ü
RESOLUTION AUTHORIZING TAX RESALE COUNTY                          ü
RESOLUTION AUTHORIZING TAX RESALE SCHOOL                          ü
MAP                                                               ü

VERIFICATION SENT          3/27/2013 TGCAD                            CITY

REQUEST FOR LEGAL ASSISTANCE                  SENT     3/27/2013 RETURNED

EMAIL AGENDA                                          AGENDA                 4/16/2013

RECEIVE SIGNED RESOLUTIONS & TAX-RESALE DEED

COUNTY AGENDA             SENT                        DATE

DISTRICT AGENDA           SENT                        DATE

PAID     Earnest DATE      3/25/2013 CK/MO#    CC/Rcpt. #156722 AMT PD        $             350.00

         Closing DATE              CK/MO#                         AMT PD
                                                                        plus $30.00 filing fee
RECORDED AT TOM GREEN COUNTY CLERK'S OFFICE

REQUEST CHECKS TO DISTRIBUTE FUNDS

MAIL LETTERS AND DISTRIBUTE FUNDS

SEND LIEN ADJUSTMENT FORM (Mary/Blanca)
 David           Alicia              Cindy              Mike                    Mike
  Hall          Ramirez              Preas              Smith                   Dane

REMOVE FROM CITY OWNED PROPERTY

REMOVE FROM TAX FORECLOSURE LIST

PLACE ON RECORD MANAGEMENT - TAX RESALE SOLD LIST

MAIL ORIGINAL DEED TO NEW OWNER
OBJECTIVE TRUSTEE CHECKLIST
       DATE       SUBDIVISION             NAME         OFFER          SENT TO DAYS RETURNED DAYS AGENDA DAYS      SEND     DAYS    TOTAL
     RECEIVE                                                           LEGAL         LEGAL                      TGC/SAISD           DAYS
 1    08/10/11   Miles                     David Garcia     $1,300.00  08/11/11  1  08/22/11 11   09/06/11 15    09/13/11     7      34
 2    09/09/11   Avondale                     C Mejia      $2,327.00   09/13/11 4   09/19/11  6   10/04/11 15    10/05/11    1       26
 3    09/09/11   Ruby Douglas            F & M Saldivar     $9,000.00  09/13/11  4  09/19/11  6   10/04/11 15    10/05/11     1      26
 4    10/12/11   La Villita Heights       Diana Trevino     $3,000.00  10/13/11  1  10/20/11  7   11/01/11 12      N/A               12
 5    10/27/11   J.B.Harrison            Jessica Ramirez    $3,000.00  10/27/11  0  11/04/11  8   11/15/11 11    11/16/11     1      20
 6    10/31/11   Spencer #1              Jayson J. Jessop   $2,924.00  10/31/11  0  11/04/11  4   11/15/11 11      N/A               11
 7    11/16/11   Lasker                   Martha Green      $2,500.00  11/16/11  0  11/22/11  6   12/06/11 14      N/A               14
 8    12/01/11   Bradford                 Miguel Duran     $1,700.00   12/05/11  4  12/09/11  4   12/20/11 11    01/03/12    14      33
 9    12/01/11   Exall                    Miguel Duran     $1,800.00   12/05/11  4  12/09/11  4   12/20/11 11    01/03/12    14      33
10    12/01/11   Exall                    Miguel Duran     $3,000.00   12/05/11  4  12/09/11  4   12/20/11 11    01/03/12    14      33
11    12/01/11   Forest Park              Miguel Duran     $1,800.00   12/05/11  4  12/09/11  4   12/20/11 11    01/03/12    14      33
12    12/01/11   Forest Park              Miguel Duran     $1,900.00   12/05/11  4  12/09/11  4   12/20/11 11    01/03/12    14      33
13    12/01/11   Forest Park              Miguel Duran     $1,900.00   12/05/11  4  12/09/11  4   12/20/11 11    01/03/12    14      33
14    01/03/12   Bailey                    Mida/Pacetti    $10,250.00 01/05/12   2  01/06/12  1   02/07/12 32    02/08/12     1      36
15    01/31/12   Fort Concho             Christina Banda    $1,206.00  01/31/12  0  02/07/12  7   02/21/12 14    02/22/12     1      22
16    01/31/12   Miles                   Aleyda Saucedo     $2,404.00  01/31/12  0  02/07/12  7   02/21/12 14      N/A               14
17    01/31/12   Forest Park              Robles/Pearcy    $4,000.00   01/31/12 0   02/07/12  7   02/21/12 14    02/22/12    1       22
18    01/31/12   Goren                   Mackle Roberts      $500.00   01/31/12 0   02/07/12  7   02/21/12 14      N/A        0      14
19    01/31/12   Mineola                 Mackle Roberts     $1,100.00  01/31/12  0  02/07/12  7   02/21/12 14    02/22/12     1      22
20    02/22/12   Lasker                Sergio/Cirila Ortiz  $1,000.00  02/27/12  5  03/01/12  3   03/20/12 19    03/20/12     0      27
21    02/21/12   Mineola Annex           Jonathan Pizano    $1,000.00  02/27/12  6  03/06/12  8   03/20/12 14    03/20/12     0      28
22    02/22/12   Mineola Annex            Vaness James      $1,100.00  02/27/12  5  03/01/12  3   03/20/12 19    03/20/12     0      27
23    02/22/12   Mineola Annex            Vaness James      $1,100.00  02/27/12  5  03/01/12  3   03/20/12 19    03/20/12     0      27
24    02/22/12   Avondale              Genivieve Bannert    $1,000.00  02/27/12  5  03/01/12  3   03/20/12 19    03/20/12     0      27
25    02/28/12   Fort Concho             Gustavo Cuellar    $1,100.00  02/28/12  0  03/06/12  7   03/20/12 14    03/20/12     0      21
26    02/28/12   Mineola Annex              Vivian Gist     $1,100.00  02/28/12  0  03/06/12  7   03/20/12 14    03/20/12     0      21
27    02/29/12   Culwell                Gustavo Martinez   $1,000.00   02/29/12  0  03/06/12  6   03/20/12 14    03/20/12    0       20
28    02/24/12   Lake View              Arthur Gonzalez    $1,100.00   03/01/12  6  03/06/12  5   04/03/12 28    04/19/12    16      55
29    03/01/12   Lasker                   Julia Gonzalez    $1,100.00  03/01/12  0  03/06/12  5   03/20/12 14    03/20/12     0      19
30    03/07/12   Hatcher                   Carlos Ryes      $1,500.00  03/07/12  0  03/14/12  7    HOLD #######   HOLD    #VALUE! #VALUE!
31    03/02/12   Miles                Juan & Laura Murillo $1,000.00   03/02/12 0   03/08/12  6   04/17/12 40    03/20/12   -28      18
32    03/20/12   Miles                Juan & Laura Murillo $2,500.00   03/21/12 1   04/17/12 27   04/17/12  0    04/19/12    2       30
33    03/30/12   Mineola Annex            Vaness James      $1,100.00  03/30/12  0  04/17/12 18   04/17/12  0    04/19/12     2      20
34    04/05/12   Goren                 Josephine Graciano   $1,300.00  05/03/12 28  05/16/12 13   06/05/12 20    06/06/12     1      62
35    04/06/12   Ben Ficklin #2        Elizabeth Espinoza  $1,300.00   05/03/12 27  05/16/12 13   06/05/12 20    06/06/12    1       61
36    05/02/12   Hatcher                  Esther Perales   $3,388.00   05/03/12 1   05/17/12 14   06/05/12 19    06/06/12    1       35
37    05/04/12   Arroya                     Tad Logan        $750.00   05/08/12 4   05/17/12  9   06/05/12 19    06/06/12    1       33
38    05/15/12   Fort Concho Vista         Ray Rangel      $1,400.00   05/15/12  0  05/18/12  3   06/05/12 18    06/06/12     1      22
39   05/18/12   Lasker           Darrell/Marta Jones    $950.00     05/21/12     3    -41050   06/19/12   41079   -41079   -41047
40   05/17/12   Probst & Page     Garcia-Galindo       $1,500.00    05/21/12     4    -41050   06/19/12   41079   -41079   -41046
41   05/25/12   Miles                  Palmer          $2,500.00    05/25/12     0    -41054   06/19/12   41079   -41079   -41054
42   05/25/12   James Williams     Brewer-Munoz        $1,500.00    05/25/10   -731   -40323   06/19/12   41079   -41079   -41054
43
44                                                                              0       0                   0       0        0
45
46
47                                                                              0       0                   0       0        0
48
49
50                                                                              0       0                   0       0        0
51
52
53                                                                              0       0                   0       0        0

                                                       $81,475.00
CLOSING TRUSTEE LOTS
                                              ACCEPTED OFFER                4/2/2013
                                                         SUIT #           TAX89-0217B

                                                     ACCOUNT #        15-30200-0008-019-00
                                                                      Marlow Lewis & Carletta
WRITTEN OFFER BY          DATE         4/2/2013              BY             McKinney

MEMO                                                              ü
PROPERTY ANALYSIS                                                 ü
RESOLUTION AUTHORIZING SALE OF REAL PROPERTY                      ü
RESOLUTION AUTHORIZING TAX RESALE COUNTY                          ü
RESOLUTION AUTHORIZING TAX RESALE SCHOOL                          ü
MAP                                                               ü

VERIFICATION SENT           4/2/2013 TGCAD                            CITY

REQUEST FOR LEGAL ASSISTANCE                  SENT     4/2/2013 RETURNED

EMAIL AGENDA                                          AGENDA                  4/19/2013

RECEIVE SIGNED RESOLUTIONS & TAX-RESALE DEED

COUNTY AGENDA             SENT                        DATE

DISTRICT AGENDA           SENT                        DATE

PAID     Earnest DATE       4/2/2013 CK/MO#   Cash/Rcpt. #156733 AMT PD        $             350.00

         Closing DATE              CK/MO#                         AMT PD
                                                                         plus $30.00 filing fee
RECORDED AT TOM GREEN COUNTY CLERK'S OFFICE

REQUEST CHECKS TO DISTRIBUTE FUNDS

MAIL LETTERS AND DISTRIBUTE FUNDS

SEND LIEN ADJUSTMENT FORM (Mary/Blanca)
 David           Alicia              Cindy              Mike                     Mike
  Hall          Ramirez              Preas              Smith                    Dane

REMOVE FROM CITY OWNED PROPERTY

REMOVE FROM TAX FORECLOSURE LIST

PLACE ON RECORD MANAGEMENT - TAX RESALE SOLD LIST

MAIL ORIGINAL DEED TO NEW OWNER
OBJECTIVE TRUSTEE CHECKLIST
       DATE       SUBDIVISION             NAME         OFFER          SENT TO DAYS RETURNED DAYS AGENDA DAYS      SEND     DAYS    TOTAL
     RECEIVE                                                           LEGAL         LEGAL                      TGC/SAISD           DAYS
 1    08/10/11   Miles                     David Garcia     $1,300.00  08/11/11  1  08/22/11 11   09/06/11 15    09/13/11     7      34
 2    09/09/11   Avondale                     C Mejia      $2,327.00   09/13/11 4   09/19/11  6   10/04/11 15    10/05/11    1       26
 3    09/09/11   Ruby Douglas            F & M Saldivar     $9,000.00  09/13/11  4  09/19/11  6   10/04/11 15    10/05/11     1      26
 4    10/12/11   La Villita Heights       Diana Trevino     $3,000.00  10/13/11  1  10/20/11  7   11/01/11 12      N/A               12
 5    10/27/11   J.B.Harrison            Jessica Ramirez    $3,000.00  10/27/11  0  11/04/11  8   11/15/11 11    11/16/11     1      20
 6    10/31/11   Spencer #1              Jayson J. Jessop   $2,924.00  10/31/11  0  11/04/11  4   11/15/11 11      N/A               11
 7    11/16/11   Lasker                   Martha Green      $2,500.00  11/16/11  0  11/22/11  6   12/06/11 14      N/A               14
 8    12/01/11   Bradford                 Miguel Duran     $1,700.00   12/05/11  4  12/09/11  4   12/20/11 11    01/03/12    14      33
 9    12/01/11   Exall                    Miguel Duran     $1,800.00   12/05/11  4  12/09/11  4   12/20/11 11    01/03/12    14      33
10    12/01/11   Exall                    Miguel Duran     $3,000.00   12/05/11  4  12/09/11  4   12/20/11 11    01/03/12    14      33
11    12/01/11   Forest Park              Miguel Duran     $1,800.00   12/05/11  4  12/09/11  4   12/20/11 11    01/03/12    14      33
12    12/01/11   Forest Park              Miguel Duran     $1,900.00   12/05/11  4  12/09/11  4   12/20/11 11    01/03/12    14      33
13    12/01/11   Forest Park              Miguel Duran     $1,900.00   12/05/11  4  12/09/11  4   12/20/11 11    01/03/12    14      33
14    01/03/12   Bailey                    Mida/Pacetti    $10,250.00 01/05/12   2  01/06/12  1   02/07/12 32    02/08/12     1      36
15    01/31/12   Fort Concho             Christina Banda    $1,206.00  01/31/12  0  02/07/12  7   02/21/12 14    02/22/12     1      22
16    01/31/12   Miles                   Aleyda Saucedo     $2,404.00  01/31/12  0  02/07/12  7   02/21/12 14      N/A               14
17    01/31/12   Forest Park              Robles/Pearcy    $4,000.00   01/31/12 0   02/07/12  7   02/21/12 14    02/22/12    1       22
18    01/31/12   Goren                   Mackle Roberts      $500.00   01/31/12 0   02/07/12  7   02/21/12 14      N/A        0      14
19    01/31/12   Mineola                 Mackle Roberts     $1,100.00  01/31/12  0  02/07/12  7   02/21/12 14    02/22/12     1      22
20    02/22/12   Lasker                Sergio/Cirila Ortiz  $1,000.00  02/27/12  5  03/01/12  3   03/20/12 19    03/20/12     0      27
21    02/21/12   Mineola Annex           Jonathan Pizano    $1,000.00  02/27/12  6  03/06/12  8   03/20/12 14    03/20/12     0      28
22    02/22/12   Mineola Annex            Vaness James      $1,100.00  02/27/12  5  03/01/12  3   03/20/12 19    03/20/12     0      27
23    02/22/12   Mineola Annex            Vaness James      $1,100.00  02/27/12  5  03/01/12  3   03/20/12 19    03/20/12     0      27
24    02/22/12   Avondale              Genivieve Bannert    $1,000.00  02/27/12  5  03/01/12  3   03/20/12 19    03/20/12     0      27
25    02/28/12   Fort Concho             Gustavo Cuellar    $1,100.00  02/28/12  0  03/06/12  7   03/20/12 14    03/20/12     0      21
26    02/28/12   Mineola Annex              Vivian Gist     $1,100.00  02/28/12  0  03/06/12  7   03/20/12 14    03/20/12     0      21
27    02/29/12   Culwell                Gustavo Martinez   $1,000.00   02/29/12  0  03/06/12  6   03/20/12 14    03/20/12    0       20
28    02/24/12   Lake View              Arthur Gonzalez    $1,100.00   03/01/12  6  03/06/12  5   04/03/12 28    04/19/12    16      55
29    03/01/12   Lasker                   Julia Gonzalez    $1,100.00  03/01/12  0  03/06/12  5   03/20/12 14    03/20/12     0      19
30    03/07/12   Hatcher                   Carlos Ryes      $1,500.00  03/07/12  0  03/14/12  7    HOLD #######   HOLD    #VALUE! #VALUE!
31    03/02/12   Miles                Juan & Laura Murillo $1,000.00   03/02/12 0   03/08/12  6   04/17/12 40    03/20/12   -28      18
32    03/20/12   Miles                Juan & Laura Murillo $2,500.00   03/21/12 1   04/17/12 27   04/17/12  0    04/19/12    2       30
33    03/30/12   Mineola Annex            Vaness James      $1,100.00  03/30/12  0  04/17/12 18   04/17/12  0    04/19/12     2      20
34    04/05/12   Goren                 Josephine Graciano   $1,300.00  05/03/12 28  05/16/12 13   06/05/12 20    06/06/12     1      62
35    04/06/12   Ben Ficklin #2        Elizabeth Espinoza  $1,300.00   05/03/12 27  05/16/12 13   06/05/12 20    06/06/12    1       61
36    05/02/12   Hatcher                  Esther Perales   $3,388.00   05/03/12 1   05/17/12 14   06/05/12 19    06/06/12    1       35
37    05/04/12   Arroya                     Tad Logan        $750.00   05/08/12 4   05/17/12  9   06/05/12 19    06/06/12    1       33
38    05/15/12   Fort Concho Vista         Ray Rangel      $1,400.00   05/15/12  0  05/18/12  3   06/05/12 18    06/06/12     1      22
39   05/18/12   Lasker           Darrell/Marta Jones    $950.00     05/21/12     3    -41050   06/19/12   41079   -41079   -41047
40   05/17/12   Probst & Page     Garcia-Galindo       $1,500.00    05/21/12     4    -41050   06/19/12   41079   -41079   -41046
41   05/25/12   Miles                  Palmer          $2,500.00    05/25/12     0    -41054   06/19/12   41079   -41079   -41054
42   05/25/12   James Williams     Brewer-Munoz        $1,500.00    05/25/10   -731   -40323   06/19/12   41079   -41079   -41054
43
44                                                                              0       0                   0       0        0
45
46
47                                                                              0       0                   0       0        0
48
49
50                                                                              0       0                   0       0        0
51
52
53                                                                              0       0                   0       0        0

                                                       $81,475.00
CLOSING TRUSTEE LOTS
                                              ACCEPTED OFFER               4/1/2013
                                                         SUIT #          TAX93-0151B

                                                     ACCOUNT #        20-34900-0005-009-00

WRITTEN OFFER BY          DATE         4/1/2013              BY Mackle & Jacqueline Roberts

MEMO                                                              ü
PROPERTY ANALYSIS                                                 ü
RESOLUTION AUTHORIZING SALE OF REAL PROPERTY                      ü
RESOLUTION AUTHORIZING TAX RESALE COUNTY                          ü
RESOLUTION AUTHORIZING TAX RESALE SCHOOL                          ü
MAP                                                               ü

VERIFICATION SENT           4/1/2013 TGCAD                            CITY

REQUEST FOR LEGAL ASSISTANCE                  SENT     4/1/2013 RETURNED

EMAIL AGENDA                                          AGENDA                 4/19/2013

RECEIVE SIGNED RESOLUTIONS & TAX-RESALE DEED

COUNTY AGENDA             SENT                        DATE

DISTRICT AGENDA           SENT                        DATE

PAID     Earnest DATE       4/1/2013 CK/MO#    CC/Rcpt. #156727 AMT PD        $             350.00

         Closing DATE              CK/MO#                         AMT PD
                                                                        plus $30.00 filing fee
RECORDED AT TOM GREEN COUNTY CLERK'S OFFICE

REQUEST CHECKS TO DISTRIBUTE FUNDS

MAIL LETTERS AND DISTRIBUTE FUNDS

SEND LIEN ADJUSTMENT FORM (Mary/Blanca)
 David           Alicia              Cindy              Mike                    Mike
  Hall          Ramirez              Preas              Smith                   Dane

REMOVE FROM CITY OWNED PROPERTY

REMOVE FROM TAX FORECLOSURE LIST

PLACE ON RECORD MANAGEMENT - TAX RESALE SOLD LIST

MAIL ORIGINAL DEED TO NEW OWNER
OBJECTIVE TRUSTEE CHECKLIST
       DATE       SUBDIVISION             NAME         OFFER          SENT TO DAYS RETURNED DAYS AGENDA DAYS      SEND     DAYS    TOTAL
     RECEIVE                                                           LEGAL         LEGAL                      TGC/SAISD           DAYS
 1    08/10/11   Miles                     David Garcia     $1,300.00  08/11/11  1  08/22/11 11   09/06/11 15    09/13/11     7      34
 2    09/09/11   Avondale                     C Mejia      $2,327.00   09/13/11 4   09/19/11  6   10/04/11 15    10/05/11    1       26
 3    09/09/11   Ruby Douglas            F & M Saldivar     $9,000.00  09/13/11  4  09/19/11  6   10/04/11 15    10/05/11     1      26
 4    10/12/11   La Villita Heights       Diana Trevino     $3,000.00  10/13/11  1  10/20/11  7   11/01/11 12      N/A               12
 5    10/27/11   J.B.Harrison            Jessica Ramirez    $3,000.00  10/27/11  0  11/04/11  8   11/15/11 11    11/16/11     1      20
 6    10/31/11   Spencer #1              Jayson J. Jessop   $2,924.00  10/31/11  0  11/04/11  4   11/15/11 11      N/A               11
 7    11/16/11   Lasker                   Martha Green      $2,500.00  11/16/11  0  11/22/11  6   12/06/11 14      N/A               14
 8    12/01/11   Bradford                 Miguel Duran     $1,700.00   12/05/11  4  12/09/11  4   12/20/11 11    01/03/12    14      33
 9    12/01/11   Exall                    Miguel Duran     $1,800.00   12/05/11  4  12/09/11  4   12/20/11 11    01/03/12    14      33
10    12/01/11   Exall                    Miguel Duran     $3,000.00   12/05/11  4  12/09/11  4   12/20/11 11    01/03/12    14      33
11    12/01/11   Forest Park              Miguel Duran     $1,800.00   12/05/11  4  12/09/11  4   12/20/11 11    01/03/12    14      33
12    12/01/11   Forest Park              Miguel Duran     $1,900.00   12/05/11  4  12/09/11  4   12/20/11 11    01/03/12    14      33
13    12/01/11   Forest Park              Miguel Duran     $1,900.00   12/05/11  4  12/09/11  4   12/20/11 11    01/03/12    14      33
14    01/03/12   Bailey                    Mida/Pacetti    $10,250.00 01/05/12   2  01/06/12  1   02/07/12 32    02/08/12     1      36
15    01/31/12   Fort Concho             Christina Banda    $1,206.00  01/31/12  0  02/07/12  7   02/21/12 14    02/22/12     1      22
16    01/31/12   Miles                   Aleyda Saucedo     $2,404.00  01/31/12  0  02/07/12  7   02/21/12 14      N/A               14
17    01/31/12   Forest Park              Robles/Pearcy    $4,000.00   01/31/12 0   02/07/12  7   02/21/12 14    02/22/12    1       22
18    01/31/12   Goren                   Mackle Roberts      $500.00   01/31/12 0   02/07/12  7   02/21/12 14      N/A        0      14
19    01/31/12   Mineola                 Mackle Roberts     $1,100.00  01/31/12  0  02/07/12  7   02/21/12 14    02/22/12     1      22
20    02/22/12   Lasker                Sergio/Cirila Ortiz  $1,000.00  02/27/12  5  03/01/12  3   03/20/12 19    03/20/12     0      27
21    02/21/12   Mineola Annex           Jonathan Pizano    $1,000.00  02/27/12  6  03/06/12  8   03/20/12 14    03/20/12     0      28
22    02/22/12   Mineola Annex            Vaness James      $1,100.00  02/27/12  5  03/01/12  3   03/20/12 19    03/20/12     0      27
23    02/22/12   Mineola Annex            Vaness James      $1,100.00  02/27/12  5  03/01/12  3   03/20/12 19    03/20/12     0      27
24    02/22/12   Avondale              Genivieve Bannert    $1,000.00  02/27/12  5  03/01/12  3   03/20/12 19    03/20/12     0      27
25    02/28/12   Fort Concho             Gustavo Cuellar    $1,100.00  02/28/12  0  03/06/12  7   03/20/12 14    03/20/12     0      21
26    02/28/12   Mineola Annex              Vivian Gist     $1,100.00  02/28/12  0  03/06/12  7   03/20/12 14    03/20/12     0      21
27    02/29/12   Culwell                Gustavo Martinez   $1,000.00   02/29/12  0  03/06/12  6   03/20/12 14    03/20/12    0       20
28    02/24/12   Lake View              Arthur Gonzalez    $1,100.00   03/01/12  6  03/06/12  5   04/03/12 28    04/19/12    16      55
29    03/01/12   Lasker                   Julia Gonzalez    $1,100.00  03/01/12  0  03/06/12  5   03/20/12 14    03/20/12     0      19
30    03/07/12   Hatcher                   Carlos Ryes      $1,500.00  03/07/12  0  03/14/12  7    HOLD #######   HOLD    #VALUE! #VALUE!
31    03/02/12   Miles                Juan & Laura Murillo $1,000.00   03/02/12 0   03/08/12  6   04/17/12 40    03/20/12   -28      18
32    03/20/12   Miles                Juan & Laura Murillo $2,500.00   03/21/12 1   04/17/12 27   04/17/12  0    04/19/12    2       30
33    03/30/12   Mineola Annex            Vaness James      $1,100.00  03/30/12  0  04/17/12 18   04/17/12  0    04/19/12     2      20
34    04/05/12   Goren                 Josephine Graciano   $1,300.00  05/03/12 28  05/16/12 13   06/05/12 20    06/06/12     1      62
35    04/06/12   Ben Ficklin #2        Elizabeth Espinoza  $1,300.00   05/03/12 27  05/16/12 13   06/05/12 20    06/06/12    1       61
36    05/02/12   Hatcher                  Esther Perales   $3,388.00   05/03/12 1   05/17/12 14   06/05/12 19    06/06/12    1       35
37    05/04/12   Arroya                     Tad Logan        $750.00   05/08/12 4   05/17/12  9   06/05/12 19    06/06/12    1       33
38    05/15/12   Fort Concho Vista         Ray Rangel      $1,400.00   05/15/12  0  05/18/12  3   06/05/12 18    06/06/12     1      22
39   05/18/12   Lasker           Darrell/Marta Jones    $950.00     05/21/12     3    -41050   06/19/12   41079   -41079   -41047
40   05/17/12   Probst & Page     Garcia-Galindo       $1,500.00    05/21/12     4    -41050   06/19/12   41079   -41079   -41046
41   05/25/12   Miles                  Palmer          $2,500.00    05/25/12     0    -41054   06/19/12   41079   -41079   -41054
42   05/25/12   James Williams     Brewer-Munoz        $1,500.00    05/25/10   -731   -40323   06/19/12   41079   -41079   -41054
43
44                                                                              0       0                   0       0        0
45
46
47                                                                              0       0                   0       0        0
48
49
50                                                                              0       0                   0       0        0
51
52
53                                                                              0       0                   0       0        0

                                                       $81,475.00
CLOSING TRUSTEE LOTS
                                              ACCEPTED OFFER                3/27/2013
                                                         SUIT #            B-09-0050-T

                                                     ACCOUNT #         01-10500-0002-027-00

WRITTEN OFFER BY          DATE        3/27/2013               BY              John Pearcy

MEMO                                                               ü
PROPERTY ANALYSIS                                                  ü
RESOLUTION AUTHORIZING SALE OF REAL PROPERTY                       ü
RESOLUTION AUTHORIZING TAX RESALE COUNTY                           ü
RESOLUTION AUTHORIZING TAX RESALE SCHOOL                           ü
MAP                                                                ü

VERIFICATION SENT          3/27/2013 TGCAD                             CITY

REQUEST FOR LEGAL ASSISTANCE                  SENT     3/27/2013 RETURNED

EMAIL AGENDA                                          AGENDA                   4/16/2013

RECEIVE SIGNED RESOLUTIONS & TAX-RESALE DEED

COUNTY AGENDA             SENT                        DATE

DISTRICT AGENDA           SENT                        DATE

PAID     Earnest DATE      3/27/2013 CK/MO#      CC/#156725        AMT PD       $            350.00

         Closing DATE              CK/MO#                          AMT PD
                                                                         plus $30.00 filing fee
RECORDED AT TOM GREEN COUNTY CLERK'S OFFICE

REQUEST CHECKS TO DISTRIBUTE FUNDS

MAIL LETTERS AND DISTRIBUTE FUNDS

SEND LIEN ADJUSTMENT FORM (Mary/Blanca)
 David           Alicia              Cindy              Mike                     Mike
  Hall          Ramirez              Preas              Smith                    Dane

REMOVE FROM CITY OWNED PROPERTY

REMOVE FROM TAX FORECLOSURE LIST

PLACE ON RECORD MANAGEMENT - TAX RESALE SOLD LIST

MAIL ORIGINAL DEED TO NEW OWNER
OBJECTIVE TRUSTEE CHECKLIST
       DATE       SUBDIVISION             NAME         OFFER          SENT TO DAYS RETURNED DAYS AGENDA DAYS      SEND     DAYS    TOTAL
     RECEIVE                                                           LEGAL         LEGAL                      TGC/SAISD           DAYS
 1    08/10/11   Miles                     David Garcia     $1,300.00  08/11/11  1  08/22/11 11   09/06/11 15    09/13/11     7      34
 2    09/09/11   Avondale                     C Mejia      $2,327.00   09/13/11 4   09/19/11  6   10/04/11 15    10/05/11    1       26
 3    09/09/11   Ruby Douglas            F & M Saldivar     $9,000.00  09/13/11  4  09/19/11  6   10/04/11 15    10/05/11     1      26
 4    10/12/11   La Villita Heights       Diana Trevino     $3,000.00  10/13/11  1  10/20/11  7   11/01/11 12      N/A               12
 5    10/27/11   J.B.Harrison            Jessica Ramirez    $3,000.00  10/27/11  0  11/04/11  8   11/15/11 11    11/16/11     1      20
 6    10/31/11   Spencer #1              Jayson J. Jessop   $2,924.00  10/31/11  0  11/04/11  4   11/15/11 11      N/A               11
 7    11/16/11   Lasker                   Martha Green      $2,500.00  11/16/11  0  11/22/11  6   12/06/11 14      N/A               14
 8    12/01/11   Bradford                 Miguel Duran     $1,700.00   12/05/11  4  12/09/11  4   12/20/11 11    01/03/12    14      33
 9    12/01/11   Exall                    Miguel Duran     $1,800.00   12/05/11  4  12/09/11  4   12/20/11 11    01/03/12    14      33
10    12/01/11   Exall                    Miguel Duran     $3,000.00   12/05/11  4  12/09/11  4   12/20/11 11    01/03/12    14      33
11    12/01/11   Forest Park              Miguel Duran     $1,800.00   12/05/11  4  12/09/11  4   12/20/11 11    01/03/12    14      33
12    12/01/11   Forest Park              Miguel Duran     $1,900.00   12/05/11  4  12/09/11  4   12/20/11 11    01/03/12    14      33
13    12/01/11   Forest Park              Miguel Duran     $1,900.00   12/05/11  4  12/09/11  4   12/20/11 11    01/03/12    14      33
14    01/03/12   Bailey                    Mida/Pacetti    $10,250.00 01/05/12   2  01/06/12  1   02/07/12 32    02/08/12     1      36
15    01/31/12   Fort Concho             Christina Banda    $1,206.00  01/31/12  0  02/07/12  7   02/21/12 14    02/22/12     1      22
16    01/31/12   Miles                   Aleyda Saucedo     $2,404.00  01/31/12  0  02/07/12  7   02/21/12 14      N/A               14
17    01/31/12   Forest Park              Robles/Pearcy    $4,000.00   01/31/12 0   02/07/12  7   02/21/12 14    02/22/12    1       22
18    01/31/12   Goren                   Mackle Roberts      $500.00   01/31/12 0   02/07/12  7   02/21/12 14      N/A        0      14
19    01/31/12   Mineola                 Mackle Roberts     $1,100.00  01/31/12  0  02/07/12  7   02/21/12 14    02/22/12     1      22
20    02/22/12   Lasker                Sergio/Cirila Ortiz  $1,000.00  02/27/12  5  03/01/12  3   03/20/12 19    03/20/12     0      27
21    02/21/12   Mineola Annex           Jonathan Pizano    $1,000.00  02/27/12  6  03/06/12  8   03/20/12 14    03/20/12     0      28
22    02/22/12   Mineola Annex            Vaness James      $1,100.00  02/27/12  5  03/01/12  3   03/20/12 19    03/20/12     0      27
23    02/22/12   Mineola Annex            Vaness James      $1,100.00  02/27/12  5  03/01/12  3   03/20/12 19    03/20/12     0      27
24    02/22/12   Avondale              Genivieve Bannert    $1,000.00  02/27/12  5  03/01/12  3   03/20/12 19    03/20/12     0      27
25    02/28/12   Fort Concho             Gustavo Cuellar    $1,100.00  02/28/12  0  03/06/12  7   03/20/12 14    03/20/12     0      21
26    02/28/12   Mineola Annex              Vivian Gist     $1,100.00  02/28/12  0  03/06/12  7   03/20/12 14    03/20/12     0      21
27    02/29/12   Culwell                Gustavo Martinez   $1,000.00   02/29/12  0  03/06/12  6   03/20/12 14    03/20/12    0       20
28    02/24/12   Lake View              Arthur Gonzalez    $1,100.00   03/01/12  6  03/06/12  5   04/03/12 28    04/19/12    16      55
29    03/01/12   Lasker                   Julia Gonzalez    $1,100.00  03/01/12  0  03/06/12  5   03/20/12 14    03/20/12     0      19
30    03/07/12   Hatcher                   Carlos Ryes      $1,500.00  03/07/12  0  03/14/12  7    HOLD #######   HOLD    #VALUE! #VALUE!
31    03/02/12   Miles                Juan & Laura Murillo $1,000.00   03/02/12 0   03/08/12  6   04/17/12 40    03/20/12   -28      18
32    03/20/12   Miles                Juan & Laura Murillo $2,500.00   03/21/12 1   04/17/12 27   04/17/12  0    04/19/12    2       30
33    03/30/12   Mineola Annex            Vaness James      $1,100.00  03/30/12  0  04/17/12 18   04/17/12  0    04/19/12     2      20
34    04/05/12   Goren                 Josephine Graciano   $1,300.00  05/03/12 28  05/16/12 13   06/05/12 20    06/06/12     1      62
35    04/06/12   Ben Ficklin #2        Elizabeth Espinoza  $1,300.00   05/03/12 27  05/16/12 13   06/05/12 20    06/06/12    1       61
36    05/02/12   Hatcher                  Esther Perales   $3,388.00   05/03/12 1   05/17/12 14   06/05/12 19    06/06/12    1       35
37    05/04/12   Arroya                     Tad Logan        $750.00   05/08/12 4   05/17/12  9   06/05/12 19    06/06/12    1       33
38    05/15/12   Fort Concho Vista         Ray Rangel      $1,400.00   05/15/12  0  05/18/12  3   06/05/12 18    06/06/12     1      22
39   05/18/12   Lasker           Darrell/Marta Jones    $950.00     05/21/12     3    -41050   06/19/12   41079   -41079   -41047
40   05/17/12   Probst & Page     Garcia-Galindo       $1,500.00    05/21/12     4    -41050   06/19/12   41079   -41079   -41046
41   05/25/12   Miles                  Palmer          $2,500.00    05/25/12     0    -41054   06/19/12   41079   -41079   -41054
42   05/25/12   James Williams     Brewer-Munoz        $1,500.00    05/25/10   -731   -40323   06/19/12   41079   -41079   -41054
43
44                                                                              0       0                   0       0        0
45
46
47                                                                              0       0                   0       0        0
48
49
50                                                                              0       0                   0       0        0
51
52
53                                                                              0       0                   0       0        0

                                                       $81,475.00
CLOSING TRUSTEE LOTS
                                              ACCEPTED OFFER                3/27/2013
                                                         SUIT #            B-05-0268-T

                                                     ACCOUNT #         01-11000-0093-003-00

WRITTEN OFFER BY          DATE        3/27/2013               BY              John Pearcy

MEMO                                                               ü
PROPERTY ANALYSIS                                                  ü
RESOLUTION AUTHORIZING SALE OF REAL PROPERTY                       ü
RESOLUTION AUTHORIZING TAX RESALE COUNTY                           ü
RESOLUTION AUTHORIZING TAX RESALE SCHOOL                           ü
MAP                                                                ü

VERIFICATION SENT          3/27/2013 TGCAD                             CITY

REQUEST FOR LEGAL ASSISTANCE                  SENT     3/27/2013 RETURNED

EMAIL AGENDA                                          AGENDA                   4/16/2013

RECEIVE SIGNED RESOLUTIONS & TAX-RESALE DEED

COUNTY AGENDA             SENT                        DATE

DISTRICT AGENDA           SENT                        DATE

PAID     Earnest DATE      3/27/2013 CK/MO#      CC/#156726        AMT PD       $            350.00

         Closing DATE              CK/MO#                          AMT PD
                                                                         plus $30.00 filing fee
RECORDED AT TOM GREEN COUNTY CLERK'S OFFICE

REQUEST CHECKS TO DISTRIBUTE FUNDS

MAIL LETTERS AND DISTRIBUTE FUNDS

SEND LIEN ADJUSTMENT FORM (Mary/Blanca)
 David           Alicia              Cindy              Mike                     Mike
  Hall          Ramirez              Preas              Smith                    Dane

REMOVE FROM CITY OWNED PROPERTY

REMOVE FROM TAX FORECLOSURE LIST

PLACE ON RECORD MANAGEMENT - TAX RESALE SOLD LIST

MAIL ORIGINAL DEED TO NEW OWNER
OBJECTIVE TRUSTEE CHECKLIST
       DATE       SUBDIVISION             NAME         OFFER          SENT TO DAYS RETURNED DAYS AGENDA DAYS      SEND     DAYS    TOTAL
     RECEIVE                                                           LEGAL         LEGAL                      TGC/SAISD           DAYS
 1    08/10/11   Miles                     David Garcia     $1,300.00  08/11/11  1  08/22/11 11   09/06/11 15    09/13/11     7      34
 2    09/09/11   Avondale                     C Mejia      $2,327.00   09/13/11 4   09/19/11  6   10/04/11 15    10/05/11    1       26
 3    09/09/11   Ruby Douglas            F & M Saldivar     $9,000.00  09/13/11  4  09/19/11  6   10/04/11 15    10/05/11     1      26
 4    10/12/11   La Villita Heights       Diana Trevino     $3,000.00  10/13/11  1  10/20/11  7   11/01/11 12      N/A               12
 5    10/27/11   J.B.Harrison            Jessica Ramirez    $3,000.00  10/27/11  0  11/04/11  8   11/15/11 11    11/16/11     1      20
 6    10/31/11   Spencer #1              Jayson J. Jessop   $2,924.00  10/31/11  0  11/04/11  4   11/15/11 11      N/A               11
 7    11/16/11   Lasker                   Martha Green      $2,500.00  11/16/11  0  11/22/11  6   12/06/11 14      N/A               14
 8    12/01/11   Bradford                 Miguel Duran     $1,700.00   12/05/11  4  12/09/11  4   12/20/11 11    01/03/12    14      33
 9    12/01/11   Exall                    Miguel Duran     $1,800.00   12/05/11  4  12/09/11  4   12/20/11 11    01/03/12    14      33
10    12/01/11   Exall                    Miguel Duran     $3,000.00   12/05/11  4  12/09/11  4   12/20/11 11    01/03/12    14      33
11    12/01/11   Forest Park              Miguel Duran     $1,800.00   12/05/11  4  12/09/11  4   12/20/11 11    01/03/12    14      33
12    12/01/11   Forest Park              Miguel Duran     $1,900.00   12/05/11  4  12/09/11  4   12/20/11 11    01/03/12    14      33
13    12/01/11   Forest Park              Miguel Duran     $1,900.00   12/05/11  4  12/09/11  4   12/20/11 11    01/03/12    14      33
14    01/03/12   Bailey                    Mida/Pacetti    $10,250.00 01/05/12   2  01/06/12  1   02/07/12 32    02/08/12     1      36
15    01/31/12   Fort Concho             Christina Banda    $1,206.00  01/31/12  0  02/07/12  7   02/21/12 14    02/22/12     1      22
16    01/31/12   Miles                   Aleyda Saucedo     $2,404.00  01/31/12  0  02/07/12  7   02/21/12 14      N/A               14
17    01/31/12   Forest Park              Robles/Pearcy    $4,000.00   01/31/12 0   02/07/12  7   02/21/12 14    02/22/12    1       22
18    01/31/12   Goren                   Mackle Roberts      $500.00   01/31/12 0   02/07/12  7   02/21/12 14      N/A        0      14
19    01/31/12   Mineola                 Mackle Roberts     $1,100.00  01/31/12  0  02/07/12  7   02/21/12 14    02/22/12     1      22
20    02/22/12   Lasker                Sergio/Cirila Ortiz  $1,000.00  02/27/12  5  03/01/12  3   03/20/12 19    03/20/12     0      27
21    02/21/12   Mineola Annex           Jonathan Pizano    $1,000.00  02/27/12  6  03/06/12  8   03/20/12 14    03/20/12     0      28
22    02/22/12   Mineola Annex            Vaness James      $1,100.00  02/27/12  5  03/01/12  3   03/20/12 19    03/20/12     0      27
23    02/22/12   Mineola Annex            Vaness James      $1,100.00  02/27/12  5  03/01/12  3   03/20/12 19    03/20/12     0      27
24    02/22/12   Avondale              Genivieve Bannert    $1,000.00  02/27/12  5  03/01/12  3   03/20/12 19    03/20/12     0      27
25    02/28/12   Fort Concho             Gustavo Cuellar    $1,100.00  02/28/12  0  03/06/12  7   03/20/12 14    03/20/12     0      21
26    02/28/12   Mineola Annex              Vivian Gist     $1,100.00  02/28/12  0  03/06/12  7   03/20/12 14    03/20/12     0      21
27    02/29/12   Culwell                Gustavo Martinez   $1,000.00   02/29/12  0  03/06/12  6   03/20/12 14    03/20/12    0       20
28    02/24/12   Lake View              Arthur Gonzalez    $1,100.00   03/01/12  6  03/06/12  5   04/03/12 28    04/19/12    16      55
29    03/01/12   Lasker                   Julia Gonzalez    $1,100.00  03/01/12  0  03/06/12  5   03/20/12 14    03/20/12     0      19
30    03/07/12   Hatcher                   Carlos Ryes      $1,500.00  03/07/12  0  03/14/12  7    HOLD #######   HOLD    #VALUE! #VALUE!
31    03/02/12   Miles                Juan & Laura Murillo $1,000.00   03/02/12 0   03/08/12  6   04/17/12 40    03/20/12   -28      18
32    03/20/12   Miles                Juan & Laura Murillo $2,500.00   03/21/12 1   04/17/12 27   04/17/12  0    04/19/12    2       30
33    03/30/12   Mineola Annex            Vaness James      $1,100.00  03/30/12  0  04/17/12 18   04/17/12  0    04/19/12     2      20
34    04/05/12   Goren                 Josephine Graciano   $1,300.00  05/03/12 28  05/16/12 13   06/05/12 20    06/06/12     1      62
35    04/06/12   Ben Ficklin #2        Elizabeth Espinoza  $1,300.00   05/03/12 27  05/16/12 13   06/05/12 20    06/06/12    1       61
36    05/02/12   Hatcher                  Esther Perales   $3,388.00   05/03/12 1   05/17/12 14   06/05/12 19    06/06/12    1       35
37    05/04/12   Arroya                     Tad Logan        $750.00   05/08/12 4   05/17/12  9   06/05/12 19    06/06/12    1       33
38    05/15/12   Fort Concho Vista         Ray Rangel      $1,400.00   05/15/12  0  05/18/12  3   06/05/12 18    06/06/12     1      22
39   05/18/12   Lasker           Darrell/Marta Jones    $950.00     05/21/12     3    -41050   06/19/12   41079   -41079   -41047
40   05/17/12   Probst & Page     Garcia-Galindo       $1,500.00    05/21/12     4    -41050   06/19/12   41079   -41079   -41046
41   05/25/12   Miles                  Palmer          $2,500.00    05/25/12     0    -41054   06/19/12   41079   -41079   -41054
42   05/25/12   James Williams     Brewer-Munoz        $1,500.00    05/25/10   -731   -40323   06/19/12   41079   -41079   -41054
43
44                                                                              0       0                   0       0        0
45
46
47                                                                              0       0                   0       0        0
48
49
50                                                                              0       0                   0       0        0
51
52
53                                                                              0       0                   0       0        0

                                                       $81,475.00
CLOSING TRUSTEE LOTS
                                              ACCEPTED OFFER                 4/2/2013
                                                         SUIT #            B-95-0055-T

                                                     ACCOUNT #        18-34200-0031-003-00
                                                                      Marlow Lewis & Carletta
WRITTEN OFFER BY          DATE         4/2/2013              BY             McKinney

MEMO                                                              ü
PROPERTY ANALYSIS                                                 ü
RESOLUTION AUTHORIZING SALE OF REAL PROPERTY                      ü
RESOLUTION AUTHORIZING TAX RESALE COUNTY                          ü
RESOLUTION AUTHORIZING TAX RESALE SCHOOL                          ü
MAP                                                               ü

VERIFICATION SENT           4/2/2013 TGCAD                            CITY

REQUEST FOR LEGAL ASSISTANCE                  SENT     4/2/2013 RETURNED

EMAIL AGENDA                                          AGENDA                  4/19/2013

RECEIVE SIGNED RESOLUTIONS & TAX-RESALE DEED

COUNTY AGENDA             SENT                        DATE

DISTRICT AGENDA           SENT                        DATE

PAID     Earnest DATE       4/2/2013 CK/MO#   Cash/Rcpt. #156732 AMT PD        $             350.00

         Closing DATE              CK/MO#                         AMT PD
                                                                         plus $30.00 filing fee
RECORDED AT TOM GREEN COUNTY CLERK'S OFFICE

REQUEST CHECKS TO DISTRIBUTE FUNDS

MAIL LETTERS AND DISTRIBUTE FUNDS

SEND LIEN ADJUSTMENT FORM (Mary/Blanca)
 David           Alicia              Cindy              Mike                     Mike
  Hall          Ramirez              Preas              Smith                    Dane

REMOVE FROM CITY OWNED PROPERTY

REMOVE FROM TAX FORECLOSURE LIST

PLACE ON RECORD MANAGEMENT - TAX RESALE SOLD LIST

MAIL ORIGINAL DEED TO NEW OWNER
OBJECTIVE TRUSTEE CHECKLIST
       DATE       SUBDIVISION             NAME         OFFER          SENT TO DAYS RETURNED DAYS AGENDA DAYS      SEND     DAYS    TOTAL
     RECEIVE                                                           LEGAL         LEGAL                      TGC/SAISD           DAYS
 1    08/10/11   Miles                     David Garcia     $1,300.00  08/11/11  1  08/22/11 11   09/06/11 15    09/13/11     7      34
 2    09/09/11   Avondale                     C Mejia      $2,327.00   09/13/11 4   09/19/11  6   10/04/11 15    10/05/11    1       26
 3    09/09/11   Ruby Douglas            F & M Saldivar     $9,000.00  09/13/11  4  09/19/11  6   10/04/11 15    10/05/11     1      26
 4    10/12/11   La Villita Heights       Diana Trevino     $3,000.00  10/13/11  1  10/20/11  7   11/01/11 12      N/A               12
 5    10/27/11   J.B.Harrison            Jessica Ramirez    $3,000.00  10/27/11  0  11/04/11  8   11/15/11 11    11/16/11     1      20
 6    10/31/11   Spencer #1              Jayson J. Jessop   $2,924.00  10/31/11  0  11/04/11  4   11/15/11 11      N/A               11
 7    11/16/11   Lasker                   Martha Green      $2,500.00  11/16/11  0  11/22/11  6   12/06/11 14      N/A               14
 8    12/01/11   Bradford                 Miguel Duran     $1,700.00   12/05/11  4  12/09/11  4   12/20/11 11    01/03/12    14      33
 9    12/01/11   Exall                    Miguel Duran     $1,800.00   12/05/11  4  12/09/11  4   12/20/11 11    01/03/12    14      33
10    12/01/11   Exall                    Miguel Duran     $3,000.00   12/05/11  4  12/09/11  4   12/20/11 11    01/03/12    14      33
11    12/01/11   Forest Park              Miguel Duran     $1,800.00   12/05/11  4  12/09/11  4   12/20/11 11    01/03/12    14      33
12    12/01/11   Forest Park              Miguel Duran     $1,900.00   12/05/11  4  12/09/11  4   12/20/11 11    01/03/12    14      33
13    12/01/11   Forest Park              Miguel Duran     $1,900.00   12/05/11  4  12/09/11  4   12/20/11 11    01/03/12    14      33
14    01/03/12   Bailey                    Mida/Pacetti    $10,250.00 01/05/12   2  01/06/12  1   02/07/12 32    02/08/12     1      36
15    01/31/12   Fort Concho             Christina Banda    $1,206.00  01/31/12  0  02/07/12  7   02/21/12 14    02/22/12     1      22
16    01/31/12   Miles                   Aleyda Saucedo     $2,404.00  01/31/12  0  02/07/12  7   02/21/12 14      N/A               14
17    01/31/12   Forest Park              Robles/Pearcy    $4,000.00   01/31/12 0   02/07/12  7   02/21/12 14    02/22/12    1       22
18    01/31/12   Goren                   Mackle Roberts      $500.00   01/31/12 0   02/07/12  7   02/21/12 14      N/A        0      14
19    01/31/12   Mineola                 Mackle Roberts     $1,100.00  01/31/12  0  02/07/12  7   02/21/12 14    02/22/12     1      22
20    02/22/12   Lasker                Sergio/Cirila Ortiz  $1,000.00  02/27/12  5  03/01/12  3   03/20/12 19    03/20/12     0      27
21    02/21/12   Mineola Annex           Jonathan Pizano    $1,000.00  02/27/12  6  03/06/12  8   03/20/12 14    03/20/12     0      28
22    02/22/12   Mineola Annex            Vaness James      $1,100.00  02/27/12  5  03/01/12  3   03/20/12 19    03/20/12     0      27
23    02/22/12   Mineola Annex            Vaness James      $1,100.00  02/27/12  5  03/01/12  3   03/20/12 19    03/20/12     0      27
24    02/22/12   Avondale              Genivieve Bannert    $1,000.00  02/27/12  5  03/01/12  3   03/20/12 19    03/20/12     0      27
25    02/28/12   Fort Concho             Gustavo Cuellar    $1,100.00  02/28/12  0  03/06/12  7   03/20/12 14    03/20/12     0      21
26    02/28/12   Mineola Annex              Vivian Gist     $1,100.00  02/28/12  0  03/06/12  7   03/20/12 14    03/20/12     0      21
27    02/29/12   Culwell                Gustavo Martinez   $1,000.00   02/29/12  0  03/06/12  6   03/20/12 14    03/20/12    0       20
28    02/24/12   Lake View              Arthur Gonzalez    $1,100.00   03/01/12  6  03/06/12  5   04/03/12 28    04/19/12    16      55
29    03/01/12   Lasker                   Julia Gonzalez    $1,100.00  03/01/12  0  03/06/12  5   03/20/12 14    03/20/12     0      19
30    03/07/12   Hatcher                   Carlos Ryes      $1,500.00  03/07/12  0  03/14/12  7    HOLD #######   HOLD    #VALUE! #VALUE!
31    03/02/12   Miles                Juan & Laura Murillo $1,000.00   03/02/12 0   03/08/12  6   04/17/12 40    03/20/12   -28      18
32    03/20/12   Miles                Juan & Laura Murillo $2,500.00   03/21/12 1   04/17/12 27   04/17/12  0    04/19/12    2       30
33    03/30/12   Mineola Annex            Vaness James      $1,100.00  03/30/12  0  04/17/12 18   04/17/12  0    04/19/12     2      20
34    04/05/12   Goren                 Josephine Graciano   $1,300.00  05/03/12 28  05/16/12 13   06/05/12 20    06/06/12     1      62
35    04/06/12   Ben Ficklin #2        Elizabeth Espinoza  $1,300.00   05/03/12 27  05/16/12 13   06/05/12 20    06/06/12    1       61
36    05/02/12   Hatcher                  Esther Perales   $3,388.00   05/03/12 1   05/17/12 14   06/05/12 19    06/06/12    1       35
37    05/04/12   Arroya                     Tad Logan        $750.00   05/08/12 4   05/17/12  9   06/05/12 19    06/06/12    1       33
38    05/15/12   Fort Concho Vista         Ray Rangel      $1,400.00   05/15/12  0  05/18/12  3   06/05/12 18    06/06/12     1      22
39   05/18/12   Lasker           Darrell/Marta Jones    $950.00     05/21/12     3    -41050   06/19/12   41079   -41079   -41047
40   05/17/12   Probst & Page     Garcia-Galindo       $1,500.00    05/21/12     4    -41050   06/19/12   41079   -41079   -41046
41   05/25/12   Miles                  Palmer          $2,500.00    05/25/12     0    -41054   06/19/12   41079   -41079   -41054
42   05/25/12   James Williams     Brewer-Munoz        $1,500.00    05/25/10   -731   -40323   06/19/12   41079   -41079   -41054
43
44                                                                              0       0                   0       0        0
45
46
47                                                                              0       0                   0       0        0
48
49
50                                                                              0       0                   0       0        0
51
52
53                                                                              0       0                   0       0        0

                                                       $81,475.00
CLOSING TRUSTEE LOTS
                                             ACCEPTED OFFER               4/2/2013
                                                        SUIT #          TAX91-0054B

                                                    ACCOUNT #        20-34900-0005-008-00

WRITTEN OFFER BY          DATE         4/2/2013             BY Mackle & Jacqueline Roberts

MEMO                                                             ü
PROPERTY ANALYSIS                                                ü
RESOLUTION AUTHORIZING SALE OF REAL PROPERTY                     ü
RESOLUTION AUTHORIZING TAX RESALE COUNTY                         ü
RESOLUTION AUTHORIZING TAX RESALE SCHOOL                         ü
MAP                                                              ü

VERIFICATION SENT           4/1/2013 TGCAD                           CITY

REQUEST FOR LEGAL ASSISTANCE                 SENT     4/2/2013 RETURNED

EMAIL AGENDA                                         AGENDA                 4/19/2013

RECEIVE SIGNED RESOLUTIONS & TAX-RESALE DEED

COUNTY AGENDA             SENT                       DATE

DISTRICT AGENDA           SENT                       DATE

PAID     Earnest DATE              CK/MO#                        AMT PD      $             350.00

         Closing DATE              CK/MO#                        AMT PD
                                                                       plus $30.00 filing fee
RECORDED AT TOM GREEN COUNTY CLERK'S OFFICE

REQUEST CHECKS TO DISTRIBUTE FUNDS

MAIL LETTERS AND DISTRIBUTE FUNDS

SEND LIEN ADJUSTMENT FORM (Mary/Blanca)
 David           Alicia             Cindy              Mike                    Mike
  Hall          Ramirez             Preas              Smith                   Dane

REMOVE FROM CITY OWNED PROPERTY

REMOVE FROM TAX FORECLOSURE LIST

PLACE ON RECORD MANAGEMENT - TAX RESALE SOLD LIST

MAIL ORIGINAL DEED TO NEW OWNER
OBJECTIVE TRUSTEE CHECKLIST
       DATE       SUBDIVISION             NAME         OFFER          SENT TO DAYS RETURNED DAYS AGENDA DAYS      SEND     DAYS    TOTAL
     RECEIVE                                                           LEGAL         LEGAL                      TGC/SAISD           DAYS
 1    08/10/11   Miles                     David Garcia     $1,300.00  08/11/11  1  08/22/11 11   09/06/11 15    09/13/11     7      34
 2    09/09/11   Avondale                     C Mejia      $2,327.00   09/13/11 4   09/19/11  6   10/04/11 15    10/05/11    1       26
 3    09/09/11   Ruby Douglas            F & M Saldivar     $9,000.00  09/13/11  4  09/19/11  6   10/04/11 15    10/05/11     1      26
 4    10/12/11   La Villita Heights       Diana Trevino     $3,000.00  10/13/11  1  10/20/11  7   11/01/11 12      N/A               12
 5    10/27/11   J.B.Harrison            Jessica Ramirez    $3,000.00  10/27/11  0  11/04/11  8   11/15/11 11    11/16/11     1      20
 6    10/31/11   Spencer #1              Jayson J. Jessop   $2,924.00  10/31/11  0  11/04/11  4   11/15/11 11      N/A               11
 7    11/16/11   Lasker                   Martha Green      $2,500.00  11/16/11  0  11/22/11  6   12/06/11 14      N/A               14
 8    12/01/11   Bradford                 Miguel Duran     $1,700.00   12/05/11  4  12/09/11  4   12/20/11 11    01/03/12    14      33
 9    12/01/11   Exall                    Miguel Duran     $1,800.00   12/05/11  4  12/09/11  4   12/20/11 11    01/03/12    14      33
10    12/01/11   Exall                    Miguel Duran     $3,000.00   12/05/11  4  12/09/11  4   12/20/11 11    01/03/12    14      33
11    12/01/11   Forest Park              Miguel Duran     $1,800.00   12/05/11  4  12/09/11  4   12/20/11 11    01/03/12    14      33
12    12/01/11   Forest Park              Miguel Duran     $1,900.00   12/05/11  4  12/09/11  4   12/20/11 11    01/03/12    14      33
13    12/01/11   Forest Park              Miguel Duran     $1,900.00   12/05/11  4  12/09/11  4   12/20/11 11    01/03/12    14      33
14    01/03/12   Bailey                    Mida/Pacetti    $10,250.00 01/05/12   2  01/06/12  1   02/07/12 32    02/08/12     1      36
15    01/31/12   Fort Concho             Christina Banda    $1,206.00  01/31/12  0  02/07/12  7   02/21/12 14    02/22/12     1      22
16    01/31/12   Miles                   Aleyda Saucedo     $2,404.00  01/31/12  0  02/07/12  7   02/21/12 14      N/A               14
17    01/31/12   Forest Park              Robles/Pearcy    $4,000.00   01/31/12 0   02/07/12  7   02/21/12 14    02/22/12    1       22
18    01/31/12   Goren                   Mackle Roberts      $500.00   01/31/12 0   02/07/12  7   02/21/12 14      N/A        0      14
19    01/31/12   Mineola                 Mackle Roberts     $1,100.00  01/31/12  0  02/07/12  7   02/21/12 14    02/22/12     1      22
20    02/22/12   Lasker                Sergio/Cirila Ortiz  $1,000.00  02/27/12  5  03/01/12  3   03/20/12 19    03/20/12     0      27
21    02/21/12   Mineola Annex           Jonathan Pizano    $1,000.00  02/27/12  6  03/06/12  8   03/20/12 14    03/20/12     0      28
22    02/22/12   Mineola Annex            Vaness James      $1,100.00  02/27/12  5  03/01/12  3   03/20/12 19    03/20/12     0      27
23    02/22/12   Mineola Annex            Vaness James      $1,100.00  02/27/12  5  03/01/12  3   03/20/12 19    03/20/12     0      27
24    02/22/12   Avondale              Genivieve Bannert    $1,000.00  02/27/12  5  03/01/12  3   03/20/12 19    03/20/12     0      27
25    02/28/12   Fort Concho             Gustavo Cuellar    $1,100.00  02/28/12  0  03/06/12  7   03/20/12 14    03/20/12     0      21
26    02/28/12   Mineola Annex              Vivian Gist     $1,100.00  02/28/12  0  03/06/12  7   03/20/12 14    03/20/12     0      21
27    02/29/12   Culwell                Gustavo Martinez   $1,000.00   02/29/12  0  03/06/12  6   03/20/12 14    03/20/12    0       20
28    02/24/12   Lake View              Arthur Gonzalez    $1,100.00   03/01/12  6  03/06/12  5   04/03/12 28    04/19/12    16      55
29    03/01/12   Lasker                   Julia Gonzalez    $1,100.00  03/01/12  0  03/06/12  5   03/20/12 14    03/20/12     0      19
30    03/07/12   Hatcher                   Carlos Ryes      $1,500.00  03/07/12  0  03/14/12  7    HOLD #######   HOLD    #VALUE! #VALUE!
31    03/02/12   Miles                Juan & Laura Murillo $1,000.00   03/02/12 0   03/08/12  6   04/17/12 40    03/20/12   -28      18
32    03/20/12   Miles                Juan & Laura Murillo $2,500.00   03/21/12 1   04/17/12 27   04/17/12  0    04/19/12    2       30
33    03/30/12   Mineola Annex            Vaness James      $1,100.00  03/30/12  0  04/17/12 18   04/17/12  0    04/19/12     2      20
34    04/05/12   Goren                 Josephine Graciano   $1,300.00  05/03/12 28  05/16/12 13   06/05/12 20    06/06/12     1      62
35    04/06/12   Ben Ficklin #2        Elizabeth Espinoza  $1,300.00   05/03/12 27  05/16/12 13   06/05/12 20    06/06/12    1       61
36    05/02/12   Hatcher                  Esther Perales   $3,388.00   05/03/12 1   05/17/12 14   06/05/12 19    06/06/12    1       35
37    05/04/12   Arroya                     Tad Logan        $750.00   05/08/12 4   05/17/12  9   06/05/12 19    06/06/12    1       33
38    05/15/12   Fort Concho Vista         Ray Rangel      $1,400.00   05/15/12  0  05/18/12  3   06/05/12 18    06/06/12     1      22
39   05/18/12   Lasker           Darrell/Marta Jones    $950.00     05/21/12     3    -41050   06/19/12   41079   -41079   -41047
40   05/17/12   Probst & Page     Garcia-Galindo       $1,500.00    05/21/12     4    -41050   06/19/12   41079   -41079   -41046
41   05/25/12   Miles                  Palmer          $2,500.00    05/25/12     0    -41054   06/19/12   41079   -41079   -41054
42   05/25/12   James Williams     Brewer-Munoz        $1,500.00    05/25/10   -731   -40323   06/19/12   41079   -41079   -41054
43
44                                                                              0       0                   0       0        0
45
46
47                                                                              0       0                   0       0        0
48
49
50                                                                              0       0                   0       0        0
51
52
53                                                                              0       0                   0       0        0

                                                       $81,475.00
CLOSING TRUSTEE LOTS
                                              ACCEPTED OFFER               3/14/2013
                                                         SUIT #           B-05-0274-T

                                                     ACCOUNT #     16-31200-00012-003-00

WRITTEN OFFER BY          DATE        3/13/2013              BY Alejos & Martha Ann Guerra

MEMO                                                              ü
PROPERTY ANALYSIS                                                 ü
RESOLUTION AUTHORIZING SALE OF REAL PROPERTY                      ü
RESOLUTION AUTHORIZING TAX RESALE COUNTY                          ü
RESOLUTION AUTHORIZING TAX RESALE SCHOOL                          ü
MAP                                                               ü

VERIFICATION SENT          3/14/2013 TGCAD                            CITY

REQUEST FOR LEGAL ASSISTANCE                  SENT     3/14/2013 RETURNED

EMAIL AGENDA                                          AGENDA                 4/16/2013

RECEIVE SIGNED RESOLUTIONS & TAX-RESALE DEED

COUNTY AGENDA             SENT                        DATE

DISTRICT AGENDA           SENT                        DATE

PAID     Earnest DATE      3/13/2013 CK/MO#    CC/Rcpt. #156716 AMT PD        $             350.00

         Closing DATE              CK/MO#                         AMT PD
                                                                        plus $30.00 filing fee
RECORDED AT TOM GREEN COUNTY CLERK'S OFFICE

REQUEST CHECKS TO DISTRIBUTE FUNDS

MAIL LETTERS AND DISTRIBUTE FUNDS

SEND LIEN ADJUSTMENT FORM (Mary/Blanca)
 David           Alicia              Cindy              Mike
  Hall          Ramirez              Preas              Smith

REMOVE FROM CITY OWNED PROPERTY

REMOVE FROM TAX FORECLOSURE LIST

PLACE ON RECORD MANAGEMENT - TAX RESALE SOLD LIST

MAIL ORIGINAL DEED TO NEW OWNER
OBJECTIVE TRUSTEE CHECKLIST
       DATE       SUBDIVISION             NAME         OFFER          SENT TO DAYS RETURNED DAYS AGENDA DAYS      SEND     DAYS    TOTAL
     RECEIVE                                                           LEGAL         LEGAL                      TGC/SAISD           DAYS
 1    08/10/11   Miles                     David Garcia     $1,300.00  08/11/11  1  08/22/11 11   09/06/11 15    09/13/11     7      34
 2    09/09/11   Avondale                     C Mejia      $2,327.00   09/13/11 4   09/19/11  6   10/04/11 15    10/05/11    1       26
 3    09/09/11   Ruby Douglas            F & M Saldivar     $9,000.00  09/13/11  4  09/19/11  6   10/04/11 15    10/05/11     1      26
 4    10/12/11   La Villita Heights       Diana Trevino     $3,000.00  10/13/11  1  10/20/11  7   11/01/11 12      N/A               12
 5    10/27/11   J.B.Harrison            Jessica Ramirez    $3,000.00  10/27/11  0  11/04/11  8   11/15/11 11    11/16/11     1      20
 6    10/31/11   Spencer #1              Jayson J. Jessop   $2,924.00  10/31/11  0  11/04/11  4   11/15/11 11      N/A               11
 7    11/16/11   Lasker                   Martha Green      $2,500.00  11/16/11  0  11/22/11  6   12/06/11 14      N/A               14
 8    12/01/11   Bradford                 Miguel Duran     $1,700.00   12/05/11  4  12/09/11  4   12/20/11 11    01/03/12    14      33
 9    12/01/11   Exall                    Miguel Duran     $1,800.00   12/05/11  4  12/09/11  4   12/20/11 11    01/03/12    14      33
10    12/01/11   Exall                    Miguel Duran     $3,000.00   12/05/11  4  12/09/11  4   12/20/11 11    01/03/12    14      33
11    12/01/11   Forest Park              Miguel Duran     $1,800.00   12/05/11  4  12/09/11  4   12/20/11 11    01/03/12    14      33
12    12/01/11   Forest Park              Miguel Duran     $1,900.00   12/05/11  4  12/09/11  4   12/20/11 11    01/03/12    14      33
13    12/01/11   Forest Park              Miguel Duran     $1,900.00   12/05/11  4  12/09/11  4   12/20/11 11    01/03/12    14      33
14    01/03/12   Bailey                    Mida/Pacetti    $10,250.00 01/05/12   2  01/06/12  1   02/07/12 32    02/08/12     1      36
15    01/31/12   Fort Concho             Christina Banda    $1,206.00  01/31/12  0  02/07/12  7   02/21/12 14    02/22/12     1      22
16    01/31/12   Miles                   Aleyda Saucedo     $2,404.00  01/31/12  0  02/07/12  7   02/21/12 14      N/A               14
17    01/31/12   Forest Park              Robles/Pearcy    $4,000.00   01/31/12 0   02/07/12  7   02/21/12 14    02/22/12    1       22
18    01/31/12   Goren                   Mackle Roberts      $500.00   01/31/12 0   02/07/12  7   02/21/12 14      N/A        0      14
19    01/31/12   Mineola                 Mackle Roberts     $1,100.00  01/31/12  0  02/07/12  7   02/21/12 14    02/22/12     1      22
20    02/22/12   Lasker                Sergio/Cirila Ortiz  $1,000.00  02/27/12  5  03/01/12  3   03/20/12 19    03/20/12     0      27
21    02/21/12   Mineola Annex           Jonathan Pizano    $1,000.00  02/27/12  6  03/06/12  8   03/20/12 14    03/20/12     0      28
22    02/22/12   Mineola Annex            Vaness James      $1,100.00  02/27/12  5  03/01/12  3   03/20/12 19    03/20/12     0      27
23    02/22/12   Mineola Annex            Vaness James      $1,100.00  02/27/12  5  03/01/12  3   03/20/12 19    03/20/12     0      27
24    02/22/12   Avondale              Genivieve Bannert    $1,000.00  02/27/12  5  03/01/12  3   03/20/12 19    03/20/12     0      27
25    02/28/12   Fort Concho             Gustavo Cuellar    $1,100.00  02/28/12  0  03/06/12  7   03/20/12 14    03/20/12     0      21
26    02/28/12   Mineola Annex              Vivian Gist     $1,100.00  02/28/12  0  03/06/12  7   03/20/12 14    03/20/12     0      21
27    02/29/12   Culwell                Gustavo Martinez   $1,000.00   02/29/12  0  03/06/12  6   03/20/12 14    03/20/12    0       20
28    02/24/12   Lake View              Arthur Gonzalez    $1,100.00   03/01/12  6  03/06/12  5   04/03/12 28    04/19/12    16      55
29    03/01/12   Lasker                   Julia Gonzalez    $1,100.00  03/01/12  0  03/06/12  5   03/20/12 14    03/20/12     0      19
30    03/07/12   Hatcher                   Carlos Ryes      $1,500.00  03/07/12  0  03/14/12  7    HOLD #######   HOLD    #VALUE! #VALUE!
31    03/02/12   Miles                Juan & Laura Murillo $1,000.00   03/02/12 0   03/08/12  6   04/17/12 40    03/20/12   -28      18
32    03/20/12   Miles                Juan & Laura Murillo $2,500.00   03/21/12 1   04/17/12 27   04/17/12  0    04/19/12    2       30
33    03/30/12   Mineola Annex            Vaness James      $1,100.00  03/30/12  0  04/17/12 18   04/17/12  0    04/19/12     2      20
34    04/05/12   Goren                 Josephine Graciano   $1,300.00  05/03/12 28  05/16/12 13   06/05/12 20    06/06/12     1      62
35    04/06/12   Ben Ficklin #2        Elizabeth Espinoza  $1,300.00   05/03/12 27  05/16/12 13   06/05/12 20    06/06/12    1       61
36    05/02/12   Hatcher                  Esther Perales   $3,388.00   05/03/12 1   05/17/12 14   06/05/12 19    06/06/12    1       35
37    05/04/12   Arroya                     Tad Logan        $750.00   05/08/12 4   05/17/12  9   06/05/12 19    06/06/12    1       33
38    05/15/12   Fort Concho Vista         Ray Rangel      $1,400.00   05/15/12  0  05/18/12  3   06/05/12 18    06/06/12     1      22
39   05/18/12   Lasker           Darrell/Marta Jones    $950.00     05/21/12     3    -41050   06/19/12   41079   -41079   -41047
40   05/17/12   Probst & Page     Garcia-Galindo       $1,500.00    05/21/12     4    -41050   06/19/12   41079   -41079   -41046
41   05/25/12   Miles                  Palmer          $2,500.00    05/25/12     0    -41054   06/19/12   41079   -41079   -41054
42   05/25/12   James Williams     Brewer-Munoz        $1,500.00    05/25/10   -731   -40323   06/19/12   41079   -41079   -41054
43
44                                                                              0       0                   0       0        0
45
46
47                                                                              0       0                   0       0        0
48
49
50                                                                              0       0                   0       0        0
51
52
53                                                                              0       0                   0       0        0

                                                       $81,475.00
CLOSING TRUSTEE LOTS
                                              ACCEPTED OFFER               3/14/2013
                                                         SUIT #           B-06-0088-T

                                                     ACCOUNT #        16-31200-0011-002-00

WRITTEN OFFER BY          DATE        3/13/2013              BY Alejos & Martha Ann Guerra

MEMO                                                              ü
PROPERTY ANALYSIS                                                 ü
RESOLUTION AUTHORIZING SALE OF REAL PROPERTY                      ü
RESOLUTION AUTHORIZING TAX RESALE COUNTY                          ü
RESOLUTION AUTHORIZING TAX RESALE SCHOOL                          ü
MAP                                                               ü

VERIFICATION SENT          3/14/2013 TGCAD                            CITY

REQUEST FOR LEGAL ASSISTANCE                  SENT     3/14/2013 RETURNED

EMAIL AGENDA                                          AGENDA                 4/16/2013

RECEIVE SIGNED RESOLUTIONS & TAX-RESALE DEED

COUNTY AGENDA             SENT                        DATE

DISTRICT AGENDA           SENT                        DATE

PAID     Earnest DATE      3/13/2013 CK/MO#    CC/Rcpt. #156715 AMT PD        $             350.00

         Closing DATE              CK/MO#                         AMT PD
                                                                        plus $30.00 filing fee
RECORDED AT TOM GREEN COUNTY CLERK'S OFFICE

REQUEST CHECKS TO DISTRIBUTE FUNDS

MAIL LETTERS AND DISTRIBUTE FUNDS

SEND LIEN ADJUSTMENT FORM (Mary/Blanca)
 David           Alicia              Cindy              Mike
  Hall          Ramirez              Preas              Smith

REMOVE FROM CITY OWNED PROPERTY

REMOVE FROM TAX FORECLOSURE LIST

PLACE ON RECORD MANAGEMENT - TAX RESALE SOLD LIST

MAIL ORIGINAL DEED TO NEW OWNER
OBJECTIVE TRUSTEE CHECKLIST
       DATE       SUBDIVISION             NAME         OFFER          SENT TO DAYS RETURNED DAYS AGENDA DAYS      SEND     DAYS    TOTAL
     RECEIVE                                                           LEGAL         LEGAL                      TGC/SAISD           DAYS
 1    08/10/11   Miles                     David Garcia     $1,300.00  08/11/11  1  08/22/11 11   09/06/11 15    09/13/11     7      34
 2    09/09/11   Avondale                     C Mejia      $2,327.00   09/13/11 4   09/19/11  6   10/04/11 15    10/05/11    1       26
 3    09/09/11   Ruby Douglas            F & M Saldivar     $9,000.00  09/13/11  4  09/19/11  6   10/04/11 15    10/05/11     1      26
 4    10/12/11   La Villita Heights       Diana Trevino     $3,000.00  10/13/11  1  10/20/11  7   11/01/11 12      N/A               12
 5    10/27/11   J.B.Harrison            Jessica Ramirez    $3,000.00  10/27/11  0  11/04/11  8   11/15/11 11    11/16/11     1      20
 6    10/31/11   Spencer #1              Jayson J. Jessop   $2,924.00  10/31/11  0  11/04/11  4   11/15/11 11      N/A               11
 7    11/16/11   Lasker                   Martha Green      $2,500.00  11/16/11  0  11/22/11  6   12/06/11 14      N/A               14
 8    12/01/11   Bradford                 Miguel Duran     $1,700.00   12/05/11  4  12/09/11  4   12/20/11 11    01/03/12    14      33
 9    12/01/11   Exall                    Miguel Duran     $1,800.00   12/05/11  4  12/09/11  4   12/20/11 11    01/03/12    14      33
10    12/01/11   Exall                    Miguel Duran     $3,000.00   12/05/11  4  12/09/11  4   12/20/11 11    01/03/12    14      33
11    12/01/11   Forest Park              Miguel Duran     $1,800.00   12/05/11  4  12/09/11  4   12/20/11 11    01/03/12    14      33
12    12/01/11   Forest Park              Miguel Duran     $1,900.00   12/05/11  4  12/09/11  4   12/20/11 11    01/03/12    14      33
13    12/01/11   Forest Park              Miguel Duran     $1,900.00   12/05/11  4  12/09/11  4   12/20/11 11    01/03/12    14      33
14    01/03/12   Bailey                    Mida/Pacetti    $10,250.00 01/05/12   2  01/06/12  1   02/07/12 32    02/08/12     1      36
15    01/31/12   Fort Concho             Christina Banda    $1,206.00  01/31/12  0  02/07/12  7   02/21/12 14    02/22/12     1      22
16    01/31/12   Miles                   Aleyda Saucedo     $2,404.00  01/31/12  0  02/07/12  7   02/21/12 14      N/A               14
17    01/31/12   Forest Park              Robles/Pearcy    $4,000.00   01/31/12 0   02/07/12  7   02/21/12 14    02/22/12    1       22
18    01/31/12   Goren                   Mackle Roberts      $500.00   01/31/12 0   02/07/12  7   02/21/12 14      N/A        0      14
19    01/31/12   Mineola                 Mackle Roberts     $1,100.00  01/31/12  0  02/07/12  7   02/21/12 14    02/22/12     1      22
20    02/22/12   Lasker                Sergio/Cirila Ortiz  $1,000.00  02/27/12  5  03/01/12  3   03/20/12 19    03/20/12     0      27
21    02/21/12   Mineola Annex           Jonathan Pizano    $1,000.00  02/27/12  6  03/06/12  8   03/20/12 14    03/20/12     0      28
22    02/22/12   Mineola Annex            Vaness James      $1,100.00  02/27/12  5  03/01/12  3   03/20/12 19    03/20/12     0      27
23    02/22/12   Mineola Annex            Vaness James      $1,100.00  02/27/12  5  03/01/12  3   03/20/12 19    03/20/12     0      27
24    02/22/12   Avondale              Genivieve Bannert    $1,000.00  02/27/12  5  03/01/12  3   03/20/12 19    03/20/12     0      27
25    02/28/12   Fort Concho             Gustavo Cuellar    $1,100.00  02/28/12  0  03/06/12  7   03/20/12 14    03/20/12     0      21
26    02/28/12   Mineola Annex              Vivian Gist     $1,100.00  02/28/12  0  03/06/12  7   03/20/12 14    03/20/12     0      21
27    02/29/12   Culwell                Gustavo Martinez   $1,000.00   02/29/12  0  03/06/12  6   03/20/12 14    03/20/12    0       20
28    02/24/12   Lake View              Arthur Gonzalez    $1,100.00   03/01/12  6  03/06/12  5   04/03/12 28    04/19/12    16      55
29    03/01/12   Lasker                   Julia Gonzalez    $1,100.00  03/01/12  0  03/06/12  5   03/20/12 14    03/20/12     0      19
30    03/07/12   Hatcher                   Carlos Ryes      $1,500.00  03/07/12  0  03/14/12  7    HOLD #######   HOLD    #VALUE! #VALUE!
31    03/02/12   Miles                Juan & Laura Murillo $1,000.00   03/02/12 0   03/08/12  6   04/17/12 40    03/20/12   -28      18
32    03/20/12   Miles                Juan & Laura Murillo $2,500.00   03/21/12 1   04/17/12 27   04/17/12  0    04/19/12    2       30
33    03/30/12   Mineola Annex            Vaness James      $1,100.00  03/30/12  0  04/17/12 18   04/17/12  0    04/19/12     2      20
34    04/05/12   Goren                 Josephine Graciano   $1,300.00  05/03/12 28  05/16/12 13   06/05/12 20    06/06/12     1      62
35    04/06/12   Ben Ficklin #2        Elizabeth Espinoza  $1,300.00   05/03/12 27  05/16/12 13   06/05/12 20    06/06/12    1       61
36    05/02/12   Hatcher                  Esther Perales   $3,388.00   05/03/12 1   05/17/12 14   06/05/12 19    06/06/12    1       35
37    05/04/12   Arroya                     Tad Logan        $750.00   05/08/12 4   05/17/12  9   06/05/12 19    06/06/12    1       33
38    05/15/12   Fort Concho Vista         Ray Rangel      $1,400.00   05/15/12  0  05/18/12  3   06/05/12 18    06/06/12     1      22
39   05/18/12   Lasker           Darrell/Marta Jones    $950.00     05/21/12     3    -41050   06/19/12   41079   -41079   -41047
40   05/17/12   Probst & Page     Garcia-Galindo       $1,500.00    05/21/12     4    -41050   06/19/12   41079   -41079   -41046
41   05/25/12   Miles                  Palmer          $2,500.00    05/25/12     0    -41054   06/19/12   41079   -41079   -41054
42   05/25/12   James Williams     Brewer-Munoz        $1,500.00    05/25/10   -731   -40323   06/19/12   41079   -41079   -41054
43
44                                                                              0       0                   0       0        0
45
46
47                                                                              0       0                   0       0        0
48
49
50                                                                              0       0                   0       0        0
51
52
53                                                                              0       0                   0       0        0

                                                       $81,475.00
CLOSING TRUSTEE LOTS
                                             ACCEPTED OFFER               3/27/2013
                                                        SUIT #           B-07-0200-T

                                                    ACCOUNT #        05-17700-0005-012-00

WRITTEN OFFER BY          DATE        3/27/2013             BY              John Pearcy

MEMO                                                             ü
PROPERTY ANALYSIS                                                ü
RESOLUTION AUTHORIZING SALE OF REAL PROPERTY                     ü
RESOLUTION AUTHORIZING TAX RESALE COUNTY                         ü
RESOLUTION AUTHORIZING TAX RESALE SCHOOL                         ü
MAP                                                              ü

VERIFICATION SENT          3/27/2013 TGCAD                           CITY

REQUEST FOR LEGAL ASSISTANCE                 SENT     3/27/2013 RETURNED

EMAIL AGENDA                                         AGENDA                  4/16/2013

RECEIVE SIGNED RESOLUTIONS & TAX-RESALE DEED

COUNTY AGENDA             SENT                       DATE

DISTRICT AGENDA           SENT                       DATE

PAID     Earnest DATE              CK/MO#                        AMT PD       $            350.00

         Closing DATE              CK/MO#                        AMT PD
                                                                       plus $30.00 filing fee
RECORDED AT TOM GREEN COUNTY CLERK'S OFFICE

REQUEST CHECKS TO DISTRIBUTE FUNDS

MAIL LETTERS AND DISTRIBUTE FUNDS

SEND LIEN ADJUSTMENT FORM (Mary/Blanca)
 David           Alicia             Cindy              Mike                    Mike
  Hall          Ramirez             Preas              Smith                   Dane

REMOVE FROM CITY OWNED PROPERTY

REMOVE FROM TAX FORECLOSURE LIST

PLACE ON RECORD MANAGEMENT - TAX RESALE SOLD LIST

MAIL ORIGINAL DEED TO NEW OWNER
OBJECTIVE TRUSTEE CHECKLIST
       DATE       SUBDIVISION             NAME         OFFER          SENT TO DAYS RETURNED DAYS AGENDA DAYS      SEND     DAYS    TOTAL
     RECEIVE                                                           LEGAL         LEGAL                      TGC/SAISD           DAYS
 1    08/10/11   Miles                     David Garcia     $1,300.00  08/11/11  1  08/22/11 11   09/06/11 15    09/13/11     7      34
 2    09/09/11   Avondale                     C Mejia      $2,327.00   09/13/11 4   09/19/11  6   10/04/11 15    10/05/11    1       26
 3    09/09/11   Ruby Douglas            F & M Saldivar     $9,000.00  09/13/11  4  09/19/11  6   10/04/11 15    10/05/11     1      26
 4    10/12/11   La Villita Heights       Diana Trevino     $3,000.00  10/13/11  1  10/20/11  7   11/01/11 12      N/A               12
 5    10/27/11   J.B.Harrison            Jessica Ramirez    $3,000.00  10/27/11  0  11/04/11  8   11/15/11 11    11/16/11     1      20
 6    10/31/11   Spencer #1              Jayson J. Jessop   $2,924.00  10/31/11  0  11/04/11  4   11/15/11 11      N/A               11
 7    11/16/11   Lasker                   Martha Green      $2,500.00  11/16/11  0  11/22/11  6   12/06/11 14      N/A               14
 8    12/01/11   Bradford                 Miguel Duran     $1,700.00   12/05/11  4  12/09/11  4   12/20/11 11    01/03/12    14      33
 9    12/01/11   Exall                    Miguel Duran     $1,800.00   12/05/11  4  12/09/11  4   12/20/11 11    01/03/12    14      33
10    12/01/11   Exall                    Miguel Duran     $3,000.00   12/05/11  4  12/09/11  4   12/20/11 11    01/03/12    14      33
11    12/01/11   Forest Park              Miguel Duran     $1,800.00   12/05/11  4  12/09/11  4   12/20/11 11    01/03/12    14      33
12    12/01/11   Forest Park              Miguel Duran     $1,900.00   12/05/11  4  12/09/11  4   12/20/11 11    01/03/12    14      33
13    12/01/11   Forest Park              Miguel Duran     $1,900.00   12/05/11  4  12/09/11  4   12/20/11 11    01/03/12    14      33
14    01/03/12   Bailey                    Mida/Pacetti    $10,250.00 01/05/12   2  01/06/12  1   02/07/12 32    02/08/12     1      36
15    01/31/12   Fort Concho             Christina Banda    $1,206.00  01/31/12  0  02/07/12  7   02/21/12 14    02/22/12     1      22
16    01/31/12   Miles                   Aleyda Saucedo     $2,404.00  01/31/12  0  02/07/12  7   02/21/12 14      N/A               14
17    01/31/12   Forest Park              Robles/Pearcy    $4,000.00   01/31/12 0   02/07/12  7   02/21/12 14    02/22/12    1       22
18    01/31/12   Goren                   Mackle Roberts      $500.00   01/31/12 0   02/07/12  7   02/21/12 14      N/A        0      14
19    01/31/12   Mineola                 Mackle Roberts     $1,100.00  01/31/12  0  02/07/12  7   02/21/12 14    02/22/12     1      22
20    02/22/12   Lasker                Sergio/Cirila Ortiz  $1,000.00  02/27/12  5  03/01/12  3   03/20/12 19    03/20/12     0      27
21    02/21/12   Mineola Annex           Jonathan Pizano    $1,000.00  02/27/12  6  03/06/12  8   03/20/12 14    03/20/12     0      28
22    02/22/12   Mineola Annex            Vaness James      $1,100.00  02/27/12  5  03/01/12  3   03/20/12 19    03/20/12     0      27
23    02/22/12   Mineola Annex            Vaness James      $1,100.00  02/27/12  5  03/01/12  3   03/20/12 19    03/20/12     0      27
24    02/22/12   Avondale              Genivieve Bannert    $1,000.00  02/27/12  5  03/01/12  3   03/20/12 19    03/20/12     0      27
25    02/28/12   Fort Concho             Gustavo Cuellar    $1,100.00  02/28/12  0  03/06/12  7   03/20/12 14    03/20/12     0      21
26    02/28/12   Mineola Annex              Vivian Gist     $1,100.00  02/28/12  0  03/06/12  7   03/20/12 14    03/20/12     0      21
27    02/29/12   Culwell                Gustavo Martinez   $1,000.00   02/29/12  0  03/06/12  6   03/20/12 14    03/20/12    0       20
28    02/24/12   Lake View              Arthur Gonzalez    $1,100.00   03/01/12  6  03/06/12  5   04/03/12 28    04/19/12    16      55
29    03/01/12   Lasker                   Julia Gonzalez    $1,100.00  03/01/12  0  03/06/12  5   03/20/12 14    03/20/12     0      19
30    03/07/12   Hatcher                   Carlos Ryes      $1,500.00  03/07/12  0  03/14/12  7    HOLD #######   HOLD    #VALUE! #VALUE!
31    03/02/12   Miles                Juan & Laura Murillo $1,000.00   03/02/12 0   03/08/12  6   04/17/12 40    03/20/12   -28      18
32    03/20/12   Miles                Juan & Laura Murillo $2,500.00   03/21/12 1   04/17/12 27   04/17/12  0    04/19/12    2       30
33    03/30/12   Mineola Annex            Vaness James      $1,100.00  03/30/12  0  04/17/12 18   04/17/12  0    04/19/12     2      20
34    04/05/12   Goren                 Josephine Graciano   $1,300.00  05/03/12 28  05/16/12 13   06/05/12 20    06/06/12     1      62
35    04/06/12   Ben Ficklin #2        Elizabeth Espinoza  $1,300.00   05/03/12 27  05/16/12 13   06/05/12 20    06/06/12    1       61
36    05/02/12   Hatcher                  Esther Perales   $3,388.00   05/03/12 1   05/17/12 14   06/05/12 19    06/06/12    1       35
37    05/04/12   Arroya                     Tad Logan        $750.00   05/08/12 4   05/17/12  9   06/05/12 19    06/06/12    1       33
38    05/15/12   Fort Concho Vista         Ray Rangel      $1,400.00   05/15/12  0  05/18/12  3   06/05/12 18    06/06/12     1      22
39   05/18/12   Lasker           Darrell/Marta Jones    $950.00     05/21/12     3    -41050   06/19/12   41079   -41079   -41047
40   05/17/12   Probst & Page     Garcia-Galindo       $1,500.00    05/21/12     4    -41050   06/19/12   41079   -41079   -41046
41   05/25/12   Miles                  Palmer          $2,500.00    05/25/12     0    -41054   06/19/12   41079   -41079   -41054
42   05/25/12   James Williams     Brewer-Munoz        $1,500.00    05/25/10   -731   -40323   06/19/12   41079   -41079   -41054
43
44                                                                              0       0                   0       0        0
45
46
47                                                                              0       0                   0       0        0
48
49
50                                                                              0       0                   0       0        0
51
52
53                                                                              0       0                   0       0        0

                                                       $81,475.00
CLOSING TRUSTEE LOTS
                                              ACCEPTED OFFER               4/1/2013
                                                         SUIT #          TAX89-0032B

                                                     ACCOUNT #        20-34900-0005-009-00

WRITTEN OFFER BY          DATE         4/1/2013              BY Mackle & Jacqueline Roberts

MEMO                                                              ü
PROPERTY ANALYSIS                                                 ü
RESOLUTION AUTHORIZING SALE OF REAL PROPERTY                      ü
RESOLUTION AUTHORIZING TAX RESALE COUNTY                          ü
RESOLUTION AUTHORIZING TAX RESALE SCHOOL                          ü
MAP                                                               ü

VERIFICATION SENT           4/1/2013 TGCAD                            CITY

REQUEST FOR LEGAL ASSISTANCE                  SENT     4/1/2013 RETURNED

EMAIL AGENDA                                          AGENDA                 4/19/2013

RECEIVE SIGNED RESOLUTIONS & TAX-RESALE DEED

COUNTY AGENDA             SENT                        DATE

DISTRICT AGENDA           SENT                        DATE

PAID     Earnest DATE       4/1/2013 CK/MO#    CC/Rcpt. #156727 AMT PD        $             350.00

         Closing DATE              CK/MO#                         AMT PD
                                                                        plus $30.00 filing fee
RECORDED AT TOM GREEN COUNTY CLERK'S OFFICE

REQUEST CHECKS TO DISTRIBUTE FUNDS

MAIL LETTERS AND DISTRIBUTE FUNDS

SEND LIEN ADJUSTMENT FORM (Mary/Blanca)
 David           Alicia              Cindy              Mike                    Mike
  Hall          Ramirez              Preas              Smith                   Dane

REMOVE FROM CITY OWNED PROPERTY

REMOVE FROM TAX FORECLOSURE LIST

PLACE ON RECORD MANAGEMENT - TAX RESALE SOLD LIST

MAIL ORIGINAL DEED TO NEW OWNER
OBJECTIVE TRUSTEE CHECKLIST
       DATE       SUBDIVISION             NAME         OFFER          SENT TO DAYS RETURNED DAYS AGENDA DAYS      SEND     DAYS    TOTAL
     RECEIVE                                                           LEGAL         LEGAL                      TGC/SAISD           DAYS
 1    08/10/11   Miles                     David Garcia     $1,300.00  08/11/11  1  08/22/11 11   09/06/11 15    09/13/11     7      34
 2    09/09/11   Avondale                     C Mejia      $2,327.00   09/13/11 4   09/19/11  6   10/04/11 15    10/05/11    1       26
 3    09/09/11   Ruby Douglas            F & M Saldivar     $9,000.00  09/13/11  4  09/19/11  6   10/04/11 15    10/05/11     1      26
 4    10/12/11   La Villita Heights       Diana Trevino     $3,000.00  10/13/11  1  10/20/11  7   11/01/11 12      N/A               12
 5    10/27/11   J.B.Harrison            Jessica Ramirez    $3,000.00  10/27/11  0  11/04/11  8   11/15/11 11    11/16/11     1      20
 6    10/31/11   Spencer #1              Jayson J. Jessop   $2,924.00  10/31/11  0  11/04/11  4   11/15/11 11      N/A               11
 7    11/16/11   Lasker                   Martha Green      $2,500.00  11/16/11  0  11/22/11  6   12/06/11 14      N/A               14
 8    12/01/11   Bradford                 Miguel Duran     $1,700.00   12/05/11  4  12/09/11  4   12/20/11 11    01/03/12    14      33
 9    12/01/11   Exall                    Miguel Duran     $1,800.00   12/05/11  4  12/09/11  4   12/20/11 11    01/03/12    14      33
10    12/01/11   Exall                    Miguel Duran     $3,000.00   12/05/11  4  12/09/11  4   12/20/11 11    01/03/12    14      33
11    12/01/11   Forest Park              Miguel Duran     $1,800.00   12/05/11  4  12/09/11  4   12/20/11 11    01/03/12    14      33
12    12/01/11   Forest Park              Miguel Duran     $1,900.00   12/05/11  4  12/09/11  4   12/20/11 11    01/03/12    14      33
13    12/01/11   Forest Park              Miguel Duran     $1,900.00   12/05/11  4  12/09/11  4   12/20/11 11    01/03/12    14      33
14    01/03/12   Bailey                    Mida/Pacetti    $10,250.00 01/05/12   2  01/06/12  1   02/07/12 32    02/08/12     1      36
15    01/31/12   Fort Concho             Christina Banda    $1,206.00  01/31/12  0  02/07/12  7   02/21/12 14    02/22/12     1      22
16    01/31/12   Miles                   Aleyda Saucedo     $2,404.00  01/31/12  0  02/07/12  7   02/21/12 14      N/A               14
17    01/31/12   Forest Park              Robles/Pearcy    $4,000.00   01/31/12 0   02/07/12  7   02/21/12 14    02/22/12    1       22
18    01/31/12   Goren                   Mackle Roberts      $500.00   01/31/12 0   02/07/12  7   02/21/12 14      N/A        0      14
19    01/31/12   Mineola                 Mackle Roberts     $1,100.00  01/31/12  0  02/07/12  7   02/21/12 14    02/22/12     1      22
20    02/22/12   Lasker                Sergio/Cirila Ortiz  $1,000.00  02/27/12  5  03/01/12  3   03/20/12 19    03/20/12     0      27
21    02/21/12   Mineola Annex           Jonathan Pizano    $1,000.00  02/27/12  6  03/06/12  8   03/20/12 14    03/20/12     0      28
22    02/22/12   Mineola Annex            Vaness James      $1,100.00  02/27/12  5  03/01/12  3   03/20/12 19    03/20/12     0      27
23    02/22/12   Mineola Annex            Vaness James      $1,100.00  02/27/12  5  03/01/12  3   03/20/12 19    03/20/12     0      27
24    02/22/12   Avondale              Genivieve Bannert    $1,000.00  02/27/12  5  03/01/12  3   03/20/12 19    03/20/12     0      27
25    02/28/12   Fort Concho             Gustavo Cuellar    $1,100.00  02/28/12  0  03/06/12  7   03/20/12 14    03/20/12     0      21
26    02/28/12   Mineola Annex              Vivian Gist     $1,100.00  02/28/12  0  03/06/12  7   03/20/12 14    03/20/12     0      21
27    02/29/12   Culwell                Gustavo Martinez   $1,000.00   02/29/12  0  03/06/12  6   03/20/12 14    03/20/12    0       20
28    02/24/12   Lake View              Arthur Gonzalez    $1,100.00   03/01/12  6  03/06/12  5   04/03/12 28    04/19/12    16      55
29    03/01/12   Lasker                   Julia Gonzalez    $1,100.00  03/01/12  0  03/06/12  5   03/20/12 14    03/20/12     0      19
30    03/07/12   Hatcher                   Carlos Ryes      $1,500.00  03/07/12  0  03/14/12  7    HOLD #######   HOLD    #VALUE! #VALUE!
31    03/02/12   Miles                Juan & Laura Murillo $1,000.00   03/02/12 0   03/08/12  6   04/17/12 40    03/20/12   -28      18
32    03/20/12   Miles                Juan & Laura Murillo $2,500.00   03/21/12 1   04/17/12 27   04/17/12  0    04/19/12    2       30
33    03/30/12   Mineola Annex            Vaness James      $1,100.00  03/30/12  0  04/17/12 18   04/17/12  0    04/19/12     2      20
34    04/05/12   Goren                 Josephine Graciano   $1,300.00  05/03/12 28  05/16/12 13   06/05/12 20    06/06/12     1      62
35    04/06/12   Ben Ficklin #2        Elizabeth Espinoza  $1,300.00   05/03/12 27  05/16/12 13   06/05/12 20    06/06/12    1       61
36    05/02/12   Hatcher                  Esther Perales   $3,388.00   05/03/12 1   05/17/12 14   06/05/12 19    06/06/12    1       35
37    05/04/12   Arroya                     Tad Logan        $750.00   05/08/12 4   05/17/12  9   06/05/12 19    06/06/12    1       33
38    05/15/12   Fort Concho Vista         Ray Rangel      $1,400.00   05/15/12  0  05/18/12  3   06/05/12 18    06/06/12     1      22
39   05/18/12   Lasker           Darrell/Marta Jones    $950.00     05/21/12     3    -41050   06/19/12   41079   -41079   -41047
40   05/17/12   Probst & Page     Garcia-Galindo       $1,500.00    05/21/12     4    -41050   06/19/12   41079   -41079   -41046
41   05/25/12   Miles                  Palmer          $2,500.00    05/25/12     0    -41054   06/19/12   41079   -41079   -41054
42   05/25/12   James Williams     Brewer-Munoz        $1,500.00    05/25/10   -731   -40323   06/19/12   41079   -41079   -41054
43
44                                                                              0       0                   0       0        0
45
46
47                                                                              0       0                   0       0        0
48
49
50                                                                              0       0                   0       0        0
51
52
53                                                                              0       0                   0       0        0

                                                       $81,475.00
PARTIAL RELEASE OF LIEN

Holder of Lien: City of San Angelo, Tom Green County, Texas, a Texas home-rule municipal corporation

Holder’s Mailing Address (including county): c/o City Attorney
                                             72 W College Avenue
                                             San Angelo, Tom Green County, TX 76903

Owner of Property at Time Liens were Filed: C.W. Turner dec’d, a/k/a W.C. Turner

Liens are Described in the Following Documents:

   1. That one certain Lien recorded in Instrument Number 608245, of the Official Public Records of Real
      Property, Tom Green County, Texas.
   2. That one certain Lien recorded in Instrument Number 678661, of the Official Public Records of Real
      Property, Tom Green County, Texas.

Property (including any improvements) to be Released from Lien:

       Being Lot 12, Block 5E, Chapman Subdivision, City of San Angelo, Tom Green County, Texas.

Holder of the lien acknowledges partial payment or other satisfaction of indebtedness secured thereby and
releases from the lien only the property described above.

When the context requires, singular nouns and pronouns include the plural.

       EXECUTED on the _______ day of _____________________, 2013.


                                            CITY OF SAN ANGELO
                                            a Texas home-rule municipal corporation


                                            BY:
                                                   Michael Dane, Assistant City Manager
STATE OF TEXAS      §
COUNTY OF TOM GREEN §

      This instrument was acknowledged before me on the ______ day of _________________, 2013, by
Michael Dane, as Assistant City Manager of the City of San Angelo, a Texas home-rule municipal corporation,
on behalf of said corporation.



                                                   Notary Public, State of Texas
WRITTEN OFFER

March 27, 2013


Mayor Alvin New
c/o Real Estate Division
City Attorney’s Office
72 W College Avenue
San Angelo, TX 76903


RE: B-07-0200-T

I, John S. Pearcy, a single person, submit a written offer in the amount of $2,500.00 for the
property described as follows:

       Lots 12, Block 5 “E”, Chapman’s Subdivision of Blocks 4 and 5, Freeland’s
       Addition, City of San Angelo, Tom Green County, Texas, as described in Volume
       182, Page 208, Deed Records of Tom Green County, Texas.
       Account #05-17700-0005-012-00

I understand there is an additional $30.00 filing fee.

I understand I must provide a Certified or Cashier’s Check in the sum of $350.00. I also
understand that this earnest money shall be made payable without condition to the City of San
Angelo, Texas and is non-refundable once the offer has been accepted by the Property Manager.
Monies furnished as “earnest money” will be credited towards the sales price.

I understand I can not owe any delinquent taxes or fees to any of the taxing entities (City of San
Angelo, Tom Green County, and San Angelo Independent School District).

I understand that I have sixty (60) days from the date of purchase to notify the City Property
Manager of any City Liens; if I do not, I understand that I will be monetarily responsible for all
unpaid Liens.

If approved by the City Council, please make deed in the name(s) of:

John S. Pearcy
2726 Alta Vista
San Angelo, TX 76904

325-942-9939 or 432-528-3754

Sincerely,


John S. Pearcy
WRITTEN OFFER

April 1, 2013


Mayor Alvin New
c/o Real Estate Division
City Attorney’s Office
72 W College Avenue
San Angelo, TX 76903

RE: TAX90-0082B

I, Salvador Deanda, a single person, submit a written offer in the amount of $750.00 for the
property described as follows:

       The North ½ of Lot 7, Block 3, Akin Addition, City of San Angelo, as described
       in Volume 478, Page 95, Deed Records of Tom Green County, Texas.
       Account #01-10100-003-009-00

I understand there is an additional $30.00 filing fee.

I understand I must provide a Certified or Cashier’s Check in the sum of $350.00. I also
understand that this earnest money shall be made payable without condition to the City of San
Angelo, Texas and is non-refundable once the offer has been accepted by the Property Manager.
Monies furnished as “earnest money” will be credited towards the sales price.

I understand I can not owe any delinquent taxes or fees to any of the taxing entities (City of San
Angelo, Tom Green County, and San Angelo Independent School District).

I understand that I have sixty (60) days from the date of purchase to notify the City Property
Manager of any City Liens; if I do not, I understand that I will be monetarily responsible for all
unpaid Liens.

If approved by the City Council, please make deed in the name(s) of:

Salvador Deanda
503 S Washington
San Angelo, TX 76901

325-650-4341 or 325-658-3043

Sincerely,


Salvador Deanda
WRITTEN OFFER

April 1, 2013


Mayor Alvin New
c/o Real Estate Division
City Attorney’s Office
72 W College Avenue
San Angelo, TX 76903

RE: TAX89-0364B

I, Salvador Deanda, a single person, submit a written offer in the amount of $750.00 for the
property described as follows:

       The South 80 feet of the East 12 2/3 Feet of Lot 8, the South 80 Feet of Lot 7, and
       the South 80 Feet of the West 1 5/6 Feet of Lot 6, Block 3, Akin’s Addition, City
       of San Angelo, as described in Volume 234, Page 485, Deed Records of Tom
       Green County, Texas.
       Account #01-10100-0003-008-00

I understand there is an additional $30.00 filing fee.

I understand I must provide a Certified or Cashier’s Check in the sum of $350.00. I also
understand that this earnest money shall be made payable without condition to the City of San
Angelo, Texas and is non-refundable once the offer has been accepted by the Property Manager.
Monies furnished as “earnest money” will be credited towards the sales price.

I understand I can not owe any delinquent taxes or fees to any of the taxing entities (City of San
Angelo, Tom Green County, and San Angelo Independent School District).

I understand that I have sixty (60) days from the date of purchase to notify the City Property
Manager of any City Liens; if I do not, I understand that I will be monetarily responsible for all
unpaid Liens.

If approved by the City Council, please make deed in the name(s) of:

Salvador Deanda
503 S Washington
San Angelo, TX 76901

325-650-4341 or 325-658-3043

Sincerely,


Salvador Deanda
WRITTEN OFFER

March 27, 2013


Mayor Alvin New
c/o Real Estate Division
City Attorney’s Office
72 W College Avenue
San Angelo, TX 76903


RE: B-09-0050-T

I, John S. Pearcy, a single person, submit a written offer in the amount of $2,500.00 for the
property described as follows:

       Lot 30, Block 2B, George Allen Addition, City of San Angelo, being more
       particularly described in Volume 1131, Page 119, Official Public Records of Tom
       Green County, Texas.
       Account #01-10500-0002-027-00

I understand there is an additional $30.00 filing fee.

I understand I must provide a Certified or Cashier’s Check in the sum of $350.00. I also
understand that this earnest money shall be made payable without condition to the City of San
Angelo, Texas and is non-refundable once the offer has been accepted by the Property Manager.
Monies furnished as “earnest money” will be credited towards the sales price.

I understand I can not owe any delinquent taxes or fees to any of the taxing entities (City of San
Angelo, Tom Green County, and San Angelo Independent School District).

I understand that I have sixty (60) days from the date of purchase to notify the City Property
Manager of any City Liens; if I do not, I understand that I will be monetarily responsible for all
unpaid Liens.

If approved by the City Council, please make deed in the name(s) of:

John S. Pearcy
2726 Alta Vista
San Angelo, TX 76904

325-942-9939 or 432-528-3754

Sincerely,


John S. Pearcy
WRITTEN OFFER

April 2, 2013


Mayor Alvin New
c/o Real Estate Division
City Attorney’s Office
72 W College Avenue
San Angelo, TX 76903

RE: TAX89-0217B

I, Marlow Lewis, a single person, and Carletta McKinney, a single person, submit a written offer
in the amount of $750.00 for the property described as follows:

       The South 50 feet of the North 447.7 feet of Block 8 of the E.S. Kirby
       Subdivision, City of San Angelo, as described in Volume 687, Page 547, Deed
       Records of Tom Green County, Texas.
       Account #15-30200-0008-019-00

I understand there is an additional $30.00 filing fee.

I understand I must provide a Certified or Cashier’s Check in the sum of $350.00. I also
understand that this earnest money shall be made payable without condition to the City of San
Angelo, Texas and is non-refundable once the offer has been accepted by the Property Manager.
Monies furnished as “earnest money” will be credited towards the sales price.

I understand I can not owe any delinquent taxes or fees to any of the taxing entities (City of San
Angelo, Tom Green County, and San Angelo Independent School District).

I understand that I have sixty (60) days from the date of purchase to notify the City Property
Manager of any City Liens; if I do not, I understand that I will be monetarily responsible for all
unpaid Liens.

If approved by the City Council, please make deed in the name(s) of:

Marlow Lewis & Carletta McKinney
P.O. Box 720557
Houston, TX 77272

325-281-961-4371 or 432-271-6304

Sincerely,


Marlow Lewis                                                Carletta McKinney
WRITTEN OFFER

April 2, 2013


Mayor Alvin New
c/o Real Estate Division
City Attorney’s Office
72 W College Avenue
San Angelo, TX 76903


RE: B-95-0055-T

I, Marlow Lewis, a single person, and Carletta McKinney, a single person, submit a written offer
in the amount of $750.00 for the property described as follows:

       Lot 3, Block 31, Miles Addition, as described in Volume 186, Page 339, Deed
       Records of Tom Green County, Texas.
       Account #18-34200-0031-003-00

I understand there is an additional $30.00 filing fee.

I understand I must provide a Certified or Cashier’s Check in the sum of $350.00. I also
understand that this earnest money shall be made payable without condition to the City of San
Angelo, Texas and is non-refundable once the offer has been accepted by the Property Manager.
Monies furnished as “earnest money” will be credited towards the sales price.

I understand I can not owe any delinquent taxes or fees to any of the taxing entities (City of San
Angelo, Tom Green County, and San Angelo Independent School District).

I understand that I have sixty (60) days from the date of purchase to notify the City Property
Manager of any City Liens; if I do not, I understand that I will be monetarily responsible for all
unpaid Liens.

If approved by the City Council, please make deed in the name(s) of:

Marlow Lewis & Carletta McKinney
P.O. Box 720557
Houston, TX 77272

325-281-961-4371 or 432-271-6304

Sincerely,


Marlow Lewis                                                Carletta McKinney
WRITTEN OFFER

March 27, 2013


Mayor Alvin New
c/o Real Estate Division
City Attorney’s Office
72 W College Avenue
San Angelo, TX 76903


RE: B-09-0050-T

I, John S. Pearcy, a single person, submit a written offer in the amount of $2,500.00 for the property
described as follows:

        Lot 3, Block 93, Dallas Subdivision of Miles Addition No. 2, known as Angelo Heights
        Addition, an addition to the City of San Angelo, Tom Green County, Texas, according to
        the map or plat thereof, recorded in Volume 54, Page 168, Deed Records of Tom Green
        County, Texas.
        Account #01-11000-0093-003-00

I understand there is an additional $30.00 filing fee.

I understand I must provide a Certified or Cashier’s Check in the sum of $350.00. I also understand that
this earnest money shall be made payable without condition to the City of San Angelo, Texas and is non-
refundable once the offer has been accepted by the Property Manager. Monies furnished as “earnest
money” will be credited towards the sales price.

I understand I can not owe any delinquent taxes or fees to any of the taxing entities (City of San Angelo,
Tom Green County, and San Angelo Independent School District).

I understand that I have sixty (60) days from the date of purchase to notify the City Property Manager of
any City Liens; if I do not, I understand that I will be monetarily responsible for all unpaid Liens.

If approved by the City Council, please make deed in the name(s) of:

John S. Pearcy
2726 Alta Vista
San Angelo, TX 76904

325-942-9939 or 432-528-3754

Sincerely,



John S. Pearcy
City of San Angelo



Memo
 Date:         April 4, 2013
 To:           Mayor and Councilmembers
 From:         Ricky Dickson, Water Utilities Director
 Subject:      Consent Item for April 16, 2013 Council Meeting
 Contact:      Ricky Dickson, Water Utilities Director, 657-4209

 Caption:        Consideration of approving a Recreational or Agricultural Lease
 agreement with MK-Allan Enterprises, Inc., a Texas corporation for 9.77 acres of
 land located adjacent to the Concho River and authorizing the City Manager or
 Water Utilities Director to execute the same.


 Summary: Allan Temperton, President of MK-Allan Enterprises, Inc,. is owner of the adjacent
 property and desires to enter into a new Recreational or Agricultural Lease agreement .

 History:      This property has not been leased by previous adjacent property owners.

 Financial Impact: Lease fee will be $569.00 per year as computed on Exhibit B (attached).

 Related Vision Item (if applicable): None.

 Other Information/Recommendation: It is recommended that the lease be approved
 and the Water Utilities Director be authorized to execute the lease. Staff recommends
 approval.

 Attachments: Lease Agreement; Exhibit B

 Presentation: None.

 Publication: None.

 Reviewed by Service Area Director: Ricky Dickson, Water Utilities Director,
                                    April 4, 2013
EXHIBIT “B”


LEASE FEE:

             9.77 acres X $12.00 per acre   =   $117.00


             Recreational Fee               =   $200.00


RIVER FRONTAGE FEE

             1,009 feet X $0.25 per foot    =   $252.00


             Total Annual Fee               =   $569.00
THE STATE OF TEXAS             }                   RECREATIONAL OR

COUNTY OF TOM GREEN            }                   AGRICULTURAL LEASE


     WHEREAS, the City of San Angelo owns property near or adjacent to Lake
Nasworthy and the South Concho River; and

      WHEREAS, this land has been designated as future park property by the Master
Park Plan of the City; and

       WHEREAS, pending development of said lands, the City Council has decided to
lease certain lands near or adjacent to the Lake or River, and any such lease to be no
longer than five (5) years and to be cancelable within sixty (60) days after receipt of
written notice of such cancellation by the City when it decides to use said land for public
purposes.

         NOW, THEREFORE: The City of San Angelo, Texas, a Municipal Corporation,
duly organized and incorporated under the constitution and laws of the State of Texas,
hereinafter known as Lessor, acting by and through its duly authorized Director of Water
Utilities, Ricky Dickson, and MK-Allan Enterprises, Inc. (Allan Temperton, President),
hereinafter known as Lessee, hereby enter into a lease agreement and contract as
follows:

1.    Lessor hereby leases to Lessee approximately 9.77 acres of land, as shown in
      Exhibit "A" attached hereto. This lease is granted for a period of five (5) years
      beginning May 1, 2013 and ending April 30, 2018, in consideration of the initial
      payment of the $644.00 which includes the $75.00 granting fee and the 2013
      annual lease fee of $569.00, receipt of which payment is hereby acknowledged,
      and the further consideration of Lessee's payment of future annual rent in
      accordance with subsequent paragraphs hereof and Lessee's compliance with
      the stipulations and conditions hereinafter set forth.

      Lessee shall pay annual rent to Lessor at the San Angelo Water Utilities
      Department, 72 W. College, San Angelo, Texas, 76903, or at such other place as
      Lessor may from time to time designate by written notice to Lessee. Such rent
      shall be paid annually on or before May 1 during the term of this lease.

      Lessee is to pay Lessor the sum of $569.00 per year as computed on Exhibit "B"
      attached hereto.

      Lessor shall have the right to make a rate adjustment three (3) years from the
      execution date of this lease and upon any renewal of this lease.



                                            1
Lessee shall pay to Lessor a late charge and/or interest for any rent received by
     Lessor after the date that the rent is due in accordance with established
     ordinances, provided however, that this provision for late charges or interest shall
     not be construed as a waiver of the right of Lessor to terminate this lease at its
     option as authorized herein.

     Any holding over by Lessee of the herein leased premises after the expiration of
     this lease shall operate and be construed only as a tenancy from month to
     month, terminable at the will of Lessor.

2.   Lessee shall look after and care for all pecan trees on said land to see that they
     are not damaged except from acts of God. Pecans produced from said land shall
     be the property of the Lessee.

     Lessee shall not remove any trees from the leased property without first
     obtaining permission from the Director of Water Utilities.

     Lessee may not remove any trees for purposes of sale.

3.   Lessee is to maintain all fences and other improvements now on said property in
     as good repair as when received by lessee, at lessee’s own expense, subject to
     reasonable use, ordinary wear and tear, acts of God and public enemies only
     excepted.

     Lessee agrees to not over stock the property with livestock such that the land
     would become overgrazed.        Should in the opinion of the Lessor after
     investigation, it be determined that the property is or has been overgrazed;
     Lessee shall immediately reduce stocking rates to levels acceptable to Lessor
     such that the grasses and vegetation may have an opportunity to achieve
     reasonable regrowth.

     Lessee may place temporary improvements on the land but such improvements
     shall be for purposes of recreation only. Improvements shall not contain any
     walls or be more than 10 feet in height. Improvements for other purposes are
     prohibited. Nothing shall be constructed, placed, or planted on the leased
     premises (including, but not limited to the addition or movement of soil, the
     planting of shrubs, or the construction of fences) which will in any way obstruct
     the natural flow of drainage or of rising water.

     Nothing containing plumbing of any type may be placed on the premises.

     A permit shall be obtained prior to placement of any improvement on the property
     and the improvements shall be constructed in accordance with all applicable
     codes, laws, rules or regulations.


                                          2
Improvements placed on said property with the approval of Lessor may be
     removed by Lessee, at his own expense, provided he removes same within thirty
     (30) days from the termination of this lease and does not damage the leased
     property thereby.

     Lessee further agrees to deliver the leased property back to Lessor in as good
     condition as it was at the time he took possession of said property.

4.   Lessee agrees not to assign this Lease or sublet same in whole or in part without
     written permission from Lessor, or its agents, in the event of which such
     permission is not first obtained, this Lease shall be forfeited at the option of the
     Lessor or its agents.

     This lease is granted to Lessee under the assumption that Lessee is the owner
     or leaseholder of the private property adjacent to this lease. Should Lessee ever
     cease to be the adjacent owner or leasehold of the private property adjacent to
     this lease, this Lease shall automatically become null and void and the City shall
     not be liable for refunding any lease fees to Lessee that may have been prepaid
     for the lease area.

5.   Lessor, its agents or assigns, reserve the right at any time to execute and deliver
     valid oil, gas and other mineral leases and valid right-of-way easements for gas,
     oil, water, or sewer pipe lines, telephone, telemetry, or electric transmission lines
     covering said premises, or any part thereof. In such event, this lease shall be
     subject and subordinate to the rights, terms, and privileges of any such oil, gas or
     other mineral lease or other such easements as may have been executed
     heretofore or hereafter by Lessor, its agents or assigns.

6.   The parties hereto acknowledge that said tract is within an area subject to
     overflow and flooding and it is expressly agreed between the parties that neither
     Lessor nor any of its agents or employees shall be liable to Lessee for any
     damages caused in any manner, negligent or otherwise, by high water or floods
     at Lake Nasworthy, Twin Buttes, and of the rivers or creeks which serve as its
     sources of supply or diversion channels, nor by reason of any work deemed
     necessary in Lessor's sole judgment in the maintenance of said lakes and
     sources of supply or diversion channels, and all damages occasioned thereby
     are hereby waived, and when Lessor(or any agent thereof) deems it necessary to
     enter on said land for any of the above purposes, its judgment shall be
     conclusive.

7.   Lessee, subject to any local, state, or federal law or regulation, may use water
     from the lake, river, and/or wells on the property for domestic purpose and
     watering of existing trees and shrubs, but no water is to go off the premises. Use
     of water for irrigation is expressly prohibited. Lessee shall use water in a
     conservative manner, and any abusive use of water shall be grounds for denying

                                           3
the use of water to the Lessee. Lessee shall pay the raw water use charges as
      set by the City.

      No wells are to be drilled on the premises without first obtaining a permit from
      Lessor. Lessor in no way guarantees neither the accessibility of water nor the
      level of water.

8.    Lessor reserves the exclusive right, for itself and assigns, to erect and maintain
      billboards, signs, and displays, commercial or otherwise, upon, across, or over
      and above the described tract.

9.    Lessor reserves the right to cancel all or any part of this lease for a public
      purpose and to construct, build, operate, and maintain roads or bridges or utility
      lines upon, across, or over said tract or any portion thereof; provided however, in
      the event Lessor should elect to do so, the rental amount shall be recomputed as
      determined by the procedure and formulas set forth in Exhibit “B”.

      Should said tract become unusable for recreational and agricultural purposes by
      reason of such use by Lessor, this lease will terminate and Lessee shall be
      refunded a proportionate amount of the rental for the period of the unused term.

10.   Lessee hereby covenants and agrees at all times to indemnify and save
      harmless Lessor from and against any loss, cost, liability or expense arising out
      of any claim of any person, firm or corporation whatsoever by reason of death,
      bodily injury, sickness, disease or damage to or destruction of property, in any
      manner connected with or arising out of the use and occupancy of the leased
      premises by Lessee.

11.   If Lessee fails to comply with any part of this contract or is found to have violated
      any City ordinance regarding the lake or river property, Lessor may, at its option,
      terminate this contract and forcibly eject Lessee and all parties there from without
      being guilty of trespass or liable for damages.

      Lessee agrees at the termination of this lease to deliver possession peacefully to
      Lessor or its agents, and if lessee fails to give peaceful possession, Lessor may
      take forceful possession of said premises and eject all parties there from without
      being guilty of trespass, and all damages occasioned thereby are hereby waived.

12.   Lessee further agrees not to remove, or permit anyone else to remove, from the
      property covered by this lease any sand, gravel, rock, soil, or any other like
      article without written permission and authority from Lessor or its agents.

13.   It is further understood and agreed between the parties that each and every
      provision and requirement contained herein is of the essence of this contract, the


                                            4
violation of which shall entitle the other party, at its option, to terminate this
      contract.

14.   This contract constitutes the entire agreement between the parties hereto, and
      Lessor is not bound by any agreement, condition, stipulation, understanding or
      representation made by any of the Lessor's agents not contained herein.

15.   All notices concerning this lease shall be in writing and delivered to the parties at
      the addresses below:



      LESSEE:       Allan Temperton, President
                    MK-Allan Enterprises, Inc.
                    764 Royal Oaks Loop
                    Fredericksburg, Texas 78624

      LESSOR:       City of San Angelo
                    Water Utilities Department
                    72 W. College
                    San Angelo, Texas 76903




                               [Signature Page to Follow]




                                            5
EXECUTED in duplicate originals on the _____day of __________________, 20___ by:



                                      LESSEE

                                      _________________________________
                                      Allan Temperton, President
                                      MK-Allan Enterprises, Inc.




STATE OF TEXAS                 §
COUNTY OF TOM GREEN            §

     This instrument was acknowledged before me on the ___day of ___________,
20_____ by Allan Temperton.



                                      ___________________________________
                                      Notary Public, State of Texas




                                      CITY OF SAN ANGELO, LESSOR

                                      BY: ________________________________
                                          Ricky Dickson, Director, Water Utilities




THE STATE OF TEXAS             §
COUNTY OF TOM GREEN            §

  This instrument was acknowledged before me on the _____day of _____________,
2013 by Ricky Dickson, Water Utilities Director, of the City of San Angelo, a Texas
municipal corporation, on behalf of said corporation.

                                      ___________________________________
                                      Notary Public, State of Texas


                                        6
City of San Angelo



Memo
 Date:                 April 3, 2013

 To:                   Mayor and Councilmembers

 From:                 Rick Weise, Assistant City Manager
                       Ricky Dickson, Water Utilities Director

 Subject:              Agenda Item for April 16, 2013 Council Meeting

 Contact:              Rick Weise, Assistant City Manager and Ricky Dickson, Water Utilities
                       Director

 Caption:              Consent Item

                       CONSIDERATION OF ADOPTING A RESOLUTION AUTHORIZING THE CITY
                       MANAGER TO EXECUTE A SECOND AMENDMENT TO COMMERCIAL LEASE
                       AGREEMENT WITH LESSEE, LEE BROWN AND GALE BROWN , d/b/a SPRING
                       CREEK MARINA, AT LAKE NASWORTHY, SPECIFICALLY-DESCRIBING THE
                       LEASED PREMISES, PROVIDING FOR THE NON-EXCLUSIVE JOINT USE OF
                       CERTAIN AREAS OF THE LEASED PREMISES, AND REVISING
                       INDEMNIFICATION AND INSURANCE REQUIREMENTS OF LESSEE

 Summary:              City, Lessor, and Lee Brown and Gale Brown, Lessee, desire to execute a Second
                       Amendment to Commercial Lease Agreement to: specifically describe the Leased
                       Premises, provide for non-exclusive joint use of certain areas during city
                       sponsored special events, and revise indemnification and insurance requirements
                       of Lessee.

 History:              City and Lessee entered into a Commercial Lease Agreement on May 5, 2005, for
                       the area known as Spring Creek Marina at Lake Nasworthy. The parties entered
                       into a First Amendment to Lease on March 8, 2010, permitting Lessee to construct
                       and install floating docks to replace existing docks.

 Financial Impact:     None

 Related Vision Item

 (if applicable):

 Other Information/    Staff recommends approval.
 Recommendation:

 Attachments:          Resolution and Second Amendment to Commercial Lease Agreement Spring
                       Creek Marina
 Presentation:         N/A

 Publication:          N/A

 Reviewed by           Rick Weise and Ricky Dickson
 Director:

 Approved by Legal:


                                                                                               Adopted: 5/30/03
                                                                                               Revised: 6/21/10
A RESOLUTION OF THE CITY OF SAN ANGELO, TEXAS,
       AUTHORIZING THE CITY MANAGER TO EXECUTE A SECOND
       AMENDMENT TO COMMERCIAL LEASE AGREEMENT WITH
       LESSEE, LEE BROWN AND GALE BROWN, d/b/a SPRING CREEK
       MARINA, AT LAKE NASWORTHY, TO: SPECIFICALLY DESCRIBE
       THE LEASED PREMISES, PROVIDE FOR JOINT NON-EXCLUSIVE
       USE OF CERTAIN AREAS OF THE LEASED PREMISES, AND REVISE
       INDEMNIFICATION AND INSURANCE REQUIREMENTS OF LESSEE

       WHEREAS, on May 5, 2007, the City, Lessor, and Lee Brown and Gale Brown
(Lessee) entered into a commercial lease agreement for the lease of the Spring Creek
Marina at Lake Nasworthy; and,

       WHEREAS, the commercial lease agreement was first amended by written First
Amendment on March 8, 2010, permitting Lessee to replace existing dock facilities with
new, floating docks; and,

       WHEREAS, the parties propose to amend the commercial lease agreement by
Second Amendment, to specifically describe the Leased Premises, provide for the non-
exclusive, joint use by the parties of certain areas of the Leased Premises and update
indemnification and insurance requirements of Lessee:

      NOW THEREFORE BE IT RESOLVED BY THE CITY COUNCIL OF THE
CITY OF SAN ANGELO, TEXAS THAT:

       The City Manager is hereby authorized to execute a Second Amendment to
Commercial Lease Agreement with Lee Brown and Gale Brown, d/b/a Spring Creek
Marina, at Lake Nasworthy, specifically describing the Leased Premises, providing for
the non-exclusive joint use of certain areas of the Leased Premises, and revising the
indemnification and insurance requirements of Lessee.

       PASSED and APPROVED THIS                   DAY OF                      , 2013.

                                          CITY OF SAN ANGELO, TEXAS

ATTEST:
                                          Alvin New, Mayor

Alicia Ramirez, City Clerk

APPROVED AS TO CONTENT                    APPROVED AS TO FORM


Ricky Dickson, Water Utilities Director   Lysia Bowling, City Attorney
A RESOLUTION OF THE CITY OF SAN ANGELO
       AUTHORIZING THE CITY MANAGER TO EXECUTE A FIRST
       AMENDMENT TO LAKE NASWORTHY CRUISE BOAT
       CONCESSION AGREEMENT TO: PROVIDE FOR A PRORATED
       CREDIT AGAINST THE ANNUAL FIXED BASE PAYMENT FOR
       DAYS DURING A CONTRACT YEAR IN WHICH LAKE LEVEL
       IS INSUFFICIENT FOR OPERATION OF THE CRUISE BOAT
       CONCESSION; CLARIFY THE BEGINNING AND ENDING
       MONTHS APPLICABLE TO THE ANNUAL FIXED BASE
       PAYMENT SCHEDULE; AND DESCRIBE THE CONCESSION
       PREMISES

       WHEREAS, the City of San Angelo (City) and Wayne Nickell, (Concessionaire),
entered into a license agreement entitled, LAKE NASWORTHY CRUISE BOAT
CONCESSION AGREEMENT (Concession Agreement), for a term commencing May 1,
2010, and ending April 30, 2015; and,

        WHEREAS, City and Concessionaire desire to amend the Concession Agreement
to: provide for a prorated credit against the Annual Fixed Base Payment for days during a
contract year in which the lake level is insufficient for operation of the cruise boat
concession; clarify the beginning and ending months applicable to the Annual Fixed Base
Payment schedule; and describe the concession premises;

      NOW THEREFORE BE IT RESOLVED BY THE CITY COUNCIL OF THE
CITY OF SAN ANGELO, TEXAS THAT:

        The City Manager or his designee is hereby authorized to execute the FIRST
AMENDMENT TO LAKE NASWORTHY CRUISE BOAT CONCESSION
AGREEMENT to: provide for a prorated credit against the Annual Fixed Base Payment
for days during a contract year in which the lake level is insufficient for operation of the
cruise boat concession; clarify the beginning and ending months applicable to the Annual
Fixed Base Payment schedule; and describe the concession premises.

       PASSED and APPROVED THIS                       DAY OF                        , 2013.

                                             CITY OF SAN ANGELO, TEXAS
ATTEST:


                                             Alvin New, Mayor
Alicia Ramirez, City Clerk

APPROVED AS TO CONTENT                               APPROVED AS TO FORM



Carl White, Parks & Recreation Director              Lysia H. Bowling, City Attorney
City of San Angelo



Memo
 Date:      March 27, 2013

 To:        Mayor and Councilmembers

 From:      Carl White, Parks & Recreation Director

 Subject:   Agenda Item for April 16, 2013 Council Meeting

 Contact:   Carl White, Parks & Recreation Director – 657-4279

 Caption:   Consent Agenda Item

            Consideration of adopting a Resolution authorizing the City Manager to execute a First
            Amended Agreement between the City of San Angelo and Mr. Wayne Nickell for the
            operation of the Concho Cruises cruise boat concession on Lake Nasworthy.


 Summary:   Mr. Wayne Nickell, owner of Concho Cruises, submitted a letter requesting an
            amendment to our existing agreement with him. The following is a summary of the
            requested amendments:
                ·   Add the concession of the river to the agreement (to include a small barge
                    similar to those seen at San Antonio, paddle boats and kayaks),
                ·   Extend existing agreement (from 2012 to 2022),
                ·   Reduce the annual base payment to $1,000 (and keep the existing 6% of
                    gross payment), and
                ·   Have no annual base payment for 2012-2013 (due to low lake level).
            Regarding the river boat concession, staff supports offering this opportunity following
            the Request for Proposals procedure, which we’d likely initiate later this year. This
            would open up the opportunity to others who have expressed an interest over the last
            several years.
            Regarding the extension of the agreement, the existing agreement expires in April of
            2015 and has no built-in extensions. In light of the fact that the Gateway study is
            underway, staff recommends awaiting the results of the study prior to considering an
            extension to this agreement.
            Regarding the reduction in the annual base payment to $1,000, staff does not
            recommend approval.
            Regarding the no annual base payment for 2013 due to low lake water level, staff
            does not recommend approval. Staff does recommend that the existing agreement be
            amended with a clause that allows for a pro-rated deduction of the annual base
            payment for times when the lake level reaches a specific level that would limit
            operation of the Concho Cruises boat.
            Mr. Nichols stated that he needs 30 inches of water to operate his boat. The elevation
            at the bottom of the inlet is a little below 1,866.5 feet. Given that the boat needs 30
            inches of water to operate, this places the usable elevation at 1,868.5 feet and this
            leaves roughly 6 inches of water below the boat. Last year, water elevation reached
            1,868.5 feet or below starting on August 14 and stayed at or below that level until
            September 28. Water levels on Lake Nasworthy have stayed above 1,868.5 feet
                                                                                     Adopted: 5/30/03
                                                                                     Revised: 6/21/10
since that time. Lake Nasworthy is generally maintained at a level of 1,870 to 1,871
                      feet, plus or minus 0.5 feet.

History:              Council discussed a proposed agreement with Mr. Wayne Nickell at the March 8,
                      2010 meeting and later approved the existing agreement at the April 20, 2010
                      meeting on the consent agenda. Council discussed the lease during executive
                      session on December 4, 2012.

Financial Impact:     Approving the First Amended Agreement would mean a loss of $263.04 in base pay
                      revenues for the City for the third year of operation under the original agreement (1
                      May 2012 to 30 April 2013).

Related Vision Item   N/A
(if applicable):

Other Information/    Staff recommends approval.
Recommendation:

Attachments:          First Amended Agreement, Original Agreement and Resolution.

Presentation:         N/A

Publication:          N/A

Reviewed by           Rick Weise, Assistant City Manager
Director:

Approved by Legal:    April 1, 2013
City of San Angelo



Memo
 Date:                 March 27, 2013

 To:                   Mayor and Councilmembers

 From:                 Carl White, Parks & Recreation Director

 Subject:              Agenda Item for April 16, 2013 Council Meeting

 Contact:              Carl White, Parks & Recreation Director

 Caption:              Consent Agenda Item

                       Consideration of adopting By-Laws for the Parks & Recreation Advisory Board

                       The Parks & Recreation Advisory Board and City Staff recommend adoption of the
                       proposed By-Laws for the new Board.
 Summary:


 History:              The Parks & Recreation Advisory Board was created by City Ordinance on August
                       7, 2012. Members of the public were appointed at the City Council meeting on
                       December 4, 2012. The Board held its first public meeting on January 31, 2013.

 Financial Impact:     None.

 Related Vision Item   N/A
 (if applicable):

 Other Information/    The Parks & Recreation Advisory Board approved the proposed By-Laws at their
 Recommendation:       meeting on January 31, 2013. Staff recommends adoption of the proposed By-
                       Laws.

 Attachments:          Proposed By-Laws of the City of San Angelo Parks & Recreation Advisory Board.

 Presentation:         N/A

 Publication:          N/A

 Reviewed by           Rick Weise, Assistant City Manager
 Director:

 Approved by Legal:    April 1, 2013
BY-LAWS

                               OF THE

                    CITY OF SAN ANGELO

             Parks & Recreation Advisory Board




ADOPTED:   _____________________
ARTICLE I

                               Purpose, Duties and Powers

Section 1. Purpose. The Parks & Recreation Board shall act as an advisory Board to the City
Council in matters of oversight, policy and administration relating to City parks, recreation
programs and facilities, with the exception of the Santa Fe Parks, for which the Parks
Commission shall continue to act as the advisory commission to the City Council.

Section 2. Duties. The responsibility of the Parks & Recreation Advisory Board, as defined in
Chapter 2, Administration, Article 2.600 Parks & Recreation Advisory Board, within the scope
of its general authority, shall include:

   1.) Communicate with and make recommendations to the City Manager and Parks &
       Recreation Director regarding parks, recreation programs and senior services programs.
   2.) Make recommendations to City Manager, Parks & Recreation Director and City Council
       regarding the administration of parks, recreation programs and senior services programs.
   3.) Make recommendations to City Manager, Parks & Recreation Director and City Council
       regarding the creation of a parks and recreation system.
   4.) Make recommendations to City Manager, Parks & Recreation Director and City Council
       regarding maintenance of parks and park improvements.
   5.) Make recommendations to City Manager, Parks & Recreation Director and City Council
       regarding maintenance of recreation and/or senior facilities.
   6.) Make recommendations to City Manager, Parks & Recreation Director and City Council
       regarding the acquisition of physical improvements and equipment for parks, recreation
       and senior services programs.
   7.) Make recommendations to City Manager, Parks & Recreation Director and City Council
       regarding rules or regulations for parks, recreation and senior services programs.

                                         ARTICLE II

    MEMBERS OF THE PARKS & RECREATION ADVISORY BOARD
Section 1. Members. The Parks & Recreation Advisory Board shall be composed of eight (8)
members, seven (7) of whom shall be appointed by the City Council. The eighth member shall
be a member of the Park Commission, nominated by the Park Commission and approved by the
City Council.

Section 2. Appointment. The Parks & Recreation Advisory Board members shall be appointed
by the City Council of the City of San Angelo under such procedures designated by the City Council.
The appointments to the Board shall be on the basis of the nominee’s educational and
professional qualifications and general knowledge of, interest in, and experience relevant to
youth or adult sports, senior activities, recreation activities, other organized social activities,
parks, nature or conservation.

Section 3. Qualifications. All members of the Board shall be eighteen (18) years of age or older
and residents of the City of San Angelo, Tom Green County, Texas.
Section 4. Terms of Office. Of the members first appointed by the City Council, four (4)
appointments shall be for a term of three (3)-years each and three (3) appointments shall be for a
term of two (2)-years each. The first appointment selected by the Parks Commission and
approved by the City Council shall be for a term of two (2)-years each. Thereafter, appointments
shall be for a term of two (2)-years each, except vacancies for unexpired terms which shall be
filled by appointment of the City Council for the remainder of the unexpired term. Board
members shall serve without compensation at the pleasure of the City Council, subject to
termination at any time without cause.

Section 5. Vacancies. Any vacancy occurring on the Parks & Recreation Advisory Board shall
be filled by the appointment of the City Council under such procedures as it prescribes and such
appointment shall be for the unexpired term of the member whose position is vacated; provided
however, that a person serving such unexpired term shall nevertheless be eligible to serve two
full consecutive terms after the completion of the unexpired term as appointed hereunder.

                                        ARTICLE III

                                         MEETINGS
Section 1. Meetings. The Board shall adopt a schedule providing for at least one regular
meeting per calendar month and may make provision for such other special meetings as it deems
appropriate. An agenda of the Parks & Recreation Advisory Board shall be posted in a public
area and filed with the City of San Angelo City Clerk’s office at least 72 hours in advance of the
called meeting. Meetings of the Board shall be held pursuant to public notice and shall be open
to the public in compliance with the Texas Open Meetings Act.

Section 2. Committees. The Board may create ad hoc or standing committees of less than a
quorum of the Board members, which may include residents of the City who are not Board
members, as needed or deemed desirable to address specific matters within the purview of the
Board. Committees shall report to the Board and shall have the authority to gather information,
make reports and prepare recommendations for consideration by the Board.

Section 3. Attendance. In the event any member is absent from four (4) regularly scheduled
meetings during the course of any year, a Board member shall be deemed to have resigned,
unless such absence from the meeting is “excused” (i.e., family emergency, work-related
commitments, medical necessity or vacation outside the City of San Angelo).

Section 4. Quorum and Vote. All members of the Board shall have voting rights. A quorum
shall consist of a simple majority [five (5)] of the duly appointed members of the Board. The
affirmative vote of a majority of the members present at a properly called meeting with a quorum
present shall be the act of the Board.

Section 5. Staff Liaison. The Parks and Recreation Director shall be designated as the Parks &
Recreation Advisory Board’s staff liaison and shall cause copies of the Parks & Recreation
Advisory Board’s agenda, minutes and notices to be filed with the City of San Angelo City
Clerk. Said liaison may designate other City staff to facilitate matters of the Parks & Recreation
Advisory Board as he/she deems necessary.
ARTICLE IV

                                         OFFICERS
Section 1. Designation and Election of Officers. At a regular meeting, generally in February,
each year, the members shall elect a Chair and Co-Chair. The method for nomination and
election shall be determined by a vote of the majority of those members in attendance at such
meeting. The Chair shall appoint committees for any purpose deemed necessary by the Board in
order to execute more effectively its duties and responsibilities.

Section 2. Terms. The officers shall serve a term of one year and thereafter until their
successors are elected. Any member chosen as an officer shall be eligible for reelection not to
exceed two consecutive terms; but having served two consecutive terms in an office, such person
shall not be eligible for reelection to the same office until the expiration of one year after the
completion of such second consecutive term.

Section 3. Duties and Authority of Officers.

a.     Chair: Shall preside at all meetings of the Parks & Recreation Advisory Board, have
responsibility for the accomplishment of all directions of the City Council and be primarily
responsible for the accomplishment of the purpose and discharge of the duties and
responsibilities imposed on the Board by the City Council. The Chair shall appoint members of
all committees and shall appoint such committees as deemed necessary and appropriate to carry
on the business of the Parks & Recreation Advisory Board and shall designate the Chair of such
committees.

b.     Co-Chair: Shall, in the absence of or disability of the Chair, perform the duties and
exercise the powers of the Chair and shall perform such other duties as the Parks & Recreation
Advisory Board may prescribe.

                                        ARTICLE V

                                      AMENDMENTS
The Board shall adopt and may amend from time to time its bylaws, establishing rules for its
regulation, effective upon approval of the City Council. Said bylaws and amendments thereto as
approved by the City Council shall be filed with the City Clerk. The Board may adopt rules or
regulations in conformity with its bylaws relating to the administration of its business.

ADOPTED AND APPROVED by the Parks & Recreation Advisory Board on this ____ day of
_______, ______.




                             [SIGNATURE PAGE TO FOLLOW]
BYLAWS
                      PARKS & RECREATION ADVISORY BOARD




________________________________
Chair, Parks & Recreation Advisory Board



ATTEST:


_______________________________
Director, Parks & Recreation Department



APPROVED by the City Council on __________________.
City of San Angelo
                                                     Parks & Recreation


Memorandum
Date:          April 12, 2013

To:            Mayor and Councilmembers

From:          Carl White, Parks and Recreation Director

Subject:       Agenda Item for April 16, 2013, Council Meeting

Contact:       Carl White, Parks and Recreation Director, 234-1724

Caption:       Consent Agenda Item

               Consideration of adopting a Resolution authorizing the City Manager to
               execute a First Amended Lease Agreement with the Texas Southwest
               Council, Inc. Boy Scouts of America for the building at 104 Veterans Memorial
               Drive.

Summary:       Staff recommends approving a lease agreement amendment with the
               Texas Southwest Council, Inc. Boy Scouts of America for the building at
               104 Veterans Memorial Drive and authorizing the Mayor or City Manager
               to execute the agreement.

               The basic parameters of the proposed lease amendment include the
               following:

                •   Five-year lease with no renewal option.
                •   Lease of the building at 104 Veterans Memorial Drive and use of
                    the adjacent grounds and parking area.
                •   Requirements to provide utilities at lessee’s expense.
                •   Requirements to provide maintenance of the building at lessee’s
                    expense.
                •   Standard insurance coverage


               The organization has leased the property for the last 10 years and the current
               lease expires on April 17, 2013.

Financial      Under the proposed lease agreement, there would be no cost to the City.
Impact:

Attachments:   Letter of proposal, existing lease, first amended lease agreement and
               resolution.



                                                                                     1
Presentation:    N/A

Publication:     N/A

Reviewed by:     Rick Weise, Assistant City Manager

Approved by      April 1, 2013
Legal:




Map showing general area of the proposed leased property (building).




                                                                       2
A RESOLUTION BY THE CITY COUNCIL OF THE CITY OF
          SAN ANGELO, TEXAS, AUTHORIZING THE CITY
          MANAGER TO EXECUTE A FIRST AMENDED LEASE
          AGREEMENT WITH TEXAS SOUTHWEST COUNCIL OF
          THE BOYS SCOUTS OF AMERICA, INC, (FORMERLY
          KNOWN AS CONCHO VALLEY COUNCIL, INC., BOY
          SCOUTS OF AMERICA) TO AMEND ORIGINAL LEASE
          AGREEMENT BETWEEN CITY OF SAN ANGELO AND
          CONCHO VALLEY COUNCIL, INC., BOY SCOUTS OF
          AMERICA, FOR LEASE OF CITY PREMISES LOCATED AT
          104 WEST VETERANS MEMORIAL DRIVE, SAN ANGELO,
          TOM GREEN COUNTY, TEXAS

WHEREAS, City and Concho Valley Council, Inc., Boys Scouts of America entered into
Lease Agreement (“Lease Agreement”) for a ten (10) year term, beginning April 18, 2003 and
ending August 17, 2013, for Lessee to lease City owned premises known as 104 West River
Drive, San Angelo, Tom Green County, Texas, renamed 104 West Veterans Memorial Drive,
for office space.

WHEREAS, effective February 11, 2012, Concho Valley Council, Inc., Boys Scouts of
America has been renamed Texas Southwest Council of the Boy Scouts of America, Inc.; and


WHEREAS, effective December 6, 2011, 104 West River Drive, San Angelo, Texas has been
renamed 104 West Veterans Memorial Drive; and


WHEREAS, City and Texas Southwest Council of the Boy Scouts of America, Inc. mutually
desire to renew and amend the Lease Agreement to extend the lease term for an additional five
(5) year term, beginning April 18, 2013 and ending April 17, 2018; and

WHEREAS, all of the terms and conditions of the original Lease Agreement shall be and remain in full
force and effect unless amended or changed by the First Amended Lease Agreement.

  NOW, THEREFORE, BE IT RESOLVED BY THE CITY COUNCIL OF SAN
ANGELO, TEXAS THAT:

The City Manager is hereby authorized to execute the First Amended Lease Agreement on
behalf of the City of San Angelo, Lessor, and Texas Southwest Council of the Boy Scouts of
America, Inc, amending the lease of City premises known at 104 West Veterans Memorial Drive,
San Angelo, Tom Green County, Texas, for office space.
PASSED and APPROVED THIS          DAY OF                           , 2013.

ATTEST:                                       CITY OF SAN ANGELO, TEXAS



Alicia Ramirez, City Clerk                           Alvin New, Mayor


APPROVED AS TO CONTENT                        APPROVED AS TO FORM



Carl White, Director Parks & Recreation       Lysia H. Bowling, City Attorney
City of San Angelo
                                                     Parks & Recreation


Memorandum
Date:          April 12, 2013

To:            Mayor and Councilmembers

From:          Carl White, Parks and Recreation Director

Subject:       Agenda Item for April 16, 2013, Council Meeting

Contact:       Carl White, Parks and Recreation Director, 234-1724

Caption:       Consent Agenda Item

               Consideration of adopting a Resolution authorizing the City Manager to
               execute a First Amended Lease Agreement with the Texas Southwest
               Council, Inc. Boy Scouts of America for the building at 104 Veterans Memorial
               Drive.

Summary:       Staff recommends approving a lease agreement amendment with the
               Texas Southwest Council, Inc. Boy Scouts of America for the building at
               104 Veterans Memorial Drive and authorizing the Mayor or City Manager
               to execute the agreement.

               The basic parameters of the proposed lease amendment include the
               following:

                •   Five-year lease with no renewal option.
                •   Lease of the building at 104 Veterans Memorial Drive and use of
                    the adjacent grounds and parking area.
                •   Requirements to provide utilities at lessee’s expense.
                •   Requirements to provide maintenance of the building at lessee’s
                    expense.
                •   Standard insurance coverage


               The organization has leased the property for the last 10 years and the current
               lease expires on April 17, 2013.

Financial      Under the proposed lease agreement, there would be no cost to the City.
Impact:

Attachments:   Letter of proposal, existing lease, first amended lease agreement and
               resolution.



                                                                                     1
Presentation:    N/A

Publication:     N/A

Reviewed by:     Rick Weise, Assistant City Manager

Approved by      April 1, 2013
Legal:




Map showing general area of the proposed leased property (building).




                                                                       2
A RESOLUTION BY THE CITY COUNCIL OF THE CITY OF
          SAN ANGELO, TEXAS, AUTHORIZING THE CITY
          MANAGER TO EXECUTE A FIRST AMENDED LEASE
          AGREEMENT WITH TEXAS SOUTHWEST COUNCIL OF
          THE BOYS SCOUTS OF AMERICA, INC, (FORMERLY
          KNOWN AS CONCHO VALLEY COUNCIL, INC., BOY
          SCOUTS OF AMERICA) TO AMEND ORIGINAL LEASE
          AGREEMENT BETWEEN CITY OF SAN ANGELO AND
          CONCHO VALLEY COUNCIL, INC., BOY SCOUTS OF
          AMERICA, FOR LEASE OF CITY PREMISES LOCATED AT
          104 WEST VETERANS MEMORIAL DRIVE, SAN ANGELO,
          TOM GREEN COUNTY, TEXAS

WHEREAS, City and Concho Valley Council, Inc., Boys Scouts of America entered into
Lease Agreement (“Lease Agreement”) for a ten (10) year term, beginning April 18, 2003 and
ending August 17, 2013, for Lessee to lease City owned premises known as 104 West River
Drive, San Angelo, Tom Green County, Texas, renamed 104 West Veterans Memorial Drive,
for office space.

WHEREAS, effective February 11, 2012, Concho Valley Council, Inc., Boys Scouts of
America has been renamed Texas Southwest Council of the Boy Scouts of America, Inc.; and


WHEREAS, effective December 6, 2011, 104 West River Drive, San Angelo, Texas has been
renamed 104 West Veterans Memorial Drive; and


WHEREAS, City and Texas Southwest Council of the Boy Scouts of America, Inc. mutually
desire to renew and amend the Lease Agreement to extend the lease term for an additional five
(5) year term, beginning April 18, 2013 and ending April 17, 2018; and

WHEREAS, all of the terms and conditions of the original Lease Agreement shall be and remain in full
force and effect unless amended or changed by the First Amended Lease Agreement.

  NOW, THEREFORE, BE IT RESOLVED BY THE CITY COUNCIL OF SAN
ANGELO, TEXAS THAT:

The City Manager is hereby authorized to execute the First Amended Lease Agreement on
behalf of the City of San Angelo, Lessor, and Texas Southwest Council of the Boy Scouts of
America, Inc, amending the lease of City premises known at 104 West Veterans Memorial Drive,
San Angelo, Tom Green County, Texas, for office space.
PASSED and APPROVED THIS          DAY OF                           , 2013.

ATTEST:                                       CITY OF SAN ANGELO, TEXAS



Alicia Ramirez, City Clerk                           Alvin New, Mayor


APPROVED AS TO CONTENT                        APPROVED AS TO FORM



Carl White, Director Parks & Recreation       Lysia H. Bowling, City Attorney
City of San Angelo
                                                                Civic Events


Memo
 Date:          April 10, 2013
 To:            Mayor and Councilmembers
 From:          Angelica Peña, Civic Events Manager
 Subject:       Agenda Item for April 16, 2012, Council Meeting
 Contact:       Angelica Peña, Civic Events Manager, 653-5328
 Caption:       Consent Item
                Consideration of adopting a Resolution authorizing the City Manager to apply for
                and accept an Events Trust Fund state grant for the National Reined Cow Horse
                Association 2013 Celebration of Champions in an amount up to $95,234, and
                authorizing the Mayor or City Manager to execute related documents.


 Summary:       On behalf of the San Angelo Stock Show and Rodeo Association, the City has
 received a state grant that will reimburse the SASSRA some of its costs related to the National
 Reined Cow Horse Association’s 2013 Celebration of Champions, including rental fees for the use
 of the Coliseum.

 History:       In September, the San Angelo Stock Show and Rodeo Association submitted a
 grant application on the City’s behalf to the state Comptroller’s office seeking funding from the
 Texas Events Trust Fund. (The SASSRA cannot apply directly for funding under the state law that
 governs the trust fund.) The grant helps offset the SASSRA’s costs in hosting the National Reined
 Cow Horse Association’s 2013 Celebration of Champions, which this year was Jan. 26 through
 Feb. 3. (The cutting horse event is also known as the World’s Greatest Horseman.)

 On Oct. 3, the Comptroller’s office notified the City the event had been awarded up to $82,098,
 which must be matched by a local contribution of $13,136. The SASSRA has already provided
 those matching funds.

 The SASSRA will submit to the Comptroller documentation of its expenses related to this year’s
 event. Those costs are estimated to be in excess of $200,000. Reimbursements will be made
 based upon the SASSRA’s expenditures, and will be paid proportionally from state and local
 funds. If any local funds remain after all obligations have been met, those would be returned.

 This is the fourth straight year the Celebration of Champions has qualified for an Event Trust Fund
 grant. Last year, the event received $87,935 from the fund, which the SASSRA matched with
 $14,070. The state bases the grant amounts on its estimate of the incremental increase in tax
 revenue the state will realize as a result of the event.

 Financial Impact: Acceptance of the grant will reduce the SASSRA’s financial exposure by a
 maximum of $82,098.

 The City will realize $7,500 in rental revenue for the use of the Coliseum, which serves as a
 warm-up facility for the competitors. (The actual competition occurs in the Spur Arena.) The first
 two years the SASSRA hosted the event, it was not charged rent for the use of the Coliseum.

 Because the SASSRA will provide the local match, the City will have no financial exposure in
 accepting the grant.
According to an economic impact study performed in 2012 by Dr. Don Hoyte, the former
administrator of the Event Trust Fund, the total economic impact of the Celebration of Champions
approaches $2.9 million. According to the study, the event attracts 483 competitors, 45 NRCHA
personnel and event officials, and approximately 10,000 fans. Dr. Hoyte estimated the event
generates more than $593,000 in local lodging expenditures and more than $856,000 in local
food and beverage expenditures.

Other Information/Recommendation: Staff recommends the Council accept the Events Trust Fund
grant, as does the San Angelo Stock Show and Rodeo Association.

If Council approves this item, staff will return with a budget amendment authorizing receipt of the grant
from the state and disbursement of it to the SASSRA.

Attachments: Grant application from SASSRA to State Comptroller
               Award letter from State Comptroller to City Manager
               Resolution

Reviewed by Director: Carl White, Parks & Recreation Director, April 10, 2013
A RESOLUTION OF THE CITY COUNCIL OF THE CITY OF SAN ANGELO TO
       APPROVE THE CITY OF SAN ANGELO’S PARTICIPATION IN THE TEXAS
       EVENTS TRUST FUND FOR THE NATIONAL REINED COW HORSE
       ASSOCIATION 2013 CELEBRATION OF CHAMPIONS IN THE AMOUNT OF
       $13,136 WITH A STATE MATCH OF $82,098, TO CREATE A TOTAL TRUST
       FUND OF $95,234

       WHEREAS, the City Council of the City of San Angelo, Texas, and the Texas
Comptroller of Public Accounts recognize the economic benefit to the City and to the State for
the City of San Angelo having hosted the National Reined Cow Horse Association’s 2013
Celebration of Champions, a national cutting horse competition that was held at the San Angelo
Fairgrounds from Jan. 26, 2013, to Feb. 3, 2013; and

        WHEREAS, the Texas Comptroller of Public Accounts administers the Texas Events
Trust Fund, pursuant to the Events Trust Fund statute, which provides reimbursing financing for
cities or counties hosting events that result in incremental increases in state tax revenue; and

        WHEREAS, the San Angelo Stock Show and Rodeo Association, on behalf of the City of
San Angelo, submitted a proposal for funding under the Events Trust Fund statute to help offset
its expenses, which are estimated to be in excess of $200,000, that are associated with hosting
the Celebration of Champions; and

         WHEREAS, on or about Oct. 3, 2012, the Texas Comptroller of Public Accounts notified
the City of San Angelo that it estimates the state will realize an incremental increase in tax
revenue under the Events Trust Fund statute of $82,098 from the City of San Angelo hosting the
event, and this amount, if matched by $13,136 in contributions by the City of San Angelo, will
result in a total contribution of $95,234 to the trust fund established for this Event;

         WHEREAS, the Celebration of Champions’ 483 competitors, 45 event officials and
National Reined Cow Horse Association employees, and 10,000 fans are estimated to have
yielded a total economic impact of nearly $2.9 million for the event, including more than $1.4
million in local hotel, sales, alcoholic beverage and automobile rental taxes;

        NOW THEREFORE BE IT RESOLVED BY THE CITY COUNCIL OF THE CITY OF
SAN ANGELO that it approves the City of San Angelo’s participation in the Events Trust Fund
for the National Reined Cow Horse Association 2013 Celebration of Champions in the amount
of $13,136 which will receive a state match of $82,098, for a total trust fund contribution of
$95,234, and authorizes Mayor Alvin New or City Manager Daniel Valenzuela to execute related
documents.

       PASSED, APPROVED, and ADOPTED on this the 16th day of April, 2013.

                                                   CITY OF SAN ANGELO


                                                   By:     ____________________
ATTEST:                                                    Alvin New, Mayor


Alicia Ramirez, City Clerk
Approved As to Form:   Approved As to Form:



Lysia H. Bowling       Angelica Peña
City Attorney          Civic Events Manager
A RESOLUTION OF THE CITY COUNCIL OF THE CITY OF SAN ANGELO TO
       APPROVE THE CITY OF SAN ANGELO’S PARTICIPATION IN THE TEXAS
       EVENTS TRUST FUND FOR THE NATIONAL REINED COW HORSE
       ASSOCIATION 2013 CELEBRATION OF CHAMPIONS IN THE AMOUNT OF
       $13,136 WITH A STATE MATCH OF $82,098, TO CREATE A TOTAL TRUST
       FUND OF $95,234

       WHEREAS, the City Council of the City of San Angelo, Texas, and the Texas
Comptroller of Public Accounts recognize the economic benefit to the City and to the State for
the City of San Angelo having hosted the National Reined Cow Horse Association’s 2013
Celebration of Champions, a national cutting horse competition that was held at the San Angelo
Fairgrounds from Jan. 26, 2013, to Feb. 3, 2013; and

        WHEREAS, the Texas Comptroller of Public Accounts administers the Texas Events
Trust Fund, pursuant to the Events Trust Fund statute, which provides reimbursing financing for
cities or counties hosting events that result in incremental increases in state tax revenue; and

        WHEREAS, the San Angelo Stock Show and Rodeo Association, on behalf of the City of
San Angelo, submitted a proposal for funding under the Events Trust Fund statute to help offset
its expenses, which are estimated to be in excess of $200,000, that are associated with hosting
the Celebration of Champions; and

         WHEREAS, on or about Oct. 3, 2012, the Texas Comptroller of Public Accounts notified
the City of San Angelo that it estimates the state will realize an incremental increase in tax
revenue under the Events Trust Fund statute of $82,098 from the City of San Angelo hosting the
event, and this amount, if matched by $13,136 in contributions by the City of San Angelo, will
result in a total contribution of $95,234 to the trust fund established for this Event;

         WHEREAS, the Celebration of Champions’ 483 competitors, 45 event officials and
National Reined Cow Horse Association employees, and 10,000 fans are estimated to have
yielded a total economic impact of nearly $2.9 million for the event, including more than $1.4
million in local hotel, sales, alcoholic beverage and automobile rental taxes;

        NOW THEREFORE BE IT RESOLVED BY THE CITY COUNCIL OF THE CITY OF
SAN ANGELO that it approves the City of San Angelo’s participation in the Events Trust Fund
for the National Reined Cow Horse Association 2013 Celebration of Champions in the amount
of $13,136 which will receive a state match of $82,098, for a total trust fund contribution of
$95,234, and authorizes Mayor Alvin New or City Manager Daniel Valenzuela to execute related
documents.

       PASSED, APPROVED, and ADOPTED on this the 16th day of April, 2013.

                                                   CITY OF SAN ANGELO


                                                   By:     ____________________
ATTEST:                                                    Alvin New, Mayor


Alicia Ramirez, City Clerk
Approved As to Form:   Approved As to Form:



Lysia H. Bowling       Angelica Peña
City Attorney          Civic Events Manager
City of San Angelo



Memo
 Meeting Date:   April 2, 2013

 To:             City Council members

 From:           Jeff Hintz, Interim Senior Planner

 Subject:        PD 07-01( 2013 Amendment) Carrie & John Maier and Glenn & Peggy
                 Rosser, A request for approval of a zone change from Ranch & Estate
                 (R&E) to Planned Development (PD) district to allow for a
                 "Campground /Recreational Vehicle Park" as allowed in PD 07-01,
                 approved in March of 2007, and to which the property described below
                 is proposed to be added via an amendment:

 Location:       3512 Ben Ficklin Road, located approximately 200 feet east from the
                 intersection of Ben Ficklin Road and South Bryant Boulevard. This
                 property specifically occupies approximately 10.8 acres in the
                 southwest portion of a 73.9 acre tract of the E Hermes Survey 0174
                 Abstract 0349 in south central San Angelo.

 Purpose:        Approving this zone change will allow an amendment to PD 07-01
                 including an additional 10.8 acres and a site plan to the Planned
                 Development.

 Contacts:       Carrie Maier, property owner                    325-716-9236
                 Jeff Hintz, Interim Senior Planner              325-657-4210

 Caption:        First Public Hearing and consideration of introduction of an Ordinance
                 amending Chapter 12, Exhibit “A” (Zoning Ordinance) of the Code of
                 Ordinances, City of San Angelo

                 PD 07-01 (2013 Amendment): Carrie & John Maier and Glenn &
                 Peggy Rosser

                 AN ORDINANCE AMENDING CHAPTER 12, EXHIBIT “A” OF THE CODE
                 OF ORDINANCES, CITY OF SAN ANGELO, TEXAS, WHICH SAID
                 EXHIBIT “A” OF CHAPTER 12 ADOPTS ZONING REGULATIONS, USE
                 DISTRICTS AND A ZONING MAP, IN ACCORDANCE WITH A
                 COMPREHENSIVE PLAN, BY CHANGING THE ZONING AND
                 CLASSIFICATION OF THE FOLLOWING PROPERTY, TO WIT: 3512 Ben
                 Ficklin Road, located approximately 200 feet east from the intersection
of Ben Ficklin Road and South Bryant Boulevard. This property
                    specifically occupies approximately 10.8 acres in the southwest portion
                    of a 73.9 acre tract of the E Hermes Survey 0174 Abstract 0349 in south
                    central San Angelo, as indicated in Exhibit B of this Ordinance,
                    changing the zoning classification from Ranch & Estate (R&E) to
                    Planned Development (PD) District; PROVIDING FOR SEVERABILITY
                    AND PROVIDING A PENALTY


Summary: The City Council may:

(1) Approve the proposed zone change as requested; or

(2) Deny the requested zone change; or

(3) Remand the application back to Planning Commission for further discussion, in
    which case another public hearing will need to be scheduled.


Recommendation:            Planning staff recommends approving the proposed zone
change.

Planning Commission at its meeting on March 18, 2013 recommended approval of this
request by a vote of 5-1.

History and Background:

A Planned Development District has been approved (2007) to operate a
Campground/RV park on other portions of this property as well as adjacent city
property leased by the applicant. This PD has been amended on two occasions
and allows for a "mobile home" to be placed on the property. This request is to
add a 10.8 acre area, with spots for 51 Recreational Vehicles into the same
Planned Development approved in 2007, with the same regulations that are
already in place, using the site plan attached to this report.

General Information

      Existing Zoning:            Ranch & Estate (R&E)

      Existing Land Use:          Farmland and a homestead used by the applicant.

      Surrounding Zoning/Land Use:

       North:                R&E             Undeveloped land & Concho River
       West:                RS-1 &           Vacant land, drainage area, Red
                            CG/CH            Arroyo
       South:               R&E &            Residences & undeveloped open
                            CG/CH            spaces
       East:               PD & R&E          Fields and undeveloped open spaces
Thoroughfares/Streets:   South Chadbourne Street & South Bryant
                              Boulevard are classified as "major arterial streets"
                              and are designed to connect collector streets to
                              freeways and other arterials carrying large
                              volumes of traffic at high speeds. Access is
                              secondary and mobility is the primary function of
                              these streets.

                              Ben Ficklin Road is defined as a "local street" in
                              this area and is designed to, "carry light
                              neighborhood traffic at lower speeds and
                              generally connect to collector streets."

     Zoning History:          PD 07-01 Allowed for a Campground/RV Park on
                              a portion of the property, and city leased property.

                              PD 07-01 was amended in 2008 and allowed a
                              Mobile Home to be placed on the site until March
                              of 2011 if the Campground/RV Park was NOT fully
                              developed.

                              PD 07-01 was amended again in March of 2011
                              and allowed the mobile home to remain on the
                              property until March 22, 2016 if the
                              Campground/RV Park was NOT fully developed.

     Vision Plan Map:         Neighborhood & Commercial

     Comp Plan Excerpts:      Within the open             space section of the
                              Comprehensive Plan,       goal one is to, "provide a
                              balanced system of         parks, open space, and
                              recreational facilities   in terms of function and
                              location."

                              Goal three of this open space section of the
                              Comprehensive Plan states that the community
                              should, "make efficient and valuable use of
                              regional drainage ways."

Special Information

     Traffic Concerns:        For practical purposes, the property nearly has
                              direct access to two major arterial roadways within
                              the community. A proposal such as this on a
                              property of this size has the possibility to draw
                              large amounts of travelers. These roadways are
                              designed to accommodate large flows of traffic at
                              a higher speed, but with limited access points.

     Parking Requirements:    Vary depending upon the uses and if the applicant
                              chooses to erect structures accessory to the
campground or not. A Campground/RV Park has
                                  no off-street parking requirements without any
                                  buildings/structures present.

      Signage Regulations:        Section 12.604 of the Sign Ordinance
                                  "A nonresidential use sign shall be no larger than
                                  one half (0.50) square foot of sign area for one
                                  (1.00) linear foot of lot frontage, not to exceed a
                                  maximum of sixty-four (64) square feet."

                                  "A nonresidential use sign shall be no taller than
                                  one (1) foot of height for each foot of setback from
                                  the property line, not to exceed eight (8) feet in
                                  height. Five (5) feet of height is allowed at the
                                  property line, provided a ten (10) foot minimum
                                  setback is maintained from the curb line."

                                  "No more than one nonresidential use sign (1) per
                                  street frontage is allowed."

                                  "A nonresidential use sign must be set back ten
                                  (10) feet from the curb line or street edge or zero
                                  feet from the property line whichever is greater.
                                  Additionally, one (1) foot of additional setback is
                                  required for each additional foot of height in
                                  excess of five (5) feet."

      Parking Provided:           No paved off-street parking spaces are currently
                                  provided.

      Density:                    Predominately vacant land and low-density
                                  residential development is present in this area

      Notification Required:      Yes

      Notifications Sent:         10

      Responses in Favor:         0

      Responses in Opposition:    0

Analysis:

In order to approve this zone change request, the City Council members are first required
to consider the following criteria:

1. Compatible with Plans and Policies. Whether the proposed amendment is compatible
   with the Comprehensive Plan and any other land use policies adopted by the Planning
   Commission or City Council.
2. Consistent with Zoning Ordinance. Whether and the extent to which the proposed
   amendment would conflict with any portion of this Zoning Ordinance.

3. Compatible with Surrounding Area. Whether and the extent to which the proposed
   amendment is compatible with existing and proposed uses surrounding the subject land
   and is the appropriate zoning district for the land.

4. Changed Conditions. Whether and the extent to which there are changed conditions
   that require an amendment.

5. Effect on Natural Environment. Whether and the extent to which the proposed
   amendment would result in significant adverse impacts on the natural environment,
   including but not limited to water and air quality, noise, storm water management,
   wildlife, vegetation, wetlands and the practical functioning of the natural environment.

6. Community Need. Whether and the extent to which the proposed amendment
   addresses a demonstrated community need.

7. Development Patterns. Whether and the extent to which the proposed amendment
   would result in a logical and orderly pattern of urban development in the community.

The staff recommendation is based upon the statements listed below.


The property is zoned as R&E at this time, the least intensive of all zoning districts
within the city limits. A campground will likely net the entrepreneurs some profit,
however in terms of strictly land use, the campground is not a very intense use at all
and is still residential in nature; this is intended for temporary living quarters, not
permanent living. Staff has found that this proposal will be consistent with intent of the
Vision Plan for the area and that the use will be consistent with the surrounding area
and Zoning Ordinance. Given the isolation and the large portion of the property that is
within the floodplain, a campground is an effective land use that will be a compliment to
the area, as well as the highest and best use of the property. The isolation of this
particular property and the fact that the floodplain covers a good deal of it leads staff to
believe that temporary living quarters afforded to campgrounds and tourist cabins will be
a good fit for the area. When floods or rainfall come to the area, Recreational Vehicles
are fairly easy to move in a short amount of time. While the majority of the land use
called for on this particular property within the Comprehensive Plan is "Neighborhood"
staff finds this request still meets the intent of the Comprehensive Plan. This
amendment will carry the exact same rules approved in 2007 by the Planning
Commission and City Council and simply extend it to an area on the same property, a
mere 650 feet to the west.

The perceived and actual openness of a campground has a limited effect on the natural
environment. The proximity to two major waterways this property sees is very unique
and should not be taken lightly. The capacity of these waterways to handle storm water
runoff is not a major issue due to the drainage characteristics of the property and
proximity to the Red Arroyo and Concho River. It is believed that a campground will be
a way to promote and protect the natural environment in this area through limited
pavement and impervious surfaces. In addition, staff finds that a campground/rv park
expansion on this property, will be a way to promote the enjoyment of the natural
environment through vacationers and campers alike; this proximity and access to
natural resources are exactly the intent of a camping/recreation opportunity and why
staff finds this proposed expansion on this property in this area, appropriate both now
and in the future. staff finds that accessibility to natural resources also fills a community
need for the community members as well as visitors to our community. Aside from
access roads and a few campground related structures, the overwhelming majority of
the site will remain in a natural state.

This property is highly unique within the community given the size and access to two
waterways; the opportunity for recreation and vacation uses in this area has already
been approved through a PD in 2007 as mentioned previously, this particular
amendment will allow for a phasing of the project. The opportunity to run a campground
within the bounds of an already established PD does serve a community need,
especially given the abundance of natural resources in the area. This additional area
encompassed by the Planned Development in this report, is intended to be a first
phase, while the existing PD area is intended to be developed later on as a phase two.
Under this proposed zone change, 51 additional RV sites (site total of 101 if this
amendment is approved) would be included for vacation and camping opportunities and
be provided as the attached site plan indicates.

This proposal is not expected to alter land use patterns in place for the area. As
previously mentioned this area is very low intensity and low density in nature. Allowing
the property to be used as a campground fits the present development for the area and
does not compromise the ability for the area to grow either. South Chadbourne Street
and Ben Ficklin Road (in this general area anyway) are for all practical purposes, used
to access recreation and open space land uses. Several fields and other natural open
areas are present in this area accompanying the already approved PD 07-01; this
extension onto an additional 10.8 acres is not expected to alter development in the
area. The low density and low intensity development on this property and on the
neighboring properties should continue on unhindered by this proposal. The open space
and neighborhood envisioned areas called for within the Vision Plan portion of the
Comprehensive Plan, should remain unaffected by this expansion as well. The
expansion of this already approved campground and RV Park, are not anticipated to
change development patterns or limit the potential for the area grow in the same
predictable manner in the future due to the isolation of the property and proximity to
natural resources.

The overall acreage owned and leased by the applicant is just under 100 acres,
approximately 30 acres (if this amendment were to be approved) of property would be
zoned as PD allowing a campground/rv park with tourist cabins and horse boarding (for
campers only). The maximum allowed RV units is 101 (60 on the already approved PD
and 51 proposed to be added with this amendment) 101 RV's on 30 acres is about three
and 1/3rd (3.36) RV's per acre, an extremely low overall density. When looking at the
entire site the applicant owns (comprising PD and Ranch & Estate zoning) nearly 100
acres, this density comes out to be about one RV per acre, an extremely low overall
density that staff finds preserves the openness of this general area.

This overall low density, meets the intent of a campground and RV park as currently
defined within the Zoning Ordinance. The openness that is preserved through the
adherence to site plans with specific site locations and amounts of spaces is the most
control the Zoning Ordinance affords to the community and members of the Planning
Commission. The applicant is required to do exactly what the approved PD 07-01
Ordinance calls for, as well as follow the site plans which are a part of the ordinance.
The PD will not allow this vast site to become a free-for-all parking lot of RV's with no
restrictions; this strict control allows for the most consistent and predictability of
development within the community, a fact that solidifies the purpose and intent of the
Zoning Ordinance and Comprehensive Plan and the goals for this area. For all of these
reasons, staff finds this use consistent with all criteria mandated of the request and
recommends approval of this expanded area within the bounds of PD 07-01.

Proposed Conditions

Conditions are listed in Section Five of approved ordinance referring to PD 07-01 in the
attached ordinance at the end of this report. The Ordinance accompanying this report
as a draft simply adds this site plan and area to the requirements from PD 07-01.



Attachments:                 excerpt from zoning map, showing the general location within
                             the City of San Angelo;

                             excerpt from zoning map, highlighting subject property;

                             aerial photo, highlighting subject property;

                             excerpt from the Comprehensive               Plan    Vision   Map
                             highlighting the subject property; and

                             draft Planning Commission minutes from March 18 meeting;

                             citizen responses;

                             applicant's presentation;

                             approved PD 07-01 ordinance from 2007;

                             approved PD 07-01 site plan from 2007; and

                             draft ordinance with site plan incorporating this new "phase
                             one" area into PD 07-01.

Presentation:                Jeff Hintz, Interim Senior Planner
D. PD 07-01 (2013 Amendment): Carrie & John Maier and Glenn & Peggy
   Rosser

   A request for approval of a zone change from Ranch & Estate (R&E) to Planned
   Development (PD) district to allow for a "Campground /Recreational Vehicle
   Park" as allowed in PD 07-01, approved in March of 2007, and to which the
   property described below is proposed to be added via an amendment:

   3512 Ben Ficklin Road, located approximately 200 feet east from the intersection
   of Ben Ficklin Road and South Bryant Boulevard. This property specifically
   occupies approximately 10.8 acres in the southwest portion of a 73.9 acre tract of
   the E Hermes Survey 0174 Abstract 0349 in south central San Angelo.

Jeff Hintz, Planner, came forward to present this request, consistent with the staff
recommendation of approval. Five notifications were sent out, with one returned in
favor and zero in opposition. Two letters in favor and one in opposition - which are
outside of the notification area - were also sent in to city staff. Mr. Hintz familiarized
the Commissioners with the property. The Vision Plan map for the area calls for a
mostly "Neighborhood" designation. The property is immediately adjacent to the PD
district already in place, and is intended to be a continuation of the PD, to be
accomplished with a formalized amendment. This amendment would allow for the
addition of property to this existing PD district, while utilizing the same regulations
that are already in place within this PD ordinance. The request is compatible with
the area and there should be little effect on the natural environment. Mr. Hintz
reviewed the comments that came from other internal and external parties in the
review of the proposal. RV park development is a better fit for an area of this nature
and fits in with an "open space" designation. The intent of this RV park is consistent
with the Zoning Ordinance which is currently written. The PD is the most predictable
and consistent development type within the City limits, and the same rules and
regulations will apply which have been in place since 2007. The specific site plan
must be followed, and this proposal is unique from any other request for this type of
usage because of its location, proximity to an existing PD district, intent matching the
use classification, and application of rules previously established which the Planning
Commission approved at one time.

Peggy Rosser, applicant, came forward to speak in favor of this request. Ms. Rosser
provided a packet of information to the Planning Commission which supports their
request. Their intent is to build an RV Park, not a work camp. Ms. Rosser described
each of the exhibits in the packets. A copy of this packet is maintained as part of the
minute record. The packet includes examples of manufactured housing parks in San
Angelo, as well as RV sales lots. The packet also includes letters of support from
various parties for this proposal as presented. Ms. Rosser provided some quotes
from the letters of support, including some from the Chamber of Commerce,
Convention & Visitors Bureau, Angelo RV, and two citizens of San Angelo who own
property immediately nearby. The argument was made that equine tourism,
recreational-based travelers, and seasonal travelers are beneficial to attract for San
Angelo. After reviewing some of the quotes from these letters, Ms. Rosser asked if
there were any questions.
Joe Grimes asked Ms. Rosser a bit about the nature of the RV park and explained
that their project was not necessarily the same type of endeavor as the other RV
parks which have been brought to the Planning Commission in recent months.

Teri Jackson, with the Century Park Homeowners Association, came forward to
speak in opposition on this matter. They are within 1200' of the proposal PD district.
They have submitted a letter with 33 homeowners in opposition who signed it, which
was presented to the Commissioners.
Jennifer Boggs asked Ms. Jackson why the group was in opposition to the request.
Ms. Boggs asked Ms. Jackson if she has been on the property, and Ms. Jackson
replied that she had not. Ms. Jackson stated that Ben Ficklin Road is a very small
road and would be a difficult entrance. Mr. Wynne asked if the objection was based
on the perception of a work camp and not on a RV park for recreational type of
usage. Mr. Smith explained that he too, like Ms. Boggs, did not understand the
rationale behind the opposition. Mr. Lawrence wanted to identify the reasons for the
objection. The only reason for objection articulated was that Phase I had not yet
been developed.

Kandi Pool, speaking for the Association of Realtors, came forward to explain that
they are in opposition to this request. She explained that other requests have been
tabled and that they ask that this request be handled the same way.

Mr. Lawrence explained that the previous case was intended for long-term living,
while this case is focused on the type of limitations which the current ordinance
allows - being recreational in nature. There is, as such, a clear distinction between
the two. Mr. Wynne asked Mr. Hintz to provide the packet to Ms. Pool for her
review. Ms. Pool expressed that they want to make sure that there will be a
proliferation for campgrounds throughout the city for different reasons. Ms. Pool
asked that the Commission wait for the joint meeting to be held.

No one else came forward to speak on this matter.

Darlene Jones explained that the concept is a great concept and the presentation
was done well. However, she feels that there should be examination of the area.
Mr. Hintz spoke about the differences of this project because the PD ordinance is
tailor-made for this property, rather than simply being open to anything under the use
category. Jennifer Boggs stated that the letters of support were important and
should be considered in the evidence of the case. Ms. Boggs also explained that
there is, and has been articulated, a clear line of distinction between the work camp
issue and a recreational use. Mr. Smith stated that he was surprised to see
Commission members apologize for "pigeon-holing" the project in a previous hearing
but then go ahead and "pigeon-hole" it by tabling it. Mr. Smith continued to state
that this is a different matter.

Motion, to approve as presented, was made by Ryan Smith and seconded by
Jennifer Boggs. The motion passed by a vote of 5-1 with Darlene Jones opposed.
AN ORDINANCE AMENDING CHAPTER 12, EXHIBIT “A” OF THE CODE OF
       ORDINANCES, CITY OF SAN ANGELO, TEXAS, WHICH SAID EXHIBIT “A” OF
       CHAPTER 12 ADOPTS ZONING REGULATIONS, USE DISTRICTS AND A
       ZONING MAP, IN ACCORDANCE WITH A COMPREHENSIVE PLAN, BY
       CHANGING THE ZONING AND CLASSIFICATION OF THE FOLLOWING
       PROPERTY, TO WIT: 3512 Ben Ficklin Road, located approximately 200 feet
       east from the intersection of Ben Ficklin Road and South Bryant Boulevard.
       This property specifically occupies approximately 10.8 acres in the
       southwest portion of a 73.9 acre tract of the E Hermes Survey 0174
       Abstract 0349 in south central San Angelo, as indicated in Exhibit B of this
       Ordinance, changing the zoning classification from Ranch & Estate (R&E) to
       Planned Development (PD) District; PROVIDING FOR SEVERABILITY AND
       PROVIDING A PENALTY

RE:    PD 07-01 (2013 amendment): Carrie & John Maier and Glenn & Peggy Rosser


        WHEREAS, the Planning Commission for the City of San Angelo and the governing
body for the City of San Angelo, in compliance with the charter and the state law with
reference to zoning regulations and a zoning map, have given requisite notice by publication
and otherwise, and after holding hearings and affording a full and fair hearing to all property
owners and persons interested, generally, and to persons situated in the affected area and
in the vicinity thereof, is of the opinion that zoning changes should be made as set out
herein;

         WHEREAS, the applicants seek to develop the property in a phased approach and
wish to include an additional area of property within their ownership to the development as
approved and adopted on March 6, 2007; NOW THEREFORE,

BE IT ORDAINED BY THE CITY OF SAN ANGELO:

       SECTION 1: That the basic zoning ordinance for the City of San Angelo, as enacted
by the governing body for the City of San Angelo on January 4, 2000 and included within
Chapter 12 of the Code of Ordinances for the City of San Angelo, be and the same is
hereby amended insofar as the property hereinafter set forth, and said ordinance generally
and the zoning map shall be amended insofar as the property hereinafter described: 3512
Ben Ficklin Road, located approximately 200 feet east from the intersection of Ben Ficklin
Road and South Bryant Boulevard. This property specifically occupies approximately
10.8 acres in the southwest portion of a 73.9 acre tract of the E Hermes Survey 0174
Abstract 0349 in south central San Angelo, as indicated on Exhibit B of this Ordinance
shall henceforth be permanently zoned as follows: Planned Development (PD) District.

The Director of Planning is hereby directed to correct zoning district maps in the office of the
Director of Planning, to reflect the herein described changes in zoning.
SECTION 2: That in all other respects, the use of the hereinabove described
property shall be subject to all applicable regulations contained in Chapter 12 of the Code of
Ordinances for the City of San Angelo, as amended.

       SECTION 3: That the following severability clause is adopted with this amendment:

       SEVERABILITY:
       The terms and provisions of this Ordinance shall be deemed to be severable in that,
       if any portion of this Ordinance shall be declared to be invalid, the same shall not
       affect the validity of the other provisions of this Ordinance.

       SECTION 4: That the following penalty clause is adopted with this amendment:

       PENALTY:
       Any person who violates any provisions of this article shall be guilty of a
       misdemeanor and, upon conviction, shall be subject to a fine as provided for in
       Section 1.106 of the Code of Ordinances for the City of San Angelo. Each day of
       such violation shall constitute a separate offense.

       SECTION 5: That the ordinance approved by the governing body for the City of San
Angelo on March 6, 2007 amending the basic zoning ordinance for the City of San Angelo,
which said amending ordinance is referenced as PD 07-01and which concerns a certain
6.608-acre tract and a 14.199 acre tract out of the E. Hermes Survey 0174 Abstract 0349 in
the City of San Angelo, Tom Green County, Texas, shall be and the same is hereby
amended insofar as a certain Paragraph B in Section 5, adding the site plan referenced in
Exhibit A of this ordinance to the area encompassed by PD 07-01.


INTRODUCED on the 2nd day of April, 2013 and finally PASSED, APPROVED AND
ADOPTED on this the 16th day of April, 2013.

                                           THE CITY OF SAN ANGELO



                                              ____________________________________
                                              Alvin New, Mayor

ATTEST:


________________________________
Alicia Ramirez, City Clerk
Approved As To Content:          Approved As To Form:



_________________________        ________________________
AJ Fawver, Interim Director of   Lysia H. Bowling, City Attorney
Development Services
Exhibit B
BEN FICKLIN
              ROAD




                         M
                     M
AN ORDINANCE AMENDING CHAPTER 12, EXHIBIT “A” OF THE CODE OF
       ORDINANCES, CITY OF SAN ANGELO, TEXAS, WHICH SAID EXHIBIT “A” OF
       CHAPTER 12 ADOPTS ZONING REGULATIONS, USE DISTRICTS AND A
       ZONING MAP, IN ACCORDANCE WITH A COMPREHENSIVE PLAN, BY
       CHANGING THE ZONING AND CLASSIFICATION OF THE FOLLOWING
       PROPERTY, TO WIT: 3512 Ben Ficklin Road, located approximately 200 feet
       east from the intersection of Ben Ficklin Road and South Bryant Boulevard.
       This property specifically occupies approximately 10.8 acres in the
       southwest portion of a 73.9 acre tract of the E Hermes Survey 0174
       Abstract 0349 in south central San Angelo, as indicated in Exhibit B of this
       Ordinance, changing the zoning classification from Ranch & Estate (R&E) to
       Planned Development (PD) District; PROVIDING FOR SEVERABILITY AND
       PROVIDING A PENALTY

RE:    PD 07-01 (2013 amendment): Carrie & John Maier and Glenn & Peggy Rosser


        WHEREAS, the Planning Commission for the City of San Angelo and the governing
body for the City of San Angelo, in compliance with the charter and the state law with
reference to zoning regulations and a zoning map, have given requisite notice by publication
and otherwise, and after holding hearings and affording a full and fair hearing to all property
owners and persons interested, generally, and to persons situated in the affected area and
in the vicinity thereof, is of the opinion that zoning changes should be made as set out
herein;

         WHEREAS, the applicants seek to develop the property in a phased approach and
wish to include an additional area of property within their ownership to the development as
approved and adopted on March 6, 2007; NOW THEREFORE,

BE IT ORDAINED BY THE CITY OF SAN ANGELO:

       SECTION 1: That the basic zoning ordinance for the City of San Angelo, as enacted
by the governing body for the City of San Angelo on January 4, 2000 and included within
Chapter 12 of the Code of Ordinances for the City of San Angelo, be and the same is
hereby amended insofar as the property hereinafter set forth, and said ordinance generally
and the zoning map shall be amended insofar as the property hereinafter described: 3512
Ben Ficklin Road, located approximately 200 feet east from the intersection of Ben Ficklin
Road and South Bryant Boulevard. This property specifically occupies approximately
10.8 acres in the southwest portion of a 73.9 acre tract of the E Hermes Survey 0174
Abstract 0349 in south central San Angelo, as indicated on Exhibit B of this Ordinance
shall henceforth be permanently zoned as follows: Planned Development (PD) District.

The Director of Planning is hereby directed to correct zoning district maps in the office of the
Director of Planning, to reflect the herein described changes in zoning.
SECTION 2: That in all other respects, the use of the hereinabove described
property shall be subject to all applicable regulations contained in Chapter 12 of the Code of
Ordinances for the City of San Angelo, as amended.

       SECTION 3: That the following severability clause is adopted with this amendment:

       SEVERABILITY:
       The terms and provisions of this Ordinance shall be deemed to be severable in that,
       if any portion of this Ordinance shall be declared to be invalid, the same shall not
       affect the validity of the other provisions of this Ordinance.

       SECTION 4: That the following penalty clause is adopted with this amendment:

       PENALTY:
       Any person who violates any provisions of this article shall be guilty of a
       misdemeanor and, upon conviction, shall be subject to a fine as provided for in
       Section 1.106 of the Code of Ordinances for the City of San Angelo. Each day of
       such violation shall constitute a separate offense.

       SECTION 5: That the ordinance approved by the governing body for the City of San
Angelo on March 6, 2007 amending the basic zoning ordinance for the City of San Angelo,
which said amending ordinance is referenced as PD 07-01and which concerns a certain
6.608-acre tract and a 14.199 acre tract out of the E. Hermes Survey 0174 Abstract 0349 in
the City of San Angelo, Tom Green County, Texas, shall be and the same is hereby
amended insofar as a certain Paragraph B in Section 5, adding the site plan referenced in
Exhibit A of this ordinance to the area encompassed by PD 07-01.


INTRODUCED on the 2nd day of April, 2013 and finally PASSED, APPROVED AND
ADOPTED on this the 16th day of April, 2013.

                                           THE CITY OF SAN ANGELO



                                              ____________________________________
                                              Alvin New, Mayor

ATTEST:


________________________________
Alicia Ramirez, City Clerk
Approved As To Content:          Approved As To Form:



_________________________        ________________________
AJ Fawver, Interim Director of   Lysia H. Bowling, City Attorney
Development Services
Exhibit B
AN ORDINANCE AMENDING CHAPTER 12, EXHIBIT “A” OF THE CODE OF
       ORDINANCES, CITY OF SAN ANGELO, TEXAS, WHICH SAID EXHIBIT “A” OF
       CHAPTER 12 ADOPTS ZONING REGULATIONS, USE DISTRICTS AND A
       ZONING MAP, IN ACCORDANCE WITH A COMPREHENSIVE PLAN, BY
       CHANGING THE ZONING AND CLASSIFICATION OF THE FOLLOWING
       PROPERTY, TO WIT: 1205 South Jackson Street; located approximately 75
       feet southwest from the intersection at South Jackson Street and West
       Avenue H. This property specifically occupies the South Heights Addition,
       Block 6, Lots 2 and 3, in southwest San Angelo, changing the zoning
       classification from a Single Family Residential (RS-1) to a Two-Family
       Residential (RS-2) District; PROVIDING FOR SEVERABILITY AND
       PROVIDING A PENALTY

RE:    Z 13-08: Cho Walker

        WHEREAS, the Planning Commission for the City of San Angelo and the governing
body for the City of San Angelo, in compliance with the charter and the state law with
reference to zoning regulations and a zoning map, have given requisite notice by publication
and otherwise, and after holding hearings and affording a full and fair hearing to all property
owners and persons interested, generally, and to persons situated in the affected area and
in the vicinity thereof, is of the opinion that zoning changes should be made as set out
herein; NOW THEREFORE,

BE IT ORDAINED BY THE CITY OF SAN ANGELO:

       SECTION 1: That the basic zoning ordinance for the City of San Angelo, as enacted
by the governing body for the City of San Angelo on January 4, 2000 and included within
Chapter 12 of the Code of Ordinances for the City of San Angelo, be and the same is
hereby amended insofar as the property hereinafter set forth, and said ordinance generally
and the zoning map shall be amended insofar as the property hereinafter described: 1205
South Jackson Street; located approximately 75 feet southwest from the intersection
at South Jackson Street and West Avenue H. This property specifically occupies the
South Heights Addition, Block 6, Lots 2 and 3, in southwest San Angelo, shall
henceforth be permanently zoned as follows: Two-Family Residential (RS-2) District.

The Director of Planning is hereby directed to correct zoning district maps in the office of the
Director of Planning, to reflect the herein described changes in zoning.

       SECTION 2: That in all other respects, the use of the hereinabove described
property shall be subject to all applicable regulations contained in Chapter 12 of the Code of
Ordinances for the City of San Angelo, as amended.

       SECTION 3: That the following severability clause is adopted with this amendment:

       SEVERABILITY:
The terms and provisions of this Ordinance shall be deemed to be severable in that,
      if any portion of this Ordinance shall be declared to be invalid, the same shall not
      affect the validity of the other provisions of this Ordinance.

      SECTION 4: That the following penalty clause is adopted with this amendment:

      PENALTY:
      Any person who violates any provisions of this article shall be guilty of a
      misdemeanor and, upon conviction, shall be subject to a fine as provided for in
      Section 1.106 of the Code of Ordinances for the City of San Angelo. Each day of
      such violation shall constitute a separate offense.


INTRODUCED on the 2nd day of April, 2013 and finally PASSED, APPROVED AND
ADOPTED on this the 16th day of April, 2013.


                                         THE CITY OF SAN ANGELO




                                            ____________________________________
                                            Alvin New, Mayor

ATTEST:




________________________________
Alicia Ramirez, City Clerk




Approved As To Content:                  Approved As To Form:


_________________________                ________________________
AJ Fawver, Planning Manager              Lysia H. Bowling, City Attorney
City of San Angelo



Memo
 Meeting Date:   April 2, 2013

 To:             City Council members

 From:           Roxanne Johnston, Planner

 Subject:        Z13-08: Cho Walker. A request for approval of a zone
                 change from Single-Family Residential (RS-1) to Two-Family
                 Residential (RS-2) to specifically allow for “Household
                 Living” as defined in Section 313.B. of the Zoning Ordinance
                 and as allowed in RS-2 zoning districts on the following
                 property:

 Location:       1205 South Jackson Street; located approximately 75 feet
                 southwest from the intersection at South Jackson Street
                 and West Avenue H. This property specifically occupies
                 the South Heights Addition, Block 6, Lots 2 and 3, in
                 southwest San Angelo.

 Purpose:        Approval or modification of this request by the Planning
                 Commission would forward the recommendation to City
                 Council for a final decision on the matter.

 Contacts:       Cho Walker                                           325-763-8606
                 Roxanne Johnston, Planner                            325-657-4210

 Caption:        First Public Hearing and consideration of introduction of an Ordinance
                 amending Chapter 12, Exhibit “A” (Zoning Ordinance) of the Code of
                 Ordinances, City of San Angelo

                 Z 13-08: Cho Walker

                 AN ORDINANCE AMENDING CHAPTER 12, EXHIBIT “A” OF
                 THE CODE OF ORDINANCES, CITY OF SAN ANGELO,
                 TEXAS, WHICH SAID EXHIBIT “A” OF CHAPTER 12 ADOPTS
                 ZONING REGULATIONS, USE DISTRICTS AND A ZONING
                 MAP, IN ACCORDANCE WITH A COMPREHENSIVE PLAN,
BY CHANGING THE ZONING AND CLASSIFICATION OF
                           THE FOLLOWING PROPERTY, TO WIT: 1205 South
                           Jackson Street; located approximately 75 feet southwest
                           from the intersection at South Jackson Street and West
                           Avenue H. This property specifically occupies the South
                           Heights Addition, Block 6, Lots 2 and 3, in southwest
                           San Angelo, changing the zoning classification from a
                           Single Family Residential       (RS-1)  to a Two-Family
                           Residential (RS-2) District; PROVIDING FOR SEVERABILITY
                           AND PROVIDING A PENALTY




      Summary: The City Council may:

      (1) Approve the proposed zone change;

      (2) Remand the application back to Planning Commission for further discussion,
          in which case another public hearing will need to be scheduled.

      (3) Deny the proposed zone change

      Recommendation:       City staff recommends approving the proposed zone
      change.

      On March 18, 2013, the Planning Commission recommended approval of this
      request by a unanimous vote of 6-0.



History and Background:
The subject property encompasses two lots and measures approximately 1/3 of an
acre. The existing home was built in the early 1940s. Santa Rita Park and Santa Rita
Elementary School are located nearby, less than ¼ mile to the east. Proximity to these
locations allows opportunities for recreational, educational and social opportunities for
the surrounding area.

Additionally, the subject property is situated well under a ½ mile in to South Beauregard
Avenue to the north and West Avenue N to the south. These two locations generally
provide commercial opportunities to the subject property and the neighborhood, overall.

The applicant is seeking this zone change in order to convert an existing accessory
building into an accessory apartment. Although many such structures are in place within
the surrounding area, there are two properties that have been rezoned to RS-2. The
closest, 1313 South Jackson Street, houses a two story duplex and was rezoned in
1965. It is less than 500 feet south from the subject property.
Another such RS-2 zone is located southwest at 1428 West Tyler Street. This last
property lies approximately 2000 feet from the subject property with an accessory
apartment situated towards the rear of the property.


      General Information

            Existing Zoning:          Single Family Residential (RS-1)

            Existing Land Use:        Residence

            Surrounding Zoning/Land Use:

             North:     RS-1          Single-family Residential
             West:      RS-1          Single-Family Residential
             South:     RS-1          Single-Family Residential
             East:      RS-1          Single-Family Residential

            Thoroughfares/Streets:    South Jackson Street and West Avenue H
                                      are defined as “local streets” which are
                                      designed to carry light neighborhood traffic
                                      at lower speeds and generally connect to
                                      collector streets.

            Zoning History:           The property has been a part of the city
                                      limits since at least 1949 with little change
                                      to residential zoning and uses to the
                                      immediate area.

            Applicable Regulations:   Allowed uses for this property can be
                                      found in Section 310 (Use Table) of the
                                      Zoning Ordinance.


            Development Standards:    Residential development setbacks are
                                      outlined in Section 501 of the Zoning
                                      Ordinance.


            Vision Plan Map:          Neighborhood for the subject property and
                                      surrounding area.

            Related Comp Plan
            Excerpts:                 “Create new physical connections to
                                      neighborhoods lined with transitional and
                                      intermediate uses."

                                      "Promote neighborhood diversity and
security by encouraging a mix of age,
                                       income, and housing choices within San
                                       Angelo's neighborhoods.”

                                       "Encourage in-fill development sensitive to the
                                       existing and desired content of the area”


                                       “All residents within each neighborhood
                                       boundary should be able to meet their daily
                                       needs within a reasonable and accessible
                                       distance from their home.”

                                       "Variety of residential product types -
                                       multi-family, townhomes, courtyard homes,
                                       patio homes, etc."

                                       Establish transition areas to better "scale-
                                       down" intensity of use from commercial
                                       centers to neighborhoods."

            Special Information

            Traffic Concerns:          Changing the zoning to RS-2 will create
                                       little impact on the volume of traffic than if
                                       the property remained as-is.

            Parking Requirements:      New residential units require a minimum of
                                       two off-street parking spaces. All areas used
                                       for off-street parking shall be paved, per
                                       Section 511.F.3 of the Zoning Ordinance.

            Parking Provided:          Off-street paved parking is provided.

            Density:                   Surrounding uses are predominately
                                       residential in nature, with the majority of
                                       the structures being single-stories.

            Notification Required:     Yes

            Notifications Sent:        20

            Responses in Favor:        0

            Responses in Opposition:   3

Analysis:
In order to approve this Zone change request, City Council members are first
required to consider the following criteria:

1. Compatible with Plans and Policies. Whether the proposed amendment is
   compatible with the Comprehensive Plan and any other land use policies
   adopted by the Planning Commission or City Council.

2. Consistent with Zoning Ordinance. Whether and the extent to which the
   proposed amendment would conflict with any portion of this Zoning
   Ordinance.

3. Compatible with Surrounding Area. Whether and the extent to which the
   proposed amendment is compatible with existing and proposed uses
   surrounding the subject land and is the appropriate zoning district for the land.

4. Changed Conditions. Whether and the extent to which there are changed
   conditions that require an amendment.

5. Effect on Natural Environment. Whether and the extent to which the
   proposed amendment would result in significant adverse impacts on the
   natural environment, including but not limited to water and air quality, noise,
   storm water management, wildlife, vegetation, wetlands and the practical
   functioning of the natural environment.

6. Community Need. Whether and the extent to which the proposed
   amendment addresses a demonstrated community need.

7. Development Patterns. Whether and the extent to which the proposed
   amendment would result in a logical and orderly pattern of urban
   development in the community.


The staff recommendation is based upon the statements listed below.

The applicant is seeking a zone change in order to convert an existing accessory
building into an apartment. This zone change request from RS-1 to RS-2 is only
a slight change from current zoning and staff has discovered that this proposed
change is in keeping with the 7 criteria listed above, all of which will be explained
in the following.

A zone change to RS-2 would allow the owner and future owners to enjoy the
same residential uses that are allowed by right as current zoning with just one
exception: it allows for an accessory apartment on the property and the
occupancy rate would increase slightly. As mentioned earlier under the “History
and Background” portion of this report, the subject property is comprised of two
lots. A lot size of an approximately 1/3 of an acre makes a zone change here
more attractive than if the request were made on a piece of property half the size
of the subject property. Because of this minute difference in residential uses, and
with the lot being larger than many in the area, the proposed zone change
remains consistent and compatible with both the Zoning Ordinance and
Comprehensive Plan and meets the requirements of Criteria 1.

Since there would be no conflict in land use or the building requirements outlined
in the Zoning Ordinance, the proposed zone change would also be consistent
with the Zoning Ordinance and meets the intent of Criteria 2. Traffic would be
minimally impacted and the use would remain compatible with the surrounding
area. Additionally, the property has a spacious paved curved driveway that can
easily provide 3 additional off street parking opportunities along with the two car
garage attached to the primary residence.

The subject property lies amid an older, more established medium-density
residential area and is situated less than a half mile to commercial areas located
along West Beauregard Avenue and West Avenue N. Also, Santa Rita Park and
Santa Rita Elementary are within 500 feet of the subject property. The proximity
to these commercial opportunities can be ideal for pedestrian and bicycle uses.

Staff found many accessory structures in the subject property neighborhood and
discovered two instances of zone changes from RS-1 to RS-2. These illustrate
precedence by the Planning Commission and City Council to allow a mix of housing
stock to the area, which was and still is in keeping with the Comprehensive Plan, so
allowing an additional zone change here would be appropriate. As previously
mentioned, traffic would be minimally impacted with a zone change and the use
would remain compatible with the surrounding area and therefore meets with the
conditions of Criteria 3.

Conditions would remain relatively the same should the zone change be
approved. The Vision Plan calls for the subject property to remain as
‘Neighborhood’ in nature. Therefore, the zone change request is consistent with
aspects of the Vision Plan and will likely have a positive impact on current and
future land uses. RS-2 zoning here for an accessory apartment could also
encourage redevelopment and provide encouragement for future neighborhood
development that would be compatible with surrounding uses, including Santa
Rita Elementary School and Santa Rita Park to the east.

This zoning request would have minimal negative impacts on the natural
environment, again, since there is a little change between RS-1 and RS-2 uses.
Storm water runoff to the area would remain unchanged since the building is
already in place. Traffic would be the only factor increasing and impacting the
area, and again, this would be a negligible change since only one apartment
would be in use on the subject property and would most likely not negatively
affect neighboring properties if all conditions of the Zoning Ordinance are
satisfied.
San Angelo is experiencing a need for increased housing stock as our population
has been increasing. According to the United States Census Bureau, population
increased by nearly 5,000 between the years 2000 and 2010. 1 In this instance,
an existing structure would be reconditioned to provide more housing to assist
with community need, so Criteria 6 would continue to be met with the approval of
a zone change here.

Also addressing community need is this: the proposed area is situated in what
contains several potential components of a walk-able community from a Smart
Growth point of view. Smart Growth, can be defined as         “development that
serves the economy, the community and the environment”2 and promotes strong
neighborhoods through choices in transportation and housing. Smart Growth also
offers a higher level of social interaction, reduced emissions caused by
automobile travel and greater opportunities for physical opportunity that are
brought about by higher pedestrian and bicycling uses. Both Santa Rita
Elementary and Santa Rita Park are located less than 500 feet east of the
subject property, between South Monroe and South Madison Streets.
Commercial access exists less than a half a mile north from the subject property
along West Beauregard Avenue and also along West Avenue N, which is located
less than a half mile south from the subject property. These are just three
examples of current locations where area residents have reasonable pedestrian
and bicycle access to and illustrate how the subject property has several
desirable Smart Growth traits.

In addition to meeting Criteria 1-6, staff feels this zone change request is in
keeping with Criteria 7. A rezone to RS-2 is most certainly a logical progression
in terms of development patterns. Again, the change is very slight from the
current zoning and the Vision Plan calls for the area to remain residential. A
rezone to RS-2 would have little negative impact on the area, and again, could
help encourage future development in a predictable, orderly manner which is
exactly the intent of the Comprehensive Plan and Zoning Ordinance.


Proposed Conditions

         N/A

Attachments:                     Excerpt from zoning map, showing the general
                                 location within the City of San Angelo;

                                 excerpt from         zoning   map,   highlighting   subject
                                 property;

 1
     www.quickfacts.census.gov (accessed 01/18/13).
 2
     www.smartgrowthpa.org (accessed 01/22/13).
aerial photo, highlighting subject property; and

                excerpt from the Comprehensive Plan Vision map
                highlighting the subject property.

                notification map highlighting           responses   from
                neighboring properties;

                citizen response letters;

                draft minutes from March          18,    2013   Planning
                Commission meeting; and

`               draft ordinance

Presentation:   AJ Fawver, Interim Director of Development Services

Reviewed by:    Jeff Hintz, Interim Senior Planner (03/09/13)
The effect of
MINUTE RECORD OF THE CITY OF SAN ANGELO PLANNING COMMISSION MEETING
HELD ON MONDAY, March 18, 2013 AT 9:00 AM IN THE SOUTH MEETING ROOM OF THE
SAN ANGELO CONVENTION CENTER, 500 RIO CONCHO DRIVE, SAN ANGELO, TEXAS

PRESENT:      Joe Grimes, Bill Lawrence, Jennifer Boggs, Darlene Jones, Bill Wynne,
              Ryan Smith

ABSENT:       Sebastian Guerrero (AE)

       STAFF:        AJ Fawver, Interim Director of Development Services
                     Lysia Bowling, City Attorney
                     Al Torres, Building Official
                     Jeff Hintz, Interim Senior Planner
                     Kevin Boyd, Planner
                     Roxanne Johnston, Planner


VII. Requests for Zone Change.             [Planning Commission                   makes
recommendation; City Council has final authority for approval.]

      A. Z 13-08 Cho Walker

           A request for approval of a zone change from Single-Family Residential (RS-
           1) to Two-Family Residential (RS-2) to specifically allow for “Household
           Living” as defined in Section 313.B. of the Zoning Ordinance and as allowed
           in RS-2 zoning districts on the following property:

           1205 South Jackson Street; located approximately 75 feet southwest from
           the intersection at South Jackson Street and West Avenue H. This property
           specifically occupies the South Heights Addition, Block 6, Lots 2 and 3, in
           southwest San Angelo.

      Roxanne Johnston, Planner, came forward to present this case, consistent with
      the staff recommendation of approval. Twenty notifications were sent out, with
      three returned in opposition to the request. She described briefly the concerns
      that were outlined. There is predominant RS-1 zoning throughout the area, and
      the subject property actually sits on two lots. The applicant would like to have a
      full accessory apartment on the premises. The properties responding in
      opposition to the request were shown. The Vision Plan map calls for a
      "neighborhood" designation at this location. Ms. Johnston gave some other
      background on the ordinance requirements for accessory apartments. Staff
      explained that the zoning change was needed because a full-fledged apartment
      (encompassing both a bathroom and a kitchen) would be a full second living
      unit. An RS-1 zoning district only allows one living unit per lot. In this case, the
      property is actually two lots, making it unique. Conceivably, if the current
      buildings were removed, one residence could be constructed on each of those
      lots. As such, the only thing preventing this occurring now is the limitations of
      the current buildings and setbacks.
Cho Walker came up to speak. Bill Wynne asked if someone will be occupying
the residence. Ms. Walker mentioned that her sister will be occupying it
permanently. She mentions that her sister is ill and that she would care for her.
Ms. Boggs asked if there would be any changes to the existing structure. Ms.
Walker responsed no. there are no changes expected to the building. Ryan
Smith asked about the terms of renting. Staff explained the differences between
a full accessory apartment and a "mother-in-law suite". The former has both a
bath and a kitchen, while the latter has one or the other, not both.

Motion, to approve, was made by Ryan Smith and seconded by Darlene Jones.
The motion passed unanimously, 6-0.
AN ORDINANCE AMENDING CHAPTER 12, EXHIBIT “A” OF THE CODE OF
       ORDINANCES, CITY OF SAN ANGELO, TEXAS, WHICH SAID EXHIBIT “A” OF
       CHAPTER 12 ADOPTS ZONING REGULATIONS, USE DISTRICTS AND A
       ZONING MAP, IN ACCORDANCE WITH A COMPREHENSIVE PLAN, BY
       CHANGING THE ZONING AND CLASSIFICATION OF THE FOLLOWING
       PROPERTY, TO WIT: 1205 South Jackson Street; located approximately 75
       feet southwest from the intersection at South Jackson Street and West
       Avenue H. This property specifically occupies the South Heights Addition,
       Block 6, Lots 2 and 3, in southwest San Angelo, changing the zoning
       classification from a Single Family Residential (RS-1) to a Two-Family
       Residential (RS-2) District; PROVIDING FOR SEVERABILITY AND
       PROVIDING A PENALTY

RE:    Z 13-08: Cho Walker

        WHEREAS, the Planning Commission for the City of San Angelo and the governing
body for the City of San Angelo, in compliance with the charter and the state law with
reference to zoning regulations and a zoning map, have given requisite notice by publication
and otherwise, and after holding hearings and affording a full and fair hearing to all property
owners and persons interested, generally, and to persons situated in the affected area and
in the vicinity thereof, is of the opinion that zoning changes should be made as set out
herein; NOW THEREFORE,

BE IT ORDAINED BY THE CITY OF SAN ANGELO:

       SECTION 1: That the basic zoning ordinance for the City of San Angelo, as enacted
by the governing body for the City of San Angelo on January 4, 2000 and included within
Chapter 12 of the Code of Ordinances for the City of San Angelo, be and the same is
hereby amended insofar as the property hereinafter set forth, and said ordinance generally
and the zoning map shall be amended insofar as the property hereinafter described: 1205
South Jackson Street; located approximately 75 feet southwest from the intersection
at South Jackson Street and West Avenue H. This property specifically occupies the
South Heights Addition, Block 6, Lots 2 and 3, in southwest San Angelo, shall
henceforth be permanently zoned as follows: Two-Family Residential (RS-2) District.

The Director of Planning is hereby directed to correct zoning district maps in the office of the
Director of Planning, to reflect the herein described changes in zoning.

       SECTION 2: That in all other respects, the use of the hereinabove described
property shall be subject to all applicable regulations contained in Chapter 12 of the Code of
Ordinances for the City of San Angelo, as amended.

       SECTION 3: That the following severability clause is adopted with this amendment:

       SEVERABILITY:
The terms and provisions of this Ordinance shall be deemed to be severable in that,
      if any portion of this Ordinance shall be declared to be invalid, the same shall not
      affect the validity of the other provisions of this Ordinance.

      SECTION 4: That the following penalty clause is adopted with this amendment:

      PENALTY:
      Any person who violates any provisions of this article shall be guilty of a
      misdemeanor and, upon conviction, shall be subject to a fine as provided for in
      Section 1.106 of the Code of Ordinances for the City of San Angelo. Each day of
      such violation shall constitute a separate offense.


INTRODUCED on the 2nd day of April, 2013 and finally PASSED, APPROVED AND
ADOPTED on this the 16th day of April, 2013.


                                         THE CITY OF SAN ANGELO




                                            ____________________________________
                                            Alvin New, Mayor

ATTEST:




________________________________
Alicia Ramirez, City Clerk




Approved As To Content:                  Approved As To Form:


_________________________                ________________________
AJ Fawver, Planning Manager              Lysia H. Bowling, City Attorney
AN ORDINANCE AMENDING CHAPTER 12, EXHIBIT “A” OF THE CODE OF
       ORDINANCES, CITY OF SAN ANGELO, TEXAS, WHICH SAID EXHIBIT “A” OF
       CHAPTER 12 ADOPTS ZONING REGULATIONS, USE DISTRICTS AND A
       ZONING MAP, IN ACCORDANCE WITH A COMPREHENSIVE PLAN, BY
       CHANGING THE ZONING AND CLASSIFICATION OF THE FOLLOWING
       PROPERTY, TO WIT: a 7.938 acres at southwest corner of South Oxford
       Drive and A&M Avenue in southwestern San Angelo, amending the
       zoning classification from a Planned Development (PD) District (PD 07-
       03) previously approved for assisted group living to specifically add
       allowance for the operation of a gymnastics academy; PROVIDING FOR
       SEVERABILITY AND PROVIDING A PENALTY

RE:    Z 13-09 AKA PD 07-03 (2013 Amendment): Jack Gabriel

        WHEREAS, the Planning Commission for the City of San Angelo and the governing
body for the City of San Angelo, in compliance with the charter and the state law with
reference to zoning regulations and a zoning map, have given requisite notice by publication
and otherwise, and after holding hearings and affording a full and fair hearing to all property
owners and persons interested, generally, and to persons situated in the affected area and
in the vicinity thereof, is of the opinion that zoning changes should be made as set out
herein; NOW THEREFORE,

BE IT ORDAINED BY THE CITY OF SAN ANGELO:

      SECTION 1: That the ordinance approved by the governing body for the City of San
Angelo on August 21, 2007, amending the basic zoning ordinance for the City of San
Angelo, which said amending ordinance is referenced as PD 07-03 and which contains a
7.938 acre tract out of W. Nevels Survey 2 (Abstract No. 1755) and out of J. McNeese
Survey 1761/2 (Abstract No.1641) in San Angelo, Tom Green County, Texas shall be the
same and is hereby amended to include all conditions specified in Section 5 below.

The Director of Planning is hereby directed to correct zoning district maps in the office of the
Director of Planning, to reflect the herein described changes in zoning.

       SECTION 2: That in all other respects, the use of the hereinabove described
property shall be subject to all applicable regulations contained in Chapter 12 of the Code of
Ordinances for the City of San Angelo, as amended.

       SECTION 3: That the following severability clause is adopted with this amendment:

       SEVERABILITY:
The terms and provisions of this Ordinance shall be deemed to be severable in that,
       if any portion of this Ordinance shall be declared to be invalid, the same shall not
       affect the validity of the other provisions of this Ordinance.

       SECTION 4: That the following penalty clause is adopted with this amendment:

       PENALTY:
       Any person who violates any provisions of this article shall be guilty of a
       misdemeanor and, upon conviction, shall be subject to a fine as provided for in
       Section 1.106 of the Code of Ordinances for the City of San Angelo. Each day of
       such violation shall constitute a separate offense.

         SECTION 5: Except as otherwise specified or limited below, the use and
improvement of the subject property shall be governed by standards, requirements and
limitations of development in Single-Family Residence (RS-1) Districts:

       A: The property shall not allow any retail sales except to students and attendees of
          gymnastics showcases and or events. Invitation for the sole purpose of retail sales
          shall be prohibited. Said sales shall be limited to gymnastics activities and
          general concessions.

       B: Office space shall be allowed for the gymnastics academy and assisted group
          living uses only. Other types of offices not related to the allowed uses through this
          amendment and PD 07-03 shall not be permitted.

       C: Gymnasium shall only be used for gymnastics activities, showcases and training
         limited to those enrolled in lessons or the academy. Other types of athletic clubs,
         events, or sports unrelated to the operation of a gymnastics academy or
         assisted group living facility shall not be permitted.

      D: Appeals of what constitutes a gymnastics activities shall be directed to the Zoning
Board of Adjustment if not addressed within this amendment to PD 07-03.

       SECTION 6: The parking requirements for this gymnastics academy shall be as
follows, and as is ordinarily required in the zoning ordinance for the City of San Angelo:

       A: 1 space per 400 square foot gross or 1 space for every 10 seats for patron use;
          whichever is greater for the gymnastics academy. Such off-street parking areas
          (including vehicle maneuvering space and driveways) shall furthermore be
          designed, improved and maintained as generally required by off-street parking
          standards of San Angelo’s Zoning Ordinance.
B: Before any activities allowed within this Planned Development District may
        commence, a Certificate of Occupancy from the Building Official shall be obtained
        and all parking spaces required for those uses shall be provided and maintained
        as Section 511 of the Zoning Ordinance requires.

       SECTION 7: Outdoor storage of any materials or equipment or any kind shall not be
permitted at any location within the bounds of this Planned Development District.



INTRODUCED on the 2nd day of April, 2013 and finally PASSED, APPROVED AND
ADOPTED on this the 16th day of April, 2013.


                                         THE CITY OF SAN ANGELO




                                            ____________________________________
                                            Alvin New, Mayor

ATTEST:




________________________________
Alicia Ramirez, City Clerk




Approved As To Content:                  Approved As To Form:


_________________________                ________________________
AJ Fawver, AICP Interim Director         Lysia H. Bowling, City Attorney
of Development Services
City of San
                                                             Angelo


Memo
 Meeting Date:   April 2, 2013

 To:             City Council members

 From:           Roxanne Johnston, Planner

 Subject:        Z13-09; Jack Gabriel, aka PD 07-03 (2013 Amendment); (an
                 amendment to a Planned Development District (PD07-03) to
                 specifically add an allowance for the operation of a gymnastics
                 academy, which is defined in Section 315.G.c.3 of the Zoning
                 Ordinance as a “Retail Sales and Service that is Entertainment
                 Oriented” on the following property:

 Location:       2909 South A&M Avenue, located at the southwest corner of
                 South Oxford Drive and South A&M Avenue. This property
                 specifically occupies approximately 7.938 acres out of the J Mc
                 Neese Survey 0176 Abstract 1641 in southwest San Angelo.

 Purpose:        Approving this zone change amendment will forward that
                 recommendation to City Council for a final decision on the
                 matter.

 Contacts:       Jack Gabriel, property owner                         325-374-3457
                 Roxanne Johnston, Planner                            325-657-4210


 Caption:        First Public Hearing and consideration of introduction of an Ordinance
                 amending Chapter 12, Exhibit “A” (Zoning Ordinance) of the Code of
                 Ordinances, City of San Angelo

                 Z 13-09 AKA PD 07-03 (2013 Amendment): Jack Gabriel

                 AN ORDINANCE AMENDING CHAPTER 12, EXHIBIT “A”
                 OF THE CODE OF ORDINANCES, CITY OF SAN
                 ANGELO, TEXAS, WHICH SAID EXHIBIT “A” OF
                 CHAPTER 12 ADOPTS ZONING REGULATIONS, USE
                 DISTRICTS AND A ZONING MAP, IN ACCORDANCE
WITH A COMPREHENSIVE PLAN, BY CHANGING THE
                    ZONING AND CLASSIFICATION OF THE FOLLOWING
                    PROPERTY, TO WIT: a 7.938 acres at southwest
                    corner of South Oxford Drive and A&M Avenue in
                    southwestern San Angelo, amending the zoning
                    classification from a Planned Development (PD)
                    District (PD 07-03) previously approved for assisted
                    group living to specifically add allowance for the
                    operation of a gymnastics academy; PROVIDING
                    FOR SEVERABILITY AND PROVIDING A PENALTY



Summary: The City Council may:

(1) Approve this Planned Development amendment request with conditions; or

(2) Remand the application back to Planning Commission for further discussion,
    in which case another public hearing will need to be scheduled, or

(3) Deny this Planned Development amendment request.

Recommendation:    Planning staff recommends approving the proposed
amendment to PD 07-03 with conditions.

On March 18, 2013, the Planning Commission recommended approval of this
request by a unanimous vote of 6-0.


History and Background:

The subject property is the former Travis Elementary School. Campus
buildings and related site improvements, including off-street parking
areas as well as recreation and playground equipment, remain. In 2007,
a Planned Development District was given to allow for an assisted group
living center which was to eventually include a two story building. This
facility has not been constructed nor has the center been developed.

The amendment proposal, the first for this PD, is to use an existing
recreational building located approximately 75 feet west of the
intersection at A&M Avenue and Harvard Avenue for a gymnastics
academy. This use is not consistent with the original PD. This or any PD
District is a customized zoning classification. Use and development of
land and buildings within each PD District is guided by a graphic concept
plan fully integrated with (and formally a part of) specific zoning
regulations tailor-made for each district. Changes to the PD require
review and approval from Planning Commission and City Council and are
further explained in this report.


General Information

      Existing Zoning:            Planned Development (PD)

      Existing Land Use:          Vacant former school.

      Surrounding Zoning/Land Use:

       North:              RS-1             Single-family residences, campus
                                            for church and private school
       West:               RS-1             Single-family residences
       South:              RS-1             Single-family residences and
                                            open space including the Red
                                            Arroyo
       East:               RS-1             Single-family residences

      Thoroughfares/Streets:      South A&M and Oxford Avenues are
                                  defined as "minor collector streets”
                                  designed to connect arterial streets to local
                                  streets and access land.


      Zoning History:             PD 07-03 allows for an assisted group
                                  living center, but to date, this property has
                                  not been used nor developed for this
                                  intended purpose.

      Applicable Regulations:     Section   210.G.   Planned     Development
                                  Review

                                  “Any amendment to the terms and
                                  conditions of an approved PD District
                                  ordinance shall be subject to review and
                                  reconsideration…”

                                  Section 306. PD (Planned Development)
                                  District

                                  “The purpose of the Planned Development
                                  District include, but are not limited to the
                                  following
                                  1. To allow diversification of uses,
                                  structures, and open spaces and to
                                  promote flexibility of design in a manner
                                  compatible with existing and allowed uses
                                  of land on adjacent properties.
2. To preserve the natural amenities and
                         environmental assets of the land by
                         encouraging    the   preservation    and
                         improvement of open space.

                         3. To provide an appropriate balance
                         between the intensity of development and
                         the ability to provide adequate supporting
                         public facilities and services.

                         4. To promote the efficient use of land to
                         facilitate a more economic arrangement of
                         buildings, uses of land and utilities.

                         5. To promote the development of vacant
                         property within the presently developed
                         urban area.”



Development Standards:   Residential development setbacks are
                         outlined in Section 501 of the Zoning
                         Ordinance.

                         All required off-street parking and the
                         connection(s) to a public right-of-way are
                         required to be paved as defined in Section
                         511.F.3 of the Zoning Ordinance.

                         Section 502.      Nonresidential    District
                         Standards

                         A. Within any nonresidential district,
                         allowed residential uses shall conform with
                         the residential bulk regulations regarding
                         maximum floor area ratio, required yards
                         and height that are most closely
                         associated with the proposed type of
                         residential use.”


Vision Plan Map:         Neighborhood

Comp Plan Excerpts:      Chapter 6 addresses land use:

                         “medium-and high-density housing districts
                         can serve as a transition between single-
                         family residential and commercial uses.”
                         and;
Objective     D:      “Encourage     in-fill
                                development sensitive to the existing and
                                desired context of the area.”

                                Objective E: “Encourage the re-use of
                                vacant buildings in the city. Carefully
                                integrate new uses into older areas…” and
                                to “Provide regulatory flexibility to allow for
                                the use of vacant or underutilized
                                buildings.”


Special Information

     Traffic Concerns:          This property has direct access to two
                                major collector streets within the
                                neighborhood; A&M Avenue and Oxford
                                Avenue. The proposal to add a new use
                                will most likely increase traffic; primarily
                                during the hours of operation. As this
                                property was once a school, the area
                                experienced high volumes of traffic
                                depending on the school’s hours of
                                operation, and these roadways therefore
                                designed to accommodate moderate flows
                                of traffic at moderate speeds, but with
                                limited access points.

     Parking Requirements:      1 space per residential unit under the
                                existing PD. The new use would require 1
                                space per 400 square foot gross or 1
                                space for every 10 seats for patron use;
                                whichever is greater.

     Parking Provided:          Paved off-street parking        spaces     are
                                currently provided.

     Density:                   Predominately vacant land and medium
                                density Single-Family Residences are
                                prevalent in this area.

     Notification Required:     Yes

     Notifications Sent:        21

     Responses in Favor:        1

     Responses in Opposition:   0

Analysis:
In order to approve this zone change request, the City Council members are first
required to consider the following criteria:

1. Compatible with Plans and Policies. Whether the proposed amendment is
   compatible with the Comprehensive Plan and any other land use policies adopted
   by the Planning Commission or City Council.

2. Consistent with Zoning Ordinance. Whether and the extent to which the
   proposed amendment would conflict with any portion of this Zoning Ordinance.

3. Compatible with Surrounding Area. Whether and the extent to which the
   proposed amendment is compatible with existing and proposed uses surrounding
   the subject land and is the appropriate zoning district for the land.

4. Changed Conditions. Whether and the extent to which there are changed
   conditions that require an amendment.

5. Effect on Natural Environment. Whether and the extent to which the proposed
   amendment would result in significant adverse impacts on the natural
   environment, including but not limited to water and air quality, noise, storm water
   management, wildlife, vegetation, wetlands and the practical functioning of the
   natural environment.

6. Community Need. Whether and the extent to which the proposed amendment
   addresses a demonstrated community need.

7. Development Patterns. Whether and the extent to which the proposed
   amendment would result in a logical and orderly pattern of urban development in
   the community.

The staff recommendation is based upon the statements listed below.

A requirement of any PD is that the original plans approved as a condition of the
PD be adhered to and any changes require a review. When a change is
requested by an applicant, as it is here, then the PD must be reviewed per
Section 210G of the Zoning Ordinance which, in short, instructs that the Planning
Commission review the request. Since the change has been recommended by
the Planning Commission, the City Council then makes the final decision on the
matter.

Staff has determined that an important distinction be made between the proposed
use and examples of other uses in the “Retail Sales and Service Entertainment
Oriented” use category. Other uses in this category include “restaurants, cafes,
delicatessens, indoor continuous entertainment activities such as bowling alleys and
ice rinks; dance halls; theaters, health clubs, gyms, membership clubs and lodges;
hotels, motels, campgrounds, recreational vehicle parks and other temporary lodging
with an average length of stay of less than 30 days.” Staff would not support the
placement of many of these uses on the subject property, and asserts that a
gymnastics academy would most likely represent the least intensive of land use and
nuisance to the area when compared to other businesses in this use category.

Given the history of the property whereby the original PD conditions have not
been met by neither the original nor the current owner, it seems only equitable to
Planning staff that the current owner uses the property for a purpose that will be
compatible with the surrounding area, the Zoning Ordinance, and the
Comprehensive Plan.

In a residential area where commercial uses are normally not allowed, it would seem
that a commercial use would be undesirable. However, in this case, the commercial
use serves to provide education and also contains entertainment elements if the use
is restricted to the proposed use or a similar use. The Comprehensive Plan seeks to
promote public arts and cultural opportunities for youth. Although the proposed use
would not be publically funded, it could still provide for such art and cultural
opportunities. It is quite possible, too, that area residents of the neighborhood would
make use of the proposed gymnastics academy.

Additionally, the Comprehensive Plan seeks to “create new physical connections to
neighborhoods lined with transitional and intermediate uses.” The neighborhood
contains a variety of uses; two such uses can be found in the church to the north of
the subject property and the school operated by the church. Additionally, to the west
of the property, the use of open space that lies between commercial uses along
South College Hills Boulevard is yet another example of a transitional use. Adding
the proposed use lends itself to the idea of connectivity as such activities provide
opportunities to gather together socially and potentially create a feeling of both
community and community investment through shared experiences. Along with this
idea is the enhancement such a proposed use would bring to a walk-able community
that is attainable through pedestrian activities and alternative transportation such as
bicycles.

No new building is being proposed at this time, so the surrounding area (which
includes the Red Arroyo) will not be impacted by additional storm water runoff;
landscaping in place will most likely remain as-is with routine maintenance. Therefore
this amendment proposal should not subject the area to adverse impacts such as
excessive noises or noxious odors, for example.

This request is requiring an amendment to the Zoning Ordinance; however, a change
to any PD would also require an amendment. The applicant and several residents of
the neighborhood expressed to staff that the property was vandalized in the past
when the property was not being used, so staff believes activity such as the
proposed use will promote a “safer” neighborhood since the property is now lit and
active in the evenings. Also, the proposed use remains compatible with the overall
conditions of the original PD. In the event that those conditions (the group living
facility) are realized, then the proposed gym could still be used concurrently. In the
event the gym discontinued its use, the overall PD will not be adversely impacted.
Either way, the character of the neighborhood will not be compromised and so the
balance of what is intended in the Vision Plan for the area remains intact.

The creation of any PD brings the most consistent and predictable development
within the community, a fact that solidifies the purpose and intent of the Zoning
Ordinance and Comprehensive Plan and goals for this area. For all of these
reasons, staff finds this use consistent with all criteria mandated of the request
and recommends approval of the proposed use within the boundary of PD 07-03.

Conditions:

Conditions of this amendment to the Planned Development are listed in Sections 5 –
7 of the attached draft ordinance included with this report

Attachments:                excerpt from zoning map, showing the general location
                            within the City of San Angelo;

                            excerpt from      zoning    map,    highlighting    subject
                            property;

                            aerial photo, highlighting subject property;

                            excerpt from the Comprehensive Plan Vision Map
                            highlighting the subject property;

                            notification map highlighting           responses     from
                            neighboring properties;

                            citizen response letter;

                            draft minutes from January 18, 2013 Planning
                            Commission Meeting;

                            approved PD 07-03 ordinance from 2007;

                            approved PD 07-03 site plan from 2007; and

                            draft ordinance for current proposal.

Presentation:               Roxanne Johnston, Planner

Reviewed by:                Jeff Hintz, Interim Senior Planner (03/09/13)
MINUTE RECORD OF THE CITY OF SAN ANGELO PLANNING COMMISSION MEETING
HELD ON MONDAY, March 18, 2013 AT 9:00 AM IN THE SOUTH MEETING ROOM OF THE
SAN ANGELO CONVENTION CENTER, 500 RIO CONCHO DRIVE, SAN ANGELO, TEXAS

PRESENT:       Joe Grimes, Bill Lawrence, Jennifer Boggs, Darlene Jones, Bill Wynne,
               Ryan Smith

ABSENT:        Sebastian Guerrero (AE)

STAFF:         AJ Fawver, Interim Director of Development Services
               Lysia Bowling, City Attorney
               Al Torres, Building Official
               Jeff Hintz, Interim Senior Planner
               Kevin Boyd, Planner
               Roxanne Johnston, Planner

         B. Z 13-09: Jack Gabriel (aka PD 07-03 2013 Amendment)

           A request for approval of an amendment to a Planned Development District
           (PD07-03) to specifically add an allowance for the operation of a gymnastics
           academy, which is defined in Section 315.G.c.3 of the Zoning Ordinance as
           a “Retail Sales and Service that is Entertainment Oriented” on the following
           property:

           2909 South A&M Avenue, located at the southwest corner of South Oxford
           Drive and South A&M Avenue. This property specifically occupies
           approximately 7.938 acres out of the J Mc Neese Survey 0176 Abstract
           1641 in southwest San Angelo.

         Roxanne Johnston, Planner, came forward to present this request, consistent
         with the staff recommendation of approval 21 notifications were sent, with 1
         returned in favor. Packets of a petition that was put together in support of the
         zoning were handed out to the Planning Commission, provided by users of the
         property. A copy of this packet is maintained as part of the minute record. Ms.
         Johnston showed some photos of the subject property and the surrounding
         area. There is a large neighborhood surrounding the property and the property
         itself is the site of a former elementary school. The property has been a PD
         district since 2007 allowing for group living, and the applicant seeks to amend
         this PD to include a gymnastics academy. The proposed use falls within the
         retail sales category, but the ordinance crafted for this site limits the usage to
         simply a gymnastics academy.            It is a request consistent with the
         Comprehensive Plan and far less intensive than other types of uses within the
         retail sales use classification. The proposed use provides recreation, ties to the
         neighborhood, and there is no new building proposed at this time.
         Environmentally, the effects will be minimal. The character of the neighborhood
         should remain unaffected since the gymnastics academy is similar to the
         educational setting of a school.
Jennifer Boggs asked some questions about the environmental issues. Al
Torres, Building Official, came forward to address these questions.

There were no other questions for staff. Mr. Lawrence asked about the zoning
that predated the PD zoning district. Mr. Lawrence talked about the potential
responsibility of the school district to clear these lots when abandoning the uses
so that the properties may be used and re-visioned.

Landa Knight, owner of the Texas Tumbleweeds Academy, came forward to
discuss the support of the community for their utilization of the property. There
isn't a current plan of action for the other facilities of the site in addition to the
gymnasium. They are leasing the property from a private property owner.

Ms. Johnston clarified that the PD district applies to the entire tract of property.

Joe Grimes asked about the parking, and Ms. Knight explained that there is
regular pick-up and drop-off traffic, not permanent occupation of the parking
lots. There was discussion as to the options of the proponents moving forward.

Marla Butler Cummings came forward to speak in favor of this request. She
has students attending the academy and does live in the area as well. She
discussed the traffic concerns of the property and the neighborhood. Mr. Smith
asked if there were matches held in the facility, and she replied that there are
not. The space is fairly tight for all of the things which they are doing within it.

No one came forward to speak in opposition to the request.

Motion, to approve as presented, was made by Ryan Smith and seconded by
Darlene Jones. The motion passed unanimously, 6-0.
AN ORDINANCE AMENDING CHAPTER 12, EXHIBIT “A” OF THE CODE OF
       ORDINANCES, CITY OF SAN ANGELO, TEXAS, WHICH SAID EXHIBIT “A” OF
       CHAPTER 12 ADOPTS ZONING REGULATIONS, USE DISTRICTS AND A
       ZONING MAP, IN ACCORDANCE WITH A COMPREHENSIVE PLAN, BY
       CHANGING THE ZONING AND CLASSIFICATION OF THE FOLLOWING
       PROPERTY, TO WIT: a 7.938 acres at southwest corner of South Oxford
       Drive and A&M Avenue in southwestern San Angelo, amending the
       zoning classification from a Planned Development (PD) District (PD 07-
       03) previously approved for assisted group living to specifically add
       allowance for the operation of a gymnastics academy; PROVIDING FOR
       SEVERABILITY AND PROVIDING A PENALTY

RE:    Z 13-09 AKA PD 07-03 (2013 Amendment): Jack Gabriel

        WHEREAS, the Planning Commission for the City of San Angelo and the governing
body for the City of San Angelo, in compliance with the charter and the state law with
reference to zoning regulations and a zoning map, have given requisite notice by publication
and otherwise, and after holding hearings and affording a full and fair hearing to all property
owners and persons interested, generally, and to persons situated in the affected area and
in the vicinity thereof, is of the opinion that zoning changes should be made as set out
herein; NOW THEREFORE,

BE IT ORDAINED BY THE CITY OF SAN ANGELO:

      SECTION 1: That the ordinance approved by the governing body for the City of San
Angelo on August 21, 2007, amending the basic zoning ordinance for the City of San
Angelo, which said amending ordinance is referenced as PD 07-03 and which contains a
7.938 acre tract out of W. Nevels Survey 2 (Abstract No. 1755) and out of J. McNeese
Survey 1761/2 (Abstract No.1641) in San Angelo, Tom Green County, Texas shall be the
same and is hereby amended to include all conditions specified in Section 5 below.

The Director of Planning is hereby directed to correct zoning district maps in the office of the
Director of Planning, to reflect the herein described changes in zoning.

       SECTION 2: That in all other respects, the use of the hereinabove described
property shall be subject to all applicable regulations contained in Chapter 12 of the Code of
Ordinances for the City of San Angelo, as amended.

       SECTION 3: That the following severability clause is adopted with this amendment:

       SEVERABILITY:
       The terms and provisions of this Ordinance shall be deemed to be severable in that,
       if any portion of this Ordinance shall be declared to be invalid, the same shall not
       affect the validity of the other provisions of this Ordinance.
SECTION 4: That the following penalty clause is adopted with this amendment:

      PENALTY:
      Any person who violates any provisions of this article shall be guilty of a
      misdemeanor and, upon conviction, shall be subject to a fine as provided for in
      Section 1.106 of the Code of Ordinances for the City of San Angelo. Each day of
      such violation shall constitute a separate offense.

         SECTION 5: Except as otherwise specified or limited below, the use and
improvement of the subject property shall be governed by standards, requirements and
limitations of development in Single-Family Residence (RS-1) Districts:

      A: The property shall not allow any retail sales except to students and attendees of
         gymnastics showcases and or events. Invitation for the sole purpose of retail sales
         shall be prohibited. Said sales shall be limited to gymnastics activities and
         general concessions.

      B: Office space shall be allowed for the gymnastics academy and assisted group
         living uses only. Other types of offices not related to the allowed uses through this
         amendment and PD 07-03 shall not be permitted.

      C: Gymnasium shall only be used for gymnastics activities, showcases and training
        limited to those enrolled in lessons or the academy. Other types of athletic clubs,
        events, or sports unrelated to the operation of a gymnastics academy or
        assisted group living facility shall not be permitted.

      D: Appeals of what constitutes a gymnastics activities shall be directed to the Zoning
         Board of Adjustment if not addressed within this amendment to PD 07-03.

       SECTION 6: The parking requirements for this gymnastics academy shall be as
follows, and as is ordinarily required in the zoning ordinance for the City of San Angelo:

      A: 1 space per 400 square foot gross or 1 space for every 10 seats for patron use;
         whichever is greater for the gymnastics academy. Such off-street parking areas
         (including vehicle maneuvering space and driveways) shall furthermore be
         designed, improved and maintained as generally required by off-street parking
         standards of San Angelo’s Zoning Ordinance.

      B: Before any activities allowed within this Planned Development District may
        commence, a Certificate of Occupancy from the Building Official shall be obtained
        and all parking spaces required for those uses shall be provided and maintained
        as Section 511 of the Zoning Ordinance requires.

       SECTION 7: Outdoor storage of any materials or equipment or any kind shall not be
permitted at any location within the bounds of this Planned Development District.
INTRODUCED on the 2nd day of April, 2013 and finally PASSED, APPROVED AND
ADOPTED on this the 16th day of April, 2013.


                                   THE CITY OF SAN ANGELO




                                     ____________________________________
                                     Alvin New, Mayor

ATTEST:




________________________________
Alicia Ramirez, City Clerk




Approved As To Content:            Approved As To Form:


_________________________          ________________________
AJ Fawver, AICP Interim Director   Lysia H. Bowling, City Attorney
of Development Services
AN ORDINANCE AMENDING CHAPTER 12, EXHIBIT “A” OF THE CODE OF
       ORDINANCES, CITY OF SAN ANGELO, TEXAS, WHICH SAID EXHIBIT “A” OF
       CHAPTER 12 ADOPTS ZONING REGULATIONS, USE DISTRICTS AND A
       ZONING MAP, IN ACCORDANCE WITH A COMPREHENSIVE PLAN, BY
       CHANGING THE ZONING AND CLASSIFICATION OF THE FOLLOWING
       PROPERTY, TO WIT: An unaddressed tract occupying 8.895 acres of the Deaf
       & Dumb Asylum Survey Number Two, Abstract 8211. This property was
       annexed into the City Limits on March 5, 2013 and is directly west from Mills
       Pass Drive along a proposed extension of Autumwood Trail. This property
       specifically occupies a proposed subdivision titled, Prestonwood Addition,
       Section Two, Block 6, Lots 1-18 and Prestonwood Addition, Section Two, Block
       7, Lots 1-16 in southwest San Angelo, changing the zoning classification from
       Ranch & Estate (R&E) to Single-Family Residential (RS-1) District; PROVIDING
       FOR SEVERABILITY AND PROVIDING A PENALTY


RE:    Z 13-10: Mills Development INC

        WHEREAS, the Planning Commission for the City of San Angelo and the governing
body for the City of San Angelo, in compliance with the charter and the state law with
reference to zoning regulations and a zoning map, have given requisite notice by publication
and otherwise, and after holding hearings and affording a full and fair hearing to all property
owners and persons interested, generally, and to persons situated in the affected area and
in the vicinity thereof, is of the opinion that zoning changes should be made as set out
herein; NOW THEREFORE,

BE IT ORDAINED BY THE CITY OF SAN ANGELO:

       SECTION 1: That the basic zoning ordinance for the City of San Angelo, as enacted
by the governing body for the City of San Angelo on January 4, 2000 and included within
Chapter 12 of the Code of Ordinances for the City of San Angelo, be and the same is
hereby amended insofar as the property hereinafter set forth, and said ordinance generally
and the zoning map shall be amended insofar as the property hereinafter described: An
unaddressed tract occupying 8.895 acres of the Deaf & Dumb Asylum Survey
Number Two, Abstract 8211. This property was annexed into the City Limits on March
5, 2013 and is directly west from Mills Pass Drive along a proposed extension of
Autumwood Trail. This property specifically occupies a proposed subdivision titled,
Prestonwood Addition, Section Two, Block 6, Lots 1-18 and Prestonwood Addition,
Section Two, Block 7, Lots 1-16 in southwest San Angelo shall henceforth be
permanently zoned as follows: Single-Family Residential (RS-1) District.

The Director of Planning is hereby directed to correct zoning district maps in the office of the
Director of Planning, to reflect the herein described changes in zoning.
SECTION 2: That in all other respects, the use of the hereinabove described
property shall be subject to all applicable regulations contained in Chapter 12 of the Code of
Ordinances for the City of San Angelo, as amended.

       SECTION 3: That the following severability clause is adopted with this amendment:

       SEVERABILITY:
       The terms and provisions of this Ordinance shall be deemed to be severable in that,
       if any portion of this Ordinance shall be declared to be invalid, the same shall not
       affect the validity of the other provisions of this Ordinance.

       SECTION 4: That the following penalty clause is adopted with this amendment:

       PENALTY:
       Any person who violates any provisions of this article shall be guilty of a
       misdemeanor and, upon conviction, shall be subject to a fine as provided for in
       Section 1.106 of the Code of Ordinances for the City of San Angelo. Each day of
       such violation shall constitute a separate offense.


INTRODUCED on the 2nd day of April, 2013 and finally PASSED, APPROVED AND
ADOPTED on this the 16th day of April, 2013.


                                           THE CITY OF SAN ANGELO




                                              ____________________________________
                                              Alvin New, Mayor

ATTEST:




________________________________
Alicia Ramirez, City Clerk
Approved As To Content:          Approved As To Form:


_________________________        ________________________
AJ Fawver, Interim Director of   Lysia H. Bowling, City Attorney
Development Services
City of                San
                                                         Angelo


Memo
 Meeting Date:   April 2, 2013

 To:             City Council members

 From:           Jeff Hintz, Interim Senior Planner

 Subject:        Z 13-10 Mills Development INC A request for approval of a
                 zone change from Ranch & Estate (R&E) to Single-Family
                 Residential (RS-1) to specifically allow for household living
                 as defined in Section 313.B of the Zoning Ordinance on the
                 following property:

 Location:       An unaddressed tract occupying 8.895 acres of the Deaf &
                 Dumb Asylum Survey Number Two, Abstract 8211. This
                 property was annexed into the City Limits on March 5, 2013
                 and is directly west from Mills Pass Drive along a proposed
                 extension of Autumwood Trail. This property specifically
                 occupies a proposed subdivision titled, Prestonwood Addition,
                 Section Two, Block 6, Lots 1-18 and Prestonwood Addition,
                 Section Two, Block 7, Lots 1-16 in southwest San Angelo.

 Purpose:        Approval of this request would zone the property Single-
                 Family Residential.

 Contacts:       Rocky Templin, Developer                             325-944-1174
                 Jeff Hintz, Planner                                  325-657-4210

 Caption:        First Public Hearing and consideration of introduction of an Ordinance
                 amending Chapter 12, Exhibit “A” (Zoning Ordinance) of the Code of
                 Ordinances, City of San Angelo

                 Z 13-10: Mills Development INC

                 AN ORDINANCE AMENDING CHAPTER 12, EXHIBIT “A” OF THE
                 CODE OF ORDINANCES, CITY OF SAN ANGELO, TEXAS, WHICH
                 SAID EXHIBIT “A” OF CHAPTER 12 ADOPTS ZONING
                 REGULATIONS, USE DISTRICTS AND A ZONING MAP, IN
ACCORDANCE WITH A COMPREHENSIVE PLAN, BY CHANGING
                         THE ZONING AND CLASSIFICATION OF THE FOLLOWING
                         PROPERTY, TO WIT: An unaddressed tract occupying 8.895
                         acres of the Deaf & Dumb Asylum Survey Number Two,
                         Abstract 8211. This property was annexed into the City Limits on
                         March 5, 2013 and is directly west from Mills Pass Drive along a
                         proposed extension of Autumwood Trail. This property
                         specifically occupies a proposed subdivision titled,
                         Prestonwood Addition, Section Two, Block 6, Lots 1-18 and
                         Prestonwood Addition, Section Two, Block 7, Lots 1-16 in
                         southwest San Angelo, changing the zoning classification from
                         Ranch & Estate (R&E) to Single-Family Residential (RS-1)
                         District; PROVIDING FOR SEVERABILITY AND PROVIDING A
                         PENALTY




     Summary: The City Council may:

     (1) Approve the proposed zone change;

     (2) Remand the application back to Planning Commission for further discussion,
         in which case another public hearing will need to be scheduled.

     (3) Deny the proposed zone change

     Recommendation:            Planning staff recommends approving the proposed
     zone change.

     On March 18, 2013 the Planning Commission recommended approval of this
     request by a 6-0 vote.


History and Background:

     This property was annexed into the city limits on March 5, 2013 after two public
     hearings for comment for/or against annexation and introduction and approval of
     an ordinance and a service plan for the area.

     General Information

           Existing Zoning:            Ranch & Estate (R&E)

           Existing Land Use:          Vacant, undeveloped property

           Surrounding Zoning/Land Use:
North:                     CG        Multi-family dwelling units
 West:                   Un-zoned     Undeveloped, property in county
 South:                    RS-1       single-family residences, vacant property
 East:                     RS-1       School & single-family residences

Thoroughfares/Streets:       Mills Pass Drive and the proposed extension
                             of Autumwood Trail are defined as "Local
                             Streets" and are designed to carry light
                             neighborhood traffic at lower speeds and
                             generally connect to collector streets.

Zoning History:              Newly annexed property is zoned Ranch &
                             Estate by default as called for in Section
                             303.A of the Zoning Ordinance. This
                             property has no previous zoning history.

Applicable Regulations:       Allowed uses for this property can be
                             found in Section 310 (Use Table) of the
                             Zoning Ordinance

Development Standards:       Section 501 of the Zoning Ordinance
                             covers general development standards for
                             the property.

                             Minimum Lot Area – 5,000 sq ft
                             Minimum Lot Dimensions – 50x100
                             Minimum Front Yard – 25 ft
                             Minimum Side Yard – 5 ft
                             Minimum Rear Yard – 20 ft
                             Maximum Floor Area Ratio – 0.4 (40%)
                             Maximum Height – 35 ft


Vision Plan Map:             Neighborhood

Comp Plan Excerpts:          “Create new physical connections to
                             neighborhoods lined with transitional and
                             intermediate uses."

                             "Promote neighborhood diversity and
                             security by encouraging a mix of age,
                             income, and housing choices within San
                             Angelo's neighborhoods.”

                             “All residents within each neighborhood
                             boundary should be able to meet their daily
                             needs within a reasonable and accessible
                             distance from their home.”
"Variety of residential product types -
                                       multi-family, townhomes, courtyard homes,
                                       patio homes, etc."

                                       "Coordinate with San Angelo Independent
                                       School District (SAISD) to improve
                                       walkability and connections between
                                       neighborhoods and nearby schools."

     Special Information

            Traffic Concerns:          Changing the zoning from a very low
                                       density residential zone requiring one acre
                                       lots to a zoning classification that allows
                                       for lots that are 5,000 square feet will
                                       certainly increase density and traffic
                                       impacts on the area. However, the access
                                       to collector and arterial streets will
                                       adequately handle this increased density.

            Parking Requirements:      Section 511 of the Zoning Ordinance
                                       covers parking improvement standards
                                       and amounts. One and two family
                                       dwellings require 2 off-street parking
                                       spaces per dwelling unit.

            Parking Provided:          The property is undeveloped at this time,
                                       parking spaces will be required to be
                                       provided as housing units are constructed.

            Density:                   This general area is of low density
                                       residential and    vast acreages of
                                       undeveloped property.

            Notification Required:     Yes

            Notifications Sent:        10

            Responses in Favor:        1

            Responses in Opposition:   1

Analysis:

     In order to approve this zone change request, the City Council members are first
     required to consider the following criteria:
1. Compatible with Plans and Policies. Whether the proposed amendment is
   compatible with the Comprehensive Plan and any other land use policies adopted
   by the Planning Commission or City Council.

2. Consistent with Zoning Ordinance. Whether and the extent to which the
   proposed amendment would conflict with any portion of this Zoning Ordinance.

3. Compatible with Surrounding Area. Whether and the extent to which the
   proposed amendment is compatible with existing and proposed uses surrounding
   the subject land and is the appropriate zoning district for the land.

4. Changed Conditions. Whether and the extent to which there are changed
   conditions that require an amendment.

5. Effect on Natural Environment. Whether and the extent to which the proposed
   amendment would result in significant adverse impacts on the natural
   environment, including but not limited to water and air quality, noise, storm water
   management, wildlife, vegetation, wetlands and the practical functioning of the
   natural environment.

6. Community Need. Whether and the extent to which the proposed amendment
   addresses a demonstrated community need.

7. Development Patterns. Whether and the extent to which the proposed
   amendment would result in a logical and orderly pattern of urban development in
   the community.

The staff recommendation is based upon the statements listed below.

Staff finds this request for zone change to be consistent with the plans and
policies adopted by the city and finds that this request will be consistent with the
zoning ordinance as well. The goal of the Comprehensive Plan is to grown the
community in a sustainable way providing opportunities for growth both now and
in the future; this area is buffered from the highly trafficked Sherwood Way (US
Highway 67) and offers potential residents quick access to the core of the city or
access to the loop. Low density, Single-Family detached neighborhood
development shouldn't necessarily occur right along a major thoroughfare, but
quick access to them is certainly ideal. staff finds this isolated area is safe and
practical for this type of development and will be consistent with the
Comprehensive Plan for this area of the community. In addition, this zone
change request is consistent with zoning in the nearby area and will also aid in
the steady predictable patterns of growth present already within this portion of
the community; the Zoning Ordinance is in place to ensure consistent predictable
growth across all segments of the community, both now and in the future.
Staff has found this request to be compatible with the surrounding area. This
area is one that is certainly growing; the current trend and envisioned growth of
this area is as "neighborhood." The proposed subdivision establishing single-
family home sites is consistent with the anticipated growth of the area and
development patterns the area currently sees. A nearby school will provide a
walkable opportunity for families with children who locate in the area. Walkable,
safe, pedestrian oriented neighborhoods is a goal of the city Comprehensive
Plan and this request for RS-1 zoning is certainly along those lines. RS-1 lots are
substantially smaller in size than the 1 or more acre lots that are required with
R&E zoning; as a result, the smaller lot sizes will allow for greater density in the
area and as a result, a much higher potential for walkability.

This request is consistent with the Vision Plan map of the area and as such, no
amendments to the Comprehensive Plan will be necessary for this request to be
approved. In addition, staff does anticipate some effect on the natural
environment will occur when development takes place. Given the undeveloped
natural status of the site now, any future development will have some impact on
the environment. R&E zoning has the least amount of impact on a property,
however RS-1 is also a very low impact type of zoning when compared to other
more dense residential zoning categories and commercial designations. This
isolated location from the highway will provide a quiet area for the future
development of home sites, staff does not anticipate any adverse impacts from
this zone change and subsequent proposed development.

The community has been growing slowly, but in a steady fashion for the past
decade. With recent technological advancements in the extraction of natural
resources in the area, there is certainly a demand in the community for more
housing opportunities to house individuals and families working in this field. One
component of this demand for housing options is single-family residences,
however it should also be noted townhomes, duplexes, patio homes, and
apartments are also choices that are viable within a neighborhood envisioned
area of the Vision Plan and also have the ability to fill this demand. Given the
current development patterns of this area, staff find that RS-1 zoning is
appropriate here and will help to fill a community need while ensuring the
development patterns remain consistent. This area has access to thoroughfares
capable of carrying future residents to and from home; the area is also located
within a few miles of numerous retailing opportunities that will help future
residents meet their daily needs within a reasonable distance from home. This
close proximity to commercial uses may also provide these retailers and
businesses a steady potential employment base as well as customer base as the
area continues to grow.

Staff had found this request to be consistent with all seven criteria mandated of
the request and therefore recommends approval of this zoning change for all the
reasons mentioned within the report.
Proposed Conditions

     N/A

Attachments:          excerpt from zoning map, showing the general location
                      within the City of San Angelo;

                      excerpt from       zoning   map,   highlighting   subject
                      property;

                      aerial photo, highlighting subject property;

                      excerpt from the Comprehensive Plan Vision Map
                      highlighting the subject property;

                      draft minutes from Planning Commission;

                      citizen responses; and

                      draft ordinance.

Presentation:         AJ Fawver, Interim Director of Development Services
C. Z 13-10: Mills Development Inc

  A request for approval of a zone change from Ranch & Estate (R&E) to Single-
  Family Residential (RS-1) to specifically allow for household living as defined in
  Section 313.B of the Zoning Ordinance on the following property:

  An unaddressed tract occupying 8.895 acres of the Deaf & Dumb Asylum Survey
  Number Two, Abstract 8211. This property was annexed into the City Limits on
  March 5, 2013 and is directly west from Mills Pass Drive along a proposed
  extension of Autumwood Trail. This property specifically occupies a proposed
  subdivision titled, Prestonwood Addition, Section Two, Block 6, Lots 1-18 and
  Prestonwood Addition, Section Two, Block 7, Lots 1-16 in southwest San Angelo.

Jeff Hintz, Planner, came forward to present this case, consistent with the staff
recommendation of approval. Ten notifications were sent out, with 1 returned in
favor and 1 returned in opposition. Mr. Hintz gave some background to the area,
noting the activity in the area since the 2009 aerials were taken. The Vision Plan
map calls for a "Neighborhood" designation for this location. The property is
currently undeveloped and bordered with a large residential neighborhood, which
this is intended to be an extension of. The intensity of RS-1 is low and compatible
with the immediate area. Placing housing in a walkable area close to a school and
commercial activities is consistent with the Comprehensive Plan.

No one came forward to speak on this item.

Motion, to approve as presented, was made by Ryan Smith and seconded by Bill
Wynne. The motion passed unanimously, 6-0.
AN ORDINANCE AMENDING CHAPTER 12, EXHIBIT “A” OF THE CODE OF
       ORDINANCES, CITY OF SAN ANGELO, TEXAS, WHICH SAID EXHIBIT “A” OF
       CHAPTER 12 ADOPTS ZONING REGULATIONS, USE DISTRICTS AND A
       ZONING MAP, IN ACCORDANCE WITH A COMPREHENSIVE PLAN, BY
       CHANGING THE ZONING AND CLASSIFICATION OF THE FOLLOWING
       PROPERTY, TO WIT: An unaddressed tract occupying 8.895 acres of the Deaf
       & Dumb Asylum Survey Number Two, Abstract 8211. This property was
       annexed into the City Limits on March 5, 2013 and is directly west from Mills
       Pass Drive along a proposed extension of Autumwood Trail. This property
       specifically occupies a proposed subdivision titled, Prestonwood Addition,
       Section Two, Block 6, Lots 1-18 and Prestonwood Addition, Section Two, Block
       7, Lots 1-16 in southwest San Angelo, changing the zoning classification from
       Ranch & Estate (R&E) to Single-Family Residential (RS-1) District; PROVIDING
       FOR SEVERABILITY AND PROVIDING A PENALTY


RE:    Z 13-10: Mills Development INC

        WHEREAS, the Planning Commission for the City of San Angelo and the governing
body for the City of San Angelo, in compliance with the charter and the state law with
reference to zoning regulations and a zoning map, have given requisite notice by publication
and otherwise, and after holding hearings and affording a full and fair hearing to all property
owners and persons interested, generally, and to persons situated in the affected area and
in the vicinity thereof, is of the opinion that zoning changes should be made as set out
herein; NOW THEREFORE,

BE IT ORDAINED BY THE CITY OF SAN ANGELO:

       SECTION 1: That the basic zoning ordinance for the City of San Angelo, as enacted
by the governing body for the City of San Angelo on January 4, 2000 and included within
Chapter 12 of the Code of Ordinances for the City of San Angelo, be and the same is
hereby amended insofar as the property hereinafter set forth, and said ordinance generally
and the zoning map shall be amended insofar as the property hereinafter described: An
unaddressed tract occupying 8.895 acres of the Deaf & Dumb Asylum Survey
Number Two, Abstract 8211. This property was annexed into the City Limits on March
5, 2013 and is directly west from Mills Pass Drive along a proposed extension of
Autumwood Trail. This property specifically occupies a proposed subdivision titled,
Prestonwood Addition, Section Two, Block 6, Lots 1-18 and Prestonwood Addition,
Section Two, Block 7, Lots 1-16 in southwest San Angelo shall henceforth be
permanently zoned as follows: Single-Family Residential (RS-1) District.

The Director of Planning is hereby directed to correct zoning district maps in the office of the
Director of Planning, to reflect the herein described changes in zoning.
SECTION 2: That in all other respects, the use of the hereinabove described
property shall be subject to all applicable regulations contained in Chapter 12 of the Code of
Ordinances for the City of San Angelo, as amended.

       SECTION 3: That the following severability clause is adopted with this amendment:

       SEVERABILITY:
       The terms and provisions of this Ordinance shall be deemed to be severable in that,
       if any portion of this Ordinance shall be declared to be invalid, the same shall not
       affect the validity of the other provisions of this Ordinance.

       SECTION 4: That the following penalty clause is adopted with this amendment:

       PENALTY:
       Any person who violates any provisions of this article shall be guilty of a
       misdemeanor and, upon conviction, shall be subject to a fine as provided for in
       Section 1.106 of the Code of Ordinances for the City of San Angelo. Each day of
       such violation shall constitute a separate offense.


INTRODUCED on the 2nd day of April, 2013 and finally PASSED, APPROVED AND
ADOPTED on this the 16th day of April, 2013.


                                           THE CITY OF SAN ANGELO




                                              ____________________________________
                                              Alvin New, Mayor

ATTEST:




________________________________
Alicia Ramirez, City Clerk
Approved As To Content:          Approved As To Form:


_________________________        ________________________
AJ Fawver, Interim Director of   Lysia H. Bowling, City Attorney
Development Services
City of San Angelo



Memo
 Date:                 April 12, 2013

 To:                   Mayor and Council Members

 From:                 Morgan Trainer, Budget Manager

 Subject:              Agenda Item for 11-6-12 Council Meeting

 Contact:              Michael Dane, 657-4241

 Caption:              Regular Item

                       Discussion and consideration of the possibility of issuing rebates of Water
                       Fees and any action related thereto.


 Summary:              Staff will present the Water Operations Fund Balance at relevant dates in an effort
                       to provide Council with the information necessary to form an opinion.
                       The fund balance in this fund is not at a level where staff would recommend a
                       rebate. Details will be presented.

 History:              There have been two occasions when this fund balance exceeded ninety days
                       expenditures and Council decided to use that excess. On one occasion the base
                       fees were changed to zero for two months, and on the other the excess was
                       transferred to a capital projects fund to assist with capital improvements.

 Financial Impact:     Reduction in fund balance – depending on the amount

 Related Vision Item   Financial Vision
 (if applicable):

 Other Information/    Staff recommends no action at this time.
 Recommendation:

 Attachments:          N/A

 Presentation:         Powerpoint

 Publication:          No

 Reviewed by           Michael Dane
 Director:

 Approved by Legal:    N/A
City of San Angelo



Memo
 Date:          April 4, 2013

 To:            Mayor and Councilmembers

 From:          Ricky Dickson, Water Utilities Director

 Subject:       Agenda Item for April 16, 2013 Council Meeting

 Contact:       Ricky Dickson, Water Utilities Director, 657-4209

 Caption:       Discussion and update on current water supply and any action in
                connection thereto.

 Summary:        The City’s Water Conservation Plan establishes criteria for management of the
 municipal water supply sources. Trigger points based upon of available water supply are set in
 the plan to define various drought levels.

 On April 2nd of 2013, the current water supply was at 18.6 months. If the city does not receive
 any significant rain fall it is anticipated that the criteria for entering Water Supply Stage, Drought
 Level II will be met in May of this year.

 History: The City’s Water Conservation/Drought Contingency Plan establishes practices the
 City will pursue to encourage the wise use of water. The drought management portion of the
 plan provides criteria that will be implemented to reduce water usage during a water supply
 shortage.

 Financial Impact: Under Drought Level II, usage surcharges are assessed on all water customers.

 Other Information/Recommendation: Implementation of Drought Level II is dependent upon
 reaching the water supply trigger point for entering the stage and adoption of a Resolution by the
 Council.

 It is recommended the Council adopt the Resolution implementing Drought Level II when the
 available supply is less than 18 months.

 Attachments: Ordinance

 Presentation: None.

 Publication: None.

 Reviewed by Service Area Director: Ricky Dickson, Water Utilities Director, April 4, 2013
City of San Angelo



Memo
 Date:          April 9, 2013

 To:            Mayor and Councilmembers

 From:          Ricky Dickson, Water Utilities Director

 Subject:       Agenda Item for April 16, 2013 Council Meeting

 Contact:       Ricky Dickson, Water Utilities Director, 657-4209

 Caption:       Discussion of late fees associated with delinquent water utility statements.

 Summary:       The City’s Code of Ordinance states:


 Sec. 8.700 Water Billing Charges

 (a) Delinquent Accounts; Other Charges.

   (1) Any water utilities bill not paid within twenty-eight (28) days after the billing date shall
   be deemed delinquent and a late charge of twenty-five dollars ($25.00) shall be added to
   the account for the expense of handling the delinquent account. (Sec. 2, Ordinance
   adopted 2/3/09)

   (2) Any customer whose water service has been discontinued due to a delinquency, shall
   be required to pay the accrued bill, the twenty-five dollars ($25.00) late charge, plus a
   reconnect charge of thirty dollars ($30.00), before water service will be reactivated for the
   account.

   (3) A charge will be added to a customer’s account for each returned check as provided
   in Article 1.800, Section 1.801 and Appendix A, Article 10.000, Section 10.100 hereof.




 History: The City Council adopted the current ordinance that establishes the $25.00 late fee on February
 3, 2009 by a 6 to 1 vote.

 Financial Impact: Approximate revenue generated by late fees:
                   2011-2012      $1,499,000.00
                   2012-2013      $ 711,000.00 YTD

                       Approximate revenue generated by reconnect fees:
                       2011-2012       $75,330.00
                       2012-2013       $19,645.00 YTD

 Other Information/Recommendation: None
Attachments: None

Presentation: None.

Publication: None.

Reviewed by Service Area Director: Ricky Dickson, Water Utilities Director, April 9, 2013
City of San Angelo



Memo
 Date:                 April 12, 2013

 To:                   Mayor and Council Members

 From:                 Alicia Ramirez, City Clerk

 Subject:              Agenda Item for 4/16/13 Council Meeting

 Contact:              Alicia Ramirez, City Clerk, 657-4405

 Caption:              Regular Item

                       Update and presentation on Boards and Commissions regarding
                       attendance, meeting quorum issues, related matters, and any action in
                       connection thereto


 Summary:              Boards and commissions are important in that they enable citizens to participate in
                       San Angelo’s government processes. Their activities help shape and influence
                       public policy, because they lend a more diverse viewpoint for the City Council to
                       consider. The City of San Angelo has approximately 17 boards.
                       On April 2, 2013, Councilmember Hirschfeld requested an update from staff
                       regarding the member’s attendance, specifically due to recent cancelations as a
                       result of the lack of a quorum.

 History:              City Council began the process of reviewing, consolidating, and reducing the
                       number of members on the various boards in January 2008. To date, the number
                       of boards has been reduced from 21 to 17. The City has an additional 2 boards
                       which are composed of staff and council appointees (Investment Oversight and
                       Audit Committee) or Council Representatives on other external entities (TGC
                       Appraisal District, Concho River Water Master, MPO, MHMR, and others-see
                       attached listing).

 Financial Impact:

 Related Vision Item

 (if applicable):

 Other Information/    Staff seeks direction from City Council.
 Recommendation:

 Attachments:          Executive Summary, Attendance Rosters 2012 and 2013, and Council
                       Representative Board Listing
 Presentation:         Alicia Ramirez and related board liaisons

 Publication:          No

 Reviewed by           Daniel Valenzuela, City Manager
 Director:

 Approved by Legal:    N/A
City of San Angelo - Boards and Commissions
Airport Advisory Board                                                                      Code Reference:    Ch. 2, Art. 2.2500


MembershipRqmt:            All members shall be residents of the City of San Angelo.

NOTES:

 Board Liaison: Luis Elguezabal                       Department Airport                             Phone Number:            659-6409   Email: luis.elguezabal@sananglotexas.us

 Meeting Date:            Called                                 Time:                     Authorized # of Members: 7                Term Limit: unlimited    Term Length: 4
 Location:                Council Chambers
 Alternate          Member                                  Appointed/Resigned Term #          Term Expires

 1.           Elizabeth Grindstaff                            02/05/2013               1        October 2013

 2.           David        Herbert                             9/22/2009               3        October 2013

 3.           Fred         Key                                02/05/2013               4        October 2016

 4.           Patrick      Nuytten                            10/21/2008               1        October 2012

 5.           Bob          Post                                9/22/2009               5        October 2013

 6.           Charles      Powell                             02/05/2013               5        October 2016

 7.           Sonny        Sanders                            02/05/2013               5        October 2016




Tuesday, April 09, 2013                                                                                                                                                  Page 1 of 29
City of San Angelo - Boards and Commissions
Animal Shelter Advisory Committee                                                                   Code Reference:       Ch. 2, Art. 2.3800 / VTSC HEALTH AND SAFETY CODE CHAPTER 823. ANIMAL
                                                                                                                          SHELTERS


MembershipRqmt:            At least one member of the board shall be a licensed veterinarian; (2) one member shall own, operate or otherwise be employed by or in a business related to the production, sale,
                           distribution or care of animals or livestock; (3) two members shall represent a nonprofit animal interest group or groups whose membership is comprised primarily of citizens of the
                           City of San Angelo and whose primary interest is the health and welfare of animals; and, (4) the Director of Health for the City of San Angelo and the Director of Animal Services shall
                           be appointed to the Board as permanent members; and, (5) the remaining three members of the board shall be residents of the City of San Angelo and need not have any other
                           affiliation, membership or association. INDIVIDUAL MEMBER'S REQUIRED FIELD OF EXPERTISE INDICATED IN PARENTHESIS AFTER MEMBER'S LAST NAME.

NOTES:

 Board Liaison: Julie Vrana                            Department Animal Services                               Phone Number:            657-4224          Email: julie.vrana@sanangelotexas.us

 Meeting Date:            3rd Thursday                            Time: 12:00 PM                  Authorized # of Members: 7                        Term Limit: 2                       Term Length: 2
 Location:                Council Chambers
 Alternate           Member                                 Appointed/Resigned Term #                    Term Expires

 1.           Rita         Colburn (citizen)                  01/03/2012                      1           January 2014

 2.           Faye         Doepp (citizen)                       3/1/2011                     2           January 2013

 3.           Tom          Maurer (Animal Welfare)            02/05/2013                      2           January 2015

 4.           Lacy         Morton                              2/21/2012                      1           January 2014

 5.           John         Russell (Vet)                      01/17/2012                      2           January 2014

 6.           Ryan         Smith (Animal Welfare)             03/05/2013     3/27/2013        1           January 2015

 7.           Mary         White (Vet)                        02/05/2013                      2           January 2015




Tuesday, April 09, 2013                                                                                                                                                                                Page 2 of 29
City of San Angelo - Boards and Commissions
Civic Events Board                                                                                  Code Reference:       Ch. 2, Art. 2.2200; Amended 11/3/09 Council meeting.


MembershipRqmt:            All members shall be twenty one (21) years of age or over and shall be residents of the City of San Angelo.

NOTES:         1/8/08 Council voted to change the total membership composition from 9 to 7 members. Those positions on a rotational schedule will expire at the end of the member's term.

 Board Liaison: Angelica Pena                          Department Civic Events                                  Phone Number:            653-9577        Email: angelica.pena@sanangelotexas.us

 Meeting Date:            Last Thursday                           Time: 12:00 PM                  Authorized # of Members: 7                      Term Limit: 2                   Term Length: 3
 Location:                Council Chambers
 Alternate        Member                                    Appointed/Resigned Term #                   Term Expires

 1.           Robert       Banskter, Sr.                      11/01/2011                      2           October 2014

 2.           Timothy      Condon                             03/05/2013                      1           October 2013

 3.           Sandy        Fields                             01/17/2012                      1           January 2014

 4.           Courtney Mahaffey                                  4/3/2012                   Unexp         October 2014

 5.           Gray         Mundell                            11/15/2011                      1           October 2014

 6.           Mark         Stevenson                          10/05/2010                      1           October 2013

 7.           Scott        Zaruba                             11/15/2011                      1           October 2014




Tuesday, April 09, 2013                                                                                                                                                                     Page 4 of 29
City of San Angelo - Boards and Commissions
Civil Service Commission                                                                            Code Reference:       Ch. 2, Art. 2.2401; Ch.143 Local Gov't Code


MembershipRqmt:            City Manager appointed, City Council confirmed. All such commissioners shall be of good moral character and resident citizens of the city, shall have resided in the city for a period of
                           more than three (3) years; shall be over the age of twenty five (25) years, and shall not have held any public office within the preceding three (3) years.

NOTES:         3 term limit unless a 4th term is approved by 2/3 majority vote

 Board Liaison: Lisa Marley                            Department Human Resources                               Phone Number:             657-4221         Email: lisa.marley@sanangelotexas.us

 Meeting Date:            Called                                  Time:                            Authorized # of Members: 3                        Term Limit: 3+ w 2/3                Term Length: 3
                                                                                                                                                                 vote
 Location:                Council Chambers
 Alternate        Member                                     Appointed/Resigned Term #                   Term Expires

 1.           Rhea         Cooke                              04/17/2012                       1           January 2014

 2.           Raul         Lopez                               6/15/2010                       6           January 2013

 3.           Teresa       Special                             7/19/2011                       1           January 2014




Tuesday, April 09, 2013                                                                                                                                                                                Page 5 of 29
City of San Angelo - Boards and Commissions
Construction Board of Adj & Appeals                                                                 Code Reference:        Ch. 4, Art 4.100; Sec. 4.102; Pursuant to Sec. 108.1 Intn'l Bldg Code


MembershipRqmt:            One architect/engineer, one commercial building contractor, one residential building contractor, one electrical contractor, one plumber, one mechanical contractor, one realtor/real
                           estate inspector/real estate appraiser (member at large from the building industry), one homeowner (member at large from the public), and one commercial business owner.
                           INDIVIDUAL MEMBER'S REQUIRED FIELD OF EXPERTISE INDICATED IN PARENTHESIS AFTER MEMBER'S LAST NAME.

NOTES:         1/8/08 Council voted to change the additional memberships be aproved at large by the entire Council.

 Board Liaison: Al Torres                              Department Inspections & Permits                          Phone Number:            657-4420          Email: al.torres@sanangelotexas.us

 Meeting Date:            1st Thursday                            Time: 3:00 PM                    Authorized # of Members: 9                         Term Limit: 2                       Term Length: 2
 Location:                Council Chambers
 Alternate           Member                                  Appointed/Resigned Term #                   Term Expires

 1.           Roland       Allen (Realtor)                       4/3/2012                      2          February 2014

 2.           Debbie       Clark (Electrical)                 03/01/2011                       2          February 2013

 3.           Randy        Crooks (Comm.Cntr)                 03/01/2011                       2          February 2013

 4.           Casey        Deering (Resd.Cntr)                02/05/2013                       1          February 2015

 5.           Gary         Donaldson (Architect)              11/01/2011                       2          February 2013

 6.           Bill         Feist (Comm.Bus.)                     2/7/2012                      1          February 2014

 7.           Pablo        Florez (Plumber)                   02/05/2013                       2          February 2014

 8.           Billy        Huffman (Mechanical)               02/05/2013                       2          February 2015

 9.           Marty        Self (Resd.Rep)                       2/7/2012                      2          February 2014




Tuesday, April 09, 2013                                                                                                                                                                                  Page 7 of 29
City of San Angelo - Boards and Commissions
Design & Historic Review Commission                                                                  Code Reference:        Ch. 2, Art 2.2800


MembershipRqmt:            1. at least two (2) members' shall be licensed or otherwise recognized as professional in architecture, landscape architecture, design, engineering, surveying, or related profession; and,
                           2. at least one (1) member shall be recognized as a historian or a member of a local historic preservation group; and, .
                           3. at least one (1) member shall be an owner of real property within the River Corridor; and,
                           4. at least one (1) member shall own real property designated or recognized as a community landmark, or within a designated historic district; and,
                           5. at least two (2) members shall be members of the Board of Directors of Downtown San Angelo, Inc.

NOTES:         Adoption 9/4/12

 Board Liaison: AJ Fawver                              Department Planning                                        Phone Number:             657-4210          Email: amanda.fawver@sanangelotexas.us

 Meeting Date:            TBA                                      Time:                            Authorized # of Members: 7                         Term Limit: 2                        Term Length: 2
 Location:                Council Chambers
 Alternate          Member                                   Appointed/Resigned Term #                    Term Expires

 1.           LeeAnn       Bailey                              10/16/2012                       1        September 2013

 2.           William J. Carter (retiree)                       9/18/2012                       1        September 2014

 3.           Gary         Donaldson (Architect)                9/18/2012                       1        September 2014

 4.           Margaret Mallard                                  9 /18/2012                      1        September 2013

 5.           David        Mazur                               10/16/2012                       1        September 2013

 6.           Hal          Noelke (Attorney)                    9/18/2012                       1        September 2014

 7.           Benjamin Villarreal (Business)                    9/18/2012                       1        September 2014




Tuesday, April 09, 2013                                                                                                                                                                                    Page 8 of 29
City of San Angelo - Boards and Commissions
Development Corporation                                                                             Code Reference:       Ch. 2, Art. 2.3600; Vern. Ann. Civ. St. Art. 5190.6; Amended 7/17/07


MembershipRqmt:            Each member of the board of directors (Board hereinafter) of the Corporation shall: (1) Be appointed by a majority vote of the City Council; (2) Serve a two year term of office; (3) Be
                           a resident of the City of San Angelo. (b) A director may be removed from office by a majority vote of the City Council at any time without cause. (c) No person shall be appointed as a
                           director who is an employee, officer or member of the City Council, of the City of San Angelo, or a member of any board or commission of the City of San Angelo. A director who is a
                           member of any other boards or commissions of the City of San Angelo shall elect the board on which he will continue to serve within fourteen (14) days of the effective date of this
                           ordinance. If he fails to designate the board on which he will continue to serve within the specified time period, the City Council shall make the designation.

NOTES:

 Board Liaison: Bob Schneeman                          Department Community & Economic                          Phone Number:            657-4384          Email: robert.schneeman@sanangelotexas.us
                                                                  Development
 Meeting Date:            2nd and 4th Wednesdays                  Time: 8:30 AM                   Authorized # of Members: 7                        Term Limit: unlimited               Term Length: 2
 Location:                Council Chambers
 Alternate        Member                                    Appointed/Resigned Term #                   Term Expires

 1.           John         Bariou, Jr.                        03/05/2013                      2          February 2015

 2.           Randy        Brooks                             02/21/2013                      2          February 2015

 3.           Chris        Cornell                            02/21/2013                      2          February 2015

 4.           Pedro        Ramirez                            02/21/2013                      1        September 2015

 5.           Scott        Tankersley                         02/21/2013                      2          February 2015

 6.           Larry        Teague                             02/21/2013                      8          February 2015

 7.           Tony         Villarreal                         02/21/2013                      2          February 2015




Tuesday, April 09, 2013                                                                                                                                                                                Page 9 of 29
City of San Angelo - Boards and Commissions
Downtown Development Commission                                                                   Code Reference:       Ch. 12, Art. 12.1000;


MembershipRqmt:            Board shall be composed of seven (7) members who are stakeholders or have an active interest in the Downtown Development Commission. The members shall be appointed as
                           follows: 1.) One (1) shall be a board member of the San Angelo Health Foundation. All members shall be a qualified voter of the City of San Angelo. No commercial or non-profit
                           organization shall have more than one representative on the Downtown Development Commission.

NOTES:         Adopted 10/5/10

 Board Liaison: Daniel Valenzuela                     Department City Manager                                 Phone Number:           657-4241          Email: michael.dane@sanangelotexas.us

 Meeting Date:            TBD                                    Time:                           Authorized # of Members: 7                      Term Limit: 3                      Term Length: 2
 Location:                Council Chambers
 Alternate           Member                                 Appointed/Resigned Term #                  Term Expires

 1.           Gary         Cox                                  2/7/2012                     2         February 2014

 2.           Jim          Cummings                          02/01/2011                      1         February 2013

 3.           Lisa         Eady                              02/01/2011                      1         February 2013

 4.           Tim          Edwards                              8/2/2011                xpired (H      February 2013

 5.           John         Fuentes                           02/01/2011                      1         February 2013

 6.           Sharon       Rainey Alexander                     2/7/2012                     2         February 2014

 7.           Jim          Raymond                              2/7/2012                     2         February 2014




Tuesday, April 09, 2013                                                                                                                                                                          Page 10 of 29
City of San Angelo - Boards and Commissions
Fairmount Cemetery Board                                                                         Code Reference:        See Notes


MembershipRqmt:            Self-perpetuating

NOTES:         Per Fairmount Cemetery Board Minutes: In June 1930, the San Angelo Cemetery Association deeded its real propertry to the city, and conveyed its securities and notes to the
               presidents of four banks in SA and their successors in trust. The c ity was to own the land, to be placed under the supervision of the Park Commission, which had authority to
               delegate its duties to a duly constituted and apointed committee. The Park Commission delegated care of Fairmount to the existing board: Mrs. C.A. Broome, president, and to
               their successors. The self-perpetuating board has functioned without pay ever since.

 Board Liaison: Oscar Mota                          Department Fairmount Cemetery                            Phone Number:            655-9475          Email: oscar.mota@sanangelotexas.us

 Meeting Date:            3rd Wednesday                        Time: 9:30 AM                   Authorized # of Members: 14                       Term Limit: unlimited               Term Length: 0
 Location:                1120 W. Avenue N.
 Alternate           Member                               Appointed/Resigned Term #                  Term Expires

 1.           Carolyn      Cargile                            1/1/2001                     1                        0

 2.           Donna        Crisp                            12/6/2002                      1                        0

 3.           Christelle Holt                                 1/1/2001                     0                        0

 4.           Eva          Horton                          12/19/2006                      1

 5.           Katie        Johnson                          1/16/2008                      1                  0     0

 6.           Jean         Johnson                          1/21/1998                      1                        0

 7.           Mary         Manitzas                           4/1/2009                     1                        0

 8.           Jackie       Martin                           1/16/2008                      1                  0     0

 9.           Caroline     O'Conner                         1/16/2008                      1                  0     0

10 .          Susan        Pfluger                          9/18/1996                      1                        0

11 .          Bitsy        Stone                           10/16/2000                      1                        0

12 .          Beverly      Stribling                       12/12/2002                      1                        0

13 .          Ann          West                            02/16/2010                      1                        0

14 .          Susan        Willialms                       01/12/2011                      1                        0




Tuesday, April 09, 2013                                                                                                                                                                         Page 11 of 29
City of San Angelo - Boards and Commissions
Fort Concho Museum Board                                                                        Code Reference:       Ch. 2, Art. 2.2300


MembershipRqmt:            All members shall be residents of the City of San Angelo. Vacancies on the board, whether by expiration of term or for other reason, shall be filled by the City Council upon
                           recommendation by the remaining board members (NOMINATION COMMITTEE), provided that the City Council can reject any nomination and request additional nominations for
                           any reason. INDIVIDUAL MEMBER'S FIELD OF EXPERTISE INDICATED IN PARENTHESIS AFTER MEMBER'S LAST NAME.

NOTES:         1 standing position from GAFB

 Board Liaison: Bob Bluthardt                        Department Ft Concho Museum                            Phone Number:            481-2646        Email: robert.bluthardt@sanangelotexas.us

 Meeting Date:            3rd Tuesday                           Time: 3:30 PM                  Authorized # of Members: 15                     Term Limit: 2                     Term Length: 3
 Location:                Officer's Quarters #8, 630 S. Oakes
 Alternate          Member                                 Appointed/Resigned Term #                 Term Expires

 1.           Robert       Aguilar, Jr.                     01/17/2012                     1           January 2014

 2.           Devon        Blake                              8/21/2012                    1             Open

 3.           Denise       Bloomquist                       02/05/2013                     2           January 2016

 4.           Kimberly Busby                                03/01/2011                     1           January 2013

 5.           James        Dusek                            11/20/2012                     1           January 2016

 6.           Andrew       Graves                           02/15/2011                     2           January 2014

 7.           Dana         Gray                             01/17/2012                     2           January 2015

 8.           Stephanie Harris                              05/03/2011                     1           January 2014

 9.           Clara        Harvey                              3/8/2010                    1           January 2013

10 .          Ken          Heineman                         03/22/2011                     1           January 2014

11 .          Mark         Priest                           02/05/2013                     2           January 2016

12 .          Robert       Rainey                           02/07/2012                     1           January 2015

13 .          Paul         Stanley                          11/20/2012                     1           January 2016

14 .          Greg         Stephens                         02/07/2012                     2           January 2015

15 .          Harry        Thomas                           02/02/2010                     1           January 2013




Tuesday, April 09, 2013                                                                                                                                                                       Page 12 of 29
City of San Angelo - Boards and Commissions
Park & Recreation Advisory Board                                                                    Code Reference:       Ch. 2, Art. 2.2600


MembershipRqmt:            All members of the Board shall be eighteen (18) years of age or older and residents of the City of San Angelo. Advisory Board shall be composed of eight (8) members, seven (7) of
                           whom shall be appointed by the City Council. The eighth member shall be a member of the Park Commission, nominated by the Park Commission and approved by the City Council.
                           The appointments to the Board shall be on the basis of the nominee’s educational and professional qualifications and general knowledge of, interest in, and experience relevant to youth
                           or adult sports, senior activities, recreation activities, other organized social activities, parks, nature or conservation

NOTES:         Adopted 8/7/12 Board will be composed of 8 members, 7 appointed by City Council and 1 member of Park Commission. Qualifications based on educational & professional
               knowledge/experience to youth or adult sports, senior activities, recreation activities, other organized social activities, parks, nature or conservation.

 Board Liaison: Carl White                             Department Parks & Recreation                            Phone Number:            657-4450          Email: carl.white@sanangelotexas;
                                                                                                                                                                  maryann.vasquez@sanangelotexas.us
 Meeting Date:            TBA                                     Time:                           Authorized # of Members: 8                        Term Limit: 2                       Term Length: 2
 Location:                Council Chambers
 Alternate        Member                                    Appointed/Resigned Term #                    Term Expires

 1.           Donald       Barnhart                            12/4/2012                      1         December 2015

 2.           Mike         Campbell                            12/4/2012                      1         December 2015

 3.           Debbie       Cross                               12/4/2012                      1         December 2015

 4.           Anthony DeLaCruz                                 12/4/2012                      1         December 2015

 5.           Gloria       Henderson                           12/4/2012                      1         December 2014

 6.           Julia        Lane                               12/18/2012                      1         December 2014

 7.           Mary         Palos                               12/4/2012                      1         December 2014

 8.           Louis        Perez                               12/4/2012                      1         December 2014




Tuesday, April 09, 2013                                                                                                                                                                              Page 18 of 29
City of San Angelo - Boards and Commissions
Park Commission                                                                                   Code Reference:      Charter Sec. 65


MembershipRqmt:            Self-perpetuating. City Council confirmes nominations submitted by existing 2 members. Park Commission is composed of three (3) members, all resident citizens of the City of San
                           Angelo.

NOTES:

 Board Liaison: Carl White                            Department Parks                                       Phone Number:            657-4279         Email: carl.white@sanangelotexas.us

 Meeting Date:            Called                                 Time:                          Authorized # of Members: 3                       Term Limit: unlimited              Term Length: 4
 Location:                Council Chambers
 Alternate          Member                                 Appointed/Resigned Term #                  Term Expires

 1.           Don          Griffis                            3/04/2010                     2           January 2014

 2.           Julia        Lane                                4/7/2009                   unexp         January 2012

 3.           Bitsy        Stone                             09/27/2012                     1           January 2015




Tuesday, April 09, 2013                                                                                                                                                                          Page 19 of 29
City of San Angelo - Boards and Commissions
Planning Commission                                                                                Code Reference:       Ch. 2, Local Gov't Code 212.006; Amended 9/21/10. | – LOCAL GOVERNMENT
                                                                                                                         CODE § 211.007 – State


MembershipRqmt:            Commission shall be composed of seven (7) members, all of whom shall be representative, insofar as possible, of different businesses, professions or occupations. All members shall be
                           residents of the city. No more than three (3) members of the commission shall be in the same, similar or related business, profession or occupation. INDIVIDUAL MEMBER'S FIELD
                           OF EXPERTISE INDICATED IN PARENTHESIS AFTER MEMBER'S LAST NAME.

NOTES:         1/8/08 Council voted to change the total membership composition from 9 to 7 members. Those positions on a rotational schedule will expire at the end of the member's term.

 Board Liaison: AJ Fawver                             Department Planning                                      Phone Number:            657-4210         Email: amanda.fawver@sanangelotexas.us

 Meeting Date:            3rd Monday each month/ 4th             Time: 9:00 AM                    Authorized # of Members: 7                       Term Limit: 2                      Term Length: 3
 Location:                Council Chambers/Zentner's Daughter
 Alternate           Member                                 Appointed/Resigned Term #                  Term Expires

 1.           Jennifer     Boggs                              02/21/2012                      1          January 2015

 2.           Joseph       Grimes                             03/22/2011                      1          January 2014

 3.           Darlene      Jones                              12/20/2011                      1          January 2014

 4.           William      Lawrence                           02/05/2013                      2          January 2016

 5.           Valerie      Priess                             03/19/2013                      1          January 2014

 6.           Ryan         Smith                              02/21/2013                      1          January 2015

 7.           Bill         Wynne                              02/15/2011                      1          January 2014




Tuesday, April 09, 2013                                                                                                                                                                            Page 20 of 29
City of San Angelo - Boards and Commissions
Public Art Commission                                                                               Code Reference:        Ch. 2, Art. 2.4200


MembershipRqmt:            Board shall be composed of seven (7) members who shall be appointed by the city council. To the extent available, the city council shall appoint to the commission: (1) At least one
                           (1) member who is a teacher or professor of art. (2) At least one (1) member who is a member of the San Angelo Cultural Affairs Council or the San Angelo Museum of Fine Arts. (3)
                           At least one (1) member who is an artist. (4) At least one (1) member who is a landscape architect, architect, engineer, or other type of design professional. (5) There may be one (1) ex
                           officio non-voting member who represents the Parks Department or Park commission as designated by the city council or by the city manager. INDIVIDUAL MEMBER'S FIELD OF
                           EXPERTISE INDICATED IN PARENTHESIS AFTER MEMBER'S LAST NAME.

NOTES:

 Board Liaison: Carl White                             Department Parks                                          Phone Number:            657-4279          Email: carl.white@sanangelotexas.us

 Meeting Date:            Called                                  Time:                            Authorized # of Members: 7                         Term Limit: 2                       Term Length: 2
 Location:                Council Chambers
 Alternate          Member                                   Appointed/Resigned Term #                   Term Expires

 1.           Esteban C. Apodaca                              02/05/2013                       2              April 2014

 2.           Alejandro Castanon                              08/21/2012                       1              April 2013

 3.           Daniel       Makins                             02/05/2013                       2              April 2014

 4.           John         Mattson                            06/07/2011                       1              April 2013

 5.           Hal          Noelke                             06/28/2011                       2              April 2013

 6.           Sue          Rainey                             02/05/2013                       2              April 2014




Tuesday, April 09, 2013                                                                                                                                                                                Page 21 of 29
City of San Angelo - Boards and Commissions
Tax Increment Reinvestment Zone                                                                   Code Reference:        Ch. 2, Art. 2.4300; Texas Tax Code Ch 311


MembershipRqmt:            All members shall be: A qualified voter of the City of San Angelo, or at least 18 years of age and own real property in the zone, whether or not the individual resides in the
                           municipality. #1 five (5) shall be appointed by the City Council from those who own property within the zone of which four (4) shall reside within Single Member Districts (SMD) 2,
                           3, 4, and 5 respectively; #2 one (1) shall be appointed by the Tom Green County Commissioners from those who own property within the zone; #3 three (3) shall be appointed by the
                           City Council from those who own businesses within the zone; #4 two (2) shall be appointed by the Tom Green County Commissioners from those who own businesses within the zone;
                           #5 one (1) member shall be appointed by Tom Green County; #6 one (1) member shall be appointed by Goodfellow Air Force Base; #7 one (1) member shall be appointed by Angelo
                           State University; and #8 one (1) member shall be appointed by San Angelo Independent School District.

NOTES:

 Board Liaison: Bob Schneeman                         Department Community & Economic                         Phone Number:            657-4210         Email: robert.schneeman@sanangelotexas.us
                                                                 Development
 Meeting Date:            3rd Wednesday                          Time: 12:00 PM                  Authorized # of Members: 15                     Term Limit: 3                      Term Length: 2
 Location:                Council Chambers
 Alternate          Member                                  Appointed/Resigned Term #                  Term Expires

 1.           Roger        Allen                              3/12/2008                      1          October 2010

 2.           Johnny       Calvert                              2/7/2012                     2          October 2013

 3.           Mike         Campbell                          03/25/1010                      2          October 2011

 4.           William      Dendle                            03/01/2011                      2          October 2012

 5.           Gerard       Gallegos                          07/22/2009                      1          October 2011

 6.           Gary         Hodges, DVK                       03/22/2011                      1          October 2012

 7.           Craig        Kinney                               2/7/2012                     3          October 2013

 8.           David        Mazur                                2/7/2012                     2          October 2013

 9.           Nelly        Perez                                2/7/2012                     2          October 2013

10 .          Robert       Pfluger                           03/25/2010                      2          October 2011

11 .          Lee          Pfluger                           12/16/2008                      1          October 2010

12 .          Scott        Shuttleworth                      05/01/2007                      2          October      0

13 .          VACANT SMD3                                    01/01/2011                      1          October 2010

14 .          VACANT SMD5                                    01/01/2011                      1          October 2010


Tuesday, April 09, 2013                                                                                                                                                                          Page 26 of 29
City of San Angelo - Boards and Commissions
Water Advisory Board                                                                                Code Reference:         Ch. 2, Art. 2.3900


MembershipRqmt:            the City Council shall appoint: 1) At least one (1) member who is an engineer, hydrologist, meteorologist or water well driller. 2) At least one (1) member who is involved in the
                           banking, accounting or financial services industry. 3) At least one (1) member who is involved in agriculture or rural water issues. 4) At least one (1) member who is an attorney,
                           former municipal, water district or other governmental officer, legislator, or other person who has experience in the legal issues related to water. B) The Board shall have one (1) ex-
                           officio, non-voting member from the Chamber of Commerce. The Chamber of Commerce Board shall determine who will fill this position from their staff or its Board and shall notify
                           the City of its selection as soon as practicable. INDIVIDUAL MEMBER'S FIELD OF EXPERTISE INDICATED IN PARENTHESIS AFTER MEMBER'S LAST NAME.

NOTES:

 Board Liaison: Ricky Dickson                          Department Water Utilities                               Phone Number:              657-4206        Email: ricky.dickson@sanangelotexas.us

 Meeting Date:            Called                                  Time:                            Authorized # of Members: 7                        Term Limit: unlimited               Term Length: 2
 Location:                Council Chambers
 Alternate           Member                                  Appointed/Resigned Term #                   Term Expires

 1.           Clark        Abel (WW Driller)                  12/15/2009                       2        September 2011

 2.           Stephen      Brown (                               9/2/2008                      3        September 2010

 3.           Don          Butts (Frm Wdist.Ofcr)             11/17/2009                       2        September 201
Agenda packet
Agenda packet
Agenda packet
Agenda packet
Agenda packet

Agenda packet

  • 1.
    NOTICE OF APUBLIC MEETING AN AGENDA OF A REGULAR MEETING OF THE CITY COUNCIL THE CITY OF SAN ANGELO, TEXAS 9:00 A.M. - Tuesday, April 16, 2013 McNease Convention Center, South Meeting Room 500 Rio Concho Drive San Angelo, TX 76903 THE MCNEASE CONVENTION CENTER IS ACCESSIBLE TO PERSONS WITH DISABILITIES. ACCESSIBLE ENTRIES AND SPECIALLY MARKED PARKING SPACES ARE AVAILABLE AT BOTH MAIN ENTRANCES AT SURBER DRIVE AND RIO CONCHO DRIVE. IF ADDITIONAL ASSISTANCE IS NEEDED TO OBSERVE OR COMMENT, PLEASE NOTIFY THE OFFICE OF THE CITY CLERK, ROOM 210, CITY HALL, 657-4405, AT LEAST 24 HOURS PRIOR TO THE MEETING. City Council meetings are broadcast on Channel 17-Government Access at 10:30 A.M. and 7:00 P.M. every day for two weeks beginning on the Thursday after each meeting. As a courtesy to those in attendance, please place your cell phone on “Silent” or “Vibrate” Thank You! I. OPEN SESSION (9:00 A.M.) A. Call to Order B. Prayer and Pledge "Honor the Texas flag; I pledge allegiance to thee, Texas, one state under God, one and indivisible.” C. Proclamation “West Texas Genealogy Appreciation Day”, April 26, 2013, Commemoration of the 40th Anniversary, to be accepted by Susan Ball, President San Angelo Genealogical and Historical Society D. Public Comment The Council takes public comment on all items in the Regular Agenda. Public input on a Regular Agenda item will be taken at its appropriate discussion. Public input on an item not on the Agenda or Consent Agenda may be identified and requested for consideration by the Council at this time. The Council may request an item to be placed on a future agenda, or for a Consent Agenda item, to be moved to the Regular Agenda for public comment. II. CONSENT AGENDA 1. Consideration of approving the April 2, 2013 City Council Regular meeting minutes 2. Consideration of awarding bid(s) and authorizing the City Manager or his designee to execute any necessary related documents: a. VM-06-13: Aerial Bucket Truck, National Joint Powers Association (NJPA) purchasing cooperative contract #060311-All, $94,217.00 b. VM-07-13: Emergency Vehicle Upfit Equipment, GT Distributors (Austin, TX) Buyboard Contract #363-10, $54,286.27 3. Consideration of matters related to CFM-02-13 Construction and Facilities Management Janitorial Services: (submitted by Construction and Facilities Manager Ron Lewis) a. Consideration of adopting a Resolution to award RFB CFM-02-13 Construction and Facilities City Council Agenda Page 1 of 5 April 16, 2013
  • 2.
    Management Janitorial Servicesto Donna Bargley and Curtis E. Bargley d/b/a Bargley Janitorial Services and to authorize the City Manager to execute a services agreement, and related documents, between the City of San Angelo and Donna Bargley and Curtis E. Bargley d/b/a Bargley Janitorial Services in accordance with said bid award; and providing for an effective date b. a Consideration of adopting a Resolution to award RFB CFM-02-13 Construction and Facilities Management Janitorial Services to ABM Janitorial Service - South Central, Incorporated and to authorize the City Manager to execute a services agreement, and related documents, between the City of San Angelo and ABM Janitorial Service - South Central, incorporated in accordance with said bid award; and providing for an effective date c. Consideration of adopting a Resolution to award RFB CFM-02-13 Construction and Facilities Management Janitorial Services to Varsity Contractors, Incorporated and to authorize the City Manager to execute a janitorial services agreement, and related documents, between the City of San Angelo and Varsity Contractors, Incorporated in accordance with said bid award; and providing for an effective date 4. Consideration of authorizing the sale of the following properties for the appraised value and authorizing the Mayor, City Manager, or Water Utilities Director to execute all necessary legal documents pertaining to the sale of subject properties, subject to completion of all curative requirements: (submitted by Water Utilities Director Ricky Dickson) a. 2810 Red Bluff Road, Lot 18, Group Red Bluff (Benetich),$91,800.00 b. 2165 Gun Club Road, Lot 10, Group 10 (Butts), $88,000.00 5. Consideration of adopting a Resolution authorizing the Mayor to execute a Special Warranty Deed conveying all right, title and interest of the City of San Angelo: a. 108 Arlington Street, (Gonzalez), Lots 10 & 11 SAVE & EXCEPT N 65’ & S 20’ , W.E. Phillips, $2,000 6. Consideration of adopting a Resolution authorizing the Mayor to execute a tax-resale (quitclaim) deed conveying all right, title and interest of the City of San Angelo, and all other taxing units interested in the tax foreclosure judgment: a. 2223 Lillie Street, (Ballard), S ½ of S 100’ of N 150’ of S 783.7’ of Block 8, Kirby, $750, Suit No. TAX91-0010B b. 309 E 10th Street, (Deanda), N ½ of Lot 7, Block 3, Akins, $750, Suit No. TAX90-0082B c. 310 E 9th Street, (Deanda), S 80’ of E 12 2/3’ of Lot 8, S 80’ of Lot 7 & S 80’ of W 1 5/6’ of Lot 6, Block 3, Akins, $750, Suit No. TAX89-0364B d. 115 W 16th Street, (Guerra), Lot 3, Block 11, Lasker, $1,900, Suit No. B-06-0088-T e. 217 W 16th Street, (Guerra), Lot 3, Block 12, Lasker, $2,500, Suit No. B-05-0274-T f. 2327 Lillie Street, (Lewis-McKinney), S 50’ of N 447.7’ of Block 8, Kirby, $750, Suit No. TAX89- 0217B g. 209 W 9th Street, (Lewis-McKinney), Lot 3, Block 31, Miles, $750, Suit No. B-95-0055-T h. 1923 Coleman Street, (Pearcy), Lot 12, Block 5 “E”, Chapman, $2,500, Suit No. B-07-0200-T i. 322 N Harrison Street, (Pearcy), Lot 30, Block 2B, George Allen, $2,500, Suit No. B-09-0050-T j. 613 N Adams Street, (Pearcy), Lot 3, Block 93, Angelo Heights, $2,700, Suit No. B-05-0268-T k. 800 W 16th Street, (Roberts), Lot 10, Block 5, Mineola, $750, Suit No. TAX89-0032B l. 804 W 16th Street, (Roberts), Lot 11, Block 5, Mineola, $750, Suit No. TAX91-0054B m. 810 W 16th Street, (Roberts), Lot 12, Block 5, Mineola, $750, Suit No. TAX93-0151B 7. Consideration of approving a Recreational or Agricultural Lease agreement with MK-Allan Enterprises, Inc., a Texas corporation for 9.77 acres of land located adjacent to the Concho River and authorizing the City Manager or Water Utilities Director to execute the same (submitted by Water Utilities Director Ricky Dickson) City Council Agenda Page 2 of 5 April 16, 2013
  • 3.
    8. Consideration ofadopting a Resolution authorizing the City Manager to execute a second amendment to Commercial Lease Agreement with lessee, Lee Brown and Gale Brown , d/b/a Spring Creek Marina, at Lake Nasworthy, specifically-describing the leased premises, providing for the non- exclusive joint use of certain areas of the leased premises, and revising indemnification and insurance requirements of lessee (submitted by Assistant City Manager Rick Weise and Water Utilities Director Ricky Dickson) 9. Consideration of adopting a Resolution authorizing the City Manager to execute a first amended lease agreement with Texas Southwest Council of the Boys Scouts of America, Inc, (formerly known as Concho Valley Council, Inc., Boy Scouts of America) to amend original lease agreement between City of San Angelo and Concho Valley Council, Inc., Boy Scouts of America, for lease of city premises located at 104 West Veterans Memorial Drive, San Angelo, Tom Green County, Texas (submitted by Parks and Recreation Director Carl White) 10. Consideration of adopting a Resolution authorizing the City Manager to execute a First Amendment to Lake Nasworthy Cruise Boat Concession Agreement to: provide for a prorated credit against the annual fixed base payment for days during a contract year in which lake level is insufficient for operation of the cruise boat concession; clarify the beginning and ending months applicable to the annual fixed base payment schedule; and describe the concession premises (submitted by Parks and Recreation Director Carl White) 11. Consideration of adopting By-Laws for the Parks and Recreation Advisory Board (submitted by Parks and Recreation Director Carl White) 12. Consideration of adopting a Resolution to approve the City of San Angelo’s participation in the Texas Events Trust Fund for the National Reined Cow Horse Association 2013 Celebration of Champions in the amount of $13,136.00 with a state match of $82,098.00, to create a total trust fund of $95,234.00 (submitted by Civic Events Manager Angelica Pena) 13. Second Hearing and consideration of adopting an Ordinance amending Chapter 12, Exhibit “A” (Zoning Ordinance) of the Code of Ordinances, City of San Angelo PD 07-01 (2013 amendment): Carrie & John Maier and Glenn & Peggy Rosser AN ORDINANCE AMENDING CHAPTER 12, EXHIBIT “A” OF THE CODE OF ORDINANCES, CITY OF SAN ANGELO, TEXAS, WHICH SAID EXHIBIT “A” OF CHAPTER 12 ADOPTS ZONING REGULATIONS, USE DISTRICTS AND A ZONING MAP, IN ACCORDANCE WITH A COMPREHENSIVE PLAN, BY CHANGING THE ZONING AND CLASSIFICATION OF THE FOLLOWING PROPERTY, TO WIT: 3512 Ben Ficklin Road, located approximately 200 feet east from the intersection of Ben Ficklin Road and South Bryant Boulevard. This property specifically occupies approximately 10.8 acres in the southwest portion of a 73.9 acre tract of the E Hermes Survey 0174 Abstract 0349 in south central San Angelo, as indicated in Exhibit B of this Ordinance, changing the zoning classification from Ranch & Estate (R&E) to Planned Development (PD) District; PROVIDING FOR SEVERABILITY AND PROVIDING A PENALTY 14. Second Hearing and consideration of adopting an Ordinance amending Chapter 12, Exhibit “A” (Zoning Ordinance) of the Code of Ordinances, City of San Angelo Z 13-08: Cho Walker CITY OF SAN ANGELO, TEXAS, WHICH SAID EXHIBIT “A” OF CHAPTER 12 ADOPTS ZONING REGULATIONS, USE DISTRICTS AND A ZONING MAP, IN ACCORDANCE WITH A COMPREHENSIVE PLAN, BY CHANGING THE ZONING AND CLASSIFICATION OF THE FOLLOWING PROPERTY, TO WIT: 1205 South Jackson Street; located approximately 75 feet southwest from the intersection at South Jackson Street and West Avenue H. This property specifically occupies the South Heights Addition, Block 6, Lots 2 and 3, in southwest San Angelo, changing the zoning classification from a Single Family Residential (RS-1) to a Two-Family Residential (RS-2) District; PROVIDING FOR SEVERABILITY AND PROVIDING A PENALTY City Council Agenda Page 3 of 5 April 16, 2013
  • 4.
    15. Second Hearingand consideration of adopting an Ordinance amending Chapter 12, Exhibit “A” (Zoning Ordinance) of the Code of Ordinances, City of San Angelo Z 13-09 AKA PD 07-03 (2013 Amendment): Jack Gabriel AN ORDINANCE AMENDING CHAPTER 12, EXHIBIT “A” OF THE CODE OF ORDINANCES, CITY OF SAN ANGELO, TEXAS, WHICH SAID EXHIBIT “A” OF CHAPTER 12 ADOPTS ZONING REGULATIONS, USE DISTRICTS AND A ZONING MAP, IN ACCORDANCE WITH A COMPREHENSIVE PLAN, BY CHANGING THE ZONING AND CLASSIFICATION OF THE FOLLOWING PROPERTY, TO WIT: a 7.938 acres at southwest corner of South Oxford Drive and A&M Avenue in southwestern San Angelo, amending the zoning classification from a Planned Development (PD) District (PD 07-03) previously approved for assisted group living to specifically add allowance for the operation of a gymnastics academy; PROVIDING FOR SEVERABILITY AND PROVIDING A PENALTY 16. Second Hearing and consideration of adopting an Ordinance amending Chapter 12, Exhibit “A” (Zoning Ordinance) of the Code of Ordinances, City of San Angelo Z 13-10: Mills Development Inc. AN ORDINANCE AMENDING CHAPTER 12, EXHIBIT “A” OF THE CODE OF ORDINANCES, CITY OF SAN ANGELO, TEXAS, WHICH SAID EXHIBIT “A” OF CHAPTER 12 ADOPTS ZONING REGULATIONS, USE DISTRICTS AND A ZONING MAP, IN ACCORDANCE WITH A COMPREHENSIVE PLAN, BY CHANGING THE ZONING AND CLASSIFICATION OF THE FOLLOWING PROPERTY, TO WIT: An unaddressed tract occupying 8.895 acres of the Deaf & Dumb Asylum Survey Number Two, Abstract 8211. This property was annexed into the City Limits on March 5, 2013 and is directly west from Mills Pass Drive along a proposed extension of Autumwood Trail. This property specifically occupies a proposed subdivision titled, Prestonwood Addition, Section Two, Block 6, Lots 1-18 and Prestonwood Addition, Section Two, Block 7, Lots 1-16 in southwest San Angelo, changing the zoning classification from Ranch & Estate (R&E) to Single-Family Residential (RS-1) District; PROVIDING FOR SEVERABILITY AND PROVIDING A PENALTY III. REGULAR AGENDA: E. EXECUTIVE/CLOSED SESSION Executive Session under the provision of Government Code, Title 5. Open Government; Ethics, Subtitle A. Open Government, Chapter 551. Open Meetings, Subchapter D. Exceptions to Requirement that Meetings be Open, Section 551.072 to deliberate the purchase, exchange, lease, or value of real property Executive Session under the provision of Government Code, Title 5. Open Government; Ethics, Subtitle A. Open Government, Chapter 551. Open Meetings, Subchapter D. Exceptions to Requirement that Meetings be Open, Section 551.087 to discuss an offer of financial or other incentive to a company or companies with whom the City of San Angelo is conducting economic development negotiations and which the City of San Angelo seeks to have, locate, stay or expand in San Angelo F. PUBLIC HEARING AND COMMENT 17. Discussion and consideration of the possibility of issuing rebates of Water Fees and any action related thereto (Presentation by Morgan Chegwidden, Budget Manager) 18. Discussion and update on current water supply and any action in connection thereto (Presentation by Water Utilities Director Ricky Dickson) 19. Discussion of late fees associated with delinquent water utility statements (Presentation by Water Utilities Director Ricky Dickson) City Council Agenda Page 4 of 5 April 16, 2013
  • 5.
    20. Update andpresentation on Boards and Commissions regarding attendance, meeting quorum issues, related matters, and any action in connection thereto (Presentation by City Clerk Alicia Ramirez and related Board Liaisons) G. FOLLOW UP AND ADMINISTRATIVE ISSUES 21. Consideration of and possible action on matters discussed in Executive/Closed Session, if needed 22. Consideration of approving a Board nomination by Council and designated Councilmembers: a. Civic Events Board: Estela Salas (SMD5) to an unexpired term October 2014 23. Consideration of Civil Service Commission nomination, Raul Lopez, by City Manager and approval by City Council 24. Announcements and consideration of Future Agenda Items 25. Adjournment Given by order of the City Council and posted in accordance with Title 5, Texas Government Code, Chapter 551, Thursday, April 11, 2013, at 5:30 P.M. /s/________________________ Alicia Ramirez, City Clerk City Council Agenda Page 5 of 5 April 16, 2013
  • 6.
    City of SanAngelo Memo Date: March 26, 2013 To: Councilmembers From: Patrick Frerich, Equipment Maintenance Superintendent - Vehicle Maintenance Subject: Agenda Item for April 16, 2013 Contact: Patrick Frerich, Vehicle Maintenance - 657-4329 x1651 Caption: Consent Consideration of approving NJPA quote VM-06-13 for an aerial bucket truck and authorizing the City Manager or designee to execute any necessary related documents. Summary: The Vehicle Maintenance Department requested a quote for an aerial bucket truck for the use of the City’s Traffic Department. Altec Industries (Kaufman, TX) submitted a quote through the National Joint Powers Association (NJPA) purchasing cooperative contract #060311- All. History: Quotes were requested for replacing current equipment that is past its useful operational life. Vendor selection is based on the financial impact of the quote; inclusion and pricing of items and options requested; the competence of the vendor regarding the purchase transaction; and the after-sale benefits including location of warranty shops, parts supply lead- time and availability, etc. Financial Impact: The City will purchase one (1) aerial bucket truck from Altec Industries through the NJPA purchasing cooperative for $94,217.00 expensed from the account number 501-3102-800-0742. Related Vision Item: NA Other information/Recommendation: Staff recommends awarding quote and subsequent purchase to Altec Industries (Kaufman, TX) through NJPA pricing. Attachments: None Reviewed by: Shane Kelton, Operations Director X:PF DocumentsBid Documents2013 Equipment BidsAgenda BackgroundBackground Memo VM-06-13 - Bucket Truck.doc
  • 9.
    City of SanAngelo Memo Date: April 1, 2013 To: Councilmembers From: Patrick Frerich, Equipment Maintenance Superintendent - Vehicle Maintenance Subject: Agenda Item for April 16, 2013 Contact: Patrick Frerich, Vehicle Maintenance - 657-4329 x1651 Caption: Consent Consideration of approving Buyboard quote VM-07-13 for Emergency Vehicle Upfit Equipment and authorizing the City Manager or designee to execute any necessary related documents. Summary: The Vehicle Maintenance Department requested quotes for equipment used in the upfitting process of emergency response vehicles. GT Distributors (Austin, TX) submitted a quote through the Buyboard purchasing cooperative contract #363-10. History: Quotes were requested for emergency lightbars, emergency lighting, prisoner transport seats, and prisoner partitions used in the upfitting process by the Vehicle Maintenance Department. Items chosen are those proven by San Angelo patrol officers to provide maximum safety to officers and prisoners, prisoner confinement, and consistency and familiarity with existing equipment. Financial Impact: The City will purchase equipment for 17 vehicles for Police Patrol, Municipal Court and Lake Patrol totaling $54,286.27 from their respective capital accounts. Related Vision Item: NA Other information/Recommendation: Staff recommends awarding quote and subsequent purchase to GT Distributors (Austin, TX) through Buyboard contract number 363-10. Attachments: Buyboard Quote QTE0061884, QTE0060246 – GT Distributors Reviewed by: Tim Vasquez, Chief of Police X:PF DocumentsBid Documents2013 Equipment BidsAgenda BackgroundBackground Memo VM-07-13 - Emergency Vehicle Upfit Equipment.doc
  • 10.
    Quote QTE0061884 Date 1/9/2013 Page: 1 GT Distributors - Austin P.O. Box 16080 Austin TX 78761 (512) 451-8298 Bill To: Ship To: San Angelo, City of San Angelo, City of Attn:Accounts Payable 1727 St. Ann St. P.O. Box 1751 Attn: Patrick Frerich San Angelo TX 76902 San Angelo TX 76905 Purchase Order No. Customer ID Salesperson ID Shipping Method Payment Terms Req Ship Date Master No. TAHOE 003582 JD U NET 15 0/0/0000 956,316 Quantity Item Number Description UOM Unit Price Ext. Price 12 PG-P5712T12A* Progard 1/2 Polyc 1/2 Expanded Metal Window Each $413.44 $4,961.28 2010-2013 Tahoe 12 PG-SP57FW12* Progard Lower Ext. Panel Full Width Each $44.20 $530.40 12 PG-S5705T07* Progard ABS Std. Transport Seat with EA $723.52 $8,682.24 7ga Steel Screen Window Cargo Barrier & seat mount kit 12 SET-WB-SUV-STEEL* Setina Window Barriers Steel EA $159.00 $1,908.00 2013 Tahoe 24 WE-LINZ6J Whelen Split Red Blue LED Lighthead EA $77.90 $1,869.60 All returns must be authorized by GT Distributors. Interest charges on past Subtotal $17,951.52 due invoices at the maximum rate allowed by law. Misc $0.00 Peter Hernandez Tax $0.00 does not include shipping cost Freight $0.00 Total $17,951.52
  • 11.
    Quote QTE0060246 Date 11/1/2012 Page: 1 GT Distributors - Austin P.O. Box 16080 Austin TX 78761 (512) 451-8298 Bill To: Ship To: San Angelo, City of San Angelo, City of Attn:Accounts Payable 1727 St. Ann St. P.O. Box 1751 Attn: Patrick Frerich San Angelo TX 76902 San Angelo TX 76905 Purchase Order No. Customer ID Salesperson ID Shipping Method Payment Terms Req Ship Date Master No. WHELEN 003582 JD U NET 15 0/0/0000 920,955 Quantity Item Number Description UOM Unit Price Ext. Price 1 WE-VTX609J Whelen Vertex Split Red Blue EA $67.90 $67.90 1 WE-VTXFB Whelen Vertex Flange Kit Black EA $4.67 $4.67 1 WE-TXLIB-SR2PKG55 Whelen Liberty CenCom SA315P PKG 55" EA $2,259.95 $2,259.95 1 WE-TXLIB-SR8PKG Whelen Liberty CenCom SA315P PKG EA $2,259.95 $2,259.95 1 WE-SXTDLED Whelen Two High Int. LED Takedown Lights EA $213.00 $213.00 1 PG-WB56NPC11* Progard Black Powder Coated Steel Standard Push EA $149.90 $149.90 1 PG-S56C06* PG-Rear Seat-2004-08 Dodge Charger Grey EA $308.90 $308.90 1 PG-P5612C11A* Progard 1/2 Polyc , 1/2 Exp Metal Window Part. EA $414.50 $414.50 1 PG-RP56C11* Progard LEP 2011 Charger EA $59.95 $59.95 1 PG-PB56C11* Progard Black Powder Coated Steel Standard Push EA $177.25 $177.25 1 HS-C-VS-0809-CHGR-1*Havis 2011 Charger Vehicle Spec 17" Console EA $269.94 $269.94 1 HS-C-ARM-103* Havis Shield Adjustable Armrest EA $65.34 $65.34 1 HS-C-CUP2-I* Havis Shield-4 Inch High Plate-2 Cup Holders EA $27.68 $27.68 2 HS-MC* Havis Shields Mic Clip Only EA $7.26 $14.52 2 HS-MCB* Havis Shields Mic-Clip Bracket EA $9.24 $18.48 1 HS-EB30-EOR-1P* Havis Shield-Orion Radio Bracket EA $0.00 $0.00 1 HS-EB40-CCS-1P* Havis Shield-Equipment Bracket EA $0.00 $0.00
  • 12.
    Quote QTE0060246 Date 11/1/2012 Page: 2 GT Distributors - Austin P.O. Box 16080 Austin TX 78761 (512) 451-8298 Bill To: Ship To: San Angelo, City of San Angelo, City of Attn:Accounts Payable 1727 St. Ann St. P.O. Box 1751 Attn: Patrick Frerich San Angelo TX 76902 San Angelo TX 76905 Purchase Order No. Customer ID Salesperson ID Shipping Method Payment Terms Req Ship Date Master No. WHELEN 003582 JD U NET 15 0/0/0000 920,955 Quantity Item Number Description UOM Unit Price Ext. Price 1 HS-C-FP-2* Havis Shield-Two Inch Filler Plate EA $0.00 $0.00 1 HS-C-FP-1* Havis Shield-One Inch Filler Plate EA $0.00 $0.00 1 HS-C-FP-3* Havis Shield-3 Inch Filler Plate EA $0.00 $0.00 1 HS-C-TMW-CHGR-01* Havis-Console Mounting Base-Charger EA $83.70 $83.70 1 HS-C-TMW-GMC-02* Havis 28" Long Tunnel Mt. 2010 Tahoe/Sub EA $83.70 $83.70 All returns must be authorized by GT Distributors. Interest charges on past Subtotal $6,479.33 due invoices at the maximum rate allowed by law. Misc $0.00 Peter Hernandez Tax $0.00 Buyboard contract price Freight $175.00 on Whelen #363-10 Total $6,654.33
  • 13.
    SERVICES AGREEMENT BETWEENTHE CITY OF SAN ANGELO AND ABM JANITORIAL SERVICES – SOUTH CENTRAL, INCORPORATED RFB No. CFM-02-13 This Agreement is entered into this ___ day of ____________, 2013 (but effective as of __________________________) by and between the City of San Angelo, a municipal corporation of the State of Texas (“City”) and ABM Janitorial Services – South Central, Incorporated, a foreign corporation (“Provider”). RECITAL A. City has issued a Request for Bid Construction & Facilities Management Janitorial Services RFB No.CFM-02-13 (“RFB No.CFM-02-13”) for the provision of professional janitorial services (“Services”) and Provider’s bid, in response thereto, has been selected as the most qualified proposal for the provision of the Services. The RFB referred to herein, collectively, as the Contract Documents, and are by this reference incorporated into and made a part of this Agreement (“Agreement”). B. On _____________, 2013, the City Council of City of San Angelo, approved the selection of Provider and authorized the City Manager to execute a contract, under the terms and conditions set forth herein. TERMS: 1. RECITALS: The recitals are true and correct and are hereby incorporated into and made a part of this Agreement.
  • 14.
    2. TERM: The term of this Agreement shall be for three (3) years commencing on the effective date hereof. 3. OPTION TO EXTEND: City shall have two (2) option(s) to extend the term hereof for a period of one (1) year each, subject to availability, appropriation of funds and to agreement of both parties. City Council approval shall not be required as long as the total extended term does not exceed two (2) years. 4. SCOPE OF SERVICE: A. Provider agrees to provide the Services as specifically described, and under the special terms and conditions set forth, in Exhibit “A” attached hereto, which by this reference is incorporated into and made a part of this Agreement. B. Provider represents and warrants to City that: (i) it possesses all qualifications, licenses and expertise required for the performance of the Services; (ii) it is not delinquent in the payment of any sums due City, including payment of permit fees, occupational licenses, etc., nor in the performance of any obligations to City; (iii) all personnel assigned to perform Services are and shall be, at all times during the term hereof, fully qualified and trained to perform the tasks assigned to each; and (iv) Services will be performed in the manner described in Contract Documents. 5. COMPENSATION: A. The amount of compensation payable by the City to Provider shall be based on the rates described in Exhibit “B” attached hereto, which by this reference is incorporated into this Agreement. B. Unless otherwise specifically provided in Exhibit “B”, payment shall be made within thirty (30) calendar days after receipt of Provider’s invoice, which shall be accompanied 2
  • 15.
    by sufficient supportingdocumentation and contain sufficient detail, to allow a proper audit of expenditures should City require one to be performed. No advance payments shall be made at any time. 6. OWNERSHIP OF DOCUMENTS: Provider understands and agrees that any information, document, report or any other material whatsoever which is given by City to Provider or which is otherwise obtained or prepared by Provider pursuant to or under the terms of this Agreement is and shall at all times remain the property of City. Provider agrees not to use any such information, document, report or material for any other purpose whatsoever without the written consent of City, which may be withheld or conditioned by City in its sole discretion. 7. AUDIT AND INSPECTION RIGHTS: A. City may, at reasonable times, and for a period of up to three (3) years following the date of final payment by City to Provider under this Agreement, audit, or cause to be audited, those books and records of Provider which are related to Provider’s performance under this Agreement. Provider agrees to maintain all such books and records at its principal place of business for a period of three (3) years after final payment is made under this Agreement. B. City may, at reasonable times during the term hereof, inspect Provider’s work and perform such tests, as City deems reasonably necessary, to determine whether the goods or services required to be provided by Provider under this Agreement conform to the terms hereof and/or the terms found in Exhibit “A”, if applicable. Provider shall make available to City all reasonable access and assistance to facilitate the performance of tests or inspections by City representatives. 8. AWARD OF AGREEMENT: Provider represents and warrants to City that it has not employed or retained any person or company employed by City to solicit or secure this 3
  • 16.
    Agreement and thatit has not offered to pay, paid, or agreed to pay any person any fee, percentage, brokerage fee, or gift of any kind contingent upon or in connection with, the award of this Agreement. 9. PUBLIC RECORDS: Provider understands that the public shall have access, at all reasonable times, to all documents and information pertaining to City contracts, subject to the provisions of Chapter 552, Texas Government Code, and agrees to allow access by City and the public to all documents subject to disclosure under applicable law. Provider’s failure or refusal to comply with the provisions of this section shall result in the immediate cancellation of this Agreement by City. 10. COMPLIANCE WITH FEDERAL, STATE, AND LOCAL LAWS: Provider, its agents, employees and sub-providers understands that agreements between private entities and local governments are subject to certain laws and regulations, including laws pertaining to public records, conflict of interest, record keeping, etc. Provider agrees to comply with and observe all applicable laws, city charter, codes and ordinances as they may be amended from time to time. Provider must obtain all necessary permits and licenses that are required in completing the work contracted for in this agreement. 11. VENUE: Venue for any cause of action arising under this contract is Tom Green County, Texas. This contract is governed by the laws of the State of Texas both as to interpretation and performance. This contract shall, in any dispute over its meaning or application, be interpreted fairly and reasonably, and not more strongly for or against either party. 12. INDEMNIFICATION: Provider shall indemnify, defend and hold harmless City and its officials, employees and agents (collectively referred to as “Indemnitees”) and each of them from 4
  • 17.
    and against allloss, costs, penalties, fines, damages, claims, expenses (including attorney’s fees) or liabilities (collectively referred to as “Liabilities”) by reason of any injury to or death of any person or damage to or destruction or loss of any property arising out of, resulting from, or in connection with (i) the performance or non-performance of the services contemplated by this Agreement which is or is alleged to be directly or indirectly caused, in whole or in part, by any act, omission, default or negligence (whether active or passive) of Provider or its employees, agents or sub-providers (collectively referred to as “Provider”), regardless of whether it is, or is alleged to be, caused in whole or part (whether joint, concurrent or contributing) by any act, omission, default or negligence (whether active or passive) of the Indemnitees, or any of them or (ii) the failure of provider to comply with any of the paragraphs herein or the failure of provider to conform to statutes, ordinances, or other regulations or requirements of any governmental authority, federal or state, in connection with the performance of this Agreement. Provider expressly agrees to indemnify and hold harmless the Indemnitees, or any of them, from and against all liabilities which may be asserted by an employee or former employee of Provider, or any of its sub-providers, as provided above, for which provider’s liability to such employee or former employee would otherwise be limited to payments under state Workers’ Compensation or similar laws. 13. DEFAULT: If Provider fails to comply with any term or condition of this Agreement, or fails to perform any of its obligations hereunder, then Provider shall be in default. Upon the occurrence of a default hereunder City, in addition to all remedies available to it by law, may immediately, upon written notice to Provider, terminate this Agreement whereupon all payments, advances, or other compensation paid by City to Provider while Provider was in default shall be immediately returned to City. Provider understands and agrees that termination of this 5
  • 18.
    Agreement under thissection shall not release Provider from any obligation accruing prior to the effective date of termination. Should Provider be unable or unwilling to commence to perform the Services within the time provided or contemplated herein, then, in addition to the foregoing, Provider shall be liable to City for all expenses incurred by City in preparation and negotiation of this Agreement, as well as all costs and expenses incurred by City in the re-procurement of the Services, including consequential and incidental damages. 14. RESOLUTION OF CONTRACT DISPUTES: Provider understands and agrees that all disputes between Provider and City based upon an alleged violation of the terms of this Agreement by City shall be submitted to the City Manager for his/her resolution, prior to Provider being entitled to seek judicial relief in connection therewith. In the event that the amount of compensation hereunder exceeds Twenty-five Thousand and 00/00 Dollars ($25,000.00), the City Manager’s decision shall be approved or disapproved by City Council. Provider shall not be entitled to seek judicial relief unless: (i) it has first received the City Manager’s written decision, approved by City Council if the amount of compensation hereunder exceeds Twenty-five Thousand and 00/00 Dollars ($25,000.00), or (ii) a period of sixty (60) days has expired, after submitting to the City Manager a detailed statement of the dispute, accompanied by all supporting documentation (ninety (90) days if the City Manager’s decision is subject to City Council approval); or (iii) City has waived compliance with the procedure set forth in this section by written instruments, signed by the City Manager. 15. CITY’S TERMINATION RIGHTS: A. City shall have the right to terminate this Agreement, in its sole discretion, at any time, by giving written notice to Provider at least five (5) business days prior to the effective date of such termination. In such event, City shall pay to Provider compensation for services 6
  • 19.
    rendered and expensesincurred prior to the effective date of termination. In no event shall City be liable to Provider for any additional compensation, other than that provided herein, or for any consequential or incidental damages. B. City shall have the right to terminate this Agreement, without notice to Provider, upon the occurrence of an event of default hereunder. In such event, City shall not be obligated to pay any amounts to Provider and Provider shall reimburse to City all amounts received while Provider was in default under this Agreement. 16. INSURANCE: Provider shall, at all times during the term hereof, maintain such insurance coverage as may be required by City. All such insurance, including renewals, shall be subject to the approval of City for adequacy of protection and evidence of such coverage shall be furnished to City on Certificates of Insurance indicating such insurance to be in force and effect and providing that it will not be canceled during the performance of the services under this contract without thirty (30) calendar days prior written notice to City. Completed Certificates of Insurance shall be filed with City prior to the performance of services hereunder, provided, however, that Provider shall at any time upon request file duplicate copies of the policies of such insurance with City. If, in the judgment of City, prevailing conditions warrant the provision by Provider of additional liability insurance coverage or coverage which is different in kind, City reserves the right to require the provision by Provider of an amount of coverage different from the amounts or kind previously required and shall afford written notice of such change in requirements thirty (30) days prior to the date on which the requirements shall take effect. Should provider fail or refuse to satisfy the requirement of changed coverage within thirty (30) days following City’s 7
  • 20.
    written notice, thisContract shall be considered terminated on the date that the required change in policy coverage would otherwise take effect. 17. SPECIAL INDEMNIFICATION AND INSURANCE: A. INDEMNIFICATION: 1. GENERAL INDEMNIFICATION. PROVIDER AGREES TO INDEMNIFY, DEFEND, AND HOLD CITY, ITS COUNCIL MEMBERS, BOARD AND COMMISSION MEMBERS, OFFICIALS, AGENTS, GUESTS, INVITEES, CONSULTANTS AND EMPLOYEES FREE AND HARMLESS FROM AND AGAINST ANY AND ALL CLAIMS, DEMANDS, PROCEEDINGS, SUITS, JUDGMENTS, COSTS, PENALTIES, FINES, DAMAGES, LOSSES, ATTORNEYS’ FEES AND EXPENSES ASSERTED BY ANY PERSON OR PERSONS, INCLUDING AGENTS OR EMPLOYEES OF PROVIDER OR CITY, BY REASON OF DEATH OR INJURY TO PERSONS, OR LOSS OR DAMAGE TO PROPERTY, RESULTING FROM OR ARISING OUT OF, THE VIOLATION OF ANY LAW OR REGULATION OR IN ANY MANNER ATTRIBUTABLE TO ANY ACT OF COMMISSION, OMISSION, NEGLIGENCE OR FAULT OF PROVIDER, ITS AGENTS OR EMPLOYEES, OR THE JOINT NEGLIGENCE OF PROVIDER AND ANY OTHER ENTITY, AS A CONSEQUENCE OF ITS EXECUTION OR PERFORMANCE OF THIS AGREEMENT OR SUSTAINED IN OR UPON THE PREMISES, OR AS A RESULT OF ANYTHING CLAIMED TO BE DONE OR ADMITTED TO BE DONE BY PROVIDER HEREUNDER. THIS INDEMNIFICATION SHALL SURVIVE THE TERM OF THIS AGREEMENT AS LONG AS ANY LIABILITY COULD BE ASSERTED. NOTHING HEREIN SHALL REQUIRE PROVIDER TO INDEMNIFY, DEFEND, OR HOLD HARMLESS ANY INDEMNIFIED PARTY FOR THE INDEMNIFIED PARTY’S OWN GROSS NEGLIGENCE OR WILLFUL MISCONDUCT. 2. ENVIRONMENTAL INDEMNIFICATION. PROVIDER AGREES TO INDEMNIFY, DEFEND AND HOLD CITY AND ITS COUNCIL MEMBERS, BOARD AND COMMISSION MEMBERS, OFFICIALS, AGENTS, GUESTS, INVITEES, CONSULTANTS AND EMPLOYEES FREE AND HARMLESS 8
  • 21.
    FROM AND AGAINSTANY AND ALL CLAIMS, DEMANDS, PROCEEDINGS, SUITS, JUDGMENTS, COSTS, PENALTIES, FINES, DAMAGES, LOSSES, ATTORNEYS’ FEES AND EXPENSES ASSERTED BY LOCAL, STATE OR FEDERAL ENVIRONMENTAL AGENCIES OR PRIVATE INDIVIDUALS OR ENTITIES IN CONNECTION WITH OR RESULTING FROM OR ARISING OUT OF PROVIDER’S HANDLING, COLLECTION, TRANSPORTATION, STORAGE, DISPOSAL, TREATMENT, RECOVERY, AND/OR REUSE BY ANY PERSON UNDER PROVIDER’S DIRECTION OR CONTROL OF WASTE COLLECTED, TRANSPORTED OR LANDFILLED OR ANY CLEANUP ASSOCIATED WITH ENVIRONMENTAL CONTAMINATION, WHETHER SUCH CLEANUP IS OF AIR, SOIL, STRUCTURE, GROUND WATER OR SURFACE WATER CONTAMINATION. PROVIDER SPECIFICALLY AGREES TO INDEMNIFY, DEFEND AND HOLD HARMLESS CITY AGAINST ALL CLAIMS, DAMAGES AND LIABILITIES OF WHATEVER NATURE ASSERTED UNDER CERCLA CAUSED BY ACTS OR OMISSIONS OF PROVIDER REGARDLESS OF WHEN SUCH INCIDENT IS DISCOVERED. PROVIDER SHALL BE RESPONSIBLE AND LIABLE FOR ANY SPILL, UNDERGROUND POLLUTION OR ANY OTHER ENVIRONMENTAL IMPAIRMENT INCIDENT CAUSED BY ACTS OR OMISSIONS OF PROVIDER REGARDLESS OF WHEN SUCH INCIDENT IS DISCOVERED. IT IS THE INTENT OF THE PARTIES THAT THIS SECTION SHALL IN NO WAY LIMIT OTHER COVERAGE HEREIN AS IT MAY RELATE TO ANY ENVIRONMENTAL CLAIM, DAMAGE, LOSS OR LIABILITY OF ANY KIND. 3. PROSPECTIVE APPLICATION. ANY AND ALL INDEMNITY PROVIDED FOR IN THIS AGREEMENT SHALL SURVIVE THE EXPIRATION OF THIS AGREEMENT AND THE DISCHARGE OF ALL OTHER OBLIGATIONS OWED BY THE PARTIES TO EACH OTHER HEREUNDER AND SHALL APPLY PROSPECTIVELY NOT ONLY DURING THE TERM OF THIS AGREEMENT BUT THEREAFTER SO LONG AS ANY LIABILITY (INCLUDING BUT NOT LIMITED TO LIABILITY FOR CLOSURE AND POST 9
  • 22.
    CLOSURE COSTS) COULDBE ASSERTED IN REGARD TO ANY ACTS OR OMISSIONS OF PROVIDER IN PERFORMING UNDER THIS AGREEMENT. 4. RETROACTIVE APPLICATION. THE INDEMNITY PROVIDED FOR IN THIS AGREEMENT SHALL EXTEND NOT ONLY TO CLAIMS AND ASSESSMENTS OCCURRING DURING THE TERM OF THIS AGREEMENT BUT RETROACTIVELY TO CLAIMS AND ASSESSMENTS WHICH MAY HAVE OCCURRED DURING THE TERM OF PREVIOUS AGREEMENTS BETWEEN CITY AND PROVIDER. B. INSURANCE: 1. GENERAL CONDITIONS. The following conditions shall apply to all insurance policies obtained by Provider for the purpose of complying with this Agreement. a) Satisfactory Companies. Coverage shall be maintained with insurers and under forms of policies satisfactory to City and with insurers licensed to do business in Texas. b) Named Insureds. All insurance policies required herein shall be drawn in the name of Provider, with City, its council members, board and commission members, officials, agents, guests, invitees, consultants and employees named as additional insureds, except on Workers’ Compensation coverage. c) Waiver of Subrogation. Provider shall require its insurance carrier(s), with respect to all insurance policies, to waive all rights of subrogation against City, its council members, board and commission members, officials, agents, guests, invitees, consultants and employees. d) Certificates of Insurance. At or before the time of execution of this Agreement, Provider shall furnish City’s Risk Manager with certificates of insurance as evidence that all of the policies required herein are in full force and effect and provide the required coverage and limits of insurance. All certificates of insurance shall clearly state that all applicable requirements have been satisfied. The certificates shall provide that any company issuing an insurance policy shall provide to City not less than thirty (30) days advance notice in writing of cancellation, non-renewal, or material change in the policy of insurance. In addition, Provider and insurance company shall immediately 10
  • 23.
    provide written noticeto City’s Risk Manager upon receipt of notice of cancellation of any insurance policy, or of a decision to terminate or alter any insurance policy. Copies of required endorsements will be attached to the certificates to confirm the required endorsements are in effect. Certificates of insurance and notices of cancellations, terminations, or alterations shall be furnished to City’s Risk Manager at City Hall, 72 W. Beauregard Ave., San Angelo, Texas 76903. e) Provider’s Liability. The procurement of such policy of insurance shall not be construed to be a limitation upon Provider’s liability or as a full performance on its part of the indemnification provisions of this Agreement. Provider’s obligations are, notwithstanding any policy of insurance, for the full and total amount of any damage, injury or loss caused by or attributable to its activities conducted at or upon the premises. Failure of Provider to maintain adequate coverage shall not relieve Provider of any contractual responsibility or obligation. f) Sub-providers’ Insurance. Provider shall cause each Sub-Provider and Sub-Sub-Provider of Provider to purchase and maintain insurance of the types and in the amounts specified below. Provider shall require Sub-providers and Sub-Sub-Providers to furnish copies of certificates of insurance to Provider’s Risk Manager evidencing coverage for each Sub-Provider and Sub-Sub-Provider. 2. TYPES AND AMOUNTS OF INSURANCE REQUIRED. Provider shall obtain and continuously maintain in effect at all times during the term hereof, at Provider’s sole expense, insurance coverage as follows with limits not less than those set forth below: a) Commercial General Liability. This policy shall be an occurrence-type policy and shall protect provider and additional insureds against all claims arising from bodily injury, sickness, disease or death of any person (other than provider’s employees) and damage to property of city or others arising out of the act or omission of provider or its agents and employees. This policy shall also include protection against claims for the contractual liability assumed by Provider under the paragraph of this Agreement entitled “Indemnification,” including completed operations, products liability, contractual coverage, broad form property coverage, explosion, collapse, underground, 11
  • 24.
    premises/operations, and independentproviders (to remain in force for two years after final payment). Coverage limits shall not be less than: $ 1,000,000.00 General Aggregate $ 500,000.00 Products – Completed Operations $ 500,000.00 Personal & Advertising Injury $ 500,000.00 Each Occurrence $ 100,000.00 Fire Damage (any one fire) b) Business Automobile Liability. This policy shall be written in comprehensive form and shall protect Provider and the additional insureds against all claims for injuries to members of the public and damage to property of others arising from the use of motor vehicles and shall cover operation on and off the premises of all motor vehicles licensed for highway use, whether they are owned, non-owned or hired. Coverage shall be as follows: $ 500,000.00 Each Accident Limit c) Workers’ Compensation and Employer’s Liability. If Provider hires any employees, Provider shall maintain Workers’ Compensation and Employer’s Liability insurance, which shall protect provider against all claims under applicable state workers’ compensation laws and employer’s liability. The insured shall also be protected against claim for injury, disease or death of employees which for any reason, may not fall within the provisions of a workers’ compensation law. Coverage shall not be less than: Statutory Amount Workers’ Compensation $ 500,000.00 Employer’s Liability, Each Accident $ 500,000.00 Employer’s Liability, Disease - Each Employee $ 500,000.00 Employer’s Liability, Disease – Policy Limit The foregoing requirement will not be applicable if, and so long as, Provider qualifies as a self-insurer under the rules and regulations of the commission or agency administering the workers’ compensation program in Texas and furnishes evidence of such qualification to City in accordance with the notice provisions of this Agreement. 12
  • 25.
    If Provider usescontract labor, Provider shall require its sub-provider to maintain the above referenced coverage and furnish copies of certificates of insurance as required herein. 18. NONDISCRIMINATION: Provider represents and warrants to City that Provider does not and will not engage in discriminatory practices and that there shall be no discrimination in connection with Provider’s performance under this Agreement on account of race, color, sex, religion, age, handicap, marital status or national origin. Provider further covenants that no otherwise qualified individual shall, solely by reason of his/her race, color, sex, religion, age, handicap, marital status or national origin, be excluded from participation in, be denied services, or be subject to discrimination under any provision of this Agreement. 19. VERIFICATION OF EMPLOYMENT ELIGIBILITY: Provider must comply with the Immigration Reform and Control Act (IRCA) and may not knowingly obtain labor or services of an unauthorized alien. Provider -- not City -- must verify eligibility for employment as required by IRCA. 20. INDEBTEDNESS TO CITY: Provider agrees that no payments owed by him, of any nature whatsoever, to the City, including payment in advance for service charges or any sums of any character whatsoever, shall become delinquent or in arrears. 21. ASSIGNMENT: This Agreement shall not be assigned by Provider, in whole or in part, without the prior written consent of City, which may be withheld or conditioned, in City’s sole discretion. 22. NOTICES: All notices or other communications required under this Agreement shall be in writing and shall be given by hand-delivery or by registered or certified U.S. Mail, return receipt requested, addressed to the other party at the address indicated herein or to such other 13
  • 26.
    address as aparty may designate by notice given as herein provided. Notice shall be deemed given on the day on which personally delivered; or, if by mail, on the fifth day after being posted or the date of actual receipt, whichever is earlier. TO CITY: TO PROVIDER: City of San Angelo ABM Janitorial Services-South Central, Inc. Attn: Ron Lewis Attn: Tom McDonald 72 West College Avenue 809 North Judge Ely San Angelo, Texas 76903 Abilene, Texas 79601 Phone: (325) 481-2773 Phone: (325) 677-1198 Email: ron.lewis@sanangelotexas.us Email: tom.mcdonald@abm.com 23. MISCELLANEOUS PROVISIONS: A. This Agreement shall be construed and enforced according to the laws of the State of Texas. B. Title and paragraph headings are for convenient reference and are not a part of this Agreement. C. No waiver or breach of any provision of this Agreement shall constitute a waiver of any subsequent breach of the same or any other provision hereof, and no waiver shall be effective, unless made in writing. D. Should any provision, paragraph, sentence, word or phrase contained in this Agreement be determined by a court of competent jurisdiction to be invalid, illegal or otherwise unenforceable under the laws of the State of Texas or City of San Angelo, such provision, paragraph, sentence, word or phrase shall be deemed modified to the extent necessary in order to conform with such laws, or if not modifiable, then same shall be deemed severable, and in either event, the remaining terms and provisions of this Agreement shall remain unmodified and in full force and effect or limitation of its use. 14
  • 27.
    E. This Agreement constitutes the sole and entire agreement between the parties hereto. No modification or amendment hereto shall be valid unless in writing and executed by properly authorized representatives of the parties hereto. 24. SUCCESSORS AND ASSIGNS: This Agreement shall be binding upon the parties hereto, their heirs, executors, legal representatives, successors, or assigns. 25. INDEPENDENT PROVIDER: Provider has been procured and is being engaged to provide services to City as an independent provider, and not as an agent or employee of City. Accordingly, Provider shall not attain, nor be entitled to, any rights or benefits under the Civil Service or Pension Ordinances of City, nor any rights generally afforded classified or unclassified employees. Provider further understands that Texas Workers’ Compensation benefits available to employees of City are not available to Provider, and agrees to provide workers’ compensation insurance for any employee or agent of Provider rendering services to City under this Agreement. 26. HISTORICALLY UNDERUTILIZED BUSINESSES PROCUREMENT PROGRAM: City has established a Historically Underutilized Businesses Procurement Program (“HUB Program”) designed to increase the volume of City procurement and agreements with minorities and women-owned businesses. Provider understand and agrees that City shall have the right to terminate and cancel this Agreement, without notice or penalty to City, and to eliminate Provider from consideration and participation in future City contracts if Provider, in the preparation and/or submission of the Proposal, submitted false or misleading information as to its status as a minority and/or a woman-owned business and/or the quality and/or type of minority or woman-owned business participation. 15
  • 28.
    27. AMENDMENTS: City or Provider may amend this Contract at any time provided that such amendments make specific reference to this Contract, and are executed in writing, signed by a duly authorized representative of City and Provider, and approved by City. Such amendments shall not invalidate this Contract, nor relieve or release City or Provider from their respective obligations under this Contract. 28. CONTINGENCY CLAUSE: Funding for this Agreement is contingent on the availability of funds and continued authorization for program activities and the Agreement is subject to amendment or termination due to lack of funds, reduction of funds and/or change in regulations, upon thirty (30) days notice. 29. REAFFIRMATION OF REPRESENTATIONS: Provider hereby reaffirms all of the representations contained in this Agreement, and included in Exhibit “A” attached hereto and made a part thereof. Contractor herby reaffirms all of the representations contained in RFB No.CFM-02-13 30. DOCUMENTS OF INCORPORATION: This Agreement is expressly made subject to all attachments hereto, to all of the attachments, provisions, requirements, federal, state and local laws, rules and regulations as of the effective date herein, and to any and all requirements, whether federal, state or local, verbal or written, placed upon City. The foregoing is hereby made a part of this Agreement and incorporated herein by reference as if fully set out herein. 31. ENTIRE AGREEMENT: This instrument and its attachments constitute the sole and only agreement of the parties relating to the subject matter hereof and correctly set forth the rights, duties, and obligations of each to the other as of its date. Any prior agreements, promises, negotiations, or representations not expressly set forth in this Agreement are of no force or effect. 16
  • 29.
    32. COUNTERPARTS: This Agreement may be executed in two or more counterparts, each of which shall constitute an original but all of which, when taken together, shall constitute one and the same agreement. 17
  • 30.
    NOW, THEREFORE, inconsideration of the mutual covenants and promises herein contained, Provider and City agree as follows: “City” CITY OF SAN ANGELO, a municipal corporation ATTEST: _________________________ By: ______________________________ Alicia Ramirez, City Clerk Daniel Valenzuela, City Manager “Provider” ABM JANITORIAL SERVICES-SOUTH CENTRAL INC. By: __________________________________ Tom McDonald, Branch Manager ATTEST: _________________, Secretary 18
  • 31.
  • 32.
  • 33.
    SERVICES AGREEMENT BETWEEN CITY OF SAN ANGELO, TEXAS AND ABM JANITORIAL SERVICES-SOUTH CENTRAL INC. RFB No. CFM-02-13 APPROVED AS TO FORM AND APPROVED AS TO INSURANCE CORRECTNESS: REQUIREMENTS: ______________________________ __________________________________ Lysia H. Bowling City Attorney John Seaton, Risk Manager APPROVED AS TO CONTENT: APPROVED AS TO CONTENT: ______________________________ _____________________________________ Roger Banks, Purchasing Manager Ron Lewis, Facilities/Maintenance Manager 21
  • 34.
    SERVICES AGREEMENT BETWEENTHE CITY OF SAN ANGELO, TEXAS AND Curtis E. Bargley and Donna Bargley d/b/a BARGLEY JANITORIAL SERVICES RFB CFM-02-13 This Agreement is entered into this ___ day of ____________, 2013(but effective as of _____________________) by and between the City of San Angelo, a municipal corporation of the State of Texas (“City”) and Donna Bargley and Curtis E. Bargley d/b/a Bargley Janitorial Services (“Provider”). RECITAL A. City has issued a Request for Bid Construction & Facilities Management Janitorial Services RFB No.CFM-02-13 (“RFB No.CFM-02-13”) for the provision of professional janitorial services (“Services”) and Provider’s bid, in response thereto, has been selected as the most qualified proposal for the provision of the Services. The RFB referred to herein, collectively, as the Contract Documents, and are by this reference incorporated into and made a part of this Agreement (“Agreement”). B. On _____________, 2013, the City Council of City of San Angelo, approved the selection of Provider and authorized the City Manager to execute a contract, under the terms and conditions set forth herein. TERMS: 1. RECITALS: The recitals are true and correct and are hereby incorporated into and made a part of this Agreement. 2. TERM: The term of this Agreement shall be for three (3) years commencing on the effective date hereof.
  • 35.
    3. OPTION TO EXTEND: City shall have two (2) option(s) to extend the term hereof for a period of one (1) year each, subject to availability, appropriation of funds and to agreement of both parties. City Council approval shall not be required as long as the total extended term does not exceed two (2) years. 4. SCOPE OF SERVICE: A. Provider agrees to provide the Services as specifically described, and under the special terms and conditions set forth, in Exhibit “A” attached hereto, which by this reference is incorporated into and made a part of this Agreement. B. Provider represents and warrants to City that: (i) it possesses all qualifications, licenses and expertise required for the performance of the Services; (ii) it is not delinquent in the payment of any sums due City, including payment of permit fees, occupational licenses, etc., nor in the performance of any obligations to City; (iii) all personnel assigned to perform Services are and shall be, at all times during the term hereof, fully qualified and trained to perform the tasks assigned to each; and (iv) Services will be performed in the manner described in Contract Documents. 5. COMPENSATION: A. The amount of compensation payable by the City to Provider shall be based on the rates described in Exhibit “B” attached hereto, which by this reference is incorporated into this Agreement. B. Unless otherwise specifically provided in Exhibit “B”, payment shall be made within thirty (30) calendar days after receipt of Provider’s invoice, which shall be accompanied by sufficient supporting documentation and contain sufficient detail, to allow a proper audit of 2
  • 36.
    expenditures should Cityrequire one to be performed. No advance payments shall be made at any time. 6. OWNERSHIP OF DOCUMENTS: Provider understands and agrees that any information, document, report or any other material whatsoever which is given by City to Provider or which is otherwise obtained or prepared by Provider pursuant to or under the terms of this Agreement is and shall at all times remain the property of City. Provider agrees not to use any such information, document, report or material for any other purpose whatsoever without the written consent of City, which may be withheld or conditioned by City in its sole discretion. 7. AUDIT AND INSPECTION RIGHTS: A. City may, at reasonable times, and for a period of up to three (3) years following the date of final payment by City to Provider under this Agreement, audit, or cause to be audited, those books and records of Provider which are related to Provider’s performance under this Agreement. Provider agrees to maintain all such books and records at its principal place of business for a period of three (3) years after final payment is made under this Agreement. B. City may, at reasonable times during the term hereof, inspect Provider’s work and perform such tests, as City deems reasonably necessary, to determine whether the goods or services required to be provided by Provider under this Agreement conform to the terms hereof and/or the terms found in Exhibit “A”, if applicable. Provider shall make available to City all reasonable access and assistance to facilitate the performance of tests or inspections by City representatives. 8. AWARD OF AGREEMENT: Provider represents and warrants to City that it has not employed or retained any person or company employed by City to solicit or secure this Agreement and that it has not offered to pay, paid, or agreed to pay any person any fee, 3
  • 37.
    percentage, brokerage fee,or gift of any kind contingent upon or in connection with, the award of this Agreement. 9. PUBLIC RECORDS: Provider understands that the public shall have access, at all reasonable times, to all documents and information pertaining to City contracts, subject to the provisions of Chapter 552, Texas Government Code, and agrees to allow access by City and the public to all documents subject to disclosure under applicable law. Provider’s failure or refusal to comply with the provisions of this section shall result in the immediate cancellation of this Agreement by City. 10. COMPLIANCE WITH FEDERAL, STATE, AND LOCAL LAWS: Provider, its agents, employees and sub-providers understands that agreements between private entities and local governments are subject to certain laws and regulations, including laws pertaining to public records, conflict of interest, record keeping, etc. Provider agrees to comply with and observe all applicable laws, city charter, codes and ordinances as they may be amended from time to time. Provider must obtain all necessary permits and licenses that are required in completing the work contracted for in this agreement. 11. VENUE: Venue for any cause of action arising under this contract is Tom Green County, Texas. This contract is governed by the laws of the State of Texas both as to interpretation and performance. This contract shall, in any dispute over its meaning or application, be interpreted fairly and reasonably, and not more strongly for or against either party. 12. INDEMNIFICATION: Provider shall indemnify, defend and hold harmless City and its officials, employees and agents (collectively referred to as “Indemnitees”) and each of them from and against all loss, costs, penalties, fines, damages, claims, expenses (including attorney’s fees) 4
  • 38.
    or liabilities (collectivelyreferred to as “Liabilities”) by reason of any injury to or death of any person or damage to or destruction or loss of any property arising out of, resulting from, or in connection with (i) the performance or non-performance of the services contemplated by this Agreement which is or is alleged to be directly or indirectly caused, in whole or in part, by any act, omission, default or negligence (whether active or passive) of Provider or its employees, agents or sub-providers (collectively referred to as “Provider”), regardless of whether it is, or is alleged to be, caused in whole or part (whether joint, concurrent or contributing) by any act, omission, default or negligence (whether active or passive) of the Indemnitees, or any of them or (ii) the failure of provider to comply with any of the paragraphs herein or the failure of provider to conform to statutes, ordinances, or other regulations or requirements of any governmental authority, federal or state, in connection with the performance of this Agreement. Provider expressly agrees to indemnify and hold harmless the Indemnitees, or any of them, from and against all liabilities which may be asserted by an employee or former employee of Provider, or any of its sub-providers, as provided above, for which provider’s liability to such employee or former employee would otherwise be limited to payments under state Workers’ Compensation or similar laws. 13. DEFAULT: If Provider fails to comply with any term or condition of this Agreement, or fails to perform any of its obligations hereunder, then Provider shall be in default. Upon the occurrence of a default hereunder City, in addition to all remedies available to it by law, may immediately, upon written notice to Provider, terminate this Agreement whereupon all payments, advances, or other compensation paid by City to Provider while Provider was in default shall be immediately returned to City. Provider understands and agrees that termination of this Agreement under this section shall not release Provider from any obligation accruing prior to the 5
  • 39.
    effective date oftermination. Should Provider be unable or unwilling to commence to perform the Services within the time provided or contemplated herein, then, in addition to the foregoing, Provider shall be liable to City for all expenses incurred by City in preparation and negotiation of this Agreement, as well as all costs and expenses incurred by City in the re-procurement of the Services, including consequential and incidental damages. 14. RESOLUTION OF CONTRACT DISPUTES: Provider understands and agrees that all disputes between Provider and City based upon an alleged violation of the terms of this Agreement by City shall be submitted to the City Manager for his/her resolution, prior to Provider being entitled to seek judicial relief in connection therewith. In the event that the amount of compensation hereunder exceeds Twenty-five Thousand and 00/00 Dollars ($25,000.00), the City Manager’s decision shall be approved or disapproved by City Council. Provider shall not be entitled to seek judicial relief unless: (i) it has first received the City Manager’s written decision, approved by City Council if the amount of compensation hereunder exceeds Twenty-five Thousand and 00/00 Dollars ($25,000.00), or (ii) a period of sixty (60) days has expired, after submitting to the City Manager a detailed statement of the dispute, accompanied by all supporting documentation (ninety (90) days if the City Manager’s decision is subject to City Council approval); or (iii) City has waived compliance with the procedure set forth in this section by written instruments, signed by the City Manager. 15. CITY’S TERMINATION RIGHTS: A. City shall have the right to terminate this Agreement, in its sole discretion, at any time, by giving written notice to Provider at least five (5) business days prior to the effective date of such termination. In such event, City shall pay to Provider compensation for services rendered and expenses incurred prior to the effective date of termination. In no event shall City 6
  • 40.
    be liable toProvider for any additional compensation, other than that provided herein, or for any consequential or incidental damages. B. City shall have the right to terminate this Agreement, without notice to Provider, upon the occurrence of an event of default hereunder. In such event, City shall not be obligated to pay any amounts to Provider and Provider shall reimburse to City all amounts received while Provider was in default under this Agreement. 16. INSURANCE: Provider shall, at all times during the term hereof, maintain such insurance coverage as may be required by City. All such insurance, including renewals, shall be subject to the approval of City for adequacy of protection and evidence of such coverage shall be furnished to City on Certificates of Insurance indicating such insurance to be in force and effect and providing that it will not be canceled during the performance of the services under this contract without thirty (30) calendar days prior written notice to City. Completed Certificates of Insurance shall be filed with City prior to the performance of services hereunder, provided, however, that Provider shall at any time upon request file duplicate copies of the policies of such insurance with City. If, in the judgment of City, prevailing conditions warrant the provision by Provider of additional liability insurance coverage or coverage which is different in kind, City reserves the right to require the provision by Provider of an amount of coverage different from the amounts or kind previously required and shall afford written notice of such change in requirements thirty (30) days prior to the date on which the requirements shall take effect. Should provider fail or refuse to satisfy the requirement of changed coverage within thirty (30) days following City’s written notice, this Contract shall be considered terminated on the date that the required change in policy coverage would otherwise take effect. 7
  • 41.
    17. SPECIAL INDEMNIFICATION AND INSURANCE: A. INDEMNIFICATION: 1. GENERAL INDEMNIFICATION. PROVIDER AGREES TO INDEMNIFY, DEFEND, AND HOLD CITY, ITS COUNCIL MEMBERS, BOARD AND COMMISSION MEMBERS, OFFICIALS, AGENTS, GUESTS, INVITEES, CONSULTANTS AND EMPLOYEES FREE AND HARMLESS FROM AND AGAINST ANY AND ALL CLAIMS, DEMANDS, PROCEEDINGS, SUITS, JUDGMENTS, COSTS, PENALTIES, FINES, DAMAGES, LOSSES, ATTORNEYS’ FEES AND EXPENSES ASSERTED BY ANY PERSON OR PERSONS, INCLUDING AGENTS OR EMPLOYEES OF PROVIDER OR CITY, BY REASON OF DEATH OR INJURY TO PERSONS, OR LOSS OR DAMAGE TO PROPERTY, RESULTING FROM OR ARISING OUT OF, THE VIOLATION OF ANY LAW OR REGULATION OR IN ANY MANNER ATTRIBUTABLE TO ANY ACT OF COMMISSION, OMISSION, NEGLIGENCE OR FAULT OF PROVIDER, ITS AGENTS OR EMPLOYEES, OR THE JOINT NEGLIGENCE OF PROVIDER AND ANY OTHER ENTITY, AS A CONSEQUENCE OF ITS EXECUTION OR PERFORMANCE OF THIS AGREEMENT OR SUSTAINED IN OR UPON THE PREMISES, OR AS A RESULT OF ANYTHING CLAIMED TO BE DONE OR ADMITTED TO BE DONE BY PROVIDER HEREUNDER. THIS INDEMNIFICATION SHALL SURVIVE THE TERM OF THIS AGREEMENT AS LONG AS ANY LIABILITY COULD BE ASSERTED. NOTHING HEREIN SHALL REQUIRE PROVIDER TO INDEMNIFY, DEFEND, OR HOLD HARMLESS ANY INDEMNIFIED PARTY FOR THE INDEMNIFIED PARTY’S OWN GROSS NEGLIGENCE OR WILLFUL MISCONDUCT. 2. ENVIRONMENTAL INDEMNIFICATION. PROVIDER AGREES TO INDEMNIFY, DEFEND AND HOLD CITY AND ITS COUNCIL MEMBERS, BOARD AND COMMISSION MEMBERS, OFFICIALS, AGENTS, GUESTS, INVITEES, CONSULTANTS AND EMPLOYEES FREE AND HARMLESS FROM AND AGAINST ANY AND ALL CLAIMS, DEMANDS, PROCEEDINGS, SUITS, JUDGMENTS, COSTS, PENALTIES, FINES, DAMAGES, LOSSES, ATTORNEYS’ FEES AND EXPENSES ASSERTED BY LOCAL, STATE OR 8
  • 42.
    FEDERAL ENVIRONMENTAL AGENCIESOR PRIVATE INDIVIDUALS OR ENTITIES IN CONNECTION WITH OR RESULTING FROM OR ARISING OUT OF PROVIDER’S HANDLING, COLLECTION, TRANSPORTATION, STORAGE, DISPOSAL, TREATMENT, RECOVERY, AND/OR REUSE BY ANY PERSON UNDER PROVIDER’S DIRECTION OR CONTROL OF WASTE COLLECTED, TRANSPORTED OR LANDFILLED OR ANY CLEANUP ASSOCIATED WITH ENVIRONMENTAL CONTAMINATION, WHETHER SUCH CLEANUP IS OF AIR, SOIL, STRUCTURE, GROUND WATER OR SURFACE WATER CONTAMINATION. PROVIDER SPECIFICALLY AGREES TO INDEMNIFY, DEFEND AND HOLD HARMLESS CITY AGAINST ALL CLAIMS, DAMAGES AND LIABILITIES OF WHATEVER NATURE ASSERTED UNDER CERCLA CAUSED BY ACTS OR OMISSIONS OF PROVIDER REGARDLESS OF WHEN SUCH INCIDENT IS DISCOVERED. PROVIDER SHALL BE RESPONSIBLE AND LIABLE FOR ANY SPILL, UNDERGROUND POLLUTION OR ANY OTHER ENVIRONMENTAL IMPAIRMENT INCIDENT CAUSED BY ACTS OR OMISSIONS OF PROVIDER REGARDLESS OF WHEN SUCH INCIDENT IS DISCOVERED. IT IS THE INTENT OF THE PARTIES THAT THIS SECTION SHALL IN NO WAY LIMIT OTHER COVERAGE HEREIN AS IT MAY RELATE TO ANY ENVIRONMENTAL CLAIM, DAMAGE, LOSS OR LIABILITY OF ANY KIND. 3. PROSPECTIVE APPLICATION. ANY AND ALL INDEMNITY PROVIDED FOR IN THIS AGREEMENT SHALL SURVIVE THE EXPIRATION OF THIS AGREEMENT AND THE DISCHARGE OF ALL OTHER OBLIGATIONS OWED BY THE PARTIES TO EACH OTHER HEREUNDER AND SHALL APPLY PROSPECTIVELY NOT ONLY DURING THE TERM OF THIS AGREEMENT BUT THEREAFTER SO LONG AS ANY LIABILITY (INCLUDING BUT NOT LIMITED TO LIABILITY FOR CLOSURE AND POST CLOSURE COSTS) COULD BE ASSERTED IN REGARD TO ANY ACTS OR OMISSIONS OF PROVIDER IN PERFORMING UNDER THIS AGREEMENT. 4. RETROACTIVE APPLICATION. THE INDEMNITY PROVIDED FOR IN THIS AGREEMENT SHALL EXTEND NOT ONLY TO CLAIMS AND 9
  • 43.
    ASSESSMENTS OCCURRING DURINGTHE TERM OF THIS AGREEMENT BUT RETROACTIVELY TO CLAIMS AND ASSESSMENTS WHICH MAY HAVE OCCURRED DURING THE TERM OF PREVIOUS AGREEMENTS BETWEEN CITY AND PROVIDER. B. INSURANCE: 1. GENERAL CONDITIONS. The following conditions shall apply to all insurance policies obtained by Provider for the purpose of complying with this Agreement. a) Satisfactory Companies. Coverage shall be maintained with insurers and under forms of policies satisfactory to City and with insurers licensed to do business in Texas. b) Named Insureds. All insurance policies required herein shall be drawn in the name of Provider, with City, its council members, board and commission members, officials, agents, guests, invitees, consultants and employees named as additional insureds, except on Workers’ Compensation coverage. c) Waiver of Subrogation. Provider shall require its insurance carrier(s), with respect to all insurance policies, to waive all rights of subrogation against City, its council members, board and commission members, officials, agents, guests, invitees, consultants and employees. d) Certificates of Insurance. At or before the time of execution of this Agreement, Provider shall furnish City’s Risk Manager with certificates of insurance as evidence that all of the policies required herein are in full force and effect and provide the required coverage and limits of insurance. All certificates of insurance shall clearly state that all applicable requirements have been satisfied. The certificates shall provide that any company issuing an insurance policy shall provide to City not less than thirty (30) days advance notice in writing of cancellation, non-renewal, or material change in the policy of insurance. In addition, Provider and insurance company shall immediately provide written notice to City’s Risk Manager upon receipt of notice of cancellation of any insurance policy, or of a decision to terminate or alter any insurance policy. Copies of required endorsements will be attached to the certificates to confirm the required endorsements are in effect. Certificates of insurance and notices of cancellations, 10
  • 44.
    terminations, or alterationsshall be furnished to City’s Risk Manager at City Hall, 72 W. Beauregard Ave., San Angelo, Texas 76903. e) Provider’s Liability. The procurement of such policy of insurance shall not be construed to be a limitation upon Provider’s liability or as a full performance on its part of the indemnification provisions of this Agreement. Provider’s obligations are, notwithstanding any policy of insurance, for the full and total amount of any damage, injury or loss caused by or attributable to its activities conducted at or upon the premises. Failure of Provider to maintain adequate coverage shall not relieve Provider of any contractual responsibility or obligation. f) Sub-providers’ Insurance. Provider shall cause each Sub-Provider and Sub-Sub-Provider of Provider to purchase and maintain insurance of the types and in the amounts specified below. Provider shall require Sub-providers and Sub-Sub-Providers to furnish copies of certificates of insurance to Provider’s Risk Manager evidencing coverage for each Sub-Provider and Sub-Sub-Provider. 2. TYPES AND AMOUNTS OF INSURANCE REQUIRED. Provider shall obtain and continuously maintain in effect at all times during the term hereof, at Provider’s sole expense, insurance coverage as follows with limits not less than those set forth below: a) Commercial General Liability. This policy shall be an occurrence-type policy and shall protect provider and additional insureds against all claims arising from bodily injury, sickness, disease or death of any person (other than provider’s employees) and damage to property of city or others arising out of the act or omission of provider or its agents and employees. This policy shall also include protection against claims for the contractual liability assumed by Provider under the paragraph of this Agreement entitled “Indemnification,” including completed operations, products liability, contractual coverage, broad form property coverage, explosion, collapse, underground, premises/operations, and independent providers (to remain in force for two years after final payment). Coverage limits shall not be less than: $ 1,000,000.00 General Aggregate $ 500,000.00 Products – Completed Operations $ 500,000.00 Personal & Advertising Injury 11
  • 45.
    $ 500,000.00 Each Occurrence $ 100,000.00 Fire Damage (any one fire) b) Business Automobile Liability. This policy shall be written in comprehensive form and shall protect Provider and the additional insureds against all claims for injuries to members of the public and damage to property of others arising from the use of motor vehicles and shall cover operation on and off the premises of all motor vehicles licensed for highway use, whether they are owned, non-owned or hired. Coverage shall be as follows: $ 500,000.00 Each Accident Limit c) Workers’ Compensation and Employer’s Liability. If Provider hires any employees, Provider shall maintain Workers’ Compensation and Employer’s Liability insurance, which shall protect provider against all claims under applicable state workers’ compensation laws and employer’s liability. The insured shall also be protected against claim for injury, disease or death of employees which for any reason, may not fall within the provisions of a workers’ compensation law. Coverage shall not be less than: Statutory Amount Workers’ Compensation $ 500,000.00 Employer’s Liability, Each Accident $ 500,000.00 Employer’s Liability, Disease - Each Employee $ 500,000.00 Employer’s Liability, Disease – Policy Limit The foregoing requirement will not be applicable if, and so long as, Provider qualifies as a self-insurer under the rules and regulations of the commission or agency administering the workers’ compensation program in Texas and furnishes evidence of such qualification to City in accordance with the notice provisions of this Agreement. If Provider uses contract labor, Provider shall require its sub-provider to maintain the above referenced coverage and furnish copies of certificates of insurance as required herein. 12
  • 46.
    18. NONDISCRIMINATION: Provider represents and warrants to City that Provider does not and will not engage in discriminatory practices and that there shall be no discrimination in connection with Provider’s performance under this Agreement on account of race, color, sex, religion, age, handicap, marital status or national origin. Provider further covenants that no otherwise qualified individual shall, solely by reason of his/her race, color, sex, religion, age, handicap, marital status or national origin, be excluded from participation in, be denied services, or be subject to discrimination under any provision of this Agreement. 19. VERIFICATION OF EMPLOYMENT ELIGIBILITY: Provider must comply with the Immigration Reform and Control Act (IRCA) and may not knowingly obtain labor or services of an unauthorized alien. Provider -- not City -- must verify eligibility for employment as required by IRCA. 20. INDEBTEDNESS TO CITY: Provider agrees that no payments owed by him, of any nature whatsoever, to the City, including payment in advance for service charges or any sums of any character whatsoever, shall become delinquent or in arrears. 21. ASSIGNMENT: This Agreement shall not be assigned by Provider, in whole or in part, without the prior written consent of City, which may be withheld or conditioned, in City’s sole discretion. 22. NOTICES: All notices or other communications required under this Agreement shall be in writing and shall be given by hand-delivery or by registered or certified U.S. Mail, return receipt requested, addressed to the other party at the address indicated herein or to such other address as a party may designate by notice given as herein provided. Notice shall be deemed given on the day on which personally delivered; or, if by mail, on the fifth day after being posted or the date of actual receipt, whichever is earlier. 13
  • 47.
    TO CITY: TO PROVIDER: City of San Angelo Bargley Janitorial Services Attn: Ron Lewis Attn: Donna Bargley 72 West College Avenue 1613 Idaho Avenue San Angelo, Texas 76903 San Angelo, Texas 76904 Phone: (325)481-2773 Phone: (325) 617-2010 Email: ron.lewis@sanangelotexas.us Email:bargley janitorial@suddenlink.net 23. MISCELLANEOUS PROVISIONS: A. This Agreement shall be construed and enforced according to the laws of the State of Texas. B. Title and paragraph headings are for convenient reference and are not a part of this Agreement. C. No waiver or breach of any provision of this Agreement shall constitute a waiver of any subsequent breach of the same or any other provision hereof, and no waiver shall be effective, unless made in writing. D. Should any provision, paragraph, sentence, word or phrase contained in this Agreement be determined by a court of competent jurisdiction to be invalid, illegal or otherwise unenforceable under the laws of the State of Texas or City of San Angelo, such provision, paragraph, sentence, word or phrase shall be deemed modified to the extent necessary in order to conform with such laws, or if not modifiable, then same shall be deemed severable, and in either event, the remaining terms and provisions of this Agreement shall remain unmodified and in full force and effect or limitation of its use. E. This Agreement constitutes the sole and entire agreement between the parties hereto. No modification or amendment hereto shall be valid unless in writing and executed by properly authorized representatives of the parties hereto. 14
  • 48.
    24. SUCCESSORS AND ASSIGNS: This Agreement shall be binding upon the parties hereto, their heirs, executors, legal representatives, successors, or assigns. 25. INDEPENDENT PROVIDER: Provider has been procured and is being engaged to provide services to City as an independent provider, and not as an agent or employee of City. Accordingly, Provider shall not attain, nor be entitled to, any rights or benefits under the Civil Service or Pension Ordinances of City, nor any rights generally afforded classified or unclassified employees. Provider further understands that Texas Workers’ Compensation benefits available to employees of City are not available to Provider, and agrees to provide workers’ compensation insurance for any employee or agent of Provider rendering services to City under this Agreement. 26. HISTORICALLY UNDERUTILIZED BUSINESSES PROCUREMENT PROGRAM: City has established a Historically Underutilized Businesses Procurement Program (“HUB Program”) designed to increase the volume of City procurement and agreements with minorities and women-owned businesses. Provider understand and agrees that City shall have the right to terminate and cancel this Agreement, without notice or penalty to City, and to eliminate Provider from consideration and participation in future City contracts if Provider, in the preparation and/or submission of the Proposal, submitted false or misleading information as to its status as a minority and/or a woman-owned business and/or the quality and/or type of minority or woman-owned business participation. 27. AMENDMENTS: City or Provider may amend this Contract at any time provided that such amendments make specific reference to this Contract, and are executed in writing, signed by a duly authorized representative of City and Provider, and approved by City. Such 15
  • 49.
    amendments shall notinvalidate this Contract, nor relieve or release City or Provider from their respective obligations under this Contract. 28. CONTINGENCY CLAUSE: Funding for this Agreement is contingent on the availability of funds and continued authorization for program activities and the Agreement is subject to amendment or termination due to lack of funds, reduction of funds and/or change in regulations, upon thirty (30) days notice. 29. REAFFIRMATION OF REPRESENTATIONS: Provider hereby reaffirms all of the representations contained in this Agreement, and included in Exhibit “A” attached hereto and made a part thereof. Contractor herby reaffirms all of the representations contained in RFB No.CFM-02-13 30. DOCUMENTS OF INCORPORATION: This Agreement is expressly made subject to all attachments hereto, to all of the attachments, provisions, requirements, federal, state and local laws, rules and regulations as of the effective date herein, and to any and all requirements, whether federal, state or local, verbal or written, placed upon City. The foregoing is hereby made a part of this Agreement and incorporated herein by reference as if fully set out herein. 31. ENTIRE AGREEMENT: This instrument and its attachments constitute the sole and only agreement of the parties relating to the subject matter hereof and correctly set forth the rights, duties, and obligations of each to the other as of its date. Any prior agreements, promises, negotiations, or representations not expressly set forth in this Agreement are of no force or effect. 32. COUNTERPARTS: This Agreement may be executed in two or more counterparts, each of which shall constitute an original but all of which, when taken together, shall constitute one and the same agreement. 16
  • 50.
    IN WITNESS WHEREOF,the parties hereto have caused this instrument to be executed by their respective officials thereunto duly authorized, this the day and year above written. “City” CITY OF SAN ANGELO, a municipal corporation ATTEST: _________________________ By: ______________________________ Alicia Ramirez, City Clerk Daniel Valenzuela, City Manager “Provider” BARGLEY JANITORIAL SERVICES By: _______________________________ Donna Bargley, ATTEST: _________________, Secretary 17
  • 51.
  • 52.
  • 53.
    SERVICES AGREEMENT BETWEEN CITY OF SAN ANGELO, TEXAS AND BARGLEY JANITORIAL SERVICES RFB No.CFM-02-13 APPROVED AS TO FORM AND APPROVED AS TO INSURANCE CORRECTNESS: REQUIREMENTS: ______________________________ __________________________________ Lysia H. Bowling City Attorney John Seaton, Risk Manager APPROVED AS TO CONTENT: APPROVED AS TO CONTENT: ______________________________ ____________________________________ Roger Banks, Purchasing Manager Ron Lewis, Construction & Facility Manger 20
  • 54.
    SERVICES AGREEMENT BETWEENTHE CITY OF SAN ANGELO AND VARSITY JANITORIAL SERVICES RFB No. CFM-02-13 This Agreement is entered into this ___ day of ____________, 2013 (but effective as of __________________________) by and between the City of San Angelo, a municipal corporation of the State of Texas (“City”) and Varsity Contractors, Inc., a foreign corporation (“Provider”). RECITAL A. City has issued a Request for Bid Construction & Facilities Management Janitorial Services RFB No.CFM-02-13 (“RFB No.CFM-02-13”) for the provision of professional janitorial services (“Services”) and Provider’s bid, in response thereto, has been selected as the most qualified proposal for the provision of the Services. The RFB referred to herein, collectively, as the Contract Documents, and are by this reference incorporated into and made a part of this Agreement (“Agreement”). B. On _____________, 2013, the City Council of City of San Angelo, approved the selection of Provider and authorized the City Manager to execute a contract, under the terms and conditions set forth herein. TERMS: 1. RECITALS: The recitals are true and correct and are hereby incorporated into and made a part of this Agreement.
  • 55.
    2. TERM: The term of this Agreement shall be for three (3) years commencing on the effective date hereof. 3. OPTION TO EXTEND: City shall have two (2) option(s) to extend the term hereof for a period of one (1) year each, subject to availability, appropriation of funds and to agreement of both parties. City Council approval shall not be required as long as the total extended term does not exceed two (2) years. 4. SCOPE OF SERVICE: A. Provider agrees to provide the Services as specifically described, and under the special terms and conditions set forth, in Exhibit “A” attached hereto, which by this reference is incorporated into and made a part of this Agreement. B. Provider represents and warrants to City that: (i) it possesses all qualifications, licenses and expertise required for the performance of the Services; (ii) it is not delinquent in the payment of any sums due City, including payment of permit fees, occupational licenses, etc., nor in the performance of any obligations to City; (iii) all personnel assigned to perform Services are and shall be, at all times during the term hereof, fully qualified and trained to perform the tasks assigned to each; and (iv) Services will be performed in the manner described in Contract Documents. 5. COMPENSATION: A. The amount of compensation payable by the City to Provider shall be based on the rates described in Exhibit “B” attached hereto, which by this reference is incorporated into this Agreement. B. Unless otherwise specifically provided in Exhibit “B”, payment shall be made within thirty (30) calendar days after receipt of Provider’s invoice, which shall be accompanied 2
  • 56.
    by sufficient supportingdocumentation and contain sufficient detail, to allow a proper audit of expenditures should City require one to be performed. No advance payments shall be made at any time. 6. OWNERSHIP OF DOCUMENTS: Provider understands and agrees that any information, document, report or any other material whatsoever which is given by City to Provider or which is otherwise obtained or prepared by Provider pursuant to or under the terms of this Agreement is and shall at all times remain the property of City. Provider agrees not to use any such information, document, report or material for any other purpose whatsoever without the written consent of City, which may be withheld or conditioned by City in its sole discretion. 7. AUDIT AND INSPECTION RIGHTS: A. City may, at reasonable times, and for a period of up to three (3) years following the date of final payment by City to Provider under this Agreement, audit, or cause to be audited, those books and records of Provider which are related to Provider’s performance under this Agreement. Provider agrees to maintain all such books and records at its principal place of business for a period of three (3) years after final payment is made under this Agreement. B. City may, at reasonable times during the term hereof, inspect Provider’s work and perform such tests, as City deems reasonably necessary, to determine whether the goods or services required to be provided by Provider under this Agreement conform to the terms hereof and/or the terms found in Exhibit “A”, if applicable. Provider shall make available to City all reasonable access and assistance to facilitate the performance of tests or inspections by City representatives. 8. AWARD OF AGREEMENT: Provider represents and warrants to City that it has not employed or retained any person or company employed by City to solicit or secure this 3
  • 57.
    Agreement and thatit has not offered to pay, paid, or agreed to pay any person any fee, percentage, brokerage fee, or gift of any kind contingent upon or in connection with, the award of this Agreement. 9. PUBLIC RECORDS: Provider understands that the public shall have access, at all reasonable times, to all documents and information pertaining to City contracts, subject to the provisions of Chapter 552, Texas Government Code, and agrees to allow access by City and the public to all documents subject to disclosure under applicable law. Provider’s failure or refusal to comply with the provisions of this section shall result in the immediate cancellation of this Agreement by City. 10. COMPLIANCE WITH FEDERAL, STATE, AND LOCAL LAWS: Provider, its agents, employees and sub-providers understands that agreements between private entities and local governments are subject to certain laws and regulations, including laws pertaining to public records, conflict of interest, record keeping, etc. Provider agrees to comply with and observe all applicable laws, city charter, codes and ordinances as they may be amended from time to time. Provider must obtain all necessary permits and licenses that are required in completing the work contracted for in this agreement. 11. VENUE: Venue for any cause of action arising under this contract is Tom Green County, Texas. This contract is governed by the laws of the State of Texas both as to interpretation and performance. This contract shall, in any dispute over its meaning or application, be interpreted fairly and reasonably, and not more strongly for or against either party. 12. INDEMNIFICATION: Provider shall indemnify, defend and hold harmless City and its officials, employees and agents (collectively referred to as “Indemnitees”) and each of them from 4
  • 58.
    and against allloss, costs, penalties, fines, damages, claims, expenses (including attorney’s fees) or liabilities (collectively referred to as “Liabilities”) by reason of any injury to or death of any person or damage to or destruction or loss of any property arising out of, resulting from, or in connection with (i) the performance or non-performance of the services contemplated by this Agreement which is or is alleged to be directly or indirectly caused, in whole or in part, by any act, omission, default or negligence (whether active or passive) of Provider or its employees, agents or sub-providers (collectively referred to as “Provider”), regardless of whether it is, or is alleged to be, caused in whole or part (whether joint, concurrent or contributing) by any act, omission, default or negligence (whether active or passive) of the Indemnitees, or any of them or (ii) the failure of provider to comply with any of the paragraphs herein or the failure of provider to conform to statutes, ordinances, or other regulations or requirements of any governmental authority, federal or state, in connection with the performance of this Agreement. Provider expressly agrees to indemnify and hold harmless the Indemnitees, or any of them, from and against all liabilities which may be asserted by an employee or former employee of Provider, or any of its sub-providers, as provided above, for which provider’s liability to such employee or former employee would otherwise be limited to payments under state Workers’ Compensation or similar laws. 13. DEFAULT: If Provider fails to comply with any term or condition of this Agreement, or fails to perform any of its obligations hereunder, then Provider shall be in default. Upon the occurrence of a default hereunder City, in addition to all remedies available to it by law, may immediately, upon written notice to Provider, terminate this Agreement whereupon all payments, advances, or other compensation paid by City to Provider while Provider was in default shall be immediately returned to City. Provider understands and agrees that termination of this 5
  • 59.
    Agreement under thissection shall not release Provider from any obligation accruing prior to the effective date of termination. Should Provider be unable or unwilling to commence to perform the Services within the time provided or contemplated herein, then, in addition to the foregoing, Provider shall be liable to City for all expenses incurred by City in preparation and negotiation of this Agreement, as well as all costs and expenses incurred by City in the re-procurement of the Services, including consequential and incidental damages. 14. RESOLUTION OF CONTRACT DISPUTES: Provider understands and agrees that all disputes between Provider and City based upon an alleged violation of the terms of this Agreement by City shall be submitted to the City Manager for his/her resolution, prior to Provider being entitled to seek judicial relief in connection therewith. In the event that the amount of compensation hereunder exceeds Twenty-five Thousand and 00/00 Dollars ($25,000.00), the City Manager’s decision shall be approved or disapproved by City Council. Provider shall not be entitled to seek judicial relief unless: (i) it has first received the City Manager’s written decision, approved by City Council if the amount of compensation hereunder exceeds Twenty-five Thousand and 00/00 Dollars ($25,000.00), or (ii) a period of sixty (60) days has expired, after submitting to the City Manager a detailed statement of the dispute, accompanied by all supporting documentation (ninety (90) days if the City Manager’s decision is subject to City Council approval); or (iii) City has waived compliance with the procedure set forth in this section by written instruments, signed by the City Manager. 15. CITY’S TERMINATION RIGHTS: A. City shall have the right to terminate this Agreement, in its sole discretion, at any time, by giving written notice to Provider at least five (5) business days prior to the effective date of such termination. In such event, City shall pay to Provider compensation for services 6
  • 60.
    rendered and expensesincurred prior to the effective date of termination. In no event shall City be liable to Provider for any additional compensation, other than that provided herein, or for any consequential or incidental damages. B. City shall have the right to terminate this Agreement, without notice to Provider, upon the occurrence of an event of default hereunder. In such event, City shall not be obligated to pay any amounts to Provider and Provider shall reimburse to City all amounts received while Provider was in default under this Agreement. 16. INSURANCE: Provider shall, at all times during the term hereof, maintain such insurance coverage as may be required by City. All such insurance, including renewals, shall be subject to the approval of City for adequacy of protection and evidence of such coverage shall be furnished to City on Certificates of Insurance indicating such insurance to be in force and effect and providing that it will not be canceled during the performance of the services under this contract without thirty (30) calendar days prior written notice to City. Completed Certificates of Insurance shall be filed with City prior to the performance of services hereunder, provided, however, that Provider shall at any time upon request file duplicate copies of the policies of such insurance with City. If, in the judgment of City, prevailing conditions warrant the provision by Provider of additional liability insurance coverage or coverage which is different in kind, City reserves the right to require the provision by Provider of an amount of coverage different from the amounts or kind previously required and shall afford written notice of such change in requirements thirty (30) days prior to the date on which the requirements shall take effect. Should provider fail or refuse to satisfy the requirement of changed coverage within thirty (30) days following City’s 7
  • 61.
    written notice, thisContract shall be considered terminated on the date that the required change in policy coverage would otherwise take effect. 17. SPECIAL INDEMNIFICATION AND INSURANCE: A. INDEMNIFICATION: 1. GENERAL INDEMNIFICATION. PROVIDER AGREES TO INDEMNIFY, DEFEND, AND HOLD CITY, ITS COUNCIL MEMBERS, BOARD AND COMMISSION MEMBERS, OFFICIALS, AGENTS, GUESTS, INVITEES, CONSULTANTS AND EMPLOYEES FREE AND HARMLESS FROM AND AGAINST ANY AND ALL CLAIMS, DEMANDS, PROCEEDINGS, SUITS, JUDGMENTS, COSTS, PENALTIES, FINES, DAMAGES, LOSSES, ATTORNEYS’ FEES AND EXPENSES ASSERTED BY ANY PERSON OR PERSONS, INCLUDING AGENTS OR EMPLOYEES OF PROVIDER OR CITY, BY REASON OF DEATH OR INJURY TO PERSONS, OR LOSS OR DAMAGE TO PROPERTY, RESULTING FROM OR ARISING OUT OF, THE VIOLATION OF ANY LAW OR REGULATION OR IN ANY MANNER ATTRIBUTABLE TO ANY ACT OF COMMISSION, OMISSION, NEGLIGENCE OR FAULT OF PROVIDER, ITS AGENTS OR EMPLOYEES, OR THE JOINT NEGLIGENCE OF PROVIDER AND ANY OTHER ENTITY, AS A CONSEQUENCE OF ITS EXECUTION OR PERFORMANCE OF THIS AGREEMENT OR SUSTAINED IN OR UPON THE PREMISES, OR AS A RESULT OF ANYTHING CLAIMED TO BE DONE OR ADMITTED TO BE DONE BY PROVIDER HEREUNDER. THIS INDEMNIFICATION SHALL SURVIVE THE TERM OF THIS AGREEMENT AS LONG AS ANY LIABILITY COULD BE ASSERTED. NOTHING HEREIN SHALL REQUIRE PROVIDER TO INDEMNIFY, DEFEND, OR HOLD HARMLESS ANY INDEMNIFIED PARTY FOR THE INDEMNIFIED PARTY’S OWN GROSS NEGLIGENCE OR WILLFUL MISCONDUCT. 2. ENVIRONMENTAL INDEMNIFICATION. PROVIDER AGREES TO INDEMNIFY, DEFEND AND HOLD CITY AND ITS COUNCIL MEMBERS, BOARD AND COMMISSION MEMBERS, OFFICIALS, AGENTS, GUESTS, INVITEES, CONSULTANTS AND EMPLOYEES FREE AND HARMLESS 8
  • 62.
    FROM AND AGAINSTANY AND ALL CLAIMS, DEMANDS, PROCEEDINGS, SUITS, JUDGMENTS, COSTS, PENALTIES, FINES, DAMAGES, LOSSES, ATTORNEYS’ FEES AND EXPENSES ASSERTED BY LOCAL, STATE OR FEDERAL ENVIRONMENTAL AGENCIES OR PRIVATE INDIVIDUALS OR ENTITIES IN CONNECTION WITH OR RESULTING FROM OR ARISING OUT OF PROVIDER’S HANDLING, COLLECTION, TRANSPORTATION, STORAGE, DISPOSAL, TREATMENT, RECOVERY, AND/OR REUSE BY ANY PERSON UNDER PROVIDER’S DIRECTION OR CONTROL OF WASTE COLLECTED, TRANSPORTED OR LANDFILLED OR ANY CLEANUP ASSOCIATED WITH ENVIRONMENTAL CONTAMINATION, WHETHER SUCH CLEANUP IS OF AIR, SOIL, STRUCTURE, GROUND WATER OR SURFACE WATER CONTAMINATION. PROVIDER SPECIFICALLY AGREES TO INDEMNIFY, DEFEND AND HOLD HARMLESS CITY AGAINST ALL CLAIMS, DAMAGES AND LIABILITIES OF WHATEVER NATURE ASSERTED UNDER CERCLA CAUSED BY ACTS OR OMISSIONS OF PROVIDER REGARDLESS OF WHEN SUCH INCIDENT IS DISCOVERED. PROVIDER SHALL BE RESPONSIBLE AND LIABLE FOR ANY SPILL, UNDERGROUND POLLUTION OR ANY OTHER ENVIRONMENTAL IMPAIRMENT INCIDENT CAUSED BY ACTS OR OMISSIONS OF PROVIDER REGARDLESS OF WHEN SUCH INCIDENT IS DISCOVERED. IT IS THE INTENT OF THE PARTIES THAT THIS SECTION SHALL IN NO WAY LIMIT OTHER COVERAGE HEREIN AS IT MAY RELATE TO ANY ENVIRONMENTAL CLAIM, DAMAGE, LOSS OR LIABILITY OF ANY KIND. 3. PROSPECTIVE APPLICATION. ANY AND ALL INDEMNITY PROVIDED FOR IN THIS AGREEMENT SHALL SURVIVE THE EXPIRATION OF THIS AGREEMENT AND THE DISCHARGE OF ALL OTHER OBLIGATIONS OWED BY THE PARTIES TO EACH OTHER HEREUNDER AND SHALL APPLY PROSPECTIVELY NOT ONLY DURING THE TERM OF THIS AGREEMENT BUT THEREAFTER SO LONG AS ANY LIABILITY (INCLUDING BUT NOT LIMITED TO LIABILITY FOR CLOSURE AND POST 9
  • 63.
    CLOSURE COSTS) COULDBE ASSERTED IN REGARD TO ANY ACTS OR OMISSIONS OF PROVIDER IN PERFORMING UNDER THIS AGREEMENT. 4. RETROACTIVE APPLICATION. THE INDEMNITY PROVIDED FOR IN THIS AGREEMENT SHALL EXTEND NOT ONLY TO CLAIMS AND ASSESSMENTS OCCURRING DURING THE TERM OF THIS AGREEMENT BUT RETROACTIVELY TO CLAIMS AND ASSESSMENTS WHICH MAY HAVE OCCURRED DURING THE TERM OF PREVIOUS AGREEMENTS BETWEEN CITY AND PROVIDER. B. INSURANCE: 1. GENERAL CONDITIONS. The following conditions shall apply to all insurance policies obtained by Provider for the purpose of complying with this Agreement. a) Satisfactory Companies. Coverage shall be maintained with insurers and under forms of policies satisfactory to City and with insurers licensed to do business in Texas. b) Named Insureds. All insurance policies required herein shall be drawn in the name of Provider, with City, its council members, board and commission members, officials, agents, guests, invitees, consultants and employees named as additional insureds, except on Workers’ Compensation coverage. c) Waiver of Subrogation. Provider shall require its insurance carrier(s), with respect to all insurance policies, to waive all rights of subrogation against City, its council members, board and commission members, officials, agents, guests, invitees, consultants and employees. d) Certificates of Insurance. At or before the time of execution of this Agreement, Provider shall furnish City’s Risk Manager with certificates of insurance as evidence that all of the policies required herein are in full force and effect and provide the required coverage and limits of insurance. All certificates of insurance shall clearly state that all applicable requirements have been satisfied. The certificates shall provide that any company issuing an insurance policy shall provide to City not less than thirty (30) days advance notice in writing of cancellation, non-renewal, or material change in the policy of insurance. In addition, Provider and insurance company shall immediately 10
  • 64.
    provide written noticeto City’s Risk Manager upon receipt of notice of cancellation of any insurance policy, or of a decision to terminate or alter any insurance policy. Copies of required endorsements will be attached to the certificates to confirm the required endorsements are in effect. Certificates of insurance and notices of cancellations, terminations, or alterations shall be furnished to City’s Risk Manager at City Hall, 72 W. Beauregard Ave., San Angelo, Texas 76903. e) Provider’s Liability. The procurement of such policy of insurance shall not be construed to be a limitation upon Provider’s liability or as a full performance on its part of the indemnification provisions of this Agreement. Provider’s obligations are, notwithstanding any policy of insurance, for the full and total amount of any damage, injury or loss caused by or attributable to its activities conducted at or upon the premises. Failure of Provider to maintain adequate coverage shall not relieve Provider of any contractual responsibility or obligation. f) Sub-providers’ Insurance. Provider shall cause each Sub-Provider and Sub-Sub-Provider of Provider to purchase and maintain insurance of the types and in the amounts specified below. Provider shall require Sub-providers and Sub-Sub-Providers to furnish copies of certificates of insurance to Provider’s Risk Manager evidencing coverage for each Sub-Provider and Sub-Sub-Provider. 2. TYPES AND AMOUNTS OF INSURANCE REQUIRED. Provider shall obtain and continuously maintain in effect at all times during the term hereof, at Provider’s sole expense, insurance coverage as follows with limits not less than those set forth below: a) Commercial General Liability. This policy shall be an occurrence-type policy and shall protect provider and additional insureds against all claims arising from bodily injury, sickness, disease or death of any person (other than provider’s employees) and damage to property of city or others arising out of the act or omission of provider or its agents and employees. This policy shall also include protection against claims for the contractual liability assumed by Provider under the paragraph of this Agreement entitled “Indemnification,” including completed operations, products liability, contractual coverage, broad form property coverage, explosion, collapse, underground, 11
  • 65.
    premises/operations, and independentproviders (to remain in force for two years after final payment). Coverage limits shall not be less than: $ 1,000,000.00 General Aggregate $ 500,000.00 Products – Completed Operations $ 500,000.00 Personal & Advertising Injury $ 500,000.00 Each Occurrence $ 100,000.00 Fire Damage (any one fire) b) Business Automobile Liability. This policy shall be written in comprehensive form and shall protect Provider and the additional insureds against all claims for injuries to members of the public and damage to property of others arising from the use of motor vehicles and shall cover operation on and off the premises of all motor vehicles licensed for highway use, whether they are owned, non-owned or hired. Coverage shall be as follows: $ 500,000.00 Each Accident Limit c) Workers’ Compensation and Employer’s Liability. If Provider hires any employees, Provider shall maintain Workers’ Compensation and Employer’s Liability insurance, which shall protect provider against all claims under applicable state workers’ compensation laws and employer’s liability. The insured shall also be protected against claim for injury, disease or death of employees which for any reason, may not fall within the provisions of a workers’ compensation law. Coverage shall not be less than: Statutory Amount Workers’ Compensation $ 500,000.00 Employer’s Liability, Each Accident $ 500,000.00 Employer’s Liability, Disease - Each Employee $ 500,000.00 Employer’s Liability, Disease – Policy Limit The foregoing requirement will not be applicable if, and so long as, Provider qualifies as a self-insurer under the rules and regulations of the commission or agency administering the workers’ compensation program in Texas and furnishes evidence of such qualification to City in accordance with the notice provisions of this Agreement. 12
  • 66.
    If Provider usescontract labor, Provider shall require its sub-provider to maintain the above referenced coverage and furnish copies of certificates of insurance as required herein. 18. NONDISCRIMINATION: Provider represents and warrants to City that Provider does not and will not engage in discriminatory practices and that there shall be no discrimination in connection with Provider’s performance under this Agreement on account of race, color, sex, religion, age, handicap, marital status or national origin. Provider further covenants that no otherwise qualified individual shall, solely by reason of his/her race, color, sex, religion, age, handicap, marital status or national origin, be excluded from participation in, be denied services, or be subject to discrimination under any provision of this Agreement. 19. VERIFICATION OF EMPLOYMENT ELIGIBILITY: Provider must comply with the Immigration Reform and Control Act (IRCA) and may not knowingly obtain labor or services of an unauthorized alien. Provider -- not City -- must verify eligibility for employment as required by IRCA. 20. INDEBTEDNESS TO CITY: Provider agrees that no payments owed by him, of any nature whatsoever, to the City, including payment in advance for service charges or any sums of any character whatsoever, shall become delinquent or in arrears. 21. ASSIGNMENT: This Agreement shall not be assigned by Provider, in whole or in part, without the prior written consent of City, which may be withheld or conditioned, in City’s sole discretion. 22. NOTICES: All notices or other communications required under this Agreement shall be in writing and shall be given by hand-delivery or by registered or certified U.S. Mail, return receipt requested, addressed to the other party at the address indicated herein or to such other 13
  • 67.
    address as aparty may designate by notice given as herein provided. Notice shall be deemed given on the day on which personally delivered; or, if by mail, on the fifth day after being posted or the date of actual receipt, whichever is earlier. TO CITY: TO PROVIDER: City of San Angelo Varsity Contractors, Inc. Attn: Ron Lewis Attn: Michael Franssen 72 West College Avenue 1901 Austin Street San Angelo, Texas 76903 San Angelo, Texas 76903 Phone: (325)481-2773 Phone: (281) 896-7773 Email: ron.lewis@sanangelotexas.us Email: mfranssen@varsityfs.com 23. MISCELLANEOUS PROVISIONS: A. This Agreement shall be construed and enforced according to the laws of the State of Texas. B. Title and paragraph headings are for convenient reference and are not a part of this Agreement. C. No waiver or breach of any provision of this Agreement shall constitute a waiver of any subsequent breach of the same or any other provision hereof, and no waiver shall be effective, unless made in writing. D. Should any provision, paragraph, sentence, word or phrase contained in this Agreement be determined by a court of competent jurisdiction to be invalid, illegal or otherwise unenforceable under the laws of the State of Texas or City of San Angelo, such provision, paragraph, sentence, word or phrase shall be deemed modified to the extent necessary in order to conform with such laws, or if not modifiable, then same shall be deemed severable, and in either event, the remaining terms and provisions of this Agreement shall remain unmodified and in full force and effect or limitation of its use. 14
  • 68.
    E. This Agreement constitutes the sole and entire agreement between the parties hereto. No modification or amendment hereto shall be valid unless in writing and executed by properly authorized representatives of the parties hereto. 24. SUCCESSORS AND ASSIGNS: This Agreement shall be binding upon the parties hereto, their heirs, executors, legal representatives, successors, or assigns. 25. INDEPENDENT PROVIDER: Provider has been procured and is being engaged to provide services to City as an independent provider, and not as an agent or employee of City. Accordingly, Provider shall not attain, nor be entitled to, any rights or benefits under the Civil Service or Pension Ordinances of City, nor any rights generally afforded classified or unclassified employees. Provider further understands that Texas Workers’ Compensation benefits available to employees of City are not available to Provider, and agrees to provide workers’ compensation insurance for any employee or agent of Provider rendering services to City under this Agreement. 26. HISTORICALLY UNDERUTILIZED BUSINESSES PROCUREMENT PROGRAM: City has established a Historically Underutilized Businesses Procurement Program (“HUB Program”) designed to increase the volume of City procurement and agreements with minorities and women-owned businesses. Provider understand and agrees that City shall have the right to terminate and cancel this Agreement, without notice or penalty to City, and to eliminate Provider from consideration and participation in future City contracts if Provider, in the preparation and/or submission of the Proposal, submitted false or misleading information as to its status as a minority and/or a woman-owned business and/or the quality and/or type of minority or woman-owned business participation. 15
  • 69.
    27. AMENDMENTS: City or Provider may amend this Contract at any time provided that such amendments make specific reference to this Contract, and are executed in writing, signed by a duly authorized representative of City and Provider, and approved by City. Such amendments shall not invalidate this Contract, nor relieve or release City or Provider from their respective obligations under this Contract. 28. CONTINGENCY CLAUSE: Funding for this Agreement is contingent on the availability of funds and continued authorization for program activities and the Agreement is subject to amendment or termination due to lack of funds, reduction of funds and/or change in regulations, upon thirty (30) days notice. 29. REAFFIRMATION OF REPRESENTATIONS: Provider hereby reaffirms all of the representations contained in this Agreement, and included in Exhibit “A” attached hereto and made a part thereof. Contractor herby reaffirms all of the representations contained in RFB No.CFM-02-13 30. DOCUMENTS OF INCORPORATION: This Agreement is expressly made subject to all attachments hereto, to all of the attachments, provisions, requirements, federal, state and local laws, rules and regulations as of the effective date herein, and to any and all requirements, whether federal, state or local, verbal or written, placed upon City. The foregoing is hereby made a part of this Agreement and incorporated herein by reference as if fully set out herein. 31. ENTIRE AGREEMENT: This instrument and its attachments constitute the sole and only agreement of the parties relating to the subject matter hereof and correctly set forth the rights, duties, and obligations of each to the other as of its date. Any prior agreements, promises, negotiations, or representations not expressly set forth in this Agreement are of no force or effect. 16
  • 70.
    32. COUNTERPARTS: This Agreement may be executed in two or more counterparts, each of which shall constitute an original but all of which, when taken together, shall constitute one and the same agreement. 17
  • 71.
    NOW, THEREFORE, inconsideration of the mutual covenants and promises herein contained, Provider and City agree as follows: “City” CITY OF SAN ANGELO, a municipal corporation ATTEST: _________________________ By:______________________________ Alicia Ramirez, City Clerk Daniel Valenzuela, City Manager “Provider” VARSITY CONTRACTORS, INC. By:_________________________________ Michael Franssen, Texas District Manager ATTEST: _________________, Secretary 18
  • 72.
  • 73.
  • 74.
    SERVICES AGREEMENT BETWEEN CITY OF SAN ANGELO, TEXAS AND VARSITY CONTRACTORS, INC. RFB No. CFM-02-13 APPROVED AS TO FORM AND APPROVED AS TO INSURANCE CORRECTNESS: REQUIREMENTS: ______________________________ __________________________________ Lysia H. Bowling City Attorney John Seaton, Risk Manager APPROVED AS TO CONTENT: APPROVED AS TO CONTENT: ______________________________ _____________________________________ Roger Banks, Purchasing Manager Ron Lewis, Facilities/Maintenance Manager 21
  • 75.
    City of SanAngelo Memo Date: March 13, 2013 To: Mayor and Council Members From: Ron Lewis, Construction and Facilities Maintenance Subject: Agenda Item for April 2, 2013 Council Meeting Contact: Ron Lewis, 481.2773 Caption: Consent Adoption of a resolution awarding a contract for Janitorial Services between the City of San Angelo and ABM Janitorial Services, Varsity Contractors, and Bargley Janitorial and authorizing the Mayor and/or City Manager to execute said contract. The City of San Angelo posted RFB: CFM-02-13 on the COSA website and advertised twice in the San Angelo Standard Times Newspaper, and directly Summary: notified twenty-five (25) vendors for Janitorial Services. Twenty (20) vendors were located in San Angelo. The bids were opened on Friday, February 8, 2013. Eight (8) vendors responded. The resulting best value for the City of San Angelo includes three (3) vendors to clean a total of twelve (12) COSA buildings. The initial term of the contract is for three (3) years with two (2) options to extend for a period of one (1) year each. History: Construction and Facilities Maintenance and the Purchasing Department prepared RFB: CFM-02-13 for Janitorial Services. Varsity Contractors and ABM Janitorial Services are currently providing Janitorial Services to some COSA facilities. Financial Impact: Total impact is $13,372.83 per month ($160,473.96 annually) budgeted throughout several City department accounts. Related Vision Item Financial Vision: Review contracted services on annual basis to ensure highest and best use of public funds. (if applicable): Other Information/ Staff recommends approval of the three (3) contracts with ABM Janitorial Services, Recommendation: Varsity Contractors, and Bargley Janitorial Attachments: ABM Janitorial Services: Resolution, Contract, Bid Tabs Varsity Contractors: Resolution, Contract, Bid Tabs Bargley Janitorial: Resolution, Contract, Bid Tabs Presentation: NA Publication: NA Reviewed by Rick Weise, Assistant City Manager Director: Approved by Legal: Adopted: 5/30/03 Revised: 6/21/10
  • 76.
    A RESOLUTION OFTHE CITY OF SAN ANGELO FOR CITY COUNCIL TO AWARD RFB NO. CFM-02-13 CONSTRUCTION AND FACILITIES MANAGEMENT JANITORIAL SERVICES TO ABM JANITORIAL SERVICE - SOUTH CENTRAL, INCORPORATED AND TO AUTHORIZE THE CITY MANAGER TO EXECUTE A SERVICES AGREEMENT, AND RELATED DOCUMENTS, BETWEEN THE CITY OF SAN ANGELO AND ABM JANITORIAL SERVICE - SOUTH CENTRAL, INCORPORATED IN ACCORDANCE WITH SAID BID AWARD; AND PROVIDING FOR AN EFFECTIVE DATE. WHEREAS, the City of San Angelo issued a Request for Bid RFB No. CFM-02-13 Construction & Facilities Management Janitorial Services for the provision of professional janitorial services at various city facilities; and, WHEREAS, ABM Janitorial Service - South Central, Incorporated’s bid, in response thereto, has been selected as the most qualified proposal for the provision of such janitorial services. NOW THEREFORE BE IT RESOLVED BY THE CITY COUNCIL OF THE CITY OF SAN ANGELO, TEXAS THAT: The City Council hereby awards RFB No. CFM-01-13 Construction & Facilities Management Janitorial Services to ABM Janitorial Service - South Central, Incorporated for the provision of professional janitorial services at various city facilities and authorizes the City Manager to execute a services agreement, and any related documents, between the City of San Angelo and ABM Janitorial Service - South Central, Incorporated in accordance with said bid award. PASSED, APPROVED, and ADOPTED on this the ____ day of ___________________, 2013. CITY OF SAN ANGELO By: ________________________ Alvin New, Mayor ATTEST: Alicia Ramirez, City Clerk
  • 77.
    Approved as toContent: Approved as to Form: __________________________ __________________________ Ron Lewis, Facilities/Maintenance Lysia H. Bowling, City Attorney Manager
  • 78.
    Building Description Base Bid 1 Accounting $160.00 ABM 2 Business Resource Center 3 City Hall 4 Community Development Building 5 Construction & Facilities Maintenance Shop $75.00 ABM 6 Emergency Operations Center 7 Traffic Operations Shop ABM $75.00 8 Utility Maintenance Shop $175.00 ABM 9 Water Billing $647.92 ABM 10 Water Quality Lab Shop $75.00 Subtotal Items 1-10 $1,207.92 11 Ralph Chase State Building 12 Texas Workforce Commission Subtotal Items 11-12
  • 79.
    A RESOLUTION OFTHE CITY OF SAN ANGELO FOR CITY COUNCIL TO AWARD RFB NO. CFM-02-13 CONSTRUCTION AND FACILITIES MANAGEMENT JANITORIAL SERVICES TO DONNA BARGLEY AND CURTIS E. BARGLEY D/B/A BARGLEY JANITORIAL SERVICES AND TO AUTHORIZE THE CITY MANAGER TO EXECUTE A SERVICES AGREEMENT, AND RELATED DOCUMENTS, BETWEEN THE CITY OF SAN ANGELO AND DONNA BARGLEY AND CURTIS E. BARGLEY D/B/A BARGLEY JANITORIAL SERVICES IN ACCORDANCE WITH SAID BID AWARD; AND PROVIDING FOR AN EFFECTIVE DATE. WHEREAS, the City of San Angelo issued a Request for Bid RFB No. CFM-02-13 Construction & Facilities Management Janitorial Services for the provision of professional janitorial services at various city facilities; and, WHEREAS, Donna Bargley and Curtis E. Bargley d/b/a Bargley Janitorial Services’ bid, in response thereto, has been selected as the most qualified proposal for the provision of such janitorial services. NOW THEREFORE BE IT RESOLVED BY THE CITY COUNCIL OF THE CITY OF SAN ANGELO, TEXAS THAT: The City Council hereby awards RFB No. CFM-01-13 Construction & Facilities Management Janitorial Services to Donna Bargley and Curtis E. Bargley d/b/a Bargley Janitorial Services for the provision of professional janitorial services at various city facilities and authorizes the City Manager to execute a services agreement, and any related documents, between the City of San Angelo and Donna Bargley and Curtis E. Bargley d/b/a Bargley Janitorial Services in accordance with said bid award. PASSED, APPROVED, and ADOPTED on this the ____ day of ___________________, 2013. CITY OF SAN ANGELO By: ________________________ Alvin New, Mayor ATTEST: Alicia Ramirez, City Clerk
  • 80.
    Approved as toContent: Approved as to Form: __________________________ __________________________ Ron Lewis, Facilities/Maintenance Lysia H. Bowling, City Attorney Manager
  • 81.
    Building Description Base Bid 1 Accounting 2 Business Resource Center 3 City Hall 4 Community Development Building 5 Construction & Facilities Maintenance Shop 6 Emergency Operations Center 7 Traffic Operations Shop 8 Utility Maintenance Shop 9 Water Billing 10 Water Quality Lab Shop Subtotal Items 1-10 11 Ralph Chase State Building $4,500.00 Bargely 12 Texas Workforce Commission $3,500.00 Bargely Subtotal Items 11-12 $8,000.00
  • 82.
    A RESOLUTION OFTHE CITY OF SAN ANGELO FOR CITY COUNCIL TO AWARD RFB NO. CFM-02-13 CONSTRUCTION AND FACILITIES MANAGEMENT JANITORIAL SERVICES TO VARSITY CONTRACTORS, INCORPORATED AND TO AUTHORIZE THE CITY MANAGER TO EXECUTE A JANITORIAL SERVICES AGREEMENT, AND RELATED DOCUMENTS, BETWEEN THE CITY OF SAN ANGELO AND VARSITY CONTRACTORS, INCORPORATED IN ACCORDANCE WITH SAID BID AWARD; AND PROVIDING FOR AN EFFECTIVE DATE. WHEREAS, the City of San Angelo issued a Request for Bid RFB No. CFM-02-13 Construction & Facilities Management Janitorial Services for the provision of professional janitorial services at various city facilities; and, WHEREAS, Varsity Contractors, Incorporated’s bid, in response thereto, has been selected as the most qualified proposal for the provision of such pest control services. NOW THEREFORE BE IT RESOLVED BY THE CITY COUNCIL OF THE CITY OF SAN ANGELO, TEXAS THAT: The City Council hereby awards RFB No. CFM-01-13 Construction & Facilities Management Janitorial Service to Varsity Contractors, Incorporated for the provision of janitorial services at various city facilities and authorizes the City Manager to execute a services agreement, and any related documents, between the City of San Angelo and Varsity Contractors, Incorporated in accordance with said bid award. PASSED, APPROVED, and ADOPTED on this the ____ day of ___________________, 2013. CITY OF SAN ANGELO By: ________________________ Alvin New, Mayor ATTEST: Alicia Ramirez, City Clerk
  • 83.
    Approved as toContent: Approved as to Form: __________________________ __________________________ Ron Lewis, Facilities/Maintenance Lysia H. Bowling, City Attorney Manager
  • 84.
    Building Description Base Bid Alternate Bid 1 2 Business Resource Center $628.71 Varsity 3 City Hall $1,819.63 Varsity 4 Community Development Building $1,143.75 Varsity 5 6 Emergency Operations Center 572.82 Varsity 7 8 9 10 Subtotal Items 1-10 $2,963.38 $1,201.53 $4,164.91 11 12 Subtotal Items 11-12 Total Item 1-12
  • 175.
    City of SanAngelo Memo Date: March 26, 2013 To: Mayor and Councilmembers From: Ricky Dickson, Water Utilities Director Subject: Agenda Item for April 16, 2013 Council Meeting Contact: Ricky Dickson, Water Utilities Director, 657-4209 Caption: Consent Item Consideration of authorizing the sale of the following residential properties for the appraised value and authorizing the Mayor, City Manager, or Water Utilities Director to execute all necessary legal documents pertaining to the sale of subject properties, subject to completion of all curative requirements. Summary: Michael and Nancy Benetich 2810 Red Bluff Road Lot 18, Group Red Bluff $91,800 Bill and Mary Butts 2165 Gun Club Road Lot 10, Group 10 $88,000 History: None. Financial Impact: Proceeds from the sale of lake lots go into the Lake Nasworthy Trust Fund. Related Vision Item (if applicable): None. Other Information/Recommendation: If the sales are approved at the appraised value, a title examination will be performed and legal staff will prepare a Real Estate Contract of Sale, Special Warranty Deed and Surrender of Lease, as previously approved by City Council. Staff recommends approval. Attachments: Appraisal Reports (Benetich); (Butts) Presentation: None. Publication: None. Reviewed by Service Area Director: Ricky Dickson, Water Utilities Director, March 26, 2013
  • 176.
    City of SanAngelo Memo Date: March 26, 2013 To: Mayor and Councilmembers From: Cindy M. Preas, Real Estate Administrator (657-4407) Subject: Agenda Item for April 16, 2013 Council Meeting Contact: Diana Farris, Property Specialist (657-4407) Caption: Consent Item Consideration of adopting a Resolution of the City of San Angelo authorizing the mayor to execute a Special Warranty Deed conveying all right, title and interest of the City of San Angelo: 108 Arlington Street, (Gonzalez), Lots 10 & 11 SAVE & EXCEPT N 65’ & S 20’ , W.E. Phillips, $2,000 Summary: A Request for Bids (RFB: PRO-06-12) was advertised for three (3) consecutive weeks and was mailed to six (6) potential bidders for the subject property. RFB Submittal Deadline was September 14, 2012. No bids were received. History: The City acquired the subject property on October 24, 1957. The City has no future plans for the subject property, and is deemed as excess property. The City has received a reasonable offer from Carlos Gonzalez in the amount of $2,000 for the purchase of the subject property. Financial Impact: Upon approval: Property will be reinstated back onto tax roll. Related Vision Item Financial Vision – Examine liquidation of unused or underperforming city-owned properties (if applicable): Neighborhood Vision – Attract reinvestment Other Information/ Staff recommends approval. Recommendation: Attachments: Resolution, Property Analysis, Special Warranty Deed and Property Location Map Presentation: N/A Publication: N/A Reviewed by Lysia H. Bowling, City Attorney Director: Approved by Legal: Adopted: 5/30/03 Revised: 6/21/10
  • 177.
    A RESOLUTION OFTHE CITY OF SAN ANGELO AUTHORIZING THE MAYOR TO EXECUTE A SPECIAL WARRANTY DEED CONVEYING ALL RIGHT, TITLE AND INTEREST OF THE CITY OF SAN ANGELO WHEREAS, the property described below was acquired on October 24, 1957 from W.E. Phillips as a part of the consideration to connect the black-top paving on Arlington Street to the paving on Paint Rock Road; and WHEREAS, the City has no future plans for the subject property and is now deemed as excess property; and WHEREAS, on July 5, 2012, an appraisal was prepared by Stribling-Probandt Appraisals. The fee simple market value of the subject property was $4,000; and WHEREAS, on September 14, 2012, no bids were received for a Request for Bids: PRO-06-12; and WHEREAS, the City has received a reasonable offer from Carlos Gonzalez in the amount of $2,000 for the purchase of the subject property; and NOW THEREFORE BE IT RESOLVED BY THE CITY COUNCIL OF THE CITY OF SAN ANGELO that its Mayor, Alvin New, is hereby authorized to execute a Special Warranty Deed conveying the following described real property to the following as specified below, all of the right, title, and interest of the City of San Angelo, located in San Angelo, Tom Green County, Texas: Conveying to: CARLOS GONZALEZ, a single person; ($2,000): All of Lots 10 and 11 of the W.E. Phillips Addition to the City of San Angelo, Tom Green County, Texas, except the North 65 feet of said Lots 10 and 11 and the South 20 feet of said lots. Account #21-38700-0000-013-00 APPROVED AND ADOPTED ON THE DAY OF , 2013. THE CITY OF SAN ANGELO _______________________________ Alvin New, Mayor Attest: ______________________________ Alicia Ramirez, City Clerk Approved As to Content: Approved As to Form: ______________________________ ______________________________ Cindy M. Preas, Real Estate Administrator Lysia H. Bowling, City Attorney
  • 178.
    NOTICE OF CONFIDENTIALITYRIGHTS: If you are a natural person, you may remove or strike any or all of the following information from this instrument before it is filed for record in the public records: your social security number or your driver’s license number. SPECIAL WARRANTY DEED Date: __________________ Grantor: CITY OF SAN ANGELO, a Texas home-rule municipal corporation 72 West College Avenue San Angelo, Tom Green County, Texas 76903 Grantee: CARLOS GONZALEZ, a single person 725 Amberton Parkway San Angelo, Tom Green County, Texas 76901 Consideration: Ten and No/100 Dollars ($10.00) and other good and valuable consideration Property (including any improvements): All of Lots 10 and 11 of the W.E. Phillips Addition to the City of San Angelo, Tom Green County, Texas, except the North 65 feet of said Lots 10 and 11 and the South 20 feet of said lots. Account #21-38700-0000-013-00 Reservations from Conveyance: This conveyance is subject to easements, rights-of-way, and prescriptive rights, whether of record or not; all presently recorded restrictions, reservations, covenants, conditions, oil and gas leases, mineral severances, and other instruments, other than liens and conveyances, that affect the Property; validly existing rights of adjoining owners in any walls and fences situated on a common boundary; any discrepancies, conflicts, or shortages in area or boundary lines; any encroachments or overlapping of improvements; and taxes for 2013, the payment of which Grantee assumes. Exceptions to Conveyance and Warranty: For the consideration, Grantor – acting by and through its Mayor, who has been duly authorized to execute this instrument on Grantor’s behalf by resolution and order of Grantor’s City Council recorded in the City Council’s official minutes – hereby conveys to Grantee the Property, together with all Grantor’s right, title, appurtenances and interest in and to the Property, subject to the Reservations from Conveyance and the Exceptions to Conveyance and Warranty, grants, sells, and conveys the Property, to have and to hold it to Grantee and Grantee’s heirs, successors, and assigns forever. Grantor hereby binds Grantor and Grantor’s heirs and successors to warrant and forever defend all and singular the Property to Grantee and Grantee’s heirs, successors, and assigns against every person whomsoever lawfully claiming or to claim the same or any part thereof, except as to the Reservations from Conveyance and the Exceptions to
  • 179.
    Conveyance and Warranty. When the context requires, singular nouns and pronouns include the plural. GRANTOR: CITY OF SAN ANGELO, ATTEST: ____________________________ Alvin New, Mayor ____________________________ Alicia Ramirez, City Clerk STATE OF TEXAS § § COUNTY OF TOM GREEN § This instrument was acknowledged before me on _____________________, 2013, by Alvin New, as Mayor of the City of San Angelo, a Texas home-rule municipal corporation, on behalf of said corporation. __________________________________ Notary Public, State of Texas After Recording, Return To:
  • 180.
    108 Arlington Street, Lots 10 & 11 S /E N 65' of S 20' , W.E. Phillips Addition March 7, 2013 1:2,699 0 0.0225 0.045 0.09 mi City Address Points County Address Points Platted Lot Line L abels 0 0.035 0.07 0.14 km Pending City Addresses Pending County Addresses Platted Lot Lines Retired City Addresse s Retired County Addresses City Pa rcel Popups Transparen t
  • 181.
    CITY OF SANANGELO BID TABULATION * RFB NO: PRO-06-12/Sale of Tax Foreclosed Property * September 14, 2012 Property 1: Lots 10 & 11, SAVE & EXCEPT the North 65’ and South 20’, W.E. Phillips Addition, 108 Arlington St Property 1: 108 Arlington Street Bid Security Bid Bidders $500.00 Min $4,500 Rank 1 No Bids Received $ - 1 2 3 4 5 6 7 8 9 10 Bid Packages Mailed To: San Angelo Realtors Association San Angelo, TX Mr. P. Gilbert Gallegos San Angelo, TX Mr. Miguel Duran San Angelo, TX Mr. Lee Robles San Angelo, TX Mr. Kenneth Barrows San Angelo, TX Mr. Marshal Gray San Angelo, TX Y:Real Estate DivisionPropertyAGENDA APR 16, 2013108 Arlington Street, (Gonzalez), Lots 10 & 11, Phillips, $2,000 - City Owned PropertyBid Tab
  • 182.
    CITY OF SANANGELO REQUEST FOR BID RFP No: PRO-06-12 Real Estate Division Lots 10 & 11, SAVE & EXCEPT the North 65’ and South 20’, W.E. Phillips Addition 108 Arlington Street Zoned – RS-1 RFB Submittal Deadline September 13, 2012/2:00 PM, Local Time City of San Angelo 72 West College Avenue San Angelo, Texas 76903
  • 185.
    TABLE OF CONTENTS This Table of Contents is intended as an aid and not as a comprehensive listing of the proposal package. Bidders are responsible for reading the entire proposal package and complying with all specifications. Section Page REQUEST FOR BID ........................................................................................................................................... 1 GENERAL......................................................................................................................................................................1 DOCUMENT AVAILABILITY................................................................................................................................................1 DIGITAL FORMAT ...........................................................................................................................................................1 DISQUALIFICATION .........................................................................................................................................................1 REQUIRED RESPONSE......................................................................................................................................................1 NO BID INSTRUCTIONS ....................................................................................................................................................1 INTERPRETATIONS ..........................................................................................................................................................1 ADDENDA.....................................................................................................................................................................2 CONFIDENTIALITY ...........................................................................................................................................................2 AWARD OF CONTRACT ....................................................................................................................................................2 ACCEPTANCE OF PROPOSAL CONTENT ................................................................................................................................2 COPIES OF BID TABULATION RESULTS ................................................................................................................................2 DEADLINE AND DELIVERY LOCATION ......................................................................................................... 3 DEADLINE.....................................................................................................................................................................3 COPIES.........................................................................................................................................................................3 FAXED/ELECTRONIC BIDS ................................................................................................................................................3 SEALED ENVELOPE ADDRESSING .......................................................................................................................................3 DELIVERY ENVELOPE/CONTAINER ADDRESSING ...................................................................................................................3 DELIVERY SERVICE ADDRESSES USPS ADDRESS ..............................................................................................................3 POINTS OF CONTACT ......................................................................................................................................................3 INSTRUCTIONS .................................................................................................................................................. 5 PROPOSAL/BID INTERPRETATION ......................................................................................................................................5 BID ITEM ......................................................................................................................................................................5 SALE “AS IS”.................................................................................................................................................................5 BID SECURITY ................................................................................................................................................................5 DEFAULT IN PURCHASE ...................................................................................................................................................6 COMMISSIONS ..............................................................................................................................................................6 EXECUTION OF SALES CONTRACT ......................................................................................................................................6 CORRECTIONS, ADDITIONS, OR DELETIONS..........................................................................................................................5 AUTHORIZED SIGNATURE.................................................................................................................................................5 MODIFICATION OR WITHDRAWAL OF BIDS..........................................................................................................................5 CONTINGENCY...............................................................................................................................................................5 DELIVERY DATE .............................................................................................................................................................5 RESERVATIONS ..............................................................................................................................................................6 SUBMISSION OF BIDS ......................................................................................................................................................6 LATE BIDS ....................................................................................................................................................................6 ACCEPTANCE.................................................................................................................................................................6 TERMS AND CONDITIONS ............................................................................................................................... 7 TITLE ...........................................................................................................................................................................7 TITLE POLICY .................................................................................................................................................................7 ii
  • 186.
    UTILITIES ......................................................................................................................................................................7 INVOICES & PAYMENTS ...................................................................................................................................................7 GRATUITIES ..................................................................................................................................................................7 WARRANTY-PRICE .........................................................................................................................................................7 NO WARRANTY BY CITY AGAINST INFRINGEMENTS ...............................................................................................................7 RIGHT OF INSPECTION .....................................................................................................................................................7 CANCELLATION ..............................................................................................................................................................7 ASSIGNMENT-DELEGATION ..............................................................................................................................................7 WAIVER .......................................................................................................................................................................8 MODIFICATIONS ............................................................................................................................................................8 APPLICABLE LAW ...........................................................................................................................................................8 ADVERTISING ................................................................................................................................................................8 CONFLICT OF INTEREST ...................................................................................................................................................8 LEGAL VENUE................................................................................................................................................................8 AWARD CRITERIA ...........................................................................................................................................................8 MAP ...................................................................................................................................................................... 9 FACT SHEET .................................................................................................................................................... 11 SAMPLE SALES CONTRACT ........................................................................................................................ 13 BID FORMS ....................................................................................................................................................... 19 DISCLOSURE OF CERTAIN RELATIONSHIPS..........................................................................................................................21 DEBARMENT AND SUSPENSION CERTIFICATION ..................................................................................................................25 ADDENDUM ACKNOWLEDGMENT....................................................................................................................................27 BID SHEET ..................................................................................................................................................................29
  • 188.
    CITY OF SANANGELO PURCHASING DEPARTMENT 72 West College Avenue, San Angelo, Texas 76903 Tel: (325) 657-4219 or 657-4220 REQUEST FOR BID General The City of San Angelo, Real Estate Division is accepting bids for the sale of Lots 10 & 11, SAVE & EXCEPT the North 65’ and South 20’, W.E. Phillips Addition, San Angelo, Tom Green County, Texas; located at 108 Arlington Street. This property is a SINGLE-FAMILY RESIDENCE (RS-1) ZONING DISTRICT. Document Availability Bid Documents are available in the Purchasing Department at the address listed below, or may be downloaded at the City’s website at www.sanangelotexas.us. To locate the documents on the website go to: • City Departments • Purchasing • Bid Opportunities Digital Format If Respondents obtained the bid specifications in digital format in order to prepare a proposal, the bid must be submitted in hard copy according to the instructions contained in this bid package. If, in its bid response, Respondents makes any changes whatsoever to the published bid specifications, the bid specification as published shall control. Furthermore, if an alteration of any kind to the bid specification is discovered after the contract is executed and is or is not being performed; the contract is subject to immediate cancellation without recourse. Disqualification The Respondent may be disqualified for any of the following reasons: • The Respondent is involved in any litigation against the City of San Angelo; • The Respondent is in arrears on any existing contract or has defaulted on a previous contract with the City; • The Respondent is debarred, suspended, or otherwise excluded from or ineligible for participation in State or Federal assistance programs. Required Response The City requires a response to any RFB’s mailed to potential Respondents. Should a company receive an RFB, but choose not to bid on the project, then in order to remain on the City of San Angelo’s Potential Bidders List you must submit a “No Bid”. No Bid Instructions To submit a No Bid, complete the Bid Sheet by entering “No Bid” on Line Item 1, complete the Contact Information section, and mail the Bid Sheet pages before the deadline. Firms that do not respond will be removed from the bidders list. Interpretations All questions about the meaning or intent of the Contract Documents, including specifications shall be submitted to Purchasing Division in writing. Replies will be issued by Addenda posted on the Purchasing Department page of the City’s website Questions received less than ten (10) days prior to the date for opening of Bids will not be answered. Only questions answered by formal written Addenda will be binding. Oral interpretations or clarifications will be without legal effect. All addenda will be published on the City’s website. It is the Respondents responsibility to consider all addendums prior to submitting a bid. RFB: PRO-06-12/108 Arlington Street Page 1
  • 189.
    Addenda Should specifications be revised prior to the deadline for submittals, the City’s Purchasing Division will issue an addendum addressing the nature of the change. Respondents must acknowledge the addendums and include the form in the returned proposal package. Confidentiality All bids submitted shall remain confidential. After award, proposals will be made available for public inspection. The City shall not be responsible for the confidentiality of any trade secrets or other information contained or disclosed in the proposal unless clearly identified as such. Award of Contract The City reserves the right to accept or reject any or all bids, and to waive any informalities or irregularities in the RFB process. The City is an equal opportunity employer. Acceptance of Proposal Content Before submitting a proposal, each Respondent shall make all investigations and examinations necessary to ascertain all conditions and requirements affecting the performance of the contract and to verify any representations made by the City upon which the proposal will rely. If the Respondent receives an award, failure to have made such investigation and examinations will in no way relieve the Respondent from his obligation to comply in every detail with all provisions and requirements. Copies of Bid Tabulation Results For a copy of the Bid Tabulation results, send a self-addressed stamped envelope to: Purchasing Department, City of San Angelo, 72 West College Avenue, San Angelo, Texas 76903 or email roger.banks@sanangelotexas.us. RFB: PRO-06-12/108 Arlington Street Page 2
  • 190.
    CITY OF SANANGELO PURCHASING DEPARTMENT 72 West College Avenue, San Angelo, Texas 76903 Tel: (325) 657-4219 or 657-4220 DEADLINE AND DELIVERY LOCATION Deadline Sealed Request for Bids (RFB) submittals must be received and time stamped on or before September 13, 2012, 2:00 PM, Local Time. The clock located in Purchasing will be the official time. Bids not received on time will be rejected It is the sole responsibility of the Respondent to ensure that the sealed submittal arrives at the above location by the specified deadline regardless of method chosen by the firm for delivery. Copies • One (1) unbound original of all required submission forms • One (1) electronic copy in PDF format on CD or USB Flash Drive of all requested submissions forms • One (1) complete bound copy of all submission forms (staples or binder clips are acceptable). Faxed/Electronic Bids Faxed or electronically transmitted RFB submittals will not be accepted. Sealed Envelope Addressing Lower left-hand corner: “RFB No. PRO-06-12/108 Arlington Street” Top Left-hand Corner: Bidders Name and Address Delivery Envelope/Container Addressing Mark delivery envelope “Sealed RFB Enclosed” Delivery Service Addresses USPS Address City of San Angelo City of San Angelo Purchasing Division, RFB: PRO-06-12 Purchasing Division, RFB: PRO-06-12 72 W College Avenue 72 W College Avenue, Suite 314 San Angelo, Texas 76903 San Angelo, Texas 76903 Points of Contact Roger Banks, Division Manager Diana Farris, Property Specialist Purchasing Department Real Estate Division City of San Angelo City of San Angelo 72 W College Avenue 72 W College Avenue San Angelo Texas, 76903 San Angelo Texas, 76903 Email: roger.banks@sanangelotexas.us Email: diana.farris@sanangelotexas.us Telephone: (325) 657-4220 Telephone: (325) 657-4212 RFB: PRO-06-12/108 Arlington Street Page 3
  • 191.
    Intentionally Left Blank RFB:PRO-06-12/108 Arlington Street Page 4
  • 192.
    CITY OF SANANGELO PURCHASING DEPARTMENT 72 West College Avenue, San Angelo, Texas 76903 Tel: (325) 657-4219 or 657-4220 INSTRUCTIONS Bid Item Respondent is expected to examine all specifications herein and responsible for the inspection of the property and should satisfy themselves of exact location of the property. It is the Respondent’s responsibility for inspections, zoning, environmental assessments, engineering studies, mechanical inspections, pest control, etc. Such inspections will be at the expense of the Respondent. FAILURE to do so will be at the Respondent‘s risk. Sale “As Is” Property will be sold “As Is”, subject to ALL easements, blanket easements, right-of-ways, covenants, conditions, zoning, restrictions, water rights and all other restrictions or conditions, including physical conditions whether recorded or not. Proposal/Bid Interpretation Any explanation desired by a Respondent regarding the meaning or interpretation of the invitation, drawings, specifications, etc. must be requested in writing seven (7) days prior to the deadline to the Purchasing Department, City of San Angelo, 72 West College Avenue, San Angelo, TX 76903 to allow sufficient time for evaluation and reply to all prospective bidders before the submission of their bids. The bid invitation number must appear on all correspondence, inquiries, etc. pertaining to the invitation. Oral explanations or instructions given before the award of the contract are not binding and do not form a part of or alter in any way, the written agreement. Corrections, Additions, or Deletions Corrections, additions, or deletions to any portion of the invitation will be in the form of a written amendment or addendum. Bid Security All bids shall include a bid security in the amount of $500.00, which will be applied toward the purchase price. Only Money Orders and Certified Checks are accepted; and are to be payable to the City of San Angelo. The bid securities will be returned to all unsuccessful Respondents within ten (10) business days of the City Council award of bid. Modification or Withdrawal of Bids Bid pricing CANNOT be altered or amended after the closing time. Bids may be modified or withdrawn prior to the closing hour and date by written notice to the Purchasing Department. A bid may also be withdrawn in person by a Respondent or his authorized agent, provided his identity is made known and he signs a receipt for the bid. No bid may be withdrawn after the closing time and date without acceptable reason in writing and with approval of the Purchasing Department. Authorized Signature Bids must show Respondent’s name, address, and be manually signed. The person signing the bid must have authority to execute contract. Any erasures or other changes must be initialed by the person signing the offer. If Respondent is married, the spouse must also sign the bid, unless the property will be purchased with separate property funds. Contingency No Contingency Contracts will be accepted. RFB: PRO-06-12/108 Arlington Street Page 5
  • 193.
    Submission of Bids Sealed bids are to be returned by the closing time and date stated in the Deadlines and Delivery Options Section. Faxed bids will not be accepted. Late Bids Bids received after the advertised closing time and date regardless of the mode of delivery will be refused and returned unopened Acceptance Acceptance of Respondent’s offer will be notified by telephone and/or mail after final approval and acceptance of its offer by the San Angelo City Council. Default in Purchase If Respondent is awarded the bid and fails to purchase the property, Respondent agrees to forfeit the Bid Security amount in addition to any amount required by the Sales Contract to the City of San Angelo. Commissions Should a Respondent solicit representation from a Real Estate Licensee (Agent), the Respondent will be responsible for payment of commissions. Execution of Sales Contract Within ten (10) business days of awarding the bid, Respondent will execute a Sales Contract in substantially form with attached hereto. Delivery of Property Delivery of property shall occur as recognized in the Sales Contract and subject to approval by City Council. Reservations The City expressly reserves the right to accept, reject, or cancel all bids AND: • Waive any defect, irregularity, or informality in any bid or bidding procedure. • Extend the bid closing time and date. • Reissue a bid invitation or proposal. • Consider and accept an alternate bid as provided herein when most advantageous to the City. • Extend any contract when most advantageous to the City. RFB: PRO-06-12/108 Arlington Street Page 6
  • 194.
    CITY OF SANANGELO PURCHASING DEPARTMENT 72 West College Avenue, San Angelo, Texas 76903 Tel: (325) 657-4219 or 657-4220 TERMS AND CONDITIONS Title Title shall not pass to Buyer until the City Special Warranty Deed is fully executed and sales price is paid to the City in full. Title Policy City will provide a Texas Owner’s Title Policy at the City’s expense. Utilities The City makes no representation as to the availability of utilities or costs associated with utilities. It is the Buyer’s responsibility to determine availability and cost of utilities. Invoices & Payments This sale is a cash sale, closed at a local title company. The City will not carry a note on this property. Gratuities The City may, by written notice to the Buyer, cancel this contract without liability to Buyer if it is determined by City that gratuities were offered from an agent or representative of the Buyer to any officer or employee of the City with a view toward securing a contract or securing favorable treatment with respect to the awarding or amending, or the making of any determinations in respect to the performing of such contract. In the event this contract is canceled by City, remedies to recover or withhold the amount of the cost shall be incurred by Buyer in providing such gratuities. Warranty-Price The Buyer warrants that no person or purchasing agency has been employed or retained to solicit or secure this contract upon an agreement or understanding for commission, percentage, brokerage, or contingent fee excepting bona fide employees of bona fide established commercial or purchasing agencies maintained by the Buyer for the purpose of securing business. For breach or violation of the warranty, the City shall have the right in addition to any other right or rights to cancel this contract without liability and to deduct from the contract price, or otherwise recover the full amount of such commission, percentage, brokerage, or contingent fee. No Warranty by City Against Infringements The City does not make any Warranties or Guaranties, expressed or otherwise, except as provided for in the Sales Contract. Right of Inspection Respondent shall have the right to inspect the property before submittal deadline. Cancellation Any cancellation Sales Contract shall be in accordance with the terms herein and the Sales Contract. Assignment-Delegation No right or interest in the Sales Contract shall be assigned nor shall any delegation of any obligation made by Buyer be valid without written permission of the City. Any attempted assignment or delegation by Buyer shall be wholly void and totally ineffective for all purposes unless made in conformity with this paragraph. RFB: PRO-06-12/108 Arlington Street Page 7
  • 195.
    Waiver No claim or right arising out of a breach of this Sales Contract can be discharged in whole or in part by a waiver or renunciation of the claim or right unless the waiver or renunciation is supported by consideration and is in writing signed by the aggrieved party. Modifications This Sales Contract can be modified or rescinded only by a writing signed by both of the parties or their duly authorized agents. Applicable Law This agreement shall be governed by all applicable laws. Advertising Buyer shall not advertise or publish, without City’s prior consent, the fact that City has entered into this contract, except to the extent necessary to comply with proper requests for information from an authorized representative of the Federal, State, or Local government. Conflict Of Interest Buyer agrees to comply with the conflict of interest provisions of the Texas State Law and City Of San Angelo Charter and Code of Ordinances. Buyer agrees to maintain current, updated disclosure of information on file with the Purchasing Department throughout the term of the Sales Contract, as applicable. Legal Venue San Angelo, Tom Green County, Texas Award Criteria The property will be awarded to the Respondent who submits the highest qualified bid. Final approval and acceptance rest with the San Angelo City Council. RFB: PRO-06-12/108 Arlington Street Page 8
  • 196.
    CITY OF SANANGELO PURCHASING DEPARTMENT 72 West College Avenue, San Angelo, Texas 76903 Tel: (325) 657-4219 or 657-4220 MAP RFB: PRO-06-12/108 Arlington Street Page 9
  • 197.
    Intentionally Left Blank RFB:PRO-06-12/108 Arlington Street Page 10
  • 198.
    CITY OF SANANGELO PURCHASING DEPARTMENT 72 West College Avenue, San Angelo, Texas 76903 Tel: (325) 657-4219 or 657-4220 FACT SHEET Property Address: 108 Arlington Street Legal Description: W.E. Phillips Addition, Lot 10 & 11 except the N. 65’ & S. 20’ (Paint Rock Road) Tax ID Number: 2138700000001300 Lot Size: 95’ (eastern lot boundary) & 53’ (western lot boundary) x 133’ Zoning: RS-1 (Single-Family Residential); allows single-family homes on minimum lots of 50’x100’. Water/Sewer Connections: Subdivision Plat: Lot Characteristics: • Vacant; • Conditional/Special Uses – No; • Variances – No; • Special Permits – No; • Historic Overlay – No; • Open Structure Overlay -Partially; • River Corridor – No; • Is a replat needed to build? Yes; For more information: Zoning/Subdivision Requirements – City of San Angelo Planning Division, 657-4210 Permit Requirements – City of San Angelo Inspections & Permits Division, 657-4420 General Development Questions – City of San Angelo Development Coordinator, 657-4210 Water Billing/Meters – City of San Angelo Water Billing Division, 657-4323 Purchasing of Tax Lots – City of San Angelo Real Estate Division, 657-4212 Ownership and Tax Information – Tom Green County Appraisal District, 658-5575 Documents of Record, including Plats – Tom Green County Clerk, Real Estate, 659-6552 NOTE: All information provided herein is based upon initial analysis of the property and is intended as a guide only; the City of San Angelo is not responsible for any error in this information or for any information concerning the property which is not included herein. Before purchasing any property, it is strongly advised to contact, at a minimum, the City and County offices listed above for the most up-to-date information. RFB: PRO-06-12/108 Arlington Street Page 11
  • 199.
    Intentionally Left Blank RFB:PRO-06-12/108 Arlington Street Page 12
  • 200.
    CITY OF SANANGELO PURCHASING DEPARTMENT 72 West College Avenue, San Angelo, Texas 76903 Tel: (325) 657-4219 or 657-4220 SAMPLE SALES CONTRACT REAL ESTATE CONTRACT OF SALE (FOR CASH SALE) THIS REAL ESTATE CONTRACT OF SALE (”Agreement”) is made by and between CITY OF SAN ANGELO, a Texas home-rule municipal corporation whose address is 72 W. College Avenue, San Angelo, Tom Green County, Texas 76903, (hereinafter “Seller”) and, _______________________________________(hereinafter "Purchaser"), upon the terms and conditions set forth in this Agreement. ARTICLE I PURCHASE AND SALE Seller agrees to sell and convey to Purchaser, and Purchaser agrees to purchase, the real property thereon, commonly known 108 ARLINGTON STREET and described as LOTS 10 & 11, SAVE & EXCEPT THE NORTH 65 FEET AND SOUTH 20 FEET OF SAID LOTS 10 & 11, W.E.PHILLIPS ADDITION (hereinafter “Property”), together with all and singular the rights and appurtenances pertaining to the property, for the consideration and upon and subject to the terms, provisions, and conditions set forth below. ARTICLE II PURCHASE PRICE 2.01 Amount of Purchase Price The purchase price for the Property shall be the sum of Dollars ($ - ___.00). 2.02 Payment of Purchase Price The full amount of the Purchase Price shall be due and payable at the closing. ARTICLE III CONDITIONS PRECEDENT TO PURCHASER'S OBLIGATIONS The obligations of Purchaser hereunder to consummate the transactions contemplated hereby are subject to the satisfaction of each of the following conditions precedent (any of which may be waived in whole or in part by Purchaser at or prior to the closing). 3.01 Preliminary Title Report Within thirty-five (35) days after the date hereof, Seller shall cause (Title Company) to issue a preliminary title report (the "Title Report") accompanied by copies of restrictive covenants and all recorded documents referred to in the Preliminary Title Opinion affecting title such as easements, rights-of-way, liens and encumbrances. Purchaser shall give Seller written notice on or before the expiration of twenty-one (21) days after Purchaser receives the Preliminary Title Report of any condition of title as set forth in the report not acceptable to Purchaser. In that event Seller may, at Seller’s option, promptly undertake to eliminate or correct all unacceptable conditions of title to the reasonable satisfaction of Purchaser. If Seller chooses not to or is unable to correct the unacceptable conditions of title within twenty-one (21) days after receipt of the written notice thereof given by Purchaser, this Agreement shall thereupon immediately become null and void for all purposes and the Escrow Deposit shall be returned by the Title Company to Purchaser. Purchaser will be deemed to have approved all conditions of title disclosed by the preliminary title report to which Purchaser has made no timely objection as herein provided. 3.02 Survey Purchaser at Purchaser’s option and expense may commission and be responsible for the expense of a survey of the Property. It is a condition precedent to Purchaser’s obligations under this Agreement that the survey not reveal a circumstance or condition relating to the Property that is unforeseen by the Purchaser. If such an unforeseen circumstance or condition is revealed by the survey, Purchaser may, at Purchaser’s option, terminate this RFB: PRO-06-12/108 Arlington Street Page 13
  • 201.
    Agreement by givingwritten notice of termination to the Seller at any time on or before the expiration of twenty-one (21) days after Purchaser receives the Preliminary Title Report as provided in paragraph 3.01 above. If Purchaser chooses not to give notice of an unforeseen circumstance or condition as provided by this paragraph, this condition precedent shall be deemed waived by the Purchaser. 3.03 Seller’s Performance Seller shall have performed, observed, and complied with all of the covenants, agreements, and conditions required by this Agreement to be performed, observed, and complied with by Seller prior to or as of the closing. ARTICLE IV REPRESENTATIONS AND WARRANTIES OF SELLER Seller represents and warrants to Purchaser, as of the closing date, as follows: (1) Seller has received no notice of pending or threatened condemnation or similar proceeding affecting the Property, nor to the knowledge of Seller is there any such proceeding contemplated by any governmental authority. (2) Seller has no knowledge of any pending or threatened claim or proceeding relating to access to the Property; (3) The property is zoned for ; Seller has no knowledge of any non-conforming use or conditional use on the subject real property occurring within the preceding twelve months. (4) There are no lawsuits, claims, attachments, executions, or other proceedings pending, or to the Seller’s knowledge, threatened, against or involving the Property; (5) Seller is not a “foreign person” as that term is defined in §1445 of the Internal Revenue Code of 1986, as amended; (6) Seller has not retained the services of a real estate broker and to Seller’s knowledge no broker fee is or will be due or payable relating to the sale and conveyance of the Property as contemplated by this Agreement. (7) Seller expressly makes no representations or warranties pertaining to any buildings or residential structures that may be located on the Property. Seller’s representations and warranties made herein shall survive closing of the transaction contemplated by this Agreement. ARTICLE V CLOSING The closing shall be held at the office of _______(Title Company) __ (referred to in this Agreement as th “Title Company”), ____________________, San Angelo, Texas, 76903 on or before the 90 day after the last party executes this Agreement or at such time, date, and place as Seller and Purchaser may agree upon (which date is herein referred to as the "closing date"). At the closing Seller shall: (1) Deliver to Purchaser a duly executed and acknowledged Special Warranty Deed, in a form acceptable to the title company, conveying good and indefeasible title in fee simple to all of the Property, free and clear of any and all liens, encumbrances, conditions, easements, assessments, and restrictions, except for the following: (a) General real estate taxes for the year of closing and subsequent years not yet due and payable, which shall be prorated between the parties to date of closing; (b) Any exceptions and reservations approved by Purchaser pursuant to Article III hereof; and (c) Any exceptions and reservations approved by Purchaser in writing; and RFB: PRO-06-12/108 Arlington Street Page 14
  • 202.
    (2) Deliver to Purchaser actual, exclusive possession of the property. Costs, fees and expenses of closing in consummating the sale and purchase of the Property shall be borne and paid as follows: (a) If sale is unconsummated, any fees or expenses owed to Title Company shall be paid out of the escrow deposit; (b) Appraisal fees shall be paid by Purchaser; (c) Premiums for Mortgagee’s Title Policy, if any, shall be paid by Purchaser; (d) Any escrow fee shall be paid by Purchaser; (e) Survey fees shall be paid by Purchaser; (f) Attorney's fees shall be borne by and paid by the party at whose request the legal work was performed. (g) Deed preparation and recording fees of same shall be paid by Seller; (h) Loan documents preparation and related recording fees, if any, paid by Purchaser; (i) Recording and copying costs shall be paid by Purchaser; (j) Costs for tax certificates shall be paid by Seller. ARTICLE VI BROKERS It is understood and agreed that no brokers have been involved in the negotiation and consummation of this Agreement. ARTICLE VII ESCROW DEPOSIT For the purpose of securing the performance of Purchaser under the terms and provisions of this Agreement, Purchaser has delivered to the Title Company, the sum of Five Hundred Dollars ($500.00), the Escrow Deposit, which shall be paid by the Title Company to Seller in the event Purchaser breaches this Agreement as provided in Article IX hereof. At the closing, the Escrow Deposit shall be paid to Seller and applied against the purchase price, provided, however, that in the event the Purchaser shall have given written notice to the Title Company that one or more of the conditions precedent to Purchaser’s obligations set forth in Article III have not been met, or, in the, opinion of Purchaser, cannot be satisfied, in the manner and as provided for in Article III, then the balance of the Escrow Deposit remaining after withholding escrow fees and costs incurred, shall be forthwith returned by the Title Company to Purchaser. ARTICLE VIII BREACH BY SELLER In the event Seller shall fail to fully and timely perform any of its obligations hereunder or shall fail to consummate the sale of the Property for any reason, except Purchaser's default, Purchaser may pursue any remedy to which Purchaser may be entitled at law or in equity, including: (1) enforce specific performance of this Agreement; (2) request that the Escrow Deposit shall be forthwith returned by the Title Company to Purchaser, after duly deducting Title Company fees and expenses which have been incurred; and (3) bring suit for damages against Seller. ARTICLE IX BREACH BY PURCHASER In the event Purchaser should fail to consummate the purchase of the Property for reason other than default of the Seller and if the conditions precedent to Purchaser's obligations set forth in Article III are satisfied, Seller shall have the right to: (1) bring suit for damages against Purchaser or (2) receive the entire Escrow Deposit from the Title Company, the sum being agreed on as liquidated damages for Purchaser’s breach of this Agreement RFB: PRO-06-12/108 Arlington Street Page 15
  • 203.
    ARTICLE X MISCELLANEOUS 10.01 Assignment of Agreement This Agreement may not be assigned without the express written consent of Seller. 10.02 Survival of Covenants Any of the representations, warranties, covenants, and agreements of the parties, as well as any rights and benefits of the parties, pertaining to a period of time following the closing of the transactions contemplated hereby shall survive the closing and shall not be merged therein. 10.03 Notice Any notice required or permitted to be delivered hereunder shall be deemed received when hand-delivered or sent by United States mail, postage prepaid, certified mail, return receipt requested, addressed to Seller or Purchaser, as the case may be, at the address set forth below with the signature of the party. 10.04 Texas Law to Apply This Agreement shall be construed under and in accordance with the laws of the State of Texas, and all obligations of the parties created hereunder are performable in Tom Green County, Texas. 10.05 Parties Bound This Agreement shall be binding upon and inure to the benefit of the parties and their respective heirs, executors, administrators, legal representatives, successors, and assigns where permitted by this Agreement. 10.06 Legal Construction In case any one or more of the provisions contained in this Agreement shall for any reason be held to be invalid, illegal, or unenforceable in any respect, this invalidity, illegality, or unenforceability shall not affect any other provision hereof, and this Agreement shall be construed as if the invalid, illegal, or unenforceable provision had never existed. 10.07 Prior Agreements Superseded This Agreement constitutes the only agreement of the parties and supersedes any prior understandings or written or oral agreements between the parties respecting the within subject matter. 10.08 Time of Essence Time is of the essence in this Agreement. 10.09 Gender Words of any gender used in this Agreement shall be held and construed to include any other gender, and words in the singular number shall be held to include the plural, and vice versa, unless the context requires otherwise. 10.10 The Term “Days”/Deadline In this Agreement, the term “days” shall be construed to mean calendar days. All deadlines in this Agreement expire at 5:00 p.m. Central Standard Time. If a deadline falls on a Saturday, Sunday, or national holiday, the deadline will be extended to the next day that is not on a Saturday, Sunday, or national holiday. RFB: PRO-06-12/108 Arlington Street Page 16
  • 204.
    10.11 Counterparts If this Agreement is executed in multiple counterparts, all counterparts taken together will constitute this Agreement. Dated and entered into this day of _____________, 2012. SELLER: CITY OF SAN ANGELO 72 W. College Avenue Attest: San Angelo, TX 76903 Alicia Ramirez, City Clerk Michael Dane, Interim City Manager PURCHASER: __________________ _______ Title Company acknowledges receipt of Escrow Deposit (Earnest Money) in the amount of $500.00 and a copy of this Agreement executed by both Purchaser and Seller. TITLE COMPANY: __________________________________ By: ______________________ Printed Name: ______________________ Title: ______________________ Date: RFB: PRO-06-12/108 Arlington Street Page 17
  • 205.
    Intentionally Left Blank RFB:PRO-06-12/108 Arlington Street Page 18
  • 206.
    CITY OF SANANGELO PURCHASING DEPARTMENT 72 West College Avenue, San Angelo, Texas 76903 Tel: (325) 657-4219 or 657-4220 BID FORMS Please submit one (1) original, one (1) copy and one (1) electronic copy in PDF format on CD or USB Flash drive of the following bid forms. Conflict of Interest Questionnaire (if applicable) Debarment and Suspension Certification Addendum Acknowledgment Bid Sheet RFB: PRO-06-12/108 Arlington Street Page 19
  • 207.
    Intentionally Left Blank RFB:PRO-06-12/108 Arlington Street Page 20
  • 208.
    CITY OF SANANGELO PURCHASING DEPARTMENT 72 West College Avenue, San Angelo, Texas 76903 Tel: (325) 657-4219 or 657-4220 NOTICE TO VENDORS Disclosure of Certain Relationships Effective January 1, 2006, Chapter 176 of the Texas Local Government Code requires that any vendor or person considering doing business with a local governmental entity make certain disclosures concerning any affiliation or business relationship that might cause a conflict of interest with the local governmental entity. The provisions of Chapter 176 and the Form CIQ questionnaire that you must complete to comply with this law, are available at the Texas Ethics Commission website at http://www.ethics.state.tx.us/whasnew/confliict forms.htm. A current list of City of San Angelo and City of San Angelo Development Corporations officers is available in the office of the City of San Angelo City Clerk’s office located in Room 201 of City Hall or on the City’s website at http://sanangelotexas.org. If you are considering doing business with the City of San Angelo or the City of San Angelo Development Corporation and have an affiliation or business relationship that requires you to submit a completed Form CIQ, it must be filed with the records administrator (City Clerk) of the City of San Angelo no later th than the seventh (7 ) business day after the date you become aware of facts that require the form to be filed. See Section 176.006, Texas Local Government Code. It is a Class C misdemeanor to violate this provision. By Submitting a response to a City of San Angelo or City of San Angelo Development Corporation Request for Proposals, Request for Bids, or Request for Qualifications or by conducting business with either of those two entities, you are representing that you are in compliance with the requirements of Chapter 176 of the Texas Local Government Code. Roger S. Banks Division Manager RFB: PRO-06-12/108 Arlington Street Page 21
  • 209.
    Intentionally Left Blank RFB:PRO-06-12/108 Arlington Street Page 22
  • 210.
    CONFLICT OF INTERESTQUESTIONNAIRE FORM CIQ For vendor or other person doing business with local governmental entity This questionnaire reflects changes made to the law by H.B. 1491, 80th Leg., Regular Session OFFICE USE ONLY This questionnaire is being filed in accordance with chapter 176 of the Local Government Code by a person doing business with the governmental entity. Date Received By law, this questionnaire must be filed with the records administrator of the local government entity not later than the 7th business day after the date the person becomes aware of facts that require the statement to be filed. See Section 176.006, Local Government Code. A person commits an offense if the person knowing violates Section 176.006, Local Government Code. An offense under this section is a Class C misdemeanor. 1. Name of person doing business with local governmental entity. 2. Check this box if you are filing an update to a previously filed questionnaire. (The law requires that you file an updated completed questionnaire with the appropriate filing authority not later than the 7th business day after the date the originally filed questionnaire becomes incomplete or inaccurate.) 3. Name of local government officer with whom filer has affiliation or business relationship. _______________________________________________ Name of Officer This section, (item 3 including subparts A, B, C & D, must be completed for each officer with whom the filer has an employment or other business relationship as defined by Section 176.001(1-a),. Local Government Code. Attach additional pages to this Form CIQ as necessary. A. Is the local government officer named in this section receiving or likely to receive taxable income, other than investment income, from the filer of the questionnaire? Yes No B. Is the filer of the questionnaire receiving or likely to receive taxable income, other than investment, from or at the direction of the local government officer named in this section AND the taxable income is not received from the local governmental entity? Yes No C. Is the filer of this questionnaire employed by a corporation or other business entity with respect to which the local government officer serves as an officer or director, or holds an ownership of ten (10) percent or more? Yes No D. Describe each employment of business relationship with the local government officer named in this section. 4. ___________________________________________________ __________________ Signature of person doing business with the governmental entity Date RFB: PRO-06-12/108 Arlington Street Page 23
  • 211.
    Intentionally Left Blank RFB:PRO-06-12/108 Arlington Street Page 24
  • 212.
    CITY OF SANANGELO PURCHASING DEPARTMENT 72 West College Avenue, San Angelo, Texas 76903 Tel: (325) 657-4219 or 657-4220 Debarment and Suspension Certification (1) The prospective primary participant certifies to the best of its knowledge and belief that it and its principals: (a) Are not presently debarred, suspended, proposed for disbarment, declared ineligible, or voluntarily excluded from covered transactions by any Federal department or agency; (b) Have not within a three-year period preceding this application been convicted of or had a civil judgment rendered against them for commission of fraud or a criminal offense in connection with obtaining, attempting to obtain, or performing a public (Federal, State, or local) transaction or contract under a public transaction; violation of Federal or State antitrust statutes or commission of embezzlement, theft, forgery, bribery, falsification or destruction of records, making false statements, or receiving stolen property; (c) Are not presently indicted for or otherwise criminally or civilly charged by a governmental entity (Federal, State, or local) with commission of any of the offenses enumerated in paragraph (1)(b) of this certification; and (d) Have not within a three-year period preceding this application had one or more public transactions (Federal, State, or local) terminated for cause or default. (2) Where the prospective primary participant is unable to certify to any of the statements in this certification, such prospective primary participant shall attach an explanation to this proposal. Business Name: ______________________________________ __________________ Signature of Authorized Representative Date By: Printed Name and Title of Authorized Representative RFB: PRO-06-12/108 Arlington Street Page 25
  • 213.
    Debarment and SuspensionCertification INSTRUCTIONS 1. By signing and submitting this proposal, the prospective participant is providing the certification set out below. 2. The inability of a person to provide the certification required below will not necessarily result in denial of participation in this covered transaction. The prospective participant shall submit an explanation of why it cannot provide the certification set out below. The certification or explanation will be considered in connection with the determination whether to enter into this transaction. However, failure of the prospective participant to furnish a certification or an explanation shall disqualify such person from participation in this transaction. 3. The certification in this clause is a material representation of fact upon which reliance was placed when the City of San Angelo determined to enter into this transaction. If it is later determined that the prospective participant knowingly rendered an erroneous certification, in addition to other remedies available, the City of San Angelo may terminate this transaction for cause. 4. The prospective participant shall provide immediate written notice to the City of San Angelo to which this proposal is submitted if at any time the prospective participant learns that its certification was erroneous when submitted or has become erroneous because of changed circumstances. 5. The terms "covered transaction," "debarred," "suspended," "ineligible," "lower tier covered transaction," "participant," "person," "primary covered transaction," "principal," "proposal," and "voluntarily excluded," as used in this clause, have the meanings set out in the Definitions and Coverage sections of the rules implementing Executive Order 12549(13 CFR Part 145). You may contact the City of San Angelo for assistance in obtaining a copy of these regulations. 6. The prospective participant agrees by submitting this proposal that, should the proposed transaction be entered into, it shall not knowingly enter into any lower tier covered transaction with a person who is debarred, suspended, declared ineligible, or voluntarily excluded from participation in this covered transaction, unless authorized by the City of San Angelo. 7. The prospective participant further agrees by submitting this proposal that it will include the clause titled "Certification Regarding Debarment and Suspension" provided by the City of San Angelo, without modification, in all lower tier covered transactions and in all solicitations for lower tier covered transactions. 8. A participant in a covered transaction may rely upon a certification of a prospective participant in a lower tier covered transaction that it is not debarred, suspended, ineligible, or voluntarily excluded from the covered transaction, unless it knows that the certification is erroneous. A participant may decide the method and frequency by which it determines the ineligibility of its principals. Each participant may, but is not required to, check the Nonprocurement List. 9. Nothing contained in the foregoing shall be construed to require establishment of a system of records in order to render in good faith the certification required by this clause. The knowledge and information of a participant is not required to exceed that which is normally possessed by a prudent person in the ordinary course of business dealings. 10. Except for transactions authorized under paragraph 6 of these instructions, if a participant in a covered transaction knowingly enters into a lower tier covered transaction with a person who is suspended, debarred, ineligible, or voluntarily excluded from participation in this transaction, in addition to other remedies available to the City of San Angelo, the City of San Angelo may terminate this transaction for cause. RFB: PRO-06-12/108 Arlington Street Page 26
  • 214.
    CITY OF SANANGELO PURCHASING DEPARTMENT 72 West College Avenue, San Angelo, Texas 76903 Tel: (325) 657-4219 or 657-4220 Addendum Acknowledgment The bidder is responsible for determining if any addendums have been issued and agrees that the prices(s) quoted on the Bid Sheet reflect any changes or modifications created by any addendum(s). All addendums are posted on the City’s website as they are issued. Receipt is hereby acknowledged of the following addenda to the Contract documents. Addendum No. 1 Dated: Received: Addendum No. 2 Dated: Received: Addendum No. 3 Dated Received: Addendum No. 4 Dated: Received: Addendum No. 5 Dated: Received: Addendum No. 6 Dated Received: Business Name: ______________________________________ __________________ Signature of Authorized Representative Date By: Printed Name and Title of Authorized Representative RFB: PRO-06-12/108 Arlington Street Page 27
  • 215.
    Intentionally Left Blank RFB:PRO-06-12/108 Arlington Street Page 28
  • 216.
    CITY OF SANANGELO PURCHASING DEPARTMENT 72 West College Avenue, San Angelo, Texas 76903 Tel: (325) 657-4219 or 657-4220 Bid Sheet RFB No: PRO-06-12/108 Arlington Street Completed Disclosure of Certain Relationships (if applicable) Completed Debarment and Suspension Certification (REQUIRED) Completed Addendum Acknowledgment (REQUIRED) Please submit one (1) original, one (1) copy and one (1) electronic copy in PDF format on CD or USB Flash drive of the following bid forms. (REQUIRED) ITEM MINIMUM BID BID AMOUNT PROPERTY DESCRIPTION: $4,500.00 Lots 10 & 11, SAVE & EXCEPT the North 65’ and $ South 20’, W.E. Phillips Addition Located at 108 Arlington Street TOTAL BID $ BID SECURITY: $500.00 Money Order / Certified Check INCLUDED YES NO # BIDS THAT DO NOT INCLUDE A BID SECURITY OF $500.00 WILL BE CONSIDERED NON-RESPONSIVE. Respondent understands the City reserves the right to reject any and all bids. Bids which are not signed and dated or bids which do not comply will all bid requirements herein, may be considered non-responsive and may be rejected. Authorized Signature/Contact Information Firm Name: Mailing Address: City, State Zip Code: Authorized Signature: Print Name: Date: Tax ID: Payment Terms: Telephone: FAX: Email: RFB: PRO-06-12/108 Arlington Street Page 29 y:12-rfxpropertyrfb prp-06-12 108 arlingtonrfb pro-06-12 091312.docx
  • 217.
    CITY OF SANANGELO BID TABULATION * RFB NO: PRO-06-12/Sale of Tax Foreclosed Property * September 14, 2012 Property 1: Lots 10 & 11, SAVE & EXCEPT the North 65’ and South 20’, W.E. Phillips Addition, 108 Arlington St Property 1: 108 Arlington Street Bid Security Bid Bidders $500.00 Min $4,500 Rank 1 No Bids Received $ - 1 2 3 4 5 6 7 8 9 10 Bid Packages Mailed To: San Angelo Realtors Association San Angelo, TX Mr. P. Gilbert Gallegos San Angelo, TX Mr. Miguel Duran San Angelo, TX Mr. Lee Robles San Angelo, TX Mr. Kenneth Barrows San Angelo, TX Mr. Marshal Gray San Angelo, TX Y:Real Estate DivisionPropertyAGENDA APR 16, 2013108 Arlington Street, (Gonzalez), Lots 10 & 11, Phillips, $2,000 - City Owned PropertyBid Tab
  • 218.
    eptember 14, 2012 Y:Real Estate DivisionPropertyAGENDA APR 16, 2013108 Arlington Street, (Gonzalez), Lots 10 & 11, Phillips, $2,000 - City Owned PropertyBid Tab
  • 219.
    NOTICE OF CONFIDENTIALITYRIGHTS: If you are a natural person, you may remove or strike any or all of the following information from this instrument before it is filed for record in the public records: your social security number or your driver’s license number. SPECIAL WARRANTY DEED Date: __________________ Grantor: CITY OF SAN ANGELO, a Texas home-rule municipal corporation 72 West College Avenue San Angelo, Tom Green County, Texas 76903 Grantee: CARLOS GONZALEZ, a single person 725 Amberton Parkway San Angelo, Tom Green County, Texas 76901 Consideration: Ten and No/100 Dollars ($10.00) and other good and valuable consideration Property (including any improvements): All of Lots 10 and 11 of the W.E. Phillips Addition to the City of San Angelo, Tom Green County, Texas, except the North 65 feet of said Lots 10 and 11 and the South 20 feet of said lots. Account #21-38700-0000-013-00 Reservations from Conveyance: This conveyance is subject to easements, rights-of-way, and prescriptive rights, whether of record or not; all presently recorded restrictions, reservations, covenants, conditions, oil and gas leases, mineral severances, and other instruments, other than liens and conveyances, that affect the Property; validly existing rights of adjoining owners in any walls and fences situated on a common boundary; any discrepancies, conflicts, or shortages in area or boundary lines; any encroachments or overlapping of improvements; and taxes for 2013, the payment of which Grantee assumes. Exceptions to Conveyance and Warranty: For the consideration, Grantor – acting by and through its Mayor, who has been duly authorized to execute this instrument on Grantor’s behalf by resolution and order of Grantor’s City Council recorded in the City Council’s official minutes – hereby conveys to Grantee the Property, together with all Grantor’s right, title, appurtenances and interest in and to the Property, subject to the Reservations from Conveyance and the Exceptions to Conveyance and Warranty, grants, sells, and conveys the Property, to have and to hold it to Grantee and Grantee’s heirs, successors, and assigns forever. Grantor hereby binds Grantor and Grantor’s heirs and successors to warrant and forever defend all and singular the Property to Grantee and Grantee’s heirs, successors, and assigns against every person whomsoever lawfully claiming or to claim the same or any part thereof, except as to the Reservations from Conveyance and the Exceptions to
  • 220.
    Conveyance and Warranty. When the context requires, singular nouns and pronouns include the plural. GRANTOR: CITY OF SAN ANGELO, ATTEST: ____________________________ Alvin New, Mayor ____________________________ Alicia Ramirez, City Clerk STATE OF TEXAS § § COUNTY OF TOM GREEN § This instrument was acknowledged before me on _____________________, 2013, by Alvin New, as Mayor of the City of San Angelo, a Texas home-rule municipal corporation, on behalf of said corporation. __________________________________ Notary Public, State of Texas After Recording, Return To:
  • 221.
    108 Arlington Street, Lots 10 & 11 S /E N 65' of S 20' , W.E. Phillips Addition March 7, 2013 1:2,699 0 0.0225 0.045 0.09 mi City Address Points County Address Points Platted Lot Line L abels 0 0.035 0.07 0.14 km Pending City Addresses Pending County Addresses Platted Lot Lines Retired City Addresse s Retired County Addresses City Pa rcel Popups Transparen t
  • 222.
    A RESOLUTION OFTHE CITY OF SAN ANGELO AUTHORIZING THE MAYOR TO EXECUTE A SPECIAL WARRANTY DEED CONVEYING ALL RIGHT, TITLE AND INTEREST OF THE CITY OF SAN ANGELO WHEREAS, the property described below was acquired on October 24, 1957 from W.E. Phillips as a part of the consideration to connect the black-top paving on Arlington Street to the paving on Paint Rock Road; and WHEREAS, the City has no future plans for the subject property and is now deemed as excess property; and WHEREAS, on July 5, 2012, an appraisal was prepared by Stribling-Probandt Appraisals. The fee simple market value of the subject property was $4,000; and WHEREAS, on September 14, 2012, no bids were received for a Request for Bids: PRO-06-12; and WHEREAS, the City has received a reasonable offer from Carlos Gonzalez in the amount of $2,000 for the purchase of the subject property; and NOW THEREFORE BE IT RESOLVED BY THE CITY COUNCIL OF THE CITY OF SAN ANGELO that its Mayor, Alvin New, is hereby authorized to execute a Special Warranty Deed conveying the following described real property to the following as specified below, all of the right, title, and interest of the City of San Angelo, located in San Angelo, Tom Green County, Texas: Conveying to: CARLOS GONZALEZ, a single person; ($2,000): All of Lots 10 and 11 of the W.E. Phillips Addition to the City of San Angelo, Tom Green County, Texas, except the North 65 feet of said Lots 10 and 11 and the South 20 feet of said lots. Account #21-38700-0000-013-00 APPROVED AND ADOPTED ON THE DAY OF , 2013. THE CITY OF SAN ANGELO _______________________________ Alvin New, Mayor Attest: ______________________________ Alicia Ramirez, City Clerk Approved As to Content: Approved As to Form: ______________________________ ______________________________ Cindy M. Preas, Real Estate Administrator Lysia H. Bowling, City Attorney
  • 223.
    CITY OF SANANGELO REQUEST FOR BID RFP No: PRO-06-12 Real Estate Division Lots 10 & 11, SAVE & EXCEPT the North 65’ and South 20’, W.E. Phillips Addition 108 Arlington Street Zoned – RS-1 RFB Submittal Deadline September 13, 2012/2:00 PM, Local Time City of San Angelo 72 West College Avenue San Angelo, Texas 76903
  • 226.
    TABLE OF CONTENTS This Table of Contents is intended as an aid and not as a comprehensive listing of the proposal package. Bidders are responsible for reading the entire proposal package and complying with all specifications. Section Page REQUEST FOR BID ........................................................................................................................................... 1 GENERAL......................................................................................................................................................................1 DOCUMENT AVAILABILITY................................................................................................................................................1 DIGITAL FORMAT ...........................................................................................................................................................1 DISQUALIFICATION .........................................................................................................................................................1 REQUIRED RESPONSE......................................................................................................................................................1 NO BID INSTRUCTIONS ....................................................................................................................................................1 INTERPRETATIONS ..........................................................................................................................................................1 ADDENDA.....................................................................................................................................................................2 CONFIDENTIALITY ...........................................................................................................................................................2 AWARD OF CONTRACT ....................................................................................................................................................2 ACCEPTANCE OF PROPOSAL CONTENT ................................................................................................................................2 COPIES OF BID TABULATION RESULTS ................................................................................................................................2 DEADLINE AND DELIVERY LOCATION ......................................................................................................... 3 DEADLINE.....................................................................................................................................................................3 COPIES.........................................................................................................................................................................3 FAXED/ELECTRONIC BIDS ................................................................................................................................................3 SEALED ENVELOPE ADDRESSING .......................................................................................................................................3 DELIVERY ENVELOPE/CONTAINER ADDRESSING ...................................................................................................................3 DELIVERY SERVICE ADDRESSES USPS ADDRESS ..............................................................................................................3 POINTS OF CONTACT ......................................................................................................................................................3 INSTRUCTIONS .................................................................................................................................................. 5 PROPOSAL/BID INTERPRETATION ......................................................................................................................................5 BID ITEM ......................................................................................................................................................................5 SALE “AS IS”.................................................................................................................................................................5 BID SECURITY ................................................................................................................................................................5 DEFAULT IN PURCHASE ...................................................................................................................................................6 COMMISSIONS ..............................................................................................................................................................6 EXECUTION OF SALES CONTRACT ......................................................................................................................................6 CORRECTIONS, ADDITIONS, OR DELETIONS..........................................................................................................................5 AUTHORIZED SIGNATURE.................................................................................................................................................5 MODIFICATION OR WITHDRAWAL OF BIDS..........................................................................................................................5 CONTINGENCY...............................................................................................................................................................5 DELIVERY DATE .............................................................................................................................................................5 RESERVATIONS ..............................................................................................................................................................6 SUBMISSION OF BIDS ......................................................................................................................................................6 LATE BIDS ....................................................................................................................................................................6 ACCEPTANCE.................................................................................................................................................................6 TERMS AND CONDITIONS ............................................................................................................................... 7 TITLE ...........................................................................................................................................................................7 TITLE POLICY .................................................................................................................................................................7 ii
  • 227.
    UTILITIES ......................................................................................................................................................................7 INVOICES & PAYMENTS ...................................................................................................................................................7 GRATUITIES ..................................................................................................................................................................7 WARRANTY-PRICE .........................................................................................................................................................7 NO WARRANTY BY CITY AGAINST INFRINGEMENTS ...............................................................................................................7 RIGHT OF INSPECTION .....................................................................................................................................................7 CANCELLATION ..............................................................................................................................................................7 ASSIGNMENT-DELEGATION ..............................................................................................................................................7 WAIVER .......................................................................................................................................................................8 MODIFICATIONS ............................................................................................................................................................8 APPLICABLE LAW ...........................................................................................................................................................8 ADVERTISING ................................................................................................................................................................8 CONFLICT OF INTEREST ...................................................................................................................................................8 LEGAL VENUE................................................................................................................................................................8 AWARD CRITERIA ...........................................................................................................................................................8 MAP ...................................................................................................................................................................... 9 FACT SHEET .................................................................................................................................................... 11 SAMPLE SALES CONTRACT ........................................................................................................................ 13 BID FORMS ....................................................................................................................................................... 19 DISCLOSURE OF CERTAIN RELATIONSHIPS..........................................................................................................................21 DEBARMENT AND SUSPENSION CERTIFICATION ..................................................................................................................25 ADDENDUM ACKNOWLEDGMENT....................................................................................................................................27 BID SHEET ..................................................................................................................................................................29
  • 229.
    CITY OF SANANGELO PURCHASING DEPARTMENT 72 West College Avenue, San Angelo, Texas 76903 Tel: (325) 657-4219 or 657-4220 REQUEST FOR BID General The City of San Angelo, Real Estate Division is accepting bids for the sale of Lots 10 & 11, SAVE & EXCEPT the North 65’ and South 20’, W.E. Phillips Addition, San Angelo, Tom Green County, Texas; located at 108 Arlington Street. This property is a SINGLE-FAMILY RESIDENCE (RS-1) ZONING DISTRICT. Document Availability Bid Documents are available in the Purchasing Department at the address listed below, or may be downloaded at the City’s website at www.sanangelotexas.us. To locate the documents on the website go to: • City Departments • Purchasing • Bid Opportunities Digital Format If Respondents obtained the bid specifications in digital format in order to prepare a proposal, the bid must be submitted in hard copy according to the instructions contained in this bid package. If, in its bid response, Respondents makes any changes whatsoever to the published bid specifications, the bid specification as published shall control. Furthermore, if an alteration of any kind to the bid specification is discovered after the contract is executed and is or is not being performed; the contract is subject to immediate cancellation without recourse. Disqualification The Respondent may be disqualified for any of the following reasons: • The Respondent is involved in any litigation against the City of San Angelo; • The Respondent is in arrears on any existing contract or has defaulted on a previous contract with the City; • The Respondent is debarred, suspended, or otherwise excluded from or ineligible for participation in State or Federal assistance programs. Required Response The City requires a response to any RFB’s mailed to potential Respondents. Should a company receive an RFB, but choose not to bid on the project, then in order to remain on the City of San Angelo’s Potential Bidders List you must submit a “No Bid”. No Bid Instructions To submit a No Bid, complete the Bid Sheet by entering “No Bid” on Line Item 1, complete the Contact Information section, and mail the Bid Sheet pages before the deadline. Firms that do not respond will be removed from the bidders list. Interpretations All questions about the meaning or intent of the Contract Documents, including specifications shall be submitted to Purchasing Division in writing. Replies will be issued by Addenda posted on the Purchasing Department page of the City’s website Questions received less than ten (10) days prior to the date for opening of Bids will not be answered. Only questions answered by formal written Addenda will be binding. Oral interpretations or clarifications will be without legal effect. All addenda will be published on the City’s website. It is the Respondents responsibility to consider all addendums prior to submitting a bid. RFB: PRO-06-12/108 Arlington Street Page 1
  • 230.
    Addenda Should specifications be revised prior to the deadline for submittals, the City’s Purchasing Division will issue an addendum addressing the nature of the change. Respondents must acknowledge the addendums and include the form in the returned proposal package. Confidentiality All bids submitted shall remain confidential. After award, proposals will be made available for public inspection. The City shall not be responsible for the confidentiality of any trade secrets or other information contained or disclosed in the proposal unless clearly identified as such. Award of Contract The City reserves the right to accept or reject any or all bids, and to waive any informalities or irregularities in the RFB process. The City is an equal opportunity employer. Acceptance of Proposal Content Before submitting a proposal, each Respondent shall make all investigations and examinations necessary to ascertain all conditions and requirements affecting the performance of the contract and to verify any representations made by the City upon which the proposal will rely. If the Respondent receives an award, failure to have made such investigation and examinations will in no way relieve the Respondent from his obligation to comply in every detail with all provisions and requirements. Copies of Bid Tabulation Results For a copy of the Bid Tabulation results, send a self-addressed stamped envelope to: Purchasing Department, City of San Angelo, 72 West College Avenue, San Angelo, Texas 76903 or email roger.banks@sanangelotexas.us. RFB: PRO-06-12/108 Arlington Street Page 2
  • 231.
    CITY OF SANANGELO PURCHASING DEPARTMENT 72 West College Avenue, San Angelo, Texas 76903 Tel: (325) 657-4219 or 657-4220 DEADLINE AND DELIVERY LOCATION Deadline Sealed Request for Bids (RFB) submittals must be received and time stamped on or before September 13, 2012, 2:00 PM, Local Time. The clock located in Purchasing will be the official time. Bids not received on time will be rejected It is the sole responsibility of the Respondent to ensure that the sealed submittal arrives at the above location by the specified deadline regardless of method chosen by the firm for delivery. Copies • One (1) unbound original of all required submission forms • One (1) electronic copy in PDF format on CD or USB Flash Drive of all requested submissions forms • One (1) complete bound copy of all submission forms (staples or binder clips are acceptable). Faxed/Electronic Bids Faxed or electronically transmitted RFB submittals will not be accepted. Sealed Envelope Addressing Lower left-hand corner: “RFB No. PRO-06-12/108 Arlington Street” Top Left-hand Corner: Bidders Name and Address Delivery Envelope/Container Addressing Mark delivery envelope “Sealed RFB Enclosed” Delivery Service Addresses USPS Address City of San Angelo City of San Angelo Purchasing Division, RFB: PRO-06-12 Purchasing Division, RFB: PRO-06-12 72 W College Avenue 72 W College Avenue, Suite 314 San Angelo, Texas 76903 San Angelo, Texas 76903 Points of Contact Roger Banks, Division Manager Diana Farris, Property Specialist Purchasing Department Real Estate Division City of San Angelo City of San Angelo 72 W College Avenue 72 W College Avenue San Angelo Texas, 76903 San Angelo Texas, 76903 Email: roger.banks@sanangelotexas.us Email: diana.farris@sanangelotexas.us Telephone: (325) 657-4220 Telephone: (325) 657-4212 RFB: PRO-06-12/108 Arlington Street Page 3
  • 232.
    Intentionally Left Blank RFB:PRO-06-12/108 Arlington Street Page 4
  • 233.
    CITY OF SANANGELO PURCHASING DEPARTMENT 72 West College Avenue, San Angelo, Texas 76903 Tel: (325) 657-4219 or 657-4220 INSTRUCTIONS Bid Item Respondent is expected to examine all specifications herein and responsible for the inspection of the property and should satisfy themselves of exact location of the property. It is the Respondent’s responsibility for inspections, zoning, environmental assessments, engineering studies, mechanical inspections, pest control, etc. Such inspections will be at the expense of the Respondent. FAILURE to do so will be at the Respondent‘s risk. Sale “As Is” Property will be sold “As Is”, subject to ALL easements, blanket easements, right-of-ways, covenants, conditions, zoning, restrictions, water rights and all other restrictions or conditions, including physical conditions whether recorded or not. Proposal/Bid Interpretation Any explanation desired by a Respondent regarding the meaning or interpretation of the invitation, drawings, specifications, etc. must be requested in writing seven (7) days prior to the deadline to the Purchasing Department, City of San Angelo, 72 West College Avenue, San Angelo, TX 76903 to allow sufficient time for evaluation and reply to all prospective bidders before the submission of their bids. The bid invitation number must appear on all correspondence, inquiries, etc. pertaining to the invitation. Oral explanations or instructions given before the award of the contract are not binding and do not form a part of or alter in any way, the written agreement. Corrections, Additions, or Deletions Corrections, additions, or deletions to any portion of the invitation will be in the form of a written amendment or addendum. Bid Security All bids shall include a bid security in the amount of $500.00, which will be applied toward the purchase price. Only Money Orders and Certified Checks are accepted; and are to be payable to the City of San Angelo. The bid securities will be returned to all unsuccessful Respondents within ten (10) business days of the City Council award of bid. Modification or Withdrawal of Bids Bid pricing CANNOT be altered or amended after the closing time. Bids may be modified or withdrawn prior to the closing hour and date by written notice to the Purchasing Department. A bid may also be withdrawn in person by a Respondent or his authorized agent, provided his identity is made known and he signs a receipt for the bid. No bid may be withdrawn after the closing time and date without acceptable reason in writing and with approval of the Purchasing Department. Authorized Signature Bids must show Respondent’s name, address, and be manually signed. The person signing the bid must have authority to execute contract. Any erasures or other changes must be initialed by the person signing the offer. If Respondent is married, the spouse must also sign the bid, unless the property will be purchased with separate property funds. Contingency No Contingency Contracts will be accepted. RFB: PRO-06-12/108 Arlington Street Page 5
  • 234.
    Submission of Bids Sealed bids are to be returned by the closing time and date stated in the Deadlines and Delivery Options Section. Faxed bids will not be accepted. Late Bids Bids received after the advertised closing time and date regardless of the mode of delivery will be refused and returned unopened Acceptance Acceptance of Respondent’s offer will be notified by telephone and/or mail after final approval and acceptance of its offer by the San Angelo City Council. Default in Purchase If Respondent is awarded the bid and fails to purchase the property, Respondent agrees to forfeit the Bid Security amount in addition to any amount required by the Sales Contract to the City of San Angelo. Commissions Should a Respondent solicit representation from a Real Estate Licensee (Agent), the Respondent will be responsible for payment of commissions. Execution of Sales Contract Within ten (10) business days of awarding the bid, Respondent will execute a Sales Contract in substantially form with attached hereto. Delivery of Property Delivery of property shall occur as recognized in the Sales Contract and subject to approval by City Council. Reservations The City expressly reserves the right to accept, reject, or cancel all bids AND: • Waive any defect, irregularity, or informality in any bid or bidding procedure. • Extend the bid closing time and date. • Reissue a bid invitation or proposal. • Consider and accept an alternate bid as provided herein when most advantageous to the City. • Extend any contract when most advantageous to the City. RFB: PRO-06-12/108 Arlington Street Page 6
  • 235.
    CITY OF SANANGELO PURCHASING DEPARTMENT 72 West College Avenue, San Angelo, Texas 76903 Tel: (325) 657-4219 or 657-4220 TERMS AND CONDITIONS Title Title shall not pass to Buyer until the City Special Warranty Deed is fully executed and sales price is paid to the City in full. Title Policy City will provide a Texas Owner’s Title Policy at the City’s expense. Utilities The City makes no representation as to the availability of utilities or costs associated with utilities. It is the Buyer’s responsibility to determine availability and cost of utilities. Invoices & Payments This sale is a cash sale, closed at a local title company. The City will not carry a note on this property. Gratuities The City may, by written notice to the Buyer, cancel this contract without liability to Buyer if it is determined by City that gratuities were offered from an agent or representative of the Buyer to any officer or employee of the City with a view toward securing a contract or securing favorable treatment with respect to the awarding or amending, or the making of any determinations in respect to the performing of such contract. In the event this contract is canceled by City, remedies to recover or withhold the amount of the cost shall be incurred by Buyer in providing such gratuities. Warranty-Price The Buyer warrants that no person or purchasing agency has been employed or retained to solicit or secure this contract upon an agreement or understanding for commission, percentage, brokerage, or contingent fee excepting bona fide employees of bona fide established commercial or purchasing agencies maintained by the Buyer for the purpose of securing business. For breach or violation of the warranty, the City shall have the right in addition to any other right or rights to cancel this contract without liability and to deduct from the contract price, or otherwise recover the full amount of such commission, percentage, brokerage, or contingent fee. No Warranty by City Against Infringements The City does not make any Warranties or Guaranties, expressed or otherwise, except as provided for in the Sales Contract. Right of Inspection Respondent shall have the right to inspect the property before submittal deadline. Cancellation Any cancellation Sales Contract shall be in accordance with the terms herein and the Sales Contract. Assignment-Delegation No right or interest in the Sales Contract shall be assigned nor shall any delegation of any obligation made by Buyer be valid without written permission of the City. Any attempted assignment or delegation by Buyer shall be wholly void and totally ineffective for all purposes unless made in conformity with this paragraph. RFB: PRO-06-12/108 Arlington Street Page 7
  • 236.
    Waiver No claim or right arising out of a breach of this Sales Contract can be discharged in whole or in part by a waiver or renunciation of the claim or right unless the waiver or renunciation is supported by consideration and is in writing signed by the aggrieved party. Modifications This Sales Contract can be modified or rescinded only by a writing signed by both of the parties or their duly authorized agents. Applicable Law This agreement shall be governed by all applicable laws. Advertising Buyer shall not advertise or publish, without City’s prior consent, the fact that City has entered into this contract, except to the extent necessary to comply with proper requests for information from an authorized representative of the Federal, State, or Local government. Conflict Of Interest Buyer agrees to comply with the conflict of interest provisions of the Texas State Law and City Of San Angelo Charter and Code of Ordinances. Buyer agrees to maintain current, updated disclosure of information on file with the Purchasing Department throughout the term of the Sales Contract, as applicable. Legal Venue San Angelo, Tom Green County, Texas Award Criteria The property will be awarded to the Respondent who submits the highest qualified bid. Final approval and acceptance rest with the San Angelo City Council. RFB: PRO-06-12/108 Arlington Street Page 8
  • 237.
    CITY OF SANANGELO PURCHASING DEPARTMENT 72 West College Avenue, San Angelo, Texas 76903 Tel: (325) 657-4219 or 657-4220 MAP RFB: PRO-06-12/108 Arlington Street Page 9
  • 238.
    Intentionally Left Blank RFB:PRO-06-12/108 Arlington Street Page 10
  • 239.
    CITY OF SANANGELO PURCHASING DEPARTMENT 72 West College Avenue, San Angelo, Texas 76903 Tel: (325) 657-4219 or 657-4220 FACT SHEET Property Address: 108 Arlington Street Legal Description: W.E. Phillips Addition, Lot 10 & 11 except the N. 65’ & S. 20’ (Paint Rock Road) Tax ID Number: 2138700000001300 Lot Size: 95’ (eastern lot boundary) & 53’ (western lot boundary) x 133’ Zoning: RS-1 (Single-Family Residential); allows single-family homes on minimum lots of 50’x100’. Water/Sewer Connections: Subdivision Plat: Lot Characteristics: • Vacant; • Conditional/Special Uses – No; • Variances – No; • Special Permits – No; • Historic Overlay – No; • Open Structure Overlay -Partially; • River Corridor – No; • Is a replat needed to build? Yes; For more information: Zoning/Subdivision Requirements – City of San Angelo Planning Division, 657-4210 Permit Requirements – City of San Angelo Inspections & Permits Division, 657-4420 General Development Questions – City of San Angelo Development Coordinator, 657-4210 Water Billing/Meters – City of San Angelo Water Billing Division, 657-4323 Purchasing of Tax Lots – City of San Angelo Real Estate Division, 657-4212 Ownership and Tax Information – Tom Green County Appraisal District, 658-5575 Documents of Record, including Plats – Tom Green County Clerk, Real Estate, 659-6552 NOTE: All information provided herein is based upon initial analysis of the property and is intended as a guide only; the City of San Angelo is not responsible for any error in this information or for any information concerning the property which is not included herein. Before purchasing any property, it is strongly advised to contact, at a minimum, the City and County offices listed above for the most up-to-date information. RFB: PRO-06-12/108 Arlington Street Page 11
  • 240.
    Intentionally Left Blank RFB:PRO-06-12/108 Arlington Street Page 12
  • 241.
    CITY OF SANANGELO PURCHASING DEPARTMENT 72 West College Avenue, San Angelo, Texas 76903 Tel: (325) 657-4219 or 657-4220 SAMPLE SALES CONTRACT REAL ESTATE CONTRACT OF SALE (FOR CASH SALE) THIS REAL ESTATE CONTRACT OF SALE (”Agreement”) is made by and between CITY OF SAN ANGELO, a Texas home-rule municipal corporation whose address is 72 W. College Avenue, San Angelo, Tom Green County, Texas 76903, (hereinafter “Seller”) and, _______________________________________(hereinafter "Purchaser"), upon the terms and conditions set forth in this Agreement. ARTICLE I PURCHASE AND SALE Seller agrees to sell and convey to Purchaser, and Purchaser agrees to purchase, the real property thereon, commonly known 108 ARLINGTON STREET and described as LOTS 10 & 11, SAVE & EXCEPT THE NORTH 65 FEET AND SOUTH 20 FEET OF SAID LOTS 10 & 11, W.E.PHILLIPS ADDITION (hereinafter “Property”), together with all and singular the rights and appurtenances pertaining to the property, for the consideration and upon and subject to the terms, provisions, and conditions set forth below. ARTICLE II PURCHASE PRICE 2.01 Amount of Purchase Price The purchase price for the Property shall be the sum of Dollars ($ - ___.00). 2.02 Payment of Purchase Price The full amount of the Purchase Price shall be due and payable at the closing. ARTICLE III CONDITIONS PRECEDENT TO PURCHASER'S OBLIGATIONS The obligations of Purchaser hereunder to consummate the transactions contemplated hereby are subject to the satisfaction of each of the following conditions precedent (any of which may be waived in whole or in part by Purchaser at or prior to the closing). 3.01 Preliminary Title Report Within thirty-five (35) days after the date hereof, Seller shall cause (Title Company) to issue a preliminary title report (the "Title Report") accompanied by copies of restrictive covenants and all recorded documents referred to in the Preliminary Title Opinion affecting title such as easements, rights-of-way, liens and encumbrances. Purchaser shall give Seller written notice on or before the expiration of twenty-one (21) days after Purchaser receives the Preliminary Title Report of any condition of title as set forth in the report not acceptable to Purchaser. In that event Seller may, at Seller’s option, promptly undertake to eliminate or correct all unacceptable conditions of title to the reasonable satisfaction of Purchaser. If Seller chooses not to or is unable to correct the unacceptable conditions of title within twenty-one (21) days after receipt of the written notice thereof given by Purchaser, this Agreement shall thereupon immediately become null and void for all purposes and the Escrow Deposit shall be returned by the Title Company to Purchaser. Purchaser will be deemed to have approved all conditions of title disclosed by the preliminary title report to which Purchaser has made no timely objection as herein provided. 3.02 Survey Purchaser at Purchaser’s option and expense may commission and be responsible for the expense of a survey of the Property. It is a condition precedent to Purchaser’s obligations under this Agreement that the survey not reveal a circumstance or condition relating to the Property that is unforeseen by the Purchaser. If such an unforeseen circumstance or condition is revealed by the survey, Purchaser may, at Purchaser’s option, terminate this RFB: PRO-06-12/108 Arlington Street Page 13
  • 242.
    Agreement by givingwritten notice of termination to the Seller at any time on or before the expiration of twenty-one (21) days after Purchaser receives the Preliminary Title Report as provided in paragraph 3.01 above. If Purchaser chooses not to give notice of an unforeseen circumstance or condition as provided by this paragraph, this condition precedent shall be deemed waived by the Purchaser. 3.03 Seller’s Performance Seller shall have performed, observed, and complied with all of the covenants, agreements, and conditions required by this Agreement to be performed, observed, and complied with by Seller prior to or as of the closing. ARTICLE IV REPRESENTATIONS AND WARRANTIES OF SELLER Seller represents and warrants to Purchaser, as of the closing date, as follows: (1) Seller has received no notice of pending or threatened condemnation or similar proceeding affecting the Property, nor to the knowledge of Seller is there any such proceeding contemplated by any governmental authority. (2) Seller has no knowledge of any pending or threatened claim or proceeding relating to access to the Property; (3) The property is zoned for ; Seller has no knowledge of any non-conforming use or conditional use on the subject real property occurring within the preceding twelve months. (4) There are no lawsuits, claims, attachments, executions, or other proceedings pending, or to the Seller’s knowledge, threatened, against or involving the Property; (5) Seller is not a “foreign person” as that term is defined in §1445 of the Internal Revenue Code of 1986, as amended; (6) Seller has not retained the services of a real estate broker and to Seller’s knowledge no broker fee is or will be due or payable relating to the sale and conveyance of the Property as contemplated by this Agreement. (7) Seller expressly makes no representations or warranties pertaining to any buildings or residential structures that may be located on the Property. Seller’s representations and warranties made herein shall survive closing of the transaction contemplated by this Agreement. ARTICLE V CLOSING The closing shall be held at the office of _______(Title Company) __ (referred to in this Agreement as th “Title Company”), ____________________, San Angelo, Texas, 76903 on or before the 90 day after the last party executes this Agreement or at such time, date, and place as Seller and Purchaser may agree upon (which date is herein referred to as the "closing date"). At the closing Seller shall: (1) Deliver to Purchaser a duly executed and acknowledged Special Warranty Deed, in a form acceptable to the title company, conveying good and indefeasible title in fee simple to all of the Property, free and clear of any and all liens, encumbrances, conditions, easements, assessments, and restrictions, except for the following: (a) General real estate taxes for the year of closing and subsequent years not yet due and payable, which shall be prorated between the parties to date of closing; (b) Any exceptions and reservations approved by Purchaser pursuant to Article III hereof; and (c) Any exceptions and reservations approved by Purchaser in writing; and RFB: PRO-06-12/108 Arlington Street Page 14
  • 243.
    (2) Deliver to Purchaser actual, exclusive possession of the property. Costs, fees and expenses of closing in consummating the sale and purchase of the Property shall be borne and paid as follows: (a) If sale is unconsummated, any fees or expenses owed to Title Company shall be paid out of the escrow deposit; (b) Appraisal fees shall be paid by Purchaser; (c) Premiums for Mortgagee’s Title Policy, if any, shall be paid by Purchaser; (d) Any escrow fee shall be paid by Purchaser; (e) Survey fees shall be paid by Purchaser; (f) Attorney's fees shall be borne by and paid by the party at whose request the legal work was performed. (g) Deed preparation and recording fees of same shall be paid by Seller; (h) Loan documents preparation and related recording fees, if any, paid by Purchaser; (i) Recording and copying costs shall be paid by Purchaser; (j) Costs for tax certificates shall be paid by Seller. ARTICLE VI BROKERS It is understood and agreed that no brokers have been involved in the negotiation and consummation of this Agreement. ARTICLE VII ESCROW DEPOSIT For the purpose of securing the performance of Purchaser under the terms and provisions of this Agreement, Purchaser has delivered to the Title Company, the sum of Five Hundred Dollars ($500.00), the Escrow Deposit, which shall be paid by the Title Company to Seller in the event Purchaser breaches this Agreement as provided in Article IX hereof. At the closing, the Escrow Deposit shall be paid to Seller and applied against the purchase price, provided, however, that in the event the Purchaser shall have given written notice to the Title Company that one or more of the conditions precedent to Purchaser’s obligations set forth in Article III have not been met, or, in the, opinion of Purchaser, cannot be satisfied, in the manner and as provided for in Article III, then the balance of the Escrow Deposit remaining after withholding escrow fees and costs incurred, shall be forthwith returned by the Title Company to Purchaser. ARTICLE VIII BREACH BY SELLER In the event Seller shall fail to fully and timely perform any of its obligations hereunder or shall fail to consummate the sale of the Property for any reason, except Purchaser's default, Purchaser may pursue any remedy to which Purchaser may be entitled at law or in equity, including: (1) enforce specific performance of this Agreement; (2) request that the Escrow Deposit shall be forthwith returned by the Title Company to Purchaser, after duly deducting Title Company fees and expenses which have been incurred; and (3) bring suit for damages against Seller. ARTICLE IX BREACH BY PURCHASER In the event Purchaser should fail to consummate the purchase of the Property for reason other than default of the Seller and if the conditions precedent to Purchaser's obligations set forth in Article III are satisfied, Seller shall have the right to: (1) bring suit for damages against Purchaser or (2) receive the entire Escrow Deposit from the Title Company, the sum being agreed on as liquidated damages for Purchaser’s breach of this Agreement RFB: PRO-06-12/108 Arlington Street Page 15
  • 244.
    ARTICLE X MISCELLANEOUS 10.01 Assignment of Agreement This Agreement may not be assigned without the express written consent of Seller. 10.02 Survival of Covenants Any of the representations, warranties, covenants, and agreements of the parties, as well as any rights and benefits of the parties, pertaining to a period of time following the closing of the transactions contemplated hereby shall survive the closing and shall not be merged therein. 10.03 Notice Any notice required or permitted to be delivered hereunder shall be deemed received when hand-delivered or sent by United States mail, postage prepaid, certified mail, return receipt requested, addressed to Seller or Purchaser, as the case may be, at the address set forth below with the signature of the party. 10.04 Texas Law to Apply This Agreement shall be construed under and in accordance with the laws of the State of Texas, and all obligations of the parties created hereunder are performable in Tom Green County, Texas. 10.05 Parties Bound This Agreement shall be binding upon and inure to the benefit of the parties and their respective heirs, executors, administrators, legal representatives, successors, and assigns where permitted by this Agreement. 10.06 Legal Construction In case any one or more of the provisions contained in this Agreement shall for any reason be held to be invalid, illegal, or unenforceable in any respect, this invalidity, illegality, or unenforceability shall not affect any other provision hereof, and this Agreement shall be construed as if the invalid, illegal, or unenforceable provision had never existed. 10.07 Prior Agreements Superseded This Agreement constitutes the only agreement of the parties and supersedes any prior understandings or written or oral agreements between the parties respecting the within subject matter. 10.08 Time of Essence Time is of the essence in this Agreement. 10.09 Gender Words of any gender used in this Agreement shall be held and construed to include any other gender, and words in the singular number shall be held to include the plural, and vice versa, unless the context requires otherwise. 10.10 The Term “Days”/Deadline In this Agreement, the term “days” shall be construed to mean calendar days. All deadlines in this Agreement expire at 5:00 p.m. Central Standard Time. If a deadline falls on a Saturday, Sunday, or national holiday, the deadline will be extended to the next day that is not on a Saturday, Sunday, or national holiday. RFB: PRO-06-12/108 Arlington Street Page 16
  • 245.
    10.11 Counterparts If this Agreement is executed in multiple counterparts, all counterparts taken together will constitute this Agreement. Dated and entered into this day of _____________, 2012. SELLER: CITY OF SAN ANGELO 72 W. College Avenue Attest: San Angelo, TX 76903 Alicia Ramirez, City Clerk Michael Dane, Interim City Manager PURCHASER: __________________ _______ Title Company acknowledges receipt of Escrow Deposit (Earnest Money) in the amount of $500.00 and a copy of this Agreement executed by both Purchaser and Seller. TITLE COMPANY: __________________________________ By: ______________________ Printed Name: ______________________ Title: ______________________ Date: RFB: PRO-06-12/108 Arlington Street Page 17
  • 246.
    Intentionally Left Blank RFB:PRO-06-12/108 Arlington Street Page 18
  • 247.
    CITY OF SANANGELO PURCHASING DEPARTMENT 72 West College Avenue, San Angelo, Texas 76903 Tel: (325) 657-4219 or 657-4220 BID FORMS Please submit one (1) original, one (1) copy and one (1) electronic copy in PDF format on CD or USB Flash drive of the following bid forms. Conflict of Interest Questionnaire (if applicable) Debarment and Suspension Certification Addendum Acknowledgment Bid Sheet RFB: PRO-06-12/108 Arlington Street Page 19
  • 248.
    Intentionally Left Blank RFB:PRO-06-12/108 Arlington Street Page 20
  • 249.
    CITY OF SANANGELO PURCHASING DEPARTMENT 72 West College Avenue, San Angelo, Texas 76903 Tel: (325) 657-4219 or 657-4220 NOTICE TO VENDORS Disclosure of Certain Relationships Effective January 1, 2006, Chapter 176 of the Texas Local Government Code requires that any vendor or person considering doing business with a local governmental entity make certain disclosures concerning any affiliation or business relationship that might cause a conflict of interest with the local governmental entity. The provisions of Chapter 176 and the Form CIQ questionnaire that you must complete to comply with this law, are available at the Texas Ethics Commission website at http://www.ethics.state.tx.us/whasnew/confliict forms.htm. A current list of City of San Angelo and City of San Angelo Development Corporations officers is available in the office of the City of San Angelo City Clerk’s office located in Room 201 of City Hall or on the City’s website at http://sanangelotexas.org. If you are considering doing business with the City of San Angelo or the City of San Angelo Development Corporation and have an affiliation or business relationship that requires you to submit a completed Form CIQ, it must be filed with the records administrator (City Clerk) of the City of San Angelo no later th than the seventh (7 ) business day after the date you become aware of facts that require the form to be filed. See Section 176.006, Texas Local Government Code. It is a Class C misdemeanor to violate this provision. By Submitting a response to a City of San Angelo or City of San Angelo Development Corporation Request for Proposals, Request for Bids, or Request for Qualifications or by conducting business with either of those two entities, you are representing that you are in compliance with the requirements of Chapter 176 of the Texas Local Government Code. Roger S. Banks Division Manager RFB: PRO-06-12/108 Arlington Street Page 21
  • 250.
    Intentionally Left Blank RFB:PRO-06-12/108 Arlington Street Page 22
  • 251.
    CONFLICT OF INTERESTQUESTIONNAIRE FORM CIQ For vendor or other person doing business with local governmental entity This questionnaire reflects changes made to the law by H.B. 1491, 80th Leg., Regular Session OFFICE USE ONLY This questionnaire is being filed in accordance with chapter 176 of the Local Government Code by a person doing business with the governmental entity. Date Received By law, this questionnaire must be filed with the records administrator of the local government entity not later than the 7th business day after the date the person becomes aware of facts that require the statement to be filed. See Section 176.006, Local Government Code. A person commits an offense if the person knowing violates Section 176.006, Local Government Code. An offense under this section is a Class C misdemeanor. 1. Name of person doing business with local governmental entity. 2. Check this box if you are filing an update to a previously filed questionnaire. (The law requires that you file an updated completed questionnaire with the appropriate filing authority not later than the 7th business day after the date the originally filed questionnaire becomes incomplete or inaccurate.) 3. Name of local government officer with whom filer has affiliation or business relationship. _______________________________________________ Name of Officer This section, (item 3 including subparts A, B, C & D, must be completed for each officer with whom the filer has an employment or other business relationship as defined by Section 176.001(1-a),. Local Government Code. Attach additional pages to this Form CIQ as necessary. A. Is the local government officer named in this section receiving or likely to receive taxable income, other than investment income, from the filer of the questionnaire? Yes No B. Is the filer of the questionnaire receiving or likely to receive taxable income, other than investment, from or at the direction of the local government officer named in this section AND the taxable income is not received from the local governmental entity? Yes No C. Is the filer of this questionnaire employed by a corporation or other business entity with respect to which the local government officer serves as an officer or director, or holds an ownership of ten (10) percent or more? Yes No D. Describe each employment of business relationship with the local government officer named in this section. 4. ___________________________________________________ __________________ Signature of person doing business with the governmental entity Date RFB: PRO-06-12/108 Arlington Street Page 23
  • 252.
    Intentionally Left Blank RFB:PRO-06-12/108 Arlington Street Page 24
  • 253.
    CITY OF SANANGELO PURCHASING DEPARTMENT 72 West College Avenue, San Angelo, Texas 76903 Tel: (325) 657-4219 or 657-4220 Debarment and Suspension Certification (1) The prospective primary participant certifies to the best of its knowledge and belief that it and its principals: (a) Are not presently debarred, suspended, proposed for disbarment, declared ineligible, or voluntarily excluded from covered transactions by any Federal department or agency; (b) Have not within a three-year period preceding this application been convicted of or had a civil judgment rendered against them for commission of fraud or a criminal offense in connection with obtaining, attempting to obtain, or performing a public (Federal, State, or local) transaction or contract under a public transaction; violation of Federal or State antitrust statutes or commission of embezzlement, theft, forgery, bribery, falsification or destruction of records, making false statements, or receiving stolen property; (c) Are not presently indicted for or otherwise criminally or civilly charged by a governmental entity (Federal, State, or local) with commission of any of the offenses enumerated in paragraph (1)(b) of this certification; and (d) Have not within a three-year period preceding this application had one or more public transactions (Federal, State, or local) terminated for cause or default. (2) Where the prospective primary participant is unable to certify to any of the statements in this certification, such prospective primary participant shall attach an explanation to this proposal. Business Name: ______________________________________ __________________ Signature of Authorized Representative Date By: Printed Name and Title of Authorized Representative RFB: PRO-06-12/108 Arlington Street Page 25
  • 254.
    Debarment and SuspensionCertification INSTRUCTIONS 1. By signing and submitting this proposal, the prospective participant is providing the certification set out below. 2. The inability of a person to provide the certification required below will not necessarily result in denial of participation in this covered transaction. The prospective participant shall submit an explanation of why it cannot provide the certification set out below. The certification or explanation will be considered in connection with the determination whether to enter into this transaction. However, failure of the prospective participant to furnish a certification or an explanation shall disqualify such person from participation in this transaction. 3. The certification in this clause is a material representation of fact upon which reliance was placed when the City of San Angelo determined to enter into this transaction. If it is later determined that the prospective participant knowingly rendered an erroneous certification, in addition to other remedies available, the City of San Angelo may terminate this transaction for cause. 4. The prospective participant shall provide immediate written notice to the City of San Angelo to which this proposal is submitted if at any time the prospective participant learns that its certification was erroneous when submitted or has become erroneous because of changed circumstances. 5. The terms "covered transaction," "debarred," "suspended," "ineligible," "lower tier covered transaction," "participant," "person," "primary covered transaction," "principal," "proposal," and "voluntarily excluded," as used in this clause, have the meanings set out in the Definitions and Coverage sections of the rules implementing Executive Order 12549(13 CFR Part 145). You may contact the City of San Angelo for assistance in obtaining a copy of these regulations. 6. The prospective participant agrees by submitting this proposal that, should the proposed transaction be entered into, it shall not knowingly enter into any lower tier covered transaction with a person who is debarred, suspended, declared ineligible, or voluntarily excluded from participation in this covered transaction, unless authorized by the City of San Angelo. 7. The prospective participant further agrees by submitting this proposal that it will include the clause titled "Certification Regarding Debarment and Suspension" provided by the City of San Angelo, without modification, in all lower tier covered transactions and in all solicitations for lower tier covered transactions. 8. A participant in a covered transaction may rely upon a certification of a prospective participant in a lower tier covered transaction that it is not debarred, suspended, ineligible, or voluntarily excluded from the covered transaction, unless it knows that the certification is erroneous. A participant may decide the method and frequency by which it determines the ineligibility of its principals. Each participant may, but is not required to, check the Nonprocurement List. 9. Nothing contained in the foregoing shall be construed to require establishment of a system of records in order to render in good faith the certification required by this clause. The knowledge and information of a participant is not required to exceed that which is normally possessed by a prudent person in the ordinary course of business dealings. 10. Except for transactions authorized under paragraph 6 of these instructions, if a participant in a covered transaction knowingly enters into a lower tier covered transaction with a person who is suspended, debarred, ineligible, or voluntarily excluded from participation in this transaction, in addition to other remedies available to the City of San Angelo, the City of San Angelo may terminate this transaction for cause. RFB: PRO-06-12/108 Arlington Street Page 26
  • 255.
    CITY OF SANANGELO PURCHASING DEPARTMENT 72 West College Avenue, San Angelo, Texas 76903 Tel: (325) 657-4219 or 657-4220 Addendum Acknowledgment The bidder is responsible for determining if any addendums have been issued and agrees that the prices(s) quoted on the Bid Sheet reflect any changes or modifications created by any addendum(s). All addendums are posted on the City’s website as they are issued. Receipt is hereby acknowledged of the following addenda to the Contract documents. Addendum No. 1 Dated: Received: Addendum No. 2 Dated: Received: Addendum No. 3 Dated Received: Addendum No. 4 Dated: Received: Addendum No. 5 Dated: Received: Addendum No. 6 Dated Received: Business Name: ______________________________________ __________________ Signature of Authorized Representative Date By: Printed Name and Title of Authorized Representative RFB: PRO-06-12/108 Arlington Street Page 27
  • 256.
    Intentionally Left Blank RFB:PRO-06-12/108 Arlington Street Page 28
  • 257.
    CITY OF SANANGELO PURCHASING DEPARTMENT 72 West College Avenue, San Angelo, Texas 76903 Tel: (325) 657-4219 or 657-4220 Bid Sheet RFB No: PRO-06-12/108 Arlington Street Completed Disclosure of Certain Relationships (if applicable) Completed Debarment and Suspension Certification (REQUIRED) Completed Addendum Acknowledgment (REQUIRED) Please submit one (1) original, one (1) copy and one (1) electronic copy in PDF format on CD or USB Flash drive of the following bid forms. (REQUIRED) ITEM MINIMUM BID BID AMOUNT PROPERTY DESCRIPTION: $4,500.00 Lots 10 & 11, SAVE & EXCEPT the North 65’ and $ South 20’, W.E. Phillips Addition Located at 108 Arlington Street TOTAL BID $ BID SECURITY: $500.00 Money Order / Certified Check INCLUDED YES NO # BIDS THAT DO NOT INCLUDE A BID SECURITY OF $500.00 WILL BE CONSIDERED NON-RESPONSIVE. Respondent understands the City reserves the right to reject any and all bids. Bids which are not signed and dated or bids which do not comply will all bid requirements herein, may be considered non-responsive and may be rejected. Authorized Signature/Contact Information Firm Name: Mailing Address: City, State Zip Code: Authorized Signature: Print Name: Date: Tax ID: Payment Terms: Telephone: FAX: Email: RFB: PRO-06-12/108 Arlington Street Page 29 y:12-rfxpropertyrfb prp-06-12 108 arlingtonrfb pro-06-12 091312.docx
  • 258.
    City of SanAngelo Memo Date: March 14, 2013 To: Mayor and Councilmembers From: Cindy M. Preas, Real Estate Administrator (657-4407) Subject: Agenda Item for April 16, 2013 Council Meeting Contact: Diana Farris, Property Specialist (657-4407) Caption: Consent Item Consideration of adopting a Resolution of the City of San Angelo authorizing the mayor to execute a tax-resale (quitclaim) deed conveying all right, title and interest of the City of San Angelo, and all other taxing units interested in the tax foreclosure judgment: 2223 Lillie Street, (Ballard), S ½ of S 100’ of N 150’ of S 783.7’ of Block 8, Kirby, $750, Suit No. TAX91-0010B th 309 E 10 Street, (Deanda), N ½ of Lot 7, Block 3, Akins, $750, Suit No. TAX90- 0082B th 310 E 9 Street, (Deanda), S 80’ of E 12 2/3’ of Lot 8, S 80’ of Lot 7 & S 80’ of W 1 5/6’ of Lot 6, Block 3, Akins, $750, Suit No. TAX89-0364B th 115 W 16 Street, (Guerra), Lot 3, Block 11, Lasker, $1,900, Suit No. B-06-0088- T th 217 W 16 Street, (Guerra), Lot 3, Block 12, Lasker, $2,500, Suit No. B-05-0274- T 2327 Lillie Street, (Lewis-McKinney), S 50’ of N 447.7’ of Block 8, Kirby, $750, Suit No. TAX89-0217B th 209 W 9 Street, (Lewis-McKinney), Lot 3, Block 31, Miles, $750, Suit No. B-95- 0055-T 1923 Coleman Street, (Pearcy), Lot 12, Block 5 “E”, Chapman, $2,500, Suit No. B-07-0200-T 322 N Harrison Street, (Pearcy), Lot 30, Block 2B, George Allen, $2,500, Suit No. B-09-0050-T 613 N Adams Street, (Pearcy), Lot 3, Block 93, Angelo Heights, $2,700, Suit No. B-05-0268-T th 800 W 16 Street, (Roberts), Lot 10, Block 5, Mineola, $750, Suit No. TAX89- 0032B th 804 W 16 Street, (Roberts), Lot 11, Block 5, Mineola, $750, Suit No. TAX91- 0054B th 810 W 16 Street, (Roberts), Lot 12, Block 5, Mineola, $750, Suit No. TAX93- 0151B Summary: The subject properties were auctioned at Sheriff’s Sale. No offers were received causing subject properties to be stuck-off to the City, as Trustee for itself and the Adopted: 5/30/03 Revised: 6/21/10
  • 259.
    other taxing entities. History: The attached Property Analysis reflects amounts of delinquent taxes, accrued penalties, interest, attorney fees and costs for delinquent years of, together with additional penalties and interest at the rates prescribed by Chapter 33, Tex. Propety Financial Impact: Upon approval: (1) The City will retain a $500 Administration fee; (2) The balance will be distributed according to the judgment on the Sheriff’s Return; and (3) Property will be reinstated back onto tax roll. Related Vision Item Financial Vision – Examine liquidation of unused or underperforming city-owned properties (if applicable): Neighborhood Vision – Attract reinvestment Other Information/ Staff recommends approval. Recommendation: Attachments: Resolution, Property Analysis, Tax-Resale Deed and Property Location Map Presentation: N/A Publication: N/A Reviewed by Lysia H. Bowling, City Attorney Director: Approved by Legal:
  • 260.
    A RESOLUTION OFTHE CITY OF SAN ANGELO AUTHORIZING THE MAYOR TO EXECUTE A TAX-RESALE (QUITCLAIM) DEED CONVEYING ALL RIGHT, TITLE AND INTEREST OF THE CITY OF SAN ANGELO, AND ALL OTHER TAXING UNITS INTERESTED IN THE TAX FORECLOSURE JUDGMENT WHEREAS, by Sheriff’s Sale, the properties described below were struck-off to the City of San Angelo, Trustee, pursuant to delinquent tax foreclosure decrees of the 119th Judicial District, Tom Green County, Texas; and WHEREAS, offers have been made for the purchase of said properties pursuant to Section 34.05, Texas Tax Code Ann.(Vernon, 1982); and NOW THEREFORE BE IT RESOLVED BY THE CITY COUNCIL OF THE CITY OF SAN ANGELO that its Mayor, Alvin New, is hereby authorized to execute a Tax-Resale (quitclaim) Deed conveying the following described real properties to the following as specified below, all of the right, title, and interest of the City of San Angelo, and all other taxing units interested in the tax foreclosure judgment, located in San Angelo, Tom Green County, Texas: Conveying to: CAYDDRICK O’BRIEN BALLARD, a single person; ($750): The South 1/2 of the South 100 feet of the North 150 feet of the South 783.7 feet of Block 8, E.E. Kirby Addition, as described in Volume 688, Page 128, Deed Records of Tom Green County, Texas. Account #15-30200-0008-011-00 SALVADOR DEANDA, a single person; ($750): The South 80 feet of the East 12 2/3 Feet of Lot 8, the South 80 Feet of Lot 7, and the South 80 Feet of the West 1 5/6 Feet of Lot 6, Block 3, Akin’s Addition, City of San Angelo, as described in Volume 234, Page 485, Deed Records of Tom Green County, Texas. Account #01-10100-0003-008-00 SALVADOR DEANDA, a single person; ($750): The North ½ of Lot 7, Block 3, Akin Addition, City of San Angelo, as described in Volume 478, Page 95, Deed Records of Tom Green County, Texas. Account #01-10100-003-009-00 ALEJOS GUERRA and MARTHA ANN GUERRA, a married couple; ($1,900): Lot 3, Block 11, Lasker Addition, an addition to the City of San Angelo, Tom Green County, Texas, as described in Volume 1234, Page 952, Official Public Records of Real Property of Tom Green County, Texas. Account #16-31200-0011-002-00
  • 261.
    ALEJOS GUERRA andMARTHA ANN GUERRA, a married couple; ($2,500): Lot 3, Block 12, Lasker Addition, an addition to the City of San Angelo, Tom Green County, Texas, according to the map or plat thereof, recorded in Volume 23, Page 272, Deed Records of Tom Green County, Texas. Account #16-31200-0012-003-00 MARLOW LEWIS, a single person, and CARLETTA MCKINNEY, a single person; ($750): The South 50 feet of the North 447.7 feet of Block 8 of the E.S. Kirby Subdivision, City of San Angelo, as described in Volume 687, Page 547, Deed Records of Tom Green County, Texas. Account #15-30200-0008-019-00 MARLOW LEWIS, a single person, and CARLETTA MCKINNEY, a single person; ($750): Lot 3, Block 31, Miles Addition, as described in Volume 186, Page 339, Deed Records of Tom Green County, Texas. Account #18-34200-0031-003-00 JOHN S. PEARCY, a single person; ($2,500): Lots 12, Block 5 “E”, Chapman’s Subdivision of Blocks 4 and 5, Freeland’s Addition, City of San Angelo, Tom Green County, Texas, as described in Volume 182, Page 208, Deed Records of Tom Green County, Texas. Account #05-17700-0005-012-00 JOHN S. PEARCY, a single person; ($2,500): Lot 30, Block 2B, George Allen Addition, City of San Angelo, being more particularly described in Volume 1131, Page 119, Official Public Records of Tom Green County, Texas. Account #01-10500-0002-027-00 JOHN S. PEARCY, a single person; ($2,700): Lot 3, Block 93, Dallas Subdivision of Miles Addition No. 2, known as Angelo Heights Addition, an addition to the City of San Angelo, Tom Green County, Texas, according to the map or plat thereof, recorded in Volume 54, Page 168, Deed Records of Tom Green County, Texas. Account #01-11000-0093-003-00 MACKLE E. ROBERTS and JACQUELINE P. ROBERTS, a married couple; ($750): Lot 10, Block 5, Mineola Addition, City of San Angelo, as described in Volume 620, Page 365, Deed Records of Tom Green County, Texas. Account #20-34900-0005-007-00
  • 262.
    MACKLE E. ROBERTSand JACQUELINE P. ROBERTS, a married couple; ($750): Lot 11, Block 5, Mineola Addition, City of San Angelo, Tom Green County, Texas. Account #20-34900-0005-008-00 MACKLE E. ROBERTS and JACQUELINE P. ROBERTS, a married couple; ($750): Lot 12, Block 5, Mineola Addition, City of San Angelo, as described in Volume 408, Page 15, Deed Records of Tom Green County, Texas. Account #20-34900-0005-009-00 APPROVED AND ADOPTED ON THE DAY OF , 2013. THE CITY OF SAN ANGELO _______________________________ Alvin New, Mayor Attest: ______________________________ Alicia Ramirez, City Clerk Approved As to Content: Approved As to Form: ______________________________ ______________________________ Cindy M. Preas, Real Estate Administrator Lysia H. Bowling, City Attorney
  • 263.
    S 1/2 ofthe S 100' of N 150' o S 783.7' of Block 8, E.S. Kirby Addition 2223 Lillie St 50' x 216' Copyright 2011 Esri. All rights reserved. Mon Feb 13 2012 09:27:30 AM.
  • 265.
    CLOSING TRUSTEE LOTS ACCEPTED OFFER 3/25/2013 SUIT # TAX91-0010B ACCOUNT # 15-30200-0008-011-00 WRITTEN OFFER BY DATE 3/22/2013 BY Cayddrick O'Brien Ballard MEMO  PROPERTY ANALYSIS  RESOLUTION AUTHORIZING SALE OF REAL PROPERTY  RESOLUTION AUTHORIZING TAX RESALE COUNTY  RESOLUTION AUTHORIZING TAX RESALE SCHOOL  MAP  VERIFICATION SENT 3/27/2013 TGCAD CITY REQUEST FOR LEGAL ASSISTANCE SENT 3/27/2013 RETURNED EMAIL AGENDA AGENDA 4/16/2013 RECEIVE SIGNED RESOLUTIONS & TAX-RESALE DEED COUNTY AGENDA SENT DATE DISTRICT AGENDA SENT DATE PAID Earnest DATE 3/25/2013 CK/MO# CC/Rcpt. #156722 AMT PD $ 350.00 Closing DATE CK/MO# AMT PD plus $30.00 filing fee RECORDED AT TOM GREEN COUNTY CLERK'S OFFICE REQUEST CHECKS TO DISTRIBUTE FUNDS MAIL LETTERS AND DISTRIBUTE FUNDS SEND LIEN ADJUSTMENT FORM (Mary/Blanca) David Alicia Cindy Mike Mike Hall Ramirez Preas Smith Dane REMOVE FROM CITY OWNED PROPERTY REMOVE FROM TAX FORECLOSURE LIST PLACE ON RECORD MANAGEMENT - TAX RESALE SOLD LIST MAIL ORIGINAL DEED TO NEW OWNER
  • 266.
    NOTICE OF CONFIDENTIALITYRIGHTS: If you are a natural person, you may remove or strike any or all of the following information from this instrument before it is filed for record in the public records: your social security number or your driver’s license number. Tax-Resale Deed (Property Sold for Less than Adjudged Value) Date: __________________________ Grantor: The City of San Angelo, a Texas home-rule municipal corporation, for itself and as Trustee for itself, Tom Green County, and San Angelo Independent School District 72 West College Avenue San Angelo, Tom Green County, Texas 76903 Grantee: CAYDDRICK O’BRIEN BALLARD, a single person 2339 North Lillie Street San Angelo, Tom Green County, Texas 76903 Consideration: Ten and No/100 Dollars ($10.00) and other good and valuable consideration Property (including any improvements): The South 1/2 of the South 100 feet of the North 150 feet of the South 783.7 feet of Block 8, E.E. Kirby Addition, as described in Volume 688, Page 128, Deed Records of Tom Green County, Texas. Account #15-30200-0008-011-00 Judgment: Judgment for the foreclosure of a tax lien against the Property entered on September 2, 1992 in Suit No. TAX91-0010B by the 119th District Court of Tom Green County, Texas. Sheriff’s Deed: Grantor acquired full legal title to the Property — both for its own benefit and as Trustee for all other taxing authorities entitled to receive proceeds from the sale of the Property under the terms of the Judgment — by Sheriff’s Deed dated February 15, 1993, and recorded in Volume 350, Page 175, Official Public Records of Real Property, Tom Green County, Texas. For the Consideration, Grantor — acting by and through its Mayor, who has been duly authorized to execute this instrument on Grantor’s behalf by resolution and order of Grantor’s City Council recorded in the City Council’s official minutes — hereby quitclaims to Grantee all of Grantor's right, title, and interest in and to the Property, to have and to hold it to Grantee and Grantee's heirs, successors, and assigns forever. Neither Grantor, nor any other taxing unit interested in the Judgment, nor any other person or entity claiming under them, will have, claim, or demand any right or title to the Property or any part of it. Grantor gives this Tax- Resale Deed without any express or implied warranty whatsoever; and all warranties that might arise by common law and the warranties in § 5.023 of the Texas Property Code (or its successor) are hereby specifically excluded. Grantee's rights under this deed are subject to the provisions of Chapter 34 of the Texas Tax Code, including, without limitation, any right of redemption remaining in the former owner of the Property; the terms of any recorded restrictive covenants running with the land that were recorded before January 1 of the year in which the tax lien on the property arose; any recorded lien that arose under such restrictive covenants that was
  • 267.
    not extinguished inthe judgment foreclosing the tax lien; and each valid easement of record as of the date of the sale that was recorded before January 1 of the year the tax lien arose. Grantor is selling the Property to Grantee for an amount that is less than the lesser of (1) the market value specified in the Judgment, or (2) the total amount of the Judgment. Grantee assumes full payment of any ad valorem taxes for the Property for the current year and all future years. When the context requires, singular nouns and pronouns include the plural. GRANTOR: The City of San Angelo, a Texas home-rule municipal corporation, for itself and as Trustee for any taxing authorities named in the Judgment ATTEST: By: ____________________________ Alvin New, Mayor and duly-authorized agent Alicia Ramirez, City Clerk STATE OF TEXAS § § COUNTY OF TOM GREEN § This instrument was acknowledged before me on _____________________, 2013, by Alvin New, Mayor and duly-authorized agent of the City of San Angelo, a Texas home-rule municipal corporation, on behalf of such corporation and as Trustee for any taxing authorities named in the Judgment identified in the above instrument. __________________________________ Notary Public, State of Texas After Recording, Return To:
  • 268.
    PROPERTY ANALYSIS For Tax Resale Property Legal Description: The South 1/2 of the South 100 feet of the North 150 feet of the South 783.7 feet of Block 8, E.E. Kirby Addition, as described in Volume 688, Page 128, Deed Records of Tom Green County, Texas. Account #15-30200-0008-011-00 Improved/Unimproved Unimproved Tax Suit Number: TAX91-0010B Location: 2223 Lillie Street Parcel Size/Dimensions: 50' x 216' City of San Angelo vs. Fay Hudson, a/k/a Fayrene Hudson Account # UNKNOWN Tax ID Number: #15-30200-0008-011-00 Judgment Date: September 2, 1992 Date of Sheriff's Sale: February 2, 1993 Sheriff's Deed Recorded: February 17, 1993 Years Held in Trust 20 YRS Adjudge Value: $ 4,000.00 Sale under Urban Redevelopment? No Amount of Offer: $ 750.00 Amounts Due Priority % of Pro Rata Amounts Fees Judgment Allocations Remainder Allocations Distributed Administration Fee $500.00 $500.00 0.00% $500.00 Maintenance Fee $ 2,800.00 $ 2,800.00 100.00% $ 250.00 $ 250.00 District Clerk $0.00 $0.00 0.00% $0.00 Sheriff's Fee $0.00 $0.00 0.00% $0.00 Attorney Fee $0.00 $0.00 0.00% $0.00 Municipal Liens $ - $0.00 0.00% $0.00 $0.00 Taxes $ - $0.00 0.00% $0.00 $0.00 Total $3,300.00 $0.00 $3,300.00 100.00% $0.00 $750.00 Actual Total Amt Due $3,300.00 Amount Remaining $ 250.00 Offer will satisfy all costs according to the Judgment.
  • 269.
    S 80' ofE 12 2/2' of Lot 8, S 80' of Lot 7 & S 80' of W 1 5/6' of Lot 6, Block 3, Akins Addition 310 E 9th Street 64' x 80' Copyright 2011 Esri. All rights reserved. Tue Feb 14 2012 03:32:37 PM.
  • 271.
    S 80' ofE 12 2/2' of Lot 8, S 80' of Lot 7 & S 80' of W 1 5/6' of Lot 6, Block 3, Akins Addition 310 E 9th Street 64' x 80' Copyright 2011 Esri. All rights reserved. Tue Feb 14 2012 03:32:37 PM.
  • 273.
    Date of Sales Due Customer Subdivision Lot Block Sec Owner Service Principal Tax Date ID Volume Page Instrument Akin S80 of E12.6' of Lot 8& S80' of Lot 7& S80' of W10' of Lot 6 3 Allcorn, A.J. 10/10/95 $45.00 $3.49 11/10/95 9999 514 7 Akin S80' of E12.6 of 8 & S80' of W1'10" of 6 3 Allcorn, R. J. 06/28/94 $45.00 $3.49 07/28/94 9999 444 786 Akin S80' of 3,E12.6' of Lot 8 & S80' of Lot 7 & S80' of W1' of 6 Allcorn, R.J. 07/11/96 $45.00 $3.49 08/29/96 9999 594 444 Akin S80' of E12.6' of Lot 8 & S80' of Lot 7 & S80' of Lot 6 3 Allcorn, R.J. 10/07/94 $45.00 $3.49 11/07/94 9999 463 699 Akin S80' of E12.6' of Lot 8& S80' of Lot 7& S80 of W10' of Lot 6 3 Allcorn, R.J. 07/13/95 $45.00 $3.49 08/13/95 9999 494 122 Akin S80' of E12.6' of Lot8 & S80' of Lot7 & S80' of W10' of Lot6 3 Allcorn, R.J. 04/28/95 $90.00 $6.98 05/28/95 9999 491 431
  • 274.
    PARTIAL RELEASE OFLIEN Holder of Lien: City of San Angelo, Tom Green County, Texas, a Texas home-rule municipal corporation Holder’s Mailing Address (including county): c/o City Attorney 72 W College Avenue San Angelo, Tom Green County, TX 76903 Owner of Property at Time Liens were Filed: R.J. Allcom Liens are Described in the Following Documents: 1. That one certain Lien recorded in Volume 514, Page 7, of the Official Public Records of Real Property, Tom Green County, Texas. 2. That one certain Lien recorded in Volume 444, Page 786, of the Official Public Records of Real Property, Tom Green County, Texas. 3. That one certain Lien recorded in Volume 594, Page 444, of the Official Public Records of Real Property, Tom Green County, Texas. 4. That one certain Lien recorded in Volume 463, Page 699, of the Official Public Records of Real Property, Tom Green County, Texas. 5. That one certain Lien recorded in Volume 494, Page 122, of the Official Public Records of Real Property, Tom Green County, Texas. 6. That one certain Lien recorded in Volume 491, Page 431, of the Official Public Records of Real Property, Tom Green County, Texas. Property (including any improvements) to be Released from Lien: Tract 1: Being S. 80’ of E. 12.6’ of lot 8 & S. 80’ of W. 10’ of lot 6, Block 3, Akin Addition, City of San Angelo, Tom Green County, Texas. Tract 2: Being S. 80’ of E. 12.6’ of Lot 8 & S. 80’ of W. 1’10” of Lot 6, Block 3, Akin Addition, City of San Angelo, Tom Green County, Texas. Tract 3: Being S. 80’ of E. 12.6 of lot 8 & S. 80’ of Lot 7 & S. 80’ of W. 1’0” of lot 6, Block 3, Akin Addition, City of San Angelo, Tom Green County, Texas. Tract 4: Being S. 80’ of E. 12.6’ of Lot 8 & S. 80’ of Lot 7 & S. 80’ of Lot 6, Block 3, Akin Addition, City of San Angelo, Tom Green County, Texas. Tract 5: Being S. 80’ of E. 12.6 of lot 8 & S. 80’ of Lot 7 & S. 80’ of W. 10’ of lot 6, Block 3, Akin Addition, City of San Angelo, Tom Green County, Texas. Holder of the lien acknowledges partial payment or other satisfaction of indebtedness secured thereby and releases from the lien only the property described above. When the context requires, singular nouns and pronouns include the plural. EXECUTED on the _______ day of _____________________, 2013. CITY OF SAN ANGELO a Texas home-rule municipal corporation BY: Michael Dane, Assistant City Manager STATE OF TEXAS § COUNTY OF TOM GREEN § This instrument was acknowledged before me on the ______ day of _________________, 2013, by Michael Dane, as Assistant City Manager of the City of San Angelo, a Texas home-rule municipal corporation, on behalf of said corporation. Notary Public, State of Texas
  • 275.
    WRITTEN OFFER April 1,2013 Mayor Alvin New c/o Real Estate Division City Attorney’s Office 72 W College Avenue San Angelo, TX 76903 RE: TAX89-0364B I, Salvador Deanda, a single person, submit a written offer in the amount of $750.00 for the property described as follows: The South 80 feet of the East 12 2/3 Feet of Lot 8, the South 80 Feet of Lot 7, and the South 80 Feet of the West 1 5/6 Feet of Lot 6, Block 3, Akin’s Addition, City of San Angelo, as described in Volume 234, Page 485, Deed Records of Tom Green County, Texas. Account #01-10100-0003-008-00 I understand there is an additional $30.00 filing fee. I understand I must provide a Certified or Cashier’s Check in the sum of $350.00. I also understand that this earnest money shall be made payable without condition to the City of San Angelo, Texas and is non-refundable once the offer has been accepted by the Property Manager. Monies furnished as “earnest money” will be credited towards the sales price. I understand I can not owe any delinquent taxes or fees to any of the taxing entities (City of San Angelo, Tom Green County, and San Angelo Independent School District). I understand that I have sixty (60) days from the date of purchase to notify the City Property Manager of any City Liens; if I do not, I understand that I will be monetarily responsible for all unpaid Liens. If approved by the City Council, please make deed in the name(s) of: Salvador Deanda 503 S Washington San Angelo, TX 76901 325-650-4341 or 325-658-3043 Sincerely, Salvador Deanda
  • 276.
    NOTICE OF CONFIDENTIALITYRIGHTS: If you are a natural person, you may remove or strike any or all of the following information from this instrument before it is filed for record in the public records: your social security number or your driver’s license number. Tax-Resale Deed (Property Sold for Less than Adjudged Value) Date: __________________________ Grantor: The City of San Angelo, a Texas home-rule municipal corporation, for itself and as Trustee for itself, Tom Green County, and San Angelo Independent School District 72 West College Avenue San Angelo, Tom Green County, Texas 76903 Grantee: SALVADOR DEANDA, a single person 503 S Washington San Angelo, Tom Green County, Texas 76901 Consideration: Ten and No/100 Dollars ($10.00) and other good and valuable consideration Property (including any improvements): The South 80 feet of the East 12 2/3 Feet of Lot 8, the South 80 Feet of Lot 7, and the South 80 Feet of the West 1 5/6 Feet of Lot 6, Block 3, Akin’s Addition, City of San Angelo, as described in Volume 234, Page 485, Deed Records of Tom Green County, Texas. Account #01-10100-0003-008-00 Judgment: Judgment for the foreclosure of a tax lien against the Property entered on March 27, 1996 in Suit No. TAX89-0364B by the 119th District Court of Tom Green County, Texas. Sheriff’s Deed: Grantor acquired full legal title to the Property — both for its own benefit and as Trustee for all other taxing authorities entitled to receive proceeds from the sale of the Property under the terms of the Judgment — by Sheriff’s Deed dated April 12, 1996, and recorded in Volume 528, Page 999, Official Public Records of Real Property, Tom Green County, Texas. For the Consideration, Grantor — acting by and through its Mayor, who has been duly authorized to execute this instrument on Grantor’s behalf by resolution and order of Grantor’s City Council recorded in the City Council’s official minutes — hereby quitclaims to Grantee all of Grantor's right, title, and interest in and to the Property, to have and to hold it to Grantee and Grantee's heirs, successors, and assigns forever. Neither Grantor, nor any other taxing unit interested in the Judgment, nor any other person or entity claiming under them, will have, claim, or demand any right or title to the Property or any part of it. Grantor gives this Tax- Resale Deed without any express or implied warranty whatsoever; and all warranties that might arise by common law and the warranties in § 5.023 of the Texas Property Code (or its successor) are hereby specifically excluded. Grantee's rights under this deed are subject to the provisions of Chapter 34 of the Texas Tax Code, including, without limitation, any right of redemption remaining in the former owner of the Property; the terms of any recorded restrictive covenants running with the land that were recorded before January 1 of the year in which the tax lien on the property arose; any recorded lien that arose under such restrictive covenants that was
  • 277.
    PARTIAL RELEASE OFLIEN Holder of Lien: City of San Angelo, Tom Green County, Texas, a Texas home-rule municipal corporation Holder’s Mailing Address (including county): c/o City Attorney 72 W College Avenue San Angelo, Tom Green County, TX 76903 Owner of Property at Time Liens were Filed: R.J. Allcom Liens are Described in the Following Documents: 1. That one certain Lien recorded in Volume 514, Page 7, of the Official Public Records of Real Property, Tom Green County, Texas. 2. That one certain Lien recorded in Volume 444, Page 786, of the Official Public Records of Real Property, Tom Green County, Texas. 3. That one certain Lien recorded in Volume 594, Page 444, of the Official Public Records of Real Property, Tom Green County, Texas. 4. That one certain Lien recorded in Volume 463, Page 699, of the Official Public Records of Real Property, Tom Green County, Texas. 5. That one certain Lien recorded in Volume 494, Page 122, of the Official Public Records of Real Property, Tom Green County, Texas. 6. That one certain Lien recorded in Volume 491, Page 431, of the Official Public Records of Real Property, Tom Green County, Texas. Property (including any improvements) to be Released from Lien: Tract 1: Being S. 80’ of E. 12.6’ of lot 8 & S. 80’ of W. 10’ of lot 6, Block 3, Akin Addition, City of San Angelo, Tom Green County, Texas. Tract 2: Being S. 80’ of E. 12.6’ of Lot 8 & S. 80’ of W. 1’10” of Lot 6, Block 3, Akin Addition, City of San Angelo, Tom Green County, Texas. Tract 3: Being S. 80’ of E. 12.6 of lot 8 & S. 80’ of Lot 7 & S. 80’ of W. 1’0” of lot 6, Block 3, Akin Addition, City of San Angelo, Tom Green County, Texas. Tract 4: Being S. 80’ of E. 12.6’ of Lot 8 & S. 80’ of Lot 7 & S. 80’ of Lot 6, Block 3, Akin Addition, City of San Angelo, Tom Green County, Texas. Tract 5: Being S. 80’ of E. 12.6 of lot 8 & S. 80’ of Lot 7 & S. 80’ of W. 10’ of lot 6, Block 3, Akin Addition, City of San Angelo, Tom Green County, Texas. Holder of the lien acknowledges partial payment or other satisfaction of indebtedness secured thereby and releases from the lien only the property described above. When the context requires, singular nouns and pronouns include the plural. EXECUTED on the _______ day of _____________________, 2013. CITY OF SAN ANGELO a Texas home-rule municipal corporation BY: Michael Dane, Assistant City Manager STATE OF TEXAS § COUNTY OF TOM GREEN § This instrument was acknowledged before me on the ______ day of _________________, 2013, by Michael Dane, as Assistant City Manager of the City of San Angelo, a Texas home-rule municipal corporation, on behalf of said corporation. Notary Public, State of Texas
  • 278.
    not extinguished inthe judgment foreclosing the tax lien; and each valid easement of record as of the date of the sale that was recorded before January 1 of the year the tax lien arose. Grantor is selling the Property to Grantee for an amount that is less than the lesser of (1) the market value specified in the Judgment, or (2) the total amount of the Judgment. Grantee assumes full payment of any ad valorem taxes for the Property for the current year and all future years. When the context requires, singular nouns and pronouns include the plural. GRANTOR: The City of San Angelo, a Texas home-rule municipal corporation, for itself and as Trustee for any taxing authorities named in the Judgment ATTEST: By: ____________________________ Alvin New, Mayor and duly-authorized agent Alicia Ramirez, City Clerk STATE OF TEXAS § § COUNTY OF TOM GREEN § This instrument was acknowledged before me on _____________________, 2013, by Alvin New, Mayor and duly-authorized agent of the City of San Angelo, a Texas home-rule municipal corporation, on behalf of such corporation and as Trustee for any taxing authorities named in the Judgment identified in the above instrument. __________________________________ Notary Public, State of Texas After Recording, Return To:
  • 279.
    S 80' ofE 12 2/2' of Lot 8, S 80' of Lot 7 & S 80' of W 1 5/6' of Lot 6, Block 3, Akins Addition 310 E 9th Street 64' x 80' Copyright 2011 Esri. All rights reserved. Tue Feb 14 2012 03:32:37 PM.
  • 281.
    WRITTEN OFFER April 1,2013 Mayor Alvin New c/o Real Estate Division City Attorney’s Office 72 W College Avenue San Angelo, TX 76903 RE: TAX89-0364B I, Salvador Deanda, a single person, submit a written offer in the amount of $750.00 for the property described as follows: The South 80 feet of the East 12 2/3 Feet of Lot 8, the South 80 Feet of Lot 7, and the South 80 Feet of the West 1 5/6 Feet of Lot 6, Block 3, Akin’s Addition, City of San Angelo, as described in Volume 234, Page 485, Deed Records of Tom Green County, Texas. Account #01-10100-0003-008-00 I understand there is an additional $30.00 filing fee. I understand I must provide a Certified or Cashier’s Check in the sum of $350.00. I also understand that this earnest money shall be made payable without condition to the City of San Angelo, Texas and is non-refundable once the offer has been accepted by the Property Manager. Monies furnished as “earnest money” will be credited towards the sales price. I understand I can not owe any delinquent taxes or fees to any of the taxing entities (City of San Angelo, Tom Green County, and San Angelo Independent School District). I understand that I have sixty (60) days from the date of purchase to notify the City Property Manager of any City Liens; if I do not, I understand that I will be monetarily responsible for all unpaid Liens. If approved by the City Council, please make deed in the name(s) of: Salvador Deanda 503 S Washington San Angelo, TX 76901 325-650-4341 or 325-658-3043 Sincerely, Salvador Deanda
  • 282.
    NOTICE OF CONFIDENTIALITYRIGHTS: If you are a natural person, you may remove or strike any or all of the following information from this instrument before it is filed for record in the public records: your social security number or your driver’s license number. Tax-Resale Deed (Property Sold for Less than Adjudged Value) Date: __________________________ Grantor: The City of San Angelo, a Texas home-rule municipal corporation, for itself and as Trustee for itself, Tom Green County, and San Angelo Independent School District 72 West College Avenue San Angelo, Tom Green County, Texas 76903 Grantee: SALVADOR DEANDA, a single person 503 S Washington San Angelo, Tom Green County, Texas 76901 Consideration: Ten and No/100 Dollars ($10.00) and other good and valuable consideration Property (including any improvements): The South 80 feet of the East 12 2/3 Feet of Lot 8, the South 80 Feet of Lot 7, and the South 80 Feet of the West 1 5/6 Feet of Lot 6, Block 3, Akin’s Addition, City of San Angelo, as described in Volume 234, Page 485, Deed Records of Tom Green County, Texas. Account #01-10100-0003-008-00 Judgment: Judgment for the foreclosure of a tax lien against the Property entered on March 27, 1996 in Suit No. TAX89-0364B by the 119th District Court of Tom Green County, Texas. Sheriff’s Deed: Grantor acquired full legal title to the Property — both for its own benefit and as Trustee for all other taxing authorities entitled to receive proceeds from the sale of the Property under the terms of the Judgment — by Sheriff’s Deed dated April 12, 1996, and recorded in Volume 528, Page 999, Official Public Records of Real Property, Tom Green County, Texas. For the Consideration, Grantor — acting by and through its Mayor, who has been duly authorized to execute this instrument on Grantor’s behalf by resolution and order of Grantor’s City Council recorded in the City Council’s official minutes — hereby quitclaims to Grantee all of Grantor's right, title, and interest in and to the Property, to have and to hold it to Grantee and Grantee's heirs, successors, and assigns forever. Neither Grantor, nor any other taxing unit interested in the Judgment, nor any other person or entity claiming under them, will have, claim, or demand any right or title to the Property or any part of it. Grantor gives this Tax- Resale Deed without any express or implied warranty whatsoever; and all warranties that might arise by common law and the warranties in § 5.023 of the Texas Property Code (or its successor) are hereby specifically excluded. Grantee's rights under this deed are subject to the provisions of Chapter 34 of the Texas Tax Code, including, without limitation, any right of redemption remaining in the former owner of the Property; the terms of any recorded restrictive covenants running with the land that were recorded before January 1 of the year in which the tax lien on the property arose; any recorded lien that arose under such restrictive covenants that was
  • 283.
    not extinguished inthe judgment foreclosing the tax lien; and each valid easement of record as of the date of the sale that was recorded before January 1 of the year the tax lien arose. Grantor is selling the Property to Grantee for an amount that is less than the lesser of (1) the market value specified in the Judgment, or (2) the total amount of the Judgment. Grantee assumes full payment of any ad valorem taxes for the Property for the current year and all future years. When the context requires, singular nouns and pronouns include the plural. GRANTOR: The City of San Angelo, a Texas home-rule municipal corporation, for itself and as Trustee for any taxing authorities named in the Judgment ATTEST: By: ____________________________ Alvin New, Mayor and duly-authorized agent Alicia Ramirez, City Clerk STATE OF TEXAS § § COUNTY OF TOM GREEN § This instrument was acknowledged before me on _____________________, 2013, by Alvin New, Mayor and duly-authorized agent of the City of San Angelo, a Texas home-rule municipal corporation, on behalf of such corporation and as Trustee for any taxing authorities named in the Judgment identified in the above instrument. __________________________________ Notary Public, State of Texas After Recording, Return To:
  • 284.
    PROPERTY ANALYSIS For Tax Resale Property Legal Description: The South 80 feet of the East 12 2/3 Feet of Lot 8, the South 80 Feet of Lot 7, and the South 80 Feet of the West 1 5/6 Feet of Lot 6, Block 3, Akin’s Addition, City of San Angelo, as described in Volume 234, Page 485, Deed Records of Tom Green County, Texas. Account #01-10100-0003-008-00 Improved/Unimproved Unimproved Tax Suit Number: TAX89-0364B Location: 310 E 9th Street Parcel Size/Dimensions: 64' x 80' City of San Angelo vs. Robbie Allcorn, a/k/a Robbie Alcorn Mayes, a/k/a R.J. Allcorn Account # 995 Tax ID Number: #01-10100-0003-008-00 Judgment Date: March 27, 1996 Date of Sheriff's Sale: February 6, 1996 Sheriff's Deed Recorded: May 7, 1996 Years Held in Trust 17 YRS Adjudge Value: $ 3,200.00 Sale under Urban Redevelopment? No Amount of Offer: $ 750.00 Amounts Due Priority % of Pro Rata Amounts Fees Judgment Allocations Remainder Allocations Distributed Administration Fee $500.00 $500.00 0.00% $500.00 Maintenance Fee $ 2,448.00 $ 2,448.00 100.00% $ 250.00 $ 250.00 District Clerk $0.00 $0.00 0.00% $0.00 Sheriff's Fee $0.00 $0.00 0.00% $0.00 Attorney Fee $0.00 $0.00 0.00% $0.00 Municipal Liens $ - $0.00 0.00% $0.00 $0.00 Taxes $ - $0.00 0.00% $0.00 $0.00 Total $2,948.00 $0.00 $2,948.00 100.00% $0.00 $750.00 Actual Total Amt Due $2,948.00 Amount Remaining $ 250.00 Offer will satisfy all costs according to the Judgment.
  • 285.
    N 1/2 ofLot 7, Block 2, Akin Addition 309 E 10th St 50' x 80' Copyright 2011 Esri. All rights reserved. Wed Dec 21 2011 03:47:06 PM.
  • 287.
    PARTIAL RELEASE OFLIEN Holder of Lien: City of San Angelo, Tom Green County, Texas, a Texas home-rule municipal corporation Holder’s Mailing Address (including county): c/o City Attorney 72 W College Avenue San Angelo, Tom Green County, TX 76903 Owner of Property at Time Liens were Filed: R.J. Allcom Liens are Described in the Following Documents: 1. That one certain Lien recorded in Volume 514, Page 7, of the Official Public Records of Real Property, Tom Green County, Texas. 2. That one certain Lien recorded in Volume 444, Page 786, of the Official Public Records of Real Property, Tom Green County, Texas. 3. That one certain Lien recorded in Volume 594, Page 444, of the Official Public Records of Real Property, Tom Green County, Texas. 4. That one certain Lien recorded in Volume 463, Page 699, of the Official Public Records of Real Property, Tom Green County, Texas. 5. That one certain Lien recorded in Volume 494, Page 122, of the Official Public Records of Real Property, Tom Green County, Texas. 6. That one certain Lien recorded in Volume 491, Page 431, of the Official Public Records of Real Property, Tom Green County, Texas. Property (including any improvements) to be Released from Lien: Tract 1: Being S. 80’ of E. 12.6’ of lot 8 & S. 80’ of W. 10’ of lot 6, Block 3, Akin Addition, City of San Angelo, Tom Green County, Texas. Tract 2: Being S. 80’ of E. 12.6’ of Lot 8 & S. 80’ of W. 1’10” of Lot 6, Block 3, Akin Addition, City of San Angelo, Tom Green County, Texas. Tract 3: Being S. 80’ of E. 12.6 of lot 8 & S. 80’ of Lot 7 & S. 80’ of W. 1’0” of lot 6, Block 3, Akin Addition, City of San Angelo, Tom Green County, Texas. Tract 4: Being S. 80’ of E. 12.6’ of Lot 8 & S. 80’ of Lot 7 & S. 80’ of Lot 6, Block 3, Akin Addition, City of San Angelo, Tom Green County, Texas. Tract 5: Being S. 80’ of E. 12.6 of lot 8 & S. 80’ of Lot 7 & S. 80’ of W. 10’ of lot 6, Block 3, Akin Addition, City of San Angelo, Tom Green County, Texas. Holder of the lien acknowledges partial payment or other satisfaction of indebtedness secured thereby and releases from the lien only the property described above. When the context requires, singular nouns and pronouns include the plural. EXECUTED on the _______ day of _____________________, 2013. CITY OF SAN ANGELO a Texas home-rule municipal corporation BY: Michael Dane, Assistant City Manager STATE OF TEXAS § COUNTY OF TOM GREEN § This instrument was acknowledged before me on the ______ day of _________________, 2013, by Michael Dane, as Assistant City Manager of the City of San Angelo, a Texas home-rule municipal corporation, on behalf of said corporation. Notary Public, State of Texas
  • 288.
    Date of Sales Due Customer Subdivision Lot Block Sec Owner Service Principal Tax Date ID Volume Page Instrument Akin S80 of E12.6' of Lot 8& S80' of Lot 7& S80' of W10' of Lot 6 3 Allcorn, A.J. 10/10/95 $45.00 $3.49 11/10/95 9999 514 7 Akin S80' of E12.6 of 8 & S80' of W1'10" of 6 3 Allcorn, R. J. 06/28/94 $45.00 $3.49 07/28/94 9999 444 786 Akin S80' of 3,E12.6' of Lot 8 & S80' of Lot 7 & S80' of W1' of 6 Allcorn, R.J. 07/11/96 $45.00 $3.49 08/29/96 9999 594 444 Akin S80' of E12.6' of Lot 8 & S80' of Lot 7 & S80' of Lot 6 3 Allcorn, R.J. 10/07/94 $45.00 $3.49 11/07/94 9999 463 699 Akin S80' of E12.6' of Lot 8& S80' of Lot 7& S80 of W10' of Lot 6 3 Allcorn, R.J. 07/13/95 $45.00 $3.49 08/13/95 9999 494 122 Akin S80' of E12.6' of Lot8 & S80' of Lot7 & S80' of W10' of Lot6 3 Allcorn, R.J. 04/28/95 $90.00 $6.98 05/28/95 9999 491 431
  • 289.
    S 80' ofE 12 2/2' of Lot 8, S 80' of Lot 7 & S 80' of W 1 5/6' of Lot 6, Block 3, Akins Addition 310 E 9th Street 64' x 80' Copyright 2011 Esri. All rights reserved. Tue Feb 14 2012 03:32:37 PM.
  • 291.
    PROPERTY ANALYSIS For Tax Resale Property Legal Description: The South 80 feet of the East 12 2/3 Feet of Lot 8, the South 80 Feet of Lot 7, and the South 80 Feet of the West 1 5/6 Feet of Lot 6, Block 3, Akin’s Addition, City of San Angelo, as described in Volume 234, Page 485, Deed Records of Tom Green County, Texas. Account #01-10100-0003-008-00 Improved/Unimproved Unimproved Tax Suit Number: TAX89-0364B Location: 310 E 9th Street Parcel Size/Dimensions: 64' x 80' City of San Angelo vs. Robbie Allcorn, a/k/a Robbie Alcorn Mayes, a/k/a R.J. Allcorn Account # 995 Tax ID Number: #01-10100-0003-008-00 Judgment Date: March 27, 1996 Date of Sheriff's Sale: February 6, 1996 Sheriff's Deed Recorded: May 7, 1996 Years Held in Trust 17 YRS Adjudge Value: $ 3,200.00 Sale under Urban Redevelopment? No Amount of Offer: $ 750.00 Amounts Due Priority % of Pro Rata Amounts Fees Judgment Allocations Remainder Allocations Distributed Administration Fee $500.00 $500.00 0.00% $500.00 Maintenance Fee $ 2,448.00 $ 2,448.00 100.00% $ 250.00 $ 250.00 District Clerk $0.00 $0.00 0.00% $0.00 Sheriff's Fee $0.00 $0.00 0.00% $0.00 Attorney Fee $0.00 $0.00 0.00% $0.00 Municipal Liens $ - $0.00 0.00% $0.00 $0.00 Taxes $ - $0.00 0.00% $0.00 $0.00 Total $2,948.00 $0.00 $2,948.00 100.00% $0.00 $750.00 Actual Total Amt Due $2,948.00 Amount Remaining $ 250.00 Offer will satisfy all costs according to the Judgment.
  • 292.
    PROPERTY ANALYSIS CITY PROPERTY Legal Description: Subdivision: Block: Lot: Location: Usage: Tax ID Number: Deed: Date: Responsible Department: Zoning: Parcel Size/Dimensions: Miscellaneous Information: Plat Restictions? Recent Survey: Connected to other Parcel? Easements: Right-of-Ways: Utilities: Available for Sale? Front Aerial
  • 294.
    PROPERTY ANALYSIS For Tax Resale Property: Legal Description: Lot 5, Block 6, Kenley Addition, an addition to the City of San Angelo, Tom Green County, Texas, as described in Volume 335, Page 11, Deed Records of Tom Green County, Texas. Improved or Unimproved Unimproved: Tax Suit Number: B-06-0131-T Location: 1814 Ellis Street Size/Dimensions: 50' x 130' City of San Angelo vs. Katie Glenn Account #1822 Tax ID Number: 15-29800-0006-005-00 Judgment Date: November 14, 2007 Date of Sheriff's Sale: October 7, 2008 Sheriff's Deed October 22, 2008 Recorded: Years Held in Trust 4 YRS Adjudge Value: $2,250.00 Purchased under Urban Redevlopment? YES Amount of Offer: $750.00 Amounts Due Priority % of Pro Rata Amounts Fees Priority Judgment Allocations Remainder Allocations Distributed Judgment Administration Fee $ 500.00 $ 500.00 0.00% $ 500.00 Maintenance Fee $ 137.09 100.00% $ 137.09 $ 137.09 District Clerk $ - $ - 0.00% $ - Sheriff's Fee $ - $ - 0.00% $ - Attorney Fee $ - $ - 0.00% $ - Municipal Liens $ 112.91 100.00% $ 112.91 $ 112.91 Taxes $ - 0.00% $ - $ - Total $ 500.00 $ - $ 112.91 $ 500.00 200.00% $ 112.91 $ 750.00 Actual Total Amt Due $ 612.91 Amount Remaining $137.09
  • 295.
    Under Tex. TaxCode §34.051 a municipality is authorized to resell tax foreclosed property for less than the market value specified in the judgment of foreclosure or less than the total amount of the judgments against the property if consent to the conveyance is evidenced by an Interlocal Agreement between the municipality and each taxing unit that is a party to the judgment.
  • 296.
    PROPERTY ANALYSIS For Tax Resale Property: Legal Description: Lot 5, Block 6, Kenley Addition, an addition to the City of San Angelo, Tom Green County, Texas, as described in Volume 335, Page 11, Deed Records of Tom Green County, Texas. Improved or Unimproved Unimproved: Tax Suit Number: B-06-0131-T Location: 1814 Ellis Street Size/Dimensions: 50' x 130' City of San Angelo vs. Katie Glenn Account #1822 Tax ID Number: 15-29800-0006-005-00 Judgment Date: November 14, 2007 Date of Sheriff's Sale: October 7, 2008 Sheriff's Deed October 22, 2008 Recorded: Years Held in Trust 4 YRS Adjudge Value: $2,250.00 Purchased under Urban Redevlopment? YES Amount of Offer: $750.00 Amounts Due Priority % of Pro Rata Amounts Fees Priority Judgment Allocations Remainder Allocations Distributed Judgment Administration Fee $ 500.00 $ 500.00 0.00% $ 500.00 Maintenance Fee $ - 0.00% $ - $ - District Clerk $ 333.00 45.43% $ 113.57 $ 113.57 Sheriff's Fee $ 100.00 13.64% $ 34.11 $ 34.11 Attorney Fee $ 300.00 40.93% $ 102.32 $ 102.32 Municipal Liens $ 428.00 0.00% $ - $ - Taxes $ 2,535.00 0.00% $ - $ - Total $ 500.00 $ 733.00 $ 2,963.00 $ 500.00 100.00% $ 250.00 $ 750.00 Actual Total Amt Due $ 4,196.00 Amount Remaining $250.00
  • 297.
    Under Tex. TaxCode §34.051 a municipality is authorized to resell tax foreclosed property for less than the market value specified in the judgment of foreclosure or less than the total amount of the judgments against the property if consent to the conveyance is evidenced by an Interlocal Agreement between the municipality and each taxing unit that is a party to the judgment.
  • 298.
    NOTICE OF CONFIDENTIALITYRIGHTS: If you are a natural person, you may remove or strike any or all of the following information from this instrument before it is filed for record in the public records: your social security number or your driver’s license number. Tax-Resale Deed (Property Sold for Less than Adjudged Value) Date: __________________________ Grantor: The City of San Angelo, a Texas home-rule municipal corporation, for itself and as Trustee for itself, Tom Green County, and San Angelo Independent School District 72 West College Avenue San Angelo, Tom Green County, Texas 76903 Grantee: SALVADOR DEANDA, a single person 503 S Washington San Angelo, Tom Green County, Texas 76901 Consideration: Ten and No/100 Dollars ($10.00) and other good and valuable consideration Property (including any improvements): The South 80 feet of the East 12 2/3 Feet of Lot 8, the South 80 Feet of Lot 7, and the South 80 Feet of the West 1 5/6 Feet of Lot 6, Block 3, Akin’s Addition, City of San Angelo, as described in Volume 234, Page 485, Deed Records of Tom Green County, Texas. Account #01-10100-0003-008-00 Judgment: Judgment for the foreclosure of a tax lien against the Property entered on March 27, 1996 in Suit No. TAX89-0364B by the 119th District Court of Tom Green County, Texas. Sheriff’s Deed: Grantor acquired full legal title to the Property — both for its own benefit and as Trustee for all other taxing authorities entitled to receive proceeds from the sale of the Property under the terms of the Judgment — by Sheriff’s Deed dated April 12, 1996, and recorded in Volume 528, Page 999, Official Public Records of Real Property, Tom Green County, Texas. For the Consideration, Grantor — acting by and through its Mayor, who has been duly authorized to execute this instrument on Grantor’s behalf by resolution and order of Grantor’s City Council recorded in the City Council’s official minutes — hereby quitclaims to Grantee all of Grantor's right, title, and interest in and to the Property, to have and to hold it to Grantee and Grantee's heirs, successors, and assigns forever. Neither Grantor, nor any other taxing unit interested in the Judgment, nor any other person or entity claiming under them, will have, claim, or demand any right or title to the Property or any part of it. Grantor gives this Tax- Resale Deed without any express or implied warranty whatsoever; and all warranties that might arise by common law and the warranties in § 5.023 of the Texas Property Code (or its successor) are hereby specifically excluded. Grantee's rights under this deed are subject to the provisions of Chapter 34 of the Texas Tax Code, including, without limitation, any right of redemption remaining in the former owner of the Property; the terms of any recorded restrictive covenants running with the land that were recorded before January 1 of the year in which the tax lien on the property arose; any recorded lien that arose under such restrictive covenants that was
  • 299.
    not extinguished inthe judgment foreclosing the tax lien; and each valid easement of record as of the date of the sale that was recorded before January 1 of the year the tax lien arose. Grantor is selling the Property to Grantee for an amount that is less than the lesser of (1) the market value specified in the Judgment, or (2) the total amount of the Judgment. Grantee assumes full payment of any ad valorem taxes for the Property for the current year and all future years. When the context requires, singular nouns and pronouns include the plural. GRANTOR: The City of San Angelo, a Texas home-rule municipal corporation, for itself and as Trustee for any taxing authorities named in the Judgment ATTEST: By: ____________________________ Alvin New, Mayor and duly-authorized agent Alicia Ramirez, City Clerk STATE OF TEXAS § § COUNTY OF TOM GREEN § This instrument was acknowledged before me on _____________________, 2013, by Alvin New, Mayor and duly-authorized agent of the City of San Angelo, a Texas home-rule municipal corporation, on behalf of such corporation and as Trustee for any taxing authorities named in the Judgment identified in the above instrument. __________________________________ Notary Public, State of Texas After Recording, Return To:
  • 300.
    WRITTEN OFFER April 1,2013 Mayor Alvin New c/o Real Estate Division City Attorney’s Office 72 W College Avenue San Angelo, TX 76903 RE: TAX89-0364B I, Salvador Deanda, a single person, submit a written offer in the amount of $750.00 for the property described as follows: The South 80 feet of the East 12 2/3 Feet of Lot 8, the South 80 Feet of Lot 7, and the South 80 Feet of the West 1 5/6 Feet of Lot 6, Block 3, Akin’s Addition, City of San Angelo, as described in Volume 234, Page 485, Deed Records of Tom Green County, Texas. Account #01-10100-0003-008-00 I understand there is an additional $30.00 filing fee. I understand I must provide a Certified or Cashier’s Check in the sum of $350.00. I also understand that this earnest money shall be made payable without condition to the City of San Angelo, Texas and is non-refundable once the offer has been accepted by the Property Manager. Monies furnished as “earnest money” will be credited towards the sales price. I understand I can not owe any delinquent taxes or fees to any of the taxing entities (City of San Angelo, Tom Green County, and San Angelo Independent School District). I understand that I have sixty (60) days from the date of purchase to notify the City Property Manager of any City Liens; if I do not, I understand that I will be monetarily responsible for all unpaid Liens. If approved by the City Council, please make deed in the name(s) of: Salvador Deanda 503 S Washington San Angelo, TX 76901 325-650-4341 or 325-658-3043 Sincerely, Salvador Deanda
  • 301.
    Date of Sales Due Customer Subdivision Lot Block Sec Owner Service Principal Tax Date ID Volume Page Instrument Akin N80' of 7 3 Marshall, Weldon C. 10/05/93 $45.00 $3.49 12/12/93 1443 427 957 Akin N 80' of 7 3 Marshall, Weldon C. 11/18/75 $321.50 $0.00 11/18/75 1443 Akin, C.A. N80' of 7 3 Marshall, Weldon C. 04/03/86 $25.00 $0.00 05/10/86 1443 145 561 Akin, C.A. N80' of 7 3 Marshall, Weldon C. 02/06/85 $15.00 $0.00 03/08/85 1443 142 400 Akin, C.A. 7, N80' 3 Marshall, Weldon C. 02/06/85 $15.00 $0.00 02/07/85 1443 139 251 Akin, C.A. N80' of 7 3 Marshall, Weldon C. 09/12/86 $25.00 $0.00 10/24/86 1443 26 265
  • 302.
    N 1/2 ofLot 7, Block 2, Akin Addition 309 E 10th St 50' x 80' Copyright 2011 Esri. All rights reserved. Wed Dec 21 2011 03:47:06 PM.
  • 304.
    PARTIAL RELEASE OFLIEN Holder of Lien: City of San Angelo, Tom Green County, Texas, a Texas home-rule municipal corporation Holder’s Mailing Address (including county): c/o City Attorney 72 W College Avenue San Angelo, Tom Green County, TX 76903 Owner of Property at Time Liens were Filed: Weldon C. Marshall Liens are Described in the Following Documents: 1. That one certain Lien recorded in Volume 427, Page 957, of the Official Public Records of Real Property, Tom Green County, Texas. 2. That one certain Lien recorded in Volume 145, Page 561, of the Official Public Records of Real Property, Tom Green County, Texas. 3. That one certain Lien recorded in Volume 142, Page 400, of the Official Public Records of Real Property, Tom Green County, Texas. 4. That one certain Lien recorded in Volume 139, Page 251, of the Official Public Records of Real Property, Tom Green County, Texas. 5. That one certain Lien recorded in Volume 26, Page 265, of the Official Public Records of Real Property, Tom Green County, Texas. Property (including any improvements) to be Released from Lien: Tract 1: Being N 80’ of Lot 7, Block 3, Akin Addition, City of San Angelo, Tom Green County, Texas. Tract 2: Being N 80’ of Lot 7, Block 3, C.A. Akin Addition, City of San Angelo, Tom Green County, Texas. Tract 2: Being Lot 7 (N 80’), Block 3, C.A. Akin Addition, City of San Angelo, Tom Green County, Texas. Holder of the lien acknowledges partial payment or other satisfaction of indebtedness secured thereby and releases from the lien only the property described above. When the context requires, singular nouns and pronouns include the plural. EXECUTED on the _______ day of _____________________, 2013. CITY OF SAN ANGELO a Texas home-rule municipal corporation BY: Michael Dane, Assistant City Manager STATE OF TEXAS § COUNTY OF TOM GREEN § This instrument was acknowledged before me on the ______ day of _________________, 2013, by Michael Dane, as Assistant City Manager of the City of San Angelo, a Texas home-rule municipal corporation, on behalf of said corporation. Notary Public, State of Texas
  • 305.
    RELEASE OF PAVINGASSESSMENT DATE: April 2, 2013 PAYEE: City of San Angelo DATE OF MATURITY: As Therein Provided HOLDER OF LIEN: City of San Angelo HOLDER’S MAILING ADDRESS: 72 W College Avenue, San Angelo, Texas 76903 PROPERTIES AND OWNERS TO BE RELEASED FROM LIENS: NAME LOT BLOCK SUBDIVISION Marshall C. Weldon N 80’ of 7 3 Akins Holder of the lien acknowledges payment or other satisfaction of indebtedness secured thereby and releases from the lien only the properties described above. When the context requires, singular nouns and pronouns include the plural. EXECUTED on the _______ day of _____________________, 2013. CITY OF SAN ANGELO BY: Michael Dane, Assistant City Manager STATE OF TEXAS § COUNTY OF TOM GREEN § This instrument was acknowledged before me on the ______ day of _________________, 2013, by MICHAEL DANE, as Assistant City Manager of the City of San Angelo, a Texas home- rule municipal corporation, on behalf of said corporation. Notary Public, State of Texas
  • 306.
    PROPERTY ANALYSIS For Tax Resale Property Legal Description: The North ½ of Lot 7, Block 3, Akin Addition, City of San Angelo, as described in Volume 478, Page 95, Deed Records of Tom Green County, Texas. Account #01-10100-003-009-00 Improved/Unimproved Unimproved Tax Suit Number: TAX90-0082B Location: 309 E 10th Street Parcel Size/Dimensions: 50' x 80' City of San Angelo vs. Weldon Carlos Marshall Account # 1443 Tax ID Number: Account #01-10100-003-009-00 Judgment Date: October 14, 1992 Date of Sheriff's Sale: February 4, 1997 Sheriff's Deed Recorded: February 21, 1997 Years Held in Trust 16 YRS Adjudge Value: $ 2,500.00 Sale under Urban Redevelopment? No Amount of Offer: $ 750.00 Amounts Due Priority % of Pro Rata Amounts Fees Judgment Allocations Remainder Allocations Distributed Administration Fee $500.00 $500.00 0.00% $500.00 Maintenance Fee $ 2,240.00 $ 2,240.00 100.00% $ 250.00 $ 250.00 District Clerk $0.00 $0.00 0.00% $0.00 Sheriff's Fee $0.00 $0.00 0.00% $0.00 Attorney Fee $0.00 $0.00 0.00% $0.00 Municipal Liens $ - $0.00 0.00% $0.00 $0.00 Taxes $ - $0.00 0.00% $0.00 $0.00 Total $2,740.00 $0.00 $2,740.00 100.00% $0.00 $750.00 Actual Total Amt Due $2,740.00 Amount Remaining $ 250.00 Offer will satisfy all costs according to the Judgment.
  • 307.
    PROPERTY ANALYSIS CITY PROPERTY Legal Description: Subdivision: Block: Lot: Location: Usage: Tax ID Number: Deed: Date: Responsible Department: Zoning: Parcel Size/Dimensions: Miscellaneous Information: Plat Restictions? Recent Survey: Connected to other Parcel? Easements: Right-of-Ways: Utilities: Available for Sale? Front Aerial
  • 309.
    PROPERTY ANALYSIS For Tax Resale Property: Legal Description: Lot 5, Block 6, Kenley Addition, an addition to the City of San Angelo, Tom Green County, Texas, as described in Volume 335, Page 11, Deed Records of Tom Green County, Texas. Improved or Unimproved Unimproved: Tax Suit Number: B-06-0131-T Location: 1814 Ellis Street Size/Dimensions: 50' x 130' City of San Angelo vs. Katie Glenn Account #1822 Tax ID Number: 15-29800-0006-005-00 Judgment Date: November 14, 2007 Date of Sheriff's Sale: October 7, 2008 Sheriff's Deed October 22, 2008 Recorded: Years Held in Trust 4 YRS Adjudge Value: $2,250.00 Purchased under Urban Redevlopment? YES Amount of Offer: $750.00 Amounts Due Priority % of Pro Rata Amounts Fees Priority Judgment Allocations Remainder Allocations Distributed Judgment Administration Fee $ 500.00 $ 500.00 0.00% $ 500.00 Maintenance Fee $ 137.09 100.00% $ 137.09 $ 137.09 District Clerk $ - $ - 0.00% $ - Sheriff's Fee $ - $ - 0.00% $ - Attorney Fee $ - $ - 0.00% $ - Municipal Liens $ 112.91 100.00% $ 112.91 $ 112.91 Taxes $ - 0.00% $ - $ - Total $ 500.00 $ - $ 112.91 $ 500.00 200.00% $ 112.91 $ 750.00 Actual Total Amt Due $ 612.91 Amount Remaining $137.09
  • 310.
    Under Tex. TaxCode §34.051 a municipality is authorized to resell tax foreclosed property for less than the market value specified in the judgment of foreclosure or less than the total amount of the judgments against the property if consent to the conveyance is evidenced by an Interlocal Agreement between the municipality and each taxing unit that is a party to the judgment.
  • 311.
    PROPERTY ANALYSIS For Tax Resale Property: Legal Description: Lot 5, Block 6, Kenley Addition, an addition to the City of San Angelo, Tom Green County, Texas, as described in Volume 335, Page 11, Deed Records of Tom Green County, Texas. Improved or Unimproved Unimproved: Tax Suit Number: B-06-0131-T Location: 1814 Ellis Street Size/Dimensions: 50' x 130' City of San Angelo vs. Katie Glenn Account #1822 Tax ID Number: 15-29800-0006-005-00 Judgment Date: November 14, 2007 Date of Sheriff's Sale: October 7, 2008 Sheriff's Deed October 22, 2008 Recorded: Years Held in Trust 4 YRS Adjudge Value: $2,250.00 Purchased under Urban Redevlopment? YES Amount of Offer: $750.00 Amounts Due Priority % of Pro Rata Amounts Fees Priority Judgment Allocations Remainder Allocations Distributed Judgment Administration Fee $ 500.00 $ 500.00 0.00% $ 500.00 Maintenance Fee $ - 0.00% $ - $ - District Clerk $ 333.00 45.43% $ 113.57 $ 113.57 Sheriff's Fee $ 100.00 13.64% $ 34.11 $ 34.11 Attorney Fee $ 300.00 40.93% $ 102.32 $ 102.32 Municipal Liens $ 428.00 0.00% $ - $ - Taxes $ 2,535.00 0.00% $ - $ - Total $ 500.00 $ 733.00 $ 2,963.00 $ 500.00 100.00% $ 250.00 $ 750.00 Actual Total Amt Due $ 4,196.00 Amount Remaining $250.00
  • 312.
    Under Tex. TaxCode §34.051 a municipality is authorized to resell tax foreclosed property for less than the market value specified in the judgment of foreclosure or less than the total amount of the judgments against the property if consent to the conveyance is evidenced by an Interlocal Agreement between the municipality and each taxing unit that is a party to the judgment.
  • 313.
    NOTICE OF CONFIDENTIALITYRIGHTS: If you are a natural person, you may remove or strike any or all of the following information from this instrument before it is filed for record in the public records: your social security number or your driver’s license number. Tax-Resale Deed (Property Sold for Less than Adjudged Value) Date: __________________________ Grantor: The City of San Angelo, a Texas home-rule municipal corporation, for itself and as Trustee for itself, Tom Green County, and San Angelo Independent School District 72 West College Avenue San Angelo, Tom Green County, Texas 76903 Grantee: SALVADOR DEANDA, a single person 503 S Washington San Angelo, Tom Green County, Texas 76901 Consideration: Ten and No/100 Dollars ($10.00) and other good and valuable consideration Property (including any improvements): The North ½ of Lot 7, Block 3, Akin Addition, City of San Angelo, as described in Volume 478, Page 95, Deed Records of Tom Green County, Texas. Account #01-10100-003-009-00 Judgment: Judgment for the foreclosure of a tax lien against the Property entered on October 14, 1992 in Suit No. TAX90-0082B by the 119th District Court of Tom Green County, Texas. Sheriff’s Deed: Grantor acquired full legal title to the Property — both for its own benefit and as Trustee for all other taxing authorities entitled to receive proceeds from the sale of the Property under the terms of the Judgment — by Sheriff’s Deed dated February 17, 1997, and recorded in Volume 570, Page 94, Official Public Records of Real Property, Tom Green County, Texas. For the Consideration, Grantor — acting by and through its Mayor, who has been duly authorized to execute this instrument on Grantor’s behalf by resolution and order of Grantor’s City Council recorded in the City Council’s official minutes — hereby quitclaims to Grantee all of Grantor's right, title, and interest in and to the Property, to have and to hold it to Grantee and Grantee's heirs, successors, and assigns forever. Neither Grantor, nor any other taxing unit interested in the Judgment, nor any other person or entity claiming under them, will have, claim, or demand any right or title to the Property or any part of it. Grantor gives this Tax- Resale Deed without any express or implied warranty whatsoever; and all warranties that might arise by common law and the warranties in § 5.023 of the Texas Property Code (or its successor) are hereby specifically excluded. Grantee's rights under this deed are subject to the provisions of Chapter 34 of the Texas Tax Code, including, without limitation, any right of redemption remaining in the former owner of the Property; the terms of any recorded restrictive covenants running with the land that were recorded before January 1 of the year in which the tax lien on the property arose; any recorded lien that arose under such restrictive covenants that was
  • 314.
    not extinguished inthe judgment foreclosing the tax lien; and each valid easement of record as of the date of the sale that was recorded before January 1 of the year the tax lien arose. Grantor is selling the Property to Grantee for an amount that is less than the lesser of (1) the market value specified in the Judgment, or (2) the total amount of the Judgment. Grantee assumes full payment of any ad valorem taxes for the Property for the current year and all future years. When the context requires, singular nouns and pronouns include the plural. GRANTOR: The City of San Angelo, a Texas home-rule municipal corporation, for itself and as Trustee for any taxing authorities named in the Judgment ATTEST: By: ____________________________ Alvin New, Mayor and duly-authorized agent Alicia Ramirez, City Clerk STATE OF TEXAS § § COUNTY OF TOM GREEN § This instrument was acknowledged before me on _____________________, 2013, by Alvin New, Mayor and duly-authorized agent of the City of San Angelo, a Texas home-rule municipal corporation, on behalf of such corporation and as Trustee for any taxing authorities named in the Judgment identified in the above instrument. __________________________________ Notary Public, State of Texas After Recording, Return To:
  • 315.
    WRITTEN OFFER April 1,2013 Mayor Alvin New c/o Real Estate Division City Attorney’s Office 72 W College Avenue San Angelo, TX 76903 RE: TAX90-0082B I, Salvador Deanda, a single person, submit a written offer in the amount of $750.00 for the property described as follows: The North ½ of Lot 7, Block 3, Akin Addition, City of San Angelo, as described in Volume 478, Page 95, Deed Records of Tom Green County, Texas. Account #01-10100-003-009-00 I understand there is an additional $30.00 filing fee. I understand I must provide a Certified or Cashier’s Check in the sum of $350.00. I also understand that this earnest money shall be made payable without condition to the City of San Angelo, Texas and is non-refundable once the offer has been accepted by the Property Manager. Monies furnished as “earnest money” will be credited towards the sales price. I understand I can not owe any delinquent taxes or fees to any of the taxing entities (City of San Angelo, Tom Green County, and San Angelo Independent School District). I understand that I have sixty (60) days from the date of purchase to notify the City Property Manager of any City Liens; if I do not, I understand that I will be monetarily responsible for all unpaid Liens. If approved by the City Council, please make deed in the name(s) of: Salvador Deanda 503 S Washington San Angelo, TX 76901 325-650-4341 or 325-658-3043 Sincerely, Salvador Deanda
  • 316.
    City of SanAngelo Memo Date: March 14, 2013 To: Mayor and Councilmembers From: Cindy M. Preas, Real Estate Administrator (657-4407) Subject: Agenda Item for April 16, 2013 Council Meeting Contact: Diana Farris, Property Specialist (657-4407) Caption: Consent Item Consideration of adopting a Resolution of the City of San Angelo authorizing the mayor to execute a tax-resale (quitclaim) deed conveying all right, title and interest of the City of San Angelo, and all other taxing units interested in the tax foreclosure judgment: 2223 Lillie Street, (Ballard), S ½ of S 100’ of N 150’ of S 783.7’ of Block 8, Kirby, $750, Suit No. TAX91-0010B th 309 E 10 Street, (Deanda), N ½ of Lot 7, Block 3, Akins, $750, Suit No. TAX90- 0082B th 310 E 9 Street, (Deanda), S 80’ of E 12 2/3’ of Lot 8, S 80’ of Lot 7 & S 80’ of W 1 5/6’ of Lot 6, Block 3, Akins, $750, Suit No. TAX89-0364B th 115 W 16 Street, (Guerra), Lot 3, Block 11, Lasker, $1,900, Suit No. B-06-0088- T th 217 W 16 Street, (Guerra), Lot 3, Block 12, Lasker, $2,500, Suit No. B-05-0274- T 2327 Lillie Street, (Lewis-McKinney), S 50’ of N 447.7’ of Block 8, Kirby, $750, Suit No. TAX89-0217B th 209 W 9 Street, (Lewis-McKinney), Lot 3, Block 31, Miles, $750, Suit No. B-95- 0055-T 1923 Coleman Street, (Pearcy), Lot 12, Block 5 “E”, Chapman, $2,500, Suit No. B-07-0200-T 322 N Harrison Street, (Pearcy), Lot 30, Block 2B, George Allen, $2,500, Suit No. B-09-0050-T 613 N Adams Street, (Pearcy), Lot 3, Block 93, Angelo Heights, $2,700, Suit No. B-05-0268-T th 800 W 16 Street, (Roberts), Lot 10, Block 5, Mineola, $750, Suit No. TAX89- 0032B th 804 W 16 Street, (Roberts), Lot 11, Block 5, Mineola, $750, Suit No. TAX91- 0054B th 810 W 16 Street, (Roberts), Lot 12, Block 5, Mineola, $750, Suit No. TAX93- 0151B Summary: The subject properties were auctioned at Sheriff’s Sale. No offers were received causing subject properties to be stuck-off to the City, as Trustee for itself and the Adopted: 5/30/03 Revised: 6/21/10
  • 317.
    other taxing entities. History: The attached Property Analysis reflects amounts of delinquent taxes, accrued penalties, interest, attorney fees and costs for delinquent years of, together with additional penalties and interest at the rates prescribed by Chapter 33, Tex. Propety Financial Impact: Upon approval: (1) The City will retain a $500 Administration fee; (2) The balance will be distributed according to the judgment on the Sheriff’s Return; and (3) Property will be reinstated back onto tax roll. Related Vision Item Financial Vision – Examine liquidation of unused or underperforming city-owned properties (if applicable): Neighborhood Vision – Attract reinvestment Other Information/ Staff recommends approval. Recommendation: Attachments: Resolution, Property Analysis, Tax-Resale Deed and Property Location Map Presentation: N/A Publication: N/A Reviewed by Lysia H. Bowling, City Attorney Director: Approved by Legal:
  • 318.
    City of SanAngelo Memo Date: March 26, 2013 To: Mayor and Councilmembers From: Cindy M. Preas, Real Estate Administrator (657-4407) Subject: Agenda Item for April 16, 2013 Council Meeting Contact: Diana Farris, Property Specialist (657-4407) Caption: Consent Item Consideration of adopting a Resolution of the City of San Angelo authorizing the mayor to execute a Special Warranty Deed conveying all right, title and interest of the City of San Angelo: 108 Arlington Street, (Gonzalez), Lots 10 & 11 SAVE & EXCEPT N 65’ & S 20’ , W.E. Phillips, $2,000 Summary: A Request for Bids (RFB: PRO-06-12) was advertised for three (3) consecutive weeks and was mailed to six (6) potential bidders for the subject property. RFB Submittal Deadline was September 14, 2012. No bids were received. History: The City acquired the subject property on October 24, 1957. The City has no future plans for the subject property, and is deemed as excess property. The City has received a reasonable offer from Carlos Gonzalez in the amount of $2,000 for the purchase of the subject property. Financial Impact: Upon approval: Property will be reinstated back onto tax roll. Related Vision Item Financial Vision – Examine liquidation of unused or underperforming city-owned properties (if applicable): Neighborhood Vision – Attract reinvestment Other Information/ Staff recommends approval. Recommendation: Attachments: Resolution, Property Analysis, Special Warranty Deed and Property Location Map Presentation: N/A Publication: N/A Reviewed by Lysia H. Bowling, City Attorney Director: Approved by Legal: Adopted: 5/30/03 Revised: 6/21/10
  • 319.
    PARTIAL RELEASE OFLIEN Holder of Lien: City of San Angelo, Tom Green County, Texas, a Texas home-rule municipal corporation Holder’s Mailing Address (including county): c/o City Attorney 72 W College Avenue San Angelo, Tom Green County, TX 76903 Owner of Property at Time Liens were Filed: R.J. Allcom Liens are Described in the Following Documents: 1. That one certain Lien recorded in Volume 514, Page 7, of the Official Public Records of Real Property, Tom Green County, Texas. 2. That one certain Lien recorded in Volume 444, Page 786, of the Official Public Records of Real Property, Tom Green County, Texas. 3. That one certain Lien recorded in Volume 594, Page 444, of the Official Public Records of Real Property, Tom Green County, Texas. 4. That one certain Lien recorded in Volume 463, Page 699, of the Official Public Records of Real Property, Tom Green County, Texas. 5. That one certain Lien recorded in Volume 494, Page 122, of the Official Public Records of Real Property, Tom Green County, Texas. 6. That one certain Lien recorded in Volume 491, Page 431, of the Official Public Records of Real Property, Tom Green County, Texas. Property (including any improvements) to be Released from Lien: Tract 1: Being S. 80’ of E. 12.6’ of lot 8 & S. 80’ of W. 10’ of lot 6, Block 3, Akin Addition, City of San Angelo, Tom Green County, Texas. Tract 2: Being S. 80’ of E. 12.6’ of Lot 8 & S. 80’ of W. 1’10” of Lot 6, Block 3, Akin Addition, City of San Angelo, Tom Green County, Texas. Tract 3: Being S. 80’ of E. 12.6 of lot 8 & S. 80’ of Lot 7 & S. 80’ of W. 1’0” of lot 6, Block 3, Akin Addition, City of San Angelo, Tom Green County, Texas. Tract 4: Being S. 80’ of E. 12.6’ of Lot 8 & S. 80’ of Lot 7 & S. 80’ of Lot 6, Block 3, Akin Addition, City of San Angelo, Tom Green County, Texas. Tract 5: Being S. 80’ of E. 12.6 of lot 8 & S. 80’ of Lot 7 & S. 80’ of W. 10’ of lot 6, Block 3, Akin Addition, City of San Angelo, Tom Green County, Texas. Holder of the lien acknowledges partial payment or other satisfaction of indebtedness secured thereby and releases from the lien only the property described above. When the context requires, singular nouns and pronouns include the plural. EXECUTED on the _______ day of _____________________, 2013. CITY OF SAN ANGELO a Texas home-rule municipal corporation BY: Michael Dane, Assistant City Manager STATE OF TEXAS § COUNTY OF TOM GREEN § This instrument was acknowledged before me on the ______ day of _________________, 2013, by Michael Dane, as Assistant City Manager of the City of San Angelo, a Texas home-rule municipal corporation, on behalf of said corporation. Notary Public, State of Texas
  • 320.
    CITY OF SANANGELO BID TABULATION * RFB NO: PRO-06-12/Sale of Tax Foreclosed Property * September 14, 20 Property 1: Lots 10 & 11, SAVE & EXCEPT the North 65’ and South 20’, W.E. Phillips Addition, 108 Arlington St Property 1: 108 Arlington Street Bid Security Bid Bidders $500.00 Min $4,500 Rank 1 No Bids Received $ - 1 2 3 4 5 6 7 8 9 10 Bid Packages Mailed To: San Angelo Realtors Association San Angelo, TX Mr. P. Gilbert Gallegos San Angelo, TX Mr. Miguel Duran San Angelo, TX Mr. Lee Robles San Angelo, TX Mr. Kenneth Barrows San Angelo, TX Mr. Marshal Gray San Angelo, TX Y:COUNCILElectronic Agendas201304-16-13Tax LotsGonzalez, 108 Arlington Street, City Owned PropertyBid Tab
  • 321.
    012 Y:COUNCILElectronic Agendas201304-16-13Tax LotsGonzalez,108 Arlington Street, City Owned PropertyBid Tab
  • 322.
    NOTICE OF CONFIDENTIALITYRIGHTS: If you are a natural person, you may remove or strike any or all of the following information from this instrument before it is filed for record in the public records: your social security number or your driver’s license number. SPECIAL WARRANTY DEED Date: __________________ Grantor: CITY OF SAN ANGELO, a Texas home-rule municipal corporation 72 West College Avenue San Angelo, Tom Green County, Texas 76903 Grantee: CARLOS GONZALEZ, a single person 725 Amberton Parkway San Angelo, Tom Green County, Texas 76901 Consideration: Ten and No/100 Dollars ($10.00) and other good and valuable consideration Property (including any improvements): All of Lots 10 and 11 of the W.E. Phillips Addition to the City of San Angelo, Tom Green County, Texas, except the North 65 feet of said Lots 10 and 11 and the South 20 feet of said lots. Account #21-38700-0000-013-00 Reservations from Conveyance: This conveyance is subject to easements, rights-of-way, and prescriptive rights, whether of record or not; all presently recorded restrictions, reservations, covenants, conditions, oil and gas leases, mineral severances, and other instruments, other than liens and conveyances, that affect the Property; validly existing rights of adjoining owners in any walls and fences situated on a common boundary; any discrepancies, conflicts, or shortages in area or boundary lines; any encroachments or overlapping of improvements; and taxes for 2013, the payment of which Grantee assumes. Exceptions to Conveyance and Warranty: For the consideration, Grantor – acting by and through its Mayor, who has been duly authorized to execute this instrument on Grantor’s behalf by resolution and order of Grantor’s City Council recorded in the City Council’s official minutes – hereby conveys to Grantee the Property, together with all Grantor’s right, title, appurtenances and interest in and to the Property, subject to the Reservations from Conveyance and the Exceptions to Conveyance and Warranty, grants, sells, and conveys the Property, to have and to hold it to Grantee and Grantee’s heirs, successors, and assigns forever. Grantor hereby binds Grantor and Grantor’s heirs and successors to warrant and forever defend all and singular the Property to Grantee and Grantee’s heirs, successors, and assigns against every person whomsoever lawfully claiming or to claim the same or any part thereof, except as to the Reservations from Conveyance and the Exceptions to
  • 323.
    Conveyance and Warranty. When the context requires, singular nouns and pronouns include the plural. GRANTOR: CITY OF SAN ANGELO, ATTEST: ____________________________ Alvin New, Mayor ____________________________ Alicia Ramirez, City Clerk STATE OF TEXAS § § COUNTY OF TOM GREEN § This instrument was acknowledged before me on _____________________, 2013, by Alvin New, as Mayor of the City of San Angelo, a Texas home-rule municipal corporation, on behalf of said corporation. __________________________________ Notary Public, State of Texas After Recording, Return To:
  • 324.
    PARTIAL RELEASE OFLIEN Holder of Lien: City of San Angelo, Tom Green County, Texas, a Texas home-rule municipal corporation Holder’s Mailing Address (including county): c/o City Attorney 72 W College Avenue San Angelo, Tom Green County, TX 76903 Owner of Property at Time Liens were Filed: Edward Henderson, a/k/a Edward Henderson c/o Cecil Henderson, a/k/a Edward Seeley Henderson Liens are Described in the Following Documents: 1. That one certain Lien recorded in Volume 600, Page 166, of the Official Public Records of Real Property, Tom Green County, Texas. 2. That one certain Lien recorded in Volume 540, Page 639, of the Official Public Records of Real Property, Tom Green County, Texas. 3. Those certain Liens recorded in Instrument Number 608245 of the Official Public Records of Real Property, Tom Green County, Texas, securing debts in the original principal amounts of $100.00 (07/27/05) and $90.00 (06/24/05). 4. That one certain Lien recorded in Volume 514, Page 784, of the Official Public Records of Real Property, Tom Green County, Texas. 5. That one certain Lien recorded in Volume 1163, Page 497, of the Official Public Records of Real Property, Tom Green County, Texas. 6. That one certain Lien recorded in Volume 1245, Page 577, of the Official Public Records of Real Property, Tom Green County, Texas. 7. That one certain Lien recorded in Volume 673, Page 135, of the Official Public Records of Real Property, Tom Green County, Texas. 8. That one certain Lien recorded in Volume 1211, Page 601, of the Official Public Records of Real Property, Tom Green County, Texas. 9. That one certain Lien recorded in Volume 613, Page 32, of the Official Public Records of Real Property, Tom Green County, Texas. 10. That one certain Lien recorded in Volume 850, Page 726, of the Official Public Records of Real Property, Tom Green County, Texas. 11. That one certain Lien recorded in Volume 1069, Page 460, of the Official Public Records of Real Property, Tom Green County, Texas. 12. That one certain Lien recorded in Volume 638, Page 408, of the Official Public Records of Real Property, Tom Green County, Texas. 13. That one certain Lien recorded in Volume 1096, Page 697, of the Official Public Records of Real Property, Tom Green County, Texas. 14. That one certain Lien recorded in Volume 774, Page 870, of the Official Public Records of Real Property, Tom Green County, Texas. 15. That one certain Lien recorded in Instrument Number 612983, of the Official Public Records of Real Property, Tom Green County, Texas. Property (including any improvements) to be Released from Lien: Being Lot 3, Block 93, Angelo Heights Addition, City of San Angelo, Tom Green County, Texas. Holder of the lien acknowledges partial payment or other satisfaction of indebtedness secured thereby and releases from the lien only the property described above. When the context requires, singular nouns and pronouns include the plural. EXECUTED on the _______ day of _____________________, 2013. CITY OF SAN ANGELO a Texas home-rule municipal corporation BY: Michael Dane, Assistant City Manager STATE OF TEXAS § COUNTY OF TOM GREEN § This instrument was acknowledged before me on the ______ day of _________________, 2013, by Michael Dane, as Assistant City Manager of the City of San Angelo, a Texas home-rule municipal corporation, on behalf of said corporation. Notary Public, State of Texas
  • 325.
    PARTIAL RELEASE OFLIEN Holder of Lien: City of San Angelo, Tom Green County, Texas, a Texas home-rule municipal corporation Holder’s Mailing Address (including county): c/o City Attorney 72 W College Avenue San Angelo, Tom Green County, TX 76903 Owner of Property at Time Liens were Filed: Eddie Jackson Liens are Described in the Following Documents: 1. Those certain Liens recorded in Volume 174, Page 675, and corrected in Volume 191, Page 78, of the Official Public Records of Real Property, Tom Green County, Texas, securing debts in the original principal amounts of $50.00 (07/25/88), $25.00 (11/07/88), and $25.00 (11/12/87). 2. That one certain Lien recorded in Volume 142, Page 400, of the Official Public Records of Real Property, Tom Green County, Texas. 3. That one certain Lien recorded in Volume 78, Page 358, and corrected in Volume 191, Page 72, of the Official Public Records of Real Property, Tom Green County, Texas. 4. Those certain Liens recorded in Volume 101, Page 738, and corrected in Volume 191, Page 94, of the Official Public Records of Real Property, Tom Green County, Texas, securing debts in the original principal amounts of $25.00 (09/17/86) and $50.00 (07/09/87). 5. That one certain Lien recorded in Volume 292, Page 320, of the Official Public Records of Real Property, Tom Green County, Texas. Property (including any improvements) to be Released from Lien: Tract 1: Being S. 50’ of No. 447.7 of 8, Block 8, E. S. Kirby Addition, City of San Angelo, Tom Green County, Texas. Tract 2: Being S. 50’ of North 442.7 of Block 8, E. S. Kirby Addition, City of San Angelo, Tom Green County, Texas. Tract 3: Being S. 50’ of N. 422.7 of 8, E. S. Kirby Addition, City of San Angelo, Tom Green County, Texas. Tract 4: Being S. 50’ of No. 442.7 of 8, E. S. Kirby Addition, City of San Angelo, Tom Green County, Texas. Tract 5: Being S. 50’ of N. 442.7’ of Block 8, E. S. Kirby Subdivision, City of San Angelo, Tom Green County, Texas. Tract 6: Being S. 50’ of N. 442.7, E. S. Kirby Addition, City of San Angelo, Tom Green County, Texas. Holder of the lien acknowledges partial payment or other satisfaction of indebtedness secured thereby and releases from the lien only the property described above. When the context requires, singular nouns and pronouns include the plural. EXECUTED on the _______ day of _____________________, 2013. CITY OF SAN ANGELO a Texas home-rule municipal corporation BY: Michael Dane, Assistant City Manager STATE OF TEXAS § COUNTY OF TOM GREEN § This instrument was acknowledged before me on the ______ day of _________________, 2013, by Michael Dane, as Assistant City Manager of the City of San Angelo, a Texas home-rule municipal corporation, on behalf of said corporation. Notary Public, State of Texas
  • 326.
    PARTIAL RELEASE OFLIEN Holder of Lien: City of San Angelo, Tom Green County, Texas, a Texas home-rule municipal corporation Holder’s Mailing Address (including county): c/o City Attorney 72 W College Avenue San Angelo, Tom Green County, TX 76903 Owner of Property at Time Liens were Filed: Estella Jones Liens are Described in the Following Documents: 1. That one certain Lien recorded in Volume 174, Page 675, and corrected in Volume 191, Page 78, of the Official Public Records of Real Property, Tom Green County, Texas. 2. That one certain Lien recorded in Volume 257, Page 382, of the Official Public Records of Real Property, Tom Green County, Texas. 3. That one certain Lien recorded in Volume 230, Page 85, of the Official Public Records of Real Property, Tom Green County, Texas. 4. That one certain Lien recorded in Volume 315, Page 508, of the Official Public Records of Real Property, Tom Green County, Texas. Property (including any improvements) to be Released from Lien: Being Lot 10, Block 5, Mineola Addition, City of San Angelo, Tom Green County, Texas. Holder of the lien acknowledges partial payment or other satisfaction of indebtedness secured thereby and releases from the lien only the property described above. When the context requires, singular nouns and pronouns include the plural. EXECUTED on the _______ day of _____________________, 2013. CITY OF SAN ANGELO a Texas home-rule municipal corporation BY: Michael Dane, Assistant City Manager STATE OF TEXAS § COUNTY OF TOM GREEN § This instrument was acknowledged before me on the ______ day of _________________, 2013, by Michael Dane, as Assistant City Manager of the City of San Angelo, a Texas home-rule municipal corporation, on behalf of said corporation. Notary Public, State of Texas
  • 327.
    PARTIAL RELEASE OFLIEN Holder of Lien: City of San Angelo, Tom Green County, Texas, a Texas home-rule municipal corporation Holder’s Mailing Address (including county): c/o City Attorney 72 W College Avenue San Angelo, Tom Green County, TX 76903 Owner of Property at Time Liens were Filed: Fred B. Jones Liens are Described in the Following Documents: 1. That one certain Lien recorded in Volume 472, Page 834, of the Official Public Records of Real Property, Tom Green County, Texas. 2. That one certain Lien recorded in Volume 417, Page 99, of the Official Public Records of Real Property, Tom Green County, Texas. Property (including any improvements) to be Released from Lien: Being Lot 11, Block 5, Mineola Addition, City of San Angelo, Tom Green County, Texas. Holder of the lien acknowledges partial payment or other satisfaction of indebtedness secured thereby and releases from the lien only the property described above. When the context requires, singular nouns and pronouns include the plural. EXECUTED on the _______ day of _____________________, 2013. CITY OF SAN ANGELO a Texas home-rule municipal corporation BY: Michael Dane, Assistant City Manager STATE OF TEXAS § COUNTY OF TOM GREEN § This instrument was acknowledged before me on the ______ day of _________________, 2013, by Michael Dane, as Assistant City Manager of the City of San Angelo, a Texas home-rule municipal corporation, on behalf of said corporation. Notary Public, State of Texas
  • 328.
    LETTER OF INTENT March7, 2013 Mayor Alvin New c/o Real Estate Division City Attorney’s Office 72 W College Avenue San Angelo, TX 76903 RE: 108 Arlington Street I, Carlos Gonzalez, a single person, submit a written offer in the amount of $2,000.00 for the property described as follows: All of Lots 10 and 11 of the W.E. Phillips Addition to the City of San Angelo, Tom Green County, Texas, except the North 65 feet of said Lots 10 and 11 and the South 20 fee of said lots. Account #21-38700-0000-013-00 I understand there is an additional $30.00 filing fee. My plans are to construct a residential home on the subject property. I understand I must provide a Certified or Cashier’s Check in the sum of $350.00. I also understand that this earnest money shall be made payable without condition to the City of San Angelo, Texas and is non-refundable once the offer has been accepted by the Property Manager. Monies furnished as “earnest money” will be credited towards the sales price. I understand I can not owe any delinquent taxes or fees to any of the taxing entities (City of San Angelo, Tom Green County, and San Angelo Independent School District). If approved by the City Council, please make deed in the name(s) of: Carlos Gonzalez 725 Amberton Parkway San Angelo, TX 76901 480-329-6478 Sincerely, Carlos Gonzalez
  • 329.
    Date of Sales Due Customer Subdivision Lot Block Sec Owner Service Principal Tax Date ID Volume Page Instrument Mineola 10 5 Jones, Estella 10/05/88 $0.00 $0.00 11/14/88 9999 174 675 Mineola 10 5 Jones, Estella 02/01/91 $60.00 $4.65 03/22/91 9999 257 382 Mineola 10 5 Jones, Estella 10/05/88 $25.00 $1.88 11/14/88 9999 191 78 Mineola 10 5 Jones, Estella 07/31/90 $60.00 $4.65 09/17/90 9999 230 85 Mineola 10 5 Jones, Estella 07/18/91 $64.65 $0.00 09/26/91 9999 315 508 0
  • 330.
    Date of Sales Due Customer Subdivision Lot Block Sec Owner Service Principal Tax Date ID Volume Page Instrument Kirby, E.S. S50' of N447.7' of 8 8 Jackson, Eddie 11/07/88 $0.00 $0.00 12/28/88 9999 174 675 Kirby, E.S. S50' of N447.7' of 8 8 Jackson, Eddie 11/12/87 $0.00 $0.00 12/20/87 9999 174 675 Kirby, E.S. S50' of N447.7' of 8 8 Jackson, Eddie 07/25/88 $0.00 $0.00 09/08/88 9999 174 675 Kirby, E.S. S50' of N442.7' of Block 8 8 Jackson, Eddie 08/27/85 $25.00 $0.00 09/29/85 9999 142 400 Kirby, E.S. S50' of N447.7 of 8 8 Jackson, Eddie 07/25/88 $50.00 $3.75 09/08/88 9999 191 78 Kirby, E.S. S50' of N447.7 of 8 8 Jackson, Eddie 11/07/88 $25.00 $1.88 12/28/88 9999 191 78 Kirby, E.S. S50' of N447.7 of 8 8 Jackson, Eddie 11/12/87 $25.00 $0.00 12/20/87 9999 191 78 Kirby, E.S. S50' of N422.7' of 8 8 Jackson, Eddie 03/13/87 $0.00 $0.00 05/09/87 9999 78 358 Kirby, E.S. S50' of N442.7' of 8 8 Jackson, Eddie 09/17/86 $0.00 $0.00 03/13/88 9999 101 738 Kirby, E.S. S50' of N442.7' of 8 8 Jackson, Eddie 03/13/87 $0.00 $0.00 04/23/87 9999 101 738 Kirby, E.S. S50' of N442.7' of 8 8 Jackson, Eddie 07/09/87 $0.00 $0.00 09/20/87 9999 101 738 Kirby, E.S. S/D S50' of N447.7' of Block 8 8 Jackson, Eddie 03/13/87 $25.00 $0.00 05/09/87 9999 191 72 Kirby, E.S. S/D S50' of N447'7 of Block 8 8 Jackson, Eddie 09/17/86 $25.00 $0.00 03/13/88 9999 191 94 Kirby, E.S. S/D S50' of N447'7 of Block 8 8 Jackson, Eddie 07/09/87 $50.00 $0.00 09/20/87 9999 191 94 Kirby, E.S. S/D S50' of N442.7' 8 Jackson, Eddie 03/01/91 $85.00 $6.59 05/05/91 9999 292 320
  • 331.
    Date of Sales Due Customer Subdivision Lot Block Sec Owner Service Principal Tax Date ID Volume Page Instrument Akin N80' of 7 3 Marshall, Weldon C. 10/05/93 $45.00 $3.49 12/12/93 1443 427 957 Akin N 80' of 7 3 Marshall, Weldon C. 11/18/75 $321.50 $0.00 11/18/75 1443 Akin, C.A. N80' of 7 3 Marshall, Weldon C. 04/03/86 $25.00 $0.00 05/10/86 1443 145 561 Akin, C.A. N80' of 7 3 Marshall, Weldon C. 02/06/85 $15.00 $0.00 03/08/85 1443 142 400 Akin, C.A. 7, N80' 3 Marshall, Weldon C. 02/06/85 $15.00 $0.00 02/07/85 1443 139 251 Akin, C.A. N80' of 7 3 Marshall, Weldon C. 09/12/86 $25.00 $0.00 10/24/86 1443 26 265
  • 332.
    Date of Sales Due Customer Subdivision Lot Block Sec Owner Service Principal Tax Date ID Volume Page Instrument Mineola 12 5 Sims, Bobbie 06/30/94 $45.00 $3.49 07/30/94 953 444 790 Mineola 12 5 Sims, Bobbie 09/22/94 $45.00 $3.49 10/30/94 953 472 269 Mineola 12 5 Sims, Bobbie 01/24/91 $60.00 $4.65 03/22/91 953 257 382 Mineola 12 5 Sims, Bobbie 07/18/91 $60.00 $4.65 09/26/91 953 315 508 Mineola 12 5 Sims, Bobbie 04/29/91 $60.00 $4.65 06/10/91 953 292 320 Mineola 12 5 Sims, Bobbie Jean 11/02/95 $45.00 $3.49 12/02/95 953 514 7 Mineola 12 5 Sims, Bobbie Jean 09/27/96 $45.00 $3.49 11/15/96 953 596 248 Mineola 12 5 Sims, Bobbie Jean 06/26/97 $45.00 $3.49 08/15/97 953 596 248 Mineola 12 5 Sims, Bobbie Jean 07/31/90 $60.00 $4.65 09/17/90 953 230 85 Mineola 12 5 Sims, Bobbie Jean 08/27/68 $152.80 $0.00 08/27/68 953 Mineola 12 5 Sims, Bobbie Jean 08/27/68 $430.00 $0.00 08/27/68 953
  • 333.
    Date of Sales Due Customer Subdivision Lot Block Sec Owner Service Principal Tax Date ID Volume Page Instrument Chapman S/D 12 5E Turner, C.W. (dec'd) 06/09/05 $90.00 $7.43 07/09/05 7047 0 0 608245 Chapman S/D 12 5E Turner, W.C. - dec 03/31/08 $100.00 $8.25 04/30/08 7047 0 0 678661
  • 334.
    Date of Sales Due Customer Subdivision Lot Block Sec Owner Service Principal Tax Date ID Volume Page Instrument Akin S80 of E12.6' of Lot 8& S80' of Lot 7& S80' of W10' of Lot 6 3 Allcorn, A.J. 10/10/95 $45.00 $3.49 11/10/95 9999 514 7 Akin S80' of E12.6 of 8 & S80' of W1'10" of 6 3 Allcorn, R. J. 06/28/94 $45.00 $3.49 07/28/94 9999 444 786 Akin S80' of 3,E12.6' of Lot 8 & S80' of Lot 7 & S80' of W1' of 6 Allcorn, R.J. 07/11/96 $45.00 $3.49 08/29/96 9999 594 444 Akin S80' of E12.6' of Lot 8 & S80' of Lot 7 & S80' of Lot 6 3 Allcorn, R.J. 10/07/94 $45.00 $3.49 11/07/94 9999 463 699 Akin S80' of E12.6' of Lot 8& S80' of Lot 7& S80 of W10' of Lot 6 3 Allcorn, R.J. 07/13/95 $45.00 $3.49 08/13/95 9999 494 122 Akin S80' of E12.6' of Lot8 & S80' of Lot7 & S80' of W10' of Lot6 3 Allcorn, R.J. 04/28/95 $90.00 $6.98 05/28/95 9999 491 431
  • 335.
    Date of Sales Due Customer Subdivision Lot Block Sec Owner Service Principal Tax Date ID Volume Page Instrument Mineola 11 5 Jones, Fred B. 09/22/94 $25.00 $1.94 10/30/94 9999 472 834 Mineola 11 5 Jones, Fred B. 07/01/93 $145.46 $0.00 08/27/93 9999 417 99
  • 336.
    Date of Sales Due Customer Subdivision Lot Block Sec Owner Service Principal Tax Date ID Volume Page Instrument Angelo Heights 3 93 Henderson, Edward 05/13/97 $45.00 $3.49 06/20/97 9999 600 166 Angelo Heights 3 93 Henderson, Edward & Cecil 11/07/95 $45.00 $3.49 12/30/95 9999 540 639 Angelo Heights 3 93 Henderson, Edward S. & Cecil 07/28/95 $90.00 $6.98 09/30/95 9999 514 784 Angelo Heights 3 93 Henderson, Edward Seeley 07/27/05 $100.00 $8.25 08/27/05 831 0 0 608245 Angelo Heights 3 93 Henderson, Edward Seeley 06/24/05 $90.00 $7.43 07/24/05 831 0 0 608245 Angelo Heights 3 93 Henderson, Edward Seeley 06/10/04 $45.00 $3.71 07/10/04 831 1163 497 Angelo Heights 3 93 Henderson, Edward Seeley 04/05/05 $45.00 $3.71 05/05/05 831 1245 577 Angelo Heights 3 93 Henderson, Edward Seeley 06/26/98 $45.00 $3.49 07/26/98 7532 673 135 Angelo Heights 3 93 Henderson, Edward Seeley 09/17/04 $45.00 $3.71 10/17/04 831 1211 601 Angelo Heights 3 93 Henderson, Edward Seeley 07/18/97 $45.00 $3.49 09/08/97 9999 613 32 Angelo Heights 3 93 Henderson, Edward Seeley 01/29/01 $25.00 $2.06 03/28/01 831 850 726 Angelo Heights 3 93 Henderson, Edward Seeley 05/14/03 $45.00 $3.71 06/14/03 831 1069 460 Angelo Heights 3 93 Henderson, Edward Seeley 11/05/97 $45.00 $3.49 02/21/98 7532 638 408 Angelo Heights 3 93 Henderson, Edward Seeley 08/29/03 $45.00 $3.71 09/29/03 831 1096 697 Angelo Heights 3 93 Henderson, Edward Seeley 09/28/99 $90.00 $7.43 10/28/99 831 774 870 Angelo Heights 3 93 Henderson, Edward Seeley 09/02/05 $45.00 $3.71 10/02/05 831 0 0 612983
  • 337.
    Date of Sales Due Customer Subdivision Lot Block Sec Owner Service Principal Tax Date ID Volume Page Instrument Angelo Heights 3 93 Henderson, Edward 05/13/97 $45.00 $3.49 06/20/97 9999 600 166 Angelo Heights 3 93 Henderson, Edward & Cecil 11/07/95 $45.00 $3.49 12/30/95 9999 540 639 Angelo Heights 3 93 Henderson, Edward S. & Cecil 07/28/95 $90.00 $6.98 09/30/95 9999 514 784 Angelo Heights 3 93 Henderson, Edward Seeley 07/27/05 $100.00 $8.25 08/27/05 831 0 0 608245 Angelo Heights 3 93 Henderson, Edward Seeley 06/24/05 $90.00 $7.43 07/24/05 831 0 0 608245 Angelo Heights 3 93 Henderson, Edward Seeley 06/10/04 $45.00 $3.71 07/10/04 831 1163 497 Angelo Heights 3 93 Henderson, Edward Seeley 04/05/05 $45.00 $3.71 05/05/05 831 1245 577 Angelo Heights 3 93 Henderson, Edward Seeley 06/26/98 $45.00 $3.49 07/26/98 7532 673 135 Angelo Heights 3 93 Henderson, Edward Seeley 09/17/04 $45.00 $3.71 10/17/04 831 1211 601 Angelo Heights 3 93 Henderson, Edward Seeley 07/18/97 $45.00 $3.49 09/08/97 9999 613 32 Angelo Heights 3 93 Henderson, Edward Seeley 01/29/01 $25.00 $2.06 03/28/01 831 850 726 Angelo Heights 3 93 Henderson, Edward Seeley 05/14/03 $45.00 $3.71 06/14/03 831 1069 460 Angelo Heights 3 93 Henderson, Edward Seeley 11/05/97 $45.00 $3.49 02/21/98 7532 638 408 Angelo Heights 3 93 Henderson, Edward Seeley 08/29/03 $45.00 $3.71 09/29/03 831 1096 697 Angelo Heights 3 93 Henderson, Edward Seeley 09/28/99 $90.00 $7.43 10/28/99 831 774 870 Angelo Heights 3 93 Henderson, Edward Seeley 09/02/05 $45.00 $3.71 10/02/05 831 0 0 612983
  • 338.
    Date of Sales Due Customer Subdivision Lot Block Sec Owner Service Principal Tax Date ID Volume Page Instrument Miles 3 31 Stephens, Alverda 06/24/94 $45.00 $3.49 07/24/94 9999 444 790 Miles 3 31 Stephens, Alverda 08/16/95 $45.00 $3.49 09/16/95 9999 514 7 Miles 3 31 Stephens, Alverda 09/23/94 $45.00 $3.49 10/30/94 9999 472 269 Miles 3 31 Stephens, Alverda 03/27/95 $45.00 $3.49 04/27/95 9999 491 431 Miles 3 31 Stephens, Alverda 05/17/95 $45.00 $3.49 06/17/95 9999 491 431 Miles 3 31 Stephens, Alverda 05/14/97 $45.00 $3.49 06/23/97 9999 596 248 Miles 3 31 Stephens, Alverda 06/26/97 $45.00 $3.49 08/21/97 9999 596 248 Miles 3 31 Stephens, Alverda 05/06/91 $60.00 $4.65 07/07/91 9999 292 320 Miles 3 31 Stephens, Alverdo 06/29/93 $90.00 $6.98 07/07/93 9999 417 99
  • 339.
    Date of Sales Due Customer Subdivision Lot Block Sec Owner Service Principal Tax Date ID Volume Page Instrument Lasker 3 11 Wilkins, Lynn B. 10/01/93 $70.00 $5.42 12/12/93 9999 427 956
  • 340.
    Potential Bidders List Sale OF 108 Arlington Vendor Type Contact Name or Dept Business Name Business Address City ST Zip Telephone Property San Angelo Realtors Association 1902 Pecos San Angelo TX 76901 325-944-2521 Property Mr. P. Gilbert Gallegos 112 Arlington Street San Angelo TX 76904 325-617-6173 Property Mr. Miguel Duran 1110 Ashford Drive San Angelo TX 76901 Property Mr. Lee Robles 3230 Sierra Drive San Angelo TX 76904 Property Mr. Kenneth Barrows 2431 College Hills San Angelo TX 76904 Property Mr. Marshal Gray 217 Tyler Terrace San Angelo TX 76905 325-651-7919 Y:COUNCILElectronic Agendas201304-16-13Tax LotsGonzalez, 108 Arlington Street, City Owned PropertyMailing List
  • 341.
    108 Arlington Street, Lots 10 & 11 S /E N 65' of S 20' , W.E. Phillips Addition March 7, 2013 1:2,699 0 0.0225 0.045 0.09 mi City Address Points County Address Points Platted Lot Line L abels 0 0.035 0.07 0.14 km Pending City Addresses Pending County Addresses Platted Lot Lines Retired City Addresse s Retired County Addresses City Pa rcel Popups Transparen t
  • 342.
    Lot 3, Block31 Miles Addition 209 W 9th Street 50' x 100' Copyright 2011 Esri. All rights reserved. Mon Feb 13 2012 12:54:57 PM.
  • 344.
    S 1/2 ofthe S 100' of N 150' o S 783.7' of Block 8, E.S. Kirby Addition 2223 Lillie St 50' x 216' Copyright 2011 Esri. All rights reserved. Mon Feb 13 2012 09:27:30 AM.
  • 346.
    S 80' ofE 12 2/2' of Lot 8, S 80' of Lot 7 & S 80' of W 1 5/6' of Lot 6, Block 3, Akins Addition 310 E 9th Street 64' x 80' Copyright 2011 Esri. All rights reserved. Tue Feb 14 2012 03:32:37 PM.
  • 348.
    N 1/2 ofLot 7, Block 2, Akin Addition 309 E 10th St 50' x 80' Copyright 2011 Esri. All rights reserved. Wed Dec 21 2011 03:47:06 PM.
  • 350.
    217 W 16thStreet, Lot 3, Block 12, Lasker Addition 50' x 140' March 14, 2013 1:2,699 0 0.0225 0.045 0.09 mi Address Points 0 0.035 0.07 0.14 km City Address Points Copyright:© 2013 ESRI, NAVTEQ, DeLorme Pending City Addresses Retired City Addresses
  • 351.
    115 W 16thStreet, Lot 3, Block 11, Lasker Addition 50' x 140' March 14, 2013 1:2,699 0 0.0225 0.045 0.09 mi Address Points 0 0.035 0.07 0.14 km City Address Points Copyright:© 2013 ESRI, NAVTEQ, DeLorme Pending City Addresses Retired City Addresses
  • 352.
    S 50' ofthe N 447.7' of Block 8, E.S. Kirby Addition 2327 Lillie St 50' x 200' Copyright 2011 Esri. All rights reserved. Mon Feb 13 2012 09:29:18 AM.
  • 354.
    613 N AdamsStreet Lot 3, Block 93, Angelo Heights Addition 50' x 140' March 28, 2013 1:2,699 0 0.0225 0.045 0.09 mi 0 0.035 0.07 0.14 km Copyright:© 2013 ESRI, NAVTEQ, DeLorme
  • 355.
    1923Coleman Street Lots12, Block 5 "E", Chapman's S/D 64' x 100' March 27, 2013 1:2,699 0 0.0225 0.045 0.09 mi 0 0.035 0.07 0.14 km Copyright:© 2013 ESRI, NAVTEQ, DeLorme
  • 356.
    Lot 30, Block2B, George Allen Addition Addition 322 N Harrison Street 50'' x 125' Copyright 2011 Esri. All rights reserved. Tue Jun 5 2012 03:48:19 PM.
  • 358.
    Lot 10, Block5, Mineola Addition 810 W 16th St 51' x 150' Copyright 2011 Esri. All rights reserved. Thu Dec 15 2011 08:12:40 AM.
  • 360.
    Lot 12, Block5, Mineola Addition 800 W 16th St 51' x 150' Copyright 2011 Esri. All rights reserved. Thu Dec 22 2011 08:47:46 AM.
  • 362.
    Lot 11, Block5, Mineola Addition 804 W 16th St 50' x 150' Copyright 2011 Esri. All rights reserved. Tue Dec 20 2011 04:34:12 PM.
  • 364.
    PARTIAL RELEASE OFLIEN Holder of Lien: City of San Angelo, Tom Green County, Texas, a Texas home-rule municipal corporation Holder’s Mailing Address (including county): c/o City Attorney 72 W College Avenue San Angelo, Tom Green County, TX 76903 Owner of Property at Time Liens were Filed: Weldon C. Marshall Liens are Described in the Following Documents: 1. That one certain Lien recorded in Volume 427, Page 957, of the Official Public Records of Real Property, Tom Green County, Texas. 2. That one certain Lien recorded in Volume 145, Page 561, of the Official Public Records of Real Property, Tom Green County, Texas. 3. That one certain Lien recorded in Volume 142, Page 400, of the Official Public Records of Real Property, Tom Green County, Texas. 4. That one certain Lien recorded in Volume 139, Page 251, of the Official Public Records of Real Property, Tom Green County, Texas. 5. That one certain Lien recorded in Volume 26, Page 265, of the Official Public Records of Real Property, Tom Green County, Texas. Property (including any improvements) to be Released from Lien: Tract 1: Being N 80’ of Lot 7, Block 3, Akin Addition, City of San Angelo, Tom Green County, Texas. Tract 2: Being N 80’ of Lot 7, Block 3, C.A. Akin Addition, City of San Angelo, Tom Green County, Texas. Tract 2: Being Lot 7 (N 80’), Block 3, C.A. Akin Addition, City of San Angelo, Tom Green County, Texas. Holder of the lien acknowledges partial payment or other satisfaction of indebtedness secured thereby and releases from the lien only the property described above. When the context requires, singular nouns and pronouns include the plural. EXECUTED on the _______ day of _____________________, 2013. CITY OF SAN ANGELO a Texas home-rule municipal corporation BY: Michael Dane, Assistant City Manager STATE OF TEXAS § COUNTY OF TOM GREEN § This instrument was acknowledged before me on the ______ day of _________________, 2013, by Michael Dane, as Assistant City Manager of the City of San Angelo, a Texas home-rule municipal corporation, on behalf of said corporation. Notary Public, State of Texas
  • 365.
    **ATTENTION - PLEASEREAD CAREFULLY** • Mistakes not corrected on this proof become your liability. • We cannot be responsible for any changes NOT indicated, by phone, fax, or by email, to this proof. • If we do not hear from you, by phone or by email, by the deadline indicated, we will publish your ad AS SCHEDULED. Client: 600332 COSA - PURCHASING Phone: (325) 657-4219 Class.: PO BOX 1751 SAN ANGELO, TX 76902 Ad # 145973 Requested By: ROGER/EMAIL Fax: Sales Rep.: Maria Velasquez Phone: (325) 659-8325 mvelasquez@gosanangelo.com Fax: (325) 659-8172 Class.: 8300 Request for Bids Start Date: 08/25/2012 End Date: 09/05/2012 Nb. of Inserts: 3 Publications: STANDARD TIMES Paid Amount: $0.00 Balance: $111.77 Total Price: $111.77 Page 1 of 1 THE CITY of San Angelo, Real Estate Division is accepting sealed bids for the sale of Lots 10 & 11, SAVE & EXCEPT the North 65’ and South 20’, W.E. Phillips Addition, San Ange- lo, Texas, Tom Green County; located at 108 Arlington Street. Submission instructions and documents may be downloaded at www.sanangelotexas.us. Submissions will be accepted until 2:00 P.M., September 19, 2012, 2:00 PM in the Purchasing Division at which time all respondents will be publicly acknowledged. For more information, call (325) 657-4212 or visit www.sanangelotexas.us.
  • 366.
    RELEASE OF PAVINGASSESSMENT DATE: April 2, 2013 PAYEE: City of San Angelo DATE OF MATURITY: As Therein Provided HOLDER OF LIEN: City of San Angelo HOLDER’S MAILING ADDRESS: 72 W College Avenue, San Angelo, Texas 76903 PROPERTIES AND OWNERS TO BE RELEASED FROM LIENS: NAME LOT BLOCK SUBDIVISION Marshall C. Weldon N 80’ of 7 3 Akins Holder of the lien acknowledges payment or other satisfaction of indebtedness secured thereby and releases from the lien only the properties described above. When the context requires, singular nouns and pronouns include the plural. EXECUTED on the _______ day of _____________________, 2013. CITY OF SAN ANGELO BY: Michael Dane, Assistant City Manager STATE OF TEXAS § COUNTY OF TOM GREEN § This instrument was acknowledged before me on the ______ day of _________________, 2013, by MICHAEL DANE, as Assistant City Manager of the City of San Angelo, a Texas home- rule municipal corporation, on behalf of said corporation. Notary Public, State of Texas
  • 367.
    PROPERTY ANALYSIS For Tax Resale Property Legal Description: Lot 3, Block 11, Lasker Addition, an addition to the City of San Angelo, Tom Green County, Texas, as described in Volume 1234, Page 952, Official Public Records of Real Property of Tom Green County, Texas. Account #16-31200-0011-002-00 Improved/Unimproved Unimproved Tax Suit Number: B-06-0088-T Location: 115 W 16th Street Parcel Size/Dimensions: 50' x 140' City of San Angelo vs. Unknown Heirs of B.M. Wilkins, deceased Account # 8096 Tax ID Number: #16-31200-0011-002-00 Judgment Date: October 15, 2008 Date of Sheriff's Sale: June 7, 2011 Sheriff's Deed Recorded: June 30, 2011 Years Held in Trust 1 1/2 YRS Adjudge Value: $ 3,000.00 Purchased under Urban Redevelopment No Amount of Offer: $ 1,900.00 Amounts Due Priority % of Pro Rata Amounts Fees Judgment Allocations Remainder Allocations Distributed Administration Fee $500.00 $500.00 0.00% $500.00 Maintenance Fee $270.00 $270.00 0.00% $270.00 District Clerk $471.00 $471.00 0.00% $471.00 Sheriff's Fee $100.00 $100.00 0.00% $100.00 Attorney Fee $371.00 $371.00 0.00% $371.00 Municipal Liens $ - $1,889.77 36.42% $68.46 $68.46 Taxes $ - $3,299.76 63.58% $119.54 $119.54 Total $1,712.00 $5,189.53 $1,712.00 100.00% $188.00 $1,900.00 Actual Total Amt Due $6,901.53 Amount Remaining $ 188.00 Offer will satisfy all costs and a small portion of the taxes, according to the Judgment.
  • 368.
    PROPERTY ANALYSIS CITY PROPERTY Legal Description: Subdivision: Block: Lot: Location: Usage: Tax ID Number: Deed: Date: Responsible Department: Zoning: Parcel Size/Dimensions: Miscellaneous Information: Plat Restictions? Recent Survey: Connected to other Parcel? Easements: Right-of-Ways: Utilities: Available for Sale? Front Aerial
  • 370.
    PROPERTY ANALYSIS For Tax Resale Property: Legal Description: Lot 5, Block 6, Kenley Addition, an addition to the City of San Angelo, Tom Green County, Texas, as described in Volume 335, Page 11, Deed Records of Tom Green County, Texas. Improved or Unimproved Unimproved: Tax Suit Number: B-06-0131-T Location: 1814 Ellis Street Size/Dimensions: 50' x 130' City of San Angelo vs. Katie Glenn Account #1822 Tax ID Number: 15-29800-0006-005-00 Judgment Date: November 14, 2007 Date of Sheriff's Sale: October 7, 2008 Sheriff's Deed October 22, 2008 Recorded: Years Held in Trust 4 YRS Adjudge Value: $2,250.00 Purchased under Urban Redevlopment? YES Amount of Offer: $750.00 Amounts Due Priority % of Pro Rata Amounts Fees Priority Judgment Allocations Remainder Allocations Distributed Judgment Administration Fee $ 500.00 $ 500.00 0.00% $ 500.00 Maintenance Fee $ 137.09 100.00% $ 137.09 $ 137.09 District Clerk $ - $ - 0.00% $ - Sheriff's Fee $ - $ - 0.00% $ - Attorney Fee $ - $ - 0.00% $ - Municipal Liens $ 112.91 100.00% $ 112.91 $ 112.91 Taxes $ - 0.00% $ - $ - Total $ 500.00 $ - $ 112.91 $ 500.00 200.00% $ 112.91 $ 750.00 Actual Total Amt Due $ 612.91 Amount Remaining $137.09
  • 371.
    Under Tex. TaxCode §34.051 a municipality is authorized to resell tax foreclosed property for less than the market value specified in the judgment of foreclosure or less than the total amount of the judgments against the property if consent to the conveyance is evidenced by an Interlocal Agreement between the municipality and each taxing unit that is a party to the judgment.
  • 372.
    PROPERTY ANALYSIS For Tax Resale Property: Legal Description: Lot 5, Block 6, Kenley Addition, an addition to the City of San Angelo, Tom Green County, Texas, as described in Volume 335, Page 11, Deed Records of Tom Green County, Texas. Improved or Unimproved Unimproved: Tax Suit Number: B-06-0131-T Location: 1814 Ellis Street Size/Dimensions: 50' x 130' City of San Angelo vs. Katie Glenn Account #1822 Tax ID Number: 15-29800-0006-005-00 Judgment Date: November 14, 2007 Date of Sheriff's Sale: October 7, 2008 Sheriff's Deed October 22, 2008 Recorded: Years Held in Trust 4 YRS Adjudge Value: $2,250.00 Purchased under Urban Redevlopment? YES Amount of Offer: $750.00 Amounts Due Priority % of Pro Rata Amounts Fees Priority Judgment Allocations Remainder Allocations Distributed Judgment Administration Fee $ 500.00 $ 500.00 0.00% $ 500.00 Maintenance Fee $ - 0.00% $ - $ - District Clerk $ 333.00 45.43% $ 113.57 $ 113.57 Sheriff's Fee $ 100.00 13.64% $ 34.11 $ 34.11 Attorney Fee $ 300.00 40.93% $ 102.32 $ 102.32 Municipal Liens $ 428.00 0.00% $ - $ - Taxes $ 2,535.00 0.00% $ - $ - Total $ 500.00 $ 733.00 $ 2,963.00 $ 500.00 100.00% $ 250.00 $ 750.00 Actual Total Amt Due $ 4,196.00 Amount Remaining $250.00
  • 373.
    Under Tex. TaxCode §34.051 a municipality is authorized to resell tax foreclosed property for less than the market value specified in the judgment of foreclosure or less than the total amount of the judgments against the property if consent to the conveyance is evidenced by an Interlocal Agreement between the municipality and each taxing unit that is a party to the judgment.
  • 374.
    PROPERTY ANALYSIS For Tax Resale Property Legal Description: Lots 12, Block 5 “E”, Chapman’s Subdivision of Blocks 4 and 5, Freeland’s Addition, City of San Angelo, Tom Green County, Texas, as described in Volume 182, Page 208, Deed Records of Tom Green County, Texas. Account #05-17700-0005-012-00 Improved/Unimproved Unimproved Tax Suit Number: B-07-0200-T Location: 1923 Coleman Street Parcel Size/Dimensions: 64' x 100' City of San Angelo vs. W.C. Turner Account # 7047 Tax ID Number: #05-17700-0005-012-00 Judgment Date: August 7, 2009 Date of Sheriff's Sale: August 3, 2010 Sheriff's Deed Recorded: August 13, 2010 Years Held in Trust 2 1/2 YRS Adjudge Value: $ 4,358.00 Sale under Urban Redevelopment? No Amount of Offer: $ 2,500.00 Amounts Due Priority % of Pro Rata Amounts Fees Judgment Allocations Remainder Allocations Distributed Administration Fee $500.00 $500.00 0.00% $500.00 Maintenance Fee $500.00 $500.00 0.00% $500.00 District Clerk $371.00 $371.00 0.00% $371.00 Sheriff's Fee $100.00 $100.00 0.00% $100.00 Attorney Fee $365.00 $365.00 0.00% $365.00 Municipal Liens $0.00 $0.00 0.00% $0.00 $0.00 Taxes $0.00 $3,522.00 100.00% $664.00 $664.00 Total $1,836.00 $3,522.00 $1,836.00 100.00% $664.00 $2,500.00 Actual Total Amt Due $5,358.00 Amount Remaining $ 664.00 Offer will satisfy all costs according to the Judgment.
  • 375.
    PROPERTY ANALYSIS CITY PROPERTY Legal Description: Subdivision: Block: Lot: Location: Usage: Tax ID Number: Deed: Date: Responsible Department: Zoning: Parcel Size/Dimensions: Miscellaneous Information: Plat Restictions? Recent Survey: Connected to other Parcel? Easements: Right-of-Ways: Utilities: Available for Sale? Front Aerial
  • 377.
    PROPERTY ANALYSIS For Tax Resale Property: Legal Description: Lot 5, Block 6, Kenley Addition, an addition to the City of San Angelo, Tom Green County, Texas, as described in Volume 335, Page 11, Deed Records of Tom Green County, Texas. Improved or Unimproved Unimproved: Tax Suit Number: B-06-0131-T Location: 1814 Ellis Street Size/Dimensions: 50' x 130' City of San Angelo vs. Katie Glenn Account #1822 Tax ID Number: 15-29800-0006-005-00 Judgment Date: November 14, 2007 Date of Sheriff's Sale: October 7, 2008 Sheriff's Deed October 22, 2008 Recorded: Years Held in Trust 4 YRS Adjudge Value: $2,250.00 Purchased under Urban Redevlopment? YES Amount of Offer: $750.00 Amounts Due Priority % of Pro Rata Amounts Fees Priority Judgment Allocations Remainder Allocations Distributed Judgment Administration Fee $ 500.00 $ 500.00 0.00% $ 500.00 Maintenance Fee $ 137.09 100.00% $ 137.09 $ 137.09 District Clerk $ - $ - 0.00% $ - Sheriff's Fee $ - $ - 0.00% $ - Attorney Fee $ - $ - 0.00% $ - Municipal Liens $ 112.91 100.00% $ 112.91 $ 112.91 Taxes $ - 0.00% $ - $ - Total $ 500.00 $ - $ 112.91 $ 500.00 200.00% $ 112.91 $ 750.00 Actual Total Amt Due $ 612.91 Amount Remaining $137.09
  • 378.
    Under Tex. TaxCode §34.051 a municipality is authorized to resell tax foreclosed property for less than the market value specified in the judgment of foreclosure or less than the total amount of the judgments against the property if consent to the conveyance is evidenced by an Interlocal Agreement between the municipality and each taxing unit that is a party to the judgment.
  • 379.
    PROPERTY ANALYSIS For Tax Resale Property: Legal Description: Lot 5, Block 6, Kenley Addition, an addition to the City of San Angelo, Tom Green County, Texas, as described in Volume 335, Page 11, Deed Records of Tom Green County, Texas. Improved or Unimproved Unimproved: Tax Suit Number: B-06-0131-T Location: 1814 Ellis Street Size/Dimensions: 50' x 130' City of San Angelo vs. Katie Glenn Account #1822 Tax ID Number: 15-29800-0006-005-00 Judgment Date: November 14, 2007 Date of Sheriff's Sale: October 7, 2008 Sheriff's Deed October 22, 2008 Recorded: Years Held in Trust 4 YRS Adjudge Value: $2,250.00 Purchased under Urban Redevlopment? YES Amount of Offer: $750.00 Amounts Due Priority % of Pro Rata Amounts Fees Priority Judgment Allocations Remainder Allocations Distributed Judgment Administration Fee $ 500.00 $ 500.00 0.00% $ 500.00 Maintenance Fee $ - 0.00% $ - $ - District Clerk $ 333.00 45.43% $ 113.57 $ 113.57 Sheriff's Fee $ 100.00 13.64% $ 34.11 $ 34.11 Attorney Fee $ 300.00 40.93% $ 102.32 $ 102.32 Municipal Liens $ 428.00 0.00% $ - $ - Taxes $ 2,535.00 0.00% $ - $ - Total $ 500.00 $ 733.00 $ 2,963.00 $ 500.00 100.00% $ 250.00 $ 750.00 Actual Total Amt Due $ 4,196.00 Amount Remaining $250.00
  • 380.
    Under Tex. TaxCode §34.051 a municipality is authorized to resell tax foreclosed property for less than the market value specified in the judgment of foreclosure or less than the total amount of the judgments against the property if consent to the conveyance is evidenced by an Interlocal Agreement between the municipality and each taxing unit that is a party to the judgment.
  • 381.
    PROPERTY ANALYSIS For Tax Resale Property Legal Description: Lot 3, Block 12, Lasker Addition, an addition to the City of San Angelo, Tom Green County, Texas, according to the map or plat thereof, recorded in Volume 23, Page 272, Deed Records of Tom Green County, Texas. Account #16-31200-0012-003-00 Improved/Unimproved Unimproved Tax Suit Number: B-05-0274-T Location: 217 W 16th Street Parcel Size/Dimensions: 50' x 140' City of San Angelo vs. Eusebia Munoz, deceased Account # 8087 Tax ID Number: #16-31200-0012-003-00 Judgment Date: June 30, 2010 Date of Sheriff's Sale: October 5, 2010 Sheriff's Deed Recorded: October 19, 2010 Years Held in Trust 2 1/2 YRS Adjudge Value: $ 3,000.00 Purchased under Urban Redevelopment No Amount of Offer: $ 2,500.00 Amounts Due Priority % of Pro Rata Amounts Fees Judgment Allocations Remainder Allocations Distributed Administration Fee $500.00 $500.00 0.00% $500.00 Maintenance Fee $ 400.00 $ 400.00 0.00% $400.00 District Clerk $1,061.00 $1,061.00 0.00% $1,061.00 Sheriff's Fee $100.00 $100.00 0.00% $100.00 Attorney Fee $413.00 $413.00 0.00% $413.00 Municipal Liens $ - $0.00 0.00% $0.00 $0.00 Taxes $ - $3,804.00 100.00% $26.00 $26.00 Total $2,474.00 $3,804.00 $2,474.00 100.00% $26.00 $2,500.00 Actual Total Amt Due $6,278.00 Amount Remaining $ 26.00 Offer will satisfy all costs and a small portion of the taxes, according to the Judgment.
  • 382.
    PROPERTY ANALYSIS CITY PROPERTY Legal Description: Subdivision: Block: Lot: Location: Usage: Tax ID Number: Deed: Date: Responsible Department: Zoning: Parcel Size/Dimensions: Miscellaneous Information: Plat Restictions? Recent Survey: Connected to other Parcel? Easements: Right-of-Ways: Utilities: Available for Sale? Front Aerial
  • 384.
    PROPERTY ANALYSIS For Tax Resale Property: Legal Description: Lot 5, Block 6, Kenley Addition, an addition to the City of San Angelo, Tom Green County, Texas, as described in Volume 335, Page 11, Deed Records of Tom Green County, Texas. Improved or Unimproved Unimproved: Tax Suit Number: B-06-0131-T Location: 1814 Ellis Street Size/Dimensions: 50' x 130' City of San Angelo vs. Katie Glenn Account #1822 Tax ID Number: 15-29800-0006-005-00 Judgment Date: November 14, 2007 Date of Sheriff's Sale: October 7, 2008 Sheriff's Deed October 22, 2008 Recorded: Years Held in Trust 4 YRS Adjudge Value: $2,250.00 Purchased under Urban Redevlopment? YES Amount of Offer: $750.00 Amounts Due Priority % of Pro Rata Amounts Fees Priority Judgment Allocations Remainder Allocations Distributed Judgment Administration Fee $ 500.00 $ 500.00 0.00% $ 500.00 Maintenance Fee $ 137.09 100.00% $ 137.09 $ 137.09 District Clerk $ - $ - 0.00% $ - Sheriff's Fee $ - $ - 0.00% $ - Attorney Fee $ - $ - 0.00% $ - Municipal Liens $ 112.91 100.00% $ 112.91 $ 112.91 Taxes $ - 0.00% $ - $ - Total $ 500.00 $ - $ 112.91 $ 500.00 200.00% $ 112.91 $ 750.00 Actual Total Amt Due $ 612.91 Amount Remaining $137.09
  • 385.
    Under Tex. TaxCode §34.051 a municipality is authorized to resell tax foreclosed property for less than the market value specified in the judgment of foreclosure or less than the total amount of the judgments against the property if consent to the conveyance is evidenced by an Interlocal Agreement between the municipality and each taxing unit that is a party to the judgment.
  • 386.
    PROPERTY ANALYSIS For Tax Resale Property: Legal Description: Lot 5, Block 6, Kenley Addition, an addition to the City of San Angelo, Tom Green County, Texas, as described in Volume 335, Page 11, Deed Records of Tom Green County, Texas. Improved or Unimproved Unimproved: Tax Suit Number: B-06-0131-T Location: 1814 Ellis Street Size/Dimensions: 50' x 130' City of San Angelo vs. Katie Glenn Account #1822 Tax ID Number: 15-29800-0006-005-00 Judgment Date: November 14, 2007 Date of Sheriff's Sale: October 7, 2008 Sheriff's Deed October 22, 2008 Recorded: Years Held in Trust 4 YRS Adjudge Value: $2,250.00 Purchased under Urban Redevlopment? YES Amount of Offer: $750.00 Amounts Due Priority % of Pro Rata Amounts Fees Priority Judgment Allocations Remainder Allocations Distributed Judgment Administration Fee $ 500.00 $ 500.00 0.00% $ 500.00 Maintenance Fee $ - 0.00% $ - $ - District Clerk $ 333.00 45.43% $ 113.57 $ 113.57 Sheriff's Fee $ 100.00 13.64% $ 34.11 $ 34.11 Attorney Fee $ 300.00 40.93% $ 102.32 $ 102.32 Municipal Liens $ 428.00 0.00% $ - $ - Taxes $ 2,535.00 0.00% $ - $ - Total $ 500.00 $ 733.00 $ 2,963.00 $ 500.00 100.00% $ 250.00 $ 750.00 Actual Total Amt Due $ 4,196.00 Amount Remaining $250.00
  • 387.
    Under Tex. TaxCode §34.051 a municipality is authorized to resell tax foreclosed property for less than the market value specified in the judgment of foreclosure or less than the total amount of the judgments against the property if consent to the conveyance is evidenced by an Interlocal Agreement between the municipality and each taxing unit that is a party to the judgment.
  • 388.
    PROPERTY ANALYSIS For Tax Resale Property Legal Description: Lot 3, Block 31, Miles Addition, as described in Volume 186, Page 339, Deed Records of Tom Green County, Texas. Account #18-34200-0031-003-00 Improved/Unimproved Unimproved Tax Suit Number: B-95-0055-T Location: 209 W 19th Street Parcel Size/Dimensions: 50' x 100' City of San Angelo vs. Alverda Stephens Account # 2275 Tax ID Number: #18-34200-0031-003-00 Judgment Date: April 22, 1996 Date of Sheriff's Sale: August 4, 1998 Sheriff's Deed Recorded: October 29, 1998 Years Held in Trust 14 1/2 YRS Adjudge Value: $ 3,163.00 Sale under Urban Redevelopment? No Amount of Offer: $ 750.00 Amounts Due Priority % of Pro Rata Amounts Fees Judgment Allocations Remainder Allocations Distributed Administration & $511.00 $511.00 0.00% $511.00 Recording Fees Maintenance Fee $2,030.00 $2,030.00 0.00% $ - $ - District Clerk $358.69 $358.69 74.73% $ 178.62 $ 178.62 Sheriff's Fee $40.00 $40.00 8.33% $ 19.92 $ 19.92 Attorney Fee $81.26 $81.26 16.93% $ 40.46 $ 40.46 Municipal Liens $0.00 $0.00 0.00% $0.00 $0.00 Taxes $0.00 $2,579.80 0.00% $0.00 $0.00 Total $3,020.95 $2,579.80 $3,020.95 100.00% $ 239.00 $750.00 Actual Total Amt Due $5,600.75 $479.95 Amount Remaining $ 239.00 Offer will satisfy a portion of court costs according to the Judgment.
  • 389.
    PROPERTY ANALYSIS CITY PROPERTY Legal Description: Subdivision: Block: Lot: Location: Usage: Tax ID Number: Deed: Date: Responsible Department: Zoning: Parcel Size/Dimensions: Miscellaneous Information: Plat Restictions? Recent Survey: Connected to other Parcel? Easements: Right-of-Ways: Utilities: Available for Sale? Front Aerial
  • 391.
    PROPERTY ANALYSIS For Tax Resale Property: Legal Description: Lot 5, Block 6, Kenley Addition, an addition to the City of San Angelo, Tom Green County, Texas, as described in Volume 335, Page 11, Deed Records of Tom Green County, Texas. Improved or Unimproved Unimproved: Tax Suit Number: B-06-0131-T Location: 1814 Ellis Street Size/Dimensions: 50' x 130' City of San Angelo vs. Katie Glenn Account #1822 Tax ID Number: 15-29800-0006-005-00 Judgment Date: November 14, 2007 Date of Sheriff's Sale: October 7, 2008 Sheriff's Deed October 22, 2008 Recorded: Years Held in Trust 4 YRS Adjudge Value: $2,250.00 Purchased under Urban Redevlopment? YES Amount of Offer: $750.00 Amounts Due Priority % of Pro Rata Amounts Fees Priority Judgment Allocations Remainder Allocations Distributed Judgment Administration Fee $ 500.00 $ 500.00 0.00% $ 500.00 Maintenance Fee $ 137.09 100.00% $ 137.09 $ 137.09 District Clerk $ - $ - 0.00% $ - Sheriff's Fee $ - $ - 0.00% $ - Attorney Fee $ - $ - 0.00% $ - Municipal Liens $ 112.91 100.00% $ 112.91 $ 112.91 Taxes $ - 0.00% $ - $ - Total $ 500.00 $ - $ 112.91 $ 500.00 200.00% $ 112.91 $ 750.00 Actual Total Amt Due $ 612.91 Amount Remaining $137.09
  • 392.
    Under Tex. TaxCode §34.051 a municipality is authorized to resell tax foreclosed property for less than the market value specified in the judgment of foreclosure or less than the total amount of the judgments against the property if consent to the conveyance is evidenced by an Interlocal Agreement between the municipality and each taxing unit that is a party to the judgment.
  • 393.
    PROPERTY ANALYSIS For Tax Resale Property: Legal Description: Lot 5, Block 6, Kenley Addition, an addition to the City of San Angelo, Tom Green County, Texas, as described in Volume 335, Page 11, Deed Records of Tom Green County, Texas. Improved or Unimproved Unimproved: Tax Suit Number: B-06-0131-T Location: 1814 Ellis Street Size/Dimensions: 50' x 130' City of San Angelo vs. Katie Glenn Account #1822 Tax ID Number: 15-29800-0006-005-00 Judgment Date: November 14, 2007 Date of Sheriff's Sale: October 7, 2008 Sheriff's Deed October 22, 2008 Recorded: Years Held in Trust 4 YRS Adjudge Value: $2,250.00 Purchased under Urban Redevlopment? YES Amount of Offer: $750.00 Amounts Due Priority % of Pro Rata Amounts Fees Priority Judgment Allocations Remainder Allocations Distributed Judgment Administration Fee $ 500.00 $ 500.00 0.00% $ 500.00 Maintenance Fee $ - 0.00% $ - $ - District Clerk $ 333.00 45.43% $ 113.57 $ 113.57 Sheriff's Fee $ 100.00 13.64% $ 34.11 $ 34.11 Attorney Fee $ 300.00 40.93% $ 102.32 $ 102.32 Municipal Liens $ 428.00 0.00% $ - $ - Taxes $ 2,535.00 0.00% $ - $ - Total $ 500.00 $ 733.00 $ 2,963.00 $ 500.00 100.00% $ 250.00 $ 750.00 Actual Total Amt Due $ 4,196.00 Amount Remaining $250.00
  • 394.
    Under Tex. TaxCode §34.051 a municipality is authorized to resell tax foreclosed property for less than the market value specified in the judgment of foreclosure or less than the total amount of the judgments against the property if consent to the conveyance is evidenced by an Interlocal Agreement between the municipality and each taxing unit that is a party to the judgment.
  • 395.
    PROPERTY ANALYSIS For Tax Resale Property Legal Description: The South 50 feet of the North 447.7 feet of Block 8 of the E.S. Kirby Subdivision, City of San Angelo, as described in Volume 687, Page 547, Deed Records of Tom Green County, Texas. Account #15-30200-0008-019-00 Improved/Unimproved Unimproved Tax Suit Number: TAX89-0217B Location: 2327 Lillie Street Parcel Size/Dimensions: 50' x 200' City of San Angelo vs. Eddie Jackson Account # 899 Tax ID Number: #15-30200-0008-019-00 Judgment Date: January 10, 1992 Date of Sheriff's Sale: April 7, 1992 Sheriff's Deed Recorded: April 24, 1992 Years Held in Trust 21 YRS Adjudge Value: $ 2,500.00 Sale under Urban Redevelopment? No Amount of Offer: $ 750.00 Amounts Due Priority % of Pro Rata Amounts Fees Judgment Allocations Remainder Allocations Distributed Administration Fee $500.00 $500.00 0.00% $500.00 Maintenance Fee $5,880.00 $5,880.00 100.00% $ 250.00 $ 250.00 District Clerk $0.00 $0.00 0.00% $ - $ - Sheriff's Fee $0.00 $0.00 0.00% $ - $ - Attorney Fee $0.00 $0.00 0.00% $ - $ - Municipal Liens $0.00 $0.00 0.00% $0.00 $0.00 Taxes $0.00 $0.00 0.00% $0.00 $0.00 Total $6,380.00 $0.00 $6,380.00 100.00% $ 250.00 $750.00 Actual Total Amt Due $6,380.00 $0.00 Amount Remaining $ 250.00 Offer will satisfy a portion of court costs according to the Judgment.
  • 396.
    PROPERTY ANALYSIS CITY PROPERTY Legal Description: Subdivision: Block: Lot: Location: Usage: Tax ID Number: Deed: Date: Responsible Department: Zoning: Parcel Size/Dimensions: Miscellaneous Information: Plat Restictions? Recent Survey: Connected to other Parcel? Easements: Right-of-Ways: Utilities: Available for Sale? Front Aerial
  • 398.
    PROPERTY ANALYSIS For Tax Resale Property: Legal Description: Lot 5, Block 6, Kenley Addition, an addition to the City of San Angelo, Tom Green County, Texas, as described in Volume 335, Page 11, Deed Records of Tom Green County, Texas. Improved or Unimproved Unimproved: Tax Suit Number: B-06-0131-T Location: 1814 Ellis Street Size/Dimensions: 50' x 130' City of San Angelo vs. Katie Glenn Account #1822 Tax ID Number: 15-29800-0006-005-00 Judgment Date: November 14, 2007 Date of Sheriff's Sale: October 7, 2008 Sheriff's Deed October 22, 2008 Recorded: Years Held in Trust 4 YRS Adjudge Value: $2,250.00 Purchased under Urban Redevlopment? YES Amount of Offer: $750.00 Amounts Due Priority % of Pro Rata Amounts Fees Priority Judgment Allocations Remainder Allocations Distributed Judgment Administration Fee $ 500.00 $ 500.00 0.00% $ 500.00 Maintenance Fee $ 137.09 100.00% $ 137.09 $ 137.09 District Clerk $ - $ - 0.00% $ - Sheriff's Fee $ - $ - 0.00% $ - Attorney Fee $ - $ - 0.00% $ - Municipal Liens $ 112.91 100.00% $ 112.91 $ 112.91 Taxes $ - 0.00% $ - $ - Total $ 500.00 $ - $ 112.91 $ 500.00 200.00% $ 112.91 $ 750.00 Actual Total Amt Due $ 612.91 Amount Remaining $137.09
  • 399.
    Under Tex. TaxCode §34.051 a municipality is authorized to resell tax foreclosed property for less than the market value specified in the judgment of foreclosure or less than the total amount of the judgments against the property if consent to the conveyance is evidenced by an Interlocal Agreement between the municipality and each taxing unit that is a party to the judgment.
  • 400.
    PROPERTY ANALYSIS For Tax Resale Property: Legal Description: Lot 5, Block 6, Kenley Addition, an addition to the City of San Angelo, Tom Green County, Texas, as described in Volume 335, Page 11, Deed Records of Tom Green County, Texas. Improved or Unimproved Unimproved: Tax Suit Number: B-06-0131-T Location: 1814 Ellis Street Size/Dimensions: 50' x 130' City of San Angelo vs. Katie Glenn Account #1822 Tax ID Number: 15-29800-0006-005-00 Judgment Date: November 14, 2007 Date of Sheriff's Sale: October 7, 2008 Sheriff's Deed October 22, 2008 Recorded: Years Held in Trust 4 YRS Adjudge Value: $2,250.00 Purchased under Urban Redevlopment? YES Amount of Offer: $750.00 Amounts Due Priority % of Pro Rata Amounts Fees Priority Judgment Allocations Remainder Allocations Distributed Judgment Administration Fee $ 500.00 $ 500.00 0.00% $ 500.00 Maintenance Fee $ - 0.00% $ - $ - District Clerk $ 333.00 45.43% $ 113.57 $ 113.57 Sheriff's Fee $ 100.00 13.64% $ 34.11 $ 34.11 Attorney Fee $ 300.00 40.93% $ 102.32 $ 102.32 Municipal Liens $ 428.00 0.00% $ - $ - Taxes $ 2,535.00 0.00% $ - $ - Total $ 500.00 $ 733.00 $ 2,963.00 $ 500.00 100.00% $ 250.00 $ 750.00 Actual Total Amt Due $ 4,196.00 Amount Remaining $250.00
  • 401.
    Under Tex. TaxCode §34.051 a municipality is authorized to resell tax foreclosed property for less than the market value specified in the judgment of foreclosure or less than the total amount of the judgments against the property if consent to the conveyance is evidenced by an Interlocal Agreement between the municipality and each taxing unit that is a party to the judgment.
  • 402.
    PROPERTY ANALYSIS For Tax Resale Property Legal Description: The South 80 feet of the East 12 2/3 Feet of Lot 8, the South 80 Feet of Lot 7, and the South 80 Feet of the West 1 5/6 Feet of Lot 6, Block 3, Akin’s Addition, City of San Angelo, as described in Volume 234, Page 485, Deed Records of Tom Green County, Texas. Account #01-10100-0003-008-00 Improved/Unimproved Unimproved Tax Suit Number: TAX89-0364B Location: 310 E 9th Street Parcel Size/Dimensions: 64' x 80' City of San Angelo vs. Robbie Allcorn, a/k/a Robbie Alcorn Mayes, a/k/a R.J. Allcorn Account # 995 Tax ID Number: #01-10100-0003-008-00 Judgment Date: March 27, 1996 Date of Sheriff's Sale: February 6, 1996 Sheriff's Deed Recorded: May 7, 1996 Years Held in Trust 17 YRS Adjudge Value: $ 3,200.00 Sale under Urban Redevelopment? No Amount of Offer: $ 750.00 Amounts Due Priority % of Pro Rata Amounts Fees Judgment Allocations Remainder Allocations Distributed Administration Fee $500.00 $500.00 0.00% $500.00 Maintenance Fee $ 2,448.00 $ 2,448.00 100.00% $ 250.00 $ 250.00 District Clerk $0.00 $0.00 0.00% $0.00 Sheriff's Fee $0.00 $0.00 0.00% $0.00 Attorney Fee $0.00 $0.00 0.00% $0.00 Municipal Liens $ - $0.00 0.00% $0.00 $0.00 Taxes $ - $0.00 0.00% $0.00 $0.00 Total $2,948.00 $0.00 $2,948.00 100.00% $0.00 $750.00 Actual Total Amt Due $2,948.00 Amount Remaining $ 250.00 Offer will satisfy all costs according to the Judgment.
  • 403.
    PROPERTY ANALYSIS CITY PROPERTY Legal Description: Subdivision: Block: Lot: Location: Usage: Tax ID Number: Deed: Date: Responsible Department: Zoning: Parcel Size/Dimensions: Miscellaneous Information: Plat Restictions? Recent Survey: Connected to other Parcel? Easements: Right-of-Ways: Utilities: Available for Sale? Front Aerial
  • 405.
    PROPERTY ANALYSIS For Tax Resale Property: Legal Description: Lot 5, Block 6, Kenley Addition, an addition to the City of San Angelo, Tom Green County, Texas, as described in Volume 335, Page 11, Deed Records of Tom Green County, Texas. Improved or Unimproved Unimproved: Tax Suit Number: B-06-0131-T Location: 1814 Ellis Street Size/Dimensions: 50' x 130' City of San Angelo vs. Katie Glenn Account #1822 Tax ID Number: 15-29800-0006-005-00 Judgment Date: November 14, 2007 Date of Sheriff's Sale: October 7, 2008 Sheriff's Deed October 22, 2008 Recorded: Years Held in Trust 4 YRS Adjudge Value: $2,250.00 Purchased under Urban Redevlopment? YES Amount of Offer: $750.00 Amounts Due Priority % of Pro Rata Amounts Fees Priority Judgment Allocations Remainder Allocations Distributed Judgment Administration Fee $ 500.00 $ 500.00 0.00% $ 500.00 Maintenance Fee $ 137.09 100.00% $ 137.09 $ 137.09 District Clerk $ - $ - 0.00% $ - Sheriff's Fee $ - $ - 0.00% $ - Attorney Fee $ - $ - 0.00% $ - Municipal Liens $ 112.91 100.00% $ 112.91 $ 112.91 Taxes $ - 0.00% $ - $ - Total $ 500.00 $ - $ 112.91 $ 500.00 200.00% $ 112.91 $ 750.00 Actual Total Amt Due $ 612.91 Amount Remaining $137.09
  • 406.
    Under Tex. TaxCode §34.051 a municipality is authorized to resell tax foreclosed property for less than the market value specified in the judgment of foreclosure or less than the total amount of the judgments against the property if consent to the conveyance is evidenced by an Interlocal Agreement between the municipality and each taxing unit that is a party to the judgment.
  • 407.
    PROPERTY ANALYSIS For Tax Resale Property: Legal Description: Lot 5, Block 6, Kenley Addition, an addition to the City of San Angelo, Tom Green County, Texas, as described in Volume 335, Page 11, Deed Records of Tom Green County, Texas. Improved or Unimproved Unimproved: Tax Suit Number: B-06-0131-T Location: 1814 Ellis Street Size/Dimensions: 50' x 130' City of San Angelo vs. Katie Glenn Account #1822 Tax ID Number: 15-29800-0006-005-00 Judgment Date: November 14, 2007 Date of Sheriff's Sale: October 7, 2008 Sheriff's Deed October 22, 2008 Recorded: Years Held in Trust 4 YRS Adjudge Value: $2,250.00 Purchased under Urban Redevlopment? YES Amount of Offer: $750.00 Amounts Due Priority % of Pro Rata Amounts Fees Priority Judgment Allocations Remainder Allocations Distributed Judgment Administration Fee $ 500.00 $ 500.00 0.00% $ 500.00 Maintenance Fee $ - 0.00% $ - $ - District Clerk $ 333.00 45.43% $ 113.57 $ 113.57 Sheriff's Fee $ 100.00 13.64% $ 34.11 $ 34.11 Attorney Fee $ 300.00 40.93% $ 102.32 $ 102.32 Municipal Liens $ 428.00 0.00% $ - $ - Taxes $ 2,535.00 0.00% $ - $ - Total $ 500.00 $ 733.00 $ 2,963.00 $ 500.00 100.00% $ 250.00 $ 750.00 Actual Total Amt Due $ 4,196.00 Amount Remaining $250.00
  • 408.
    Under Tex. TaxCode §34.051 a municipality is authorized to resell tax foreclosed property for less than the market value specified in the judgment of foreclosure or less than the total amount of the judgments against the property if consent to the conveyance is evidenced by an Interlocal Agreement between the municipality and each taxing unit that is a party to the judgment.
  • 409.
    PROPERTY ANALYSIS For Tax Resale Property Legal Description: Lot 3, Block 93, Dallas Subdivision of Miles Addition No. 2, known as Angelo Heights Addition, an addition to the City of San Angelo, Tom Green County, Texas, according to the map or plat thereof, recorded in Volume 54, Page 168, Deed Records of Tom Green County, Texas. Account #01-11000-0093-003-00 Improved/Unimproved Unimproved Tax Suit Number: B-05-0268-T Location: 613 N. Adams Street Parcel Size/Dimensions: 50' x 140' City of San Angelo vs. Edward Seeley Henderson Account # 831 Tax ID Number: #01-11000-0093-003-00 Judgment Date: April 4, 2007 Date of Sheriff's Sale: October 2, 2007 Sheriff's Deed Recorded: October 15, 2007 Years Held in Trust 6 1/2 YRS Adjudge Value: $ 6,250.00 Sale under Urban Redevelopment? No Amount of Offer: $ 2,700.00 Amounts Due Priority % of Pro Rata Amounts Fees Judgment Allocations Remainder Allocations Distributed Administration Fee $500.00 $500.00 0.00% $500.00 Maintenance Fee $1,300.00 $1,300.00 0.00% $1,300.00 District Clerk $333.00 $333.00 0.00% $333.00 Sheriff's Fee $100.00 $100.00 0.00% $100.00 Attorney Fee $345.00 $345.00 0.00% $345.00 Municipal Liens $0.00 $1,808.00 30.56% $37.28 $37.28 Taxes $0.00 $4,109.00 69.44% $84.72 $84.72 Total $2,578.00 $5,917.00 $2,578.00 100.00% $122.00 $2,700.00 Actual Total Amt Due $8,495.00 Amount Remaining $ 122.00 Offer will satisfy all costs and a small portion of the taxes and liens according to the Judgment.
  • 410.
    PROPERTY ANALYSIS CITY PROPERTY Legal Description: Subdivision: Block: Lot: Location: Usage: Tax ID Number: Deed: Date: Responsible Department: Zoning: Parcel Size/Dimensions: Miscellaneous Information: Plat Restictions? Recent Survey: Connected to other Parcel? Easements: Right-of-Ways: Utilities: Available for Sale? Front Aerial
  • 412.
    PROPERTY ANALYSIS For Tax Resale Property: Legal Description: Lot 5, Block 6, Kenley Addition, an addition to the City of San Angelo, Tom Green County, Texas, as described in Volume 335, Page 11, Deed Records of Tom Green County, Texas. Improved or Unimproved Unimproved: Tax Suit Number: B-06-0131-T Location: 1814 Ellis Street Size/Dimensions: 50' x 130' City of San Angelo vs. Katie Glenn Account #1822 Tax ID Number: 15-29800-0006-005-00 Judgment Date: November 14, 2007 Date of Sheriff's Sale: October 7, 2008 Sheriff's Deed October 22, 2008 Recorded: Years Held in Trust 4 YRS Adjudge Value: $2,250.00 Purchased under Urban Redevlopment? YES Amount of Offer: $750.00 Amounts Due Priority % of Pro Rata Amounts Fees Priority Judgment Allocations Remainder Allocations Distributed Judgment Administration Fee $ 500.00 $ 500.00 0.00% $ 500.00 Maintenance Fee $ 137.09 100.00% $ 137.09 $ 137.09 District Clerk $ - $ - 0.00% $ - Sheriff's Fee $ - $ - 0.00% $ - Attorney Fee $ - $ - 0.00% $ - Municipal Liens $ 112.91 100.00% $ 112.91 $ 112.91 Taxes $ - 0.00% $ - $ - Total $ 500.00 $ - $ 112.91 $ 500.00 200.00% $ 112.91 $ 750.00 Actual Total Amt Due $ 612.91 Amount Remaining $137.09
  • 413.
    Under Tex. TaxCode §34.051 a municipality is authorized to resell tax foreclosed property for less than the market value specified in the judgment of foreclosure or less than the total amount of the judgments against the property if consent to the conveyance is evidenced by an Interlocal Agreement between the municipality and each taxing unit that is a party to the judgment.
  • 414.
    PROPERTY ANALYSIS For Tax Resale Property: Legal Description: Lot 5, Block 6, Kenley Addition, an addition to the City of San Angelo, Tom Green County, Texas, as described in Volume 335, Page 11, Deed Records of Tom Green County, Texas. Improved or Unimproved Unimproved: Tax Suit Number: B-06-0131-T Location: 1814 Ellis Street Size/Dimensions: 50' x 130' City of San Angelo vs. Katie Glenn Account #1822 Tax ID Number: 15-29800-0006-005-00 Judgment Date: November 14, 2007 Date of Sheriff's Sale: October 7, 2008 Sheriff's Deed October 22, 2008 Recorded: Years Held in Trust 4 YRS Adjudge Value: $2,250.00 Purchased under Urban Redevlopment? YES Amount of Offer: $750.00 Amounts Due Priority % of Pro Rata Amounts Fees Priority Judgment Allocations Remainder Allocations Distributed Judgment Administration Fee $ 500.00 $ 500.00 0.00% $ 500.00 Maintenance Fee $ - 0.00% $ - $ - District Clerk $ 333.00 45.43% $ 113.57 $ 113.57 Sheriff's Fee $ 100.00 13.64% $ 34.11 $ 34.11 Attorney Fee $ 300.00 40.93% $ 102.32 $ 102.32 Municipal Liens $ 428.00 0.00% $ - $ - Taxes $ 2,535.00 0.00% $ - $ - Total $ 500.00 $ 733.00 $ 2,963.00 $ 500.00 100.00% $ 250.00 $ 750.00 Actual Total Amt Due $ 4,196.00 Amount Remaining $250.00
  • 415.
    Under Tex. TaxCode §34.051 a municipality is authorized to resell tax foreclosed property for less than the market value specified in the judgment of foreclosure or less than the total amount of the judgments against the property if consent to the conveyance is evidenced by an Interlocal Agreement between the municipality and each taxing unit that is a party to the judgment.
  • 416.
    PROPERTY ANALYSIS For Tax Resale Property Legal Description: The North ½ of Lot 7, Block 3, Akin Addition, City of San Angelo, as described in Volume 478, Page 95, Deed Records of Tom Green County, Texas. Account #01-10100-003-009-00 Improved/Unimproved Unimproved Tax Suit Number: TAX90-0082B Location: 309 E 10th Street Parcel Size/Dimensions: 50' x 80' City of San Angelo vs. Weldon Carlos Marshall Account # 1443 Tax ID Number: Account #01-10100-003-009-00 Judgment Date: October 14, 1992 Date of Sheriff's Sale: February 4, 1997 Sheriff's Deed Recorded: February 21, 1997 Years Held in Trust 16 YRS Adjudge Value: $ 2,500.00 Sale under Urban Redevelopment? No Amount of Offer: $ 750.00 Amounts Due Priority % of Pro Rata Amounts Fees Judgment Allocations Remainder Allocations Distributed Administration Fee $500.00 $500.00 0.00% $500.00 Maintenance Fee $ 2,240.00 $ 2,240.00 100.00% $ 250.00 $ 250.00 District Clerk $0.00 $0.00 0.00% $0.00 Sheriff's Fee $0.00 $0.00 0.00% $0.00 Attorney Fee $0.00 $0.00 0.00% $0.00 Municipal Liens $ - $0.00 0.00% $0.00 $0.00 Taxes $ - $0.00 0.00% $0.00 $0.00 Total $2,740.00 $0.00 $2,740.00 100.00% $0.00 $750.00 Actual Total Amt Due $2,740.00 Amount Remaining $ 250.00 Offer will satisfy all costs according to the Judgment.
  • 417.
    PROPERTY ANALYSIS CITY PROPERTY Legal Description: Subdivision: Block: Lot: Location: Usage: Tax ID Number: Deed: Date: Responsible Department: Zoning: Parcel Size/Dimensions: Miscellaneous Information: Plat Restictions? Recent Survey: Connected to other Parcel? Easements: Right-of-Ways: Utilities: Available for Sale? Front Aerial
  • 419.
    PROPERTY ANALYSIS For Tax Resale Property: Legal Description: Lot 5, Block 6, Kenley Addition, an addition to the City of San Angelo, Tom Green County, Texas, as described in Volume 335, Page 11, Deed Records of Tom Green County, Texas. Improved or Unimproved Unimproved: Tax Suit Number: B-06-0131-T Location: 1814 Ellis Street Size/Dimensions: 50' x 130' City of San Angelo vs. Katie Glenn Account #1822 Tax ID Number: 15-29800-0006-005-00 Judgment Date: November 14, 2007 Date of Sheriff's Sale: October 7, 2008 Sheriff's Deed October 22, 2008 Recorded: Years Held in Trust 4 YRS Adjudge Value: $2,250.00 Purchased under Urban Redevlopment? YES Amount of Offer: $750.00 Amounts Due Priority % of Pro Rata Amounts Fees Priority Judgment Allocations Remainder Allocations Distributed Judgment Administration Fee $ 500.00 $ 500.00 0.00% $ 500.00 Maintenance Fee $ 137.09 100.00% $ 137.09 $ 137.09 District Clerk $ - $ - 0.00% $ - Sheriff's Fee $ - $ - 0.00% $ - Attorney Fee $ - $ - 0.00% $ - Municipal Liens $ 112.91 100.00% $ 112.91 $ 112.91 Taxes $ - 0.00% $ - $ - Total $ 500.00 $ - $ 112.91 $ 500.00 200.00% $ 112.91 $ 750.00 Actual Total Amt Due $ 612.91 Amount Remaining $137.09
  • 420.
    Under Tex. TaxCode §34.051 a municipality is authorized to resell tax foreclosed property for less than the market value specified in the judgment of foreclosure or less than the total amount of the judgments against the property if consent to the conveyance is evidenced by an Interlocal Agreement between the municipality and each taxing unit that is a party to the judgment.
  • 421.
    PROPERTY ANALYSIS For Tax Resale Property: Legal Description: Lot 5, Block 6, Kenley Addition, an addition to the City of San Angelo, Tom Green County, Texas, as described in Volume 335, Page 11, Deed Records of Tom Green County, Texas. Improved or Unimproved Unimproved: Tax Suit Number: B-06-0131-T Location: 1814 Ellis Street Size/Dimensions: 50' x 130' City of San Angelo vs. Katie Glenn Account #1822 Tax ID Number: 15-29800-0006-005-00 Judgment Date: November 14, 2007 Date of Sheriff's Sale: October 7, 2008 Sheriff's Deed October 22, 2008 Recorded: Years Held in Trust 4 YRS Adjudge Value: $2,250.00 Purchased under Urban Redevlopment? YES Amount of Offer: $750.00 Amounts Due Priority % of Pro Rata Amounts Fees Priority Judgment Allocations Remainder Allocations Distributed Judgment Administration Fee $ 500.00 $ 500.00 0.00% $ 500.00 Maintenance Fee $ - 0.00% $ - $ - District Clerk $ 333.00 45.43% $ 113.57 $ 113.57 Sheriff's Fee $ 100.00 13.64% $ 34.11 $ 34.11 Attorney Fee $ 300.00 40.93% $ 102.32 $ 102.32 Municipal Liens $ 428.00 0.00% $ - $ - Taxes $ 2,535.00 0.00% $ - $ - Total $ 500.00 $ 733.00 $ 2,963.00 $ 500.00 100.00% $ 250.00 $ 750.00 Actual Total Amt Due $ 4,196.00 Amount Remaining $250.00
  • 422.
    Under Tex. TaxCode §34.051 a municipality is authorized to resell tax foreclosed property for less than the market value specified in the judgment of foreclosure or less than the total amount of the judgments against the property if consent to the conveyance is evidenced by an Interlocal Agreement between the municipality and each taxing unit that is a party to the judgment.
  • 423.
    PROPERTY ANALYSIS For Tax Resale Property Legal Description: Lot 12, Block 5, Mineola Addition, City of San Angelo, as described in Volume 408, Page 15, Deed Records of Tom Green County, Texas. Account #20-34900-0005-009-00 Improved/Unimproved Unimproved Tax Suit Number: TAX93-0151B Location: 800 W 16th Street Parcel Size/Dimensions: 51' x 150' City of San Angelo vs. Bobbie Jean Sims Account #953 Tax ID Number: #20-34900-0005-009-00 Judgment Date: November 8, 1993 Date of Sheriff's Sale: May 6, 1997 Sheriff's Deed Recorded: June 12, 1997 Years Held in Trust 15 1/2 YRS Adjudge Value: $ 2,550.00 Sale under Urban Redevelopment? No Amount of Offer: $ 750.00 Amounts Due Priority % of Pro Rata Amounts Fees Judgment Allocations Remainder Allocations Distributed Administration Fee $500.00 $500.00 0.00% $500.00 Maintenance Fee $ 2,170.00 $ 2,170.00 100.00% $ 250.00 $ 250.00 District Clerk $0.00 $0.00 0.00% $0.00 Sheriff's Fee $0.00 $0.00 0.00% $0.00 Attorney Fee $0.00 $0.00 0.00% $0.00 Municipal Liens $ - $0.00 0.00% $0.00 $0.00 Taxes $ - $0.00 0.00% $0.00 $0.00 Total $2,670.00 $0.00 $2,670.00 100.00% $0.00 $750.00 Actual Total Amt Due $2,670.00 Amount Remaining $ 250.00 Offer will satisfy all costs according to the Judgment.
  • 424.
    PROPERTY ANALYSIS CITY PROPERTY Legal Description: Subdivision: Block: Lot: Location: Usage: Tax ID Number: Deed: Date: Responsible Department: Zoning: Parcel Size/Dimensions: Miscellaneous Information: Plat Restictions? Recent Survey: Connected to other Parcel? Easements: Right-of-Ways: Utilities: Available for Sale? Front Aerial
  • 426.
    PROPERTY ANALYSIS For Tax Resale Property: Legal Description: Lot 5, Block 6, Kenley Addition, an addition to the City of San Angelo, Tom Green County, Texas, as described in Volume 335, Page 11, Deed Records of Tom Green County, Texas. Improved or Unimproved Unimproved: Tax Suit Number: B-06-0131-T Location: 1814 Ellis Street Size/Dimensions: 50' x 130' City of San Angelo vs. Katie Glenn Account #1822 Tax ID Number: 15-29800-0006-005-00 Judgment Date: November 14, 2007 Date of Sheriff's Sale: October 7, 2008 Sheriff's Deed October 22, 2008 Recorded: Years Held in Trust 4 YRS Adjudge Value: $2,250.00 Purchased under Urban Redevlopment? YES Amount of Offer: $750.00 Amounts Due Priority % of Pro Rata Amounts Fees Priority Judgment Allocations Remainder Allocations Distributed Judgment Administration Fee $ 500.00 $ 500.00 0.00% $ 500.00 Maintenance Fee $ 137.09 100.00% $ 137.09 $ 137.09 District Clerk $ - $ - 0.00% $ - Sheriff's Fee $ - $ - 0.00% $ - Attorney Fee $ - $ - 0.00% $ - Municipal Liens $ 112.91 100.00% $ 112.91 $ 112.91 Taxes $ - 0.00% $ - $ - Total $ 500.00 $ - $ 112.91 $ 500.00 200.00% $ 112.91 $ 750.00 Actual Total Amt Due $ 612.91 Amount Remaining $137.09
  • 427.
    Under Tex. TaxCode §34.051 a municipality is authorized to resell tax foreclosed property for less than the market value specified in the judgment of foreclosure or less than the total amount of the judgments against the property if consent to the conveyance is evidenced by an Interlocal Agreement between the municipality and each taxing unit that is a party to the judgment.
  • 428.
    PROPERTY ANALYSIS For Tax Resale Property: Legal Description: Lot 5, Block 6, Kenley Addition, an addition to the City of San Angelo, Tom Green County, Texas, as described in Volume 335, Page 11, Deed Records of Tom Green County, Texas. Improved or Unimproved Unimproved: Tax Suit Number: B-06-0131-T Location: 1814 Ellis Street Size/Dimensions: 50' x 130' City of San Angelo vs. Katie Glenn Account #1822 Tax ID Number: 15-29800-0006-005-00 Judgment Date: November 14, 2007 Date of Sheriff's Sale: October 7, 2008 Sheriff's Deed October 22, 2008 Recorded: Years Held in Trust 4 YRS Adjudge Value: $2,250.00 Purchased under Urban Redevlopment? YES Amount of Offer: $750.00 Amounts Due Priority % of Pro Rata Amounts Fees Priority Judgment Allocations Remainder Allocations Distributed Judgment Administration Fee $ 500.00 $ 500.00 0.00% $ 500.00 Maintenance Fee $ - 0.00% $ - $ - District Clerk $ 333.00 45.43% $ 113.57 $ 113.57 Sheriff's Fee $ 100.00 13.64% $ 34.11 $ 34.11 Attorney Fee $ 300.00 40.93% $ 102.32 $ 102.32 Municipal Liens $ 428.00 0.00% $ - $ - Taxes $ 2,535.00 0.00% $ - $ - Total $ 500.00 $ 733.00 $ 2,963.00 $ 500.00 100.00% $ 250.00 $ 750.00 Actual Total Amt Due $ 4,196.00 Amount Remaining $250.00
  • 429.
    Under Tex. TaxCode §34.051 a municipality is authorized to resell tax foreclosed property for less than the market value specified in the judgment of foreclosure or less than the total amount of the judgments against the property if consent to the conveyance is evidenced by an Interlocal Agreement between the municipality and each taxing unit that is a party to the judgment.
  • 430.
    PROPERTY ANALYSIS For Tax Resale Property Legal Description: Lot 10, Block 5, Mineola Addition, City of San Angelo, as described in Volume 620, Page 365, Deed Records of Tom Green County, Texas. Account #20-34900-0005-007-00 Improved/Unimproved Unimproved Tax Suit Number: TAX89-0032B Location: 810 W 16th Street Parcel Size/Dimensions: 51' x 150' City of San Angelo vs. Rachael M. Clark Account # 4371 Estella Jones Account # 903 Tax ID Number: #20-34900-0005-007-00 Judgment Date: March 30, 1992 Date of Sheriff's Sale: July 7, 1992 Sheriff's Deed Recorded: July 24, 1992 Years Held in Trust 20 1/2 YRS Adjudge Value: $ 1,393.00 Sale under Urban Redevelopment? No Amount of Offer: $ 750.00 Amounts Due Priority % of Pro Rata Amounts Fees Judgment Allocations Remainder Allocations Distributed Administration Fee $500.00 $500.00 0.00% $500.00 Maintenance Fee $2,870.00 $2,870.00 0.00% $0.00 District Clerk $360.25 $360.25 78.34% $ 195.85 $ 195.85 Sheriff's Fee $40.00 $40.00 8.70% $ 21.75 $ 21.75 Attorney Fee $59.61 $59.61 12.96% $ 32.41 $ 32.41 Municipal Liens $0.00 $0.00 0.00% $0.00 $0.00 Taxes $0.00 $875.62 0.00% $0.00 $0.00 Total $3,829.86 $875.62 $3,829.86 100.00% $ 250.00 $750.00 Actual Total Amt Due $4,705.48 $459.86 Amount Remaining $ 250.00 Offer will satisfy a portion of court costs according to the Judgment.
  • 431.
    PROPERTY ANALYSIS CITY PROPERTY Legal Description: Subdivision: Block: Lot: Location: Usage: Tax ID Number: Deed: Date: Responsible Department: Zoning: Parcel Size/Dimensions: Miscellaneous Information: Plat Restictions? Recent Survey: Connected to other Parcel? Easements: Right-of-Ways: Utilities: Available for Sale? Front Aerial
  • 433.
    PROPERTY ANALYSIS For Tax Resale Property: Legal Description: Lot 5, Block 6, Kenley Addition, an addition to the City of San Angelo, Tom Green County, Texas, as described in Volume 335, Page 11, Deed Records of Tom Green County, Texas. Improved or Unimproved Unimproved: Tax Suit Number: B-06-0131-T Location: 1814 Ellis Street Size/Dimensions: 50' x 130' City of San Angelo vs. Katie Glenn Account #1822 Tax ID Number: 15-29800-0006-005-00 Judgment Date: November 14, 2007 Date of Sheriff's Sale: October 7, 2008 Sheriff's Deed October 22, 2008 Recorded: Years Held in Trust 4 YRS Adjudge Value: $2,250.00 Purchased under Urban Redevlopment? YES Amount of Offer: $750.00 Amounts Due Priority % of Pro Rata Amounts Fees Priority Judgment Allocations Remainder Allocations Distributed Judgment Administration Fee $ 500.00 $ 500.00 0.00% $ 500.00 Maintenance Fee $ 137.09 100.00% $ 137.09 $ 137.09 District Clerk $ - $ - 0.00% $ - Sheriff's Fee $ - $ - 0.00% $ - Attorney Fee $ - $ - 0.00% $ - Municipal Liens $ 112.91 100.00% $ 112.91 $ 112.91 Taxes $ - 0.00% $ - $ - Total $ 500.00 $ - $ 112.91 $ 500.00 200.00% $ 112.91 $ 750.00 Actual Total Amt Due $ 612.91 Amount Remaining $137.09
  • 434.
    Under Tex. TaxCode §34.051 a municipality is authorized to resell tax foreclosed property for less than the market value specified in the judgment of foreclosure or less than the total amount of the judgments against the property if consent to the conveyance is evidenced by an Interlocal Agreement between the municipality and each taxing unit that is a party to the judgment.
  • 435.
    PROPERTY ANALYSIS For Tax Resale Property: Legal Description: Lot 5, Block 6, Kenley Addition, an addition to the City of San Angelo, Tom Green County, Texas, as described in Volume 335, Page 11, Deed Records of Tom Green County, Texas. Improved or Unimproved Unimproved: Tax Suit Number: B-06-0131-T Location: 1814 Ellis Street Size/Dimensions: 50' x 130' City of San Angelo vs. Katie Glenn Account #1822 Tax ID Number: 15-29800-0006-005-00 Judgment Date: November 14, 2007 Date of Sheriff's Sale: October 7, 2008 Sheriff's Deed October 22, 2008 Recorded: Years Held in Trust 4 YRS Adjudge Value: $2,250.00 Purchased under Urban Redevlopment? YES Amount of Offer: $750.00 Amounts Due Priority % of Pro Rata Amounts Fees Priority Judgment Allocations Remainder Allocations Distributed Judgment Administration Fee $ 500.00 $ 500.00 0.00% $ 500.00 Maintenance Fee $ - 0.00% $ - $ - District Clerk $ 333.00 45.43% $ 113.57 $ 113.57 Sheriff's Fee $ 100.00 13.64% $ 34.11 $ 34.11 Attorney Fee $ 300.00 40.93% $ 102.32 $ 102.32 Municipal Liens $ 428.00 0.00% $ - $ - Taxes $ 2,535.00 0.00% $ - $ - Total $ 500.00 $ 733.00 $ 2,963.00 $ 500.00 100.00% $ 250.00 $ 750.00 Actual Total Amt Due $ 4,196.00 Amount Remaining $250.00
  • 436.
    Under Tex. TaxCode §34.051 a municipality is authorized to resell tax foreclosed property for less than the market value specified in the judgment of foreclosure or less than the total amount of the judgments against the property if consent to the conveyance is evidenced by an Interlocal Agreement between the municipality and each taxing unit that is a party to the judgment.
  • 437.
    PROPERTY ANALYSIS For Tax Resale Property Legal Description: Lot 11, Block 5, Mineola Addition, City of San Angelo, Tom Green County, Texas. Account #20-34900-0005-008-00 Improved/Unimproved Unimproved Tax Suit Number: TAX91-0054B Location: 804 W 16th Street Parcel Size/Dimensions: 50' x 150' City of San Angelo vs. Fred B. Jones, a/k/a Freddie Jones Account # 1376 Tax ID Number: #20-34900-0005-008-00 Judgment Date: October 7, 1993 Date of Sheriff's Sale: February 7, 1995 Sheriff's Deed Recorded: February 24, 1995 Years Held in Trust 18 YRS Adjudge Value: $ 11,400.00 Sale under Urban Redevelopment? No Amount of Offer: $ 750.00 Amounts Due Priority % of Pro Rata Amounts Fees Judgment Allocations Remainder Allocations Distributed Administration Fee $500.00 $500.00 0.00% $500.00 Maintenance Fee $3,600.00 $3,600.00 100.00% $ 250.00 $ 250.00 District Clerk $0.00 0.00% $ - $ - Sheriff's Fee $0.00 0.00% $ - $ - Attorney Fee $0.00 0.00% $ - $ - Municipal Liens $0.00 $0.00 0.00% $0.00 $0.00 Taxes $0.00 $0.00 0.00% $0.00 $0.00 Total $4,100.00 $0.00 $4,100.00 100.00% $ 250.00 $750.00 Actual Total Amt Due $4,100.00 Amount Remaining $ 250.00 Offer will satisfy a portion of court costs according to the Judgment.
  • 438.
    PROPERTY ANALYSIS CITY PROPERTY Legal Description: Subdivision: Block: Lot: Location: Usage: Tax ID Number: Deed: Date: Responsible Department: Zoning: Parcel Size/Dimensions: Miscellaneous Information: Plat Restictions? Recent Survey: Connected to other Parcel? Easements: Right-of-Ways: Utilities: Available for Sale? Front Aerial
  • 440.
    PROPERTY ANALYSIS For Tax Resale Property: Legal Description: Lot 5, Block 6, Kenley Addition, an addition to the City of San Angelo, Tom Green County, Texas, as described in Volume 335, Page 11, Deed Records of Tom Green County, Texas. Improved or Unimproved Unimproved: Tax Suit Number: B-06-0131-T Location: 1814 Ellis Street Size/Dimensions: 50' x 130' City of San Angelo vs. Katie Glenn Account #1822 Tax ID Number: 15-29800-0006-005-00 Judgment Date: November 14, 2007 Date of Sheriff's Sale: October 7, 2008 Sheriff's Deed October 22, 2008 Recorded: Years Held in Trust 4 YRS Adjudge Value: $2,250.00 Purchased under Urban Redevlopment? YES Amount of Offer: $750.00 Amounts Due Priority % of Pro Rata Amounts Fees Priority Judgment Allocations Remainder Allocations Distributed Judgment Administration Fee $ 500.00 $ 500.00 0.00% $ 500.00 Maintenance Fee $ 137.09 100.00% $ 137.09 $ 137.09 District Clerk $ - $ - 0.00% $ - Sheriff's Fee $ - $ - 0.00% $ - Attorney Fee $ - $ - 0.00% $ - Municipal Liens $ 112.91 100.00% $ 112.91 $ 112.91 Taxes $ - 0.00% $ - $ - Total $ 500.00 $ - $ 112.91 $ 500.00 200.00% $ 112.91 $ 750.00 Actual Total Amt Due $ 612.91 Amount Remaining $137.09
  • 441.
    Under Tex. TaxCode §34.051 a municipality is authorized to resell tax foreclosed property for less than the market value specified in the judgment of foreclosure or less than the total amount of the judgments against the property if consent to the conveyance is evidenced by an Interlocal Agreement between the municipality and each taxing unit that is a party to the judgment.
  • 442.
    PROPERTY ANALYSIS For Tax Resale Property: Legal Description: Lot 5, Block 6, Kenley Addition, an addition to the City of San Angelo, Tom Green County, Texas, as described in Volume 335, Page 11, Deed Records of Tom Green County, Texas. Improved or Unimproved Unimproved: Tax Suit Number: B-06-0131-T Location: 1814 Ellis Street Size/Dimensions: 50' x 130' City of San Angelo vs. Katie Glenn Account #1822 Tax ID Number: 15-29800-0006-005-00 Judgment Date: November 14, 2007 Date of Sheriff's Sale: October 7, 2008 Sheriff's Deed October 22, 2008 Recorded: Years Held in Trust 4 YRS Adjudge Value: $2,250.00 Purchased under Urban Redevlopment? YES Amount of Offer: $750.00 Amounts Due Priority % of Pro Rata Amounts Fees Priority Judgment Allocations Remainder Allocations Distributed Judgment Administration Fee $ 500.00 $ 500.00 0.00% $ 500.00 Maintenance Fee $ - 0.00% $ - $ - District Clerk $ 333.00 45.43% $ 113.57 $ 113.57 Sheriff's Fee $ 100.00 13.64% $ 34.11 $ 34.11 Attorney Fee $ 300.00 40.93% $ 102.32 $ 102.32 Municipal Liens $ 428.00 0.00% $ - $ - Taxes $ 2,535.00 0.00% $ - $ - Total $ 500.00 $ 733.00 $ 2,963.00 $ 500.00 100.00% $ 250.00 $ 750.00 Actual Total Amt Due $ 4,196.00 Amount Remaining $250.00
  • 443.
    Under Tex. TaxCode §34.051 a municipality is authorized to resell tax foreclosed property for less than the market value specified in the judgment of foreclosure or less than the total amount of the judgments against the property if consent to the conveyance is evidenced by an Interlocal Agreement between the municipality and each taxing unit that is a party to the judgment.
  • 444.
    PROPERTY ANALYSIS For Tax Resale Property Legal Description: Lot 30, Block 2B, George Allen Addition, City of San Angelo, being more particularly described in Volume 1131, Page 119, Official Public Records of Tom Green County, Texas. Account #01-10500-0002-027-00 Improved/Unimproved Unimproved Tax Suit Number: B-09-0050-T Location: 322 N Harrison Street Parcel Size/Dimensions: 50' x 125' City of San Angelo vs. Trilateral Investments Account # 7106 Tax ID Number: #01-10500-0002-027-00 Judgment Date: November 9, 2011 Date of Sheriff's Sale: June 5, 2012 Sheriff's Deed Recorded: June 7, 2012 Years Held in Trust 1 1/2 YRS Adjudge Value: $ 7,500.00 Sale under Urban Redevelopment? No Amount of Offer: $ 2,500.00 Amounts Due Priority % of Pro Rata Amounts Fees Judgment Allocations Remainder Allocations Distributed Administration Fee $500.00 $500.00 0.00% $500.00 Maintenance Fee $300.00 $300.00 0.00% $300.00 District Clerk $264.00 $264.00 0.00% $264.00 Sheriff's Fee $100.00 $100.00 0.00% $100.00 Attorney Fee $202.00 $202.00 0.00% $202.00 Municipal Liens $0.00 $7,922.02 60.77% $689.18 $689.18 Taxes $0.00 $5,113.10 39.23% $444.82 $444.82 Total $1,366.00 $13,035.12 $1,366.00 100.00% $1,134.00 $2,500.00 Actual Total Amt Due $14,401.12 Amount Remaining $ 1,134.00 Offer will satisfy all costs and a small portion of the taxes and liens according to the Judgment.
  • 445.
    PROPERTY ANALYSIS CITY PROPERTY Legal Description: Subdivision: Block: Lot: Location: Usage: Tax ID Number: Deed: Date: Responsible Department: Zoning: Parcel Size/Dimensions: Miscellaneous Information: Plat Restictions? Recent Survey: Connected to other Parcel? Easements: Right-of-Ways: Utilities: Available for Sale? Front Aerial
  • 447.
    PROPERTY ANALYSIS For Tax Resale Property: Legal Description: Lot 5, Block 6, Kenley Addition, an addition to the City of San Angelo, Tom Green County, Texas, as described in Volume 335, Page 11, Deed Records of Tom Green County, Texas. Improved or Unimproved Unimproved: Tax Suit Number: B-06-0131-T Location: 1814 Ellis Street Size/Dimensions: 50' x 130' City of San Angelo vs. Katie Glenn Account #1822 Tax ID Number: 15-29800-0006-005-00 Judgment Date: November 14, 2007 Date of Sheriff's Sale: October 7, 2008 Sheriff's Deed October 22, 2008 Recorded: Years Held in Trust 4 YRS Adjudge Value: $2,250.00 Purchased under Urban Redevlopment? YES Amount of Offer: $750.00 Amounts Due Priority % of Pro Rata Amounts Fees Priority Judgment Allocations Remainder Allocations Distributed Judgment Administration Fee $ 500.00 $ 500.00 0.00% $ 500.00 Maintenance Fee $ 137.09 100.00% $ 137.09 $ 137.09 District Clerk $ - $ - 0.00% $ - Sheriff's Fee $ - $ - 0.00% $ - Attorney Fee $ - $ - 0.00% $ - Municipal Liens $ 112.91 100.00% $ 112.91 $ 112.91 Taxes $ - 0.00% $ - $ - Total $ 500.00 $ - $ 112.91 $ 500.00 200.00% $ 112.91 $ 750.00 Actual Total Amt Due $ 612.91 Amount Remaining $137.09
  • 448.
    Under Tex. TaxCode §34.051 a municipality is authorized to resell tax foreclosed property for less than the market value specified in the judgment of foreclosure or less than the total amount of the judgments against the property if consent to the conveyance is evidenced by an Interlocal Agreement between the municipality and each taxing unit that is a party to the judgment.
  • 449.
    PROPERTY ANALYSIS For Tax Resale Property: Legal Description: Lot 5, Block 6, Kenley Addition, an addition to the City of San Angelo, Tom Green County, Texas, as described in Volume 335, Page 11, Deed Records of Tom Green County, Texas. Improved or Unimproved Unimproved: Tax Suit Number: B-06-0131-T Location: 1814 Ellis Street Size/Dimensions: 50' x 130' City of San Angelo vs. Katie Glenn Account #1822 Tax ID Number: 15-29800-0006-005-00 Judgment Date: November 14, 2007 Date of Sheriff's Sale: October 7, 2008 Sheriff's Deed October 22, 2008 Recorded: Years Held in Trust 4 YRS Adjudge Value: $2,250.00 Purchased under Urban Redevlopment? YES Amount of Offer: $750.00 Amounts Due Priority % of Pro Rata Amounts Fees Priority Judgment Allocations Remainder Allocations Distributed Judgment Administration Fee $ 500.00 $ 500.00 0.00% $ 500.00 Maintenance Fee $ - 0.00% $ - $ - District Clerk $ 333.00 45.43% $ 113.57 $ 113.57 Sheriff's Fee $ 100.00 13.64% $ 34.11 $ 34.11 Attorney Fee $ 300.00 40.93% $ 102.32 $ 102.32 Municipal Liens $ 428.00 0.00% $ - $ - Taxes $ 2,535.00 0.00% $ - $ - Total $ 500.00 $ 733.00 $ 2,963.00 $ 500.00 100.00% $ 250.00 $ 750.00 Actual Total Amt Due $ 4,196.00 Amount Remaining $250.00
  • 450.
    Under Tex. TaxCode §34.051 a municipality is authorized to resell tax foreclosed property for less than the market value specified in the judgment of foreclosure or less than the total amount of the judgments against the property if consent to the conveyance is evidenced by an Interlocal Agreement between the municipality and each taxing unit that is a party to the judgment.
  • 451.
    PROPERTY ANALYSIS For Tax Resale Property Legal Description: The South 1/2 of the South 100 feet of the North 150 feet of the South 783.7 feet of Block 8, E.E. Kirby Addition, as described in Volume 688, Page 128, Deed Records of Tom Green County, Texas. Account #15-30200-0008-011-00 Improved/Unimproved Unimproved Tax Suit Number: TAX91-0010B Location: 2223 Lillie Street Parcel Size/Dimensions: 50' x 216' City of San Angelo vs. Fay Hudson, a/k/a Fayrene Hudson Account # UNKNOWN Tax ID Number: #15-30200-0008-011-00 Judgment Date: September 2, 1992 Date of Sheriff's Sale: February 2, 1993 Sheriff's Deed Recorded: February 17, 1993 Years Held in Trust 20 YRS Adjudge Value: $ 4,000.00 Sale under Urban Redevelopment? No Amount of Offer: $ 750.00 Amounts Due Priority % of Pro Rata Amounts Fees Judgment Allocations Remainder Allocations Distributed Administration Fee $500.00 $500.00 0.00% $500.00 Maintenance Fee $ 2,800.00 $ 2,800.00 100.00% $ 250.00 $ 250.00 District Clerk $0.00 $0.00 0.00% $0.00 Sheriff's Fee $0.00 $0.00 0.00% $0.00 Attorney Fee $0.00 $0.00 0.00% $0.00 Municipal Liens $ - $0.00 0.00% $0.00 $0.00 Taxes $ - $0.00 0.00% $0.00 $0.00 Total $3,300.00 $0.00 $3,300.00 100.00% $0.00 $750.00 Actual Total Amt Due $3,300.00 Amount Remaining $ 250.00 Offer will satisfy all costs according to the Judgment.
  • 452.
    PROPERTY ANALYSIS CITY PROPERTY Legal Description: Subdivision: Block: Lot: Location: Usage: Tax ID Number: Deed: Date: Responsible Department: Zoning: Parcel Size/Dimensions: Miscellaneous Information: Plat Restictions? Recent Survey: Connected to other Parcel? Easements: Right-of-Ways: Utilities: Available for Sale? Front Aerial
  • 454.
    PROPERTY ANALYSIS For Tax Resale Property: Legal Description: Lot 5, Block 6, Kenley Addition, an addition to the City of San Angelo, Tom Green County, Texas, as described in Volume 335, Page 11, Deed Records of Tom Green County, Texas. Improved or Unimproved Unimproved: Tax Suit Number: B-06-0131-T Location: 1814 Ellis Street Size/Dimensions: 50' x 130' City of San Angelo vs. Katie Glenn Account #1822 Tax ID Number: 15-29800-0006-005-00 Judgment Date: November 14, 2007 Date of Sheriff's Sale: October 7, 2008 Sheriff's Deed October 22, 2008 Recorded: Years Held in Trust 4 YRS Adjudge Value: $2,250.00 Purchased under Urban Redevlopment? YES Amount of Offer: $750.00 Amounts Due Priority % of Pro Rata Amounts Fees Priority Judgment Allocations Remainder Allocations Distributed Judgment Administration Fee $ 500.00 $ 500.00 0.00% $ 500.00 Maintenance Fee $ 137.09 100.00% $ 137.09 $ 137.09 District Clerk $ - $ - 0.00% $ - Sheriff's Fee $ - $ - 0.00% $ - Attorney Fee $ - $ - 0.00% $ - Municipal Liens $ 112.91 100.00% $ 112.91 $ 112.91 Taxes $ - 0.00% $ - $ - Total $ 500.00 $ - $ 112.91 $ 500.00 200.00% $ 112.91 $ 750.00 Actual Total Amt Due $ 612.91 Amount Remaining $137.09
  • 455.
    Under Tex. TaxCode §34.051 a municipality is authorized to resell tax foreclosed property for less than the market value specified in the judgment of foreclosure or less than the total amount of the judgments against the property if consent to the conveyance is evidenced by an Interlocal Agreement between the municipality and each taxing unit that is a party to the judgment.
  • 456.
    PROPERTY ANALYSIS For Tax Resale Property: Legal Description: Lot 5, Block 6, Kenley Addition, an addition to the City of San Angelo, Tom Green County, Texas, as described in Volume 335, Page 11, Deed Records of Tom Green County, Texas. Improved or Unimproved Unimproved: Tax Suit Number: B-06-0131-T Location: 1814 Ellis Street Size/Dimensions: 50' x 130' City of San Angelo vs. Katie Glenn Account #1822 Tax ID Number: 15-29800-0006-005-00 Judgment Date: November 14, 2007 Date of Sheriff's Sale: October 7, 2008 Sheriff's Deed October 22, 2008 Recorded: Years Held in Trust 4 YRS Adjudge Value: $2,250.00 Purchased under Urban Redevlopment? YES Amount of Offer: $750.00 Amounts Due Priority % of Pro Rata Amounts Fees Priority Judgment Allocations Remainder Allocations Distributed Judgment Administration Fee $ 500.00 $ 500.00 0.00% $ 500.00 Maintenance Fee $ - 0.00% $ - $ - District Clerk $ 333.00 45.43% $ 113.57 $ 113.57 Sheriff's Fee $ 100.00 13.64% $ 34.11 $ 34.11 Attorney Fee $ 300.00 40.93% $ 102.32 $ 102.32 Municipal Liens $ 428.00 0.00% $ - $ - Taxes $ 2,535.00 0.00% $ - $ - Total $ 500.00 $ 733.00 $ 2,963.00 $ 500.00 100.00% $ 250.00 $ 750.00 Actual Total Amt Due $ 4,196.00 Amount Remaining $250.00
  • 457.
    Under Tex. TaxCode §34.051 a municipality is authorized to resell tax foreclosed property for less than the market value specified in the judgment of foreclosure or less than the total amount of the judgments against the property if consent to the conveyance is evidenced by an Interlocal Agreement between the municipality and each taxing unit that is a party to the judgment.
  • 458.
    A RESOLUTION OFTHE CITY OF SAN ANGELO AUTHORIZING THE MAYOR TO EXECUTE A SPECIAL WARRANTY DEED CONVEYING ALL RIGHT, TITLE AND INTEREST OF THE CITY OF SAN ANGELO WHEREAS, the property described below was acquired on October 24, 1957 from W.E. Phillips as a part of the consideration to connect the black-top paving on Arlington Street to the paving on Paint Rock Road; and WHEREAS, the City has no future plans for the subject property and is now deemed as excess property; and WHEREAS, on July 5, 2012, an appraisal was prepared by Stribling-Probandt Appraisals. The fee simple market value of the subject property was $4,000; and WHEREAS, on September 14, 2012, no bids were received for a Request for Bids: PRO-06-12; and WHEREAS, the City has received a reasonable offer from Carlos Gonzalez in the amount of $2,000 for the purchase of the subject property; and NOW THEREFORE BE IT RESOLVED BY THE CITY COUNCIL OF THE CITY OF SAN ANGELO that its Mayor, Alvin New, is hereby authorized to execute a Special Warranty Deed conveying the following described real property to the following as specified below, all of the right, title, and interest of the City of San Angelo, located in San Angelo, Tom Green County, Texas: Conveying to: CARLOS GONZALEZ, a single person; ($2,000): All of Lots 10 and 11 of the W.E. Phillips Addition to the City of San Angelo, Tom Green County, Texas, except the North 65 feet of said Lots 10 and 11 and the South 20 feet of said lots. Account #21-38700-0000-013-00 APPROVED AND ADOPTED ON THE DAY OF , 2013. THE CITY OF SAN ANGELO _______________________________ Alvin New, Mayor Attest: ______________________________ Alicia Ramirez, City Clerk Approved As to Content: Approved As to Form: ______________________________ ______________________________ Cindy M. Preas, Real Estate Administrator Lysia H. Bowling, City Attorney
  • 459.
    A RESOLUTION OFTHE CITY OF SAN ANGELO AUTHORIZING THE MAYOR TO EXECUTE A TAX-RESALE (QUITCLAIM) DEED CONVEYING ALL RIGHT, TITLE AND INTEREST OF THE CITY OF SAN ANGELO, AND ALL OTHER TAXING UNITS INTERESTED IN THE TAX FORECLOSURE JUDGMENT WHEREAS, by Sheriff’s Sale, the properties described below were struck-off to the City of San Angelo, Trustee, pursuant to delinquent tax foreclosure decrees of the 119th Judicial District, Tom Green County, Texas; and WHEREAS, offers have been made for the purchase of said properties pursuant to Section 34.05, Texas Tax Code Ann.(Vernon, 1982); and NOW THEREFORE BE IT RESOLVED BY THE CITY COUNCIL OF THE CITY OF SAN ANGELO that its Mayor, Alvin New, is hereby authorized to execute a Tax-Resale (quitclaim) Deed conveying the following described real properties to the following as specified below, all of the right, title, and interest of the City of San Angelo, and all other taxing units interested in the tax foreclosure judgment, located in San Angelo, Tom Green County, Texas: Conveying to: CAYDDRICK O’BRIEN BALLARD, a single person; ($750): The South 1/2 of the South 100 feet of the North 150 feet of the South 783.7 feet of Block 8, E.E. Kirby Addition, as described in Volume 688, Page 128, Deed Records of Tom Green County, Texas. Account #15-30200-0008-011-00 SALVADOR DEANDA, a single person; ($750): The South 80 feet of the East 12 2/3 Feet of Lot 8, the South 80 Feet of Lot 7, and the South 80 Feet of the West 1 5/6 Feet of Lot 6, Block 3, Akin’s Addition, City of San Angelo, as described in Volume 234, Page 485, Deed Records of Tom Green County, Texas. Account #01-10100-0003-008-00 SALVADOR DEANDA, a single person; ($750): The North ½ of Lot 7, Block 3, Akin Addition, City of San Angelo, as described in Volume 478, Page 95, Deed Records of Tom Green County, Texas. Account #01-10100-003-009-00 ALEJOS GUERRA and MARTHA ANN GUERRA, a married couple; ($1,900): Lot 3, Block 11, Lasker Addition, an addition to the City of San Angelo, Tom Green County, Texas, as described in Volume 1234, Page 952, Official Public Records of Real Property of Tom Green County, Texas. Account #16-31200-0011-002-00
  • 460.
    ALEJOS GUERRA andMARTHA ANN GUERRA, a married couple; ($2,500): Lot 3, Block 12, Lasker Addition, an addition to the City of San Angelo, Tom Green County, Texas, according to the map or plat thereof, recorded in Volume 23, Page 272, Deed Records of Tom Green County, Texas. Account #16-31200-0012-003-00 MARLOW LEWIS, a single person, and CARLETTA MCKINNEY, a single person; ($750): The South 50 feet of the North 447.7 feet of Block 8 of the E.S. Kirby Subdivision, City of San Angelo, as described in Volume 687, Page 547, Deed Records of Tom Green County, Texas. Account #15-30200-0008-019-00 MARLOW LEWIS, a single person, and CARLETTA MCKINNEY, a single person; ($750): Lot 3, Block 31, Miles Addition, as described in Volume 186, Page 339, Deed Records of Tom Green County, Texas. Account #18-34200-0031-003-00 JOHN S. PEARCY, a single person; ($2,500): Lots 12, Block 5 “E”, Chapman’s Subdivision of Blocks 4 and 5, Freeland’s Addition, City of San Angelo, Tom Green County, Texas, as described in Volume 182, Page 208, Deed Records of Tom Green County, Texas. Account #05-17700-0005-012-00 JOHN S. PEARCY, a single person; ($2,500): Lot 30, Block 2B, George Allen Addition, City of San Angelo, being more particularly described in Volume 1131, Page 119, Official Public Records of Tom Green County, Texas. Account #01-10500-0002-027-00 JOHN S. PEARCY, a single person; ($2,700): Lot 3, Block 93, Dallas Subdivision of Miles Addition No. 2, known as Angelo Heights Addition, an addition to the City of San Angelo, Tom Green County, Texas, according to the map or plat thereof, recorded in Volume 54, Page 168, Deed Records of Tom Green County, Texas. Account #01-11000-0093-003-00 MACKLE E. ROBERTS and JACQUELINE P. ROBERTS, a married couple; ($750): Lot 10, Block 5, Mineola Addition, City of San Angelo, as described in Volume 620, Page 365, Deed Records of Tom Green County, Texas. Account #20-34900-0005-007-00
  • 461.
    MACKLE E. ROBERTSand JACQUELINE P. ROBERTS, a married couple; ($750): Lot 11, Block 5, Mineola Addition, City of San Angelo, Tom Green County, Texas. Account #20-34900-0005-008-00 MACKLE E. ROBERTS and JACQUELINE P. ROBERTS, a married couple; ($750): Lot 12, Block 5, Mineola Addition, City of San Angelo, as described in Volume 408, Page 15, Deed Records of Tom Green County, Texas. Account #20-34900-0005-009-00 APPROVED AND ADOPTED ON THE DAY OF , 2013. THE CITY OF SAN ANGELO _______________________________ Alvin New, Mayor Attest: ______________________________ Alicia Ramirez, City Clerk Approved As to Content: Approved As to Form: ______________________________ ______________________________ Cindy M. Preas, Real Estate Administrator Lysia H. Bowling, City Attorney
  • 462.
    CITY OF SANANGELO REQUEST FOR BID RFP No: PRO-06-12 Real Estate Division Lots 10 & 11, SAVE & EXCEPT the North 65’ and South 20’, W.E. Phillips Addition 108 Arlington Street Zoned – RS-1 RFB Submittal Deadline September 13, 2012/2:00 PM, Local Time City of San Angelo 72 West College Avenue San Angelo, Texas 76903
  • 465.
    TABLE OF CONTENTS This Table of Contents is intended as an aid and not as a comprehensive listing of the proposal package. Bidders are responsible for reading the entire proposal package and complying with all specifications. Section Page REQUEST FOR BID ........................................................................................................................................... 1 GENERAL......................................................................................................................................................................1 DOCUMENT AVAILABILITY................................................................................................................................................1 DIGITAL FORMAT ...........................................................................................................................................................1 DISQUALIFICATION .........................................................................................................................................................1 REQUIRED RESPONSE......................................................................................................................................................1 NO BID INSTRUCTIONS ....................................................................................................................................................1 INTERPRETATIONS ..........................................................................................................................................................1 ADDENDA.....................................................................................................................................................................2 CONFIDENTIALITY ...........................................................................................................................................................2 AWARD OF CONTRACT ....................................................................................................................................................2 ACCEPTANCE OF PROPOSAL CONTENT ................................................................................................................................2 COPIES OF BID TABULATION RESULTS ................................................................................................................................2 DEADLINE AND DELIVERY LOCATION ......................................................................................................... 3 DEADLINE.....................................................................................................................................................................3 COPIES.........................................................................................................................................................................3 FAXED/ELECTRONIC BIDS ................................................................................................................................................3 SEALED ENVELOPE ADDRESSING .......................................................................................................................................3 DELIVERY ENVELOPE/CONTAINER ADDRESSING ...................................................................................................................3 DELIVERY SERVICE ADDRESSES USPS ADDRESS ..............................................................................................................3 POINTS OF CONTACT ......................................................................................................................................................3 INSTRUCTIONS .................................................................................................................................................. 5 PROPOSAL/BID INTERPRETATION ......................................................................................................................................5 BID ITEM ......................................................................................................................................................................5 SALE “AS IS”.................................................................................................................................................................5 BID SECURITY ................................................................................................................................................................5 DEFAULT IN PURCHASE ...................................................................................................................................................6 COMMISSIONS ..............................................................................................................................................................6 EXECUTION OF SALES CONTRACT ......................................................................................................................................6 CORRECTIONS, ADDITIONS, OR DELETIONS..........................................................................................................................5 AUTHORIZED SIGNATURE.................................................................................................................................................5 MODIFICATION OR WITHDRAWAL OF BIDS..........................................................................................................................5 CONTINGENCY...............................................................................................................................................................5 DELIVERY DATE .............................................................................................................................................................5 RESERVATIONS ..............................................................................................................................................................6 SUBMISSION OF BIDS ......................................................................................................................................................6 LATE BIDS ....................................................................................................................................................................6 ACCEPTANCE.................................................................................................................................................................6 TERMS AND CONDITIONS ............................................................................................................................... 7 TITLE ...........................................................................................................................................................................7 TITLE POLICY .................................................................................................................................................................7 ii
  • 466.
    UTILITIES ......................................................................................................................................................................7 INVOICES & PAYMENTS ...................................................................................................................................................7 GRATUITIES ..................................................................................................................................................................7 WARRANTY-PRICE .........................................................................................................................................................7 NO WARRANTY BY CITY AGAINST INFRINGEMENTS ...............................................................................................................7 RIGHT OF INSPECTION .....................................................................................................................................................7 CANCELLATION ..............................................................................................................................................................7 ASSIGNMENT-DELEGATION ..............................................................................................................................................7 WAIVER .......................................................................................................................................................................8 MODIFICATIONS ............................................................................................................................................................8 APPLICABLE LAW ...........................................................................................................................................................8 ADVERTISING ................................................................................................................................................................8 CONFLICT OF INTEREST ...................................................................................................................................................8 LEGAL VENUE................................................................................................................................................................8 AWARD CRITERIA ...........................................................................................................................................................8 MAP ...................................................................................................................................................................... 9 FACT SHEET .................................................................................................................................................... 11 SAMPLE SALES CONTRACT ........................................................................................................................ 13 BID FORMS ....................................................................................................................................................... 19 DISCLOSURE OF CERTAIN RELATIONSHIPS..........................................................................................................................21 DEBARMENT AND SUSPENSION CERTIFICATION ..................................................................................................................25 ADDENDUM ACKNOWLEDGMENT....................................................................................................................................27 BID SHEET ..................................................................................................................................................................29
  • 468.
    CITY OF SANANGELO PURCHASING DEPARTMENT 72 West College Avenue, San Angelo, Texas 76903 Tel: (325) 657-4219 or 657-4220 REQUEST FOR BID General The City of San Angelo, Real Estate Division is accepting bids for the sale of Lots 10 & 11, SAVE & EXCEPT the North 65’ and South 20’, W.E. Phillips Addition, San Angelo, Tom Green County, Texas; located at 108 Arlington Street. This property is a SINGLE-FAMILY RESIDENCE (RS-1) ZONING DISTRICT. Document Availability Bid Documents are available in the Purchasing Department at the address listed below, or may be downloaded at the City’s website at www.sanangelotexas.us. To locate the documents on the website go to: • City Departments • Purchasing • Bid Opportunities Digital Format If Respondents obtained the bid specifications in digital format in order to prepare a proposal, the bid must be submitted in hard copy according to the instructions contained in this bid package. If, in its bid response, Respondents makes any changes whatsoever to the published bid specifications, the bid specification as published shall control. Furthermore, if an alteration of any kind to the bid specification is discovered after the contract is executed and is or is not being performed; the contract is subject to immediate cancellation without recourse. Disqualification The Respondent may be disqualified for any of the following reasons: • The Respondent is involved in any litigation against the City of San Angelo; • The Respondent is in arrears on any existing contract or has defaulted on a previous contract with the City; • The Respondent is debarred, suspended, or otherwise excluded from or ineligible for participation in State or Federal assistance programs. Required Response The City requires a response to any RFB’s mailed to potential Respondents. Should a company receive an RFB, but choose not to bid on the project, then in order to remain on the City of San Angelo’s Potential Bidders List you must submit a “No Bid”. No Bid Instructions To submit a No Bid, complete the Bid Sheet by entering “No Bid” on Line Item 1, complete the Contact Information section, and mail the Bid Sheet pages before the deadline. Firms that do not respond will be removed from the bidders list. Interpretations All questions about the meaning or intent of the Contract Documents, including specifications shall be submitted to Purchasing Division in writing. Replies will be issued by Addenda posted on the Purchasing Department page of the City’s website Questions received less than ten (10) days prior to the date for opening of Bids will not be answered. Only questions answered by formal written Addenda will be binding. Oral interpretations or clarifications will be without legal effect. All addenda will be published on the City’s website. It is the Respondents responsibility to consider all addendums prior to submitting a bid. RFB: PRO-06-12/108 Arlington Street Page 1
  • 469.
    Addenda Should specifications be revised prior to the deadline for submittals, the City’s Purchasing Division will issue an addendum addressing the nature of the change. Respondents must acknowledge the addendums and include the form in the returned proposal package. Confidentiality All bids submitted shall remain confidential. After award, proposals will be made available for public inspection. The City shall not be responsible for the confidentiality of any trade secrets or other information contained or disclosed in the proposal unless clearly identified as such. Award of Contract The City reserves the right to accept or reject any or all bids, and to waive any informalities or irregularities in the RFB process. The City is an equal opportunity employer. Acceptance of Proposal Content Before submitting a proposal, each Respondent shall make all investigations and examinations necessary to ascertain all conditions and requirements affecting the performance of the contract and to verify any representations made by the City upon which the proposal will rely. If the Respondent receives an award, failure to have made such investigation and examinations will in no way relieve the Respondent from his obligation to comply in every detail with all provisions and requirements. Copies of Bid Tabulation Results For a copy of the Bid Tabulation results, send a self-addressed stamped envelope to: Purchasing Department, City of San Angelo, 72 West College Avenue, San Angelo, Texas 76903 or email roger.banks@sanangelotexas.us. RFB: PRO-06-12/108 Arlington Street Page 2
  • 470.
    CITY OF SANANGELO PURCHASING DEPARTMENT 72 West College Avenue, San Angelo, Texas 76903 Tel: (325) 657-4219 or 657-4220 DEADLINE AND DELIVERY LOCATION Deadline Sealed Request for Bids (RFB) submittals must be received and time stamped on or before September 13, 2012, 2:00 PM, Local Time. The clock located in Purchasing will be the official time. Bids not received on time will be rejected It is the sole responsibility of the Respondent to ensure that the sealed submittal arrives at the above location by the specified deadline regardless of method chosen by the firm for delivery. Copies • One (1) unbound original of all required submission forms • One (1) electronic copy in PDF format on CD or USB Flash Drive of all requested submissions forms • One (1) complete bound copy of all submission forms (staples or binder clips are acceptable). Faxed/Electronic Bids Faxed or electronically transmitted RFB submittals will not be accepted. Sealed Envelope Addressing Lower left-hand corner: “RFB No. PRO-06-12/108 Arlington Street” Top Left-hand Corner: Bidders Name and Address Delivery Envelope/Container Addressing Mark delivery envelope “Sealed RFB Enclosed” Delivery Service Addresses USPS Address City of San Angelo City of San Angelo Purchasing Division, RFB: PRO-06-12 Purchasing Division, RFB: PRO-06-12 72 W College Avenue 72 W College Avenue, Suite 314 San Angelo, Texas 76903 San Angelo, Texas 76903 Points of Contact Roger Banks, Division Manager Diana Farris, Property Specialist Purchasing Department Real Estate Division City of San Angelo City of San Angelo 72 W College Avenue 72 W College Avenue San Angelo Texas, 76903 San Angelo Texas, 76903 Email: roger.banks@sanangelotexas.us Email: diana.farris@sanangelotexas.us Telephone: (325) 657-4220 Telephone: (325) 657-4212 RFB: PRO-06-12/108 Arlington Street Page 3
  • 471.
    Intentionally Left Blank RFB:PRO-06-12/108 Arlington Street Page 4
  • 472.
    CITY OF SANANGELO PURCHASING DEPARTMENT 72 West College Avenue, San Angelo, Texas 76903 Tel: (325) 657-4219 or 657-4220 INSTRUCTIONS Bid Item Respondent is expected to examine all specifications herein and responsible for the inspection of the property and should satisfy themselves of exact location of the property. It is the Respondent’s responsibility for inspections, zoning, environmental assessments, engineering studies, mechanical inspections, pest control, etc. Such inspections will be at the expense of the Respondent. FAILURE to do so will be at the Respondent‘s risk. Sale “As Is” Property will be sold “As Is”, subject to ALL easements, blanket easements, right-of-ways, covenants, conditions, zoning, restrictions, water rights and all other restrictions or conditions, including physical conditions whether recorded or not. Proposal/Bid Interpretation Any explanation desired by a Respondent regarding the meaning or interpretation of the invitation, drawings, specifications, etc. must be requested in writing seven (7) days prior to the deadline to the Purchasing Department, City of San Angelo, 72 West College Avenue, San Angelo, TX 76903 to allow sufficient time for evaluation and reply to all prospective bidders before the submission of their bids. The bid invitation number must appear on all correspondence, inquiries, etc. pertaining to the invitation. Oral explanations or instructions given before the award of the contract are not binding and do not form a part of or alter in any way, the written agreement. Corrections, Additions, or Deletions Corrections, additions, or deletions to any portion of the invitation will be in the form of a written amendment or addendum. Bid Security All bids shall include a bid security in the amount of $500.00, which will be applied toward the purchase price. Only Money Orders and Certified Checks are accepted; and are to be payable to the City of San Angelo. The bid securities will be returned to all unsuccessful Respondents within ten (10) business days of the City Council award of bid. Modification or Withdrawal of Bids Bid pricing CANNOT be altered or amended after the closing time. Bids may be modified or withdrawn prior to the closing hour and date by written notice to the Purchasing Department. A bid may also be withdrawn in person by a Respondent or his authorized agent, provided his identity is made known and he signs a receipt for the bid. No bid may be withdrawn after the closing time and date without acceptable reason in writing and with approval of the Purchasing Department. Authorized Signature Bids must show Respondent’s name, address, and be manually signed. The person signing the bid must have authority to execute contract. Any erasures or other changes must be initialed by the person signing the offer. If Respondent is married, the spouse must also sign the bid, unless the property will be purchased with separate property funds. Contingency No Contingency Contracts will be accepted. RFB: PRO-06-12/108 Arlington Street Page 5
  • 473.
    Submission of Bids Sealed bids are to be returned by the closing time and date stated in the Deadlines and Delivery Options Section. Faxed bids will not be accepted. Late Bids Bids received after the advertised closing time and date regardless of the mode of delivery will be refused and returned unopened Acceptance Acceptance of Respondent’s offer will be notified by telephone and/or mail after final approval and acceptance of its offer by the San Angelo City Council. Default in Purchase If Respondent is awarded the bid and fails to purchase the property, Respondent agrees to forfeit the Bid Security amount in addition to any amount required by the Sales Contract to the City of San Angelo. Commissions Should a Respondent solicit representation from a Real Estate Licensee (Agent), the Respondent will be responsible for payment of commissions. Execution of Sales Contract Within ten (10) business days of awarding the bid, Respondent will execute a Sales Contract in substantially form with attached hereto. Delivery of Property Delivery of property shall occur as recognized in the Sales Contract and subject to approval by City Council. Reservations The City expressly reserves the right to accept, reject, or cancel all bids AND: • Waive any defect, irregularity, or informality in any bid or bidding procedure. • Extend the bid closing time and date. • Reissue a bid invitation or proposal. • Consider and accept an alternate bid as provided herein when most advantageous to the City. • Extend any contract when most advantageous to the City. RFB: PRO-06-12/108 Arlington Street Page 6
  • 474.
    CITY OF SANANGELO PURCHASING DEPARTMENT 72 West College Avenue, San Angelo, Texas 76903 Tel: (325) 657-4219 or 657-4220 TERMS AND CONDITIONS Title Title shall not pass to Buyer until the City Special Warranty Deed is fully executed and sales price is paid to the City in full. Title Policy City will provide a Texas Owner’s Title Policy at the City’s expense. Utilities The City makes no representation as to the availability of utilities or costs associated with utilities. It is the Buyer’s responsibility to determine availability and cost of utilities. Invoices & Payments This sale is a cash sale, closed at a local title company. The City will not carry a note on this property. Gratuities The City may, by written notice to the Buyer, cancel this contract without liability to Buyer if it is determined by City that gratuities were offered from an agent or representative of the Buyer to any officer or employee of the City with a view toward securing a contract or securing favorable treatment with respect to the awarding or amending, or the making of any determinations in respect to the performing of such contract. In the event this contract is canceled by City, remedies to recover or withhold the amount of the cost shall be incurred by Buyer in providing such gratuities. Warranty-Price The Buyer warrants that no person or purchasing agency has been employed or retained to solicit or secure this contract upon an agreement or understanding for commission, percentage, brokerage, or contingent fee excepting bona fide employees of bona fide established commercial or purchasing agencies maintained by the Buyer for the purpose of securing business. For breach or violation of the warranty, the City shall have the right in addition to any other right or rights to cancel this contract without liability and to deduct from the contract price, or otherwise recover the full amount of such commission, percentage, brokerage, or contingent fee. No Warranty by City Against Infringements The City does not make any Warranties or Guaranties, expressed or otherwise, except as provided for in the Sales Contract. Right of Inspection Respondent shall have the right to inspect the property before submittal deadline. Cancellation Any cancellation Sales Contract shall be in accordance with the terms herein and the Sales Contract. Assignment-Delegation No right or interest in the Sales Contract shall be assigned nor shall any delegation of any obligation made by Buyer be valid without written permission of the City. Any attempted assignment or delegation by Buyer shall be wholly void and totally ineffective for all purposes unless made in conformity with this paragraph. RFB: PRO-06-12/108 Arlington Street Page 7
  • 475.
    Waiver No claim or right arising out of a breach of this Sales Contract can be discharged in whole or in part by a waiver or renunciation of the claim or right unless the waiver or renunciation is supported by consideration and is in writing signed by the aggrieved party. Modifications This Sales Contract can be modified or rescinded only by a writing signed by both of the parties or their duly authorized agents. Applicable Law This agreement shall be governed by all applicable laws. Advertising Buyer shall not advertise or publish, without City’s prior consent, the fact that City has entered into this contract, except to the extent necessary to comply with proper requests for information from an authorized representative of the Federal, State, or Local government. Conflict Of Interest Buyer agrees to comply with the conflict of interest provisions of the Texas State Law and City Of San Angelo Charter and Code of Ordinances. Buyer agrees to maintain current, updated disclosure of information on file with the Purchasing Department throughout the term of the Sales Contract, as applicable. Legal Venue San Angelo, Tom Green County, Texas Award Criteria The property will be awarded to the Respondent who submits the highest qualified bid. Final approval and acceptance rest with the San Angelo City Council. RFB: PRO-06-12/108 Arlington Street Page 8
  • 476.
    CITY OF SANANGELO PURCHASING DEPARTMENT 72 West College Avenue, San Angelo, Texas 76903 Tel: (325) 657-4219 or 657-4220 MAP RFB: PRO-06-12/108 Arlington Street Page 9
  • 477.
    Intentionally Left Blank RFB:PRO-06-12/108 Arlington Street Page 10
  • 478.
    CITY OF SANANGELO PURCHASING DEPARTMENT 72 West College Avenue, San Angelo, Texas 76903 Tel: (325) 657-4219 or 657-4220 FACT SHEET Property Address: 108 Arlington Street Legal Description: W.E. Phillips Addition, Lot 10 & 11 except the N. 65’ & S. 20’ (Paint Rock Road) Tax ID Number: 2138700000001300 Lot Size: 95’ (eastern lot boundary) & 53’ (western lot boundary) x 133’ Zoning: RS-1 (Single-Family Residential); allows single-family homes on minimum lots of 50’x100’. Water/Sewer Connections: Subdivision Plat: Lot Characteristics: • Vacant; • Conditional/Special Uses – No; • Variances – No; • Special Permits – No; • Historic Overlay – No; • Open Structure Overlay -Partially; • River Corridor – No; • Is a replat needed to build? Yes; For more information: Zoning/Subdivision Requirements – City of San Angelo Planning Division, 657-4210 Permit Requirements – City of San Angelo Inspections & Permits Division, 657-4420 General Development Questions – City of San Angelo Development Coordinator, 657-4210 Water Billing/Meters – City of San Angelo Water Billing Division, 657-4323 Purchasing of Tax Lots – City of San Angelo Real Estate Division, 657-4212 Ownership and Tax Information – Tom Green County Appraisal District, 658-5575 Documents of Record, including Plats – Tom Green County Clerk, Real Estate, 659-6552 NOTE: All information provided herein is based upon initial analysis of the property and is intended as a guide only; the City of San Angelo is not responsible for any error in this information or for any information concerning the property which is not included herein. Before purchasing any property, it is strongly advised to contact, at a minimum, the City and County offices listed above for the most up-to-date information. RFB: PRO-06-12/108 Arlington Street Page 11
  • 479.
    Intentionally Left Blank RFB:PRO-06-12/108 Arlington Street Page 12
  • 480.
    CITY OF SANANGELO PURCHASING DEPARTMENT 72 West College Avenue, San Angelo, Texas 76903 Tel: (325) 657-4219 or 657-4220 SAMPLE SALES CONTRACT REAL ESTATE CONTRACT OF SALE (FOR CASH SALE) THIS REAL ESTATE CONTRACT OF SALE (”Agreement”) is made by and between CITY OF SAN ANGELO, a Texas home-rule municipal corporation whose address is 72 W. College Avenue, San Angelo, Tom Green County, Texas 76903, (hereinafter “Seller”) and, _______________________________________(hereinafter "Purchaser"), upon the terms and conditions set forth in this Agreement. ARTICLE I PURCHASE AND SALE Seller agrees to sell and convey to Purchaser, and Purchaser agrees to purchase, the real property thereon, commonly known 108 ARLINGTON STREET and described as LOTS 10 & 11, SAVE & EXCEPT THE NORTH 65 FEET AND SOUTH 20 FEET OF SAID LOTS 10 & 11, W.E.PHILLIPS ADDITION (hereinafter “Property”), together with all and singular the rights and appurtenances pertaining to the property, for the consideration and upon and subject to the terms, provisions, and conditions set forth below. ARTICLE II PURCHASE PRICE 2.01 Amount of Purchase Price The purchase price for the Property shall be the sum of Dollars ($ - ___.00). 2.02 Payment of Purchase Price The full amount of the Purchase Price shall be due and payable at the closing. ARTICLE III CONDITIONS PRECEDENT TO PURCHASER'S OBLIGATIONS The obligations of Purchaser hereunder to consummate the transactions contemplated hereby are subject to the satisfaction of each of the following conditions precedent (any of which may be waived in whole or in part by Purchaser at or prior to the closing). 3.01 Preliminary Title Report Within thirty-five (35) days after the date hereof, Seller shall cause (Title Company) to issue a preliminary title report (the "Title Report") accompanied by copies of restrictive covenants and all recorded documents referred to in the Preliminary Title Opinion affecting title such as easements, rights-of-way, liens and encumbrances. Purchaser shall give Seller written notice on or before the expiration of twenty-one (21) days after Purchaser receives the Preliminary Title Report of any condition of title as set forth in the report not acceptable to Purchaser. In that event Seller may, at Seller’s option, promptly undertake to eliminate or correct all unacceptable conditions of title to the reasonable satisfaction of Purchaser. If Seller chooses not to or is unable to correct the unacceptable conditions of title within twenty-one (21) days after receipt of the written notice thereof given by Purchaser, this Agreement shall thereupon immediately become null and void for all purposes and the Escrow Deposit shall be returned by the Title Company to Purchaser. Purchaser will be deemed to have approved all conditions of title disclosed by the preliminary title report to which Purchaser has made no timely objection as herein provided. 3.02 Survey Purchaser at Purchaser’s option and expense may commission and be responsible for the expense of a survey of the Property. It is a condition precedent to Purchaser’s obligations under this Agreement that the survey not reveal a circumstance or condition relating to the Property that is unforeseen by the Purchaser. If such an unforeseen circumstance or condition is revealed by the survey, Purchaser may, at Purchaser’s option, terminate this RFB: PRO-06-12/108 Arlington Street Page 13
  • 481.
    Agreement by givingwritten notice of termination to the Seller at any time on or before the expiration of twenty-one (21) days after Purchaser receives the Preliminary Title Report as provided in paragraph 3.01 above. If Purchaser chooses not to give notice of an unforeseen circumstance or condition as provided by this paragraph, this condition precedent shall be deemed waived by the Purchaser. 3.03 Seller’s Performance Seller shall have performed, observed, and complied with all of the covenants, agreements, and conditions required by this Agreement to be performed, observed, and complied with by Seller prior to or as of the closing. ARTICLE IV REPRESENTATIONS AND WARRANTIES OF SELLER Seller represents and warrants to Purchaser, as of the closing date, as follows: (1) Seller has received no notice of pending or threatened condemnation or similar proceeding affecting the Property, nor to the knowledge of Seller is there any such proceeding contemplated by any governmental authority. (2) Seller has no knowledge of any pending or threatened claim or proceeding relating to access to the Property; (3) The property is zoned for ; Seller has no knowledge of any non-conforming use or conditional use on the subject real property occurring within the preceding twelve months. (4) There are no lawsuits, claims, attachments, executions, or other proceedings pending, or to the Seller’s knowledge, threatened, against or involving the Property; (5) Seller is not a “foreign person” as that term is defined in §1445 of the Internal Revenue Code of 1986, as amended; (6) Seller has not retained the services of a real estate broker and to Seller’s knowledge no broker fee is or will be due or payable relating to the sale and conveyance of the Property as contemplated by this Agreement. (7) Seller expressly makes no representations or warranties pertaining to any buildings or residential structures that may be located on the Property. Seller’s representations and warranties made herein shall survive closing of the transaction contemplated by this Agreement. ARTICLE V CLOSING The closing shall be held at the office of _______(Title Company) __ (referred to in this Agreement as th “Title Company”), ____________________, San Angelo, Texas, 76903 on or before the 90 day after the last party executes this Agreement or at such time, date, and place as Seller and Purchaser may agree upon (which date is herein referred to as the "closing date"). At the closing Seller shall: (1) Deliver to Purchaser a duly executed and acknowledged Special Warranty Deed, in a form acceptable to the title company, conveying good and indefeasible title in fee simple to all of the Property, free and clear of any and all liens, encumbrances, conditions, easements, assessments, and restrictions, except for the following: (a) General real estate taxes for the year of closing and subsequent years not yet due and payable, which shall be prorated between the parties to date of closing; (b) Any exceptions and reservations approved by Purchaser pursuant to Article III hereof; and (c) Any exceptions and reservations approved by Purchaser in writing; and RFB: PRO-06-12/108 Arlington Street Page 14
  • 482.
    (2) Deliver to Purchaser actual, exclusive possession of the property. Costs, fees and expenses of closing in consummating the sale and purchase of the Property shall be borne and paid as follows: (a) If sale is unconsummated, any fees or expenses owed to Title Company shall be paid out of the escrow deposit; (b) Appraisal fees shall be paid by Purchaser; (c) Premiums for Mortgagee’s Title Policy, if any, shall be paid by Purchaser; (d) Any escrow fee shall be paid by Purchaser; (e) Survey fees shall be paid by Purchaser; (f) Attorney's fees shall be borne by and paid by the party at whose request the legal work was performed. (g) Deed preparation and recording fees of same shall be paid by Seller; (h) Loan documents preparation and related recording fees, if any, paid by Purchaser; (i) Recording and copying costs shall be paid by Purchaser; (j) Costs for tax certificates shall be paid by Seller. ARTICLE VI BROKERS It is understood and agreed that no brokers have been involved in the negotiation and consummation of this Agreement. ARTICLE VII ESCROW DEPOSIT For the purpose of securing the performance of Purchaser under the terms and provisions of this Agreement, Purchaser has delivered to the Title Company, the sum of Five Hundred Dollars ($500.00), the Escrow Deposit, which shall be paid by the Title Company to Seller in the event Purchaser breaches this Agreement as provided in Article IX hereof. At the closing, the Escrow Deposit shall be paid to Seller and applied against the purchase price, provided, however, that in the event the Purchaser shall have given written notice to the Title Company that one or more of the conditions precedent to Purchaser’s obligations set forth in Article III have not been met, or, in the, opinion of Purchaser, cannot be satisfied, in the manner and as provided for in Article III, then the balance of the Escrow Deposit remaining after withholding escrow fees and costs incurred, shall be forthwith returned by the Title Company to Purchaser. ARTICLE VIII BREACH BY SELLER In the event Seller shall fail to fully and timely perform any of its obligations hereunder or shall fail to consummate the sale of the Property for any reason, except Purchaser's default, Purchaser may pursue any remedy to which Purchaser may be entitled at law or in equity, including: (1) enforce specific performance of this Agreement; (2) request that the Escrow Deposit shall be forthwith returned by the Title Company to Purchaser, after duly deducting Title Company fees and expenses which have been incurred; and (3) bring suit for damages against Seller. ARTICLE IX BREACH BY PURCHASER In the event Purchaser should fail to consummate the purchase of the Property for reason other than default of the Seller and if the conditions precedent to Purchaser's obligations set forth in Article III are satisfied, Seller shall have the right to: (1) bring suit for damages against Purchaser or (2) receive the entire Escrow Deposit from the Title Company, the sum being agreed on as liquidated damages for Purchaser’s breach of this Agreement RFB: PRO-06-12/108 Arlington Street Page 15
  • 483.
    ARTICLE X MISCELLANEOUS 10.01 Assignment of Agreement This Agreement may not be assigned without the express written consent of Seller. 10.02 Survival of Covenants Any of the representations, warranties, covenants, and agreements of the parties, as well as any rights and benefits of the parties, pertaining to a period of time following the closing of the transactions contemplated hereby shall survive the closing and shall not be merged therein. 10.03 Notice Any notice required or permitted to be delivered hereunder shall be deemed received when hand-delivered or sent by United States mail, postage prepaid, certified mail, return receipt requested, addressed to Seller or Purchaser, as the case may be, at the address set forth below with the signature of the party. 10.04 Texas Law to Apply This Agreement shall be construed under and in accordance with the laws of the State of Texas, and all obligations of the parties created hereunder are performable in Tom Green County, Texas. 10.05 Parties Bound This Agreement shall be binding upon and inure to the benefit of the parties and their respective heirs, executors, administrators, legal representatives, successors, and assigns where permitted by this Agreement. 10.06 Legal Construction In case any one or more of the provisions contained in this Agreement shall for any reason be held to be invalid, illegal, or unenforceable in any respect, this invalidity, illegality, or unenforceability shall not affect any other provision hereof, and this Agreement shall be construed as if the invalid, illegal, or unenforceable provision had never existed. 10.07 Prior Agreements Superseded This Agreement constitutes the only agreement of the parties and supersedes any prior understandings or written or oral agreements between the parties respecting the within subject matter. 10.08 Time of Essence Time is of the essence in this Agreement. 10.09 Gender Words of any gender used in this Agreement shall be held and construed to include any other gender, and words in the singular number shall be held to include the plural, and vice versa, unless the context requires otherwise. 10.10 The Term “Days”/Deadline In this Agreement, the term “days” shall be construed to mean calendar days. All deadlines in this Agreement expire at 5:00 p.m. Central Standard Time. If a deadline falls on a Saturday, Sunday, or national holiday, the deadline will be extended to the next day that is not on a Saturday, Sunday, or national holiday. RFB: PRO-06-12/108 Arlington Street Page 16
  • 484.
    10.11 Counterparts If this Agreement is executed in multiple counterparts, all counterparts taken together will constitute this Agreement. Dated and entered into this day of _____________, 2012. SELLER: CITY OF SAN ANGELO 72 W. College Avenue Attest: San Angelo, TX 76903 Alicia Ramirez, City Clerk Michael Dane, Interim City Manager PURCHASER: __________________ _______ Title Company acknowledges receipt of Escrow Deposit (Earnest Money) in the amount of $500.00 and a copy of this Agreement executed by both Purchaser and Seller. TITLE COMPANY: __________________________________ By: ______________________ Printed Name: ______________________ Title: ______________________ Date: RFB: PRO-06-12/108 Arlington Street Page 17
  • 485.
    Intentionally Left Blank RFB:PRO-06-12/108 Arlington Street Page 18
  • 486.
    CITY OF SANANGELO PURCHASING DEPARTMENT 72 West College Avenue, San Angelo, Texas 76903 Tel: (325) 657-4219 or 657-4220 BID FORMS Please submit one (1) original, one (1) copy and one (1) electronic copy in PDF format on CD or USB Flash drive of the following bid forms. Conflict of Interest Questionnaire (if applicable) Debarment and Suspension Certification Addendum Acknowledgment Bid Sheet RFB: PRO-06-12/108 Arlington Street Page 19
  • 487.
    Intentionally Left Blank RFB:PRO-06-12/108 Arlington Street Page 20
  • 488.
    CITY OF SANANGELO PURCHASING DEPARTMENT 72 West College Avenue, San Angelo, Texas 76903 Tel: (325) 657-4219 or 657-4220 NOTICE TO VENDORS Disclosure of Certain Relationships Effective January 1, 2006, Chapter 176 of the Texas Local Government Code requires that any vendor or person considering doing business with a local governmental entity make certain disclosures concerning any affiliation or business relationship that might cause a conflict of interest with the local governmental entity. The provisions of Chapter 176 and the Form CIQ questionnaire that you must complete to comply with this law, are available at the Texas Ethics Commission website at http://www.ethics.state.tx.us/whasnew/confliict forms.htm. A current list of City of San Angelo and City of San Angelo Development Corporations officers is available in the office of the City of San Angelo City Clerk’s office located in Room 201 of City Hall or on the City’s website at http://sanangelotexas.org. If you are considering doing business with the City of San Angelo or the City of San Angelo Development Corporation and have an affiliation or business relationship that requires you to submit a completed Form CIQ, it must be filed with the records administrator (City Clerk) of the City of San Angelo no later th than the seventh (7 ) business day after the date you become aware of facts that require the form to be filed. See Section 176.006, Texas Local Government Code. It is a Class C misdemeanor to violate this provision. By Submitting a response to a City of San Angelo or City of San Angelo Development Corporation Request for Proposals, Request for Bids, or Request for Qualifications or by conducting business with either of those two entities, you are representing that you are in compliance with the requirements of Chapter 176 of the Texas Local Government Code. Roger S. Banks Division Manager RFB: PRO-06-12/108 Arlington Street Page 21
  • 489.
    Intentionally Left Blank RFB:PRO-06-12/108 Arlington Street Page 22
  • 490.
    CONFLICT OF INTERESTQUESTIONNAIRE FORM CIQ For vendor or other person doing business with local governmental entity This questionnaire reflects changes made to the law by H.B. 1491, 80th Leg., Regular Session OFFICE USE ONLY This questionnaire is being filed in accordance with chapter 176 of the Local Government Code by a person doing business with the governmental entity. Date Received By law, this questionnaire must be filed with the records administrator of the local government entity not later than the 7th business day after the date the person becomes aware of facts that require the statement to be filed. See Section 176.006, Local Government Code. A person commits an offense if the person knowing violates Section 176.006, Local Government Code. An offense under this section is a Class C misdemeanor. 1. Name of person doing business with local governmental entity. 2. Check this box if you are filing an update to a previously filed questionnaire. (The law requires that you file an updated completed questionnaire with the appropriate filing authority not later than the 7th business day after the date the originally filed questionnaire becomes incomplete or inaccurate.) 3. Name of local government officer with whom filer has affiliation or business relationship. _______________________________________________ Name of Officer This section, (item 3 including subparts A, B, C & D, must be completed for each officer with whom the filer has an employment or other business relationship as defined by Section 176.001(1-a),. Local Government Code. Attach additional pages to this Form CIQ as necessary. A. Is the local government officer named in this section receiving or likely to receive taxable income, other than investment income, from the filer of the questionnaire? Yes No B. Is the filer of the questionnaire receiving or likely to receive taxable income, other than investment, from or at the direction of the local government officer named in this section AND the taxable income is not received from the local governmental entity? Yes No C. Is the filer of this questionnaire employed by a corporation or other business entity with respect to which the local government officer serves as an officer or director, or holds an ownership of ten (10) percent or more? Yes No D. Describe each employment of business relationship with the local government officer named in this section. 4. ___________________________________________________ __________________ Signature of person doing business with the governmental entity Date RFB: PRO-06-12/108 Arlington Street Page 23
  • 491.
    Intentionally Left Blank RFB:PRO-06-12/108 Arlington Street Page 24
  • 492.
    CITY OF SANANGELO PURCHASING DEPARTMENT 72 West College Avenue, San Angelo, Texas 76903 Tel: (325) 657-4219 or 657-4220 Debarment and Suspension Certification (1) The prospective primary participant certifies to the best of its knowledge and belief that it and its principals: (a) Are not presently debarred, suspended, proposed for disbarment, declared ineligible, or voluntarily excluded from covered transactions by any Federal department or agency; (b) Have not within a three-year period preceding this application been convicted of or had a civil judgment rendered against them for commission of fraud or a criminal offense in connection with obtaining, attempting to obtain, or performing a public (Federal, State, or local) transaction or contract under a public transaction; violation of Federal or State antitrust statutes or commission of embezzlement, theft, forgery, bribery, falsification or destruction of records, making false statements, or receiving stolen property; (c) Are not presently indicted for or otherwise criminally or civilly charged by a governmental entity (Federal, State, or local) with commission of any of the offenses enumerated in paragraph (1)(b) of this certification; and (d) Have not within a three-year period preceding this application had one or more public transactions (Federal, State, or local) terminated for cause or default. (2) Where the prospective primary participant is unable to certify to any of the statements in this certification, such prospective primary participant shall attach an explanation to this proposal. Business Name: ______________________________________ __________________ Signature of Authorized Representative Date By: Printed Name and Title of Authorized Representative RFB: PRO-06-12/108 Arlington Street Page 25
  • 493.
    Debarment and SuspensionCertification INSTRUCTIONS 1. By signing and submitting this proposal, the prospective participant is providing the certification set out below. 2. The inability of a person to provide the certification required below will not necessarily result in denial of participation in this covered transaction. The prospective participant shall submit an explanation of why it cannot provide the certification set out below. The certification or explanation will be considered in connection with the determination whether to enter into this transaction. However, failure of the prospective participant to furnish a certification or an explanation shall disqualify such person from participation in this transaction. 3. The certification in this clause is a material representation of fact upon which reliance was placed when the City of San Angelo determined to enter into this transaction. If it is later determined that the prospective participant knowingly rendered an erroneous certification, in addition to other remedies available, the City of San Angelo may terminate this transaction for cause. 4. The prospective participant shall provide immediate written notice to the City of San Angelo to which this proposal is submitted if at any time the prospective participant learns that its certification was erroneous when submitted or has become erroneous because of changed circumstances. 5. The terms "covered transaction," "debarred," "suspended," "ineligible," "lower tier covered transaction," "participant," "person," "primary covered transaction," "principal," "proposal," and "voluntarily excluded," as used in this clause, have the meanings set out in the Definitions and Coverage sections of the rules implementing Executive Order 12549(13 CFR Part 145). You may contact the City of San Angelo for assistance in obtaining a copy of these regulations. 6. The prospective participant agrees by submitting this proposal that, should the proposed transaction be entered into, it shall not knowingly enter into any lower tier covered transaction with a person who is debarred, suspended, declared ineligible, or voluntarily excluded from participation in this covered transaction, unless authorized by the City of San Angelo. 7. The prospective participant further agrees by submitting this proposal that it will include the clause titled "Certification Regarding Debarment and Suspension" provided by the City of San Angelo, without modification, in all lower tier covered transactions and in all solicitations for lower tier covered transactions. 8. A participant in a covered transaction may rely upon a certification of a prospective participant in a lower tier covered transaction that it is not debarred, suspended, ineligible, or voluntarily excluded from the covered transaction, unless it knows that the certification is erroneous. A participant may decide the method and frequency by which it determines the ineligibility of its principals. Each participant may, but is not required to, check the Nonprocurement List. 9. Nothing contained in the foregoing shall be construed to require establishment of a system of records in order to render in good faith the certification required by this clause. The knowledge and information of a participant is not required to exceed that which is normally possessed by a prudent person in the ordinary course of business dealings. 10. Except for transactions authorized under paragraph 6 of these instructions, if a participant in a covered transaction knowingly enters into a lower tier covered transaction with a person who is suspended, debarred, ineligible, or voluntarily excluded from participation in this transaction, in addition to other remedies available to the City of San Angelo, the City of San Angelo may terminate this transaction for cause. RFB: PRO-06-12/108 Arlington Street Page 26
  • 494.
    CITY OF SANANGELO PURCHASING DEPARTMENT 72 West College Avenue, San Angelo, Texas 76903 Tel: (325) 657-4219 or 657-4220 Addendum Acknowledgment The bidder is responsible for determining if any addendums have been issued and agrees that the prices(s) quoted on the Bid Sheet reflect any changes or modifications created by any addendum(s). All addendums are posted on the City’s website as they are issued. Receipt is hereby acknowledged of the following addenda to the Contract documents. Addendum No. 1 Dated: Received: Addendum No. 2 Dated: Received: Addendum No. 3 Dated Received: Addendum No. 4 Dated: Received: Addendum No. 5 Dated: Received: Addendum No. 6 Dated Received: Business Name: ______________________________________ __________________ Signature of Authorized Representative Date By: Printed Name and Title of Authorized Representative RFB: PRO-06-12/108 Arlington Street Page 27
  • 495.
    Intentionally Left Blank RFB:PRO-06-12/108 Arlington Street Page 28
  • 496.
    CITY OF SANANGELO PURCHASING DEPARTMENT 72 West College Avenue, San Angelo, Texas 76903 Tel: (325) 657-4219 or 657-4220 Bid Sheet RFB No: PRO-06-12/108 Arlington Street Completed Disclosure of Certain Relationships (if applicable) Completed Debarment and Suspension Certification (REQUIRED) Completed Addendum Acknowledgment (REQUIRED) Please submit one (1) original, one (1) copy and one (1) electronic copy in PDF format on CD or USB Flash drive of the following bid forms. (REQUIRED) ITEM MINIMUM BID BID AMOUNT PROPERTY DESCRIPTION: $4,500.00 Lots 10 & 11, SAVE & EXCEPT the North 65’ and $ South 20’, W.E. Phillips Addition Located at 108 Arlington Street TOTAL BID $ BID SECURITY: $500.00 Money Order / Certified Check INCLUDED YES NO # BIDS THAT DO NOT INCLUDE A BID SECURITY OF $500.00 WILL BE CONSIDERED NON-RESPONSIVE. Respondent understands the City reserves the right to reject any and all bids. Bids which are not signed and dated or bids which do not comply will all bid requirements herein, may be considered non-responsive and may be rejected. Authorized Signature/Contact Information Firm Name: Mailing Address: City, State Zip Code: Authorized Signature: Print Name: Date: Tax ID: Payment Terms: Telephone: FAX: Email: RFB: PRO-06-12/108 Arlington Street Page 29 y:12-rfxpropertyrfb prp-06-12 108 arlingtonrfb pro-06-12 091312.docx
  • 497.
    PARTIAL RELEASE OFLIEN Holder of Lien: City of San Angelo, Tom Green County, Texas, a Texas home-rule municipal corporation Holder’s Mailing Address (including county): c/o City Attorney 72 W College Avenue San Angelo, Tom Green County, TX 76903 Owner of Property at Time Liens were Filed: Bobbie Sims, a/k/a Bobbie Jean Sims Liens are Described in the Following Documents: 1. That one certain Lien recorded in Volume 444, Page 790, of the Official Public Records of Real Property, Tom Green County, Texas. 2. That one certain Lien recorded in Volume 472, Page 269, of the Official Public Records of Real Property, Tom Green County, Texas. 3. That one certain Lien recorded in Volume 257, Page 382, of the Official Public Records of Real Property, Tom Green County, Texas. 4. That one certain Lien recorded in Volume 315, Page 508, of the Official Public Records of Real Property, Tom Green County, Texas. 5. That one certain Lien recorded in Volume 292, Page 320, of the Official Public Records of Real Property, Tom Green County, Texas. 6. That one certain Lien recorded in Volume 514, Page 7, of the Official Public Records of Real Property, Tom Green County, Texas. 7. Those certain Liens recorded in Volume 596, Page 248, of the Official Public Records of Real Property, Tom Green County, Texas, securing debts in the original principal amounts of $45.00 (09/27/96) and $45.00 (06/26/97). 8. That one certain Lien recorded in Volume 230, Page 85, of the Official Public Records of Real Property, Tom Green County, Texas. Property (including any improvements) to be Released from Lien: Being Lot 12, Block 5, Mineola Addition, City of San Angelo, Tom Green County, Texas. Holder of the lien acknowledges partial payment or other satisfaction of indebtedness secured thereby and releases from the lien only the property described above. When the context requires, singular nouns and pronouns include the plural. EXECUTED on the _______ day of _____________________, 2013. CITY OF SAN ANGELO a Texas home-rule municipal corporation BY: Michael Dane, Assistant City Manager STATE OF TEXAS § COUNTY OF TOM GREEN § This instrument was acknowledged before me on the ______ day of _________________, 2013, by Michael Dane, as Assistant City Manager of the City of San Angelo, a Texas home-rule municipal corporation, on behalf of said corporation. Notary Public, State of Texas
  • 498.
    PARTIAL RELEASE OFLIEN Holder of Lien: City of San Angelo, Tom Green County, Texas, a Texas home-rule municipal corporation Holder’s Mailing Address (including county): c/o City Attorney 72 W College Avenue San Angelo, Tom Green County, TX 76903 Owner of Property at Time Liens were Filed: Alverda Stephens, a/k/a Alnerda Stephens, a/k/a Alverdo Stephens Liens are Described in the Following Documents: 1. That one certain Lien recorded in Volume 444, Page 790, of the Official Public Records of Real Property, Tom Green County, Texas. 2. That one certain Lien recorded in Volume 514, Page 7, of the Official Public Records of Real Property, Tom Green County, Texas. 3. That one certain Lien recorded in Volume 472, Page 269, of the Official Public Records of Real Property, Tom Green County, Texas. 4. Those certain Liens recorded in Volume 491, Page 431, of the Official Public Records of Real Property, Tom Green County, Texas, securing debts in the original principal amounts of $45.00 (03/27/95) and $45.00 (05/17/95). 5. Those certain Liens recorded in Volume 596, Page 248, of the Official Public Records of Real Property, Tom Green County, Texas, securing debts in the original principal amounts of $45.00 (05/14/97) and $45.00 (06/26/97). 6. That one certain Lien recorded in Volume 292, Page 320, of the Official Public Records of Real Property, Tom Green County, Texas. 7. That one certain Lien recorded in Volume 417, Page 99, of the Official Public Records of Real Property, Tom Green County, Texas. Property (including any improvements) to be Released from Lien: Being Lot 3, Block 31, Miles Addition, City of San Angelo, Tom Green County, Texas. Holder of the lien acknowledges partial payment or other satisfaction of indebtedness secured thereby and releases from the lien only the property described above. When the context requires, singular nouns and pronouns include the plural. EXECUTED on the _______ day of _____________________, 2013. CITY OF SAN ANGELO a Texas home-rule municipal corporation BY: Michael Dane, Assistant City Manager STATE OF TEXAS § COUNTY OF TOM GREEN § This instrument was acknowledged before me on the ______ day of _________________, 2013, by Michael Dane, as Assistant City Manager of the City of San Angelo, a Texas home-rule municipal corporation, on behalf of said corporation. Notary Public, State of Texas
  • 499.
    NOTICE OF CONFIDENTIALITYRIGHTS: If you are a natural person, you may remove or strike any or all of the following information from this instrument before it is filed for record in the public records: your social security number or your driver’s license number. Tax-Resale Deed (Property Sold for Less than Adjudged Value) Date: __________________________ Grantor: The City of San Angelo, a Texas home-rule municipal corporation, for itself and as Trustee for itself, Tom Green County, and San Angelo Independent School District 72 West College Avenue San Angelo, Tom Green County, Texas 76903 Grantee: JOHN S. PEARCY, a single person 2726 Alta Vista San Angelo, Tom Green County, Texas 76904 Consideration: Ten and No/100 Dollars ($10.00) and other good and valuable consideration Property (including any improvements): Lots 12, Block 5 “E”, Chapman’s Subdivision of Blocks 4 and 5, Freeland’s Addition, City of San Angelo, Tom Green County, Texas, as described in Volume 182, Page 208, Deed Records of Tom Green County, Texas. Account #05-17700-0005-012-00 Judgment: Judgment for the foreclosure of a tax lien against the Property entered on August 7, 2009 in Suit No. B-07-0200-T by the 119th District Court of Tom Green County, Texas. Sheriff’s Deed: Grantor acquired full legal title to the Property — both for its own benefit and as Trustee for all other taxing authorities entitled to receive proceeds from the sale of the Property under the terms of the Judgment — by Sheriff’s Deed dated August 12, 2010, and recorded in Instrument Number 690718, Official Public Records of Real Property, Tom Green County, Texas. For the Consideration, Grantor — acting by and through its Mayor, who has been duly authorized to execute this instrument on Grantor’s behalf by resolution and order of Grantor’s City Council recorded in the City Council’s official minutes — hereby quitclaims to Grantee all of Grantor's right, title, and interest in and to the Property, to have and to hold it to Grantee and Grantee's heirs, successors, and assigns forever. Neither Grantor, nor any other taxing unit interested in the Judgment, nor any other person or entity claiming under them, will have, claim, or demand any right or title to the Property or any part of it. Grantor gives this Tax- Resale Deed without any express or implied warranty whatsoever; and all warranties that might arise by common law and the warranties in § 5.023 of the Texas Property Code (or its successor) are hereby specifically excluded. Grantee's rights under this deed are subject to the provisions of Chapter 34 of the Texas Tax Code, including, without limitation, any right of redemption remaining in the former owner of the Property; the terms of any recorded restrictive covenants running with the land that were recorded before January 1 of the year in
  • 500.
    which the taxlien on the property arose; any recorded lien that arose under such restrictive covenants that was not extinguished in the judgment foreclosing the tax lien; and each valid easement of record as of the date of the sale that was recorded before January 1 of the year the tax lien arose. Grantor is selling the Property to Grantee for an amount that is less than the lesser of (1) the market value specified in the Judgment, or (2) the total amount of the Judgment. Grantee assumes full payment of any ad valorem taxes for the Property for the current year and all future years. When the context requires, singular nouns and pronouns include the plural. GRANTOR: The City of San Angelo, a Texas home-rule municipal corporation, for itself and as Trustee for any taxing authorities named in the Judgment ATTEST: By: ____________________________ Alvin New, Mayor and duly-authorized agent Alicia Ramirez, City Clerk STATE OF TEXAS § § COUNTY OF TOM GREEN § This instrument was acknowledged before me on _____________________, 2013, by Alvin New, Mayor and duly-authorized agent of the City of San Angelo, a Texas home-rule municipal corporation, on behalf of such corporation and as Trustee for any taxing authorities named in the Judgment identified in the above instrument. __________________________________ Notary Public, State of Texas After Recording, Return To:
  • 501.
    NOTICE OF CONFIDENTIALITYRIGHTS: If you are a natural person, you may remove or strike any or all of the following information from this instrument before it is filed for record in the public records: your social security number or your driver’s license number. Tax-Resale Deed (Property Sold for Less than Adjudged Value) Date: __________________________ Grantor: The City of San Angelo, a Texas home-rule municipal corporation, for itself and as Trustee for itself, Tom Green County, and San Angelo Independent School District 72 West College Avenue San Angelo, Tom Green County, Texas 76903 Grantee: JOHN S. PEARCY, a single person 2726 Alta Vista San Angelo, Tom Green County, Texas 76904 Consideration: Ten and No/100 Dollars ($10.00) and other good and valuable consideration Property (including any improvements): Lot 30, Block 2B, George Allen Addition, City of San Angelo, being more particularly described in Volume 1131, Page 119, Official Public Records of Tom Green County, Texas. Account #01-10500-0002-027-00 Judgment: Judgment for the foreclosure of a tax lien against the Property entered on November 9, 2011 in Suit No. B-09-0050-T by the 119th District Court of Tom Green County, Texas. Sheriff’s Deed: Grantor acquired full legal title to the Property — both for its own benefit and as Trustee for all other taxing authorities entitled to receive proceeds from the sale of the Property under the terms of the Judgment — by Sheriff’s Deed dated June 7, 2012, and recorded in Instrument Number 719870, Official Public Records of Real Property, Tom Green County, Texas. For the Consideration, Grantor — acting by and through its Mayor, who has been duly authorized to execute this instrument on Grantor’s behalf by resolution and order of Grantor’s City Council recorded in the City Council’s official minutes — hereby quitclaims to Grantee all of Grantor's right, title, and interest in and to the Property, to have and to hold it to Grantee and Grantee's heirs, successors, and assigns forever. Neither Grantor, nor any other taxing unit interested in the Judgment, nor any other person or entity claiming under them, will have, claim, or demand any right or title to the Property or any part of it. Grantor gives this Tax- Resale Deed without any express or implied warranty whatsoever; and all warranties that might arise by common law and the warranties in § 5.023 of the Texas Property Code (or its successor) are hereby specifically excluded. Grantee's rights under this deed are subject to the provisions of Chapter 34 of the Texas Tax Code, including, without limitation, any right of redemption remaining in the former owner of the Property; the terms of any recorded restrictive covenants running with the land that were recorded before January 1 of the year in
  • 502.
    which the taxlien on the property arose; any recorded lien that arose under such restrictive covenants that was not extinguished in the judgment foreclosing the tax lien; and each valid easement of record as of the date of the sale that was recorded before January 1 of the year the tax lien arose. Grantor is selling the Property to Grantee for an amount that is less than the lesser of (1) the market value specified in the Judgment, or (2) the total amount of the Judgment. Grantee assumes full payment of any ad valorem taxes for the Property for the current year and all future years. When the context requires, singular nouns and pronouns include the plural. GRANTOR: The City of San Angelo, a Texas home-rule municipal corporation, for itself and as Trustee for any taxing authorities named in the Judgment ATTEST: By: ____________________________ Alvin New, Mayor and duly-authorized agent Alicia Ramirez, City Clerk STATE OF TEXAS § § COUNTY OF TOM GREEN § This instrument was acknowledged before me on _____________________, 2013, by Alvin New, Mayor and duly-authorized agent of the City of San Angelo, a Texas home-rule municipal corporation, on behalf of such corporation and as Trustee for any taxing authorities named in the Judgment identified in the above instrument. __________________________________ Notary Public, State of Texas After Recording, Return To:
  • 503.
    NOTICE OF CONFIDENTIALITYRIGHTS: If you are a natural person, you may remove or strike any or all of the following information from this instrument before it is filed for record in the public records: your social security number or your driver’s license number. Tax-Resale Deed (Property Sold for Less than Adjudged Value) Date: __________________________ Grantor: The City of San Angelo, a Texas home-rule municipal corporation, for itself and as Trustee for itself, Tom Green County, and San Angelo Independent School District 72 West College Avenue San Angelo, Tom Green County, Texas 76903 Grantee: CAYDDRICK O’BRIEN BALLARD, a single person 2339 North Lillie Street San Angelo, Tom Green County, Texas 76903 Consideration: Ten and No/100 Dollars ($10.00) and other good and valuable consideration Property (including any improvements): The South 1/2 of the South 100 feet of the North 150 feet of the South 783.7 feet of Block 8, E.E. Kirby Addition, as described in Volume 688, Page 128, Deed Records of Tom Green County, Texas. Account #15-30200-0008-011-00 Judgment: Judgment for the foreclosure of a tax lien against the Property entered on September 2, 1992 in Suit No. TAX91-0010B by the 119th District Court of Tom Green County, Texas. Sheriff’s Deed: Grantor acquired full legal title to the Property — both for its own benefit and as Trustee for all other taxing authorities entitled to receive proceeds from the sale of the Property under the terms of the Judgment — by Sheriff’s Deed dated February 15, 1993, and recorded in Volume 350, Page 175, Official Public Records of Real Property, Tom Green County, Texas. For the Consideration, Grantor — acting by and through its Mayor, who has been duly authorized to execute this instrument on Grantor’s behalf by resolution and order of Grantor’s City Council recorded in the City Council’s official minutes — hereby quitclaims to Grantee all of Grantor's right, title, and interest in and to the Property, to have and to hold it to Grantee and Grantee's heirs, successors, and assigns forever. Neither Grantor, nor any other taxing unit interested in the Judgment, nor any other person or entity claiming under them, will have, claim, or demand any right or title to the Property or any part of it. Grantor gives this Tax- Resale Deed without any express or implied warranty whatsoever; and all warranties that might arise by common law and the warranties in § 5.023 of the Texas Property Code (or its successor) are hereby specifically excluded. Grantee's rights under this deed are subject to the provisions of Chapter 34 of the Texas Tax Code, including, without limitation, any right of redemption remaining in the former owner of the Property; the terms of any recorded restrictive covenants running with the land that were recorded before January 1 of the year in which the tax lien on the property arose; any recorded lien that arose under such restrictive covenants that was
  • 504.
    not extinguished inthe judgment foreclosing the tax lien; and each valid easement of record as of the date of the sale that was recorded before January 1 of the year the tax lien arose. Grantor is selling the Property to Grantee for an amount that is less than the lesser of (1) the market value specified in the Judgment, or (2) the total amount of the Judgment. Grantee assumes full payment of any ad valorem taxes for the Property for the current year and all future years. When the context requires, singular nouns and pronouns include the plural. GRANTOR: The City of San Angelo, a Texas home-rule municipal corporation, for itself and as Trustee for any taxing authorities named in the Judgment ATTEST: By: ____________________________ Alvin New, Mayor and duly-authorized agent Alicia Ramirez, City Clerk STATE OF TEXAS § § COUNTY OF TOM GREEN § This instrument was acknowledged before me on _____________________, 2013, by Alvin New, Mayor and duly-authorized agent of the City of San Angelo, a Texas home-rule municipal corporation, on behalf of such corporation and as Trustee for any taxing authorities named in the Judgment identified in the above instrument. __________________________________ Notary Public, State of Texas After Recording, Return To:
  • 505.
    NOTICE OF CONFIDENTIALITYRIGHTS: If you are a natural person, you may remove or strike any or all of the following information from this instrument before it is filed for record in the public records: your social security number or your driver’s license number. Tax-Resale Deed (Property Sold for Less than Adjudged Value) Date: __________________________ Grantor: The City of San Angelo, a Texas home-rule municipal corporation, for itself and as Trustee for itself, Tom Green County, and San Angelo Independent School District 72 West College Avenue San Angelo, Tom Green County, Texas 76903 Grantee: MACKLE E. ROBERTS and JACQUELINE P. ROBERTS, a married couple 5216 Meadowland Drive Fort Worth, Tarrant County, Texas 76123 Consideration: Ten and No/100 Dollars ($10.00) and other good and valuable consideration Property (including any improvements): Lot 12, Block 5, Mineola Addition, City of San Angelo, as described in Volume 408, Page 15, Deed Records of Tom Green County, Texas. Account #20-34900-0005-009-00 Judgment: Judgment for the foreclosure of a tax lien against the Property entered on November 8, 1993 in Suit No. TAX93-0151B by the 119th District Court of Tom Green County, Texas. Sheriff’s Deed: Grantor acquired full legal title to the Property — both for its own benefit and as Trustee for all other taxing authorities entitled to receive proceeds from the sale of the Property under the terms of the Judgment — by Sheriff’s Deed dated June 10, 1997, and recorded in Volume 586, Page 791, Official Public Records of Real Property, Tom Green County, Texas. For the Consideration, Grantor — acting by and through its Mayor, who has been duly authorized to execute this instrument on Grantor’s behalf by resolution and order of Grantor’s City Council recorded in the City Council’s official minutes — hereby quitclaims to Grantee all of Grantor's right, title, and interest in and to the Property, to have and to hold it to Grantee and Grantee's heirs, successors, and assigns forever. Neither Grantor, nor any other taxing unit interested in the Judgment, nor any other person or entity claiming under them, will have, claim, or demand any right or title to the Property or any part of it. Grantor gives this Tax- Resale Deed without any express or implied warranty whatsoever; and all warranties that might arise by common law and the warranties in § 5.023 of the Texas Property Code (or its successor) are hereby specifically excluded. Grantee's rights under this deed are subject to the provisions of Chapter 34 of the Texas Tax Code, including, without limitation, any right of redemption remaining in the former owner of the Property; the terms of any recorded restrictive covenants running with the land that were recorded before January 1 of the year in which the tax lien on the property arose; any recorded lien that arose under such restrictive covenants that was
  • 506.
    not extinguished inthe judgment foreclosing the tax lien; and each valid easement of record as of the date of the sale that was recorded before January 1 of the year the tax lien arose. Grantor is selling the Property to Grantee for an amount that is less than the lesser of (1) the market value specified in the Judgment, or (2) the total amount of the Judgment. Grantee assumes full payment of any ad valorem taxes for the Property for the current year and all future years. When the context requires, singular nouns and pronouns include the plural. GRANTOR: The City of San Angelo, a Texas home-rule municipal corporation, for itself and as Trustee for any taxing authorities named in the Judgment ATTEST: By: ____________________________ Alvin New, Mayor and duly-authorized agent Alicia Ramirez, City Clerk STATE OF TEXAS § § COUNTY OF TOM GREEN § This instrument was acknowledged before me on _____________________, 2013, by Alvin New, Mayor and duly-authorized agent of the City of San Angelo, a Texas home-rule municipal corporation, on behalf of such corporation and as Trustee for any taxing authorities named in the Judgment identified in the above instrument. __________________________________ Notary Public, State of Texas After Recording, Return To:
  • 507.
    NOTICE OF CONFIDENTIALITYRIGHTS: If you are a natural person, you may remove or strike any or all of the following information from this instrument before it is filed for record in the public records: your social security number or your driver’s license number. Tax-Resale Deed (Property Sold for Less than Adjudged Value) Date: __________________________ Grantor: The City of San Angelo, a Texas home-rule municipal corporation, for itself and as Trustee for itself, Tom Green County, and San Angelo Independent School District 72 West College Avenue San Angelo, Tom Green County, Texas 76903 Grantee: SALVADOR DEANDA, a single person 503 S Washington San Angelo, Tom Green County, Texas 76901 Consideration: Ten and No/100 Dollars ($10.00) and other good and valuable consideration Property (including any improvements): The North ½ of Lot 7, Block 3, Akin Addition, City of San Angelo, as described in Volume 478, Page 95, Deed Records of Tom Green County, Texas. Account #01-10100-003-009-00 Judgment: Judgment for the foreclosure of a tax lien against the Property entered on October 14, 1992 in Suit No. TAX90-0082B by the 119th District Court of Tom Green County, Texas. Sheriff’s Deed: Grantor acquired full legal title to the Property — both for its own benefit and as Trustee for all other taxing authorities entitled to receive proceeds from the sale of the Property under the terms of the Judgment — by Sheriff’s Deed dated February 17, 1997, and recorded in Volume 570, Page 94, Official Public Records of Real Property, Tom Green County, Texas. For the Consideration, Grantor — acting by and through its Mayor, who has been duly authorized to execute this instrument on Grantor’s behalf by resolution and order of Grantor’s City Council recorded in the City Council’s official minutes — hereby quitclaims to Grantee all of Grantor's right, title, and interest in and to the Property, to have and to hold it to Grantee and Grantee's heirs, successors, and assigns forever. Neither Grantor, nor any other taxing unit interested in the Judgment, nor any other person or entity claiming under them, will have, claim, or demand any right or title to the Property or any part of it. Grantor gives this Tax- Resale Deed without any express or implied warranty whatsoever; and all warranties that might arise by common law and the warranties in § 5.023 of the Texas Property Code (or its successor) are hereby specifically excluded. Grantee's rights under this deed are subject to the provisions of Chapter 34 of the Texas Tax Code, including, without limitation, any right of redemption remaining in the former owner of the Property; the terms of any recorded restrictive covenants running with the land that were recorded before January 1 of the year in which the tax lien on the property arose; any recorded lien that arose under such restrictive covenants that was
  • 508.
    not extinguished inthe judgment foreclosing the tax lien; and each valid easement of record as of the date of the sale that was recorded before January 1 of the year the tax lien arose. Grantor is selling the Property to Grantee for an amount that is less than the lesser of (1) the market value specified in the Judgment, or (2) the total amount of the Judgment. Grantee assumes full payment of any ad valorem taxes for the Property for the current year and all future years. When the context requires, singular nouns and pronouns include the plural. GRANTOR: The City of San Angelo, a Texas home-rule municipal corporation, for itself and as Trustee for any taxing authorities named in the Judgment ATTEST: By: ____________________________ Alvin New, Mayor and duly-authorized agent Alicia Ramirez, City Clerk STATE OF TEXAS § § COUNTY OF TOM GREEN § This instrument was acknowledged before me on _____________________, 2013, by Alvin New, Mayor and duly-authorized agent of the City of San Angelo, a Texas home-rule municipal corporation, on behalf of such corporation and as Trustee for any taxing authorities named in the Judgment identified in the above instrument. __________________________________ Notary Public, State of Texas After Recording, Return To:
  • 509.
    NOTICE OF CONFIDENTIALITYRIGHTS: If you are a natural person, you may remove or strike any or all of the following information from this instrument before it is filed for record in the public records: your social security number or your driver’s license number. Tax-Resale Deed (Property Sold for Less than Adjudged Value) Date: __________________________ Grantor: The City of San Angelo, a Texas home-rule municipal corporation, for itself and as Trustee for itself, Tom Green County, and San Angelo Independent School District 72 West College Avenue San Angelo, Tom Green County, Texas 76903 Grantee: SALVADOR DEANDA, a single person 503 S Washington San Angelo, Tom Green County, Texas 76901 Consideration: Ten and No/100 Dollars ($10.00) and other good and valuable consideration Property (including any improvements): The South 80 feet of the East 12 2/3 Feet of Lot 8, the South 80 Feet of Lot 7, and the South 80 Feet of the West 1 5/6 Feet of Lot 6, Block 3, Akin’s Addition, City of San Angelo, as described in Volume 234, Page 485, Deed Records of Tom Green County, Texas. Account #01-10100-0003-008-00 Judgment: Judgment for the foreclosure of a tax lien against the Property entered on March 27, 1996 in Suit No. TAX89-0364B by the 119th District Court of Tom Green County, Texas. Sheriff’s Deed: Grantor acquired full legal title to the Property — both for its own benefit and as Trustee for all other taxing authorities entitled to receive proceeds from the sale of the Property under the terms of the Judgment — by Sheriff’s Deed dated April 12, 1996, and recorded in Volume 528, Page 999, Official Public Records of Real Property, Tom Green County, Texas. For the Consideration, Grantor — acting by and through its Mayor, who has been duly authorized to execute this instrument on Grantor’s behalf by resolution and order of Grantor’s City Council recorded in the City Council’s official minutes — hereby quitclaims to Grantee all of Grantor's right, title, and interest in and to the Property, to have and to hold it to Grantee and Grantee's heirs, successors, and assigns forever. Neither Grantor, nor any other taxing unit interested in the Judgment, nor any other person or entity claiming under them, will have, claim, or demand any right or title to the Property or any part of it. Grantor gives this Tax- Resale Deed without any express or implied warranty whatsoever; and all warranties that might arise by common law and the warranties in § 5.023 of the Texas Property Code (or its successor) are hereby specifically excluded. Grantee's rights under this deed are subject to the provisions of Chapter 34 of the Texas Tax Code, including, without limitation, any right of redemption remaining in the former owner of the Property; the terms of any recorded restrictive covenants running with the land that were recorded before January 1 of the year in which the tax lien on the property arose; any recorded lien that arose under such restrictive covenants that was
  • 510.
    not extinguished inthe judgment foreclosing the tax lien; and each valid easement of record as of the date of the sale that was recorded before January 1 of the year the tax lien arose. Grantor is selling the Property to Grantee for an amount that is less than the lesser of (1) the market value specified in the Judgment, or (2) the total amount of the Judgment. Grantee assumes full payment of any ad valorem taxes for the Property for the current year and all future years. When the context requires, singular nouns and pronouns include the plural. GRANTOR: The City of San Angelo, a Texas home-rule municipal corporation, for itself and as Trustee for any taxing authorities named in the Judgment ATTEST: By: ____________________________ Alvin New, Mayor and duly-authorized agent Alicia Ramirez, City Clerk STATE OF TEXAS § § COUNTY OF TOM GREEN § This instrument was acknowledged before me on _____________________, 2013, by Alvin New, Mayor and duly-authorized agent of the City of San Angelo, a Texas home-rule municipal corporation, on behalf of such corporation and as Trustee for any taxing authorities named in the Judgment identified in the above instrument. __________________________________ Notary Public, State of Texas After Recording, Return To:
  • 511.
    NOTICE OF CONFIDENTIALITYRIGHTS: If you are a natural person, you may remove or strike any or all of the following information from this instrument before it is filed for record in the public records: your social security number or your driver’s license number. Tax-Resale Deed (Property Sold for Less than Adjudged Value) Date: __________________________ Grantor: The City of San Angelo, a Texas home-rule municipal corporation, for itself and as Trustee for itself, Tom Green County, and San Angelo Independent School District 72 West College Avenue San Angelo, Tom Green County, Texas 76903 Grantee: ALEJOS GUERRA and MARTHA ANN GUERRA, a married couple 2326 River Valley Lane San Angelo, Tom Green County, Texas 76904 Consideration: Ten and No/100 Dollars ($10.00) and other good and valuable consideration Property (including any improvements): Lot 3, Block 11, Lasker Addition, an addition to the City of San Angelo, Tom Green County, Texas, as described in Volume 1234, Page 952, Official Public Records of Real Property of Tom Green County, Texas. Account #16-31200-0011-002-00 Judgment: Judgment for the foreclosure of a tax lien against the Property entered on October 15, 2008 in Suit No. B-06-0088-T by the 119th District Court of Tom Green County, Texas. Sheriff’s Deed: Grantor acquired full legal title to the Property — both for its own benefit and as Trustee for all other taxing authorities entitled to receive proceeds from the sale of the Property under the terms of the Judgment — by Sheriff’s Deed dated June 30, 2011, and recorded in Instrument Number 705020, Official Public Records of Real Property, Tom Green County, Texas. For the Consideration, Grantor — acting by and through its Mayor, who has been duly authorized to execute this instrument on Grantor’s behalf by resolution and order of Grantor’s City Council recorded in the City Council’s official minutes — hereby quitclaims to Grantee all of Grantor's right, title, and interest in and to the Property, to have and to hold it to Grantee and Grantee's heirs, successors, and assigns forever. Neither Grantor, nor any other taxing unit interested in the Judgment, nor any other person or entity claiming under them, will have, claim, or demand any right or title to the Property or any part of it. Grantor gives this Tax- Resale Deed without any express or implied warranty whatsoever; and all warranties that might arise by common law and the warranties in § 5.023 of the Texas Property Code (or its successor) are hereby specifically excluded. Grantee's rights under this deed are subject to the provisions of Chapter 34 of the Texas Tax Code, including, without limitation, any right of redemption remaining in the former owner of the Property; the terms of any recorded restrictive covenants running with the land that were recorded before January 1 of the year in
  • 512.
    which the taxlien on the property arose; any recorded lien that arose under such restrictive covenants that was not extinguished in the judgment foreclosing the tax lien; and each valid easement of record as of the date of the sale that was recorded before January 1 of the year the tax lien arose. Grantor is selling the Property to Grantee for an amount that is less than the lesser of (1) the market value specified in the Judgment, or (2) the total amount of the Judgment. Grantee assumes full payment of any ad valorem taxes for the Property for the current year and all future years. When the context requires, singular nouns and pronouns include the plural. GRANTOR: The City of San Angelo, a Texas home-rule municipal corporation, for itself and as Trustee for any taxing authorities named in the Judgment ATTEST: By: ____________________________ Alvin New, Mayor and duly-authorized agent Alicia Ramirez, City Clerk STATE OF TEXAS § § COUNTY OF TOM GREEN § This instrument was acknowledged before me on _____________________, 2013, by Alvin New, Mayor and duly-authorized agent of the City of San Angelo, a Texas home-rule municipal corporation, on behalf of such corporation and as Trustee for any taxing authorities named in the Judgment identified in the above instrument. __________________________________ Notary Public, State of Texas After Recording, Return To:
  • 513.
    NOTICE OF CONFIDENTIALITYRIGHTS: If you are a natural person, you may remove or strike any or all of the following information from this instrument before it is filed for record in the public records: your social security number or your driver’s license number. Tax-Resale Deed (Property Sold for Less than Adjudged Value) Date: __________________________ Grantor: The City of San Angelo, a Texas home-rule municipal corporation, for itself and as Trustee for itself, Tom Green County, and San Angelo Independent School District 72 West College Avenue San Angelo, Tom Green County, Texas 76903 Grantee: MACKLE E. ROBERTS and JACQUELINE P. ROBERTS, a married couple 5216 Meadowland Drive Fort Worth, Tarrant County, Texas 76123 Consideration: Ten and No/100 Dollars ($10.00) and other good and valuable consideration Property (including any improvements): Lot 11, Block 5, Mineola Addition, City of San Angelo, Tom Green County, Texas. Account #20-34900-0005-008-00 Judgment: Judgment for the foreclosure of a tax lien against the Property entered on October 7, 1993 in Suit No. TAX91-0054B by the 119th District Court of Tom Green County, Texas. Sheriff’s Deed: Grantor acquired full legal title to the Property — both for its own benefit and as Trustee for all other taxing authorities entitled to receive proceeds from the sale of the Property under the terms of the Judgment — by Sheriff’s Deed dated February 22, 1995, and recorded in Volume 469, Page 521, Official Public Records of Real Property, Tom Green County, Texas. For the Consideration, Grantor — acting by and through its Mayor, who has been duly authorized to execute this instrument on Grantor’s behalf by resolution and order of Grantor’s City Council recorded in the City Council’s official minutes — hereby quitclaims to Grantee all of Grantor's right, title, and interest in and to the Property, to have and to hold it to Grantee and Grantee's heirs, successors, and assigns forever. Neither Grantor, nor any other taxing unit interested in the Judgment, nor any other person or entity claiming under them, will have, claim, or demand any right or title to the Property or any part of it. Grantor gives this Tax- Resale Deed without any express or implied warranty whatsoever; and all warranties that might arise by common law and the warranties in § 5.023 of the Texas Property Code (or its successor) are hereby specifically excluded. Grantee's rights under this deed are subject to the provisions of Chapter 34 of the Texas Tax Code, including, without limitation, any right of redemption remaining in the former owner of the Property; the terms of any recorded restrictive covenants running with the land that were recorded before January 1 of the year in which the tax lien on the property arose; any recorded lien that arose under such restrictive covenants that was not extinguished in the judgment foreclosing the tax lien; and each valid easement of record as of the date of the sale that was recorded before January 1 of the year the tax lien arose.
  • 514.
    Grantor is sellingthe Property to Grantee for an amount that is less than the lesser of (1) the market value specified in the Judgment, or (2) the total amount of the Judgment. Grantee assumes full payment of any ad valorem taxes for the Property for the current year and all future years. When the context requires, singular nouns and pronouns include the plural. GRANTOR: The City of San Angelo, a Texas home-rule municipal corporation, for itself and as Trustee for any taxing authorities named in the Judgment ATTEST: By: ____________________________ Alvin New, Mayor and duly-authorized agent Alicia Ramirez, City Clerk STATE OF TEXAS § § COUNTY OF TOM GREEN § This instrument was acknowledged before me on _____________________, 2013, by Alvin New, Mayor and duly-authorized agent of the City of San Angelo, a Texas home-rule municipal corporation, on behalf of such corporation and as Trustee for any taxing authorities named in the Judgment identified in the above instrument. __________________________________ Notary Public, State of Texas After Recording, Return To:
  • 515.
    NOTICE OF CONFIDENTIALITYRIGHTS: If you are a natural person, you may remove or strike any or all of the following information from this instrument before it is filed for record in the public records: your social security number or your driver’s license number. Tax-Resale Deed (Property Sold for Less than Adjudged Value) Date: __________________________ Grantor: The City of San Angelo, a Texas home-rule municipal corporation, for itself and as Trustee for itself, Tom Green County, and San Angelo Independent School District 72 West College Avenue San Angelo, Tom Green County, Texas 76903 Grantee: JOHN S. PEARCY, a single person 2726 Alta Vista San Angelo, Tom Green County, Texas 76904 Consideration: Ten and No/100 Dollars ($10.00) and other good and valuable consideration Property (including any improvements): Lot 3, Block 93, Dallas Subdivision of Miles Addition No. 2, known as Angelo Heights Addition, an addition to the City of San Angelo, Tom Green County, Texas, according to the map or plat thereof, recorded in Volume 54, Page 168, Deed Records of Tom Green County, Texas. Account #01-11000-0093-003-00 Judgment: Judgment for the foreclosure of a tax lien against the Property entered on April 4, 2007 in Suit No. B-05-0268-T by the 119th District Court of Tom Green County, Texas. Sheriff’s Deed: Grantor acquired full legal title to the Property — both for its own benefit and as Trustee for all other taxing authorities entitled to receive proceeds from the sale of the Property under the terms of the Judgment — by Sheriff’s Deed dated October 12, 2007, and recorded in Instrument Number 640792, Official Public Records of Real Property, Tom Green County, Texas. For the Consideration, Grantor — acting by and through its Mayor, who has been duly authorized to execute this instrument on Grantor’s behalf by resolution and order of Grantor’s City Council recorded in the City Council’s official minutes — hereby quitclaims to Grantee all of Grantor's right, title, and interest in and to the Property, to have and to hold it to Grantee and Grantee's heirs, successors, and assigns forever. Neither Grantor, nor any other taxing unit interested in the Judgment, nor any other person or entity claiming under them, will have, claim, or demand any right or title to the Property or any part of it. Grantor gives this Tax- Resale Deed without any express or implied warranty whatsoever; and all warranties that might arise by common law and the warranties in § 5.023 of the Texas Property Code (or its successor) are hereby specifically excluded. Grantee's rights under this deed are subject to the provisions of Chapter 34 of the Texas Tax Code, including, without limitation, any right of redemption remaining in the former owner of the Property; the terms
  • 516.
    of any recordedrestrictive covenants running with the land that were recorded before January 1 of the year in which the tax lien on the property arose; any recorded lien that arose under such restrictive covenants that was not extinguished in the judgment foreclosing the tax lien; and each valid easement of record as of the date of the sale that was recorded before January 1 of the year the tax lien arose. Grantor is selling the Property to Grantee for an amount that is less than the lesser of (1) the market value specified in the Judgment, or (2) the total amount of the Judgment. Grantee assumes full payment of any ad valorem taxes for the Property for the current year and all future years. When the context requires, singular nouns and pronouns include the plural. GRANTOR: The City of San Angelo, a Texas home-rule municipal corporation, for itself and as Trustee for any taxing authorities named in the Judgment ATTEST: By: ____________________________ Alvin New, Mayor and duly-authorized agent Alicia Ramirez, City Clerk STATE OF TEXAS § § COUNTY OF TOM GREEN § This instrument was acknowledged before me on _____________________, 2013, by Alvin New, Mayor and duly-authorized agent of the City of San Angelo, a Texas home-rule municipal corporation, on behalf of such corporation and as Trustee for any taxing authorities named in the Judgment identified in the above instrument. __________________________________ Notary Public, State of Texas After Recording, Return To:
  • 517.
    NOTICE OF CONFIDENTIALITYRIGHTS: If you are a natural person, you may remove or strike any or all of the following information from this instrument before it is filed for record in the public records: your social security number or your driver’s license number. Tax-Resale Deed (Property Sold for Less than Adjudged Value) Date: __________________________ Grantor: The City of San Angelo, a Texas home-rule municipal corporation, for itself and as Trustee for itself, Tom Green County, and San Angelo Independent School District 72 West College Avenue San Angelo, Tom Green County, Texas 76903 Grantee: MARLOW LEWIS, a single person, and CARLETTA MCKINNEY, a single person P.O. Box 720557 Houston, Harris County, Texas 77272 Consideration: Ten and No/100 Dollars ($10.00) and other good and valuable consideration Property (including any improvements): Lot 3, Block 31, Miles Addition, as described in Volume 186, Page 339, Deed Records of Tom Green County, Texas. Account #18-34200-0031-003-00 Judgment: Judgment for the foreclosure of a tax lien against the Property entered on April 22, 1996 in Suit No. B-95-0055-T by the 119th District Court of Tom Green County, Texas. Sheriff’s Deed: Grantor acquired full legal title to the Property — both for its own benefit and as Trustee for all other taxing authorities entitled to receive proceeds from the sale of the Property under the terms of the Judgment — by Sheriff’s Deed dated October 26, 1998, and recorded in Volume 671, Page 148, Official Public Records of Real Property, Tom Green County, Texas. For the Consideration, Grantor — acting by and through its Mayor, who has been duly authorized to execute this instrument on Grantor’s behalf by resolution and order of Grantor’s City Council recorded in the City Council’s official minutes — hereby quitclaims to Grantee all of Grantor's right, title, and interest in and to the Property, to have and to hold it to Grantee and Grantee's heirs, successors, and assigns forever. Neither Grantor, nor any other taxing unit interested in the Judgment, nor any other person or entity claiming under them, will have, claim, or demand any right or title to the Property or any part of it. Grantor gives this Tax- Resale Deed without any express or implied warranty whatsoever; and all warranties that might arise by common law and the warranties in § 5.023 of the Texas Property Code (or its successor) are hereby specifically excluded. Grantee's rights under this deed are subject to the provisions of Chapter 34 of the Texas Tax Code, including, without limitation, any right of redemption remaining in the former owner of the Property; the terms of any recorded restrictive covenants running with the land that were recorded before January 1 of the year in which the tax lien on the property arose; any recorded lien that arose under such restrictive covenants that was
  • 518.
    not extinguished inthe judgment foreclosing the tax lien; and each valid easement of record as of the date of the sale that was recorded before January 1 of the year the tax lien arose. Grantor is selling the Property to Grantee for an amount that is less than the lesser of (1) the market value specified in the Judgment, or (2) the total amount of the Judgment. Grantee assumes full payment of any ad valorem taxes for the Property for the current year and all future years. When the context requires, singular nouns and pronouns include the plural. GRANTOR: The City of San Angelo, a Texas home-rule municipal corporation, for itself and as Trustee for any taxing authorities named in the Judgment ATTEST: By: ____________________________ Alvin New, Mayor and duly-authorized agent Alicia Ramirez, City Clerk STATE OF TEXAS § § COUNTY OF TOM GREEN § This instrument was acknowledged before me on _____________________, 2013, by Alvin New, Mayor and duly-authorized agent of the City of San Angelo, a Texas home-rule municipal corporation, on behalf of such corporation and as Trustee for any taxing authorities named in the Judgment identified in the above instrument. __________________________________ Notary Public, State of Texas After Recording, Return To:
  • 519.
    NOTICE OF CONFIDENTIALITYRIGHTS: If you are a natural person, you may remove or strike any or all of the following information from this instrument before it is filed for record in the public records: your social security number or your driver’s license number. Tax-Resale Deed (Property Sold for Less than Adjudged Value) Date: __________________________ Grantor: The City of San Angelo, a Texas home-rule municipal corporation, for itself and as Trustee for itself, Tom Green County, and San Angelo Independent School District 72 West College Avenue San Angelo, Tom Green County, Texas 76903 Grantee: ALEJOS GUERRA and MARTHA ANN GUERRA, a married couple 2326 River Valley Lane San Angelo, Tom Green County, Texas 76904 Consideration: Ten and No/100 Dollars ($10.00) and other good and valuable consideration Property (including any improvements): Lot 3, Block 12, Lasker Addition, an addition to the City of San Angelo, Tom Green County, Texas, according to the map or plat thereof, recorded in Volume 23, Page 272, Deed Records of Tom Green County, Texas. Account #16-31200-0012-003-00 Judgment: Judgment for the foreclosure of a tax lien against the Property entered on June 30, 2010 in Suit No. B-05-0274-T by the 119th District Court of Tom Green County, Texas. Sheriff’s Deed: Grantor acquired full legal title to the Property — both for its own benefit and as Trustee for all other taxing authorities entitled to receive proceeds from the sale of the Property under the terms of the Judgment — by Sheriff’s Deed dated October 18, 2010, and recorded in Instrument Number 693692, Official Public Records of Real Property, Tom Green County, Texas. For the Consideration, Grantor — acting by and through its Mayor, who has been duly authorized to execute this instrument on Grantor’s behalf by resolution and order of Grantor’s City Council recorded in the City Council’s official minutes — hereby quitclaims to Grantee all of Grantor's right, title, and interest in and to the Property, to have and to hold it to Grantee and Grantee's heirs, successors, and assigns forever. Neither Grantor, nor any other taxing unit interested in the Judgment, nor any other person or entity claiming under them, will have, claim, or demand any right or title to the Property or any part of it. Grantor gives this Tax- Resale Deed without any express or implied warranty whatsoever; and all warranties that might arise by common law and the warranties in § 5.023 of the Texas Property Code (or its successor) are hereby specifically excluded. Grantee's rights under this deed are subject to the provisions of Chapter 34 of the Texas Tax Code, including, without limitation, any right of redemption remaining in the former owner of the Property; the terms of any recorded restrictive covenants running with the land that were recorded before January 1 of the year in
  • 520.
    which the taxlien on the property arose; any recorded lien that arose under such restrictive covenants that was not extinguished in the judgment foreclosing the tax lien; and each valid easement of record as of the date of the sale that was recorded before January 1 of the year the tax lien arose. Grantor is selling the Property to Grantee for an amount that is less than the lesser of (1) the market value specified in the Judgment, or (2) the total amount of the Judgment. Grantee assumes full payment of any ad valorem taxes for the Property for the current year and all future years. When the context requires, singular nouns and pronouns include the plural. GRANTOR: The City of San Angelo, a Texas home-rule municipal corporation, for itself and as Trustee for any taxing authorities named in the Judgment ATTEST: By: ____________________________ Alvin New, Mayor and duly-authorized agent Alicia Ramirez, City Clerk STATE OF TEXAS § § COUNTY OF TOM GREEN § This instrument was acknowledged before me on _____________________, 2013, by Alvin New, Mayor and duly-authorized agent of the City of San Angelo, a Texas home-rule municipal corporation, on behalf of such corporation and as Trustee for any taxing authorities named in the Judgment identified in the above instrument. __________________________________ Notary Public, State of Texas After Recording, Return To:
  • 521.
    NOTICE OF CONFIDENTIALITYRIGHTS: If you are a natural person, you may remove or strike any or all of the following information from this instrument before it is filed for record in the public records: your social security number or your driver’s license number. Tax-Resale Deed (Property Sold for Less than Adjudged Value) Date: __________________________ Grantor: The City of San Angelo, a Texas home-rule municipal corporation, for itself and as Trustee for itself, Tom Green County, and San Angelo Independent School District 72 West College Avenue San Angelo, Tom Green County, Texas 76903 Grantee: MARLOW LEWIS, a single person, and CARLETTA MCKINNEY, a single person P.O. Box 720557 Houston, Harris County, Texas 77272 Consideration: Ten and No/100 Dollars ($10.00) and other good and valuable consideration Property (including any improvements): The South 50 feet of the North 447.7 feet of Block 8 of the E.S. Kirby Subdivision, City of San Angelo, as described in Volume 687, Page 547, Deed Records of Tom Green County, Texas. Account #15-30200-0008-019-00 Judgment: Judgment for the foreclosure of a tax lien against the Property entered on January 10, 1992 in Suit No. TAX89-0217B by the 119th District Court of Tom Green County, Texas. Sheriff’s Deed: Grantor acquired full legal title to the Property — both for its own benefit and as Trustee for all other taxing authorities entitled to receive proceeds from the sale of the Property under the terms of the Judgment — by Sheriff’s Deed dated April 22, 1992, and recorded in Volume 302, Page 429, Official Public Records of Real Property, Tom Green County, Texas. For the Consideration, Grantor — acting by and through its Mayor, who has been duly authorized to execute this instrument on Grantor’s behalf by resolution and order of Grantor’s City Council recorded in the City Council’s official minutes — hereby quitclaims to Grantee all of Grantor's right, title, and interest in and to the Property, to have and to hold it to Grantee and Grantee's heirs, successors, and assigns forever. Neither Grantor, nor any other taxing unit interested in the Judgment, nor any other person or entity claiming under them, will have, claim, or demand any right or title to the Property or any part of it. Grantor gives this Tax- Resale Deed without any express or implied warranty whatsoever; and all warranties that might arise by common law and the warranties in § 5.023 of the Texas Property Code (or its successor) are hereby specifically excluded. Grantee's rights under this deed are subject to the provisions of Chapter 34 of the Texas Tax Code, including, without limitation, any right of redemption remaining in the former owner of the Property; the terms of any recorded restrictive covenants running with the land that were recorded before January 1 of the year in which the tax lien on the property arose; any recorded lien that arose under such restrictive covenants that was
  • 522.
    not extinguished inthe judgment foreclosing the tax lien; and each valid easement of record as of the date of the sale that was recorded before January 1 of the year the tax lien arose. Grantor is selling the Property to Grantee for an amount that is less than the lesser of (1) the market value specified in the Judgment, or (2) the total amount of the Judgment. Grantee assumes full payment of any ad valorem taxes for the Property for the current year and all future years. When the context requires, singular nouns and pronouns include the plural. GRANTOR: The City of San Angelo, a Texas home-rule municipal corporation, for itself and as Trustee for any taxing authorities named in the Judgment ATTEST: By: ____________________________ Alvin New, Mayor and duly-authorized agent Alicia Ramirez, City Clerk STATE OF TEXAS § § COUNTY OF TOM GREEN § This instrument was acknowledged before me on _____________________, 2013, by Alvin New, Mayor and duly-authorized agent of the City of San Angelo, a Texas home-rule municipal corporation, on behalf of such corporation and as Trustee for any taxing authorities named in the Judgment identified in the above instrument. __________________________________ Notary Public, State of Texas After Recording, Return To:
  • 523.
    NOTICE OF CONFIDENTIALITYRIGHTS: If you are a natural person, you may remove or strike any or all of the following information from this instrument before it is filed for record in the public records: your social security number or your driver’s license number. Tax-Resale Deed (Property Sold for Less than Adjudged Value) Date: __________________________ Grantor: The City of San Angelo, a Texas home-rule municipal corporation, for itself and as Trustee for itself, Tom Green County, and San Angelo Independent School District 72 West College Avenue San Angelo, Tom Green County, Texas 76903 Grantee: MACKLE E. ROBERTS and JACQUELINE P. ROBERTS, a married couple 5216 Meadowland Drive Fort Worth, Tarrant County, Texas 76123 Consideration: Ten and No/100 Dollars ($10.00) and other good and valuable consideration Property (including any improvements): Lot 10, Block 5, Mineola Addition, City of San Angelo, as described in Volume 620, Page 365, Deed Records of Tom Green County, Texas. Account #20-34900-0005-007-00 Judgment: Judgment for the foreclosure of a tax lien against the Property entered on March 30, 1992 in Suit No. TAX89-0032B by the 119th District Court of Tom Green County, Texas. Sheriff’s Deed: Grantor acquired full legal title to the Property — both for its own benefit and as Trustee for all other taxing authorities entitled to receive proceeds from the sale of the Property under the terms of the Judgment — by Sheriff’s Deed dated July 23, 1992, and recorded in Volume 317, Page 70, Official Public Records of Real Property, Tom Green County, Texas. For the Consideration, Grantor — acting by and through its Mayor, who has been duly authorized to execute this instrument on Grantor’s behalf by resolution and order of Grantor’s City Council recorded in the City Council’s official minutes — hereby quitclaims to Grantee all of Grantor's right, title, and interest in and to the Property, to have and to hold it to Grantee and Grantee's heirs, successors, and assigns forever. Neither Grantor, nor any other taxing unit interested in the Judgment, nor any other person or entity claiming under them, will have, claim, or demand any right or title to the Property or any part of it. Grantor gives this Tax- Resale Deed without any express or implied warranty whatsoever; and all warranties that might arise by common law and the warranties in § 5.023 of the Texas Property Code (or its successor) are hereby specifically excluded. Grantee's rights under this deed are subject to the provisions of Chapter 34 of the Texas Tax Code, including, without limitation, any right of redemption remaining in the former owner of the Property; the terms of any recorded restrictive covenants running with the land that were recorded before January 1 of the year in which the tax lien on the property arose; any recorded lien that arose under such restrictive covenants that was
  • 524.
    not extinguished inthe judgment foreclosing the tax lien; and each valid easement of record as of the date of the sale that was recorded before January 1 of the year the tax lien arose. Grantor is selling the Property to Grantee for an amount that is less than the lesser of (1) the market value specified in the Judgment, or (2) the total amount of the Judgment. Grantee assumes full payment of any ad valorem taxes for the Property for the current year and all future years. When the context requires, singular nouns and pronouns include the plural. GRANTOR: The City of San Angelo, a Texas home-rule municipal corporation, for itself and as Trustee for any taxing authorities named in the Judgment ATTEST: By: ____________________________ Alvin New, Mayor and duly-authorized agent Alicia Ramirez, City Clerk STATE OF TEXAS § § COUNTY OF TOM GREEN § This instrument was acknowledged before me on _____________________, 2013, by Alvin New, Mayor and duly-authorized agent of the City of San Angelo, a Texas home-rule municipal corporation, on behalf of such corporation and as Trustee for any taxing authorities named in the Judgment identified in the above instrument. __________________________________ Notary Public, State of Texas After Recording, Return To:
  • 525.
    CLOSING TRUSTEE LOTS ACCEPTED OFFER 3/25/2013 SUIT # TAX91-0010B ACCOUNT # 15-30200-0008-011-00 WRITTEN OFFER BY DATE 3/22/2013 BY Cayddrick O'Brien Ballard MEMO ü PROPERTY ANALYSIS ü RESOLUTION AUTHORIZING SALE OF REAL PROPERTY ü RESOLUTION AUTHORIZING TAX RESALE COUNTY ü RESOLUTION AUTHORIZING TAX RESALE SCHOOL ü MAP ü VERIFICATION SENT 3/27/2013 TGCAD CITY REQUEST FOR LEGAL ASSISTANCE SENT 3/27/2013 RETURNED EMAIL AGENDA AGENDA 4/16/2013 RECEIVE SIGNED RESOLUTIONS & TAX-RESALE DEED COUNTY AGENDA SENT DATE DISTRICT AGENDA SENT DATE PAID Earnest DATE 3/25/2013 CK/MO# CC/Rcpt. #156722 AMT PD $ 350.00 Closing DATE CK/MO# AMT PD plus $30.00 filing fee RECORDED AT TOM GREEN COUNTY CLERK'S OFFICE REQUEST CHECKS TO DISTRIBUTE FUNDS MAIL LETTERS AND DISTRIBUTE FUNDS SEND LIEN ADJUSTMENT FORM (Mary/Blanca) David Alicia Cindy Mike Mike Hall Ramirez Preas Smith Dane REMOVE FROM CITY OWNED PROPERTY REMOVE FROM TAX FORECLOSURE LIST PLACE ON RECORD MANAGEMENT - TAX RESALE SOLD LIST MAIL ORIGINAL DEED TO NEW OWNER
  • 526.
    OBJECTIVE TRUSTEE CHECKLIST DATE SUBDIVISION NAME OFFER SENT TO DAYS RETURNED DAYS AGENDA DAYS SEND DAYS TOTAL RECEIVE LEGAL LEGAL TGC/SAISD DAYS 1 08/10/11 Miles David Garcia $1,300.00 08/11/11 1 08/22/11 11 09/06/11 15 09/13/11 7 34 2 09/09/11 Avondale C Mejia $2,327.00 09/13/11 4 09/19/11 6 10/04/11 15 10/05/11 1 26 3 09/09/11 Ruby Douglas F & M Saldivar $9,000.00 09/13/11 4 09/19/11 6 10/04/11 15 10/05/11 1 26 4 10/12/11 La Villita Heights Diana Trevino $3,000.00 10/13/11 1 10/20/11 7 11/01/11 12 N/A 12 5 10/27/11 J.B.Harrison Jessica Ramirez $3,000.00 10/27/11 0 11/04/11 8 11/15/11 11 11/16/11 1 20 6 10/31/11 Spencer #1 Jayson J. Jessop $2,924.00 10/31/11 0 11/04/11 4 11/15/11 11 N/A 11 7 11/16/11 Lasker Martha Green $2,500.00 11/16/11 0 11/22/11 6 12/06/11 14 N/A 14 8 12/01/11 Bradford Miguel Duran $1,700.00 12/05/11 4 12/09/11 4 12/20/11 11 01/03/12 14 33 9 12/01/11 Exall Miguel Duran $1,800.00 12/05/11 4 12/09/11 4 12/20/11 11 01/03/12 14 33 10 12/01/11 Exall Miguel Duran $3,000.00 12/05/11 4 12/09/11 4 12/20/11 11 01/03/12 14 33 11 12/01/11 Forest Park Miguel Duran $1,800.00 12/05/11 4 12/09/11 4 12/20/11 11 01/03/12 14 33 12 12/01/11 Forest Park Miguel Duran $1,900.00 12/05/11 4 12/09/11 4 12/20/11 11 01/03/12 14 33 13 12/01/11 Forest Park Miguel Duran $1,900.00 12/05/11 4 12/09/11 4 12/20/11 11 01/03/12 14 33 14 01/03/12 Bailey Mida/Pacetti $10,250.00 01/05/12 2 01/06/12 1 02/07/12 32 02/08/12 1 36 15 01/31/12 Fort Concho Christina Banda $1,206.00 01/31/12 0 02/07/12 7 02/21/12 14 02/22/12 1 22 16 01/31/12 Miles Aleyda Saucedo $2,404.00 01/31/12 0 02/07/12 7 02/21/12 14 N/A 14 17 01/31/12 Forest Park Robles/Pearcy $4,000.00 01/31/12 0 02/07/12 7 02/21/12 14 02/22/12 1 22 18 01/31/12 Goren Mackle Roberts $500.00 01/31/12 0 02/07/12 7 02/21/12 14 N/A 0 14 19 01/31/12 Mineola Mackle Roberts $1,100.00 01/31/12 0 02/07/12 7 02/21/12 14 02/22/12 1 22 20 02/22/12 Lasker Sergio/Cirila Ortiz $1,000.00 02/27/12 5 03/01/12 3 03/20/12 19 03/20/12 0 27 21 02/21/12 Mineola Annex Jonathan Pizano $1,000.00 02/27/12 6 03/06/12 8 03/20/12 14 03/20/12 0 28 22 02/22/12 Mineola Annex Vaness James $1,100.00 02/27/12 5 03/01/12 3 03/20/12 19 03/20/12 0 27 23 02/22/12 Mineola Annex Vaness James $1,100.00 02/27/12 5 03/01/12 3 03/20/12 19 03/20/12 0 27 24 02/22/12 Avondale Genivieve Bannert $1,000.00 02/27/12 5 03/01/12 3 03/20/12 19 03/20/12 0 27 25 02/28/12 Fort Concho Gustavo Cuellar $1,100.00 02/28/12 0 03/06/12 7 03/20/12 14 03/20/12 0 21 26 02/28/12 Mineola Annex Vivian Gist $1,100.00 02/28/12 0 03/06/12 7 03/20/12 14 03/20/12 0 21 27 02/29/12 Culwell Gustavo Martinez $1,000.00 02/29/12 0 03/06/12 6 03/20/12 14 03/20/12 0 20 28 02/24/12 Lake View Arthur Gonzalez $1,100.00 03/01/12 6 03/06/12 5 04/03/12 28 04/19/12 16 55 29 03/01/12 Lasker Julia Gonzalez $1,100.00 03/01/12 0 03/06/12 5 03/20/12 14 03/20/12 0 19 30 03/07/12 Hatcher Carlos Ryes $1,500.00 03/07/12 0 03/14/12 7 HOLD ####### HOLD #VALUE! #VALUE! 31 03/02/12 Miles Juan & Laura Murillo $1,000.00 03/02/12 0 03/08/12 6 04/17/12 40 03/20/12 -28 18 32 03/20/12 Miles Juan & Laura Murillo $2,500.00 03/21/12 1 04/17/12 27 04/17/12 0 04/19/12 2 30 33 03/30/12 Mineola Annex Vaness James $1,100.00 03/30/12 0 04/17/12 18 04/17/12 0 04/19/12 2 20 34 04/05/12 Goren Josephine Graciano $1,300.00 05/03/12 28 05/16/12 13 06/05/12 20 06/06/12 1 62 35 04/06/12 Ben Ficklin #2 Elizabeth Espinoza $1,300.00 05/03/12 27 05/16/12 13 06/05/12 20 06/06/12 1 61 36 05/02/12 Hatcher Esther Perales $3,388.00 05/03/12 1 05/17/12 14 06/05/12 19 06/06/12 1 35 37 05/04/12 Arroya Tad Logan $750.00 05/08/12 4 05/17/12 9 06/05/12 19 06/06/12 1 33 38 05/15/12 Fort Concho Vista Ray Rangel $1,400.00 05/15/12 0 05/18/12 3 06/05/12 18 06/06/12 1 22
  • 527.
    39 05/18/12 Lasker Darrell/Marta Jones $950.00 05/21/12 3 -41050 06/19/12 41079 -41079 -41047 40 05/17/12 Probst & Page Garcia-Galindo $1,500.00 05/21/12 4 -41050 06/19/12 41079 -41079 -41046 41 05/25/12 Miles Palmer $2,500.00 05/25/12 0 -41054 06/19/12 41079 -41079 -41054 42 05/25/12 James Williams Brewer-Munoz $1,500.00 05/25/10 -731 -40323 06/19/12 41079 -41079 -41054 43 44 0 0 0 0 0 45 46 47 0 0 0 0 0 48 49 50 0 0 0 0 0 51 52 53 0 0 0 0 0 $81,475.00
  • 528.
    CLOSING TRUSTEE LOTS ACCEPTED OFFER 4/2/2013 SUIT # TAX89-0217B ACCOUNT # 15-30200-0008-019-00 Marlow Lewis & Carletta WRITTEN OFFER BY DATE 4/2/2013 BY McKinney MEMO ü PROPERTY ANALYSIS ü RESOLUTION AUTHORIZING SALE OF REAL PROPERTY ü RESOLUTION AUTHORIZING TAX RESALE COUNTY ü RESOLUTION AUTHORIZING TAX RESALE SCHOOL ü MAP ü VERIFICATION SENT 4/2/2013 TGCAD CITY REQUEST FOR LEGAL ASSISTANCE SENT 4/2/2013 RETURNED EMAIL AGENDA AGENDA 4/19/2013 RECEIVE SIGNED RESOLUTIONS & TAX-RESALE DEED COUNTY AGENDA SENT DATE DISTRICT AGENDA SENT DATE PAID Earnest DATE 4/2/2013 CK/MO# Cash/Rcpt. #156733 AMT PD $ 350.00 Closing DATE CK/MO# AMT PD plus $30.00 filing fee RECORDED AT TOM GREEN COUNTY CLERK'S OFFICE REQUEST CHECKS TO DISTRIBUTE FUNDS MAIL LETTERS AND DISTRIBUTE FUNDS SEND LIEN ADJUSTMENT FORM (Mary/Blanca) David Alicia Cindy Mike Mike Hall Ramirez Preas Smith Dane REMOVE FROM CITY OWNED PROPERTY REMOVE FROM TAX FORECLOSURE LIST PLACE ON RECORD MANAGEMENT - TAX RESALE SOLD LIST MAIL ORIGINAL DEED TO NEW OWNER
  • 529.
    OBJECTIVE TRUSTEE CHECKLIST DATE SUBDIVISION NAME OFFER SENT TO DAYS RETURNED DAYS AGENDA DAYS SEND DAYS TOTAL RECEIVE LEGAL LEGAL TGC/SAISD DAYS 1 08/10/11 Miles David Garcia $1,300.00 08/11/11 1 08/22/11 11 09/06/11 15 09/13/11 7 34 2 09/09/11 Avondale C Mejia $2,327.00 09/13/11 4 09/19/11 6 10/04/11 15 10/05/11 1 26 3 09/09/11 Ruby Douglas F & M Saldivar $9,000.00 09/13/11 4 09/19/11 6 10/04/11 15 10/05/11 1 26 4 10/12/11 La Villita Heights Diana Trevino $3,000.00 10/13/11 1 10/20/11 7 11/01/11 12 N/A 12 5 10/27/11 J.B.Harrison Jessica Ramirez $3,000.00 10/27/11 0 11/04/11 8 11/15/11 11 11/16/11 1 20 6 10/31/11 Spencer #1 Jayson J. Jessop $2,924.00 10/31/11 0 11/04/11 4 11/15/11 11 N/A 11 7 11/16/11 Lasker Martha Green $2,500.00 11/16/11 0 11/22/11 6 12/06/11 14 N/A 14 8 12/01/11 Bradford Miguel Duran $1,700.00 12/05/11 4 12/09/11 4 12/20/11 11 01/03/12 14 33 9 12/01/11 Exall Miguel Duran $1,800.00 12/05/11 4 12/09/11 4 12/20/11 11 01/03/12 14 33 10 12/01/11 Exall Miguel Duran $3,000.00 12/05/11 4 12/09/11 4 12/20/11 11 01/03/12 14 33 11 12/01/11 Forest Park Miguel Duran $1,800.00 12/05/11 4 12/09/11 4 12/20/11 11 01/03/12 14 33 12 12/01/11 Forest Park Miguel Duran $1,900.00 12/05/11 4 12/09/11 4 12/20/11 11 01/03/12 14 33 13 12/01/11 Forest Park Miguel Duran $1,900.00 12/05/11 4 12/09/11 4 12/20/11 11 01/03/12 14 33 14 01/03/12 Bailey Mida/Pacetti $10,250.00 01/05/12 2 01/06/12 1 02/07/12 32 02/08/12 1 36 15 01/31/12 Fort Concho Christina Banda $1,206.00 01/31/12 0 02/07/12 7 02/21/12 14 02/22/12 1 22 16 01/31/12 Miles Aleyda Saucedo $2,404.00 01/31/12 0 02/07/12 7 02/21/12 14 N/A 14 17 01/31/12 Forest Park Robles/Pearcy $4,000.00 01/31/12 0 02/07/12 7 02/21/12 14 02/22/12 1 22 18 01/31/12 Goren Mackle Roberts $500.00 01/31/12 0 02/07/12 7 02/21/12 14 N/A 0 14 19 01/31/12 Mineola Mackle Roberts $1,100.00 01/31/12 0 02/07/12 7 02/21/12 14 02/22/12 1 22 20 02/22/12 Lasker Sergio/Cirila Ortiz $1,000.00 02/27/12 5 03/01/12 3 03/20/12 19 03/20/12 0 27 21 02/21/12 Mineola Annex Jonathan Pizano $1,000.00 02/27/12 6 03/06/12 8 03/20/12 14 03/20/12 0 28 22 02/22/12 Mineola Annex Vaness James $1,100.00 02/27/12 5 03/01/12 3 03/20/12 19 03/20/12 0 27 23 02/22/12 Mineola Annex Vaness James $1,100.00 02/27/12 5 03/01/12 3 03/20/12 19 03/20/12 0 27 24 02/22/12 Avondale Genivieve Bannert $1,000.00 02/27/12 5 03/01/12 3 03/20/12 19 03/20/12 0 27 25 02/28/12 Fort Concho Gustavo Cuellar $1,100.00 02/28/12 0 03/06/12 7 03/20/12 14 03/20/12 0 21 26 02/28/12 Mineola Annex Vivian Gist $1,100.00 02/28/12 0 03/06/12 7 03/20/12 14 03/20/12 0 21 27 02/29/12 Culwell Gustavo Martinez $1,000.00 02/29/12 0 03/06/12 6 03/20/12 14 03/20/12 0 20 28 02/24/12 Lake View Arthur Gonzalez $1,100.00 03/01/12 6 03/06/12 5 04/03/12 28 04/19/12 16 55 29 03/01/12 Lasker Julia Gonzalez $1,100.00 03/01/12 0 03/06/12 5 03/20/12 14 03/20/12 0 19 30 03/07/12 Hatcher Carlos Ryes $1,500.00 03/07/12 0 03/14/12 7 HOLD ####### HOLD #VALUE! #VALUE! 31 03/02/12 Miles Juan & Laura Murillo $1,000.00 03/02/12 0 03/08/12 6 04/17/12 40 03/20/12 -28 18 32 03/20/12 Miles Juan & Laura Murillo $2,500.00 03/21/12 1 04/17/12 27 04/17/12 0 04/19/12 2 30 33 03/30/12 Mineola Annex Vaness James $1,100.00 03/30/12 0 04/17/12 18 04/17/12 0 04/19/12 2 20 34 04/05/12 Goren Josephine Graciano $1,300.00 05/03/12 28 05/16/12 13 06/05/12 20 06/06/12 1 62 35 04/06/12 Ben Ficklin #2 Elizabeth Espinoza $1,300.00 05/03/12 27 05/16/12 13 06/05/12 20 06/06/12 1 61 36 05/02/12 Hatcher Esther Perales $3,388.00 05/03/12 1 05/17/12 14 06/05/12 19 06/06/12 1 35 37 05/04/12 Arroya Tad Logan $750.00 05/08/12 4 05/17/12 9 06/05/12 19 06/06/12 1 33 38 05/15/12 Fort Concho Vista Ray Rangel $1,400.00 05/15/12 0 05/18/12 3 06/05/12 18 06/06/12 1 22
  • 530.
    39 05/18/12 Lasker Darrell/Marta Jones $950.00 05/21/12 3 -41050 06/19/12 41079 -41079 -41047 40 05/17/12 Probst & Page Garcia-Galindo $1,500.00 05/21/12 4 -41050 06/19/12 41079 -41079 -41046 41 05/25/12 Miles Palmer $2,500.00 05/25/12 0 -41054 06/19/12 41079 -41079 -41054 42 05/25/12 James Williams Brewer-Munoz $1,500.00 05/25/10 -731 -40323 06/19/12 41079 -41079 -41054 43 44 0 0 0 0 0 45 46 47 0 0 0 0 0 48 49 50 0 0 0 0 0 51 52 53 0 0 0 0 0 $81,475.00
  • 531.
    CLOSING TRUSTEE LOTS ACCEPTED OFFER 4/1/2013 SUIT # TAX93-0151B ACCOUNT # 20-34900-0005-009-00 WRITTEN OFFER BY DATE 4/1/2013 BY Mackle & Jacqueline Roberts MEMO ü PROPERTY ANALYSIS ü RESOLUTION AUTHORIZING SALE OF REAL PROPERTY ü RESOLUTION AUTHORIZING TAX RESALE COUNTY ü RESOLUTION AUTHORIZING TAX RESALE SCHOOL ü MAP ü VERIFICATION SENT 4/1/2013 TGCAD CITY REQUEST FOR LEGAL ASSISTANCE SENT 4/1/2013 RETURNED EMAIL AGENDA AGENDA 4/19/2013 RECEIVE SIGNED RESOLUTIONS & TAX-RESALE DEED COUNTY AGENDA SENT DATE DISTRICT AGENDA SENT DATE PAID Earnest DATE 4/1/2013 CK/MO# CC/Rcpt. #156727 AMT PD $ 350.00 Closing DATE CK/MO# AMT PD plus $30.00 filing fee RECORDED AT TOM GREEN COUNTY CLERK'S OFFICE REQUEST CHECKS TO DISTRIBUTE FUNDS MAIL LETTERS AND DISTRIBUTE FUNDS SEND LIEN ADJUSTMENT FORM (Mary/Blanca) David Alicia Cindy Mike Mike Hall Ramirez Preas Smith Dane REMOVE FROM CITY OWNED PROPERTY REMOVE FROM TAX FORECLOSURE LIST PLACE ON RECORD MANAGEMENT - TAX RESALE SOLD LIST MAIL ORIGINAL DEED TO NEW OWNER
  • 532.
    OBJECTIVE TRUSTEE CHECKLIST DATE SUBDIVISION NAME OFFER SENT TO DAYS RETURNED DAYS AGENDA DAYS SEND DAYS TOTAL RECEIVE LEGAL LEGAL TGC/SAISD DAYS 1 08/10/11 Miles David Garcia $1,300.00 08/11/11 1 08/22/11 11 09/06/11 15 09/13/11 7 34 2 09/09/11 Avondale C Mejia $2,327.00 09/13/11 4 09/19/11 6 10/04/11 15 10/05/11 1 26 3 09/09/11 Ruby Douglas F & M Saldivar $9,000.00 09/13/11 4 09/19/11 6 10/04/11 15 10/05/11 1 26 4 10/12/11 La Villita Heights Diana Trevino $3,000.00 10/13/11 1 10/20/11 7 11/01/11 12 N/A 12 5 10/27/11 J.B.Harrison Jessica Ramirez $3,000.00 10/27/11 0 11/04/11 8 11/15/11 11 11/16/11 1 20 6 10/31/11 Spencer #1 Jayson J. Jessop $2,924.00 10/31/11 0 11/04/11 4 11/15/11 11 N/A 11 7 11/16/11 Lasker Martha Green $2,500.00 11/16/11 0 11/22/11 6 12/06/11 14 N/A 14 8 12/01/11 Bradford Miguel Duran $1,700.00 12/05/11 4 12/09/11 4 12/20/11 11 01/03/12 14 33 9 12/01/11 Exall Miguel Duran $1,800.00 12/05/11 4 12/09/11 4 12/20/11 11 01/03/12 14 33 10 12/01/11 Exall Miguel Duran $3,000.00 12/05/11 4 12/09/11 4 12/20/11 11 01/03/12 14 33 11 12/01/11 Forest Park Miguel Duran $1,800.00 12/05/11 4 12/09/11 4 12/20/11 11 01/03/12 14 33 12 12/01/11 Forest Park Miguel Duran $1,900.00 12/05/11 4 12/09/11 4 12/20/11 11 01/03/12 14 33 13 12/01/11 Forest Park Miguel Duran $1,900.00 12/05/11 4 12/09/11 4 12/20/11 11 01/03/12 14 33 14 01/03/12 Bailey Mida/Pacetti $10,250.00 01/05/12 2 01/06/12 1 02/07/12 32 02/08/12 1 36 15 01/31/12 Fort Concho Christina Banda $1,206.00 01/31/12 0 02/07/12 7 02/21/12 14 02/22/12 1 22 16 01/31/12 Miles Aleyda Saucedo $2,404.00 01/31/12 0 02/07/12 7 02/21/12 14 N/A 14 17 01/31/12 Forest Park Robles/Pearcy $4,000.00 01/31/12 0 02/07/12 7 02/21/12 14 02/22/12 1 22 18 01/31/12 Goren Mackle Roberts $500.00 01/31/12 0 02/07/12 7 02/21/12 14 N/A 0 14 19 01/31/12 Mineola Mackle Roberts $1,100.00 01/31/12 0 02/07/12 7 02/21/12 14 02/22/12 1 22 20 02/22/12 Lasker Sergio/Cirila Ortiz $1,000.00 02/27/12 5 03/01/12 3 03/20/12 19 03/20/12 0 27 21 02/21/12 Mineola Annex Jonathan Pizano $1,000.00 02/27/12 6 03/06/12 8 03/20/12 14 03/20/12 0 28 22 02/22/12 Mineola Annex Vaness James $1,100.00 02/27/12 5 03/01/12 3 03/20/12 19 03/20/12 0 27 23 02/22/12 Mineola Annex Vaness James $1,100.00 02/27/12 5 03/01/12 3 03/20/12 19 03/20/12 0 27 24 02/22/12 Avondale Genivieve Bannert $1,000.00 02/27/12 5 03/01/12 3 03/20/12 19 03/20/12 0 27 25 02/28/12 Fort Concho Gustavo Cuellar $1,100.00 02/28/12 0 03/06/12 7 03/20/12 14 03/20/12 0 21 26 02/28/12 Mineola Annex Vivian Gist $1,100.00 02/28/12 0 03/06/12 7 03/20/12 14 03/20/12 0 21 27 02/29/12 Culwell Gustavo Martinez $1,000.00 02/29/12 0 03/06/12 6 03/20/12 14 03/20/12 0 20 28 02/24/12 Lake View Arthur Gonzalez $1,100.00 03/01/12 6 03/06/12 5 04/03/12 28 04/19/12 16 55 29 03/01/12 Lasker Julia Gonzalez $1,100.00 03/01/12 0 03/06/12 5 03/20/12 14 03/20/12 0 19 30 03/07/12 Hatcher Carlos Ryes $1,500.00 03/07/12 0 03/14/12 7 HOLD ####### HOLD #VALUE! #VALUE! 31 03/02/12 Miles Juan & Laura Murillo $1,000.00 03/02/12 0 03/08/12 6 04/17/12 40 03/20/12 -28 18 32 03/20/12 Miles Juan & Laura Murillo $2,500.00 03/21/12 1 04/17/12 27 04/17/12 0 04/19/12 2 30 33 03/30/12 Mineola Annex Vaness James $1,100.00 03/30/12 0 04/17/12 18 04/17/12 0 04/19/12 2 20 34 04/05/12 Goren Josephine Graciano $1,300.00 05/03/12 28 05/16/12 13 06/05/12 20 06/06/12 1 62 35 04/06/12 Ben Ficklin #2 Elizabeth Espinoza $1,300.00 05/03/12 27 05/16/12 13 06/05/12 20 06/06/12 1 61 36 05/02/12 Hatcher Esther Perales $3,388.00 05/03/12 1 05/17/12 14 06/05/12 19 06/06/12 1 35 37 05/04/12 Arroya Tad Logan $750.00 05/08/12 4 05/17/12 9 06/05/12 19 06/06/12 1 33 38 05/15/12 Fort Concho Vista Ray Rangel $1,400.00 05/15/12 0 05/18/12 3 06/05/12 18 06/06/12 1 22
  • 533.
    39 05/18/12 Lasker Darrell/Marta Jones $950.00 05/21/12 3 -41050 06/19/12 41079 -41079 -41047 40 05/17/12 Probst & Page Garcia-Galindo $1,500.00 05/21/12 4 -41050 06/19/12 41079 -41079 -41046 41 05/25/12 Miles Palmer $2,500.00 05/25/12 0 -41054 06/19/12 41079 -41079 -41054 42 05/25/12 James Williams Brewer-Munoz $1,500.00 05/25/10 -731 -40323 06/19/12 41079 -41079 -41054 43 44 0 0 0 0 0 45 46 47 0 0 0 0 0 48 49 50 0 0 0 0 0 51 52 53 0 0 0 0 0 $81,475.00
  • 534.
    CLOSING TRUSTEE LOTS ACCEPTED OFFER 3/27/2013 SUIT # B-09-0050-T ACCOUNT # 01-10500-0002-027-00 WRITTEN OFFER BY DATE 3/27/2013 BY John Pearcy MEMO ü PROPERTY ANALYSIS ü RESOLUTION AUTHORIZING SALE OF REAL PROPERTY ü RESOLUTION AUTHORIZING TAX RESALE COUNTY ü RESOLUTION AUTHORIZING TAX RESALE SCHOOL ü MAP ü VERIFICATION SENT 3/27/2013 TGCAD CITY REQUEST FOR LEGAL ASSISTANCE SENT 3/27/2013 RETURNED EMAIL AGENDA AGENDA 4/16/2013 RECEIVE SIGNED RESOLUTIONS & TAX-RESALE DEED COUNTY AGENDA SENT DATE DISTRICT AGENDA SENT DATE PAID Earnest DATE 3/27/2013 CK/MO# CC/#156725 AMT PD $ 350.00 Closing DATE CK/MO# AMT PD plus $30.00 filing fee RECORDED AT TOM GREEN COUNTY CLERK'S OFFICE REQUEST CHECKS TO DISTRIBUTE FUNDS MAIL LETTERS AND DISTRIBUTE FUNDS SEND LIEN ADJUSTMENT FORM (Mary/Blanca) David Alicia Cindy Mike Mike Hall Ramirez Preas Smith Dane REMOVE FROM CITY OWNED PROPERTY REMOVE FROM TAX FORECLOSURE LIST PLACE ON RECORD MANAGEMENT - TAX RESALE SOLD LIST MAIL ORIGINAL DEED TO NEW OWNER
  • 535.
    OBJECTIVE TRUSTEE CHECKLIST DATE SUBDIVISION NAME OFFER SENT TO DAYS RETURNED DAYS AGENDA DAYS SEND DAYS TOTAL RECEIVE LEGAL LEGAL TGC/SAISD DAYS 1 08/10/11 Miles David Garcia $1,300.00 08/11/11 1 08/22/11 11 09/06/11 15 09/13/11 7 34 2 09/09/11 Avondale C Mejia $2,327.00 09/13/11 4 09/19/11 6 10/04/11 15 10/05/11 1 26 3 09/09/11 Ruby Douglas F & M Saldivar $9,000.00 09/13/11 4 09/19/11 6 10/04/11 15 10/05/11 1 26 4 10/12/11 La Villita Heights Diana Trevino $3,000.00 10/13/11 1 10/20/11 7 11/01/11 12 N/A 12 5 10/27/11 J.B.Harrison Jessica Ramirez $3,000.00 10/27/11 0 11/04/11 8 11/15/11 11 11/16/11 1 20 6 10/31/11 Spencer #1 Jayson J. Jessop $2,924.00 10/31/11 0 11/04/11 4 11/15/11 11 N/A 11 7 11/16/11 Lasker Martha Green $2,500.00 11/16/11 0 11/22/11 6 12/06/11 14 N/A 14 8 12/01/11 Bradford Miguel Duran $1,700.00 12/05/11 4 12/09/11 4 12/20/11 11 01/03/12 14 33 9 12/01/11 Exall Miguel Duran $1,800.00 12/05/11 4 12/09/11 4 12/20/11 11 01/03/12 14 33 10 12/01/11 Exall Miguel Duran $3,000.00 12/05/11 4 12/09/11 4 12/20/11 11 01/03/12 14 33 11 12/01/11 Forest Park Miguel Duran $1,800.00 12/05/11 4 12/09/11 4 12/20/11 11 01/03/12 14 33 12 12/01/11 Forest Park Miguel Duran $1,900.00 12/05/11 4 12/09/11 4 12/20/11 11 01/03/12 14 33 13 12/01/11 Forest Park Miguel Duran $1,900.00 12/05/11 4 12/09/11 4 12/20/11 11 01/03/12 14 33 14 01/03/12 Bailey Mida/Pacetti $10,250.00 01/05/12 2 01/06/12 1 02/07/12 32 02/08/12 1 36 15 01/31/12 Fort Concho Christina Banda $1,206.00 01/31/12 0 02/07/12 7 02/21/12 14 02/22/12 1 22 16 01/31/12 Miles Aleyda Saucedo $2,404.00 01/31/12 0 02/07/12 7 02/21/12 14 N/A 14 17 01/31/12 Forest Park Robles/Pearcy $4,000.00 01/31/12 0 02/07/12 7 02/21/12 14 02/22/12 1 22 18 01/31/12 Goren Mackle Roberts $500.00 01/31/12 0 02/07/12 7 02/21/12 14 N/A 0 14 19 01/31/12 Mineola Mackle Roberts $1,100.00 01/31/12 0 02/07/12 7 02/21/12 14 02/22/12 1 22 20 02/22/12 Lasker Sergio/Cirila Ortiz $1,000.00 02/27/12 5 03/01/12 3 03/20/12 19 03/20/12 0 27 21 02/21/12 Mineola Annex Jonathan Pizano $1,000.00 02/27/12 6 03/06/12 8 03/20/12 14 03/20/12 0 28 22 02/22/12 Mineola Annex Vaness James $1,100.00 02/27/12 5 03/01/12 3 03/20/12 19 03/20/12 0 27 23 02/22/12 Mineola Annex Vaness James $1,100.00 02/27/12 5 03/01/12 3 03/20/12 19 03/20/12 0 27 24 02/22/12 Avondale Genivieve Bannert $1,000.00 02/27/12 5 03/01/12 3 03/20/12 19 03/20/12 0 27 25 02/28/12 Fort Concho Gustavo Cuellar $1,100.00 02/28/12 0 03/06/12 7 03/20/12 14 03/20/12 0 21 26 02/28/12 Mineola Annex Vivian Gist $1,100.00 02/28/12 0 03/06/12 7 03/20/12 14 03/20/12 0 21 27 02/29/12 Culwell Gustavo Martinez $1,000.00 02/29/12 0 03/06/12 6 03/20/12 14 03/20/12 0 20 28 02/24/12 Lake View Arthur Gonzalez $1,100.00 03/01/12 6 03/06/12 5 04/03/12 28 04/19/12 16 55 29 03/01/12 Lasker Julia Gonzalez $1,100.00 03/01/12 0 03/06/12 5 03/20/12 14 03/20/12 0 19 30 03/07/12 Hatcher Carlos Ryes $1,500.00 03/07/12 0 03/14/12 7 HOLD ####### HOLD #VALUE! #VALUE! 31 03/02/12 Miles Juan & Laura Murillo $1,000.00 03/02/12 0 03/08/12 6 04/17/12 40 03/20/12 -28 18 32 03/20/12 Miles Juan & Laura Murillo $2,500.00 03/21/12 1 04/17/12 27 04/17/12 0 04/19/12 2 30 33 03/30/12 Mineola Annex Vaness James $1,100.00 03/30/12 0 04/17/12 18 04/17/12 0 04/19/12 2 20 34 04/05/12 Goren Josephine Graciano $1,300.00 05/03/12 28 05/16/12 13 06/05/12 20 06/06/12 1 62 35 04/06/12 Ben Ficklin #2 Elizabeth Espinoza $1,300.00 05/03/12 27 05/16/12 13 06/05/12 20 06/06/12 1 61 36 05/02/12 Hatcher Esther Perales $3,388.00 05/03/12 1 05/17/12 14 06/05/12 19 06/06/12 1 35 37 05/04/12 Arroya Tad Logan $750.00 05/08/12 4 05/17/12 9 06/05/12 19 06/06/12 1 33 38 05/15/12 Fort Concho Vista Ray Rangel $1,400.00 05/15/12 0 05/18/12 3 06/05/12 18 06/06/12 1 22
  • 536.
    39 05/18/12 Lasker Darrell/Marta Jones $950.00 05/21/12 3 -41050 06/19/12 41079 -41079 -41047 40 05/17/12 Probst & Page Garcia-Galindo $1,500.00 05/21/12 4 -41050 06/19/12 41079 -41079 -41046 41 05/25/12 Miles Palmer $2,500.00 05/25/12 0 -41054 06/19/12 41079 -41079 -41054 42 05/25/12 James Williams Brewer-Munoz $1,500.00 05/25/10 -731 -40323 06/19/12 41079 -41079 -41054 43 44 0 0 0 0 0 45 46 47 0 0 0 0 0 48 49 50 0 0 0 0 0 51 52 53 0 0 0 0 0 $81,475.00
  • 537.
    CLOSING TRUSTEE LOTS ACCEPTED OFFER 3/27/2013 SUIT # B-05-0268-T ACCOUNT # 01-11000-0093-003-00 WRITTEN OFFER BY DATE 3/27/2013 BY John Pearcy MEMO ü PROPERTY ANALYSIS ü RESOLUTION AUTHORIZING SALE OF REAL PROPERTY ü RESOLUTION AUTHORIZING TAX RESALE COUNTY ü RESOLUTION AUTHORIZING TAX RESALE SCHOOL ü MAP ü VERIFICATION SENT 3/27/2013 TGCAD CITY REQUEST FOR LEGAL ASSISTANCE SENT 3/27/2013 RETURNED EMAIL AGENDA AGENDA 4/16/2013 RECEIVE SIGNED RESOLUTIONS & TAX-RESALE DEED COUNTY AGENDA SENT DATE DISTRICT AGENDA SENT DATE PAID Earnest DATE 3/27/2013 CK/MO# CC/#156726 AMT PD $ 350.00 Closing DATE CK/MO# AMT PD plus $30.00 filing fee RECORDED AT TOM GREEN COUNTY CLERK'S OFFICE REQUEST CHECKS TO DISTRIBUTE FUNDS MAIL LETTERS AND DISTRIBUTE FUNDS SEND LIEN ADJUSTMENT FORM (Mary/Blanca) David Alicia Cindy Mike Mike Hall Ramirez Preas Smith Dane REMOVE FROM CITY OWNED PROPERTY REMOVE FROM TAX FORECLOSURE LIST PLACE ON RECORD MANAGEMENT - TAX RESALE SOLD LIST MAIL ORIGINAL DEED TO NEW OWNER
  • 538.
    OBJECTIVE TRUSTEE CHECKLIST DATE SUBDIVISION NAME OFFER SENT TO DAYS RETURNED DAYS AGENDA DAYS SEND DAYS TOTAL RECEIVE LEGAL LEGAL TGC/SAISD DAYS 1 08/10/11 Miles David Garcia $1,300.00 08/11/11 1 08/22/11 11 09/06/11 15 09/13/11 7 34 2 09/09/11 Avondale C Mejia $2,327.00 09/13/11 4 09/19/11 6 10/04/11 15 10/05/11 1 26 3 09/09/11 Ruby Douglas F & M Saldivar $9,000.00 09/13/11 4 09/19/11 6 10/04/11 15 10/05/11 1 26 4 10/12/11 La Villita Heights Diana Trevino $3,000.00 10/13/11 1 10/20/11 7 11/01/11 12 N/A 12 5 10/27/11 J.B.Harrison Jessica Ramirez $3,000.00 10/27/11 0 11/04/11 8 11/15/11 11 11/16/11 1 20 6 10/31/11 Spencer #1 Jayson J. Jessop $2,924.00 10/31/11 0 11/04/11 4 11/15/11 11 N/A 11 7 11/16/11 Lasker Martha Green $2,500.00 11/16/11 0 11/22/11 6 12/06/11 14 N/A 14 8 12/01/11 Bradford Miguel Duran $1,700.00 12/05/11 4 12/09/11 4 12/20/11 11 01/03/12 14 33 9 12/01/11 Exall Miguel Duran $1,800.00 12/05/11 4 12/09/11 4 12/20/11 11 01/03/12 14 33 10 12/01/11 Exall Miguel Duran $3,000.00 12/05/11 4 12/09/11 4 12/20/11 11 01/03/12 14 33 11 12/01/11 Forest Park Miguel Duran $1,800.00 12/05/11 4 12/09/11 4 12/20/11 11 01/03/12 14 33 12 12/01/11 Forest Park Miguel Duran $1,900.00 12/05/11 4 12/09/11 4 12/20/11 11 01/03/12 14 33 13 12/01/11 Forest Park Miguel Duran $1,900.00 12/05/11 4 12/09/11 4 12/20/11 11 01/03/12 14 33 14 01/03/12 Bailey Mida/Pacetti $10,250.00 01/05/12 2 01/06/12 1 02/07/12 32 02/08/12 1 36 15 01/31/12 Fort Concho Christina Banda $1,206.00 01/31/12 0 02/07/12 7 02/21/12 14 02/22/12 1 22 16 01/31/12 Miles Aleyda Saucedo $2,404.00 01/31/12 0 02/07/12 7 02/21/12 14 N/A 14 17 01/31/12 Forest Park Robles/Pearcy $4,000.00 01/31/12 0 02/07/12 7 02/21/12 14 02/22/12 1 22 18 01/31/12 Goren Mackle Roberts $500.00 01/31/12 0 02/07/12 7 02/21/12 14 N/A 0 14 19 01/31/12 Mineola Mackle Roberts $1,100.00 01/31/12 0 02/07/12 7 02/21/12 14 02/22/12 1 22 20 02/22/12 Lasker Sergio/Cirila Ortiz $1,000.00 02/27/12 5 03/01/12 3 03/20/12 19 03/20/12 0 27 21 02/21/12 Mineola Annex Jonathan Pizano $1,000.00 02/27/12 6 03/06/12 8 03/20/12 14 03/20/12 0 28 22 02/22/12 Mineola Annex Vaness James $1,100.00 02/27/12 5 03/01/12 3 03/20/12 19 03/20/12 0 27 23 02/22/12 Mineola Annex Vaness James $1,100.00 02/27/12 5 03/01/12 3 03/20/12 19 03/20/12 0 27 24 02/22/12 Avondale Genivieve Bannert $1,000.00 02/27/12 5 03/01/12 3 03/20/12 19 03/20/12 0 27 25 02/28/12 Fort Concho Gustavo Cuellar $1,100.00 02/28/12 0 03/06/12 7 03/20/12 14 03/20/12 0 21 26 02/28/12 Mineola Annex Vivian Gist $1,100.00 02/28/12 0 03/06/12 7 03/20/12 14 03/20/12 0 21 27 02/29/12 Culwell Gustavo Martinez $1,000.00 02/29/12 0 03/06/12 6 03/20/12 14 03/20/12 0 20 28 02/24/12 Lake View Arthur Gonzalez $1,100.00 03/01/12 6 03/06/12 5 04/03/12 28 04/19/12 16 55 29 03/01/12 Lasker Julia Gonzalez $1,100.00 03/01/12 0 03/06/12 5 03/20/12 14 03/20/12 0 19 30 03/07/12 Hatcher Carlos Ryes $1,500.00 03/07/12 0 03/14/12 7 HOLD ####### HOLD #VALUE! #VALUE! 31 03/02/12 Miles Juan & Laura Murillo $1,000.00 03/02/12 0 03/08/12 6 04/17/12 40 03/20/12 -28 18 32 03/20/12 Miles Juan & Laura Murillo $2,500.00 03/21/12 1 04/17/12 27 04/17/12 0 04/19/12 2 30 33 03/30/12 Mineola Annex Vaness James $1,100.00 03/30/12 0 04/17/12 18 04/17/12 0 04/19/12 2 20 34 04/05/12 Goren Josephine Graciano $1,300.00 05/03/12 28 05/16/12 13 06/05/12 20 06/06/12 1 62 35 04/06/12 Ben Ficklin #2 Elizabeth Espinoza $1,300.00 05/03/12 27 05/16/12 13 06/05/12 20 06/06/12 1 61 36 05/02/12 Hatcher Esther Perales $3,388.00 05/03/12 1 05/17/12 14 06/05/12 19 06/06/12 1 35 37 05/04/12 Arroya Tad Logan $750.00 05/08/12 4 05/17/12 9 06/05/12 19 06/06/12 1 33 38 05/15/12 Fort Concho Vista Ray Rangel $1,400.00 05/15/12 0 05/18/12 3 06/05/12 18 06/06/12 1 22
  • 539.
    39 05/18/12 Lasker Darrell/Marta Jones $950.00 05/21/12 3 -41050 06/19/12 41079 -41079 -41047 40 05/17/12 Probst & Page Garcia-Galindo $1,500.00 05/21/12 4 -41050 06/19/12 41079 -41079 -41046 41 05/25/12 Miles Palmer $2,500.00 05/25/12 0 -41054 06/19/12 41079 -41079 -41054 42 05/25/12 James Williams Brewer-Munoz $1,500.00 05/25/10 -731 -40323 06/19/12 41079 -41079 -41054 43 44 0 0 0 0 0 45 46 47 0 0 0 0 0 48 49 50 0 0 0 0 0 51 52 53 0 0 0 0 0 $81,475.00
  • 540.
    CLOSING TRUSTEE LOTS ACCEPTED OFFER 4/2/2013 SUIT # B-95-0055-T ACCOUNT # 18-34200-0031-003-00 Marlow Lewis & Carletta WRITTEN OFFER BY DATE 4/2/2013 BY McKinney MEMO ü PROPERTY ANALYSIS ü RESOLUTION AUTHORIZING SALE OF REAL PROPERTY ü RESOLUTION AUTHORIZING TAX RESALE COUNTY ü RESOLUTION AUTHORIZING TAX RESALE SCHOOL ü MAP ü VERIFICATION SENT 4/2/2013 TGCAD CITY REQUEST FOR LEGAL ASSISTANCE SENT 4/2/2013 RETURNED EMAIL AGENDA AGENDA 4/19/2013 RECEIVE SIGNED RESOLUTIONS & TAX-RESALE DEED COUNTY AGENDA SENT DATE DISTRICT AGENDA SENT DATE PAID Earnest DATE 4/2/2013 CK/MO# Cash/Rcpt. #156732 AMT PD $ 350.00 Closing DATE CK/MO# AMT PD plus $30.00 filing fee RECORDED AT TOM GREEN COUNTY CLERK'S OFFICE REQUEST CHECKS TO DISTRIBUTE FUNDS MAIL LETTERS AND DISTRIBUTE FUNDS SEND LIEN ADJUSTMENT FORM (Mary/Blanca) David Alicia Cindy Mike Mike Hall Ramirez Preas Smith Dane REMOVE FROM CITY OWNED PROPERTY REMOVE FROM TAX FORECLOSURE LIST PLACE ON RECORD MANAGEMENT - TAX RESALE SOLD LIST MAIL ORIGINAL DEED TO NEW OWNER
  • 541.
    OBJECTIVE TRUSTEE CHECKLIST DATE SUBDIVISION NAME OFFER SENT TO DAYS RETURNED DAYS AGENDA DAYS SEND DAYS TOTAL RECEIVE LEGAL LEGAL TGC/SAISD DAYS 1 08/10/11 Miles David Garcia $1,300.00 08/11/11 1 08/22/11 11 09/06/11 15 09/13/11 7 34 2 09/09/11 Avondale C Mejia $2,327.00 09/13/11 4 09/19/11 6 10/04/11 15 10/05/11 1 26 3 09/09/11 Ruby Douglas F & M Saldivar $9,000.00 09/13/11 4 09/19/11 6 10/04/11 15 10/05/11 1 26 4 10/12/11 La Villita Heights Diana Trevino $3,000.00 10/13/11 1 10/20/11 7 11/01/11 12 N/A 12 5 10/27/11 J.B.Harrison Jessica Ramirez $3,000.00 10/27/11 0 11/04/11 8 11/15/11 11 11/16/11 1 20 6 10/31/11 Spencer #1 Jayson J. Jessop $2,924.00 10/31/11 0 11/04/11 4 11/15/11 11 N/A 11 7 11/16/11 Lasker Martha Green $2,500.00 11/16/11 0 11/22/11 6 12/06/11 14 N/A 14 8 12/01/11 Bradford Miguel Duran $1,700.00 12/05/11 4 12/09/11 4 12/20/11 11 01/03/12 14 33 9 12/01/11 Exall Miguel Duran $1,800.00 12/05/11 4 12/09/11 4 12/20/11 11 01/03/12 14 33 10 12/01/11 Exall Miguel Duran $3,000.00 12/05/11 4 12/09/11 4 12/20/11 11 01/03/12 14 33 11 12/01/11 Forest Park Miguel Duran $1,800.00 12/05/11 4 12/09/11 4 12/20/11 11 01/03/12 14 33 12 12/01/11 Forest Park Miguel Duran $1,900.00 12/05/11 4 12/09/11 4 12/20/11 11 01/03/12 14 33 13 12/01/11 Forest Park Miguel Duran $1,900.00 12/05/11 4 12/09/11 4 12/20/11 11 01/03/12 14 33 14 01/03/12 Bailey Mida/Pacetti $10,250.00 01/05/12 2 01/06/12 1 02/07/12 32 02/08/12 1 36 15 01/31/12 Fort Concho Christina Banda $1,206.00 01/31/12 0 02/07/12 7 02/21/12 14 02/22/12 1 22 16 01/31/12 Miles Aleyda Saucedo $2,404.00 01/31/12 0 02/07/12 7 02/21/12 14 N/A 14 17 01/31/12 Forest Park Robles/Pearcy $4,000.00 01/31/12 0 02/07/12 7 02/21/12 14 02/22/12 1 22 18 01/31/12 Goren Mackle Roberts $500.00 01/31/12 0 02/07/12 7 02/21/12 14 N/A 0 14 19 01/31/12 Mineola Mackle Roberts $1,100.00 01/31/12 0 02/07/12 7 02/21/12 14 02/22/12 1 22 20 02/22/12 Lasker Sergio/Cirila Ortiz $1,000.00 02/27/12 5 03/01/12 3 03/20/12 19 03/20/12 0 27 21 02/21/12 Mineola Annex Jonathan Pizano $1,000.00 02/27/12 6 03/06/12 8 03/20/12 14 03/20/12 0 28 22 02/22/12 Mineola Annex Vaness James $1,100.00 02/27/12 5 03/01/12 3 03/20/12 19 03/20/12 0 27 23 02/22/12 Mineola Annex Vaness James $1,100.00 02/27/12 5 03/01/12 3 03/20/12 19 03/20/12 0 27 24 02/22/12 Avondale Genivieve Bannert $1,000.00 02/27/12 5 03/01/12 3 03/20/12 19 03/20/12 0 27 25 02/28/12 Fort Concho Gustavo Cuellar $1,100.00 02/28/12 0 03/06/12 7 03/20/12 14 03/20/12 0 21 26 02/28/12 Mineola Annex Vivian Gist $1,100.00 02/28/12 0 03/06/12 7 03/20/12 14 03/20/12 0 21 27 02/29/12 Culwell Gustavo Martinez $1,000.00 02/29/12 0 03/06/12 6 03/20/12 14 03/20/12 0 20 28 02/24/12 Lake View Arthur Gonzalez $1,100.00 03/01/12 6 03/06/12 5 04/03/12 28 04/19/12 16 55 29 03/01/12 Lasker Julia Gonzalez $1,100.00 03/01/12 0 03/06/12 5 03/20/12 14 03/20/12 0 19 30 03/07/12 Hatcher Carlos Ryes $1,500.00 03/07/12 0 03/14/12 7 HOLD ####### HOLD #VALUE! #VALUE! 31 03/02/12 Miles Juan & Laura Murillo $1,000.00 03/02/12 0 03/08/12 6 04/17/12 40 03/20/12 -28 18 32 03/20/12 Miles Juan & Laura Murillo $2,500.00 03/21/12 1 04/17/12 27 04/17/12 0 04/19/12 2 30 33 03/30/12 Mineola Annex Vaness James $1,100.00 03/30/12 0 04/17/12 18 04/17/12 0 04/19/12 2 20 34 04/05/12 Goren Josephine Graciano $1,300.00 05/03/12 28 05/16/12 13 06/05/12 20 06/06/12 1 62 35 04/06/12 Ben Ficklin #2 Elizabeth Espinoza $1,300.00 05/03/12 27 05/16/12 13 06/05/12 20 06/06/12 1 61 36 05/02/12 Hatcher Esther Perales $3,388.00 05/03/12 1 05/17/12 14 06/05/12 19 06/06/12 1 35 37 05/04/12 Arroya Tad Logan $750.00 05/08/12 4 05/17/12 9 06/05/12 19 06/06/12 1 33 38 05/15/12 Fort Concho Vista Ray Rangel $1,400.00 05/15/12 0 05/18/12 3 06/05/12 18 06/06/12 1 22
  • 542.
    39 05/18/12 Lasker Darrell/Marta Jones $950.00 05/21/12 3 -41050 06/19/12 41079 -41079 -41047 40 05/17/12 Probst & Page Garcia-Galindo $1,500.00 05/21/12 4 -41050 06/19/12 41079 -41079 -41046 41 05/25/12 Miles Palmer $2,500.00 05/25/12 0 -41054 06/19/12 41079 -41079 -41054 42 05/25/12 James Williams Brewer-Munoz $1,500.00 05/25/10 -731 -40323 06/19/12 41079 -41079 -41054 43 44 0 0 0 0 0 45 46 47 0 0 0 0 0 48 49 50 0 0 0 0 0 51 52 53 0 0 0 0 0 $81,475.00
  • 543.
    CLOSING TRUSTEE LOTS ACCEPTED OFFER 4/2/2013 SUIT # TAX91-0054B ACCOUNT # 20-34900-0005-008-00 WRITTEN OFFER BY DATE 4/2/2013 BY Mackle & Jacqueline Roberts MEMO ü PROPERTY ANALYSIS ü RESOLUTION AUTHORIZING SALE OF REAL PROPERTY ü RESOLUTION AUTHORIZING TAX RESALE COUNTY ü RESOLUTION AUTHORIZING TAX RESALE SCHOOL ü MAP ü VERIFICATION SENT 4/1/2013 TGCAD CITY REQUEST FOR LEGAL ASSISTANCE SENT 4/2/2013 RETURNED EMAIL AGENDA AGENDA 4/19/2013 RECEIVE SIGNED RESOLUTIONS & TAX-RESALE DEED COUNTY AGENDA SENT DATE DISTRICT AGENDA SENT DATE PAID Earnest DATE CK/MO# AMT PD $ 350.00 Closing DATE CK/MO# AMT PD plus $30.00 filing fee RECORDED AT TOM GREEN COUNTY CLERK'S OFFICE REQUEST CHECKS TO DISTRIBUTE FUNDS MAIL LETTERS AND DISTRIBUTE FUNDS SEND LIEN ADJUSTMENT FORM (Mary/Blanca) David Alicia Cindy Mike Mike Hall Ramirez Preas Smith Dane REMOVE FROM CITY OWNED PROPERTY REMOVE FROM TAX FORECLOSURE LIST PLACE ON RECORD MANAGEMENT - TAX RESALE SOLD LIST MAIL ORIGINAL DEED TO NEW OWNER
  • 544.
    OBJECTIVE TRUSTEE CHECKLIST DATE SUBDIVISION NAME OFFER SENT TO DAYS RETURNED DAYS AGENDA DAYS SEND DAYS TOTAL RECEIVE LEGAL LEGAL TGC/SAISD DAYS 1 08/10/11 Miles David Garcia $1,300.00 08/11/11 1 08/22/11 11 09/06/11 15 09/13/11 7 34 2 09/09/11 Avondale C Mejia $2,327.00 09/13/11 4 09/19/11 6 10/04/11 15 10/05/11 1 26 3 09/09/11 Ruby Douglas F & M Saldivar $9,000.00 09/13/11 4 09/19/11 6 10/04/11 15 10/05/11 1 26 4 10/12/11 La Villita Heights Diana Trevino $3,000.00 10/13/11 1 10/20/11 7 11/01/11 12 N/A 12 5 10/27/11 J.B.Harrison Jessica Ramirez $3,000.00 10/27/11 0 11/04/11 8 11/15/11 11 11/16/11 1 20 6 10/31/11 Spencer #1 Jayson J. Jessop $2,924.00 10/31/11 0 11/04/11 4 11/15/11 11 N/A 11 7 11/16/11 Lasker Martha Green $2,500.00 11/16/11 0 11/22/11 6 12/06/11 14 N/A 14 8 12/01/11 Bradford Miguel Duran $1,700.00 12/05/11 4 12/09/11 4 12/20/11 11 01/03/12 14 33 9 12/01/11 Exall Miguel Duran $1,800.00 12/05/11 4 12/09/11 4 12/20/11 11 01/03/12 14 33 10 12/01/11 Exall Miguel Duran $3,000.00 12/05/11 4 12/09/11 4 12/20/11 11 01/03/12 14 33 11 12/01/11 Forest Park Miguel Duran $1,800.00 12/05/11 4 12/09/11 4 12/20/11 11 01/03/12 14 33 12 12/01/11 Forest Park Miguel Duran $1,900.00 12/05/11 4 12/09/11 4 12/20/11 11 01/03/12 14 33 13 12/01/11 Forest Park Miguel Duran $1,900.00 12/05/11 4 12/09/11 4 12/20/11 11 01/03/12 14 33 14 01/03/12 Bailey Mida/Pacetti $10,250.00 01/05/12 2 01/06/12 1 02/07/12 32 02/08/12 1 36 15 01/31/12 Fort Concho Christina Banda $1,206.00 01/31/12 0 02/07/12 7 02/21/12 14 02/22/12 1 22 16 01/31/12 Miles Aleyda Saucedo $2,404.00 01/31/12 0 02/07/12 7 02/21/12 14 N/A 14 17 01/31/12 Forest Park Robles/Pearcy $4,000.00 01/31/12 0 02/07/12 7 02/21/12 14 02/22/12 1 22 18 01/31/12 Goren Mackle Roberts $500.00 01/31/12 0 02/07/12 7 02/21/12 14 N/A 0 14 19 01/31/12 Mineola Mackle Roberts $1,100.00 01/31/12 0 02/07/12 7 02/21/12 14 02/22/12 1 22 20 02/22/12 Lasker Sergio/Cirila Ortiz $1,000.00 02/27/12 5 03/01/12 3 03/20/12 19 03/20/12 0 27 21 02/21/12 Mineola Annex Jonathan Pizano $1,000.00 02/27/12 6 03/06/12 8 03/20/12 14 03/20/12 0 28 22 02/22/12 Mineola Annex Vaness James $1,100.00 02/27/12 5 03/01/12 3 03/20/12 19 03/20/12 0 27 23 02/22/12 Mineola Annex Vaness James $1,100.00 02/27/12 5 03/01/12 3 03/20/12 19 03/20/12 0 27 24 02/22/12 Avondale Genivieve Bannert $1,000.00 02/27/12 5 03/01/12 3 03/20/12 19 03/20/12 0 27 25 02/28/12 Fort Concho Gustavo Cuellar $1,100.00 02/28/12 0 03/06/12 7 03/20/12 14 03/20/12 0 21 26 02/28/12 Mineola Annex Vivian Gist $1,100.00 02/28/12 0 03/06/12 7 03/20/12 14 03/20/12 0 21 27 02/29/12 Culwell Gustavo Martinez $1,000.00 02/29/12 0 03/06/12 6 03/20/12 14 03/20/12 0 20 28 02/24/12 Lake View Arthur Gonzalez $1,100.00 03/01/12 6 03/06/12 5 04/03/12 28 04/19/12 16 55 29 03/01/12 Lasker Julia Gonzalez $1,100.00 03/01/12 0 03/06/12 5 03/20/12 14 03/20/12 0 19 30 03/07/12 Hatcher Carlos Ryes $1,500.00 03/07/12 0 03/14/12 7 HOLD ####### HOLD #VALUE! #VALUE! 31 03/02/12 Miles Juan & Laura Murillo $1,000.00 03/02/12 0 03/08/12 6 04/17/12 40 03/20/12 -28 18 32 03/20/12 Miles Juan & Laura Murillo $2,500.00 03/21/12 1 04/17/12 27 04/17/12 0 04/19/12 2 30 33 03/30/12 Mineola Annex Vaness James $1,100.00 03/30/12 0 04/17/12 18 04/17/12 0 04/19/12 2 20 34 04/05/12 Goren Josephine Graciano $1,300.00 05/03/12 28 05/16/12 13 06/05/12 20 06/06/12 1 62 35 04/06/12 Ben Ficklin #2 Elizabeth Espinoza $1,300.00 05/03/12 27 05/16/12 13 06/05/12 20 06/06/12 1 61 36 05/02/12 Hatcher Esther Perales $3,388.00 05/03/12 1 05/17/12 14 06/05/12 19 06/06/12 1 35 37 05/04/12 Arroya Tad Logan $750.00 05/08/12 4 05/17/12 9 06/05/12 19 06/06/12 1 33 38 05/15/12 Fort Concho Vista Ray Rangel $1,400.00 05/15/12 0 05/18/12 3 06/05/12 18 06/06/12 1 22
  • 545.
    39 05/18/12 Lasker Darrell/Marta Jones $950.00 05/21/12 3 -41050 06/19/12 41079 -41079 -41047 40 05/17/12 Probst & Page Garcia-Galindo $1,500.00 05/21/12 4 -41050 06/19/12 41079 -41079 -41046 41 05/25/12 Miles Palmer $2,500.00 05/25/12 0 -41054 06/19/12 41079 -41079 -41054 42 05/25/12 James Williams Brewer-Munoz $1,500.00 05/25/10 -731 -40323 06/19/12 41079 -41079 -41054 43 44 0 0 0 0 0 45 46 47 0 0 0 0 0 48 49 50 0 0 0 0 0 51 52 53 0 0 0 0 0 $81,475.00
  • 546.
    CLOSING TRUSTEE LOTS ACCEPTED OFFER 3/14/2013 SUIT # B-05-0274-T ACCOUNT # 16-31200-00012-003-00 WRITTEN OFFER BY DATE 3/13/2013 BY Alejos & Martha Ann Guerra MEMO ü PROPERTY ANALYSIS ü RESOLUTION AUTHORIZING SALE OF REAL PROPERTY ü RESOLUTION AUTHORIZING TAX RESALE COUNTY ü RESOLUTION AUTHORIZING TAX RESALE SCHOOL ü MAP ü VERIFICATION SENT 3/14/2013 TGCAD CITY REQUEST FOR LEGAL ASSISTANCE SENT 3/14/2013 RETURNED EMAIL AGENDA AGENDA 4/16/2013 RECEIVE SIGNED RESOLUTIONS & TAX-RESALE DEED COUNTY AGENDA SENT DATE DISTRICT AGENDA SENT DATE PAID Earnest DATE 3/13/2013 CK/MO# CC/Rcpt. #156716 AMT PD $ 350.00 Closing DATE CK/MO# AMT PD plus $30.00 filing fee RECORDED AT TOM GREEN COUNTY CLERK'S OFFICE REQUEST CHECKS TO DISTRIBUTE FUNDS MAIL LETTERS AND DISTRIBUTE FUNDS SEND LIEN ADJUSTMENT FORM (Mary/Blanca) David Alicia Cindy Mike Hall Ramirez Preas Smith REMOVE FROM CITY OWNED PROPERTY REMOVE FROM TAX FORECLOSURE LIST PLACE ON RECORD MANAGEMENT - TAX RESALE SOLD LIST MAIL ORIGINAL DEED TO NEW OWNER
  • 547.
    OBJECTIVE TRUSTEE CHECKLIST DATE SUBDIVISION NAME OFFER SENT TO DAYS RETURNED DAYS AGENDA DAYS SEND DAYS TOTAL RECEIVE LEGAL LEGAL TGC/SAISD DAYS 1 08/10/11 Miles David Garcia $1,300.00 08/11/11 1 08/22/11 11 09/06/11 15 09/13/11 7 34 2 09/09/11 Avondale C Mejia $2,327.00 09/13/11 4 09/19/11 6 10/04/11 15 10/05/11 1 26 3 09/09/11 Ruby Douglas F & M Saldivar $9,000.00 09/13/11 4 09/19/11 6 10/04/11 15 10/05/11 1 26 4 10/12/11 La Villita Heights Diana Trevino $3,000.00 10/13/11 1 10/20/11 7 11/01/11 12 N/A 12 5 10/27/11 J.B.Harrison Jessica Ramirez $3,000.00 10/27/11 0 11/04/11 8 11/15/11 11 11/16/11 1 20 6 10/31/11 Spencer #1 Jayson J. Jessop $2,924.00 10/31/11 0 11/04/11 4 11/15/11 11 N/A 11 7 11/16/11 Lasker Martha Green $2,500.00 11/16/11 0 11/22/11 6 12/06/11 14 N/A 14 8 12/01/11 Bradford Miguel Duran $1,700.00 12/05/11 4 12/09/11 4 12/20/11 11 01/03/12 14 33 9 12/01/11 Exall Miguel Duran $1,800.00 12/05/11 4 12/09/11 4 12/20/11 11 01/03/12 14 33 10 12/01/11 Exall Miguel Duran $3,000.00 12/05/11 4 12/09/11 4 12/20/11 11 01/03/12 14 33 11 12/01/11 Forest Park Miguel Duran $1,800.00 12/05/11 4 12/09/11 4 12/20/11 11 01/03/12 14 33 12 12/01/11 Forest Park Miguel Duran $1,900.00 12/05/11 4 12/09/11 4 12/20/11 11 01/03/12 14 33 13 12/01/11 Forest Park Miguel Duran $1,900.00 12/05/11 4 12/09/11 4 12/20/11 11 01/03/12 14 33 14 01/03/12 Bailey Mida/Pacetti $10,250.00 01/05/12 2 01/06/12 1 02/07/12 32 02/08/12 1 36 15 01/31/12 Fort Concho Christina Banda $1,206.00 01/31/12 0 02/07/12 7 02/21/12 14 02/22/12 1 22 16 01/31/12 Miles Aleyda Saucedo $2,404.00 01/31/12 0 02/07/12 7 02/21/12 14 N/A 14 17 01/31/12 Forest Park Robles/Pearcy $4,000.00 01/31/12 0 02/07/12 7 02/21/12 14 02/22/12 1 22 18 01/31/12 Goren Mackle Roberts $500.00 01/31/12 0 02/07/12 7 02/21/12 14 N/A 0 14 19 01/31/12 Mineola Mackle Roberts $1,100.00 01/31/12 0 02/07/12 7 02/21/12 14 02/22/12 1 22 20 02/22/12 Lasker Sergio/Cirila Ortiz $1,000.00 02/27/12 5 03/01/12 3 03/20/12 19 03/20/12 0 27 21 02/21/12 Mineola Annex Jonathan Pizano $1,000.00 02/27/12 6 03/06/12 8 03/20/12 14 03/20/12 0 28 22 02/22/12 Mineola Annex Vaness James $1,100.00 02/27/12 5 03/01/12 3 03/20/12 19 03/20/12 0 27 23 02/22/12 Mineola Annex Vaness James $1,100.00 02/27/12 5 03/01/12 3 03/20/12 19 03/20/12 0 27 24 02/22/12 Avondale Genivieve Bannert $1,000.00 02/27/12 5 03/01/12 3 03/20/12 19 03/20/12 0 27 25 02/28/12 Fort Concho Gustavo Cuellar $1,100.00 02/28/12 0 03/06/12 7 03/20/12 14 03/20/12 0 21 26 02/28/12 Mineola Annex Vivian Gist $1,100.00 02/28/12 0 03/06/12 7 03/20/12 14 03/20/12 0 21 27 02/29/12 Culwell Gustavo Martinez $1,000.00 02/29/12 0 03/06/12 6 03/20/12 14 03/20/12 0 20 28 02/24/12 Lake View Arthur Gonzalez $1,100.00 03/01/12 6 03/06/12 5 04/03/12 28 04/19/12 16 55 29 03/01/12 Lasker Julia Gonzalez $1,100.00 03/01/12 0 03/06/12 5 03/20/12 14 03/20/12 0 19 30 03/07/12 Hatcher Carlos Ryes $1,500.00 03/07/12 0 03/14/12 7 HOLD ####### HOLD #VALUE! #VALUE! 31 03/02/12 Miles Juan & Laura Murillo $1,000.00 03/02/12 0 03/08/12 6 04/17/12 40 03/20/12 -28 18 32 03/20/12 Miles Juan & Laura Murillo $2,500.00 03/21/12 1 04/17/12 27 04/17/12 0 04/19/12 2 30 33 03/30/12 Mineola Annex Vaness James $1,100.00 03/30/12 0 04/17/12 18 04/17/12 0 04/19/12 2 20 34 04/05/12 Goren Josephine Graciano $1,300.00 05/03/12 28 05/16/12 13 06/05/12 20 06/06/12 1 62 35 04/06/12 Ben Ficklin #2 Elizabeth Espinoza $1,300.00 05/03/12 27 05/16/12 13 06/05/12 20 06/06/12 1 61 36 05/02/12 Hatcher Esther Perales $3,388.00 05/03/12 1 05/17/12 14 06/05/12 19 06/06/12 1 35 37 05/04/12 Arroya Tad Logan $750.00 05/08/12 4 05/17/12 9 06/05/12 19 06/06/12 1 33 38 05/15/12 Fort Concho Vista Ray Rangel $1,400.00 05/15/12 0 05/18/12 3 06/05/12 18 06/06/12 1 22
  • 548.
    39 05/18/12 Lasker Darrell/Marta Jones $950.00 05/21/12 3 -41050 06/19/12 41079 -41079 -41047 40 05/17/12 Probst & Page Garcia-Galindo $1,500.00 05/21/12 4 -41050 06/19/12 41079 -41079 -41046 41 05/25/12 Miles Palmer $2,500.00 05/25/12 0 -41054 06/19/12 41079 -41079 -41054 42 05/25/12 James Williams Brewer-Munoz $1,500.00 05/25/10 -731 -40323 06/19/12 41079 -41079 -41054 43 44 0 0 0 0 0 45 46 47 0 0 0 0 0 48 49 50 0 0 0 0 0 51 52 53 0 0 0 0 0 $81,475.00
  • 549.
    CLOSING TRUSTEE LOTS ACCEPTED OFFER 3/14/2013 SUIT # B-06-0088-T ACCOUNT # 16-31200-0011-002-00 WRITTEN OFFER BY DATE 3/13/2013 BY Alejos & Martha Ann Guerra MEMO ü PROPERTY ANALYSIS ü RESOLUTION AUTHORIZING SALE OF REAL PROPERTY ü RESOLUTION AUTHORIZING TAX RESALE COUNTY ü RESOLUTION AUTHORIZING TAX RESALE SCHOOL ü MAP ü VERIFICATION SENT 3/14/2013 TGCAD CITY REQUEST FOR LEGAL ASSISTANCE SENT 3/14/2013 RETURNED EMAIL AGENDA AGENDA 4/16/2013 RECEIVE SIGNED RESOLUTIONS & TAX-RESALE DEED COUNTY AGENDA SENT DATE DISTRICT AGENDA SENT DATE PAID Earnest DATE 3/13/2013 CK/MO# CC/Rcpt. #156715 AMT PD $ 350.00 Closing DATE CK/MO# AMT PD plus $30.00 filing fee RECORDED AT TOM GREEN COUNTY CLERK'S OFFICE REQUEST CHECKS TO DISTRIBUTE FUNDS MAIL LETTERS AND DISTRIBUTE FUNDS SEND LIEN ADJUSTMENT FORM (Mary/Blanca) David Alicia Cindy Mike Hall Ramirez Preas Smith REMOVE FROM CITY OWNED PROPERTY REMOVE FROM TAX FORECLOSURE LIST PLACE ON RECORD MANAGEMENT - TAX RESALE SOLD LIST MAIL ORIGINAL DEED TO NEW OWNER
  • 550.
    OBJECTIVE TRUSTEE CHECKLIST DATE SUBDIVISION NAME OFFER SENT TO DAYS RETURNED DAYS AGENDA DAYS SEND DAYS TOTAL RECEIVE LEGAL LEGAL TGC/SAISD DAYS 1 08/10/11 Miles David Garcia $1,300.00 08/11/11 1 08/22/11 11 09/06/11 15 09/13/11 7 34 2 09/09/11 Avondale C Mejia $2,327.00 09/13/11 4 09/19/11 6 10/04/11 15 10/05/11 1 26 3 09/09/11 Ruby Douglas F & M Saldivar $9,000.00 09/13/11 4 09/19/11 6 10/04/11 15 10/05/11 1 26 4 10/12/11 La Villita Heights Diana Trevino $3,000.00 10/13/11 1 10/20/11 7 11/01/11 12 N/A 12 5 10/27/11 J.B.Harrison Jessica Ramirez $3,000.00 10/27/11 0 11/04/11 8 11/15/11 11 11/16/11 1 20 6 10/31/11 Spencer #1 Jayson J. Jessop $2,924.00 10/31/11 0 11/04/11 4 11/15/11 11 N/A 11 7 11/16/11 Lasker Martha Green $2,500.00 11/16/11 0 11/22/11 6 12/06/11 14 N/A 14 8 12/01/11 Bradford Miguel Duran $1,700.00 12/05/11 4 12/09/11 4 12/20/11 11 01/03/12 14 33 9 12/01/11 Exall Miguel Duran $1,800.00 12/05/11 4 12/09/11 4 12/20/11 11 01/03/12 14 33 10 12/01/11 Exall Miguel Duran $3,000.00 12/05/11 4 12/09/11 4 12/20/11 11 01/03/12 14 33 11 12/01/11 Forest Park Miguel Duran $1,800.00 12/05/11 4 12/09/11 4 12/20/11 11 01/03/12 14 33 12 12/01/11 Forest Park Miguel Duran $1,900.00 12/05/11 4 12/09/11 4 12/20/11 11 01/03/12 14 33 13 12/01/11 Forest Park Miguel Duran $1,900.00 12/05/11 4 12/09/11 4 12/20/11 11 01/03/12 14 33 14 01/03/12 Bailey Mida/Pacetti $10,250.00 01/05/12 2 01/06/12 1 02/07/12 32 02/08/12 1 36 15 01/31/12 Fort Concho Christina Banda $1,206.00 01/31/12 0 02/07/12 7 02/21/12 14 02/22/12 1 22 16 01/31/12 Miles Aleyda Saucedo $2,404.00 01/31/12 0 02/07/12 7 02/21/12 14 N/A 14 17 01/31/12 Forest Park Robles/Pearcy $4,000.00 01/31/12 0 02/07/12 7 02/21/12 14 02/22/12 1 22 18 01/31/12 Goren Mackle Roberts $500.00 01/31/12 0 02/07/12 7 02/21/12 14 N/A 0 14 19 01/31/12 Mineola Mackle Roberts $1,100.00 01/31/12 0 02/07/12 7 02/21/12 14 02/22/12 1 22 20 02/22/12 Lasker Sergio/Cirila Ortiz $1,000.00 02/27/12 5 03/01/12 3 03/20/12 19 03/20/12 0 27 21 02/21/12 Mineola Annex Jonathan Pizano $1,000.00 02/27/12 6 03/06/12 8 03/20/12 14 03/20/12 0 28 22 02/22/12 Mineola Annex Vaness James $1,100.00 02/27/12 5 03/01/12 3 03/20/12 19 03/20/12 0 27 23 02/22/12 Mineola Annex Vaness James $1,100.00 02/27/12 5 03/01/12 3 03/20/12 19 03/20/12 0 27 24 02/22/12 Avondale Genivieve Bannert $1,000.00 02/27/12 5 03/01/12 3 03/20/12 19 03/20/12 0 27 25 02/28/12 Fort Concho Gustavo Cuellar $1,100.00 02/28/12 0 03/06/12 7 03/20/12 14 03/20/12 0 21 26 02/28/12 Mineola Annex Vivian Gist $1,100.00 02/28/12 0 03/06/12 7 03/20/12 14 03/20/12 0 21 27 02/29/12 Culwell Gustavo Martinez $1,000.00 02/29/12 0 03/06/12 6 03/20/12 14 03/20/12 0 20 28 02/24/12 Lake View Arthur Gonzalez $1,100.00 03/01/12 6 03/06/12 5 04/03/12 28 04/19/12 16 55 29 03/01/12 Lasker Julia Gonzalez $1,100.00 03/01/12 0 03/06/12 5 03/20/12 14 03/20/12 0 19 30 03/07/12 Hatcher Carlos Ryes $1,500.00 03/07/12 0 03/14/12 7 HOLD ####### HOLD #VALUE! #VALUE! 31 03/02/12 Miles Juan & Laura Murillo $1,000.00 03/02/12 0 03/08/12 6 04/17/12 40 03/20/12 -28 18 32 03/20/12 Miles Juan & Laura Murillo $2,500.00 03/21/12 1 04/17/12 27 04/17/12 0 04/19/12 2 30 33 03/30/12 Mineola Annex Vaness James $1,100.00 03/30/12 0 04/17/12 18 04/17/12 0 04/19/12 2 20 34 04/05/12 Goren Josephine Graciano $1,300.00 05/03/12 28 05/16/12 13 06/05/12 20 06/06/12 1 62 35 04/06/12 Ben Ficklin #2 Elizabeth Espinoza $1,300.00 05/03/12 27 05/16/12 13 06/05/12 20 06/06/12 1 61 36 05/02/12 Hatcher Esther Perales $3,388.00 05/03/12 1 05/17/12 14 06/05/12 19 06/06/12 1 35 37 05/04/12 Arroya Tad Logan $750.00 05/08/12 4 05/17/12 9 06/05/12 19 06/06/12 1 33 38 05/15/12 Fort Concho Vista Ray Rangel $1,400.00 05/15/12 0 05/18/12 3 06/05/12 18 06/06/12 1 22
  • 551.
    39 05/18/12 Lasker Darrell/Marta Jones $950.00 05/21/12 3 -41050 06/19/12 41079 -41079 -41047 40 05/17/12 Probst & Page Garcia-Galindo $1,500.00 05/21/12 4 -41050 06/19/12 41079 -41079 -41046 41 05/25/12 Miles Palmer $2,500.00 05/25/12 0 -41054 06/19/12 41079 -41079 -41054 42 05/25/12 James Williams Brewer-Munoz $1,500.00 05/25/10 -731 -40323 06/19/12 41079 -41079 -41054 43 44 0 0 0 0 0 45 46 47 0 0 0 0 0 48 49 50 0 0 0 0 0 51 52 53 0 0 0 0 0 $81,475.00
  • 552.
    CLOSING TRUSTEE LOTS ACCEPTED OFFER 3/27/2013 SUIT # B-07-0200-T ACCOUNT # 05-17700-0005-012-00 WRITTEN OFFER BY DATE 3/27/2013 BY John Pearcy MEMO ü PROPERTY ANALYSIS ü RESOLUTION AUTHORIZING SALE OF REAL PROPERTY ü RESOLUTION AUTHORIZING TAX RESALE COUNTY ü RESOLUTION AUTHORIZING TAX RESALE SCHOOL ü MAP ü VERIFICATION SENT 3/27/2013 TGCAD CITY REQUEST FOR LEGAL ASSISTANCE SENT 3/27/2013 RETURNED EMAIL AGENDA AGENDA 4/16/2013 RECEIVE SIGNED RESOLUTIONS & TAX-RESALE DEED COUNTY AGENDA SENT DATE DISTRICT AGENDA SENT DATE PAID Earnest DATE CK/MO# AMT PD $ 350.00 Closing DATE CK/MO# AMT PD plus $30.00 filing fee RECORDED AT TOM GREEN COUNTY CLERK'S OFFICE REQUEST CHECKS TO DISTRIBUTE FUNDS MAIL LETTERS AND DISTRIBUTE FUNDS SEND LIEN ADJUSTMENT FORM (Mary/Blanca) David Alicia Cindy Mike Mike Hall Ramirez Preas Smith Dane REMOVE FROM CITY OWNED PROPERTY REMOVE FROM TAX FORECLOSURE LIST PLACE ON RECORD MANAGEMENT - TAX RESALE SOLD LIST MAIL ORIGINAL DEED TO NEW OWNER
  • 553.
    OBJECTIVE TRUSTEE CHECKLIST DATE SUBDIVISION NAME OFFER SENT TO DAYS RETURNED DAYS AGENDA DAYS SEND DAYS TOTAL RECEIVE LEGAL LEGAL TGC/SAISD DAYS 1 08/10/11 Miles David Garcia $1,300.00 08/11/11 1 08/22/11 11 09/06/11 15 09/13/11 7 34 2 09/09/11 Avondale C Mejia $2,327.00 09/13/11 4 09/19/11 6 10/04/11 15 10/05/11 1 26 3 09/09/11 Ruby Douglas F & M Saldivar $9,000.00 09/13/11 4 09/19/11 6 10/04/11 15 10/05/11 1 26 4 10/12/11 La Villita Heights Diana Trevino $3,000.00 10/13/11 1 10/20/11 7 11/01/11 12 N/A 12 5 10/27/11 J.B.Harrison Jessica Ramirez $3,000.00 10/27/11 0 11/04/11 8 11/15/11 11 11/16/11 1 20 6 10/31/11 Spencer #1 Jayson J. Jessop $2,924.00 10/31/11 0 11/04/11 4 11/15/11 11 N/A 11 7 11/16/11 Lasker Martha Green $2,500.00 11/16/11 0 11/22/11 6 12/06/11 14 N/A 14 8 12/01/11 Bradford Miguel Duran $1,700.00 12/05/11 4 12/09/11 4 12/20/11 11 01/03/12 14 33 9 12/01/11 Exall Miguel Duran $1,800.00 12/05/11 4 12/09/11 4 12/20/11 11 01/03/12 14 33 10 12/01/11 Exall Miguel Duran $3,000.00 12/05/11 4 12/09/11 4 12/20/11 11 01/03/12 14 33 11 12/01/11 Forest Park Miguel Duran $1,800.00 12/05/11 4 12/09/11 4 12/20/11 11 01/03/12 14 33 12 12/01/11 Forest Park Miguel Duran $1,900.00 12/05/11 4 12/09/11 4 12/20/11 11 01/03/12 14 33 13 12/01/11 Forest Park Miguel Duran $1,900.00 12/05/11 4 12/09/11 4 12/20/11 11 01/03/12 14 33 14 01/03/12 Bailey Mida/Pacetti $10,250.00 01/05/12 2 01/06/12 1 02/07/12 32 02/08/12 1 36 15 01/31/12 Fort Concho Christina Banda $1,206.00 01/31/12 0 02/07/12 7 02/21/12 14 02/22/12 1 22 16 01/31/12 Miles Aleyda Saucedo $2,404.00 01/31/12 0 02/07/12 7 02/21/12 14 N/A 14 17 01/31/12 Forest Park Robles/Pearcy $4,000.00 01/31/12 0 02/07/12 7 02/21/12 14 02/22/12 1 22 18 01/31/12 Goren Mackle Roberts $500.00 01/31/12 0 02/07/12 7 02/21/12 14 N/A 0 14 19 01/31/12 Mineola Mackle Roberts $1,100.00 01/31/12 0 02/07/12 7 02/21/12 14 02/22/12 1 22 20 02/22/12 Lasker Sergio/Cirila Ortiz $1,000.00 02/27/12 5 03/01/12 3 03/20/12 19 03/20/12 0 27 21 02/21/12 Mineola Annex Jonathan Pizano $1,000.00 02/27/12 6 03/06/12 8 03/20/12 14 03/20/12 0 28 22 02/22/12 Mineola Annex Vaness James $1,100.00 02/27/12 5 03/01/12 3 03/20/12 19 03/20/12 0 27 23 02/22/12 Mineola Annex Vaness James $1,100.00 02/27/12 5 03/01/12 3 03/20/12 19 03/20/12 0 27 24 02/22/12 Avondale Genivieve Bannert $1,000.00 02/27/12 5 03/01/12 3 03/20/12 19 03/20/12 0 27 25 02/28/12 Fort Concho Gustavo Cuellar $1,100.00 02/28/12 0 03/06/12 7 03/20/12 14 03/20/12 0 21 26 02/28/12 Mineola Annex Vivian Gist $1,100.00 02/28/12 0 03/06/12 7 03/20/12 14 03/20/12 0 21 27 02/29/12 Culwell Gustavo Martinez $1,000.00 02/29/12 0 03/06/12 6 03/20/12 14 03/20/12 0 20 28 02/24/12 Lake View Arthur Gonzalez $1,100.00 03/01/12 6 03/06/12 5 04/03/12 28 04/19/12 16 55 29 03/01/12 Lasker Julia Gonzalez $1,100.00 03/01/12 0 03/06/12 5 03/20/12 14 03/20/12 0 19 30 03/07/12 Hatcher Carlos Ryes $1,500.00 03/07/12 0 03/14/12 7 HOLD ####### HOLD #VALUE! #VALUE! 31 03/02/12 Miles Juan & Laura Murillo $1,000.00 03/02/12 0 03/08/12 6 04/17/12 40 03/20/12 -28 18 32 03/20/12 Miles Juan & Laura Murillo $2,500.00 03/21/12 1 04/17/12 27 04/17/12 0 04/19/12 2 30 33 03/30/12 Mineola Annex Vaness James $1,100.00 03/30/12 0 04/17/12 18 04/17/12 0 04/19/12 2 20 34 04/05/12 Goren Josephine Graciano $1,300.00 05/03/12 28 05/16/12 13 06/05/12 20 06/06/12 1 62 35 04/06/12 Ben Ficklin #2 Elizabeth Espinoza $1,300.00 05/03/12 27 05/16/12 13 06/05/12 20 06/06/12 1 61 36 05/02/12 Hatcher Esther Perales $3,388.00 05/03/12 1 05/17/12 14 06/05/12 19 06/06/12 1 35 37 05/04/12 Arroya Tad Logan $750.00 05/08/12 4 05/17/12 9 06/05/12 19 06/06/12 1 33 38 05/15/12 Fort Concho Vista Ray Rangel $1,400.00 05/15/12 0 05/18/12 3 06/05/12 18 06/06/12 1 22
  • 554.
    39 05/18/12 Lasker Darrell/Marta Jones $950.00 05/21/12 3 -41050 06/19/12 41079 -41079 -41047 40 05/17/12 Probst & Page Garcia-Galindo $1,500.00 05/21/12 4 -41050 06/19/12 41079 -41079 -41046 41 05/25/12 Miles Palmer $2,500.00 05/25/12 0 -41054 06/19/12 41079 -41079 -41054 42 05/25/12 James Williams Brewer-Munoz $1,500.00 05/25/10 -731 -40323 06/19/12 41079 -41079 -41054 43 44 0 0 0 0 0 45 46 47 0 0 0 0 0 48 49 50 0 0 0 0 0 51 52 53 0 0 0 0 0 $81,475.00
  • 555.
    CLOSING TRUSTEE LOTS ACCEPTED OFFER 4/1/2013 SUIT # TAX89-0032B ACCOUNT # 20-34900-0005-009-00 WRITTEN OFFER BY DATE 4/1/2013 BY Mackle & Jacqueline Roberts MEMO ü PROPERTY ANALYSIS ü RESOLUTION AUTHORIZING SALE OF REAL PROPERTY ü RESOLUTION AUTHORIZING TAX RESALE COUNTY ü RESOLUTION AUTHORIZING TAX RESALE SCHOOL ü MAP ü VERIFICATION SENT 4/1/2013 TGCAD CITY REQUEST FOR LEGAL ASSISTANCE SENT 4/1/2013 RETURNED EMAIL AGENDA AGENDA 4/19/2013 RECEIVE SIGNED RESOLUTIONS & TAX-RESALE DEED COUNTY AGENDA SENT DATE DISTRICT AGENDA SENT DATE PAID Earnest DATE 4/1/2013 CK/MO# CC/Rcpt. #156727 AMT PD $ 350.00 Closing DATE CK/MO# AMT PD plus $30.00 filing fee RECORDED AT TOM GREEN COUNTY CLERK'S OFFICE REQUEST CHECKS TO DISTRIBUTE FUNDS MAIL LETTERS AND DISTRIBUTE FUNDS SEND LIEN ADJUSTMENT FORM (Mary/Blanca) David Alicia Cindy Mike Mike Hall Ramirez Preas Smith Dane REMOVE FROM CITY OWNED PROPERTY REMOVE FROM TAX FORECLOSURE LIST PLACE ON RECORD MANAGEMENT - TAX RESALE SOLD LIST MAIL ORIGINAL DEED TO NEW OWNER
  • 556.
    OBJECTIVE TRUSTEE CHECKLIST DATE SUBDIVISION NAME OFFER SENT TO DAYS RETURNED DAYS AGENDA DAYS SEND DAYS TOTAL RECEIVE LEGAL LEGAL TGC/SAISD DAYS 1 08/10/11 Miles David Garcia $1,300.00 08/11/11 1 08/22/11 11 09/06/11 15 09/13/11 7 34 2 09/09/11 Avondale C Mejia $2,327.00 09/13/11 4 09/19/11 6 10/04/11 15 10/05/11 1 26 3 09/09/11 Ruby Douglas F & M Saldivar $9,000.00 09/13/11 4 09/19/11 6 10/04/11 15 10/05/11 1 26 4 10/12/11 La Villita Heights Diana Trevino $3,000.00 10/13/11 1 10/20/11 7 11/01/11 12 N/A 12 5 10/27/11 J.B.Harrison Jessica Ramirez $3,000.00 10/27/11 0 11/04/11 8 11/15/11 11 11/16/11 1 20 6 10/31/11 Spencer #1 Jayson J. Jessop $2,924.00 10/31/11 0 11/04/11 4 11/15/11 11 N/A 11 7 11/16/11 Lasker Martha Green $2,500.00 11/16/11 0 11/22/11 6 12/06/11 14 N/A 14 8 12/01/11 Bradford Miguel Duran $1,700.00 12/05/11 4 12/09/11 4 12/20/11 11 01/03/12 14 33 9 12/01/11 Exall Miguel Duran $1,800.00 12/05/11 4 12/09/11 4 12/20/11 11 01/03/12 14 33 10 12/01/11 Exall Miguel Duran $3,000.00 12/05/11 4 12/09/11 4 12/20/11 11 01/03/12 14 33 11 12/01/11 Forest Park Miguel Duran $1,800.00 12/05/11 4 12/09/11 4 12/20/11 11 01/03/12 14 33 12 12/01/11 Forest Park Miguel Duran $1,900.00 12/05/11 4 12/09/11 4 12/20/11 11 01/03/12 14 33 13 12/01/11 Forest Park Miguel Duran $1,900.00 12/05/11 4 12/09/11 4 12/20/11 11 01/03/12 14 33 14 01/03/12 Bailey Mida/Pacetti $10,250.00 01/05/12 2 01/06/12 1 02/07/12 32 02/08/12 1 36 15 01/31/12 Fort Concho Christina Banda $1,206.00 01/31/12 0 02/07/12 7 02/21/12 14 02/22/12 1 22 16 01/31/12 Miles Aleyda Saucedo $2,404.00 01/31/12 0 02/07/12 7 02/21/12 14 N/A 14 17 01/31/12 Forest Park Robles/Pearcy $4,000.00 01/31/12 0 02/07/12 7 02/21/12 14 02/22/12 1 22 18 01/31/12 Goren Mackle Roberts $500.00 01/31/12 0 02/07/12 7 02/21/12 14 N/A 0 14 19 01/31/12 Mineola Mackle Roberts $1,100.00 01/31/12 0 02/07/12 7 02/21/12 14 02/22/12 1 22 20 02/22/12 Lasker Sergio/Cirila Ortiz $1,000.00 02/27/12 5 03/01/12 3 03/20/12 19 03/20/12 0 27 21 02/21/12 Mineola Annex Jonathan Pizano $1,000.00 02/27/12 6 03/06/12 8 03/20/12 14 03/20/12 0 28 22 02/22/12 Mineola Annex Vaness James $1,100.00 02/27/12 5 03/01/12 3 03/20/12 19 03/20/12 0 27 23 02/22/12 Mineola Annex Vaness James $1,100.00 02/27/12 5 03/01/12 3 03/20/12 19 03/20/12 0 27 24 02/22/12 Avondale Genivieve Bannert $1,000.00 02/27/12 5 03/01/12 3 03/20/12 19 03/20/12 0 27 25 02/28/12 Fort Concho Gustavo Cuellar $1,100.00 02/28/12 0 03/06/12 7 03/20/12 14 03/20/12 0 21 26 02/28/12 Mineola Annex Vivian Gist $1,100.00 02/28/12 0 03/06/12 7 03/20/12 14 03/20/12 0 21 27 02/29/12 Culwell Gustavo Martinez $1,000.00 02/29/12 0 03/06/12 6 03/20/12 14 03/20/12 0 20 28 02/24/12 Lake View Arthur Gonzalez $1,100.00 03/01/12 6 03/06/12 5 04/03/12 28 04/19/12 16 55 29 03/01/12 Lasker Julia Gonzalez $1,100.00 03/01/12 0 03/06/12 5 03/20/12 14 03/20/12 0 19 30 03/07/12 Hatcher Carlos Ryes $1,500.00 03/07/12 0 03/14/12 7 HOLD ####### HOLD #VALUE! #VALUE! 31 03/02/12 Miles Juan & Laura Murillo $1,000.00 03/02/12 0 03/08/12 6 04/17/12 40 03/20/12 -28 18 32 03/20/12 Miles Juan & Laura Murillo $2,500.00 03/21/12 1 04/17/12 27 04/17/12 0 04/19/12 2 30 33 03/30/12 Mineola Annex Vaness James $1,100.00 03/30/12 0 04/17/12 18 04/17/12 0 04/19/12 2 20 34 04/05/12 Goren Josephine Graciano $1,300.00 05/03/12 28 05/16/12 13 06/05/12 20 06/06/12 1 62 35 04/06/12 Ben Ficklin #2 Elizabeth Espinoza $1,300.00 05/03/12 27 05/16/12 13 06/05/12 20 06/06/12 1 61 36 05/02/12 Hatcher Esther Perales $3,388.00 05/03/12 1 05/17/12 14 06/05/12 19 06/06/12 1 35 37 05/04/12 Arroya Tad Logan $750.00 05/08/12 4 05/17/12 9 06/05/12 19 06/06/12 1 33 38 05/15/12 Fort Concho Vista Ray Rangel $1,400.00 05/15/12 0 05/18/12 3 06/05/12 18 06/06/12 1 22
  • 557.
    39 05/18/12 Lasker Darrell/Marta Jones $950.00 05/21/12 3 -41050 06/19/12 41079 -41079 -41047 40 05/17/12 Probst & Page Garcia-Galindo $1,500.00 05/21/12 4 -41050 06/19/12 41079 -41079 -41046 41 05/25/12 Miles Palmer $2,500.00 05/25/12 0 -41054 06/19/12 41079 -41079 -41054 42 05/25/12 James Williams Brewer-Munoz $1,500.00 05/25/10 -731 -40323 06/19/12 41079 -41079 -41054 43 44 0 0 0 0 0 45 46 47 0 0 0 0 0 48 49 50 0 0 0 0 0 51 52 53 0 0 0 0 0 $81,475.00
  • 558.
    PARTIAL RELEASE OFLIEN Holder of Lien: City of San Angelo, Tom Green County, Texas, a Texas home-rule municipal corporation Holder’s Mailing Address (including county): c/o City Attorney 72 W College Avenue San Angelo, Tom Green County, TX 76903 Owner of Property at Time Liens were Filed: C.W. Turner dec’d, a/k/a W.C. Turner Liens are Described in the Following Documents: 1. That one certain Lien recorded in Instrument Number 608245, of the Official Public Records of Real Property, Tom Green County, Texas. 2. That one certain Lien recorded in Instrument Number 678661, of the Official Public Records of Real Property, Tom Green County, Texas. Property (including any improvements) to be Released from Lien: Being Lot 12, Block 5E, Chapman Subdivision, City of San Angelo, Tom Green County, Texas. Holder of the lien acknowledges partial payment or other satisfaction of indebtedness secured thereby and releases from the lien only the property described above. When the context requires, singular nouns and pronouns include the plural. EXECUTED on the _______ day of _____________________, 2013. CITY OF SAN ANGELO a Texas home-rule municipal corporation BY: Michael Dane, Assistant City Manager STATE OF TEXAS § COUNTY OF TOM GREEN § This instrument was acknowledged before me on the ______ day of _________________, 2013, by Michael Dane, as Assistant City Manager of the City of San Angelo, a Texas home-rule municipal corporation, on behalf of said corporation. Notary Public, State of Texas
  • 565.
    WRITTEN OFFER March 27,2013 Mayor Alvin New c/o Real Estate Division City Attorney’s Office 72 W College Avenue San Angelo, TX 76903 RE: B-07-0200-T I, John S. Pearcy, a single person, submit a written offer in the amount of $2,500.00 for the property described as follows: Lots 12, Block 5 “E”, Chapman’s Subdivision of Blocks 4 and 5, Freeland’s Addition, City of San Angelo, Tom Green County, Texas, as described in Volume 182, Page 208, Deed Records of Tom Green County, Texas. Account #05-17700-0005-012-00 I understand there is an additional $30.00 filing fee. I understand I must provide a Certified or Cashier’s Check in the sum of $350.00. I also understand that this earnest money shall be made payable without condition to the City of San Angelo, Texas and is non-refundable once the offer has been accepted by the Property Manager. Monies furnished as “earnest money” will be credited towards the sales price. I understand I can not owe any delinquent taxes or fees to any of the taxing entities (City of San Angelo, Tom Green County, and San Angelo Independent School District). I understand that I have sixty (60) days from the date of purchase to notify the City Property Manager of any City Liens; if I do not, I understand that I will be monetarily responsible for all unpaid Liens. If approved by the City Council, please make deed in the name(s) of: John S. Pearcy 2726 Alta Vista San Angelo, TX 76904 325-942-9939 or 432-528-3754 Sincerely, John S. Pearcy
  • 566.
    WRITTEN OFFER April 1,2013 Mayor Alvin New c/o Real Estate Division City Attorney’s Office 72 W College Avenue San Angelo, TX 76903 RE: TAX90-0082B I, Salvador Deanda, a single person, submit a written offer in the amount of $750.00 for the property described as follows: The North ½ of Lot 7, Block 3, Akin Addition, City of San Angelo, as described in Volume 478, Page 95, Deed Records of Tom Green County, Texas. Account #01-10100-003-009-00 I understand there is an additional $30.00 filing fee. I understand I must provide a Certified or Cashier’s Check in the sum of $350.00. I also understand that this earnest money shall be made payable without condition to the City of San Angelo, Texas and is non-refundable once the offer has been accepted by the Property Manager. Monies furnished as “earnest money” will be credited towards the sales price. I understand I can not owe any delinquent taxes or fees to any of the taxing entities (City of San Angelo, Tom Green County, and San Angelo Independent School District). I understand that I have sixty (60) days from the date of purchase to notify the City Property Manager of any City Liens; if I do not, I understand that I will be monetarily responsible for all unpaid Liens. If approved by the City Council, please make deed in the name(s) of: Salvador Deanda 503 S Washington San Angelo, TX 76901 325-650-4341 or 325-658-3043 Sincerely, Salvador Deanda
  • 567.
    WRITTEN OFFER April 1,2013 Mayor Alvin New c/o Real Estate Division City Attorney’s Office 72 W College Avenue San Angelo, TX 76903 RE: TAX89-0364B I, Salvador Deanda, a single person, submit a written offer in the amount of $750.00 for the property described as follows: The South 80 feet of the East 12 2/3 Feet of Lot 8, the South 80 Feet of Lot 7, and the South 80 Feet of the West 1 5/6 Feet of Lot 6, Block 3, Akin’s Addition, City of San Angelo, as described in Volume 234, Page 485, Deed Records of Tom Green County, Texas. Account #01-10100-0003-008-00 I understand there is an additional $30.00 filing fee. I understand I must provide a Certified or Cashier’s Check in the sum of $350.00. I also understand that this earnest money shall be made payable without condition to the City of San Angelo, Texas and is non-refundable once the offer has been accepted by the Property Manager. Monies furnished as “earnest money” will be credited towards the sales price. I understand I can not owe any delinquent taxes or fees to any of the taxing entities (City of San Angelo, Tom Green County, and San Angelo Independent School District). I understand that I have sixty (60) days from the date of purchase to notify the City Property Manager of any City Liens; if I do not, I understand that I will be monetarily responsible for all unpaid Liens. If approved by the City Council, please make deed in the name(s) of: Salvador Deanda 503 S Washington San Angelo, TX 76901 325-650-4341 or 325-658-3043 Sincerely, Salvador Deanda
  • 568.
    WRITTEN OFFER March 27,2013 Mayor Alvin New c/o Real Estate Division City Attorney’s Office 72 W College Avenue San Angelo, TX 76903 RE: B-09-0050-T I, John S. Pearcy, a single person, submit a written offer in the amount of $2,500.00 for the property described as follows: Lot 30, Block 2B, George Allen Addition, City of San Angelo, being more particularly described in Volume 1131, Page 119, Official Public Records of Tom Green County, Texas. Account #01-10500-0002-027-00 I understand there is an additional $30.00 filing fee. I understand I must provide a Certified or Cashier’s Check in the sum of $350.00. I also understand that this earnest money shall be made payable without condition to the City of San Angelo, Texas and is non-refundable once the offer has been accepted by the Property Manager. Monies furnished as “earnest money” will be credited towards the sales price. I understand I can not owe any delinquent taxes or fees to any of the taxing entities (City of San Angelo, Tom Green County, and San Angelo Independent School District). I understand that I have sixty (60) days from the date of purchase to notify the City Property Manager of any City Liens; if I do not, I understand that I will be monetarily responsible for all unpaid Liens. If approved by the City Council, please make deed in the name(s) of: John S. Pearcy 2726 Alta Vista San Angelo, TX 76904 325-942-9939 or 432-528-3754 Sincerely, John S. Pearcy
  • 569.
    WRITTEN OFFER April 2,2013 Mayor Alvin New c/o Real Estate Division City Attorney’s Office 72 W College Avenue San Angelo, TX 76903 RE: TAX89-0217B I, Marlow Lewis, a single person, and Carletta McKinney, a single person, submit a written offer in the amount of $750.00 for the property described as follows: The South 50 feet of the North 447.7 feet of Block 8 of the E.S. Kirby Subdivision, City of San Angelo, as described in Volume 687, Page 547, Deed Records of Tom Green County, Texas. Account #15-30200-0008-019-00 I understand there is an additional $30.00 filing fee. I understand I must provide a Certified or Cashier’s Check in the sum of $350.00. I also understand that this earnest money shall be made payable without condition to the City of San Angelo, Texas and is non-refundable once the offer has been accepted by the Property Manager. Monies furnished as “earnest money” will be credited towards the sales price. I understand I can not owe any delinquent taxes or fees to any of the taxing entities (City of San Angelo, Tom Green County, and San Angelo Independent School District). I understand that I have sixty (60) days from the date of purchase to notify the City Property Manager of any City Liens; if I do not, I understand that I will be monetarily responsible for all unpaid Liens. If approved by the City Council, please make deed in the name(s) of: Marlow Lewis & Carletta McKinney P.O. Box 720557 Houston, TX 77272 325-281-961-4371 or 432-271-6304 Sincerely, Marlow Lewis Carletta McKinney
  • 570.
    WRITTEN OFFER April 2,2013 Mayor Alvin New c/o Real Estate Division City Attorney’s Office 72 W College Avenue San Angelo, TX 76903 RE: B-95-0055-T I, Marlow Lewis, a single person, and Carletta McKinney, a single person, submit a written offer in the amount of $750.00 for the property described as follows: Lot 3, Block 31, Miles Addition, as described in Volume 186, Page 339, Deed Records of Tom Green County, Texas. Account #18-34200-0031-003-00 I understand there is an additional $30.00 filing fee. I understand I must provide a Certified or Cashier’s Check in the sum of $350.00. I also understand that this earnest money shall be made payable without condition to the City of San Angelo, Texas and is non-refundable once the offer has been accepted by the Property Manager. Monies furnished as “earnest money” will be credited towards the sales price. I understand I can not owe any delinquent taxes or fees to any of the taxing entities (City of San Angelo, Tom Green County, and San Angelo Independent School District). I understand that I have sixty (60) days from the date of purchase to notify the City Property Manager of any City Liens; if I do not, I understand that I will be monetarily responsible for all unpaid Liens. If approved by the City Council, please make deed in the name(s) of: Marlow Lewis & Carletta McKinney P.O. Box 720557 Houston, TX 77272 325-281-961-4371 or 432-271-6304 Sincerely, Marlow Lewis Carletta McKinney
  • 571.
    WRITTEN OFFER March 27,2013 Mayor Alvin New c/o Real Estate Division City Attorney’s Office 72 W College Avenue San Angelo, TX 76903 RE: B-09-0050-T I, John S. Pearcy, a single person, submit a written offer in the amount of $2,500.00 for the property described as follows: Lot 3, Block 93, Dallas Subdivision of Miles Addition No. 2, known as Angelo Heights Addition, an addition to the City of San Angelo, Tom Green County, Texas, according to the map or plat thereof, recorded in Volume 54, Page 168, Deed Records of Tom Green County, Texas. Account #01-11000-0093-003-00 I understand there is an additional $30.00 filing fee. I understand I must provide a Certified or Cashier’s Check in the sum of $350.00. I also understand that this earnest money shall be made payable without condition to the City of San Angelo, Texas and is non- refundable once the offer has been accepted by the Property Manager. Monies furnished as “earnest money” will be credited towards the sales price. I understand I can not owe any delinquent taxes or fees to any of the taxing entities (City of San Angelo, Tom Green County, and San Angelo Independent School District). I understand that I have sixty (60) days from the date of purchase to notify the City Property Manager of any City Liens; if I do not, I understand that I will be monetarily responsible for all unpaid Liens. If approved by the City Council, please make deed in the name(s) of: John S. Pearcy 2726 Alta Vista San Angelo, TX 76904 325-942-9939 or 432-528-3754 Sincerely, John S. Pearcy
  • 572.
    City of SanAngelo Memo Date: April 4, 2013 To: Mayor and Councilmembers From: Ricky Dickson, Water Utilities Director Subject: Consent Item for April 16, 2013 Council Meeting Contact: Ricky Dickson, Water Utilities Director, 657-4209 Caption: Consideration of approving a Recreational or Agricultural Lease agreement with MK-Allan Enterprises, Inc., a Texas corporation for 9.77 acres of land located adjacent to the Concho River and authorizing the City Manager or Water Utilities Director to execute the same. Summary: Allan Temperton, President of MK-Allan Enterprises, Inc,. is owner of the adjacent property and desires to enter into a new Recreational or Agricultural Lease agreement . History: This property has not been leased by previous adjacent property owners. Financial Impact: Lease fee will be $569.00 per year as computed on Exhibit B (attached). Related Vision Item (if applicable): None. Other Information/Recommendation: It is recommended that the lease be approved and the Water Utilities Director be authorized to execute the lease. Staff recommends approval. Attachments: Lease Agreement; Exhibit B Presentation: None. Publication: None. Reviewed by Service Area Director: Ricky Dickson, Water Utilities Director, April 4, 2013
  • 573.
    EXHIBIT “B” LEASE FEE: 9.77 acres X $12.00 per acre = $117.00 Recreational Fee = $200.00 RIVER FRONTAGE FEE 1,009 feet X $0.25 per foot = $252.00 Total Annual Fee = $569.00
  • 574.
    THE STATE OFTEXAS } RECREATIONAL OR COUNTY OF TOM GREEN } AGRICULTURAL LEASE WHEREAS, the City of San Angelo owns property near or adjacent to Lake Nasworthy and the South Concho River; and WHEREAS, this land has been designated as future park property by the Master Park Plan of the City; and WHEREAS, pending development of said lands, the City Council has decided to lease certain lands near or adjacent to the Lake or River, and any such lease to be no longer than five (5) years and to be cancelable within sixty (60) days after receipt of written notice of such cancellation by the City when it decides to use said land for public purposes. NOW, THEREFORE: The City of San Angelo, Texas, a Municipal Corporation, duly organized and incorporated under the constitution and laws of the State of Texas, hereinafter known as Lessor, acting by and through its duly authorized Director of Water Utilities, Ricky Dickson, and MK-Allan Enterprises, Inc. (Allan Temperton, President), hereinafter known as Lessee, hereby enter into a lease agreement and contract as follows: 1. Lessor hereby leases to Lessee approximately 9.77 acres of land, as shown in Exhibit "A" attached hereto. This lease is granted for a period of five (5) years beginning May 1, 2013 and ending April 30, 2018, in consideration of the initial payment of the $644.00 which includes the $75.00 granting fee and the 2013 annual lease fee of $569.00, receipt of which payment is hereby acknowledged, and the further consideration of Lessee's payment of future annual rent in accordance with subsequent paragraphs hereof and Lessee's compliance with the stipulations and conditions hereinafter set forth. Lessee shall pay annual rent to Lessor at the San Angelo Water Utilities Department, 72 W. College, San Angelo, Texas, 76903, or at such other place as Lessor may from time to time designate by written notice to Lessee. Such rent shall be paid annually on or before May 1 during the term of this lease. Lessee is to pay Lessor the sum of $569.00 per year as computed on Exhibit "B" attached hereto. Lessor shall have the right to make a rate adjustment three (3) years from the execution date of this lease and upon any renewal of this lease. 1
  • 575.
    Lessee shall payto Lessor a late charge and/or interest for any rent received by Lessor after the date that the rent is due in accordance with established ordinances, provided however, that this provision for late charges or interest shall not be construed as a waiver of the right of Lessor to terminate this lease at its option as authorized herein. Any holding over by Lessee of the herein leased premises after the expiration of this lease shall operate and be construed only as a tenancy from month to month, terminable at the will of Lessor. 2. Lessee shall look after and care for all pecan trees on said land to see that they are not damaged except from acts of God. Pecans produced from said land shall be the property of the Lessee. Lessee shall not remove any trees from the leased property without first obtaining permission from the Director of Water Utilities. Lessee may not remove any trees for purposes of sale. 3. Lessee is to maintain all fences and other improvements now on said property in as good repair as when received by lessee, at lessee’s own expense, subject to reasonable use, ordinary wear and tear, acts of God and public enemies only excepted. Lessee agrees to not over stock the property with livestock such that the land would become overgrazed. Should in the opinion of the Lessor after investigation, it be determined that the property is or has been overgrazed; Lessee shall immediately reduce stocking rates to levels acceptable to Lessor such that the grasses and vegetation may have an opportunity to achieve reasonable regrowth. Lessee may place temporary improvements on the land but such improvements shall be for purposes of recreation only. Improvements shall not contain any walls or be more than 10 feet in height. Improvements for other purposes are prohibited. Nothing shall be constructed, placed, or planted on the leased premises (including, but not limited to the addition or movement of soil, the planting of shrubs, or the construction of fences) which will in any way obstruct the natural flow of drainage or of rising water. Nothing containing plumbing of any type may be placed on the premises. A permit shall be obtained prior to placement of any improvement on the property and the improvements shall be constructed in accordance with all applicable codes, laws, rules or regulations. 2
  • 576.
    Improvements placed onsaid property with the approval of Lessor may be removed by Lessee, at his own expense, provided he removes same within thirty (30) days from the termination of this lease and does not damage the leased property thereby. Lessee further agrees to deliver the leased property back to Lessor in as good condition as it was at the time he took possession of said property. 4. Lessee agrees not to assign this Lease or sublet same in whole or in part without written permission from Lessor, or its agents, in the event of which such permission is not first obtained, this Lease shall be forfeited at the option of the Lessor or its agents. This lease is granted to Lessee under the assumption that Lessee is the owner or leaseholder of the private property adjacent to this lease. Should Lessee ever cease to be the adjacent owner or leasehold of the private property adjacent to this lease, this Lease shall automatically become null and void and the City shall not be liable for refunding any lease fees to Lessee that may have been prepaid for the lease area. 5. Lessor, its agents or assigns, reserve the right at any time to execute and deliver valid oil, gas and other mineral leases and valid right-of-way easements for gas, oil, water, or sewer pipe lines, telephone, telemetry, or electric transmission lines covering said premises, or any part thereof. In such event, this lease shall be subject and subordinate to the rights, terms, and privileges of any such oil, gas or other mineral lease or other such easements as may have been executed heretofore or hereafter by Lessor, its agents or assigns. 6. The parties hereto acknowledge that said tract is within an area subject to overflow and flooding and it is expressly agreed between the parties that neither Lessor nor any of its agents or employees shall be liable to Lessee for any damages caused in any manner, negligent or otherwise, by high water or floods at Lake Nasworthy, Twin Buttes, and of the rivers or creeks which serve as its sources of supply or diversion channels, nor by reason of any work deemed necessary in Lessor's sole judgment in the maintenance of said lakes and sources of supply or diversion channels, and all damages occasioned thereby are hereby waived, and when Lessor(or any agent thereof) deems it necessary to enter on said land for any of the above purposes, its judgment shall be conclusive. 7. Lessee, subject to any local, state, or federal law or regulation, may use water from the lake, river, and/or wells on the property for domestic purpose and watering of existing trees and shrubs, but no water is to go off the premises. Use of water for irrigation is expressly prohibited. Lessee shall use water in a conservative manner, and any abusive use of water shall be grounds for denying 3
  • 577.
    the use ofwater to the Lessee. Lessee shall pay the raw water use charges as set by the City. No wells are to be drilled on the premises without first obtaining a permit from Lessor. Lessor in no way guarantees neither the accessibility of water nor the level of water. 8. Lessor reserves the exclusive right, for itself and assigns, to erect and maintain billboards, signs, and displays, commercial or otherwise, upon, across, or over and above the described tract. 9. Lessor reserves the right to cancel all or any part of this lease for a public purpose and to construct, build, operate, and maintain roads or bridges or utility lines upon, across, or over said tract or any portion thereof; provided however, in the event Lessor should elect to do so, the rental amount shall be recomputed as determined by the procedure and formulas set forth in Exhibit “B”. Should said tract become unusable for recreational and agricultural purposes by reason of such use by Lessor, this lease will terminate and Lessee shall be refunded a proportionate amount of the rental for the period of the unused term. 10. Lessee hereby covenants and agrees at all times to indemnify and save harmless Lessor from and against any loss, cost, liability or expense arising out of any claim of any person, firm or corporation whatsoever by reason of death, bodily injury, sickness, disease or damage to or destruction of property, in any manner connected with or arising out of the use and occupancy of the leased premises by Lessee. 11. If Lessee fails to comply with any part of this contract or is found to have violated any City ordinance regarding the lake or river property, Lessor may, at its option, terminate this contract and forcibly eject Lessee and all parties there from without being guilty of trespass or liable for damages. Lessee agrees at the termination of this lease to deliver possession peacefully to Lessor or its agents, and if lessee fails to give peaceful possession, Lessor may take forceful possession of said premises and eject all parties there from without being guilty of trespass, and all damages occasioned thereby are hereby waived. 12. Lessee further agrees not to remove, or permit anyone else to remove, from the property covered by this lease any sand, gravel, rock, soil, or any other like article without written permission and authority from Lessor or its agents. 13. It is further understood and agreed between the parties that each and every provision and requirement contained herein is of the essence of this contract, the 4
  • 578.
    violation of whichshall entitle the other party, at its option, to terminate this contract. 14. This contract constitutes the entire agreement between the parties hereto, and Lessor is not bound by any agreement, condition, stipulation, understanding or representation made by any of the Lessor's agents not contained herein. 15. All notices concerning this lease shall be in writing and delivered to the parties at the addresses below: LESSEE: Allan Temperton, President MK-Allan Enterprises, Inc. 764 Royal Oaks Loop Fredericksburg, Texas 78624 LESSOR: City of San Angelo Water Utilities Department 72 W. College San Angelo, Texas 76903 [Signature Page to Follow] 5
  • 579.
    EXECUTED in duplicateoriginals on the _____day of __________________, 20___ by: LESSEE _________________________________ Allan Temperton, President MK-Allan Enterprises, Inc. STATE OF TEXAS § COUNTY OF TOM GREEN § This instrument was acknowledged before me on the ___day of ___________, 20_____ by Allan Temperton. ___________________________________ Notary Public, State of Texas CITY OF SAN ANGELO, LESSOR BY: ________________________________ Ricky Dickson, Director, Water Utilities THE STATE OF TEXAS § COUNTY OF TOM GREEN § This instrument was acknowledged before me on the _____day of _____________, 2013 by Ricky Dickson, Water Utilities Director, of the City of San Angelo, a Texas municipal corporation, on behalf of said corporation. ___________________________________ Notary Public, State of Texas 6
  • 580.
    City of SanAngelo Memo Date: April 3, 2013 To: Mayor and Councilmembers From: Rick Weise, Assistant City Manager Ricky Dickson, Water Utilities Director Subject: Agenda Item for April 16, 2013 Council Meeting Contact: Rick Weise, Assistant City Manager and Ricky Dickson, Water Utilities Director Caption: Consent Item CONSIDERATION OF ADOPTING A RESOLUTION AUTHORIZING THE CITY MANAGER TO EXECUTE A SECOND AMENDMENT TO COMMERCIAL LEASE AGREEMENT WITH LESSEE, LEE BROWN AND GALE BROWN , d/b/a SPRING CREEK MARINA, AT LAKE NASWORTHY, SPECIFICALLY-DESCRIBING THE LEASED PREMISES, PROVIDING FOR THE NON-EXCLUSIVE JOINT USE OF CERTAIN AREAS OF THE LEASED PREMISES, AND REVISING INDEMNIFICATION AND INSURANCE REQUIREMENTS OF LESSEE Summary: City, Lessor, and Lee Brown and Gale Brown, Lessee, desire to execute a Second Amendment to Commercial Lease Agreement to: specifically describe the Leased Premises, provide for non-exclusive joint use of certain areas during city sponsored special events, and revise indemnification and insurance requirements of Lessee. History: City and Lessee entered into a Commercial Lease Agreement on May 5, 2005, for the area known as Spring Creek Marina at Lake Nasworthy. The parties entered into a First Amendment to Lease on March 8, 2010, permitting Lessee to construct and install floating docks to replace existing docks. Financial Impact: None Related Vision Item (if applicable): Other Information/ Staff recommends approval. Recommendation: Attachments: Resolution and Second Amendment to Commercial Lease Agreement Spring Creek Marina Presentation: N/A Publication: N/A Reviewed by Rick Weise and Ricky Dickson Director: Approved by Legal: Adopted: 5/30/03 Revised: 6/21/10
  • 581.
    A RESOLUTION OFTHE CITY OF SAN ANGELO, TEXAS, AUTHORIZING THE CITY MANAGER TO EXECUTE A SECOND AMENDMENT TO COMMERCIAL LEASE AGREEMENT WITH LESSEE, LEE BROWN AND GALE BROWN, d/b/a SPRING CREEK MARINA, AT LAKE NASWORTHY, TO: SPECIFICALLY DESCRIBE THE LEASED PREMISES, PROVIDE FOR JOINT NON-EXCLUSIVE USE OF CERTAIN AREAS OF THE LEASED PREMISES, AND REVISE INDEMNIFICATION AND INSURANCE REQUIREMENTS OF LESSEE WHEREAS, on May 5, 2007, the City, Lessor, and Lee Brown and Gale Brown (Lessee) entered into a commercial lease agreement for the lease of the Spring Creek Marina at Lake Nasworthy; and, WHEREAS, the commercial lease agreement was first amended by written First Amendment on March 8, 2010, permitting Lessee to replace existing dock facilities with new, floating docks; and, WHEREAS, the parties propose to amend the commercial lease agreement by Second Amendment, to specifically describe the Leased Premises, provide for the non- exclusive, joint use by the parties of certain areas of the Leased Premises and update indemnification and insurance requirements of Lessee: NOW THEREFORE BE IT RESOLVED BY THE CITY COUNCIL OF THE CITY OF SAN ANGELO, TEXAS THAT: The City Manager is hereby authorized to execute a Second Amendment to Commercial Lease Agreement with Lee Brown and Gale Brown, d/b/a Spring Creek Marina, at Lake Nasworthy, specifically describing the Leased Premises, providing for the non-exclusive joint use of certain areas of the Leased Premises, and revising the indemnification and insurance requirements of Lessee. PASSED and APPROVED THIS DAY OF , 2013. CITY OF SAN ANGELO, TEXAS ATTEST: Alvin New, Mayor Alicia Ramirez, City Clerk APPROVED AS TO CONTENT APPROVED AS TO FORM Ricky Dickson, Water Utilities Director Lysia Bowling, City Attorney
  • 617.
    A RESOLUTION OFTHE CITY OF SAN ANGELO AUTHORIZING THE CITY MANAGER TO EXECUTE A FIRST AMENDMENT TO LAKE NASWORTHY CRUISE BOAT CONCESSION AGREEMENT TO: PROVIDE FOR A PRORATED CREDIT AGAINST THE ANNUAL FIXED BASE PAYMENT FOR DAYS DURING A CONTRACT YEAR IN WHICH LAKE LEVEL IS INSUFFICIENT FOR OPERATION OF THE CRUISE BOAT CONCESSION; CLARIFY THE BEGINNING AND ENDING MONTHS APPLICABLE TO THE ANNUAL FIXED BASE PAYMENT SCHEDULE; AND DESCRIBE THE CONCESSION PREMISES WHEREAS, the City of San Angelo (City) and Wayne Nickell, (Concessionaire), entered into a license agreement entitled, LAKE NASWORTHY CRUISE BOAT CONCESSION AGREEMENT (Concession Agreement), for a term commencing May 1, 2010, and ending April 30, 2015; and, WHEREAS, City and Concessionaire desire to amend the Concession Agreement to: provide for a prorated credit against the Annual Fixed Base Payment for days during a contract year in which the lake level is insufficient for operation of the cruise boat concession; clarify the beginning and ending months applicable to the Annual Fixed Base Payment schedule; and describe the concession premises; NOW THEREFORE BE IT RESOLVED BY THE CITY COUNCIL OF THE CITY OF SAN ANGELO, TEXAS THAT: The City Manager or his designee is hereby authorized to execute the FIRST AMENDMENT TO LAKE NASWORTHY CRUISE BOAT CONCESSION AGREEMENT to: provide for a prorated credit against the Annual Fixed Base Payment for days during a contract year in which the lake level is insufficient for operation of the cruise boat concession; clarify the beginning and ending months applicable to the Annual Fixed Base Payment schedule; and describe the concession premises. PASSED and APPROVED THIS DAY OF , 2013. CITY OF SAN ANGELO, TEXAS ATTEST: Alvin New, Mayor Alicia Ramirez, City Clerk APPROVED AS TO CONTENT APPROVED AS TO FORM Carl White, Parks & Recreation Director Lysia H. Bowling, City Attorney
  • 618.
    City of SanAngelo Memo Date: March 27, 2013 To: Mayor and Councilmembers From: Carl White, Parks & Recreation Director Subject: Agenda Item for April 16, 2013 Council Meeting Contact: Carl White, Parks & Recreation Director – 657-4279 Caption: Consent Agenda Item Consideration of adopting a Resolution authorizing the City Manager to execute a First Amended Agreement between the City of San Angelo and Mr. Wayne Nickell for the operation of the Concho Cruises cruise boat concession on Lake Nasworthy. Summary: Mr. Wayne Nickell, owner of Concho Cruises, submitted a letter requesting an amendment to our existing agreement with him. The following is a summary of the requested amendments: · Add the concession of the river to the agreement (to include a small barge similar to those seen at San Antonio, paddle boats and kayaks), · Extend existing agreement (from 2012 to 2022), · Reduce the annual base payment to $1,000 (and keep the existing 6% of gross payment), and · Have no annual base payment for 2012-2013 (due to low lake level). Regarding the river boat concession, staff supports offering this opportunity following the Request for Proposals procedure, which we’d likely initiate later this year. This would open up the opportunity to others who have expressed an interest over the last several years. Regarding the extension of the agreement, the existing agreement expires in April of 2015 and has no built-in extensions. In light of the fact that the Gateway study is underway, staff recommends awaiting the results of the study prior to considering an extension to this agreement. Regarding the reduction in the annual base payment to $1,000, staff does not recommend approval. Regarding the no annual base payment for 2013 due to low lake water level, staff does not recommend approval. Staff does recommend that the existing agreement be amended with a clause that allows for a pro-rated deduction of the annual base payment for times when the lake level reaches a specific level that would limit operation of the Concho Cruises boat. Mr. Nichols stated that he needs 30 inches of water to operate his boat. The elevation at the bottom of the inlet is a little below 1,866.5 feet. Given that the boat needs 30 inches of water to operate, this places the usable elevation at 1,868.5 feet and this leaves roughly 6 inches of water below the boat. Last year, water elevation reached 1,868.5 feet or below starting on August 14 and stayed at or below that level until September 28. Water levels on Lake Nasworthy have stayed above 1,868.5 feet Adopted: 5/30/03 Revised: 6/21/10
  • 619.
    since that time.Lake Nasworthy is generally maintained at a level of 1,870 to 1,871 feet, plus or minus 0.5 feet. History: Council discussed a proposed agreement with Mr. Wayne Nickell at the March 8, 2010 meeting and later approved the existing agreement at the April 20, 2010 meeting on the consent agenda. Council discussed the lease during executive session on December 4, 2012. Financial Impact: Approving the First Amended Agreement would mean a loss of $263.04 in base pay revenues for the City for the third year of operation under the original agreement (1 May 2012 to 30 April 2013). Related Vision Item N/A (if applicable): Other Information/ Staff recommends approval. Recommendation: Attachments: First Amended Agreement, Original Agreement and Resolution. Presentation: N/A Publication: N/A Reviewed by Rick Weise, Assistant City Manager Director: Approved by Legal: April 1, 2013
  • 636.
    City of SanAngelo Memo Date: March 27, 2013 To: Mayor and Councilmembers From: Carl White, Parks & Recreation Director Subject: Agenda Item for April 16, 2013 Council Meeting Contact: Carl White, Parks & Recreation Director Caption: Consent Agenda Item Consideration of adopting By-Laws for the Parks & Recreation Advisory Board The Parks & Recreation Advisory Board and City Staff recommend adoption of the proposed By-Laws for the new Board. Summary: History: The Parks & Recreation Advisory Board was created by City Ordinance on August 7, 2012. Members of the public were appointed at the City Council meeting on December 4, 2012. The Board held its first public meeting on January 31, 2013. Financial Impact: None. Related Vision Item N/A (if applicable): Other Information/ The Parks & Recreation Advisory Board approved the proposed By-Laws at their Recommendation: meeting on January 31, 2013. Staff recommends adoption of the proposed By- Laws. Attachments: Proposed By-Laws of the City of San Angelo Parks & Recreation Advisory Board. Presentation: N/A Publication: N/A Reviewed by Rick Weise, Assistant City Manager Director: Approved by Legal: April 1, 2013
  • 637.
    BY-LAWS OF THE CITY OF SAN ANGELO Parks & Recreation Advisory Board ADOPTED: _____________________
  • 638.
    ARTICLE I Purpose, Duties and Powers Section 1. Purpose. The Parks & Recreation Board shall act as an advisory Board to the City Council in matters of oversight, policy and administration relating to City parks, recreation programs and facilities, with the exception of the Santa Fe Parks, for which the Parks Commission shall continue to act as the advisory commission to the City Council. Section 2. Duties. The responsibility of the Parks & Recreation Advisory Board, as defined in Chapter 2, Administration, Article 2.600 Parks & Recreation Advisory Board, within the scope of its general authority, shall include: 1.) Communicate with and make recommendations to the City Manager and Parks & Recreation Director regarding parks, recreation programs and senior services programs. 2.) Make recommendations to City Manager, Parks & Recreation Director and City Council regarding the administration of parks, recreation programs and senior services programs. 3.) Make recommendations to City Manager, Parks & Recreation Director and City Council regarding the creation of a parks and recreation system. 4.) Make recommendations to City Manager, Parks & Recreation Director and City Council regarding maintenance of parks and park improvements. 5.) Make recommendations to City Manager, Parks & Recreation Director and City Council regarding maintenance of recreation and/or senior facilities. 6.) Make recommendations to City Manager, Parks & Recreation Director and City Council regarding the acquisition of physical improvements and equipment for parks, recreation and senior services programs. 7.) Make recommendations to City Manager, Parks & Recreation Director and City Council regarding rules or regulations for parks, recreation and senior services programs. ARTICLE II MEMBERS OF THE PARKS & RECREATION ADVISORY BOARD Section 1. Members. The Parks & Recreation Advisory Board shall be composed of eight (8) members, seven (7) of whom shall be appointed by the City Council. The eighth member shall be a member of the Park Commission, nominated by the Park Commission and approved by the City Council. Section 2. Appointment. The Parks & Recreation Advisory Board members shall be appointed by the City Council of the City of San Angelo under such procedures designated by the City Council. The appointments to the Board shall be on the basis of the nominee’s educational and professional qualifications and general knowledge of, interest in, and experience relevant to youth or adult sports, senior activities, recreation activities, other organized social activities, parks, nature or conservation. Section 3. Qualifications. All members of the Board shall be eighteen (18) years of age or older and residents of the City of San Angelo, Tom Green County, Texas.
  • 639.
    Section 4. Termsof Office. Of the members first appointed by the City Council, four (4) appointments shall be for a term of three (3)-years each and three (3) appointments shall be for a term of two (2)-years each. The first appointment selected by the Parks Commission and approved by the City Council shall be for a term of two (2)-years each. Thereafter, appointments shall be for a term of two (2)-years each, except vacancies for unexpired terms which shall be filled by appointment of the City Council for the remainder of the unexpired term. Board members shall serve without compensation at the pleasure of the City Council, subject to termination at any time without cause. Section 5. Vacancies. Any vacancy occurring on the Parks & Recreation Advisory Board shall be filled by the appointment of the City Council under such procedures as it prescribes and such appointment shall be for the unexpired term of the member whose position is vacated; provided however, that a person serving such unexpired term shall nevertheless be eligible to serve two full consecutive terms after the completion of the unexpired term as appointed hereunder. ARTICLE III MEETINGS Section 1. Meetings. The Board shall adopt a schedule providing for at least one regular meeting per calendar month and may make provision for such other special meetings as it deems appropriate. An agenda of the Parks & Recreation Advisory Board shall be posted in a public area and filed with the City of San Angelo City Clerk’s office at least 72 hours in advance of the called meeting. Meetings of the Board shall be held pursuant to public notice and shall be open to the public in compliance with the Texas Open Meetings Act. Section 2. Committees. The Board may create ad hoc or standing committees of less than a quorum of the Board members, which may include residents of the City who are not Board members, as needed or deemed desirable to address specific matters within the purview of the Board. Committees shall report to the Board and shall have the authority to gather information, make reports and prepare recommendations for consideration by the Board. Section 3. Attendance. In the event any member is absent from four (4) regularly scheduled meetings during the course of any year, a Board member shall be deemed to have resigned, unless such absence from the meeting is “excused” (i.e., family emergency, work-related commitments, medical necessity or vacation outside the City of San Angelo). Section 4. Quorum and Vote. All members of the Board shall have voting rights. A quorum shall consist of a simple majority [five (5)] of the duly appointed members of the Board. The affirmative vote of a majority of the members present at a properly called meeting with a quorum present shall be the act of the Board. Section 5. Staff Liaison. The Parks and Recreation Director shall be designated as the Parks & Recreation Advisory Board’s staff liaison and shall cause copies of the Parks & Recreation Advisory Board’s agenda, minutes and notices to be filed with the City of San Angelo City Clerk. Said liaison may designate other City staff to facilitate matters of the Parks & Recreation Advisory Board as he/she deems necessary.
  • 640.
    ARTICLE IV OFFICERS Section 1. Designation and Election of Officers. At a regular meeting, generally in February, each year, the members shall elect a Chair and Co-Chair. The method for nomination and election shall be determined by a vote of the majority of those members in attendance at such meeting. The Chair shall appoint committees for any purpose deemed necessary by the Board in order to execute more effectively its duties and responsibilities. Section 2. Terms. The officers shall serve a term of one year and thereafter until their successors are elected. Any member chosen as an officer shall be eligible for reelection not to exceed two consecutive terms; but having served two consecutive terms in an office, such person shall not be eligible for reelection to the same office until the expiration of one year after the completion of such second consecutive term. Section 3. Duties and Authority of Officers. a. Chair: Shall preside at all meetings of the Parks & Recreation Advisory Board, have responsibility for the accomplishment of all directions of the City Council and be primarily responsible for the accomplishment of the purpose and discharge of the duties and responsibilities imposed on the Board by the City Council. The Chair shall appoint members of all committees and shall appoint such committees as deemed necessary and appropriate to carry on the business of the Parks & Recreation Advisory Board and shall designate the Chair of such committees. b. Co-Chair: Shall, in the absence of or disability of the Chair, perform the duties and exercise the powers of the Chair and shall perform such other duties as the Parks & Recreation Advisory Board may prescribe. ARTICLE V AMENDMENTS The Board shall adopt and may amend from time to time its bylaws, establishing rules for its regulation, effective upon approval of the City Council. Said bylaws and amendments thereto as approved by the City Council shall be filed with the City Clerk. The Board may adopt rules or regulations in conformity with its bylaws relating to the administration of its business. ADOPTED AND APPROVED by the Parks & Recreation Advisory Board on this ____ day of _______, ______. [SIGNATURE PAGE TO FOLLOW]
  • 641.
    BYLAWS PARKS & RECREATION ADVISORY BOARD ________________________________ Chair, Parks & Recreation Advisory Board ATTEST: _______________________________ Director, Parks & Recreation Department APPROVED by the City Council on __________________.
  • 642.
    City of SanAngelo Parks & Recreation Memorandum Date: April 12, 2013 To: Mayor and Councilmembers From: Carl White, Parks and Recreation Director Subject: Agenda Item for April 16, 2013, Council Meeting Contact: Carl White, Parks and Recreation Director, 234-1724 Caption: Consent Agenda Item Consideration of adopting a Resolution authorizing the City Manager to execute a First Amended Lease Agreement with the Texas Southwest Council, Inc. Boy Scouts of America for the building at 104 Veterans Memorial Drive. Summary: Staff recommends approving a lease agreement amendment with the Texas Southwest Council, Inc. Boy Scouts of America for the building at 104 Veterans Memorial Drive and authorizing the Mayor or City Manager to execute the agreement. The basic parameters of the proposed lease amendment include the following: • Five-year lease with no renewal option. • Lease of the building at 104 Veterans Memorial Drive and use of the adjacent grounds and parking area. • Requirements to provide utilities at lessee’s expense. • Requirements to provide maintenance of the building at lessee’s expense. • Standard insurance coverage The organization has leased the property for the last 10 years and the current lease expires on April 17, 2013. Financial Under the proposed lease agreement, there would be no cost to the City. Impact: Attachments: Letter of proposal, existing lease, first amended lease agreement and resolution. 1
  • 643.
    Presentation: N/A Publication: N/A Reviewed by: Rick Weise, Assistant City Manager Approved by April 1, 2013 Legal: Map showing general area of the proposed leased property (building). 2
  • 644.
    A RESOLUTION BYTHE CITY COUNCIL OF THE CITY OF SAN ANGELO, TEXAS, AUTHORIZING THE CITY MANAGER TO EXECUTE A FIRST AMENDED LEASE AGREEMENT WITH TEXAS SOUTHWEST COUNCIL OF THE BOYS SCOUTS OF AMERICA, INC, (FORMERLY KNOWN AS CONCHO VALLEY COUNCIL, INC., BOY SCOUTS OF AMERICA) TO AMEND ORIGINAL LEASE AGREEMENT BETWEEN CITY OF SAN ANGELO AND CONCHO VALLEY COUNCIL, INC., BOY SCOUTS OF AMERICA, FOR LEASE OF CITY PREMISES LOCATED AT 104 WEST VETERANS MEMORIAL DRIVE, SAN ANGELO, TOM GREEN COUNTY, TEXAS WHEREAS, City and Concho Valley Council, Inc., Boys Scouts of America entered into Lease Agreement (“Lease Agreement”) for a ten (10) year term, beginning April 18, 2003 and ending August 17, 2013, for Lessee to lease City owned premises known as 104 West River Drive, San Angelo, Tom Green County, Texas, renamed 104 West Veterans Memorial Drive, for office space. WHEREAS, effective February 11, 2012, Concho Valley Council, Inc., Boys Scouts of America has been renamed Texas Southwest Council of the Boy Scouts of America, Inc.; and WHEREAS, effective December 6, 2011, 104 West River Drive, San Angelo, Texas has been renamed 104 West Veterans Memorial Drive; and WHEREAS, City and Texas Southwest Council of the Boy Scouts of America, Inc. mutually desire to renew and amend the Lease Agreement to extend the lease term for an additional five (5) year term, beginning April 18, 2013 and ending April 17, 2018; and WHEREAS, all of the terms and conditions of the original Lease Agreement shall be and remain in full force and effect unless amended or changed by the First Amended Lease Agreement. NOW, THEREFORE, BE IT RESOLVED BY THE CITY COUNCIL OF SAN ANGELO, TEXAS THAT: The City Manager is hereby authorized to execute the First Amended Lease Agreement on behalf of the City of San Angelo, Lessor, and Texas Southwest Council of the Boy Scouts of America, Inc, amending the lease of City premises known at 104 West Veterans Memorial Drive, San Angelo, Tom Green County, Texas, for office space.
  • 645.
    PASSED and APPROVEDTHIS DAY OF , 2013. ATTEST: CITY OF SAN ANGELO, TEXAS Alicia Ramirez, City Clerk Alvin New, Mayor APPROVED AS TO CONTENT APPROVED AS TO FORM Carl White, Director Parks & Recreation Lysia H. Bowling, City Attorney
  • 646.
    City of SanAngelo Parks & Recreation Memorandum Date: April 12, 2013 To: Mayor and Councilmembers From: Carl White, Parks and Recreation Director Subject: Agenda Item for April 16, 2013, Council Meeting Contact: Carl White, Parks and Recreation Director, 234-1724 Caption: Consent Agenda Item Consideration of adopting a Resolution authorizing the City Manager to execute a First Amended Lease Agreement with the Texas Southwest Council, Inc. Boy Scouts of America for the building at 104 Veterans Memorial Drive. Summary: Staff recommends approving a lease agreement amendment with the Texas Southwest Council, Inc. Boy Scouts of America for the building at 104 Veterans Memorial Drive and authorizing the Mayor or City Manager to execute the agreement. The basic parameters of the proposed lease amendment include the following: • Five-year lease with no renewal option. • Lease of the building at 104 Veterans Memorial Drive and use of the adjacent grounds and parking area. • Requirements to provide utilities at lessee’s expense. • Requirements to provide maintenance of the building at lessee’s expense. • Standard insurance coverage The organization has leased the property for the last 10 years and the current lease expires on April 17, 2013. Financial Under the proposed lease agreement, there would be no cost to the City. Impact: Attachments: Letter of proposal, existing lease, first amended lease agreement and resolution. 1
  • 647.
    Presentation: N/A Publication: N/A Reviewed by: Rick Weise, Assistant City Manager Approved by April 1, 2013 Legal: Map showing general area of the proposed leased property (building). 2
  • 648.
    A RESOLUTION BYTHE CITY COUNCIL OF THE CITY OF SAN ANGELO, TEXAS, AUTHORIZING THE CITY MANAGER TO EXECUTE A FIRST AMENDED LEASE AGREEMENT WITH TEXAS SOUTHWEST COUNCIL OF THE BOYS SCOUTS OF AMERICA, INC, (FORMERLY KNOWN AS CONCHO VALLEY COUNCIL, INC., BOY SCOUTS OF AMERICA) TO AMEND ORIGINAL LEASE AGREEMENT BETWEEN CITY OF SAN ANGELO AND CONCHO VALLEY COUNCIL, INC., BOY SCOUTS OF AMERICA, FOR LEASE OF CITY PREMISES LOCATED AT 104 WEST VETERANS MEMORIAL DRIVE, SAN ANGELO, TOM GREEN COUNTY, TEXAS WHEREAS, City and Concho Valley Council, Inc., Boys Scouts of America entered into Lease Agreement (“Lease Agreement”) for a ten (10) year term, beginning April 18, 2003 and ending August 17, 2013, for Lessee to lease City owned premises known as 104 West River Drive, San Angelo, Tom Green County, Texas, renamed 104 West Veterans Memorial Drive, for office space. WHEREAS, effective February 11, 2012, Concho Valley Council, Inc., Boys Scouts of America has been renamed Texas Southwest Council of the Boy Scouts of America, Inc.; and WHEREAS, effective December 6, 2011, 104 West River Drive, San Angelo, Texas has been renamed 104 West Veterans Memorial Drive; and WHEREAS, City and Texas Southwest Council of the Boy Scouts of America, Inc. mutually desire to renew and amend the Lease Agreement to extend the lease term for an additional five (5) year term, beginning April 18, 2013 and ending April 17, 2018; and WHEREAS, all of the terms and conditions of the original Lease Agreement shall be and remain in full force and effect unless amended or changed by the First Amended Lease Agreement. NOW, THEREFORE, BE IT RESOLVED BY THE CITY COUNCIL OF SAN ANGELO, TEXAS THAT: The City Manager is hereby authorized to execute the First Amended Lease Agreement on behalf of the City of San Angelo, Lessor, and Texas Southwest Council of the Boy Scouts of America, Inc, amending the lease of City premises known at 104 West Veterans Memorial Drive, San Angelo, Tom Green County, Texas, for office space.
  • 649.
    PASSED and APPROVEDTHIS DAY OF , 2013. ATTEST: CITY OF SAN ANGELO, TEXAS Alicia Ramirez, City Clerk Alvin New, Mayor APPROVED AS TO CONTENT APPROVED AS TO FORM Carl White, Director Parks & Recreation Lysia H. Bowling, City Attorney
  • 668.
    City of SanAngelo Civic Events Memo Date: April 10, 2013 To: Mayor and Councilmembers From: Angelica Peña, Civic Events Manager Subject: Agenda Item for April 16, 2012, Council Meeting Contact: Angelica Peña, Civic Events Manager, 653-5328 Caption: Consent Item Consideration of adopting a Resolution authorizing the City Manager to apply for and accept an Events Trust Fund state grant for the National Reined Cow Horse Association 2013 Celebration of Champions in an amount up to $95,234, and authorizing the Mayor or City Manager to execute related documents. Summary: On behalf of the San Angelo Stock Show and Rodeo Association, the City has received a state grant that will reimburse the SASSRA some of its costs related to the National Reined Cow Horse Association’s 2013 Celebration of Champions, including rental fees for the use of the Coliseum. History: In September, the San Angelo Stock Show and Rodeo Association submitted a grant application on the City’s behalf to the state Comptroller’s office seeking funding from the Texas Events Trust Fund. (The SASSRA cannot apply directly for funding under the state law that governs the trust fund.) The grant helps offset the SASSRA’s costs in hosting the National Reined Cow Horse Association’s 2013 Celebration of Champions, which this year was Jan. 26 through Feb. 3. (The cutting horse event is also known as the World’s Greatest Horseman.) On Oct. 3, the Comptroller’s office notified the City the event had been awarded up to $82,098, which must be matched by a local contribution of $13,136. The SASSRA has already provided those matching funds. The SASSRA will submit to the Comptroller documentation of its expenses related to this year’s event. Those costs are estimated to be in excess of $200,000. Reimbursements will be made based upon the SASSRA’s expenditures, and will be paid proportionally from state and local funds. If any local funds remain after all obligations have been met, those would be returned. This is the fourth straight year the Celebration of Champions has qualified for an Event Trust Fund grant. Last year, the event received $87,935 from the fund, which the SASSRA matched with $14,070. The state bases the grant amounts on its estimate of the incremental increase in tax revenue the state will realize as a result of the event. Financial Impact: Acceptance of the grant will reduce the SASSRA’s financial exposure by a maximum of $82,098. The City will realize $7,500 in rental revenue for the use of the Coliseum, which serves as a warm-up facility for the competitors. (The actual competition occurs in the Spur Arena.) The first two years the SASSRA hosted the event, it was not charged rent for the use of the Coliseum. Because the SASSRA will provide the local match, the City will have no financial exposure in accepting the grant.
  • 669.
    According to aneconomic impact study performed in 2012 by Dr. Don Hoyte, the former administrator of the Event Trust Fund, the total economic impact of the Celebration of Champions approaches $2.9 million. According to the study, the event attracts 483 competitors, 45 NRCHA personnel and event officials, and approximately 10,000 fans. Dr. Hoyte estimated the event generates more than $593,000 in local lodging expenditures and more than $856,000 in local food and beverage expenditures. Other Information/Recommendation: Staff recommends the Council accept the Events Trust Fund grant, as does the San Angelo Stock Show and Rodeo Association. If Council approves this item, staff will return with a budget amendment authorizing receipt of the grant from the state and disbursement of it to the SASSRA. Attachments: Grant application from SASSRA to State Comptroller Award letter from State Comptroller to City Manager Resolution Reviewed by Director: Carl White, Parks & Recreation Director, April 10, 2013
  • 670.
    A RESOLUTION OFTHE CITY COUNCIL OF THE CITY OF SAN ANGELO TO APPROVE THE CITY OF SAN ANGELO’S PARTICIPATION IN THE TEXAS EVENTS TRUST FUND FOR THE NATIONAL REINED COW HORSE ASSOCIATION 2013 CELEBRATION OF CHAMPIONS IN THE AMOUNT OF $13,136 WITH A STATE MATCH OF $82,098, TO CREATE A TOTAL TRUST FUND OF $95,234 WHEREAS, the City Council of the City of San Angelo, Texas, and the Texas Comptroller of Public Accounts recognize the economic benefit to the City and to the State for the City of San Angelo having hosted the National Reined Cow Horse Association’s 2013 Celebration of Champions, a national cutting horse competition that was held at the San Angelo Fairgrounds from Jan. 26, 2013, to Feb. 3, 2013; and WHEREAS, the Texas Comptroller of Public Accounts administers the Texas Events Trust Fund, pursuant to the Events Trust Fund statute, which provides reimbursing financing for cities or counties hosting events that result in incremental increases in state tax revenue; and WHEREAS, the San Angelo Stock Show and Rodeo Association, on behalf of the City of San Angelo, submitted a proposal for funding under the Events Trust Fund statute to help offset its expenses, which are estimated to be in excess of $200,000, that are associated with hosting the Celebration of Champions; and WHEREAS, on or about Oct. 3, 2012, the Texas Comptroller of Public Accounts notified the City of San Angelo that it estimates the state will realize an incremental increase in tax revenue under the Events Trust Fund statute of $82,098 from the City of San Angelo hosting the event, and this amount, if matched by $13,136 in contributions by the City of San Angelo, will result in a total contribution of $95,234 to the trust fund established for this Event; WHEREAS, the Celebration of Champions’ 483 competitors, 45 event officials and National Reined Cow Horse Association employees, and 10,000 fans are estimated to have yielded a total economic impact of nearly $2.9 million for the event, including more than $1.4 million in local hotel, sales, alcoholic beverage and automobile rental taxes; NOW THEREFORE BE IT RESOLVED BY THE CITY COUNCIL OF THE CITY OF SAN ANGELO that it approves the City of San Angelo’s participation in the Events Trust Fund for the National Reined Cow Horse Association 2013 Celebration of Champions in the amount of $13,136 which will receive a state match of $82,098, for a total trust fund contribution of $95,234, and authorizes Mayor Alvin New or City Manager Daniel Valenzuela to execute related documents. PASSED, APPROVED, and ADOPTED on this the 16th day of April, 2013. CITY OF SAN ANGELO By: ____________________ ATTEST: Alvin New, Mayor Alicia Ramirez, City Clerk
  • 671.
    Approved As toForm: Approved As to Form: Lysia H. Bowling Angelica Peña City Attorney Civic Events Manager
  • 691.
    A RESOLUTION OFTHE CITY COUNCIL OF THE CITY OF SAN ANGELO TO APPROVE THE CITY OF SAN ANGELO’S PARTICIPATION IN THE TEXAS EVENTS TRUST FUND FOR THE NATIONAL REINED COW HORSE ASSOCIATION 2013 CELEBRATION OF CHAMPIONS IN THE AMOUNT OF $13,136 WITH A STATE MATCH OF $82,098, TO CREATE A TOTAL TRUST FUND OF $95,234 WHEREAS, the City Council of the City of San Angelo, Texas, and the Texas Comptroller of Public Accounts recognize the economic benefit to the City and to the State for the City of San Angelo having hosted the National Reined Cow Horse Association’s 2013 Celebration of Champions, a national cutting horse competition that was held at the San Angelo Fairgrounds from Jan. 26, 2013, to Feb. 3, 2013; and WHEREAS, the Texas Comptroller of Public Accounts administers the Texas Events Trust Fund, pursuant to the Events Trust Fund statute, which provides reimbursing financing for cities or counties hosting events that result in incremental increases in state tax revenue; and WHEREAS, the San Angelo Stock Show and Rodeo Association, on behalf of the City of San Angelo, submitted a proposal for funding under the Events Trust Fund statute to help offset its expenses, which are estimated to be in excess of $200,000, that are associated with hosting the Celebration of Champions; and WHEREAS, on or about Oct. 3, 2012, the Texas Comptroller of Public Accounts notified the City of San Angelo that it estimates the state will realize an incremental increase in tax revenue under the Events Trust Fund statute of $82,098 from the City of San Angelo hosting the event, and this amount, if matched by $13,136 in contributions by the City of San Angelo, will result in a total contribution of $95,234 to the trust fund established for this Event; WHEREAS, the Celebration of Champions’ 483 competitors, 45 event officials and National Reined Cow Horse Association employees, and 10,000 fans are estimated to have yielded a total economic impact of nearly $2.9 million for the event, including more than $1.4 million in local hotel, sales, alcoholic beverage and automobile rental taxes; NOW THEREFORE BE IT RESOLVED BY THE CITY COUNCIL OF THE CITY OF SAN ANGELO that it approves the City of San Angelo’s participation in the Events Trust Fund for the National Reined Cow Horse Association 2013 Celebration of Champions in the amount of $13,136 which will receive a state match of $82,098, for a total trust fund contribution of $95,234, and authorizes Mayor Alvin New or City Manager Daniel Valenzuela to execute related documents. PASSED, APPROVED, and ADOPTED on this the 16th day of April, 2013. CITY OF SAN ANGELO By: ____________________ ATTEST: Alvin New, Mayor Alicia Ramirez, City Clerk
  • 692.
    Approved As toForm: Approved As to Form: Lysia H. Bowling Angelica Peña City Attorney Civic Events Manager
  • 694.
    City of SanAngelo Memo Meeting Date: April 2, 2013 To: City Council members From: Jeff Hintz, Interim Senior Planner Subject: PD 07-01( 2013 Amendment) Carrie & John Maier and Glenn & Peggy Rosser, A request for approval of a zone change from Ranch & Estate (R&E) to Planned Development (PD) district to allow for a "Campground /Recreational Vehicle Park" as allowed in PD 07-01, approved in March of 2007, and to which the property described below is proposed to be added via an amendment: Location: 3512 Ben Ficklin Road, located approximately 200 feet east from the intersection of Ben Ficklin Road and South Bryant Boulevard. This property specifically occupies approximately 10.8 acres in the southwest portion of a 73.9 acre tract of the E Hermes Survey 0174 Abstract 0349 in south central San Angelo. Purpose: Approving this zone change will allow an amendment to PD 07-01 including an additional 10.8 acres and a site plan to the Planned Development. Contacts: Carrie Maier, property owner 325-716-9236 Jeff Hintz, Interim Senior Planner 325-657-4210 Caption: First Public Hearing and consideration of introduction of an Ordinance amending Chapter 12, Exhibit “A” (Zoning Ordinance) of the Code of Ordinances, City of San Angelo PD 07-01 (2013 Amendment): Carrie & John Maier and Glenn & Peggy Rosser AN ORDINANCE AMENDING CHAPTER 12, EXHIBIT “A” OF THE CODE OF ORDINANCES, CITY OF SAN ANGELO, TEXAS, WHICH SAID EXHIBIT “A” OF CHAPTER 12 ADOPTS ZONING REGULATIONS, USE DISTRICTS AND A ZONING MAP, IN ACCORDANCE WITH A COMPREHENSIVE PLAN, BY CHANGING THE ZONING AND CLASSIFICATION OF THE FOLLOWING PROPERTY, TO WIT: 3512 Ben Ficklin Road, located approximately 200 feet east from the intersection
  • 695.
    of Ben FicklinRoad and South Bryant Boulevard. This property specifically occupies approximately 10.8 acres in the southwest portion of a 73.9 acre tract of the E Hermes Survey 0174 Abstract 0349 in south central San Angelo, as indicated in Exhibit B of this Ordinance, changing the zoning classification from Ranch & Estate (R&E) to Planned Development (PD) District; PROVIDING FOR SEVERABILITY AND PROVIDING A PENALTY Summary: The City Council may: (1) Approve the proposed zone change as requested; or (2) Deny the requested zone change; or (3) Remand the application back to Planning Commission for further discussion, in which case another public hearing will need to be scheduled. Recommendation: Planning staff recommends approving the proposed zone change. Planning Commission at its meeting on March 18, 2013 recommended approval of this request by a vote of 5-1. History and Background: A Planned Development District has been approved (2007) to operate a Campground/RV park on other portions of this property as well as adjacent city property leased by the applicant. This PD has been amended on two occasions and allows for a "mobile home" to be placed on the property. This request is to add a 10.8 acre area, with spots for 51 Recreational Vehicles into the same Planned Development approved in 2007, with the same regulations that are already in place, using the site plan attached to this report. General Information Existing Zoning: Ranch & Estate (R&E) Existing Land Use: Farmland and a homestead used by the applicant. Surrounding Zoning/Land Use: North: R&E Undeveloped land & Concho River West: RS-1 & Vacant land, drainage area, Red CG/CH Arroyo South: R&E & Residences & undeveloped open CG/CH spaces East: PD & R&E Fields and undeveloped open spaces
  • 696.
    Thoroughfares/Streets: South Chadbourne Street & South Bryant Boulevard are classified as "major arterial streets" and are designed to connect collector streets to freeways and other arterials carrying large volumes of traffic at high speeds. Access is secondary and mobility is the primary function of these streets. Ben Ficklin Road is defined as a "local street" in this area and is designed to, "carry light neighborhood traffic at lower speeds and generally connect to collector streets." Zoning History: PD 07-01 Allowed for a Campground/RV Park on a portion of the property, and city leased property. PD 07-01 was amended in 2008 and allowed a Mobile Home to be placed on the site until March of 2011 if the Campground/RV Park was NOT fully developed. PD 07-01 was amended again in March of 2011 and allowed the mobile home to remain on the property until March 22, 2016 if the Campground/RV Park was NOT fully developed. Vision Plan Map: Neighborhood & Commercial Comp Plan Excerpts: Within the open space section of the Comprehensive Plan, goal one is to, "provide a balanced system of parks, open space, and recreational facilities in terms of function and location." Goal three of this open space section of the Comprehensive Plan states that the community should, "make efficient and valuable use of regional drainage ways." Special Information Traffic Concerns: For practical purposes, the property nearly has direct access to two major arterial roadways within the community. A proposal such as this on a property of this size has the possibility to draw large amounts of travelers. These roadways are designed to accommodate large flows of traffic at a higher speed, but with limited access points. Parking Requirements: Vary depending upon the uses and if the applicant chooses to erect structures accessory to the
  • 697.
    campground or not.A Campground/RV Park has no off-street parking requirements without any buildings/structures present. Signage Regulations: Section 12.604 of the Sign Ordinance "A nonresidential use sign shall be no larger than one half (0.50) square foot of sign area for one (1.00) linear foot of lot frontage, not to exceed a maximum of sixty-four (64) square feet." "A nonresidential use sign shall be no taller than one (1) foot of height for each foot of setback from the property line, not to exceed eight (8) feet in height. Five (5) feet of height is allowed at the property line, provided a ten (10) foot minimum setback is maintained from the curb line." "No more than one nonresidential use sign (1) per street frontage is allowed." "A nonresidential use sign must be set back ten (10) feet from the curb line or street edge or zero feet from the property line whichever is greater. Additionally, one (1) foot of additional setback is required for each additional foot of height in excess of five (5) feet." Parking Provided: No paved off-street parking spaces are currently provided. Density: Predominately vacant land and low-density residential development is present in this area Notification Required: Yes Notifications Sent: 10 Responses in Favor: 0 Responses in Opposition: 0 Analysis: In order to approve this zone change request, the City Council members are first required to consider the following criteria: 1. Compatible with Plans and Policies. Whether the proposed amendment is compatible with the Comprehensive Plan and any other land use policies adopted by the Planning Commission or City Council.
  • 698.
    2. Consistent withZoning Ordinance. Whether and the extent to which the proposed amendment would conflict with any portion of this Zoning Ordinance. 3. Compatible with Surrounding Area. Whether and the extent to which the proposed amendment is compatible with existing and proposed uses surrounding the subject land and is the appropriate zoning district for the land. 4. Changed Conditions. Whether and the extent to which there are changed conditions that require an amendment. 5. Effect on Natural Environment. Whether and the extent to which the proposed amendment would result in significant adverse impacts on the natural environment, including but not limited to water and air quality, noise, storm water management, wildlife, vegetation, wetlands and the practical functioning of the natural environment. 6. Community Need. Whether and the extent to which the proposed amendment addresses a demonstrated community need. 7. Development Patterns. Whether and the extent to which the proposed amendment would result in a logical and orderly pattern of urban development in the community. The staff recommendation is based upon the statements listed below. The property is zoned as R&E at this time, the least intensive of all zoning districts within the city limits. A campground will likely net the entrepreneurs some profit, however in terms of strictly land use, the campground is not a very intense use at all and is still residential in nature; this is intended for temporary living quarters, not permanent living. Staff has found that this proposal will be consistent with intent of the Vision Plan for the area and that the use will be consistent with the surrounding area and Zoning Ordinance. Given the isolation and the large portion of the property that is within the floodplain, a campground is an effective land use that will be a compliment to the area, as well as the highest and best use of the property. The isolation of this particular property and the fact that the floodplain covers a good deal of it leads staff to believe that temporary living quarters afforded to campgrounds and tourist cabins will be a good fit for the area. When floods or rainfall come to the area, Recreational Vehicles are fairly easy to move in a short amount of time. While the majority of the land use called for on this particular property within the Comprehensive Plan is "Neighborhood" staff finds this request still meets the intent of the Comprehensive Plan. This amendment will carry the exact same rules approved in 2007 by the Planning Commission and City Council and simply extend it to an area on the same property, a mere 650 feet to the west. The perceived and actual openness of a campground has a limited effect on the natural environment. The proximity to two major waterways this property sees is very unique and should not be taken lightly. The capacity of these waterways to handle storm water runoff is not a major issue due to the drainage characteristics of the property and proximity to the Red Arroyo and Concho River. It is believed that a campground will be
  • 699.
    a way topromote and protect the natural environment in this area through limited pavement and impervious surfaces. In addition, staff finds that a campground/rv park expansion on this property, will be a way to promote the enjoyment of the natural environment through vacationers and campers alike; this proximity and access to natural resources are exactly the intent of a camping/recreation opportunity and why staff finds this proposed expansion on this property in this area, appropriate both now and in the future. staff finds that accessibility to natural resources also fills a community need for the community members as well as visitors to our community. Aside from access roads and a few campground related structures, the overwhelming majority of the site will remain in a natural state. This property is highly unique within the community given the size and access to two waterways; the opportunity for recreation and vacation uses in this area has already been approved through a PD in 2007 as mentioned previously, this particular amendment will allow for a phasing of the project. The opportunity to run a campground within the bounds of an already established PD does serve a community need, especially given the abundance of natural resources in the area. This additional area encompassed by the Planned Development in this report, is intended to be a first phase, while the existing PD area is intended to be developed later on as a phase two. Under this proposed zone change, 51 additional RV sites (site total of 101 if this amendment is approved) would be included for vacation and camping opportunities and be provided as the attached site plan indicates. This proposal is not expected to alter land use patterns in place for the area. As previously mentioned this area is very low intensity and low density in nature. Allowing the property to be used as a campground fits the present development for the area and does not compromise the ability for the area to grow either. South Chadbourne Street and Ben Ficklin Road (in this general area anyway) are for all practical purposes, used to access recreation and open space land uses. Several fields and other natural open areas are present in this area accompanying the already approved PD 07-01; this extension onto an additional 10.8 acres is not expected to alter development in the area. The low density and low intensity development on this property and on the neighboring properties should continue on unhindered by this proposal. The open space and neighborhood envisioned areas called for within the Vision Plan portion of the Comprehensive Plan, should remain unaffected by this expansion as well. The expansion of this already approved campground and RV Park, are not anticipated to change development patterns or limit the potential for the area grow in the same predictable manner in the future due to the isolation of the property and proximity to natural resources. The overall acreage owned and leased by the applicant is just under 100 acres, approximately 30 acres (if this amendment were to be approved) of property would be zoned as PD allowing a campground/rv park with tourist cabins and horse boarding (for campers only). The maximum allowed RV units is 101 (60 on the already approved PD and 51 proposed to be added with this amendment) 101 RV's on 30 acres is about three and 1/3rd (3.36) RV's per acre, an extremely low overall density. When looking at the entire site the applicant owns (comprising PD and Ranch & Estate zoning) nearly 100
  • 700.
    acres, this densitycomes out to be about one RV per acre, an extremely low overall density that staff finds preserves the openness of this general area. This overall low density, meets the intent of a campground and RV park as currently defined within the Zoning Ordinance. The openness that is preserved through the adherence to site plans with specific site locations and amounts of spaces is the most control the Zoning Ordinance affords to the community and members of the Planning Commission. The applicant is required to do exactly what the approved PD 07-01 Ordinance calls for, as well as follow the site plans which are a part of the ordinance. The PD will not allow this vast site to become a free-for-all parking lot of RV's with no restrictions; this strict control allows for the most consistent and predictability of development within the community, a fact that solidifies the purpose and intent of the Zoning Ordinance and Comprehensive Plan and the goals for this area. For all of these reasons, staff finds this use consistent with all criteria mandated of the request and recommends approval of this expanded area within the bounds of PD 07-01. Proposed Conditions Conditions are listed in Section Five of approved ordinance referring to PD 07-01 in the attached ordinance at the end of this report. The Ordinance accompanying this report as a draft simply adds this site plan and area to the requirements from PD 07-01. Attachments: excerpt from zoning map, showing the general location within the City of San Angelo; excerpt from zoning map, highlighting subject property; aerial photo, highlighting subject property; excerpt from the Comprehensive Plan Vision Map highlighting the subject property; and draft Planning Commission minutes from March 18 meeting; citizen responses; applicant's presentation; approved PD 07-01 ordinance from 2007; approved PD 07-01 site plan from 2007; and draft ordinance with site plan incorporating this new "phase one" area into PD 07-01. Presentation: Jeff Hintz, Interim Senior Planner
  • 705.
    D. PD 07-01(2013 Amendment): Carrie & John Maier and Glenn & Peggy Rosser A request for approval of a zone change from Ranch & Estate (R&E) to Planned Development (PD) district to allow for a "Campground /Recreational Vehicle Park" as allowed in PD 07-01, approved in March of 2007, and to which the property described below is proposed to be added via an amendment: 3512 Ben Ficklin Road, located approximately 200 feet east from the intersection of Ben Ficklin Road and South Bryant Boulevard. This property specifically occupies approximately 10.8 acres in the southwest portion of a 73.9 acre tract of the E Hermes Survey 0174 Abstract 0349 in south central San Angelo. Jeff Hintz, Planner, came forward to present this request, consistent with the staff recommendation of approval. Five notifications were sent out, with one returned in favor and zero in opposition. Two letters in favor and one in opposition - which are outside of the notification area - were also sent in to city staff. Mr. Hintz familiarized the Commissioners with the property. The Vision Plan map for the area calls for a mostly "Neighborhood" designation. The property is immediately adjacent to the PD district already in place, and is intended to be a continuation of the PD, to be accomplished with a formalized amendment. This amendment would allow for the addition of property to this existing PD district, while utilizing the same regulations that are already in place within this PD ordinance. The request is compatible with the area and there should be little effect on the natural environment. Mr. Hintz reviewed the comments that came from other internal and external parties in the review of the proposal. RV park development is a better fit for an area of this nature and fits in with an "open space" designation. The intent of this RV park is consistent with the Zoning Ordinance which is currently written. The PD is the most predictable and consistent development type within the City limits, and the same rules and regulations will apply which have been in place since 2007. The specific site plan must be followed, and this proposal is unique from any other request for this type of usage because of its location, proximity to an existing PD district, intent matching the use classification, and application of rules previously established which the Planning Commission approved at one time. Peggy Rosser, applicant, came forward to speak in favor of this request. Ms. Rosser provided a packet of information to the Planning Commission which supports their request. Their intent is to build an RV Park, not a work camp. Ms. Rosser described each of the exhibits in the packets. A copy of this packet is maintained as part of the minute record. The packet includes examples of manufactured housing parks in San Angelo, as well as RV sales lots. The packet also includes letters of support from various parties for this proposal as presented. Ms. Rosser provided some quotes from the letters of support, including some from the Chamber of Commerce, Convention & Visitors Bureau, Angelo RV, and two citizens of San Angelo who own property immediately nearby. The argument was made that equine tourism, recreational-based travelers, and seasonal travelers are beneficial to attract for San Angelo. After reviewing some of the quotes from these letters, Ms. Rosser asked if there were any questions.
  • 706.
    Joe Grimes askedMs. Rosser a bit about the nature of the RV park and explained that their project was not necessarily the same type of endeavor as the other RV parks which have been brought to the Planning Commission in recent months. Teri Jackson, with the Century Park Homeowners Association, came forward to speak in opposition on this matter. They are within 1200' of the proposal PD district. They have submitted a letter with 33 homeowners in opposition who signed it, which was presented to the Commissioners. Jennifer Boggs asked Ms. Jackson why the group was in opposition to the request. Ms. Boggs asked Ms. Jackson if she has been on the property, and Ms. Jackson replied that she had not. Ms. Jackson stated that Ben Ficklin Road is a very small road and would be a difficult entrance. Mr. Wynne asked if the objection was based on the perception of a work camp and not on a RV park for recreational type of usage. Mr. Smith explained that he too, like Ms. Boggs, did not understand the rationale behind the opposition. Mr. Lawrence wanted to identify the reasons for the objection. The only reason for objection articulated was that Phase I had not yet been developed. Kandi Pool, speaking for the Association of Realtors, came forward to explain that they are in opposition to this request. She explained that other requests have been tabled and that they ask that this request be handled the same way. Mr. Lawrence explained that the previous case was intended for long-term living, while this case is focused on the type of limitations which the current ordinance allows - being recreational in nature. There is, as such, a clear distinction between the two. Mr. Wynne asked Mr. Hintz to provide the packet to Ms. Pool for her review. Ms. Pool expressed that they want to make sure that there will be a proliferation for campgrounds throughout the city for different reasons. Ms. Pool asked that the Commission wait for the joint meeting to be held. No one else came forward to speak on this matter. Darlene Jones explained that the concept is a great concept and the presentation was done well. However, she feels that there should be examination of the area. Mr. Hintz spoke about the differences of this project because the PD ordinance is tailor-made for this property, rather than simply being open to anything under the use category. Jennifer Boggs stated that the letters of support were important and should be considered in the evidence of the case. Ms. Boggs also explained that there is, and has been articulated, a clear line of distinction between the work camp issue and a recreational use. Mr. Smith stated that he was surprised to see Commission members apologize for "pigeon-holing" the project in a previous hearing but then go ahead and "pigeon-hole" it by tabling it. Mr. Smith continued to state that this is a different matter. Motion, to approve as presented, was made by Ryan Smith and seconded by Jennifer Boggs. The motion passed by a vote of 5-1 with Darlene Jones opposed.
  • 731.
    AN ORDINANCE AMENDINGCHAPTER 12, EXHIBIT “A” OF THE CODE OF ORDINANCES, CITY OF SAN ANGELO, TEXAS, WHICH SAID EXHIBIT “A” OF CHAPTER 12 ADOPTS ZONING REGULATIONS, USE DISTRICTS AND A ZONING MAP, IN ACCORDANCE WITH A COMPREHENSIVE PLAN, BY CHANGING THE ZONING AND CLASSIFICATION OF THE FOLLOWING PROPERTY, TO WIT: 3512 Ben Ficklin Road, located approximately 200 feet east from the intersection of Ben Ficklin Road and South Bryant Boulevard. This property specifically occupies approximately 10.8 acres in the southwest portion of a 73.9 acre tract of the E Hermes Survey 0174 Abstract 0349 in south central San Angelo, as indicated in Exhibit B of this Ordinance, changing the zoning classification from Ranch & Estate (R&E) to Planned Development (PD) District; PROVIDING FOR SEVERABILITY AND PROVIDING A PENALTY RE: PD 07-01 (2013 amendment): Carrie & John Maier and Glenn & Peggy Rosser WHEREAS, the Planning Commission for the City of San Angelo and the governing body for the City of San Angelo, in compliance with the charter and the state law with reference to zoning regulations and a zoning map, have given requisite notice by publication and otherwise, and after holding hearings and affording a full and fair hearing to all property owners and persons interested, generally, and to persons situated in the affected area and in the vicinity thereof, is of the opinion that zoning changes should be made as set out herein; WHEREAS, the applicants seek to develop the property in a phased approach and wish to include an additional area of property within their ownership to the development as approved and adopted on March 6, 2007; NOW THEREFORE, BE IT ORDAINED BY THE CITY OF SAN ANGELO: SECTION 1: That the basic zoning ordinance for the City of San Angelo, as enacted by the governing body for the City of San Angelo on January 4, 2000 and included within Chapter 12 of the Code of Ordinances for the City of San Angelo, be and the same is hereby amended insofar as the property hereinafter set forth, and said ordinance generally and the zoning map shall be amended insofar as the property hereinafter described: 3512 Ben Ficklin Road, located approximately 200 feet east from the intersection of Ben Ficklin Road and South Bryant Boulevard. This property specifically occupies approximately 10.8 acres in the southwest portion of a 73.9 acre tract of the E Hermes Survey 0174 Abstract 0349 in south central San Angelo, as indicated on Exhibit B of this Ordinance shall henceforth be permanently zoned as follows: Planned Development (PD) District. The Director of Planning is hereby directed to correct zoning district maps in the office of the Director of Planning, to reflect the herein described changes in zoning.
  • 732.
    SECTION 2: Thatin all other respects, the use of the hereinabove described property shall be subject to all applicable regulations contained in Chapter 12 of the Code of Ordinances for the City of San Angelo, as amended. SECTION 3: That the following severability clause is adopted with this amendment: SEVERABILITY: The terms and provisions of this Ordinance shall be deemed to be severable in that, if any portion of this Ordinance shall be declared to be invalid, the same shall not affect the validity of the other provisions of this Ordinance. SECTION 4: That the following penalty clause is adopted with this amendment: PENALTY: Any person who violates any provisions of this article shall be guilty of a misdemeanor and, upon conviction, shall be subject to a fine as provided for in Section 1.106 of the Code of Ordinances for the City of San Angelo. Each day of such violation shall constitute a separate offense. SECTION 5: That the ordinance approved by the governing body for the City of San Angelo on March 6, 2007 amending the basic zoning ordinance for the City of San Angelo, which said amending ordinance is referenced as PD 07-01and which concerns a certain 6.608-acre tract and a 14.199 acre tract out of the E. Hermes Survey 0174 Abstract 0349 in the City of San Angelo, Tom Green County, Texas, shall be and the same is hereby amended insofar as a certain Paragraph B in Section 5, adding the site plan referenced in Exhibit A of this ordinance to the area encompassed by PD 07-01. INTRODUCED on the 2nd day of April, 2013 and finally PASSED, APPROVED AND ADOPTED on this the 16th day of April, 2013. THE CITY OF SAN ANGELO ____________________________________ Alvin New, Mayor ATTEST: ________________________________ Alicia Ramirez, City Clerk
  • 733.
    Approved As ToContent: Approved As To Form: _________________________ ________________________ AJ Fawver, Interim Director of Lysia H. Bowling, City Attorney Development Services
  • 735.
  • 737.
    BEN FICKLIN ROAD M M
  • 738.
    AN ORDINANCE AMENDINGCHAPTER 12, EXHIBIT “A” OF THE CODE OF ORDINANCES, CITY OF SAN ANGELO, TEXAS, WHICH SAID EXHIBIT “A” OF CHAPTER 12 ADOPTS ZONING REGULATIONS, USE DISTRICTS AND A ZONING MAP, IN ACCORDANCE WITH A COMPREHENSIVE PLAN, BY CHANGING THE ZONING AND CLASSIFICATION OF THE FOLLOWING PROPERTY, TO WIT: 3512 Ben Ficklin Road, located approximately 200 feet east from the intersection of Ben Ficklin Road and South Bryant Boulevard. This property specifically occupies approximately 10.8 acres in the southwest portion of a 73.9 acre tract of the E Hermes Survey 0174 Abstract 0349 in south central San Angelo, as indicated in Exhibit B of this Ordinance, changing the zoning classification from Ranch & Estate (R&E) to Planned Development (PD) District; PROVIDING FOR SEVERABILITY AND PROVIDING A PENALTY RE: PD 07-01 (2013 amendment): Carrie & John Maier and Glenn & Peggy Rosser WHEREAS, the Planning Commission for the City of San Angelo and the governing body for the City of San Angelo, in compliance with the charter and the state law with reference to zoning regulations and a zoning map, have given requisite notice by publication and otherwise, and after holding hearings and affording a full and fair hearing to all property owners and persons interested, generally, and to persons situated in the affected area and in the vicinity thereof, is of the opinion that zoning changes should be made as set out herein; WHEREAS, the applicants seek to develop the property in a phased approach and wish to include an additional area of property within their ownership to the development as approved and adopted on March 6, 2007; NOW THEREFORE, BE IT ORDAINED BY THE CITY OF SAN ANGELO: SECTION 1: That the basic zoning ordinance for the City of San Angelo, as enacted by the governing body for the City of San Angelo on January 4, 2000 and included within Chapter 12 of the Code of Ordinances for the City of San Angelo, be and the same is hereby amended insofar as the property hereinafter set forth, and said ordinance generally and the zoning map shall be amended insofar as the property hereinafter described: 3512 Ben Ficklin Road, located approximately 200 feet east from the intersection of Ben Ficklin Road and South Bryant Boulevard. This property specifically occupies approximately 10.8 acres in the southwest portion of a 73.9 acre tract of the E Hermes Survey 0174 Abstract 0349 in south central San Angelo, as indicated on Exhibit B of this Ordinance shall henceforth be permanently zoned as follows: Planned Development (PD) District. The Director of Planning is hereby directed to correct zoning district maps in the office of the Director of Planning, to reflect the herein described changes in zoning.
  • 739.
    SECTION 2: Thatin all other respects, the use of the hereinabove described property shall be subject to all applicable regulations contained in Chapter 12 of the Code of Ordinances for the City of San Angelo, as amended. SECTION 3: That the following severability clause is adopted with this amendment: SEVERABILITY: The terms and provisions of this Ordinance shall be deemed to be severable in that, if any portion of this Ordinance shall be declared to be invalid, the same shall not affect the validity of the other provisions of this Ordinance. SECTION 4: That the following penalty clause is adopted with this amendment: PENALTY: Any person who violates any provisions of this article shall be guilty of a misdemeanor and, upon conviction, shall be subject to a fine as provided for in Section 1.106 of the Code of Ordinances for the City of San Angelo. Each day of such violation shall constitute a separate offense. SECTION 5: That the ordinance approved by the governing body for the City of San Angelo on March 6, 2007 amending the basic zoning ordinance for the City of San Angelo, which said amending ordinance is referenced as PD 07-01and which concerns a certain 6.608-acre tract and a 14.199 acre tract out of the E. Hermes Survey 0174 Abstract 0349 in the City of San Angelo, Tom Green County, Texas, shall be and the same is hereby amended insofar as a certain Paragraph B in Section 5, adding the site plan referenced in Exhibit A of this ordinance to the area encompassed by PD 07-01. INTRODUCED on the 2nd day of April, 2013 and finally PASSED, APPROVED AND ADOPTED on this the 16th day of April, 2013. THE CITY OF SAN ANGELO ____________________________________ Alvin New, Mayor ATTEST: ________________________________ Alicia Ramirez, City Clerk
  • 740.
    Approved As ToContent: Approved As To Form: _________________________ ________________________ AJ Fawver, Interim Director of Lysia H. Bowling, City Attorney Development Services
  • 742.
  • 744.
    AN ORDINANCE AMENDINGCHAPTER 12, EXHIBIT “A” OF THE CODE OF ORDINANCES, CITY OF SAN ANGELO, TEXAS, WHICH SAID EXHIBIT “A” OF CHAPTER 12 ADOPTS ZONING REGULATIONS, USE DISTRICTS AND A ZONING MAP, IN ACCORDANCE WITH A COMPREHENSIVE PLAN, BY CHANGING THE ZONING AND CLASSIFICATION OF THE FOLLOWING PROPERTY, TO WIT: 1205 South Jackson Street; located approximately 75 feet southwest from the intersection at South Jackson Street and West Avenue H. This property specifically occupies the South Heights Addition, Block 6, Lots 2 and 3, in southwest San Angelo, changing the zoning classification from a Single Family Residential (RS-1) to a Two-Family Residential (RS-2) District; PROVIDING FOR SEVERABILITY AND PROVIDING A PENALTY RE: Z 13-08: Cho Walker WHEREAS, the Planning Commission for the City of San Angelo and the governing body for the City of San Angelo, in compliance with the charter and the state law with reference to zoning regulations and a zoning map, have given requisite notice by publication and otherwise, and after holding hearings and affording a full and fair hearing to all property owners and persons interested, generally, and to persons situated in the affected area and in the vicinity thereof, is of the opinion that zoning changes should be made as set out herein; NOW THEREFORE, BE IT ORDAINED BY THE CITY OF SAN ANGELO: SECTION 1: That the basic zoning ordinance for the City of San Angelo, as enacted by the governing body for the City of San Angelo on January 4, 2000 and included within Chapter 12 of the Code of Ordinances for the City of San Angelo, be and the same is hereby amended insofar as the property hereinafter set forth, and said ordinance generally and the zoning map shall be amended insofar as the property hereinafter described: 1205 South Jackson Street; located approximately 75 feet southwest from the intersection at South Jackson Street and West Avenue H. This property specifically occupies the South Heights Addition, Block 6, Lots 2 and 3, in southwest San Angelo, shall henceforth be permanently zoned as follows: Two-Family Residential (RS-2) District. The Director of Planning is hereby directed to correct zoning district maps in the office of the Director of Planning, to reflect the herein described changes in zoning. SECTION 2: That in all other respects, the use of the hereinabove described property shall be subject to all applicable regulations contained in Chapter 12 of the Code of Ordinances for the City of San Angelo, as amended. SECTION 3: That the following severability clause is adopted with this amendment: SEVERABILITY:
  • 745.
    The terms andprovisions of this Ordinance shall be deemed to be severable in that, if any portion of this Ordinance shall be declared to be invalid, the same shall not affect the validity of the other provisions of this Ordinance. SECTION 4: That the following penalty clause is adopted with this amendment: PENALTY: Any person who violates any provisions of this article shall be guilty of a misdemeanor and, upon conviction, shall be subject to a fine as provided for in Section 1.106 of the Code of Ordinances for the City of San Angelo. Each day of such violation shall constitute a separate offense. INTRODUCED on the 2nd day of April, 2013 and finally PASSED, APPROVED AND ADOPTED on this the 16th day of April, 2013. THE CITY OF SAN ANGELO ____________________________________ Alvin New, Mayor ATTEST: ________________________________ Alicia Ramirez, City Clerk Approved As To Content: Approved As To Form: _________________________ ________________________ AJ Fawver, Planning Manager Lysia H. Bowling, City Attorney
  • 746.
    City of SanAngelo Memo Meeting Date: April 2, 2013 To: City Council members From: Roxanne Johnston, Planner Subject: Z13-08: Cho Walker. A request for approval of a zone change from Single-Family Residential (RS-1) to Two-Family Residential (RS-2) to specifically allow for “Household Living” as defined in Section 313.B. of the Zoning Ordinance and as allowed in RS-2 zoning districts on the following property: Location: 1205 South Jackson Street; located approximately 75 feet southwest from the intersection at South Jackson Street and West Avenue H. This property specifically occupies the South Heights Addition, Block 6, Lots 2 and 3, in southwest San Angelo. Purpose: Approval or modification of this request by the Planning Commission would forward the recommendation to City Council for a final decision on the matter. Contacts: Cho Walker 325-763-8606 Roxanne Johnston, Planner 325-657-4210 Caption: First Public Hearing and consideration of introduction of an Ordinance amending Chapter 12, Exhibit “A” (Zoning Ordinance) of the Code of Ordinances, City of San Angelo Z 13-08: Cho Walker AN ORDINANCE AMENDING CHAPTER 12, EXHIBIT “A” OF THE CODE OF ORDINANCES, CITY OF SAN ANGELO, TEXAS, WHICH SAID EXHIBIT “A” OF CHAPTER 12 ADOPTS ZONING REGULATIONS, USE DISTRICTS AND A ZONING MAP, IN ACCORDANCE WITH A COMPREHENSIVE PLAN,
  • 747.
    BY CHANGING THEZONING AND CLASSIFICATION OF THE FOLLOWING PROPERTY, TO WIT: 1205 South Jackson Street; located approximately 75 feet southwest from the intersection at South Jackson Street and West Avenue H. This property specifically occupies the South Heights Addition, Block 6, Lots 2 and 3, in southwest San Angelo, changing the zoning classification from a Single Family Residential (RS-1) to a Two-Family Residential (RS-2) District; PROVIDING FOR SEVERABILITY AND PROVIDING A PENALTY Summary: The City Council may: (1) Approve the proposed zone change; (2) Remand the application back to Planning Commission for further discussion, in which case another public hearing will need to be scheduled. (3) Deny the proposed zone change Recommendation: City staff recommends approving the proposed zone change. On March 18, 2013, the Planning Commission recommended approval of this request by a unanimous vote of 6-0. History and Background: The subject property encompasses two lots and measures approximately 1/3 of an acre. The existing home was built in the early 1940s. Santa Rita Park and Santa Rita Elementary School are located nearby, less than ¼ mile to the east. Proximity to these locations allows opportunities for recreational, educational and social opportunities for the surrounding area. Additionally, the subject property is situated well under a ½ mile in to South Beauregard Avenue to the north and West Avenue N to the south. These two locations generally provide commercial opportunities to the subject property and the neighborhood, overall. The applicant is seeking this zone change in order to convert an existing accessory building into an accessory apartment. Although many such structures are in place within the surrounding area, there are two properties that have been rezoned to RS-2. The closest, 1313 South Jackson Street, houses a two story duplex and was rezoned in 1965. It is less than 500 feet south from the subject property.
  • 748.
    Another such RS-2zone is located southwest at 1428 West Tyler Street. This last property lies approximately 2000 feet from the subject property with an accessory apartment situated towards the rear of the property. General Information Existing Zoning: Single Family Residential (RS-1) Existing Land Use: Residence Surrounding Zoning/Land Use: North: RS-1 Single-family Residential West: RS-1 Single-Family Residential South: RS-1 Single-Family Residential East: RS-1 Single-Family Residential Thoroughfares/Streets: South Jackson Street and West Avenue H are defined as “local streets” which are designed to carry light neighborhood traffic at lower speeds and generally connect to collector streets. Zoning History: The property has been a part of the city limits since at least 1949 with little change to residential zoning and uses to the immediate area. Applicable Regulations: Allowed uses for this property can be found in Section 310 (Use Table) of the Zoning Ordinance. Development Standards: Residential development setbacks are outlined in Section 501 of the Zoning Ordinance. Vision Plan Map: Neighborhood for the subject property and surrounding area. Related Comp Plan Excerpts: “Create new physical connections to neighborhoods lined with transitional and intermediate uses." "Promote neighborhood diversity and
  • 749.
    security by encouraginga mix of age, income, and housing choices within San Angelo's neighborhoods.” "Encourage in-fill development sensitive to the existing and desired content of the area” “All residents within each neighborhood boundary should be able to meet their daily needs within a reasonable and accessible distance from their home.” "Variety of residential product types - multi-family, townhomes, courtyard homes, patio homes, etc." Establish transition areas to better "scale- down" intensity of use from commercial centers to neighborhoods." Special Information Traffic Concerns: Changing the zoning to RS-2 will create little impact on the volume of traffic than if the property remained as-is. Parking Requirements: New residential units require a minimum of two off-street parking spaces. All areas used for off-street parking shall be paved, per Section 511.F.3 of the Zoning Ordinance. Parking Provided: Off-street paved parking is provided. Density: Surrounding uses are predominately residential in nature, with the majority of the structures being single-stories. Notification Required: Yes Notifications Sent: 20 Responses in Favor: 0 Responses in Opposition: 3 Analysis:
  • 750.
    In order toapprove this Zone change request, City Council members are first required to consider the following criteria: 1. Compatible with Plans and Policies. Whether the proposed amendment is compatible with the Comprehensive Plan and any other land use policies adopted by the Planning Commission or City Council. 2. Consistent with Zoning Ordinance. Whether and the extent to which the proposed amendment would conflict with any portion of this Zoning Ordinance. 3. Compatible with Surrounding Area. Whether and the extent to which the proposed amendment is compatible with existing and proposed uses surrounding the subject land and is the appropriate zoning district for the land. 4. Changed Conditions. Whether and the extent to which there are changed conditions that require an amendment. 5. Effect on Natural Environment. Whether and the extent to which the proposed amendment would result in significant adverse impacts on the natural environment, including but not limited to water and air quality, noise, storm water management, wildlife, vegetation, wetlands and the practical functioning of the natural environment. 6. Community Need. Whether and the extent to which the proposed amendment addresses a demonstrated community need. 7. Development Patterns. Whether and the extent to which the proposed amendment would result in a logical and orderly pattern of urban development in the community. The staff recommendation is based upon the statements listed below. The applicant is seeking a zone change in order to convert an existing accessory building into an apartment. This zone change request from RS-1 to RS-2 is only a slight change from current zoning and staff has discovered that this proposed change is in keeping with the 7 criteria listed above, all of which will be explained in the following. A zone change to RS-2 would allow the owner and future owners to enjoy the same residential uses that are allowed by right as current zoning with just one exception: it allows for an accessory apartment on the property and the occupancy rate would increase slightly. As mentioned earlier under the “History and Background” portion of this report, the subject property is comprised of two lots. A lot size of an approximately 1/3 of an acre makes a zone change here
  • 751.
    more attractive thanif the request were made on a piece of property half the size of the subject property. Because of this minute difference in residential uses, and with the lot being larger than many in the area, the proposed zone change remains consistent and compatible with both the Zoning Ordinance and Comprehensive Plan and meets the requirements of Criteria 1. Since there would be no conflict in land use or the building requirements outlined in the Zoning Ordinance, the proposed zone change would also be consistent with the Zoning Ordinance and meets the intent of Criteria 2. Traffic would be minimally impacted and the use would remain compatible with the surrounding area. Additionally, the property has a spacious paved curved driveway that can easily provide 3 additional off street parking opportunities along with the two car garage attached to the primary residence. The subject property lies amid an older, more established medium-density residential area and is situated less than a half mile to commercial areas located along West Beauregard Avenue and West Avenue N. Also, Santa Rita Park and Santa Rita Elementary are within 500 feet of the subject property. The proximity to these commercial opportunities can be ideal for pedestrian and bicycle uses. Staff found many accessory structures in the subject property neighborhood and discovered two instances of zone changes from RS-1 to RS-2. These illustrate precedence by the Planning Commission and City Council to allow a mix of housing stock to the area, which was and still is in keeping with the Comprehensive Plan, so allowing an additional zone change here would be appropriate. As previously mentioned, traffic would be minimally impacted with a zone change and the use would remain compatible with the surrounding area and therefore meets with the conditions of Criteria 3. Conditions would remain relatively the same should the zone change be approved. The Vision Plan calls for the subject property to remain as ‘Neighborhood’ in nature. Therefore, the zone change request is consistent with aspects of the Vision Plan and will likely have a positive impact on current and future land uses. RS-2 zoning here for an accessory apartment could also encourage redevelopment and provide encouragement for future neighborhood development that would be compatible with surrounding uses, including Santa Rita Elementary School and Santa Rita Park to the east. This zoning request would have minimal negative impacts on the natural environment, again, since there is a little change between RS-1 and RS-2 uses. Storm water runoff to the area would remain unchanged since the building is already in place. Traffic would be the only factor increasing and impacting the area, and again, this would be a negligible change since only one apartment would be in use on the subject property and would most likely not negatively affect neighboring properties if all conditions of the Zoning Ordinance are satisfied.
  • 752.
    San Angelo isexperiencing a need for increased housing stock as our population has been increasing. According to the United States Census Bureau, population increased by nearly 5,000 between the years 2000 and 2010. 1 In this instance, an existing structure would be reconditioned to provide more housing to assist with community need, so Criteria 6 would continue to be met with the approval of a zone change here. Also addressing community need is this: the proposed area is situated in what contains several potential components of a walk-able community from a Smart Growth point of view. Smart Growth, can be defined as “development that serves the economy, the community and the environment”2 and promotes strong neighborhoods through choices in transportation and housing. Smart Growth also offers a higher level of social interaction, reduced emissions caused by automobile travel and greater opportunities for physical opportunity that are brought about by higher pedestrian and bicycling uses. Both Santa Rita Elementary and Santa Rita Park are located less than 500 feet east of the subject property, between South Monroe and South Madison Streets. Commercial access exists less than a half a mile north from the subject property along West Beauregard Avenue and also along West Avenue N, which is located less than a half mile south from the subject property. These are just three examples of current locations where area residents have reasonable pedestrian and bicycle access to and illustrate how the subject property has several desirable Smart Growth traits. In addition to meeting Criteria 1-6, staff feels this zone change request is in keeping with Criteria 7. A rezone to RS-2 is most certainly a logical progression in terms of development patterns. Again, the change is very slight from the current zoning and the Vision Plan calls for the area to remain residential. A rezone to RS-2 would have little negative impact on the area, and again, could help encourage future development in a predictable, orderly manner which is exactly the intent of the Comprehensive Plan and Zoning Ordinance. Proposed Conditions N/A Attachments: Excerpt from zoning map, showing the general location within the City of San Angelo; excerpt from zoning map, highlighting subject property; 1 www.quickfacts.census.gov (accessed 01/18/13). 2 www.smartgrowthpa.org (accessed 01/22/13).
  • 753.
    aerial photo, highlightingsubject property; and excerpt from the Comprehensive Plan Vision map highlighting the subject property. notification map highlighting responses from neighboring properties; citizen response letters; draft minutes from March 18, 2013 Planning Commission meeting; and ` draft ordinance Presentation: AJ Fawver, Interim Director of Development Services Reviewed by: Jeff Hintz, Interim Senior Planner (03/09/13)
  • 757.
  • 762.
    MINUTE RECORD OFTHE CITY OF SAN ANGELO PLANNING COMMISSION MEETING HELD ON MONDAY, March 18, 2013 AT 9:00 AM IN THE SOUTH MEETING ROOM OF THE SAN ANGELO CONVENTION CENTER, 500 RIO CONCHO DRIVE, SAN ANGELO, TEXAS PRESENT: Joe Grimes, Bill Lawrence, Jennifer Boggs, Darlene Jones, Bill Wynne, Ryan Smith ABSENT: Sebastian Guerrero (AE) STAFF: AJ Fawver, Interim Director of Development Services Lysia Bowling, City Attorney Al Torres, Building Official Jeff Hintz, Interim Senior Planner Kevin Boyd, Planner Roxanne Johnston, Planner VII. Requests for Zone Change. [Planning Commission makes recommendation; City Council has final authority for approval.] A. Z 13-08 Cho Walker A request for approval of a zone change from Single-Family Residential (RS- 1) to Two-Family Residential (RS-2) to specifically allow for “Household Living” as defined in Section 313.B. of the Zoning Ordinance and as allowed in RS-2 zoning districts on the following property: 1205 South Jackson Street; located approximately 75 feet southwest from the intersection at South Jackson Street and West Avenue H. This property specifically occupies the South Heights Addition, Block 6, Lots 2 and 3, in southwest San Angelo. Roxanne Johnston, Planner, came forward to present this case, consistent with the staff recommendation of approval. Twenty notifications were sent out, with three returned in opposition to the request. She described briefly the concerns that were outlined. There is predominant RS-1 zoning throughout the area, and the subject property actually sits on two lots. The applicant would like to have a full accessory apartment on the premises. The properties responding in opposition to the request were shown. The Vision Plan map calls for a "neighborhood" designation at this location. Ms. Johnston gave some other background on the ordinance requirements for accessory apartments. Staff explained that the zoning change was needed because a full-fledged apartment (encompassing both a bathroom and a kitchen) would be a full second living unit. An RS-1 zoning district only allows one living unit per lot. In this case, the property is actually two lots, making it unique. Conceivably, if the current buildings were removed, one residence could be constructed on each of those lots. As such, the only thing preventing this occurring now is the limitations of the current buildings and setbacks.
  • 763.
    Cho Walker cameup to speak. Bill Wynne asked if someone will be occupying the residence. Ms. Walker mentioned that her sister will be occupying it permanently. She mentions that her sister is ill and that she would care for her. Ms. Boggs asked if there would be any changes to the existing structure. Ms. Walker responsed no. there are no changes expected to the building. Ryan Smith asked about the terms of renting. Staff explained the differences between a full accessory apartment and a "mother-in-law suite". The former has both a bath and a kitchen, while the latter has one or the other, not both. Motion, to approve, was made by Ryan Smith and seconded by Darlene Jones. The motion passed unanimously, 6-0.
  • 764.
    AN ORDINANCE AMENDINGCHAPTER 12, EXHIBIT “A” OF THE CODE OF ORDINANCES, CITY OF SAN ANGELO, TEXAS, WHICH SAID EXHIBIT “A” OF CHAPTER 12 ADOPTS ZONING REGULATIONS, USE DISTRICTS AND A ZONING MAP, IN ACCORDANCE WITH A COMPREHENSIVE PLAN, BY CHANGING THE ZONING AND CLASSIFICATION OF THE FOLLOWING PROPERTY, TO WIT: 1205 South Jackson Street; located approximately 75 feet southwest from the intersection at South Jackson Street and West Avenue H. This property specifically occupies the South Heights Addition, Block 6, Lots 2 and 3, in southwest San Angelo, changing the zoning classification from a Single Family Residential (RS-1) to a Two-Family Residential (RS-2) District; PROVIDING FOR SEVERABILITY AND PROVIDING A PENALTY RE: Z 13-08: Cho Walker WHEREAS, the Planning Commission for the City of San Angelo and the governing body for the City of San Angelo, in compliance with the charter and the state law with reference to zoning regulations and a zoning map, have given requisite notice by publication and otherwise, and after holding hearings and affording a full and fair hearing to all property owners and persons interested, generally, and to persons situated in the affected area and in the vicinity thereof, is of the opinion that zoning changes should be made as set out herein; NOW THEREFORE, BE IT ORDAINED BY THE CITY OF SAN ANGELO: SECTION 1: That the basic zoning ordinance for the City of San Angelo, as enacted by the governing body for the City of San Angelo on January 4, 2000 and included within Chapter 12 of the Code of Ordinances for the City of San Angelo, be and the same is hereby amended insofar as the property hereinafter set forth, and said ordinance generally and the zoning map shall be amended insofar as the property hereinafter described: 1205 South Jackson Street; located approximately 75 feet southwest from the intersection at South Jackson Street and West Avenue H. This property specifically occupies the South Heights Addition, Block 6, Lots 2 and 3, in southwest San Angelo, shall henceforth be permanently zoned as follows: Two-Family Residential (RS-2) District. The Director of Planning is hereby directed to correct zoning district maps in the office of the Director of Planning, to reflect the herein described changes in zoning. SECTION 2: That in all other respects, the use of the hereinabove described property shall be subject to all applicable regulations contained in Chapter 12 of the Code of Ordinances for the City of San Angelo, as amended. SECTION 3: That the following severability clause is adopted with this amendment: SEVERABILITY:
  • 765.
    The terms andprovisions of this Ordinance shall be deemed to be severable in that, if any portion of this Ordinance shall be declared to be invalid, the same shall not affect the validity of the other provisions of this Ordinance. SECTION 4: That the following penalty clause is adopted with this amendment: PENALTY: Any person who violates any provisions of this article shall be guilty of a misdemeanor and, upon conviction, shall be subject to a fine as provided for in Section 1.106 of the Code of Ordinances for the City of San Angelo. Each day of such violation shall constitute a separate offense. INTRODUCED on the 2nd day of April, 2013 and finally PASSED, APPROVED AND ADOPTED on this the 16th day of April, 2013. THE CITY OF SAN ANGELO ____________________________________ Alvin New, Mayor ATTEST: ________________________________ Alicia Ramirez, City Clerk Approved As To Content: Approved As To Form: _________________________ ________________________ AJ Fawver, Planning Manager Lysia H. Bowling, City Attorney
  • 766.
    AN ORDINANCE AMENDINGCHAPTER 12, EXHIBIT “A” OF THE CODE OF ORDINANCES, CITY OF SAN ANGELO, TEXAS, WHICH SAID EXHIBIT “A” OF CHAPTER 12 ADOPTS ZONING REGULATIONS, USE DISTRICTS AND A ZONING MAP, IN ACCORDANCE WITH A COMPREHENSIVE PLAN, BY CHANGING THE ZONING AND CLASSIFICATION OF THE FOLLOWING PROPERTY, TO WIT: a 7.938 acres at southwest corner of South Oxford Drive and A&M Avenue in southwestern San Angelo, amending the zoning classification from a Planned Development (PD) District (PD 07- 03) previously approved for assisted group living to specifically add allowance for the operation of a gymnastics academy; PROVIDING FOR SEVERABILITY AND PROVIDING A PENALTY RE: Z 13-09 AKA PD 07-03 (2013 Amendment): Jack Gabriel WHEREAS, the Planning Commission for the City of San Angelo and the governing body for the City of San Angelo, in compliance with the charter and the state law with reference to zoning regulations and a zoning map, have given requisite notice by publication and otherwise, and after holding hearings and affording a full and fair hearing to all property owners and persons interested, generally, and to persons situated in the affected area and in the vicinity thereof, is of the opinion that zoning changes should be made as set out herein; NOW THEREFORE, BE IT ORDAINED BY THE CITY OF SAN ANGELO: SECTION 1: That the ordinance approved by the governing body for the City of San Angelo on August 21, 2007, amending the basic zoning ordinance for the City of San Angelo, which said amending ordinance is referenced as PD 07-03 and which contains a 7.938 acre tract out of W. Nevels Survey 2 (Abstract No. 1755) and out of J. McNeese Survey 1761/2 (Abstract No.1641) in San Angelo, Tom Green County, Texas shall be the same and is hereby amended to include all conditions specified in Section 5 below. The Director of Planning is hereby directed to correct zoning district maps in the office of the Director of Planning, to reflect the herein described changes in zoning. SECTION 2: That in all other respects, the use of the hereinabove described property shall be subject to all applicable regulations contained in Chapter 12 of the Code of Ordinances for the City of San Angelo, as amended. SECTION 3: That the following severability clause is adopted with this amendment: SEVERABILITY:
  • 767.
    The terms andprovisions of this Ordinance shall be deemed to be severable in that, if any portion of this Ordinance shall be declared to be invalid, the same shall not affect the validity of the other provisions of this Ordinance. SECTION 4: That the following penalty clause is adopted with this amendment: PENALTY: Any person who violates any provisions of this article shall be guilty of a misdemeanor and, upon conviction, shall be subject to a fine as provided for in Section 1.106 of the Code of Ordinances for the City of San Angelo. Each day of such violation shall constitute a separate offense. SECTION 5: Except as otherwise specified or limited below, the use and improvement of the subject property shall be governed by standards, requirements and limitations of development in Single-Family Residence (RS-1) Districts: A: The property shall not allow any retail sales except to students and attendees of gymnastics showcases and or events. Invitation for the sole purpose of retail sales shall be prohibited. Said sales shall be limited to gymnastics activities and general concessions. B: Office space shall be allowed for the gymnastics academy and assisted group living uses only. Other types of offices not related to the allowed uses through this amendment and PD 07-03 shall not be permitted. C: Gymnasium shall only be used for gymnastics activities, showcases and training limited to those enrolled in lessons or the academy. Other types of athletic clubs, events, or sports unrelated to the operation of a gymnastics academy or assisted group living facility shall not be permitted. D: Appeals of what constitutes a gymnastics activities shall be directed to the Zoning Board of Adjustment if not addressed within this amendment to PD 07-03. SECTION 6: The parking requirements for this gymnastics academy shall be as follows, and as is ordinarily required in the zoning ordinance for the City of San Angelo: A: 1 space per 400 square foot gross or 1 space for every 10 seats for patron use; whichever is greater for the gymnastics academy. Such off-street parking areas (including vehicle maneuvering space and driveways) shall furthermore be designed, improved and maintained as generally required by off-street parking standards of San Angelo’s Zoning Ordinance.
  • 768.
    B: Before anyactivities allowed within this Planned Development District may commence, a Certificate of Occupancy from the Building Official shall be obtained and all parking spaces required for those uses shall be provided and maintained as Section 511 of the Zoning Ordinance requires. SECTION 7: Outdoor storage of any materials or equipment or any kind shall not be permitted at any location within the bounds of this Planned Development District. INTRODUCED on the 2nd day of April, 2013 and finally PASSED, APPROVED AND ADOPTED on this the 16th day of April, 2013. THE CITY OF SAN ANGELO ____________________________________ Alvin New, Mayor ATTEST: ________________________________ Alicia Ramirez, City Clerk Approved As To Content: Approved As To Form: _________________________ ________________________ AJ Fawver, AICP Interim Director Lysia H. Bowling, City Attorney of Development Services
  • 769.
    City of San Angelo Memo Meeting Date: April 2, 2013 To: City Council members From: Roxanne Johnston, Planner Subject: Z13-09; Jack Gabriel, aka PD 07-03 (2013 Amendment); (an amendment to a Planned Development District (PD07-03) to specifically add an allowance for the operation of a gymnastics academy, which is defined in Section 315.G.c.3 of the Zoning Ordinance as a “Retail Sales and Service that is Entertainment Oriented” on the following property: Location: 2909 South A&M Avenue, located at the southwest corner of South Oxford Drive and South A&M Avenue. This property specifically occupies approximately 7.938 acres out of the J Mc Neese Survey 0176 Abstract 1641 in southwest San Angelo. Purpose: Approving this zone change amendment will forward that recommendation to City Council for a final decision on the matter. Contacts: Jack Gabriel, property owner 325-374-3457 Roxanne Johnston, Planner 325-657-4210 Caption: First Public Hearing and consideration of introduction of an Ordinance amending Chapter 12, Exhibit “A” (Zoning Ordinance) of the Code of Ordinances, City of San Angelo Z 13-09 AKA PD 07-03 (2013 Amendment): Jack Gabriel AN ORDINANCE AMENDING CHAPTER 12, EXHIBIT “A” OF THE CODE OF ORDINANCES, CITY OF SAN ANGELO, TEXAS, WHICH SAID EXHIBIT “A” OF CHAPTER 12 ADOPTS ZONING REGULATIONS, USE DISTRICTS AND A ZONING MAP, IN ACCORDANCE
  • 770.
    WITH A COMPREHENSIVEPLAN, BY CHANGING THE ZONING AND CLASSIFICATION OF THE FOLLOWING PROPERTY, TO WIT: a 7.938 acres at southwest corner of South Oxford Drive and A&M Avenue in southwestern San Angelo, amending the zoning classification from a Planned Development (PD) District (PD 07-03) previously approved for assisted group living to specifically add allowance for the operation of a gymnastics academy; PROVIDING FOR SEVERABILITY AND PROVIDING A PENALTY Summary: The City Council may: (1) Approve this Planned Development amendment request with conditions; or (2) Remand the application back to Planning Commission for further discussion, in which case another public hearing will need to be scheduled, or (3) Deny this Planned Development amendment request. Recommendation: Planning staff recommends approving the proposed amendment to PD 07-03 with conditions. On March 18, 2013, the Planning Commission recommended approval of this request by a unanimous vote of 6-0. History and Background: The subject property is the former Travis Elementary School. Campus buildings and related site improvements, including off-street parking areas as well as recreation and playground equipment, remain. In 2007, a Planned Development District was given to allow for an assisted group living center which was to eventually include a two story building. This facility has not been constructed nor has the center been developed. The amendment proposal, the first for this PD, is to use an existing recreational building located approximately 75 feet west of the intersection at A&M Avenue and Harvard Avenue for a gymnastics academy. This use is not consistent with the original PD. This or any PD District is a customized zoning classification. Use and development of land and buildings within each PD District is guided by a graphic concept plan fully integrated with (and formally a part of) specific zoning regulations tailor-made for each district. Changes to the PD require
  • 771.
    review and approvalfrom Planning Commission and City Council and are further explained in this report. General Information Existing Zoning: Planned Development (PD) Existing Land Use: Vacant former school. Surrounding Zoning/Land Use: North: RS-1 Single-family residences, campus for church and private school West: RS-1 Single-family residences South: RS-1 Single-family residences and open space including the Red Arroyo East: RS-1 Single-family residences Thoroughfares/Streets: South A&M and Oxford Avenues are defined as "minor collector streets” designed to connect arterial streets to local streets and access land. Zoning History: PD 07-03 allows for an assisted group living center, but to date, this property has not been used nor developed for this intended purpose. Applicable Regulations: Section 210.G. Planned Development Review “Any amendment to the terms and conditions of an approved PD District ordinance shall be subject to review and reconsideration…” Section 306. PD (Planned Development) District “The purpose of the Planned Development District include, but are not limited to the following 1. To allow diversification of uses, structures, and open spaces and to promote flexibility of design in a manner compatible with existing and allowed uses of land on adjacent properties.
  • 772.
    2. To preservethe natural amenities and environmental assets of the land by encouraging the preservation and improvement of open space. 3. To provide an appropriate balance between the intensity of development and the ability to provide adequate supporting public facilities and services. 4. To promote the efficient use of land to facilitate a more economic arrangement of buildings, uses of land and utilities. 5. To promote the development of vacant property within the presently developed urban area.” Development Standards: Residential development setbacks are outlined in Section 501 of the Zoning Ordinance. All required off-street parking and the connection(s) to a public right-of-way are required to be paved as defined in Section 511.F.3 of the Zoning Ordinance. Section 502. Nonresidential District Standards A. Within any nonresidential district, allowed residential uses shall conform with the residential bulk regulations regarding maximum floor area ratio, required yards and height that are most closely associated with the proposed type of residential use.” Vision Plan Map: Neighborhood Comp Plan Excerpts: Chapter 6 addresses land use: “medium-and high-density housing districts can serve as a transition between single- family residential and commercial uses.” and;
  • 773.
    Objective D: “Encourage in-fill development sensitive to the existing and desired context of the area.” Objective E: “Encourage the re-use of vacant buildings in the city. Carefully integrate new uses into older areas…” and to “Provide regulatory flexibility to allow for the use of vacant or underutilized buildings.” Special Information Traffic Concerns: This property has direct access to two major collector streets within the neighborhood; A&M Avenue and Oxford Avenue. The proposal to add a new use will most likely increase traffic; primarily during the hours of operation. As this property was once a school, the area experienced high volumes of traffic depending on the school’s hours of operation, and these roadways therefore designed to accommodate moderate flows of traffic at moderate speeds, but with limited access points. Parking Requirements: 1 space per residential unit under the existing PD. The new use would require 1 space per 400 square foot gross or 1 space for every 10 seats for patron use; whichever is greater. Parking Provided: Paved off-street parking spaces are currently provided. Density: Predominately vacant land and medium density Single-Family Residences are prevalent in this area. Notification Required: Yes Notifications Sent: 21 Responses in Favor: 1 Responses in Opposition: 0 Analysis:
  • 774.
    In order toapprove this zone change request, the City Council members are first required to consider the following criteria: 1. Compatible with Plans and Policies. Whether the proposed amendment is compatible with the Comprehensive Plan and any other land use policies adopted by the Planning Commission or City Council. 2. Consistent with Zoning Ordinance. Whether and the extent to which the proposed amendment would conflict with any portion of this Zoning Ordinance. 3. Compatible with Surrounding Area. Whether and the extent to which the proposed amendment is compatible with existing and proposed uses surrounding the subject land and is the appropriate zoning district for the land. 4. Changed Conditions. Whether and the extent to which there are changed conditions that require an amendment. 5. Effect on Natural Environment. Whether and the extent to which the proposed amendment would result in significant adverse impacts on the natural environment, including but not limited to water and air quality, noise, storm water management, wildlife, vegetation, wetlands and the practical functioning of the natural environment. 6. Community Need. Whether and the extent to which the proposed amendment addresses a demonstrated community need. 7. Development Patterns. Whether and the extent to which the proposed amendment would result in a logical and orderly pattern of urban development in the community. The staff recommendation is based upon the statements listed below. A requirement of any PD is that the original plans approved as a condition of the PD be adhered to and any changes require a review. When a change is requested by an applicant, as it is here, then the PD must be reviewed per Section 210G of the Zoning Ordinance which, in short, instructs that the Planning Commission review the request. Since the change has been recommended by the Planning Commission, the City Council then makes the final decision on the matter. Staff has determined that an important distinction be made between the proposed use and examples of other uses in the “Retail Sales and Service Entertainment Oriented” use category. Other uses in this category include “restaurants, cafes, delicatessens, indoor continuous entertainment activities such as bowling alleys and ice rinks; dance halls; theaters, health clubs, gyms, membership clubs and lodges;
  • 775.
    hotels, motels, campgrounds,recreational vehicle parks and other temporary lodging with an average length of stay of less than 30 days.” Staff would not support the placement of many of these uses on the subject property, and asserts that a gymnastics academy would most likely represent the least intensive of land use and nuisance to the area when compared to other businesses in this use category. Given the history of the property whereby the original PD conditions have not been met by neither the original nor the current owner, it seems only equitable to Planning staff that the current owner uses the property for a purpose that will be compatible with the surrounding area, the Zoning Ordinance, and the Comprehensive Plan. In a residential area where commercial uses are normally not allowed, it would seem that a commercial use would be undesirable. However, in this case, the commercial use serves to provide education and also contains entertainment elements if the use is restricted to the proposed use or a similar use. The Comprehensive Plan seeks to promote public arts and cultural opportunities for youth. Although the proposed use would not be publically funded, it could still provide for such art and cultural opportunities. It is quite possible, too, that area residents of the neighborhood would make use of the proposed gymnastics academy. Additionally, the Comprehensive Plan seeks to “create new physical connections to neighborhoods lined with transitional and intermediate uses.” The neighborhood contains a variety of uses; two such uses can be found in the church to the north of the subject property and the school operated by the church. Additionally, to the west of the property, the use of open space that lies between commercial uses along South College Hills Boulevard is yet another example of a transitional use. Adding the proposed use lends itself to the idea of connectivity as such activities provide opportunities to gather together socially and potentially create a feeling of both community and community investment through shared experiences. Along with this idea is the enhancement such a proposed use would bring to a walk-able community that is attainable through pedestrian activities and alternative transportation such as bicycles. No new building is being proposed at this time, so the surrounding area (which includes the Red Arroyo) will not be impacted by additional storm water runoff; landscaping in place will most likely remain as-is with routine maintenance. Therefore this amendment proposal should not subject the area to adverse impacts such as excessive noises or noxious odors, for example. This request is requiring an amendment to the Zoning Ordinance; however, a change to any PD would also require an amendment. The applicant and several residents of the neighborhood expressed to staff that the property was vandalized in the past when the property was not being used, so staff believes activity such as the proposed use will promote a “safer” neighborhood since the property is now lit and active in the evenings. Also, the proposed use remains compatible with the overall
  • 776.
    conditions of theoriginal PD. In the event that those conditions (the group living facility) are realized, then the proposed gym could still be used concurrently. In the event the gym discontinued its use, the overall PD will not be adversely impacted. Either way, the character of the neighborhood will not be compromised and so the balance of what is intended in the Vision Plan for the area remains intact. The creation of any PD brings the most consistent and predictable development within the community, a fact that solidifies the purpose and intent of the Zoning Ordinance and Comprehensive Plan and goals for this area. For all of these reasons, staff finds this use consistent with all criteria mandated of the request and recommends approval of the proposed use within the boundary of PD 07-03. Conditions: Conditions of this amendment to the Planned Development are listed in Sections 5 – 7 of the attached draft ordinance included with this report Attachments: excerpt from zoning map, showing the general location within the City of San Angelo; excerpt from zoning map, highlighting subject property; aerial photo, highlighting subject property; excerpt from the Comprehensive Plan Vision Map highlighting the subject property; notification map highlighting responses from neighboring properties; citizen response letter; draft minutes from January 18, 2013 Planning Commission Meeting; approved PD 07-03 ordinance from 2007; approved PD 07-03 site plan from 2007; and draft ordinance for current proposal. Presentation: Roxanne Johnston, Planner Reviewed by: Jeff Hintz, Interim Senior Planner (03/09/13)
  • 783.
    MINUTE RECORD OFTHE CITY OF SAN ANGELO PLANNING COMMISSION MEETING HELD ON MONDAY, March 18, 2013 AT 9:00 AM IN THE SOUTH MEETING ROOM OF THE SAN ANGELO CONVENTION CENTER, 500 RIO CONCHO DRIVE, SAN ANGELO, TEXAS PRESENT: Joe Grimes, Bill Lawrence, Jennifer Boggs, Darlene Jones, Bill Wynne, Ryan Smith ABSENT: Sebastian Guerrero (AE) STAFF: AJ Fawver, Interim Director of Development Services Lysia Bowling, City Attorney Al Torres, Building Official Jeff Hintz, Interim Senior Planner Kevin Boyd, Planner Roxanne Johnston, Planner B. Z 13-09: Jack Gabriel (aka PD 07-03 2013 Amendment) A request for approval of an amendment to a Planned Development District (PD07-03) to specifically add an allowance for the operation of a gymnastics academy, which is defined in Section 315.G.c.3 of the Zoning Ordinance as a “Retail Sales and Service that is Entertainment Oriented” on the following property: 2909 South A&M Avenue, located at the southwest corner of South Oxford Drive and South A&M Avenue. This property specifically occupies approximately 7.938 acres out of the J Mc Neese Survey 0176 Abstract 1641 in southwest San Angelo. Roxanne Johnston, Planner, came forward to present this request, consistent with the staff recommendation of approval 21 notifications were sent, with 1 returned in favor. Packets of a petition that was put together in support of the zoning were handed out to the Planning Commission, provided by users of the property. A copy of this packet is maintained as part of the minute record. Ms. Johnston showed some photos of the subject property and the surrounding area. There is a large neighborhood surrounding the property and the property itself is the site of a former elementary school. The property has been a PD district since 2007 allowing for group living, and the applicant seeks to amend this PD to include a gymnastics academy. The proposed use falls within the retail sales category, but the ordinance crafted for this site limits the usage to simply a gymnastics academy. It is a request consistent with the Comprehensive Plan and far less intensive than other types of uses within the retail sales use classification. The proposed use provides recreation, ties to the neighborhood, and there is no new building proposed at this time. Environmentally, the effects will be minimal. The character of the neighborhood should remain unaffected since the gymnastics academy is similar to the educational setting of a school.
  • 784.
    Jennifer Boggs askedsome questions about the environmental issues. Al Torres, Building Official, came forward to address these questions. There were no other questions for staff. Mr. Lawrence asked about the zoning that predated the PD zoning district. Mr. Lawrence talked about the potential responsibility of the school district to clear these lots when abandoning the uses so that the properties may be used and re-visioned. Landa Knight, owner of the Texas Tumbleweeds Academy, came forward to discuss the support of the community for their utilization of the property. There isn't a current plan of action for the other facilities of the site in addition to the gymnasium. They are leasing the property from a private property owner. Ms. Johnston clarified that the PD district applies to the entire tract of property. Joe Grimes asked about the parking, and Ms. Knight explained that there is regular pick-up and drop-off traffic, not permanent occupation of the parking lots. There was discussion as to the options of the proponents moving forward. Marla Butler Cummings came forward to speak in favor of this request. She has students attending the academy and does live in the area as well. She discussed the traffic concerns of the property and the neighborhood. Mr. Smith asked if there were matches held in the facility, and she replied that there are not. The space is fairly tight for all of the things which they are doing within it. No one came forward to speak in opposition to the request. Motion, to approve as presented, was made by Ryan Smith and seconded by Darlene Jones. The motion passed unanimously, 6-0.
  • 788.
    AN ORDINANCE AMENDINGCHAPTER 12, EXHIBIT “A” OF THE CODE OF ORDINANCES, CITY OF SAN ANGELO, TEXAS, WHICH SAID EXHIBIT “A” OF CHAPTER 12 ADOPTS ZONING REGULATIONS, USE DISTRICTS AND A ZONING MAP, IN ACCORDANCE WITH A COMPREHENSIVE PLAN, BY CHANGING THE ZONING AND CLASSIFICATION OF THE FOLLOWING PROPERTY, TO WIT: a 7.938 acres at southwest corner of South Oxford Drive and A&M Avenue in southwestern San Angelo, amending the zoning classification from a Planned Development (PD) District (PD 07- 03) previously approved for assisted group living to specifically add allowance for the operation of a gymnastics academy; PROVIDING FOR SEVERABILITY AND PROVIDING A PENALTY RE: Z 13-09 AKA PD 07-03 (2013 Amendment): Jack Gabriel WHEREAS, the Planning Commission for the City of San Angelo and the governing body for the City of San Angelo, in compliance with the charter and the state law with reference to zoning regulations and a zoning map, have given requisite notice by publication and otherwise, and after holding hearings and affording a full and fair hearing to all property owners and persons interested, generally, and to persons situated in the affected area and in the vicinity thereof, is of the opinion that zoning changes should be made as set out herein; NOW THEREFORE, BE IT ORDAINED BY THE CITY OF SAN ANGELO: SECTION 1: That the ordinance approved by the governing body for the City of San Angelo on August 21, 2007, amending the basic zoning ordinance for the City of San Angelo, which said amending ordinance is referenced as PD 07-03 and which contains a 7.938 acre tract out of W. Nevels Survey 2 (Abstract No. 1755) and out of J. McNeese Survey 1761/2 (Abstract No.1641) in San Angelo, Tom Green County, Texas shall be the same and is hereby amended to include all conditions specified in Section 5 below. The Director of Planning is hereby directed to correct zoning district maps in the office of the Director of Planning, to reflect the herein described changes in zoning. SECTION 2: That in all other respects, the use of the hereinabove described property shall be subject to all applicable regulations contained in Chapter 12 of the Code of Ordinances for the City of San Angelo, as amended. SECTION 3: That the following severability clause is adopted with this amendment: SEVERABILITY: The terms and provisions of this Ordinance shall be deemed to be severable in that, if any portion of this Ordinance shall be declared to be invalid, the same shall not affect the validity of the other provisions of this Ordinance.
  • 789.
    SECTION 4: Thatthe following penalty clause is adopted with this amendment: PENALTY: Any person who violates any provisions of this article shall be guilty of a misdemeanor and, upon conviction, shall be subject to a fine as provided for in Section 1.106 of the Code of Ordinances for the City of San Angelo. Each day of such violation shall constitute a separate offense. SECTION 5: Except as otherwise specified or limited below, the use and improvement of the subject property shall be governed by standards, requirements and limitations of development in Single-Family Residence (RS-1) Districts: A: The property shall not allow any retail sales except to students and attendees of gymnastics showcases and or events. Invitation for the sole purpose of retail sales shall be prohibited. Said sales shall be limited to gymnastics activities and general concessions. B: Office space shall be allowed for the gymnastics academy and assisted group living uses only. Other types of offices not related to the allowed uses through this amendment and PD 07-03 shall not be permitted. C: Gymnasium shall only be used for gymnastics activities, showcases and training limited to those enrolled in lessons or the academy. Other types of athletic clubs, events, or sports unrelated to the operation of a gymnastics academy or assisted group living facility shall not be permitted. D: Appeals of what constitutes a gymnastics activities shall be directed to the Zoning Board of Adjustment if not addressed within this amendment to PD 07-03. SECTION 6: The parking requirements for this gymnastics academy shall be as follows, and as is ordinarily required in the zoning ordinance for the City of San Angelo: A: 1 space per 400 square foot gross or 1 space for every 10 seats for patron use; whichever is greater for the gymnastics academy. Such off-street parking areas (including vehicle maneuvering space and driveways) shall furthermore be designed, improved and maintained as generally required by off-street parking standards of San Angelo’s Zoning Ordinance. B: Before any activities allowed within this Planned Development District may commence, a Certificate of Occupancy from the Building Official shall be obtained and all parking spaces required for those uses shall be provided and maintained as Section 511 of the Zoning Ordinance requires. SECTION 7: Outdoor storage of any materials or equipment or any kind shall not be permitted at any location within the bounds of this Planned Development District.
  • 790.
    INTRODUCED on the2nd day of April, 2013 and finally PASSED, APPROVED AND ADOPTED on this the 16th day of April, 2013. THE CITY OF SAN ANGELO ____________________________________ Alvin New, Mayor ATTEST: ________________________________ Alicia Ramirez, City Clerk Approved As To Content: Approved As To Form: _________________________ ________________________ AJ Fawver, AICP Interim Director Lysia H. Bowling, City Attorney of Development Services
  • 791.
    AN ORDINANCE AMENDINGCHAPTER 12, EXHIBIT “A” OF THE CODE OF ORDINANCES, CITY OF SAN ANGELO, TEXAS, WHICH SAID EXHIBIT “A” OF CHAPTER 12 ADOPTS ZONING REGULATIONS, USE DISTRICTS AND A ZONING MAP, IN ACCORDANCE WITH A COMPREHENSIVE PLAN, BY CHANGING THE ZONING AND CLASSIFICATION OF THE FOLLOWING PROPERTY, TO WIT: An unaddressed tract occupying 8.895 acres of the Deaf & Dumb Asylum Survey Number Two, Abstract 8211. This property was annexed into the City Limits on March 5, 2013 and is directly west from Mills Pass Drive along a proposed extension of Autumwood Trail. This property specifically occupies a proposed subdivision titled, Prestonwood Addition, Section Two, Block 6, Lots 1-18 and Prestonwood Addition, Section Two, Block 7, Lots 1-16 in southwest San Angelo, changing the zoning classification from Ranch & Estate (R&E) to Single-Family Residential (RS-1) District; PROVIDING FOR SEVERABILITY AND PROVIDING A PENALTY RE: Z 13-10: Mills Development INC WHEREAS, the Planning Commission for the City of San Angelo and the governing body for the City of San Angelo, in compliance with the charter and the state law with reference to zoning regulations and a zoning map, have given requisite notice by publication and otherwise, and after holding hearings and affording a full and fair hearing to all property owners and persons interested, generally, and to persons situated in the affected area and in the vicinity thereof, is of the opinion that zoning changes should be made as set out herein; NOW THEREFORE, BE IT ORDAINED BY THE CITY OF SAN ANGELO: SECTION 1: That the basic zoning ordinance for the City of San Angelo, as enacted by the governing body for the City of San Angelo on January 4, 2000 and included within Chapter 12 of the Code of Ordinances for the City of San Angelo, be and the same is hereby amended insofar as the property hereinafter set forth, and said ordinance generally and the zoning map shall be amended insofar as the property hereinafter described: An unaddressed tract occupying 8.895 acres of the Deaf & Dumb Asylum Survey Number Two, Abstract 8211. This property was annexed into the City Limits on March 5, 2013 and is directly west from Mills Pass Drive along a proposed extension of Autumwood Trail. This property specifically occupies a proposed subdivision titled, Prestonwood Addition, Section Two, Block 6, Lots 1-18 and Prestonwood Addition, Section Two, Block 7, Lots 1-16 in southwest San Angelo shall henceforth be permanently zoned as follows: Single-Family Residential (RS-1) District. The Director of Planning is hereby directed to correct zoning district maps in the office of the Director of Planning, to reflect the herein described changes in zoning.
  • 792.
    SECTION 2: Thatin all other respects, the use of the hereinabove described property shall be subject to all applicable regulations contained in Chapter 12 of the Code of Ordinances for the City of San Angelo, as amended. SECTION 3: That the following severability clause is adopted with this amendment: SEVERABILITY: The terms and provisions of this Ordinance shall be deemed to be severable in that, if any portion of this Ordinance shall be declared to be invalid, the same shall not affect the validity of the other provisions of this Ordinance. SECTION 4: That the following penalty clause is adopted with this amendment: PENALTY: Any person who violates any provisions of this article shall be guilty of a misdemeanor and, upon conviction, shall be subject to a fine as provided for in Section 1.106 of the Code of Ordinances for the City of San Angelo. Each day of such violation shall constitute a separate offense. INTRODUCED on the 2nd day of April, 2013 and finally PASSED, APPROVED AND ADOPTED on this the 16th day of April, 2013. THE CITY OF SAN ANGELO ____________________________________ Alvin New, Mayor ATTEST: ________________________________ Alicia Ramirez, City Clerk
  • 793.
    Approved As ToContent: Approved As To Form: _________________________ ________________________ AJ Fawver, Interim Director of Lysia H. Bowling, City Attorney Development Services
  • 794.
    City of San Angelo Memo Meeting Date: April 2, 2013 To: City Council members From: Jeff Hintz, Interim Senior Planner Subject: Z 13-10 Mills Development INC A request for approval of a zone change from Ranch & Estate (R&E) to Single-Family Residential (RS-1) to specifically allow for household living as defined in Section 313.B of the Zoning Ordinance on the following property: Location: An unaddressed tract occupying 8.895 acres of the Deaf & Dumb Asylum Survey Number Two, Abstract 8211. This property was annexed into the City Limits on March 5, 2013 and is directly west from Mills Pass Drive along a proposed extension of Autumwood Trail. This property specifically occupies a proposed subdivision titled, Prestonwood Addition, Section Two, Block 6, Lots 1-18 and Prestonwood Addition, Section Two, Block 7, Lots 1-16 in southwest San Angelo. Purpose: Approval of this request would zone the property Single- Family Residential. Contacts: Rocky Templin, Developer 325-944-1174 Jeff Hintz, Planner 325-657-4210 Caption: First Public Hearing and consideration of introduction of an Ordinance amending Chapter 12, Exhibit “A” (Zoning Ordinance) of the Code of Ordinances, City of San Angelo Z 13-10: Mills Development INC AN ORDINANCE AMENDING CHAPTER 12, EXHIBIT “A” OF THE CODE OF ORDINANCES, CITY OF SAN ANGELO, TEXAS, WHICH SAID EXHIBIT “A” OF CHAPTER 12 ADOPTS ZONING REGULATIONS, USE DISTRICTS AND A ZONING MAP, IN
  • 795.
    ACCORDANCE WITH ACOMPREHENSIVE PLAN, BY CHANGING THE ZONING AND CLASSIFICATION OF THE FOLLOWING PROPERTY, TO WIT: An unaddressed tract occupying 8.895 acres of the Deaf & Dumb Asylum Survey Number Two, Abstract 8211. This property was annexed into the City Limits on March 5, 2013 and is directly west from Mills Pass Drive along a proposed extension of Autumwood Trail. This property specifically occupies a proposed subdivision titled, Prestonwood Addition, Section Two, Block 6, Lots 1-18 and Prestonwood Addition, Section Two, Block 7, Lots 1-16 in southwest San Angelo, changing the zoning classification from Ranch & Estate (R&E) to Single-Family Residential (RS-1) District; PROVIDING FOR SEVERABILITY AND PROVIDING A PENALTY Summary: The City Council may: (1) Approve the proposed zone change; (2) Remand the application back to Planning Commission for further discussion, in which case another public hearing will need to be scheduled. (3) Deny the proposed zone change Recommendation: Planning staff recommends approving the proposed zone change. On March 18, 2013 the Planning Commission recommended approval of this request by a 6-0 vote. History and Background: This property was annexed into the city limits on March 5, 2013 after two public hearings for comment for/or against annexation and introduction and approval of an ordinance and a service plan for the area. General Information Existing Zoning: Ranch & Estate (R&E) Existing Land Use: Vacant, undeveloped property Surrounding Zoning/Land Use:
  • 796.
    North: CG Multi-family dwelling units West: Un-zoned Undeveloped, property in county South: RS-1 single-family residences, vacant property East: RS-1 School & single-family residences Thoroughfares/Streets: Mills Pass Drive and the proposed extension of Autumwood Trail are defined as "Local Streets" and are designed to carry light neighborhood traffic at lower speeds and generally connect to collector streets. Zoning History: Newly annexed property is zoned Ranch & Estate by default as called for in Section 303.A of the Zoning Ordinance. This property has no previous zoning history. Applicable Regulations: Allowed uses for this property can be found in Section 310 (Use Table) of the Zoning Ordinance Development Standards: Section 501 of the Zoning Ordinance covers general development standards for the property. Minimum Lot Area – 5,000 sq ft Minimum Lot Dimensions – 50x100 Minimum Front Yard – 25 ft Minimum Side Yard – 5 ft Minimum Rear Yard – 20 ft Maximum Floor Area Ratio – 0.4 (40%) Maximum Height – 35 ft Vision Plan Map: Neighborhood Comp Plan Excerpts: “Create new physical connections to neighborhoods lined with transitional and intermediate uses." "Promote neighborhood diversity and security by encouraging a mix of age, income, and housing choices within San Angelo's neighborhoods.” “All residents within each neighborhood boundary should be able to meet their daily needs within a reasonable and accessible distance from their home.”
  • 797.
    "Variety of residentialproduct types - multi-family, townhomes, courtyard homes, patio homes, etc." "Coordinate with San Angelo Independent School District (SAISD) to improve walkability and connections between neighborhoods and nearby schools." Special Information Traffic Concerns: Changing the zoning from a very low density residential zone requiring one acre lots to a zoning classification that allows for lots that are 5,000 square feet will certainly increase density and traffic impacts on the area. However, the access to collector and arterial streets will adequately handle this increased density. Parking Requirements: Section 511 of the Zoning Ordinance covers parking improvement standards and amounts. One and two family dwellings require 2 off-street parking spaces per dwelling unit. Parking Provided: The property is undeveloped at this time, parking spaces will be required to be provided as housing units are constructed. Density: This general area is of low density residential and vast acreages of undeveloped property. Notification Required: Yes Notifications Sent: 10 Responses in Favor: 1 Responses in Opposition: 1 Analysis: In order to approve this zone change request, the City Council members are first required to consider the following criteria:
  • 798.
    1. Compatible withPlans and Policies. Whether the proposed amendment is compatible with the Comprehensive Plan and any other land use policies adopted by the Planning Commission or City Council. 2. Consistent with Zoning Ordinance. Whether and the extent to which the proposed amendment would conflict with any portion of this Zoning Ordinance. 3. Compatible with Surrounding Area. Whether and the extent to which the proposed amendment is compatible with existing and proposed uses surrounding the subject land and is the appropriate zoning district for the land. 4. Changed Conditions. Whether and the extent to which there are changed conditions that require an amendment. 5. Effect on Natural Environment. Whether and the extent to which the proposed amendment would result in significant adverse impacts on the natural environment, including but not limited to water and air quality, noise, storm water management, wildlife, vegetation, wetlands and the practical functioning of the natural environment. 6. Community Need. Whether and the extent to which the proposed amendment addresses a demonstrated community need. 7. Development Patterns. Whether and the extent to which the proposed amendment would result in a logical and orderly pattern of urban development in the community. The staff recommendation is based upon the statements listed below. Staff finds this request for zone change to be consistent with the plans and policies adopted by the city and finds that this request will be consistent with the zoning ordinance as well. The goal of the Comprehensive Plan is to grown the community in a sustainable way providing opportunities for growth both now and in the future; this area is buffered from the highly trafficked Sherwood Way (US Highway 67) and offers potential residents quick access to the core of the city or access to the loop. Low density, Single-Family detached neighborhood development shouldn't necessarily occur right along a major thoroughfare, but quick access to them is certainly ideal. staff finds this isolated area is safe and practical for this type of development and will be consistent with the Comprehensive Plan for this area of the community. In addition, this zone change request is consistent with zoning in the nearby area and will also aid in the steady predictable patterns of growth present already within this portion of the community; the Zoning Ordinance is in place to ensure consistent predictable growth across all segments of the community, both now and in the future.
  • 799.
    Staff has foundthis request to be compatible with the surrounding area. This area is one that is certainly growing; the current trend and envisioned growth of this area is as "neighborhood." The proposed subdivision establishing single- family home sites is consistent with the anticipated growth of the area and development patterns the area currently sees. A nearby school will provide a walkable opportunity for families with children who locate in the area. Walkable, safe, pedestrian oriented neighborhoods is a goal of the city Comprehensive Plan and this request for RS-1 zoning is certainly along those lines. RS-1 lots are substantially smaller in size than the 1 or more acre lots that are required with R&E zoning; as a result, the smaller lot sizes will allow for greater density in the area and as a result, a much higher potential for walkability. This request is consistent with the Vision Plan map of the area and as such, no amendments to the Comprehensive Plan will be necessary for this request to be approved. In addition, staff does anticipate some effect on the natural environment will occur when development takes place. Given the undeveloped natural status of the site now, any future development will have some impact on the environment. R&E zoning has the least amount of impact on a property, however RS-1 is also a very low impact type of zoning when compared to other more dense residential zoning categories and commercial designations. This isolated location from the highway will provide a quiet area for the future development of home sites, staff does not anticipate any adverse impacts from this zone change and subsequent proposed development. The community has been growing slowly, but in a steady fashion for the past decade. With recent technological advancements in the extraction of natural resources in the area, there is certainly a demand in the community for more housing opportunities to house individuals and families working in this field. One component of this demand for housing options is single-family residences, however it should also be noted townhomes, duplexes, patio homes, and apartments are also choices that are viable within a neighborhood envisioned area of the Vision Plan and also have the ability to fill this demand. Given the current development patterns of this area, staff find that RS-1 zoning is appropriate here and will help to fill a community need while ensuring the development patterns remain consistent. This area has access to thoroughfares capable of carrying future residents to and from home; the area is also located within a few miles of numerous retailing opportunities that will help future residents meet their daily needs within a reasonable distance from home. This close proximity to commercial uses may also provide these retailers and businesses a steady potential employment base as well as customer base as the area continues to grow. Staff had found this request to be consistent with all seven criteria mandated of the request and therefore recommends approval of this zoning change for all the reasons mentioned within the report.
  • 800.
    Proposed Conditions N/A Attachments: excerpt from zoning map, showing the general location within the City of San Angelo; excerpt from zoning map, highlighting subject property; aerial photo, highlighting subject property; excerpt from the Comprehensive Plan Vision Map highlighting the subject property; draft minutes from Planning Commission; citizen responses; and draft ordinance. Presentation: AJ Fawver, Interim Director of Development Services
  • 805.
    C. Z 13-10:Mills Development Inc A request for approval of a zone change from Ranch & Estate (R&E) to Single- Family Residential (RS-1) to specifically allow for household living as defined in Section 313.B of the Zoning Ordinance on the following property: An unaddressed tract occupying 8.895 acres of the Deaf & Dumb Asylum Survey Number Two, Abstract 8211. This property was annexed into the City Limits on March 5, 2013 and is directly west from Mills Pass Drive along a proposed extension of Autumwood Trail. This property specifically occupies a proposed subdivision titled, Prestonwood Addition, Section Two, Block 6, Lots 1-18 and Prestonwood Addition, Section Two, Block 7, Lots 1-16 in southwest San Angelo. Jeff Hintz, Planner, came forward to present this case, consistent with the staff recommendation of approval. Ten notifications were sent out, with 1 returned in favor and 1 returned in opposition. Mr. Hintz gave some background to the area, noting the activity in the area since the 2009 aerials were taken. The Vision Plan map calls for a "Neighborhood" designation for this location. The property is currently undeveloped and bordered with a large residential neighborhood, which this is intended to be an extension of. The intensity of RS-1 is low and compatible with the immediate area. Placing housing in a walkable area close to a school and commercial activities is consistent with the Comprehensive Plan. No one came forward to speak on this item. Motion, to approve as presented, was made by Ryan Smith and seconded by Bill Wynne. The motion passed unanimously, 6-0.
  • 808.
    AN ORDINANCE AMENDINGCHAPTER 12, EXHIBIT “A” OF THE CODE OF ORDINANCES, CITY OF SAN ANGELO, TEXAS, WHICH SAID EXHIBIT “A” OF CHAPTER 12 ADOPTS ZONING REGULATIONS, USE DISTRICTS AND A ZONING MAP, IN ACCORDANCE WITH A COMPREHENSIVE PLAN, BY CHANGING THE ZONING AND CLASSIFICATION OF THE FOLLOWING PROPERTY, TO WIT: An unaddressed tract occupying 8.895 acres of the Deaf & Dumb Asylum Survey Number Two, Abstract 8211. This property was annexed into the City Limits on March 5, 2013 and is directly west from Mills Pass Drive along a proposed extension of Autumwood Trail. This property specifically occupies a proposed subdivision titled, Prestonwood Addition, Section Two, Block 6, Lots 1-18 and Prestonwood Addition, Section Two, Block 7, Lots 1-16 in southwest San Angelo, changing the zoning classification from Ranch & Estate (R&E) to Single-Family Residential (RS-1) District; PROVIDING FOR SEVERABILITY AND PROVIDING A PENALTY RE: Z 13-10: Mills Development INC WHEREAS, the Planning Commission for the City of San Angelo and the governing body for the City of San Angelo, in compliance with the charter and the state law with reference to zoning regulations and a zoning map, have given requisite notice by publication and otherwise, and after holding hearings and affording a full and fair hearing to all property owners and persons interested, generally, and to persons situated in the affected area and in the vicinity thereof, is of the opinion that zoning changes should be made as set out herein; NOW THEREFORE, BE IT ORDAINED BY THE CITY OF SAN ANGELO: SECTION 1: That the basic zoning ordinance for the City of San Angelo, as enacted by the governing body for the City of San Angelo on January 4, 2000 and included within Chapter 12 of the Code of Ordinances for the City of San Angelo, be and the same is hereby amended insofar as the property hereinafter set forth, and said ordinance generally and the zoning map shall be amended insofar as the property hereinafter described: An unaddressed tract occupying 8.895 acres of the Deaf & Dumb Asylum Survey Number Two, Abstract 8211. This property was annexed into the City Limits on March 5, 2013 and is directly west from Mills Pass Drive along a proposed extension of Autumwood Trail. This property specifically occupies a proposed subdivision titled, Prestonwood Addition, Section Two, Block 6, Lots 1-18 and Prestonwood Addition, Section Two, Block 7, Lots 1-16 in southwest San Angelo shall henceforth be permanently zoned as follows: Single-Family Residential (RS-1) District. The Director of Planning is hereby directed to correct zoning district maps in the office of the Director of Planning, to reflect the herein described changes in zoning.
  • 809.
    SECTION 2: Thatin all other respects, the use of the hereinabove described property shall be subject to all applicable regulations contained in Chapter 12 of the Code of Ordinances for the City of San Angelo, as amended. SECTION 3: That the following severability clause is adopted with this amendment: SEVERABILITY: The terms and provisions of this Ordinance shall be deemed to be severable in that, if any portion of this Ordinance shall be declared to be invalid, the same shall not affect the validity of the other provisions of this Ordinance. SECTION 4: That the following penalty clause is adopted with this amendment: PENALTY: Any person who violates any provisions of this article shall be guilty of a misdemeanor and, upon conviction, shall be subject to a fine as provided for in Section 1.106 of the Code of Ordinances for the City of San Angelo. Each day of such violation shall constitute a separate offense. INTRODUCED on the 2nd day of April, 2013 and finally PASSED, APPROVED AND ADOPTED on this the 16th day of April, 2013. THE CITY OF SAN ANGELO ____________________________________ Alvin New, Mayor ATTEST: ________________________________ Alicia Ramirez, City Clerk
  • 810.
    Approved As ToContent: Approved As To Form: _________________________ ________________________ AJ Fawver, Interim Director of Lysia H. Bowling, City Attorney Development Services
  • 811.
    City of SanAngelo Memo Date: April 12, 2013 To: Mayor and Council Members From: Morgan Trainer, Budget Manager Subject: Agenda Item for 11-6-12 Council Meeting Contact: Michael Dane, 657-4241 Caption: Regular Item Discussion and consideration of the possibility of issuing rebates of Water Fees and any action related thereto. Summary: Staff will present the Water Operations Fund Balance at relevant dates in an effort to provide Council with the information necessary to form an opinion. The fund balance in this fund is not at a level where staff would recommend a rebate. Details will be presented. History: There have been two occasions when this fund balance exceeded ninety days expenditures and Council decided to use that excess. On one occasion the base fees were changed to zero for two months, and on the other the excess was transferred to a capital projects fund to assist with capital improvements. Financial Impact: Reduction in fund balance – depending on the amount Related Vision Item Financial Vision (if applicable): Other Information/ Staff recommends no action at this time. Recommendation: Attachments: N/A Presentation: Powerpoint Publication: No Reviewed by Michael Dane Director: Approved by Legal: N/A
  • 812.
    City of SanAngelo Memo Date: April 4, 2013 To: Mayor and Councilmembers From: Ricky Dickson, Water Utilities Director Subject: Agenda Item for April 16, 2013 Council Meeting Contact: Ricky Dickson, Water Utilities Director, 657-4209 Caption: Discussion and update on current water supply and any action in connection thereto. Summary: The City’s Water Conservation Plan establishes criteria for management of the municipal water supply sources. Trigger points based upon of available water supply are set in the plan to define various drought levels. On April 2nd of 2013, the current water supply was at 18.6 months. If the city does not receive any significant rain fall it is anticipated that the criteria for entering Water Supply Stage, Drought Level II will be met in May of this year. History: The City’s Water Conservation/Drought Contingency Plan establishes practices the City will pursue to encourage the wise use of water. The drought management portion of the plan provides criteria that will be implemented to reduce water usage during a water supply shortage. Financial Impact: Under Drought Level II, usage surcharges are assessed on all water customers. Other Information/Recommendation: Implementation of Drought Level II is dependent upon reaching the water supply trigger point for entering the stage and adoption of a Resolution by the Council. It is recommended the Council adopt the Resolution implementing Drought Level II when the available supply is less than 18 months. Attachments: Ordinance Presentation: None. Publication: None. Reviewed by Service Area Director: Ricky Dickson, Water Utilities Director, April 4, 2013
  • 813.
    City of SanAngelo Memo Date: April 9, 2013 To: Mayor and Councilmembers From: Ricky Dickson, Water Utilities Director Subject: Agenda Item for April 16, 2013 Council Meeting Contact: Ricky Dickson, Water Utilities Director, 657-4209 Caption: Discussion of late fees associated with delinquent water utility statements. Summary: The City’s Code of Ordinance states: Sec. 8.700 Water Billing Charges (a) Delinquent Accounts; Other Charges. (1) Any water utilities bill not paid within twenty-eight (28) days after the billing date shall be deemed delinquent and a late charge of twenty-five dollars ($25.00) shall be added to the account for the expense of handling the delinquent account. (Sec. 2, Ordinance adopted 2/3/09) (2) Any customer whose water service has been discontinued due to a delinquency, shall be required to pay the accrued bill, the twenty-five dollars ($25.00) late charge, plus a reconnect charge of thirty dollars ($30.00), before water service will be reactivated for the account. (3) A charge will be added to a customer’s account for each returned check as provided in Article 1.800, Section 1.801 and Appendix A, Article 10.000, Section 10.100 hereof. History: The City Council adopted the current ordinance that establishes the $25.00 late fee on February 3, 2009 by a 6 to 1 vote. Financial Impact: Approximate revenue generated by late fees: 2011-2012 $1,499,000.00 2012-2013 $ 711,000.00 YTD Approximate revenue generated by reconnect fees: 2011-2012 $75,330.00 2012-2013 $19,645.00 YTD Other Information/Recommendation: None
  • 814.
    Attachments: None Presentation: None. Publication:None. Reviewed by Service Area Director: Ricky Dickson, Water Utilities Director, April 9, 2013
  • 815.
    City of SanAngelo Memo Date: April 12, 2013 To: Mayor and Council Members From: Alicia Ramirez, City Clerk Subject: Agenda Item for 4/16/13 Council Meeting Contact: Alicia Ramirez, City Clerk, 657-4405 Caption: Regular Item Update and presentation on Boards and Commissions regarding attendance, meeting quorum issues, related matters, and any action in connection thereto Summary: Boards and commissions are important in that they enable citizens to participate in San Angelo’s government processes. Their activities help shape and influence public policy, because they lend a more diverse viewpoint for the City Council to consider. The City of San Angelo has approximately 17 boards. On April 2, 2013, Councilmember Hirschfeld requested an update from staff regarding the member’s attendance, specifically due to recent cancelations as a result of the lack of a quorum. History: City Council began the process of reviewing, consolidating, and reducing the number of members on the various boards in January 2008. To date, the number of boards has been reduced from 21 to 17. The City has an additional 2 boards which are composed of staff and council appointees (Investment Oversight and Audit Committee) or Council Representatives on other external entities (TGC Appraisal District, Concho River Water Master, MPO, MHMR, and others-see attached listing). Financial Impact: Related Vision Item (if applicable): Other Information/ Staff seeks direction from City Council. Recommendation: Attachments: Executive Summary, Attendance Rosters 2012 and 2013, and Council Representative Board Listing Presentation: Alicia Ramirez and related board liaisons Publication: No Reviewed by Daniel Valenzuela, City Manager Director: Approved by Legal: N/A
  • 817.
    City of SanAngelo - Boards and Commissions Airport Advisory Board Code Reference: Ch. 2, Art. 2.2500 MembershipRqmt: All members shall be residents of the City of San Angelo. NOTES: Board Liaison: Luis Elguezabal Department Airport Phone Number: 659-6409 Email: luis.elguezabal@sananglotexas.us Meeting Date: Called Time: Authorized # of Members: 7 Term Limit: unlimited Term Length: 4 Location: Council Chambers Alternate Member Appointed/Resigned Term # Term Expires 1. Elizabeth Grindstaff 02/05/2013 1 October 2013 2. David Herbert 9/22/2009 3 October 2013 3. Fred Key 02/05/2013 4 October 2016 4. Patrick Nuytten 10/21/2008 1 October 2012 5. Bob Post 9/22/2009 5 October 2013 6. Charles Powell 02/05/2013 5 October 2016 7. Sonny Sanders 02/05/2013 5 October 2016 Tuesday, April 09, 2013 Page 1 of 29
  • 818.
    City of SanAngelo - Boards and Commissions Animal Shelter Advisory Committee Code Reference: Ch. 2, Art. 2.3800 / VTSC HEALTH AND SAFETY CODE CHAPTER 823. ANIMAL SHELTERS MembershipRqmt: At least one member of the board shall be a licensed veterinarian; (2) one member shall own, operate or otherwise be employed by or in a business related to the production, sale, distribution or care of animals or livestock; (3) two members shall represent a nonprofit animal interest group or groups whose membership is comprised primarily of citizens of the City of San Angelo and whose primary interest is the health and welfare of animals; and, (4) the Director of Health for the City of San Angelo and the Director of Animal Services shall be appointed to the Board as permanent members; and, (5) the remaining three members of the board shall be residents of the City of San Angelo and need not have any other affiliation, membership or association. INDIVIDUAL MEMBER'S REQUIRED FIELD OF EXPERTISE INDICATED IN PARENTHESIS AFTER MEMBER'S LAST NAME. NOTES: Board Liaison: Julie Vrana Department Animal Services Phone Number: 657-4224 Email: julie.vrana@sanangelotexas.us Meeting Date: 3rd Thursday Time: 12:00 PM Authorized # of Members: 7 Term Limit: 2 Term Length: 2 Location: Council Chambers Alternate Member Appointed/Resigned Term # Term Expires 1. Rita Colburn (citizen) 01/03/2012 1 January 2014 2. Faye Doepp (citizen) 3/1/2011 2 January 2013 3. Tom Maurer (Animal Welfare) 02/05/2013 2 January 2015 4. Lacy Morton 2/21/2012 1 January 2014 5. John Russell (Vet) 01/17/2012 2 January 2014 6. Ryan Smith (Animal Welfare) 03/05/2013 3/27/2013 1 January 2015 7. Mary White (Vet) 02/05/2013 2 January 2015 Tuesday, April 09, 2013 Page 2 of 29
  • 819.
    City of SanAngelo - Boards and Commissions Civic Events Board Code Reference: Ch. 2, Art. 2.2200; Amended 11/3/09 Council meeting. MembershipRqmt: All members shall be twenty one (21) years of age or over and shall be residents of the City of San Angelo. NOTES: 1/8/08 Council voted to change the total membership composition from 9 to 7 members. Those positions on a rotational schedule will expire at the end of the member's term. Board Liaison: Angelica Pena Department Civic Events Phone Number: 653-9577 Email: angelica.pena@sanangelotexas.us Meeting Date: Last Thursday Time: 12:00 PM Authorized # of Members: 7 Term Limit: 2 Term Length: 3 Location: Council Chambers Alternate Member Appointed/Resigned Term # Term Expires 1. Robert Banskter, Sr. 11/01/2011 2 October 2014 2. Timothy Condon 03/05/2013 1 October 2013 3. Sandy Fields 01/17/2012 1 January 2014 4. Courtney Mahaffey 4/3/2012 Unexp October 2014 5. Gray Mundell 11/15/2011 1 October 2014 6. Mark Stevenson 10/05/2010 1 October 2013 7. Scott Zaruba 11/15/2011 1 October 2014 Tuesday, April 09, 2013 Page 4 of 29
  • 820.
    City of SanAngelo - Boards and Commissions Civil Service Commission Code Reference: Ch. 2, Art. 2.2401; Ch.143 Local Gov't Code MembershipRqmt: City Manager appointed, City Council confirmed. All such commissioners shall be of good moral character and resident citizens of the city, shall have resided in the city for a period of more than three (3) years; shall be over the age of twenty five (25) years, and shall not have held any public office within the preceding three (3) years. NOTES: 3 term limit unless a 4th term is approved by 2/3 majority vote Board Liaison: Lisa Marley Department Human Resources Phone Number: 657-4221 Email: lisa.marley@sanangelotexas.us Meeting Date: Called Time: Authorized # of Members: 3 Term Limit: 3+ w 2/3 Term Length: 3 vote Location: Council Chambers Alternate Member Appointed/Resigned Term # Term Expires 1. Rhea Cooke 04/17/2012 1 January 2014 2. Raul Lopez 6/15/2010 6 January 2013 3. Teresa Special 7/19/2011 1 January 2014 Tuesday, April 09, 2013 Page 5 of 29
  • 821.
    City of SanAngelo - Boards and Commissions Construction Board of Adj & Appeals Code Reference: Ch. 4, Art 4.100; Sec. 4.102; Pursuant to Sec. 108.1 Intn'l Bldg Code MembershipRqmt: One architect/engineer, one commercial building contractor, one residential building contractor, one electrical contractor, one plumber, one mechanical contractor, one realtor/real estate inspector/real estate appraiser (member at large from the building industry), one homeowner (member at large from the public), and one commercial business owner. INDIVIDUAL MEMBER'S REQUIRED FIELD OF EXPERTISE INDICATED IN PARENTHESIS AFTER MEMBER'S LAST NAME. NOTES: 1/8/08 Council voted to change the additional memberships be aproved at large by the entire Council. Board Liaison: Al Torres Department Inspections & Permits Phone Number: 657-4420 Email: al.torres@sanangelotexas.us Meeting Date: 1st Thursday Time: 3:00 PM Authorized # of Members: 9 Term Limit: 2 Term Length: 2 Location: Council Chambers Alternate Member Appointed/Resigned Term # Term Expires 1. Roland Allen (Realtor) 4/3/2012 2 February 2014 2. Debbie Clark (Electrical) 03/01/2011 2 February 2013 3. Randy Crooks (Comm.Cntr) 03/01/2011 2 February 2013 4. Casey Deering (Resd.Cntr) 02/05/2013 1 February 2015 5. Gary Donaldson (Architect) 11/01/2011 2 February 2013 6. Bill Feist (Comm.Bus.) 2/7/2012 1 February 2014 7. Pablo Florez (Plumber) 02/05/2013 2 February 2014 8. Billy Huffman (Mechanical) 02/05/2013 2 February 2015 9. Marty Self (Resd.Rep) 2/7/2012 2 February 2014 Tuesday, April 09, 2013 Page 7 of 29
  • 822.
    City of SanAngelo - Boards and Commissions Design & Historic Review Commission Code Reference: Ch. 2, Art 2.2800 MembershipRqmt: 1. at least two (2) members' shall be licensed or otherwise recognized as professional in architecture, landscape architecture, design, engineering, surveying, or related profession; and, 2. at least one (1) member shall be recognized as a historian or a member of a local historic preservation group; and, . 3. at least one (1) member shall be an owner of real property within the River Corridor; and, 4. at least one (1) member shall own real property designated or recognized as a community landmark, or within a designated historic district; and, 5. at least two (2) members shall be members of the Board of Directors of Downtown San Angelo, Inc. NOTES: Adoption 9/4/12 Board Liaison: AJ Fawver Department Planning Phone Number: 657-4210 Email: amanda.fawver@sanangelotexas.us Meeting Date: TBA Time: Authorized # of Members: 7 Term Limit: 2 Term Length: 2 Location: Council Chambers Alternate Member Appointed/Resigned Term # Term Expires 1. LeeAnn Bailey 10/16/2012 1 September 2013 2. William J. Carter (retiree) 9/18/2012 1 September 2014 3. Gary Donaldson (Architect) 9/18/2012 1 September 2014 4. Margaret Mallard 9 /18/2012 1 September 2013 5. David Mazur 10/16/2012 1 September 2013 6. Hal Noelke (Attorney) 9/18/2012 1 September 2014 7. Benjamin Villarreal (Business) 9/18/2012 1 September 2014 Tuesday, April 09, 2013 Page 8 of 29
  • 823.
    City of SanAngelo - Boards and Commissions Development Corporation Code Reference: Ch. 2, Art. 2.3600; Vern. Ann. Civ. St. Art. 5190.6; Amended 7/17/07 MembershipRqmt: Each member of the board of directors (Board hereinafter) of the Corporation shall: (1) Be appointed by a majority vote of the City Council; (2) Serve a two year term of office; (3) Be a resident of the City of San Angelo. (b) A director may be removed from office by a majority vote of the City Council at any time without cause. (c) No person shall be appointed as a director who is an employee, officer or member of the City Council, of the City of San Angelo, or a member of any board or commission of the City of San Angelo. A director who is a member of any other boards or commissions of the City of San Angelo shall elect the board on which he will continue to serve within fourteen (14) days of the effective date of this ordinance. If he fails to designate the board on which he will continue to serve within the specified time period, the City Council shall make the designation. NOTES: Board Liaison: Bob Schneeman Department Community & Economic Phone Number: 657-4384 Email: robert.schneeman@sanangelotexas.us Development Meeting Date: 2nd and 4th Wednesdays Time: 8:30 AM Authorized # of Members: 7 Term Limit: unlimited Term Length: 2 Location: Council Chambers Alternate Member Appointed/Resigned Term # Term Expires 1. John Bariou, Jr. 03/05/2013 2 February 2015 2. Randy Brooks 02/21/2013 2 February 2015 3. Chris Cornell 02/21/2013 2 February 2015 4. Pedro Ramirez 02/21/2013 1 September 2015 5. Scott Tankersley 02/21/2013 2 February 2015 6. Larry Teague 02/21/2013 8 February 2015 7. Tony Villarreal 02/21/2013 2 February 2015 Tuesday, April 09, 2013 Page 9 of 29
  • 824.
    City of SanAngelo - Boards and Commissions Downtown Development Commission Code Reference: Ch. 12, Art. 12.1000; MembershipRqmt: Board shall be composed of seven (7) members who are stakeholders or have an active interest in the Downtown Development Commission. The members shall be appointed as follows: 1.) One (1) shall be a board member of the San Angelo Health Foundation. All members shall be a qualified voter of the City of San Angelo. No commercial or non-profit organization shall have more than one representative on the Downtown Development Commission. NOTES: Adopted 10/5/10 Board Liaison: Daniel Valenzuela Department City Manager Phone Number: 657-4241 Email: michael.dane@sanangelotexas.us Meeting Date: TBD Time: Authorized # of Members: 7 Term Limit: 3 Term Length: 2 Location: Council Chambers Alternate Member Appointed/Resigned Term # Term Expires 1. Gary Cox 2/7/2012 2 February 2014 2. Jim Cummings 02/01/2011 1 February 2013 3. Lisa Eady 02/01/2011 1 February 2013 4. Tim Edwards 8/2/2011 xpired (H February 2013 5. John Fuentes 02/01/2011 1 February 2013 6. Sharon Rainey Alexander 2/7/2012 2 February 2014 7. Jim Raymond 2/7/2012 2 February 2014 Tuesday, April 09, 2013 Page 10 of 29
  • 825.
    City of SanAngelo - Boards and Commissions Fairmount Cemetery Board Code Reference: See Notes MembershipRqmt: Self-perpetuating NOTES: Per Fairmount Cemetery Board Minutes: In June 1930, the San Angelo Cemetery Association deeded its real propertry to the city, and conveyed its securities and notes to the presidents of four banks in SA and their successors in trust. The c ity was to own the land, to be placed under the supervision of the Park Commission, which had authority to delegate its duties to a duly constituted and apointed committee. The Park Commission delegated care of Fairmount to the existing board: Mrs. C.A. Broome, president, and to their successors. The self-perpetuating board has functioned without pay ever since. Board Liaison: Oscar Mota Department Fairmount Cemetery Phone Number: 655-9475 Email: oscar.mota@sanangelotexas.us Meeting Date: 3rd Wednesday Time: 9:30 AM Authorized # of Members: 14 Term Limit: unlimited Term Length: 0 Location: 1120 W. Avenue N. Alternate Member Appointed/Resigned Term # Term Expires 1. Carolyn Cargile 1/1/2001 1 0 2. Donna Crisp 12/6/2002 1 0 3. Christelle Holt 1/1/2001 0 0 4. Eva Horton 12/19/2006 1 5. Katie Johnson 1/16/2008 1 0 0 6. Jean Johnson 1/21/1998 1 0 7. Mary Manitzas 4/1/2009 1 0 8. Jackie Martin 1/16/2008 1 0 0 9. Caroline O'Conner 1/16/2008 1 0 0 10 . Susan Pfluger 9/18/1996 1 0 11 . Bitsy Stone 10/16/2000 1 0 12 . Beverly Stribling 12/12/2002 1 0 13 . Ann West 02/16/2010 1 0 14 . Susan Willialms 01/12/2011 1 0 Tuesday, April 09, 2013 Page 11 of 29
  • 826.
    City of SanAngelo - Boards and Commissions Fort Concho Museum Board Code Reference: Ch. 2, Art. 2.2300 MembershipRqmt: All members shall be residents of the City of San Angelo. Vacancies on the board, whether by expiration of term or for other reason, shall be filled by the City Council upon recommendation by the remaining board members (NOMINATION COMMITTEE), provided that the City Council can reject any nomination and request additional nominations for any reason. INDIVIDUAL MEMBER'S FIELD OF EXPERTISE INDICATED IN PARENTHESIS AFTER MEMBER'S LAST NAME. NOTES: 1 standing position from GAFB Board Liaison: Bob Bluthardt Department Ft Concho Museum Phone Number: 481-2646 Email: robert.bluthardt@sanangelotexas.us Meeting Date: 3rd Tuesday Time: 3:30 PM Authorized # of Members: 15 Term Limit: 2 Term Length: 3 Location: Officer's Quarters #8, 630 S. Oakes Alternate Member Appointed/Resigned Term # Term Expires 1. Robert Aguilar, Jr. 01/17/2012 1 January 2014 2. Devon Blake 8/21/2012 1 Open 3. Denise Bloomquist 02/05/2013 2 January 2016 4. Kimberly Busby 03/01/2011 1 January 2013 5. James Dusek 11/20/2012 1 January 2016 6. Andrew Graves 02/15/2011 2 January 2014 7. Dana Gray 01/17/2012 2 January 2015 8. Stephanie Harris 05/03/2011 1 January 2014 9. Clara Harvey 3/8/2010 1 January 2013 10 . Ken Heineman 03/22/2011 1 January 2014 11 . Mark Priest 02/05/2013 2 January 2016 12 . Robert Rainey 02/07/2012 1 January 2015 13 . Paul Stanley 11/20/2012 1 January 2016 14 . Greg Stephens 02/07/2012 2 January 2015 15 . Harry Thomas 02/02/2010 1 January 2013 Tuesday, April 09, 2013 Page 12 of 29
  • 827.
    City of SanAngelo - Boards and Commissions Park & Recreation Advisory Board Code Reference: Ch. 2, Art. 2.2600 MembershipRqmt: All members of the Board shall be eighteen (18) years of age or older and residents of the City of San Angelo. Advisory Board shall be composed of eight (8) members, seven (7) of whom shall be appointed by the City Council. The eighth member shall be a member of the Park Commission, nominated by the Park Commission and approved by the City Council. The appointments to the Board shall be on the basis of the nominee’s educational and professional qualifications and general knowledge of, interest in, and experience relevant to youth or adult sports, senior activities, recreation activities, other organized social activities, parks, nature or conservation NOTES: Adopted 8/7/12 Board will be composed of 8 members, 7 appointed by City Council and 1 member of Park Commission. Qualifications based on educational & professional knowledge/experience to youth or adult sports, senior activities, recreation activities, other organized social activities, parks, nature or conservation. Board Liaison: Carl White Department Parks & Recreation Phone Number: 657-4450 Email: carl.white@sanangelotexas; maryann.vasquez@sanangelotexas.us Meeting Date: TBA Time: Authorized # of Members: 8 Term Limit: 2 Term Length: 2 Location: Council Chambers Alternate Member Appointed/Resigned Term # Term Expires 1. Donald Barnhart 12/4/2012 1 December 2015 2. Mike Campbell 12/4/2012 1 December 2015 3. Debbie Cross 12/4/2012 1 December 2015 4. Anthony DeLaCruz 12/4/2012 1 December 2015 5. Gloria Henderson 12/4/2012 1 December 2014 6. Julia Lane 12/18/2012 1 December 2014 7. Mary Palos 12/4/2012 1 December 2014 8. Louis Perez 12/4/2012 1 December 2014 Tuesday, April 09, 2013 Page 18 of 29
  • 828.
    City of SanAngelo - Boards and Commissions Park Commission Code Reference: Charter Sec. 65 MembershipRqmt: Self-perpetuating. City Council confirmes nominations submitted by existing 2 members. Park Commission is composed of three (3) members, all resident citizens of the City of San Angelo. NOTES: Board Liaison: Carl White Department Parks Phone Number: 657-4279 Email: carl.white@sanangelotexas.us Meeting Date: Called Time: Authorized # of Members: 3 Term Limit: unlimited Term Length: 4 Location: Council Chambers Alternate Member Appointed/Resigned Term # Term Expires 1. Don Griffis 3/04/2010 2 January 2014 2. Julia Lane 4/7/2009 unexp January 2012 3. Bitsy Stone 09/27/2012 1 January 2015 Tuesday, April 09, 2013 Page 19 of 29
  • 829.
    City of SanAngelo - Boards and Commissions Planning Commission Code Reference: Ch. 2, Local Gov't Code 212.006; Amended 9/21/10. | – LOCAL GOVERNMENT CODE § 211.007 – State MembershipRqmt: Commission shall be composed of seven (7) members, all of whom shall be representative, insofar as possible, of different businesses, professions or occupations. All members shall be residents of the city. No more than three (3) members of the commission shall be in the same, similar or related business, profession or occupation. INDIVIDUAL MEMBER'S FIELD OF EXPERTISE INDICATED IN PARENTHESIS AFTER MEMBER'S LAST NAME. NOTES: 1/8/08 Council voted to change the total membership composition from 9 to 7 members. Those positions on a rotational schedule will expire at the end of the member's term. Board Liaison: AJ Fawver Department Planning Phone Number: 657-4210 Email: amanda.fawver@sanangelotexas.us Meeting Date: 3rd Monday each month/ 4th Time: 9:00 AM Authorized # of Members: 7 Term Limit: 2 Term Length: 3 Location: Council Chambers/Zentner's Daughter Alternate Member Appointed/Resigned Term # Term Expires 1. Jennifer Boggs 02/21/2012 1 January 2015 2. Joseph Grimes 03/22/2011 1 January 2014 3. Darlene Jones 12/20/2011 1 January 2014 4. William Lawrence 02/05/2013 2 January 2016 5. Valerie Priess 03/19/2013 1 January 2014 6. Ryan Smith 02/21/2013 1 January 2015 7. Bill Wynne 02/15/2011 1 January 2014 Tuesday, April 09, 2013 Page 20 of 29
  • 830.
    City of SanAngelo - Boards and Commissions Public Art Commission Code Reference: Ch. 2, Art. 2.4200 MembershipRqmt: Board shall be composed of seven (7) members who shall be appointed by the city council. To the extent available, the city council shall appoint to the commission: (1) At least one (1) member who is a teacher or professor of art. (2) At least one (1) member who is a member of the San Angelo Cultural Affairs Council or the San Angelo Museum of Fine Arts. (3) At least one (1) member who is an artist. (4) At least one (1) member who is a landscape architect, architect, engineer, or other type of design professional. (5) There may be one (1) ex officio non-voting member who represents the Parks Department or Park commission as designated by the city council or by the city manager. INDIVIDUAL MEMBER'S FIELD OF EXPERTISE INDICATED IN PARENTHESIS AFTER MEMBER'S LAST NAME. NOTES: Board Liaison: Carl White Department Parks Phone Number: 657-4279 Email: carl.white@sanangelotexas.us Meeting Date: Called Time: Authorized # of Members: 7 Term Limit: 2 Term Length: 2 Location: Council Chambers Alternate Member Appointed/Resigned Term # Term Expires 1. Esteban C. Apodaca 02/05/2013 2 April 2014 2. Alejandro Castanon 08/21/2012 1 April 2013 3. Daniel Makins 02/05/2013 2 April 2014 4. John Mattson 06/07/2011 1 April 2013 5. Hal Noelke 06/28/2011 2 April 2013 6. Sue Rainey 02/05/2013 2 April 2014 Tuesday, April 09, 2013 Page 21 of 29
  • 831.
    City of SanAngelo - Boards and Commissions Tax Increment Reinvestment Zone Code Reference: Ch. 2, Art. 2.4300; Texas Tax Code Ch 311 MembershipRqmt: All members shall be: A qualified voter of the City of San Angelo, or at least 18 years of age and own real property in the zone, whether or not the individual resides in the municipality. #1 five (5) shall be appointed by the City Council from those who own property within the zone of which four (4) shall reside within Single Member Districts (SMD) 2, 3, 4, and 5 respectively; #2 one (1) shall be appointed by the Tom Green County Commissioners from those who own property within the zone; #3 three (3) shall be appointed by the City Council from those who own businesses within the zone; #4 two (2) shall be appointed by the Tom Green County Commissioners from those who own businesses within the zone; #5 one (1) member shall be appointed by Tom Green County; #6 one (1) member shall be appointed by Goodfellow Air Force Base; #7 one (1) member shall be appointed by Angelo State University; and #8 one (1) member shall be appointed by San Angelo Independent School District. NOTES: Board Liaison: Bob Schneeman Department Community & Economic Phone Number: 657-4210 Email: robert.schneeman@sanangelotexas.us Development Meeting Date: 3rd Wednesday Time: 12:00 PM Authorized # of Members: 15 Term Limit: 3 Term Length: 2 Location: Council Chambers Alternate Member Appointed/Resigned Term # Term Expires 1. Roger Allen 3/12/2008 1 October 2010 2. Johnny Calvert 2/7/2012 2 October 2013 3. Mike Campbell 03/25/1010 2 October 2011 4. William Dendle 03/01/2011 2 October 2012 5. Gerard Gallegos 07/22/2009 1 October 2011 6. Gary Hodges, DVK 03/22/2011 1 October 2012 7. Craig Kinney 2/7/2012 3 October 2013 8. David Mazur 2/7/2012 2 October 2013 9. Nelly Perez 2/7/2012 2 October 2013 10 . Robert Pfluger 03/25/2010 2 October 2011 11 . Lee Pfluger 12/16/2008 1 October 2010 12 . Scott Shuttleworth 05/01/2007 2 October 0 13 . VACANT SMD3 01/01/2011 1 October 2010 14 . VACANT SMD5 01/01/2011 1 October 2010 Tuesday, April 09, 2013 Page 26 of 29
  • 832.
    City of SanAngelo - Boards and Commissions Water Advisory Board Code Reference: Ch. 2, Art. 2.3900 MembershipRqmt: the City Council shall appoint: 1) At least one (1) member who is an engineer, hydrologist, meteorologist or water well driller. 2) At least one (1) member who is involved in the banking, accounting or financial services industry. 3) At least one (1) member who is involved in agriculture or rural water issues. 4) At least one (1) member who is an attorney, former municipal, water district or other governmental officer, legislator, or other person who has experience in the legal issues related to water. B) The Board shall have one (1) ex- officio, non-voting member from the Chamber of Commerce. The Chamber of Commerce Board shall determine who will fill this position from their staff or its Board and shall notify the City of its selection as soon as practicable. INDIVIDUAL MEMBER'S FIELD OF EXPERTISE INDICATED IN PARENTHESIS AFTER MEMBER'S LAST NAME. NOTES: Board Liaison: Ricky Dickson Department Water Utilities Phone Number: 657-4206 Email: ricky.dickson@sanangelotexas.us Meeting Date: Called Time: Authorized # of Members: 7 Term Limit: unlimited Term Length: 2 Location: Council Chambers Alternate Member Appointed/Resigned Term # Term Expires 1. Clark Abel (WW Driller) 12/15/2009 2 September 2011 2. Stephen Brown ( 9/2/2008 3 September 2010 3. Don Butts (Frm Wdist.Ofcr) 11/17/2009 2 September 201