Sorting
Introduction
• Common problem: sort a list of values, starting from
lowest to highest.
– List of exam scores
– Words of dictionary in alphabetical order
– Students names listed alphabetically
– Student records sorted by ID#
• Generally, we are given a list of records that have
keys. These keys are used to define an ordering of
the items in the list.
C++ Implementation of Sorting
• Use C++ templates to implement a generic sorting
function.
• This would allow use of the same function to sort
items of any class.
• However, class to be sorted must provide the
following overloaded operators:
– Assignment: =
– Ordering: >, <, ==
• Example class: C++ STL string class
• In this lecture, we’ll talk about sorting integers;
however, the algorithms are general and can be
applied to any class as described above.
Quadratic Sorting Algorithms
• We are given n records to sort.
• There are a number of simple sorting
algorithms whose worst and average case
performance is quadratic O(n2
):
– Selection sort
– Insertion sort
– Bubble sort
Sorting an Array of Integers
• Example: we
are given an
array of six
integers that
we want to
sort from
smallest to
largest
0
10
20
30
40
50
60
70
[1] [2] [3] [4] [5] [6][0] [1] [2] [3] [4]
[5]
0
10
20
30
40
50
60
70
[1] [2] [3] [4] [5] [6]
The Selection Sort Algorithm
• Start by
finding the
smallest
entry.
[0] [1] [2] [3] [4]
[5]
0
10
20
30
40
50
60
70
[1] [2] [3] [4] [5] [6]
The Selection Sort Algorithm
• Swap the
smallest
entry with
the first
entry.
[0] [1] [2] [3] [4]
[5]
0
10
20
30
40
50
60
70
[1] [2] [3] [4] [5] [6]
The Selection Sort Algorithm
• Swap the
smallest
entry with
the first
entry.
[0] [1] [2] [3] [4]
[5]
0
10
20
30
40
50
60
70
[1] [2] [3] [4] [5] [6]
The Selection Sort Algorithm
• Part of the
array is now
sorted.
Sorted side Unsorted side
[0] [1] [2] [3] [4]
[5]
The Selection Sort Algorithm
• Find the
smallest
element in
the unsorted
side.
Sorted side Unsorted side
[0] [1] [2] [3] [4]
[5]
The Selection Sort Algorithm
• Swap with
the front of
the unsorted
side.
Sorted side Unsorted side
[0] [1] [2] [3] [4]
[5]
The Selection Sort Algorithm
• We have
increased
the size of
the sorted
side by one
element.
Sorted side Unsorted side
[0] [1] [2] [3] [4]
[5]
The Selection Sort Algorithm
• The process
continues...
Sorted side Unsorted side
Smallest
from
unsorted
Smallest
from
unsorted
[0] [1] [2] [3] [4]
[5]
The Selection Sort Algorithm
• The process
continues...
Sorted side Unsorted side
[0] [1] [2] [3] [4]
[5]
Swap
with
front
Swap
with
front
The Selection Sort Algorithm
• The process
continues...
Sorted side Unsorted side
Sorted side
is bigger
Sorted side
is bigger
[0] [1] [2] [3] [4]
[5]
The Selection Sort Algorithm
• The process
keeps adding
one more
number to the
sorted side.
• The sorted side
has the smallest
numbers,
arranged from
small to large.
Sorted side Unsorted side
[0] [1] [2] [3] [4]
[5]
The Selection Sort Algorithm
• We can stop
when the
unsorted side
has just one
number, since
that number
must be the
largest number.
[0] [1] [2] [3] [4]
[5]
Sorted side Unsorted sid
The Selection Sort Algorithm
• The array is now
sorted.
• We repeatedly
selected the
smallest
element, and
moved this
element to the
front of the
unsorted side. [0] [1] [2] [3] [4]
[5]
template <class Item>
void selection_sort(Item data[ ], size_t n)
{
size_t i, j, smallest;
Item temp;
if(n < 2) return; // nothing to sort!!
for(i = 0; i < n-1 ; ++i)
{
// find smallest in unsorted part of array
smallest = i;
for(j = i+1; j < n; ++j)
if(data[smallest] > data[j]) smallest = j;
// put it at front of unsorted part of array (swap)
temp = data[i];
data[i] = data[smallest];
data[smallest] = temp;
}
}
Selection Time Sort Analysis
• In O-notation, what is:
– Worst case running time for n items?
– Average case running time for n items?
• Steps of algorithm:
for i = 1 to n-1
find smallest key in unsorted part of array
swap smallest item to front of unsorted array
decrease size of unsorted array by 1
Selection Time Sort Analysis
• In O-notation, what is:
– Worst case running time for n items?
– Average case running time for n items?
• Steps of algorithm:
for i = 1 to n-1 O(n)
find smallest key in unsorted part of array O(n)
swap smallest item to front of unsorted array
decrease size of unsorted array by 1
• Selection sort analysis: O(n2
)
template <class Item>
void selection_sort(Item data[ ], size_t n)
{
size_t i, j, smallest;
Item temp;
if(n < 2) return; // nothing to sort!!
for(i = 0; i < n-1 ; ++i)
{
// find smallest in unsorted part of array
smallest = i;
for(j = i+1; j < n; ++j)
if(data[smallest] > data[j]) smallest = j;
// put it at front of unsorted part of array (swap)
temp = data[i];
data[i] = data[smallest];
data[smallest] = temp;
}
}
Outer loop:
O(n)
template <class Item>
void selection_sort(Item data[ ], size_t n)
{
size_t i, j, smallest;
Item temp;
if(n < 2) return; // nothing to sort!!
for(i = 0; i < n-1 ; ++i)
{
// find smallest in unsorted part of array
smallest = i;
for(j = i+1; j < n; ++j)
if(data[smallest] > data[j]) smallest = j;
// put it at front of unsorted part of array (swap)
temp = data[i];
data[i] = data[smallest];
data[smallest] = temp;
}
}
Outer loop:
O(n)
Inner loop:
O(n)
0
10
20
30
40
50
60
70
[1] [2] [3] [4] [5] [6]
The Insertion Sort Algorithm
• The Insertion
Sort algorithm
also views the
array as having
a sorted side
and an
unsorted side.
[0] [1] [2] [3] [4]
[5]
0
10
20
30
40
50
60
70
[1] [2] [3] [4] [5] [6]
The Insertion Sort Algorithm
• The sorted
side starts
with just the
first
element,
which is not
necessarily
the smallest
element. [0] [1] [2] [3] [4]
[5]
Sorted side Unsorted side
0
10
20
30
40
50
60
70
[1] [2] [3] [4] [5] [6]
The Insertion Sort Algorithm
• The sorted
side grows
by taking
the front
element
from the
unsorted
side...
[0] [1] [2] [3] [4]
[5]
Sorted side Unsorted side
0
10
20
30
40
50
60
70
[1] [2] [3] [4] [5] [6]
The Insertion Sort Algorithm
• ...and
inserting it
in the place
that keeps
the sorted
side
arranged
from small
to large. [0] [1] [2] [3] [4]
[5]
Sorted side Unsorted side
0
10
20
30
40
50
60
70
[1] [2] [3] [4] [5] [6]
The Insertion Sort Algorithm
[0] [1] [2] [3] [4]
[5]
Sorted side Unsorted side
0
10
20
30
40
50
60
70
[1] [2] [3] [4] [5] [6]
The Insertion Sort Algorithm
• Sometimes
we are lucky
and the new
inserted
item doesn't
need to
move at all.
[0] [1] [2] [3] [4]
[5]
Sorted side Unsorted side
0
10
20
30
40
50
60
70
[1] [2] [3] [4] [5] [6]
The Insertionsort Algorithm
• Sometimes
we are lucky
twice in a
row.
[0] [1] [2] [3] [4]
[5]
Sorted side Unsorted side
0
10
20
30
40
50
60
70
[1] [2] [3] [4] [5] [6]
How to Insert One Element
Copy the
new
element to a
separate
location.
[0] [1] [2] [3] [4]
[5]
Sorted side Unsorted side
0
10
20
30
40
50
60
70
[1] [2] [3] [4] [5] [6]
How to Insert One Element
Shift
elements in
the sorted
side,
creating an
open space
for the new
element.
[0] [1] [2] [3] [4]
[5]
0
10
20
30
40
50
60
70
[1] [2] [3] [4] [5] [6]
How to Insert One Element
Shift
elements in
the sorted
side,
creating an
open space
for the new
element.
[0] [1] [2] [3] [4]
[5]
0
10
20
30
40
50
60
70
[1] [2] [3] [4] [5] [6]
How to Insert One Element
Continue
shifting
elements...
[0] [1] [2] [3] [4]
[5]
0
10
20
30
40
50
60
70
[1] [2] [3] [4] [5] [6]
How to Insert One Element
Continue
shifting
elements...
[0] [1] [2] [3] [4]
[5]
0
10
20
30
40
50
60
70
[1] [2] [3] [4] [5] [6]
How to Insert One Element
...until you
reach the
location for
the new
element.
[0] [1] [2] [3] [4]
[5]
0
10
20
30
40
50
60
70
[1] [2] [3] [4] [5] [6]
How to Insert One Element
Copy the
new
element
back into the
array, at the
correct
location.
[0] [1] [2] [3] [4]
[5]
Sorted side Unsorted sid
How to Insert One Element
• The last
element
must also
be inserted.
Start by
copying it...
[0] [1] [2] [3] [4]
[5]
Sorted side Unsorted sid
Sorted Result
[0] [1] [2] [3] [4]
[5]
template <class Item>
void insertion_sort(Item data[ ], size_t n)
{
size_t i, j;
Item temp;
if(n < 2) return; // nothing to sort!!
for(i = 1; i < n; ++i)
{
// take next item at front of unsorted part of array
// and insert it in appropriate location in sorted part of array
temp = data[i];
for(j = i; data[j-1] > temp and j > 0; --j)
data[j] = data[j-1]; // shift element forward
data[j] = temp;
}
}
Insertion Sort Time Analysis
• In O-notation, what is:
– Worst case running time for n items?
– Average case running time for n items?
• Steps of algorithm:
for i = 1 to n-1
take next key from unsorted part of array
insert in appropriate location in sorted part of array:
for j = i down to 0,
shift sorted elements to the right if key > key[i]
increase size of sorted array by 1
Insertion Sort Time Analysis
• In O-notation, what is:
– Worst case running time for n items?
– Average case running time for n items?
• Steps of algorithm:
for i = 1 to n-1
take next key from unsorted part of array
insert in appropriate location in sorted part of array:
for j = i down to 0,
shift sorted elements to the right if key > key[i]
increase size of sorted array by 1
Outer loop:
O(n)
Insertion Sort Time Analysis
• In O-notation, what is:
– Worst case running time for n items?
– Average case running time for n items?
• Steps of algorithm:
for i = 1 to n-1
take next key from unsorted part of array
insert in appropriate location in sorted part of array:
for j = i down to 0,
shift sorted elements to the right if key > key[i]
increase size of sorted array by 1
Outer loop:
O(n)
Inner loop:
O(n)
template <class Item>
void insertion_sort(Item data[ ], size_t n)
{
size_t i, j;
Item temp;
if(n < 2) return; // nothing to sort!!
for(i = 1; i < n; ++i)
{
// take next item at front of unsorted part of array
// and insert it in appropriate location in sorted part of array
temp = data[i];
for(j = i; data[j-1] > temp and j > 0; --j)
data[j] = data[j-1]; // shift element forward
data[j] = temp;
}
}
O(n)
O(n)
0
10
20
30
40
50
60
70
[1] [2] [3] [4] [5] [6]
The Bubble Sort Algorithm
• The Bubble
Sort algorithm
looks at pairs
of entries in
the array, and
swaps their
order if
needed.
[0] [1] [2] [3] [4]
[5]
0
10
20
30
40
50
60
70
[1] [2] [3] [4] [5] [6]
The Bubble Sort Algorithm
• The Bubble
Sort algorithm
looks at pairs
of entries in
the array, and
swaps their
order if
needed.
[0] [1] [2] [3] [4]
[5]
Swap?
0
10
20
30
40
50
60
70
[1] [2] [3] [4] [5] [6]
The Bubble Sort Algorithm
• The Bubble
Sort algorithm
looks at pairs
of entries in
the array, and
swaps their
order if
needed.
[0] [1] [2] [3] [4]
[5]
Yes!
0
10
20
30
40
50
60
70
[1] [2] [3] [4] [5] [6]
The Bubble Sort Algorithm
• The Bubble
Sort algorithm
looks at pairs
of entries in
the array, and
swaps their
order if
needed.
[0] [1] [2] [3] [4]
[5]
Swap?
0
10
20
30
40
50
60
70
[1] [2] [3] [4] [5] [6]
The Bubble Sort Algorithm
• The Bubble
Sort algorithm
looks at pairs
of entries in
the array, and
swaps their
order if
needed.
[0] [1] [2] [3] [4]
[5]
No.
0
10
20
30
40
50
60
70
[1] [2] [3] [4] [5] [6]
The Bubble Sort Algorithm
• The Bubble
Sort algorithm
looks at pairs
of entries in
the array, and
swaps their
order if
needed.
[0] [1] [2] [3] [4]
[5]
Swap?
0
10
20
30
40
50
60
70
[1] [2] [3] [4] [5] [6]
The Bubble Sort Algorithm
• The Bubble
Sort algorithm
looks at pairs
of entries in
the array, and
swaps their
order if
needed.
[0] [1] [2] [3] [4]
[5]
No.
0
10
20
30
40
50
60
70
[1] [2] [3] [4] [5] [6]
The Bubble Sort Algorithm
• The Bubble
Sort algorithm
looks at pairs
of entries in
the array, and
swaps their
order if
needed.
[0] [1] [2] [3] [4]
[5]
Swap?
0
10
20
30
40
50
60
70
[1] [2] [3] [4] [5] [6]
The Bubble Sort Algorithm
• The Bubble
Sort algorithm
looks at pairs
of entries in
the array, and
swaps their
order if
needed.
[0] [1] [2] [3] [4]
[5]
Yes!
0
10
20
30
40
50
60
70
[1] [2] [3] [4] [5] [6]
The Bubble Sort Algorithm
• The Bubble
Sort algorithm
looks at pairs
of entries in
the array, and
swaps their
order if
needed.
[0] [1] [2] [3] [4]
[5]
Swap?
0
10
20
30
40
50
60
70
[1] [2] [3] [4] [5] [6]
The Bubble Sort Algorithm
• The Bubble
Sort algorithm
looks at pairs
of entries in
the array, and
swaps their
order if
needed.
[0] [1] [2] [3] [4]
[5]
Yes!
0
10
20
30
40
50
60
70
[1] [2] [3] [4] [5] [6]
The Bubble Sort Algorithm
• Repeat.
[0] [1] [2] [3] [4]
[5]
Swap? No.
0
10
20
30
40
50
60
70
[1] [2] [3] [4] [5] [6]
The Bubble Sort Algorithm
• Repeat.
[0] [1] [2] [3] [4]
[5]
Swap? No.
0
10
20
30
40
50
60
70
[1] [2] [3] [4] [5] [6]
The Bubble Sort Algorithm
• Repeat.
[0] [1] [2] [3] [4]
[5]
Swap? Yes.
0
10
20
30
40
50
60
70
[1] [2] [3] [4] [5] [6]
The Bubble Sort Algorithm
• Repeat.
[0] [1] [2] [3] [4]
[5]
Swap? Yes.
0
10
20
30
40
50
60
70
[1] [2] [3] [4] [5] [6]
The Bubble Sort Algorithm
• Repeat.
[0] [1] [2] [3] [4]
[5]
Swap? Yes.
0
10
20
30
40
50
60
70
[1] [2] [3] [4] [5] [6]
The Bubble Sort Algorithm
• Repeat.
[0] [1] [2] [3] [4]
[5]
Swap? Yes.
0
10
20
30
40
50
60
70
[1] [2] [3] [4] [5] [6]
The Bubble Sort Algorithm
• Repeat.
[0] [1] [2] [3] [4]
[5]
Swap? No.
0
10
20
30
40
50
60
70
[1] [2] [3] [4] [5] [6]
The Bubble Sort Algorithm
• Loop over
array n-1
times,
swapping pairs
of entries as
needed.
[0] [1] [2] [3] [4]
[5]
Swap? No.
0
10
20
30
40
50
60
70
[1] [2] [3] [4] [5] [6]
The Bubble Sort Algorithm
• Loop over
array n-1
times,
swapping pairs
of entries as
needed.
[0] [1] [2] [3] [4]
[5]
Swap? Yes.
0
10
20
30
40
50
60
70
[1] [2] [3] [4] [5] [6]
The Bubble Sort Algorithm
• Loop over
array n-1
times,
swapping pairs
of entries as
needed.
[0] [1] [2] [3] [4]
[5]
Swap? Yes.
0
10
20
30
40
50
60
70
[1] [2] [3] [4] [5] [6]
The Bubble Sort Algorithm
• Loop over
array n-1
times,
swapping pairs
of entries as
needed.
[0] [1] [2] [3] [4]
[5]
Swap? Yes.
0
10
20
30
40
50
60
70
[1] [2] [3] [4] [5] [6]
The Bubble Sort Algorithm
• Loop over
array n-1
times,
swapping pairs
of entries as
needed.
[0] [1] [2] [3] [4]
[5]
Swap? Yes.
0
10
20
30
40
50
60
70
[1] [2] [3] [4] [5] [6]
The Bubble Sort Algorithm
• Loop over
array n-1
times,
swapping pairs
of entries as
needed.
[0] [1] [2] [3] [4]
[5]
Swap? No.
0
10
20
30
40
50
60
70
[1] [2] [3] [4] [5] [6]
The Bubble Sort Algorithm
• Loop over
array n-1
times,
swapping pairs
of entries as
needed.
[0] [1] [2] [3] [4]
[5]
Swap? No.
0
10
20
30
40
50
60
70
[1] [2] [3] [4] [5] [6]
The Bubble Sort Algorithm
• Continue
looping, until
done.
[0] [1] [2] [3] [4]
[5]
Swap? Yes.
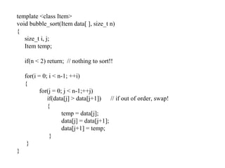
template <class Item>
void bubble_sort(Item data[ ], size_t n)
{
size_t i, j;
Item temp;
if(n < 2) return; // nothing to sort!!
for(i = 0; i < n-1; ++i)
{
for(j = 0; j < n-1;++j)
if(data[j] > data[j+1]) // if out of order, swap!
{
temp = data[j];
data[j] = data[j+1];
data[j+1] = temp;
}
}
}
template <class Item>
void bubble_sort(Item data[ ], size_t n)
{
size_t i, j;
Item temp;
bool swapped = true;
if(n < 2) return; // nothing to sort!!
for(i = 0; swapped and i < n-1; ++i)
{ // if no elements swapped in an iteration,
// then elements are in order: done!
for(swapped = false, j = 0; j < n-1;++j)
if(data[j] > data[j+1]) // if out of order, swap!
{
temp = data[j];
data[j] = data[j+1];
data[j+1] = temp;
swapped = true;
}
}
}
Bubble Sort Time Analysis
• In O-notation, what is:
– Worst case running time for n items?
– Average case running time for n items?
• Steps of algorithm:
for i = 0 to n-1
for j =0 to n-2
if key[j] > key[j+1] then swap
if no elements swapped in this pass through array, done.
otherwise, continue
Bubble Sort Time Analysis
• In O-notation, what is:
– Worst case running time for n items?
– Average case running time for n items?
• Steps of algorithm:
for i = 0 to n-1
for j =0 to n-2
if key[j] > key[j+1] then swap
if no elements swapped in this pass through array, done.
otherwise, continue
O(n)
O(n)
Timing and Other Issues
• Selection Sort, Insertion Sort, and Bubble Sort all have
a worst-case time of O(n2
), making them impractical for
large arrays.
• But they are easy to program, easy to debug.
• Insertion Sort also has good performance when the
array is nearly sorted to begin with.
• But more sophisticated sorting algorithms are needed
when good performance is needed in all cases for large
arrays.
• Other sorting: Merge Sort, Quick Sort, and Radix Sort.

Sorting

  • 1.
  • 2.
    Introduction • Common problem:sort a list of values, starting from lowest to highest. – List of exam scores – Words of dictionary in alphabetical order – Students names listed alphabetically – Student records sorted by ID# • Generally, we are given a list of records that have keys. These keys are used to define an ordering of the items in the list.
  • 3.
    C++ Implementation ofSorting • Use C++ templates to implement a generic sorting function. • This would allow use of the same function to sort items of any class. • However, class to be sorted must provide the following overloaded operators: – Assignment: = – Ordering: >, <, == • Example class: C++ STL string class • In this lecture, we’ll talk about sorting integers; however, the algorithms are general and can be applied to any class as described above.
  • 4.
    Quadratic Sorting Algorithms •We are given n records to sort. • There are a number of simple sorting algorithms whose worst and average case performance is quadratic O(n2 ): – Selection sort – Insertion sort – Bubble sort
  • 5.
    Sorting an Arrayof Integers • Example: we are given an array of six integers that we want to sort from smallest to largest 0 10 20 30 40 50 60 70 [1] [2] [3] [4] [5] [6][0] [1] [2] [3] [4] [5]
  • 6.
    0 10 20 30 40 50 60 70 [1] [2] [3][4] [5] [6] The Selection Sort Algorithm • Start by finding the smallest entry. [0] [1] [2] [3] [4] [5]
  • 7.
    0 10 20 30 40 50 60 70 [1] [2] [3][4] [5] [6] The Selection Sort Algorithm • Swap the smallest entry with the first entry. [0] [1] [2] [3] [4] [5]
  • 8.
    0 10 20 30 40 50 60 70 [1] [2] [3][4] [5] [6] The Selection Sort Algorithm • Swap the smallest entry with the first entry. [0] [1] [2] [3] [4] [5]
  • 9.
    0 10 20 30 40 50 60 70 [1] [2] [3][4] [5] [6] The Selection Sort Algorithm • Part of the array is now sorted. Sorted side Unsorted side [0] [1] [2] [3] [4] [5]
  • 10.
    The Selection SortAlgorithm • Find the smallest element in the unsorted side. Sorted side Unsorted side [0] [1] [2] [3] [4] [5]
  • 11.
    The Selection SortAlgorithm • Swap with the front of the unsorted side. Sorted side Unsorted side [0] [1] [2] [3] [4] [5]
  • 12.
    The Selection SortAlgorithm • We have increased the size of the sorted side by one element. Sorted side Unsorted side [0] [1] [2] [3] [4] [5]
  • 13.
    The Selection SortAlgorithm • The process continues... Sorted side Unsorted side Smallest from unsorted Smallest from unsorted [0] [1] [2] [3] [4] [5]
  • 14.
    The Selection SortAlgorithm • The process continues... Sorted side Unsorted side [0] [1] [2] [3] [4] [5] Swap with front Swap with front
  • 15.
    The Selection SortAlgorithm • The process continues... Sorted side Unsorted side Sorted side is bigger Sorted side is bigger [0] [1] [2] [3] [4] [5]
  • 16.
    The Selection SortAlgorithm • The process keeps adding one more number to the sorted side. • The sorted side has the smallest numbers, arranged from small to large. Sorted side Unsorted side [0] [1] [2] [3] [4] [5]
  • 17.
    The Selection SortAlgorithm • We can stop when the unsorted side has just one number, since that number must be the largest number. [0] [1] [2] [3] [4] [5] Sorted side Unsorted sid
  • 18.
    The Selection SortAlgorithm • The array is now sorted. • We repeatedly selected the smallest element, and moved this element to the front of the unsorted side. [0] [1] [2] [3] [4] [5]
  • 19.
    template <class Item> voidselection_sort(Item data[ ], size_t n) { size_t i, j, smallest; Item temp; if(n < 2) return; // nothing to sort!! for(i = 0; i < n-1 ; ++i) { // find smallest in unsorted part of array smallest = i; for(j = i+1; j < n; ++j) if(data[smallest] > data[j]) smallest = j; // put it at front of unsorted part of array (swap) temp = data[i]; data[i] = data[smallest]; data[smallest] = temp; } }
  • 20.
    Selection Time SortAnalysis • In O-notation, what is: – Worst case running time for n items? – Average case running time for n items? • Steps of algorithm: for i = 1 to n-1 find smallest key in unsorted part of array swap smallest item to front of unsorted array decrease size of unsorted array by 1
  • 21.
    Selection Time SortAnalysis • In O-notation, what is: – Worst case running time for n items? – Average case running time for n items? • Steps of algorithm: for i = 1 to n-1 O(n) find smallest key in unsorted part of array O(n) swap smallest item to front of unsorted array decrease size of unsorted array by 1 • Selection sort analysis: O(n2 )
  • 22.
    template <class Item> voidselection_sort(Item data[ ], size_t n) { size_t i, j, smallest; Item temp; if(n < 2) return; // nothing to sort!! for(i = 0; i < n-1 ; ++i) { // find smallest in unsorted part of array smallest = i; for(j = i+1; j < n; ++j) if(data[smallest] > data[j]) smallest = j; // put it at front of unsorted part of array (swap) temp = data[i]; data[i] = data[smallest]; data[smallest] = temp; } } Outer loop: O(n)
  • 23.
    template <class Item> voidselection_sort(Item data[ ], size_t n) { size_t i, j, smallest; Item temp; if(n < 2) return; // nothing to sort!! for(i = 0; i < n-1 ; ++i) { // find smallest in unsorted part of array smallest = i; for(j = i+1; j < n; ++j) if(data[smallest] > data[j]) smallest = j; // put it at front of unsorted part of array (swap) temp = data[i]; data[i] = data[smallest]; data[smallest] = temp; } } Outer loop: O(n) Inner loop: O(n)
  • 24.
    0 10 20 30 40 50 60 70 [1] [2] [3][4] [5] [6] The Insertion Sort Algorithm • The Insertion Sort algorithm also views the array as having a sorted side and an unsorted side. [0] [1] [2] [3] [4] [5]
  • 25.
    0 10 20 30 40 50 60 70 [1] [2] [3][4] [5] [6] The Insertion Sort Algorithm • The sorted side starts with just the first element, which is not necessarily the smallest element. [0] [1] [2] [3] [4] [5] Sorted side Unsorted side
  • 26.
    0 10 20 30 40 50 60 70 [1] [2] [3][4] [5] [6] The Insertion Sort Algorithm • The sorted side grows by taking the front element from the unsorted side... [0] [1] [2] [3] [4] [5] Sorted side Unsorted side
  • 27.
    0 10 20 30 40 50 60 70 [1] [2] [3][4] [5] [6] The Insertion Sort Algorithm • ...and inserting it in the place that keeps the sorted side arranged from small to large. [0] [1] [2] [3] [4] [5] Sorted side Unsorted side
  • 28.
    0 10 20 30 40 50 60 70 [1] [2] [3][4] [5] [6] The Insertion Sort Algorithm [0] [1] [2] [3] [4] [5] Sorted side Unsorted side
  • 29.
    0 10 20 30 40 50 60 70 [1] [2] [3][4] [5] [6] The Insertion Sort Algorithm • Sometimes we are lucky and the new inserted item doesn't need to move at all. [0] [1] [2] [3] [4] [5] Sorted side Unsorted side
  • 30.
    0 10 20 30 40 50 60 70 [1] [2] [3][4] [5] [6] The Insertionsort Algorithm • Sometimes we are lucky twice in a row. [0] [1] [2] [3] [4] [5] Sorted side Unsorted side
  • 31.
    0 10 20 30 40 50 60 70 [1] [2] [3][4] [5] [6] How to Insert One Element Copy the new element to a separate location. [0] [1] [2] [3] [4] [5] Sorted side Unsorted side
  • 32.
    0 10 20 30 40 50 60 70 [1] [2] [3][4] [5] [6] How to Insert One Element Shift elements in the sorted side, creating an open space for the new element. [0] [1] [2] [3] [4] [5]
  • 33.
    0 10 20 30 40 50 60 70 [1] [2] [3][4] [5] [6] How to Insert One Element Shift elements in the sorted side, creating an open space for the new element. [0] [1] [2] [3] [4] [5]
  • 34.
    0 10 20 30 40 50 60 70 [1] [2] [3][4] [5] [6] How to Insert One Element Continue shifting elements... [0] [1] [2] [3] [4] [5]
  • 35.
    0 10 20 30 40 50 60 70 [1] [2] [3][4] [5] [6] How to Insert One Element Continue shifting elements... [0] [1] [2] [3] [4] [5]
  • 36.
    0 10 20 30 40 50 60 70 [1] [2] [3][4] [5] [6] How to Insert One Element ...until you reach the location for the new element. [0] [1] [2] [3] [4] [5]
  • 37.
    0 10 20 30 40 50 60 70 [1] [2] [3][4] [5] [6] How to Insert One Element Copy the new element back into the array, at the correct location. [0] [1] [2] [3] [4] [5] Sorted side Unsorted sid
  • 38.
    How to InsertOne Element • The last element must also be inserted. Start by copying it... [0] [1] [2] [3] [4] [5] Sorted side Unsorted sid
  • 39.
    Sorted Result [0] [1][2] [3] [4] [5]
  • 40.
    template <class Item> voidinsertion_sort(Item data[ ], size_t n) { size_t i, j; Item temp; if(n < 2) return; // nothing to sort!! for(i = 1; i < n; ++i) { // take next item at front of unsorted part of array // and insert it in appropriate location in sorted part of array temp = data[i]; for(j = i; data[j-1] > temp and j > 0; --j) data[j] = data[j-1]; // shift element forward data[j] = temp; } }
  • 41.
    Insertion Sort TimeAnalysis • In O-notation, what is: – Worst case running time for n items? – Average case running time for n items? • Steps of algorithm: for i = 1 to n-1 take next key from unsorted part of array insert in appropriate location in sorted part of array: for j = i down to 0, shift sorted elements to the right if key > key[i] increase size of sorted array by 1
  • 42.
    Insertion Sort TimeAnalysis • In O-notation, what is: – Worst case running time for n items? – Average case running time for n items? • Steps of algorithm: for i = 1 to n-1 take next key from unsorted part of array insert in appropriate location in sorted part of array: for j = i down to 0, shift sorted elements to the right if key > key[i] increase size of sorted array by 1 Outer loop: O(n)
  • 43.
    Insertion Sort TimeAnalysis • In O-notation, what is: – Worst case running time for n items? – Average case running time for n items? • Steps of algorithm: for i = 1 to n-1 take next key from unsorted part of array insert in appropriate location in sorted part of array: for j = i down to 0, shift sorted elements to the right if key > key[i] increase size of sorted array by 1 Outer loop: O(n) Inner loop: O(n)
  • 44.
    template <class Item> voidinsertion_sort(Item data[ ], size_t n) { size_t i, j; Item temp; if(n < 2) return; // nothing to sort!! for(i = 1; i < n; ++i) { // take next item at front of unsorted part of array // and insert it in appropriate location in sorted part of array temp = data[i]; for(j = i; data[j-1] > temp and j > 0; --j) data[j] = data[j-1]; // shift element forward data[j] = temp; } } O(n) O(n)
  • 45.
    0 10 20 30 40 50 60 70 [1] [2] [3][4] [5] [6] The Bubble Sort Algorithm • The Bubble Sort algorithm looks at pairs of entries in the array, and swaps their order if needed. [0] [1] [2] [3] [4] [5]
  • 46.
    0 10 20 30 40 50 60 70 [1] [2] [3][4] [5] [6] The Bubble Sort Algorithm • The Bubble Sort algorithm looks at pairs of entries in the array, and swaps their order if needed. [0] [1] [2] [3] [4] [5] Swap?
  • 47.
    0 10 20 30 40 50 60 70 [1] [2] [3][4] [5] [6] The Bubble Sort Algorithm • The Bubble Sort algorithm looks at pairs of entries in the array, and swaps their order if needed. [0] [1] [2] [3] [4] [5] Yes!
  • 48.
    0 10 20 30 40 50 60 70 [1] [2] [3][4] [5] [6] The Bubble Sort Algorithm • The Bubble Sort algorithm looks at pairs of entries in the array, and swaps their order if needed. [0] [1] [2] [3] [4] [5] Swap?
  • 49.
    0 10 20 30 40 50 60 70 [1] [2] [3][4] [5] [6] The Bubble Sort Algorithm • The Bubble Sort algorithm looks at pairs of entries in the array, and swaps their order if needed. [0] [1] [2] [3] [4] [5] No.
  • 50.
    0 10 20 30 40 50 60 70 [1] [2] [3][4] [5] [6] The Bubble Sort Algorithm • The Bubble Sort algorithm looks at pairs of entries in the array, and swaps their order if needed. [0] [1] [2] [3] [4] [5] Swap?
  • 51.
    0 10 20 30 40 50 60 70 [1] [2] [3][4] [5] [6] The Bubble Sort Algorithm • The Bubble Sort algorithm looks at pairs of entries in the array, and swaps their order if needed. [0] [1] [2] [3] [4] [5] No.
  • 52.
    0 10 20 30 40 50 60 70 [1] [2] [3][4] [5] [6] The Bubble Sort Algorithm • The Bubble Sort algorithm looks at pairs of entries in the array, and swaps their order if needed. [0] [1] [2] [3] [4] [5] Swap?
  • 53.
    0 10 20 30 40 50 60 70 [1] [2] [3][4] [5] [6] The Bubble Sort Algorithm • The Bubble Sort algorithm looks at pairs of entries in the array, and swaps their order if needed. [0] [1] [2] [3] [4] [5] Yes!
  • 54.
    0 10 20 30 40 50 60 70 [1] [2] [3][4] [5] [6] The Bubble Sort Algorithm • The Bubble Sort algorithm looks at pairs of entries in the array, and swaps their order if needed. [0] [1] [2] [3] [4] [5] Swap?
  • 55.
    0 10 20 30 40 50 60 70 [1] [2] [3][4] [5] [6] The Bubble Sort Algorithm • The Bubble Sort algorithm looks at pairs of entries in the array, and swaps their order if needed. [0] [1] [2] [3] [4] [5] Yes!
  • 56.
    0 10 20 30 40 50 60 70 [1] [2] [3][4] [5] [6] The Bubble Sort Algorithm • Repeat. [0] [1] [2] [3] [4] [5] Swap? No.
  • 57.
    0 10 20 30 40 50 60 70 [1] [2] [3][4] [5] [6] The Bubble Sort Algorithm • Repeat. [0] [1] [2] [3] [4] [5] Swap? No.
  • 58.
    0 10 20 30 40 50 60 70 [1] [2] [3][4] [5] [6] The Bubble Sort Algorithm • Repeat. [0] [1] [2] [3] [4] [5] Swap? Yes.
  • 59.
    0 10 20 30 40 50 60 70 [1] [2] [3][4] [5] [6] The Bubble Sort Algorithm • Repeat. [0] [1] [2] [3] [4] [5] Swap? Yes.
  • 60.
    0 10 20 30 40 50 60 70 [1] [2] [3][4] [5] [6] The Bubble Sort Algorithm • Repeat. [0] [1] [2] [3] [4] [5] Swap? Yes.
  • 61.
    0 10 20 30 40 50 60 70 [1] [2] [3][4] [5] [6] The Bubble Sort Algorithm • Repeat. [0] [1] [2] [3] [4] [5] Swap? Yes.
  • 62.
    0 10 20 30 40 50 60 70 [1] [2] [3][4] [5] [6] The Bubble Sort Algorithm • Repeat. [0] [1] [2] [3] [4] [5] Swap? No.
  • 63.
    0 10 20 30 40 50 60 70 [1] [2] [3][4] [5] [6] The Bubble Sort Algorithm • Loop over array n-1 times, swapping pairs of entries as needed. [0] [1] [2] [3] [4] [5] Swap? No.
  • 64.
    0 10 20 30 40 50 60 70 [1] [2] [3][4] [5] [6] The Bubble Sort Algorithm • Loop over array n-1 times, swapping pairs of entries as needed. [0] [1] [2] [3] [4] [5] Swap? Yes.
  • 65.
    0 10 20 30 40 50 60 70 [1] [2] [3][4] [5] [6] The Bubble Sort Algorithm • Loop over array n-1 times, swapping pairs of entries as needed. [0] [1] [2] [3] [4] [5] Swap? Yes.
  • 66.
    0 10 20 30 40 50 60 70 [1] [2] [3][4] [5] [6] The Bubble Sort Algorithm • Loop over array n-1 times, swapping pairs of entries as needed. [0] [1] [2] [3] [4] [5] Swap? Yes.
  • 67.
    0 10 20 30 40 50 60 70 [1] [2] [3][4] [5] [6] The Bubble Sort Algorithm • Loop over array n-1 times, swapping pairs of entries as needed. [0] [1] [2] [3] [4] [5] Swap? Yes.
  • 68.
    0 10 20 30 40 50 60 70 [1] [2] [3][4] [5] [6] The Bubble Sort Algorithm • Loop over array n-1 times, swapping pairs of entries as needed. [0] [1] [2] [3] [4] [5] Swap? No.
  • 69.
    0 10 20 30 40 50 60 70 [1] [2] [3][4] [5] [6] The Bubble Sort Algorithm • Loop over array n-1 times, swapping pairs of entries as needed. [0] [1] [2] [3] [4] [5] Swap? No.
  • 70.
    0 10 20 30 40 50 60 70 [1] [2] [3][4] [5] [6] The Bubble Sort Algorithm • Continue looping, until done. [0] [1] [2] [3] [4] [5] Swap? Yes.
  • 71.
    template <class Item> voidbubble_sort(Item data[ ], size_t n) { size_t i, j; Item temp; if(n < 2) return; // nothing to sort!! for(i = 0; i < n-1; ++i) { for(j = 0; j < n-1;++j) if(data[j] > data[j+1]) // if out of order, swap! { temp = data[j]; data[j] = data[j+1]; data[j+1] = temp; } } }
  • 72.
    template <class Item> voidbubble_sort(Item data[ ], size_t n) { size_t i, j; Item temp; bool swapped = true; if(n < 2) return; // nothing to sort!! for(i = 0; swapped and i < n-1; ++i) { // if no elements swapped in an iteration, // then elements are in order: done! for(swapped = false, j = 0; j < n-1;++j) if(data[j] > data[j+1]) // if out of order, swap! { temp = data[j]; data[j] = data[j+1]; data[j+1] = temp; swapped = true; } } }
  • 73.
    Bubble Sort TimeAnalysis • In O-notation, what is: – Worst case running time for n items? – Average case running time for n items? • Steps of algorithm: for i = 0 to n-1 for j =0 to n-2 if key[j] > key[j+1] then swap if no elements swapped in this pass through array, done. otherwise, continue
  • 74.
    Bubble Sort TimeAnalysis • In O-notation, what is: – Worst case running time for n items? – Average case running time for n items? • Steps of algorithm: for i = 0 to n-1 for j =0 to n-2 if key[j] > key[j+1] then swap if no elements swapped in this pass through array, done. otherwise, continue O(n) O(n)
  • 75.
    Timing and OtherIssues • Selection Sort, Insertion Sort, and Bubble Sort all have a worst-case time of O(n2 ), making them impractical for large arrays. • But they are easy to program, easy to debug. • Insertion Sort also has good performance when the array is nearly sorted to begin with. • But more sophisticated sorting algorithms are needed when good performance is needed in all cases for large arrays. • Other sorting: Merge Sort, Quick Sort, and Radix Sort.

Editor's Notes

  • #6 The picture shows a graphical representation of an array which we will sort so that the smallest element ends up at the front, and the other elements increase to the largest at the end. The bar graph indicates the values which are in the array before sorting--for example the first element of the array contains the integer 45.
  • #7 The first sorting algorithm that we&amp;apos;ll examine is called Selectionsort. It begins by going through the entire array and finding the smallest element. In this example, the smallest element is the number 8 at location [4] of the array.
  • #8 Once we have found the smallest element, that element is swapped with the first element of the array...
  • #9 ...like this. The smallest element is now at the front of the array, and we have taken one small step toward producing a sorted array.
  • #10 At this point, we can view the array as being split into two sides: To the left of the dotted line is the &amp;quot;sorted side&amp;quot;, and to the right of the dotted line is the &amp;quot;unsorted side&amp;quot;. Our goal is to push the dotted line forward, increasing the number of elements in the sorted side, until the entire array is sorted.
  • #11 Each step of the Selectionsort works by finding the smallest element in the unsorted side. At this point, we would find the number 15 at location [5] in the unsorted side.
  • #12 This small element is swapped with the number at the front of the unsorted side, as shown here...
  • #13 ...and the effect is to increase the size of the sorted side by one element. As you can see, the sorted side always contains the smallest numbers, and those numbers are sorted from small to large. The unsorted side contains the rest of the numbers, and those numbers are in no particular order.
  • #14 Again, we find the smallest entry in the unsorted side...
  • #15 ...and swap this element with the front of the unsorted side.
  • #16 The sorted side now contains the three smallest elements of the array.
  • #17 Here is the array after increasing the sorted side to four elements.
  • #18 And now the sorted side has five elements. In fact, once the unsorted side is down to a single element, the sort is completed. At this point the 5 smallest elements are in the sorted side, and so the the one largest element is left in the unsorted side. We are done...
  • #19 ...The array is sorted. The basic algorithm is easy to state and also easy to program.
  • #25 Now we&amp;apos;ll look at another sorting method called Insertionsort. The end result will be the same: The array will be sorted from smallest to largest. But the sorting method is different. However, there are some common features. As with the Selectionsort, the Insertionsort algorithm also views the array as having a sorted side and an unsorted side, ...
  • #26 ...like this. However, in the Selectionsort, the sorted side always contained the smallest elements of the array. In the Insertionsort, the sorted side will be sorted from small to large, but the elements in the sorted side will not necessarily be the smallest entries of the array. Because the sorted side does not need to have the smallest entries, we can start by placing one element in the sorted side--we don&amp;apos;t need to worry about sorting just one element. But we do need to worry about how to increase the number of elements that are in the sorted side.
  • #27 The basic approach is to take the front element from the unsorted side...
  • #28 ...and insert this element at the correct spot of the sorted side. In this example, the front element of the unsorted side is 20. So the 20 must be inserted before the number 45 which is already in the sorted side.
  • #29 After the insertion, the sorted side contains two elements. These two elements are in order from small to large, although they are not the smallest elements in the array.
  • #30 Sometimes we are lucky and the newly inserted element is already in the right spot. This happens if the new element is larger than anything that&amp;apos;s already in the array.
  • #31 Sometimes we are lucky twice in a row.
  • #32 The actual insertion process requires a bit of work that is shown here. The first step of the insertion is to make a copy of the new element. Usually this copy is stored in a local variable. It just sits off to the side, ready for us to use whenever we need it.
  • #33 After we have safely made a copy of the new element, we start shifting elements from the end of the sorted side. These elements are shifted rightward, to create an &amp;quot;empty spot&amp;quot; for our new element to be placed. In this example we take the last element of the sorted side and shift it rightward one spot...
  • #34 ...like this. Is this the correct spot for the new element? No, because the new element is smaller than the next element in the sorted section. So we continue shifting elements rightward...
  • #35 This is still not the correct spot for our new element, so we shift again...
  • #36 ...and shift one more time...
  • #37 Finally, this is the correct location for the new element. In general there are two situations that indicate the &amp;quot;correct location&amp;quot; has been found: 1. We reach the front of the array (as happened here), or 2. We reached an element that is less than or equal to the new element.
  • #38 Once the correct spot is found, we copy the new element back into the array. The number of elements in the sorted side has increased by one.
  • #39 The last element of the array also needs to be inserted. Start by copying it to a safe location.
  • #40 The new element is inserted into the array.
  • #46 Now we&amp;apos;ll look at another sorting method called Insertionsort. The end result will be the same: The array will be sorted from smallest to largest. But the sorting method is different. However, there are some common features. As with the Selectionsort, the Insertionsort algorithm also views the array as having a sorted side and an unsorted side, ...
  • #47 Now we&amp;apos;ll look at another sorting method called Insertionsort. The end result will be the same: The array will be sorted from smallest to largest. But the sorting method is different. However, there are some common features. As with the Selectionsort, the Insertionsort algorithm also views the array as having a sorted side and an unsorted side, ...
  • #48 Now we&amp;apos;ll look at another sorting method called Insertionsort. The end result will be the same: The array will be sorted from smallest to largest. But the sorting method is different. However, there are some common features. As with the Selectionsort, the Insertionsort algorithm also views the array as having a sorted side and an unsorted side, ...
  • #49 Now we&amp;apos;ll look at another sorting method called Insertionsort. The end result will be the same: The array will be sorted from smallest to largest. But the sorting method is different. However, there are some common features. As with the Selectionsort, the Insertionsort algorithm also views the array as having a sorted side and an unsorted side, ...
  • #50 Now we&amp;apos;ll look at another sorting method called Insertionsort. The end result will be the same: The array will be sorted from smallest to largest. But the sorting method is different. However, there are some common features. As with the Selectionsort, the Insertionsort algorithm also views the array as having a sorted side and an unsorted side, ...
  • #51 Now we&amp;apos;ll look at another sorting method called Insertionsort. The end result will be the same: The array will be sorted from smallest to largest. But the sorting method is different. However, there are some common features. As with the Selectionsort, the Insertionsort algorithm also views the array as having a sorted side and an unsorted side, ...
  • #52 Now we&amp;apos;ll look at another sorting method called Insertionsort. The end result will be the same: The array will be sorted from smallest to largest. But the sorting method is different. However, there are some common features. As with the Selectionsort, the Insertionsort algorithm also views the array as having a sorted side and an unsorted side, ...
  • #53 Now we&amp;apos;ll look at another sorting method called Insertionsort. The end result will be the same: The array will be sorted from smallest to largest. But the sorting method is different. However, there are some common features. As with the Selectionsort, the Insertionsort algorithm also views the array as having a sorted side and an unsorted side, ...
  • #54 Now we&amp;apos;ll look at another sorting method called Insertionsort. The end result will be the same: The array will be sorted from smallest to largest. But the sorting method is different. However, there are some common features. As with the Selectionsort, the Insertionsort algorithm also views the array as having a sorted side and an unsorted side, ...
  • #55 Now we&amp;apos;ll look at another sorting method called Insertionsort. The end result will be the same: The array will be sorted from smallest to largest. But the sorting method is different. However, there are some common features. As with the Selectionsort, the Insertionsort algorithm also views the array as having a sorted side and an unsorted side, ...
  • #56 Now we&amp;apos;ll look at another sorting method called Insertionsort. The end result will be the same: The array will be sorted from smallest to largest. But the sorting method is different. However, there are some common features. As with the Selectionsort, the Insertionsort algorithm also views the array as having a sorted side and an unsorted side, ...
  • #57 Now we&amp;apos;ll look at another sorting method called Insertionsort. The end result will be the same: The array will be sorted from smallest to largest. But the sorting method is different. However, there are some common features. As with the Selectionsort, the Insertionsort algorithm also views the array as having a sorted side and an unsorted side, ...
  • #58 Now we&amp;apos;ll look at another sorting method called Insertionsort. The end result will be the same: The array will be sorted from smallest to largest. But the sorting method is different. However, there are some common features. As with the Selectionsort, the Insertionsort algorithm also views the array as having a sorted side and an unsorted side, ...
  • #59 Now we&amp;apos;ll look at another sorting method called Insertionsort. The end result will be the same: The array will be sorted from smallest to largest. But the sorting method is different. However, there are some common features. As with the Selectionsort, the Insertionsort algorithm also views the array as having a sorted side and an unsorted side, ...
  • #60 Now we&amp;apos;ll look at another sorting method called Insertionsort. The end result will be the same: The array will be sorted from smallest to largest. But the sorting method is different. However, there are some common features. As with the Selectionsort, the Insertionsort algorithm also views the array as having a sorted side and an unsorted side, ...
  • #61 Now we&amp;apos;ll look at another sorting method called Insertionsort. The end result will be the same: The array will be sorted from smallest to largest. But the sorting method is different. However, there are some common features. As with the Selectionsort, the Insertionsort algorithm also views the array as having a sorted side and an unsorted side, ...
  • #62 Now we&amp;apos;ll look at another sorting method called Insertionsort. The end result will be the same: The array will be sorted from smallest to largest. But the sorting method is different. However, there are some common features. As with the Selectionsort, the Insertionsort algorithm also views the array as having a sorted side and an unsorted side, ...
  • #63 Now we&amp;apos;ll look at another sorting method called Insertionsort. The end result will be the same: The array will be sorted from smallest to largest. But the sorting method is different. However, there are some common features. As with the Selectionsort, the Insertionsort algorithm also views the array as having a sorted side and an unsorted side, ...
  • #64 Now we&amp;apos;ll look at another sorting method called Insertionsort. The end result will be the same: The array will be sorted from smallest to largest. But the sorting method is different. However, there are some common features. As with the Selectionsort, the Insertionsort algorithm also views the array as having a sorted side and an unsorted side, ...
  • #65 Now we&amp;apos;ll look at another sorting method called Insertionsort. The end result will be the same: The array will be sorted from smallest to largest. But the sorting method is different. However, there are some common features. As with the Selectionsort, the Insertionsort algorithm also views the array as having a sorted side and an unsorted side, ...
  • #66 Now we&amp;apos;ll look at another sorting method called Insertionsort. The end result will be the same: The array will be sorted from smallest to largest. But the sorting method is different. However, there are some common features. As with the Selectionsort, the Insertionsort algorithm also views the array as having a sorted side and an unsorted side, ...
  • #67 Now we&amp;apos;ll look at another sorting method called Insertionsort. The end result will be the same: The array will be sorted from smallest to largest. But the sorting method is different. However, there are some common features. As with the Selectionsort, the Insertionsort algorithm also views the array as having a sorted side and an unsorted side, ...
  • #68 Now we&amp;apos;ll look at another sorting method called Insertionsort. The end result will be the same: The array will be sorted from smallest to largest. But the sorting method is different. However, there are some common features. As with the Selectionsort, the Insertionsort algorithm also views the array as having a sorted side and an unsorted side, ...
  • #69 Now we&amp;apos;ll look at another sorting method called Insertionsort. The end result will be the same: The array will be sorted from smallest to largest. But the sorting method is different. However, there are some common features. As with the Selectionsort, the Insertionsort algorithm also views the array as having a sorted side and an unsorted side, ...
  • #70 Now we&amp;apos;ll look at another sorting method called Insertionsort. The end result will be the same: The array will be sorted from smallest to largest. But the sorting method is different. However, there are some common features. As with the Selectionsort, the Insertionsort algorithm also views the array as having a sorted side and an unsorted side, ...
  • #71 Now we&amp;apos;ll look at another sorting method called Insertionsort. The end result will be the same: The array will be sorted from smallest to largest. But the sorting method is different. However, there are some common features. As with the Selectionsort, the Insertionsort algorithm also views the array as having a sorted side and an unsorted side, ...
  • #76 A quick summary of these algorithms&amp;apos; timing properties.