TEKNIK MENJAWAB MATEMATIK
TAMBAHAN
By:
Aidil-Nur Bin Zainal
http://yourhomeworkishere.blogspot.com
0197878321
PAPER 2 PREFERRED TOPIC
 Simultaneous equation (5 marks)
 Linear Law (10 marks)
 Solution of Triangle (10 marks)
 Index Number (10 marks)
 Trigonometry Functions (6 – 8 marks)
 Statistics (6 – 8 marks)
 Probability Distribution (10 marks)
 Vector (10 marks)
 Linear Programming (10marks)
Total 67 – 71 marks
SPM 2012 PAPER 2 NO. 1
 Solve the simultaneous equations and13  yx
0545 22
 xyyx
1. Choose linear equation
Non – linear is equation with
yx
xyyx
1
,
1
,,, 22
1
2
13  yx
0545 22
 xyyx
If possible choose unknown with no
coefficient as the subject
xy 31
Reason is to avoid fraction
P1
13  yx
2. Substitute into non-linear
xy 31
0545 22
 xyyx
05)31(4)31(5 22
 xxxx
K1
Work through until QUADRATIC
EQUATION is obtain
022
 xx
a = b = c = 21-1 
a
acbb
x
2
4)( 2


)1(2
)2)(1(4)1()1( 2

x
Use your calculator
a = b = c = 21-1 
1
2


x
x K1
N1
OW -1
If the method of solving
QE is not shown
1,2  xx
xy 31
5
)2(31

y
4
)1(31

y
N1
SPM 2011 PAPER 2 NO. 1
 Solve the simultaneous equations and
Give the answer correct to three
decimal places.
012  xy
7234 22
 xyyx
1. Choose linear equation
Non – linear is equation with
yx
xyyx
1
,
1
,,, 22
1
2
012  xy
7234 22
 xyyx
If possible choose unknown with no
coefficient as the subject
12  xy
Reason is to avoid fraction
P1
012  xy
2. Substitute into non-linear
12  xy
7234 22
 xyyx
7)12(2)12(34 22
 xxxx
K1
Work through until QUADRATIC
EQUATION is obtain
0256 2
 xx
a = b = c = 25-6 
a
acbb
x
2
4)( 2


)6(2
)2)(6(4)5()5( 2

x
Use your calculator
a = b = c = 25-6 
295.0
129.1


x
x K1
N1
OW -1
If the method of solving
QE is not shown
1-SSalso
0)295.0)(129.1(
if
 xx
295.0,129.1  xx
12  xy
258.1
1)129.1(2

y
590.1
1)295.0(2

y
N1
SPM 2010 PAPER 2 NO. 1
 Solve the simultaneous equations and .
Give your answer correct to two
decimal places.
72  yx
yxxy 9
1. Choose linear equation
Non – linear is equation with
yx
xyyx
1
,
1
,,, 22
1
2
72  yx
yxxy 9
If possible choose unknown with no
coefficient as the subject
72  yx
Reason is to avoid fraction
P1
72  yx
2. Substitute into non-linear
72  yx
yxxy 9
yyyy 9)72()72( 
K1
Work through until QUADRATIC
EQUATION is obtain
0742 2
 yy
a = b = c = 74-2 
a
acbb
y
2
4)( 2


)2(2
)7)(2(4)4()4( 2

y
Use your calculator
a = b = c = 74-2 
12.1
12.3


y
y K1
N1
OW -1
If the method of solving
QE is not shown
1-SSalso
0)12.1)(12.3(
if
 yy
12.1,12.3  yy
72  yx
24.13
7)12.3(2

x
76.4
7)12.1(2

x
N1
SPM 2009 PAPER 2 NO. 1
 Solve the simultaneous equations and .
Give your answer correct to three
decimal places.
13  pk
02  kpkp
1. Choose linear equation
13  pk
Non – linear is equation with
yx
xyyx
1
,
1
,,, 22
1
02  kpkp 2
13  pk
If possible choose unknown with no
coefficient as the subject
13  pk
Reason is to avoid fraction
P1
2. Substitute into non-linear
13  pk
02  kpkp
0)13(2)13(  pppp
K1
Work through until QUADRATIC
EQUATION is obtain
0263 2
 pp
a = b = c = 26-3
a
acbb
p
2
4)( 2


)3(2
)2)(3(4)6()6( 2

p
Use your calculator
a = b = c = 26-3
423.0
577.1


p
p K1
N1
OW -1
If the method of solving
QE is not shown
1-SSalso
0)423.0)(577.1(
if
 pp
423.0,577.1  pp
13  pk
731.3
1)577.1(3

k
269.0
1)423.0(3

k
N1
SPM 2008 PAPER 2 NO. 1
 Solve the following simultaneous equations
and .
0402
 xyx
043  yx
1. Choose linear equation
043  yx
Non – linear is equation with
yx
xyyx
1
,
1
,,, 22
1
0402
 xyx 2
043  yx
If possible choose unknown with no
coefficient as the subject
43  yx
Reason is to avoid fraction
P1
2. Substitute into non-linear
43  yx
0402
 xyx
040)43()43( 2
 yyy
K1
Work through until QUADRATIC
EQUATION is obtain
0673 2
 yy
a = b = c = 6-7-3
a
acbb
y
2
4)( 2


)3(2
)6)(3(4)7()7( 2

y
Use your calculator
a = b = c = 67-3 
3
3
2


y
y K1
N1
OW -1
If the method of solving
QE is not shown
3,
3
2
 yy
43  yx
6
4)
3
2
(3

x
5
4)3(3

x
N1
SPM 2007 PAPER 2 NO. 1
 Solve the following simultaneous equations
and .
09102 2
 yxx
032  yx
1. Choose linear equation
032  yx
Non – linear is equation with
yx
xyyx
1
,
1
,,, 22
1
09102 2
 yxx 2
032  yx
If possible choose unknown with no
coefficient as the subject
32  xy
Reason is to avoid fraction
P1
2. Substitute into non-linear
32  xy
09102 2
 yxx
0932102 2
 xxx
K1
Work through until QUADRATIC
EQUATION is obtain
0682 2
 xx
a = b = c = 68-2
a
acbb
x
2
4)( 2


)2(2
)6)(2(4)8()8( 2

x
Use your calculator
a = b = c = 68-2
1
3


x
x K1
N1
OW -1
If the method of solving
QE is not shown
1,3  xx
32  xy
3
3)3(2

y
1
3)1(2

y
N1
SPM 2012 PAPER 2 NO. 6
(a) Prove that [2 marks]
(b) Sketch the graph of for 0  x  2.
[3 marks]
(c) Hence, using the same axes, sketch a suitable
straight line to find the number of solutions for the
equation for 0  x  2.
State the number of solutions.
[3 marks]
12cos  xy
x
x
2
sec
12cos
2


1
4sec
2
2


x
x
Choose LHS or RHS to start (Start with long
equation)
12cos
2


x
LHS
1)1cos2(
2
2


x
x2
cos2
2

x2
cos
1

x2
sec
1cos22cos
formulaUse
2
 xx
K1
N1
Draw the shape of cos x
y
1
-1
1
2 3
4 5
6 7
8
Look for the number located outside of
trigonometry
0
y =cos 2x+1
K1
 2 3 4
1
2
1
0
Graph is shifted N1
x
Look for the number
inside trigonometry
N1
The graph is at least in one
cycle
(0  x  2)
2

2
3 2
2

Hence, using the same axes, sketch a suitable straight line to find the
number of solutions for the equation
1
4sec
2
2


x
x
y =cos 2x+1
Let the trigonometry function
be the subject 3
1
cos


y
x
Substitute cos x into
xx 34cos6  
xx 34cos6  
x
y
34
3
1
6 




 

2
3
3
x
y 
x
y
0 
3 5.1
N1
K1
Number of solutions = 2 N1
SPM 2011 PAPER 2 NO. 6
(a) Sketch the graph of for 0  x  2 .
[4 marks]
(b) Hence, using the same axes, sketch a suitable straight line to find the
number of solutions for the equation for 0  x  2 .
State the number of solutions.
[3 marks]
xy
2
3
sin3
0
2
3
sin3  x
x

Draw the shape of sin x
y
1
-1
1 2
3
4
5 6
7 8
Look for the number located outside of
trigonometry
0
P1
 2 3 4
3
x
Amplitude =max 3
and min -3
P1
P1The graph is at least in one
and a half cycle
xy
2
3
sin3
3
3
Look for the number located inside of
trigonometry
3
2
3
8
Since the is a negative sign, invert the
graph
3
4
3
6
x
2
Reflection of sin graph P1
Hence, using the same axes, sketch a suitable straight line to find the
number of solutions for the equation 0
2
3
sin3  x
x

y =-3sin 3/2x
Let the trigonometry function
be the subject
32
3
sin


y
x
Substitute sin3/2 x into 0
2
3
sin3  x
x

0
2
3
sin3  x
x

0
3
3 







y
x

x
y


x
y
0 
matherror 1
N1
2
5.0
Number of solutions = 2
K1
N1
SPM 2010 PAPER 2 NO.
(a) Sketch the graph of y = 1 + 3 cos x for 0  x  2.
[4 marks]
(b) Hence, using the same axes, sketch a suitable
straight line to find the number of solutions for the
equation for 0  x  2.
State the number of solutions.
[3 marks]
xx 34cos6  
Draw the shape of cos x
y
1
-1
1
2 3
4 5
6 7
8
Look for the number located outside of
trigonometry
0
y =1 + 3 cos x
K1
 2 3 4
13 
4
1
-2
0
Graph is shifted N1
x
Amplitude = 2 N1
N1
The graph is at least in one
cycle
(0  x  2)
Hence, using the same axes, sketch a suitable straight line to find the
number of solutions for the equation xx 34cos6  
 2
y
x
4
0
-2
y =1 + 3 cos x
Let the trigonometry function
be the subject
3
1
cos


y
x
Substitute cos x into xx 34cos6  
xx 34cos6  
x
y
34
3
1
6 




 

2
3
3
x
y 
x
y
0 
3 5.1
N1
K1
Number of solutions = 2 N1
SPM 2009 PAPER 2 NO.
(a) Sketch the graph of for 0  x  3/2 .
[3 marks]
(b) Hence, using the same axes, sketch a suitable straight line to find the
number of solutions for the equation for 0  x  3/2 .
State the number of solutions.
[3 marks]
xy 2cos
2
3

2
3
2cos
3
4
 xx

2
Draw the shape of cos x
y
1
-1
1
2 3
4 5
6 7
8
Look for the number located outside of
trigonometry
0
K1
 2 3 4
2
3

x
Amplitude = 3/2 N1
N1The graph is at least in one
cycle
xy 2cos
2
3

2
3
2
3

Look for the number located inside of
trigonometry
2 2 2 2
2
x
Hence, using the same axes, sketch a suitable straight line to find the
number of solutions for the equation
2
3
2cos
3
4
 xx

y =3/2 cos 2x
Let the trigonometry function
be the subject
3
2
2cos
y
x 
Substitute cos2 x into
2
3
2cos
3
4
 xx

2
3
2cos
3
4
 xx

2
3
3
2
3
4

y
x

4
92


x
y
x
y
0 
25.2 25.0
N1
Number of solutions = 3
K1
N1
Table shows the sum and the sum of squares of x, where x is the
monthly income, in RM, of Mr. Ahmad for the first 6 months of the year
2012
(a) Find the standard deviation of his monthly income [3 marks]
(b) If Mr. Ahmad’s son gives him RM500 every month during that
period, find the new mean and standard deviation of his monthly
income [3 marks]
SPM 2012 NO. 4: STATISTICS
∑x 12240
24975000 2
x
(a) the standard deviation
N
xx  2
)( 2_2
x
N
x



 
f
xxf 2
)( 2
2
x
f
fx



3  = =
4  = =
2
2
2
2
2
x
N
x
x
N
x






2
6
12240
6
24975000







30RM
K1
N1
K1
6
12240
x
5002040 newx
K1
N1
Mean
Mode
median




Variance
Standard Deviation
Range
Inter quartile range


2040x
2540newx
30new N1
The mean of a set of numbers 2, y, 5, 2y+1, 10 and
12 is 7.
a) Find
i) the value of y
SPM 2011 NO. 4: STATISTICS
7
6
12101252

 yy
42303 y
4y
K1
N1
(ii) the variance
N
xx  2
)( 2_2
x
N
x



 
f
xxf 2
)( 2
2
x
f
fx



3  = =
4  = =
2
2
2
2
2
x
N
x
x
N
x






   2
222222
2
7
6*
121014*254*2



3
38
//67.12//
3
2
122

K1
N1
(b) Each number in the set is multiplied by 3 and then
2 is added to it.
For this set of numbers, find
(i) the mean,
Mean, mode and median : multiply/divide, add/minus
will take effect
Variance, Standard Deviation, Range, inter quartile
range : only multiply/divide will take effect
237 newx
23newx
K1
N1
(i) the standard deviation,
Mean, mode and median : multiply/divide, add/minus
will take effect
Variance, Standard Deviation, Range, inter quartile
range : only multiply/divide will take effect
67.12*2

67.12*
559.3*
3559.3 new
68.10new
K1
N1
SPM 2010: STATISTICS
Table below shows the frequency distribution of the marks of a group of
students.
(a) Use graph paper to answer this part of the question.
Using a scale of 2 cm to 10 marks on the horizontal axis and 2 cm to 2
students on the vertical axis, draw a histogram to represent the frequency
distribution of the marks in above table.
Hence, find the mode mark.
[4 marks]
(b) Calculate the standard deviation of the marks.
[4 marks]
Marks Number of students
1 – 10 5
11 – 20 8
21 – 30 20
31 – 40 10
41 – 50 7
Marks Mid Point
x
Number of students
(f)
1 – 10 5.5 5
11 – 20 15.5 8
21 – 30 25.5 20
31 – 40 35.5 10
41 – 50 45.5 7
Students
marks
5.5 5.15 5.25 5.35 5.45
2
4
6
8
10
12
14
16
18
20
b) Standard deviation
N
xx  2
)( 2_2
x
N
x



 
f
xxf 2
)( 2
2
x
f
fx



3  = =
4  = =
Marks Mid Point
x
Number of students
(f)
Fx fx2
1 – 10 5.5 5
11 – 20 15.5 8
21 – 30 25.5 20
31 – 40 35.5 10
41 – 50 45.5 7
Total 50
151.25
1922
13005
12602.5
14491.75


f
fx
x
27.5
124
510
355
318.5
1335 42172.5
50
1335
x
7.26x
2
2
x
f
fx



2
7.26
50
5.42172

7.26
SPM 2012 PAPER 2 NO. 7
Use graph paper to answer this question.
Table 7 shows the values of two variables, x and y, obtained from an
experiment. The variables x and y are related by the equation ,
where n and p are constants.
2
1
kxkx
h
y 
x 1 2 3 4 5 6
y 2.601 0.551 0.194 0.089 0.040 0.017
Construct Table is A MUST
yx2
x 1 2 3 4 5 6
60.2 2.2 75.1 42.1 1 61.0 N1
Take 2 decimal places, no more no less
x 1 2 3 4 5 6
y 2.601 0.551 0.194 0.089 0.040 0.017
(a) Based on table 7, construct a table for the values of x2y
yx2
x
0
1 2 3 4 5 6
5.0
1
5.1
2
5.2
3
K1Correct axes and uniform scales
N16 points are correctly plotted
N1
Line of best fit (at least 3 points must
be on the line)
c =3
Find the y-intercept
(b) Plot x2y against x, using a scale of 2 cm to 1 unit on
the x-axis and 2 cm to 0.5 unit on the x2y – axis.
Hence draw the line of best fit [3 marks]
(c) Use the graph in (b) to find the value of
(i) y when x = 2.5
2yx2
22
yx K1
2)5.2( 2
y
 2
5.2
2
y
32.0y N1
Calculate the gradient of the graph
12
12
xx
yy
m



Choose 2 points
   1,5and3,0
50
13


m
4.0m
Adjust the equation so that is the subjectyx2
2
1
kxkx
h
y 
cxmy 
Compare with
P1
k
x
k
h
yx
12













 2
2 1
kxkx
h
yx
2
22
2 1
kx
x
kx
hx
yx 
intercept
1
 y
k
3
1

k
3333.0
3
1
k
graphtheofGradient
k
h
4.0
3333.0

h
13.0
)3333.0)(4.0(


h
h
K1
N1
K1
N1
SPM 2011 PAPER 2 NO. 7
Use graph paper to answer this question.
Table 7 shows the values of two variables, x and y, obtained from an
experiment. The variables x and y are related by the equation ,
where n and p are constants.1 px
y
n
x 0.1 0.2 0.3 0.4 0.5 0.6
y 0.303 0.364 0.465 0.588 0.909 1.818
Construct Table is A MUST
y
1
x 1.0 2.0 3.0 4.0 5.0 6.0
3.3 75.2 15.2 70.1 1.1 55.0
N1
Take 2 decimal places, no more no less
x 0.1 0.2 0.3 0.4 0.5 0.6
y 0.303 0.364 0.465 0.588 0.909 1.818
(a) Based on table 7, construct a table for the values of y
1
y
1
x
0
1.0 2.0 3.0 4.0 5.0 6.0
5.0
1
5.1
2
5.2
3
5.3
K1Correct axes and uniform scales
N16 points are correctly plotted
N1
Line of best fit (at least 3 points must
be on the line)
c =3.85
Find the y-intercept
(b) Plot 1/y against x, using a scale of 2 cm to 0.1 unit on
the x-axis and 2 cm to 0.5 unit on the 1/y – axis.
Hence draw the line of best fit [3 marks]
(c) Use the graph in (b) to find the value of
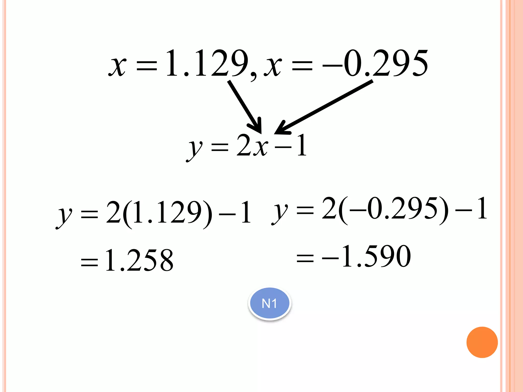
(i) y when x = 0.38
75.1
y
1
75.1
1

y
K1
y75.11 
75.1
1
y
5714.0/
7
4
y N1
Calculate the gradient of the graph
12
12
xx
yy
m



Choose 2 points
   1.1,5.0and85.3,0
5.00
1.185.3


m
481.5m
Adjust the equation so that is the subject
y
1
1 px
y
n
cxmy Compare with
P1
n
x
n
p
y
11

intercept
1
 y
n
85.3
1

n
2597.0
85.3
1
n
graphtheofGradient
n
p
481.5
2597.0

p
423.1
)2597.0)(481.5(


p
p
K1
N1
K1
N1
SPM 2010 PAPER 2 NO. 7
Use graph paper to answer this question.
Table 7 shows the values of two variables, x and y, obtained from an
experiment. The variables x and y are related by the equation ,
where h and k are constants.
k
h
y
x

x 3 4 5 6 7 8
y 2.57 3.31 4.07 4.90 6.31 7.94
Construct Table is A MUST
y10log
x 3 4 5 6 7 8
41.0 52.0 61.0 69.0 8.0 9.0 N1
Take 2 decimal places, no more no less
x 3 4 5 6 7 8
y 2.57 3.31 4.07 4.90 6.31 7.94
Construct a table for the values of log10y
y10log
x
0
1 2 3 4 5 6 7
1.0
2.0
3.0
4.0
5.0
6.0
7.0
8.0
K1Correct axes and uniform scales
N16 points are correctly plotted
N1
Line of best fit (at least 3 points must
be on the line)
c =0.11 Find the y-intercept
8
9.0
(a) Plot log10y against x, using a scale of 2 cm to 1 unit on
the x-axis and 2 cm to 0.1 unit on the log10y – axis.
Hence draw the line of best fit [3 marks]
(b) Use the graph in (a) to find the value of
(iii) y when x = 2.7
38.0y10log
38.0log10 y
38.0logantiy 
4.2y N1
Calculate the gradient of the graph
12
12
xx
yy
m



Choose 2 points
   9.0,8and11.0,0
08
11.09.0


m
09875.0m
Adjust the equation so that is the subjecty10log
k
h
y
x

khy x
101010 logloglog 
cxmy Compare with
P1
khxy 101010 logloglog 
k
h
y
x
1010 loglog 
09875.0log10 h
09875.0logantih 
255.1h
11.0log10  k
11.0log10 k
7762.0
11.0log


k
antik
K1
N1
K1
N1
SPM 2009 PAPER 2 NO. 8
Use graph paper to answer this question.
Table 8 shows the values of two variables, x and y, obtained from an
experiment. The variables x and y are related by the equation ,
where k and p are constants.1
x
p
y
k
x 1.5 2.0 3.0 4.0 5.0 6.0
y 2.502 0.770 0.465 0.385 0.351 0.328
Construct Table is A MUST
y
1
x
1
67.0 50.0 33.0 25.0 20.0 17.0
40.0 30.1 15.2 60.2 85.2 05.3
N1
N1
Take 2 decimal places, no more no less
y
1
x
1
0
1.0 2.0 3.0 4.0 5.0 6.0 7.0
5.0
0.1
5.1
0.2
5.2
0.3
5.3
0.4
K1Correct axes and uniform scales
N16 points are correctly plotted
N1Line of best fit (at least 3 points must
be on the line)
c =3.9
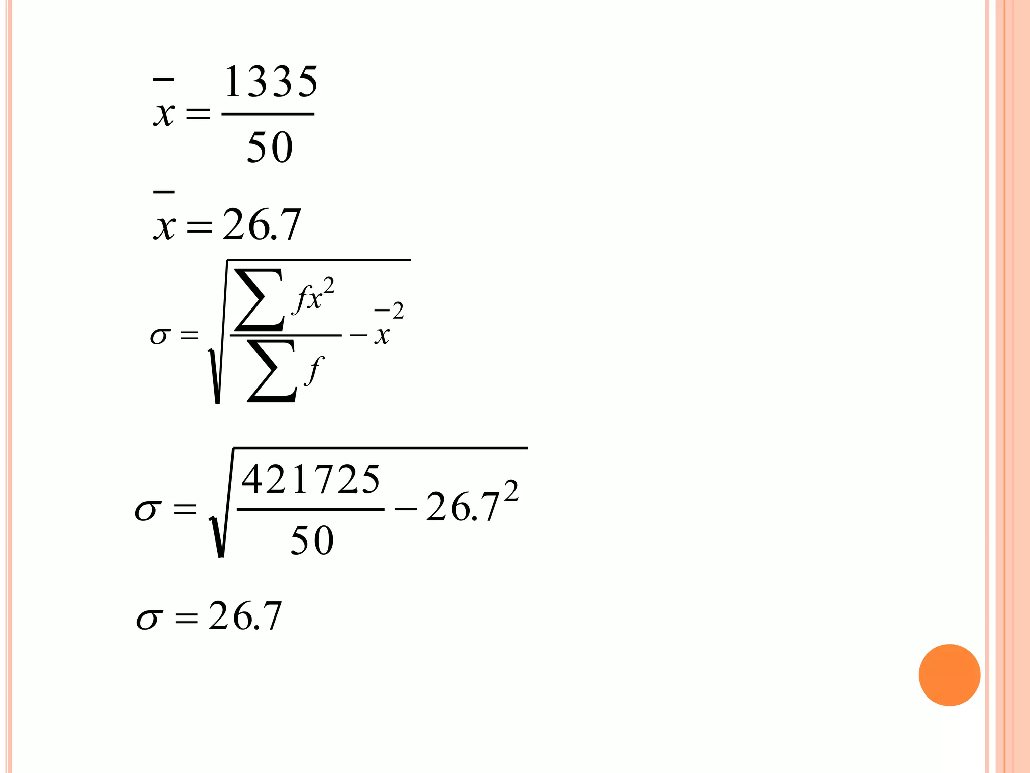
Find the y-intercept
Calculate the gradient of the graph
12
12
xx
yy
m



Choose 2 points
   40.0,67.0and9.3,0
067.0
9.340.0


m
223.5m
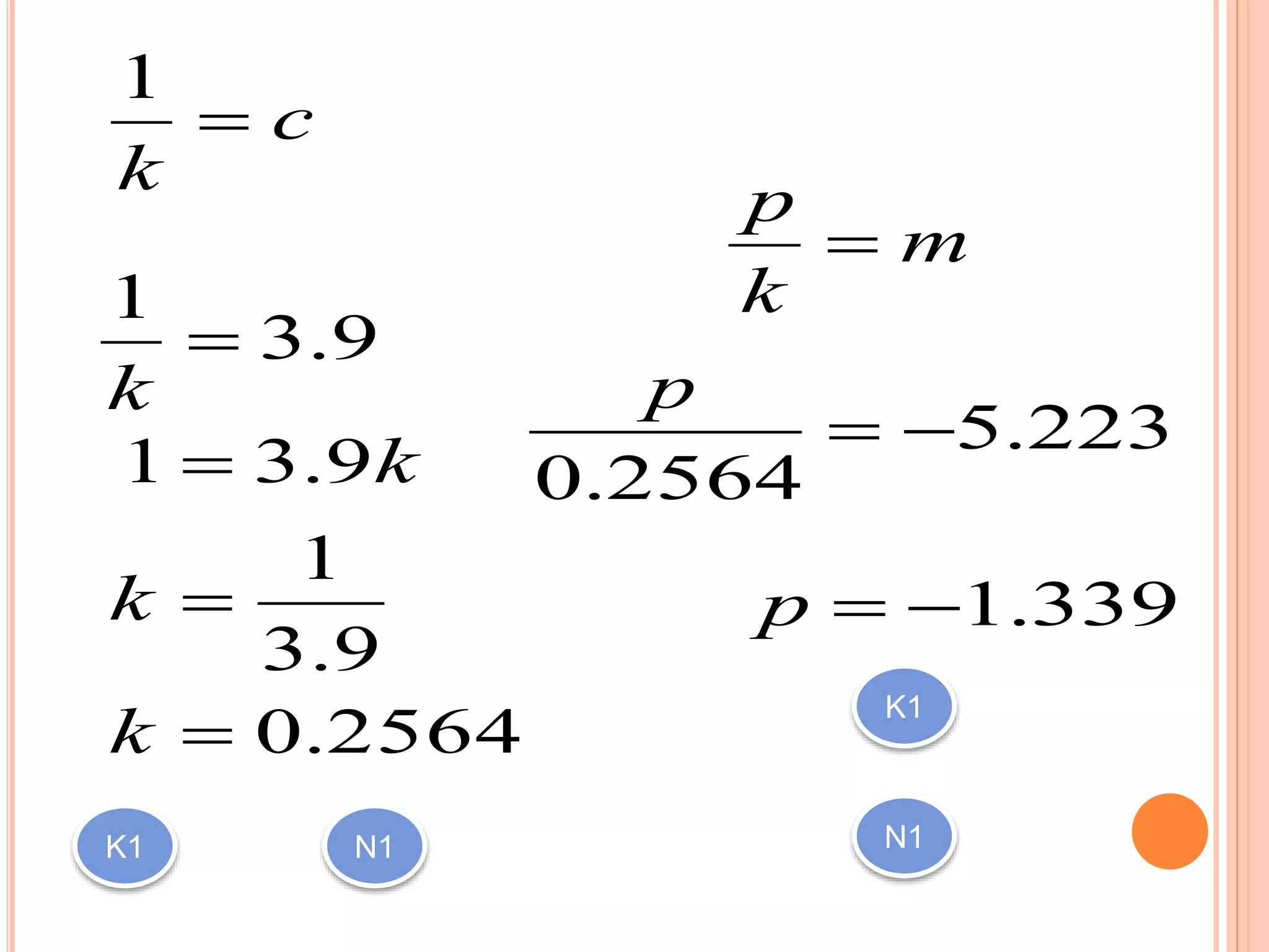
Adjust the equation so that is the subjecty
1
1
x
p
y
k
kxk
p
y
11

cxmy Compare with
P1
c
k

1
9.3
1

k
2564.0
9.3
1
9.31



k
k
k
m
k
p

223.5
2564.0

p
339.1p
K1 N1
K1
N1
SPM 2008 PAPER 2 NO. 8
Use graph paper to answer this question.
Table 8 shows the values of two variables, x and y, obtained from an
experiment. The variables x and y are related by the equation ,
where h and k are constants.x
hky 2

x 1.5 3.0 4.5 6.0 7.5 9.0
y 2.51 3.24 4.37 5.75 7.76 10.00
Construct Table is A MUST
y10log
x 5.1 0.3 5.4 0.6 5.7 0.9
40.0 51.0 64.0 76.0 89.0 1
N1
N1
Take 2 decimal places, no more no less
x
0
1 2 3 4 5 6 7
1.0
2.0
3.0
4.0
5.0
6.0
7.0
8.0
K1Correct axes and uniform scales
N16 points are correctly plotted
N1
Line of best fit (at least 3 points must
be on the line)
c =0.28 Find the y-intercept
8 9
9.0
1
Calculate the gradient of the graph
12
12
xx
yy
m



Choose 2 points
   1,9and28.0,0
09
28.01


m
08.0m
Adjust the equation so that is the subjecty10log
Compare with
P1
x
hky 2

x
hky 2
1010 loglog 
x
khy 2
101010 logloglog 
kxhy 101010 log2loglog 
)log2(loglog 101010 kxhy 
y  x mc
28.0log10 h
28.0antilogh
91.1h
08.0log2 10 k
04.0log10 k
1.10
0.04antilog

k
K1
N1
K1
N1
SPM 2012 PAPER 2 NO. 11
(a) In a survey carried out in a particular district, it is
found that three out of five families own a national
car. If 10 families are chosen at random from the
district, calculate the probability that at least 8 families
own a national car [4 marks]
Own, p = xown, q =
5
3
5
2
0
1
2
3
4
5
6
7
8
9
10
10
9
8
7
6
5
4
3
2
1
0
/
/
/
28
8
10
5
2
5
3












C
19
9
10
5
2
5
3












C
010
10
10
5
2
5
3












C  1673.0
K1 K1 K1 K1
b) Dalam sebuah sekolah, 300 orang murid menduduki
suatu ujian. Markah yang diperoleh adalah mengikut
taburan normal dengan min 56 dan sisihan piawai 8.
(i) Cari bilangan murid yang lulus ujian itu jika markah lulus
ialah 40



X
z
  ZX



X
z
  ZX



X
z
8
5640 
z
2z
)2( zP
0.0228
0.0228-1)2( zP
0.9772)2( zP
3000.9772lulusyangmuridBil. 
294
(ii) Jika 12% daripada murid itu lulus ujian dengan
mendapat gred A. Cari markah minimum untuk mendapat
gred A



X
z
  ZX



X
z
  ZX
12.0)(  zzP
175.1z
56)8(175.1 X
4.65X
SPM 2011 PAPER 2 NO. 11
(a) It is found that 80% of university graduates in a
state are employed. If 10 university graduates from
the states are selected at random, find the probability
that
(i) Exactly 9 of them are employed
emplyd, p = xemplyd, q =
8.0 2.0
0
1
2
3
4
5
6
7
8
9
10
10
9
8
7
6
5
4
3
2
1
0
/
   19
9
10
2.08.0 C 2684.0
K1 N1
emplyd, p = xemplyd, q =
8.0 2.0
0
1
2
3
4
5
6
7
8
9
10
10
9
8
7
6
5
4
3
2
1
0
/
/
/
   82
2
10
8.02.0 C    91
1
10
8.02.0 C    100
0
10
8.02.0 C  6778.0
K1 N1
ii) At most 2 of the are
unemployed
Dalam satu acara merentas desa yang disertai oleh 500 orang pelajar,
masa yang diambil untuk larian adalah mengikut taburan normal
dengan min 20 minit dan sisihan piawai 10 minit. Peserta tidak akan
diberi sebarang mata jika mereka mengambil masa lebih daripada 32
minit untuk menghabiskan larian itu
(i) Jika seorang peserta dipilih secara rawak, cari kebarangkalian
bahawa peserta itu tidak mendapat sebarang mata.



X
z
  ZX



X
z
  ZX



X
z
10
2032 
z
2.1z
)2.1( zP
0.1151
0.1151)2.1( zP
(ii) Pingat diberikan kepada 80 orang peserta pertama yang
mengambil masa t minit untuk menghabiskan larian itu.
Cari nilai t



X
z
  ZX
X Z P



X
z
  ZX
16.0
500
80
)(  zzP
994.0z
994.0kirikepanahanak z
20)10(994.0 X
10X
SPM 2010 PAPER 2 NO. 10
(a) Pembolehubah rawak, X, mengikut suatu taburan
binomial dengan 10 cubaan dengan keadaan
kebarangkalian kejayaan dalam setiap cubaan ialah
p. Min kejayaan ialah 4. Hitung
(i) Nilai p
npMin,
p104Min, 
4.0
10
4
p
p = q =4.0 6.0
0
1
2
3
4
5
6
7
8
9
10
10
9
8
7
6
5
4
3
2
1
0
/
           82
2
1091
1
10100
0
10
6.04.06.04.06.04.0  CCC
1673.0
K1
N1
/
/
)2()( XPii
Diameter bagi buah limau dari sebuah kilang adalah
mengikut taburan normal dengan min 3.2 cm dan sisihan
piawai 1.5 cm. Hitungkan
(i) Kebarangkalian bahawa sebiji limau yang dipilih secara
rawak dari ladang ini mempunyai diameter lebih dari 3.9 cm
X Z P



X
z
  ZX
X Z P



X
z
  ZX



X
z
5.1
2.39.3 
z
467.0z
0.467)( zP
0.3203
0.3203)467.0( zP
(ii) Nilai d jika 33% daripada limau itu mempunyai diameter
kurang daripada d cm
X Z P



X
z
  ZX
X Z P



X
z
  ZX
33.0)(  zzP
44.0z
44.0kirikepanahanak z
2.3)5.1(44.0 X
54.2X
SPM 2009 PAPER 2 NO. 11
Suatu kertas ujian mengandungi 40 soalan. Setiap soalan diikuti
oleh empat pilihan jawapan dengan keadaan hanya satu
jawapan sahaja yang betul.
(a) Salma menjawab semua soalan dengan memilih secara
rawak satu jawapan untuk setiap soalan
(i) Anggarkan bilangan soalan yang dijawab dengan betul
40n
4
1
p
4
3
q
npmean ,
10
4
1
40 






(ii) Cari sisihan piawai bagi bilangan soalan yang dijawab
dengan betul
npq













4
3
4
1
)40(
739.2
p = q =
4
1
4
3
0
1
2
3
4
5
6
7
8
9
10
10
9
8
7
6
5
4
3
2
1
0
/
46
6
10
4
3
4
1












 C
01622.0
K1
N1
(b) Basri menjawab 30 soalan dengan
betul dan memilih secara rawak satu
jawapan untuk setiap 10 soalan
selebihnya
(i) 36 soalan dijawab dengan betul
p = q =
4
1
4
3
0
1
2
3
4
5
6
7
8
9
10
10
9
8
7
6
5
4
3
2
1
0
/
100
0
10
91
1
10
4
3
4
1
4
3
4
1
1 























 CC
7560.0
(ii) sekurang-kurangnya
32 soalan dengan betul
/
/
/
/
/
/
/
/
SPM2012 PAPER 2 NO. 15
Seorang tukang kayu membuat dua jenis perabot, meja
dan kerusi. Dalam seminggu, dia membuat x buah meja
dan y buah kerusi. Dia mempunyai modal sebanyak
RM6000. Penghasilan perabot adalah berdasarkan
kepada kekangan berikut:
KerusiBil.
MejaBil.


y
x
I. Kos membuat sebuah meja ialah RM80 dan sebuah
kerusi ialah RM60
yx 6080  6000
30034  yx
II. Jumlah minimum meja dan kerusi ialah 50 buah
yx  50
III. Bilangan kerusi mesti sekurang-kurangnya 80%
daripada bilangan meja
y x
100
80

xy
5
4

(b) Menggunakan skala 2 cm kepada 10 perabot
pada kedua-dua paksi, bina dan lorek rantau R yang
memenuhi semua kekangan di atas
30034I.  yx
x
y
0
100
30
60
50II.  yx
x
y
0
50
30
20
xy
5
4
III. 
x
y
0
0
30
24
y
x
100
90
80
70
60
50
40
30
20
10
0
10 20 30 40 50 60 70 80 90
I
II
III
R
)22,28(
)38,46(
(c) Dengan menggunakan graf yang dibina di 15 (b), cari
(i) Bilangan minimum kerusi yang dihasilkan jika 24 buah
meja dihasilkan
Bilangan minimum kerusi ialah 26
(ii) Jumlah keuntungan maksimum yang diperoleh jika
keuntungan sebuah meja ialah RM40 dan keuntungan sebuah
kerusi ialah RM20
maksimumyx  2040
)22,28( 1560)22(20)28(40 
)38,46( 2600)38(20)46(40 
2600ialahmaksimumkutipanJumlah
SPM2011 PAPER 2 NO. 15
Sebuah syarikat memperoleh tender mengecat sebuah
bangunan kerajaan. Bangunan itu mesti dicat dengan cat
alas dan cat kilat. Bilangan tin cat alas ialah x dan
bilangan tin cat kilat ialah y. kerja-kerja mengecat adalah
berdasarkan kekangan berikut
kilatcattinBil.
alascattinBil.


y
x
I. Bilangan tin cat kilat adalah tidak melebihi 2 kali
bilangan tin cat alas
y  x2
II. Bil. Tin cat kilat adalah sekurang-kurangnya ¼
daripada bilangan tin cat alas
y x
4
1

III. Jumlah masa yang diperuntukkan untuk kerja
mengecat adalah selebih-lebihnya 120 jam. Bagi satu tin
cat alas, masa mengecat ialah 3 jam manakala bagi satu
tin cat kilat, masa mengecat ialah 2 jam
yx 23  120
(b) Menggunakan skala 2 cm kepada 5 tin pada
kedua-dua paksi, bina dan lorek rantau R yang
memenuhi semua kekangan di atas
xy 2I. 
x
y
0
0
20
40
xy
4
1
II. 
x
y
0
0
40
10
12023III.  yx
x
y
20
30
30
15
y
x
50
45
40
35
30
25
20
15
10
5
0
5 10 15 20 25 30 35 40 45
I
II
III
)34,17(
)8,34(
R
(c) Dengan menggunakan graf yang dibina di 15 (b),
cari
(i) Bilangan minimum tin cat kilat jika bilangan tin cat
alas ialah 30
Bilangan minimum cat kilat ialah 7.5
(ii) Perbalanjaan maksimum untuk cat jika harga cat alas ialah
RM50 setin dan harga cat kilat ialah RM70 setin
maksimumyx  7050
)34,17( 3230)34(70)17(50 
)16,34( 2820)16(70)34(50 
3230ialahmaksimumkutipanJumlah
SPM2010 PAPER 2 NO. 14
Sebuah pusat latihan menawarkan dua kursus, A dan B.
Bilangan peserta kursus A ialah x dan bilangan kursus B
ialah y. Pengambilan peserta adalah berdasarkan
kekangan berikut:
BkursuspesertaBil.
AkursuspesertaBil.


y
x
I. Bil maksimum peserta kursus ialah 80
yx   80
II. Bil. Peserta kursus B adalah sekurang-kurangnya 10
y 10
III. Bil. Peserta kursus B selebih-lebihnya adalah 3/2
kali bil. Peserta kursus A
y x
2
3

(b) Menggunakan skala 2 cm kepada 10 orang
peserta pada kedua-dua paksi, bina dan lorek rantau
R yang memenuhi semua kekangan di atas
80I.  yx
x
y
0
80
30
50
10II. y
xy
2
3
III. 
x
y
0
0
30
45
y
x
100
90
80
70
60
50
40
30
20
10
0
10 20 30 40 50 60 70 80 90
I
II
III
R
)10,7(
)48,32(
)10,70(
(c) Dengan menggunakan graf yang dibina di 14 (b), cari
(i) Bilangan minimum peserta kursus A
Bilangan minimum peserta kursus A seramai 7 orang
(ii) Jumlah maksimum kutipan yuran sebulan jika kutipan yuran
sebulan bagi seorang peserta kursus A ialah RM300 dan bagi
seorang peserta kursus B ialah RM400
maksimumyx  400300
)10,7( 6100)10(400)7(300 
)48,32( 28800)48(400)32(300 
)10,70( 25000)10(400)70(300 
28800ialahmaksimumkutipanJumlah
SPM2009 PAPER 2 NO. 14
Johan menggunakan x keping jubin kecil dan y keping
jubin besar untuk hiasan bilik mandinya. Perbelanjaan
hiasan tersebut adalah berdasarkan kekangan berikut
besarjubinBil.
keciljubinBil.


y
x
I. Jumlah bilangan jubin tidak boleh melebihi 100 keping
yx   100
II. Bilangan jubin kecil tidak boleh melebihi tiga kali
bilangan jubin besar
x y3
III. Bilangan jubin besar tidak boleh melebihi 30
bilangan jubin kecil
y 30x
xy 3
(b) Menggunakan skala 2 cm kepada 10 keping jubin
pada kedua-dua paksi, bina dan lorek rantau R yang
memenuhi semua kekangan di atas
100I.  yx
x
y
50
50
30
70
xy 3II.
x
y
0
0
30
10
30III.  xy
x
y
0
30
30
60
y
x
100
90
80
70
60
50
40
30
20
10
0
10 20 30 40 50 60 70 80 90
I
II
III
R
)65,35(
)25,75(
(c) Dengan menggunakan graf yang dibina di 14 (b), cari
(i) Bilangan maksimum jubin kecil yang boleh digunakan
Bilangan maksimum jubin kecil ialah sebanyak 75
(ii) Jumlah kos maksimum untuk jubin-jubin itu jika kos bagi
sekeping jubin kecil itu ialah RM1.50 dan kos bagi sekeping
jubin besar itu ialah RM3.00
maksimumyx  31.5
)65,35( 5.247)65(3)35(1.5 
)25,75( 5.187)25(3)75(1.5 
247.5ialahmaksimumkosJumlah
SPM 2012 PAPER 2 NO. 5
Diberi bahawa dan
(a) Cari
(i)
jiAB 23  jiAC 57 
BC
BC  B CAA K1
jiji 5)7(23 
ji 34  N1
(ii) Vektor unit dalam arah BC

BC  ji 34 __________
22
34 
K1
5
34 ji 
 N1
(b) Diberi , dengan keadaan p ialah pemalar
dan adalah selari dengan , cari nilai p.
jpiAD 15
AD BC
jpiAD 15
jiBC 34 
3
15
4



p
20p
K1 K1
N1
SPM 2011 NO 10
Rajah 10 menunjukkan segiempat selari ABCD. Titik P
terletak pada garis lurus AB dan titik Q terletak pada garis
lurus DC. Garis lurus AQ dipanjangkan ke titik R dengan
keadaan AQ=2QR
A B
CQD
P
R
Diberi bahawa AP:PB = 3:1, DQ:QC = 3:1, danuAP 6 vAD 
A B
CQD
P
R
u6
v
3 1
4
3 1
4
u6
v
(a) Ungkapkan dalam sebutan u dan v
(i) AQ  A QDD  K1
v  u6
(ii) PC  P CBB  K1
 1__
3
u6  v
vu  2
(b) Diberi bahawa dan
(i) Ungkapkan dalam sebutan i dan j
iu 3 jiv 52 
PC
vuPC  2
)52()3(2 jiiPC 
jiiPC 526 
jiPC 58 
(ii) Cari vektor unit dalam arah PC

PC ji 58 __________
22
58 
89
58 ji 


SPM 2010 NO. 9
Rajah 9 menunjukkan segtiga OAB. Titik C terletak pada OA
dan titik D terletak pada AB. Garis lurus OD bersilang dengan
garis lurus BC pada titik E
E
O
C
B
D
A
u6
Diberi bahawa ADABOAOCyOBxOA 2dan
3
2
,, 
O
C
B
D
A
x
3
2
y
x
3
1
(a) Ungkapkan dalam sebutan x dan y
(i)  B COO  K1
y  x
3
2
OD(ii)  O DBB  K1
 y  BA
2
1
)(
2
1
OABOy 
BC
)(
2
1
xyy 
xy
2
1
2
1

(b) Diberi bahawa
h dan k ialah pemalar. Ungkapkan
(i) Dalam sebutan h, x dan y
keadaandengan,dan BCkBEODhOE 
OE
ODhOE 
)
2
1
2
1
( xyhOE 
hxhyOE
2
1
2
1

(ii) Dalam sebutan k, x dan y
Mesti guna BE O EBB OE
y  BCk
y  )
3
2
( xyk 
kxkyy
3
2
 kxyk
3
2
)1( 
(c) Seterusnya, cari nilai h dan nilai k
hxhyOE
2
1
2
1

kxykOE
3
2
)1( 
kh
3
4

kh 1
2
1
kk 





1
3
4
2
1
kk 1
3
2
1
3
2
 kk
1
3
5
k
5
3
k







5
3
3
4
h
5
4
h
SPM 2010 PAPER 2 NO.13
Diagram 13 shows triangle ABC and triangle
CDE where BCE and ACD are straight lines
A
B
C
D
E
6 cm
4 cm
2.5 cm
250
500
Complete the perimeters
Decide which rule
to use
Find any pair
Angle and sides
A
B
C
D
E
6 cm
4 cm
2.5 cm
250
500
105o75o
105o
Sine Rule
C
c
B
b
A
a
sinsinsin

oo
BC
25sin50sin
4

o
o
BC 25sin
50sin
4

207.2BC
Use this answer and update your
diagram
Update your diagram
Decide which rule
to use
Find any pair
Angle and sides
A
B
C
D
E
6 cm
4 cm
2.5 cm
250
500
105o75o
105o
Cosine Rule
NO PAIR
2.207cm
Abccba cos2222

o
DE 105cos)5.2)(6(25.26 222

014.502
DE
014.50DE
072.7DE
Use this answer and update your
diagram
A
B
C
D
E
6 cm
4 cm
2.5 cm
250
500
105o75o
105o
2.207cm
cm072.7
A
B
C
D
E
6 cm
4 cm
2.5 cm
250
500
105o75o
105o
2.207cm
Update your diagram
Point C’ lies on BE such that
AC’ = AC
'C
4 cm
75o
Area
Choose angle in the middle of
two known sides
Cabarea sin2
1

oo
area 105sin)207.2)(4(30sin)4)(4( 2
1
2
1

264.8area
cm072.7
A
B
C
D
E
6 cm
4 cm
2.5 cm
250
500
105o75o
105o
2.207cm
'C
4 cm
75o
300
SPM 2009 PAPER 2 NO.12
Diagram 12 shows a trapezium KLMN. KN is
parallel to LM and is obtuseLMN
12.5 cm
5.6 cm
N
K
L
M
32o
80o
Decide which rule to use
Find any pair
Angle and sides
12.5 cm
5.6 cm
N
K
L
M
32o
80o
Sine rule
C
c
B
b
A
a
sinsinsin

oo
LN
32sin
5.12
80sin

o
o
LN 80sin
32sin
5.12

23.23LN
Use this answer and update your
diagram
12.5 cm
5.6 cm
N
K
L
M
32o
80o
cm23.23
68o
68o
Decide which rule to use
Find any pair
Angle and sides
NO PAIR
Cosine rule
Abccba cos2222

12.5 cm
5.6 cm
N
K
L
M
32o
80o
cm23.23
68o
68o
o
MN 68cos)6.5)(23.23(26.523.23 222

50.4732
MN
50.473MN
76.21MN
Use this answer and update your
diagram
12.5 cm
5.6 cm
N
K
L
M
32o
80o
cm23.23
68o
68o
cm76.21

Decide which rule to use
Sine rule
2 sides 1 angle
2 angles 1 side
Cosine rule
3 sides
2 sides 1 angle (angle in the
middle)
All rule is possible
The easiest is sin rule
C
c
B
b
A
a
sinsinsin

o
LMN 68sin
76.21
sin
23.23


9898.0sin
9898.0sin
1


LMN
LMN
o
LMN 82.81
LMN is obtuse
ooo
LMN 18.9882.81180 
Use this answer and update your
diagram
12.5 cm
5.6 cm
N
K
L
M
32o
80o
cm23.23
68o
68o
cm76.21
o
18.98
Area
Choose angle in the middle of
two known sides
Cabarea sin2
1

o
area 68sin)6.5)(23.23(2
1

2
31.60 cmarea 
SPM 2008 PAPER 2 NO. 14
ABC is a triangle; ADFB, AEC and BGC are straight line.
The straight line FG is perpendicular to BC
80o
A
D
E
F
GB
C
45o
It is given BD = 19 cm, DA = 16 cm, AE = 14 cm, ando
DAE 80
o
FBG 45
Update your diagram
80o
A
D
E
F
GB
C
45o
cm19
cm16 cm14
Decide which rule to use
Cosine rule
Abccba cos2222

o
DE 80cos)14)(16(21416 222

cmDE 34.19
Use this answer and update your
diagram
80o
A
D
E
F
GB
C
45o
cm19
cm16 cm14
cm34.19
Decide which rule to use
Sine rule
o
AC
55sin
35
45sin

o
55
cmAC 21.30
cm
EC
21.16
1421.30


SPM 2012 PAPER 2 NO. 13
Jadual 13 menunjukkan indeks harga bagi tiga jenis bahan api pada tahun
2008 berasaskan 2006. Rajah 13 menunjukkan sebuah carta pai yang
mewakili pembahagian bahan api itu yang digunakan dalam sebuah kilang
Bahan Api Indeks harga pada tahun
2008 berasaskan tahun
2006
Diesel 150
Petrol 120
Gas 110
Gas
72o
Petrol
Diesel
180o
(a) Jika kilang itu membelanjakan RM9000 seminggu untuk diesel
dalam tahun 2008, cari perbelanjaan yang sepadan untuk diesel
dalam tahun 2006
[2 markah]
100
2006
2008
20082006 
Q
Q
I
9000RM2008Q
100
9000
150
2006

Q
K1
100
150
9000
2006 Q
60002006 Q N1
(b) Hitung indeks gubahan bagi perbelanjaan bahan api kilang itu dalam
tahun 2008 berasaskan 2006
[3 markah]


W
WI
I ii
360
)72(110)108(120)180(150
20082006

I K2
133 N1
(c) Perbelanjaan bahan api yang digunakan oleh kilang itu
pada tahun 2006 ialah RM30000 seminggu. Hitungkan
perbelanjaan bahan api yang sepadan dalam tahun 2008.
30000RM2006Q
100
2006
2008
20082006 
Q
Q
I
100
30000
2008

Q
133 K1
100
30000
1332008 Q
399002008 Q N1
(d) Harga diesel meningkat sebanyak 30%, harga petrol
meningkat 20% sementara harga gas tidak berubah dari
tahun 2008 ke tahun 2010. Hitungkan indeks gubahan bagi
perbelanjaan bahan api kilang itu dalam tahun 2010
berasaskan tahun 2006
[3 markah]
 201020082006I 150
100
130
 195
 201020082006I 120
100
120
 144
360
)72(110)108(144)180(195 **
20102006

I K2
7.162 N1
Bahan
Prices (RM) per kg Indeks
harga pada
tahun 2007
berasaskan
2005
Peratus
perbelanjaan
(%)
2005 2007
P 4.00 5.00 x 16
Q 3.00 y 150 12
R 8.00 10.00 125 48
S z 3.00 120 24
SPM 2011 Paper 2 No. 13
Jadual 13 menunjukkan harga, indeks harga dan peratus perbelanjaan bagi
empat bahan P, Q, R dan S yang digunakan untuk membuat sejenis makanan
(a) Cari nilai x, y dan z
[4 markah]
100
2005
2007
20072005 
Q
Q
I
100
4
5
x 125 P1
100
3
150 
y
100
3
150y 5.4 P1
100
3
120 
z
120
100
3z 5.2
P1
K1
(b)Hitungkan indeks gubahan bagi kos membuat makanan
itu pada tahun 2007 berasaskan 2005
[2 markah]


W
WI
I ii
100
)24(120)48(125)12(150)16(125
20072005

I
K2
8.12620072005 I N1
(c) Kos untuk membuat sepeket makanan itu dalam tahun
2005 ialah RM50. Hitungkan kos yang sepadan pada tahun
2007
[2markah]
50RM2005Q
100
2005
2007
20072005 
Q
Q
I
100
50
2007

Q
8.126 K1
100
50
8.1262007 Q
4.632008 Q N1
(d) Kos bagi semua bahan makanan itu meningkat
sebanyak 15% dari tahun 2007 ke tahun 2009. Cari indeks
gubahan bagi tahun 2009 berasaskan 2005
[2 markah]
8.12620072005 I
100
115
8.126200920072005 I K1
82.14520092005 I N1
SPM 2010 PAPER 2 NO. 15
Jadual 15 menunjukkan indeks harga bagi tiga bahan P, Q
dan R yang digunakan dalam pengeluaran satu jenis beg.
Bahan Indeks harga dalam
tahun 2006
berasaskan 2004
Indeks harga dalam
tahun 2008
berasaskan 2004
P 125 150
Q 116 x
R y 120
(a) Cari indeks harga bahan P pada tahun 2008
berasaskan 2006
1250604 I
1500804 I
0806I 100
125
150
 K1
120 N1
(b) Harga bahan Q pada tahun 2004 ialah RM7.50 dan
harganya pada tahun 2008 ialah RM10.50. Cari
(i) Nilai x
50.704Q
50.1008Q
100
04
08
0804 
Q
Q
I
100
5.7
5.10
x 140 N1
(ii) Harga bahan Q pada tahun 2006
04Q 50.7
100
04
06
0604 
Q
Q
I
100
5.7
116 06

Q
K1
100
5.7
11606 Q 7.8 N1
(c) Indeks gubahan untuk kos pengeluaran beg itu pada
tahun 2006 berasaskan 2004 ialah 118.5. Kos bahan-bahan
P, Q, dan R yang digunakan mengikut nisbah 2:1:3. Cari
nilai y
[3 markah]


W
WI
I ii
5.118
312
)3()1(116)2(125
0604 



y
I K2
115y N1
(d) Diberi harga beg itu pada tahun 2006 ialah RM47.40.
Cari harga yang sepadan bagi beg itu pada tahun 2004
[2 markah]
40.4706Q
100
04
06
0604 
Q
Q
I
100
40.47
5.118
04

Q
K1
100
5.118
40.47
04 Q 40 N1
Stationary
Prices (RM) per unit
Price index in the
year 2008 based on
the year 2007
Weightage
Year 2007 Year 2008
P 2.80 2.10 x 4
Q 4.00 4.80 120 2
R 2.00 y 130 3
S z 5.80 116 m
SPM 2009 Paper 2 No. 13
Table 13 shows the prices, the price indices and weightages for four types of stationary P, Q, R
and S
a) Find the value of
i) x
ii) y
iii) z
b) The composite index for the price of the stationary in the year 2008 based on the
year 2007 is 108.4 Calculate m
c) The total expenditure for the stationary in the year 2007 is RM525. Calculate the
corresponding total expenditure in the year 2008
d) The total index for Q in the year 2009 based on the year 2007 is 132. Calculate the
price index for Q in the year 2009 based on the year 2008
Use formula
100
0
1

Q
Q
I
In this case
100
07
08

Q
Q
I
100
80.2
10.2
x
75x
100
2
130 
y
6.2y
100
8.5
116 
z
5z
P1
P1
P1
Use formula


W
WI
I
ii
m
m



324
11631302120475
4.108
m
m



9
116930
4.108
K2
6
6.7
6.45
6.7
1169304.1086.975
116930)9(4.108





m
m
m
mm
mm
N1
Use formula
100
0
1

Q
Q
I
100
525
4.108 08

Q
10.56908 Q
K1
N1
08
07
07
09
08
09
Q
Q
Q
Q
Q
Q

120
1
132
08
09

Q
Q
1.1
08
09

Q
Q
K1
100
08
09

Q
Q
I
1001.1 I
110I N1

Teknik menjawab matematik tambahan 1

  • 1.
    TEKNIK MENJAWAB MATEMATIK TAMBAHAN By: Aidil-NurBin Zainal http://yourhomeworkishere.blogspot.com 0197878321
  • 2.
    PAPER 2 PREFERREDTOPIC  Simultaneous equation (5 marks)  Linear Law (10 marks)  Solution of Triangle (10 marks)  Index Number (10 marks)  Trigonometry Functions (6 – 8 marks)  Statistics (6 – 8 marks)  Probability Distribution (10 marks)  Vector (10 marks)  Linear Programming (10marks) Total 67 – 71 marks
  • 3.
    SPM 2012 PAPER2 NO. 1  Solve the simultaneous equations and13  yx 0545 22  xyyx 1. Choose linear equation Non – linear is equation with yx xyyx 1 , 1 ,,, 22 1 2 13  yx 0545 22  xyyx
  • 4.
    If possible chooseunknown with no coefficient as the subject xy 31 Reason is to avoid fraction P1 13  yx
  • 5.
    2. Substitute intonon-linear xy 31 0545 22  xyyx 05)31(4)31(5 22  xxxx K1
  • 6.
    Work through untilQUADRATIC EQUATION is obtain 022  xx a = b = c = 21-1  a acbb x 2 4)( 2  
  • 7.
    )1(2 )2)(1(4)1()1( 2  x Use yourcalculator a = b = c = 21-1  1 2   x x K1 N1 OW -1 If the method of solving QE is not shown
  • 8.
    1,2  xx xy31 5 )2(31  y 4 )1(31  y N1
  • 9.
    SPM 2011 PAPER2 NO. 1  Solve the simultaneous equations and Give the answer correct to three decimal places. 012  xy 7234 22  xyyx 1. Choose linear equation Non – linear is equation with yx xyyx 1 , 1 ,,, 22 1 2 012  xy 7234 22  xyyx
  • 10.
    If possible chooseunknown with no coefficient as the subject 12  xy Reason is to avoid fraction P1 012  xy
  • 11.
    2. Substitute intonon-linear 12  xy 7234 22  xyyx 7)12(2)12(34 22  xxxx K1
  • 12.
    Work through untilQUADRATIC EQUATION is obtain 0256 2  xx a = b = c = 25-6  a acbb x 2 4)( 2  
  • 13.
    )6(2 )2)(6(4)5()5( 2  x Use yourcalculator a = b = c = 25-6  295.0 129.1   x x K1 N1 OW -1 If the method of solving QE is not shown 1-SSalso 0)295.0)(129.1( if  xx
  • 14.
    295.0,129.1  xx 12 xy 258.1 1)129.1(2  y 590.1 1)295.0(2  y N1
  • 15.
    SPM 2010 PAPER2 NO. 1  Solve the simultaneous equations and . Give your answer correct to two decimal places. 72  yx yxxy 9 1. Choose linear equation Non – linear is equation with yx xyyx 1 , 1 ,,, 22 1 2 72  yx yxxy 9
  • 16.
    If possible chooseunknown with no coefficient as the subject 72  yx Reason is to avoid fraction P1 72  yx
  • 17.
    2. Substitute intonon-linear 72  yx yxxy 9 yyyy 9)72()72(  K1
  • 18.
    Work through untilQUADRATIC EQUATION is obtain 0742 2  yy a = b = c = 74-2  a acbb y 2 4)( 2  
  • 19.
    )2(2 )7)(2(4)4()4( 2  y Use yourcalculator a = b = c = 74-2  12.1 12.3   y y K1 N1 OW -1 If the method of solving QE is not shown 1-SSalso 0)12.1)(12.3( if  yy
  • 20.
    12.1,12.3  yy 72 yx 24.13 7)12.3(2  x 76.4 7)12.1(2  x N1
  • 21.
    SPM 2009 PAPER2 NO. 1  Solve the simultaneous equations and . Give your answer correct to three decimal places. 13  pk 02  kpkp 1. Choose linear equation 13  pk Non – linear is equation with yx xyyx 1 , 1 ,,, 22 1 02  kpkp 2
  • 22.
    13  pk Ifpossible choose unknown with no coefficient as the subject 13  pk Reason is to avoid fraction P1
  • 23.
    2. Substitute intonon-linear 13  pk 02  kpkp 0)13(2)13(  pppp K1
  • 24.
    Work through untilQUADRATIC EQUATION is obtain 0263 2  pp a = b = c = 26-3 a acbb p 2 4)( 2  
  • 25.
    )3(2 )2)(3(4)6()6( 2  p Use yourcalculator a = b = c = 26-3 423.0 577.1   p p K1 N1 OW -1 If the method of solving QE is not shown 1-SSalso 0)423.0)(577.1( if  pp
  • 26.
    423.0,577.1  pp 13 pk 731.3 1)577.1(3  k 269.0 1)423.0(3  k N1
  • 27.
    SPM 2008 PAPER2 NO. 1  Solve the following simultaneous equations and . 0402  xyx 043  yx 1. Choose linear equation 043  yx Non – linear is equation with yx xyyx 1 , 1 ,,, 22 1 0402  xyx 2
  • 28.
    043  yx Ifpossible choose unknown with no coefficient as the subject 43  yx Reason is to avoid fraction P1
  • 29.
    2. Substitute intonon-linear 43  yx 0402  xyx 040)43()43( 2  yyy K1
  • 30.
    Work through untilQUADRATIC EQUATION is obtain 0673 2  yy a = b = c = 6-7-3 a acbb y 2 4)( 2  
  • 31.
    )3(2 )6)(3(4)7()7( 2  y Use yourcalculator a = b = c = 67-3  3 3 2   y y K1 N1 OW -1 If the method of solving QE is not shown
  • 32.
    3, 3 2  yy 43 yx 6 4) 3 2 (3  x 5 4)3(3  x N1
  • 33.
    SPM 2007 PAPER2 NO. 1  Solve the following simultaneous equations and . 09102 2  yxx 032  yx 1. Choose linear equation 032  yx Non – linear is equation with yx xyyx 1 , 1 ,,, 22 1 09102 2  yxx 2
  • 34.
    032  yx Ifpossible choose unknown with no coefficient as the subject 32  xy Reason is to avoid fraction P1
  • 35.
    2. Substitute intonon-linear 32  xy 09102 2  yxx 0932102 2  xxx K1
  • 36.
    Work through untilQUADRATIC EQUATION is obtain 0682 2  xx a = b = c = 68-2 a acbb x 2 4)( 2  
  • 37.
    )2(2 )6)(2(4)8()8( 2  x Use yourcalculator a = b = c = 68-2 1 3   x x K1 N1 OW -1 If the method of solving QE is not shown
  • 38.
    1,3  xx 32 xy 3 3)3(2  y 1 3)1(2  y N1
  • 39.
    SPM 2012 PAPER2 NO. 6 (a) Prove that [2 marks] (b) Sketch the graph of for 0  x  2. [3 marks] (c) Hence, using the same axes, sketch a suitable straight line to find the number of solutions for the equation for 0  x  2. State the number of solutions. [3 marks] 12cos  xy x x 2 sec 12cos 2   1 4sec 2 2   x x
  • 40.
    Choose LHS orRHS to start (Start with long equation) 12cos 2   x LHS 1)1cos2( 2 2   x x2 cos2 2  x2 cos 1  x2 sec 1cos22cos formulaUse 2  xx K1 N1
  • 41.
    Draw the shapeof cos x y 1 -1 1 2 3 4 5 6 7 8 Look for the number located outside of trigonometry 0 y =cos 2x+1 K1  2 3 4 1 2 1 0 Graph is shifted N1 x Look for the number inside trigonometry N1 The graph is at least in one cycle (0  x  2) 2  2 3 2 2 
  • 42.
    Hence, using thesame axes, sketch a suitable straight line to find the number of solutions for the equation 1 4sec 2 2   x x y =cos 2x+1 Let the trigonometry function be the subject 3 1 cos   y x Substitute cos x into xx 34cos6   xx 34cos6   x y 34 3 1 6         2 3 3 x y  x y 0  3 5.1 N1 K1 Number of solutions = 2 N1
  • 43.
    SPM 2011 PAPER2 NO. 6 (a) Sketch the graph of for 0  x  2 . [4 marks] (b) Hence, using the same axes, sketch a suitable straight line to find the number of solutions for the equation for 0  x  2 . State the number of solutions. [3 marks] xy 2 3 sin3 0 2 3 sin3  x x 
  • 44.
    Draw the shapeof sin x y 1 -1 1 2 3 4 5 6 7 8 Look for the number located outside of trigonometry 0 P1  2 3 4 3 x Amplitude =max 3 and min -3 P1 P1The graph is at least in one and a half cycle xy 2 3 sin3 3 3 Look for the number located inside of trigonometry 3 2 3 8 Since the is a negative sign, invert the graph 3 4 3 6 x 2 Reflection of sin graph P1
  • 45.
    Hence, using thesame axes, sketch a suitable straight line to find the number of solutions for the equation 0 2 3 sin3  x x  y =-3sin 3/2x Let the trigonometry function be the subject 32 3 sin   y x Substitute sin3/2 x into 0 2 3 sin3  x x  0 2 3 sin3  x x  0 3 3         y x  x y   x y 0  matherror 1 N1 2 5.0
  • 46.
  • 47.
    SPM 2010 PAPER2 NO. (a) Sketch the graph of y = 1 + 3 cos x for 0  x  2. [4 marks] (b) Hence, using the same axes, sketch a suitable straight line to find the number of solutions for the equation for 0  x  2. State the number of solutions. [3 marks] xx 34cos6  
  • 48.
    Draw the shapeof cos x y 1 -1 1 2 3 4 5 6 7 8 Look for the number located outside of trigonometry 0 y =1 + 3 cos x K1  2 3 4 13  4 1 -2 0 Graph is shifted N1 x Amplitude = 2 N1 N1 The graph is at least in one cycle (0  x  2)
  • 49.
    Hence, using thesame axes, sketch a suitable straight line to find the number of solutions for the equation xx 34cos6    2 y x 4 0 -2 y =1 + 3 cos x Let the trigonometry function be the subject 3 1 cos   y x Substitute cos x into xx 34cos6   xx 34cos6   x y 34 3 1 6         2 3 3 x y  x y 0  3 5.1 N1 K1 Number of solutions = 2 N1
  • 50.
    SPM 2009 PAPER2 NO. (a) Sketch the graph of for 0  x  3/2 . [3 marks] (b) Hence, using the same axes, sketch a suitable straight line to find the number of solutions for the equation for 0  x  3/2 . State the number of solutions. [3 marks] xy 2cos 2 3  2 3 2cos 3 4  xx 
  • 51.
    2 Draw the shapeof cos x y 1 -1 1 2 3 4 5 6 7 8 Look for the number located outside of trigonometry 0 K1  2 3 4 2 3  x Amplitude = 3/2 N1 N1The graph is at least in one cycle xy 2cos 2 3  2 3 2 3  Look for the number located inside of trigonometry 2 2 2 2 2 x
  • 52.
    Hence, using thesame axes, sketch a suitable straight line to find the number of solutions for the equation 2 3 2cos 3 4  xx  y =3/2 cos 2x Let the trigonometry function be the subject 3 2 2cos y x  Substitute cos2 x into 2 3 2cos 3 4  xx  2 3 2cos 3 4  xx  2 3 3 2 3 4  y x  4 92   x y x y 0  25.2 25.0 N1
  • 53.
  • 54.
    Table shows thesum and the sum of squares of x, where x is the monthly income, in RM, of Mr. Ahmad for the first 6 months of the year 2012 (a) Find the standard deviation of his monthly income [3 marks] (b) If Mr. Ahmad’s son gives him RM500 every month during that period, find the new mean and standard deviation of his monthly income [3 marks] SPM 2012 NO. 4: STATISTICS ∑x 12240 24975000 2 x
  • 55.
    (a) the standarddeviation N xx  2 )( 2_2 x N x      f xxf 2 )( 2 2 x f fx    3  = = 4  = = 2 2 2 2 2 x N x x N x       2 6 12240 6 24975000        30RM K1 N1 K1
  • 56.
  • 57.
    The mean ofa set of numbers 2, y, 5, 2y+1, 10 and 12 is 7. a) Find i) the value of y SPM 2011 NO. 4: STATISTICS 7 6 12101252   yy 42303 y 4y K1 N1
  • 58.
    (ii) the variance N xx 2 )( 2_2 x N x      f xxf 2 )( 2 2 x f fx    3  = = 4  = = 2 2 2 2 2 x N x x N x          2 222222 2 7 6* 121014*254*2    3 38 //67.12// 3 2 122  K1 N1
  • 59.
    (b) Each numberin the set is multiplied by 3 and then 2 is added to it. For this set of numbers, find (i) the mean, Mean, mode and median : multiply/divide, add/minus will take effect Variance, Standard Deviation, Range, inter quartile range : only multiply/divide will take effect 237 newx 23newx K1 N1
  • 60.
    (i) the standarddeviation, Mean, mode and median : multiply/divide, add/minus will take effect Variance, Standard Deviation, Range, inter quartile range : only multiply/divide will take effect 67.12*2  67.12* 559.3* 3559.3 new 68.10new K1 N1
  • 61.
    SPM 2010: STATISTICS Tablebelow shows the frequency distribution of the marks of a group of students. (a) Use graph paper to answer this part of the question. Using a scale of 2 cm to 10 marks on the horizontal axis and 2 cm to 2 students on the vertical axis, draw a histogram to represent the frequency distribution of the marks in above table. Hence, find the mode mark. [4 marks] (b) Calculate the standard deviation of the marks. [4 marks] Marks Number of students 1 – 10 5 11 – 20 8 21 – 30 20 31 – 40 10 41 – 50 7
  • 62.
    Marks Mid Point x Numberof students (f) 1 – 10 5.5 5 11 – 20 15.5 8 21 – 30 25.5 20 31 – 40 35.5 10 41 – 50 45.5 7
  • 63.
    Students marks 5.5 5.15 5.255.35 5.45 2 4 6 8 10 12 14 16 18 20
  • 64.
    b) Standard deviation N xx 2 )( 2_2 x N x      f xxf 2 )( 2 2 x f fx    3  = = 4  = = Marks Mid Point x Number of students (f) Fx fx2 1 – 10 5.5 5 11 – 20 15.5 8 21 – 30 25.5 20 31 – 40 35.5 10 41 – 50 45.5 7 Total 50 151.25 1922 13005 12602.5 14491.75   f fx x 27.5 124 510 355 318.5 1335 42172.5
  • 65.
  • 66.
    SPM 2012 PAPER2 NO. 7 Use graph paper to answer this question. Table 7 shows the values of two variables, x and y, obtained from an experiment. The variables x and y are related by the equation , where n and p are constants. 2 1 kxkx h y  x 1 2 3 4 5 6 y 2.601 0.551 0.194 0.089 0.040 0.017
  • 67.
    Construct Table isA MUST yx2 x 1 2 3 4 5 6 60.2 2.2 75.1 42.1 1 61.0 N1 Take 2 decimal places, no more no less x 1 2 3 4 5 6 y 2.601 0.551 0.194 0.089 0.040 0.017 (a) Based on table 7, construct a table for the values of x2y
  • 68.
    yx2 x 0 1 2 34 5 6 5.0 1 5.1 2 5.2 3 K1Correct axes and uniform scales N16 points are correctly plotted N1 Line of best fit (at least 3 points must be on the line) c =3 Find the y-intercept (b) Plot x2y against x, using a scale of 2 cm to 1 unit on the x-axis and 2 cm to 0.5 unit on the x2y – axis. Hence draw the line of best fit [3 marks] (c) Use the graph in (b) to find the value of (i) y when x = 2.5 2yx2
  • 69.
    22 yx K1 2)5.2( 2 y 2 5.2 2 y 32.0y N1
  • 70.
    Calculate the gradientof the graph 12 12 xx yy m    Choose 2 points    1,5and3,0 50 13   m 4.0m
  • 71.
    Adjust the equationso that is the subjectyx2 2 1 kxkx h y  cxmy  Compare with P1 k x k h yx 12               2 2 1 kxkx h yx 2 22 2 1 kx x kx hx yx 
  • 72.
  • 73.
    SPM 2011 PAPER2 NO. 7 Use graph paper to answer this question. Table 7 shows the values of two variables, x and y, obtained from an experiment. The variables x and y are related by the equation , where n and p are constants.1 px y n x 0.1 0.2 0.3 0.4 0.5 0.6 y 0.303 0.364 0.465 0.588 0.909 1.818
  • 74.
    Construct Table isA MUST y 1 x 1.0 2.0 3.0 4.0 5.0 6.0 3.3 75.2 15.2 70.1 1.1 55.0 N1 Take 2 decimal places, no more no less x 0.1 0.2 0.3 0.4 0.5 0.6 y 0.303 0.364 0.465 0.588 0.909 1.818 (a) Based on table 7, construct a table for the values of y 1
  • 75.
    y 1 x 0 1.0 2.0 3.04.0 5.0 6.0 5.0 1 5.1 2 5.2 3 5.3 K1Correct axes and uniform scales N16 points are correctly plotted N1 Line of best fit (at least 3 points must be on the line) c =3.85 Find the y-intercept (b) Plot 1/y against x, using a scale of 2 cm to 0.1 unit on the x-axis and 2 cm to 0.5 unit on the 1/y – axis. Hence draw the line of best fit [3 marks] (c) Use the graph in (b) to find the value of (i) y when x = 0.38 75.1 y 1
  • 76.
  • 77.
    Calculate the gradientof the graph 12 12 xx yy m    Choose 2 points    1.1,5.0and85.3,0 5.00 1.185.3   m 481.5m
  • 78.
    Adjust the equationso that is the subject y 1 1 px y n cxmy Compare with P1 n x n p y 11 
  • 79.
  • 80.
    SPM 2010 PAPER2 NO. 7 Use graph paper to answer this question. Table 7 shows the values of two variables, x and y, obtained from an experiment. The variables x and y are related by the equation , where h and k are constants. k h y x  x 3 4 5 6 7 8 y 2.57 3.31 4.07 4.90 6.31 7.94
  • 81.
    Construct Table isA MUST y10log x 3 4 5 6 7 8 41.0 52.0 61.0 69.0 8.0 9.0 N1 Take 2 decimal places, no more no less x 3 4 5 6 7 8 y 2.57 3.31 4.07 4.90 6.31 7.94 Construct a table for the values of log10y
  • 82.
    y10log x 0 1 2 34 5 6 7 1.0 2.0 3.0 4.0 5.0 6.0 7.0 8.0 K1Correct axes and uniform scales N16 points are correctly plotted N1 Line of best fit (at least 3 points must be on the line) c =0.11 Find the y-intercept 8 9.0 (a) Plot log10y against x, using a scale of 2 cm to 1 unit on the x-axis and 2 cm to 0.1 unit on the log10y – axis. Hence draw the line of best fit [3 marks] (b) Use the graph in (a) to find the value of (iii) y when x = 2.7 38.0y10log
  • 83.
  • 84.
    Calculate the gradientof the graph 12 12 xx yy m    Choose 2 points    9.0,8and11.0,0 08 11.09.0   m 09875.0m
  • 85.
    Adjust the equationso that is the subjecty10log k h y x  khy x 101010 logloglog  cxmy Compare with P1 khxy 101010 logloglog  k h y x 1010 loglog 
  • 86.
    09875.0log10 h 09875.0logantih  255.1h 11.0log10 k 11.0log10 k 7762.0 11.0log   k antik K1 N1 K1 N1
  • 87.
    SPM 2009 PAPER2 NO. 8 Use graph paper to answer this question. Table 8 shows the values of two variables, x and y, obtained from an experiment. The variables x and y are related by the equation , where k and p are constants.1 x p y k x 1.5 2.0 3.0 4.0 5.0 6.0 y 2.502 0.770 0.465 0.385 0.351 0.328
  • 88.
    Construct Table isA MUST y 1 x 1 67.0 50.0 33.0 25.0 20.0 17.0 40.0 30.1 15.2 60.2 85.2 05.3 N1 N1 Take 2 decimal places, no more no less
  • 89.
    y 1 x 1 0 1.0 2.0 3.04.0 5.0 6.0 7.0 5.0 0.1 5.1 0.2 5.2 0.3 5.3 0.4 K1Correct axes and uniform scales N16 points are correctly plotted N1Line of best fit (at least 3 points must be on the line) c =3.9 Find the y-intercept
  • 90.
    Calculate the gradientof the graph 12 12 xx yy m    Choose 2 points    40.0,67.0and9.3,0 067.0 9.340.0   m 223.5m
  • 91.
    Adjust the equationso that is the subjecty 1 1 x p y k kxk p y 11  cxmy Compare with P1
  • 92.
  • 93.
    SPM 2008 PAPER2 NO. 8 Use graph paper to answer this question. Table 8 shows the values of two variables, x and y, obtained from an experiment. The variables x and y are related by the equation , where h and k are constants.x hky 2  x 1.5 3.0 4.5 6.0 7.5 9.0 y 2.51 3.24 4.37 5.75 7.76 10.00
  • 94.
    Construct Table isA MUST y10log x 5.1 0.3 5.4 0.6 5.7 0.9 40.0 51.0 64.0 76.0 89.0 1 N1 N1 Take 2 decimal places, no more no less
  • 95.
    x 0 1 2 34 5 6 7 1.0 2.0 3.0 4.0 5.0 6.0 7.0 8.0 K1Correct axes and uniform scales N16 points are correctly plotted N1 Line of best fit (at least 3 points must be on the line) c =0.28 Find the y-intercept 8 9 9.0 1
  • 96.
    Calculate the gradientof the graph 12 12 xx yy m    Choose 2 points    1,9and28.0,0 09 28.01   m 08.0m
  • 97.
    Adjust the equationso that is the subjecty10log Compare with P1 x hky 2  x hky 2 1010 loglog  x khy 2 101010 logloglog  kxhy 101010 log2loglog  )log2(loglog 101010 kxhy  y  x mc
  • 98.
    28.0log10 h 28.0antilogh 91.1h 08.0log2 10k 04.0log10 k 1.10 0.04antilog  k K1 N1 K1 N1
  • 99.
    SPM 2012 PAPER2 NO. 11 (a) In a survey carried out in a particular district, it is found that three out of five families own a national car. If 10 families are chosen at random from the district, calculate the probability that at least 8 families own a national car [4 marks]
  • 100.
    Own, p =xown, q = 5 3 5 2 0 1 2 3 4 5 6 7 8 9 10 10 9 8 7 6 5 4 3 2 1 0 / / / 28 8 10 5 2 5 3             C 19 9 10 5 2 5 3             C 010 10 10 5 2 5 3             C  1673.0 K1 K1 K1 K1
  • 101.
    b) Dalam sebuahsekolah, 300 orang murid menduduki suatu ujian. Markah yang diperoleh adalah mengikut taburan normal dengan min 56 dan sisihan piawai 8. (i) Cari bilangan murid yang lulus ujian itu jika markah lulus ialah 40    X z   ZX
  • 102.
       X z   ZX    X z 8 5640 z 2z )2( zP 0.0228 0.0228-1)2( zP 0.9772)2( zP 3000.9772lulusyangmuridBil.  294
  • 103.
    (ii) Jika 12%daripada murid itu lulus ujian dengan mendapat gred A. Cari markah minimum untuk mendapat gred A    X z   ZX
  • 104.
       X z   ZX 12.0)( zzP 175.1z 56)8(175.1 X 4.65X
  • 105.
    SPM 2011 PAPER2 NO. 11 (a) It is found that 80% of university graduates in a state are employed. If 10 university graduates from the states are selected at random, find the probability that (i) Exactly 9 of them are employed
  • 106.
    emplyd, p =xemplyd, q = 8.0 2.0 0 1 2 3 4 5 6 7 8 9 10 10 9 8 7 6 5 4 3 2 1 0 /    19 9 10 2.08.0 C 2684.0 K1 N1
  • 107.
    emplyd, p =xemplyd, q = 8.0 2.0 0 1 2 3 4 5 6 7 8 9 10 10 9 8 7 6 5 4 3 2 1 0 / / /    82 2 10 8.02.0 C    91 1 10 8.02.0 C    100 0 10 8.02.0 C  6778.0 K1 N1 ii) At most 2 of the are unemployed
  • 108.
    Dalam satu acaramerentas desa yang disertai oleh 500 orang pelajar, masa yang diambil untuk larian adalah mengikut taburan normal dengan min 20 minit dan sisihan piawai 10 minit. Peserta tidak akan diberi sebarang mata jika mereka mengambil masa lebih daripada 32 minit untuk menghabiskan larian itu (i) Jika seorang peserta dipilih secara rawak, cari kebarangkalian bahawa peserta itu tidak mendapat sebarang mata.    X z   ZX
  • 109.
       X z   ZX    X z 10 2032 z 2.1z )2.1( zP 0.1151 0.1151)2.1( zP
  • 110.
    (ii) Pingat diberikankepada 80 orang peserta pertama yang mengambil masa t minit untuk menghabiskan larian itu. Cari nilai t    X z   ZX
  • 111.
    X Z P    X z  ZX 16.0 500 80 )(  zzP 994.0z 994.0kirikepanahanak z 20)10(994.0 X 10X
  • 112.
    SPM 2010 PAPER2 NO. 10 (a) Pembolehubah rawak, X, mengikut suatu taburan binomial dengan 10 cubaan dengan keadaan kebarangkalian kejayaan dalam setiap cubaan ialah p. Min kejayaan ialah 4. Hitung (i) Nilai p npMin, p104Min,  4.0 10 4 p
  • 113.
    p = q=4.0 6.0 0 1 2 3 4 5 6 7 8 9 10 10 9 8 7 6 5 4 3 2 1 0 /            82 2 1091 1 10100 0 10 6.04.06.04.06.04.0  CCC 1673.0 K1 N1 / / )2()( XPii
  • 114.
    Diameter bagi buahlimau dari sebuah kilang adalah mengikut taburan normal dengan min 3.2 cm dan sisihan piawai 1.5 cm. Hitungkan (i) Kebarangkalian bahawa sebiji limau yang dipilih secara rawak dari ladang ini mempunyai diameter lebih dari 3.9 cm X Z P    X z   ZX
  • 115.
    X Z P    X z  ZX    X z 5.1 2.39.3  z 467.0z 0.467)( zP 0.3203 0.3203)467.0( zP
  • 116.
    (ii) Nilai djika 33% daripada limau itu mempunyai diameter kurang daripada d cm X Z P    X z   ZX
  • 117.
    X Z P    X z  ZX 33.0)(  zzP 44.0z 44.0kirikepanahanak z 2.3)5.1(44.0 X 54.2X
  • 118.
    SPM 2009 PAPER2 NO. 11 Suatu kertas ujian mengandungi 40 soalan. Setiap soalan diikuti oleh empat pilihan jawapan dengan keadaan hanya satu jawapan sahaja yang betul. (a) Salma menjawab semua soalan dengan memilih secara rawak satu jawapan untuk setiap soalan (i) Anggarkan bilangan soalan yang dijawab dengan betul 40n 4 1 p 4 3 q npmean , 10 4 1 40       
  • 119.
    (ii) Cari sisihanpiawai bagi bilangan soalan yang dijawab dengan betul npq              4 3 4 1 )40( 739.2
  • 120.
    p = q= 4 1 4 3 0 1 2 3 4 5 6 7 8 9 10 10 9 8 7 6 5 4 3 2 1 0 / 46 6 10 4 3 4 1              C 01622.0 K1 N1 (b) Basri menjawab 30 soalan dengan betul dan memilih secara rawak satu jawapan untuk setiap 10 soalan selebihnya (i) 36 soalan dijawab dengan betul
  • 121.
    p = q= 4 1 4 3 0 1 2 3 4 5 6 7 8 9 10 10 9 8 7 6 5 4 3 2 1 0 / 100 0 10 91 1 10 4 3 4 1 4 3 4 1 1                          CC 7560.0 (ii) sekurang-kurangnya 32 soalan dengan betul / / / / / / / /
  • 122.
    SPM2012 PAPER 2NO. 15 Seorang tukang kayu membuat dua jenis perabot, meja dan kerusi. Dalam seminggu, dia membuat x buah meja dan y buah kerusi. Dia mempunyai modal sebanyak RM6000. Penghasilan perabot adalah berdasarkan kepada kekangan berikut: KerusiBil. MejaBil.   y x I. Kos membuat sebuah meja ialah RM80 dan sebuah kerusi ialah RM60 yx 6080  6000 30034  yx
  • 123.
    II. Jumlah minimummeja dan kerusi ialah 50 buah yx  50 III. Bilangan kerusi mesti sekurang-kurangnya 80% daripada bilangan meja y x 100 80  xy 5 4 
  • 124.
    (b) Menggunakan skala2 cm kepada 10 perabot pada kedua-dua paksi, bina dan lorek rantau R yang memenuhi semua kekangan di atas 30034I.  yx x y 0 100 30 60 50II.  yx x y 0 50 30 20 xy 5 4 III.  x y 0 0 30 24
  • 125.
    y x 100 90 80 70 60 50 40 30 20 10 0 10 20 3040 50 60 70 80 90 I II III R )22,28( )38,46(
  • 126.
    (c) Dengan menggunakangraf yang dibina di 15 (b), cari (i) Bilangan minimum kerusi yang dihasilkan jika 24 buah meja dihasilkan Bilangan minimum kerusi ialah 26 (ii) Jumlah keuntungan maksimum yang diperoleh jika keuntungan sebuah meja ialah RM40 dan keuntungan sebuah kerusi ialah RM20 maksimumyx  2040 )22,28( 1560)22(20)28(40  )38,46( 2600)38(20)46(40  2600ialahmaksimumkutipanJumlah
  • 127.
    SPM2011 PAPER 2NO. 15 Sebuah syarikat memperoleh tender mengecat sebuah bangunan kerajaan. Bangunan itu mesti dicat dengan cat alas dan cat kilat. Bilangan tin cat alas ialah x dan bilangan tin cat kilat ialah y. kerja-kerja mengecat adalah berdasarkan kekangan berikut kilatcattinBil. alascattinBil.   y x I. Bilangan tin cat kilat adalah tidak melebihi 2 kali bilangan tin cat alas y  x2
  • 128.
    II. Bil. Tincat kilat adalah sekurang-kurangnya ¼ daripada bilangan tin cat alas y x 4 1  III. Jumlah masa yang diperuntukkan untuk kerja mengecat adalah selebih-lebihnya 120 jam. Bagi satu tin cat alas, masa mengecat ialah 3 jam manakala bagi satu tin cat kilat, masa mengecat ialah 2 jam yx 23  120
  • 129.
    (b) Menggunakan skala2 cm kepada 5 tin pada kedua-dua paksi, bina dan lorek rantau R yang memenuhi semua kekangan di atas xy 2I.  x y 0 0 20 40 xy 4 1 II.  x y 0 0 40 10 12023III.  yx x y 20 30 30 15
  • 130.
    y x 50 45 40 35 30 25 20 15 10 5 0 5 10 1520 25 30 35 40 45 I II III )34,17( )8,34( R
  • 131.
    (c) Dengan menggunakangraf yang dibina di 15 (b), cari (i) Bilangan minimum tin cat kilat jika bilangan tin cat alas ialah 30 Bilangan minimum cat kilat ialah 7.5 (ii) Perbalanjaan maksimum untuk cat jika harga cat alas ialah RM50 setin dan harga cat kilat ialah RM70 setin maksimumyx  7050 )34,17( 3230)34(70)17(50  )16,34( 2820)16(70)34(50  3230ialahmaksimumkutipanJumlah
  • 132.
    SPM2010 PAPER 2NO. 14 Sebuah pusat latihan menawarkan dua kursus, A dan B. Bilangan peserta kursus A ialah x dan bilangan kursus B ialah y. Pengambilan peserta adalah berdasarkan kekangan berikut: BkursuspesertaBil. AkursuspesertaBil.   y x I. Bil maksimum peserta kursus ialah 80 yx   80
  • 133.
    II. Bil. Pesertakursus B adalah sekurang-kurangnya 10 y 10 III. Bil. Peserta kursus B selebih-lebihnya adalah 3/2 kali bil. Peserta kursus A y x 2 3 
  • 134.
    (b) Menggunakan skala2 cm kepada 10 orang peserta pada kedua-dua paksi, bina dan lorek rantau R yang memenuhi semua kekangan di atas 80I.  yx x y 0 80 30 50 10II. y xy 2 3 III.  x y 0 0 30 45
  • 135.
    y x 100 90 80 70 60 50 40 30 20 10 0 10 20 3040 50 60 70 80 90 I II III R )10,7( )48,32( )10,70(
  • 136.
    (c) Dengan menggunakangraf yang dibina di 14 (b), cari (i) Bilangan minimum peserta kursus A Bilangan minimum peserta kursus A seramai 7 orang (ii) Jumlah maksimum kutipan yuran sebulan jika kutipan yuran sebulan bagi seorang peserta kursus A ialah RM300 dan bagi seorang peserta kursus B ialah RM400 maksimumyx  400300 )10,7( 6100)10(400)7(300  )48,32( 28800)48(400)32(300  )10,70( 25000)10(400)70(300  28800ialahmaksimumkutipanJumlah
  • 137.
    SPM2009 PAPER 2NO. 14 Johan menggunakan x keping jubin kecil dan y keping jubin besar untuk hiasan bilik mandinya. Perbelanjaan hiasan tersebut adalah berdasarkan kekangan berikut besarjubinBil. keciljubinBil.   y x I. Jumlah bilangan jubin tidak boleh melebihi 100 keping yx   100
  • 138.
    II. Bilangan jubinkecil tidak boleh melebihi tiga kali bilangan jubin besar x y3 III. Bilangan jubin besar tidak boleh melebihi 30 bilangan jubin kecil y 30x xy 3
  • 139.
    (b) Menggunakan skala2 cm kepada 10 keping jubin pada kedua-dua paksi, bina dan lorek rantau R yang memenuhi semua kekangan di atas 100I.  yx x y 50 50 30 70 xy 3II. x y 0 0 30 10 30III.  xy x y 0 30 30 60
  • 140.
    y x 100 90 80 70 60 50 40 30 20 10 0 10 20 3040 50 60 70 80 90 I II III R )65,35( )25,75(
  • 141.
    (c) Dengan menggunakangraf yang dibina di 14 (b), cari (i) Bilangan maksimum jubin kecil yang boleh digunakan Bilangan maksimum jubin kecil ialah sebanyak 75 (ii) Jumlah kos maksimum untuk jubin-jubin itu jika kos bagi sekeping jubin kecil itu ialah RM1.50 dan kos bagi sekeping jubin besar itu ialah RM3.00 maksimumyx  31.5 )65,35( 5.247)65(3)35(1.5  )25,75( 5.187)25(3)75(1.5  247.5ialahmaksimumkosJumlah
  • 142.
    SPM 2012 PAPER2 NO. 5 Diberi bahawa dan (a) Cari (i) jiAB 23  jiAC 57  BC BC  B CAA K1 jiji 5)7(23  ji 34  N1 (ii) Vektor unit dalam arah BC  BC  ji 34 __________ 22 34  K1 5 34 ji   N1
  • 143.
    (b) Diberi ,dengan keadaan p ialah pemalar dan adalah selari dengan , cari nilai p. jpiAD 15 AD BC jpiAD 15 jiBC 34  3 15 4    p 20p K1 K1 N1
  • 144.
    SPM 2011 NO10 Rajah 10 menunjukkan segiempat selari ABCD. Titik P terletak pada garis lurus AB dan titik Q terletak pada garis lurus DC. Garis lurus AQ dipanjangkan ke titik R dengan keadaan AQ=2QR A B CQD P R
  • 145.
    Diberi bahawa AP:PB= 3:1, DQ:QC = 3:1, danuAP 6 vAD  A B CQD P R u6 v 3 1 4 3 1 4 u6 v
  • 146.
    (a) Ungkapkan dalamsebutan u dan v (i) AQ  A QDD  K1 v  u6 (ii) PC  P CBB  K1  1__ 3 u6  v vu  2
  • 147.
    (b) Diberi bahawadan (i) Ungkapkan dalam sebutan i dan j iu 3 jiv 52  PC vuPC  2 )52()3(2 jiiPC  jiiPC 526  jiPC 58  (ii) Cari vektor unit dalam arah PC  PC ji 58 __________ 22 58  89 58 ji   
  • 148.
    SPM 2010 NO.9 Rajah 9 menunjukkan segtiga OAB. Titik C terletak pada OA dan titik D terletak pada AB. Garis lurus OD bersilang dengan garis lurus BC pada titik E E O C B D A u6
  • 149.
    Diberi bahawa ADABOAOCyOBxOA2dan 3 2 ,,  O C B D A x 3 2 y x 3 1
  • 150.
    (a) Ungkapkan dalamsebutan x dan y (i)  B COO  K1 y  x 3 2 OD(ii)  O DBB  K1  y  BA 2 1 )( 2 1 OABOy  BC )( 2 1 xyy  xy 2 1 2 1 
  • 151.
    (b) Diberi bahawa hdan k ialah pemalar. Ungkapkan (i) Dalam sebutan h, x dan y keadaandengan,dan BCkBEODhOE  OE ODhOE  ) 2 1 2 1 ( xyhOE  hxhyOE 2 1 2 1  (ii) Dalam sebutan k, x dan y Mesti guna BE O EBB OE y  BCk y  ) 3 2 ( xyk  kxkyy 3 2  kxyk 3 2 )1( 
  • 152.
    (c) Seterusnya, carinilai h dan nilai k hxhyOE 2 1 2 1  kxykOE 3 2 )1(  kh 3 4  kh 1 2 1 kk       1 3 4 2 1 kk 1 3 2 1 3 2  kk 1 3 5 k 5 3 k        5 3 3 4 h 5 4 h
  • 153.
    SPM 2010 PAPER2 NO.13 Diagram 13 shows triangle ABC and triangle CDE where BCE and ACD are straight lines A B C D E 6 cm 4 cm 2.5 cm 250 500
  • 154.
    Complete the perimeters Decidewhich rule to use Find any pair Angle and sides A B C D E 6 cm 4 cm 2.5 cm 250 500 105o75o 105o Sine Rule
  • 155.
  • 156.
    Update your diagram Decidewhich rule to use Find any pair Angle and sides A B C D E 6 cm 4 cm 2.5 cm 250 500 105o75o 105o Cosine Rule NO PAIR 2.207cm
  • 157.
    Abccba cos2222  o DE 105cos)5.2)(6(25.26222  014.502 DE 014.50DE 072.7DE Use this answer and update your diagram A B C D E 6 cm 4 cm 2.5 cm 250 500 105o75o 105o 2.207cm
  • 158.
    cm072.7 A B C D E 6 cm 4 cm 2.5cm 250 500 105o75o 105o 2.207cm Update your diagram Point C’ lies on BE such that AC’ = AC 'C 4 cm 75o
  • 159.
    Area Choose angle inthe middle of two known sides Cabarea sin2 1  oo area 105sin)207.2)(4(30sin)4)(4( 2 1 2 1  264.8area cm072.7 A B C D E 6 cm 4 cm 2.5 cm 250 500 105o75o 105o 2.207cm 'C 4 cm 75o 300
  • 160.
    SPM 2009 PAPER2 NO.12 Diagram 12 shows a trapezium KLMN. KN is parallel to LM and is obtuseLMN 12.5 cm 5.6 cm N K L M 32o 80o
  • 161.
    Decide which ruleto use Find any pair Angle and sides 12.5 cm 5.6 cm N K L M 32o 80o Sine rule
  • 162.
  • 163.
    12.5 cm 5.6 cm N K L M 32o 80o cm23.23 68o 68o Decidewhich rule to use Find any pair Angle and sides NO PAIR Cosine rule
  • 164.
    Abccba cos2222  12.5 cm 5.6cm N K L M 32o 80o cm23.23 68o 68o o MN 68cos)6.5)(23.23(26.523.23 222  50.4732 MN 50.473MN 76.21MN Use this answer and update your diagram
  • 165.
    12.5 cm 5.6 cm N K L M 32o 80o cm23.23 68o 68o cm76.21  Decidewhich rule to use Sine rule 2 sides 1 angle 2 angles 1 side Cosine rule 3 sides 2 sides 1 angle (angle in the middle) All rule is possible The easiest is sin rule
  • 166.
  • 167.
    12.5 cm 5.6 cm N K L M 32o 80o cm23.23 68o 68o cm76.21 o 18.98 Area Chooseangle in the middle of two known sides Cabarea sin2 1  o area 68sin)6.5)(23.23(2 1  2 31.60 cmarea 
  • 168.
    SPM 2008 PAPER2 NO. 14 ABC is a triangle; ADFB, AEC and BGC are straight line. The straight line FG is perpendicular to BC 80o A D E F GB C 45o It is given BD = 19 cm, DA = 16 cm, AE = 14 cm, ando DAE 80 o FBG 45 Update your diagram
  • 169.
    80o A D E F GB C 45o cm19 cm16 cm14 Decide whichrule to use Cosine rule Abccba cos2222 
  • 170.
    o DE 80cos)14)(16(21416 222  cmDE34.19 Use this answer and update your diagram
  • 171.
    80o A D E F GB C 45o cm19 cm16 cm14 cm34.19 Decide whichrule to use Sine rule o AC 55sin 35 45sin  o 55 cmAC 21.30 cm EC 21.16 1421.30  
  • 172.
    SPM 2012 PAPER2 NO. 13 Jadual 13 menunjukkan indeks harga bagi tiga jenis bahan api pada tahun 2008 berasaskan 2006. Rajah 13 menunjukkan sebuah carta pai yang mewakili pembahagian bahan api itu yang digunakan dalam sebuah kilang Bahan Api Indeks harga pada tahun 2008 berasaskan tahun 2006 Diesel 150 Petrol 120 Gas 110 Gas 72o Petrol Diesel 180o
  • 173.
    (a) Jika kilangitu membelanjakan RM9000 seminggu untuk diesel dalam tahun 2008, cari perbelanjaan yang sepadan untuk diesel dalam tahun 2006 [2 markah] 100 2006 2008 20082006  Q Q I 9000RM2008Q 100 9000 150 2006  Q K1 100 150 9000 2006 Q 60002006 Q N1
  • 174.
    (b) Hitung indeksgubahan bagi perbelanjaan bahan api kilang itu dalam tahun 2008 berasaskan 2006 [3 markah]   W WI I ii 360 )72(110)108(120)180(150 20082006  I K2 133 N1
  • 175.
    (c) Perbelanjaan bahanapi yang digunakan oleh kilang itu pada tahun 2006 ialah RM30000 seminggu. Hitungkan perbelanjaan bahan api yang sepadan dalam tahun 2008. 30000RM2006Q 100 2006 2008 20082006  Q Q I 100 30000 2008  Q 133 K1 100 30000 1332008 Q 399002008 Q N1
  • 176.
    (d) Harga dieselmeningkat sebanyak 30%, harga petrol meningkat 20% sementara harga gas tidak berubah dari tahun 2008 ke tahun 2010. Hitungkan indeks gubahan bagi perbelanjaan bahan api kilang itu dalam tahun 2010 berasaskan tahun 2006 [3 markah]  201020082006I 150 100 130  195  201020082006I 120 100 120  144 360 )72(110)108(144)180(195 ** 20102006  I K2 7.162 N1
  • 177.
    Bahan Prices (RM) perkg Indeks harga pada tahun 2007 berasaskan 2005 Peratus perbelanjaan (%) 2005 2007 P 4.00 5.00 x 16 Q 3.00 y 150 12 R 8.00 10.00 125 48 S z 3.00 120 24 SPM 2011 Paper 2 No. 13 Jadual 13 menunjukkan harga, indeks harga dan peratus perbelanjaan bagi empat bahan P, Q, R dan S yang digunakan untuk membuat sejenis makanan
  • 178.
    (a) Cari nilaix, y dan z [4 markah] 100 2005 2007 20072005  Q Q I 100 4 5 x 125 P1 100 3 150  y 100 3 150y 5.4 P1 100 3 120  z 120 100 3z 5.2 P1 K1
  • 179.
    (b)Hitungkan indeks gubahanbagi kos membuat makanan itu pada tahun 2007 berasaskan 2005 [2 markah]   W WI I ii 100 )24(120)48(125)12(150)16(125 20072005  I K2 8.12620072005 I N1
  • 180.
    (c) Kos untukmembuat sepeket makanan itu dalam tahun 2005 ialah RM50. Hitungkan kos yang sepadan pada tahun 2007 [2markah] 50RM2005Q 100 2005 2007 20072005  Q Q I 100 50 2007  Q 8.126 K1 100 50 8.1262007 Q 4.632008 Q N1
  • 181.
    (d) Kos bagisemua bahan makanan itu meningkat sebanyak 15% dari tahun 2007 ke tahun 2009. Cari indeks gubahan bagi tahun 2009 berasaskan 2005 [2 markah] 8.12620072005 I 100 115 8.126200920072005 I K1 82.14520092005 I N1
  • 182.
    SPM 2010 PAPER2 NO. 15 Jadual 15 menunjukkan indeks harga bagi tiga bahan P, Q dan R yang digunakan dalam pengeluaran satu jenis beg. Bahan Indeks harga dalam tahun 2006 berasaskan 2004 Indeks harga dalam tahun 2008 berasaskan 2004 P 125 150 Q 116 x R y 120
  • 183.
    (a) Cari indeksharga bahan P pada tahun 2008 berasaskan 2006 1250604 I 1500804 I 0806I 100 125 150  K1 120 N1
  • 184.
    (b) Harga bahanQ pada tahun 2004 ialah RM7.50 dan harganya pada tahun 2008 ialah RM10.50. Cari (i) Nilai x 50.704Q 50.1008Q 100 04 08 0804  Q Q I 100 5.7 5.10 x 140 N1
  • 185.
    (ii) Harga bahanQ pada tahun 2006 04Q 50.7 100 04 06 0604  Q Q I 100 5.7 116 06  Q K1 100 5.7 11606 Q 7.8 N1
  • 186.
    (c) Indeks gubahanuntuk kos pengeluaran beg itu pada tahun 2006 berasaskan 2004 ialah 118.5. Kos bahan-bahan P, Q, dan R yang digunakan mengikut nisbah 2:1:3. Cari nilai y [3 markah]   W WI I ii 5.118 312 )3()1(116)2(125 0604     y I K2 115y N1
  • 187.
    (d) Diberi hargabeg itu pada tahun 2006 ialah RM47.40. Cari harga yang sepadan bagi beg itu pada tahun 2004 [2 markah] 40.4706Q 100 04 06 0604  Q Q I 100 40.47 5.118 04  Q K1 100 5.118 40.47 04 Q 40 N1
  • 188.
    Stationary Prices (RM) perunit Price index in the year 2008 based on the year 2007 Weightage Year 2007 Year 2008 P 2.80 2.10 x 4 Q 4.00 4.80 120 2 R 2.00 y 130 3 S z 5.80 116 m SPM 2009 Paper 2 No. 13 Table 13 shows the prices, the price indices and weightages for four types of stationary P, Q, R and S a) Find the value of i) x ii) y iii) z b) The composite index for the price of the stationary in the year 2008 based on the year 2007 is 108.4 Calculate m c) The total expenditure for the stationary in the year 2007 is RM525. Calculate the corresponding total expenditure in the year 2008 d) The total index for Q in the year 2009 based on the year 2007 is 132. Calculate the price index for Q in the year 2009 based on the year 2008
  • 189.
    Use formula 100 0 1  Q Q I In thiscase 100 07 08  Q Q I
  • 190.
  • 191.
  • 192.
  • 193.
  • 194.
  • 195.