1
9

                                                 8

                                                 7

                                                 6
                                                 5

                                                 4
                                                 3

                                                 2

                                                 1


­9   ­8   ­7   ­6   ­5 ­4   ­3   ­2   ­1             1   2   3   4   5   6   7   8   9
                                            ­1

                                           ­2

                                           ­3
                                           ­4

                                           ­5

                                           ­6

                                           ­7

                                           ­8

                                           ­9




                                                                                         2
3
Parallel lines have the same slope.




                                      4
5
Perpendicular lines have negative reciprocal slopes.




                                                       6
7
Example:
   Write the equation in slope-Int. form of a line that passes
   through (-2, 4) and is perpendicular to 2x - 3y + 5 = 0




                                                                 8
Example:
   What is the slope of the lines parallel and perpendicular to
   5x - 3y = 8




                                                                  9
Example:
   Find the slope of the line containing (-3, 1) and (4, 0)
   Find the slope of the line perpendicular to that.




                                                              10
Example:

 The slope of one line is 2,
 and the slope of the line perpendicular to it is k-3
                                                   3




                                                        11
12
13
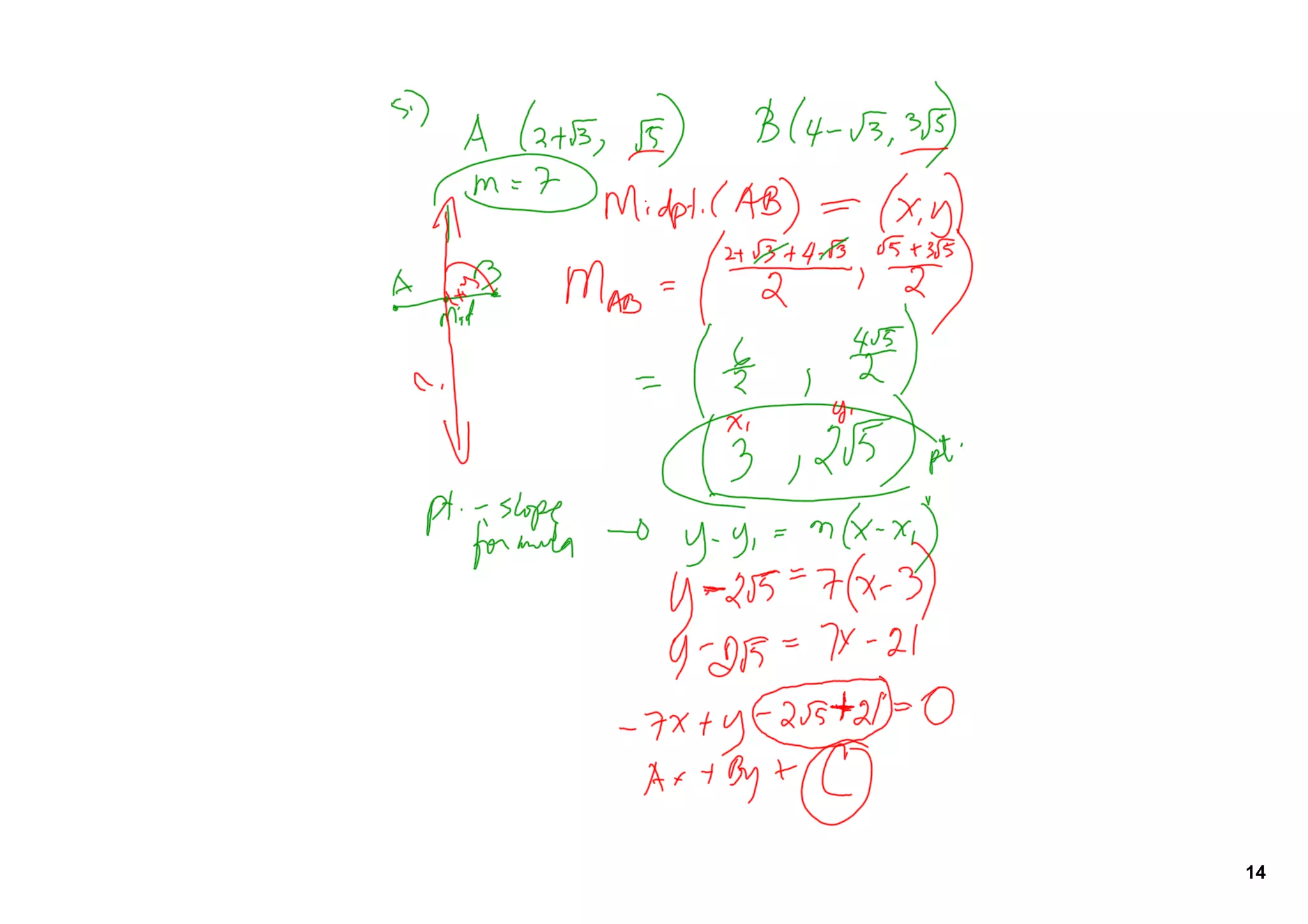
14
15
16

Parallel And Perpendicular Nov 24