Embed presentation
Download to read offline

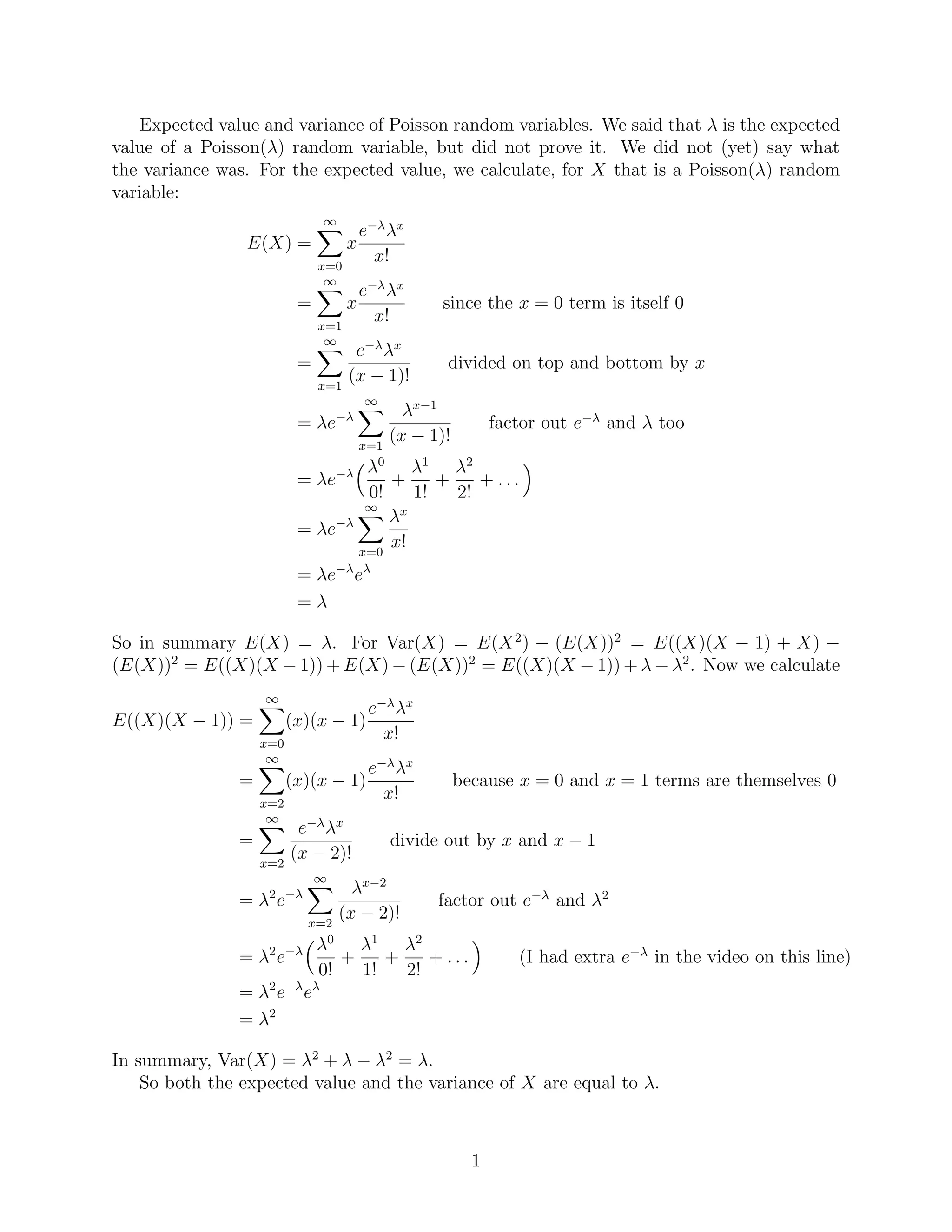
The document discusses the expected value and variance of a Poisson random variable X with parameter λ. It is shown that: 1) The expected value E(X) = λ through calculating the summation from x=0 to infinity of x*e^-λ*(λ^x)/x!. 2) The variance Var(X) = λ through calculating E(X^2) - E(X)^2 and showing E(X^2) = λ^2 and E(X) = λ. 3) In summary, both the expected value and variance of a Poisson random variable X are equal to its parameter λ.
