UNITED STATES BANKRUPTCY COURT
                                 FOR THE DISTRICT OF DELAWARE
-------------·--------------·--··------------X
In re:
                                                                       Chapter 11
ALLIED SYSTEMS HOLDINGS, INC.,
                                                                       Case No. 11-.._[_   _,] ([_])
                                       Alleged Debtor.


-------- - ·- ·-·-- ·-·--------···-···-·-------------------------X

In re:
                                                                       Chapter 11
ALLIED SYSTEMS, LTD. (L.P.),
                                                                       Case No. 11-[_ ___.] (LJ)
                                       Alleged Debtor.

---------------------------------------------x
                     AFFIDAVIT OF RICHARD EHRLICH ON BEHALF OF
                       BDCM OPPORTUNITY FUND II, LP PURSUANT
                   TO FEDERAL RULE OF BANKRUPTCY PROCEDURE 1003

STATE OF CONNECTICUT)
                    ) ss:
COUNTY OF FAIRFIELD )

                   Richard Ehrlich being duly sworn, deposes and states:

         1.        I make this affidavit on behalf of BDCM Opportunity Fund II, LP ("BDCM"), a

petitioning creditor in the above-captioned involuntary chapter 11 cases (the "Bankruptcy

Cases") filed by BDCM and other petitioning creditors against (i) Allied Systems Holdings, Inc.,

and (ii) Allied Systems, Ltd. (L.P.) (together, the "Debtors")- I am fully familiar with the facts

set forth herein either through my own personal knowledge or through a review of documents

related to BCDM's claims against the Debtors.                        If called to testify in connection with the

Bankruptcy Cases, the following would constitute my testimony.
2.      I am a Managing Director of Black Diamond Capital Management, L.L.C., which

through its affiliated entities is the investment manager for BDCM. BDCM has its principal

place of business at 1 Sound Shore Drive, Suite 200, Greenwich, Connecticut 06830. BDCM is

a creditor of the Debtors based upon its status as a lender under that certain Amended and

Restated First Lien Secured Super-Priority Debtor in Possession and Exit Credit and Guaranty

Agreement dated as of March 30, 2007 by and among Allied Holdings, Inc. and Allied Systems,

Ltd. (L.P.), as borrowers, certain subsidiaries of borrowers, as subsidiary guarantors, various

lenders, Goldman Sachs Credit Partners L.P., as lead arranger and syndication agent, and The

CIT Group/Business Credit, Inc., as administrative and collateral agent (as amended, restated,

modified, or supplemented from time to time, the "First Lien Credit Agreement").

                                The First Lien Credit Agreement

       3.      Pursuant to the First Lien Credit Agreement, various lenders committed to extend

term loans, revolving loans, and synthetic letters of credit to the Debtors in the amount of

$315 million. Due to the accrual of interest and fees, the current outstanding aggregate amount

of the Obligations (as defined in the First Lien Credit Agreement) is approximately $296.4

million. A copy of the First Lien Credit Agreement will be annexed to a declaration in support

of a statement contemporaneously filed by the petitioning creditors.

      4.       Pursuant to the First Lien Credit Agreement, the lenders' commitments under

term loans, revolving loans, and synthetic letters of credit were evidenced by promissory notes.

The claims of BDCM and other petitioning creditors derive from these notes.

      5.        The Obligations are secured by first priority liens in substantially all of the

Debtors' assets, including, but not limited to accounts, chattel paper, general intangibles, goods,

instruments, insurance, intellectual property, investment related property, letter of credit rights,



                                                 2
money, receivables, and commercial tort claims. The Obligations are guaranteed by affiliates of

the Debtors.

                                         The Assignments

       6.      By virtue of the execution of several assignment and assumption agreements,

BDCM received an unconditional transfer and assignment of certain amounts of loans owed by

the Debtors under the First Lien Credit Agreement (the "Assigned Claims"). Redacted copies of

the assignment documentation are attached as Exhibit A.

       7.      The Assigned Claims were not assigned to BDCM for the purposes of

commencing the Bankruptcy Cases.

       8.      As of the date hereof, BDCM holds Obligations in the aggregate principal amount

of at least $26.8 million, together with all accrued and unpaid interest (including default interest),

fees and expenses calculated in accordance with the Credit Agreement.


            . rJ-1-..
Dated: May if_ 2012
       Greenwich, Connecticut
                                                                -d/~
                                                              RICHARD EHRLICH


Sworn to and subscribed before me
This (/ 0 day ofMay, 2012



    //71~,~ ~-
       Notary Public                 .
                                                        r
                                                        r            Subscribed and swom to before me
                                                                                                              l
                                                                     ~=21::3:!;2_
                                                                                  Notary Public
                                                                                   Ex~lres:
                                                                     Date commission         /6
                                                                                                     J
                                                                                                  /s~Z ~/ Y
                                                                                                                  l
                                                                                                                  .,
                                                                                                  ----I"''DVJ

                                                  3
EXHIBIT A
L
                   PURCHASE AND SALE AGREEMENT

                                     TRANSACTION SPECIFIC TERMS

 THIS PURCHASE AND SALE AGREEMENT F                                                s dated as of the Agreement
 Date and entered into by and between Seller and Buyer to govern               purchase and sale of the Loans,
 the Commitments (if any) and the other Transferred Rights, in accordance with the terms, conditions and
.agreemleln.ts.seltlflorlth in the LSTA Standard Terms and Conditions for Purchase and Sale Agreement for
   1                       published by the LSTA as of                 I         the "Standard Terms"). The
 Standard Terms are incorporated herein by reference                     any      cation whatsoever except as
 otherwise agreed herein by the Parties and as specifically supplemented and modified by the terms and
 elections set forth in the Transaction Summary and Sections A through H below. The Standard Terms
 and the Transaction Specific Terms together constitute a single integrated Purchase and Sale Agreement
 fo                           overning the Transaction. With respect to the Transaction, the Parties agree to be
 bound by the Standard Terms and the Transaction Specific Terms set forth herein.



         Trade Date:
         Agreement Date:
         Seller:
         Seller MEl:
         Buyer:
         Buyer MEl:
         Credit Agreement:                                                        Lien Secured
                                                 Super-Priority Debtor In Possession and Exit
                                                 Credit and Guaranty Agreement dated as of
                                                 March 30, 2007, and amended and restated as of
                                                 May 15, 2007, among Allied Systems Holdings,
                                                 Inc. (as successor by merger to Allied Holdings,
                                                 Inc.), Allied Systems, Ltd. (L.P.), certain
                                                 Subsidiaries of Holdings and Systems, as
                                                 Guarantors, the Lenders parties thereto from
                                                 time to time, Goldman Sachs Credit Partners
                                                 L.P., as Lead Arranger and Syndication Agent,
                                                 The CIT Group/Business Credit, Inc., as
                                                 Administrative Agent and Collateral Agent and
                                                 the other agents parties thereto
         Borrower:                               Allied Systems Holdings, Inc., Allied Systems,
                                                 Ltd. (L.P.)
         Purchase Amount(s):                     (1                            pal amount of LC Deposits
                                                 (2                            cipal amount of Term Loans
         Tranche(s):                             (1
                                                 (2
         CUSIP Number(s), if available:          Not Applicable
         Pre-Settlement Date Accruals            0     Settled Without Accrued Interest
         Treatment:                               ~ Trades Flat
         Type of Assignment:                     ~ Original Assignment

LSTA EFFECTIVE SoptambrH 9, 20·11    Col>yri]ht 1) LSTA 2011. All rights reserved.
0     Secondary Assignment

        Borrower In Bankruptcy:            YesO            No~
        Delivery of Credit Documents:      YesO            No~
        Netting Arrangements:              Yes~            NoD
        Flip Representations:              YesO            No~
        Step-Up Provisions:                YesO            No~
                                            Shift Date:   Not Applicable
        Transfer Notice                    YesO            No~

DEFINITIONS

Capitalized terms used in this Agreement shall have the respective meanings ascribed thereto in Section
1 of the Standard Terms, as supplemented by Section A of the Transaction Specific Terms and as
otherwise may be provided in other provisions of this Agreement. Terms defined in the Credit Agreement
and not otherwise defined in this Agreement shall have the same rreanings in 1t1is Agreement as in the
Credit Agreement. Except as otherwise expressly set forth herein, each reference herein to "the
Agreement," "this Agreement," "herein," "hereunder" or "hereof" shall be deemed a reference to this
Agreement. If there is any inconsistency between the Transaction Specific Terms and the Standard
Terms, the Transaction Spec1f1c Terms shall govern and control

In this Agreement:

"8gent" means THE CIT GHOUP I Business Credit, Inc. as Administrative Agent under the Credit
Agreement.

"Assignment" means an Assignment and Assumption Agree1nent that is in the form specified in the Credit
Agreement for an assignment of the Loans and Commitments (if any) and any Required Consents to
such assignment

"Bankruptcy Case" select one:
   ~ none.
    0 means [the case under the Bankruptcy Code pending before the Bankruptcy Court in which
    Borrower Is a debtor, In re _____ , No. _ _ __].

"Bankruptcy Court" select one:
    l8J none.
    0   means [the United States Bankruptcy Court for the _ _ _ _ District of _ _ _ _ _ (and, if
   appropriate, the United States District Court for that District)].

"Bar Date" select one:
 ·-·~ot applicable.
    0 none has been set.
    0 means [specify applicable date, if any].
"Buyer Purchase Price'' select one:
   0 not applicable.
   0 means the purchase price payable by Buyer to Original Buyer pursuant to the Netting Letter (this
   applies if there are three (3) parties involved in the netting arrangement).
   0 means the purchase price payable by Buyer to Penultimate Buyer pursuant to the Netting Letter
   (this applies if there are four (4) or more parties involved in the netting arrangement).



                                                    2
"Commitments" select one:
 --~ none.
   0 means [identify applicable commitment tranche(s) using Credit Agreement definitions] in H1e
   principal amount of $1£1€_______ [in each case specify the aggregate amount of the Loans, the
   Unfunded Commitments and the portion, if any, of the Commitments that is irrevocably "frozen" (L_s,
   that ts not subject to future drawing)].

"Covered Prior Seller" select one:
    [g) not applicable.
    0 means each Prior Seller that transferred the Loans and Commitments (if any) on or after t11e Shift
    Date [but prior to the transfer pursuant to which                      transferred such Loans and
    Commtments (if any) on a distressed documentation basis pursuant to the Purchase and Sale
    Agreement for Distressed Trades dated as of               , as set forth in the Annex].

"Filing Datr( select one:
      !81 none.
      0 means [identify date on which Borrower filed Bankruptcy Case].
"Loans'' means (i} LC Deposits in                         ipal amount   or.lllllllland (ii} Term Loans in
the outstanding principal amount o f l • •

"Nettin_q Letter" select one:
    0 not applicable.
    !81 means that certain Multilateral Netting Agreement in the form currently published by the LSTA
    dated on or as of the Agreement Date among Seller, Buyer and Original Buyer.

"9riginal Buyer" select one:
    0
    !81   notap]p.licialbllel.llllllllllll
          meanSJ

"Penultimate Buyer" select one:
    0 not applicable.
   [g) none ("none'' is applicable if there are only three (3) parties tnvolved in the netting arrangement).
   0 means              _ _j.

''Required Consents" means notice to the Borrowers and the Agent and the acceptance and recordation
of the Assignment by the Agent.

"Seiler Purchase Price" select one;
    0 not applicable.
    t2J means the purchase price payable by Original Buyer to Seller pursuant to the Netting Letter.
"Transfer   Fee".llllllllll
"Unfunded Q.Qmmitments" means none.




                                                      3
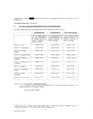
SECTION 4 (SELLER'S REPRESENTATIONS AND WARRANTIES}



                                                 r
The following specified terms shall apply to the sections referenced in this Section 8:

                                                             Flat Representafion                    Flip Representation--                 Step-Up    ~----,
                                                                                                                                       Representation
                 -------L:--~-;:--,--~-=
                           i If "No" is specified                               If "Yes" is specified                              If "Yes" is specified
                                                  j opposite     both   "Flip opposite          "Flip                              opposite       "Step-Up
                                                    Representations"     and Representations"
                                                    ·'Step-Up Provisions" in the
                                                    the           Transaction Summary,
                                                                                                    in
                                                                                          Transaction
                                                                                                  the
                                                                                                                               I   Provisions"     in
                                                                                                                                   Transaction Summary,
                                                                                                                                   the
                                                                                                                                                        the

                                                                                                                                                  following
                                                  , Summary, the following • following subsections
                                                                              .                                                    subsections of Section
                                                  1 subsections of Section 4    of Section 4 shall I'                              4 shall apply:
                                                    shall apply: j           1 apply:                  .

1--, s-=-e-c"""·ti_o_r_l4--:-_...,.ic-(dc-}c: (T=itc-1~,. .} · --~---section 4-.-I{d)(i)       L-Secticm 4.1 (d}(ii)           l        Section    4 1(d)(i}
                                                                                                                                                                         ~
  Soct~o 4. 1{e)
I(Proceedings) = t s o c t i o o 4. 1{e){l)
I
                                                                                                         Section 4. 1(e}(i)   __ ,_    Secti0n-·4~1(e}(ii)

1
                                                                                               I                                                                          I
1-::::--:-:-· · -
     Section 4. 1(1) (Principal
     Amount)
                                           -·-· ----
                                                   '               Section 4.i(f)(i)                     Section ,f"f(i)(-ii)-- ---     seciiori4.1(t)(i)-

                                                                                                                                                      .___ __
                                                                                                                                                           ,
                                                                                                                                                                         -I
                                                                                                                                                                ~
    · SectiOn4. 1(g) (Future- ---                                  Section 4.1 (g)(i)                    Section 4.1(g)(ii)            Section 4.1 (g)(iii)
      Funding)
                                                       --·-·-···                                  -~~-                                                              ..
  Section 4. 1(h) (Acts ancr~·-
                                                                                           -·~-

                                                                   Section 4.1(h)(i)                     Section 4.1 (h)(i)             Section 4. 1(h)(ii)
, QmJ§E!lons)
l
I
~--·W-•••·-·----··•·

1 Section 4. 1(i)
                                       .. . ... --1                     ·~-~


                                                                   Section 4.1 (i)(i)
                                                                                                     --- Section 4.1 (i)(i): : - - -·-·section4T(i)(ii) ·~
                                                                                                                       -;

1 (performance of
  Obligations)
                                                                                                                                                   _______ ____._



                                                                   Section 4 1(l)(iy--
                                                                                                  ~~--

     Section 4.1 (I) (Setoff)                         --                                                 Section 4.1 (l)(i)             Section 4.1 (l)(ii)

     Section 4.1 (t) (Con sa~
                                                   r----------::c··---···------·
                                                           Section 4.1 (t)(i}
                                                                                                                   ------ - ; -Section-4.1·(t)(ii)
                                                                                                         Section 4.1 (t)(i)
                                                                                                                               · -..- - - · · - -

     and Waivers)
~-                  .............                                                                                     --,.,...-
     Section 4.1 (u) (Other                                        section 4:1(u)(i)                     Section 4.1 (u)(i)       ........ sectiof1-,:rf(u)(iiT'
     Documents)
                                                  .                            ----
    -sectfon 4.1 (v) (Proof of                         --~



                                                                   Section 4.1 (v)(i}                    Section 4.1(v)(ii)             Section 4.1 (v)(i)
     Claim)
                                                                                                                                                                         . j




Section 4. 1(k) (Purchase Price); NS?.tting Arrangements.
        If "Yes" is specified opposite Netting Arrangements in the Transaction Summary, Section 4. 1(k)
        shall be amended in its entirety as follows:

                                    '(k) [intentionally omitted]."




                                                                                           4
Section 4.1(r) (Predecessor Transfer Agreements).
        0    Seller acquired the Transferred Rights from Immediate Prior Seller pursuant to Predecessor
        Transfer Agreements relating to par/near par loans.
        0 Seller acquired the Transferred Rights from Immediate Pnor Seller pursuant to Predecessor
        Transfer Agreements relating to distressed loans.
        0 Seller acquired the Transferred Rights from Immediate Prior Seller pursuant to Predecessor
        Transfer Agreements relating to both par/near par loans and distressed loans.
        [8:1 Not applicable.

Section 4.1 (u) (Other Documents).
        [8:1 None.
        0 The following: _ _ _ __
Section 4.1 (v) (Proof of Claim).
        0 The Proof of Claim was duly and Umely filed, on or prior to the Bar Date, by
                 0   the Agent on behalf of the Lenders.
                  0 Seller or a Prior Seller.
             The Bar Date specified in the Transaction Specific Terms has been set in the Bankruptcy
        Case and no Proof of Claim has been filed.
        0 No Bar Date has been set in the Bankruptcy Case and no Proof of Claim has been filed.
        0    Not applicable.

SECTION 5 (BUYER'S REPRESENTATIONS AND WARRANTIES

Section 5.1 (n) (Buyer Status).

        0   Buyer is not a Lender.
        [8:1 Buyer is a Lender.
        0  Buyer is an Affiliate [substitute Credit Agreement defined term if different] (as defined in the
        Credit Agreement) of a Lender.
        0 Buyer is an Approved Fund {substitute Credit Agreement defined term if different] of a Lender.
If "Yes" is specified opposite "Delivery of Credit Documents" in the Transaction Summary, Buyer
represents and warrants that it (i) was not a Lender on the Trade Date and (ii) requested copies of the
Credit Documents from Seller on or prior to tne Trade Date.

SECTION 6 (INDEMNIFICATION)

Section 6,1 (Seller's lnderonities); Step-Up Indemnities.

         (i)       If "Yes" is specified opposite "Step-Up Provisions" in the Transaction Summary, Seller's
indemnities contained in Section 6 1(b) shall apply (and the alternate indemnities contained in Section
6.1 (a) shall not apply).

         (ii)      If "No" is specified opposite ''Step ..Up Provisions" in the Transaction Summary, Seller's
indemnities contained in Section 6.1(a) sr,all apply (and the alternate indemnities contained in Section
6.1 (b) shall not apply).

SECTION 7 (COSTS AND EXPENSES)

0    The Transfer Fee shall be paid by Seller to the Agent and the Purchase Price sl1all be increased by
     an amount equal to
        0 one-half thereof.
        0  other relevant fraction or percentage, _ _ , thereof.



                                                      5
D     The Transfer Fee shall be paid by Buyer to the Agent and Buy'!:lr shall receive a credit to the
      Purchase Price equal to
         D one-half thereof.
          D otl1er relevant fraction or percentage, _ _ , thereof.
[g)   The Transfer Fee shall be paid and allocated in the manner specifie<~ in the Netting Letter.
0     The Transfer Fee has been waived by the Agent and, accordingly,. no adjustment to the Purchase
      Price shall be made in respect thereof.
0     There is no Transfer Fee and, accordingly, no adjustment to the Purchase Price shall be made in
      respect thereof.

SECTION 8 (DISTRIBUTIONS; INTEREST AND FEES; PAYMENTS)

Section 8.2 (Distributions); Step-Up Distributions Covenant.

        (i)       If "Yes" is specified opposite "Step-Up Provisions" in th~ Transaction Summary, Seller's
covenants contained !n Section 8.2(b) shall apply (and the alternate covenants contained in Section
8.2(a) shall not apply).

        (ii)      If "No" is spec1f1ed opposite "Step-Up Provisions" in th.e Transaction Summary, Seller's
covenants cor1tained in Section 8.2(a} shall apply (and the alternate covenants contained in Section
8.2(b) shall not apply).

Section 8.4 (Wire Instructions).




SECTION 9 (NOTICES)

Seller's Address for Notices and Deli'&[.'{




                                                     6
Operations Contact
(Fundlng Notices, Borrowtilgs, Paydowns, Interest, Fees, etc.)




Buyer's Address for Notices and Delivery:

All Notices Sent To

BDCM OPPORTUNITY FUND II, L.P.
C/0 Black Diamond Capital Management, L.L.C.
Attn: Loan Administrator




Legal Documentation:

Send To:
BDCM OPPORTUNITY FUND II, L.P.
c/o Black Diamond Capital Management L.L.C.
Attn: Loan Administrator




Credit Communications

All Credit Information Sent To:
Black Diamond Capital Management, L.L.C.




                                                    7
PH•-

H..      SECTION 27 (ADDITIONAL PROVISIONS)

Tt· e following additional provisions, ·Including any modifications to existing provisions, shall apply•

         None




                                                        8
IN WITNESS WHEREOF, Seller and Buyer have executed this Agreement by their duly
authorized officers or representatives as of the Agreement Date.

                                        SELLER




                                        By:~---------------
                                           Name:
                                           Title:




                                        BUYER

                                        BDCM OPPORTUNITY FUND II, L.P.
                                        by BOCM Opportunity Fund II Adviser, L.L.C.
                                        its Investment Manager




                                           9
IN WITNESS WHEREOF, Seller and Buyer have executed this Agreement by their duly
authorized officers or representatives as of the Agreement Date.

                                        SELLER




                                        BUYER
                                        BDCM OPPORTUNITY FUND II, L.P.
                                        by BDCM Opportunity Fund II Adviser, L.L.C.
                                        its Investment Manager




                                            Title:




                                            9
ANNEX TO PURCHASE AND SALE AGREEMENT FOR DISTRESSED TRADES


1.     If "Secondary Assignment" is specified opposite "Type of _<lssignment" in the Transaction
       Summary, list of Predecessor Transfer Agreements and prindpal amount as of the settlement
       date with respect thereto, of the portion of the Loans and Commitmerots (if any) thereunder
       assigned hereby for purposes of Section 4.1 (r) and Section 5.1 (l«)(i) hereof, and designation as to
       whether such Predecessor Transfer Agreements relate to parlnG<ar par loans or distressed loans.

       Not Applicable



2.     List of Credit Agreement and any other Credit Documents delivered pursuant to Section 4.1(s)
       hereof.

       None.

3.     Description of Proof of Claim (if any).

       Not applicable.

4.     Description of Adequate Protection Order (if any).

       Not applicable.

5.     List any exceptions to Section 4.1 (w) (Notice of Impairment).

       None.

6.     The amount of any PIK Interest that accreted to the principal <Mnount of the Loans on or after the
       Trade Date but on or prior to the Settlement Date i s · · · ·




                                                 Annex-l
dc-585084
ASSIGNMENT AND ASSUMPTION AGREEMENT


         T!1is Assignment and Assumption A!~;~;~~~-lj~~~-~~~(::~;
set forth below and Is entered into by and
Opportunity Fund II, L.P. (lhe "Assignee"). Capitalized terms u                     herein shall have the
meaningg given to them in the Amended and Restated First Lien Senior Secured Stlper-Priorlty Debtor-
in-Possession and Exit Credit and Guaranty Agreement identified below (as II may be amended,
supplemented or otheiWise modified from time to lime, he ''Credit Agreement"), receipt of a copy of which
is hereby acknowledged by the Assignee. The Standard Terms and Conditions sel forth in Annex 1
attached 1areto are hereby agreed to and Incorporated herein by r~ference and made a part of this
Assignment as if set forth herein in fulL
         For an e~greed consideration, the Assignor hereby irrevocably sells and assigns to t11e Assignee,
and the Assignee hereby Irrevocably purchases and assumes from the Assignor, subject to and In
accordance with the Standard Terms and Conditiol'ls and the Credit Agreement, as of the Effective Oate
Inserted by the Administrative Agent as contemplated below, the interf)st in and to all of the Assignor's
rights and obligations under tile Credit Agreernont and any other documents or instruments delivered
pursuant thereto !hat represents the amount and percentage Interest idenlifled below of all of llle
Assignor's ootstanding rights and obligations under the respective facilities identified below (including, to
the extent Included in any such facilitie~. letters o1 credit, LC Deposits and swing line loans) (the "Assigned
Interest"). Such sale and assignment Is without recourse to the Assignor and, except as expressly
provided In this Assignment and the Credit Agreement, without representation or warranty by lhe
Assignor.
j    Assignor:

2. Assignee:                                     BDCM Opportunity Fund II, L.P.

3.   Borrow<:!r(s):                              Allied Systems Holdings, Inc., Allied Systems, LTD (LP.)

4.   Adrninistrative Agent;                      The CIT Group I Busine,.,. Credit, Inc., as               the
                                                 administrative agent utder the Credit Agreement
5.   Credit Agreement:                           Amended and Restated First Lien Secured Super-Priority
                                                 Debtor In Possession and Exit Credit and Guaranty
                                                 Agreement dated as of March 30, 2007, and amended and
                                                 restat"d as of May 15, 2007, among Allied SystGms
                                                 Holdings, Inc. (as successor by merger to Allied Holdings,
                                                 Inc.), Allied Systems, Ltd. (LP.), certain Subsidiaries or
                                                 Holdings and Systems, as Guarantors, tile Lenders parties
                                                 thereto from llme to lime, Goldman Sachs Credit Partners
                                                 L.P, as Lead Arranger and Syndication Agent, The CIT
                                                 Group/Businesa Credit, Inc., as Administrative Agent and
                                                 Collateral Agent and the other agents parties 11Greto




NY450783. 11153-04166
6.         Assigned Interest:
                          Aggregate Amount of               Amount of         Percentage Assigned of
                         Commitment!Loans/LC            Commitment/Loans/LC   Commitmentlloans/LC
Facility     Assigned    Deposits for all Lenders        Deposits Assigned           Deposits
-----·----
LC Deposits



Term Loans
                           USD····
                           USD•• ---SD
                                                         --IIJSD
                                                                                 --·Vo
Effective Date:




                                                    2
7. Notice and Wire ln,tructions: See Attached




                                                3
Wire Instructions        Wire Instructions: See Attached




                    1[
The terms set forth in this Assignment are hereby agreed to;

                                                       ASSIGNOR




                                                       By:
                                                             Name:
                                                             Title:


                                                       ASSIGNEE

                                                       BDCM Opportunity Fund II, L.P .. as Assignee
                                                       By BDCM Opportunity F4md II Adviser, L.L.C.
                                                       Its Investment Manager




                                                   5
The terms set forth in this Assgnrnent are hereby agreed to:

                                                      ASSIGNOR




                                                      ASSIGNEE

                                                      BDCM Opportunity Fund 11, L.P., liS AsslgMe
                                                       B' BOCM Opportunity Fund II Adviser, L.L.C.
                                                       1s Investment Manager




                                                       By: ____· · - - - - - - · - - - - - · - · - - - - · -
                                                           .'llarne:
                                                           Tltle:




                                                       5
Consented to and Accepted;




Consented to:

ALLIED HOLDINGS, INC.


By:

Name:
Tltl<l:


ALLIED SYSTEMS,    LTD (L.P.)


lly:

Nama:
'Iitie:




                                6
STANDARD TERMS AND CONDITIONS FOR ASSIGNMENT
                                AND ASSUMPTION AGREEMENT

         l.      Representations and Warranties.

        l. 1       Assignor. The Assignor (a) represents and warrants that (i) it is the legal and beneficial
ovmor of the Assigned Interest, (li) lhe Assigned Interest is free and clear of any lien, encumbrance or
other adverse claim and (iii) It has fuil power and authority, Md has t<:lken all action necessary, to BXecute
and delivm Ihis 1'>.sslgnment and to consummate the transactions contemplated hereby; ::~nd (b) assumes
no responsibility with respect to (i) any statements (as defined herein), warranties or representations
made in or in connection with any Credit Documenl, (il) the execution, legality, validity, enforceability,
genuineness, sufflcioncy or value of the CrEJdil Agreement or any other instrumr:Jnl or document delivered
pursuant thereto, other than this Assignment (herein collectively the "Credit Documents"), or any collateral
thereunder, (iii) the financial condition of the Company, any of its Subsidiaries or Affiliates or any other
Person obligated in respect of any Credit Document or (iv) the performance or oi)servance by the
8orrower, any of its Subsidiaries or Affiliates or any other Person of any of their respective obligations
under any Credit Document.

           l .2    Assignee. The Assignee (a) represents and warrants thai (i) it has full power and
authority, and has taken all action necessary, to execute and deliver this Assignment and to consummate
the transactions cont(lmpl<1tad hereby and to bt<Jcome a Lender under the Credit Agreerne11t, (ii) it meets
all requirements of an Eligible Assignee under the Credit Agreement, (iii) from and after :he Effective
Date, it shall be bound by the provisions of the Credit Agrostnsnt and, to the extent of the Assigned
Interest, shall have the obligaliona of a lender thereunder, (iv) II has received a copy of tho Credit
Agreement !lnd such oti1er documents and information as il has deemed appropriate to make its own
cred't analysis and decision to enter into this Assign1nent and to purchase the Assigned Interest on the
basis of which it has 1nada such analysis and decision, and (v) if it is a Non US Let1der, attached to the
Assignment is any documentation required to be delivered by it pursuant to the terms of the Credit
Agreement, duly completed and executed by the Assignee; and (b) agrees that (i) It will, independently
and without reliance on the Administrative Agent, the Assignor or any other Lender, and based on such
documents and Information as It shall deem appropriate at that time, continue to make its own credit
decisions in taling or not taking action under the Credit Documents, end (ii) it will perform in accordance
witl> their tt>rms all of the obllg<1ions which by the !erms of the Credit Documents are required to be
performed by it as a Lender.

        · 2.    Payments. All payments with respect to the Assigned Interests shall be made on tle
Effective Date as follows:

         2. I     With respect to Assigned Interests for Term Loans, unless notice to the contrary is
delivered to tile Lender from tile Administrative Agent, paym13nl to li)e Assignor by the Assignee in
respect of llie Assignfld Interest shall include such compensation to the Assignor as may be agreed upon
by the Assignor and the Assignee with respect to all unpaid interest which has accrued on the Assigned
Interest to but excluding the Effective Date. On and alter the applicable Effective Date, the Assignee
shall bo enlifled to receive all into rest paid or payable with respect to the Assigned lnte1·est, whether such
interest accrued before or after the Effecttvo Dste.

         2.2     With respect to As~Hgned Interests for Hevolving Loans and LC Comrr11tmemts snd LC
Dopa sits, from and alter the Effective Date, the Administrative Agent shall make all payments In respect
of the Assigned Interest (including payments of principal, interest, fees and other amounts) to the
Assignor for amounts which have accrued to but excluding the Effective Dale and to the Assignee lor
amounts which have accrued from and after the Effective Date. ·



                                                       7
3.      General Provisions. This Assignment shall be binding upon, and Inure to !he benefi or,
the parties hereto and their respective successors and assigns. This Assignment may be executed in any
number of counterparts, which together shall constitute one lns;rument. Delivery of an executed
counterpart of a signature psge of this Assignment by tetecopy shall be eHective as delivery of a manually
executed counterpart of this Assignment. This Assignment shall be governed by, and construed in
uccordance with, the Internal laws of the Stale of New York without regard to conflict <>f laws principl~s
thereof.
L
                    PURCHASEANDSALEAG

                                    TRANSACTION SPECIFIC TERMS

 THIS PURCHASE AND SALE AGREEM                                                   dated as of the Agreement
 Date and entered into by and between Seller and Buyer to govern the purchase and sale of the Loans,
 the Commitments (if any) and the other Transferred Rights, in accordance with the terms, conditions and
 agreements set forth in the LSTA Standard Terms and Conditions for Purchase and Sale Agreement-
········published by the LSTA as of                                        (the "Standard Terms"). The
 Standard Terms are incorporated herein by reference              any      ification whatsoever except as
 otherwise agreed herein by the Parties and as specifically supplemented and modified by the terms and
 elections set forth in the Transaction Summary and Sections A through H below. The Standard Terms
 and the Transaction Specific Terms together constitute a single integrated Purchase and Sale Agreement
 - - - - - g o v e r n i n g the Transaction. With respect to the Transaction, the Parties agree to be
 ~d Terms and the Transaction Specific Terms set forth herein.



         Trade Date:
         Agreement Date:
         Seller:
         Seller MEl:
         Buyer:
         Buyer MEl:
         Credit Agreement:                      Amended and Restated First Lien Secured
                                                Super-Priority Debtor In Possession and Exit
                                                Credit and Guaranty Agreement dated as of
                                                March 30, 2007, and amended and restated as of
                                                May 15, 2007, among Allied Systems Holdings,
                                                Inc. (as successor by merger to Allied Holdings,
                                                Inc.}, Allied Systems, Ltd. (L.P .), certain
                                                Subsidiaries of Holdings and Systems, as
                                                Guarantors, the Lenders parties thereto from
                                                time to time, Goldman Sachs Credit Partners
                                                L.P., as Lead Arranger and Syndication Agent,
                                                The CIT Group/Business Credit, Inc., as
                                                Administrative Agent and Collateral Agent and
                                                the other agents parties thereto
         Borrower:                              Allied Systems Holdings, Inc., Allied Systems,
                                                Ltd. (l.P.)
         Purchase Amount(s):                    (1                          pal amount of LC Deposits
                                                (
         Tranche(s):


         CUSIP Number(s), if available:         Not Applicable
         Pre-Settlement Date Accruals           0     Settled Without Accrued Interest
         Treatment: ·                           l8J   Trades Flat
         Type of Assignment:                    k8J   Original Assignment

 LSTA EFFECTIVE Septombor 9, 2011   Copyri(lllt@ LSTA 2Q11. All rlqhts rosorvod.
0    Secondary Assignment

       Borrower in Bankruptcy:              YesO            No [gJ
       Delivery of Credit Documents:        YesO            No [gJ
       Netting Arrangements:                Yes [gJ         NoD
       Flip Representations:                YesO            No~
       Step-Up Provisions:                  YesO            No~
                                            Shift Date:   Not Applicable
       Transfer Notice                      YesO            No~

DEFINITIONS

Capitalized terms used in this Agreement shall have the respective meanings ascribed thereto in Section
1 of the Standard Terms, as supplemented by Section A of the Transaction Specific Terms and as
otherwise may be provided in other provisions of this Agreement. Terms defined in the Credit Agreement
and not otherwise defined in this Agreement shall have the same meanings in this Agreement as in the
Credit Agreement. Except as otherwise expressly set forth herein, each reference herein to "the
Agreement," "this Agreement," "herein," "hereunder" or "hereof" shall be deemed a reference lo this
Agreement. If there is any inconsistency between the Transaction Specific Terms and the Standard
Terms, the Transaction Specific Terms shall govern and control.

In this Agreement:

"Agent" means THE CIT GROUP I Business Credit, Inc. as Administrative Agent under the Credit
Agreement.

"Assignment" means an Assignment and Assumption Agreement tMt is in the form specified in the Credit
Agreement for an assignment of the Loans and Commitments (if any) and any Required Consents to
such assignment.

"Bankruptcy Case" select one:
   [gJ none.
   0 means [the case under the Bankruptcy Code pending before the Bankruptcy Court in which
   Borrower is a debtor, In re _____ , No. - - - - - '

"Bankruptcy Court" select one:
   ~ none.
   0 means [the United States Bankruptcy Court for the _____ District of _ _ _ _ (and, if
   appropriate, the United States District Court for that District)].

"Bar Date" select one:
    [gj not applicable.
    0 none has been set
    0 means [specify applicable date, if any].
"lildYer Purchase Price" select one:
      0 not applicable.
      ~ means the purchase price payable by Buyer to Original Buyer pt1rsuant to the Netting Letter (this
      applies if there are three (3) parties involved in the netting arrangement),
      0 means the purchase price payable by Buyer to Penultimate Buyer pursuant to the Netting Letter
      (this applies if there are four (4) or more parties involved in the netting arrangement).



                                                      2
"Commitments" select one:
-~-~;;;);;~-
     o   means [identify applicable commitment tranche(s) using Credit Agreement definitions] in the
     principal amount of $/£/€                {in each case specify the aggregate amount of the Loans, the
     Unfunded Commitments and the portion, if any, of the Commitments thai is irrevocably "frozen" (i.e ..
     that is not subject to future drawing)].

'Covered Prior Seller" select one:
    0 not applicable.
    D means each Prior Seller that transferred the Loans and Commitments (if any} on or after the Shift
    Date [but prior to the transfer pursuant to which                      transferred such Loans and
    Commitments (if any) on a distressed documentation basis pursuant to the Purchase and Sale
    Agreement for Distressed Trades dated as of               , as set forth in the Annex].

"Filing Oat§" select one:
     0 none.
     D means [identify date on which Borrower filed Bankruptcy Case].
"1.9...illl.§." means (i) LC Deposits in t;iheilclultsltalnldlinlglllplrincipal amount   ot~nd (il) Term Loans in
the outstar'lding principal amount ot 1                         1 1

"Netting Letter" select one:
   0 not applicable.
   0 means that certain Multilateral Netting Agreement in the form currently published by the LSTA
   dated on or as of the Agreement Date among Seller, Buyer ar1d Original Buyer.

"Original Bum" select one:
    0 not applicable.
     0    meantlllillii•••••••
"Penultimate Buyer" select one:
    0 not applicable.
    0 none ("none" is applicable if there are only three (3) parties involved in the netting arrangement).
    0 means ~-.-_ __ J
"8__~guired Consents" means notice to the Borrowers and the Agent and the acceptance and recordation
of the Assignment by the Agent.

"Seller Purchase Price" select one:
    0 not applicable.
    0 means the purchase price payable by Original Buyer to Seller pursuant to the Netting Letter.
"Transfer F e e · -

"Unfunded Commitm§mt;( means none.




                                                                   3
SECTION 4 {SELLER'S REPRESENTATIONS AND WARRANTIES}

Tl1e following specified terms shall apply to the sections referenced in this Section B:

    ---------- ·•··· ·-----,~--,-~;;;:-:;-_;:;:~--e~-resen-tafron                I      Flip Representation-                         --------Step-Up
                                                                                                                                      Representation

f------------l                                If "No" is -s-p-ec-,if;:-ie-d+l""f-c,:::-,Y:-e·S"iSSpecified                        1{-;,;;/es"is
                                                                                                                                             specified
                                              opposite   both     "Flip opposite                    'Flip                     opposite       "Step-Up
                                              Representations"     and Representations"                  in                   Provisions"     in    the
                                              "Step-Up Provisions'' in the                   Transaction                      Transaction Summary,
                                              the         Transaction Summary,                         the                    the             following
                                              Summary, the following following subsections                                  I subsections of Section
                                              subsections of Section 4 of Section 4 shall                                   I 4 shall apply:

                      ·,---=----1' shall apply:
    -secifon-·4'1(Cil (Title)                      sf;)ction 4.1 (d)(i)
                                                                                 · .. :~~S~~e:_c
                                                                                               ..tr'on 4 i(d)('ir')
                                                                                                        .
                                                                                                                            I'!    --Sectr·on--4.1(-d---)-(r·)-·

     Section--4·-nei ____________ ----sec-,tio--n-4 _-:-17
                                                  7      (ec-:)(:::-i)--+
                                                                        1--::s::-e-ct""io-n--4 . 7
                                                                                             7 1(:-e:-:)(::-i)-----=s-ec-:cuc--o---:n            4~-i'{e)(~-)-!
     (Proceedings)                                                                1                                                                                   I
     Section 4. 1(f) (Principal                    Section 4. i (f)(i)        --- ---=s:-e-ct.,.io_n_4-.1-:-(--:::f)-cc(ii,_)--l----=s-ec_t.,..io_n_4__1""(t"")(=i)---~
     Amount)
                                                                                                                                                                      i
     Section 4.1(g) (Future                        Section 4. 1(g)(i)                                                                 Section 4.1 (g)(iii)
     Funding)

     Section 4.1(h) (Acts and                      Section 4. 1(h)(i)             ·----section 4.1 (h)(i)              -- ·           section 4.1 (h)(ii)
     Omissions)

    ··section 4.1 (i)      -·~----1f---s:.-e-ct,...io_n_4c-_1:-:(-:'Ci)c::(i)___ '···         ... ·--····--·--·---------..---------..!I
                                                                                           Section 4,1 (i)(i)          Section 4.1 (i)('i)
     (Performance of
     Obligations)                                                                                                                                                     I
f-::--,----,-~------·--·------ --~;:::---:-;---;-;-;;-;-;;-:--· ---                                     _._... ~,-------1----,---·-- ..........---1
     Section 4.1 (I) (Setoff)                       Section 4. 1(l)(i)                     Section 4.1 (l)(i)                          Section 4. 1(l)(ii)            ·

     Section 4.1 (t) (Consents            1        Section 4.1 (t)(i)             I        Section 4.1 (t)(i)                         SeCtion 4.1 (t)(ii)
     and Waivers)                         1
                                                                                  1

: Section 4.1 (u)        (oiiler·--j -----Seciion-~f-1(u)(T)"'---                       "'section 4.T(u)(if--l---=-s-ec-t.,-!o_n_4-.1-(_u__ __ _
                                                                                                                                          ){.ii"')
j    Documents)                                                                   i

I=" 4.1(~               (P,®I o( ••...         -- Sectioo 41       1'1:1I::~:~1---- ~-S"11oo 41 l'ltilj
Section 4.1 (k) CE'..u.n;:hase Price); Netting Arrangements.
        If "Yes" is specified opposite Netting Arrangements in the Transaction Summary, Section 4. 1(k)
        shall be amended in its entirety as follows:

                         '(k) [intentionally omitted]."




                                                                             4
Section 4.1 (r) (Predecessor Transfer Agreements).
        0 Seller acquired the Transferred Rights from Immediate Prior Sell"'r pursuant to Predecessor
        Transfer Agreements relating to parinear par loans.
        0 Seller acquired the Transferred Rights from Immediate Prior SelliBr pursuant to Predecessor
        Transfer Agreements relating to distressed loans.
        0 Seller acquired U1e Transferred Rights from Immediate Prior Sell(i:lr pmsuant to Predecessor
        Transfer Agreements relating to both par/near par loans and distresses.'i loans.
        [81 Not applicable.

Section 4.1 (u) (Other Documents).
        [81 None.
        LJ The following: - - - - ·
Section 4.1(v) (Proof of Claim).
        0 The Proof of Claim was duly and timely filed, on or prior to the Bar Date. by
                 [] the Agent on behalf of the Lenders.
                 [] Seller or a Prior Seller.
        0 The Bar Date specified in the Transaction Specific Terms has been set in the Bankruptcy
        Case and no Proof of Claim has been filed.
        D No Bar Date has been set in the Bankruptcy Case and no Proof 0'5 Claim l1as been filed.
        [81 Not applicable.

SECTION 5 (BUYER'S REPRESENTATIONS AND WARRANTIES)

Section 5.1(n) (Buyer Status).

        0   Buyer is not a Lender.
        [81 Buyer is a Lender.
        0  Buyer is an Affiliate (substitute Credit Agreement defined term if different] (as defined in the
        Credit Agreement) of a Lender.
        0 Buyer is an Approved Fund [substitute Credit Agreement defined ~erm if different] of a Lender.
If "Yes" is specified opposite "Delivery of Credit Documents" in the Transaction Summary, Buyer
represents and warrants that it (i) was not a Lender on the Trade Oate and· (ii) requested copies of the
Credit Documents from Seller on or prior to the Trade Date.

SECTION 6 (INDEMNIFICATIOlli

Section 6.1 (Seller's Indemnities); Ste..Q-Up Indemnities.

         (i)       If "Yes" is specified opposite "Step-Up Provisions" i•n the Tn,,msaction Summary, Seller's
indemnities contained in Section 6.1 (b) shall apply (and the alternate indemnities contained in Section
6. 1(a} shall not apply).

         (ii)      If "No" is specified opposite "Step-Up Provisions" in the Tramsaction Summary, Se!ler's
indemnities contained in Section 6.1 (a) shall apply (and the alternate indemnities contained in Section
6.1 (b) shall not apply).

SECTION 7 (COSTS AND EXPENSES}

0    Tl1e Transfer Fee shall be paid by Seller to the Agent and the !Purchase Price shall be increased by
     an amount equal to
         0 one-half thereof.
         [] other relevant fraction or percentage, _ _ , thereof.



                                                      5
0     The Transfer Fee shall be paid by Buyer to the Agent and Buyer shall rece1ve a credit to the
      Purchase Price equal to
          0 one-half thereof.
          D other relevant fraction or percentage, _ _ , thereof.
[g)   The Transfer Fee shall be paid and allocated in the manner specified in the Netting Letter.
0     fhe Transfer Fee has been waived by the Agent and, accordingly, no adjustment to the Purchase
      Price shall be made in respect thereof.
0     There is no Transfer Fee and, accordingly, no adjustment to the Purchase Price Silall be made in
      respect thereof.

SECTION 8 (DISTRIBUTIONS; INTEREST AND FEES; PAYMENTS}

Section 8.2 (Distributions); Step-Up Distributions Covenant.

         (i}       If "Yes" is specified opposite "Step-Up Provisions" in the Transaction Summary, Seller's
covenants contained 1n Section 8.2(b) shall apply (and the alternate covenants contained in Section
8 2(a} sr1all not apply),

        (ii)      If "No" is specified opposite "Step-Up Provisions" in the Transaction Summary, Seller's
covenants contained in Section 8.2(a) shall apply {and the alternate covenants contained in Section
8.2(b) shall not apply}.

Section 8.4 (Wire Instructions).

Seller's Wire lns_tructions:




Buyer's Wire Instructions:




SECTION 9 (NOTICES)

Seiler's Address for Notices and Delivery:




                                                     6
Operations Contact
(Fundmg Notices, 8orrowings, Paydowns, Interest, Fees, etc.)




Buye(s   Addr~ss   for Notices and Delivery:

All Notices Sent To

BDCM OPPORTUNITY FUND II, L.P.
C/0 Black Diarrond Capital Management, L.L.C.
Attn: Loan Administrator




Legal Documentation:

Send To:
BOCM OPPORTUNITY FUND II, LP
c/o Black Diamond Capital Management L.L.C.




Credit Communications

All Credit Information Sent To:
                         Man,.,r1Atr>Rli1,   L. L. C.




                                                        7
PH:-                             F



th_     SECTION 27 (ADDITIONAL PROVISIONS)

The following additional provisions, including any modifications   to existing provisions,   shall apply:

        None




                                                     8
IN WITNESS WHEREOF, Seller and Buyer have executed this Agreement by their duly
authorized officers or representatives as of the Agreement Date.

                                        SELLER




                                        By: _ _ _ _ _ _ _ _ _ _ _ _ _ _ __
                                           Name:
                                           Title:




                                        BUYER

                                        BDCM OPPORTUNITY FUND II, L.P.
                                        by BDCM Opportunity Fund II Adviser, l.L.C.
                                        its Investment Manager




                                        By.·_--
                                           Name:
                                           Title:




                                           9
IN WITNESS WHEREOF, Seller and Buyer have executed this Agreement by their duly
authorized officers or representatives as of the Agreement Date.

                                        SELLER




                                        BUYER

                                        BDCM OPPORTUNITY FUND II, L.P.
                                        by BDCM Opportunity Fund H Adviser, L.L.C.
                                        its Investment Manager




                                        By: _ _ _ _ _ _ _ _ _ _ _ _ _ _ _.
                                           Name:
                                           Title:




                                           9
ANNEX TO PURCHASE AND SALE AGREEMENT FOR DISTRESSED TRADES


1.     If "Secondary Assignment" is specified opposite ''Type of Assignment" in the Transaction
       Summary, list of Predecessor Transfer Agreements and principal amount, as of the settlement
       date with respect thereto, of the portion of the Loans and Commitments (if any) thereunder
       assigned hereby for purposes of Section 4.1 (r) and Section 5.1 (k){i) hereof, and designation as to
       whether such Predecessor Transfer Agreements relate to par/near par loans or distressed loans.

        Not Applicable


2.      List of Credit Agreement and any other Credit Documents delivered pursuant to Section 4 i(s)
        hereof.

        None.

3.      Description of Proof of Claim (if any).

        Not applicable.

4.      Description of Adequate Protection Order (if any).

        Not applicable.

5.      List any exceptions to Section 4.1 (w) (Notice of Impairment).

        None.

6.      The amount of any PIK Interest that accreted to thell·?lrlinlcliplallamount of the Loans on or after the
        Trade Date but on or prior to the Settlement Date is•        1




                                                  Annex-!
dc-58508~
ASSIGNMENT AND ASSUMPTION AGREEMEN1'


         This Assignment and Assumption Agreement the "Assi nment") is dated as of the Effective Date
set forth below and is entered into by and between                          {the ''Assignor") and BDCM
Opportunity Fund II, LP. (the "Assignee"), Capitalized terms used but no oefined herein shall have the
meanings given to them in the Amended and Restated First Lien Senior Secured Super-Priority Debtor-
in-Possession and Exit Credit and Guaranty Agreement identified below (as it may be amended,
supplemented or otherwise modified from time to time, the ''Credit Agreemeni''), receipt of a copy of which
is hereby acknowledged by the Assignee. The Standard Terms and Conditions set forth in Annex 1
attached hereto are hereby agreed to and incorporated i1erein by reference and made a part of this
Assignment as if set forth herein in MI.
         For an agreed consideration, the Assignor hereby irrevocably sells and assigns to the Assignee,
and the Assignee hereby irrevocably purchases and assumes from the Assignor, subject to and in
accordance with the Standard Terms and Conditions and the Credit Agreement, as of the Effective Date
inserted by the Administrative Agent as contemplated below, the interest in and to ali of the Assignor's
rigl;ts and obligations under the Credit Agreement and any other documents or instruments delivered
pursuant thereto that represents the amount and percentage interest identified below of all of the
Assignor's outstanding rights and obligations under the respeciive facilities identified below (including, to
the extent included in any such facilities, letters of credit, LC Deposits and swingline loans) (the "Assigned
Interest"). Such sale and assignment is without recourse to the Assignor and, except as expressly
provided in this Assignment and the Credit Agreement, without representation or warranty by the
Assignor
1. Assignor:

2.   Assignee:                                   BDCM Opportunity Fund II, L.F'.

3.   Borrower(s):                               Allied Systems Holdings, Inc., illied Systems, LTO (L.P.)

4,   Administrative Agent:                      The CIT Group I Business Credit, Inc.,               as   the
                                                administrative agent under the Credit Agreement
5.   Credit Agreement:                          Amended and Restated First Lien Secured Super-Priority
                                                Debtor In Possession and Exit Credit and Guaranty
                                                Agreement dated as of March 30, 2007, and amended and
                                                restated as of May 15, 2007, among Allied Systems
                                                Holdings, Inc. (as successor by merger to Allied Holdings,
                                                Inc.), Ailied Systems, Ltd. (L.P.), certain Subsidiaries of
                                                Holdings and Systems, as Guarantors, the Lenders parties
                                                thereto from time to time, Goldman Sachs Credit Partners
                                                LP, as Lead Arranger and Syndication Agent, The CIT
                                                Group/Business Credit, Inc., as Administrative Agent and
                                                Collateral Agent and the other agents parties thereto




NY450783. 11153-04166
6.         Assigned Interest:
                          /l.ggrega!e Amount of             Amount of         Percentage Assigned of
                         Commilment/Loans/LC            Comml!ment/LoansiLC   Commitment!Loans/LC




                                                                                 --v.
Facility    Assigned     Deposits for all Lenders        Deposits Assigned           Deposits
                                                    --·-·-····------          -----
LC Deposits                 USD• •                        • • •USD



Term Loans
                           USD····                       --11-JSD                --Vo
Effective




                                                    2
7. Notice and Wire Instructions: See Attached




                                                3
Wire Instructions:       Wire Instructions: See Attached




                     4
The terms set forth in this Assignment are hereby agreed to:

                                                    ASSIGNOR




                                                    By:-:-:--------------
                                                     Name:
                                                     Title:


                                                     ASSIGNEE

                                                    BDCM Opportunity Fund II, L.P., as Assignee
                                                    By BDCM Opportunity Fund II Adviser, L.L.C.
                                                    Its Investment Manager




                                                     By:




                                                   5
The terms set forth in this /ssignment are hereby agreed to:

                                                      ASSIGNOR




                                                      BDCM Opportunity Fund II, LP., as Assignee
                                                      By BDCM Opportunity Fund II Adviser, L.L.C.
                                                      lls Investment Manager




                                                      By: _ _ _ _ __
                                                          Name:
                                                          Title:




                                                      5
Consented (o and Accepted:




Consented to:

ALLIED HOLDINGS, INC.


13y:
           ---------···--·-------·---··-·----
Name:
Title:


ALLIED SYSTEMS, LTD (L.P.)


By:
                 ·-------·--·------
Name:
Title:




                                    6
STAND/RD TERMS AND CONDITIONS FOR ASSIGNMENT
                                AND ASSUMPTION AGREEMENT

                 Representations and Warranties.

         [ .1       Assignor. The Assignor (a) represents and warrants that (i) it is the legal and beneficial
owner of ~he Assigned Interest, (ii) the Assigned Into rest is free and clear of any lien, encumbrance 01
other adverse claim and (iii) it has full power and authority, and has taken sll action necessary, to execute
and deliver this Assignment and to consummate the trsnsactions contemplated hereby; and (b) assumes
no responsibility with respect to (i) any statements (as defined herein), warranties or representations
made in cr in connection with any Credit Document, (ii) the execution, legality, validity, enforceability,
genuinePass, sufficiency or value of the Credit Agreement or any other instrument or document delivered
pursuant thereto, other U1an this Assignment (herein collectively the "Credit Documents"), or any collateral
tl1ereunder, (iii) the fin<mcial condition of the Company, any of its Subsidiaries or Affiliates or any other
PersC>n odigated in respect of ony Credit Document or (iv} the performance or observance by the
Borrower any of its Subsidiaries or Affiliates or any other Person of any of their respective obligations
under an·1; Credit Document.

           ( .2    Assignee. The Assignee (a) l'epresents and warrants that (i) it has full power and
authority and has taken all action necessary, to execute and deliver this Assignment and to consummate
the transe:,ctions contemplated hereby and to become a Lender under the Credit Agreement, (ii) it meets
all requir'ccments of an Eligible Assignee under the Credit Agreement, (Iii) from and after the Effective
Date, it s'iall be bound by the provisions of the Credit Agreement and, to the extent of the Assigned
Interest. o;hall ~1ave the obligations of a Lender thereunder. (iv) it has received a copy of the Credit
Agreerne 'lf and such other documents and information as it has deemed appropriate to make its own
credit anBiysis and decision to enter into this Assignment and to purchase the Assigned Interest on the
bas1s of '·uhich it has made such analysis and decision, and (v) if it is a Non US Lender, attached to the
Assignm'''nt is any documentation required to be delivered by it pursuant to the terms of the Credit
Agreement, duly completed and executeo by t11e Assignee; and (b) agrees that (i) it will, independently
and with•>ut reliance on the Administrative Agent, the Assignor or any other Lender, and based on such
documer:s and information as it shall deem appropriate at that time, continue to make its own credit
decisions in taking or not taking action under the Credit Documents, and (li) it will perform in accordance
with thei• terms all of the obligations which by the terms of the Credit Dccuments are required to be
performe :1 by it as a Lender.

         c..    Payments. All payments with respect to the Assigned Interests shall be made on the
Effective Date as follows:

         2:,1     With respect to Assigned Interests for Term Loans, unless notice to the contrary is
delivereo to the Lender from the Administrative Agent, payment to the Assignor by the Assignee in
respect d the Assigned Interest shall include such compensation to the Assignor as may be agreed upon
by the Assignor and the Assignee with respect to all unpaid interest which has accrued on the .P.ssigned
Interest to but excluding the Effective Date. On and after the applicable Effective Date, the Assignee
shall be entitled to receive all interest paid or payable with respect to the Assigned Interest, whether such
interest eccrued before or after the Effective Date.

        2:,.2   With respect to Assigned Interests for Revolving Loans and LC Commitrr.ents and LC
Deposits. from and after the Effective Date, the Administrative Agent shall make all payments in respect
of the Assigned Interest (including payments of principal, interest, fees and other amounts) to the
Assignor for amounts which have accrued to but excluding the Effective Date and to the Assignee for
amounts which have accrued from and after the Effective Date.




                                                      7
3.      General Provisions. This Assignment shall be binding upon, and inure to the benefit of,
the parties hereto and their respective successors and assigns. Tills Assignment may be execC~ted in any
number of counterparts, which together shall constitute one instrument. Delivery of an executed
counterpati of a signature page of this Assignment by telecopy shall be effective as delivery of a manually
executed counterpart of this Assignment. This Assignment shall be governed by, and construed in
accordance with, the internal laws of the State of New York withott regard to conflict of laws principles
thereof.




                                                    8
PURCHASE AND SALE AGREEMENT F

                                     TRANSACTION SPECIFIC TERMS

  THIS PURCHASE AND SALE AGREEMENT                                                 dated as of the Agreement
  Date and entered into by and between Seller           uyer    govern       purchase and sale of the Loans,
  the Commitments (if any) and the other Transferred Rights, in accordance with the terms, conditions and
                         in the LSTA Standard Terms                                  and Sale Agreement for
                        published by the LSTA as                              (the "Standard Terms"). The
  Standard Terms are incorporated herein by reference withou any                       whatsoever except as
- otherwise agreed herein by the Parties and as specifically supplemented and modified by the terms and
  elections set forth in the Transaction Summary and Sections A through H below. The Standard Terms
  and the Transaction            Terms together constitute a single integrated Purchase and Sale Agreement
                               rning the Transaction. With respect to the Transaction, the Parties agree to be
                           Terms and the Transaction Specific Terms set forth herein.



          Trade Date:
          Agreement Date:
          Seller:
          Seller MEl:
          Buyer:
          Buyer MEl:
          Credit Agreement:                                                      Lien Secured
                                                Super-Priority Debtor In Possession and Exit
                                                Credit and Guaranty Agreement dated as of
                                                March 30, 2007, and amended and restated as of
                                                May 15, 2007, among Allied Systems Holdings,
                                                Inc. (as successor by merger to Allied Holdings,
                                                Inc.), Allied Systems, Ltd. (L.P.), certain
                                                Subsidiaries of Holdings and Systems, as
                                                Guarantors, the Lenders parties thereto from
                                                time to time, Goldman Sachs Credit Partners
                                                L.P., as Lead Arranger and Syndication Agent,
                                                The CIT Group/Business Credit, Inc., as
                                                Administrative Agent and Collateral Agent and
                                                the other agents parties thereto
          Borrower:                              Allied Systems Holdings, Inc., Allied Systems,
                                                 Ltd. (L.P.)
          Purchase Amount(s):                    (1)
                                                 (2)
          Tranche(s):                            (1
                                                 (2
          CUSIP Number(s), if available:         Not Applicable
          Pre-Settlement Date Accruals           0     Settled Without Accrued Interest
          Treatment:                             ~ Trades Flat
          Type of Assignment:                    ~ Original Assignment

 LSTA EFFECTIVE September 9, 201'1   Copyrigllt@ LSTA 2011. All rights reserved.
0     Secondary Assignment

          Borrower in Bankruptcy:          YesO              No   [8J
          Delivery of Credit Documents:    YesO              No   [8J
          Netting Arrangements:             Yes   18]        NoD
          Flip Representations:             YesO             No !S]
          Step-Up Provisions:               YesO             No   [8J
                                            Shift Date:     Not Applicable
          Transfer Notice                   YesO             No [8J

DEFINITIONS

Capitalized terms used in this Agreement shall have tf1e respective meanings ascribed thereto in Section
1 :>f the Standard Terms, as supplemented by Section A of the Transaction Specific Terms and as
otr,erwise may be provided in other provisions of this Agreement. Terms defined in the Credit Agreement
and not other.vise defined in this Agreement shall rave the same meanings in this Agreement as in the
Credit Agreement. Except as othetwise expressly set forth herein, each reference herein to "the
Agreement," "this Agreement," "herein," "hereunder" or "hereof" shall be deemed a reference to this
Agreement. If there is any inconsistency between the Transaction Specific Terms and the Standard
Terms, tile Transaction Specific Terms shall govern and control.

In this Agreement:

"~gent" means THE CIT GROUP I Business Credit. Inc. as Administrative Agent under the Credit
Agreement.

"Assignment" means an Assignment and Assumption Agreement that is in the form specified in the Credit
Agreement for an assignment of the Loans and Commitments (if any) and any Requirea Consents :o
such assignment.

··s smkruptcv Case" select one:
    t2l none.
    0   means [the case under the Bankruptcy Code pending before the Bankruptcy Court in which
    Borrower is a debtor. In re        , No. _ _ _ __,

"8 3nkruptcy Court" select one:
    [8J none.
    0 means [the United States Bankruptcy Court for the ______ District of _ _ _ _ (and, if
    aprropriato, the United States District Court for that District)].

"Bar Date" select one:
 -- ~ not applicable.
    0 none has been set.
    0 means [specify applicable date, if any].
"8 •Jyer Purchase Price" select one:
     0 not applicable.
     ~ means the purchase price payable by Buyer to Original Buyer pursuant to the Netting Letter (this
     applies if there are three (3) parties involved in the netting arrangement).
     0 means the purchase price payable by Buyer to Penultimate Buyer pursuant to the Netting Letter
     (this appl;es if there are four (4) or more parties involved in the netting arrangement).



                                                        2
"Commitments" select one:
 . l8'l none.
   0 means [identify applicable commitment tranche(s) using Credit Agreement definitions] in the
   principal amount of $/£/€                [in each case specify the aggregate amount of the Loans, the
   Unfunded Commitments and the portion, if any, of the Commitments that is irrevocably "frozen" (LiL,
   that is not subject to future drawing)].

"Covered Prior Seller" select one:
    (gJ not applicable.
    0 means each Prior Seller that transferred the Loans and Commitments (if any) on or after the Shift
    Date [but prior to the transfer pursuant to which                      transferred such Loans and
    Commitments (if any) on a distressed documentation basis pursuant to the Purchase and Sale
    Agreement for Distressed Trades dated as of               , as set forth in the Annex].

"Fiiing_Q§JJJ'l" select one:
      (gJ none.
      0 means [identify date on which Borrower filed Bankruptcy Case].
"Loans" means (i) LC Deposits in                            amount of·····~nd (ii) Term Loans in
the outstanding principal amount

"N~tting   Letter" select one:
    0   not applicable.
    0   means that certain Multilateral Netting Agreement in the form currently published by the LSTA
    dated on or as of the Agreement Date among Seller, Buyer and Original Buyer.

"Original Buyer" select one:
    0 not       i
    QSl mean .

"Penultimate Buyer" select one:
    0 not applicable.
    0 none ("none" is applicable if there are only three (3) parties involved in the netting arrangement).
   1.] means r              .
"Required Consents" means notice to the Borrowers and the Agent and the acceptance and recordation
of the Assignment by the Agent

''Seller Purchase Price" select one:
     0 not applicable.
     t:SJ means the purchase price payable by Original Buyer to Seller pursuant to the Netting Letter.
"Transfer Fee" means none.




                                                     3
SECTION 4 (SELLER'S REPRESENTATIONS AND WARRANTIES)

Tile following specified terms shaH apply to the sections referenced in this Section B:




                                                  -.
                                                       --~Flat Representation                                          Flip Representation                         ---Step-Ug        ---·-
                                                       - .                                                                                                       Representation

                                                          If "No" is specified-~                                      if  "Yes" is specified If "YeS'~ecif(e((
                                                        i oppos1te     both   "Flip :                                 opposite         "Flip opposite        "Step-Up
                                                          Representations"     and                                    Representations"     in , Provisions''  in   the
                                                          "Step-Up Provisions" in                                     the        Transactio n Transaction Summary,
                                                          the           Transaction                                   Summary,           th e the            following
                                                        • Summary, the following                                      following subsection s subsections of Section
                                                        l subsections of Section 4                                    of Section 4 sll all 4 shall apply:
I                                                       I shall apply:                                                apply:


Ect
i
            ion 4.1(d) (Title)

     Sect1·on 4.1(e)
                                                        ·-           Section 4. 1(d)(i)

                                                                    ·-section 4.1 (e)(i)
                                                                                                      ----
                                                                                                                   --       Seci1on4.1(d)(ii)
                                                                                                                                  ...   ~·-


                                                                                                                            Section 4.1 (e)(i)
                                                                                                                                                            i____ .~ection 4.1 (d)-~)--J
                                                                                                                                                                 Section 4.1 (e)(ii)         1
     (Proc,eedings)

     Section 4. 1(f) {Principal
     Amo unt)
                                                             ~--~


                                                                     Section 4.1(f)(i)
                                                                                                     ·-····-·
                                                                                                                            SeCtion 4.1 (f)(ii)
                                                                                                                                                       ..
                                                                                                                                                             ----- Section 4.   1(f)(ij'-~l
                                                        I
  Sect ion 4:1 (g) (Future                                           Section 4.1 (g)(i)                                     Section 4.1(g)(H)
i Funding)                                              I
     Sect i0n4..1(11J.(Acts                and---~                   Section 4.1 (h)(i)
                                                                                                        ···-~--                               ----
                                                                                                                            Section 4.1 (t1)(i)                  Section 4.1 (1~
     Om is sions)
           -~----··---··-~~~------··"'
                                                        i                        ____ ,,._ ..
     Sect ion 4.1(1)                                                 Section 4.1 (i)(i)                                      s·ection 4.1 (i)(i)                 Section..4~ 1(i)(ii)
1    (Performance of
I    Obio ations)
                                                                                                             '''"""--~---~-------
            ion 4.1(1) (Setoff)                                      Section 4. 1(l)(i)



l
    ~ect
                                                                                                                             Section 4.1 (l)(i)                   Section 4.1N(ii)

     Sect ion 4.1(!)-(Consents                                       Section 4. 1(t)(i)
                                                                                                         -- ----             section 4.1 (t)(ij.                  Section-4.1(!~
      ndWaivers)

     Sect ion 4.1 (u) (Other                                         Section 4.1 (u)(i)
                                                                                                                           ·-·
                                                                                                                            Section 4.1 (u)(i)
                                                                                                                                                     --··        Section 4.1 (u)(ii)
                                                        !
     Qpcu_ _)
           ments
                                                                                                                  I
f---::;:S-ec--ct-:-io-n--4::--.7 (;-v:--)(';;P;:-r-oo-;f,-o7f --+----;:;s:-e-ct""'io-n-4 .7 (-:-v-;-:)(;;;:i)--1
                               1                                                       7
                                                                                          1                                --Section 4. 1(v )( ii)                Section 4. 1(v)(i)

I QJ9~~~----------j_ __
    Section 4.1 (k) (E'urqh?~. Price); Netting Arrangements.
            If "Yes" is specified opposite Netting Arrangements in the Transaction Summary, Section 4.1 (k)
            sllall be amended in its entirety as follows:

                                 "(k) [intentionally omitted]."




                                                                                                         4
Section 4.1 (r) (Predecessor Transfer Agr.©£lments).
         0   Seller acquired the Transferred Rights from Immediate Prior Seller pursuant to Predecessor
        Transfer Agreements relating to par/near par loans.
        0 Seller acquired the Transferred R1ghts from Immediate Prior Seller pursuant to Predecessor
        Transfer Agreements relating to distressed loans.
        D Seller acquired the Transferred Rights from Immediate Prior Seller pursuant to Predecessor
        Transfer Agreements relating to both par/near par loans and d·1stressed loans.
        tZl Not applicable.
Section 4.1 (u) (Other Documents).
        tZl None.
        D The following:
Section 4.1 (V) (Proof of Claim).
         0   The Proof of Claim was duly and timely filed, on or prior to the Bar Date, by
                  D the Agent on behalf of the Lenders.
                   0 Seller or a Prior Seller.
        0 The Bar Date specified in the Transaction Specific Terms has been set in the Bankruptcy
        Case and no Proof of Claim l1as been filed.
        D No Bar Date has been set in the Bankruptcy Case and no Proof of Claim has been filed.
        tZl Not applicable.
~ECTION        5 (BUYER'S REPRESENTATIONS AND WARRANTIES)

Section 5.1 (n) (Buyer Status).

         D  Buyer is not a Lender.
         tZlBuyer is a Lender.
         0 Buyer is an Affiliate [substitute Credit Agreement defined term if different] (as defmed in the
         Credit Agreement) of a Lender.
         0 Buyer is an Approved Fund [substitute Credit Agreement defined term if different] of a Lender.
If "Yes" is specified opposite "Delivery of Credit Documents" in the Transaction Summary, Buyer
represents and warrants that it (i) was not a Lender on the Trade Date and (ii) requested copies of the
Credit Documents from Seller on or prior to the Trade Date.

SECTION 6 (INDEMNIFICATION)

Section 6.1 (Seller's lndemniti~..§); §J~P.:!dP.JJ1de_f!1J:Iltles.

         (i)       If "Yes" is specified opposite "Step-Up Provisions" in the Transaction Summary, Seiler's
indemnities contained 1n Section 6.1 (b) shall apply (and the alternate indemnities contained in Section
6.1 (a) shall not apply).

         (ii)      if "No" is specified opposite "Step-Up Provisions" in the Transaction Summary, Seller's
indemnities contained in Section 6.1(a) shall apply (and the alternate indemnities contained in Section
6.1 (b) shall not apply).

SECTION 7 (COSTS AND EXPENSES)

0    The Transfer Fee shall be paid by Seller to the Agent and the Purchase Price shall be increased by
     an amount equal to
        0 one..half thereof.
        0 other relevant fraction or percentage, _ _ , thereof.


                                                              5
0     The Transfer Fee shall be paid by Buyer to the Agent and Buyer shall receive a credit to the
      Purchase Price equal to
          0 one-half thereof.
          0 other relevant fraction or percentage, _ _ , thereof.
[2]   The Transfer Fee shall be paid and allocated in the manner specified in the Netting Letter.
0     The Transfer Fee has been waived by the Agent and, accordingly, no adjustment to the Purchase
      Price shall be rna de in respect thereof.
0     There is no Transfer Fee and, accordingly, no adjustment to the Purchase Price shall be made in
      respect thereof.

SECTION 8 (DISTRIBUTIONS; INTEREST AND FEES; PAYMENTSl

Section 8.2 (Distributions); Step-Up Distributions Covenant.

        (i)       If "Yes" is specified opposite "Step-Up Provisions" in the Transaction Summary, Seller's
covenants contained in Section 8.2(b) shall apply (and the alternate covenants contained in Section
8.2(a) shall not apply).

        (ii)      If "No" is specified opposite "Step-Up Provisions" in the Transaction Summary, Seller's
covenants contained in Section 8.2(a) shall apply (and the alternate covenants contained in Section
8.2(b) shall not apply).

Section 8.4 (Wire Instructions).

Seller's Wire Instructions:




.§.YYi:lr's Wire Instructions:




SECTION 9 (NOTICES)

Seller's Address for Notices and Delivery:




                                                     6
Operations Contact
(Funding Notices, Borrowings, Paydowns, Interest, Fees, etc.)




Buyer's Address for Nolices and Delivery:

All Notices Sent To

BDCM OPPORTUNITY FUND II, L.P.
C/0 Black Diamond Capital Management, L.L.C.




Legal Documentation:

Send To:
BDCM OPPORTUNITY FUND II, L.P.
c/o Black Diamond Capital Management L.L.C.
Attn: Loan Administrator




Credit Communications

AI! Credit Information Sent To:
Black Diamond                 ment, L.L.C.




                                                    7
Fax:



H.      SECTION 27 (ADDITIONAL PROVISIONS}

The following additional provisions, including any modif'cations to existing provisions, shall apply:

        None
IN WITNESS WHEREOF, Seller and Buyer have executed this Agreement by their duly
authorized officers or representatives as of the Agreement Date.

                                        SELLER




                                        By: ____·--~--------------
                                              Name:
                                              Title:




                                        BUYER

                                        BDCM OPPORTUNITY FUND II, L.P.
                                        by BDCM Opportunity Fund II Adviser, L.L.C.
                                        its Investment Manager




                                        By·




                                          9
IN WITNESS WHEREOF, Seller and Buyer have executed this Agreement by their duly
authorized officers or representatives as of the Agreement Date.

                                        SELLER




                                        BUYER

                                        BDCM OPPORTUNITY FUND II, L.P.
                                        by BDCM Opportunity Fund II Adviser, L.L.C.
                                        its Investment Manager




                                         By:-:------------------
                                          Name:
                                          Title:




                                            9
ANNEX TO PURCHASE AND SALE AGREEMENT FOR DISTRESSED TRADES


1.     If "Secondary Assignment" is specified opposite "Type of Assignment" in the Transaction
       Summary, list of Predecessor Transfer Agreements and principal amount, as of the settlement
       date with respect thereto, of the portion of the Loans and Commitments (if any) thereunder
       assigned hereby for purposes of Section 4.1 (r) and Section 5.1 (k)(i) hereof, and designation as to
       whether such Predecessor Transfer Agreements reate to par/near par loans or distressed loans.

       Not Applicable


2.     List of Credit Agreement and any other Credit Documents deliv<tred pursuant to Section 4.1(s)
       hereof.

       None.

3.     Description of Proof of Claim (if any)

       Not applicable.

4.     Description of Adequate Protection Order (if any).

       Not applicable.

5.     List any exceptions to Section 4.1 (w) (Notice of Impairment).

       None.

6.
       Trade Date but on or prior to the Settlement Date    isl······
       The amount of any PIK lnteresi that accreted to the principal amount of the Loans on or after the




                                                Annex-!
dc-585084
ASSIGNMENT AND ASSUMPTION AGREEMENT

         This Assignment and Assumption !l.greemer                    " is dated as of ·the Effective Date
set forth below and Is entered into by and betwe                              he "Assic";Jnor") and BDCM
Opportunity Fund II, l.P. {the "Assignee''). Capitalized terms used u not <efined henl3in shall have the
meanings given to lhem In the Amended and Restated First Lien Senior Secured Sur.•i>r-Priority ()ebtor-
111-Possession and Exit Credit and Guaranty Agreement identified belovv (as It ro·my be amended,
supplemented or otherwise modified from time to time, the "Credit Agreement"), receipt .!:Jf a copy of which
is lwreby acknowledged by tho Assignee. The Standard Terms and Conditions se~ forth In Annex 1
attached hereto are hereby agreed to and incorporated herein by refere:rce and rr::";de a pari of this
Assignment as if set forth herein in full.
         For an agrood consideration, the Assignor hereby irrevocably sells and assigr<u• to the Assignee,
and the Assignee hereby Irrevocably purchases and assumes from the Assignor, subject to and in
accordance witt1 the Standard lerms and Conditions and the Credit Agreement, as of Jhe Effective Date
inserted by the Administrative Agent as contr.mplated below, the interest i11 and to ail' of the Assignor's
rights and obligations under the Credit Agreement and any other documents or lneixuments delivered
pursuant thereto lhat represents the amount and percentage interest i·dentilied :-,,_:low of all of tl1o
Assignor's outstanding rightn and obligations under the respective facilities 'identified t~tC~,Iow (including, to
!he extent included in any such facilities, lelt~>rs of credit, LC Deposits and swing line !OI"oi.'1S) (the "Assigned
Interest"). Such sale and assignment is without recourse to the Assignor and, e:<'teeot as expressly
provided in this Assignment and the Credit Agreement, wlthotlt repres·entation o,~ warranty by the
Assignor.
1.   Assignor:

2. Assignee:                                       BDCM Opportunity Fund II, L.P.

3. Borrowor(s):                                    f111ied Systems Hotdings, Inc .., Allied Sy<'·lems, LTD (L.P.)

4.   Administrative fgent:                        The CIT Group I Business CreC.Jt, Inc., as                    the
                                                   administrative agent under the Credit A;;;;Yeement
5. Credit Agreement:                               Amended and Rest<Jted First Lien Seo..red Sfper-Priority
                                                   Debtor In Possession <:~nd Exit Cre<lit and Guaranty
                                                   Agreement dated as of Marcn 30, 2007, and amended and
                                                   restated as of May 15, :;:007, among Allied Systems
                                                   Holdings, Inc. (as successor by merge,- to Allied Holdings,
                                                   Inc.), Allied Systems, Ud. •(LP.), cert;.!'.in Sut)sidiarles of
                                                   Holdings and Systems, as Guarantors, · ·ne Lenders parties
                                                   thereto from time to time, G,::>ldman SacKs Credit Partners
                                                   LP .. as Lead Arranger and Syndlcatlr.:r;1 Agent, The CIT
                                                   Group/Business Credit, Inc., as Admirc;::>lratlve Agent and
                                                   Collateral Agent and the oth,er agents p.::.rties thereto




NY460783. i/153-04166
6.         Assigned Interest:
                           Aggregate Amount of               Amount of         Percentage Assigned of
                          Commitment/Loans/LC            Commitment/Loans/LC   Commitment/Loans/LC
Facility     Assigned     Deposits for all Lenders        Deposits Assigned           Deposits
                                                                    ··-··--    ----------
LC Deposits                 USD                                        SD


Term Loans                 us                                          SD




Effective




                                                     2
7. Notice and W1re instruclions: See Attached




                                                3
Wire Instructions:   W1re Instructions: See Attached




                     4
......... , ...




The terms set fort11 In this Assignment are hereby agreed to:

                                                     ASSIGNOR




                                                     By:,.._.,.-----------------
                                                          Name:
                                                          Title:


                                                     ASSIGNEE

                                                     BDCM Opportunity Fund ll, I•. P., as Assigneo
                                                     By BDCM Opportunity Fund II Adviser, L.L.C.
                                                     its Investment Manager




                                                    5
The terms set forth in this Assignment are hereby agreed to:

                                                    1SSIGNOR




                                                     BDCM Opportunity Fund II, L.P., as Asslgnae
                                                     By BOCM Opportunity Fund II Adviser, I..L.C.
                                                      its Invsstmenl Manager




                                                      By: _ _ _ _ _ _ _ _ _ __
                                                          Name:
                                                          Title:




                                                      5
Consented to and Accepted:

THE CIT GROUP I BUSINESS CREDIT, INC., as Administrative Agent


By:        /l~j]w< r:J ;:~ 0-c())
           - - (                   '       _ _ _< _ _ __




Name      1?'/u·J! ,). :) ; lc 0u!J<.( ;>,
Title:     s:,.,i<./to~- !),c,FrWrO=rti):;;;iut"

Consented to:

ALLIED HOLDINGS, INC.


By:

Name:
Title:


ALLIED SYSTEMS, LID (L.P.)


By:

Name:
Title:




                                                   G
STANDARD TERMS AND CONDITIONS FOR ASSIGI'lMENT
                                AND ASSUMPTION AGREEMENT

         1.      Representations and Warranties.

         1.1       Assignor. The Assignor (a) represents and warrants that (i) It I$ the legal and beneficial
owner of the Assigned Interest, (ii) tho Assigned Interest's free and clear of any lien, encumbrance or
other adverse claim and (iii) it haa full power and authority, and has taken all action necessary, to execute
and deliver this Assignment and to consummate the transactions contemplated hereby; and (b) assumes
no responsiblity with respect to (I) any statements (as defined herein), warranties or representations
made in or in connection with any Credlt Document, (li) the execution, legality, validity, enforceability,
genuinene$S, sufficiency or value of the Credit Agreement or any other instrument or document delivered
pursuant thereto, other than this Assignment (herein collectively the ''Credit Documents"), or any collateral
thereunder, (iii) the financial condition of the Company, any of its Subsidiaries or Affiliates or any other
Person obligated in respect of any Credit Document or (iv) the performance or observance by the
Borrower, any of its Subsidiaries or Affiliates or any other Person of any of their respeclive obligations
under any Credit Document.

          1.2     Assigr1ee. The Assignee (a) represents and warrants that (I) it has full power and
authority, olhd has taken all action necessary, to execute and deliver this Assignment and to consummate
the transactions contemplated hereby and to become a Lender under the Credit Agreement, (ii) it meGts
all requirements of an Fligible Assignee under the Credit Agreement, (iii) from and after the Effeciive
Date, it shall be bound by the provisions of the Credit Agreement and, to the extent of the Assigned
Interest, shaH have the obligations of a Lender thereunder, (iv) it has received o copy of the Credit
Agreement and such other documonts and informa:ion as it h8s deemed appropriate to make its own
credit analysis and decision lo enter Into this A5signment and to purchase the f,ssigned Interest on the
basis of which it has made such analysis and decision, and (v) if it is a Non US Lender, attached to the
Assignment is any documentation required to be delivered by It pursuant to the terms of Ihe Credit
Agreement, duly completed and executed IJy the Assignee; and (b) agrees t!1at (I) it will, Independently
and wi!i10Ut reliance on the Administrative Agent, Ihe Assignor or any other Lender, and bas0d on such
documents and informalioP as it shall deem appropriate at that time, continue to make its own credit
decisions in laking or not taking action under the Credit Documents, and (II) it will perform in accordance
with tlleir terms all of the obligallons whicll by the torrns of the Credit Oocumonts are required to be
performed by it as a Lender.

         2.      Payments. All payments witli respect to tile Assigned Interests shall be rnade on the
Effective Date as follows:

         2.1       With respect to Assigned Interests for Term Loans, unless nottce to the contrary is
delivered to the Lender from th(7 Administrative Agent, payment to the Assignor by the Assignee in
respect of the Assigned Interest shall include such compensation to tile Assignor as may be agreed upon
by the Assignor and the Assignee with respect to all unpaid Interest which has accruod on the Assigned
Interest to but excluding the Effective Deto, On and after th0 applicable Effective Dale, the Assignee
shall bo en tilled to receive all interest paid or payable with respect to the /ssigned Interest, whether such
interest accrued before or after the Effective Date.

         2.2     With respect to Assigned Interests for 1'evolvlng Loans and LC Commitmt:)nts and LC
Deposits, from and after the Effective Date, the Administrative Agent shall maka all payments in respect
of t11e Assigned Interest (including payments of principal, interest, fees and other amounts) to the
Assignor for amounts which have accrued to but excluding the Effective Date and to the Assignee for
amounts which have occrued from and alter the Effective Date.



                                                       7
3,      General Prov1sions. This Assignment shall be binding upon, and inure. to the benefit of,
the parties hereto and their respective successors and assigns. This Assignment may be executed in ony
number of counterparts, which together shall constitute one instrument. Delivery of an executed
counterpart of a signature page of this Assignment by telecopy shall be effective as delivery of a manually
executed counterpart of this Assignment. This Assignment shall be governed by, and construed in
accordance with, the Internal laws of the State of New York without regard to conflict c.f laws principles
thereof.                                                                                               ·




                                                    8
PURCHASE AND SALE AGREEMENT

                                   TRANSACTION SPECIFIC TERMS
THIS PURCHASE AND SALE AGREEMENT is dated as of the Agreement Date and entered into by and
between Seller and Buyer to govern the purchase and sale of the Loans, the Commitments (if any) and
the other Transferred Rights, in accordance with the terms, conditions and agreements set forth in the
Standard Terms. The Standard Terms are incorporated herein by reference without any modification
whatsoever except as otherwise agreed herein by the Parties and as specifically supplemented and
modified by the terms and elections set forth in the Transaction Summary and Sections A through H
below. The Standard Terms and the Transaction Specific Terms together constitute a single integrated
Purchase and Sale Agreement governing the Transaction. With respect to the Transaction, the Parties
agree to be bound by the Standard Terms and the Transaction Specific Terms set forth herein.

                                                                         EXECUTION COPY



       Trade Date:
       Agreement Date:
       Seller:
       Buyer:
       Credit Agreement:                   Amended and Restated First Lien Secured
                                           Super-Priority Debtor in Possession and Exit
                                           Credit and Guaranty Agreement dated as of
                                           March 30, 2007 as amended and restated as of
                                           May 15,2007 among Allied Holdings, Inc.
                                           ("Holdings"), Allied Systems, Ltd. (L.P.)
                                           ("Systems"), certain Subsidiaries of Holdings
                                           and Systems, as Subsidiary Guarantors, the
                                           Lenders party thereto, Goldman Sachs Credit
                                           Partners L.P., as Syndication Agent, The CIT
                                           Group I Business Credit, Inc., as Administrative
                                           Agent and Collateral Agent
        Borrower:                          Allied Holdings, Inc. and Allied Systems, Ltd.
                                           (L.P.)
        Purchase Amount(s):


        Tranche(s):

        CUSIP Number(s), if available:
        Pre-Settlement Date Accruals       r:8J   Settled Without Accrued Interest
        Treatment:                         D      Trades Flat
        Type of Assignment:                D      Original Assignment
                                           r:8J   Secondary Assignment
        Immediate Prior Sellers:




LSTA EFFECTIVE DECEMBER 2006

453-055iAGRi1939464.
TRANSACTION SUMMARY
          Borrower in Bankruptcy:                  YesO              No~
          Delivery of Credit Documents:            YesO              No~
          Netting Arrangements:                    YesO              No~
                                                           1
          Flip Representations:                    Yes0              No~
                                                           1
          Step-Up Provisions:                      Yes0              No~
                                                   Shift Date2 :    Not Applicable
                                                           3
          Transfer Notice:                         Yes0              No~
A.        DEFINITIONS

Capitalized terms used in this Agreement shall have the respective meanings ascribed thereto in Section
1 of the Standard Terms, as supplemented by Section A of the Transaction Specific Terms and as
otherwise may be provided in other provisions of this Agreement. Terms defined in the Credit Agreement
and not otherwise defined in this Agreement shall have the same meanings in this Agreement as in the
Credit Agreement. Except as otherwise expressly set forth herein, each reference herein to "the
Agreement," "this Agreement," "herein," "hereunder'' or "hereof' shall be deemed a reference to this
Agreement. If there is any inconsistency between the Transaction Specific Terms and the Standard
Terms, the Transaction Specific Terms shall govern and control.

In this Agreement:

"Agent" means The CIT Group I Business Credit, Inc., as Administrative Agent under the Credit
Agreement.

·'Assignment" means the Assignment and Assumption Agreement that is in the form specified in the
Credit Agreement for an assignment of the Loans and Commitments (if any} and any Required Consents
to such assignment.

"Bankruptcy Case" select one:
   ~ none.
   0 means [the case under the Bankruptcy Code pending before the Bankruptcy Court in which
    Borrower is a debtor, In re _____ , No. - - - - - '

·'Bankruptcy Court" select one:
    ~ none.
    0 means [the United States Bankruptcy Court for the _ _ _ _District of _ _ _ _ (and, if
    appropriate, the United States District Court for that District)].


1
  The Parties cannot specify "Yes" to both "Flip Representations" and "Step-Up Provisions" unless they set forth
appropriate modifications in Section H. Neither "Flip Representations" nor "Step-Up Provisions" applies to original
assignments.
2
  Specify a Shift Date only if "Yes" is specified opposite "Step-Up Provisions" and if the second box is selected in the
definition of Covered Prior Seller. The Shift Date is the date that the Parties agree 1s the closest possible
approximation for when the market convention for transferring the Loans and Commitments (if any) shifted from a
par/near par documentation basis to a distressed documentation basis. In consulting as to the appropriate date, the
Parties may refer to published results of an anonymous LSTA poll of disinterested dealers as to such dealers' views
regarding the Shift Date or, if results have not been published with respect to the Credit Agreement either Party may
request in writing that the LSTA endeavor to conduct such a poll. To initiate a poll, send a request that includes the
name of Borrower and either the CUSIP number (if available) or the name and date of the Credit Agreement to the
LSTA at lstashlftdatepolls;cvlsta.org. The results of such LSTA polls are available to facilitate discussions between
the Parties and have no binding effect
3
    "Yes" can be elected only if "Yes" is specified opposite "Borrower in Bankruptcy" in the Transaction Summary.

                                                            2
453-055/AGR/1939464.1
'Bar Date" select one:
    0 not applicable.
    0 none has been set.
    0 means [specify applicable date, if any].
"Bu er Purchase Price" select one:
         not applicable.
    0 means the purchase price payable by Buyer to Original Buyer pursuant to the Netting Letter (this
    applies if there are three (3) parties involved in the netting arrangement).
    0 means the purchase price payable by Buyer to Penultimate Buyer pursuant to the Netting Letter
    (this applies if there are four (4) or more parties involved in the netting arrangement).

"Commitments" select one:
   0 none.
   0 means LC Commitment in the principal amount o f · · · · · · all of which is funded as an LC
   Deposit.

"Covered Prior Seller" select one:
   0 not applicable.
   0 means each Prior Seller that transferred the Loans 5and Commitments (if any)4 on or after the Shift
   Date hbut prior to the date on which                   transferred such Loans and Commitments (if
   any)].

"Filing Date" select one:
     0 none.
     0 means [identify date on which Borrower filed Bankruptcy Case].
"Loans" means collectively, Term Liolalnlslilnltlhe.o utstanding principal amount                              and LC
Deposits in the principal amount o.11
                                    1                   1
"Netting Letter" select one:
    0 not applicable.
    0 means that certain Multilateral Netting Agreement in the form currently published by the LSTA
    dated on or as of the Agreement Date among Seller, Buyer [and] [,] Original Buyer [, Penultimate
    Buyer] and [describe any other parties to the Netting Letter]].

"Original Buyer" select one:
    0 not applicable.
    0 means (specify original buyer in the netting arrangement].
"Penultimate Buyer" select one:
   0 not applicable.
   0 none ("none" is applicable if there are only three (3) parties involved in the netting arrangement).
   0 means [               ].

"Required Consents" means notice to the Borrower and acceptance and recordation of the Assignment by
the Agent.

"Seller Purchase Price" select one:

4
  If applicable to only a portion of the Loans and Commitments (if any), specify the portion that applies, .hf1., "each
Prior Seller that transferred the [Name of applicable Covered Prior Seller] Loans (as defined in Section 1 of the
Annex)."
5
  Specify the first Entity that transferred the Loans and Commitments (if any) on a distressed documentation basis
on or after the Shift Date.
6
  The bracketed language applies where the relevant Predecessor Transfer Documents include a distressed trade
that settled after the par/near par trade which settled on or after the Shift Date.

                                                            3
453-055/AGR/1939464 .1
[SJ not applicable.
     0   means the purchase price payable by Original Buyer to Seller pursuant to the Netting Letter.

"Transfer Fee" means         th~ransfer            or other similar fee payable to the Agent in connection with the
Assignment.

"Unfunded Commitments" means none.

B.        SECTION 4 (SELLER'S REPRESENTATIONS AND WARRANTIES)

The following specified terms shall apply to the sections referenced in this Section B:

                                        Flat Re[!resentation            Fll[! ReQresentation          Stee-Ue Reeresentation

                                    If "No" is specified opposite   If "Yes" is specified opposite   If "Yes" is specified opposite
                                    both "Flip Representations"     "Flip Representations" in the    "Step-Up Provisions" in the
                                    and "Step..Up Provisions" in    Transaction· Summary, the        Transaction Summary, the
                                    the Transaction Summary, the    following    subsections    of   following    subsections    of
                                    following    subsections   of   Section 4 shall apply:           Section 4 shall apply:
                                    Section 4 shall apply:

 Section 4.1(d) (Title)                    Section 4.1 (d)(i)             Section 4.1 (d)(ii)              Section 4.1 (d)(i)

 Section 4.1(e) (Proceedings)              Section 4.1 (e)(i)             Section 4.1 (e)(i)               Section 4.1 ( e)(ii)

 Section 4.1(f) (Principal                 Section 4.1 (f}(i)             Section 4.1 (f)(ii)               Section 4.1 (f)(i)
 Amount>

 Section 4.1(g) (Future Funding)           Section 4.1 (g)(i)             Section 4.1(g)(ii)               Section 4.1 (g)(iii)

 Section 4.1(h) (Acts and                  Section 4.1 (h)(i)             Section 4.1 (h)(i)               Section 4.1 (h)(ii)
 Omissions)

 Section 4.1 (i) (Performance of           Section 4.1 (i)(i)              Section 4.1 (i)(i)               Section 4.1 (i)(ii)
 Obligations)

 Section 4.1(1) (Setoff)                   Section 4.1(1)(i)               Section 4.1 (l)(i)               Section 4.1 (l)(ii)

 Section 4.1 (t) (Consents and             Section 4.1 (t)(i)              Section 4.1 (t)(i)               Section 4.1 (t)(ii)
 Waivers)

 Section 4.1 (u) (Other                    Section 4.1 (u)(i)              Section 4.1 (u)(i)              Section 4.1 (u)(ii)
 Documents)

 Section 4.1 (v) (Proof of Claim)          Section 4.1 (v)(i)             Section 4.1 (v)(ii)               Section 4.1 (v)(i)




Section 4.1 (k) (Purchase Price); Netting Arrangements.
        If "Yes" is specified opposite Netting Arrangements in the Transaction Summary, Section 4.1 (k)
        shall be amended in its entirety as follows:
                                                      7
                     "(k) [intentionally omitted]."




7
  Seller should add, and Buyer should cause Original Buyer or Penultimate Buyer, as applicable, to add, a
comparable representation to the Netting Letter in lieu of this representation.

                                                                4
453-055/AGR/1939464.1
Section 4.1 (r) (Predecessor Transfer Agreements).
        0 Seller acquired the Transferred Rights from Immediate Prior Seller pursuant to Predecessor
        Transfer Agreements relating to par/near par loans.
        ~ Seller acquired the Transferred Rights from Immediate Prior Seller pursuant to Predecessor
        Transfer Agreements relating to distressed loans.
        0 Seller acquired the Transferred Rights from Immediate Prior Seller pursuant to Predecessor
        Transfer Agreements relating to both par/near par loans and distressed loans.

Section 4.1 (u) (Other Documents).
        ~ None.
        0 The following: _ _ __
Section 4.1 (v) (Proof of Claim). N/A
        0 The Proof of Claim was duly and timely filed, on or prior to the Bar Date, by
                  0 the Agent on behalf of the Lenders.
                  0 Seller or a Prior Seller.
        0 The Bar Date specified in the Transaction Specific Terms has been set in the Bankruptcy
        Case and no Proof of Claim has been filed.
        0 No Bar Date has been set in the Bankruptcy Case and no Proof of Claim has been filed.
C.      SECTION 5 (BUYER'S REPRESENTATIONS AND WARRANTIES)

C.1    Section 5.1 (n) (Buyer Status). [Specify Buyer's status for purposes of determining Required
Consents, minimum assignment amount requirements or Transfer Fee requirements.]

        0   Buyer is not a Lender.
        ~ Buyer is a Lender.
        0  Buyer is an Affiliate [substitute Credit Agreement defined term if different] (as defined in the
        Credit Agreement) of a Lender.
        0 Buyer is an Approved F_!lnd [substitute Credit Agreement defined term if different] of a Lender.
C.2     If "Yes" is specified opposite "Delivery of Credit Documents" in the Transaction Summary, Buyer
represents and warrants that it (i) was not a Lender on the Trade Date and (ii) requested copies of the
Credit Documents from Seller on or prior to the Trade Date.

D.      SECTION 6 (INDEMNIFICATION)

Section 6.1 (Seller's Indemnities); Step-Up Indemnities.

         (i)       If "Yes" is specified opposite "Step-Up Provisions" in the Transaction Summary, Seller's
indemnities contained in Section 6.1 (b) shall apply (and the alternate indemnities contained in Section
6.1 (a} shall not apply).

         (ii)      If "No" is specified opposite "Step-Up Provisions" in the Transaction Summary, Seller's
indemnities contained in Section 6.1 (a) shall apply (and the alternate indemnities contained in Section
6.1 (b) shall not apply).

E.      SECTION 7 (COSTS AND EXPENSES)

0    The Transfer Fee shall be paid by Seller to the Agent and the Purchase Price shall be increased by
     an amount equal to
        0 one-half thereof.
        0 other relevant fraction or percentage, _ _, thereof.
0    The Transfer Fee shall be paid by Buyer to the Agent and Buyer shall receive a credit to the
     Purchase Price equal to
        0 one-half thereof.
        0 other relevant fraction or percentage, _ _, thereof.
                                                     5
453-055/AGR/1939464.1
0     The Transfer Fee shall be paid and allocated in the manner specified in the Netting Letter.
0     The Transfer Fee has been waived by the Agent and, accordingly, no adjustment to the Purchase
      Price shall be made in respect thereof.
[gJ   There is no Transfer Fee and, accordingly, no adjustment to the Purchase Price shall be made in
      respect thereof.

F.       SECTION 8 (DISTRIBUTIONS; INTEREST AND FEES; PAYMENTS)

F.1      Section 8.2 (Distributions); Step-Up Distributions Covenant.

        (i)       If "Yes" is specified opposite "Step-Up Provisions" in the Transaction Summary, Seller's
covenants contained in Section 8.2(b) shall apply (and the alternate covenants contained in Section
8.2(a) shall not apply).

        (ii)      If "No" is specified opposite "Step-Up Provisions" in the Transaction Summary, Seller's
covenants contained in Section 8.2(a) shall apply (and the alternate covenants contained in Section
8.2(b) shall not apply).

F.2      Section 8.4 (Wire Instructions).

Buyer's Wire Instructions:




Seller's Wire Instructions:

Bank of New York




G.       SECTION 9 (NOTICES)

Buyer's Address for Notices and Delivery:

BDCM OPPORTUNITY FUND II, L.P.
C/0 Black Diamond Capital Management, L.L.C.
Attn: Loan Administrator




Credit Communications
Black Diamond Capital Management, L.L.C.



                                                      6
453-055/AGR/1939464.1
Seller's Address for Notices and Delivery:



Name:
Company:
Title:
Address:


Telephone:
Facsimile:
E-Mail Address:

H.      SECTION 26 (FURTHER PROVISIONS)

None.




                                             7
453-055/AGR/1939464.1
IN WlTNESS WHEREOF, Seller and Buyer have executed this Purchase and Sale Agreement by
their duly authorized officers or representatives as of the Agreement Date.

                                           SELLER




                                           BUYER

                                           SDCM OPPORTUNITY FUND II, LP


                                           by: BOCM Opportunity Fund II Adviser, LLC
                                           its Investment Manager




                                           By:.~-----------------------------
                                             Name:
                                               Title:




                                               8
45~-0551AGR!1939464   1
IN WiTNESS WHEREOF. Seller and BL;yt=r h;:we e.(ecuted tr·rs ''un:i1ase and Saie Agreement by
~r~::-1r     <Juthz;rizr:d officers cr representatives as of the A~;?reernent f.Jate

                                                 SELLER




                                                 By: _ _ _ _ _ _ _ _ _ _ _ _ _ _ __
                                                       Name:
                                                       Title:




                                                 BUYER

                                                 BDCM OPPORTUNITY FUND If, LP


                                                  by: BOCM Opportunity Fund H Adviser, LLC
                                                  its Investment Manager



                                                  Gy




                                                       8
ANNEX TO PURCHASE AND SALE AGREEMENT


1.      If "Secondary Assignment" is specified opposite 'Type of Assignment" in the Transaction
                                                             1
        Summary, list of Predecessor Transfer Agreements and principal amount as of the settlement
        date with respect thereto, of the portion of the Loans and Commitments (if any) thereunder
        assigned hereby for purposes of Section 4.1 (r) and Section 5.1 (k)(i) hereof, and designation as to
        whether such Predecessor Transfer Agreements relate to par/near par loans or distressed loans.

        With respect to'                   principal amount of Term Loans and ] - •rincipal
        amount of LC Deposits:




                                                                         ent and Assumpti~
                                                                            as seller, a n d - - - -




                                                                             and Assumpti~
                                                                            as seller, a n d - - - -




                                                                              and Assumption Agreement, each
                                                                             as seller, and                             I



   List (i) any Predecessor Transfer Agreement to which Seller is a party, (ii) any Predecessor Transfer Agreement of
Prior Sellers relating to distressed loans delivered to Seller by Immediate Prior Seller and (iii) any Predecessor
Transfer Agreement of Prior Sellers relating to par loans listed in any Predecessor Transfer Agreement described in
the preceding clause (ii).


                                                     Annex-1
453-055/AGR/1939464.1
andAssump~
                                                                         as seller, a n d - - - -


                 That certain Assignment and Assumption Agreement dated
                • • • • • • • • • • • • • • • as assignor, and
                ·assignee. [par/near par loans]




                                                                 nment and Assumption Agreement, each
                                                                         seller, and • • • • • • •




2.      List of Credit Agreement and any other Credit Documents delivered pursuant to Section 4.1 (s)
        hereof.

        None.

3.      Description of Proof of Claim (if any).

        N/A

4.      Description of Adequate Protection Order (if any).

        N/A

5.      List any exceptions to Section 4.1 (w) (Notice of Impairment}.

        None.

6.      The amount of any PIK Interest that ,;orr·r<>t<>t                amount of the Loans after the Trade
        Date but on or prior to the Settlement Date




                                                    Annex-1
453-055/AGR/1939464.1
ASSIGNMENT AND ASSUMPTION AGREEMENT

         !his ;ssignmcnt and Assumption Agreement (the "A
Dmo: st:t (,nh :x:lo"v and is e:-ttercd into by and
"/ssignor'l ;me BDCM Oppornmity Fund ll, LP (the                                                    t nm
deiined ilt."rein shall have the meanings given to them in the Amended and Restated First Lien Seni<'r
Securtd Sup<'r-Priority Debtor-in-Possession and Exit Credit and Guaranty Agreement idemi±:ed below
(as ir may be an:ended, supplemented or otherwise modified fi-om time to tirn.;, the ''Credit Agreement'').
receipt of a copy of which is hereby acknowledged by the Assignee. The Standard Terms and Conditions
set iorrh ic Annex l attached hereto are hereby agreed to and incorporated herein by reference and made a
pan of thi:o Assignment as if scr forth herein in full.
         Fc,r <tn J.grccd consideration, the Assignor hereby irrevocably sells and assigns to rhe Assignee,
and the :'ssignee hereby irrevocably purchases and assumes from the Assignor, subject to and in
accordance with the Standard Terms and Conditions and the Credit Agreement, as of the Effective Date
inserted by tile Administrative Agent as contemplated below, the interest in and to all of the Assignor's
rights and o!Jiig:ttion:; under the Credit Agreement and any other doctmJents or instruments delivered
pur~mm u:erew rhat represents the amount and percentage interest identified below of ail o[ Lhe
Asstgnor's O'.:tstmding rights and obligations under the respective facilities identitied below (including.
to the cxwn1 included in any such facilities, letters of credit, LC Deposits and swingline loans) (lht
"Assigned fmen:sl''), Such sale and assignmem is without recourse to the Assignor and, except as
expn;s:;ly provided in this Assignment and the Credit Agreement, without repre:>enration or warranty by
the AssignJr.
!. Assi)!,!:or:

2.   Assignee:                                 BDCM Opportunity Fund II, LP

                                               /!lied Holdings, Inc .. Allied Systems, LTD (LP.)

                                               The ClT Group / l3usine:s:s Credit. Inc.             ~lS   the
                                               administrative agent under the Credit Agreement
                                               Amended and Restated fii'St Lien Securd Super-Priority
                                               Debtor in Possession and Exir Crcdn. and Ciuar;mty
                                               Agreement dated as of March 30, 2007, a;; amended and
                                               restated as of May I 5, 2007 among Alli.::d Holding~, lnc.
                                               ("Holdings"), Ai!ied Symems, Ltd, (L.P.) ("Systems").
                                               certain Subsidiaries of Holdings and Systems, as
                                               Subsidiary Guarantors, the Lenders part1cs thereto,
                                               Goldman Sachs Credit Partners LP . 3S Synd:cation
                                               Agent, The CIT Group/Bu:;ines5 Credit, fn(;, a:;
                                               Administrative Agent and Col!atr::ral Agtni
6.         r5stgncd Interest:
                           :ggn:gatc Amount of           Amount of           Percentage Assigned of
                          Commitmentil ,oans!LC       Commitmcnt!Loans;1 ,C   Commitment/Loans/! ,C
Facility     i;,sign~u   Dep,>sits Cor aii Lenders     Deposits 1ssigncd           Deposits



Synthetic LC                 t!SD-                      USD
Commirment
Term Loan
                            usol,• • • •
Effective Date:
7. Nmice and Wire Instructions:
ASSfGNOR:                         :SSIGNEE:
Clo>ing C Jntacr:                                      U .. C




Wire Instructions:                Wire !nstruct1ons:
-:·he l•!rn!s set rorrh in this Assignment are hereby agreed !o:

                                                        ASSIGNOR




                                                        ASSIGNEE

                                                        BDCM OPPORTuNITY FUND U, LP, as
                                                        Assignee

                                                       by: BDCM Opportunity Fund U A.dvi.ser,
                                                                                    .
                                                       LLC its Investment Manager


                                                        By: _ _ _ _ _ _ _ __
                                                             Name:
                                                             Title:
( i. ..~ : .: ; :




                    Hy:




                    [->DC:Vl Ol'PO!HLHTTY FllND 1L !.!',   <l$
                    .-s~i~ncc


                    hy: HflCM Oppnrtunity Fnnd H   ,r!vis~r.
                    LLC its 1
Consented      ~o   and   Acc~pted:


THE CIT GROUP! BUSINESS 9REDIT, INC.• as Administrarive Agent
                                                .    I


                    [
By:            ............:'....!. ,:_. i_ -------'---;-
      Nan1~:
      Tit!~



Consen:ed to:

ALLIED HOLDINGS, INC.


By:
      Nam;:
      Title


ALLIED SYSTEMS, LTD (L.P.)


By:--·--
  t-:arm::
      T;tll:




                                                            5
STANDARD TERMS AND CONDITIONS FOR ASSIGNMENT
                             AND ASSUMPTION AGREEMENT

         I.      Representations and Warranties.

          l.I     Assignor. The Assignor (a) represents and warrants that ( i) it is the .legal and bendicial
owner of !he Assigned Interest, (ii) the Assigned Interest is free and c~ear of any lien, en-::umbrance or
other adverse claim and (iii) it has full power and authority, and has taken all action necessary, to execute
and deliver this Assignment and w consummate the transactions contemplated hereby; and (b) assumes no
rcspor:sibility with respect to (i) any statements {as defined herein), warranties or representations made in
or in connection with any Credit Document, (ii) the execution, legality, validity, enforceability,
genumeness, sufficiency or value of the Credit Agreement or any other instmment or document delivered
pur:mant therer.o, other than this Assignment (herein collectively the ''Credit Documents"), or any
collateral thereunder, (iii) the financial condition of the Company, any of its Subsidiaries or Atliliatcs or
any other Person obiigated irt respect of any Credit Document or (iv) the performance or observance by
the Borrower, any of its Subsidiaries or Affiliates or any other Person of any of their respcctiw
obi igations under any Credit Document

              1.2       Assignee. The Assignee (a) represents and warranrs rhat (i) it has full power and
authority, and has taken all action necessary, to execute and deliver this Assignment and to consummate
the tra.1sactions :ontemplated hereby and to become a Lender under the Credit Agreement., (ii) it meets all
requircmems of an Eligible Assignee under the Credit Agreement, (iii) fmm and after the Effective Date,
it shall be bound by the provisions of the Credit Agreemenr and, to the exient of the Assigned Interest,
shall have the obligations of a Lender thereunder, (iv) it has received a copy of the Credit Agreement ant.!
saeh o:her docwnents and information as it has deemed appropriare to make: its own crc·riit analysis and
decision to enter into this Assignment and to purchase the Assigned Interest on the basis of which it has
mace ,,uch analysis and decision, and (v) if it is a Non US L:nJ.:r. attached to rile Jssignmcm is any
documerm tion required to be delivered by it pursunnt ro the terms of rhe Credit Agreement, duiy
eompkted apd c::.:ecuted by the Assignee; and (b) agrees that (i) it will, independently and without
rei i·c.m:<:: or: Hte !• drninistrative Agent, the .Assignor or any other Lender. and based on suc!1 documents
ami infonr.aU.Jn as it ~hall deem appropriate at that lime. ~.:ominue to make its ovvn credit decisions in
raking or not taking action under the Credit f)ocuments, and (ii) it wil! perfonn in accord:mce v:ith their
rerm.'> all o:'the obligations which by the terms of the Credit f)ncumcnis arc required t:) be performed by it
as a Lcndc:-.

         2.      l'aymcnts. All payments with respect to the Assigned Interests shaii be made on the
Effccti ve Dmc a;; follows:

           2"        With respect to Assigned Interests for Term Loans, unless notice to the commry is
deli,.·crc:d l·1 the Lender from rhe Administrative Agent, payrncm to the Assignor :)y the ,ssit:;nee in
resp~cl ot'tfle Assigned I merest shall include such compensation to rhe Assignor as may b;; agreed upon
by the Ass,gm)r and the Assignee with respect to all unpaid interest which has accrued on the Assigned
Interest to !Jut exduding the Effective nate. On and aJkr the applicable Effective Date. :he Assignee
sbaii bt: emitld to receive all interest paid or payable with respect to the Assigned !nteresl. whether such
interesl accru;:d before or after the Effective Date.

         2.2       With respect to Assigned Interests for Revolving Loans and LC Commitments and LC
Dep<Jsi:s, Ji-orn <1nd after the Effective Date, the Administrative Agem shall make all payrnenrs in respect
of the Assi;~ncd Interest (including payments of principal, interest, fees and other amount..;) to the
/ssignor fur arnc·unts which have accrued to but excluding the Effective Date and to the Assignee for
amo:.m;s w:1ich have accrued fror.1 and after the Effective Date.

                                                      6
J.        General Provisions. This Assignment shall be binding upon. and murc to the benelit o·f.
the parties h'-'reto and their respective successors and assigns. This Assignment may be executed in any
number of counll:rpans, which together shall constinm: one instrum.::nt. Ddivcry of an executed
coumerpart uf ;s signatun:: page of this Assignment by telccopy shall be c!Tcctive as delivery of a ImHmnlly
executed c01:ntcrran of this Assignment. This Assignment shalt be gov-.:med by. and construed in
                                                                                        or
accomanc with, the internal laws of the Staii:o of New York wi<ltom regard to conflict laws principles
thereof.




                                                     7
ASSIGNMENT AND ASSUMPTION AGREI::MENT

         Thts Assignment and Assumption Agree
set fort~below and is entered into     and
(the "A signor")
not defi ed herein                      ·                      the Amen•jed and Restated First Lien Senior
Secure Super-Priority Debtor-in-Possession and Exit Credit and Gu3ranty Agreement identified below
(as it m y be amended, supplemented or otherwise modified from tima to time, the "Credit Agreement"),
receipt $fa copy of which is hereby acknowledged by the Assignee. T1e Standard Terms and Conditions
set fort~ in Annex 1 attached hereto are hereby agreed to and incc•rporated herein by reference and
made alpart of this Assignment as if set forth herein in full.
        :For an agreed consideration, the Assignor hereby irrevocably sells and assigns to the Assignee,
and the Assignee hereby irrevocably purchases and assumes from the Assignor, subject to and in
accord~nce with the Standard Terms and Conditions and the Credit Agreement, as of the Effective Date
tnserted by the Administrative Agent as contemplated below, the interest in and to all of the Assignor's
rights ahd obligations under the Credit Agreement and any other dc•cuments or instruments delivered
pursuarit thereto that represents the amount and percentage interest identified below of all of the
Assignqr's outstanding rights and obligations under the respective fac lities identified below (including, to
the ext~nt included in any such facilities, letters of credit, LC Deposits ctnd swingline loans) (the "Assigned
lnteresti) Such sale and assignment is without recourse to the Assignor and. except as expressly
provide~ 1n th1s Assignment and the Credit Agreement, without mpresentation or warranty by the
Assignor
    AsSignor:

                                                 BDCM Opportunity Fun•j II, L.P.

3   Borrower(s)                                  Allied Holdings, Inc, All ed Systems, LTO (L.P)

4   Administrative Agent                         The CIT Group I Business Credit, Inc.,                as   the
                                                 administrative agent under the Credit Agreement
5   CrEtJit Agreement                            The $265,000,000.00 Credit Agreement dated as of May
                                                 15, 2007 among Allied Holdings, Inc. ("Holdings"), Allied
                                                 Systems, Ltd. ( L. P.) ("Systems"), certain Subsidiaries of
                                                 Holdings and Systems, as Guarantors, the Lenders parties
                                                 thereto, Goldman Sachs Credit Partners L P , as
                                                 Administrative Agent, The CIT Group/Business Credit.
                                                 Inc., as Administrative 1gent and Collateral Agent and the
                                                 other agents parties thereto




NY474C'I11 1/9999-00999
6          Assrgned Interest
                           Aggregate Amount of                Amount of         Percentage Assigned of
                          Commitment!Loans/LC            Commitment/Loan:;/LC   Commitment!Loans/LC
F~cility     Assigned     Deposits for all Lenders         Deposits Assigned           Deposits



S~nthetic

Cbmmitment


Lr:rm Loan
            LC



                           u
                            u
                                                           usot~•••                       --·Yo
Etiectrve




                                                     2
w   474811 1/9999·00999
7   Not~e   and Wire Instructions
                                    BDCM Opportuflity Fund II, L.P.




                                    LOAN ACTIVIT'( CONTACT:
                                    BDCM OPPORTUNITY FUND II, L.P
                                    C/0 Black Diamond Capital Management, L. L.C.
                                    Attn:




                                    3
NY474$11 1/9999-00999
-
W1re   ln~tructions        Wire Instructions: BDCM Opportunity Fund II, LP.


                           Bank: JPMorgan Chase Bank New York, NY
                           ABA No
                           Acct.
                           Acct Name: BDCM OPPORTUNITY FUND II, L.P.




                           4
NY474(~11   1/9999-00999
fhe terms set forth in this Assignment are hereby agreed to:

                                                    ASSIGNOR




                                                    BDCM OPPORTUIIIlY FUND II, L.P., as Assignee
                                                    By: BOCM Opportunity Fund II Advisor, L.L.C.,
                                                    It& Investment Ma11ager




                                                    By:-----·-----------
                                                        Name:
                                                        Title:




                                                   5
NY474fl11 1/9999· 00999
··l:o terms set for11l in this Assignment are hereby agreed to:

                                                          ASSIGNOR




                                                          By:
                                                                Name:
                                                                Tille·


                                                        ASSIGNEE

                                                        BDCM OPPORTUNITY FUND II, l.P., as Assignee
                                                        By: BDCM Opportunity Fund II Adviser, L.L.C.,
                                                        its Investment Mana ~er




                                                      5
! J ''4 ?4d11_   1;090!.i-OOODO
Consented to and Accepted:

THE CIT GROUP I BUSINESS CREDIT, INC., as Administrative Agent


By:
                                              -/~~
Name:
                yf1, c. fA ,f.; f        tJ   I {;.::;,Lf-t

Title:            Ut~. /!1/<ii-•t:;cN

Consented to:

ALLIED HOLDINGS, INC.
                         iII.:

By:                    I 1 : f      
Narne·
Title·


ALLIED SYSTEMS, LTD (L.P.)

                            I

Uy.                             l·
Name
Title-.




                                                              6
NY47481 1.119999-00999
STANDARD TERMS AND CONDITIONS FOR ASSIGNMENT
                               AND ASSUMPTION AGREEMENT

                Representations and Warranties.

         I. l     Assignor. The Assignor (a) represents and warrants that (i) it is the legal and beneficial
owner  <f the Assigned Interest, (ii) the Assigned Interest is free and clear of any lien, encumbrance or
other a• verse cla1m and (iii) it has full power and authority, and has taken all action necessary, to execute
and delver this Assignment and to consummate the transactions contemplated hereby; and (b) assumes
no resp nsibility with respect to (i) any statements (as defined herein), warranties or representations
made i~ or in connection with any Credit Document, (ii} the execution, legality, validity, enforceability,
genuin~ness. sufficiency or value of the Credit Agreement or any other instrument or document delivered
pursua~t thereto, other than this Assignment (herein collectively the "C·edit Documents"), or any collateral
thereu~er. (iii} the financial condition of the Company, any of its Subsidiaries or Affiliates or any other
Person !obligated m respect of any Credit Document or (iv) the perform 3nce or observance by the
BorrOWfr. any of its Subsidiaries or Affiliates or any other Person of an {of their respective obligations
under c1ny Credit Document

          1.~     Assignee. The Assignee (a) represents and warrants :hat (i} it has full power and
authonw and has taken all action necessary, to execute and deliver this Assignment and to consummate
the trai>actions contemplated hereby and to become a Lender under the Credit Agreement, (ii) it meets
all requirements of an Eligible Assignee under the Credit Agreement, (iii) from and after the Effective
Date, itlshall be bound by the provisions of the Credit Agreement and, :o the extent of the Assigned
In teres~ shall have the obligations of a Lender thereunder, (iv) it has received a copy of the Credit
Agreerrient and such other documents and information as it has deemed appropriate to make its own
credit ahalysis and decision to enter into this Assignment and to purchase the Assigned Interest on the
basis oj which it has made such analysis and dec1sion, and (v) if it is a Non US Lender, attached to the
Assigmrent is any documentation required to be delivered by it pursuant to the terms of the Credit
Agreen1ent. duly completed and executed by the Assignee; and (b) agrees that (i) it will. independently
and without reliance on the Administrative Agent, the Assignor or any other Lender, and based on such
documttnts and information as it shall deem appropriate at that time, continue to make its own credit
decisiohs 1n taking or not taking action under the Credit Documents, ar d (ii) it will perform in accordance
w1th their terms all of the obligations wh1ch by the terms of the Credit Documents are required to be
performed by it as a Lender.

                Payments. All payments with respect to the Assigned Interests shall be made on the
Effect1ve Date as follows

         2.1      With respect to Assigned Interests for Term Loans, unless notice to the contrary is
deliver¢d to the Lender from the Administrative Agent, payment to the A.ssignor by the Assignee in
resped of the Assigned Interest shall include such compensation to th•: Assignor as may be agreed upon
by the f-.ssignor and the Assignee with respect to all unpaid interest which has accrued on the Assigned
lnteresi to but excluding the Effective Date. On and after the applicable Effective Date, the Assignee
shall b~ entitled to receive all interest pa1d or payable with respect to tile Assigned Interest, whether such
interesi accrued before or after the Effective Date.

         "> ">   With respect to Assigned Interests for Revolving Loan5 and LC Commitments and LC
OepoSlfS. from and after the Effective Date, the Administrative Agent shall make all payments in respect
of the A,ss1gned Interest (including payments of principal, interest, fees and other amounts} to the
Ass1gn~r for amounts which have accrued to but excluding the Effective Date and to the Assignee for
amounts which have accrued from and after the Effective Date.




                                                       7
NY474o111/9999-00999
.).     General Provisions. This Assignment shall be bindin~ upon, and inure to the benefit of,
the parjt1es hereto and their respective successors and assigns. This ;~ssignment may be executed in any
numbe~of counterparts, which together shall constitute one instrument. Delivery of an executed
counte part of a signature page of this Assignment by telecopy shall b ~ effective as delivery of a manually
execut d counterpart of this Assignment This Assignment shall be governed by, and construed in
accord nee with, the internal laws of the State of New York without re!Jard to conflict of laws principles
thereoft




                                                      8
NY4741511 1/9999-00999
L
                 PURCHASE AND SALE AGREEMENT


                                 TRANSACTION SPECIFIC TERM~i
THIS URCHASE AND SALE AGREEMENT is dated as of the Agreement Date and entered into by and
betwee Seller and Buyer to govern the purchase and sale of the Loans, the Commitments (if any) and
the oth r Transferred Rights, in accordance with the terms, conditions and agreements set forth in the
Standa d Terms. The Standard Terms are incorporated herein by reference without any modification
whatso ver except as otherwise agreed herein by the Parties and as specifically supplemented and
modifie by the terms and elections set forth in the Transaction S1..mmary and Sections A through H
below. i The Standard Terms and the Transaction Specific Terms together constitute a single integrated
Purcha~e and Sale Agreement governing the Transaction. With respect to the Transaction, the Parties
agree t~ be bound by the Standard Terms and the Transaction Specific Terms set forth herein.



       Trade Date:
       Agreement Date:
       Seller:
       Buyer:
       Credit Agreement:                    Amended and Restahd First lien Secured
                                            Super-Priority Debtor in Possession and Exit
                                            Credit and Guaranty ~greement dated as of
                                            March 30, 2007 as amEnded and restated as of
                                            May 15, 2007 amon~1 Allied Holdings, Inc.
                                            ("Holdings"),  Allied   Systems,    ltd.   (l.P.)
                                            ("Systems"), certain Subsidiaries of Holdings
                                            and Systems, as Sutsidiary Guarantors, the
                                            lenders party thereto, Goldman Sachs Credit
                                            Partners L.P., as Syndication Agent, The CIT
                                            Group I Business Cred t, Inc., as Administrative
                                            Agent and Collateral Agent


       !Borrower:                            Allied Holdings, Inc. ancl Allied Systems, ltd.
                                             (l.P.)


       !Purchase Amount(s):                  (i) ~utstanding principal amount
                                                                    "•""""'"'"' amount


       i Tranche(s):



       iCUSIP Number(s), if available:       N/A
       !Pre-Settlement Date Accruals         r8] Settled Without Accl'ued Interest
       lTreatment:                           D     Trades Flat
       'Type of Assignment:                  D     Original Assignmen1
                                             r8] Secondary Assignment

LSTA EFfECTIVE DECEMBER 2006      Copyright@ LSTA 2006. All rights reserved.


 NY 474$0.1/9999-00999
TRANSACTION SUMMARY


              Immediate Prior Seller (if any):

              Borrower in Bankruptcy:              YesO                     No r8]
              Delivery of Credit Documents:        YesO                     No   r8l
              Netting Arrangements:                YesO                     No r8]
                                                           1
              Flip Representations:                Yes0                     No   r8l
                                                           1
              Step-Up Provisions:                  Yes0                     No r8]
                                                                   2
                                                   Shift Date          :   Not Applicable
                                                           3
              Transfer Notice:                     Yes0                     No r8]


A.            DEFINITIONS

Capitalized terms used in this Agreement shall have the respective rr eanings ascribed thereto in Section
1 of t~e Standard Terms, as supplemented by Section A of the ··ransaction Specific Terms and as
otherw)se may be provided in other provisions of this Agreement Terms defined in the Credit Agreement
and n~t otherwise defined in this Agreement shall have the same mt~anings in this Agreement as in the
Credit IAgreement     Except as otherwise expressly set forth here~in, each reference herein to "the
Agreery,ent," "this Agreement," "herein," "hereunder" or "hereof' shall be deemed a reference to this
Agreement If there is any inconsistency between the Transactior Specific Terms and the Standard
Terms! the Transaction Specific Terms shall govern and control.

In th1s Agreement:

·Agent! means The CIT Group I Business Credit, Inc , as Administrati11e Agent

'Assi ment" means the Assignment and Assumption Agreement :hat is in the form specified in the
Credit. greement for an assignment of the Loans and Commitments (if any) and any Required Consents
to sue~ assignment

·· Bankrtptcy Case" select one:
      ~.none.
      C:::i
          means [the case under the Bankruptcy Code pending before the Bankruptcy Court in which
      Bcirrower is a debtor, In re _ _ _ _ _ , No. _ _ _ ___.


  The Parties cannot specify "Yes" to both "Flip Representations" and "St•~p-Up Provisions" unless they set forth
approptiate modifications in Section H. Neither "Flip Representations" nor "Step-Up Provisions" applies to original
ass1gnrjlents.
:: Specfy a Shift Date only if "Yes" is specified opposite "Step-Up Provisions" and if the second box is selected in the
definitiqn of Covered Prior Seller. The Shift Date is the date that the Parties c gree is the closest possible
approximation for when the market convention for transferring the Loans and Commitments (if any) shifted from a
par/ne~r par documentation basis to a distressed documentation basis. In c:msulting as to the appropriate date, the
Parties! may refer to published results of an anonymous LSTA poll of disinterested dealers as to such dealers' views
regardipg the Shift Date or, if results have not been published with respect tc the Credit Agreement, either Party may
requesj in writing that the LSTA endeavor to conduct such a poll. To initiate a poll, send a request that includes the
name .~f Borrower and either the CUSIP number (if available) or the name and date of the Credit Agreement to the
LST A ;!t lstashiftdatepolls@lsta.org. The results of such LST A polls are available to facilitate discussions between
the Pa;Jties and have no binding effect.
3
    "Yes'•can be elected only if"Yes" is specified opposite "Borrower in Bankruptcy" in the Transaction Summary.
                                                               2

NY 4 74 p80 1/9999-00999
"Bankt   tc Court" select one:
     fS1none.
     Ll means [the United States Bankruptcy Court for the _ __                  District of _____ (and, if
     appropriate. the United States District Court for that District)].

"Bar Drte" select one:
    [gJ not applicable.
    C: none has been set
    [:! means {specify applicable date, if any].

'·Bu er· Purchase Price" select one:
     rg: not applicable.
     L! means the purchase price payable by Buyer to Original Buye- pursuant to the Netting Letter (this
     applies if there are three (3) parties involved in the netting arrange•ment).
     Li means the purchase price payable by Buyer to Penultimate 13uyer pursuant to the Netting Letter
     (this applies if there are four (4) or more parties involved in the ne-:ting arrangement).

"Com~itments"  select one:
     C   none.
         1
     ~I means Synthetic LC Commitment in the principal amount                                 of which is funded
     asian LC Deposit

Tove1 d Prior Seller" select one:
   [gl not applicable.
   L means each Prior Seller that transferred the loans 5and Commitments (if any)4 on or after the Shift
   D*e bbut prior to the date on which                     transferred such loans and Commitments (if
   any)]

'Ftlin       ate" select one
     fS1     none.
     Cl      means (identify date on which Borrower filed Bankruptcy Case].

"Loan~"      means, collectively, Term Loans in the outstanding principal amount
Synth~tic LC Deposits in the principal amount ot·• • • • • •

· Nettittq Letter" select one
    f2:. not applicable.
    L~ means that certain Multilateral Netting Agreement in the for-n currently published by the LSTA
    dated on or as of the Agreement Date among Seller, Buyer [and] [,] Original Buyer [, Penultimate
    Bu~er] and [describe any other parties to the Netting Letter]].

· Oriqmrl Buyer" select one:
     cg:, not applicable.
     C means [specify original buyer in the netting arrangement].
"Penuipmate Buyer" select one:


" If ap~licable to only a portion of the Loans and Commitments (if any), specify the portion that applies, ~. "each
Prior S~ller that transferred the (Name of applicable Covered Prior Seller] Loans (as defined in Section 1 of the
Annex)! ..
;, Speq1fy the first Entity that transferred the Loans and Commitments (if any) on a distressed documentation basis
on or atter the Shift Date.
tiThe pracketed language applies where the relevant Predecessor Transfer Documents include a distressed trade
that se~led after the par/near par trade which settled on or after the Shift DatE .
                                                         3

 NY4 74{)80 .1/9999-00999
0    not applicable.
            0    none ("none" is applicable if there are only three (3) parties imolved in the netting arrangement).
            0    means '-------'·

"Reguifed Consents" means the notice to the Borrower and the Agent.

··seller Purchase Price" select one:
     ~ not applicable.
     0, means the purchase price payable by Original Buyer to Seller pursuant to the Netting Letter.
"Trans r Fee" means th~•• • •transfer or other similar fee payable to the Agent in connection with the
Assign ent.

"Unfun ed Commitments" means that part of the Commitments that 1as not been funded in the form of
loans. dvances, letter of credit disbursements or otherwise under th•3 Credit Agreement, which is in the
princip~l amount o f · · · ·

B.                SECTION 4 (SELLER'S REPRESENTATIONS AND WARRANTIES)

The following specified terms shall apply to the sections referenced in this Section B:
                   ---------·
                                                      Flat Reeresentation                          Fli(! Reeres•mtation               Stee-Ue Reeresentation

                                               If "No" is specified opposite                If "Yes" is speci1ied opposite           If "Yes" is specified opposite
                                                                                                                                                                      I
                                             1 both   "Flip Representations"                "Flip Represent<tions" in the            "Step-Up Provisions· in the
                                               and "Step-Up Provisions" in                  Transaction Su11mary, the                Transaction Summary, the
                                             1
                                             · the Transaction Summary, the                 following    subsections    of           following    subsections    of
                                               following    subsections   of                Section 4 shall aJply:                   Section 4 shall apply:
                                               Section 4 shall apply:

t                  -----·
        Secti-on: 4 1(d) (Title!                             Section 4.1 (d}(i)                        Section 4. i(d)(ii)                 Section 4.1 (d)(i)

fsecticir,i 4 -1 (e) (Proceedings)                           Section 4.1 (e)(i)
                                                                                                         ----·
                                                                                                       Section 4.1(e}(i)                   Section 4.1 (e)(ii)

                          ·---··                 ---·-----
                                                                                                                                •'
                                                                                                                                                                      I
f-sectior,i 4 1(f) (Principal                                Section 4.1 (f)(i)                        Section 4. 1(f)(ii)                  Section 4.1 (f}(i)
i Amounj1
                                                                                                                                                                      I
l
I
1------.. . ~ - - - - ·
l Sec!lon;4 1(g) (Future Funding)                            Sect1on 4.1 (g)(i)                        Section 4. I (g)(ii)                Section 4.1 (g)(iii)

i-----o-           ----·-------- f---
1       SectJont4 1(h) (Acts and                             Section 4.1 (h)(i)                        Section 4. i (hl(i)                 Section 4.1(h)(ii)




i;t
                 §.)

                   1(i)(Performance of                       Section 4.1 (i)(i)                         Section 4. 1(i)(i)                  Section 4.1 (i)(ii)
                    S)

                            ··----.-------
h3eci;oni4 1(1) (Setof:!)                                    Section 4_ 1 (l)(i)                        Section 4 ·1 ( l)(i)                Section 4.1 (l){ii)

L------ 1(t) (Consents and
1 Sect1on14                                                  Section 4.1 (t)(i)
                                                                                        I
                                                                                                        Section 4 1(t)(i)                   Section 4.1 (t)(ii)
    i Waiver!;
    I
                                             I                                          I
                   --                        i
    ~~~~~~~~        1(u) (Other              I               Section 41 (u)(i)          I              Section 4.1 (u)(i)                  Section 4.1 (u)(ii)
                   ts)                       I
    !
       . -----
    [_ Section 4
                    ;,;,(P:o!O!       Cf=d                   Section 4. 1(v)(i)

                                                                     ------   ---
                                                                                        I ------seCi-ion4_ _
                                                                                        I
                                                                                        I
                                                                                        I
                                                                                        l
                                                                                                                         i<vJ(iiJ

                                                                                            . -·· ··- ·-··-···-··--------.
                                                                                                                                            Section 4. 1(v)(i)




                                                                                    4

        NY4 74~180 .1/9999-00999
Sectloq 4.1 (k) (Purchase Price); Netting Arrangements.
        If "Yes" is specified opposite Netting Arrangements in the Tr:msaction Summary, Section 4.1 (k)
        shall be amended in its entirety as follows:
                                                   7
                  "(k) [intentionally omittedJ."

Sectioq 4.1 (r) (Predecessor Transfer Agreements).
       : D Seller acquired the Transferred Rights from Immediate Prior Seller pursuant to Predecessor
         Transfer Agreements relating to par/near par loans.
         (gJ Seller acquired the Transferred Rights from Immediate Prior Seller pursuant to Predecessor
         Transfer Agreements relating to distressed loans.
         D Seller acquired the Transferred Rights from Immediate Prior Seller pursuant to Predecessor
         Transfer Agreements relating to both par/near par loans and distressed loans.

Sect1o~   4.1 (u} (Other Documents).
      • [gJ None.
          D   The following: _ _ __

Sectioq 4.1 (v) (Proof of Claim) N/A
       · D The Proof of Claim was duly and timely filed, on or prior to the Bar Date, by
                  D the Agent on behalf of the Lenders.
                  D Seller or a Prior Seller.
         D The Bar Date specified in the Transaction Specific Terms has been set in the Bankruptcy
         Case and no Proof of Claim has been filed.
         [s;] No Bar Date has been set in the Bankruptcy Case and no Proof of Claim has been filed.

C.        SECTION 5 (BUYER'S REPRESENTATIONS AND WARRANTIES)

C.1     Sectton 5.1 (n) (Buyer Status). [Specify Buyer's status for purposes of determining Required
Conser)ts, minimum assignment amount requirements or Transfer Fee requirements.]

          0   Buyer   is   not a Lender.
          0   Buyer   is   a Lender.
          D   Buyer   is   an Affiliate (as defined in the Credit Agreement) of a Lender.
          0   Buyer   is   an Approved Fund [substitute Credit Agreement c efined term if different] of a Lender.

C.2     If 'Yes" ts specified opposite "Delivery of Credit Documents" in the Transaction Summary, Buyer
repres~nts  and warrants that it (i) was not a Lender on the Trade Date and (ii) requested copies of the
Credit ~Documents from Seller on or prior to the Trade Date.

D.        SECTION 6 (INDEMNIFICATION)

Sectton 6.1 (Seller's Indemnities); Step-Up Indemnities.

         (1)      If "Yes" is specified opposite "Step-Up Provisions" in the Transaction Summary, Seller's
indemrtttles contained in Section 6.1 (b) shall apply (and the alternate indemnities contained in Section
6 1(a) lhall not apply)

         (li)     If "No" IS specified opposite "Step-Up Provisions" in the Transaction Summary, Seller's
indemriltles contatned in Section 6.1(a) shall apply (and the alterna1e indemnities contained in Section
6 1(b} 4hall not apply).



' Selle~ should add, and Buyer should cause Original Buyer or Penultimate Buyer, as applicable, to add, a
comparpble representation to the Netting Letter in lieu of this representation.

                                                           5

NY474i80 1/9999-00999
E.       SECTION 7 (COSTS AND EXPENSES}

0     The Transfer Fee shall be paid by Seller to the Agent and the Purchase Price shall be increased by
      af! amount equal to
          0 one-half thereof.
          D other relevant fraction or percentage, _ _, thereof.
D     Tpe Transfer Fee shall be paid by Buyer to the Agent and 3uyer shall receive a credit to the
      Pi.Jrchase Price equal to
        ' D one-half thereof.
          D other relevant fraction or percentage, _ _ , thereof.
D     The Transfer Fee shall be paid and allocated in the manner specified in the Netting Letter,
D     The Transfer Fee has been waived by the Agent and, accordingly, no adjustment to the Purchase
      Phce shall be made in respect thereof.
[6]   T~ere is no Transfer Fee and, accordingly, no adjustment to tre Purchase Price shall be made in
      r~spect thereof.

F.       SECTION 8 (DISTRIBUTIONS; INTEREST AND FEES; PAYMENTS)

F.1      Section 82 (Distributions); Step-Up Distributions Covenant

        (iJ      If "Yes" is specified opposite "Step-Up Provisions" in the Transaction Summary, Seller's
coven<lnts contained in Section 8,2(b) shall apply (and the alternate covenants contained in Section
82(a) ~hall not apply),

        lli)     If "No" 1s specified opposite "Step-Up Provisions" in the Transaction Summary, Seller's
coven4nts contained in Section 8,2(a) shall apply (and the alternc:te covenants contained in Section
82(bl ~hall not apply),

F.2      Section 8A (Wire Instructions),

Buyer'f Wire Instructions:

Bank             JPMorgan Chase Bank




Seller'li Wire Instructions:

Bank              Citibank, NA




                                                     6

 NY 4 74~80, 1/9999-00999
G.     . SECTION 9 (NOTICES)

Buyer'~   Address for Notices and Delivery:




Sellef?j Address for Notices and Delivery:

CREDif CONTACT




H.        SECTION 26 (FURTHER PROVISIONS)

None




                                              7

NY 4 74!'180 1/9999-00999
IN WITNESS WHEREOF, Seller and Buyer have executed th.s Purchase and Sale Agreement by
the1r du'v authorized officers or representatives as of the Agreement (·ate_

                                            SELLER




                                            BUYER


                                           BDCM OPPORTUNITY FUND II, L.P.

                                           By: BDCM Opportunity Fund II Advisor, Ll.C,
                                           Its Investment Mana~1er



                                           By-:-:-----------------
                                            Name:
                                               Title:




                                              8
IN WITNESS WHEREOF, Seller and Buyer have executed this I:Jurchase and Sale Agreement by
the1r Uuly authorized officers or representatives as of the Agreement Dat;;

                                                 SELLER




                                                 By: _ _ _ _ _ _ _ - - - - - - - - - - - -
                                                     Name:
                                                     Title:




                                                  BUYER


                                                  BDCM OPPORTUNITY FUND II, L.P.

                                                  By: BDCM Opportunity Fund II Advisor, L.L.C.,
                                                  Its Investment Manager



                                                  By




                                                       8

 NY tl ;'>1 !;81!. 119999-00999
ANNEX TO PURCHASE AND SALE AGRI:EMENT


        If ·Secondary Assignment" is specified opposite "Type of Assignment" in the Transaction
        Summary, list of Predecessor Transfer Agreements 1 and principal amount, as of the settlement
        date with respect thereto, of the portion of the Loans and Commitments (if any) thereunder
        assigned hereby for purposes of Section 4.1(r) and Section 5.1(k)(i) hereof, and designation as to
        whether such Predecessor Transfer Agreements relate to partnear par loans or distressed loans.

                                            and the related Assignment and Assumption Agreement, each
        dated as                            between Seller. as buyer. and Immediate Prior Seller, as seller.

                  With respect               principal amount of Term Loans am-principal
                  amount of Synthetic LC Commitments:

                  Purchase and Sale ~he related Assignment and Assumption Agreement,
                  each dated     o f - - - b e t w e e n Buyer as seller, and Seller, as Buyer


                       Purchase and Sale Agr<:>t:•m•::.nr
                       ~ent,     each dated as
                       - a s seller, and Buyer, as

                             Assignment and Assum
                             Buyer. as seller. and
                             par].

                   With respect to                    principal amount of Term Loans and
                   pnncipal amount                       mmitments:

                             Assignment and Assumption Agreement, d<:tted as of                            between
                             Buyer. as seller. and Seller, as buyer [par/near par].

2        L1st of Credit Agreement and any other Credit Documents delivered pursuant to Sect1on 4.1 (s)
         hereof.

         N/A

3        Description of Proof of Claim (if any).

         N/A

4        Description of Adequate Protection Order (if any).

         N/A

5        List any exceptions to Section 4.1 (w) (Notice of Impairment).

         None


---------------------
' List (! any Predecessor Transfer Agreement to which Seller is a party, _(ii) any Predecessor Tr~nsfer Agreement of
Pnor Stllers relating to distressed loans delivered to Seller by lmmedtate Pnor Seller and (111) any Predecess?r
Transfer Agreement of Prior Sellers relating to par loans listed in any Prede< essor Transfer Agreement de sen bed m
the pre·~eding clause (i1)
                                                     Annex-1

NY 4 7 4 ~80 1/9999-00999
6.     The amount of any PIK Interest that accreted to the rincipal 3mount of the Loans after the Trade
       Date but on or prior to the Settlement Date · ·




                                               Annex-1

NY4745$0.1/9999-00999
PURCHASE AND SALE AGREEMENT


                                  TRANSACTION SPECIFIC TERMS
THIS PURCHASE AND SALE AGREEMENT is dated as of the Agreement Date and entered into by and
between Seller and Buyer to govern the purchase and sale of the Loans. the Commitments (if any) and
the other Transferred Rights, in accoraance with the terms. conditions and agreements set forth in the
Standard Terms. The Standard Terms are incorporated herein by reference without any modification
whatsoever except as otherwise agreed herein by the Parties and as specifically supplemented and
modified by the terms and elections set forth in the Transaction Summary and Sections A through H
below. The Standard Terms and the Transaction Specific Terms together constitute a single integrated
Purchase and Sale Agreement governing the Transaction. With respect to the Transaction, the Parties
agree to be bound by the Standard Terms and the Transaction Specific Terms set forth herein.

                                                                              EXECUTION COPY



       Trade Date:
       Agreement Date:
       Seller:
       Buyer:
       Credit Agreement:
                                           Super-Priority Debtor in Possession and Exit
                                           Credit and Guaranty Agreement dated as of
                                           March 30, 2007 as amended and restated as of
                                           May 15, 2007 among Allied Holdings, Inc.
                                           ("Holdings"), Allied Systems, Ltd. (L.P.)
                                           ("Systems"), certain Subsidiaries of Holdings
                                           and Systems, as Subsidiary Guarantors, the
                                           Lenders party thereto, Goldman Sachs Credit
                                           Partners L.P., as Syndication Agent, The CIT
                                           Group I Business Credit, Inc., as Administrative
                                           Agent and Collateral Agent
       Borrower:                           Allied Holdings, Inc. and Allied Systems, Ltd.
                                           (L.P.)
       Purchase Amount(s):


       Tranche(s):

       CUSIP Number(s), if available:
        Pre-Settlement Date Accruals          Settled Without Accrued Interest
        Treatment:                            Trades Flat
        Type of Assignment:

        Immediate Prior Seller (if any):
       Borrower in Bankruptcy:
        Delivery of Credit Documents:      YesO           No   r8J
TRANSACTION SUMMARY
           Netting Arrangements:                    YesO                  No t:8']
                                                         1
           Flip Representations:                    Yes0                  No t:8']
           Step-Up Provisions:                      YesO'                 No t:8']
                                                                 2
                                                    Shift Date       :   Not Applicable
           Transfer Notice:                         YesO"'                No t:8']
A.         DEFINITIONS

Capitalized terms used in this Agreement shall have the respective meanings ascribed thereto in Section
1 of the Standard Terms, as supplemented by Section A of the Transaction Specific Terms and as
otherwise may be provided in other provisions of this Agreement. Terms defined in the Credit Agreement
and not othervvise defined in this Agreement :;hail have the same meanings in this Agreement as in the
Credit Agreement. Except as otherwise expressly set forth herein. each reference herein to ''the
Agreement," "this Agreement," "herein." "hereunder'· or "hereof' shall be deemed a reference to this
Agreement. If there is any Inconsistency between the Transaction Specific Terms and the Standard
Terms. the Transaction Specific Terms shall govern and control.

In this Agreement:

"Agent" means The CIT Group I Business Credit, Inc., as Administrative Agent under the Credit
Agreement.

"Assignment" means the Assignment and Assumption Agreement that is in the form specified in the
Credit Agreement for an assignment of the Loans and Commitments (if any) and any Required Consents
to such assignment.

"Bankruptcy Case' select one:
   0 none.
   0 means [the case under the Bankruptcy Code pending before the Bankruptcy Court in which
   Borrower is a debtor. In re ________ No. _____________ __,.

"Bankruptcy Court" select one:
   0 none.
   0 means [the United States Bankruptcy Court for the ______ District of _____ (and, if
   appropriate, the United States District Court for that District)].

"Bar Date" select one:
    0 not applicable.
    0 none has been set.

  The Parties cannot specify ·Yes· to both 'Flip Representailon~ an(! ·step-Up Provisions" unless they set forth
appropriate modifications tn Section H. Neither "Fitp Representations" nor '·Step-Up Provisions" applies to original
assignments.
2
 Specify a Shift Date only tf "Yes" is specified opposite "Step-Up Provisions" and if the second box is selected in the
definition of Covered Prior Seller. The Shift Date is the date that the Partres agree is the closest possible
approximation for when the market convention for transferring the Loans and Commitments (if any) shifted from a
par/near par documentation basis to a distressed documentation basis. In consulting as to the appropriate date. the
Parties may refer to published results of an anonymous LSTA poll of rjisinterested dealers as to such dealers· views
regarding the Shift Date or. if results have not been publishea wtth respect to the Credit Agreement, either Party may
request in writing that the LSTA endeavor to conduct such a poll To initiate a poll, send a request that includes the
name of Borrower and either tr1e CUSIP number (if available) or the name and date of the Credit Agreement to the
LSTA at lstash!f!9Jl~Q!§.@I§Ja.Qm. The results of such LSTA polls are available to facilitate discussions between
the Parties and have no binding effect.
3
    "Yes" can be elected only if "Yes" is specified opposite "Borrower in Bankruptcy" in the Transaction Summary.

                                                            2
453-011/AGR/1789544.1
0   means [specify applicable date. if any].

''JltE,rer Purchase Price" select one:
       [2?) not applicable.
       0 means the purchase price payable by Buyer to Original Buyer pursuant to the Netting Letter (this
       applies if there are three (3) parties involved in the netting arrangement).
     0      means the purchase price payable by Buyer to Penultimate Buyer pursuant to the Netting Letter
       (this applies if there are four (4) or more parties involved in the netting arrangement).

"Commitments" select one:
     0  none.
   [2?) means LC Commitment in the principal amount                                  all of which is funded as an LC
   Deposit.

"Covered Prior Seller" select one:
  --[g] not applicable.
     0 means each Prior Seller that transferred the Loans 5and Commitments (if any)4 on or after the Shift
     Date ~but prior to the date on which-----·· _____ transferred such Loans and Commitments (if
     any)].

"Filing Date" select one:
     [;g) none.
     0 means [identify date on which Borrower filed Bankruptcy Case].
"Loans" means collectively, Term                                    g principal amount                          and LC
Deposits in the principal amount

"Netting Letter" select one:
    [;g) not applicable
    0 means lllat certain Multilateral Netting Agreement in the form currently published by the LSTA
    dated on or as of the Agreement Date among Seller, Buyer [and] [.] Original Buyer [. Penultimate
    Buyer] and [descnbe any other parties to the Netting LetterJ].

··original Buyer" select one:
     [2?) not applicable.
     0 means [spec1fy original buyer in the netting arrangement).
"Penultimate Buyer" select one:
   [2?) not appl1cable.
   0 none ("none" is applicable if there are only three (3) parties involved in the netting arrangement).
   0 means L____]
"Required Consents" means notice to the Borrower and acceptance and recordation of the Ass1gnment by
the Agent.

"Seller Purchase Price" select one:
    f2J not applicable.
    0 means the purchase price payable by Original Buyer to Seller pursuant to the Nett1ng Letter .

•j If applicable to only a portion of the Loans and Commitments (if any). spec1fy the portion rhat applieS. g_g, ... each
Prior Seller that transferred the [Name of applicable Covered Prior Seiler] Loans (as defineo n1 Section · of the
!nnexj ·
5
  Specify the first Entity that transferred the Loans and Commitments (if any) on a distressed documentation basis
on or after the Shift Date.
6
  The bracketed language applies where the relevant Predecessor Transfer Documents include a distressed trade
that settled after the par/near par trade which settled on or after the Shift Date.

                                                            3
453-011iAGR!1789544.1
"Transfer Fee" means th~ransfer or other stmtlar fee payable to the Agent in connection with the
Assignment.

"Unfunded Commitments'' means none.

 8.               SECTION 4 (SELLER'S REPRESENTATIONS AND WARRANTIES)

The following specified terms shall apply to the sections referenced in this Section B

i                            -----------~---Flat              Representation---------------Flip Representation                   : --sfeP:uP Represefrtaiion-l
                                                 i                                        '

I
i
                                    following
                                                ·hf "No"
                                              is specified oppositehr~:Yes" is specified opposite



                                                  subsections
                                    Section 4 shall apply:
                                                                 of Section 4 shall apply·
                                                                                                  j
                                                                                                    If "Yes" ;s specified opposite --j
                                  j both ''Flip Representations· 'Flip Representations" in the "Step--Up Provisions" in the
                                  1 and "Step-Up Provisions" in ; Transaction Summary, the
                                                                                          1.


                                                                                                    Transaction Summary. the
                                  I Ihe Transaction SumnBry. the fo!lowmg subsections of fo!!ov·.. !ng sub~cctior.s of ·
                                                                                                    Section 4 shall apply:
                                                                                                                                     i
                                                                                                                                                                           I
                                                                                                                                                                           I

.,

rsect1on :1.1 (d) {IUIQ) ---- ----~----- Section 4.fid)(;)- --------,, --- Section 4.1 (d)(ii) --
                                                                                                  1
                                                                                                    ----S-ection 4- -1 (dJ(Ij- -,l'                                 ---!
rsection4 i(e)           (fo:i9i_e_&_<i.!_~)---- ~         Secllon4"i(e){ij'                       SeCtion4'1(ej(i)'             I           Section41(e)(i1)              I
. Section 4.1 (f) (Princi2!!! ------+
~---------------
                                    j                       Section 4.1 (f)(i)
                                                                                      -----·----- --------- (f)(ii)
                                                                                               Section 4.1
                                                                                                            -----------------+-----------------------j
                                                                                                                        1      Section 4 1(f)(i)
I Amount)                           I                                                                                            I
                                                                                                                                                                           1
                                                                                                                                                                           I
~~Section        4"1[g)([;;iL;reFungin__gf+,-              Section 4 1 (g)(if             t
                                                                                          t
                                                                                                  --Sect1on 4 1 (g)M---r---Sect1on 4
                                                                                                                                 I
                                                                                                                                                         i(g-)(1~- --i
        SectiOn 4' 1{ti)(Acts and----                                   7
                                           --+--·-s=-e-c"'t,-io-n-4:-.1("'h-:-)(::-:-i)___ : - - - Se--ction   4:'1(h)(i) . - ---+_'.        Section 4. 1{h)( ii)
! Omi?.§.LQ£1?.)         ~--                                                              1
                                                                                                                                 I
''
                                                                                                    -----------·~·--- ~--·"
lseciia·n-4Jti) ,F>f;'fo;,;.;~nr:e                                                                  Section 4 1ii)li)            l           Sec:tinn 4 1 ~i)(ii)
I Obhgattons)                                                                                                                                                              I
                                                 1                                                                                       . ______________________ j
h,ection 4-1(1) l~eloff)-          ----- ----~--         --sect-io_n_4 i(l)(;l ·
                                                                     __                                                                                                    I
I                                                                                                                                            Section 4.1 (l)(ii)
        v


I Secii,";~ 4ltii Consents and .-..
' Wa1vers)
                                                r-
                                                 I


                                                 ,
                                                       -··seclior14 -1ii)(;)                        Sect;on 4.1(1)(1)            t
                                                                                                                                 i
                                                                                                                                        ··   ·sechon                   l
                                                                                                                                                       4-1i!)(;0 _______

i                                                                                                    -- ---------- ___________ j _________ - -------- _____ 11
;·section4.1(u)(Other______ ·------;-----------sectiOn 4.1(u)(1) ----
1 Documents)
                                                                                                    Section4.1(u)(i)             !           Section4.1(u)(i')



                   1(v) (f'_rool of CI<Ji(l!)              Sect1on 4 1(v)iiJ
                                                                                   -------------- ---------------- 1(v)(ii) ·-- i-------- . . --------- ___________ _j!
                                                                                                     Sect1on 4
                                                                                                                   ---·----· 1          Sect1on 4 1(v)(i)
                                                                                                                 -· ___________ L_____________ ··-- ______________ j


    Section 4 1(k) (Purchase Price); Netting Arrangements.
            If "Yes is spectfied opposite Netting Arrangements in the Transaction Summary, Section 4.1 (k)
            shall be amended in its entirety as follows:

                               (k) [intentionally omitted]."'




    7
   Seller should add. and Buyer should cause Original Buyer or Penultimate Buyer, as applicable, to add, a
 comparable representation to the Netting Letter in lieu of this representation.

                                                                                     4
 453-0111AGRI1789544 1
Section 4 I (r) (Predecessor Transfer Agreements).
        0 Seller acquired the Transferred Rights from Immediate Prior Seller pursuant to Predecessor
        Transfer Agreements relating to par/near par loans.
        C8J Seller acquired the Transferred Rights from Immediate Prior Seller pursuant to Predecessor
        Transfer Agreements relating to distressed loans.
        0 Seller acquired the Transferred R1ghts from Immediate Prior Seller pursuant to Predecessor
        Transfer Agreements relating to both par/near par loans and distressed loans.

Section 4.1(u) (Other Documents).
        C8J None.
        0 The following: _ _ _ _ .
Section 4.1 (v) (Proof of Claim). N/A
        0 The Proof of Claim was duly and timely filed, on or prior to the Bar Date, by
                  0 the Agent on behalf of the Lenders.
                  0 Seller or a Prior Seller.
        0 The Bar Date specified in the Transaction Specific Terms has been set in the Bankruptcy
        Case and no Proof of Claim has been filed.
        0 No Bar Date has been set in the Bankruptcy Case and no Proof of Claim 11as been filed.
C.      SECTION 5 (BUYER'S REPRESENTATIONS AND WARRANTIES}

C.1    Section 5.1 (n) (Buyer Status). [Specify Buyer's status for purposes of determining Reqwred
Consents, minimum assignment amount reqUirements or Transfer Fee requirements.]

        0  Buyer is not a Lender.
        0  Buyer is a Lender.
        0  Buyer is an Affiliate [substitute Credit Agreement defined term 1f d1fferent] (as defined in the
        Credit Agreement) of a Lender.
        0 Buyer 1s an Approved Fund [substitute Credit Agreement defined term if different] of a Lender.
C.2     If "Yes" is specified opposite "Delivery of Credit Documents" in the Transaction Summary, Buyer
represents and warrants that it (i) was not a Lender on the Trade Date and (ii) requested copies of the
Cred1t Documents from Seller on or prior to the Trade Date.

D.      SECTION 6 (INDEMNIFICATION)

Section 6.1 (Seller's Indemnities); Step-Up Indemnities.

         (I)       If ·'Yes" is specified opposite "Step-Up Provisions" in the Transaction Summary, Seller's
indemnities contained in Section 6.1(b) shall apply {and the alternate indernnit1es contained in Section
6.1 (a) shall not apply).

         (ii)      If "No" is specified opposite "Step-Up Provisions in the Transacllon Summary, Sellers
mdemnities contained in Section 6.1 (a) shall apply (and the alternate indemnities contained in Section
6.1 (b) shall not apply).

E.      SECTION 7 (COSTS AND EXPENSES)

0    The Transfer Fee shall be paid by Seller to the Agent and the Purchase Price shall be increased by
     an amount equal to
        0 one-half thereof.
        0 other relevant fraction or percentage,·"--' thereof.
0    The Transfer Fee shall be paid by Buyer to the Agent and Buyer shall receive a credit to the
     Purchase Price equal to
        0 one-half thereof.
        0 other relevant fraction or percentage, ___ , thereof.
                                                     5
453-011iAGRI1789544.1
0      The Transfer Fee shall be paid and allocated in the manner specified in the Netting Letter.
0      The Transfer Fee has been waived by the Agent and. accordingly. no adjustment to the Purchase
       Price shall be made 1n respect thereof.
k8;]   There is no Transfer Fee and, accordingly, no adjustment to the Purchase Price shall be made in
       respect thereof.

F.        SECTION 8 (DISTRIBUTIONS; INTEREST AND FEES; PAYMENTS)

F.1       Section 8.2 (Distributions); Step-Up Distributions Covs;na!J.!.

        (i)       If "Yes" is specified opposite ·•step-Up Provisions" in the Transaction Summary, Seller's
covenants contained in Section 8.2(b) shall apply (and the alternate covenants contained in Section
8.2(a) shall not apply).

        (ii)      If "No" is specified opposite "Step-Up Provisions" in the Transaction Summary, Seller's
covenants contained in Section 8.2(a) shall apply (and the alternate covenants contained in Section
8.2(b) shall not apply).

F.2       Section 8.4 (Wire Instructions).

Buyer's Wire Instructions:




Seller's Wire Instructions:

Bank of New York




G.        SECTION 9 (NOTICES)

Buyer's Address for Notices and Delivery:

BDCM OPPORTUNITY FUND II, L.P.
C/0 Black Diamond Capital Management. L.L.C.




Credit Communications
Black Diamond Capital Management, L.L.C.



                                                        6
453-011/AGR/1789544.1
Seller's Address for Notices and Delivery:




Name:
Company:
Title:
Address:


Telephone:
Facsimile:
E-Mail Address:

H.      SECTION 26 (FURTHER PROVISIONS)

None.




                                             7
453-011/AGR/1789544.1
IN WITNESS WHEREOF, Seller and Buyer have executed this Purchase and Sale Agreement by
their duly authorized officers or representatives as of the Agreement Date.




                                           BUYER
                                           BDCM OPPORTUNITY FUND II, LP


                                           by: BDCM Opportunity Fund II Adviser, LLC
                                           its Investment Manager



                                           By:_ _ _ _ _ _ _ _ _ _ _ _ _ _ __
                                               Name
                                               Title




                                              8
453-01 1/AGRI1789544. 1
IN WITNESS WHEREOF, Seller and Buyer have executed this Purchase and Sale Agreement by
their duly authorized officers or representatives as of the Agreement Date.

                                           SELLER




                                           By:..,..,...---------------
                                            Name:
                                            Title:




                                           BUYER

                                           BDCM OPPORTUNITY FUND II, LP


                                           by: BDCM Opportunity Fund II Adviser, LLC
                                           its Investment Ma;nal;~er



                                           By·




                                              8
453-011/AGR/1789544.1
ANNEXTOPURCHASEANDSALEAGREEMENT

1.      If ·secondary Assignment" 1s specified opposite "Type of Ass1gnment" in the Transaction
                                                             1
        Summary, list of Predecessor Transfer Agreements and principal amount. as of the settlement
        date with respect thereto, of the portion of the Loans and Commitments (if any) thereunder
        ass1gned hereby for purposes of Section 4.1 (r) and Section 5.1 (k)(i) hereof, and designation as to
        whether such Predecessor Transfer Agreements relate to par/near par loans or distressed loans.

        To the extent of the Loans:

                                                                                   mentAss~
                                                                               as seller, a n d _ . . . . . . . .


                                                     mption Agreement                                              n
                                                     , as assignor, and


2.      Ust of Credit Agreement and any other Credit Documents delivered pursuant to Section 4.1 (s)
        hereof.




                                                  s, as Subsidiar
                                                   as Syndication Agent,
                                     ent and Collateral Agent

3       Desc.ripciOrl of Proof of Claim (if any).

         NIA

4.      Descnption of Adequate Protection Order (if any).

         N/A

5.      List any exceptions to Section 4.1 (w) (Notice of Impairment).

         None.

6.       The amount of any PIK Interest that accreted to               cipal amount of the Loans after the Trade
         Date but on or prior to the Settlement Date




  List (1) any Prer.ecessor Transfer Agreement to which Seller is a party, (ii) any Predecessor Transfer Agreement of
Prior Sellers relating ro distressed loans delivered to Seller by lmmedir~te Prior Seller and (ii1) any Predecessor
Transfer ,<greement of Prior Sellers relating to par loans listed in any Predecessor Transfer Agreement described in
the precedm(J clause (ii).


                                                      Annex-1
453-011iAC3R/1789544 1
ASS!GNMDIT AND ASSCMPT!O' ·CiRfE.'VH·::T


         Thi~ Assignment and Assumption Agreement (rhe "As~J                                      tiv.:-
Date set fonh Jdow ~nd lS emcrcd imo by and ':Jotw                                                (the
"A~signor"} and BDCM Opportunity fund II, LP (the ·'Assignee")          apitalued tem1s used bur not
defined herein shall have the meanings gtven to rhem in the Amended and i<.estared First lien Senior
Secured Super-Pnority Debtor-in-Possession and Exit Creel!! Jnd Guaranty Agreement identified below
(as it may be amended, supplemented or orherwise modiiled from time to rime. the "Credit Agreement'').
receipt of a copy of whKh is hereby acknow Iedged by rhe As,;ignee The Standard r em1s and Conditions
set fOrth ln Annex I attached ht"reto are hereby agret!d tu ()nd :ncorpcr:ucd herein   by   rcft:::JciH..:c   anJ made a
part of rhis Assignment as 1f set forth herein in fulL
        For an agreed constd~ration, the Assignor hereby irrev,xahly sells ana Jssigns to the Assignct:.
and the Assignee hereby irrevocably purchases and a:sumes from the As::>ignor, subject to and in
accordance with the Standard Terms and Condition;, and 1he Credit Agreement. as of the Effective Dare
msened by the Administrative Agent as conremplated below. the- ullerc-st in and to all or' the Assignor's
rights and obligations under the Credit Agreement and any other documents or instntments delivered
pursuant thereto that represents the amount and percentage mtcrcsr identified below of all of the
Assignor's outstanding rights and obligations under the respective ti!Ctlities identified below (including.
to the extent mduded in any such facilities, let!ers of credit. LC Deposlts and >wingline loans) (the
"Assigned Interest''). Such sale and assignment is without recourse to the Assignor and, except as
expressly provided in this Assignment and the Credit Agreement, withour representation or warranty by
£he Assignor.
l.   Assignor:

2.   Assignee:                                   BDCM Opportunity l-und II, LP

3.   Borrower(s):                                Allied Hold;ngs. inc .. Allied Systems, LTD (LP.)

4.   Administrative Agent:                       The CIT Group           Busmess Credit, Inc..                  as   the
                                                 administrative agent under the Crc:dlt Agreement
5.   Credit Agreement:                           Amended and Restated F1rst lien Secured Super-Priority
                                                 Debtor in Possession and l:x'l C:redH and Guaranty
                                                 Agreemenr dated as of March }0. 2007, as amenrled and
                                                 restated as of May 15. 2007 among Aliied Holdings, Inc.
                                                 ('"Holdmgs"). tfiied Syste:11s, Ltd. (LP) ("Systems"),
                                                 cenain Subsidiaries of Holdings z,nd Sysrems, as
                                                 Suh,idiary Guanncor,. :he Lender> p2nies thereto.
                                                 (iuiJn1:tn Silch~ Credit P;!nncr~~ L.P. ~i~ S~/ndic~Hion
                                                 1genr. The Clf Group/BusJnc>S Credit, Inc., as
                                                 AdminiStrative Agenr and Collatt:rai .-gem
7 Notice and Virc: Im.rrucuons:
ASSICNOR                               ASSJCNEE:
Closing Contact:                                               L.L.C




V..iire instructions:                  Wzre lnsuucuons:

Bank of New York                       J PM organ Chase Bank




                                   3
6.         Ass1gned Interest:
                           Aggregate Amount of                 :mount of        Percentage Assigned of
                          Commitment:iLoans11.C           CommitmcntJ1.oansiLC   Commitmcntr1.oans/LC
Facility     Assigned     Deposits for ali L.:ndcrs         Deposit;, Assigned          Deposits



                            us~
Synthetic LC
Commitment
                                                            csD •.- - ·                     --~0
Term Loan


Effective Date




                                                      2
453-DllrCERTS!l789541 l
.-SSIGN[L

     BDCM OPPORTUNITY FUND 11, LP, as
     Assignee

     by: BDCM Opportunil) Fund H Adviser.
     LLC its Investment Manager


     By.--
        'itu;;c.




·1
;S')f(jl.: J·.


     BDCM OPPORTUNITY FUN1J II, LP. as
     Assigm·c

     by: lll>CJ'>'l Opportunity Fund 11 Adviser,




·I
Consented to and Accepted:




      Name:
      Title


Consented to:

ALLIED HOLDINGS, Il'<C.


By:
      Name:
                Nj{Y
      Title


ALLIED SYSTEMS, LTD (L.P.)


B~
      Name:
              f1 [~It
                    '
      Title




                             5
4S3-()l !ICERTS/1789541.1
STANDARD TERMS A-''D CONDITIONS FOR .li.SSl<!';/vll:! i"
                                     AND iSSL'11'1 iO:-; AGREf':.iVII:~T




            .1     As.signt1r. Tht: As~1gnui l.:.t) n.:p;·c~-.~..:nb t.tnd ,varranb Lhat (1) i i:- lfJc :..:g~d anti be:ncfic:lal
owner of ;he Assigned interest, (ii) the Asstgned Interest is free and clear of any hen. encumbrance or
other ~dverse claim and (iii) it has full power and authomy, ~nd ha~ taken all actton necessary. to execute
and deliver this Assignment and to consummate the transactions conter.1plated hereby: and {b) a~sumes no
re>pon!>ibility with respect to (i) any statemems (aS defined herein), warranties or representations made in
or in connection with any Credit Document. (it) the exc:~uuon, leg:.Jiity, valid1ty. ci>forceabliity,
genuineness, sufticiem:y or value of the Crecit Agrec!llcnl or :my uther in~irumeilll'f dccurnent delivered
rurs,t:lnr thereto. other than this A;;$igD:lJCn: (herei!l collcctm::iv rhe: "Credit Documenb''). or any
collateral tht>reunder, (iii) the fin:mcial condHion of the Cl!mpany, any of tiS Sub~tJwne;; or Afft!Jatc:s or
,!f;y nther Person obligated in respect of ;1ny Credt! Document or (iv) the per!iJrmance or ob~ervance by
ihe Borrower, any of l!S Subsidiaries or Aftili~tes or any other Person of any o! thc;r respective
obligations under any Credit Document.

            1.2     Assignee. The Assignee (:1) represents and warrants that ti) it ha:: full power and
authority, and nas taken all action necessary, to execute and deliver this Assignment and 10 consummate
the transactions contemplated hereby and to become a Lender under the Credit Agreement, {ii) it meets all
rcljuirement~ of an Eligible Assignee under the Cr~dit Agrt:emenl, ( :1i) from and after the Effective Date,
11 shaH be bound by the provisions of the Crt:dit Agreement and, to the extent of the A~s1gned interest,
,hJli h:J'-'C the obligations of a Lender therc·,mJcr, (:•/J it ll;;~s received a copy nfthc: Crdil :'greement and
s:!cl: ()thc-r Cc:cnments and inform•Hion ::sir h:1s. r~e-c:red ;:~prt)rriate to n~~tke it:; O'-vn crcdH analysis and
deCISIOn to enter 111CO this Assignment and to pur~hase the Assigned Interest on the basts of which 11 has
n1adc: S-Gch analys1s and decision, and {v) 1f it is.;:. :-:on US Lender. aitnched tn d~c A~signrncnt is any
d,xumcnration required to be delivered hy it pursuant to the terms of the Credit Agreement. duly
L·ornpkred and exetuled by the Assignee;. c:nd tb) ;l[:rce.~ that (i) i! "viii. indcrcndenrfy Ctnd . .virhonr
rc:i:;lncc on rhe Administrative Agent, the Assignor or Jny other Lender, 3nd b~sed on such documents
l!ild tnfonnation a~ it ~hall deem appropriate ;:t tha' lime, contmue to make 11s own credit decisions in
t3king or not taking action under the Credit Docc.ments. and ( ii) it will perform 111 accordance wnh their
terms all of the obligations which by the terms ot'the Credit Ducurm:nts are rt:quired robe performed by it
J' a Lender.


           2.      Payments. All            payment~       witn respect to the       A~signed    Interesls shall be made on the
Cif~:cu·,;o;;Date as toBow~:

           :.1         Vith   respect to   .tt.s.signed   ir.tcft~b l·ur   Tt:rn;   Lo~1ns. Llnk.. s~ nunc{.~   tu   lht• CHrtt:-ary r...,
uc:l:'-C'rL~d   10 the Lender from the :dm:n:~rr;:t~·~·e A~'cn;_ p;i:,;11cnl lo the ::..~rgnor hy the .A~st:;n~L" in
rcspecr of the      ,,sign~d
                           Interest shail inciudc :ouch ,·ompcns;,r,on to the As>~gnor ns m;,y be agreed upon
1~y ~:1c :~signor and the A.ssignee vlth rL·spccr tc ail unraid interest ·...vhich has accrued on 1h~ As~;!gned
i:11ere~1 to bur excluding the Effccitve D~lc. Un Jnd after the app!icabk t:ffecriv~ Dmc. the Assignee
c;h~JI be entHied lO receive all imeresr paid or pav:tble with r<::specr tc> tht: Assigned interest. whether such
!r.teresr accrued bc:fore or after the Effecl!v<: Date

           I')

[i:..')"'OSJl~, :r.nn and after the EftCcti'.tL" D.tlt..' !ilc A.d:;:ir".;;-;c·~~:ivc A::;cnt st-:~.dl n·;:H:c jiJ ~j;·::~mt·f.! ir1 respcc!
of the A,s1gned !nterest (including paymcntj or principal, uncrcst. fees and mher arnount~) to the
A~,;gncr 10r amounts which have accrued to but cxc:luding the Effec:tlve Date and to the A>.'>tgnee for
:uEounts 1.vhich h<~vc accrued from and after 1hc Effective Date.

                                                                       6
-'            General Provistons. This A~signmem shall be binding upon. and inure 10 the benefit of.
the p8ntes hcretO and thetr respec~l·e 5uccessors and asstgns. Tht:> Assignment m~y be ..:xccut.::d m any
nurnb<:r of c·:mmerpans. Vhi.:h together shali cor:stitwe one instnmlenL Delivery of an execu•ed
;;ount:..:rp~u: l.lr::.: )lg_.l1all..ne pngt.~ . thi~ .--~si12rn11C~1l by tclccopy shall be cffec11ve- a.'- delivery off! n1nnuaHy
                                               ..>:·
ex<::,·utcd cour.u:rpan o( this AsstgnrncnL Tills Aostgnmcnt shall ht:' governed by. :md construed ;n
accordance w1th. the: JJllcrnai [;nv;, of tile Srate of "'ew York w;thout regard tc) conlitct of [a'.'·;. principles
thercor'.




                                                               7

10000000006

  • 1.
    UNITED STATES BANKRUPTCYCOURT FOR THE DISTRICT OF DELAWARE -------------·--------------·--··------------X In re: Chapter 11 ALLIED SYSTEMS HOLDINGS, INC., Case No. 11-.._[_ _,] ([_]) Alleged Debtor. -------- - ·- ·-·-- ·-·--------···-···-·-------------------------X In re: Chapter 11 ALLIED SYSTEMS, LTD. (L.P.), Case No. 11-[_ ___.] (LJ) Alleged Debtor. ---------------------------------------------x AFFIDAVIT OF RICHARD EHRLICH ON BEHALF OF BDCM OPPORTUNITY FUND II, LP PURSUANT TO FEDERAL RULE OF BANKRUPTCY PROCEDURE 1003 STATE OF CONNECTICUT) ) ss: COUNTY OF FAIRFIELD ) Richard Ehrlich being duly sworn, deposes and states: 1. I make this affidavit on behalf of BDCM Opportunity Fund II, LP ("BDCM"), a petitioning creditor in the above-captioned involuntary chapter 11 cases (the "Bankruptcy Cases") filed by BDCM and other petitioning creditors against (i) Allied Systems Holdings, Inc., and (ii) Allied Systems, Ltd. (L.P.) (together, the "Debtors")- I am fully familiar with the facts set forth herein either through my own personal knowledge or through a review of documents related to BCDM's claims against the Debtors. If called to testify in connection with the Bankruptcy Cases, the following would constitute my testimony.
  • 2.
    2. I am a Managing Director of Black Diamond Capital Management, L.L.C., which through its affiliated entities is the investment manager for BDCM. BDCM has its principal place of business at 1 Sound Shore Drive, Suite 200, Greenwich, Connecticut 06830. BDCM is a creditor of the Debtors based upon its status as a lender under that certain Amended and Restated First Lien Secured Super-Priority Debtor in Possession and Exit Credit and Guaranty Agreement dated as of March 30, 2007 by and among Allied Holdings, Inc. and Allied Systems, Ltd. (L.P.), as borrowers, certain subsidiaries of borrowers, as subsidiary guarantors, various lenders, Goldman Sachs Credit Partners L.P., as lead arranger and syndication agent, and The CIT Group/Business Credit, Inc., as administrative and collateral agent (as amended, restated, modified, or supplemented from time to time, the "First Lien Credit Agreement"). The First Lien Credit Agreement 3. Pursuant to the First Lien Credit Agreement, various lenders committed to extend term loans, revolving loans, and synthetic letters of credit to the Debtors in the amount of $315 million. Due to the accrual of interest and fees, the current outstanding aggregate amount of the Obligations (as defined in the First Lien Credit Agreement) is approximately $296.4 million. A copy of the First Lien Credit Agreement will be annexed to a declaration in support of a statement contemporaneously filed by the petitioning creditors. 4. Pursuant to the First Lien Credit Agreement, the lenders' commitments under term loans, revolving loans, and synthetic letters of credit were evidenced by promissory notes. The claims of BDCM and other petitioning creditors derive from these notes. 5. The Obligations are secured by first priority liens in substantially all of the Debtors' assets, including, but not limited to accounts, chattel paper, general intangibles, goods, instruments, insurance, intellectual property, investment related property, letter of credit rights, 2
  • 3.
    money, receivables, andcommercial tort claims. The Obligations are guaranteed by affiliates of the Debtors. The Assignments 6. By virtue of the execution of several assignment and assumption agreements, BDCM received an unconditional transfer and assignment of certain amounts of loans owed by the Debtors under the First Lien Credit Agreement (the "Assigned Claims"). Redacted copies of the assignment documentation are attached as Exhibit A. 7. The Assigned Claims were not assigned to BDCM for the purposes of commencing the Bankruptcy Cases. 8. As of the date hereof, BDCM holds Obligations in the aggregate principal amount of at least $26.8 million, together with all accrued and unpaid interest (including default interest), fees and expenses calculated in accordance with the Credit Agreement. . rJ-1-.. Dated: May if_ 2012 Greenwich, Connecticut -d/~ RICHARD EHRLICH Sworn to and subscribed before me This (/ 0 day ofMay, 2012 //71~,~ ~- Notary Public . r r Subscribed and swom to before me l ~=21::3:!;2_ Notary Public Ex~lres: Date commission /6 J /s~Z ~/ Y l ., ----I"''DVJ 3
  • 4.
  • 5.
    L PURCHASE AND SALE AGREEMENT TRANSACTION SPECIFIC TERMS THIS PURCHASE AND SALE AGREEMENT F s dated as of the Agreement Date and entered into by and between Seller and Buyer to govern purchase and sale of the Loans, the Commitments (if any) and the other Transferred Rights, in accordance with the terms, conditions and .agreemleln.ts.seltlflorlth in the LSTA Standard Terms and Conditions for Purchase and Sale Agreement for 1 published by the LSTA as of I the "Standard Terms"). The Standard Terms are incorporated herein by reference any cation whatsoever except as otherwise agreed herein by the Parties and as specifically supplemented and modified by the terms and elections set forth in the Transaction Summary and Sections A through H below. The Standard Terms and the Transaction Specific Terms together constitute a single integrated Purchase and Sale Agreement fo overning the Transaction. With respect to the Transaction, the Parties agree to be bound by the Standard Terms and the Transaction Specific Terms set forth herein. Trade Date: Agreement Date: Seller: Seller MEl: Buyer: Buyer MEl: Credit Agreement: Lien Secured Super-Priority Debtor In Possession and Exit Credit and Guaranty Agreement dated as of March 30, 2007, and amended and restated as of May 15, 2007, among Allied Systems Holdings, Inc. (as successor by merger to Allied Holdings, Inc.), Allied Systems, Ltd. (L.P.), certain Subsidiaries of Holdings and Systems, as Guarantors, the Lenders parties thereto from time to time, Goldman Sachs Credit Partners L.P., as Lead Arranger and Syndication Agent, The CIT Group/Business Credit, Inc., as Administrative Agent and Collateral Agent and the other agents parties thereto Borrower: Allied Systems Holdings, Inc., Allied Systems, Ltd. (L.P.) Purchase Amount(s): (1 pal amount of LC Deposits (2 cipal amount of Term Loans Tranche(s): (1 (2 CUSIP Number(s), if available: Not Applicable Pre-Settlement Date Accruals 0 Settled Without Accrued Interest Treatment: ~ Trades Flat Type of Assignment: ~ Original Assignment LSTA EFFECTIVE SoptambrH 9, 20·11 Col>yri]ht 1) LSTA 2011. All rights reserved.
  • 6.
    0 Secondary Assignment Borrower In Bankruptcy: YesO No~ Delivery of Credit Documents: YesO No~ Netting Arrangements: Yes~ NoD Flip Representations: YesO No~ Step-Up Provisions: YesO No~ Shift Date: Not Applicable Transfer Notice YesO No~ DEFINITIONS Capitalized terms used in this Agreement shall have the respective meanings ascribed thereto in Section 1 of the Standard Terms, as supplemented by Section A of the Transaction Specific Terms and as otherwise may be provided in other provisions of this Agreement. Terms defined in the Credit Agreement and not otherwise defined in this Agreement shall have the same rreanings in 1t1is Agreement as in the Credit Agreement. Except as otherwise expressly set forth herein, each reference herein to "the Agreement," "this Agreement," "herein," "hereunder" or "hereof" shall be deemed a reference to this Agreement. If there is any inconsistency between the Transaction Specific Terms and the Standard Terms, the Transaction Spec1f1c Terms shall govern and control In this Agreement: "8gent" means THE CIT GHOUP I Business Credit, Inc. as Administrative Agent under the Credit Agreement. "Assignment" means an Assignment and Assumption Agree1nent that is in the form specified in the Credit Agreement for an assignment of the Loans and Commitments (if any) and any Required Consents to such assignment "Bankruptcy Case" select one: ~ none. 0 means [the case under the Bankruptcy Code pending before the Bankruptcy Court in which Borrower Is a debtor, In re _____ , No. _ _ __]. "Bankruptcy Court" select one: l8J none. 0 means [the United States Bankruptcy Court for the _ _ _ _ District of _ _ _ _ _ (and, if appropriate, the United States District Court for that District)]. "Bar Date" select one: ·-·~ot applicable. 0 none has been set. 0 means [specify applicable date, if any]. "Buyer Purchase Price'' select one: 0 not applicable. 0 means the purchase price payable by Buyer to Original Buyer pursuant to the Netting Letter (this applies if there are three (3) parties involved in the netting arrangement). 0 means the purchase price payable by Buyer to Penultimate Buyer pursuant to the Netting Letter (this applies if there are four (4) or more parties involved in the netting arrangement). 2
  • 7.
    "Commitments" select one: --~ none. 0 means [identify applicable commitment tranche(s) using Credit Agreement definitions] in H1e principal amount of $1£1€_______ [in each case specify the aggregate amount of the Loans, the Unfunded Commitments and the portion, if any, of the Commitments that is irrevocably "frozen" (L_s, that ts not subject to future drawing)]. "Covered Prior Seller" select one: [g) not applicable. 0 means each Prior Seller that transferred the Loans and Commitments (if any) on or after t11e Shift Date [but prior to the transfer pursuant to which transferred such Loans and Commtments (if any) on a distressed documentation basis pursuant to the Purchase and Sale Agreement for Distressed Trades dated as of , as set forth in the Annex]. "Filing Datr( select one: !81 none. 0 means [identify date on which Borrower filed Bankruptcy Case]. "Loans'' means (i} LC Deposits in ipal amount or.lllllllland (ii} Term Loans in the outstanding principal amount o f l • • "Nettin_q Letter" select one: 0 not applicable. !81 means that certain Multilateral Netting Agreement in the form currently published by the LSTA dated on or as of the Agreement Date among Seller, Buyer and Original Buyer. "9riginal Buyer" select one: 0 !81 notap]p.licialbllel.llllllllllll meanSJ "Penultimate Buyer" select one: 0 not applicable. [g) none ("none'' is applicable if there are only three (3) parties tnvolved in the netting arrangement). 0 means _ _j. ''Required Consents" means notice to the Borrowers and the Agent and the acceptance and recordation of the Assignment by the Agent. "Seiler Purchase Price" select one; 0 not applicable. t2J means the purchase price payable by Original Buyer to Seller pursuant to the Netting Letter. "Transfer Fee".llllllllll "Unfunded Q.Qmmitments" means none. 3
  • 8.
    SECTION 4 (SELLER'SREPRESENTATIONS AND WARRANTIES} r The following specified terms shall apply to the sections referenced in this Section 8: Flat Representafion Flip Representation-- Step-Up ~----, Representation -------L:--~-;:--,--~-= i If "No" is specified If "Yes" is specified If "Yes" is specified j opposite both "Flip opposite "Flip opposite "Step-Up Representations" and Representations" ·'Step-Up Provisions" in the the Transaction Summary, in Transaction the I Provisions" in Transaction Summary, the the following , Summary, the following • following subsections . subsections of Section 1 subsections of Section 4 of Section 4 shall I' 4 shall apply: shall apply: j 1 apply: . 1--, s-=-e-c"""·ti_o_r_l4--:-_...,.ic-(dc-}c: (T=itc-1~,. .} · --~---section 4-.-I{d)(i) L-Secticm 4.1 (d}(ii) l Section 4 1(d)(i} ~ Soct~o 4. 1{e) I(Proceedings) = t s o c t i o o 4. 1{e){l) I Section 4. 1(e}(i) __ ,_ Secti0n-·4~1(e}(ii) 1 I I 1-::::--:-:-· · - Section 4. 1(1) (Principal Amount) -·-· ---- ' Section 4.i(f)(i) Section ,f"f(i)(-ii)-- --- seciiori4.1(t)(i)- .___ __ , -I ~ · SectiOn4. 1(g) (Future- --- Section 4.1 (g)(i) Section 4.1(g)(ii) Section 4.1 (g)(iii) Funding) --·-·-··· -~~- .. Section 4. 1(h) (Acts ancr~·- -·~- Section 4.1(h)(i) Section 4.1 (h)(i) Section 4. 1(h)(ii) , QmJ§E!lons) l I ~--·W-•••·-·----··•· 1 Section 4. 1(i) .. . ... --1 ·~-~ Section 4.1 (i)(i) --- Section 4.1 (i)(i): : - - -·-·section4T(i)(ii) ·~ -; 1 (performance of Obligations) _______ ____._ Section 4 1(l)(iy-- ~~-- Section 4.1 (I) (Setoff) -- Section 4.1 (l)(i) Section 4.1 (l)(ii) Section 4.1 (t) (Con sa~ r----------::c··---···------· Section 4.1 (t)(i} ------ - ; -Section-4.1·(t)(ii) Section 4.1 (t)(i) · -..- - - · · - - and Waivers) ~- ............. --,.,...- Section 4.1 (u) (Other section 4:1(u)(i) Section 4.1 (u)(i) ........ sectiof1-,:rf(u)(iiT' Documents) . ---- -sectfon 4.1 (v) (Proof of --~ Section 4.1 (v)(i} Section 4.1(v)(ii) Section 4.1 (v)(i) Claim) . j Section 4. 1(k) (Purchase Price); NS?.tting Arrangements. If "Yes" is specified opposite Netting Arrangements in the Transaction Summary, Section 4. 1(k) shall be amended in its entirety as follows: '(k) [intentionally omitted]." 4
  • 9.
    Section 4.1(r) (PredecessorTransfer Agreements). 0 Seller acquired the Transferred Rights from Immediate Prior Seller pursuant to Predecessor Transfer Agreements relating to par/near par loans. 0 Seller acquired the Transferred Rights from Immediate Pnor Seller pursuant to Predecessor Transfer Agreements relating to distressed loans. 0 Seller acquired the Transferred Rights from Immediate Prior Seller pursuant to Predecessor Transfer Agreements relating to both par/near par loans and distressed loans. [8:1 Not applicable. Section 4.1 (u) (Other Documents). [8:1 None. 0 The following: _ _ _ __ Section 4.1 (v) (Proof of Claim). 0 The Proof of Claim was duly and Umely filed, on or prior to the Bar Date, by 0 the Agent on behalf of the Lenders. 0 Seller or a Prior Seller. The Bar Date specified in the Transaction Specific Terms has been set in the Bankruptcy Case and no Proof of Claim has been filed. 0 No Bar Date has been set in the Bankruptcy Case and no Proof of Claim has been filed. 0 Not applicable. SECTION 5 (BUYER'S REPRESENTATIONS AND WARRANTIES Section 5.1 (n) (Buyer Status). 0 Buyer is not a Lender. [8:1 Buyer is a Lender. 0 Buyer is an Affiliate [substitute Credit Agreement defined term if different] (as defined in the Credit Agreement) of a Lender. 0 Buyer is an Approved Fund {substitute Credit Agreement defined term if different] of a Lender. If "Yes" is specified opposite "Delivery of Credit Documents" in the Transaction Summary, Buyer represents and warrants that it (i) was not a Lender on the Trade Date and (ii) requested copies of the Credit Documents from Seller on or prior to tne Trade Date. SECTION 6 (INDEMNIFICATION) Section 6,1 (Seller's lnderonities); Step-Up Indemnities. (i) If "Yes" is specified opposite "Step-Up Provisions" in the Transaction Summary, Seller's indemnities contained in Section 6 1(b) shall apply (and the alternate indemnities contained in Section 6.1 (a) shall not apply). (ii) If "No" is specified opposite ''Step ..Up Provisions" in the Transaction Summary, Seller's indemnities contained in Section 6.1(a) sr,all apply (and the alternate indemnities contained in Section 6.1 (b) shall not apply). SECTION 7 (COSTS AND EXPENSES) 0 The Transfer Fee shall be paid by Seller to the Agent and the Purchase Price sl1all be increased by an amount equal to 0 one-half thereof. 0 other relevant fraction or percentage, _ _ , thereof. 5
  • 10.
    D The Transfer Fee shall be paid by Buyer to the Agent and Buy'!:lr shall receive a credit to the Purchase Price equal to D one-half thereof. D otl1er relevant fraction or percentage, _ _ , thereof. [g) The Transfer Fee shall be paid and allocated in the manner specifie<~ in the Netting Letter. 0 The Transfer Fee has been waived by the Agent and, accordingly,. no adjustment to the Purchase Price shall be made in respect thereof. 0 There is no Transfer Fee and, accordingly, no adjustment to the Purchase Price shall be made in respect thereof. SECTION 8 (DISTRIBUTIONS; INTEREST AND FEES; PAYMENTS) Section 8.2 (Distributions); Step-Up Distributions Covenant. (i) If "Yes" is specified opposite "Step-Up Provisions" in th~ Transaction Summary, Seller's covenants contained !n Section 8.2(b) shall apply (and the alternate covenants contained in Section 8.2(a) shall not apply). (ii) If "No" is spec1f1ed opposite "Step-Up Provisions" in th.e Transaction Summary, Seller's covenants cor1tained in Section 8.2(a} shall apply (and the alternate covenants contained in Section 8.2(b) shall not apply). Section 8.4 (Wire Instructions). SECTION 9 (NOTICES) Seller's Address for Notices and Deli'&[.'{ 6
  • 11.
    Operations Contact (Fundlng Notices,Borrowtilgs, Paydowns, Interest, Fees, etc.) Buyer's Address for Notices and Delivery: All Notices Sent To BDCM OPPORTUNITY FUND II, L.P. C/0 Black Diamond Capital Management, L.L.C. Attn: Loan Administrator Legal Documentation: Send To: BDCM OPPORTUNITY FUND II, L.P. c/o Black Diamond Capital Management L.L.C. Attn: Loan Administrator Credit Communications All Credit Information Sent To: Black Diamond Capital Management, L.L.C. 7
  • 12.
    PH•- H.. SECTION 27 (ADDITIONAL PROVISIONS) Tt· e following additional provisions, ·Including any modifications to existing provisions, shall apply• None 8
  • 13.
    IN WITNESS WHEREOF,Seller and Buyer have executed this Agreement by their duly authorized officers or representatives as of the Agreement Date. SELLER By:~--------------- Name: Title: BUYER BDCM OPPORTUNITY FUND II, L.P. by BOCM Opportunity Fund II Adviser, L.L.C. its Investment Manager 9
  • 14.
    IN WITNESS WHEREOF,Seller and Buyer have executed this Agreement by their duly authorized officers or representatives as of the Agreement Date. SELLER BUYER BDCM OPPORTUNITY FUND II, L.P. by BDCM Opportunity Fund II Adviser, L.L.C. its Investment Manager Title: 9
  • 15.
    ANNEX TO PURCHASEAND SALE AGREEMENT FOR DISTRESSED TRADES 1. If "Secondary Assignment" is specified opposite "Type of _<lssignment" in the Transaction Summary, list of Predecessor Transfer Agreements and prindpal amount as of the settlement date with respect thereto, of the portion of the Loans and Commitmerots (if any) thereunder assigned hereby for purposes of Section 4.1 (r) and Section 5.1 (l«)(i) hereof, and designation as to whether such Predecessor Transfer Agreements relate to parlnG<ar par loans or distressed loans. Not Applicable 2. List of Credit Agreement and any other Credit Documents delivered pursuant to Section 4.1(s) hereof. None. 3. Description of Proof of Claim (if any). Not applicable. 4. Description of Adequate Protection Order (if any). Not applicable. 5. List any exceptions to Section 4.1 (w) (Notice of Impairment). None. 6. The amount of any PIK Interest that accreted to the principal <Mnount of the Loans on or after the Trade Date but on or prior to the Settlement Date i s · · · · Annex-l dc-585084
  • 16.
    ASSIGNMENT AND ASSUMPTIONAGREEMENT T!1is Assignment and Assumption A!~;~;~~~-lj~~~-~~~(::~; set forth below and Is entered into by and Opportunity Fund II, L.P. (lhe "Assignee"). Capitalized terms u herein shall have the meaningg given to them in the Amended and Restated First Lien Senior Secured Stlper-Priorlty Debtor- in-Possession and Exit Credit and Guaranty Agreement identified below (as II may be amended, supplemented or otheiWise modified from time to lime, he ''Credit Agreement"), receipt of a copy of which is hereby acknowledged by the Assignee. The Standard Terms and Conditions sel forth in Annex 1 attached 1areto are hereby agreed to and Incorporated herein by r~ference and made a part of this Assignment as if set forth herein in fulL For an e~greed consideration, the Assignor hereby irrevocably sells and assigns to t11e Assignee, and the Assignee hereby Irrevocably purchases and assumes from the Assignor, subject to and In accordance with the Standard Terms and Conditiol'ls and the Credit Agreement, as of the Effective Oate Inserted by the Administrative Agent as contemplated below, the interf)st in and to all of the Assignor's rights and obligations under tile Credit Agreernont and any other documents or instruments delivered pursuant thereto !hat represents the amount and percentage Interest idenlifled below of all of llle Assignor's ootstanding rights and obligations under the respective facilities identified below (including, to the extent Included in any such facilitie~. letters o1 credit, LC Deposits and swing line loans) (the "Assigned Interest"). Such sale and assignment Is without recourse to the Assignor and, except as expressly provided In this Assignment and the Credit Agreement, without representation or warranty by lhe Assignor. j Assignor: 2. Assignee: BDCM Opportunity Fund II, L.P. 3. Borrow<:!r(s): Allied Systems Holdings, Inc., Allied Systems, LTD (LP.) 4. Adrninistrative Agent; The CIT Group I Busine,.,. Credit, Inc., as the administrative agent utder the Credit Agreement 5. Credit Agreement: Amended and Restated First Lien Secured Super-Priority Debtor In Possession and Exit Credit and Guaranty Agreement dated as of March 30, 2007, and amended and restat"d as of May 15, 2007, among Allied SystGms Holdings, Inc. (as successor by merger to Allied Holdings, Inc.), Allied Systems, Ltd. (LP.), certain Subsidiaries or Holdings and Systems, as Guarantors, tile Lenders parties thereto from llme to lime, Goldman Sachs Credit Partners L.P, as Lead Arranger and Syndication Agent, The CIT Group/Businesa Credit, Inc., as Administrative Agent and Collateral Agent and the other agents parties 11Greto NY450783. 11153-04166
  • 17.
    6. Assigned Interest: Aggregate Amount of Amount of Percentage Assigned of Commitment!Loans/LC Commitment/Loans/LC Commitmentlloans/LC Facility Assigned Deposits for all Lenders Deposits Assigned Deposits -----·---- LC Deposits Term Loans USD···· USD•• ---SD --IIJSD --·Vo Effective Date: 2
  • 18.
    7. Notice andWire ln,tructions: See Attached 3
  • 19.
    Wire Instructions Wire Instructions: See Attached 1[
  • 20.
    The terms setforth in this Assignment are hereby agreed to; ASSIGNOR By: Name: Title: ASSIGNEE BDCM Opportunity Fund II, L.P .. as Assignee By BDCM Opportunity F4md II Adviser, L.L.C. Its Investment Manager 5
  • 21.
    The terms setforth in this Assgnrnent are hereby agreed to: ASSIGNOR ASSIGNEE BDCM Opportunity Fund 11, L.P., liS AsslgMe B' BOCM Opportunity Fund II Adviser, L.L.C. 1s Investment Manager By: ____· · - - - - - - · - - - - - · - · - - - - · - .'llarne: Tltle: 5
  • 22.
    Consented to andAccepted; Consented to: ALLIED HOLDINGS, INC. By: Name: Tltl<l: ALLIED SYSTEMS, LTD (L.P.) lly: Nama: 'Iitie: 6
  • 23.
    STANDARD TERMS ANDCONDITIONS FOR ASSIGNMENT AND ASSUMPTION AGREEMENT l. Representations and Warranties. l. 1 Assignor. The Assignor (a) represents and warrants that (i) it is the legal and beneficial ovmor of the Assigned Interest, (li) lhe Assigned Interest is free and clear of any lien, encumbrance or other adverse claim and (iii) It has fuil power and authority, Md has t<:lken all action necessary, to BXecute and delivm Ihis 1'>.sslgnment and to consummate the transactions contemplated hereby; ::~nd (b) assumes no responsibility with respect to (i) any statements (as defined herein), warranties or representations made in or in connection with any Credit Documenl, (il) the execution, legality, validity, enforceability, genuineness, sufflcioncy or value of the CrEJdil Agreement or any other instrumr:Jnl or document delivered pursuant thereto, other than this Assignment (herein collectively the "Credit Documents"), or any collateral thereunder, (iii) the financial condition of the Company, any of its Subsidiaries or Affiliates or any other Person obligated in respect of any Credit Document or (iv) the performance or oi)servance by the 8orrower, any of its Subsidiaries or Affiliates or any other Person of any of their respective obligations under any Credit Document. l .2 Assignee. The Assignee (a) represents and warrants thai (i) it has full power and authority, and has taken all action necessary, to execute and deliver this Assignment and to consummate the transactions cont(lmpl<1tad hereby and to bt<Jcome a Lender under the Credit Agreerne11t, (ii) it meets all requirements of an Eligible Assignee under the Credit Agreement, (iii) from and after :he Effective Date, it shall be bound by the provisions of the Credit Agrostnsnt and, to the extent of the Assigned Interest, shall have the obligaliona of a lender thereunder, (iv) II has received a copy of tho Credit Agreement !lnd such oti1er documents and information as il has deemed appropriate to make its own cred't analysis and decision to enter into this Assign1nent and to purchase the Assigned Interest on the basis of which it has 1nada such analysis and decision, and (v) if it is a Non US Let1der, attached to the Assignment is any documentation required to be delivered by it pursuant to the terms of the Credit Agreement, duly completed and executed by the Assignee; and (b) agrees that (i) It will, independently and without reliance on the Administrative Agent, the Assignor or any other Lender, and based on such documents and Information as It shall deem appropriate at that time, continue to make its own credit decisions in taling or not taking action under the Credit Documents, end (ii) it will perform in accordance witl> their tt>rms all of the obllg<1ions which by the !erms of the Credit Documents are required to be performed by it as a Lender. · 2. Payments. All payments with respect to the Assigned Interests shall be made on tle Effective Date as follows: 2. I With respect to Assigned Interests for Term Loans, unless notice to the contrary is delivered to tile Lender from tile Administrative Agent, paym13nl to li)e Assignor by the Assignee in respect of llie Assignfld Interest shall include such compensation to the Assignor as may be agreed upon by the Assignor and the Assignee with respect to all unpaid interest which has accrued on the Assigned Interest to but excluding the Effective Date. On and alter the applicable Effective Date, the Assignee shall bo enlifled to receive all into rest paid or payable with respect to the Assigned lnte1·est, whether such interest accrued before or after the Effecttvo Dste. 2.2 With respect to As~Hgned Interests for Hevolving Loans and LC Comrr11tmemts snd LC Dopa sits, from and alter the Effective Date, the Administrative Agent shall make all payments In respect of the Assigned Interest (including payments of principal, interest, fees and other amounts) to the Assignor for amounts which have accrued to but excluding the Effective Dale and to the Assignee lor amounts which have accrued from and after the Effective Date. · 7
  • 24.
    3. General Provisions. This Assignment shall be binding upon, and Inure to !he benefi or, the parties hereto and their respective successors and assigns. This Assignment may be executed in any number of counterparts, which together shall constitute one lns;rument. Delivery of an executed counterpart of a signature psge of this Assignment by tetecopy shall be eHective as delivery of a manually executed counterpart of this Assignment. This Assignment shall be governed by, and construed in uccordance with, the Internal laws of the Stale of New York without regard to conflict <>f laws principl~s thereof.
  • 26.
    L PURCHASEANDSALEAG TRANSACTION SPECIFIC TERMS THIS PURCHASE AND SALE AGREEM dated as of the Agreement Date and entered into by and between Seller and Buyer to govern the purchase and sale of the Loans, the Commitments (if any) and the other Transferred Rights, in accordance with the terms, conditions and agreements set forth in the LSTA Standard Terms and Conditions for Purchase and Sale Agreement- ········published by the LSTA as of (the "Standard Terms"). The Standard Terms are incorporated herein by reference any ification whatsoever except as otherwise agreed herein by the Parties and as specifically supplemented and modified by the terms and elections set forth in the Transaction Summary and Sections A through H below. The Standard Terms and the Transaction Specific Terms together constitute a single integrated Purchase and Sale Agreement - - - - - g o v e r n i n g the Transaction. With respect to the Transaction, the Parties agree to be ~d Terms and the Transaction Specific Terms set forth herein. Trade Date: Agreement Date: Seller: Seller MEl: Buyer: Buyer MEl: Credit Agreement: Amended and Restated First Lien Secured Super-Priority Debtor In Possession and Exit Credit and Guaranty Agreement dated as of March 30, 2007, and amended and restated as of May 15, 2007, among Allied Systems Holdings, Inc. (as successor by merger to Allied Holdings, Inc.}, Allied Systems, Ltd. (L.P .), certain Subsidiaries of Holdings and Systems, as Guarantors, the Lenders parties thereto from time to time, Goldman Sachs Credit Partners L.P., as Lead Arranger and Syndication Agent, The CIT Group/Business Credit, Inc., as Administrative Agent and Collateral Agent and the other agents parties thereto Borrower: Allied Systems Holdings, Inc., Allied Systems, Ltd. (l.P.) Purchase Amount(s): (1 pal amount of LC Deposits ( Tranche(s): CUSIP Number(s), if available: Not Applicable Pre-Settlement Date Accruals 0 Settled Without Accrued Interest Treatment: · l8J Trades Flat Type of Assignment: k8J Original Assignment LSTA EFFECTIVE Septombor 9, 2011 Copyri(lllt@ LSTA 2Q11. All rlqhts rosorvod.
  • 27.
    0 Secondary Assignment Borrower in Bankruptcy: YesO No [gJ Delivery of Credit Documents: YesO No [gJ Netting Arrangements: Yes [gJ NoD Flip Representations: YesO No~ Step-Up Provisions: YesO No~ Shift Date: Not Applicable Transfer Notice YesO No~ DEFINITIONS Capitalized terms used in this Agreement shall have the respective meanings ascribed thereto in Section 1 of the Standard Terms, as supplemented by Section A of the Transaction Specific Terms and as otherwise may be provided in other provisions of this Agreement. Terms defined in the Credit Agreement and not otherwise defined in this Agreement shall have the same meanings in this Agreement as in the Credit Agreement. Except as otherwise expressly set forth herein, each reference herein to "the Agreement," "this Agreement," "herein," "hereunder" or "hereof" shall be deemed a reference lo this Agreement. If there is any inconsistency between the Transaction Specific Terms and the Standard Terms, the Transaction Specific Terms shall govern and control. In this Agreement: "Agent" means THE CIT GROUP I Business Credit, Inc. as Administrative Agent under the Credit Agreement. "Assignment" means an Assignment and Assumption Agreement tMt is in the form specified in the Credit Agreement for an assignment of the Loans and Commitments (if any) and any Required Consents to such assignment. "Bankruptcy Case" select one: [gJ none. 0 means [the case under the Bankruptcy Code pending before the Bankruptcy Court in which Borrower is a debtor, In re _____ , No. - - - - - ' "Bankruptcy Court" select one: ~ none. 0 means [the United States Bankruptcy Court for the _____ District of _ _ _ _ (and, if appropriate, the United States District Court for that District)]. "Bar Date" select one: [gj not applicable. 0 none has been set 0 means [specify applicable date, if any]. "lildYer Purchase Price" select one: 0 not applicable. ~ means the purchase price payable by Buyer to Original Buyer pt1rsuant to the Netting Letter (this applies if there are three (3) parties involved in the netting arrangement), 0 means the purchase price payable by Buyer to Penultimate Buyer pursuant to the Netting Letter (this applies if there are four (4) or more parties involved in the netting arrangement). 2
  • 28.
    "Commitments" select one: -~-~;;;);;~- o means [identify applicable commitment tranche(s) using Credit Agreement definitions] in the principal amount of $/£/€ {in each case specify the aggregate amount of the Loans, the Unfunded Commitments and the portion, if any, of the Commitments thai is irrevocably "frozen" (i.e .. that is not subject to future drawing)]. 'Covered Prior Seller" select one: 0 not applicable. D means each Prior Seller that transferred the Loans and Commitments (if any} on or after the Shift Date [but prior to the transfer pursuant to which transferred such Loans and Commitments (if any) on a distressed documentation basis pursuant to the Purchase and Sale Agreement for Distressed Trades dated as of , as set forth in the Annex]. "Filing Oat§" select one: 0 none. D means [identify date on which Borrower filed Bankruptcy Case]. "1.9...illl.§." means (i) LC Deposits in t;iheilclultsltalnldlinlglllplrincipal amount ot~nd (il) Term Loans in the outstar'lding principal amount ot 1 1 1 "Netting Letter" select one: 0 not applicable. 0 means that certain Multilateral Netting Agreement in the form currently published by the LSTA dated on or as of the Agreement Date among Seller, Buyer ar1d Original Buyer. "Original Bum" select one: 0 not applicable. 0 meantlllillii••••••• "Penultimate Buyer" select one: 0 not applicable. 0 none ("none" is applicable if there are only three (3) parties involved in the netting arrangement). 0 means ~-.-_ __ J "8__~guired Consents" means notice to the Borrowers and the Agent and the acceptance and recordation of the Assignment by the Agent. "Seller Purchase Price" select one: 0 not applicable. 0 means the purchase price payable by Original Buyer to Seller pursuant to the Netting Letter. "Transfer F e e · - "Unfunded Commitm§mt;( means none. 3
  • 29.
    SECTION 4 {SELLER'SREPRESENTATIONS AND WARRANTIES} Tl1e following specified terms shall apply to the sections referenced in this Section B: ---------- ·•··· ·-----,~--,-~;;;:-:;-_;:;:~--e~-resen-tafron I Flip Representation- --------Step-Up Representation f------------l If "No" is -s-p-ec-,if;:-ie-d+l""f-c,:::-,Y:-e·S"iSSpecified 1{-;,;;/es"is specified opposite both "Flip opposite 'Flip opposite "Step-Up Representations" and Representations" in Provisions" in the "Step-Up Provisions'' in the Transaction Transaction Summary, the Transaction Summary, the the following Summary, the following following subsections I subsections of Section subsections of Section 4 of Section 4 shall I 4 shall apply: ·,---=----1' shall apply: -secifon-·4'1(Cil (Title) sf;)ction 4.1 (d)(i) · .. :~~S~~e:_c ..tr'on 4 i(d)('ir') . I'! --Sectr·on--4.1(-d---)-(r·)-· Section--4·-nei ____________ ----sec-,tio--n-4 _-:-17 7 (ec-:)(:::-i)--+ 1--::s::-e-ct""io-n--4 . 7 7 1(:-e:-:)(::-i)-----=s-ec-:cuc--o---:n 4~-i'{e)(~-)-! (Proceedings) 1 I Section 4. 1(f) (Principal Section 4. i (f)(i) --- ---=s:-e-ct.,.io_n_4-.1-:-(--:::f)-cc(ii,_)--l----=s-ec_t.,..io_n_4__1""(t"")(=i)---~ Amount) i Section 4.1(g) (Future Section 4. 1(g)(i) Section 4.1 (g)(iii) Funding) Section 4.1(h) (Acts and Section 4. 1(h)(i) ·----section 4.1 (h)(i) -- · section 4.1 (h)(ii) Omissions) ··section 4.1 (i) -·~----1f---s:.-e-ct,...io_n_4c-_1:-:(-:'Ci)c::(i)___ '··· ... ·--····--·--·---------..---------..!I Section 4,1 (i)(i) Section 4.1 (i)('i) (Performance of Obligations) I f-::--,----,-~------·--·------ --~;:::---:-;---;-;-;;-;-;;-:--· --- _._... ~,-------1----,---·-- ..........---1 Section 4.1 (I) (Setoff) Section 4. 1(l)(i) Section 4.1 (l)(i) Section 4. 1(l)(ii) · Section 4.1 (t) (Consents 1 Section 4.1 (t)(i) I Section 4.1 (t)(i) SeCtion 4.1 (t)(ii) and Waivers) 1 1 : Section 4.1 (u) (oiiler·--j -----Seciion-~f-1(u)(T)"'--- "'section 4.T(u)(if--l---=-s-ec-t.,-!o_n_4-.1-(_u__ __ _ ){.ii"') j Documents) i I=" 4.1(~ (P,®I o( ••... -- Sectioo 41 1'1:1I::~:~1---- ~-S"11oo 41 l'ltilj Section 4.1 (k) CE'..u.n;:hase Price); Netting Arrangements. If "Yes" is specified opposite Netting Arrangements in the Transaction Summary, Section 4. 1(k) shall be amended in its entirety as follows: '(k) [intentionally omitted]." 4
  • 30.
    Section 4.1 (r)(Predecessor Transfer Agreements). 0 Seller acquired the Transferred Rights from Immediate Prior Sell"'r pursuant to Predecessor Transfer Agreements relating to parinear par loans. 0 Seller acquired the Transferred Rights from Immediate Prior SelliBr pursuant to Predecessor Transfer Agreements relating to distressed loans. 0 Seller acquired U1e Transferred Rights from Immediate Prior Sell(i:lr pmsuant to Predecessor Transfer Agreements relating to both par/near par loans and distresses.'i loans. [81 Not applicable. Section 4.1 (u) (Other Documents). [81 None. LJ The following: - - - - · Section 4.1(v) (Proof of Claim). 0 The Proof of Claim was duly and timely filed, on or prior to the Bar Date. by [] the Agent on behalf of the Lenders. [] Seller or a Prior Seller. 0 The Bar Date specified in the Transaction Specific Terms has been set in the Bankruptcy Case and no Proof of Claim has been filed. D No Bar Date has been set in the Bankruptcy Case and no Proof 0'5 Claim l1as been filed. [81 Not applicable. SECTION 5 (BUYER'S REPRESENTATIONS AND WARRANTIES) Section 5.1(n) (Buyer Status). 0 Buyer is not a Lender. [81 Buyer is a Lender. 0 Buyer is an Affiliate (substitute Credit Agreement defined term if different] (as defined in the Credit Agreement) of a Lender. 0 Buyer is an Approved Fund [substitute Credit Agreement defined ~erm if different] of a Lender. If "Yes" is specified opposite "Delivery of Credit Documents" in the Transaction Summary, Buyer represents and warrants that it (i) was not a Lender on the Trade Oate and· (ii) requested copies of the Credit Documents from Seller on or prior to the Trade Date. SECTION 6 (INDEMNIFICATIOlli Section 6.1 (Seller's Indemnities); Ste..Q-Up Indemnities. (i) If "Yes" is specified opposite "Step-Up Provisions" i•n the Tn,,msaction Summary, Seller's indemnities contained in Section 6.1 (b) shall apply (and the alternate indemnities contained in Section 6. 1(a} shall not apply). (ii) If "No" is specified opposite "Step-Up Provisions" in the Tramsaction Summary, Se!ler's indemnities contained in Section 6.1 (a) shall apply (and the alternate indemnities contained in Section 6.1 (b) shall not apply). SECTION 7 (COSTS AND EXPENSES} 0 Tl1e Transfer Fee shall be paid by Seller to the Agent and the !Purchase Price shall be increased by an amount equal to 0 one-half thereof. [] other relevant fraction or percentage, _ _ , thereof. 5
  • 31.
    0 The Transfer Fee shall be paid by Buyer to the Agent and Buyer shall rece1ve a credit to the Purchase Price equal to 0 one-half thereof. D other relevant fraction or percentage, _ _ , thereof. [g) The Transfer Fee shall be paid and allocated in the manner specified in the Netting Letter. 0 fhe Transfer Fee has been waived by the Agent and, accordingly, no adjustment to the Purchase Price shall be made in respect thereof. 0 There is no Transfer Fee and, accordingly, no adjustment to the Purchase Price Silall be made in respect thereof. SECTION 8 (DISTRIBUTIONS; INTEREST AND FEES; PAYMENTS} Section 8.2 (Distributions); Step-Up Distributions Covenant. (i} If "Yes" is specified opposite "Step-Up Provisions" in the Transaction Summary, Seller's covenants contained 1n Section 8.2(b) shall apply (and the alternate covenants contained in Section 8 2(a} sr1all not apply), (ii) If "No" is specified opposite "Step-Up Provisions" in the Transaction Summary, Seller's covenants contained in Section 8.2(a) shall apply {and the alternate covenants contained in Section 8.2(b) shall not apply}. Section 8.4 (Wire Instructions). Seller's Wire lns_tructions: Buyer's Wire Instructions: SECTION 9 (NOTICES) Seiler's Address for Notices and Delivery: 6
  • 32.
    Operations Contact (Fundmg Notices,8orrowings, Paydowns, Interest, Fees, etc.) Buye(s Addr~ss for Notices and Delivery: All Notices Sent To BDCM OPPORTUNITY FUND II, L.P. C/0 Black Diarrond Capital Management, L.L.C. Attn: Loan Administrator Legal Documentation: Send To: BOCM OPPORTUNITY FUND II, LP c/o Black Diamond Capital Management L.L.C. Credit Communications All Credit Information Sent To: Man,.,r1Atr>Rli1, L. L. C. 7
  • 33.
    PH:- F th_ SECTION 27 (ADDITIONAL PROVISIONS) The following additional provisions, including any modifications to existing provisions, shall apply: None 8
  • 34.
    IN WITNESS WHEREOF,Seller and Buyer have executed this Agreement by their duly authorized officers or representatives as of the Agreement Date. SELLER By: _ _ _ _ _ _ _ _ _ _ _ _ _ _ __ Name: Title: BUYER BDCM OPPORTUNITY FUND II, L.P. by BDCM Opportunity Fund II Adviser, l.L.C. its Investment Manager By.·_-- Name: Title: 9
  • 35.
    IN WITNESS WHEREOF,Seller and Buyer have executed this Agreement by their duly authorized officers or representatives as of the Agreement Date. SELLER BUYER BDCM OPPORTUNITY FUND II, L.P. by BDCM Opportunity Fund H Adviser, L.L.C. its Investment Manager By: _ _ _ _ _ _ _ _ _ _ _ _ _ _ _. Name: Title: 9
  • 36.
    ANNEX TO PURCHASEAND SALE AGREEMENT FOR DISTRESSED TRADES 1. If "Secondary Assignment" is specified opposite ''Type of Assignment" in the Transaction Summary, list of Predecessor Transfer Agreements and principal amount, as of the settlement date with respect thereto, of the portion of the Loans and Commitments (if any) thereunder assigned hereby for purposes of Section 4.1 (r) and Section 5.1 (k){i) hereof, and designation as to whether such Predecessor Transfer Agreements relate to par/near par loans or distressed loans. Not Applicable 2. List of Credit Agreement and any other Credit Documents delivered pursuant to Section 4 i(s) hereof. None. 3. Description of Proof of Claim (if any). Not applicable. 4. Description of Adequate Protection Order (if any). Not applicable. 5. List any exceptions to Section 4.1 (w) (Notice of Impairment). None. 6. The amount of any PIK Interest that accreted to thell·?lrlinlcliplallamount of the Loans on or after the Trade Date but on or prior to the Settlement Date is• 1 Annex-! dc-58508~
  • 37.
    ASSIGNMENT AND ASSUMPTIONAGREEMEN1' This Assignment and Assumption Agreement the "Assi nment") is dated as of the Effective Date set forth below and is entered into by and between {the ''Assignor") and BDCM Opportunity Fund II, LP. (the "Assignee"), Capitalized terms used but no oefined herein shall have the meanings given to them in the Amended and Restated First Lien Senior Secured Super-Priority Debtor- in-Possession and Exit Credit and Guaranty Agreement identified below (as it may be amended, supplemented or otherwise modified from time to time, the ''Credit Agreemeni''), receipt of a copy of which is hereby acknowledged by the Assignee. The Standard Terms and Conditions set forth in Annex 1 attached hereto are hereby agreed to and incorporated i1erein by reference and made a part of this Assignment as if set forth herein in MI. For an agreed consideration, the Assignor hereby irrevocably sells and assigns to the Assignee, and the Assignee hereby irrevocably purchases and assumes from the Assignor, subject to and in accordance with the Standard Terms and Conditions and the Credit Agreement, as of the Effective Date inserted by the Administrative Agent as contemplated below, the interest in and to ali of the Assignor's rigl;ts and obligations under the Credit Agreement and any other documents or instruments delivered pursuant thereto that represents the amount and percentage interest identified below of all of the Assignor's outstanding rights and obligations under the respeciive facilities identified below (including, to the extent included in any such facilities, letters of credit, LC Deposits and swingline loans) (the "Assigned Interest"). Such sale and assignment is without recourse to the Assignor and, except as expressly provided in this Assignment and the Credit Agreement, without representation or warranty by the Assignor 1. Assignor: 2. Assignee: BDCM Opportunity Fund II, L.F'. 3. Borrower(s): Allied Systems Holdings, Inc., illied Systems, LTO (L.P.) 4, Administrative Agent: The CIT Group I Business Credit, Inc., as the administrative agent under the Credit Agreement 5. Credit Agreement: Amended and Restated First Lien Secured Super-Priority Debtor In Possession and Exit Credit and Guaranty Agreement dated as of March 30, 2007, and amended and restated as of May 15, 2007, among Allied Systems Holdings, Inc. (as successor by merger to Allied Holdings, Inc.), Ailied Systems, Ltd. (L.P.), certain Subsidiaries of Holdings and Systems, as Guarantors, the Lenders parties thereto from time to time, Goldman Sachs Credit Partners LP, as Lead Arranger and Syndication Agent, The CIT Group/Business Credit, Inc., as Administrative Agent and Collateral Agent and the other agents parties thereto NY450783. 11153-04166
  • 38.
    6. Assigned Interest: /l.ggrega!e Amount of Amount of Percentage Assigned of Commilment/Loans/LC Comml!ment/LoansiLC Commitment!Loans/LC --v. Facility Assigned Deposits for all Lenders Deposits Assigned Deposits --·-·-····------ ----- LC Deposits USD• • • • •USD Term Loans USD···· --11-JSD --Vo Effective 2
  • 39.
    7. Notice andWire Instructions: See Attached 3
  • 40.
    Wire Instructions: Wire Instructions: See Attached 4
  • 41.
    The terms setforth in this Assignment are hereby agreed to: ASSIGNOR By:-:-:-------------- Name: Title: ASSIGNEE BDCM Opportunity Fund II, L.P., as Assignee By BDCM Opportunity Fund II Adviser, L.L.C. Its Investment Manager By: 5
  • 42.
    The terms setforth in this /ssignment are hereby agreed to: ASSIGNOR BDCM Opportunity Fund II, LP., as Assignee By BDCM Opportunity Fund II Adviser, L.L.C. lls Investment Manager By: _ _ _ _ __ Name: Title: 5
  • 43.
    Consented (o andAccepted: Consented to: ALLIED HOLDINGS, INC. 13y: ---------···--·-------·---··-·---- Name: Title: ALLIED SYSTEMS, LTD (L.P.) By: ·-------·--·------ Name: Title: 6
  • 44.
    STAND/RD TERMS ANDCONDITIONS FOR ASSIGNMENT AND ASSUMPTION AGREEMENT Representations and Warranties. [ .1 Assignor. The Assignor (a) represents and warrants that (i) it is the legal and beneficial owner of ~he Assigned Interest, (ii) the Assigned Into rest is free and clear of any lien, encumbrance 01 other adverse claim and (iii) it has full power and authority, and has taken sll action necessary, to execute and deliver this Assignment and to consummate the trsnsactions contemplated hereby; and (b) assumes no responsibility with respect to (i) any statements (as defined herein), warranties or representations made in cr in connection with any Credit Document, (ii) the execution, legality, validity, enforceability, genuinePass, sufficiency or value of the Credit Agreement or any other instrument or document delivered pursuant thereto, other U1an this Assignment (herein collectively the "Credit Documents"), or any collateral tl1ereunder, (iii) the fin<mcial condition of the Company, any of its Subsidiaries or Affiliates or any other PersC>n odigated in respect of ony Credit Document or (iv} the performance or observance by the Borrower any of its Subsidiaries or Affiliates or any other Person of any of their respective obligations under an·1; Credit Document. ( .2 Assignee. The Assignee (a) l'epresents and warrants that (i) it has full power and authority and has taken all action necessary, to execute and deliver this Assignment and to consummate the transe:,ctions contemplated hereby and to become a Lender under the Credit Agreement, (ii) it meets all requir'ccments of an Eligible Assignee under the Credit Agreement, (Iii) from and after the Effective Date, it s'iall be bound by the provisions of the Credit Agreement and, to the extent of the Assigned Interest. o;hall ~1ave the obligations of a Lender thereunder. (iv) it has received a copy of the Credit Agreerne 'lf and such other documents and information as it has deemed appropriate to make its own credit anBiysis and decision to enter into this Assignment and to purchase the Assigned Interest on the bas1s of '·uhich it has made such analysis and decision, and (v) if it is a Non US Lender, attached to the Assignm'''nt is any documentation required to be delivered by it pursuant to the terms of the Credit Agreement, duly completed and executeo by t11e Assignee; and (b) agrees that (i) it will, independently and with•>ut reliance on the Administrative Agent, the Assignor or any other Lender, and based on such documer:s and information as it shall deem appropriate at that time, continue to make its own credit decisions in taking or not taking action under the Credit Documents, and (li) it will perform in accordance with thei• terms all of the obligations which by the terms of the Credit Dccuments are required to be performe :1 by it as a Lender. c.. Payments. All payments with respect to the Assigned Interests shall be made on the Effective Date as follows: 2:,1 With respect to Assigned Interests for Term Loans, unless notice to the contrary is delivereo to the Lender from the Administrative Agent, payment to the Assignor by the Assignee in respect d the Assigned Interest shall include such compensation to the Assignor as may be agreed upon by the Assignor and the Assignee with respect to all unpaid interest which has accrued on the .P.ssigned Interest to but excluding the Effective Date. On and after the applicable Effective Date, the Assignee shall be entitled to receive all interest paid or payable with respect to the Assigned Interest, whether such interest eccrued before or after the Effective Date. 2:,.2 With respect to Assigned Interests for Revolving Loans and LC Commitrr.ents and LC Deposits. from and after the Effective Date, the Administrative Agent shall make all payments in respect of the Assigned Interest (including payments of principal, interest, fees and other amounts) to the Assignor for amounts which have accrued to but excluding the Effective Date and to the Assignee for amounts which have accrued from and after the Effective Date. 7
  • 45.
    3. General Provisions. This Assignment shall be binding upon, and inure to the benefit of, the parties hereto and their respective successors and assigns. Tills Assignment may be execC~ted in any number of counterparts, which together shall constitute one instrument. Delivery of an executed counterpati of a signature page of this Assignment by telecopy shall be effective as delivery of a manually executed counterpart of this Assignment. This Assignment shall be governed by, and construed in accordance with, the internal laws of the State of New York withott regard to conflict of laws principles thereof. 8
  • 47.
    PURCHASE AND SALEAGREEMENT F TRANSACTION SPECIFIC TERMS THIS PURCHASE AND SALE AGREEMENT dated as of the Agreement Date and entered into by and between Seller uyer govern purchase and sale of the Loans, the Commitments (if any) and the other Transferred Rights, in accordance with the terms, conditions and in the LSTA Standard Terms and Sale Agreement for published by the LSTA as (the "Standard Terms"). The Standard Terms are incorporated herein by reference withou any whatsoever except as - otherwise agreed herein by the Parties and as specifically supplemented and modified by the terms and elections set forth in the Transaction Summary and Sections A through H below. The Standard Terms and the Transaction Terms together constitute a single integrated Purchase and Sale Agreement rning the Transaction. With respect to the Transaction, the Parties agree to be Terms and the Transaction Specific Terms set forth herein. Trade Date: Agreement Date: Seller: Seller MEl: Buyer: Buyer MEl: Credit Agreement: Lien Secured Super-Priority Debtor In Possession and Exit Credit and Guaranty Agreement dated as of March 30, 2007, and amended and restated as of May 15, 2007, among Allied Systems Holdings, Inc. (as successor by merger to Allied Holdings, Inc.), Allied Systems, Ltd. (L.P.), certain Subsidiaries of Holdings and Systems, as Guarantors, the Lenders parties thereto from time to time, Goldman Sachs Credit Partners L.P., as Lead Arranger and Syndication Agent, The CIT Group/Business Credit, Inc., as Administrative Agent and Collateral Agent and the other agents parties thereto Borrower: Allied Systems Holdings, Inc., Allied Systems, Ltd. (L.P.) Purchase Amount(s): (1) (2) Tranche(s): (1 (2 CUSIP Number(s), if available: Not Applicable Pre-Settlement Date Accruals 0 Settled Without Accrued Interest Treatment: ~ Trades Flat Type of Assignment: ~ Original Assignment LSTA EFFECTIVE September 9, 201'1 Copyrigllt@ LSTA 2011. All rights reserved.
  • 48.
    0 Secondary Assignment Borrower in Bankruptcy: YesO No [8J Delivery of Credit Documents: YesO No [8J Netting Arrangements: Yes 18] NoD Flip Representations: YesO No !S] Step-Up Provisions: YesO No [8J Shift Date: Not Applicable Transfer Notice YesO No [8J DEFINITIONS Capitalized terms used in this Agreement shall have tf1e respective meanings ascribed thereto in Section 1 :>f the Standard Terms, as supplemented by Section A of the Transaction Specific Terms and as otr,erwise may be provided in other provisions of this Agreement. Terms defined in the Credit Agreement and not other.vise defined in this Agreement shall rave the same meanings in this Agreement as in the Credit Agreement. Except as othetwise expressly set forth herein, each reference herein to "the Agreement," "this Agreement," "herein," "hereunder" or "hereof" shall be deemed a reference to this Agreement. If there is any inconsistency between the Transaction Specific Terms and the Standard Terms, tile Transaction Specific Terms shall govern and control. In this Agreement: "~gent" means THE CIT GROUP I Business Credit. Inc. as Administrative Agent under the Credit Agreement. "Assignment" means an Assignment and Assumption Agreement that is in the form specified in the Credit Agreement for an assignment of the Loans and Commitments (if any) and any Requirea Consents :o such assignment. ··s smkruptcv Case" select one: t2l none. 0 means [the case under the Bankruptcy Code pending before the Bankruptcy Court in which Borrower is a debtor. In re , No. _ _ _ __, "8 3nkruptcy Court" select one: [8J none. 0 means [the United States Bankruptcy Court for the ______ District of _ _ _ _ (and, if aprropriato, the United States District Court for that District)]. "Bar Date" select one: -- ~ not applicable. 0 none has been set. 0 means [specify applicable date, if any]. "8 •Jyer Purchase Price" select one: 0 not applicable. ~ means the purchase price payable by Buyer to Original Buyer pursuant to the Netting Letter (this applies if there are three (3) parties involved in the netting arrangement). 0 means the purchase price payable by Buyer to Penultimate Buyer pursuant to the Netting Letter (this appl;es if there are four (4) or more parties involved in the netting arrangement). 2
  • 49.
    "Commitments" select one: . l8'l none. 0 means [identify applicable commitment tranche(s) using Credit Agreement definitions] in the principal amount of $/£/€ [in each case specify the aggregate amount of the Loans, the Unfunded Commitments and the portion, if any, of the Commitments that is irrevocably "frozen" (LiL, that is not subject to future drawing)]. "Covered Prior Seller" select one: (gJ not applicable. 0 means each Prior Seller that transferred the Loans and Commitments (if any) on or after the Shift Date [but prior to the transfer pursuant to which transferred such Loans and Commitments (if any) on a distressed documentation basis pursuant to the Purchase and Sale Agreement for Distressed Trades dated as of , as set forth in the Annex]. "Fiiing_Q§JJJ'l" select one: (gJ none. 0 means [identify date on which Borrower filed Bankruptcy Case]. "Loans" means (i) LC Deposits in amount of·····~nd (ii) Term Loans in the outstanding principal amount "N~tting Letter" select one: 0 not applicable. 0 means that certain Multilateral Netting Agreement in the form currently published by the LSTA dated on or as of the Agreement Date among Seller, Buyer and Original Buyer. "Original Buyer" select one: 0 not i QSl mean . "Penultimate Buyer" select one: 0 not applicable. 0 none ("none" is applicable if there are only three (3) parties involved in the netting arrangement). 1.] means r . "Required Consents" means notice to the Borrowers and the Agent and the acceptance and recordation of the Assignment by the Agent ''Seller Purchase Price" select one: 0 not applicable. t:SJ means the purchase price payable by Original Buyer to Seller pursuant to the Netting Letter. "Transfer Fee" means none. 3
  • 50.
    SECTION 4 (SELLER'SREPRESENTATIONS AND WARRANTIES) Tile following specified terms shaH apply to the sections referenced in this Section B: -. --~Flat Representation Flip Representation ---Step-Ug ---·- - . Representation If "No" is specified-~ if "Yes" is specified If "YeS'~ecif(e(( i oppos1te both "Flip : opposite "Flip opposite "Step-Up Representations" and Representations" in , Provisions'' in the "Step-Up Provisions" in the Transactio n Transaction Summary, the Transaction Summary, th e the following • Summary, the following following subsection s subsections of Section l subsections of Section 4 of Section 4 sll all 4 shall apply: I I shall apply: apply: Ect i ion 4.1(d) (Title) Sect1·on 4.1(e) ·- Section 4. 1(d)(i) ·-section 4.1 (e)(i) ---- -- Seci1on4.1(d)(ii) ... ~·- Section 4.1 (e)(i) i____ .~ection 4.1 (d)-~)--J Section 4.1 (e)(ii) 1 (Proc,eedings) Section 4. 1(f) {Principal Amo unt) ~--~ Section 4.1(f)(i) ·-····-· SeCtion 4.1 (f)(ii) .. ----- Section 4. 1(f)(ij'-~l I Sect ion 4:1 (g) (Future Section 4.1 (g)(i) Section 4.1(g)(H) i Funding) I Sect i0n4..1(11J.(Acts and---~ Section 4.1 (h)(i) ···-~-- ---- Section 4.1 (t1)(i) Section 4.1 (1~ Om is sions) -~----··---··-~~~------··"' i ____ ,,._ .. Sect ion 4.1(1) Section 4.1 (i)(i) s·ection 4.1 (i)(i) Section..4~ 1(i)(ii) 1 (Performance of I Obio ations) '''"""--~---~------- ion 4.1(1) (Setoff) Section 4. 1(l)(i) l ~ect Section 4.1 (l)(i) Section 4.1N(ii) Sect ion 4.1(!)-(Consents Section 4. 1(t)(i) -- ---- section 4.1 (t)(ij. Section-4.1(!~ ndWaivers) Sect ion 4.1 (u) (Other Section 4.1 (u)(i) ·-· Section 4.1 (u)(i) --·· Section 4.1 (u)(ii) ! Qpcu_ _) ments I f---::;:S-ec--ct-:-io-n--4::--.7 (;-v:--)(';;P;:-r-oo-;f,-o7f --+----;:;s:-e-ct""'io-n-4 .7 (-:-v-;-:)(;;;:i)--1 1 7 1 --Section 4. 1(v )( ii) Section 4. 1(v)(i) I QJ9~~~----------j_ __ Section 4.1 (k) (E'urqh?~. Price); Netting Arrangements. If "Yes" is specified opposite Netting Arrangements in the Transaction Summary, Section 4.1 (k) sllall be amended in its entirety as follows: "(k) [intentionally omitted]." 4
  • 51.
    Section 4.1 (r)(Predecessor Transfer Agr.©£lments). 0 Seller acquired the Transferred Rights from Immediate Prior Seller pursuant to Predecessor Transfer Agreements relating to par/near par loans. 0 Seller acquired the Transferred R1ghts from Immediate Prior Seller pursuant to Predecessor Transfer Agreements relating to distressed loans. D Seller acquired the Transferred Rights from Immediate Prior Seller pursuant to Predecessor Transfer Agreements relating to both par/near par loans and d·1stressed loans. tZl Not applicable. Section 4.1 (u) (Other Documents). tZl None. D The following: Section 4.1 (V) (Proof of Claim). 0 The Proof of Claim was duly and timely filed, on or prior to the Bar Date, by D the Agent on behalf of the Lenders. 0 Seller or a Prior Seller. 0 The Bar Date specified in the Transaction Specific Terms has been set in the Bankruptcy Case and no Proof of Claim l1as been filed. D No Bar Date has been set in the Bankruptcy Case and no Proof of Claim has been filed. tZl Not applicable. ~ECTION 5 (BUYER'S REPRESENTATIONS AND WARRANTIES) Section 5.1 (n) (Buyer Status). D Buyer is not a Lender. tZlBuyer is a Lender. 0 Buyer is an Affiliate [substitute Credit Agreement defined term if different] (as defmed in the Credit Agreement) of a Lender. 0 Buyer is an Approved Fund [substitute Credit Agreement defined term if different] of a Lender. If "Yes" is specified opposite "Delivery of Credit Documents" in the Transaction Summary, Buyer represents and warrants that it (i) was not a Lender on the Trade Date and (ii) requested copies of the Credit Documents from Seller on or prior to the Trade Date. SECTION 6 (INDEMNIFICATION) Section 6.1 (Seller's lndemniti~..§); §J~P.:!dP.JJ1de_f!1J:Iltles. (i) If "Yes" is specified opposite "Step-Up Provisions" in the Transaction Summary, Seiler's indemnities contained 1n Section 6.1 (b) shall apply (and the alternate indemnities contained in Section 6.1 (a) shall not apply). (ii) if "No" is specified opposite "Step-Up Provisions" in the Transaction Summary, Seller's indemnities contained in Section 6.1(a) shall apply (and the alternate indemnities contained in Section 6.1 (b) shall not apply). SECTION 7 (COSTS AND EXPENSES) 0 The Transfer Fee shall be paid by Seller to the Agent and the Purchase Price shall be increased by an amount equal to 0 one..half thereof. 0 other relevant fraction or percentage, _ _ , thereof. 5
  • 52.
    0 The Transfer Fee shall be paid by Buyer to the Agent and Buyer shall receive a credit to the Purchase Price equal to 0 one-half thereof. 0 other relevant fraction or percentage, _ _ , thereof. [2] The Transfer Fee shall be paid and allocated in the manner specified in the Netting Letter. 0 The Transfer Fee has been waived by the Agent and, accordingly, no adjustment to the Purchase Price shall be rna de in respect thereof. 0 There is no Transfer Fee and, accordingly, no adjustment to the Purchase Price shall be made in respect thereof. SECTION 8 (DISTRIBUTIONS; INTEREST AND FEES; PAYMENTSl Section 8.2 (Distributions); Step-Up Distributions Covenant. (i) If "Yes" is specified opposite "Step-Up Provisions" in the Transaction Summary, Seller's covenants contained in Section 8.2(b) shall apply (and the alternate covenants contained in Section 8.2(a) shall not apply). (ii) If "No" is specified opposite "Step-Up Provisions" in the Transaction Summary, Seller's covenants contained in Section 8.2(a) shall apply (and the alternate covenants contained in Section 8.2(b) shall not apply). Section 8.4 (Wire Instructions). Seller's Wire Instructions: .§.YYi:lr's Wire Instructions: SECTION 9 (NOTICES) Seller's Address for Notices and Delivery: 6
  • 53.
    Operations Contact (Funding Notices,Borrowings, Paydowns, Interest, Fees, etc.) Buyer's Address for Nolices and Delivery: All Notices Sent To BDCM OPPORTUNITY FUND II, L.P. C/0 Black Diamond Capital Management, L.L.C. Legal Documentation: Send To: BDCM OPPORTUNITY FUND II, L.P. c/o Black Diamond Capital Management L.L.C. Attn: Loan Administrator Credit Communications AI! Credit Information Sent To: Black Diamond ment, L.L.C. 7
  • 54.
    Fax: H. SECTION 27 (ADDITIONAL PROVISIONS} The following additional provisions, including any modif'cations to existing provisions, shall apply: None
  • 55.
    IN WITNESS WHEREOF,Seller and Buyer have executed this Agreement by their duly authorized officers or representatives as of the Agreement Date. SELLER By: ____·--~-------------- Name: Title: BUYER BDCM OPPORTUNITY FUND II, L.P. by BDCM Opportunity Fund II Adviser, L.L.C. its Investment Manager By· 9
  • 56.
    IN WITNESS WHEREOF,Seller and Buyer have executed this Agreement by their duly authorized officers or representatives as of the Agreement Date. SELLER BUYER BDCM OPPORTUNITY FUND II, L.P. by BDCM Opportunity Fund II Adviser, L.L.C. its Investment Manager By:-:------------------ Name: Title: 9
  • 57.
    ANNEX TO PURCHASEAND SALE AGREEMENT FOR DISTRESSED TRADES 1. If "Secondary Assignment" is specified opposite "Type of Assignment" in the Transaction Summary, list of Predecessor Transfer Agreements and principal amount, as of the settlement date with respect thereto, of the portion of the Loans and Commitments (if any) thereunder assigned hereby for purposes of Section 4.1 (r) and Section 5.1 (k)(i) hereof, and designation as to whether such Predecessor Transfer Agreements reate to par/near par loans or distressed loans. Not Applicable 2. List of Credit Agreement and any other Credit Documents deliv<tred pursuant to Section 4.1(s) hereof. None. 3. Description of Proof of Claim (if any) Not applicable. 4. Description of Adequate Protection Order (if any). Not applicable. 5. List any exceptions to Section 4.1 (w) (Notice of Impairment). None. 6. Trade Date but on or prior to the Settlement Date isl······ The amount of any PIK lnteresi that accreted to the principal amount of the Loans on or after the Annex-! dc-585084
  • 58.
    ASSIGNMENT AND ASSUMPTIONAGREEMENT This Assignment and Assumption !l.greemer " is dated as of ·the Effective Date set forth below and Is entered into by and betwe he "Assic";Jnor") and BDCM Opportunity Fund II, l.P. {the "Assignee''). Capitalized terms used u not <efined henl3in shall have the meanings given to lhem In the Amended and Restated First Lien Senior Secured Sur.•i>r-Priority ()ebtor- 111-Possession and Exit Credit and Guaranty Agreement identified belovv (as It ro·my be amended, supplemented or otherwise modified from time to time, the "Credit Agreement"), receipt .!:Jf a copy of which is lwreby acknowledged by tho Assignee. The Standard Terms and Conditions se~ forth In Annex 1 attached hereto are hereby agreed to and incorporated herein by refere:rce and rr::";de a pari of this Assignment as if set forth herein in full. For an agrood consideration, the Assignor hereby irrevocably sells and assigr<u• to the Assignee, and the Assignee hereby Irrevocably purchases and assumes from the Assignor, subject to and in accordance witt1 the Standard lerms and Conditions and the Credit Agreement, as of Jhe Effective Date inserted by the Administrative Agent as contr.mplated below, the interest i11 and to ail' of the Assignor's rights and obligations under the Credit Agreement and any other documents or lneixuments delivered pursuant thereto lhat represents the amount and percentage interest i·dentilied :-,,_:low of all of tl1o Assignor's outstanding rightn and obligations under the respective facilities 'identified t~tC~,Iow (including, to !he extent included in any such facilities, lelt~>rs of credit, LC Deposits and swing line !OI"oi.'1S) (the "Assigned Interest"). Such sale and assignment is without recourse to the Assignor and, e:<'teeot as expressly provided in this Assignment and the Credit Agreement, wlthotlt repres·entation o,~ warranty by the Assignor. 1. Assignor: 2. Assignee: BDCM Opportunity Fund II, L.P. 3. Borrowor(s): f111ied Systems Hotdings, Inc .., Allied Sy<'·lems, LTD (L.P.) 4. Administrative fgent: The CIT Group I Business CreC.Jt, Inc., as the administrative agent under the Credit A;;;;Yeement 5. Credit Agreement: Amended and Rest<Jted First Lien Seo..red Sfper-Priority Debtor In Possession <:~nd Exit Cre<lit and Guaranty Agreement dated as of Marcn 30, 2007, and amended and restated as of May 15, :;:007, among Allied Systems Holdings, Inc. (as successor by merge,- to Allied Holdings, Inc.), Allied Systems, Ud. •(LP.), cert;.!'.in Sut)sidiarles of Holdings and Systems, as Guarantors, · ·ne Lenders parties thereto from time to time, G,::>ldman SacKs Credit Partners LP .. as Lead Arranger and Syndlcatlr.:r;1 Agent, The CIT Group/Business Credit, Inc., as Admirc;::>lratlve Agent and Collateral Agent and the oth,er agents p.::.rties thereto NY460783. i/153-04166
  • 59.
    6. Assigned Interest: Aggregate Amount of Amount of Percentage Assigned of Commitment/Loans/LC Commitment/Loans/LC Commitment/Loans/LC Facility Assigned Deposits for all Lenders Deposits Assigned Deposits ··-··-- ---------- LC Deposits USD SD Term Loans us SD Effective 2
  • 60.
    7. Notice andW1re instruclions: See Attached 3
  • 61.
    Wire Instructions: W1re Instructions: See Attached 4
  • 62.
    ......... , ... Theterms set fort11 In this Assignment are hereby agreed to: ASSIGNOR By:,.._.,.----------------- Name: Title: ASSIGNEE BDCM Opportunity Fund ll, I•. P., as Assigneo By BDCM Opportunity Fund II Adviser, L.L.C. its Investment Manager 5
  • 63.
    The terms setforth in this Assignment are hereby agreed to: 1SSIGNOR BDCM Opportunity Fund II, L.P., as Asslgnae By BOCM Opportunity Fund II Adviser, I..L.C. its Invsstmenl Manager By: _ _ _ _ _ _ _ _ _ __ Name: Title: 5
  • 64.
    Consented to andAccepted: THE CIT GROUP I BUSINESS CREDIT, INC., as Administrative Agent By: /l~j]w< r:J ;:~ 0-c()) - - ( ' _ _ _< _ _ __ Name 1?'/u·J! ,). :) ; lc 0u!J<.( ;>, Title: s:,.,i<./to~- !),c,FrWrO=rti):;;;iut" Consented to: ALLIED HOLDINGS, INC. By: Name: Title: ALLIED SYSTEMS, LID (L.P.) By: Name: Title: G
  • 65.
    STANDARD TERMS ANDCONDITIONS FOR ASSIGI'lMENT AND ASSUMPTION AGREEMENT 1. Representations and Warranties. 1.1 Assignor. The Assignor (a) represents and warrants that (i) It I$ the legal and beneficial owner of the Assigned Interest, (ii) tho Assigned Interest's free and clear of any lien, encumbrance or other adverse claim and (iii) it haa full power and authority, and has taken all action necessary, to execute and deliver this Assignment and to consummate the transactions contemplated hereby; and (b) assumes no responsiblity with respect to (I) any statements (as defined herein), warranties or representations made in or in connection with any Credlt Document, (li) the execution, legality, validity, enforceability, genuinene$S, sufficiency or value of the Credit Agreement or any other instrument or document delivered pursuant thereto, other than this Assignment (herein collectively the ''Credit Documents"), or any collateral thereunder, (iii) the financial condition of the Company, any of its Subsidiaries or Affiliates or any other Person obligated in respect of any Credit Document or (iv) the performance or observance by the Borrower, any of its Subsidiaries or Affiliates or any other Person of any of their respeclive obligations under any Credit Document. 1.2 Assigr1ee. The Assignee (a) represents and warrants that (I) it has full power and authority, olhd has taken all action necessary, to execute and deliver this Assignment and to consummate the transactions contemplated hereby and to become a Lender under the Credit Agreement, (ii) it meGts all requirements of an Fligible Assignee under the Credit Agreement, (iii) from and after the Effeciive Date, it shall be bound by the provisions of the Credit Agreement and, to the extent of the Assigned Interest, shaH have the obligations of a Lender thereunder, (iv) it has received o copy of the Credit Agreement and such other documonts and informa:ion as it h8s deemed appropriate to make its own credit analysis and decision lo enter Into this A5signment and to purchase the f,ssigned Interest on the basis of which it has made such analysis and decision, and (v) if it is a Non US Lender, attached to the Assignment is any documentation required to be delivered by It pursuant to the terms of Ihe Credit Agreement, duly completed and executed IJy the Assignee; and (b) agrees t!1at (I) it will, Independently and wi!i10Ut reliance on the Administrative Agent, Ihe Assignor or any other Lender, and bas0d on such documents and informalioP as it shall deem appropriate at that time, continue to make its own credit decisions in laking or not taking action under the Credit Documents, and (II) it will perform in accordance with tlleir terms all of the obligallons whicll by the torrns of the Credit Oocumonts are required to be performed by it as a Lender. 2. Payments. All payments witli respect to tile Assigned Interests shall be rnade on the Effective Date as follows: 2.1 With respect to Assigned Interests for Term Loans, unless nottce to the contrary is delivered to the Lender from th(7 Administrative Agent, payment to the Assignor by the Assignee in respect of the Assigned Interest shall include such compensation to tile Assignor as may be agreed upon by the Assignor and the Assignee with respect to all unpaid Interest which has accruod on the Assigned Interest to but excluding the Effective Deto, On and after th0 applicable Effective Dale, the Assignee shall bo en tilled to receive all interest paid or payable with respect to the /ssigned Interest, whether such interest accrued before or after the Effective Date. 2.2 With respect to Assigned Interests for 1'evolvlng Loans and LC Commitmt:)nts and LC Deposits, from and after the Effective Date, the Administrative Agent shall maka all payments in respect of t11e Assigned Interest (including payments of principal, interest, fees and other amounts) to the Assignor for amounts which have accrued to but excluding the Effective Date and to the Assignee for amounts which have occrued from and alter the Effective Date. 7
  • 66.
    3, General Prov1sions. This Assignment shall be binding upon, and inure. to the benefit of, the parties hereto and their respective successors and assigns. This Assignment may be executed in ony number of counterparts, which together shall constitute one instrument. Delivery of an executed counterpart of a signature page of this Assignment by telecopy shall be effective as delivery of a manually executed counterpart of this Assignment. This Assignment shall be governed by, and construed in accordance with, the Internal laws of the State of New York without regard to conflict c.f laws principles thereof. · 8
  • 68.
    PURCHASE AND SALEAGREEMENT TRANSACTION SPECIFIC TERMS THIS PURCHASE AND SALE AGREEMENT is dated as of the Agreement Date and entered into by and between Seller and Buyer to govern the purchase and sale of the Loans, the Commitments (if any) and the other Transferred Rights, in accordance with the terms, conditions and agreements set forth in the Standard Terms. The Standard Terms are incorporated herein by reference without any modification whatsoever except as otherwise agreed herein by the Parties and as specifically supplemented and modified by the terms and elections set forth in the Transaction Summary and Sections A through H below. The Standard Terms and the Transaction Specific Terms together constitute a single integrated Purchase and Sale Agreement governing the Transaction. With respect to the Transaction, the Parties agree to be bound by the Standard Terms and the Transaction Specific Terms set forth herein. EXECUTION COPY Trade Date: Agreement Date: Seller: Buyer: Credit Agreement: Amended and Restated First Lien Secured Super-Priority Debtor in Possession and Exit Credit and Guaranty Agreement dated as of March 30, 2007 as amended and restated as of May 15,2007 among Allied Holdings, Inc. ("Holdings"), Allied Systems, Ltd. (L.P.) ("Systems"), certain Subsidiaries of Holdings and Systems, as Subsidiary Guarantors, the Lenders party thereto, Goldman Sachs Credit Partners L.P., as Syndication Agent, The CIT Group I Business Credit, Inc., as Administrative Agent and Collateral Agent Borrower: Allied Holdings, Inc. and Allied Systems, Ltd. (L.P.) Purchase Amount(s): Tranche(s): CUSIP Number(s), if available: Pre-Settlement Date Accruals r:8J Settled Without Accrued Interest Treatment: D Trades Flat Type of Assignment: D Original Assignment r:8J Secondary Assignment Immediate Prior Sellers: LSTA EFFECTIVE DECEMBER 2006 453-055iAGRi1939464.
  • 69.
    TRANSACTION SUMMARY Borrower in Bankruptcy: YesO No~ Delivery of Credit Documents: YesO No~ Netting Arrangements: YesO No~ 1 Flip Representations: Yes0 No~ 1 Step-Up Provisions: Yes0 No~ Shift Date2 : Not Applicable 3 Transfer Notice: Yes0 No~ A. DEFINITIONS Capitalized terms used in this Agreement shall have the respective meanings ascribed thereto in Section 1 of the Standard Terms, as supplemented by Section A of the Transaction Specific Terms and as otherwise may be provided in other provisions of this Agreement. Terms defined in the Credit Agreement and not otherwise defined in this Agreement shall have the same meanings in this Agreement as in the Credit Agreement. Except as otherwise expressly set forth herein, each reference herein to "the Agreement," "this Agreement," "herein," "hereunder'' or "hereof' shall be deemed a reference to this Agreement. If there is any inconsistency between the Transaction Specific Terms and the Standard Terms, the Transaction Specific Terms shall govern and control. In this Agreement: "Agent" means The CIT Group I Business Credit, Inc., as Administrative Agent under the Credit Agreement. ·'Assignment" means the Assignment and Assumption Agreement that is in the form specified in the Credit Agreement for an assignment of the Loans and Commitments (if any} and any Required Consents to such assignment. "Bankruptcy Case" select one: ~ none. 0 means [the case under the Bankruptcy Code pending before the Bankruptcy Court in which Borrower is a debtor, In re _____ , No. - - - - - ' ·'Bankruptcy Court" select one: ~ none. 0 means [the United States Bankruptcy Court for the _ _ _ _District of _ _ _ _ (and, if appropriate, the United States District Court for that District)]. 1 The Parties cannot specify "Yes" to both "Flip Representations" and "Step-Up Provisions" unless they set forth appropriate modifications in Section H. Neither "Flip Representations" nor "Step-Up Provisions" applies to original assignments. 2 Specify a Shift Date only if "Yes" is specified opposite "Step-Up Provisions" and if the second box is selected in the definition of Covered Prior Seller. The Shift Date is the date that the Parties agree 1s the closest possible approximation for when the market convention for transferring the Loans and Commitments (if any) shifted from a par/near par documentation basis to a distressed documentation basis. In consulting as to the appropriate date, the Parties may refer to published results of an anonymous LSTA poll of disinterested dealers as to such dealers' views regarding the Shift Date or, if results have not been published with respect to the Credit Agreement either Party may request in writing that the LSTA endeavor to conduct such a poll. To initiate a poll, send a request that includes the name of Borrower and either the CUSIP number (if available) or the name and date of the Credit Agreement to the LSTA at lstashlftdatepolls;cvlsta.org. The results of such LSTA polls are available to facilitate discussions between the Parties and have no binding effect 3 "Yes" can be elected only if "Yes" is specified opposite "Borrower in Bankruptcy" in the Transaction Summary. 2 453-055/AGR/1939464.1
  • 70.
    'Bar Date" selectone: 0 not applicable. 0 none has been set. 0 means [specify applicable date, if any]. "Bu er Purchase Price" select one: not applicable. 0 means the purchase price payable by Buyer to Original Buyer pursuant to the Netting Letter (this applies if there are three (3) parties involved in the netting arrangement). 0 means the purchase price payable by Buyer to Penultimate Buyer pursuant to the Netting Letter (this applies if there are four (4) or more parties involved in the netting arrangement). "Commitments" select one: 0 none. 0 means LC Commitment in the principal amount o f · · · · · · all of which is funded as an LC Deposit. "Covered Prior Seller" select one: 0 not applicable. 0 means each Prior Seller that transferred the Loans 5and Commitments (if any)4 on or after the Shift Date hbut prior to the date on which transferred such Loans and Commitments (if any)]. "Filing Date" select one: 0 none. 0 means [identify date on which Borrower filed Bankruptcy Case]. "Loans" means collectively, Term Liolalnlslilnltlhe.o utstanding principal amount and LC Deposits in the principal amount o.11 1 1 "Netting Letter" select one: 0 not applicable. 0 means that certain Multilateral Netting Agreement in the form currently published by the LSTA dated on or as of the Agreement Date among Seller, Buyer [and] [,] Original Buyer [, Penultimate Buyer] and [describe any other parties to the Netting Letter]]. "Original Buyer" select one: 0 not applicable. 0 means (specify original buyer in the netting arrangement]. "Penultimate Buyer" select one: 0 not applicable. 0 none ("none" is applicable if there are only three (3) parties involved in the netting arrangement). 0 means [ ]. "Required Consents" means notice to the Borrower and acceptance and recordation of the Assignment by the Agent. "Seller Purchase Price" select one: 4 If applicable to only a portion of the Loans and Commitments (if any), specify the portion that applies, .hf1., "each Prior Seller that transferred the [Name of applicable Covered Prior Seller] Loans (as defined in Section 1 of the Annex)." 5 Specify the first Entity that transferred the Loans and Commitments (if any) on a distressed documentation basis on or after the Shift Date. 6 The bracketed language applies where the relevant Predecessor Transfer Documents include a distressed trade that settled after the par/near par trade which settled on or after the Shift Date. 3 453-055/AGR/1939464 .1
  • 71.
    [SJ not applicable. 0 means the purchase price payable by Original Buyer to Seller pursuant to the Netting Letter. "Transfer Fee" means th~ransfer or other similar fee payable to the Agent in connection with the Assignment. "Unfunded Commitments" means none. B. SECTION 4 (SELLER'S REPRESENTATIONS AND WARRANTIES) The following specified terms shall apply to the sections referenced in this Section B: Flat Re[!resentation Fll[! ReQresentation Stee-Ue Reeresentation If "No" is specified opposite If "Yes" is specified opposite If "Yes" is specified opposite both "Flip Representations" "Flip Representations" in the "Step-Up Provisions" in the and "Step..Up Provisions" in Transaction· Summary, the Transaction Summary, the the Transaction Summary, the following subsections of following subsections of following subsections of Section 4 shall apply: Section 4 shall apply: Section 4 shall apply: Section 4.1(d) (Title) Section 4.1 (d)(i) Section 4.1 (d)(ii) Section 4.1 (d)(i) Section 4.1(e) (Proceedings) Section 4.1 (e)(i) Section 4.1 (e)(i) Section 4.1 ( e)(ii) Section 4.1(f) (Principal Section 4.1 (f}(i) Section 4.1 (f)(ii) Section 4.1 (f)(i) Amount> Section 4.1(g) (Future Funding) Section 4.1 (g)(i) Section 4.1(g)(ii) Section 4.1 (g)(iii) Section 4.1(h) (Acts and Section 4.1 (h)(i) Section 4.1 (h)(i) Section 4.1 (h)(ii) Omissions) Section 4.1 (i) (Performance of Section 4.1 (i)(i) Section 4.1 (i)(i) Section 4.1 (i)(ii) Obligations) Section 4.1(1) (Setoff) Section 4.1(1)(i) Section 4.1 (l)(i) Section 4.1 (l)(ii) Section 4.1 (t) (Consents and Section 4.1 (t)(i) Section 4.1 (t)(i) Section 4.1 (t)(ii) Waivers) Section 4.1 (u) (Other Section 4.1 (u)(i) Section 4.1 (u)(i) Section 4.1 (u)(ii) Documents) Section 4.1 (v) (Proof of Claim) Section 4.1 (v)(i) Section 4.1 (v)(ii) Section 4.1 (v)(i) Section 4.1 (k) (Purchase Price); Netting Arrangements. If "Yes" is specified opposite Netting Arrangements in the Transaction Summary, Section 4.1 (k) shall be amended in its entirety as follows: 7 "(k) [intentionally omitted]." 7 Seller should add, and Buyer should cause Original Buyer or Penultimate Buyer, as applicable, to add, a comparable representation to the Netting Letter in lieu of this representation. 4 453-055/AGR/1939464.1
  • 72.
    Section 4.1 (r)(Predecessor Transfer Agreements). 0 Seller acquired the Transferred Rights from Immediate Prior Seller pursuant to Predecessor Transfer Agreements relating to par/near par loans. ~ Seller acquired the Transferred Rights from Immediate Prior Seller pursuant to Predecessor Transfer Agreements relating to distressed loans. 0 Seller acquired the Transferred Rights from Immediate Prior Seller pursuant to Predecessor Transfer Agreements relating to both par/near par loans and distressed loans. Section 4.1 (u) (Other Documents). ~ None. 0 The following: _ _ __ Section 4.1 (v) (Proof of Claim). N/A 0 The Proof of Claim was duly and timely filed, on or prior to the Bar Date, by 0 the Agent on behalf of the Lenders. 0 Seller or a Prior Seller. 0 The Bar Date specified in the Transaction Specific Terms has been set in the Bankruptcy Case and no Proof of Claim has been filed. 0 No Bar Date has been set in the Bankruptcy Case and no Proof of Claim has been filed. C. SECTION 5 (BUYER'S REPRESENTATIONS AND WARRANTIES) C.1 Section 5.1 (n) (Buyer Status). [Specify Buyer's status for purposes of determining Required Consents, minimum assignment amount requirements or Transfer Fee requirements.] 0 Buyer is not a Lender. ~ Buyer is a Lender. 0 Buyer is an Affiliate [substitute Credit Agreement defined term if different] (as defined in the Credit Agreement) of a Lender. 0 Buyer is an Approved F_!lnd [substitute Credit Agreement defined term if different] of a Lender. C.2 If "Yes" is specified opposite "Delivery of Credit Documents" in the Transaction Summary, Buyer represents and warrants that it (i) was not a Lender on the Trade Date and (ii) requested copies of the Credit Documents from Seller on or prior to the Trade Date. D. SECTION 6 (INDEMNIFICATION) Section 6.1 (Seller's Indemnities); Step-Up Indemnities. (i) If "Yes" is specified opposite "Step-Up Provisions" in the Transaction Summary, Seller's indemnities contained in Section 6.1 (b) shall apply (and the alternate indemnities contained in Section 6.1 (a} shall not apply). (ii) If "No" is specified opposite "Step-Up Provisions" in the Transaction Summary, Seller's indemnities contained in Section 6.1 (a) shall apply (and the alternate indemnities contained in Section 6.1 (b) shall not apply). E. SECTION 7 (COSTS AND EXPENSES) 0 The Transfer Fee shall be paid by Seller to the Agent and the Purchase Price shall be increased by an amount equal to 0 one-half thereof. 0 other relevant fraction or percentage, _ _, thereof. 0 The Transfer Fee shall be paid by Buyer to the Agent and Buyer shall receive a credit to the Purchase Price equal to 0 one-half thereof. 0 other relevant fraction or percentage, _ _, thereof. 5 453-055/AGR/1939464.1
  • 73.
    0 The Transfer Fee shall be paid and allocated in the manner specified in the Netting Letter. 0 The Transfer Fee has been waived by the Agent and, accordingly, no adjustment to the Purchase Price shall be made in respect thereof. [gJ There is no Transfer Fee and, accordingly, no adjustment to the Purchase Price shall be made in respect thereof. F. SECTION 8 (DISTRIBUTIONS; INTEREST AND FEES; PAYMENTS) F.1 Section 8.2 (Distributions); Step-Up Distributions Covenant. (i) If "Yes" is specified opposite "Step-Up Provisions" in the Transaction Summary, Seller's covenants contained in Section 8.2(b) shall apply (and the alternate covenants contained in Section 8.2(a) shall not apply). (ii) If "No" is specified opposite "Step-Up Provisions" in the Transaction Summary, Seller's covenants contained in Section 8.2(a) shall apply (and the alternate covenants contained in Section 8.2(b) shall not apply). F.2 Section 8.4 (Wire Instructions). Buyer's Wire Instructions: Seller's Wire Instructions: Bank of New York G. SECTION 9 (NOTICES) Buyer's Address for Notices and Delivery: BDCM OPPORTUNITY FUND II, L.P. C/0 Black Diamond Capital Management, L.L.C. Attn: Loan Administrator Credit Communications Black Diamond Capital Management, L.L.C. 6 453-055/AGR/1939464.1
  • 74.
    Seller's Address forNotices and Delivery: Name: Company: Title: Address: Telephone: Facsimile: E-Mail Address: H. SECTION 26 (FURTHER PROVISIONS) None. 7 453-055/AGR/1939464.1
  • 75.
    IN WlTNESS WHEREOF,Seller and Buyer have executed this Purchase and Sale Agreement by their duly authorized officers or representatives as of the Agreement Date. SELLER BUYER SDCM OPPORTUNITY FUND II, LP by: BOCM Opportunity Fund II Adviser, LLC its Investment Manager By:.~----------------------------- Name: Title: 8 45~-0551AGR!1939464 1
  • 76.
    IN WiTNESS WHEREOF.Seller and BL;yt=r h;:we e.(ecuted tr·rs ''un:i1ase and Saie Agreement by ~r~::-1r <Juthz;rizr:d officers cr representatives as of the A~;?reernent f.Jate SELLER By: _ _ _ _ _ _ _ _ _ _ _ _ _ _ __ Name: Title: BUYER BDCM OPPORTUNITY FUND If, LP by: BOCM Opportunity Fund H Adviser, LLC its Investment Manager Gy 8
  • 77.
    ANNEX TO PURCHASEAND SALE AGREEMENT 1. If "Secondary Assignment" is specified opposite 'Type of Assignment" in the Transaction 1 Summary, list of Predecessor Transfer Agreements and principal amount as of the settlement date with respect thereto, of the portion of the Loans and Commitments (if any) thereunder assigned hereby for purposes of Section 4.1 (r) and Section 5.1 (k)(i) hereof, and designation as to whether such Predecessor Transfer Agreements relate to par/near par loans or distressed loans. With respect to' principal amount of Term Loans and ] - •rincipal amount of LC Deposits: ent and Assumpti~ as seller, a n d - - - - and Assumpti~ as seller, a n d - - - - and Assumption Agreement, each as seller, and I List (i) any Predecessor Transfer Agreement to which Seller is a party, (ii) any Predecessor Transfer Agreement of Prior Sellers relating to distressed loans delivered to Seller by Immediate Prior Seller and (iii) any Predecessor Transfer Agreement of Prior Sellers relating to par loans listed in any Predecessor Transfer Agreement described in the preceding clause (ii). Annex-1 453-055/AGR/1939464.1
  • 78.
    andAssump~ as seller, a n d - - - - That certain Assignment and Assumption Agreement dated • • • • • • • • • • • • • • • as assignor, and ·assignee. [par/near par loans] nment and Assumption Agreement, each seller, and • • • • • • • 2. List of Credit Agreement and any other Credit Documents delivered pursuant to Section 4.1 (s) hereof. None. 3. Description of Proof of Claim (if any). N/A 4. Description of Adequate Protection Order (if any). N/A 5. List any exceptions to Section 4.1 (w) (Notice of Impairment}. None. 6. The amount of any PIK Interest that ,;orr·r<>t<>t amount of the Loans after the Trade Date but on or prior to the Settlement Date Annex-1 453-055/AGR/1939464.1
  • 79.
    ASSIGNMENT AND ASSUMPTIONAGREEMENT !his ;ssignmcnt and Assumption Agreement (the "A Dmo: st:t (,nh :x:lo"v and is e:-ttercd into by and "/ssignor'l ;me BDCM Oppornmity Fund ll, LP (the t nm deiined ilt."rein shall have the meanings given to them in the Amended and Restated First Lien Seni<'r Securtd Sup<'r-Priority Debtor-in-Possession and Exit Credit and Guaranty Agreement idemi±:ed below (as ir may be an:ended, supplemented or otherwise modified fi-om time to tirn.;, the ''Credit Agreement''). receipt of a copy of which is hereby acknowledged by the Assignee. The Standard Terms and Conditions set iorrh ic Annex l attached hereto are hereby agreed to and incorporated herein by reference and made a pan of thi:o Assignment as if scr forth herein in full. Fc,r <tn J.grccd consideration, the Assignor hereby irrevocably sells and assigns to rhe Assignee, and the :'ssignee hereby irrevocably purchases and assumes from the Assignor, subject to and in accordance with the Standard Terms and Conditions and the Credit Agreement, as of the Effective Date inserted by tile Administrative Agent as contemplated below, the interest in and to all of the Assignor's rights and o!Jiig:ttion:; under the Credit Agreement and any other doctmJents or instruments delivered pur~mm u:erew rhat represents the amount and percentage interest identified below of ail o[ Lhe Asstgnor's O'.:tstmding rights and obligations under the respective facilities identitied below (including. to the cxwn1 included in any such facilities, letters of credit, LC Deposits and swingline loans) (lht "Assigned fmen:sl''), Such sale and assignmem is without recourse to the Assignor and, except as expn;s:;ly provided in this Assignment and the Credit Agreement, without repre:>enration or warranty by the AssignJr. !. Assi)!,!:or: 2. Assignee: BDCM Opportunity Fund II, LP /!lied Holdings, Inc .. Allied Systems, LTD (LP.) The ClT Group / l3usine:s:s Credit. Inc. ~lS the administrative agent under the Credit Agreement Amended and Restated fii'St Lien Securd Super-Priority Debtor in Possession and Exir Crcdn. and Ciuar;mty Agreement dated as of March 30, 2007, a;; amended and restated as of May I 5, 2007 among Alli.::d Holding~, lnc. ("Holdings"), Ai!ied Symems, Ltd, (L.P.) ("Systems"). certain Subsidiaries of Holdings and Systems, as Subsidiary Guarantors, the Lenders part1cs thereto, Goldman Sachs Credit Partners LP . 3S Synd:cation Agent, The CIT Group/Bu:;ines5 Credit, fn(;, a:; Administrative Agent and Col!atr::ral Agtni
  • 80.
    6. r5stgncd Interest: :ggn:gatc Amount of Amount of Percentage Assigned of Commitmentil ,oans!LC Commitmcnt!Loans;1 ,C Commitment/Loans/! ,C Facility i;,sign~u Dep,>sits Cor aii Lenders Deposits 1ssigncd Deposits Synthetic LC t!SD- USD Commirment Term Loan usol,• • • • Effective Date:
  • 81.
    7. Nmice andWire Instructions: ASSfGNOR: :SSIGNEE: Clo>ing C Jntacr: U .. C Wire Instructions: Wire !nstruct1ons:
  • 82.
    -:·he l•!rn!s setrorrh in this Assignment are hereby agreed !o: ASSIGNOR ASSIGNEE BDCM OPPORTuNITY FUND U, LP, as Assignee by: BDCM Opportunity Fund U A.dvi.ser, . LLC its Investment Manager By: _ _ _ _ _ _ _ __ Name: Title:
  • 83.
    ( i. ..~: .: ; : Hy: [->DC:Vl Ol'PO!HLHTTY FllND 1L !.!', <l$ .-s~i~ncc hy: HflCM Oppnrtunity Fnnd H ,r!vis~r. LLC its 1
  • 84.
    Consented ~o and Acc~pted: THE CIT GROUP! BUSINESS 9REDIT, INC.• as Administrarive Agent . I [ By: ............:'....!. ,:_. i_ -------'---;- Nan1~: Tit!~ Consen:ed to: ALLIED HOLDINGS, INC. By: Nam;: Title ALLIED SYSTEMS, LTD (L.P.) By:--·-- t-:arm:: T;tll: 5
  • 85.
    STANDARD TERMS ANDCONDITIONS FOR ASSIGNMENT AND ASSUMPTION AGREEMENT I. Representations and Warranties. l.I Assignor. The Assignor (a) represents and warrants that ( i) it is the .legal and bendicial owner of !he Assigned Interest, (ii) the Assigned Interest is free and c~ear of any lien, en-::umbrance or other adverse claim and (iii) it has full power and authority, and has taken all action necessary, to execute and deliver this Assignment and w consummate the transactions contemplated hereby; and (b) assumes no rcspor:sibility with respect to (i) any statements {as defined herein), warranties or representations made in or in connection with any Credit Document, (ii) the execution, legality, validity, enforceability, genumeness, sufficiency or value of the Credit Agreement or any other instmment or document delivered pur:mant therer.o, other than this Assignment (herein collectively the ''Credit Documents"), or any collateral thereunder, (iii) the financial condition of the Company, any of its Subsidiaries or Atliliatcs or any other Person obiigated irt respect of any Credit Document or (iv) the performance or observance by the Borrower, any of its Subsidiaries or Affiliates or any other Person of any of their respcctiw obi igations under any Credit Document 1.2 Assignee. The Assignee (a) represents and warranrs rhat (i) it has full power and authority, and has taken all action necessary, to execute and deliver this Assignment and to consummate the tra.1sactions :ontemplated hereby and to become a Lender under the Credit Agreement., (ii) it meets all requircmems of an Eligible Assignee under the Credit Agreement, (iii) fmm and after the Effective Date, it shall be bound by the provisions of the Credit Agreemenr and, to the exient of the Assigned Interest, shall have the obligations of a Lender thereunder, (iv) it has received a copy of the Credit Agreement ant.! saeh o:her docwnents and information as it has deemed appropriare to make: its own crc·riit analysis and decision to enter into this Assignment and to purchase the Assigned Interest on the basis of which it has mace ,,uch analysis and decision, and (v) if it is a Non US L:nJ.:r. attached to rile Jssignmcm is any documerm tion required to be delivered by it pursunnt ro the terms of rhe Credit Agreement, duiy eompkted apd c::.:ecuted by the Assignee; and (b) agrees that (i) it will, independently and without rei i·c.m:<:: or: Hte !• drninistrative Agent, the .Assignor or any other Lender. and based on suc!1 documents ami infonr.aU.Jn as it ~hall deem appropriate at that lime. ~.:ominue to make its ovvn credit decisions in raking or not taking action under the Credit f)ocuments, and (ii) it wil! perfonn in accord:mce v:ith their rerm.'> all o:'the obligations which by the terms of the Credit f)ncumcnis arc required t:) be performed by it as a Lcndc:-. 2. l'aymcnts. All payments with respect to the Assigned Interests shaii be made on the Effccti ve Dmc a;; follows: 2" With respect to Assigned Interests for Term Loans, unless notice to the commry is deli,.·crc:d l·1 the Lender from rhe Administrative Agent, payrncm to the Assignor :)y the ,ssit:;nee in resp~cl ot'tfle Assigned I merest shall include such compensation to rhe Assignor as may b;; agreed upon by the Ass,gm)r and the Assignee with respect to all unpaid interest which has accrued on the Assigned Interest to !Jut exduding the Effective nate. On and aJkr the applicable Effective Date. :he Assignee sbaii bt: emitld to receive all interest paid or payable with respect to the Assigned !nteresl. whether such interesl accru;:d before or after the Effective Date. 2.2 With respect to Assigned Interests for Revolving Loans and LC Commitments and LC Dep<Jsi:s, Ji-orn <1nd after the Effective Date, the Administrative Agem shall make all payrnenrs in respect of the Assi;~ncd Interest (including payments of principal, interest, fees and other amount..;) to the /ssignor fur arnc·unts which have accrued to but excluding the Effective Date and to the Assignee for amo:.m;s w:1ich have accrued fror.1 and after the Effective Date. 6
  • 86.
    J. General Provisions. This Assignment shall be binding upon. and murc to the benelit o·f. the parties h'-'reto and their respective successors and assigns. This Assignment may be executed in any number of counll:rpans, which together shall constinm: one instrum.::nt. Ddivcry of an executed coumerpart uf ;s signatun:: page of this Assignment by telccopy shall be c!Tcctive as delivery of a ImHmnlly executed c01:ntcrran of this Assignment. This Assignment shalt be gov-.:med by. and construed in or accomanc with, the internal laws of the Staii:o of New York wi<ltom regard to conflict laws principles thereof. 7
  • 88.
    ASSIGNMENT AND ASSUMPTIONAGREI::MENT Thts Assignment and Assumption Agree set fort~below and is entered into and (the "A signor") not defi ed herein · the Amen•jed and Restated First Lien Senior Secure Super-Priority Debtor-in-Possession and Exit Credit and Gu3ranty Agreement identified below (as it m y be amended, supplemented or otherwise modified from tima to time, the "Credit Agreement"), receipt $fa copy of which is hereby acknowledged by the Assignee. T1e Standard Terms and Conditions set fort~ in Annex 1 attached hereto are hereby agreed to and incc•rporated herein by reference and made alpart of this Assignment as if set forth herein in full. :For an agreed consideration, the Assignor hereby irrevocably sells and assigns to the Assignee, and the Assignee hereby irrevocably purchases and assumes from the Assignor, subject to and in accord~nce with the Standard Terms and Conditions and the Credit Agreement, as of the Effective Date tnserted by the Administrative Agent as contemplated below, the interest in and to all of the Assignor's rights ahd obligations under the Credit Agreement and any other dc•cuments or instruments delivered pursuarit thereto that represents the amount and percentage interest identified below of all of the Assignqr's outstanding rights and obligations under the respective fac lities identified below (including, to the ext~nt included in any such facilities, letters of credit, LC Deposits ctnd swingline loans) (the "Assigned lnteresti) Such sale and assignment is without recourse to the Assignor and. except as expressly provide~ 1n th1s Assignment and the Credit Agreement, without mpresentation or warranty by the Assignor AsSignor: BDCM Opportunity Fun•j II, L.P. 3 Borrower(s) Allied Holdings, Inc, All ed Systems, LTO (L.P) 4 Administrative Agent The CIT Group I Business Credit, Inc., as the administrative agent under the Credit Agreement 5 CrEtJit Agreement The $265,000,000.00 Credit Agreement dated as of May 15, 2007 among Allied Holdings, Inc. ("Holdings"), Allied Systems, Ltd. ( L. P.) ("Systems"), certain Subsidiaries of Holdings and Systems, as Guarantors, the Lenders parties thereto, Goldman Sachs Credit Partners L P , as Administrative Agent, The CIT Group/Business Credit. Inc., as Administrative 1gent and Collateral Agent and the other agents parties thereto NY474C'I11 1/9999-00999
  • 89.
    6 Assrgned Interest Aggregate Amount of Amount of Percentage Assigned of Commitment!Loans/LC Commitment/Loan:;/LC Commitment!Loans/LC F~cility Assigned Deposits for all Lenders Deposits Assigned Deposits S~nthetic Cbmmitment Lr:rm Loan LC u u usot~••• --·Yo Etiectrve 2 w 474811 1/9999·00999
  • 90.
    7 Not~e and Wire Instructions BDCM Opportuflity Fund II, L.P. LOAN ACTIVIT'( CONTACT: BDCM OPPORTUNITY FUND II, L.P C/0 Black Diamond Capital Management, L. L.C. Attn: 3 NY474$11 1/9999-00999
  • 91.
    - W1re ln~tructions Wire Instructions: BDCM Opportunity Fund II, LP. Bank: JPMorgan Chase Bank New York, NY ABA No Acct. Acct Name: BDCM OPPORTUNITY FUND II, L.P. 4 NY474(~11 1/9999-00999
  • 92.
    fhe terms setforth in this Assignment are hereby agreed to: ASSIGNOR BDCM OPPORTUIIIlY FUND II, L.P., as Assignee By: BOCM Opportunity Fund II Advisor, L.L.C., It& Investment Ma11ager By:-----·----------- Name: Title: 5 NY474fl11 1/9999· 00999
  • 93.
    ··l:o terms setfor11l in this Assignment are hereby agreed to: ASSIGNOR By: Name: Tille· ASSIGNEE BDCM OPPORTUNITY FUND II, l.P., as Assignee By: BDCM Opportunity Fund II Adviser, L.L.C., its Investment Mana ~er 5 ! J ''4 ?4d11_ 1;090!.i-OOODO
  • 94.
    Consented to andAccepted: THE CIT GROUP I BUSINESS CREDIT, INC., as Administrative Agent By: -/~~ Name: yf1, c. fA ,f.; f tJ I {;.::;,Lf-t Title: Ut~. /!1/<ii-•t:;cN Consented to: ALLIED HOLDINGS, INC. iII.: By: I 1 : f Narne· Title· ALLIED SYSTEMS, LTD (L.P.) I Uy. l· Name Title-. 6 NY47481 1.119999-00999
  • 95.
    STANDARD TERMS ANDCONDITIONS FOR ASSIGNMENT AND ASSUMPTION AGREEMENT Representations and Warranties. I. l Assignor. The Assignor (a) represents and warrants that (i) it is the legal and beneficial owner <f the Assigned Interest, (ii) the Assigned Interest is free and clear of any lien, encumbrance or other a• verse cla1m and (iii) it has full power and authority, and has taken all action necessary, to execute and delver this Assignment and to consummate the transactions contemplated hereby; and (b) assumes no resp nsibility with respect to (i) any statements (as defined herein), warranties or representations made i~ or in connection with any Credit Document, (ii} the execution, legality, validity, enforceability, genuin~ness. sufficiency or value of the Credit Agreement or any other instrument or document delivered pursua~t thereto, other than this Assignment (herein collectively the "C·edit Documents"), or any collateral thereu~er. (iii} the financial condition of the Company, any of its Subsidiaries or Affiliates or any other Person !obligated m respect of any Credit Document or (iv) the perform 3nce or observance by the BorrOWfr. any of its Subsidiaries or Affiliates or any other Person of an {of their respective obligations under c1ny Credit Document 1.~ Assignee. The Assignee (a) represents and warrants :hat (i} it has full power and authonw and has taken all action necessary, to execute and deliver this Assignment and to consummate the trai>actions contemplated hereby and to become a Lender under the Credit Agreement, (ii) it meets all requirements of an Eligible Assignee under the Credit Agreement, (iii) from and after the Effective Date, itlshall be bound by the provisions of the Credit Agreement and, :o the extent of the Assigned In teres~ shall have the obligations of a Lender thereunder, (iv) it has received a copy of the Credit Agreerrient and such other documents and information as it has deemed appropriate to make its own credit ahalysis and decision to enter into this Assignment and to purchase the Assigned Interest on the basis oj which it has made such analysis and dec1sion, and (v) if it is a Non US Lender, attached to the Assigmrent is any documentation required to be delivered by it pursuant to the terms of the Credit Agreen1ent. duly completed and executed by the Assignee; and (b) agrees that (i) it will. independently and without reliance on the Administrative Agent, the Assignor or any other Lender, and based on such documttnts and information as it shall deem appropriate at that time, continue to make its own credit decisiohs 1n taking or not taking action under the Credit Documents, ar d (ii) it will perform in accordance w1th their terms all of the obligations wh1ch by the terms of the Credit Documents are required to be performed by it as a Lender. Payments. All payments with respect to the Assigned Interests shall be made on the Effect1ve Date as follows 2.1 With respect to Assigned Interests for Term Loans, unless notice to the contrary is deliver¢d to the Lender from the Administrative Agent, payment to the A.ssignor by the Assignee in resped of the Assigned Interest shall include such compensation to th•: Assignor as may be agreed upon by the f-.ssignor and the Assignee with respect to all unpaid interest which has accrued on the Assigned lnteresi to but excluding the Effective Date. On and after the applicable Effective Date, the Assignee shall b~ entitled to receive all interest pa1d or payable with respect to tile Assigned Interest, whether such interesi accrued before or after the Effective Date. "> "> With respect to Assigned Interests for Revolving Loan5 and LC Commitments and LC OepoSlfS. from and after the Effective Date, the Administrative Agent shall make all payments in respect of the A,ss1gned Interest (including payments of principal, interest, fees and other amounts} to the Ass1gn~r for amounts which have accrued to but excluding the Effective Date and to the Assignee for amounts which have accrued from and after the Effective Date. 7 NY474o111/9999-00999
  • 96.
    .). General Provisions. This Assignment shall be bindin~ upon, and inure to the benefit of, the parjt1es hereto and their respective successors and assigns. This ;~ssignment may be executed in any numbe~of counterparts, which together shall constitute one instrument. Delivery of an executed counte part of a signature page of this Assignment by telecopy shall b ~ effective as delivery of a manually execut d counterpart of this Assignment This Assignment shall be governed by, and construed in accord nee with, the internal laws of the State of New York without re!Jard to conflict of laws principles thereoft 8 NY4741511 1/9999-00999
  • 97.
    L PURCHASE AND SALE AGREEMENT TRANSACTION SPECIFIC TERM~i THIS URCHASE AND SALE AGREEMENT is dated as of the Agreement Date and entered into by and betwee Seller and Buyer to govern the purchase and sale of the Loans, the Commitments (if any) and the oth r Transferred Rights, in accordance with the terms, conditions and agreements set forth in the Standa d Terms. The Standard Terms are incorporated herein by reference without any modification whatso ver except as otherwise agreed herein by the Parties and as specifically supplemented and modifie by the terms and elections set forth in the Transaction S1..mmary and Sections A through H below. i The Standard Terms and the Transaction Specific Terms together constitute a single integrated Purcha~e and Sale Agreement governing the Transaction. With respect to the Transaction, the Parties agree t~ be bound by the Standard Terms and the Transaction Specific Terms set forth herein. Trade Date: Agreement Date: Seller: Buyer: Credit Agreement: Amended and Restahd First lien Secured Super-Priority Debtor in Possession and Exit Credit and Guaranty ~greement dated as of March 30, 2007 as amEnded and restated as of May 15, 2007 amon~1 Allied Holdings, Inc. ("Holdings"), Allied Systems, ltd. (l.P.) ("Systems"), certain Subsidiaries of Holdings and Systems, as Sutsidiary Guarantors, the lenders party thereto, Goldman Sachs Credit Partners L.P., as Syndication Agent, The CIT Group I Business Cred t, Inc., as Administrative Agent and Collateral Agent !Borrower: Allied Holdings, Inc. ancl Allied Systems, ltd. (l.P.) !Purchase Amount(s): (i) ~utstanding principal amount "•""""'"'"' amount i Tranche(s): iCUSIP Number(s), if available: N/A !Pre-Settlement Date Accruals r8] Settled Without Accl'ued Interest lTreatment: D Trades Flat 'Type of Assignment: D Original Assignmen1 r8] Secondary Assignment LSTA EFfECTIVE DECEMBER 2006 Copyright@ LSTA 2006. All rights reserved. NY 474$0.1/9999-00999
  • 98.
    TRANSACTION SUMMARY Immediate Prior Seller (if any): Borrower in Bankruptcy: YesO No r8] Delivery of Credit Documents: YesO No r8l Netting Arrangements: YesO No r8] 1 Flip Representations: Yes0 No r8l 1 Step-Up Provisions: Yes0 No r8] 2 Shift Date : Not Applicable 3 Transfer Notice: Yes0 No r8] A. DEFINITIONS Capitalized terms used in this Agreement shall have the respective rr eanings ascribed thereto in Section 1 of t~e Standard Terms, as supplemented by Section A of the ··ransaction Specific Terms and as otherw)se may be provided in other provisions of this Agreement Terms defined in the Credit Agreement and n~t otherwise defined in this Agreement shall have the same mt~anings in this Agreement as in the Credit IAgreement Except as otherwise expressly set forth here~in, each reference herein to "the Agreery,ent," "this Agreement," "herein," "hereunder" or "hereof' shall be deemed a reference to this Agreement If there is any inconsistency between the Transactior Specific Terms and the Standard Terms! the Transaction Specific Terms shall govern and control. In th1s Agreement: ·Agent! means The CIT Group I Business Credit, Inc , as Administrati11e Agent 'Assi ment" means the Assignment and Assumption Agreement :hat is in the form specified in the Credit. greement for an assignment of the Loans and Commitments (if any) and any Required Consents to sue~ assignment ·· Bankrtptcy Case" select one: ~.none. C:::i means [the case under the Bankruptcy Code pending before the Bankruptcy Court in which Bcirrower is a debtor, In re _ _ _ _ _ , No. _ _ _ ___. The Parties cannot specify "Yes" to both "Flip Representations" and "St•~p-Up Provisions" unless they set forth approptiate modifications in Section H. Neither "Flip Representations" nor "Step-Up Provisions" applies to original ass1gnrjlents. :: Specfy a Shift Date only if "Yes" is specified opposite "Step-Up Provisions" and if the second box is selected in the definitiqn of Covered Prior Seller. The Shift Date is the date that the Parties c gree is the closest possible approximation for when the market convention for transferring the Loans and Commitments (if any) shifted from a par/ne~r par documentation basis to a distressed documentation basis. In c:msulting as to the appropriate date, the Parties! may refer to published results of an anonymous LSTA poll of disinterested dealers as to such dealers' views regardipg the Shift Date or, if results have not been published with respect tc the Credit Agreement, either Party may requesj in writing that the LSTA endeavor to conduct such a poll. To initiate a poll, send a request that includes the name .~f Borrower and either the CUSIP number (if available) or the name and date of the Credit Agreement to the LST A ;!t lstashiftdatepolls@lsta.org. The results of such LST A polls are available to facilitate discussions between the Pa;Jties and have no binding effect. 3 "Yes'•can be elected only if"Yes" is specified opposite "Borrower in Bankruptcy" in the Transaction Summary. 2 NY 4 74 p80 1/9999-00999
  • 99.
    "Bankt tc Court" select one: fS1none. Ll means [the United States Bankruptcy Court for the _ __ District of _____ (and, if appropriate. the United States District Court for that District)]. "Bar Drte" select one: [gJ not applicable. C: none has been set [:! means {specify applicable date, if any]. '·Bu er· Purchase Price" select one: rg: not applicable. L! means the purchase price payable by Buyer to Original Buye- pursuant to the Netting Letter (this applies if there are three (3) parties involved in the netting arrange•ment). Li means the purchase price payable by Buyer to Penultimate 13uyer pursuant to the Netting Letter (this applies if there are four (4) or more parties involved in the ne-:ting arrangement). "Com~itments" select one: C none. 1 ~I means Synthetic LC Commitment in the principal amount of which is funded asian LC Deposit Tove1 d Prior Seller" select one: [gl not applicable. L means each Prior Seller that transferred the loans 5and Commitments (if any)4 on or after the Shift D*e bbut prior to the date on which transferred such loans and Commitments (if any)] 'Ftlin ate" select one fS1 none. Cl means (identify date on which Borrower filed Bankruptcy Case]. "Loan~" means, collectively, Term Loans in the outstanding principal amount Synth~tic LC Deposits in the principal amount ot·• • • • • • · Nettittq Letter" select one f2:. not applicable. L~ means that certain Multilateral Netting Agreement in the for-n currently published by the LSTA dated on or as of the Agreement Date among Seller, Buyer [and] [,] Original Buyer [, Penultimate Bu~er] and [describe any other parties to the Netting Letter]]. · Oriqmrl Buyer" select one: cg:, not applicable. C means [specify original buyer in the netting arrangement]. "Penuipmate Buyer" select one: " If ap~licable to only a portion of the Loans and Commitments (if any), specify the portion that applies, ~. "each Prior S~ller that transferred the (Name of applicable Covered Prior Seller] Loans (as defined in Section 1 of the Annex)! .. ;, Speq1fy the first Entity that transferred the Loans and Commitments (if any) on a distressed documentation basis on or atter the Shift Date. tiThe pracketed language applies where the relevant Predecessor Transfer Documents include a distressed trade that se~led after the par/near par trade which settled on or after the Shift DatE . 3 NY4 74{)80 .1/9999-00999
  • 100.
    0 not applicable. 0 none ("none" is applicable if there are only three (3) parties imolved in the netting arrangement). 0 means '-------'· "Reguifed Consents" means the notice to the Borrower and the Agent. ··seller Purchase Price" select one: ~ not applicable. 0, means the purchase price payable by Original Buyer to Seller pursuant to the Netting Letter. "Trans r Fee" means th~•• • •transfer or other similar fee payable to the Agent in connection with the Assign ent. "Unfun ed Commitments" means that part of the Commitments that 1as not been funded in the form of loans. dvances, letter of credit disbursements or otherwise under th•3 Credit Agreement, which is in the princip~l amount o f · · · · B. SECTION 4 (SELLER'S REPRESENTATIONS AND WARRANTIES) The following specified terms shall apply to the sections referenced in this Section B: ---------· Flat Reeresentation Fli(! Reeres•mtation Stee-Ue Reeresentation If "No" is specified opposite If "Yes" is speci1ied opposite If "Yes" is specified opposite I 1 both "Flip Representations" "Flip Represent<tions" in the "Step-Up Provisions· in the and "Step-Up Provisions" in Transaction Su11mary, the Transaction Summary, the 1 · the Transaction Summary, the following subsections of following subsections of following subsections of Section 4 shall aJply: Section 4 shall apply: Section 4 shall apply: t -----· Secti-on: 4 1(d) (Title! Section 4.1 (d}(i) Section 4. i(d)(ii) Section 4.1 (d)(i) fsecticir,i 4 -1 (e) (Proceedings) Section 4.1 (e)(i) ----· Section 4.1(e}(i) Section 4.1 (e)(ii) ·---·· ---·----- •' I f-sectior,i 4 1(f) (Principal Section 4.1 (f)(i) Section 4. 1(f)(ii) Section 4.1 (f}(i) i Amounj1 I l I 1------.. . ~ - - - - · l Sec!lon;4 1(g) (Future Funding) Sect1on 4.1 (g)(i) Section 4. I (g)(ii) Section 4.1 (g)(iii) i-----o- ----·-------- f--- 1 SectJont4 1(h) (Acts and Section 4.1 (h)(i) Section 4. i (hl(i) Section 4.1(h)(ii) i;t §.) 1(i)(Performance of Section 4.1 (i)(i) Section 4. 1(i)(i) Section 4.1 (i)(ii) S) ··----.------- h3eci;oni4 1(1) (Setof:!) Section 4_ 1 (l)(i) Section 4 ·1 ( l)(i) Section 4.1 (l){ii) L------ 1(t) (Consents and 1 Sect1on14 Section 4.1 (t)(i) I Section 4 1(t)(i) Section 4.1 (t)(ii) i Waiver!; I I I -- i ~~~~~~~~ 1(u) (Other I Section 41 (u)(i) I Section 4.1 (u)(i) Section 4.1 (u)(ii) ts) I ! . ----- [_ Section 4 ;,;,(P:o!O! Cf=d Section 4. 1(v)(i) ------ --- I ------seCi-ion4_ _ I I I l i<vJ(iiJ . -·· ··- ·-··-···-··--------. Section 4. 1(v)(i) 4 NY4 74~180 .1/9999-00999
  • 101.
    Sectloq 4.1 (k)(Purchase Price); Netting Arrangements. If "Yes" is specified opposite Netting Arrangements in the Tr:msaction Summary, Section 4.1 (k) shall be amended in its entirety as follows: 7 "(k) [intentionally omittedJ." Sectioq 4.1 (r) (Predecessor Transfer Agreements). : D Seller acquired the Transferred Rights from Immediate Prior Seller pursuant to Predecessor Transfer Agreements relating to par/near par loans. (gJ Seller acquired the Transferred Rights from Immediate Prior Seller pursuant to Predecessor Transfer Agreements relating to distressed loans. D Seller acquired the Transferred Rights from Immediate Prior Seller pursuant to Predecessor Transfer Agreements relating to both par/near par loans and distressed loans. Sect1o~ 4.1 (u} (Other Documents). • [gJ None. D The following: _ _ __ Sectioq 4.1 (v) (Proof of Claim) N/A · D The Proof of Claim was duly and timely filed, on or prior to the Bar Date, by D the Agent on behalf of the Lenders. D Seller or a Prior Seller. D The Bar Date specified in the Transaction Specific Terms has been set in the Bankruptcy Case and no Proof of Claim has been filed. [s;] No Bar Date has been set in the Bankruptcy Case and no Proof of Claim has been filed. C. SECTION 5 (BUYER'S REPRESENTATIONS AND WARRANTIES) C.1 Sectton 5.1 (n) (Buyer Status). [Specify Buyer's status for purposes of determining Required Conser)ts, minimum assignment amount requirements or Transfer Fee requirements.] 0 Buyer is not a Lender. 0 Buyer is a Lender. D Buyer is an Affiliate (as defined in the Credit Agreement) of a Lender. 0 Buyer is an Approved Fund [substitute Credit Agreement c efined term if different] of a Lender. C.2 If 'Yes" ts specified opposite "Delivery of Credit Documents" in the Transaction Summary, Buyer repres~nts and warrants that it (i) was not a Lender on the Trade Date and (ii) requested copies of the Credit ~Documents from Seller on or prior to the Trade Date. D. SECTION 6 (INDEMNIFICATION) Sectton 6.1 (Seller's Indemnities); Step-Up Indemnities. (1) If "Yes" is specified opposite "Step-Up Provisions" in the Transaction Summary, Seller's indemrtttles contained in Section 6.1 (b) shall apply (and the alternate indemnities contained in Section 6 1(a) lhall not apply) (li) If "No" IS specified opposite "Step-Up Provisions" in the Transaction Summary, Seller's indemriltles contatned in Section 6.1(a) shall apply (and the alterna1e indemnities contained in Section 6 1(b} 4hall not apply). ' Selle~ should add, and Buyer should cause Original Buyer or Penultimate Buyer, as applicable, to add, a comparpble representation to the Netting Letter in lieu of this representation. 5 NY474i80 1/9999-00999
  • 102.
    E. SECTION 7 (COSTS AND EXPENSES} 0 The Transfer Fee shall be paid by Seller to the Agent and the Purchase Price shall be increased by af! amount equal to 0 one-half thereof. D other relevant fraction or percentage, _ _, thereof. D Tpe Transfer Fee shall be paid by Buyer to the Agent and 3uyer shall receive a credit to the Pi.Jrchase Price equal to ' D one-half thereof. D other relevant fraction or percentage, _ _ , thereof. D The Transfer Fee shall be paid and allocated in the manner specified in the Netting Letter, D The Transfer Fee has been waived by the Agent and, accordingly, no adjustment to the Purchase Phce shall be made in respect thereof. [6] T~ere is no Transfer Fee and, accordingly, no adjustment to tre Purchase Price shall be made in r~spect thereof. F. SECTION 8 (DISTRIBUTIONS; INTEREST AND FEES; PAYMENTS) F.1 Section 82 (Distributions); Step-Up Distributions Covenant (iJ If "Yes" is specified opposite "Step-Up Provisions" in the Transaction Summary, Seller's coven<lnts contained in Section 8,2(b) shall apply (and the alternate covenants contained in Section 82(a) ~hall not apply), lli) If "No" 1s specified opposite "Step-Up Provisions" in the Transaction Summary, Seller's coven4nts contained in Section 8,2(a) shall apply (and the alternc:te covenants contained in Section 82(bl ~hall not apply), F.2 Section 8A (Wire Instructions), Buyer'f Wire Instructions: Bank JPMorgan Chase Bank Seller'li Wire Instructions: Bank Citibank, NA 6 NY 4 74~80, 1/9999-00999
  • 103.
    G. . SECTION 9 (NOTICES) Buyer'~ Address for Notices and Delivery: Sellef?j Address for Notices and Delivery: CREDif CONTACT H. SECTION 26 (FURTHER PROVISIONS) None 7 NY 4 74!'180 1/9999-00999
  • 104.
    IN WITNESS WHEREOF,Seller and Buyer have executed th.s Purchase and Sale Agreement by the1r du'v authorized officers or representatives as of the Agreement (·ate_ SELLER BUYER BDCM OPPORTUNITY FUND II, L.P. By: BDCM Opportunity Fund II Advisor, Ll.C, Its Investment Mana~1er By-:-:----------------- Name: Title: 8
  • 105.
    IN WITNESS WHEREOF,Seller and Buyer have executed this I:Jurchase and Sale Agreement by the1r Uuly authorized officers or representatives as of the Agreement Dat;; SELLER By: _ _ _ _ _ _ _ - - - - - - - - - - - - Name: Title: BUYER BDCM OPPORTUNITY FUND II, L.P. By: BDCM Opportunity Fund II Advisor, L.L.C., Its Investment Manager By 8 NY tl ;'>1 !;81!. 119999-00999
  • 106.
    ANNEX TO PURCHASEAND SALE AGRI:EMENT If ·Secondary Assignment" is specified opposite "Type of Assignment" in the Transaction Summary, list of Predecessor Transfer Agreements 1 and principal amount, as of the settlement date with respect thereto, of the portion of the Loans and Commitments (if any) thereunder assigned hereby for purposes of Section 4.1(r) and Section 5.1(k)(i) hereof, and designation as to whether such Predecessor Transfer Agreements relate to partnear par loans or distressed loans. and the related Assignment and Assumption Agreement, each dated as between Seller. as buyer. and Immediate Prior Seller, as seller. With respect principal amount of Term Loans am-principal amount of Synthetic LC Commitments: Purchase and Sale ~he related Assignment and Assumption Agreement, each dated o f - - - b e t w e e n Buyer as seller, and Seller, as Buyer Purchase and Sale Agr<:>t:•m•::.nr ~ent, each dated as - a s seller, and Buyer, as Assignment and Assum Buyer. as seller. and par]. With respect to principal amount of Term Loans and pnncipal amount mmitments: Assignment and Assumption Agreement, d<:tted as of between Buyer. as seller. and Seller, as buyer [par/near par]. 2 L1st of Credit Agreement and any other Credit Documents delivered pursuant to Sect1on 4.1 (s) hereof. N/A 3 Description of Proof of Claim (if any). N/A 4 Description of Adequate Protection Order (if any). N/A 5 List any exceptions to Section 4.1 (w) (Notice of Impairment). None --------------------- ' List (! any Predecessor Transfer Agreement to which Seller is a party, _(ii) any Predecessor Tr~nsfer Agreement of Pnor Stllers relating to distressed loans delivered to Seller by lmmedtate Pnor Seller and (111) any Predecess?r Transfer Agreement of Prior Sellers relating to par loans listed in any Prede< essor Transfer Agreement de sen bed m the pre·~eding clause (i1) Annex-1 NY 4 7 4 ~80 1/9999-00999
  • 107.
    6. The amount of any PIK Interest that accreted to the rincipal 3mount of the Loans after the Trade Date but on or prior to the Settlement Date · · Annex-1 NY4745$0.1/9999-00999
  • 109.
    PURCHASE AND SALEAGREEMENT TRANSACTION SPECIFIC TERMS THIS PURCHASE AND SALE AGREEMENT is dated as of the Agreement Date and entered into by and between Seller and Buyer to govern the purchase and sale of the Loans. the Commitments (if any) and the other Transferred Rights, in accoraance with the terms. conditions and agreements set forth in the Standard Terms. The Standard Terms are incorporated herein by reference without any modification whatsoever except as otherwise agreed herein by the Parties and as specifically supplemented and modified by the terms and elections set forth in the Transaction Summary and Sections A through H below. The Standard Terms and the Transaction Specific Terms together constitute a single integrated Purchase and Sale Agreement governing the Transaction. With respect to the Transaction, the Parties agree to be bound by the Standard Terms and the Transaction Specific Terms set forth herein. EXECUTION COPY Trade Date: Agreement Date: Seller: Buyer: Credit Agreement: Super-Priority Debtor in Possession and Exit Credit and Guaranty Agreement dated as of March 30, 2007 as amended and restated as of May 15, 2007 among Allied Holdings, Inc. ("Holdings"), Allied Systems, Ltd. (L.P.) ("Systems"), certain Subsidiaries of Holdings and Systems, as Subsidiary Guarantors, the Lenders party thereto, Goldman Sachs Credit Partners L.P., as Syndication Agent, The CIT Group I Business Credit, Inc., as Administrative Agent and Collateral Agent Borrower: Allied Holdings, Inc. and Allied Systems, Ltd. (L.P.) Purchase Amount(s): Tranche(s): CUSIP Number(s), if available: Pre-Settlement Date Accruals Settled Without Accrued Interest Treatment: Trades Flat Type of Assignment: Immediate Prior Seller (if any): Borrower in Bankruptcy: Delivery of Credit Documents: YesO No r8J
  • 110.
    TRANSACTION SUMMARY Netting Arrangements: YesO No t:8'] 1 Flip Representations: Yes0 No t:8'] Step-Up Provisions: YesO' No t:8'] 2 Shift Date : Not Applicable Transfer Notice: YesO"' No t:8'] A. DEFINITIONS Capitalized terms used in this Agreement shall have the respective meanings ascribed thereto in Section 1 of the Standard Terms, as supplemented by Section A of the Transaction Specific Terms and as otherwise may be provided in other provisions of this Agreement. Terms defined in the Credit Agreement and not othervvise defined in this Agreement :;hail have the same meanings in this Agreement as in the Credit Agreement. Except as otherwise expressly set forth herein. each reference herein to ''the Agreement," "this Agreement," "herein." "hereunder'· or "hereof' shall be deemed a reference to this Agreement. If there is any Inconsistency between the Transaction Specific Terms and the Standard Terms. the Transaction Specific Terms shall govern and control. In this Agreement: "Agent" means The CIT Group I Business Credit, Inc., as Administrative Agent under the Credit Agreement. "Assignment" means the Assignment and Assumption Agreement that is in the form specified in the Credit Agreement for an assignment of the Loans and Commitments (if any) and any Required Consents to such assignment. "Bankruptcy Case' select one: 0 none. 0 means [the case under the Bankruptcy Code pending before the Bankruptcy Court in which Borrower is a debtor. In re ________ No. _____________ __,. "Bankruptcy Court" select one: 0 none. 0 means [the United States Bankruptcy Court for the ______ District of _____ (and, if appropriate, the United States District Court for that District)]. "Bar Date" select one: 0 not applicable. 0 none has been set. The Parties cannot specify ·Yes· to both 'Flip Representailon~ an(! ·step-Up Provisions" unless they set forth appropriate modifications tn Section H. Neither "Fitp Representations" nor '·Step-Up Provisions" applies to original assignments. 2 Specify a Shift Date only tf "Yes" is specified opposite "Step-Up Provisions" and if the second box is selected in the definition of Covered Prior Seller. The Shift Date is the date that the Partres agree is the closest possible approximation for when the market convention for transferring the Loans and Commitments (if any) shifted from a par/near par documentation basis to a distressed documentation basis. In consulting as to the appropriate date. the Parties may refer to published results of an anonymous LSTA poll of rjisinterested dealers as to such dealers· views regarding the Shift Date or. if results have not been publishea wtth respect to the Credit Agreement, either Party may request in writing that the LSTA endeavor to conduct such a poll To initiate a poll, send a request that includes the name of Borrower and either tr1e CUSIP number (if available) or the name and date of the Credit Agreement to the LSTA at lstash!f!9Jl~Q!§.@I§Ja.Qm. The results of such LSTA polls are available to facilitate discussions between the Parties and have no binding effect. 3 "Yes" can be elected only if "Yes" is specified opposite "Borrower in Bankruptcy" in the Transaction Summary. 2 453-011/AGR/1789544.1
  • 111.
    0 means [specify applicable date. if any]. ''JltE,rer Purchase Price" select one: [2?) not applicable. 0 means the purchase price payable by Buyer to Original Buyer pursuant to the Netting Letter (this applies if there are three (3) parties involved in the netting arrangement). 0 means the purchase price payable by Buyer to Penultimate Buyer pursuant to the Netting Letter (this applies if there are four (4) or more parties involved in the netting arrangement). "Commitments" select one: 0 none. [2?) means LC Commitment in the principal amount all of which is funded as an LC Deposit. "Covered Prior Seller" select one: --[g] not applicable. 0 means each Prior Seller that transferred the Loans 5and Commitments (if any)4 on or after the Shift Date ~but prior to the date on which-----·· _____ transferred such Loans and Commitments (if any)]. "Filing Date" select one: [;g) none. 0 means [identify date on which Borrower filed Bankruptcy Case]. "Loans" means collectively, Term g principal amount and LC Deposits in the principal amount "Netting Letter" select one: [;g) not applicable 0 means lllat certain Multilateral Netting Agreement in the form currently published by the LSTA dated on or as of the Agreement Date among Seller, Buyer [and] [.] Original Buyer [. Penultimate Buyer] and [descnbe any other parties to the Netting LetterJ]. ··original Buyer" select one: [2?) not applicable. 0 means [spec1fy original buyer in the netting arrangement). "Penultimate Buyer" select one: [2?) not appl1cable. 0 none ("none" is applicable if there are only three (3) parties involved in the netting arrangement). 0 means L____] "Required Consents" means notice to the Borrower and acceptance and recordation of the Ass1gnment by the Agent. "Seller Purchase Price" select one: f2J not applicable. 0 means the purchase price payable by Original Buyer to Seller pursuant to the Nett1ng Letter . •j If applicable to only a portion of the Loans and Commitments (if any). spec1fy the portion rhat applieS. g_g, ... each Prior Seller that transferred the [Name of applicable Covered Prior Seiler] Loans (as defineo n1 Section · of the !nnexj · 5 Specify the first Entity that transferred the Loans and Commitments (if any) on a distressed documentation basis on or after the Shift Date. 6 The bracketed language applies where the relevant Predecessor Transfer Documents include a distressed trade that settled after the par/near par trade which settled on or after the Shift Date. 3 453-011iAGR!1789544.1
  • 112.
    "Transfer Fee" meansth~ransfer or other stmtlar fee payable to the Agent in connection with the Assignment. "Unfunded Commitments'' means none. 8. SECTION 4 (SELLER'S REPRESENTATIONS AND WARRANTIES) The following specified terms shall apply to the sections referenced in this Section B i -----------~---Flat Representation---------------Flip Representation : --sfeP:uP Represefrtaiion-l i ' I i following ·hf "No" is specified oppositehr~:Yes" is specified opposite subsections Section 4 shall apply: of Section 4 shall apply· j If "Yes" ;s specified opposite --j j both ''Flip Representations· 'Flip Representations" in the "Step--Up Provisions" in the 1 and "Step-Up Provisions" in ; Transaction Summary, the 1. Transaction Summary. the I Ihe Transaction SumnBry. the fo!lowmg subsections of fo!!ov·.. !ng sub~cctior.s of · Section 4 shall apply: i I I ., rsect1on :1.1 (d) {IUIQ) ---- ----~----- Section 4.fid)(;)- --------,, --- Section 4.1 (d)(ii) -- 1 ----S-ection 4- -1 (dJ(Ij- -,l' ---! rsection4 i(e) (fo:i9i_e_&_<i.!_~)---- ~ Secllon4"i(e){ij' SeCtion4'1(ej(i)' I Section41(e)(i1) I . Section 4.1 (f) (Princi2!!! ------+ ~--------------- j Section 4.1 (f)(i) -----·----- --------- (f)(ii) Section 4.1 -----------------+-----------------------j 1 Section 4 1(f)(i) I Amount) I I 1 I ~~Section 4"1[g)([;;iL;reFungin__gf+,- Section 4 1 (g)(if t t --Sect1on 4 1 (g)M---r---Sect1on 4 I i(g-)(1~- --i SectiOn 4' 1{ti)(Acts and---- 7 --+--·-s=-e-c"'t,-io-n-4:-.1("'h-:-)(::-:-i)___ : - - - Se--ction 4:'1(h)(i) . - ---+_'. Section 4. 1{h)( ii) ! Omi?.§.LQ£1?.) ~-- 1 I '' -----------·~·--- ~--·" lseciia·n-4Jti) ,F>f;'fo;,;.;~nr:e Section 4 1ii)li) l Sec:tinn 4 1 ~i)(ii) I Obhgattons) I 1 . ______________________ j h,ection 4-1(1) l~eloff)- ----- ----~-- --sect-io_n_4 i(l)(;l · __ I I Section 4.1 (l)(ii) v I Secii,";~ 4ltii Consents and .-.. ' Wa1vers) r- I , -··seclior14 -1ii)(;) Sect;on 4.1(1)(1) t i ·· ·sechon l 4-1i!)(;0 _______ i -- ---------- ___________ j _________ - -------- _____ 11 ;·section4.1(u)(Other______ ·------;-----------sectiOn 4.1(u)(1) ---- 1 Documents) Section4.1(u)(i) ! Section4.1(u)(i') 1(v) (f'_rool of CI<Ji(l!) Sect1on 4 1(v)iiJ -------------- ---------------- 1(v)(ii) ·-- i-------- . . --------- ___________ _j! Sect1on 4 ---·----· 1 Sect1on 4 1(v)(i) -· ___________ L_____________ ··-- ______________ j Section 4 1(k) (Purchase Price); Netting Arrangements. If "Yes is spectfied opposite Netting Arrangements in the Transaction Summary, Section 4.1 (k) shall be amended in its entirety as follows: (k) [intentionally omitted]."' 7 Seller should add. and Buyer should cause Original Buyer or Penultimate Buyer, as applicable, to add, a comparable representation to the Netting Letter in lieu of this representation. 4 453-0111AGRI1789544 1
  • 113.
    Section 4 I(r) (Predecessor Transfer Agreements). 0 Seller acquired the Transferred Rights from Immediate Prior Seller pursuant to Predecessor Transfer Agreements relating to par/near par loans. C8J Seller acquired the Transferred Rights from Immediate Prior Seller pursuant to Predecessor Transfer Agreements relating to distressed loans. 0 Seller acquired the Transferred R1ghts from Immediate Prior Seller pursuant to Predecessor Transfer Agreements relating to both par/near par loans and distressed loans. Section 4.1(u) (Other Documents). C8J None. 0 The following: _ _ _ _ . Section 4.1 (v) (Proof of Claim). N/A 0 The Proof of Claim was duly and timely filed, on or prior to the Bar Date, by 0 the Agent on behalf of the Lenders. 0 Seller or a Prior Seller. 0 The Bar Date specified in the Transaction Specific Terms has been set in the Bankruptcy Case and no Proof of Claim has been filed. 0 No Bar Date has been set in the Bankruptcy Case and no Proof of Claim 11as been filed. C. SECTION 5 (BUYER'S REPRESENTATIONS AND WARRANTIES} C.1 Section 5.1 (n) (Buyer Status). [Specify Buyer's status for purposes of determining Reqwred Consents, minimum assignment amount reqUirements or Transfer Fee requirements.] 0 Buyer is not a Lender. 0 Buyer is a Lender. 0 Buyer is an Affiliate [substitute Credit Agreement defined term 1f d1fferent] (as defined in the Credit Agreement) of a Lender. 0 Buyer 1s an Approved Fund [substitute Credit Agreement defined term if different] of a Lender. C.2 If "Yes" is specified opposite "Delivery of Credit Documents" in the Transaction Summary, Buyer represents and warrants that it (i) was not a Lender on the Trade Date and (ii) requested copies of the Cred1t Documents from Seller on or prior to the Trade Date. D. SECTION 6 (INDEMNIFICATION) Section 6.1 (Seller's Indemnities); Step-Up Indemnities. (I) If ·'Yes" is specified opposite "Step-Up Provisions" in the Transaction Summary, Seller's indemnities contained in Section 6.1(b) shall apply {and the alternate indernnit1es contained in Section 6.1 (a) shall not apply). (ii) If "No" is specified opposite "Step-Up Provisions in the Transacllon Summary, Sellers mdemnities contained in Section 6.1 (a) shall apply (and the alternate indemnities contained in Section 6.1 (b) shall not apply). E. SECTION 7 (COSTS AND EXPENSES) 0 The Transfer Fee shall be paid by Seller to the Agent and the Purchase Price shall be increased by an amount equal to 0 one-half thereof. 0 other relevant fraction or percentage,·"--' thereof. 0 The Transfer Fee shall be paid by Buyer to the Agent and Buyer shall receive a credit to the Purchase Price equal to 0 one-half thereof. 0 other relevant fraction or percentage, ___ , thereof. 5 453-011iAGRI1789544.1
  • 114.
    0 The Transfer Fee shall be paid and allocated in the manner specified in the Netting Letter. 0 The Transfer Fee has been waived by the Agent and. accordingly. no adjustment to the Purchase Price shall be made 1n respect thereof. k8;] There is no Transfer Fee and, accordingly, no adjustment to the Purchase Price shall be made in respect thereof. F. SECTION 8 (DISTRIBUTIONS; INTEREST AND FEES; PAYMENTS) F.1 Section 8.2 (Distributions); Step-Up Distributions Covs;na!J.!. (i) If "Yes" is specified opposite ·•step-Up Provisions" in the Transaction Summary, Seller's covenants contained in Section 8.2(b) shall apply (and the alternate covenants contained in Section 8.2(a) shall not apply). (ii) If "No" is specified opposite "Step-Up Provisions" in the Transaction Summary, Seller's covenants contained in Section 8.2(a) shall apply (and the alternate covenants contained in Section 8.2(b) shall not apply). F.2 Section 8.4 (Wire Instructions). Buyer's Wire Instructions: Seller's Wire Instructions: Bank of New York G. SECTION 9 (NOTICES) Buyer's Address for Notices and Delivery: BDCM OPPORTUNITY FUND II, L.P. C/0 Black Diamond Capital Management. L.L.C. Credit Communications Black Diamond Capital Management, L.L.C. 6 453-011/AGR/1789544.1
  • 115.
    Seller's Address forNotices and Delivery: Name: Company: Title: Address: Telephone: Facsimile: E-Mail Address: H. SECTION 26 (FURTHER PROVISIONS) None. 7 453-011/AGR/1789544.1
  • 116.
    IN WITNESS WHEREOF,Seller and Buyer have executed this Purchase and Sale Agreement by their duly authorized officers or representatives as of the Agreement Date. BUYER BDCM OPPORTUNITY FUND II, LP by: BDCM Opportunity Fund II Adviser, LLC its Investment Manager By:_ _ _ _ _ _ _ _ _ _ _ _ _ _ __ Name Title 8 453-01 1/AGRI1789544. 1
  • 117.
    IN WITNESS WHEREOF,Seller and Buyer have executed this Purchase and Sale Agreement by their duly authorized officers or representatives as of the Agreement Date. SELLER By:..,..,...--------------- Name: Title: BUYER BDCM OPPORTUNITY FUND II, LP by: BDCM Opportunity Fund II Adviser, LLC its Investment Ma;nal;~er By· 8 453-011/AGR/1789544.1
  • 118.
    ANNEXTOPURCHASEANDSALEAGREEMENT 1. If ·secondary Assignment" 1s specified opposite "Type of Ass1gnment" in the Transaction 1 Summary, list of Predecessor Transfer Agreements and principal amount. as of the settlement date with respect thereto, of the portion of the Loans and Commitments (if any) thereunder ass1gned hereby for purposes of Section 4.1 (r) and Section 5.1 (k)(i) hereof, and designation as to whether such Predecessor Transfer Agreements relate to par/near par loans or distressed loans. To the extent of the Loans: mentAss~ as seller, a n d _ . . . . . . . . mption Agreement n , as assignor, and 2. Ust of Credit Agreement and any other Credit Documents delivered pursuant to Section 4.1 (s) hereof. s, as Subsidiar as Syndication Agent, ent and Collateral Agent 3 Desc.ripciOrl of Proof of Claim (if any). NIA 4. Descnption of Adequate Protection Order (if any). N/A 5. List any exceptions to Section 4.1 (w) (Notice of Impairment). None. 6. The amount of any PIK Interest that accreted to cipal amount of the Loans after the Trade Date but on or prior to the Settlement Date List (1) any Prer.ecessor Transfer Agreement to which Seller is a party, (ii) any Predecessor Transfer Agreement of Prior Sellers relating ro distressed loans delivered to Seller by lmmedir~te Prior Seller and (ii1) any Predecessor Transfer ,<greement of Prior Sellers relating to par loans listed in any Predecessor Transfer Agreement described in the precedm(J clause (ii). Annex-1 453-011iAC3R/1789544 1
  • 119.
    ASS!GNMDIT AND ASSCMPT!O'·CiRfE.'VH·::T Thi~ Assignment and Assumption Agreement (rhe "As~J tiv.:- Date set fonh Jdow ~nd lS emcrcd imo by and ':Jotw (the "A~signor"} and BDCM Opportunity fund II, LP (the ·'Assignee") apitalued tem1s used bur not defined herein shall have the meanings gtven to rhem in the Amended and i<.estared First lien Senior Secured Super-Pnority Debtor-in-Possession and Exit Creel!! Jnd Guaranty Agreement identified below (as it may be amended, supplemented or orherwise modiiled from time to rime. the "Credit Agreement''). receipt of a copy of whKh is hereby acknow Iedged by rhe As,;ignee The Standard r em1s and Conditions set fOrth ln Annex I attached ht"reto are hereby agret!d tu ()nd :ncorpcr:ucd herein by rcft:::JciH..:c anJ made a part of rhis Assignment as 1f set forth herein in fulL For an agreed constd~ration, the Assignor hereby irrev,xahly sells ana Jssigns to the Assignct:. and the Assignee hereby irrevocably purchases and a:sumes from the As::>ignor, subject to and in accordance with the Standard Terms and Condition;, and 1he Credit Agreement. as of the Effective Dare msened by the Administrative Agent as conremplated below. the- ullerc-st in and to all or' the Assignor's rights and obligations under the Credit Agreement and any other documents or instntments delivered pursuant thereto that represents the amount and percentage mtcrcsr identified below of all of the Assignor's outstanding rights and obligations under the respective ti!Ctlities identified below (including. to the extent mduded in any such facilities, let!ers of credit. LC Deposlts and >wingline loans) (the "Assigned Interest''). Such sale and assignment is without recourse to the Assignor and, except as expressly provided in this Assignment and the Credit Agreement, withour representation or warranty by £he Assignor. l. Assignor: 2. Assignee: BDCM Opportunity l-und II, LP 3. Borrower(s): Allied Hold;ngs. inc .. Allied Systems, LTD (LP.) 4. Administrative Agent: The CIT Group Busmess Credit, Inc.. as the administrative agent under the Crc:dlt Agreement 5. Credit Agreement: Amended and Restated F1rst lien Secured Super-Priority Debtor in Possession and l:x'l C:redH and Guaranty Agreemenr dated as of March }0. 2007, as amenrled and restated as of May 15. 2007 among Aliied Holdings, Inc. ('"Holdmgs"). tfiied Syste:11s, Ltd. (LP) ("Systems"), cenain Subsidiaries of Holdings z,nd Sysrems, as Suh,idiary Guanncor,. :he Lender> p2nies thereto. (iuiJn1:tn Silch~ Credit P;!nncr~~ L.P. ~i~ S~/ndic~Hion 1genr. The Clf Group/BusJnc>S Credit, Inc., as AdminiStrative Agenr and Collatt:rai .-gem
  • 120.
    7 Notice andVirc: Im.rrucuons: ASSICNOR ASSJCNEE: Closing Contact: L.L.C V..iire instructions: Wzre lnsuucuons: Bank of New York J PM organ Chase Bank 3
  • 121.
    6. Ass1gned Interest: Aggregate Amount of :mount of Percentage Assigned of Commitment:iLoans11.C CommitmcntJ1.oansiLC Commitmcntr1.oans/LC Facility Assigned Deposits for ali L.:ndcrs Deposit;, Assigned Deposits us~ Synthetic LC Commitment csD •.- - · --~0 Term Loan Effective Date 2 453-DllrCERTS!l789541 l
  • 122.
    .-SSIGN[L BDCM OPPORTUNITY FUND 11, LP, as Assignee by: BDCM Opportunil) Fund H Adviser. LLC its Investment Manager By.-- 'itu;;c. ·1
  • 123.
    ;S')f(jl.: J·. BDCM OPPORTUNITY FUN1J II, LP. as Assigm·c by: lll>CJ'>'l Opportunity Fund 11 Adviser, ·I
  • 124.
    Consented to andAccepted: Name: Title Consented to: ALLIED HOLDINGS, Il'<C. By: Name: Nj{Y Title ALLIED SYSTEMS, LTD (L.P.) B~ Name: f1 [~It ' Title 5 4S3-()l !ICERTS/1789541.1
  • 125.
    STANDARD TERMS A-''DCONDITIONS FOR .li.SSl<!';/vll:! i" AND iSSL'11'1 iO:-; AGREf':.iVII:~T .1 As.signt1r. Tht: As~1gnui l.:.t) n.:p;·c~-.~..:nb t.tnd ,varranb Lhat (1) i i:- lfJc :..:g~d anti be:ncfic:lal owner of ;he Assigned interest, (ii) the Asstgned Interest is free and clear of any hen. encumbrance or other ~dverse claim and (iii) it has full power and authomy, ~nd ha~ taken all actton necessary. to execute and deliver this Assignment and to consummate the transactions conter.1plated hereby: and {b) a~sumes no re>pon!>ibility with respect to (i) any statemems (aS defined herein), warranties or representations made in or in connection with any Credit Document. (it) the exc:~uuon, leg:.Jiity, valid1ty. ci>forceabliity, genuineness, sufticiem:y or value of the Crecit Agrec!llcnl or :my uther in~irumeilll'f dccurnent delivered rurs,t:lnr thereto. other than this A;;$igD:lJCn: (herei!l collcctm::iv rhe: "Credit Documenb''). or any collateral tht>reunder, (iii) the fin:mcial condHion of the Cl!mpany, any of tiS Sub~tJwne;; or Afft!Jatc:s or ,!f;y nther Person obligated in respect of ;1ny Credt! Document or (iv) the per!iJrmance or ob~ervance by ihe Borrower, any of l!S Subsidiaries or Aftili~tes or any other Person of any o! thc;r respective obligations under any Credit Document. 1.2 Assignee. The Assignee (:1) represents and warrants that ti) it ha:: full power and authority, and nas taken all action necessary, to execute and deliver this Assignment and 10 consummate the transactions contemplated hereby and to become a Lender under the Credit Agreement, {ii) it meets all rcljuirement~ of an Eligible Assignee under the Cr~dit Agrt:emenl, ( :1i) from and after the Effective Date, 11 shaH be bound by the provisions of the Crt:dit Agreement and, to the extent of the A~s1gned interest, ,hJli h:J'-'C the obligations of a Lender therc·,mJcr, (:•/J it ll;;~s received a copy nfthc: Crdil :'greement and s:!cl: ()thc-r Cc:cnments and inform•Hion ::sir h:1s. r~e-c:red ;:~prt)rriate to n~~tke it:; O'-vn crcdH analysis and deCISIOn to enter 111CO this Assignment and to pur~hase the Assigned Interest on the basts of which 11 has n1adc: S-Gch analys1s and decision, and {v) 1f it is.;:. :-:on US Lender. aitnched tn d~c A~signrncnt is any d,xumcnration required to be delivered hy it pursuant to the terms of the Credit Agreement. duly L·ornpkred and exetuled by the Assignee;. c:nd tb) ;l[:rce.~ that (i) i! "viii. indcrcndenrfy Ctnd . .virhonr rc:i:;lncc on rhe Administrative Agent, the Assignor or Jny other Lender, 3nd b~sed on such documents l!ild tnfonnation a~ it ~hall deem appropriate ;:t tha' lime, contmue to make 11s own credit decisions in t3king or not taking action under the Credit Docc.ments. and ( ii) it will perform 111 accordance wnh their terms all of the obligations which by the terms ot'the Credit Ducurm:nts are rt:quired robe performed by it J' a Lender. 2. Payments. All payment~ witn respect to the A~signed Interesls shall be made on the Cif~:cu·,;o;;Date as toBow~: :.1 Vith respect to .tt.s.signed ir.tcft~b l·ur Tt:rn; Lo~1ns. Llnk.. s~ nunc{.~ tu lht• CHrtt:-ary r..., uc:l:'-C'rL~d 10 the Lender from the :dm:n:~rr;:t~·~·e A~'cn;_ p;i:,;11cnl lo the ::..~rgnor hy the .A~st:;n~L" in rcspecr of the ,,sign~d Interest shail inciudc :ouch ,·ompcns;,r,on to the As>~gnor ns m;,y be agreed upon 1~y ~:1c :~signor and the A.ssignee vlth rL·spccr tc ail unraid interest ·...vhich has accrued on 1h~ As~;!gned i:11ere~1 to bur excluding the Effccitve D~lc. Un Jnd after the app!icabk t:ffecriv~ Dmc. the Assignee c;h~JI be entHied lO receive all imeresr paid or pav:tble with r<::specr tc> tht: Assigned interest. whether such !r.teresr accrued bc:fore or after the Effecl!v<: Date I') [i:..')"'OSJl~, :r.nn and after the EftCcti'.tL" D.tlt..' !ilc A.d:;:ir".;;-;c·~~:ivc A::;cnt st-:~.dl n·;:H:c jiJ ~j;·::~mt·f.! ir1 respcc! of the A,s1gned !nterest (including paymcntj or principal, uncrcst. fees and mher arnount~) to the A~,;gncr 10r amounts which have accrued to but cxc:luding the Effec:tlve Date and to the A>.'>tgnee for :uEounts 1.vhich h<~vc accrued from and after 1hc Effective Date. 6
  • 126.
    -' General Provistons. This A~signmem shall be binding upon. and inure 10 the benefit of. the p8ntes hcretO and thetr respec~l·e 5uccessors and asstgns. Tht:> Assignment m~y be ..:xccut.::d m any nurnb<:r of c·:mmerpans. Vhi.:h together shali cor:stitwe one instnmlenL Delivery of an execu•ed ;;ount:..:rp~u: l.lr::.: )lg_.l1all..ne pngt.~ . thi~ .--~si12rn11C~1l by tclccopy shall be cffec11ve- a.'- delivery off! n1nnuaHy ..>:· ex<::,·utcd cour.u:rpan o( this AsstgnrncnL Tills Aostgnmcnt shall ht:' governed by. :md construed ;n accordance w1th. the: JJllcrnai [;nv;, of tile Srate of "'ew York w;thout regard tc) conlitct of [a'.'·;. principles thercor'. 7