Embed presentation
Download to read offline





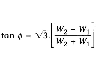
Two wattmeters connected to a three-phase motor measured readings of 5 kW and -1 kW. The total power was calculated as the sum of the wattmeter readings, which was 4 kW. The power factor was calculated from the wattmeter readings using trigonometric functions and was found to be 0.36.




