1 BY:- Mahesh Dangare
SOFTWARE TESTING
IMPROTANT QUESTIONS
BY MAHESH DANGARE
UNITS PAGE NO.
UNIT 1 2
UNIT 2 5
UNIT 3 9
UNIT 4 12
UNIT 5 16
UNIT 6 20
2 BY:- Mahesh Dangare
UNIT 1
Q.1 What is quality?
1. Quality is defined as fact or defined as perception of customer
2. Quality is defined as degree of excellence or superiority of its kind
3. Quality is different thing to different thing to different people at different time different places
for different product in short quality is fitness for use.
4. Quality is defined as conformance specification i.e. make product as per design that will best
suit the customer expectation like less cost, fast delivery, good service support.
5. Quality is delivering the product that will meet customer standard, need and feature plans.
Q.2 Core component of quality
1. Quality is based on customer satisfaction by acquiring the product
2. Quality parameter must be defined by organization before it can be achieved
3. Management must lead the organization through the improvement effort
4. Continuous process improvement is necessary
Q.3 Basic principle of testing
1. Testing show presence of defect :-
a) Testing show the defect is present but we cannot prove that there is no defect
b) Even after testing product thoughtfully we cannot say that product is 100% defect free
2. Testing is context dependent
a) Different kind of site tested differently
b) Eg. Security software tested differently from ecommerce site
3. Executive testing is not possible
a) Testing everything including all combination of input and precondition is not possible
b) Executive testing neither theoretically nor practically possible
4. Early testing
a) In software development life cycle testing should be start as early as possible and focus
on objectives
b) Objective of testing :- finding defect, preventing the defect, gain more confidence about
product quality
5. Pesticide paradox
a) If same kind of test repeat again and again then eventually same set of test case will no
longer find new bug
b) To overcome this pesticide paradox new test case should be written review and exercise
on different part of software
3 BY:- Mahesh Dangare
6. Absence of error fallacy
a) If product does not meet customer expectation then finding and fixing defect dose not
help
7. Defect clustering
If small amount of module contain most of the error discover during prerelease testing show
biggest operational failure
Q.4 VV model
1. VV model means verification and validation model
2. VV model check the piece of software regards to requirement and specification of customer
3. VV model is extension of waterfall model
4. There is logical difference between VV model and waterfall model
5. Waterfall model start from top to bottom approach and VV model focus on code phase and
move to upper phase.
6. VV model working on two process verification and validation
7. Verification process ensure project as per customer expectation.
8. Validation process ensure that the project is working properly.
Q.5 Difference between Quality Assurance and Quality Control
# Quality Assurance Quality Control
1. It is the part of quality management process It is part of quality management process which
4 BY:- Mahesh Dangare
which concentrate on providing that quality
requirement will be fulfill
concentrate on fulfilling quality requirement
2. It is proactive It is pro reactive
3. It identify the weakness of system It identifies defects and fixes defects.
4. It is staff function It is inline function
5. It is done before quality control It is done after quality assurance
6. It does not involve executing program or code It involve executing program or code
7. Process oriented Product oriented.
Q.6 Difference between black box testing and white box testing
# Black box testing White box testing
1. It is software testing method that test the
software without knowing internal structure of
program or code
It is software testing method in which internal
structure in known to tester.
2. It is carried out by tester It is carried out by developer.
3. Implementation knowledge is not required Implementation knowledge is required
4. Programming knowledge in not required Programming knowledge is required
5. It is applicable to higher level of testing like
system testing and acceptance testing
It is applicable to lower level of testing like unit
testing and integration testing
6. It means functional testing or external testing It means structural testing or internal testing
7. It started based on requirement specification
document.
It started based on detail design document.
Q.7 TQN (TQM) quality perspective
1. TQN aims to reduce the cost of development and quality by improvement process.
2. It is termed as ‘Quality is free’ i.e. cost of quality must repay much more than invested
3. TQM define the cost spent on quality and development in three parts
a) Green money / cost of prevention: - it is consider as investment by organization in doing
quality works. Cost spent on definition of process, training people, develop foundation
for quality.
b) Blue money / cost of appraisal: - it is cost spent by organization during development
process in form of first time review testing. It does not earn profit but it is important
part of development process because it ensures process capability. First time V & V and
appraisal technology is consider as blue money.
c) Red money / cost of failure: - it is pure loss of organization. Money spent in scrap,
rework, sorting and loss due to wastage of production during development life cycle.
Cost spent on re inspection, re testing and regression testing.
5 BY:- Mahesh Dangare
Unit 2
Q.1 Functional Testing
1) Functional testing is technique of software testing that check functionality of software without
internal structure.
2) Testing functionality of software application means check output produce by application with
expected output.
3) Tester tests the functionality of software by providing defined input to obtain defined output
without knowing how values are generated.
4) For testing functionality of application test cases are created.
5) Functional testing based on external structure and software entity.
6) It applied to different levels of testing
7) It is also called as black box testing of closed box testing
8) Tester does not need to have knowledge of programming in functional testing
9) It help in finding error in external data base or data structure and so on.
Advantages :-
1) Test conducted from user point of view
2) Tester does not need to have knowledge of any programming language
3) Test cases generated after completion software specification.
4) Contradiction in actual system and requirement specification are verified.
Disadvantages:-
1) Difficult to write test cases
2) Test input should be from large test space
3) Difficult to identify all possible input in limited test time.
4) Only limited input can be tested
Q.2 Boundary value analysis
1) Boundary value analysis is black box testing that refine equivalence class testing
2) It is method of dividing application in to segment so that testing can occure within the boundary
on those segment
3) Boundary value analysis allow the partitioning the input and output of component under test
into order set distinct boundary
4) All value under same set tested similarly.
6 BY:- Mahesh Dangare
5) In BVA idea is select value minimum just above the minimum and nominal just below the
nominal
6) Test input value select in such way just inside on, outside boundary
7) Test cases created through BVA reveal error better than equivalence class testing
8) Most of software error float around boundary condition
9) Eg. Let Consider instance of credit card pin to understand the concept of BVA. The 6 digit bank
account number start with 1 then valid range start from 100000 to 999999. By BVA we get 6 test
cases are as follows
i. Input less than lower boundary :- 100000-1
ii. Input equal to lower boundary :- 100000
iii. Input greater then lower boundary :- 100000+1
iv. Input less then upper boundary :- 999999-1
v. Input equal to upper boundary :- 999999
vi. Input greater then upper boundary :- 999999+1
From processing test cases case 2,3,4,5 are valid values and 1 and 2 are invalid values.
Advantages :-
1) Few test cases are generated
2) Guideline provided to determine test cases are very clear.
3) Clearly shows user input problem
Disadvantages :-
1) It is impossible to test all possible input
2) Dependency between groups of input is not tested.
Guideline :-
If input condition specify the range between a and b and range between a and b is continuous then test
case must include a and b
Q.3 Equivalence class testing (ECT)
1) Equivalence class testing is alternate approach to exhaustive testing
2) ECT splits input domain into classes
7 BY:- Mahesh Dangare
3) It is not possible to determine equivalence class without looking at internal structure of program
4) ECT consists of group of input for which behavior of system is not specified.
5) One test case of each partition is sufficient for evaluate behavior of system.
6) More than one test cases which will not help to find error in behavior of system
7) There are four types of ECT they are as follows
i. Weak normal ECT
ii. Strong normal ECT
iii. Weak robust ECT
iv. Strong robust ECT
Q.4 Decision table testing
1) Decision table testing is testing technique that used to building test case in which internal
structure is not tested
2) Test cases are created using decision table which contain input output of program
3) Decision table contain four parts
i. Stub
ii. Action
iii. Condition
iv. Entry
8 BY:- Mahesh Dangare
4) Entry portion of table is known as rule
5) This table contain input output values
6) Condition entry column is called as input
7) Action entry column is called as output.
8) Output is calculated from provided input and program specification.
9) Each column is signify test case hence number of test cases is equals to number of rules.
10) Decision table is based on logical relationship just as truth table
9 BY:- Mahesh Dangare
Unit 3
Q.1 Structure testing
1) It focus on source code piece of software and check software for errors which can not checked
at functional testing
2) It performed in two ways first path testing and second data flow testing
3) Path testing test each and every path through which software is executed and identify defect if
any
4) Data flow testing performed at two levels static data flow testing and dynamic data flow testing
5) In Static data flow testing source code is tested but not executed.
6) In dynamic data flow testing source code is tested at the time of execution.
7) After going through all testing tester perform retrospection of testing to ensure the software is
develop as per specification.
8) Structure testing is focus on structure of source code rather than functionality.
9) It is also called as white box testing or glass box testing or clear box testing.
10) In structure testing tester should have knowledge of programming to look in to code and find
which statement or code leads to error.
Advantages:-
1) Help in optimizing code
2) Help in removing extra line of code
3) Help in find out data that useful in testing application.
Disadvantages:-
1) Cost of testing is increase because testing require skillful tester to implement testing
2) Checking every bit of code for error is impossible it any bug left in code then it leads to failure of
system.
Q.2 Path testing
1) Path testing test each and every path through which software is executed
2) It identify defect if any
3) There are many ways to test path
4) After successful path testing we get most appropriate path for execution of software
5) Path testing is based on source code and it describe in two method
6) First method is decision to decision path testing and second is basic path testing
10 BY:- Mahesh Dangare
7) Both methods are based on concept of program graph and graphical representation of source
code.
Q.3 DD Path
1) DD path testing uses program graph to create DD Path
2) It combine multiple constrain into single node
3) DD Path can be observed as chain in program graph
4) DD path also called as segment
Q.4 DD Path Graph
1) It is also called as control flow graph
2) DD path graph created from program graph of piece of software with the help of dd path
3) DD path testing done on the basis of DD path Graph
4) With the help of DD path graph tester can find possible linear code of sequence
Q.5 Basic path testing
1) It introduce by Thomas McCabe in 1970
2) It introduce the idea of using vector space in path testing
3) In basic path testing vector space represent set of element called as vector
4) There are certain operating perform on the set of element
5) Basic path testing help in design and construct the definition of basic set of execution path.
6) The test cases produce by basic path allow program execution to examine each possible path.
7) There are four steps Thomas McCabe describe during basic path testing
a) Compute program graph
b) Calculate cyclometic complexity
c) Select basis set of path
d) Generate test cases for each path
Q.6 Data flow testing
1) Data flow testing focus on flow of data rather than structure of code
2) Data flow testing based on structure of variable
3) It is done to detect error occur to improper variable which will effect flow of data
11 BY:- Mahesh Dangare
4) Data flow testing possess in such way that first take input, assign variable, perform computation
and then show result.
5) There are two levels of data flow testing static data flow testing and dynamic data flow testing
6) Static data flow testing based on data flow anomaly and error that will affect flow of data
7) Dynamic data flow testing deals with actual execution of data
Static data flow testing
1) In static data flow testing source code is tested but not executed
2) The purpose of static data flow testing is check defect in flow of data called as data flow
anomaly
Dynamic data flow testing
1) In dynamic data flow testing source code is tested at the time of execution
2) It is done to check the flow of data for consistency at the time of execution
3) It focus on data flow graph and data flow testing strategy
Q.7 Retrospection
1) In general retrospection means look back what have been done
2) In software development retrospection means look back to software after it develop.
3) All member of project of software hold meeting for retrospection
4) The purpose of meeting is discus what is success about project and what should be improved in
project
5) There is retrospection after each level of testing and on the completion of project
6) Retrospection can be understand through two phase
a) Retrospection after each iteration
i. Retrospection of unit testing
ii. Retrospection of integration testing
iii. Retrospection of system testing
iv. Retrospection of regression testing
v. Retrospection of acceptance testing
b) Retrospection of whole project .
12 BY:- Mahesh Dangare
Unit 4
Q.1 Levels of testing
1) It is process of performing series of test to
check compliance of software according to
defined requirement.
2) Software testing is regarded phase in software
development because it detects error porn
area and prevents software from errors.
3) Software testing verifies and validates software
result to ensure it meet user expectation.
4) There are four levels of testing are as follows
i. Unit testing
ii. Integration testing
iii. System testing
iv. Acceptance testing
Q.2 Unit testing
1) It is use to find error in source code.
2) It is perform by developer before setup handover to test team to execute test case.
3) Developer test data is different from test data of quality assurance team.
4) The goal of unit testing is isolate each part of software and show each part is correct in term of
requirement and functionality.
5) Unit is smallest part of software.
6) It usually take one of two input and give only one output
7) It is first level of testing prior to integration testing
8) It is preform using white box testing method
9) It is perform by developer itself of their peers.
Advantages:-
1) It increase confidence in maintaining and changing code
2) Code are easy to reuse
3) Finding and fixing defect in unit testing is easy as compare system and acceptance testing
4) Cost for fixing error is lesser
5) Debugging is easy as when test fail only latest bug has to debug
13 BY:- Mahesh Dangare
Disadvantages:-
It is impossible to evaluate each and every executing path in software since software testing cannot find
each and every bug in software
Q.2 Integration testing
1) It is use to test the design of software.
2) It is logical extension of unit testing
3) In integration testing complete structure is tested using design of software
4) It is systematic process where module are combine together and tested as a group
5) The purpose of integration testing is verify functionality and reliability of testing
6) In integration testing software component and hardware component combine together and test
the interaction between them so they perform as per requirement
7) There are four approaches of integration testing they are as follows
i. Big Bang Approach
ii. Bottom up approach
iii. Top down approach
iv. Sandwich approach
 Big Bang approach:-
1) It is focus on developing module first and then integrate them into complete software
2) All modules of system are used for integration testing
3) It is non-incremental strategy
Advantages:-
1) It is convenient for small system
2) It is time saving
Disadvantages:-
1) Fault localization is difficult
2) It is start only when all module are ready hence test team have less time for teat phase
3) It is very difficult ensure that all test case for integration testing are covered.
 Bottom up approach:-
1) In bottom up approach testing begin with lower level module and followed by higher level
module
2) Bottom up approach also uses the drivers to drive and pass data to lower level module
3) When code ready for module these module replace with driver
14 BY:- Mahesh Dangare
Advantages :-
1) Fault localization is easy
2) No time wasted for waiting for module gets ready
3) Testing can be parallel with implementation
Disadvantages :-
1) Critical module who control flow of data tested
last and may porn to defect
2) Early prototype is not available
 Top down approach:-
1) It is incremental approach
2) Testing begin with higher level module and
followed by lower level module
Advantages :-
1) Fault localization is easy
2) Early prototype is possible
3) Critical module are tested on priority basis hence
major design flaws are found and fix early
Disadvantages :-
1) Needed many stubs
2) Lower level module tested inadequately.
 Sandwich approach:-
1) It is combination of bottom up approach and top down approach
2) There are three level of modules are as top, middle, lower
3) Higher level module tested using top down approach
4) Lower level module tested using bottom up approach
5) It is also called as mixed or hybrid approach.
Q.3 System testing
1) It is used to test entire system against software requirement specification
15 BY:- Mahesh Dangare
2) It is black box testing hence internal structure and programming knowledge is not required
3) It is done carefully to make sure software meet customer expectation
4) It is done after integration testing and before acceptance testing
5) System testing is series of different test are as follows
a) Recovery testing :- it check how quickly system recover form error
b) Reliability testing :- it check consistency of system with regards to software
c) Security testing: - it checks security architecture of system. It done to check system is
secure from unauthorized access. It is done in two ways
i. Authorization :- it check user is authorize from system or not
ii. Authentication :- it check the user is authenticated to use system
d) Performance testing :- it check runtime performance of system. It is done in two ways.
i. Stress testing :- It check system from unusual stress
ii. Load testing :- it check system from unusual load
e) Maintenance testing :- it check the maintenance of system
f) Installation testing :- it check installation and uninstallation of target platform
Q.4 Acceptance testing
1) It is used if test user requirement
2) In acceptance testing software is tested by client against requirement defined in analysis and
design
3) Acceptance testing combine with system to work in real and simulated environment
4) Client is necessary part in acceptance testing because it operate software of their end to check
software is properly working or not
5) Acceptance testing done by user is called as user acceptance testing
6) User acceptance testing is final confirmation that project is ready to go live
16 BY:- Mahesh Dangare
UNIT 5
Q.1 Object Oriented testing (OOT)
1. Today OOP becomes preferred methodology for software development
2. This is because OOP provide feature like abstraction, encapsulation, inheritance, polymorphism
3. In OOP we can use object as reference to class to implement the functionality of class
4. Software develop using OOP need to be test to ensure software is consistent and error free
5. Technique use to test OOP is called as object oriented testing (OOT)
6. It check fault and defect occur due to object oriented feature of the software
7. OOT is different from conventional testing and traditional testing in terms of approach and
testing levels
Q.2 Comparison between conventional testing (CT) and OOT
ESFLU Conventional Testing OOT
Evolution
parameter
Conventional testing approach OOT approach
Software
model
Conventional testing use when waterfall
model use for development
OOT use when OO analysis and design use
for development
Focus It focus on decomposition and functional
approach
OOT which uses composition
Testing
levels
Three levels of testing is clearly defined
because it use sequential approach
Three levels of testing not clearly defined
because it use incremental approach
Unit During unit testing unit is not very small Unit is small compared to conventional
testing
Q.3 Issue with Object Oriented testing (OOT)
1. Class :-
a) Class is prototype it is defined as characteristics of object such as field, property,
attribute.
b) Class is defined as behavior of object such as method operation and its features.
c) Class describe object
d) Class provides modularity and structure.
e) Class is user defined data type but act as inbuilt data type
f) Eg. It fruit is class then mango is object of that class.
2. Encapsulation :-
a) It hide non-essential data of class
b) It prevents important and classified data from accidental manipulation
c) Encapsulated data can access form outside only when data used in function of class
17 BY:- Mahesh Dangare
d) When tester test the OOP the tester does not have internal detail of class used in
program
e) Therefore encapsulations create challenge before tester to test OOP s/w.
3. Polymorphism :-
a) It refers to existence of object in different
form
b) Poly means many and morph means forms
c) It refers to function behave differently
d) It is categorize in to two type first static and
second is dynamic
e) Static polymorphism refers to entity present
in different form at same time
f) Dynamic polymorphism refers to entity
changes form depending on circumstance
4. Inheritance :-
a) It is mechanism in which a class inherit property and
functionality from another class
b) If class X inherit property form class Y then we can say
class X is inherit form class Y
c) In this case class Y is called as super class or base class
d) Class X called as subclass
e) In the above diagram class X have access to attribute and
method of class Y
f) Subclass can inherit from superclass in different ways
g) Based on how subclass inherit from superclass inheritance
divided in to three types (i) single inheritance (ii) multiple
inheritance (iii) multilevel inheritance
Q.4 Object Oriented Integration testing (OOIT)
1. Object oriented integration testing does not relies on top down and bottom up approach
because it does not have hierarchical structure
2. Apart from this difference fundamentals of OOIT is same to fundamentals of traditional
Integration testing
3. It is done after class testing
4. It is difficult and complicated task for tester to check s/w bug at integration level of OOT
5. There are different strategies of OOIT as follows
18 BY:- Mahesh Dangare
a) Thread based testing :- tester integrate all class to check functionality of thread or
event in them
b) Use based testing :- tester integrate all classes that required by same use case in other
word all class that implemented with same logic are combine together tested as single
entity
c) Cluster based testing: - it relies on concept of cluster. Tester integrates some class that
show same result to create cluster. Classes that have same property and functionality
are treated as single block or cluster
Q.5 Object Oriented System testing (OOST)
1. It is part of software testing that check weather software design according to stipulated
specification
2. It is perform before software is deliver to customer to ensure it meet all user expectation
3. It check system or computer support software and contain all requirement specification that has
to be executed
4. It is also called as functional testing because it focus on function and working of software
5. It check compatibility of s/w with reference to configuration of system
6. It categorize in to following types
g) Recovery testing :- it check how quickly system recover form error
h) Reliability testing :- it check consistency of system with regards to software
i) Security testing: - it checks security architecture of system. It done to check system is
secure from unauthorized access. It is done in two ways
iii. Authorization :- it check user is authorize from system or not
iv. Authentication :- it check the user is authenticated to use system
j) Performance testing :- it check runtime performance of system. It is done in two ways.
iii. Stress testing :- It check system from unusual stress
iv. Load testing :- it check system from unusual load
19 BY:- Mahesh Dangare
k) Maintenance testing :- it check the maintenance of system
Q.6 Class testing
1. Class testing is smallest unit of OOP of software
2. Testing class is integral part of software testing in which tester check class of source
code of program to make it error free.
3. Testing find many difficulties while testing class there are as follows
a) Difficulties due to encapsulation
b) Difficulties due to polymorphism
c) Difficulties due to inheritance
4. Process of class testing
a) Class testing focus on each attributes of classes such as method and object
b) Tester integrate different method of each class in sequence and generate test
cases for each attribute
c) Test cases contain information about attribute operation and list of exception
where test case does not behave in same way at the time of testing
d) Tester identify test case for each attribute
e) They test the class with the help of test case that is uniquely generated for each
attribute
f) Hence class testing based on test cases
20 BY:- Mahesh Dangare
UNIT 6
Q.1 Qualitative data analysis
1. There are two types of data analysis one is Qualitative data analysis and second is quantitative
data analysis.
2. Qualitative data indicate the classes and range in which attribute of process or product is
present.
3. It is also called as categorical data
4. It deals with description
5. Eg. representation of grade as a, b, c, d.
6. Data can be observed but not measured
7. Qualitative data is selected when there is no accurate measurement of data
8. Qualitative data collected by observation of open ended interview.
Advantages
1. It is judgmental.
2. Since it is perception based data gathering it is very fast.
3. It is use effectively when there is major problem in system
4. No need of expert in area.
5. Independent of measurement process and measurement instrument.
6. Highly dependent on person giving rating.
Disadvantages
1. Since it is perception based data gathering it changes from person to person or instance to
instance.
2. It may not be accurate.
3. It is not useful in highly accurate environment
Q.2 State and explain different test estimation
1. Function point :-
a) Function point is measure from function of user point of view.
b) Function point is direct indicator of functionality of software application form user
perspective.
c) It is most accepted technique of estimate size of project.
d) It is part of TMAP
e) Function point is base of TMAP
21 BY:- Mahesh Dangare
2. Work breakdown structure (WBS)
a) WBS break project in to pieces
b) Module are divided in to sub module
c) Sub module divided in to functionality.
d) Functionality divided in to sub functionality.
3. Delphi technique
a) It same as above WBS in DP.
b) WBS decomposed in to sub task and distributed to team comprising of 3 to 7 members
for re-estimation.
c) The final estimation is result of summarize estimation based on team consensus.
4. Three point estimation
a) It is based on statistical data.
b) It same as WBS technique
c) Task are divided in to sub task and three estimation are done
d) Optimistic estimate = a, most likely estimate = m, pessimistic estimate = b.
e) The formula for find estimate = a+(4*m)=b/6
f) The standard deviation is SD =(n-e)/6
Q.3 Why it is necessary to have test process improvement model (TPI)
1. TPI model developed by Kooman and Pol in 1997
2. The main reason of developing TPI model is testing is consider as important but difficult and
uncontrolled process.
3. Testing is often consider as expensive and uncontrolled process
4. Testing take too much time and cost more than planed
5. Therefore quality of information system and risk for business challenging to determine
6. Improving test process can solve these problems
7. TPI can provide guideline to make test process improvement easy
8. Kooman and Pol publish book about TPI in 1999
9. TPI offers framework to determine weak and strong area of testing process in an organization
10. In addition maturity of test process can be assessed.
11. In addition TPI model support determining test improvement activity
12. TPI model contain following parts
Maturity model, test maturity matrix, checklist, improvement suggestion.
Q.4 What is importance of test report and its types
1. Test report is document used in software engineering and electronic engineering in particularly
by quality assurance team or individual that describe testing process and testing procedure
22 BY:- Mahesh Dangare
2. Now days software project have document that required high level of maturity
3. In this process most of the company did not give even little importance to documentation as
they give to development phase
4. Documentation can make testing easy and systematic
5. Documentation can save cost as well as time on that project
6. Improper test report can leads to failure during acceptance of product by client
7. There are various type of test report are as follows
a) Unit test report :- It is generated at the end of unit testing activity. As the unit testing
happen when unit are completed. It is not the formal report but informal
communication between various stakeholder.
b) Integration test report :- it is generated at the end of integration activity. One can say
something software is tested when units are bundle together. Integration test report tell
weather integration of various units are successful or not.
c) System test report :- it is generated when individual system testing cycle are
completed. In include all special and planed iteration of testing.
d) Acceptance test report :- it is generally made in two phase or sometimes three. Alpha
acceptance test report when testing done at development site. Beta acceptance test
report when business pilot is conducted. It is generated by the customer.
e) Various interim test report :- There are various interim test report as individual
steps of testing are completed. This include unit test report, module test report,
requirement review report, detail design report.
Q.5 Define efforts and explain its types
1. In software development test effort refers to expenses for test.
2. There is relation between test cost and failure cost.
3. There four types of efforts are as follows
i. Estimated effort
ii. Budged effort
iii. Approved effort
iv. Actual effort
Q.6 Steps of test process improvement
(1) PLAN (2) DO (3) CHECK (4) ACT
1. It is also called as PDCA cycle
2. It is never ending cycle of improvement
23 BY:- Mahesh Dangare
3. It is wheel of improvement continuously rolling up the problem solving skill and achieve better
result for organization in each iteration
(1)Plan :-
i. Plan for improvement based vision and mission
definition
ii. Planning include various question like what, where,
when, why, how about various activities
iii. Expected result must be define and action must be
plan to achieve answer
iv. Baseline studies are important for planning define
where one is standing and vision define where one
wishes to go.
(2)Do :-
i. Organization must work in direction set by plan which is just road map
ii. Planning set tone but execution make plan work
iii. Do process need software hardware resources, training etc. for execution of plan
(3)Check :-
i. Compare actual outcome of do with expected output
ii. It is done periodically to check weather progress is in proper direction or weather plan is right or
not
(4)Act :-
i. Action must be decided to correct situation if any deviation observed in actual outcome and
expected result
ii. Action include changing plan, approach, expected result
iii. When actual outcome and expected result match with degree of variation then plan going in
right direction
24 BY:- Mahesh Dangare
Q.7 Statistical tools used in Qualitative analysis
1) Barchart
2) Balance scoreboard
3) Pie chart
25 BY:- Mahesh Dangare
4) Pareto chart
5) Runchart
6) Control chart
26 BY:- Mahesh Dangare
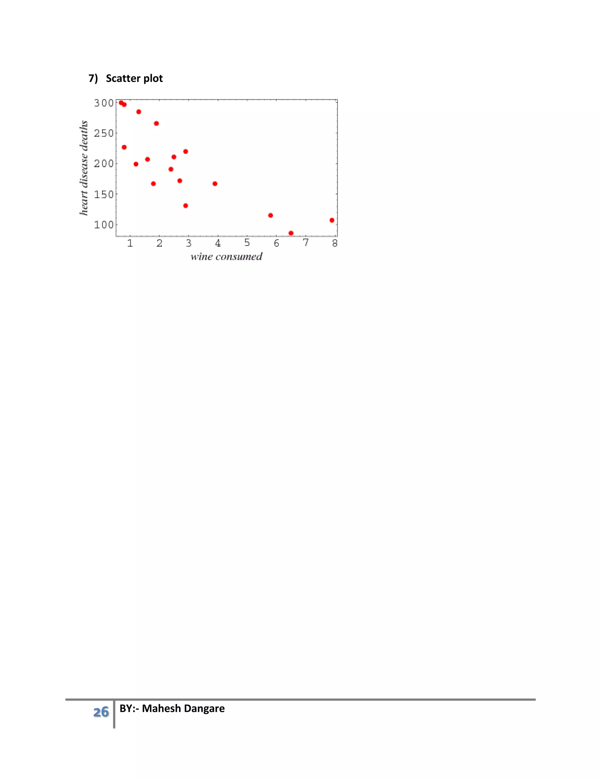
7) Scatter plot

Software testing

  • 1.
    1 BY:- MaheshDangare SOFTWARE TESTING IMPROTANT QUESTIONS BY MAHESH DANGARE UNITS PAGE NO. UNIT 1 2 UNIT 2 5 UNIT 3 9 UNIT 4 12 UNIT 5 16 UNIT 6 20
  • 2.
    2 BY:- MaheshDangare UNIT 1 Q.1 What is quality? 1. Quality is defined as fact or defined as perception of customer 2. Quality is defined as degree of excellence or superiority of its kind 3. Quality is different thing to different thing to different people at different time different places for different product in short quality is fitness for use. 4. Quality is defined as conformance specification i.e. make product as per design that will best suit the customer expectation like less cost, fast delivery, good service support. 5. Quality is delivering the product that will meet customer standard, need and feature plans. Q.2 Core component of quality 1. Quality is based on customer satisfaction by acquiring the product 2. Quality parameter must be defined by organization before it can be achieved 3. Management must lead the organization through the improvement effort 4. Continuous process improvement is necessary Q.3 Basic principle of testing 1. Testing show presence of defect :- a) Testing show the defect is present but we cannot prove that there is no defect b) Even after testing product thoughtfully we cannot say that product is 100% defect free 2. Testing is context dependent a) Different kind of site tested differently b) Eg. Security software tested differently from ecommerce site 3. Executive testing is not possible a) Testing everything including all combination of input and precondition is not possible b) Executive testing neither theoretically nor practically possible 4. Early testing a) In software development life cycle testing should be start as early as possible and focus on objectives b) Objective of testing :- finding defect, preventing the defect, gain more confidence about product quality 5. Pesticide paradox a) If same kind of test repeat again and again then eventually same set of test case will no longer find new bug b) To overcome this pesticide paradox new test case should be written review and exercise on different part of software
  • 3.
    3 BY:- MaheshDangare 6. Absence of error fallacy a) If product does not meet customer expectation then finding and fixing defect dose not help 7. Defect clustering If small amount of module contain most of the error discover during prerelease testing show biggest operational failure Q.4 VV model 1. VV model means verification and validation model 2. VV model check the piece of software regards to requirement and specification of customer 3. VV model is extension of waterfall model 4. There is logical difference between VV model and waterfall model 5. Waterfall model start from top to bottom approach and VV model focus on code phase and move to upper phase. 6. VV model working on two process verification and validation 7. Verification process ensure project as per customer expectation. 8. Validation process ensure that the project is working properly. Q.5 Difference between Quality Assurance and Quality Control # Quality Assurance Quality Control 1. It is the part of quality management process It is part of quality management process which
  • 4.
    4 BY:- MaheshDangare which concentrate on providing that quality requirement will be fulfill concentrate on fulfilling quality requirement 2. It is proactive It is pro reactive 3. It identify the weakness of system It identifies defects and fixes defects. 4. It is staff function It is inline function 5. It is done before quality control It is done after quality assurance 6. It does not involve executing program or code It involve executing program or code 7. Process oriented Product oriented. Q.6 Difference between black box testing and white box testing # Black box testing White box testing 1. It is software testing method that test the software without knowing internal structure of program or code It is software testing method in which internal structure in known to tester. 2. It is carried out by tester It is carried out by developer. 3. Implementation knowledge is not required Implementation knowledge is required 4. Programming knowledge in not required Programming knowledge is required 5. It is applicable to higher level of testing like system testing and acceptance testing It is applicable to lower level of testing like unit testing and integration testing 6. It means functional testing or external testing It means structural testing or internal testing 7. It started based on requirement specification document. It started based on detail design document. Q.7 TQN (TQM) quality perspective 1. TQN aims to reduce the cost of development and quality by improvement process. 2. It is termed as ‘Quality is free’ i.e. cost of quality must repay much more than invested 3. TQM define the cost spent on quality and development in three parts a) Green money / cost of prevention: - it is consider as investment by organization in doing quality works. Cost spent on definition of process, training people, develop foundation for quality. b) Blue money / cost of appraisal: - it is cost spent by organization during development process in form of first time review testing. It does not earn profit but it is important part of development process because it ensures process capability. First time V & V and appraisal technology is consider as blue money. c) Red money / cost of failure: - it is pure loss of organization. Money spent in scrap, rework, sorting and loss due to wastage of production during development life cycle. Cost spent on re inspection, re testing and regression testing.
  • 5.
    5 BY:- MaheshDangare Unit 2 Q.1 Functional Testing 1) Functional testing is technique of software testing that check functionality of software without internal structure. 2) Testing functionality of software application means check output produce by application with expected output. 3) Tester tests the functionality of software by providing defined input to obtain defined output without knowing how values are generated. 4) For testing functionality of application test cases are created. 5) Functional testing based on external structure and software entity. 6) It applied to different levels of testing 7) It is also called as black box testing of closed box testing 8) Tester does not need to have knowledge of programming in functional testing 9) It help in finding error in external data base or data structure and so on. Advantages :- 1) Test conducted from user point of view 2) Tester does not need to have knowledge of any programming language 3) Test cases generated after completion software specification. 4) Contradiction in actual system and requirement specification are verified. Disadvantages:- 1) Difficult to write test cases 2) Test input should be from large test space 3) Difficult to identify all possible input in limited test time. 4) Only limited input can be tested Q.2 Boundary value analysis 1) Boundary value analysis is black box testing that refine equivalence class testing 2) It is method of dividing application in to segment so that testing can occure within the boundary on those segment 3) Boundary value analysis allow the partitioning the input and output of component under test into order set distinct boundary 4) All value under same set tested similarly.
  • 6.
    6 BY:- MaheshDangare 5) In BVA idea is select value minimum just above the minimum and nominal just below the nominal 6) Test input value select in such way just inside on, outside boundary 7) Test cases created through BVA reveal error better than equivalence class testing 8) Most of software error float around boundary condition 9) Eg. Let Consider instance of credit card pin to understand the concept of BVA. The 6 digit bank account number start with 1 then valid range start from 100000 to 999999. By BVA we get 6 test cases are as follows i. Input less than lower boundary :- 100000-1 ii. Input equal to lower boundary :- 100000 iii. Input greater then lower boundary :- 100000+1 iv. Input less then upper boundary :- 999999-1 v. Input equal to upper boundary :- 999999 vi. Input greater then upper boundary :- 999999+1 From processing test cases case 2,3,4,5 are valid values and 1 and 2 are invalid values. Advantages :- 1) Few test cases are generated 2) Guideline provided to determine test cases are very clear. 3) Clearly shows user input problem Disadvantages :- 1) It is impossible to test all possible input 2) Dependency between groups of input is not tested. Guideline :- If input condition specify the range between a and b and range between a and b is continuous then test case must include a and b Q.3 Equivalence class testing (ECT) 1) Equivalence class testing is alternate approach to exhaustive testing 2) ECT splits input domain into classes
  • 7.
    7 BY:- MaheshDangare 3) It is not possible to determine equivalence class without looking at internal structure of program 4) ECT consists of group of input for which behavior of system is not specified. 5) One test case of each partition is sufficient for evaluate behavior of system. 6) More than one test cases which will not help to find error in behavior of system 7) There are four types of ECT they are as follows i. Weak normal ECT ii. Strong normal ECT iii. Weak robust ECT iv. Strong robust ECT Q.4 Decision table testing 1) Decision table testing is testing technique that used to building test case in which internal structure is not tested 2) Test cases are created using decision table which contain input output of program 3) Decision table contain four parts i. Stub ii. Action iii. Condition iv. Entry
  • 8.
    8 BY:- MaheshDangare 4) Entry portion of table is known as rule 5) This table contain input output values 6) Condition entry column is called as input 7) Action entry column is called as output. 8) Output is calculated from provided input and program specification. 9) Each column is signify test case hence number of test cases is equals to number of rules. 10) Decision table is based on logical relationship just as truth table
  • 9.
    9 BY:- MaheshDangare Unit 3 Q.1 Structure testing 1) It focus on source code piece of software and check software for errors which can not checked at functional testing 2) It performed in two ways first path testing and second data flow testing 3) Path testing test each and every path through which software is executed and identify defect if any 4) Data flow testing performed at two levels static data flow testing and dynamic data flow testing 5) In Static data flow testing source code is tested but not executed. 6) In dynamic data flow testing source code is tested at the time of execution. 7) After going through all testing tester perform retrospection of testing to ensure the software is develop as per specification. 8) Structure testing is focus on structure of source code rather than functionality. 9) It is also called as white box testing or glass box testing or clear box testing. 10) In structure testing tester should have knowledge of programming to look in to code and find which statement or code leads to error. Advantages:- 1) Help in optimizing code 2) Help in removing extra line of code 3) Help in find out data that useful in testing application. Disadvantages:- 1) Cost of testing is increase because testing require skillful tester to implement testing 2) Checking every bit of code for error is impossible it any bug left in code then it leads to failure of system. Q.2 Path testing 1) Path testing test each and every path through which software is executed 2) It identify defect if any 3) There are many ways to test path 4) After successful path testing we get most appropriate path for execution of software 5) Path testing is based on source code and it describe in two method 6) First method is decision to decision path testing and second is basic path testing
  • 10.
    10 BY:- MaheshDangare 7) Both methods are based on concept of program graph and graphical representation of source code. Q.3 DD Path 1) DD path testing uses program graph to create DD Path 2) It combine multiple constrain into single node 3) DD Path can be observed as chain in program graph 4) DD path also called as segment Q.4 DD Path Graph 1) It is also called as control flow graph 2) DD path graph created from program graph of piece of software with the help of dd path 3) DD path testing done on the basis of DD path Graph 4) With the help of DD path graph tester can find possible linear code of sequence Q.5 Basic path testing 1) It introduce by Thomas McCabe in 1970 2) It introduce the idea of using vector space in path testing 3) In basic path testing vector space represent set of element called as vector 4) There are certain operating perform on the set of element 5) Basic path testing help in design and construct the definition of basic set of execution path. 6) The test cases produce by basic path allow program execution to examine each possible path. 7) There are four steps Thomas McCabe describe during basic path testing a) Compute program graph b) Calculate cyclometic complexity c) Select basis set of path d) Generate test cases for each path Q.6 Data flow testing 1) Data flow testing focus on flow of data rather than structure of code 2) Data flow testing based on structure of variable 3) It is done to detect error occur to improper variable which will effect flow of data
  • 11.
    11 BY:- MaheshDangare 4) Data flow testing possess in such way that first take input, assign variable, perform computation and then show result. 5) There are two levels of data flow testing static data flow testing and dynamic data flow testing 6) Static data flow testing based on data flow anomaly and error that will affect flow of data 7) Dynamic data flow testing deals with actual execution of data Static data flow testing 1) In static data flow testing source code is tested but not executed 2) The purpose of static data flow testing is check defect in flow of data called as data flow anomaly Dynamic data flow testing 1) In dynamic data flow testing source code is tested at the time of execution 2) It is done to check the flow of data for consistency at the time of execution 3) It focus on data flow graph and data flow testing strategy Q.7 Retrospection 1) In general retrospection means look back what have been done 2) In software development retrospection means look back to software after it develop. 3) All member of project of software hold meeting for retrospection 4) The purpose of meeting is discus what is success about project and what should be improved in project 5) There is retrospection after each level of testing and on the completion of project 6) Retrospection can be understand through two phase a) Retrospection after each iteration i. Retrospection of unit testing ii. Retrospection of integration testing iii. Retrospection of system testing iv. Retrospection of regression testing v. Retrospection of acceptance testing b) Retrospection of whole project .
  • 12.
    12 BY:- MaheshDangare Unit 4 Q.1 Levels of testing 1) It is process of performing series of test to check compliance of software according to defined requirement. 2) Software testing is regarded phase in software development because it detects error porn area and prevents software from errors. 3) Software testing verifies and validates software result to ensure it meet user expectation. 4) There are four levels of testing are as follows i. Unit testing ii. Integration testing iii. System testing iv. Acceptance testing Q.2 Unit testing 1) It is use to find error in source code. 2) It is perform by developer before setup handover to test team to execute test case. 3) Developer test data is different from test data of quality assurance team. 4) The goal of unit testing is isolate each part of software and show each part is correct in term of requirement and functionality. 5) Unit is smallest part of software. 6) It usually take one of two input and give only one output 7) It is first level of testing prior to integration testing 8) It is preform using white box testing method 9) It is perform by developer itself of their peers. Advantages:- 1) It increase confidence in maintaining and changing code 2) Code are easy to reuse 3) Finding and fixing defect in unit testing is easy as compare system and acceptance testing 4) Cost for fixing error is lesser 5) Debugging is easy as when test fail only latest bug has to debug
  • 13.
    13 BY:- MaheshDangare Disadvantages:- It is impossible to evaluate each and every executing path in software since software testing cannot find each and every bug in software Q.2 Integration testing 1) It is use to test the design of software. 2) It is logical extension of unit testing 3) In integration testing complete structure is tested using design of software 4) It is systematic process where module are combine together and tested as a group 5) The purpose of integration testing is verify functionality and reliability of testing 6) In integration testing software component and hardware component combine together and test the interaction between them so they perform as per requirement 7) There are four approaches of integration testing they are as follows i. Big Bang Approach ii. Bottom up approach iii. Top down approach iv. Sandwich approach  Big Bang approach:- 1) It is focus on developing module first and then integrate them into complete software 2) All modules of system are used for integration testing 3) It is non-incremental strategy Advantages:- 1) It is convenient for small system 2) It is time saving Disadvantages:- 1) Fault localization is difficult 2) It is start only when all module are ready hence test team have less time for teat phase 3) It is very difficult ensure that all test case for integration testing are covered.  Bottom up approach:- 1) In bottom up approach testing begin with lower level module and followed by higher level module 2) Bottom up approach also uses the drivers to drive and pass data to lower level module 3) When code ready for module these module replace with driver
  • 14.
    14 BY:- MaheshDangare Advantages :- 1) Fault localization is easy 2) No time wasted for waiting for module gets ready 3) Testing can be parallel with implementation Disadvantages :- 1) Critical module who control flow of data tested last and may porn to defect 2) Early prototype is not available  Top down approach:- 1) It is incremental approach 2) Testing begin with higher level module and followed by lower level module Advantages :- 1) Fault localization is easy 2) Early prototype is possible 3) Critical module are tested on priority basis hence major design flaws are found and fix early Disadvantages :- 1) Needed many stubs 2) Lower level module tested inadequately.  Sandwich approach:- 1) It is combination of bottom up approach and top down approach 2) There are three level of modules are as top, middle, lower 3) Higher level module tested using top down approach 4) Lower level module tested using bottom up approach 5) It is also called as mixed or hybrid approach. Q.3 System testing 1) It is used to test entire system against software requirement specification
  • 15.
    15 BY:- MaheshDangare 2) It is black box testing hence internal structure and programming knowledge is not required 3) It is done carefully to make sure software meet customer expectation 4) It is done after integration testing and before acceptance testing 5) System testing is series of different test are as follows a) Recovery testing :- it check how quickly system recover form error b) Reliability testing :- it check consistency of system with regards to software c) Security testing: - it checks security architecture of system. It done to check system is secure from unauthorized access. It is done in two ways i. Authorization :- it check user is authorize from system or not ii. Authentication :- it check the user is authenticated to use system d) Performance testing :- it check runtime performance of system. It is done in two ways. i. Stress testing :- It check system from unusual stress ii. Load testing :- it check system from unusual load e) Maintenance testing :- it check the maintenance of system f) Installation testing :- it check installation and uninstallation of target platform Q.4 Acceptance testing 1) It is used if test user requirement 2) In acceptance testing software is tested by client against requirement defined in analysis and design 3) Acceptance testing combine with system to work in real and simulated environment 4) Client is necessary part in acceptance testing because it operate software of their end to check software is properly working or not 5) Acceptance testing done by user is called as user acceptance testing 6) User acceptance testing is final confirmation that project is ready to go live
  • 16.
    16 BY:- MaheshDangare UNIT 5 Q.1 Object Oriented testing (OOT) 1. Today OOP becomes preferred methodology for software development 2. This is because OOP provide feature like abstraction, encapsulation, inheritance, polymorphism 3. In OOP we can use object as reference to class to implement the functionality of class 4. Software develop using OOP need to be test to ensure software is consistent and error free 5. Technique use to test OOP is called as object oriented testing (OOT) 6. It check fault and defect occur due to object oriented feature of the software 7. OOT is different from conventional testing and traditional testing in terms of approach and testing levels Q.2 Comparison between conventional testing (CT) and OOT ESFLU Conventional Testing OOT Evolution parameter Conventional testing approach OOT approach Software model Conventional testing use when waterfall model use for development OOT use when OO analysis and design use for development Focus It focus on decomposition and functional approach OOT which uses composition Testing levels Three levels of testing is clearly defined because it use sequential approach Three levels of testing not clearly defined because it use incremental approach Unit During unit testing unit is not very small Unit is small compared to conventional testing Q.3 Issue with Object Oriented testing (OOT) 1. Class :- a) Class is prototype it is defined as characteristics of object such as field, property, attribute. b) Class is defined as behavior of object such as method operation and its features. c) Class describe object d) Class provides modularity and structure. e) Class is user defined data type but act as inbuilt data type f) Eg. It fruit is class then mango is object of that class. 2. Encapsulation :- a) It hide non-essential data of class b) It prevents important and classified data from accidental manipulation c) Encapsulated data can access form outside only when data used in function of class
  • 17.
    17 BY:- MaheshDangare d) When tester test the OOP the tester does not have internal detail of class used in program e) Therefore encapsulations create challenge before tester to test OOP s/w. 3. Polymorphism :- a) It refers to existence of object in different form b) Poly means many and morph means forms c) It refers to function behave differently d) It is categorize in to two type first static and second is dynamic e) Static polymorphism refers to entity present in different form at same time f) Dynamic polymorphism refers to entity changes form depending on circumstance 4. Inheritance :- a) It is mechanism in which a class inherit property and functionality from another class b) If class X inherit property form class Y then we can say class X is inherit form class Y c) In this case class Y is called as super class or base class d) Class X called as subclass e) In the above diagram class X have access to attribute and method of class Y f) Subclass can inherit from superclass in different ways g) Based on how subclass inherit from superclass inheritance divided in to three types (i) single inheritance (ii) multiple inheritance (iii) multilevel inheritance Q.4 Object Oriented Integration testing (OOIT) 1. Object oriented integration testing does not relies on top down and bottom up approach because it does not have hierarchical structure 2. Apart from this difference fundamentals of OOIT is same to fundamentals of traditional Integration testing 3. It is done after class testing 4. It is difficult and complicated task for tester to check s/w bug at integration level of OOT 5. There are different strategies of OOIT as follows
  • 18.
    18 BY:- MaheshDangare a) Thread based testing :- tester integrate all class to check functionality of thread or event in them b) Use based testing :- tester integrate all classes that required by same use case in other word all class that implemented with same logic are combine together tested as single entity c) Cluster based testing: - it relies on concept of cluster. Tester integrates some class that show same result to create cluster. Classes that have same property and functionality are treated as single block or cluster Q.5 Object Oriented System testing (OOST) 1. It is part of software testing that check weather software design according to stipulated specification 2. It is perform before software is deliver to customer to ensure it meet all user expectation 3. It check system or computer support software and contain all requirement specification that has to be executed 4. It is also called as functional testing because it focus on function and working of software 5. It check compatibility of s/w with reference to configuration of system 6. It categorize in to following types g) Recovery testing :- it check how quickly system recover form error h) Reliability testing :- it check consistency of system with regards to software i) Security testing: - it checks security architecture of system. It done to check system is secure from unauthorized access. It is done in two ways iii. Authorization :- it check user is authorize from system or not iv. Authentication :- it check the user is authenticated to use system j) Performance testing :- it check runtime performance of system. It is done in two ways. iii. Stress testing :- It check system from unusual stress iv. Load testing :- it check system from unusual load
  • 19.
    19 BY:- MaheshDangare k) Maintenance testing :- it check the maintenance of system Q.6 Class testing 1. Class testing is smallest unit of OOP of software 2. Testing class is integral part of software testing in which tester check class of source code of program to make it error free. 3. Testing find many difficulties while testing class there are as follows a) Difficulties due to encapsulation b) Difficulties due to polymorphism c) Difficulties due to inheritance 4. Process of class testing a) Class testing focus on each attributes of classes such as method and object b) Tester integrate different method of each class in sequence and generate test cases for each attribute c) Test cases contain information about attribute operation and list of exception where test case does not behave in same way at the time of testing d) Tester identify test case for each attribute e) They test the class with the help of test case that is uniquely generated for each attribute f) Hence class testing based on test cases
  • 20.
    20 BY:- MaheshDangare UNIT 6 Q.1 Qualitative data analysis 1. There are two types of data analysis one is Qualitative data analysis and second is quantitative data analysis. 2. Qualitative data indicate the classes and range in which attribute of process or product is present. 3. It is also called as categorical data 4. It deals with description 5. Eg. representation of grade as a, b, c, d. 6. Data can be observed but not measured 7. Qualitative data is selected when there is no accurate measurement of data 8. Qualitative data collected by observation of open ended interview. Advantages 1. It is judgmental. 2. Since it is perception based data gathering it is very fast. 3. It is use effectively when there is major problem in system 4. No need of expert in area. 5. Independent of measurement process and measurement instrument. 6. Highly dependent on person giving rating. Disadvantages 1. Since it is perception based data gathering it changes from person to person or instance to instance. 2. It may not be accurate. 3. It is not useful in highly accurate environment Q.2 State and explain different test estimation 1. Function point :- a) Function point is measure from function of user point of view. b) Function point is direct indicator of functionality of software application form user perspective. c) It is most accepted technique of estimate size of project. d) It is part of TMAP e) Function point is base of TMAP
  • 21.
    21 BY:- MaheshDangare 2. Work breakdown structure (WBS) a) WBS break project in to pieces b) Module are divided in to sub module c) Sub module divided in to functionality. d) Functionality divided in to sub functionality. 3. Delphi technique a) It same as above WBS in DP. b) WBS decomposed in to sub task and distributed to team comprising of 3 to 7 members for re-estimation. c) The final estimation is result of summarize estimation based on team consensus. 4. Three point estimation a) It is based on statistical data. b) It same as WBS technique c) Task are divided in to sub task and three estimation are done d) Optimistic estimate = a, most likely estimate = m, pessimistic estimate = b. e) The formula for find estimate = a+(4*m)=b/6 f) The standard deviation is SD =(n-e)/6 Q.3 Why it is necessary to have test process improvement model (TPI) 1. TPI model developed by Kooman and Pol in 1997 2. The main reason of developing TPI model is testing is consider as important but difficult and uncontrolled process. 3. Testing is often consider as expensive and uncontrolled process 4. Testing take too much time and cost more than planed 5. Therefore quality of information system and risk for business challenging to determine 6. Improving test process can solve these problems 7. TPI can provide guideline to make test process improvement easy 8. Kooman and Pol publish book about TPI in 1999 9. TPI offers framework to determine weak and strong area of testing process in an organization 10. In addition maturity of test process can be assessed. 11. In addition TPI model support determining test improvement activity 12. TPI model contain following parts Maturity model, test maturity matrix, checklist, improvement suggestion. Q.4 What is importance of test report and its types 1. Test report is document used in software engineering and electronic engineering in particularly by quality assurance team or individual that describe testing process and testing procedure
  • 22.
    22 BY:- MaheshDangare 2. Now days software project have document that required high level of maturity 3. In this process most of the company did not give even little importance to documentation as they give to development phase 4. Documentation can make testing easy and systematic 5. Documentation can save cost as well as time on that project 6. Improper test report can leads to failure during acceptance of product by client 7. There are various type of test report are as follows a) Unit test report :- It is generated at the end of unit testing activity. As the unit testing happen when unit are completed. It is not the formal report but informal communication between various stakeholder. b) Integration test report :- it is generated at the end of integration activity. One can say something software is tested when units are bundle together. Integration test report tell weather integration of various units are successful or not. c) System test report :- it is generated when individual system testing cycle are completed. In include all special and planed iteration of testing. d) Acceptance test report :- it is generally made in two phase or sometimes three. Alpha acceptance test report when testing done at development site. Beta acceptance test report when business pilot is conducted. It is generated by the customer. e) Various interim test report :- There are various interim test report as individual steps of testing are completed. This include unit test report, module test report, requirement review report, detail design report. Q.5 Define efforts and explain its types 1. In software development test effort refers to expenses for test. 2. There is relation between test cost and failure cost. 3. There four types of efforts are as follows i. Estimated effort ii. Budged effort iii. Approved effort iv. Actual effort Q.6 Steps of test process improvement (1) PLAN (2) DO (3) CHECK (4) ACT 1. It is also called as PDCA cycle 2. It is never ending cycle of improvement
  • 23.
    23 BY:- MaheshDangare 3. It is wheel of improvement continuously rolling up the problem solving skill and achieve better result for organization in each iteration (1)Plan :- i. Plan for improvement based vision and mission definition ii. Planning include various question like what, where, when, why, how about various activities iii. Expected result must be define and action must be plan to achieve answer iv. Baseline studies are important for planning define where one is standing and vision define where one wishes to go. (2)Do :- i. Organization must work in direction set by plan which is just road map ii. Planning set tone but execution make plan work iii. Do process need software hardware resources, training etc. for execution of plan (3)Check :- i. Compare actual outcome of do with expected output ii. It is done periodically to check weather progress is in proper direction or weather plan is right or not (4)Act :- i. Action must be decided to correct situation if any deviation observed in actual outcome and expected result ii. Action include changing plan, approach, expected result iii. When actual outcome and expected result match with degree of variation then plan going in right direction
  • 24.
    24 BY:- MaheshDangare Q.7 Statistical tools used in Qualitative analysis 1) Barchart 2) Balance scoreboard 3) Pie chart
  • 25.
    25 BY:- MaheshDangare 4) Pareto chart 5) Runchart 6) Control chart
  • 26.
    26 BY:- MaheshDangare 7) Scatter plot