Embed presentation
Download as PDF, PPTX








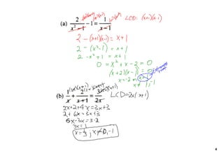
This document provides examples of solving rational equations and examples of word problems involving rates. The first example shows how to solve the rational equation (3-2)/(x-1) = (1)/(x+1). The second example asks what time Luigi and Monica will meet if they jog towards each other from 27 km apart at rates of 4 km/h and 5 km/h, respectively. The third example asks how fast Mark was travelling if he travelled 27 km and Tamara travelled 21 km in the same time, with Mark riding 2 km/h faster than Tamara.







