Анализ




     Баянзүрх цогцолбор сургууль                             7в ангийн сэтгэл хана
                                                                             1                             2                             3
                                                                       Та гэрийнхээ                   Даалгавраа                     Хамгийн
                                                                        даалгаврыг                     ихэвчлэн                       нийтэч
                                                                          тогтмол                    хэнээс асууж                    хүүхдийг
                                                                        хийдэг үү?                    хийдэг вэ?                    нэрлэнэ үү




                                                             Бүлэг
            Овог




                                               Хүйс

                                                      Анги
                                         Нас
                            Нэр
№




                                                                     a. Тийм




                                                                                                                               a. Тийм
                                                                               b. Үгүй




                                                                                                                                         b. Үгүй
                                                                                                            b.багш
                                                                                                   a. эгч
                                                                                              d.




                                                                                                                          d.
                                                                                         c.




                                                                                                                     c.




                                                                                                                                                   c.
 1 Гриш                Алтжин              7 эм          7в               0         1     0    0        1        0    0    0        1         0     0
 2 Чулуунпүрэв         Жадамбаа           13 эр          7в               1         0     0    0        1        0    0    0        1         0     0
 3 Батбаяр             Ундрам             13 эм          7в               0         0     0    0        0        0    1    0        1         0     0
 4 Энхтайван           Хулан              13 эм          7в               0         0     0    0        0        0    0    0        1         0     0
 5 Эрдэнэцогт          Бумбаяр            13 эр          7в               1         0     0    0        0        1    1    0        1         0     0
 6 Булганхангай        Эрдэнэтуул         13 эм          7в               0         0     0    0        0        0    0    0        1         0     0
 7 Нацагдорж           Мөнх-Эрдэнэ        13 эм          7в               0         0     0    0        1        0    0    0        1         0     0
 8 Цагаан              Дэндэв             13 эр          7в               0         0     0    0        1        0    0    0        1         0     0
 9 Хүдэрбат            Саруултуяа         13 эм          7в               0         0     0    0        0        0    0    0        1         0     0
10 Одгэрэл             Батхүү             13 эр          7в               1         0     0    0        0        1    1    0        1         0     0
11 Баатар              Чимгээ             13 эм          7в               1         0     0    0        1        0    0    0        1         0     0




20                 0                 0     0      0      0      0         0         0     0    0        0        0    0    0        0         0     0

     Нийт                                                       0         4         1     0    0        5        2    3    0 11               0     0




                                               Хуудас 1
Анализ



этгэл ханамжийн судалгаа
      3                               4                                           5                                           6                                           7                                           8                                                      9                             10
  Хамгийн                                                                                                                                                                                                                                                                                              Та бусдад
                                            Та өөрийгөө     Таны англи       Таны                                                                                                                                                                       Таны
   нийтэч            Та нет-д Та хичээлдээ                                                                                                                                                                                                                                                              нөхөрсөг
                                           эмзэг гэж үздэг хэлний мэдлэг компьютерийн                                                                                                                                                                 хөдөлгөөн
  хүүхдийг          суудаг уу?   хэр вэ?                                                                                                                                                                                                                                                             хандаж чаддаг
                                                 үү?          хэр вэ?    мэдлэг хэр вэ?                                                                                                                                                                хэр вэ?
 нэрлэнэ үү                                                                                                                                                                                                                                                                                               уу?
                                                                  b. Дунд зэрэг




                                                                                                                                                          b. Дунд зэрэг




                                                                                                                                                                                                      b. Дунд зэрэг




                                                                                                                                                                                                                                                             b. Дунд зэрэг




                                                                                                                                                                                                                                                                                                                b. Дунд зэрэг
                                                   a. Тааруухан




                                                                                                                                           a. Тааруухан




                                                                                                                                                                                       a. Тааруухан




                                                                                                                                                                                                                                              a. Тааруухан
                                                                                            d. Маш сайн




                                                                                                                                                                                                                                d. Маш сайн




                                                                                                                                                                                                                                                                                       d. Маш сайн
                                                                                                                                                                                                                                                                                                     a. Чадна
                  a. Тийм




                                                                                                          a. Тийм
                                                                                  c. Сайн




                                                                                                                                                                                                                      c. Сайн




                                                                                                                                                                                                                                                                             c. Сайн
                            b. Үгүй




                                                                                                                    b. Үгүй
         d.




                                              d.




                                                                                                                                      d.




                                                                                                                                                                                  d.
                                      c.




                                                                                                                              c.




                                                                                                                                                                          c.
              0        0         1        0    0            0               1          0            0           1         0       0    0             1               0        0    0             0               1          0            0             0               1          0            0            1              0
              0        1         0        0    0            0               1          0            0           1         0       0    0             0               1        0    0             0               0          1            0             0               0          1            0            1              0
              0        1         0        0    0            0               1          0            0           1         0       0    0             1               0        0    0             0               1          0            0             0               0          1            0            1              0
              0        1         0        0    0            0               1          0            0           1         0       0    0             0               1        0    0             0               0          1            0             0               0          1            0            1              0
              0        1         0        0    0            0               0          1            0           1         0       0    0             0               0        1    0             0               1          0            0             0               0          1            0            1              0
              0        1         0        0    0            0               1          0            0           1         0       0    0             0               0        1    0             0               0          1            0             0               0          0            1            1              0
              0        1         0        0    0            0               1          0            0           1         0       0    0             1               0        0    0             0               0          0            1             0               0          1            0            1              0
              0        0         0        1    0            0               1          0            0           1         0       0    0             0               0        0    0             0               1          0            0             0               0          1            0            1              0
              0        0         0        1    0            0               0          1            0           1         0       0    0             0               1        0    0             0               0          1            0             0               0          1            0            1              0
              0        1         0        0    0            0               0          0            1           1         0       0    0             0               0        1    0             0               0          1            0             0               0          1            0            1              0
              0        0         0        1    1            0               0          1            0           1         0       0    0             0               0        1    0             0               0          1            0             0               0          1            0            0              0




              0        0         0        0    0            0               0          0            0           0         0       0    0             0               0        0    0             0               0          0            0             0               0          0            0            0              0

              0       7         1         3    1           0              7           3            1 11                  0        0    0            3               3         4    0            0               4          6            1             0              1           9            1 10                        0




                                                                                                                                           Хуудас 2
Анализ




      10
  Та бусдад
   нөхөрсөг
хандаж чаддаг
     уу?
                d. Маш сайн
      c. Сайн




            0            0
            0            0
            0            0
            0            0
            0            0
            0            0
            0            0
            0            0
            0            0
            0            0
            0            0




            0            0

           0            0




                              Хуудас 3
Анализ




Хуудас 4
Анализ




Хуудас 5
Анализ




Хуудас 6
График


                                                             Судалгааны нэгтгэл
Асуулт 1:
                                                     Та гэрийнхээ даалгаврыг тогтмол хийдэг үү?
        Судалгаанд оролцсон нийт                   a. Тийм                   b. Үгүй
                   13                                  4                        1



                                          4

                                         3.5

                                          3

                                         2.5                                   a. Тийм
                                                                               b. Үгүй
                                          2                                    c.
                                                                               d.
                                         1.5

                                          1

                                         0.5

                                          0




Асуулт 2:
                                                    Даалгавраа ихэвчлэн хэнээс асууж хийдэг вэ?
        Судалгаанд оролцсон нийт                    a. эгч                  b.багш
                   13                                 5                        2



                                    5

                                   4.5

                                    4

                                   3.5
                                                                            a. эгч
                                    3                                       b.багш
                                   2.5                                      c.
                                                                            d.
                                    2

                                   1.5

                                    1

                                   0.5

                                    0


Асуулт 3:
                                                        Хамгийн нийтэч хүүхдийг нэрлэнэ үү

                                         Хуудас 7
График

        Судалгаанд оролцсон нийт                    a. Тийм                 b. Үгүй
                   13                                  11                      0



                                   12


                                   10


                                       8
                                                                            a. Тийм
                                                                            b. Үгүй
                                       6                                    c.
                                                                            d.

                                       4


                                       2


                                       0




Асуулт 4:
                                                               Та нет-д суудаг уу?
        Судалгаанд оролцсон нийт                    a. Тийм                 b. Үгүй
                   13                                   7                      1




                                   7

                                   6

                                   5
                                                                           a. Тийм
                                   4                                       b. Үгүй
                                                                           c.
                                   3                                       d.


                                   2

                                   1

                                   0
Асуулт 5:
                                                               Та хичээлдээ хэр вэ?
        Судалгаанд оролцсон нийт                a. Тааруухан             b. Дунд зэрэг
                   13                                 0                        7




                                           Хуудас 8
График




                                        7

                                        6

                                        5                                     a.
                                                                              Тааруухан
                                                                              b. Дунд
                                        4
                                                                              зэрэг
                                                                              c. Сайн
                                        3                                     d. Маш
                                                                              сайн
                                        2

                                        1

                                        0




Асуулт 6:
                                                               Та өөрийгөө эмзэг гэж үздэг үү?
        Судалгаанд оролцсон нийт                     a. Тийм                     b. Үгүй
                   13                                   11                          0




                                   12


                                   10


                                    8
                                                                            a. Тийм
                                                                            b. Үгүй
                                    6                                       c.
                                                                            d.

                                    4


                                    2


                                    0


Асуулт 7:
                                                          Таны англи хэлний мэдлэг хэр вэ?
        Судалгаанд оролцсон нийт                 a. Тааруухан             b. Дунд зэрэг
                   13                                  3                        3




                                            Хуудас 9
График




                                    4

                                   3.5

                                    3
                                                                   a.
                                   2.5                             Тааруухан
                                                                   b. Дунд
                                    2                              зэрэг
                                                                   c.
                                   1.5                             d.

                                    1

                                   0.5

                                    0



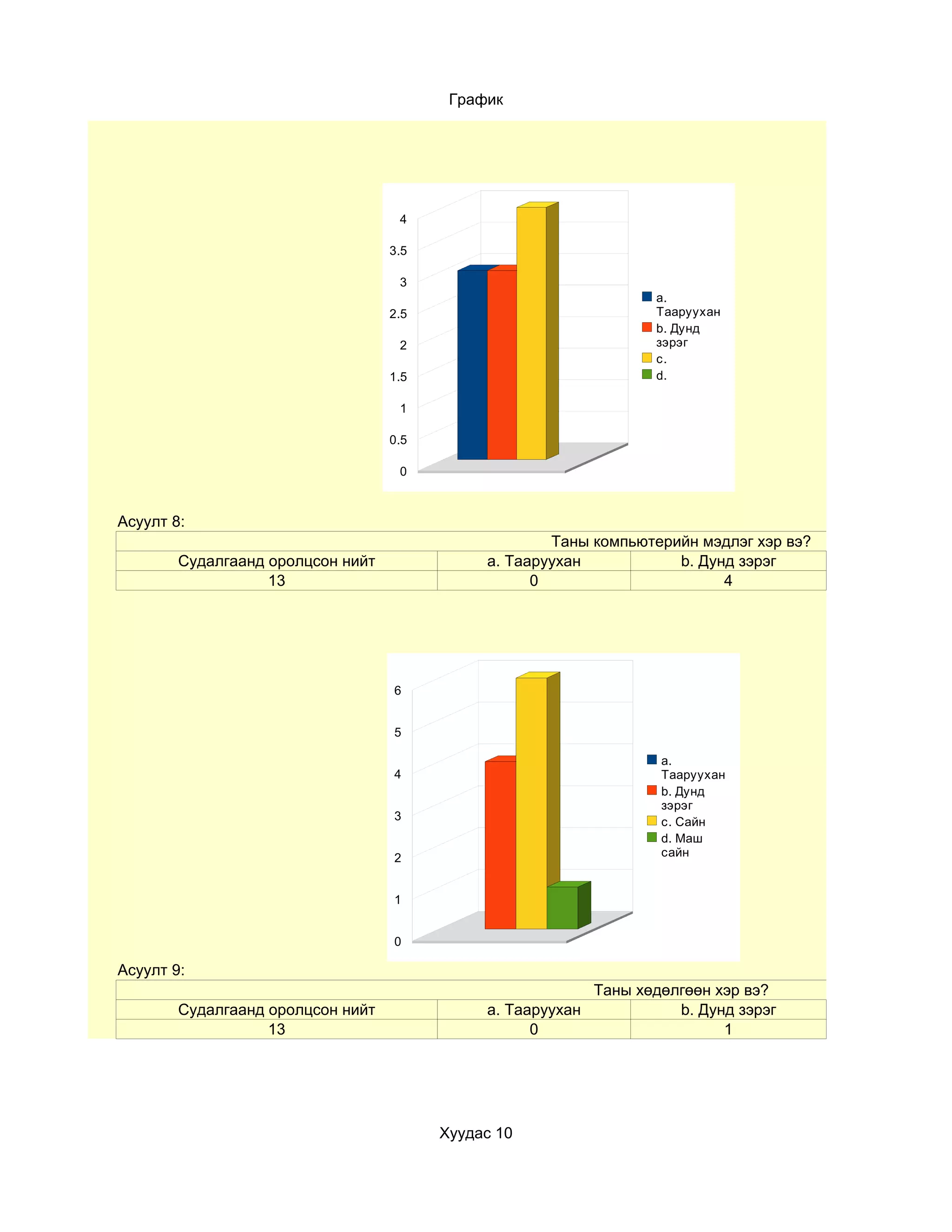
Асуулт 8:
                                                      Таны компьютерийн мэдлэг хэр вэ?
        Судалгаанд оролцсон нийт              a. Тааруухан           b. Дунд зэрэг
                   13                               0                      4




                                   6


                                   5

                                                                   a.
                                   4                               Тааруухан
                                                                   b. Дунд
                                                                   зэрэг
                                   3                               c. Сайн
                                                                   d. Маш
                                   2                               сайн


                                   1


                                   0

Асуулт 9:
                                                           Таны хөдөлгөөн хэр вэ?
        Судалгаанд оролцсон нийт              a. Тааруухан           b. Дунд зэрэг
                   13                               0                      1




                                         Хуудас 10
График




                                       9

                                       8

                                       7
                                                                          a.
                                       6                                  Тааруухан
                                                                          b. Дунд
                                       5                                  зэрэг
                                                                          c. Сайн
                                       4
                                                                          d. Маш
                                       3                                  сайн

                                       2

                                       1

                                       0




Асуулт 10:
                                                        Та бусдад нөхөрсөг хандаж чаддаг уу?
       Судалгаанд оролцсон нийт                   a. Чадна                b. Дунд зэрэг
                  13                                  10                        0




                                  10

                                   9

                                   8

                                   7                                     a. Чадна
                                                                         b. Дунд
                                   6
                                                                         зэрэг
                                   5                                     c. Сайн
                                                                         d. Маш
                                   4                                     сайн
                                   3

                                   2

                                   1

                                   0




Асуулт 11:

                                           Хуудас 11
График

                                                        0
       Судалгаанд оролцсон нийт                     0       0
                  13                                0       0




                                   1
                                  0.9
                                  0.8
                                  0.7
                                                            0
                                  0.6                       0
                                  0.5                       0
                                                            0
                                  0.4
                                  0.3
                                  0.2
                                  0.1
                                   0




Асуулт 12:
                                                        0
       Судалгаанд оролцсон нийт                     0       0
                  0                                 0       0




                                        Хуудас 12
График




                                   1
                                  0.9
                                  0.8
                                  0.7
                                                                0
                                  0.6                           0
                                  0.5                           0
                                                                0
                                  0.4
                                  0.3
                                  0.2
                                  0.1
                                   0




Асуулт 13:
                                                            0
       Судалгаанд оролцсон нийт                         0       0
                  0                                     0       0




                                        1
                                   0.9
                                   0.8
                                   0.7
                                                                    0
                                   0.6                              0
                                   0.5                              0
                                                                    0
                                   0.4
                                   0.3
                                   0.2
                                   0.1
                                        0




                                            Хуудас 13
График
Асуулт 14:
                                                        0
       Судалгаанд оролцсон нийт                     0       0
                  0                                 0       0




                                   1
                                  0.9
                                  0.8
                                  0.7
                                                                0
                                  0.6                           0
                                  0.5                           0
                                                                0
                                  0.4
                                  0.3
                                  0.2
                                  0.1
                                   0




Асуулт 15:
                                                        0
       Судалгаанд оролцсон нийт                     0       0
                  0                                 0       0




                                        Хуудас 14
График




                                        1
                                    0.9
                                    0.8
                                    0.7
                                                                    0
                                    0.6                             0
                                    0.5                             0
                                                                    0
                                    0.4
                                    0.3
                                    0.2
                                    0.1
                                        0




Асуулт 16:
                                                            0
       Судалгаанд оролцсон нийт                         0           0
                  0                                     0           0



                                   1
                                  0.9
                                  0.8
                                  0.7
                                                                0
                                  0.6                           0
                                  0.5                           0
                                                                0
                                  0.4
                                  0.3
                                  0.2
                                  0.1
                                   0




Асуулт 17:
                                                            0
       Судалгаанд оролцсон нийт                         0           0
                  0                                     0           0

                                            Хуудас 15
График




                                   1
                                  0.9
                                  0.8
                                  0.7
                                                             0
                                  0.6                        0
                                  0.5                        0
                                                             0
                                  0.4
                                  0.3
                                  0.2
                                  0.1
                                   0




Асуулт 18:
                                                     0
       Судалгаанд оролцсон нийт                  0       0
                  0                              0       0




                                         1
                                        0.9
                                        0.8
                                        0.7
                                                                 0
                                        0.6                      0
                                        0.5                      0
                                                                 0
                                        0.4
                                        0.3
                                        0.2
                                        0.1
                                         0




Асуулт 19:


                                   Хуудас 16
График

                                                  0
       Судалгаанд оролцсон нийт               0       0
                  0                           0       0




                                      1
                                     0.9
                                     0.8
                                     0.7
                                                          0
                                     0.6                  0
                                     0.5                  0
                                                          0
                                     0.4
                                     0.3
                                     0.2
                                     0.1
                                      0



Асуулт 20:
                                                  0
       Судалгаанд оролцсон нийт               0       0
                  0                           0       0




                                  Хуудас 17
График




                                     1
                                    0.9
                                    0.8
                                    0.7
                                                          0
                                    0.6                   0
                                    0.5                   0
                                                          0
                                    0.4
                                    0.3
                                    0.2
                                    0.1
                                     0




Асуулт 21:
                                                  0
       Судалгаанд оролцсон нийт               0       0
                  0                           0       0




                                  Хуудас 18
График




                                   1
                                  0.9
                                  0.8
                                  0.7
                                                             0
                                  0.6                        0
                                  0.5                        0
                                                             0
                                  0.4
                                  0.3
                                  0.2
                                  0.1
                                   0




Асуулт 22:
                                                     0
       Судалгаанд оролцсон нийт                  0       0
                  0                              0       0




                                   Хуудас 19
График




                                         1
                                        0.9
                                        0.8
                                        0.7
                                        0.6                                Column K
                                        0.5                                Column L
                                                                           Column M
                                        0.4                                Column N
                                        0.3
                                        0.2
                                        0.1
                                         0
                                               Row 139   Row 140




Асуулт 23:
                                                                   0
       Судалгаанд оролцсон нийт                  0                     0
                  0                              0                     0




                                   1
                                  0.9
                                  0.8
                                  0.7
                                                                             0
                                  0.6                                        0
                                  0.5                                        0
                                                                             0
                                  0.4
                                  0.3
                                  0.2
                                  0.1
                                   0




                                   Хуудас 20
График
Асуулт 24:
                                                        0
       Судалгаанд оролцсон нийт                     0       0
                  0                                 0       0




                                         1
                                        0.9
                                        0.8
                                        0.7
                                                                    0
                                        0.6                         0
                                        0.5                         0
                                                                    0
                                        0.4
                                        0.3
                                        0.2
                                        0.1
                                         0




Асуулт 25:
                                                        0
       Судалгаанд оролцсон нийт                     0       0
                  0                                 0       0




                                   1
                                  0.9
                                  0.8
                                  0.7
                                                                0
                                  0.6                           0
                                  0.5                           0
                                                                0
                                  0.4
                                  0.3
                                  0.2
                                  0.1
                                   0




                                        Хуудас 21
График
Асуулт 26:
                                                  0
       Судалгаанд оролцсон нийт               0       0
                  0                           0       0




                                        1
                                    0.9
                                    0.8
                                    0.7
                                                              0
                                    0.6                       0
                                    0.5                       0
                                                              0
                                    0.4
                                    0.3
                                    0.2
                                    0.1
                                        0




Асуулт 27:
                                                  0
       Судалгаанд оролцсон нийт               0       0
                  0                           0       0




                                   1
                                  0.9
                                  0.8
                                  0.7
                                                          0
                                  0.6                     0
                                  0.5                     0
                                                          0
                                  0.4
                                  0.3
                                  0.2
                                  0.1
                                   0




                                  Хуудас 22
График


Асуулт 28:
                                                  0
       Судалгаанд оролцсон нийт               0       0
                  0                           0       0




                                         1
                                    0.9
                                    0.8
                                    0.7
                                                              0
                                    0.6                       0
                                    0.5                       0
                                                              0
                                    0.4
                                    0.3
                                    0.2
                                    0.1
                                         0



Асуулт 29:
                                                  0
       Судалгаанд оролцсон нийт               0       0
                  0                           0       0




                                     1
                                   0.9
                                   0.8
                                   0.7
                                                          0
                                   0.6                    0
                                                          0
                                   0.5
                                                          0
                                   0.4
                                   0.3
                                   0.2
                                   0.1
                                     0




                                  Хуудас 23
График


ы нэгтгэл
мол хийдэг үү?
            c.             d.
                       0                    0




сууж хийдэг вэ?
                  c.            d.
                  3             0




нэрлэнэ үү

                                     Хуудас 24
График

        c.          d.
        0           0




у?
        c.          d.
        3           1




вэ?
      c. Сайн   d. Маш сайн
          3          1




                         Хуудас 25
График




үздэг үү?
             c.   d.
             0    0




эг хэр вэ?
             c.   d.
             4    0




                       Хуудас 26
График




лэг хэр вэ?
              c. Сайн   d. Маш сайн
                  6          1




р вэ?
              c. Сайн   d. Маш сайн
                  9          1




                                 Хуудас 27
График




ж чаддаг уу?
               c. Сайн   d. Маш сайн
                   0          0




                                  Хуудас 28
График


0   0
0   0




0   0
0   0




        Хуудас 29
График




0   0
0   0




        Хуудас 30
График



0   0
0   0




0   0
0   0




        Хуудас 31
График




0   0
0   0




0   0
0   0

        Хуудас 32
График




0   0
0   0




        Хуудас 33
График


0   0
0   0




0   0
0   0




        Хуудас 34
График




0   0
0   0




        Хуудас 35
График




0   0
0   0




        Хуудас 36
График




0   0
0   0




        Хуудас 37
График



0   0
0   0




0   0
0   0




        Хуудас 38
График



0   0
0   0




0   0
0   0




        Хуудас 39
График




0   0
0   0




0   0
0   0




        Хуудас 40
1



                                                               Цахим су
Овог                     Гриш                                  Анги         7
Нэр                     Алтжин                                 Бүлэг        в
Асуулт 1:

       Та гэрийнхээ даалгаврыг тогтмол хийдэг үү?

              a. Тийм                b. Үгүй         c.                d.

Асуулт 2:


       Даалгавраа ихэвчлэн хэнээс асууж хийдэг вэ?

              a. эгч                 b.багш          c.                d.

Асуулт 3:


       Хамгийн нийтэч хүүхдийг нэрлэнэ үү

              a. Тийм                b. Үгүй         c.                d.

Асуулт 4:


       Та нет-д суудаг уу?

              a. Тийм                b. Үгүй         c.                d.

Асуулт 5:


       Та хичээлдээ хэр вэ?

              a. Тааруухан           b. Дунд зэрэг   c. Сайн           d. Маш сайн

Асуулт 6:

       Та өөрийгөө эмзэг гэж үздэг үү?

              a. Тийм                b. Үгүй         c.                d.

Асуулт 7:

       Таны англи хэлний мэдлэг хэр вэ?

                                         Хуудас 41
1


              a. Тааруухан         b. Дунд зэрэг   c.        d.

Асуулт 8:

       Таны компьютерийн мэдлэг хэр вэ?

              a. Тааруухан         b. Дунд зэрэг   c. Сайн   d. Маш сайн

Асуулт 9:

       Таны хөдөлгөөн хэр вэ?

              a. Тааруухан         b. Дунд зэрэг   c. Сайн   d. Маш сайн

Асуулт 10:

       Та бусдад нөхөрсөг хандаж чаддаг уу?

              a. Чадна             b. Дунд зэрэг   c. Сайн   d. Маш сайн




                                     Хуудас 42
1



хим судалгаа
    7               Нас               13
    в               Хүйс              эм




              Хариулт      b




              Хариулт      a




              Хариулт      a




              Хариулт      b




d. Маш сайн   Хариулт      b




              Хариулт      a




                               Хуудас 43
1


              Хариулт   a




d. Маш сайн   Хариулт   b




d. Маш сайн   Хариулт   b




d. Маш сайн   Хариулт   a




                            Хуудас 44
1




Хуудас 45
1




Хуудас 46
2



                                                               Цахим су
Овог               Чулуунпүрэв                                 Анги         7
Нэр                 Жадамбаа                                   Бүлэг        в
Асуулт 1:

       Та гэрийнхээ даалгаврыг тогтмол хийдэг үү?

              a. Тийм               b. Үгүй          c.                d.

Асуулт 2:


       Даалгавраа ихэвчлэн хэнээс асууж хийдэг вэ?

              a. өөрөө              b.багш           c.                d.

Асуулт 3:


       Та ЕШ-даа бэлдэж байна уу?

              a. Тийм               b. Үгүй          c.                d.

Асуулт 4:


       Та нет-д суудаг уу?

              a. Тийм               b. Үгүй          c.                d.

Асуулт 5:


       Та хичээлдээ хэр вэ?

              a. Тааруухан          b. Дунд зэрэг    c. Сайн           d. Маш сайн

Асуулт 6:

       Та их сургуульд элсэн орох уу?

              a. Тийм               b. Үгүй          c.                d.

Асуулт 7:

       Таны англи хэлний мэдлэг хэр вэ?

                                        Хуудас 47
2


              a. Тааруухан         b. Дунд зэрэг   c.        d.

Асуулт 8:

       Таны компьютерийн мэдлэг хэр вэ?

              a. Тааруухан         b. Дунд зэрэг   c. Сайн   d. Маш сайн

Асуулт 9:

       Та бусадтай хэр ажиллаж чадах вэ?

              a. Тааруухан         b. Дунд зэрэг   c. Сайн   d. Маш сайн

Асуулт 10:

       Та бусдад нөхөрсөг хандаж чаддаг уу?

              a. Чадна             b. Дунд зэрэг   c. Сайн   d. Маш сайн




                                     Хуудас 48
2



хим судалгаа
    7               Нас               13
    в               Хүйс              эр




              Хариулт      a




              Хариулт      a




              Хариулт      a




              Хариулт      a




d. Маш сайн   Хариулт      b




              Хариулт      a




                               Хуудас 49
2


              Хариулт   b




d. Маш сайн   Хариулт   c




d. Маш сайн   Хариулт   c




d. Маш сайн   Хариулт   a




                            Хуудас 50
2




Хуудас 51
2




Хуудас 52
3



                                                               Цахим су
Овог                   Батбаяр                                 Анги         7
Нэр                    Ундрам                                  Бүлэг        в
Асуулт 1:

       Та гэрийнхээ даалгаврыг тогтмол хийдэг үү?

              a. Тийм               b. Үгүй          c. хааяа          d.

Асуулт 2:


       Даалгавраа ихэвчлэн хэнээс асууж хийдэг вэ?

              a. эгч                b.багш           c. өөрөө          d.

Асуулт 3:


       Та ЕШ-даа бэлдэж байна уу?

              a. Тийм               b. Үгүй          c.                d.

Асуулт 4:


       Та нет-д суудаг уу?

              a. Тийм               b. Үгүй          c.                d.

Асуулт 5:


       Та хичээлдээ хэр вэ?

              a. Тааруухан          b. Дунд зэрэг    c. Сайн           d. Маш сайн

Асуулт 6:

       Та их сургуульд элсэн орох уу?

              a. Тийм               b. Үгүй          c.                d.

Асуулт 7:

       Таны англи хэлний мэдлэг хэр вэ?

                                        Хуудас 53
3


              a. Тааруухан         b. Дунд зэрэг   c.        d.

Асуулт 8:

       Таны компьютерийн мэдлэг хэр вэ?

              a. Тааруухан         b. Дунд зэрэг   c. Сайн   d. Маш сайн

Асуулт 9:

       Та бусадтай хэр ажиллаж чадах вэ?

              a. Тааруухан         b. Дунд зэрэг   c. Сайн   d. Маш сайн

Асуулт 10:

       Та бусдад нөхөрсөг хандаж чаддаг уу?

              a. Чадна             b. Дунд зэрэг   c. Сайн   d. Маш сайн




                                     Хуудас 54
3



хим судалгаа
    7               Нас               13
    в               Хүйс              эм




              Хариулт      c




              Хариулт      c




              Хариулт      a




              Хариулт      a




d. Маш сайн   Хариулт      b




              Хариулт      a




                               Хуудас 55
3


              Хариулт   a




d. Маш сайн   Хариулт   b




d. Маш сайн   Хариулт   c




d. Маш сайн   Хариулт   a




                            Хуудас 56
3




Хуудас 57
3




Хуудас 58
4



                                                               Цахим су
Овог                   Энхтайван                               Анги         7
Нэр                      Хулан                                 Бүлэг        в
Асуулт 1:

       Та гэрийнхээ даалгаврыг тогтмол хийдэг үү?

              a. Тийм               b. Үгүй          c.   Хааяа        d.

Асуулт 2:


       Даалгавраа ихэвчлэн хэнээс асууж хийдэг вэ?

              a. эгч                b.багш           c.   ах           d.

Асуулт 3:


       Та ЕШ-даа бэлдэж байна уу?

              a. Тийм               b. Үгүй          c.                d.

Асуулт 4:


       Та нет-д суудаг уу?

              a. Тийм               b. Үгүй          c.                d.

Асуулт 5:


       Та хичээлдээ хэр вэ?

              a. Тааруухан          b. Дунд зэрэг    c. Сайн           d. Маш сайн

Асуулт 6:

       Та их сургуульд элсэн орох уу?

              a. Тийм               b. Үгүй          c.                d.

Асуулт 7:

       Таны англи хэлний мэдлэг хэр вэ?

                                        Хуудас 59
4


              a. Тааруухан         b. Дунд зэрэг   c.        d.

Асуулт 8:

       Таны компьютерийн мэдлэг хэр вэ?

              a. Тааруухан         b. Дунд зэрэг   c. Сайн   d. Маш сайн

Асуулт 9:

       Та бусадтай хэр ажиллаж чадах вэ?

              a. Тааруухан         b. Дунд зэрэг   c. Сайн   d. Маш сайн

Асуулт 10:

       Та бусдад нөхөрсөг хандаж чаддаг уу?

              a. Чадна             b. Дунд зэрэг   c. Сайн   d. Маш сайн




                                     Хуудас 60
4



хим судалгаа
    7               Нас               13
    в               Хүйс              эм




              Хариулт      c




              Хариулт      c




              Хариулт      a




              Хариулт      a




d. Маш сайн   Хариулт      b




              Хариулт      a




                               Хуудас 61
4


              Хариулт   b




d. Маш сайн   Хариулт   c




d. Маш сайн   Хариулт   c




d. Маш сайн   Хариулт   a




                            Хуудас 62
4




Хуудас 63
4




Хуудас 64
5



                                                               Цахим су
Овог                   Эрдэнэцогт                              Анги         7
Нэр                     Бумбаяр                                Бүлэг        в
Асуулт 1:

       Та гэрийнхээ даалгаврыг тогтмол хийдэг үү?

              a. Тийм               b. Үгүй          c.                d.

Асуулт 2:


       Даалгавраа ихэвчлэн хэнээс асууж хийдэг вэ?

              a. эгч                b.багш           c.                d.

Асуулт 3:


       Та ЕШ-даа бэлдэж байна уу?

              a. Тийм               b. Үгүй          c.                d.

Асуулт 4:


       Та нет-д суудаг уу?

              a. Тийм               b. Үгүй          c.                d.

Асуулт 5:


       Та хичээлдээ хэр вэ?

              a. Тааруухан          b. Дунд зэрэг    c. Сайн           d. Маш сайн

Асуулт 6:

       Та их сургуульд элсэн орох уу?

              a. Тийм               b. Үгүй          c.                d.

Асуулт 7:

       Таны англи хэлний мэдлэг хэр вэ?

                                        Хуудас 65
5


              a. Тааруухан         b. Дунд зэрэг   c.   Сайн   d. Маш сайн

Асуулт 8:

       Таны компьютерийн мэдлэг хэр вэ?

              a. Тааруухан         b. Дунд зэрэг   c. Сайн     d. Маш сайн

Асуулт 9:

       Та бусадтай хэр ажиллаж чадах вэ?

              a. Тааруухан         b. Дунд зэрэг   c. Сайн     d. Маш сайн

Асуулт 10:

       Та бусдад нөхөрсөг хандаж чаддаг уу?

              a. Чадна             b. Дунд зэрэг   c. Сайн     d. Маш сайн




                                     Хуудас 66
5



хим судалгаа
    7               Нас               13
    в               Хүйс              эр




              Хариулт      a




              Хариулт      b




              Хариулт      a




              Хариулт      a




d. Маш сайн   Хариулт      c




              Хариулт      a




                               Хуудас 67
5


   Маш сайн   Хариулт   c




d. Маш сайн   Хариулт   b




d. Маш сайн   Хариулт   c




d. Маш сайн   Хариулт   a




                            Хуудас 68
5




Хуудас 69
5




Хуудас 70
6



                                                               Цахим су
Овог               Булганхангай                                Анги         7
Нэр                 Эрдэнэтуул                                 Бүлэг        в
Асуулт 1:

       Та гэрийнхээ даалгаврыг тогтмол хийдэг үү?

              a. Тийм               b. Үгүй          c.   хааяа        d.

Асуулт 2:


       Даалгавраа ихэвчлэн хэнээс асууж хийдэг вэ?

              a. эгч                b.багш           c.   Өөрөө        d.

Асуулт 3:


       Та ЕШ-даа бэлдэж байна уу?

              a. Тийм               b. Үгүй          c.                d.

Асуулт 4:


       Та нет-д суудаг уу?

              a. Тийм               b. Үгүй          c.                d.

Асуулт 5:


       Та хичээлдээ хэр вэ?

              a. Тааруухан          b. Дунд зэрэг    c. Сайн           d. Маш сайн

Асуулт 6:

       Та их сургуульд элсэн орох уу?

              a. Тийм               b. Үгүй          c.                d.

Асуулт 7:

       Таны англи хэлний мэдлэг хэр вэ?

                                        Хуудас 71
6


              a. Тааруухан         b. Дунд зэрэг   c.   Сайн   d. Маш сайн

Асуулт 8:

       Таны компьютерийн мэдлэг хэр вэ?

              a. Тааруухан         b. Дунд зэрэг   c. Сайн     d. Маш сайн

Асуулт 9:

       Та бусадтай хэр ажиллаж чадах вэ?

              a. Тааруухан         b. Дунд зэрэг   c. Сайн     d. Маш сайн

Асуулт 10:

       Та бусдад нөхөрсөг хандаж чаддаг уу?

              a. Чадна             b. Дунд зэрэг   c. Сайн     d. Маш сайн




                                     Хуудас 72
6



хим судалгаа
    7               Нас               13
    в               Хүйс              эм




              Хариулт      c




              Хариулт      c




              Хариулт      a




              Хариулт      a




d. Маш сайн   Хариулт      b




              Хариулт      a




                               Хуудас 73
6


   Маш сайн   Хариулт   c




d. Маш сайн   Хариулт   c




d. Маш сайн   Хариулт   d




d. Маш сайн   Хариулт   a




                            Хуудас 74
6




Хуудас 75
6




Хуудас 76
7



                                                               Цахим су
Овог                Нацагдорж                                  Анги         7
Нэр                Мөнх-Эрдэнэ                                 Бүлэг        в
Асуулт 1:

       Та гэрийнхээ даалгаврыг тогтмол хийдэг үү?

              a. Тийм               b. Үгүй          c.   Хааяа        d.

Асуулт 2:


       Даалгавраа ихэвчлэн хэнээс асууж хийдэг вэ?

              a. эгч                b.багш           c.   Өөрөө        d.

Асуулт 3:


       Та ЕШ-даа бэлдэж байна уу?

              a. Тийм               b. Үгүй          c.                d.

Асуулт 4:


       Та нет-д суудаг уу?

              a. Тийм               b. Үгүй          c.   Хааяа        d.

Асуулт 5:


       Та хичээлдээ хэр вэ?

              a. Тааруухан          b. Дунд зэрэг    c. Сайн           d. Маш сайн

Асуулт 6:

       Та их сургуульд элсэн орох уу?

              a. Тийм               b. Үгүй          c.                d.

Асуулт 7:

       Таны англи хэлний мэдлэг хэр вэ?

                                        Хуудас 77
7


              a. Тааруухан         b. Дунд зэрэг   c.   Сайн   d. Маш сайн

Асуулт 8:

       Таны компьютерийн мэдлэг хэр вэ?

              a. Тааруухан         b. Дунд зэрэг   c. Сайн     d. Маш сайн

Асуулт 9:

       Та бусадтай хэр ажиллаж чадах вэ?

              a. Тааруухан         b. Дунд зэрэг   c. Сайн     d. Маш сайн

Асуулт 10:

       Та бусдад нөхөрсөг хандаж чаддаг уу?

              a. Чадна             b. Дунд зэрэг   c. Сайн     d. Маш сайн




                                     Хуудас 78
7



хим судалгаа
    7               Нас               13
    в               Хүйс              эр




              Хариулт      c




              Хариулт      a




              Хариулт      a




              Хариулт      a




d. Маш сайн   Хариулт      b




              Хариулт      a




                               Хуудас 79
7


   Маш сайн   Хариулт   a




d. Маш сайн   Хариулт   d




d. Маш сайн   Хариулт   c




d. Маш сайн   Хариулт   a




                            Хуудас 80
7




Хуудас 81
7




Хуудас 82
8



                                                               Цахим су
Овог                    Цагаан                                 Анги         7
Нэр                     Дэндэв                                 Бүлэг        в
Асуулт 1:

       Та гэрийнхээ даалгаврыг тогтмол хийдэг үү?

              a. Тийм               b. Үгүй          c.   Хааяа        d.

Асуулт 2:


       Даалгавраа ихэвчлэн хэнээс асууж хийдэг вэ?

              a. эгч                b.багш           c.   Өөрөө        d.

Асуулт 3:


       Та ЕШ-даа бэлдэж байна уу?

              a. Тийм               b. Үгүй          c.                d.

Асуулт 4:


       Та нет-д суудаг уу?

              a. Тийм               b. Үгүй          c.   Хааяа        d.

Асуулт 5:


       Та хичээлдээ хэр вэ?

              a. Тааруухан          b. Дунд зэрэг    c. Сайн           d. Маш сайн

Асуулт 6:

       Та их сургуульд элсэн орох уу?

              a. Тийм               b. Үгүй          c.                d.

Асуулт 7:

       Таны англи хэлний мэдлэг хэр вэ?

                                        Хуудас 83
8


              a. Тааруухан         b. Дунд зэрэг   c.   Сайн   d. Маш сайн

Асуулт 8:

       Таны компьютерийн мэдлэг хэр вэ?

              a. Тааруухан         b. Дунд зэрэг   c. Сайн     d. Маш сайн

Асуулт 9:

       Та бусадтай хэр ажиллаж чадах вэ?

              a. Тааруухан         b. Дунд зэрэг   c. Сайн     d. Маш сайн

Асуулт 10:

       Та бусдад нөхөрсөг хандаж чаддаг уу?

              a. Чадна             b. Дунд зэрэг   c. Сайн     d. Маш сайн




                                     Хуудас 84
8



хим судалгаа
    7               Нас               13
    в               Хүйс              эр




              Хариулт      c




              Хариулт      a




              Хариулт      a




              Хариулт      c




d. Маш сайн   Хариулт      b




              Хариулт      a




                               Хуудас 85
8


   Маш сайн   Хариулт   c




d. Маш сайн   Хариулт   b




d. Маш сайн   Хариулт   c




d. Маш сайн   Хариулт   a




                            Хуудас 86
8




Хуудас 87
8




Хуудас 88
9



                                                               Цахим су
Овог                    Хүдэрбат                               Анги         7
Нэр                    Саруултуяа                              Бүлэг        в
Асуулт 1:

       Та гэрийнхээ даалгаврыг тогтмол хийдэг үү?

              a. Тийм               b. Үгүй          c.   Хааяа        d.

Асуулт 2:


       Даалгавраа ихэвчлэн хэнээс асууж хийдэг вэ?

              a. эгч                b.багш           c.   Өөрөө        d.

Асуулт 3:


       Та ЕШ-даа бэлдэж байна уу?

              a. Тийм               b. Үгүй          c.                d.

Асуулт 4:


       Та нет-д суудаг уу?

              a. Тийм               b. Үгүй          c.   Хааяа        d.

Асуулт 5:


       Та хичээлдээ хэр вэ?

              a. Тааруухан          b. Дунд зэрэг    c. Сайн           d. Маш сайн

Асуулт 6:

       Та их сургуульд элсэн орох уу?

              a. Тийм               b. Үгүй          c.                d.

Асуулт 7:

       Таны англи хэлний мэдлэг хэр вэ?

                                        Хуудас 89
9


              a. Тааруухан         b. Дунд зэрэг   c.   Сайн   d. Маш сайн

Асуулт 8:

       Таны компьютерийн мэдлэг хэр вэ?

              a. Тааруухан         b. Дунд зэрэг   c. Сайн     d. Маш сайн

Асуулт 9:

       Та бусадтай хэр ажиллаж чадах вэ?

              a. Тааруухан         b. Дунд зэрэг   c. Сайн     d. Маш сайн

Асуулт 10:

       Та бусдад нөхөрсөг хандаж чаддаг уу?

              a. Чадна             b. Дунд зэрэг   c. Сайн     d. Маш сайн




                                     Хуудас 90
9



хим судалгаа
    7               Нас               13
    в               Хүйс              эм




              Хариулт      c




              Хариулт      c




              Хариулт      a




              Хариулт      c




d. Маш сайн   Хариулт      c




              Хариулт      a




                               Хуудас 91
9


   Маш сайн   Хариулт   b




d. Маш сайн   Хариулт   c




d. Маш сайн   Хариулт   c




d. Маш сайн   Хариулт   a




                            Хуудас 92
9




Хуудас 93
9




Хуудас 94
10



                                                               Цахим су
Овог                   Одгэрэл                                 Анги         7
Нэр                    Батхүү                                  Бүлэг        в
Асуулт 1:

       Та гэрийнхээ даалгаврыг тогтмол хийдэг үү?

              a. Тийм               b. Үгүй          c.   Хааяа        d.

Асуулт 2:


       Даалгавраа ихэвчлэн хэнээс асууж хийдэг вэ?

              a. эгч                b.багш           c.   Өөрөө        d.

Асуулт 3:


       Та ЕШ-даа бэлдэж байна уу?

              a. Тийм               b. Үгүй          c.                d.

Асуулт 4:


       Та нет-д суудаг уу?

              a. Тийм               b. Үгүй          c.   Хааяа        d.

Асуулт 5:


       Та хичээлдээ хэр вэ?

              a. Тааруухан          b. Дунд зэрэг    c. Сайн           d. Маш сайн

Асуулт 6:

       Та их сургуульд элсэн орох уу?

              a. Тийм               b. Үгүй          c.                d.

Асуулт 7:

       Таны англи хэлний мэдлэг хэр вэ?

                                        Хуудас 95
10


              a. Тааруухан         b. Дунд зэрэг   c.   Сайн   d. Маш сайн

Асуулт 8:

       Таны компьютерийн мэдлэг хэр вэ?

              a. Тааруухан         b. Дунд зэрэг   c. Сайн     d. Маш сайн

Асуулт 9:

       Та бусадтай хэр ажиллаж чадах вэ?

              a. Тааруухан         b. Дунд зэрэг   c. Сайн     d. Маш сайн

Асуулт 10:

       Та бусдад нөхөрсөг хандаж чаддаг уу?

              a. Чадна             b. Дунд зэрэг   c. Сайн     d. Маш сайн




                                     Хуудас 96
10



хим судалгаа
    7               Нас                13
    в               Хүйс               эр




              Хариулт      a




              Хариулт      b




              Хариулт      a




              Хариулт      a




d. Маш сайн   Хариулт      d




              Хариулт      a




                               Хуудас 97
10


   Маш сайн   Хариулт   c




d. Маш сайн   Хариулт   c




d. Маш сайн   Хариулт   c




d. Маш сайн   Хариулт   a




                            Хуудас 98
10




Хуудас 99
10




Хуудас 100
11



                                                               Цахим су
Овог                    Баатар                                 Анги         7
Нэр                     Чимгээ                                 Бүлэг        в
Асуулт 1:

       Та гэрийнхээ даалгаврыг тогтмол хийдэг үү?

              a. Тийм               b. Үгүй          c.   Хааяа        d.

Асуулт 2:


       Даалгавраа ихэвчлэн хэнээс асууж хийдэг вэ?

              a. эгч                b.багш           c.   Өөрөө        d.

Асуулт 3:


       Та ЕШ-даа бэлдэж байна уу?

              a. Тийм               b. Үгүй          c.                d.

Асуулт 4:


       Та нет-д суудаг уу?

              a. Тийм               b. Үгүй          c.   Хааяа        d.

Асуулт 5:


       Та хичээлдээ хэр вэ?

              a. Тааруухан          b. Дунд зэрэг    c. Сайн           d. Маш сайн

Асуулт 6:

       Та их сургуульд элсэн орох уу?

              a. Тийм               b. Үгүй          c.                d.

Асуулт 7:

       Таны англи хэлний мэдлэг хэр вэ?

                                        Хуудас 101
11


              a. Тааруухан         b. Дунд зэрэг   c.   Сайн   d. Маш сайн

Асуулт 8:

       Таны компьютерийн мэдлэг хэр вэ?

              a. Тааруухан         b. Дунд зэрэг   c. Сайн     d. Маш сайн

Асуулт 9:

       Та бусадтай хэр ажиллаж чадах вэ?

              a. Тааруухан         b. Дунд зэрэг   c. Сайн     d. Маш сайн

Асуулт 10:

       Та бусдад нөхөрсөг хандаж чаддаг уу?

              a. Чадна             b. Дунд зэрэг   c. Сайн     d. Маш сайн




                                    Хуудас 102
11



хим судалгаа
    7               Нас                13
    в               Хүйс               эм




              Хариулт      a




              Хариулт      a




              Хариулт      a




              Хариулт      c




d. Маш сайн   Хариулт      c




              Хариулт      a




                               Хуудас 103
11


   Маш сайн   Хариулт   c




d. Маш сайн   Хариулт   c




d. Маш сайн   Хариулт   c




d. Маш сайн   Хариулт   d




                            Хуудас 104
11




Хуудас 105
11




Хуудас 106

7в ангийн сэтгэл ханамжийн судалгаа

  • 1.
    Анализ Баянзүрх цогцолбор сургууль 7в ангийн сэтгэл хана 1 2 3 Та гэрийнхээ Даалгавраа Хамгийн даалгаврыг ихэвчлэн нийтэч тогтмол хэнээс асууж хүүхдийг хийдэг үү? хийдэг вэ? нэрлэнэ үү Бүлэг Овог Хүйс Анги Нас Нэр № a. Тийм a. Тийм b. Үгүй b. Үгүй b.багш a. эгч d. d. c. c. c. 1 Гриш Алтжин 7 эм 7в 0 1 0 0 1 0 0 0 1 0 0 2 Чулуунпүрэв Жадамбаа 13 эр 7в 1 0 0 0 1 0 0 0 1 0 0 3 Батбаяр Ундрам 13 эм 7в 0 0 0 0 0 0 1 0 1 0 0 4 Энхтайван Хулан 13 эм 7в 0 0 0 0 0 0 0 0 1 0 0 5 Эрдэнэцогт Бумбаяр 13 эр 7в 1 0 0 0 0 1 1 0 1 0 0 6 Булганхангай Эрдэнэтуул 13 эм 7в 0 0 0 0 0 0 0 0 1 0 0 7 Нацагдорж Мөнх-Эрдэнэ 13 эм 7в 0 0 0 0 1 0 0 0 1 0 0 8 Цагаан Дэндэв 13 эр 7в 0 0 0 0 1 0 0 0 1 0 0 9 Хүдэрбат Саруултуяа 13 эм 7в 0 0 0 0 0 0 0 0 1 0 0 10 Одгэрэл Батхүү 13 эр 7в 1 0 0 0 0 1 1 0 1 0 0 11 Баатар Чимгээ 13 эм 7в 1 0 0 0 1 0 0 0 1 0 0 20 0 0 0 0 0 0 0 0 0 0 0 0 0 0 0 0 0 Нийт 0 4 1 0 0 5 2 3 0 11 0 0 Хуудас 1
  • 2.
    Анализ этгэл ханамжийн судалгаа 3 4 5 6 7 8 9 10 Хамгийн Та бусдад Та өөрийгөө Таны англи Таны Таны нийтэч Та нет-д Та хичээлдээ нөхөрсөг эмзэг гэж үздэг хэлний мэдлэг компьютерийн хөдөлгөөн хүүхдийг суудаг уу? хэр вэ? хандаж чаддаг үү? хэр вэ? мэдлэг хэр вэ? хэр вэ? нэрлэнэ үү уу? b. Дунд зэрэг b. Дунд зэрэг b. Дунд зэрэг b. Дунд зэрэг b. Дунд зэрэг a. Тааруухан a. Тааруухан a. Тааруухан a. Тааруухан d. Маш сайн d. Маш сайн d. Маш сайн a. Чадна a. Тийм a. Тийм c. Сайн c. Сайн c. Сайн b. Үгүй b. Үгүй d. d. d. d. c. c. c. 0 0 1 0 0 0 1 0 0 1 0 0 0 1 0 0 0 0 1 0 0 0 1 0 0 1 0 0 1 0 0 0 0 1 0 0 1 0 0 0 0 1 0 0 0 0 1 0 0 0 1 0 1 0 0 1 0 0 0 0 1 0 0 1 0 0 0 1 0 0 0 0 1 0 0 0 0 1 0 1 0 0 1 0 0 0 0 1 0 0 1 0 0 0 0 1 0 0 0 0 1 0 0 0 1 0 1 0 0 1 0 0 0 0 0 1 0 1 0 0 0 0 0 1 0 0 1 0 0 0 0 1 0 1 0 0 1 0 0 0 0 1 0 0 1 0 0 0 0 0 1 0 0 0 1 0 0 0 0 1 1 0 0 1 0 0 0 0 1 0 0 1 0 0 0 1 0 0 0 0 0 0 1 0 0 1 0 1 0 0 0 0 1 0 0 1 0 0 1 0 0 0 0 0 0 0 0 1 0 0 0 0 1 0 1 0 0 0 0 1 0 0 0 1 0 1 0 0 0 0 1 0 0 0 0 1 0 0 0 1 0 1 0 0 1 0 0 0 0 0 0 1 1 0 0 0 0 0 1 0 0 0 1 0 0 0 1 0 1 0 0 0 0 1 1 0 0 1 0 1 0 0 0 0 0 1 0 0 0 1 0 0 0 1 0 0 0 0 0 0 0 0 0 0 0 0 0 0 0 0 0 0 0 0 0 0 0 0 0 0 0 0 0 0 0 7 1 3 1 0 7 3 1 11 0 0 0 3 3 4 0 0 4 6 1 0 1 9 1 10 0 Хуудас 2
  • 3.
    Анализ 10 Та бусдад нөхөрсөг хандаж чаддаг уу? d. Маш сайн c. Сайн 0 0 0 0 0 0 0 0 0 0 0 0 0 0 0 0 0 0 0 0 0 0 0 0 0 0 Хуудас 3
  • 4.
  • 5.
  • 6.
  • 7.
    График Судалгааны нэгтгэл Асуулт 1: Та гэрийнхээ даалгаврыг тогтмол хийдэг үү? Судалгаанд оролцсон нийт a. Тийм b. Үгүй 13 4 1 4 3.5 3 2.5 a. Тийм b. Үгүй 2 c. d. 1.5 1 0.5 0 Асуулт 2: Даалгавраа ихэвчлэн хэнээс асууж хийдэг вэ? Судалгаанд оролцсон нийт a. эгч b.багш 13 5 2 5 4.5 4 3.5 a. эгч 3 b.багш 2.5 c. d. 2 1.5 1 0.5 0 Асуулт 3: Хамгийн нийтэч хүүхдийг нэрлэнэ үү Хуудас 7
  • 8.
    График Судалгаанд оролцсон нийт a. Тийм b. Үгүй 13 11 0 12 10 8 a. Тийм b. Үгүй 6 c. d. 4 2 0 Асуулт 4: Та нет-д суудаг уу? Судалгаанд оролцсон нийт a. Тийм b. Үгүй 13 7 1 7 6 5 a. Тийм 4 b. Үгүй c. 3 d. 2 1 0 Асуулт 5: Та хичээлдээ хэр вэ? Судалгаанд оролцсон нийт a. Тааруухан b. Дунд зэрэг 13 0 7 Хуудас 8
  • 9.
    График 7 6 5 a. Тааруухан b. Дунд 4 зэрэг c. Сайн 3 d. Маш сайн 2 1 0 Асуулт 6: Та өөрийгөө эмзэг гэж үздэг үү? Судалгаанд оролцсон нийт a. Тийм b. Үгүй 13 11 0 12 10 8 a. Тийм b. Үгүй 6 c. d. 4 2 0 Асуулт 7: Таны англи хэлний мэдлэг хэр вэ? Судалгаанд оролцсон нийт a. Тааруухан b. Дунд зэрэг 13 3 3 Хуудас 9
  • 10.
    График 4 3.5 3 a. 2.5 Тааруухан b. Дунд 2 зэрэг c. 1.5 d. 1 0.5 0 Асуулт 8: Таны компьютерийн мэдлэг хэр вэ? Судалгаанд оролцсон нийт a. Тааруухан b. Дунд зэрэг 13 0 4 6 5 a. 4 Тааруухан b. Дунд зэрэг 3 c. Сайн d. Маш 2 сайн 1 0 Асуулт 9: Таны хөдөлгөөн хэр вэ? Судалгаанд оролцсон нийт a. Тааруухан b. Дунд зэрэг 13 0 1 Хуудас 10
  • 11.
    График 9 8 7 a. 6 Тааруухан b. Дунд 5 зэрэг c. Сайн 4 d. Маш 3 сайн 2 1 0 Асуулт 10: Та бусдад нөхөрсөг хандаж чаддаг уу? Судалгаанд оролцсон нийт a. Чадна b. Дунд зэрэг 13 10 0 10 9 8 7 a. Чадна b. Дунд 6 зэрэг 5 c. Сайн d. Маш 4 сайн 3 2 1 0 Асуулт 11: Хуудас 11
  • 12.
    График 0 Судалгаанд оролцсон нийт 0 0 13 0 0 1 0.9 0.8 0.7 0 0.6 0 0.5 0 0 0.4 0.3 0.2 0.1 0 Асуулт 12: 0 Судалгаанд оролцсон нийт 0 0 0 0 0 Хуудас 12
  • 13.
    График 1 0.9 0.8 0.7 0 0.6 0 0.5 0 0 0.4 0.3 0.2 0.1 0 Асуулт 13: 0 Судалгаанд оролцсон нийт 0 0 0 0 0 1 0.9 0.8 0.7 0 0.6 0 0.5 0 0 0.4 0.3 0.2 0.1 0 Хуудас 13
  • 14.
    График Асуулт 14: 0 Судалгаанд оролцсон нийт 0 0 0 0 0 1 0.9 0.8 0.7 0 0.6 0 0.5 0 0 0.4 0.3 0.2 0.1 0 Асуулт 15: 0 Судалгаанд оролцсон нийт 0 0 0 0 0 Хуудас 14
  • 15.
    График 1 0.9 0.8 0.7 0 0.6 0 0.5 0 0 0.4 0.3 0.2 0.1 0 Асуулт 16: 0 Судалгаанд оролцсон нийт 0 0 0 0 0 1 0.9 0.8 0.7 0 0.6 0 0.5 0 0 0.4 0.3 0.2 0.1 0 Асуулт 17: 0 Судалгаанд оролцсон нийт 0 0 0 0 0 Хуудас 15
  • 16.
    График 1 0.9 0.8 0.7 0 0.6 0 0.5 0 0 0.4 0.3 0.2 0.1 0 Асуулт 18: 0 Судалгаанд оролцсон нийт 0 0 0 0 0 1 0.9 0.8 0.7 0 0.6 0 0.5 0 0 0.4 0.3 0.2 0.1 0 Асуулт 19: Хуудас 16
  • 17.
    График 0 Судалгаанд оролцсон нийт 0 0 0 0 0 1 0.9 0.8 0.7 0 0.6 0 0.5 0 0 0.4 0.3 0.2 0.1 0 Асуулт 20: 0 Судалгаанд оролцсон нийт 0 0 0 0 0 Хуудас 17
  • 18.
    График 1 0.9 0.8 0.7 0 0.6 0 0.5 0 0 0.4 0.3 0.2 0.1 0 Асуулт 21: 0 Судалгаанд оролцсон нийт 0 0 0 0 0 Хуудас 18
  • 19.
    График 1 0.9 0.8 0.7 0 0.6 0 0.5 0 0 0.4 0.3 0.2 0.1 0 Асуулт 22: 0 Судалгаанд оролцсон нийт 0 0 0 0 0 Хуудас 19
  • 20.
    График 1 0.9 0.8 0.7 0.6 Column K 0.5 Column L Column M 0.4 Column N 0.3 0.2 0.1 0 Row 139 Row 140 Асуулт 23: 0 Судалгаанд оролцсон нийт 0 0 0 0 0 1 0.9 0.8 0.7 0 0.6 0 0.5 0 0 0.4 0.3 0.2 0.1 0 Хуудас 20
  • 21.
    График Асуулт 24: 0 Судалгаанд оролцсон нийт 0 0 0 0 0 1 0.9 0.8 0.7 0 0.6 0 0.5 0 0 0.4 0.3 0.2 0.1 0 Асуулт 25: 0 Судалгаанд оролцсон нийт 0 0 0 0 0 1 0.9 0.8 0.7 0 0.6 0 0.5 0 0 0.4 0.3 0.2 0.1 0 Хуудас 21
  • 22.
    График Асуулт 26: 0 Судалгаанд оролцсон нийт 0 0 0 0 0 1 0.9 0.8 0.7 0 0.6 0 0.5 0 0 0.4 0.3 0.2 0.1 0 Асуулт 27: 0 Судалгаанд оролцсон нийт 0 0 0 0 0 1 0.9 0.8 0.7 0 0.6 0 0.5 0 0 0.4 0.3 0.2 0.1 0 Хуудас 22
  • 23.
    График Асуулт 28: 0 Судалгаанд оролцсон нийт 0 0 0 0 0 1 0.9 0.8 0.7 0 0.6 0 0.5 0 0 0.4 0.3 0.2 0.1 0 Асуулт 29: 0 Судалгаанд оролцсон нийт 0 0 0 0 0 1 0.9 0.8 0.7 0 0.6 0 0 0.5 0 0.4 0.3 0.2 0.1 0 Хуудас 23
  • 24.
    График ы нэгтгэл мол хийдэгүү? c. d. 0 0 сууж хийдэг вэ? c. d. 3 0 нэрлэнэ үү Хуудас 24
  • 25.
    График c. d. 0 0 у? c. d. 3 1 вэ? c. Сайн d. Маш сайн 3 1 Хуудас 25
  • 26.
    График үздэг үү? c. d. 0 0 эг хэр вэ? c. d. 4 0 Хуудас 26
  • 27.
    График лэг хэр вэ? c. Сайн d. Маш сайн 6 1 р вэ? c. Сайн d. Маш сайн 9 1 Хуудас 27
  • 28.
    График ж чаддаг уу? c. Сайн d. Маш сайн 0 0 Хуудас 28
  • 29.
    График 0 0 0 0 0 0 0 0 Хуудас 29
  • 30.
    График 0 0 0 0 Хуудас 30
  • 31.
    График 0 0 0 0 0 0 0 0 Хуудас 31
  • 32.
    График 0 0 0 0 0 0 0 0 Хуудас 32
  • 33.
    График 0 0 0 0 Хуудас 33
  • 34.
    График 0 0 0 0 0 0 0 0 Хуудас 34
  • 35.
    График 0 0 0 0 Хуудас 35
  • 36.
    График 0 0 0 0 Хуудас 36
  • 37.
    График 0 0 0 0 Хуудас 37
  • 38.
    График 0 0 0 0 0 0 0 0 Хуудас 38
  • 39.
    График 0 0 0 0 0 0 0 0 Хуудас 39
  • 40.
    График 0 0 0 0 0 0 0 0 Хуудас 40
  • 41.
    1 Цахим су Овог Гриш Анги 7 Нэр Алтжин Бүлэг в Асуулт 1: Та гэрийнхээ даалгаврыг тогтмол хийдэг үү? a. Тийм b. Үгүй c. d. Асуулт 2: Даалгавраа ихэвчлэн хэнээс асууж хийдэг вэ? a. эгч b.багш c. d. Асуулт 3: Хамгийн нийтэч хүүхдийг нэрлэнэ үү a. Тийм b. Үгүй c. d. Асуулт 4: Та нет-д суудаг уу? a. Тийм b. Үгүй c. d. Асуулт 5: Та хичээлдээ хэр вэ? a. Тааруухан b. Дунд зэрэг c. Сайн d. Маш сайн Асуулт 6: Та өөрийгөө эмзэг гэж үздэг үү? a. Тийм b. Үгүй c. d. Асуулт 7: Таны англи хэлний мэдлэг хэр вэ? Хуудас 41
  • 42.
    1 a. Тааруухан b. Дунд зэрэг c. d. Асуулт 8: Таны компьютерийн мэдлэг хэр вэ? a. Тааруухан b. Дунд зэрэг c. Сайн d. Маш сайн Асуулт 9: Таны хөдөлгөөн хэр вэ? a. Тааруухан b. Дунд зэрэг c. Сайн d. Маш сайн Асуулт 10: Та бусдад нөхөрсөг хандаж чаддаг уу? a. Чадна b. Дунд зэрэг c. Сайн d. Маш сайн Хуудас 42
  • 43.
    1 хим судалгаа 7 Нас 13 в Хүйс эм Хариулт b Хариулт a Хариулт a Хариулт b d. Маш сайн Хариулт b Хариулт a Хуудас 43
  • 44.
    1 Хариулт a d. Маш сайн Хариулт b d. Маш сайн Хариулт b d. Маш сайн Хариулт a Хуудас 44
  • 45.
  • 46.
  • 47.
    2 Цахим су Овог Чулуунпүрэв Анги 7 Нэр Жадамбаа Бүлэг в Асуулт 1: Та гэрийнхээ даалгаврыг тогтмол хийдэг үү? a. Тийм b. Үгүй c. d. Асуулт 2: Даалгавраа ихэвчлэн хэнээс асууж хийдэг вэ? a. өөрөө b.багш c. d. Асуулт 3: Та ЕШ-даа бэлдэж байна уу? a. Тийм b. Үгүй c. d. Асуулт 4: Та нет-д суудаг уу? a. Тийм b. Үгүй c. d. Асуулт 5: Та хичээлдээ хэр вэ? a. Тааруухан b. Дунд зэрэг c. Сайн d. Маш сайн Асуулт 6: Та их сургуульд элсэн орох уу? a. Тийм b. Үгүй c. d. Асуулт 7: Таны англи хэлний мэдлэг хэр вэ? Хуудас 47
  • 48.
    2 a. Тааруухан b. Дунд зэрэг c. d. Асуулт 8: Таны компьютерийн мэдлэг хэр вэ? a. Тааруухан b. Дунд зэрэг c. Сайн d. Маш сайн Асуулт 9: Та бусадтай хэр ажиллаж чадах вэ? a. Тааруухан b. Дунд зэрэг c. Сайн d. Маш сайн Асуулт 10: Та бусдад нөхөрсөг хандаж чаддаг уу? a. Чадна b. Дунд зэрэг c. Сайн d. Маш сайн Хуудас 48
  • 49.
    2 хим судалгаа 7 Нас 13 в Хүйс эр Хариулт a Хариулт a Хариулт a Хариулт a d. Маш сайн Хариулт b Хариулт a Хуудас 49
  • 50.
    2 Хариулт b d. Маш сайн Хариулт c d. Маш сайн Хариулт c d. Маш сайн Хариулт a Хуудас 50
  • 51.
  • 52.
  • 53.
    3 Цахим су Овог Батбаяр Анги 7 Нэр Ундрам Бүлэг в Асуулт 1: Та гэрийнхээ даалгаврыг тогтмол хийдэг үү? a. Тийм b. Үгүй c. хааяа d. Асуулт 2: Даалгавраа ихэвчлэн хэнээс асууж хийдэг вэ? a. эгч b.багш c. өөрөө d. Асуулт 3: Та ЕШ-даа бэлдэж байна уу? a. Тийм b. Үгүй c. d. Асуулт 4: Та нет-д суудаг уу? a. Тийм b. Үгүй c. d. Асуулт 5: Та хичээлдээ хэр вэ? a. Тааруухан b. Дунд зэрэг c. Сайн d. Маш сайн Асуулт 6: Та их сургуульд элсэн орох уу? a. Тийм b. Үгүй c. d. Асуулт 7: Таны англи хэлний мэдлэг хэр вэ? Хуудас 53
  • 54.
    3 a. Тааруухан b. Дунд зэрэг c. d. Асуулт 8: Таны компьютерийн мэдлэг хэр вэ? a. Тааруухан b. Дунд зэрэг c. Сайн d. Маш сайн Асуулт 9: Та бусадтай хэр ажиллаж чадах вэ? a. Тааруухан b. Дунд зэрэг c. Сайн d. Маш сайн Асуулт 10: Та бусдад нөхөрсөг хандаж чаддаг уу? a. Чадна b. Дунд зэрэг c. Сайн d. Маш сайн Хуудас 54
  • 55.
    3 хим судалгаа 7 Нас 13 в Хүйс эм Хариулт c Хариулт c Хариулт a Хариулт a d. Маш сайн Хариулт b Хариулт a Хуудас 55
  • 56.
    3 Хариулт a d. Маш сайн Хариулт b d. Маш сайн Хариулт c d. Маш сайн Хариулт a Хуудас 56
  • 57.
  • 58.
  • 59.
    4 Цахим су Овог Энхтайван Анги 7 Нэр Хулан Бүлэг в Асуулт 1: Та гэрийнхээ даалгаврыг тогтмол хийдэг үү? a. Тийм b. Үгүй c. Хааяа d. Асуулт 2: Даалгавраа ихэвчлэн хэнээс асууж хийдэг вэ? a. эгч b.багш c. ах d. Асуулт 3: Та ЕШ-даа бэлдэж байна уу? a. Тийм b. Үгүй c. d. Асуулт 4: Та нет-д суудаг уу? a. Тийм b. Үгүй c. d. Асуулт 5: Та хичээлдээ хэр вэ? a. Тааруухан b. Дунд зэрэг c. Сайн d. Маш сайн Асуулт 6: Та их сургуульд элсэн орох уу? a. Тийм b. Үгүй c. d. Асуулт 7: Таны англи хэлний мэдлэг хэр вэ? Хуудас 59
  • 60.
    4 a. Тааруухан b. Дунд зэрэг c. d. Асуулт 8: Таны компьютерийн мэдлэг хэр вэ? a. Тааруухан b. Дунд зэрэг c. Сайн d. Маш сайн Асуулт 9: Та бусадтай хэр ажиллаж чадах вэ? a. Тааруухан b. Дунд зэрэг c. Сайн d. Маш сайн Асуулт 10: Та бусдад нөхөрсөг хандаж чаддаг уу? a. Чадна b. Дунд зэрэг c. Сайн d. Маш сайн Хуудас 60
  • 61.
    4 хим судалгаа 7 Нас 13 в Хүйс эм Хариулт c Хариулт c Хариулт a Хариулт a d. Маш сайн Хариулт b Хариулт a Хуудас 61
  • 62.
    4 Хариулт b d. Маш сайн Хариулт c d. Маш сайн Хариулт c d. Маш сайн Хариулт a Хуудас 62
  • 63.
  • 64.
  • 65.
    5 Цахим су Овог Эрдэнэцогт Анги 7 Нэр Бумбаяр Бүлэг в Асуулт 1: Та гэрийнхээ даалгаврыг тогтмол хийдэг үү? a. Тийм b. Үгүй c. d. Асуулт 2: Даалгавраа ихэвчлэн хэнээс асууж хийдэг вэ? a. эгч b.багш c. d. Асуулт 3: Та ЕШ-даа бэлдэж байна уу? a. Тийм b. Үгүй c. d. Асуулт 4: Та нет-д суудаг уу? a. Тийм b. Үгүй c. d. Асуулт 5: Та хичээлдээ хэр вэ? a. Тааруухан b. Дунд зэрэг c. Сайн d. Маш сайн Асуулт 6: Та их сургуульд элсэн орох уу? a. Тийм b. Үгүй c. d. Асуулт 7: Таны англи хэлний мэдлэг хэр вэ? Хуудас 65
  • 66.
    5 a. Тааруухан b. Дунд зэрэг c. Сайн d. Маш сайн Асуулт 8: Таны компьютерийн мэдлэг хэр вэ? a. Тааруухан b. Дунд зэрэг c. Сайн d. Маш сайн Асуулт 9: Та бусадтай хэр ажиллаж чадах вэ? a. Тааруухан b. Дунд зэрэг c. Сайн d. Маш сайн Асуулт 10: Та бусдад нөхөрсөг хандаж чаддаг уу? a. Чадна b. Дунд зэрэг c. Сайн d. Маш сайн Хуудас 66
  • 67.
    5 хим судалгаа 7 Нас 13 в Хүйс эр Хариулт a Хариулт b Хариулт a Хариулт a d. Маш сайн Хариулт c Хариулт a Хуудас 67
  • 68.
    5 Маш сайн Хариулт c d. Маш сайн Хариулт b d. Маш сайн Хариулт c d. Маш сайн Хариулт a Хуудас 68
  • 69.
  • 70.
  • 71.
    6 Цахим су Овог Булганхангай Анги 7 Нэр Эрдэнэтуул Бүлэг в Асуулт 1: Та гэрийнхээ даалгаврыг тогтмол хийдэг үү? a. Тийм b. Үгүй c. хааяа d. Асуулт 2: Даалгавраа ихэвчлэн хэнээс асууж хийдэг вэ? a. эгч b.багш c. Өөрөө d. Асуулт 3: Та ЕШ-даа бэлдэж байна уу? a. Тийм b. Үгүй c. d. Асуулт 4: Та нет-д суудаг уу? a. Тийм b. Үгүй c. d. Асуулт 5: Та хичээлдээ хэр вэ? a. Тааруухан b. Дунд зэрэг c. Сайн d. Маш сайн Асуулт 6: Та их сургуульд элсэн орох уу? a. Тийм b. Үгүй c. d. Асуулт 7: Таны англи хэлний мэдлэг хэр вэ? Хуудас 71
  • 72.
    6 a. Тааруухан b. Дунд зэрэг c. Сайн d. Маш сайн Асуулт 8: Таны компьютерийн мэдлэг хэр вэ? a. Тааруухан b. Дунд зэрэг c. Сайн d. Маш сайн Асуулт 9: Та бусадтай хэр ажиллаж чадах вэ? a. Тааруухан b. Дунд зэрэг c. Сайн d. Маш сайн Асуулт 10: Та бусдад нөхөрсөг хандаж чаддаг уу? a. Чадна b. Дунд зэрэг c. Сайн d. Маш сайн Хуудас 72
  • 73.
    6 хим судалгаа 7 Нас 13 в Хүйс эм Хариулт c Хариулт c Хариулт a Хариулт a d. Маш сайн Хариулт b Хариулт a Хуудас 73
  • 74.
    6 Маш сайн Хариулт c d. Маш сайн Хариулт c d. Маш сайн Хариулт d d. Маш сайн Хариулт a Хуудас 74
  • 75.
  • 76.
  • 77.
    7 Цахим су Овог Нацагдорж Анги 7 Нэр Мөнх-Эрдэнэ Бүлэг в Асуулт 1: Та гэрийнхээ даалгаврыг тогтмол хийдэг үү? a. Тийм b. Үгүй c. Хааяа d. Асуулт 2: Даалгавраа ихэвчлэн хэнээс асууж хийдэг вэ? a. эгч b.багш c. Өөрөө d. Асуулт 3: Та ЕШ-даа бэлдэж байна уу? a. Тийм b. Үгүй c. d. Асуулт 4: Та нет-д суудаг уу? a. Тийм b. Үгүй c. Хааяа d. Асуулт 5: Та хичээлдээ хэр вэ? a. Тааруухан b. Дунд зэрэг c. Сайн d. Маш сайн Асуулт 6: Та их сургуульд элсэн орох уу? a. Тийм b. Үгүй c. d. Асуулт 7: Таны англи хэлний мэдлэг хэр вэ? Хуудас 77
  • 78.
    7 a. Тааруухан b. Дунд зэрэг c. Сайн d. Маш сайн Асуулт 8: Таны компьютерийн мэдлэг хэр вэ? a. Тааруухан b. Дунд зэрэг c. Сайн d. Маш сайн Асуулт 9: Та бусадтай хэр ажиллаж чадах вэ? a. Тааруухан b. Дунд зэрэг c. Сайн d. Маш сайн Асуулт 10: Та бусдад нөхөрсөг хандаж чаддаг уу? a. Чадна b. Дунд зэрэг c. Сайн d. Маш сайн Хуудас 78
  • 79.
    7 хим судалгаа 7 Нас 13 в Хүйс эр Хариулт c Хариулт a Хариулт a Хариулт a d. Маш сайн Хариулт b Хариулт a Хуудас 79
  • 80.
    7 Маш сайн Хариулт a d. Маш сайн Хариулт d d. Маш сайн Хариулт c d. Маш сайн Хариулт a Хуудас 80
  • 81.
  • 82.
  • 83.
    8 Цахим су Овог Цагаан Анги 7 Нэр Дэндэв Бүлэг в Асуулт 1: Та гэрийнхээ даалгаврыг тогтмол хийдэг үү? a. Тийм b. Үгүй c. Хааяа d. Асуулт 2: Даалгавраа ихэвчлэн хэнээс асууж хийдэг вэ? a. эгч b.багш c. Өөрөө d. Асуулт 3: Та ЕШ-даа бэлдэж байна уу? a. Тийм b. Үгүй c. d. Асуулт 4: Та нет-д суудаг уу? a. Тийм b. Үгүй c. Хааяа d. Асуулт 5: Та хичээлдээ хэр вэ? a. Тааруухан b. Дунд зэрэг c. Сайн d. Маш сайн Асуулт 6: Та их сургуульд элсэн орох уу? a. Тийм b. Үгүй c. d. Асуулт 7: Таны англи хэлний мэдлэг хэр вэ? Хуудас 83
  • 84.
    8 a. Тааруухан b. Дунд зэрэг c. Сайн d. Маш сайн Асуулт 8: Таны компьютерийн мэдлэг хэр вэ? a. Тааруухан b. Дунд зэрэг c. Сайн d. Маш сайн Асуулт 9: Та бусадтай хэр ажиллаж чадах вэ? a. Тааруухан b. Дунд зэрэг c. Сайн d. Маш сайн Асуулт 10: Та бусдад нөхөрсөг хандаж чаддаг уу? a. Чадна b. Дунд зэрэг c. Сайн d. Маш сайн Хуудас 84
  • 85.
    8 хим судалгаа 7 Нас 13 в Хүйс эр Хариулт c Хариулт a Хариулт a Хариулт c d. Маш сайн Хариулт b Хариулт a Хуудас 85
  • 86.
    8 Маш сайн Хариулт c d. Маш сайн Хариулт b d. Маш сайн Хариулт c d. Маш сайн Хариулт a Хуудас 86
  • 87.
  • 88.
  • 89.
    9 Цахим су Овог Хүдэрбат Анги 7 Нэр Саруултуяа Бүлэг в Асуулт 1: Та гэрийнхээ даалгаврыг тогтмол хийдэг үү? a. Тийм b. Үгүй c. Хааяа d. Асуулт 2: Даалгавраа ихэвчлэн хэнээс асууж хийдэг вэ? a. эгч b.багш c. Өөрөө d. Асуулт 3: Та ЕШ-даа бэлдэж байна уу? a. Тийм b. Үгүй c. d. Асуулт 4: Та нет-д суудаг уу? a. Тийм b. Үгүй c. Хааяа d. Асуулт 5: Та хичээлдээ хэр вэ? a. Тааруухан b. Дунд зэрэг c. Сайн d. Маш сайн Асуулт 6: Та их сургуульд элсэн орох уу? a. Тийм b. Үгүй c. d. Асуулт 7: Таны англи хэлний мэдлэг хэр вэ? Хуудас 89
  • 90.
    9 a. Тааруухан b. Дунд зэрэг c. Сайн d. Маш сайн Асуулт 8: Таны компьютерийн мэдлэг хэр вэ? a. Тааруухан b. Дунд зэрэг c. Сайн d. Маш сайн Асуулт 9: Та бусадтай хэр ажиллаж чадах вэ? a. Тааруухан b. Дунд зэрэг c. Сайн d. Маш сайн Асуулт 10: Та бусдад нөхөрсөг хандаж чаддаг уу? a. Чадна b. Дунд зэрэг c. Сайн d. Маш сайн Хуудас 90
  • 91.
    9 хим судалгаа 7 Нас 13 в Хүйс эм Хариулт c Хариулт c Хариулт a Хариулт c d. Маш сайн Хариулт c Хариулт a Хуудас 91
  • 92.
    9 Маш сайн Хариулт b d. Маш сайн Хариулт c d. Маш сайн Хариулт c d. Маш сайн Хариулт a Хуудас 92
  • 93.
  • 94.
  • 95.
    10 Цахим су Овог Одгэрэл Анги 7 Нэр Батхүү Бүлэг в Асуулт 1: Та гэрийнхээ даалгаврыг тогтмол хийдэг үү? a. Тийм b. Үгүй c. Хааяа d. Асуулт 2: Даалгавраа ихэвчлэн хэнээс асууж хийдэг вэ? a. эгч b.багш c. Өөрөө d. Асуулт 3: Та ЕШ-даа бэлдэж байна уу? a. Тийм b. Үгүй c. d. Асуулт 4: Та нет-д суудаг уу? a. Тийм b. Үгүй c. Хааяа d. Асуулт 5: Та хичээлдээ хэр вэ? a. Тааруухан b. Дунд зэрэг c. Сайн d. Маш сайн Асуулт 6: Та их сургуульд элсэн орох уу? a. Тийм b. Үгүй c. d. Асуулт 7: Таны англи хэлний мэдлэг хэр вэ? Хуудас 95
  • 96.
    10 a. Тааруухан b. Дунд зэрэг c. Сайн d. Маш сайн Асуулт 8: Таны компьютерийн мэдлэг хэр вэ? a. Тааруухан b. Дунд зэрэг c. Сайн d. Маш сайн Асуулт 9: Та бусадтай хэр ажиллаж чадах вэ? a. Тааруухан b. Дунд зэрэг c. Сайн d. Маш сайн Асуулт 10: Та бусдад нөхөрсөг хандаж чаддаг уу? a. Чадна b. Дунд зэрэг c. Сайн d. Маш сайн Хуудас 96
  • 97.
    10 хим судалгаа 7 Нас 13 в Хүйс эр Хариулт a Хариулт b Хариулт a Хариулт a d. Маш сайн Хариулт d Хариулт a Хуудас 97
  • 98.
    10 Маш сайн Хариулт c d. Маш сайн Хариулт c d. Маш сайн Хариулт c d. Маш сайн Хариулт a Хуудас 98
  • 99.
  • 100.
  • 101.
    11 Цахим су Овог Баатар Анги 7 Нэр Чимгээ Бүлэг в Асуулт 1: Та гэрийнхээ даалгаврыг тогтмол хийдэг үү? a. Тийм b. Үгүй c. Хааяа d. Асуулт 2: Даалгавраа ихэвчлэн хэнээс асууж хийдэг вэ? a. эгч b.багш c. Өөрөө d. Асуулт 3: Та ЕШ-даа бэлдэж байна уу? a. Тийм b. Үгүй c. d. Асуулт 4: Та нет-д суудаг уу? a. Тийм b. Үгүй c. Хааяа d. Асуулт 5: Та хичээлдээ хэр вэ? a. Тааруухан b. Дунд зэрэг c. Сайн d. Маш сайн Асуулт 6: Та их сургуульд элсэн орох уу? a. Тийм b. Үгүй c. d. Асуулт 7: Таны англи хэлний мэдлэг хэр вэ? Хуудас 101
  • 102.
    11 a. Тааруухан b. Дунд зэрэг c. Сайн d. Маш сайн Асуулт 8: Таны компьютерийн мэдлэг хэр вэ? a. Тааруухан b. Дунд зэрэг c. Сайн d. Маш сайн Асуулт 9: Та бусадтай хэр ажиллаж чадах вэ? a. Тааруухан b. Дунд зэрэг c. Сайн d. Маш сайн Асуулт 10: Та бусдад нөхөрсөг хандаж чаддаг уу? a. Чадна b. Дунд зэрэг c. Сайн d. Маш сайн Хуудас 102
  • 103.
    11 хим судалгаа 7 Нас 13 в Хүйс эм Хариулт a Хариулт a Хариулт a Хариулт c d. Маш сайн Хариулт c Хариулт a Хуудас 103
  • 104.
    11 Маш сайн Хариулт c d. Маш сайн Хариулт c d. Маш сайн Хариулт c d. Маш сайн Хариулт d Хуудас 104
  • 105.
  • 106.