“Benzene Leukemogenesis –
       “Mode” of Action”
                       ”




Modalidade Carcinogénica da ação do Benzeno

              Terrence J. Monks, Ph.D.
                 Professor e Cadeira
      Departmento de Farmacologia e Toxicologia
               Faculdade de Farmacia
            Universidade do Arizona, EUA
1. The postulated MOA: Is the weight of evidence sufficient to
establish a MOA in animals?

2. Relevance to humans: Can human relevance of the MOA be
reasonably excluded on the basis of fundamental, qualitative
differences in key events between experimental animals and humans?

3. Relevance to humans: Can human relevance of the MOA be
reasonably excluded on the basis of quantitative differences in either
kinetic or dynamic factors between experimental animals and
humans?
4. Use of MOA analysis to modify the risk assessment: Are there
any quantitative differences in the key events such that default
values for uncertainty factors for species or individual differences
could be modified? Are there significant data gaps in this context,
which if filled, would permit more predictive assessment of
human risk?
Key Events
                         (Meek & Klaunig, 2010)
• Metabolism of benzene to a benzene oxide metabolite
• Interaction of the benzene metabolite with target cells in the bone marrow
• Formation of initiated, mutated bone marrow target cells
• Selective clonal proliferation of mutated cells
• Formation of the neoplasm (leukemia)
Benzene Metabolism - >145 years and Counting




• Metabolic conversion of benzene to phenol -Schultzen and Naunyn,
  1867.
• Conjugation of phenol to sulphate - Baumann, 1876.
• Anthracene, naphthalene, phenanthrene all converted to dihydrodiols -
  1935 - 1950.
• Boyland (1950) proposes intermediacy of an epoxide.
• In 1949, Dennis Parke joins R.T. William’s laboratory and embarks on
  a study of “all known pathways” of benzene metabolism.
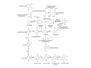
OH

    S-PHENYL-GSH                                                              6-OH-tert,tert-HEXA-
                                                                                DIENOIC ACID
                             SG                                           CHO           CHO          COOH


                                 tert,tert-MUCONALDEHYDE
                            OH                                                              +
                                                                                                       tert,tert-MUCONIC
                             H                                                                         ACID
1-(GSyl)-CYCLOHEXA-
    3,5-DIEN-2-OL            H                                      OHC          HOOC         HOOC
                                             GSH
                            SG
                                                               RING OPENING                                                   H
                                                                                                   EPOXIDE
                                                                                                                                   OH
                             CYP2E1                                                               HYDROLASE
                                                               O                 O
                                                                                                                                   H
                                                                                                            NADPH             OH
                      BENZENE                                                                            NADP
                                                  BENZENE                        BENZENE
                                                   OXIDE                          OXEPIN                         DIHYDRODIOL
                       O                    OH                        OH                         OH            DEHYDROGENASE
                                                                                                         OH
                                  [O]                [O]                          [O]
1,4-BENZOQUINONE


                                            OH
                                                                    PHENOL                      CATECHOL
                       O
                             HYDROQUINONE
                GSH


                       OH
                                                   GLUCURONIDE & SULFATE
                                                        CONJUGATES
                            SG                              +
                                                                      OH
            GS-HQ
                                                                                 OH

                       OH                                                       1,2,4-BENZENETRIOL


                     [O]                                              OH


                       O                     OH                           O                       OH                      O
                            SG                      SG                            SG                     SG                        SG
                                 GSH                     [O]                          GSH                     [O]
         GS-1,4-BQ
                                    GS                         GS                                                   GS             SG
                                                                                         GS              SG
                       O                     OH                           O
                                                                                                  OH                      O

                                        2,5-GS-1,4-HQ          2,5-GS-1,4-BQ                2,3,5-GS-1,4-HQ          2,3,5-GS-1,4-BQ
                                                                                                 (TGHQ)
O
                                                                                     HO


                                                                                                  t,t-MUCONIC ACID
                                                        6-OXO-t,t-2,4-HEXA-
                                                        DIENOIC ACID

                                                                    O
                                                                           OXIDATION
                                                         HO                                         OH
                                                                                          O
    O
                           O                O      ALDEHYDE                                O
                                                DEHYDROGENASE           REDUCTION
                                                                                    HO
                 GS
                                                                                               6-OH-2,4-t,t-HEXA-
    SG
         +                                                                                     DIENOIC ACID
                                                                O
                      SG
                                                                    O
O            O
                                               ALCOHOL
                                        O   DEHYDROGENASE
                                                                         OXIDATION        OH
                               t,t-MUCONALDEHYDE




                                                            HO
                                                   6-OH-2,4-t,t-HEXADIENAL
Summary of the Metabolic Reactions of Benzene Oxide,
   and its Metabolites, That Consume Glutathione


   • Benzene oxide - Phenyl-GSH
   • Muconaldehyde - 2 GSH conjugates
   • Catechol - At least 1 GSH conjugate
   • Benzene triol - n= ?
   • Hydroquinone/1,4-benzoquinone-
           1 mono-GSH conjugate
           3 bis-GSH conjugates
           1 tris-GSH conjugate
           1 tetra-GSH conjugate

  Conclusion: Benzene likely causes hematotoxicity and
     leukemia through multiple reactive metabolites.
Stability vs Reactivity of Epoxides




Determination of the Fraction of
   Bromobenzene-3,4-oxide
     Escaping Hepatocytes.
From: “Detection and half-life of bromobenzene-3,4-oxide in blood”
                         Lau et al., Xenobiotica, 1984
Stability vs Reactivity of Epoxides




                            ~90nM



                                                             t1/2 = 7.9 min




Concn (ng/mL) of benzene oxide in blood following a single
oral dose (400 mg/kg). Lindstrom et al., 1997.
Stability of Benzene-oxide in Aqueous Media




                                        Henderson et al., 2005.
Benzene Metabolites Identified in Bone Marrow

Benzene (50 ppm for 6hrs):
• Phenol and HQ glucuronides (B63CF1 mice, not rats
  [urinary metabolites]).
• Phenol/catechol sulfate
• trans,trans-muconic acid.
                                      (Sabourin et al., 1988).


Benzene oxide-derived protein adducts in bone marrow:
[14C13C6]Benzene (50-400 mg/kg)

• 1,4-Benzoquinone - (Mice > Rat)
• 1,2-Benzoquinone - (Rat > Mouse)
• Benzene oxide – identified as phenyl cysteine.
                                   (McDonald et al., 1994)
Non-Occupational Sources of Benzene Metabolites
              (see MacDonald et al., Leukemia, 15, 10-20, 2001)


    • OTC medicinals - Phenol


• Diet - Phenol, HQ, catechol




                • Smoke - HQ
Arbutin (4-hydroxy-β-D-glucopyranoside)
Sesamol
Sorbic Acid
Pezzagno et al., Am. J. Ind. Med., 35:511-518,
                    1999
Identification & Quantitation of HQ-thioether
                       Metabolites in Rat Bone Marrow




Hydroquinone glutathione conjugates (A), and mercapturic acid pathway metabolites (B) were quantified in rat bone marrow
by HPLC-CEAS; (A) ( ) hydroquinone, ( ) 2-(glutathion-S-yl)hydroquinone, ( , dashed line) 2,5-bis-(glutathion-S-
yl)hydroquinone, ( ) 2,6-bis-(glutathion-S-yl)hydroquinone, ( ) 2,3,5-tris-(glutathion-S-yl)hydroquinone; (B) ( ) 2-
(glutathion-S-yl)hydroquinone, ( , dashed line) 2-(cystein-S-ylglycine)hydroquinone, ( , dashed line) 2-(cystein-S-
yl)hydroquinone, ( , dashed line) 2-(N-acetylcystein-S-yl)hydroquinone. Each point represents the mean ± SEM (n= 3 ) .
Benzene induces leukemia-associated
  cytogenetic alterations in peripheral
blood lymphocytes of benzene-exposed
                workers.

  • 5q-/-5, 7q-/-7, +8, t(8;21)
  • Aneuploidy – monosomy (5*, 6*, 7*, 10*, 16 & 19),
                    trisomy (5, 6, 7, 8*, 10, 14, 16, 17, 21*, 22*)

  Limited evidence for benzene-induced mutations in humans,
  particularly mutations associated with AML (NPM1, AML1,
  FLT3, RAS, C/EBPα), but………..

   Benzene and/or it’s metabolites generate reactive oxygen
   species and cause error-prone DNA repair.
Reactive Oxygen Species and Benzene Hematotoxicity

 No O2 consumption occurs in reactions in which the
 1,4-benzosemiquinone free radical is formed enzymatically
          Ohnishi et al., 1969


 1,4-Benzosemiquinone is so electron affinic, it’s rate of reduction
 by superoxide (9.6 x 108 M-1 sec-1;) is >4 orders of magnitude faster
 than the reverse reaction, the reduction of O 2 to O2•-
  (4.6 x 108 M-1 sec-1;
          Willson, 1971 Meisel, 1975, Sawada et al., 1975



                            Source of ROS?
Redox Potentials of HQ and HQ-thioethers
Superoxide Generation by HQ and GS-HQ Conjugates

                                                                   70       70




                     S u p e ro x id e A n io n G e n e ra tio n
                                                                                                      r 2 = 0 .8 0
                                                                            60
                                                                   60       50

                                                                            40
                                                                   50
                                 (n m o l/m g /m in )                       30

                                                                   40       20

                                                                            10
                                                                   30           0
                                                                                -1 0 0 -8 0 -6 0 -4 0 -2 0      0     20
                                                                                            E 1 /2 ( m V )
                                                                   20

                                                                   10

                                                                    0
                                                                   0 .0 0 0 1          0 .0 0 1              0 .0 1        0 .1   1
                                                                                              [M e ta b o lite ] m M

   Microsomes (0.5 mg/mL protein) were preincubated with acivicin (10 m M) for 15 min and then incubated with various
   concentrations of either phenol ( , dashed line), HQ ( ), 2-(GS-yl)HQ ( ),2,5-bis-(GS-yl)HQ ( , dashed line), BGHQ
   ( ), or TGHQ ( ), in the presence of succinoylated cytochrome C (12.5 M) and an NADPH generating system. Superoxide
   anion formation is expressed as nmol/mg protein/min. The inset shows the correlation between the oxidation potentials [E1/2
   (mV)] for the HQ and its GSH conjuga tes, and their ability to catalyze superoxide anion formation. Each data point represents
   the mean ± SEM (n=3).
 Base substitutions-G:C;
 Deletion;
 Mutations-G:C to A:T transitions and G:C to T:A; and G:C to C:G transversions.
Potential MOA’s of Benzene-Induced Leukemias
          (Adapted from McHale et al, 2012)
The Stem Cell Niche
The Bone Marrow Niche, Stem Cells, and Leukemia:
 Impact of Drugs, Chemicals, and the Environment
May 29 - 31, 2013 • New York City • www.nyas.org/BoneMarrow
                         This meeting will bring together toxicology, hematology,
                         and oncology research to explore bone marrow niche
                         biology and the factors involved in spontaneous and
                         chemically-induced bone marrow cancer and disease
                         including AML and MDS.

                         Call for Abstracts & Travel Fellowships
                         Poster/Short Talk Abstract Deadline: April 5, 2013
                         Fellowship Application Deadline: April 5, 2013

                         Early Bird Discount
                         Register by April 25, 2012
                         For more information and to register visit:
                         www.nyas.org/BoneMarrow
                         Presented by
Some Plausible Mechanisms by Which GS-HQ
     Conjugates Might Contribute to Benzene Hematotoxicity

                           Potential targets?


LTD4R:      HQ mimicks the action of leukotriene D4 (LTD4) a downstream mediator
of G-CSF, to initiate terminal differentiation in IL-3-dependent murine myeloblasts.


ABCTP: Functional roles for ATP-binding cassette (ABC) transporter proteins in
hematopoietic stem cell function have recently been described. ABC transporter
expression/conformation/ function are modulated by ROS, which induce defects in
hematopoietic stem cell homeostasis.
Some Plausible Mechanisms by Which GS-HQ
     Conjugates Might Contribute to Benzene Hematotoxicity


     • Generation of reactive oxygen species

      • Formation of covalent adducts with key proteins
                          Potential targets?
γ-GT: Tissues expressing very low levels of γ-GT usually possess a very active cystathionase
pathway, in which cystathionine is deaminated and cleaved to form free cysteine and α-
ketobutyrate.

γ-GT activity in bone marrow is relatively low and the more immature, undifferentiated cells
within the marrow (targets of benzene) express almost no cystathionase. Thus, inhibition of γ-
GT in hematopoietic tissue dramatically reduces intracellular GSH levels.

09 terrence monks

  • 1.
    “Benzene Leukemogenesis – “Mode” of Action” ” Modalidade Carcinogénica da ação do Benzeno Terrence J. Monks, Ph.D. Professor e Cadeira Departmento de Farmacologia e Toxicologia Faculdade de Farmacia Universidade do Arizona, EUA
  • 3.
    1. The postulatedMOA: Is the weight of evidence sufficient to establish a MOA in animals? 2. Relevance to humans: Can human relevance of the MOA be reasonably excluded on the basis of fundamental, qualitative differences in key events between experimental animals and humans? 3. Relevance to humans: Can human relevance of the MOA be reasonably excluded on the basis of quantitative differences in either kinetic or dynamic factors between experimental animals and humans? 4. Use of MOA analysis to modify the risk assessment: Are there any quantitative differences in the key events such that default values for uncertainty factors for species or individual differences could be modified? Are there significant data gaps in this context, which if filled, would permit more predictive assessment of human risk?
  • 4.
    Key Events (Meek & Klaunig, 2010) • Metabolism of benzene to a benzene oxide metabolite • Interaction of the benzene metabolite with target cells in the bone marrow • Formation of initiated, mutated bone marrow target cells • Selective clonal proliferation of mutated cells • Formation of the neoplasm (leukemia)
  • 5.
    Benzene Metabolism ->145 years and Counting • Metabolic conversion of benzene to phenol -Schultzen and Naunyn, 1867. • Conjugation of phenol to sulphate - Baumann, 1876. • Anthracene, naphthalene, phenanthrene all converted to dihydrodiols - 1935 - 1950. • Boyland (1950) proposes intermediacy of an epoxide. • In 1949, Dennis Parke joins R.T. William’s laboratory and embarks on a study of “all known pathways” of benzene metabolism.
  • 6.
    OH S-PHENYL-GSH 6-OH-tert,tert-HEXA- DIENOIC ACID SG CHO CHO COOH tert,tert-MUCONALDEHYDE OH + tert,tert-MUCONIC H ACID 1-(GSyl)-CYCLOHEXA- 3,5-DIEN-2-OL H OHC HOOC HOOC GSH SG RING OPENING H EPOXIDE OH CYP2E1 HYDROLASE O O H NADPH OH BENZENE NADP BENZENE BENZENE OXIDE OXEPIN DIHYDRODIOL O OH OH OH DEHYDROGENASE OH [O] [O] [O] 1,4-BENZOQUINONE OH PHENOL CATECHOL O HYDROQUINONE GSH OH GLUCURONIDE & SULFATE CONJUGATES SG + OH GS-HQ OH OH 1,2,4-BENZENETRIOL [O] OH O OH O OH O SG SG SG SG SG GSH [O] GSH [O] GS-1,4-BQ GS GS GS SG GS SG O OH O OH O 2,5-GS-1,4-HQ 2,5-GS-1,4-BQ 2,3,5-GS-1,4-HQ 2,3,5-GS-1,4-BQ (TGHQ)
  • 7.
    O HO t,t-MUCONIC ACID 6-OXO-t,t-2,4-HEXA- DIENOIC ACID O OXIDATION HO OH O O O O ALDEHYDE O DEHYDROGENASE REDUCTION HO GS 6-OH-2,4-t,t-HEXA- SG + DIENOIC ACID O SG O O O ALCOHOL O DEHYDROGENASE OXIDATION OH t,t-MUCONALDEHYDE HO 6-OH-2,4-t,t-HEXADIENAL
  • 8.
    Summary of theMetabolic Reactions of Benzene Oxide, and its Metabolites, That Consume Glutathione • Benzene oxide - Phenyl-GSH • Muconaldehyde - 2 GSH conjugates • Catechol - At least 1 GSH conjugate • Benzene triol - n= ? • Hydroquinone/1,4-benzoquinone- 1 mono-GSH conjugate 3 bis-GSH conjugates 1 tris-GSH conjugate 1 tetra-GSH conjugate Conclusion: Benzene likely causes hematotoxicity and leukemia through multiple reactive metabolites.
  • 9.
    Stability vs Reactivityof Epoxides Determination of the Fraction of Bromobenzene-3,4-oxide Escaping Hepatocytes.
  • 10.
    From: “Detection andhalf-life of bromobenzene-3,4-oxide in blood” Lau et al., Xenobiotica, 1984
  • 11.
    Stability vs Reactivityof Epoxides ~90nM t1/2 = 7.9 min Concn (ng/mL) of benzene oxide in blood following a single oral dose (400 mg/kg). Lindstrom et al., 1997.
  • 12.
    Stability of Benzene-oxidein Aqueous Media Henderson et al., 2005.
  • 13.
    Benzene Metabolites Identifiedin Bone Marrow Benzene (50 ppm for 6hrs): • Phenol and HQ glucuronides (B63CF1 mice, not rats [urinary metabolites]). • Phenol/catechol sulfate • trans,trans-muconic acid. (Sabourin et al., 1988). Benzene oxide-derived protein adducts in bone marrow: [14C13C6]Benzene (50-400 mg/kg) • 1,4-Benzoquinone - (Mice > Rat) • 1,2-Benzoquinone - (Rat > Mouse) • Benzene oxide – identified as phenyl cysteine. (McDonald et al., 1994)
  • 15.
    Non-Occupational Sources ofBenzene Metabolites (see MacDonald et al., Leukemia, 15, 10-20, 2001) • OTC medicinals - Phenol • Diet - Phenol, HQ, catechol • Smoke - HQ
  • 16.
  • 17.
  • 18.
    Sorbic Acid Pezzagno etal., Am. J. Ind. Med., 35:511-518, 1999
  • 19.
    Identification & Quantitationof HQ-thioether Metabolites in Rat Bone Marrow Hydroquinone glutathione conjugates (A), and mercapturic acid pathway metabolites (B) were quantified in rat bone marrow by HPLC-CEAS; (A) ( ) hydroquinone, ( ) 2-(glutathion-S-yl)hydroquinone, ( , dashed line) 2,5-bis-(glutathion-S- yl)hydroquinone, ( ) 2,6-bis-(glutathion-S-yl)hydroquinone, ( ) 2,3,5-tris-(glutathion-S-yl)hydroquinone; (B) ( ) 2- (glutathion-S-yl)hydroquinone, ( , dashed line) 2-(cystein-S-ylglycine)hydroquinone, ( , dashed line) 2-(cystein-S- yl)hydroquinone, ( , dashed line) 2-(N-acetylcystein-S-yl)hydroquinone. Each point represents the mean ± SEM (n= 3 ) .
  • 20.
    Benzene induces leukemia-associated cytogenetic alterations in peripheral blood lymphocytes of benzene-exposed workers. • 5q-/-5, 7q-/-7, +8, t(8;21) • Aneuploidy – monosomy (5*, 6*, 7*, 10*, 16 & 19), trisomy (5, 6, 7, 8*, 10, 14, 16, 17, 21*, 22*) Limited evidence for benzene-induced mutations in humans, particularly mutations associated with AML (NPM1, AML1, FLT3, RAS, C/EBPα), but……….. Benzene and/or it’s metabolites generate reactive oxygen species and cause error-prone DNA repair.
  • 21.
    Reactive Oxygen Speciesand Benzene Hematotoxicity No O2 consumption occurs in reactions in which the 1,4-benzosemiquinone free radical is formed enzymatically Ohnishi et al., 1969 1,4-Benzosemiquinone is so electron affinic, it’s rate of reduction by superoxide (9.6 x 108 M-1 sec-1;) is >4 orders of magnitude faster than the reverse reaction, the reduction of O 2 to O2•- (4.6 x 108 M-1 sec-1; Willson, 1971 Meisel, 1975, Sawada et al., 1975 Source of ROS?
  • 22.
    Redox Potentials ofHQ and HQ-thioethers
  • 23.
    Superoxide Generation byHQ and GS-HQ Conjugates 70 70 S u p e ro x id e A n io n G e n e ra tio n r 2 = 0 .8 0 60 60 50 40 50 (n m o l/m g /m in ) 30 40 20 10 30 0 -1 0 0 -8 0 -6 0 -4 0 -2 0 0 20 E 1 /2 ( m V ) 20 10 0 0 .0 0 0 1 0 .0 0 1 0 .0 1 0 .1 1 [M e ta b o lite ] m M Microsomes (0.5 mg/mL protein) were preincubated with acivicin (10 m M) for 15 min and then incubated with various concentrations of either phenol ( , dashed line), HQ ( ), 2-(GS-yl)HQ ( ),2,5-bis-(GS-yl)HQ ( , dashed line), BGHQ ( ), or TGHQ ( ), in the presence of succinoylated cytochrome C (12.5 M) and an NADPH generating system. Superoxide anion formation is expressed as nmol/mg protein/min. The inset shows the correlation between the oxidation potentials [E1/2 (mV)] for the HQ and its GSH conjuga tes, and their ability to catalyze superoxide anion formation. Each data point represents the mean ± SEM (n=3).
  • 24.
     Base substitutions-G:C; Deletion;  Mutations-G:C to A:T transitions and G:C to T:A; and G:C to C:G transversions.
  • 26.
    Potential MOA’s ofBenzene-Induced Leukemias (Adapted from McHale et al, 2012)
  • 27.
  • 28.
    The Bone MarrowNiche, Stem Cells, and Leukemia: Impact of Drugs, Chemicals, and the Environment May 29 - 31, 2013 • New York City • www.nyas.org/BoneMarrow This meeting will bring together toxicology, hematology, and oncology research to explore bone marrow niche biology and the factors involved in spontaneous and chemically-induced bone marrow cancer and disease including AML and MDS. Call for Abstracts & Travel Fellowships Poster/Short Talk Abstract Deadline: April 5, 2013 Fellowship Application Deadline: April 5, 2013 Early Bird Discount Register by April 25, 2012 For more information and to register visit: www.nyas.org/BoneMarrow Presented by
  • 29.
    Some Plausible Mechanismsby Which GS-HQ Conjugates Might Contribute to Benzene Hematotoxicity Potential targets? LTD4R: HQ mimicks the action of leukotriene D4 (LTD4) a downstream mediator of G-CSF, to initiate terminal differentiation in IL-3-dependent murine myeloblasts. ABCTP: Functional roles for ATP-binding cassette (ABC) transporter proteins in hematopoietic stem cell function have recently been described. ABC transporter expression/conformation/ function are modulated by ROS, which induce defects in hematopoietic stem cell homeostasis.
  • 30.
    Some Plausible Mechanismsby Which GS-HQ Conjugates Might Contribute to Benzene Hematotoxicity • Generation of reactive oxygen species • Formation of covalent adducts with key proteins Potential targets? γ-GT: Tissues expressing very low levels of γ-GT usually possess a very active cystathionase pathway, in which cystathionine is deaminated and cleaved to form free cysteine and α- ketobutyrate. γ-GT activity in bone marrow is relatively low and the more immature, undifferentiated cells within the marrow (targets of benzene) express almost no cystathionase. Thus, inhibition of γ- GT in hematopoietic tissue dramatically reduces intracellular GSH levels.