Download free for 30 days
Sign in
Upload
Language (EN)
Support
Business
Mobile
Social Media
Marketing
Technology
Art & Photos
Career
Design
Education
Presentations & Public Speaking
Government & Nonprofit
Healthcare
Internet
Law
Leadership & Management
Automotive
Engineering
Software
Recruiting & HR
Retail
Sales
Services
Science
Small Business & Entrepreneurship
Food
Environment
Economy & Finance
Data & Analytics
Investor Relations
Sports
Spiritual
News & Politics
Travel
Self Improvement
Real Estate
Entertainment & Humor
Health & Medicine
Devices & Hardware
Lifestyle
Change Language
Language
English
Español
Português
Français
Deutsche
Cancel
Save
EN
Uploaded by
Iwan Pranoto
PPT, PDF
251 views
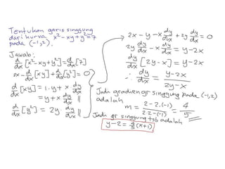
Week 6a
Kuliah minggu ke-enam, hari Senin, tentang turunan implisit.
Education
◦
Read more
0
Save
Share
Embed
Embed presentation
Download
Downloaded 37 times
1
/ 10
2
/ 10
3
/ 10
4
/ 10
5
/ 10
6
/ 10
7
/ 10
8
/ 10
9
/ 10
10
/ 10
More Related Content
PDF
Week 2
by
Iwan Pranoto
PPT
Kalkulus 2A – minggu 6B
by
Iwan Pranoto
PPT
Kalkulus 2 a minggu 5a
by
Iwan Pranoto
PPT
Kalkulus 2A – minggu 6A
by
Iwan Pranoto
PPTX
Week 5
by
Iwan Pranoto
PPT
Research on secondhand car sales in Ireland
by
National Consumer Agency
PPT
Kalk 2 a minggu 4b
by
Iwan Pranoto
PPT
Kalkulus 2A – minggu 3 b
by
Iwan Pranoto
Week 2
by
Iwan Pranoto
Kalkulus 2A – minggu 6B
by
Iwan Pranoto
Kalkulus 2 a minggu 5a
by
Iwan Pranoto
Kalkulus 2A – minggu 6A
by
Iwan Pranoto
Week 5
by
Iwan Pranoto
Research on secondhand car sales in Ireland
by
National Consumer Agency
Kalk 2 a minggu 4b
by
Iwan Pranoto
Kalkulus 2A – minggu 3 b
by
Iwan Pranoto
Viewers also liked
PPT
Kalkulus 2 a – minggu 9a
by
Iwan Pranoto
PPT
NCA consumer empowerment research
by
National Consumer Agency
PPTX
Bahan untuk Diskusi "Temani Aku Bunda"
by
Iwan Pranoto
PPT
Kalkulus 2 minggu 14
by
Iwan Pranoto
PPTX
Presentation1
by
benazir morshed
DOC
Access Granted Foundation Marketing Proposal
by
Jaddan Bruhn
PPT
Matek 1 - Minggu 7
by
Iwan Pranoto
DOCX
Mengukur Kecakapan Mematematikakan dan Menafsirkan sebagai Kecakapan Utama di...
by
Iwan Pranoto
PPTX
Viewing Nature through Math Lenses
by
Iwan Pranoto
PPTX
Kalkulus 1A – Minggu 3
by
Iwan Pranoto
PPTX
นางสาว หัทยา เชื้อสมเกียรติ ม.5
by
hattayagif
PPT
Irish Consumer Empowerment and Complaining, August 2009
by
National Consumer Agency
PPT
Kalkulus 2A – minggu 8A
by
Iwan Pranoto
PDF
Progress Report Delta Api
by
Alone
PPT
Market Research on shopping and pricing in Ireland
by
National Consumer Agency
ODP
20分でSymfony@OSC名古屋
by
Shingo Nakamura
PPTX
Kalkulus 2 minggu 5
by
Iwan Pranoto
PPTX
Tholons Top 10 Trends Presentation
by
Jonathan De Luzuriaga
PPTX
Kalkulus 1A – minggu 4
by
Iwan Pranoto
PDF
Mengintip kompleksitas
by
Iwan Pranoto
Kalkulus 2 a – minggu 9a
by
Iwan Pranoto
NCA consumer empowerment research
by
National Consumer Agency
Bahan untuk Diskusi "Temani Aku Bunda"
by
Iwan Pranoto
Kalkulus 2 minggu 14
by
Iwan Pranoto
Presentation1
by
benazir morshed
Access Granted Foundation Marketing Proposal
by
Jaddan Bruhn
Matek 1 - Minggu 7
by
Iwan Pranoto
Mengukur Kecakapan Mematematikakan dan Menafsirkan sebagai Kecakapan Utama di...
by
Iwan Pranoto
Viewing Nature through Math Lenses
by
Iwan Pranoto
Kalkulus 1A – Minggu 3
by
Iwan Pranoto
นางสาว หัทยา เชื้อสมเกียรติ ม.5
by
hattayagif
Irish Consumer Empowerment and Complaining, August 2009
by
National Consumer Agency
Kalkulus 2A – minggu 8A
by
Iwan Pranoto
Progress Report Delta Api
by
Alone
Market Research on shopping and pricing in Ireland
by
National Consumer Agency
20分でSymfony@OSC名古屋
by
Shingo Nakamura
Kalkulus 2 minggu 5
by
Iwan Pranoto
Tholons Top 10 Trends Presentation
by
Jonathan De Luzuriaga
Kalkulus 1A – minggu 4
by
Iwan Pranoto
Mengintip kompleksitas
by
Iwan Pranoto
More from Iwan Pranoto
DOCX
Menegur Kembali Pentingnya Pembangunan Budaya Bernalar
by
Iwan Pranoto
PPT
Ringkasan Indonesia di TIMSS 2003
by
Iwan Pranoto
PPTX
Kasmaran Bernalar serta Strategi Penyebarannya
by
Iwan Pranoto
DOCX
Sebuah Ringkasan: Menyemai Benih Budaya Ilmiah di Pembelajaran Matematika dan...
by
Iwan Pranoto
PPTX
Passion to Teach, Conceptual Mastery
by
Iwan Pranoto
PPTX
Mengukur Pemahaman
by
Iwan Pranoto
PPTX
Matematika sebagai Kata Kerja
by
Iwan Pranoto
PPTX
Mengintip Kompleksitas
by
Iwan Pranoto
PPTX
Kerangka Membelajarkan Matematika
by
Iwan Pranoto
PPTX
Developing Culture through Math & Science Education
by
Iwan Pranoto
PPTX
Berbahasa untuk Bernalar
by
Iwan Pranoto
PPTX
Karakter Pendidikan Karakter
by
Iwan Pranoto
PPTX
Menakar Budaya Bernalar Bangsa melalui PISA 2013
by
Iwan Pranoto
PPTX
Mempertanyakan Rasionalitas dan Estetika Matematika
by
Iwan Pranoto
PPTX
Menafsirkan Gagasan Tan Malaka dalam Pendidikan Matematika final
by
Iwan Pranoto
DOCX
Tan Malaka
by
Iwan Pranoto
PDF
Kasmaran Tan Malaka Bermatematika
by
Iwan Pranoto
PPTX
UN LOT VS HOT
by
Iwan Pranoto
PPTX
UN: Sebuah Kompas Rusak
by
Iwan Pranoto
PPTX
Mengukur kecakapan mematematikakan final
by
Iwan Pranoto
Menegur Kembali Pentingnya Pembangunan Budaya Bernalar
by
Iwan Pranoto
Ringkasan Indonesia di TIMSS 2003
by
Iwan Pranoto
Kasmaran Bernalar serta Strategi Penyebarannya
by
Iwan Pranoto
Sebuah Ringkasan: Menyemai Benih Budaya Ilmiah di Pembelajaran Matematika dan...
by
Iwan Pranoto
Passion to Teach, Conceptual Mastery
by
Iwan Pranoto
Mengukur Pemahaman
by
Iwan Pranoto
Matematika sebagai Kata Kerja
by
Iwan Pranoto
Mengintip Kompleksitas
by
Iwan Pranoto
Kerangka Membelajarkan Matematika
by
Iwan Pranoto
Developing Culture through Math & Science Education
by
Iwan Pranoto
Berbahasa untuk Bernalar
by
Iwan Pranoto
Karakter Pendidikan Karakter
by
Iwan Pranoto
Menakar Budaya Bernalar Bangsa melalui PISA 2013
by
Iwan Pranoto
Mempertanyakan Rasionalitas dan Estetika Matematika
by
Iwan Pranoto
Menafsirkan Gagasan Tan Malaka dalam Pendidikan Matematika final
by
Iwan Pranoto
Tan Malaka
by
Iwan Pranoto
Kasmaran Tan Malaka Bermatematika
by
Iwan Pranoto
UN LOT VS HOT
by
Iwan Pranoto
UN: Sebuah Kompas Rusak
by
Iwan Pranoto
Mengukur kecakapan mematematikakan final
by
Iwan Pranoto
Recently uploaded
DOCX
Modul Ajar Deep Learning Bahasa Inggris Lanjutan Kelas 11 Semester 2 Terbaru ...
by
wahyurestu63
PDF
PERDARAHAN PADA KEHAMILAN LANJUT- Gadar maternal.pdf
by
AyiDamayani
PDF
Modul Ajar Fikih Kelas 12 - Kurikulum Berbasis Cinta
by
visipintarClass
PDF
Presentation - Orientasi Tahun 4 RBT.pdf
by
HASRUNNAIMBINAHMADMo
PDF
Modul Ajar KBC SKI Kelas 3 MI [MODULKELAS.COM]
by
Modul Kelas
PDF
Modul Ajar Bahasa Indonesia Kelas 4 - KBC
by
visipintarClass
DOCX
Modul Ajar Deep Learning Seni Rupa Kelas 11 Semester 2 Terbaru 2026
by
wahyurestu63
DOCX
Modul Ajar Deep Learning Bahasa Indonesia Kelas 11 Semester 2 Terbaru 2026
by
wahyurestu63
PDF
PPT Materi Seminar AI Now: 2026; Rethinking AI (Full)
by
SABDA
DOCX
Modul Ajar Deep Learning Informatika Kelas 11 Semester 2 Terbaru 2026
by
wahyurestu63
PDF
Modul Ajar KBC SKI Kelas 4 Madrasah Ibtidaiyah
by
Modul Kelas
PDF
PPT Teknis Diskusi Kelas Bedah Kitab Matius: Khotbah di Bukit
by
SABDA
PDF
Modul Ajar Bahasa Indonesia Kelas 6 - KBC
by
visipintarClass
DOCX
Modul Ajar Deep Learning Prakarya Pengelolaan Kelas 11 Semester 2 Terbaru 2026
by
wahyurestu63
DOCX
Modul Ajar Deep Learning Matematika Kelas 11 Semester 2 Terbaru 2026
by
wahyurestu63
PDF
Agenda 2 ASN barakhlak latsar cpns 2026 kelompo 2
by
8k789mqt76
PDF
Modul Ajar Bahasa Indonesia Kelas 2 - KBC
by
visipintarClass
PDF
Modul Ajar SKI Kelas 6 - Kurikulum Berbasis Cinta
by
visipintarClass
PDF
Modul Ajar KBC Fikih Kelas 3 Madrasah Ibtidaiyah
by
Modul Kelas
PDF
Modul Ajar Deep Learning Prakarya Kerajinan Kelas 11 Kurikulum Merdeka
by
Modul Guruku
Modul Ajar Deep Learning Bahasa Inggris Lanjutan Kelas 11 Semester 2 Terbaru ...
by
wahyurestu63
PERDARAHAN PADA KEHAMILAN LANJUT- Gadar maternal.pdf
by
AyiDamayani
Modul Ajar Fikih Kelas 12 - Kurikulum Berbasis Cinta
by
visipintarClass
Presentation - Orientasi Tahun 4 RBT.pdf
by
HASRUNNAIMBINAHMADMo
Modul Ajar KBC SKI Kelas 3 MI [MODULKELAS.COM]
by
Modul Kelas
Modul Ajar Bahasa Indonesia Kelas 4 - KBC
by
visipintarClass
Modul Ajar Deep Learning Seni Rupa Kelas 11 Semester 2 Terbaru 2026
by
wahyurestu63
Modul Ajar Deep Learning Bahasa Indonesia Kelas 11 Semester 2 Terbaru 2026
by
wahyurestu63
PPT Materi Seminar AI Now: 2026; Rethinking AI (Full)
by
SABDA
Modul Ajar Deep Learning Informatika Kelas 11 Semester 2 Terbaru 2026
by
wahyurestu63
Modul Ajar KBC SKI Kelas 4 Madrasah Ibtidaiyah
by
Modul Kelas
PPT Teknis Diskusi Kelas Bedah Kitab Matius: Khotbah di Bukit
by
SABDA
Modul Ajar Bahasa Indonesia Kelas 6 - KBC
by
visipintarClass
Modul Ajar Deep Learning Prakarya Pengelolaan Kelas 11 Semester 2 Terbaru 2026
by
wahyurestu63
Modul Ajar Deep Learning Matematika Kelas 11 Semester 2 Terbaru 2026
by
wahyurestu63
Agenda 2 ASN barakhlak latsar cpns 2026 kelompo 2
by
8k789mqt76
Modul Ajar Bahasa Indonesia Kelas 2 - KBC
by
visipintarClass
Modul Ajar SKI Kelas 6 - Kurikulum Berbasis Cinta
by
visipintarClass
Modul Ajar KBC Fikih Kelas 3 Madrasah Ibtidaiyah
by
Modul Kelas
Modul Ajar Deep Learning Prakarya Kerajinan Kelas 11 Kurikulum Merdeka
by
Modul Guruku
Week 6a
1.
Week 6 Kalkulus
1B Iwan Pranoto
2.
3.
4.
5.
6.
7.
8.
9.
10.
Download