Wednesday, March 26, 14
HOW MICRODATA CAN SAY A LOT
ABOUT MACROECONOMICS
David Soloff
Premise
Wednesday, March 26, 14
DAVID SOLOFF
@davidsoloff
Wednesday, March 26, 14
Wednesday, March 26, 14
“—no, a dreary, desolate and, indeed, quite
abject and distressing one; what we might
call, by way of eminence, the dismal science.”
— Thomas Carlyle
Wednesday, March 26, 14
Wednesday, March 26, 14
Wednesday, March 26, 14
Mikro
Data
&
Makro
Economics
Wednesday, March 26, 14
"There's still a Cold War element to our statistics. We're kind
of in a holding pattern. In many situations I found myself
wishing we had more current data and broader data."
— Alan Krueger
http://on.wsj.com/1ggFq9c
Wednesday, March 26, 14
Wednesday, March 26, 14
Wednesday, March 26, 14
Wednesday, March 26, 14
Wednesday, March 26, 14
January 2007
September 2007
February 2008
March 2008
April 2008
Mexico: “Tortilla Riots”
West Bengal: Riots over food shortages and public corruption
Cameroon: High fuel and food prices
Senegal: Protests over high cost of living
Haiti: Riots over rising food prices
Yemen: Riots as price of wheat doubles, rice + vegetables up 20%
Egypt: Riots over the price of bread
November 2008 China: Contaminated milk due to high cattle feed prices
October 2007 Russia: Gov’t pressures food producers to freeze prices
Wednesday, March 26, 14
Food prices and the incidence of violence in Africa [van Weezel 2013]
Wednesday, March 26, 14
Wednesday, March 26, 14
Wednesday, March 26, 14
Wednesday, March 26, 14
Wednesday, March 26, 14
Wednesday, March 26, 14
Wednesday, March 26, 14
Wednesday, March 26, 14
Wednesday, March 26, 14
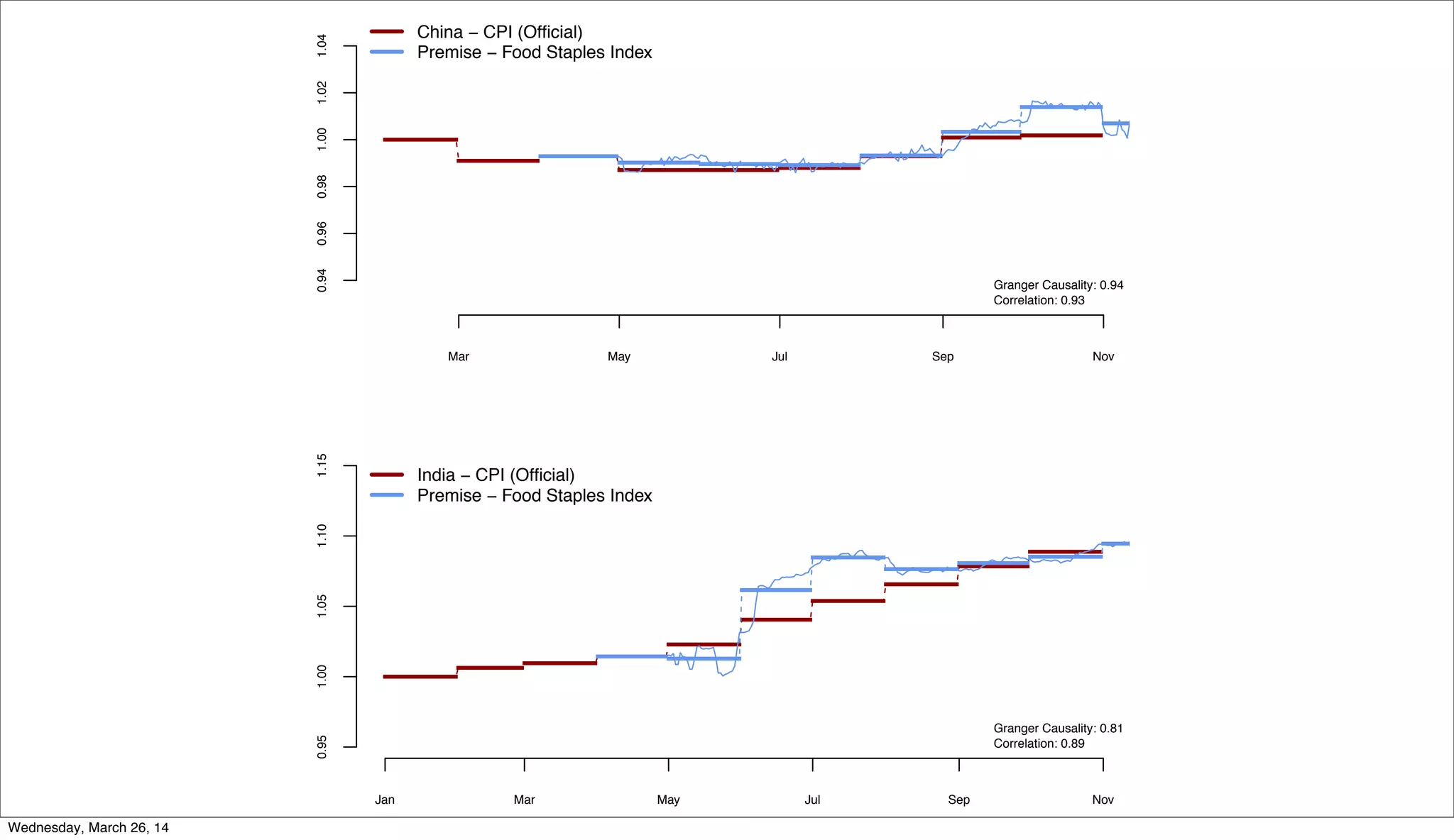
Mar May Jul Sep Nov
0.940.960.981.001.021.04
China − CPI (Official)
Premise − Food Staples Index
Granger Causality: 0.94
Correlation: 0.93
Jan Mar May Jul Sep Nov
0.951.001.051.101.15
India − CPI (Official)
Premise − Food Staples Index
Granger Causality: 0.81
Correlation: 0.89
Wednesday, March 26, 14
Wednesday, March 26, 14
Wednesday, March 26, 14
there are too many strata to measure everything
Wednesday, March 26, 14
“You need to focus on quality. You’ll be better off
with a small but carefully structured sample rather
than a large sloppy sample.”
— Hal Varian
Wednesday, March 26, 14
Wednesday, March 26, 14
Wednesday, March 26, 14
Wednesday, March 26, 14
Wednesday, March 26, 14
@premisedata
Wednesday, March 26, 14
Wednesday, March 26, 14
Wednesday, March 26, 14

Structure Data 2014: HOW MICRODATA CAN SAY A LOT ABOUT MACROECONOMICS, David Soloff