2nd 9 weeks review 
Individual Study Guide
Answer the problems 
on a sheet of paper. 
Be sure to number 
each problem.
• 1. When do you reverse the inequality sign? 
• 2. What symbols will indicate a shaded circle 
when you graph an inequality
Now, take a few minutes to review the 
answers to 
# 1-5
Answers 
• 1. You reverse the inequality sign when you 
multiply or divide both sides by a negative 
number. 
• The symbols that indicate a shaded circle on 
an inequality are: > or <
Work the following problems on 
your paper. Be sure to show 
your work.
Solve. Do not graph.
Solve & Graph.
Now, take a few minutes to review the 
answers to 
# 6-11
$14.95 = x 
23 Bks 1 book 
$.65 per book 
Jeremy 
$11.90 = x 
17 Bks 1 book 
X = $.70 per book 
Marissa 
Jeremy got the better deal
Work the following problems on 
your paper. Be sure to show 
your work.
Solve for the variable.
16. Determine if the pentagons are 
similar.
17. 
(Width)
Now, take a few minutes to review the 
answers to 
# 12-17
Work the following problems on 
your paper. Be sure to show 
your work.
Now, take a few minutes to review the 
answers to 
# 18-20
Work the following problems on 
your paper. Be sure to show 
your work.
21. You can get 1200 calories from 
eating 4 burritos. How many calories 
can you get from eating 1 burrito?
22. A model doll house is built to a 
scale of 3cm = 5 meters. If the model is 
9.4 cm tall, how tall is the actual 
dollhouse?
23. Find the unit price for a 48 oz 
bottle of laundry detergent for $6.79.
24. Solve for x
Now, take a few minutes to review the 
answers to 
# 21-24
21. You can get 1200 calories from 
eating 4 burritos. How many calories 
can you get from eating 1 burrito? 
1200 calories = x calories 
4 burritos 1 burrito 
X = 300 calories
22. A model doll house is built to a 
scale of 3cm = 5 meters. If the model is 
9.4 cm tall, how tall is the actual 
dollhouse? 
Model = 3 cm = 9.4cm 
Actual = 5 meters x meters 
x = 15.66 meters
23. Find the unit price for a 48 oz 
bottle of laundry detergent for $6.79. 
$6.79 x 
48 oz = 1 oz 
$.14 per oz
24. 
12 = x 
16 24 
X = 18
Work the following problems on 
your paper. Be sure to show 
your work.
25.
26. 
• A line on your blueprint measures 12 inches 
long with a ruler. The scale factor of the 
blueprint is ¼”(inch) = 1’ (foot). What is the 
measurement of the wall for the actual 
building?
27. 
• The scale factor on the toy train is 1/64, which 
means 1 inch on the toy is equal to 64 inches 
on the train. If the train’s wheel measures 45 
inches, what will it measure on the toy car? 
Round to the nearest hundredth.
Now, take a few minutes to review the 
answers to 
# 25-27
25. 
Side 6 = x 
Bottom 15 10 
X = 4
26. 
• A line on your blueprint measures 12 inches 
long with a ruler. The scale factor of the 
blueprint is ¼”(inch) = 1’ (foot). What is the 
measurement of the wall for the actual 
building? 
Model 1 in = 12 
Actual 4 feet x 
X = 48
27. 
• The scale factor on the toy train is 1/64, which 
means 1 inch on the toy is equal to 64 inches 
on the train. If the train’s wheel measures 45 
inches, what will it measure on the toy car? 
Round to the nearest hundredth. 
Model = 1 in toy = x 
Actual 64 in train 45 in train 
x = .70 inches
Work the following problems on 
your paper. Be sure to show 
your work.
28.
29.
Now, take a few minutes to review the 
answers to 
# 28-29
28. 
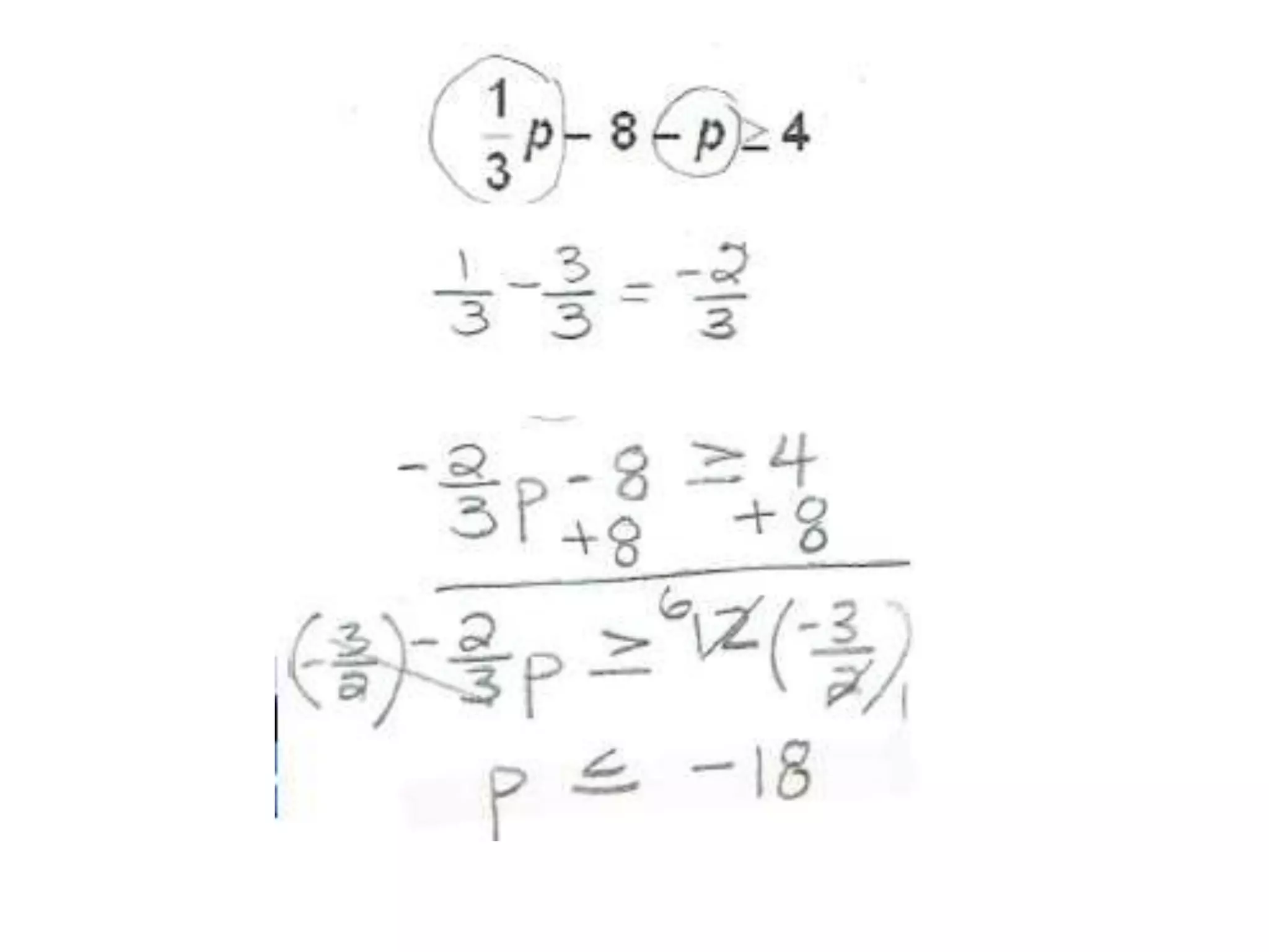
4g – 12 + 1 < 5 
4g – 11 < 5 
+ 11 +11 
4g < 16 
/4 /4 
g < 4
You are done!!! 
Good luck on your math test!!

2nd 9 weeks review independent review unit 2 and unit 3

  • 1.
    2nd 9 weeksreview Individual Study Guide
  • 2.
    Answer the problems on a sheet of paper. Be sure to number each problem.
  • 3.
    • 1. Whendo you reverse the inequality sign? • 2. What symbols will indicate a shaded circle when you graph an inequality
  • 6.
    Now, take afew minutes to review the answers to # 1-5
  • 7.
    Answers • 1.You reverse the inequality sign when you multiply or divide both sides by a negative number. • The symbols that indicate a shaded circle on an inequality are: > or <
  • 10.
    Work the followingproblems on your paper. Be sure to show your work.
  • 11.
  • 12.
  • 14.
    Now, take afew minutes to review the answers to # 6-11
  • 17.
    $14.95 = x 23 Bks 1 book $.65 per book Jeremy $11.90 = x 17 Bks 1 book X = $.70 per book Marissa Jeremy got the better deal
  • 18.
    Work the followingproblems on your paper. Be sure to show your work.
  • 19.
    Solve for thevariable.
  • 20.
    16. Determine ifthe pentagons are similar.
  • 21.
  • 22.
    Now, take afew minutes to review the answers to # 12-17
  • 26.
    Work the followingproblems on your paper. Be sure to show your work.
  • 30.
    Now, take afew minutes to review the answers to # 18-20
  • 34.
    Work the followingproblems on your paper. Be sure to show your work.
  • 35.
    21. You canget 1200 calories from eating 4 burritos. How many calories can you get from eating 1 burrito?
  • 36.
    22. A modeldoll house is built to a scale of 3cm = 5 meters. If the model is 9.4 cm tall, how tall is the actual dollhouse?
  • 37.
    23. Find theunit price for a 48 oz bottle of laundry detergent for $6.79.
  • 38.
  • 39.
    Now, take afew minutes to review the answers to # 21-24
  • 40.
    21. You canget 1200 calories from eating 4 burritos. How many calories can you get from eating 1 burrito? 1200 calories = x calories 4 burritos 1 burrito X = 300 calories
  • 41.
    22. A modeldoll house is built to a scale of 3cm = 5 meters. If the model is 9.4 cm tall, how tall is the actual dollhouse? Model = 3 cm = 9.4cm Actual = 5 meters x meters x = 15.66 meters
  • 42.
    23. Find theunit price for a 48 oz bottle of laundry detergent for $6.79. $6.79 x 48 oz = 1 oz $.14 per oz
  • 43.
    24. 12 =x 16 24 X = 18
  • 44.
    Work the followingproblems on your paper. Be sure to show your work.
  • 45.
  • 46.
    26. • Aline on your blueprint measures 12 inches long with a ruler. The scale factor of the blueprint is ¼”(inch) = 1’ (foot). What is the measurement of the wall for the actual building?
  • 47.
    27. • Thescale factor on the toy train is 1/64, which means 1 inch on the toy is equal to 64 inches on the train. If the train’s wheel measures 45 inches, what will it measure on the toy car? Round to the nearest hundredth.
  • 48.
    Now, take afew minutes to review the answers to # 25-27
  • 49.
    25. Side 6= x Bottom 15 10 X = 4
  • 50.
    26. • Aline on your blueprint measures 12 inches long with a ruler. The scale factor of the blueprint is ¼”(inch) = 1’ (foot). What is the measurement of the wall for the actual building? Model 1 in = 12 Actual 4 feet x X = 48
  • 51.
    27. • Thescale factor on the toy train is 1/64, which means 1 inch on the toy is equal to 64 inches on the train. If the train’s wheel measures 45 inches, what will it measure on the toy car? Round to the nearest hundredth. Model = 1 in toy = x Actual 64 in train 45 in train x = .70 inches
  • 52.
    Work the followingproblems on your paper. Be sure to show your work.
  • 53.
  • 54.
  • 55.
    Now, take afew minutes to review the answers to # 28-29
  • 56.
    28. 4g –12 + 1 < 5 4g – 11 < 5 + 11 +11 4g < 16 /4 /4 g < 4
  • 58.
    You are done!!! Good luck on your math test!!