NOTICE OF A PUBLIC MEETING

                            AN AGENDA OF A REGULAR MEETING OF THE CITY COUNCIL
                                       THE CITY OF SAN ANGELO, TEXAS
                                      9:00 A.M. - Tuesday, September 18, 2012
                                   McNease Convention Center, South Meeting Room
                                               500 Rio Concho Drive

THE MCNEASE CONVENTION CENTER IS ACCESSIBLE TO PERSONS WITH DISABILITIES.
ACCESSIBLE ENTRIES AND SPECIALLY MARKED PARKING SPACES ARE AVAILABLE AT BOTH
MAIN ENTRANCES AT SURBER DRIVE AND RIO CONCHO DRIVE. IF ADDITIONAL ASSISTANCE
IS NEEDED TO OBSERVE OR COMMENT, PLEASE NOTIFY THE OFFICE OF THE CITY CLERK,
ROOM 202, CITY HALL, 657-4405, AT LEAST 24 HOURS PRIOR TO THE MEETING.

City Council meetings are broadcast on Channel 17-Government Access at 10:30 A.M. and 7:00 P.M. every
day for two weeks beginning on the Thursday after each meeting.

         As a courtesy to those in attendance, please place your cell phone on “Silent” or “Vibrate”
                                                 Thank You!

I.    OPEN SESSION (9:00 A.M.)
      A. Call to Order
      B. Prayer and Pledge
         "Honor the Texas flag; I pledge allegiance to thee, Texas, one state under God, one and indivisible.”
      C. Proclamation
         “Fire Prevention Week”, October 7-13, 2012, to be accepted by Thomas Truett, Fire Inspector for the City
         of San Angelo
      D. Recognition
         AJ Fawver, Planning Manager, for being named to the American Institute of Certified Planners
      E. Public Comment
         The Council takes public comment on all items in the Regular Agenda. Public input on a Regular Agenda
         item will be taken at its appropriate discussion. Public input on an item not on the Agenda or Consent
         Agenda may be identified and requested for consideration by the Council at this time. The Council may
         request an item to be placed on a future agenda, or for a Consent Agenda item, to be moved to the Regular
         Agenda for public comment.
II.   CONSENT AGENDA
         1. Consideration of approving the following City Council meeting minutes: August 30, 2012, September
            4, 2012, and September 5, 2012
         2. Consideration of adopting a Resolution authorizing the Interim City Manager of his designee to
            execute a Planning Agreement by and between the Texas Department of Transportation, the San
            Angelo Metropolitan Planning Organization Policy Board, and the City of San Angelo, providing for
            the Urban District Transportation Planning and superseding prior agreements between the parties
         3. Consideration of authorizing the Interim City Manager execute an grant agreement accepting the
            Federal Aviation Administration’s FY-2012 Multi Year Grant (Grant No. 3-48-0191-033-2012)
            estimated at $4,000,000.00 for which $444,444.00 will be City’s portion in matching funds for
            improvements a San Angelo Regional Airport


City Council Agenda                                 Page 1 of 7                                September 18, 2012
4. Consideration of authorizing a fourth amended Architectural and Consulting Services Agreement with
            Killis Almond Architects, PC for the design of Auditorium roof and coping replacement and
            authorizing the Interim City Manager to execute said amendment

         5. Second Hearing and consideration of adoption of an Ordinance repealing in its entirety the Ordinance
            introduced, passed, approved and adopted on the 5th day of April, 2005 naming a private drive on Lot
            1 in Southland Park Addition, Section Fifteen, Time Clock Drive; and providing an effective date
         6. Second Hearing and consideration of adoption of an Ordinance naming a private drive within the City
            of San Angelo located on a 3.757 acre tract in Block CC, Section 30 College Hills South Addition,
            Time Clock Drive; and providing an effective date
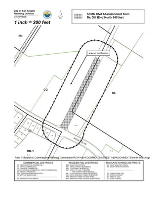
         7. Second Hearing and consideration of adoption of an Ordinance authorizing abandonment of public
            right-of-way for Smith Boulevard extending approximately 1000 feet northward from the intersection
            of Smith Boulevard and McGill Boulevard in northeastern San Angelo
             AN ORDINANCE PROVIDING FOR THE ABANDONMENT AND CLOSING OF THE
             FOLLOWING STREET SEGMENT, TO WIT: An approximately 80’ wide portion of the unimproved
             public right-of-way for Smith Boulevard, extending approximately 1000’ northward from McGill
             Boulevard, immediately adjacent to property owned by Howard College in northeast San Angelo;
             AUTHORIZING THE CONVEYANCE THEREOF TO THE ABUTTING PROPERTY OWNERS;
             PROVIDING FOR THE TERMS AND CONDITIONS OF ABANDONMENT AND
             CONVEYANCE; AND PROVIDING FOR THE MAYOR TO EXECUTE AND DELIVER A QUIT
             CLAIM DEED TO THE ABUTTING PROPERTY OWNERS
         8. Second Hearing and consideration of adoption of an Ordinance amending Chapter 12, Exhibit “A”
            (Zoning Ordinance) of the Code of Ordinances, City of San Angelo
             Z 12-03: Howard College Campus
             AN ORDINANCE AMENDING CHAPTER 12, EXHIBIT “A” OF THE CODE OF ORDINANCES,
             CITY OF SAN ANGELO, TEXAS, WHICH SAID EXHIBIT “A” OF CHAPTER 12 ADOPTS
             ZONING REGULATIONS, USE DISTRICTS AND A ZONING MAP, IN ACCORDANCE WITH A
             COMPREHENSIVE PLAN, BY CHANGING THE ZONING AND CLASSIFICATION OF THE
             FOLLOWING PROPERTY, TO WIT: 3501 North US Highway 67, encompassing the area known as
             the Howard College, more specifically, being 33.802 acres out of the J. Pointevent Survey 1113,
             Abstract 4873, and Paulann Park Addition, Section 3, Tract H, being 0.76 acre, and Paulann Park
             Addition, Section 3, Tract G, being the northwestern 0.145 acre, in northeast San Angelo, a zone
             change from a combination of General Commercial (CG) and Light Manufacturing (ML) to Planned
             Development (PD) District; PROVIDING FOR SEVERABILITY AND PROVIDING A PENALTY
         9. Second Hearing and consideration of adoption of an Ordinance amending Chapter 12, Exhibit “A”
            (Zoning Ordinance) of the Code of Ordinances, City of San Angelo
             SU 12-01: Daryl Presley
             AN ORDINANCE AMENDING CHAPTER 12, EXHIBIT “A” OF THE CODE OF ORDINANCES,
             CITY OF SAN ANGELO, TEXAS, WHICH SAID EXHIBIT “A” OF CHAPTER 12 ADOPTS
             ZONING REGULATIONS, USE DISTRICTS AND A ZONING MAP, IN ACCORDANCE WITH A
             COMPREHENSIVE PLAN, BY CHANGING THE ZONING AND CLASSIFICATION OF THE
             FOLLOWING PROPERTY, TO WIT: 2229 W Beauregard, located at the intersection of W
             Beauregard Avenue and South Pierce Street; more specifically occupying the Village Shopping Center
             Condo Subdivision, Block 25, Lots 5-8, in western San Angelo, to allow for a "Firearms Range" on
             property in a General Commercial/ Heavy Commercial (CG/CH) district; PROVIDING FOR
             SEVERABILITY AND PROVIDING A PENALTY




City Council Agenda                                Page 2 of 7                               September 18, 2012
10. Second Hearing and consideration of adoption of an Ordinance amending Chapter 12, Exhibit “A”
             (Zoning Ordinance) of the Code of Ordinances, City of San Angelo
             Z 12-09: Donald Spradley
             AN ORDINANCE AMENDING CHAPTER 12, EXHIBIT “A” OF THE CODE OF ORDINANCES,
             CITY OF SAN ANGELO, TEXAS, WHICH SAID EXHIBIT “A” OF CHAPTER 12 ADOPTS
             ZONING REGULATIONS, USE DISTRICTS AND A ZONING MAP, IN ACCORDANCE WITH A
             COMPREHENSIVE PLAN, BY CHANGING THE ZONING AND CLASSIFICATION OF THE
             FOLLOWING PROPERTY, TO WIT: 13 W 11th Street, located approximately 160 feet from the
             intersection of North Chadbourne Street and W 11th Street; more specifically occupying the Miles
             Addition, Block 52, Lot 4, in central San Angelo, changing the zoning classification from Two Family
             Residential (RS-2) to General Commercial (CG) District; PROVIDING FOR SEVERABILITY AND
             PROVIDING A PENALTY
         11. Second Hearing and consideration of adoption of an Ordinance authorizing abandonment of public
             right-of-way in Lake View Addition Block 40 and the Jacoby Addition, Block 1 in northern San
             Angelo
             AN ORDINANCE PROVIDING FOR THE ABANDONMENT AND CLOSING OF THE
             FOLLOWING STREET SEGMENT, TO WIT: An approximately 10’ x 123’ portion of alley running
             east to west, perpendicular to Travis Street, between The Jacoby Addition, Block 1, Lot 1 and Lake
             View Addition, Block 40, Lots 5-7 in northern San Angelo; AUTHORIZING THE
             CONVEYANCE THEREOF TO THE ABUTTING PROPERTY OWNERS; PROVIDING FOR THE
             TERMS AND CONDITIONS OF ABANDONMENT AND CONVEYANCE; AND
             PROVIDING FOR THE MAYOR TO EXECUTE AND DELIVER A QUIT CLAIM DEED TO
             THE ABUTTING PROPERTY OWNERS
III. REGULAR AGENDA:
     F. EXECUTIVE/CLOSED SESSION
         Executive Session under the provision of Government Code, Title 5. Open Government; Ethics, Subtitle
         A. Open Government, Chapter 551. Open Meetings, Subchapter D. Exceptions to Requirement that
         Meetings be Open, Section 551.072 to deliberate the purchase, exchange, lease, or value of real property
         Executive Session under the provision of Government Code, Title 5. Open Government; Ethics, Subtitle
         A. Open Government, Chapter 551. Open Meetings, Subchapter D. Exceptions to Requirement that
         Meetings be Open, Section 551.071 to consult with attorney on matters related to the TriCity Water
         initiatives and other legal matters pertaining to water acquisition rights
         Executive Session under the provision of Government Code, Title 5. Open Government; Ethics, Subtitle
         A. Open Government, Chapter 551. Open Meetings, Subchapter D. Exceptions to Requirement that
         Meetings be Open, Section 551.087 to discuss an offer of financial or other incentive to a company or
         companies with whom the City of San Angelo is conducting economic development negotiations and
         which the City of San Angelo seeks to have, locate, stay or expand in San Angelo

     G. PUBLIC HEARING AND COMMENT
         12. Presentation and update from Downtown San Angelo Main Street Program
             (Presentation by DSA President Brenda Gunter)
         13. Status update and discussion of Avenue P Drainage Remediation Project
             (Presentation by City Engineer Clinton Bailey)
         14. First Public Hearing and consideration of introduction of an Ordinance amending the standards for
             visual clearance on corner lots
             AN ORDINANCE AMENDING CHAPTER 12, EXHIBIT “A” ENTITLED “ZONING
             ORDINANCE”, ARTICLE 5 ENTITLED “GENERAL DEVELOPMENT STANDARDS”,
City Council Agenda                                Page 3 of 7                                September 18, 2012
SECTION 510 ENTITLED “VISUAL CLEARANCE ON CORNER LOTS”, BY RESTATING SAID
             SECTION TO PROVIDE FOR AN EXCEPTION OF THE REQUIREMENT FOR MAINTENANCE
             OF A “SIGHT TRIANGLE” ON CERTAIN CORNER LOTS FOR THE CENTRAL BUSINESS
             DISTRICT; AND PROVIDING FOR AN EFFECTIVE DATE
             (Presentation by Planning Manager AJ Fawver)
         15. Consideration of authorizing the Interim City Manager or designee to execute a Professional Services
             Agreement between the City of San Angelo and Gateway Planning Group to carry out services
             outlined in CED 05-11 in preparing a Small Area Plan for Lake Nasworthy to provide professional
             land use planning services in a targeted area of Lake Nasworthy
             (Presentation by Planning Manager AJ Fawver)
         16. Discussion, update, and presentation regarding status of PL-01-12 Downtown Master Developer
             (Presentation by Planning Manager AJ Fawver)
         17. Update on the Self-Insurance Fund and consideration of authorizing the health insurance premiums for
             calendar year 2013
             (Presentation by Human Resources Director Lisa Marley)
         18. Discussion regarding dental benefits for retirees and Cost of Living Adjustments for retirees
             (Requested by Councilmember Farmer)
         19. Pay and Classification Study update; and discussion of methodology and approval of pay increases for
             City employees
             (Presentation by Human Resources Director Lisa Marley, Interim City Manager Michael Dane, and
             Budget Manager Morgan Trainer)
         20. Second Public Hearing and consideration of adoption of an Ordinance levying property taxes for the
             City of San Angelo for the 2012 tax year
             AN ORDINANCE FIXING AND LEVYING AD VALOREM TAXES FOR THE USE AND
             SUPPORT OF THE MUNICIPAL GOVERNMENT OF THE CITY OF SAN ANGELO, TEXAS,
             FOR THE 2012-2013 BUDGET YEAR; PROVIDING FOR THE ASSESSMENT AND
             COLLECTION THEREOF; PROVIDING WHEN THE TAX SHALL BECOME DUE; PROVIDING
             WHEN THE TAX SHALL BECOME DELINQUENT; PROVIDING FOR EXEMPTIONS;
             PROVIDING FOR SEVERABILITY; PROVIDING FOR PUBLICATION ON THE CITY
             OPERATED WEB SITE; AND, PROVIDING FOR AN EFFECTIVE DATE.
             (Presentation by Budget Manager Morgan Trainer)
         21. First Public Hearing and consideration of introduction of an Ordinance amending Appendix A of the
             Code of Ordinances, City of San Angelo regarding utility related fees
             AN ORDINANCE AMENDING APPENDIX A, “FEE SCHEDULE”, ARTICLE 8.000 “UTILITY
             RELATED FEES”, OF THE CODE OF ORDINANCES, CITY OF SAN ANGELO, TEXAS,
             AMENDING SECTION 8.1500 “CHARGE FOR COLLECTION OF GARBAGE AND TRASH”,
             BY RESTATING SUBPART (a) RESIDENTIAL SERVICES”, (1) “RESIDENCE SERVICE
             CHARGES”, ADJUSTING RESIDENCE SERVICE CHARGES; AMENDING SECTION 8.1500
             “CHARGE FOR COLLECTION OF GARBAGE AND TRASH”, BY RESTATING SUBPART (b)
             “COMMERCIAL SERVICE”, (2) “COMMERCIAL SERVICE CHARGES”, ADJUSTING
             COMMERCIAL SERVICE CHARGES; AMENDING SECTION 8.1700 “LANDFILL CHARGES”,
             BY RESTATING SUBPARTS (a), (f) AND (g), ADJUSTING LANDFILL CHARGES FOR
             LICENSED COLLECTORS, CITY RESIDENTS, NON-RESIDENTS, AND FOR GARBAGE
             DUMPED BY OR FOR CERTAIN GOVERNMENT ENTITIES; PROVIDING FOR
             SEVERABILITY; AND PROVIDING AN EFFECTIVE DATE
             (Presentation by Budget Manager Morgan Trainer and Operations Director Ricky Dickson)
City Council Agenda                                Page 4 of 7                                September 18, 2012
BUDGET RELATED ITEMS #22 THROUGH #28 WILL BE PRESENTED BY BUDGET
         MANAGER MORGAN TRAINER AND RELATED STAFF
         22. First Public Hearing and consideration of introduction of Ordinance amending Appendix A “Fee
             Schedule” related to the FY 2012-2013 Budget regarding Alarm Permit Fees
             AN ORDINANCE AMENDING APPENDIX A, “FEE SCHEDULE”, ARTICLE 3.000 “BUSINESS
             RELATED FEES”, SECTION 3.900 “ALARM PERMIT FEES” OF THE CODE OF
             ORDINANCES, CITY OF SAN ANGELO, TEXAS, BY RESTATING SAID SECTION TO
             ADJUST ALARM PERMIT FEES FOR BURGLARY AND ROBBERY ALARM SYSTEMS,
             FALSE BURGLARY AND ROBBERY ALARM FEES, AND REINSTATEMENT FEE, AND
             PROVIDING FOR AN ANNUAL BURGLARY AND ROBBERY ALARM SYSTEM PERMIT
             LATE FEE; PROVIDING FOR SEVERABILITY; AND PROVIDING AN EFFECTIVE DATE
         23. First Public Hearing and consideration of introduction of Ordinance amending Appendix A “Fee
             Schedule” related to the FY 2012-2013 Budget regarding abandoning of rights-of-ways
             AN ORDINANCE AMENDING APPENDIX A, “FEE SCHEDULE”, ARTICLE 9.000 “PLANNING
             RELATED FEES”, SECTION 9.500.5 “CONVEYANCE OF PROPERTY INTEREST,” BY
             RESTATING SAID SECTION TO PROVIDE FOR AN ADMINISTRATIVE PROCESSING FEE IN
             ADDITION TO THE REQUIRED FEE FOR VALUE ON THE CONVEYANCE OF CITY’S
             INTEREST IN RIGHTS-OF-WAY
         24. First Public Hearing and consideration of introduction of Ordinance amending Appendix A “Fee
             Schedule” related to the FY 2012-2013 Budget regarding planning related fees
             AN ORDINANCE AMENDING APPENDIX A, “FEE SCHEDULE”, ARTICLE 9.000 “PLANNING
             RELATED FEES”, OF THE CODE OF ORDINANCES, CITY OF SAN ANGELO, TEXAS,
             AMENDING SECTION 9.200 “PLANNING AND DEVELOPMENT FEES”, RESTATING SAID
             SECTION TO CREATE A SINGLE APPLICATION FEE FOR CHANGES OF ZONING
             CLASSIFICATION BY CREATING AN APPLICATION FEE FOR A SPECIAL USE, BY
             CREATING AN APPLICATION FEE FOR A CONDITIONAL USE, BY CREATING A FEE FOR
             ALL APPLICATIONS FOR ZONE CHANGE TO PD DISTRICT, BY PROVIDING FOR ZONE
             CHANGE SIGN DEPOSIT AND REFUND OF SIGN DEPOSIT, AND BY CREATING A FEE FOR
             FILING OF AN APPEAL; REPEALING SECTION 9.200.5 “PLANNED DEVELOPMENT FEES;
             AMENDING SECTION 9.300 “ZONING BOARD APPLICATION FEES”, RESTATING SAID
             SECTION TO ADJUST THE FEES FOR A REQUEST FOR VARIANCE FROM ZONING
             REGULATIONS AND THE FEE FOR APPEAL; AMENDING SECTION 9.400 “PRELIMINARY
             PLATS/FINAL PLATS/REPLATS (EXCEPT ADMINISTRATIVE SUBDIVISIONS)”,
             RESTATING SAID SECTION TO PROVIDE FEES FOR APPLICATIONS FOR PRELIMINARY
             PLAT, FINAL PLAT AND REPLAT, AND A SUPPLEMENTAL FEE FOR REPLATS THAT
             REQUIRE RENOTIFICATION; AMENDING SECTION 9.400.5 “FINAL PLATS/REPLATS OF
             ADMINISTRATIVE SUBDIVISIONS”, RESTATING SAID SECTION TO PROVIDE FEES FOR
             APPLICATIONS FOR FINAL AND REPLATS OF ADMINISTRATIVELY ELIGIBLE
             SUBDIVISIONS, AND SUPPLEMENTAL FEE FOR FINAL PLAT OR REPLAT REQUIRING
             NOTIFICATION; AMENDING SECTION 9.500 “MISCELLANEOUS PLANNING FEES”,
             RESTATING SAID SECTION TO UPDATE FEES FOR MISCELLANEOUS REQUESTS;
             PROVIDING FOR SEVERABILITY; AND PROVIDING AN EFFECTIVE DATE
         25. First Public Hearing and consideration of introduction of Ordinance amending Chapter 7 regarding
             restaurant permit fees
             AN ORDINANCE AMENDING CHAPTER 7 “HEALTH & SANITATION”, ARTICLE 7.200
             “REGULATION OF FOOD ESTABLISHMENTS”, SECTION 7.201 “DEFINITIONS” OF THE
             CODE OF ORDINANCES OF THE CITY OF SAN ANGELO, TEXAS, BY ADDING A
             DEFINITION FOR “SEASONAL”; AMENDING APPENDIX A, “FEE SCHEDULE”, ARTICLE
             13.000 “HEALTH AND SANITATION RELATED FEES”, OF THE CODE OF ORDINANCES,
             CITY OF SAN ANGELO, TEXAS, SECTION 13.001 “RESTAURANT PERMIT FEES” BY
City Council Agenda                               Page 5 of 7                             September 18, 2012
RESTATING SAID SECTION TO PROVIDE FOR THE ADJUSTMENT OF RESTAURANT
             PERMIT FEES AND LATE FEE; PROVIDING FOR SEVERABILITY; AND PROVIDING AN
             EFFECTIVE DATE
         26. First Public Hearing and consideration of introduction of Ordinance amending Appendix A “Fee
             Schedule” related to the FY 2012-2013 Budget regarding the Office of the City Attorney’s fees
             AN ORDINANCE AMENDING APPENDIX A, ENTITLED “FEE SCHEDULE,” OF THE CODE OF
             ORDINANCES OF THE CITY OF SAN ANGELO, TEXAS BY ADDING A NEW ARTICLE 15.000
             ESTABLISHING A FEE SCHEDULE OF ADMINISTRATIVE FEES TO BE CHARGED BY THE
             OFFICE OF THE CITY ATTORNEY FOR ADMINISTRATIVE EXPENSES AND COSTS
             INCURRED IN ENGAGING IN THE COLLECTION OF MONIES OWED THE CITY OF SAN
             ANGELO, TEXAS, PROVIDING FOR SEVERABILITY; AND PROVIDING FOR AN EFFECTIVE
             DATE
         27. First Public Hearing and consideration of introduction of Ordinance amending Appendix A “Fee
             Schedule” related to the FY 2012-2013 Budget regarding administrative abatement service fees
             AN ORDINANCE AMENDING APPENDIX A, “FEE SCHEDULE”, ARTICLE 4.000 “FEES FOR
             THE ABATEMENT OF JUNK AND THE IMPOUNDMENT AND SALE OF PROPERTY”, OF
             THE CODE OF ORDINANCES, CITY OF SAN ANGELO, TEXAS, BY ADDING A NEW
             SECTION 4.300 “JUNK, TRASH, WEEDS AND UNSANITARY CONDITIONS
             ADMINISTRATIVE ABATEMENT SERVICE FEE” TO PROVIDE FOR AN ADMINISTRATIVE
             ABATEMENT SERVICE FEE FOR THE ABATEMENT BY THE CITY OF UNSANITARY
             CONDITIONS; PROVIDING FOR SEVERABILITY; AND PROVIDING AN EFFECTIVE DATE
         28. First Public Hearing and consideration of introduction of Ordinance amending Appendix A “Fee
             Schedule” related to the FY 2012-2013 Budget regarding taxicab permit fees
             AN ORDINANCE AMENDING APPENDIX A, “FEE SCHEDULE”, ARTICLE 3.000 “BUSINESS
             RELATED FEES”, OF THE CODE OF ORDINANCES, CITY OF SAN ANGELO, TEXAS,
             SECTION 3.300 “TAXICAB PERMIT FEE”, SUBPARAGRAPH (a), BY RESTATING SAID
             SUBPARAGRAPH (a) TO PROVIDE FOR THE ADJUSTMENT OF TAXICAB PERMIT FEES;
             PROVIDING FOR SEVERABILITY; AND PROVIDING AN EFFECTIVE DATE
         29. First Public Hearing and consideration of introduction of Ordinance amending Article 11.200 of the
             Water Conservation and Drought Contingency Ordinance by adding a new subsection to the
             Exception and Variance Section
             AN ORDINANCE AMENDING CHAPTER 11, ARTICLE 11.200, SECTION 11.204 OF THE
             CODE OF ORDINANCES, CITY OF SAN ANGELO, TEXAS, ENTITLED “WATER
             CONSERVATION AND DROUGHT CONTINGENCY PLAN”, BY AMENDING SUBSECTION
             11.204(a) “EXCEPTIONS”; PROVIDING FOR SEVERABILITY; PROVIDING FOR A PENALTY;
             AND PROVIDING FOR AN EFFECTIVE DATE
             (Presentation by Water Utilities Director Will Wilde)
         30. Consideration of adopting a Resolution implementing Drought Level III of the City’s Water
             Conservation and Drought Contingency Plan
             (Presentation by Water Utilities Director Will Wilde)
         31. Consideration of matters related to the filling and operation of city fountains, water lily basins and
             Love Municipal Pool during Drought Stage III
             (Presentation by Parks and Recreation Director Carl White)
         32. Discussion and possible action to adopt a Resolution establishing a uniform policy for the City of San
             Angelo’s Boards and Commissions
             (Requested by Councilmember Hirschfeld)

City Council Agenda                                 Page 6 of 7                                September 18, 2012
H. FOLLOW UP AND ADMINISTRATIVE ISSUES

         33. Consideration of matters discussed in Executive/Session, if needed
         34. Consideration of various Board nominations by Council and designated Councilmembers:
             a. Design and Historic Review Commission:
                     To a first full term September 2014: Bill Carter (SMD2), Benjamin Villarreal (SMD3), Hal
                      Noelke (SMD5), and Gary Donaldson (SMD6)
                     To a first full term September 2013: Margaret Mallard (SMD4)
             b. Development Corporation: Pedro Ramirez (SMD3) to an unexpired term February 2013
         35. Announcements and consideration of Future Agenda Items
             The City of San Angelo will host a Grand Opening event for the newly renovated City Hall, 72 W.
             College, and Community Development Building, 52 W. College, on Thursday, October 18, 2012,
             from 5:00 P.M. to 8:00 P.M.
         36. Adjournment

        Given by order of the City Council and posted in accordance with Title 5, Texas Government Code, Chapter
        551, Friday, September 14, 2012, at 5:00 P.M.


      /x/________________________
      Alicia Ramirez, City Clerk




City Council Agenda                                 Page 7 of 7                              September 18, 2012
CITY COUNCIL MINUTE RECORD
The City of San Angelo                                                                                Page 699
Tuesday, August 30, 2012                                                                              Vol. 103

                                              OPEN SESSION

BE IT REMEMBERED City Council convened in a special meeting at 1:34 P.M., Tuesday, August 30, 2012, in
the San Angelo McNease Convention Center, 500 Rio Concho Drive, San Angelo, Texas. All duly authorized
members of the Council, to-wit:

        Mayor, Alvin New
        Councilmember Paul Alexander
        Councilmember Dwain Morrison
        Councilmember Johnny Silvas
        Councilmember Fredd B. Adams, II
        Councilmember Kendall Hirschfeld
        Councilmember Charlotte Farmer
were present and acting, with the exception of Councilmember Adams, thus constituting a quorum.
Whereupon, the following business was transacted:
An invocation was given by and pledge was led by Mayor New.

SPECIAL AGENDA
EXECUTIVE/CLOSED SESSION
At 1:36 P.M., Council convened in Executive Session under the provision of Government Code, Title 5.
Open Government; Ethics, Subtitle A. Open Government, Chapter 551. Open Meetings, Subchapter D.
Exceptions to Requirement that Meetings be Open, Section 551.074 Personnel Matters to discuss the
appointment, employment, and duties of the City Manager.

OPEN SESSION (continued)

At 3:20 P.M. City Council concluded the Executive/Closed Session whereupon the following business was
transacted:

RECESS

At AP.M., Mayor New called a recess.

RECONVENE
At AP.M., Council reconvened, and the following business was transacted:

PUBLIC HEARING AND COMMENT

FOLLOW UP AND ADMINISTRATIVE ISSUES
CONSIDERATION OF MATTERS DISCUSSED IN EXECUTIVE/CLOSED SESSION
Motion, to select the following candidates as finalist for the position of City Manager: Christopher D. Coffman,
Jared H. Miller, Susan K. Thorpe, Daniel H. Valenzuela, and Melissa Byrne Vossmer, was made by
Councilmember Hirschfeld and seconded by Councilmember Silvas. Motion carried unanimously.
Page 700                                                                                              Minutes
Vol. 103                                                                                      August 30, 2012

ADJOURNMENT
Motion, to adjourn, was made by Councilmember Adams and seconded by Councilmember Farmer. Motion
carried unanimously.
The meeting adjourned at 3:24 P.M.

                                                           THE CITY OF SAN ANGELO


                                                           ___________________________________
                                                           Alvin New, Mayor

ATTEST:


_______________________________
Alicia Ramirez, City Clerk


In accordance with Chapter 2, Article 2.300, of the Official Code of the City of San Angelo, the minutes of this
meeting consist of the preceding Minute Record and the Supplemental Minute Record. Details on Council
meetings may be obtained from the City Clerk’s Office or a video of the entire meeting may be purchased from
the Public Information Officer at 481-2727. (Portions of the Supplemental Minute Record video tape recording
may be distorted due to equipment malfunction or other uncontrollable factors.)
CITY COUNCIL MINUTE RECORD
The City of San Angelo                                                                          Page 701
Tuesday, September 4, 2012                                                                      Vol. 103

                                            OPEN SESSION

BE IT REMEMBERED City Council convened in a regular meeting at 9:09 A.M., Tuesday, September 4, 2012,
in the San Angelo McNease Convention Center, 500 Rio Concho Drive, San Angelo, Texas. All duly
authorized members of the Council, to-wit:

        Mayor, Alvin New
        Councilmember Paul Alexander
        Councilmember Dwain Morrison
        Councilmember Johnny Silvas
        Councilmember Fredd B. Adams, II
        Councilmember Kendall Hirschfeld
        Councilmember Charlotte Farmer
were present and acting, with the exception of Councilmember Adams, thus constituting a quorum.
Whereupon, the following business was transacted:
An invocation was given by Bishop Michael Pfeiffer, OMI and pledge was led by Colby Grafa, 5th Grader,
Bowie Elementary, son of Steven Grafa, Parks Facilities Crew Leader.
PROCLAMATIONS
“Day of Community Prayer for the success of this year’s United Way Campaign in the Concho Valley”,
September 4, 2012, was accepted by Patti Breitreiter, President & CEO of the United Way of the Concho
Valley, Donna Brosh, Campaign Director, and Bishop Michael Pfeiffer, OMI.
“United Way of the Concho Valley's Children's Day”, September 15, 2012, was accepted by Patti Breitreiter,
President & CEO of the United Way of the Concho Valley, Donna Brosh, Campaign Director, and Bishop
Michael Pfeiffer, OMI.
“Constitution Week”, September 17th through 24th, 2012, was accepted by Shirley Dobson, Texas Society
Daughters of the American Revolution, District X Director.
PUBLIC COMMENT
Public comments were made by WTOS member Jerry Sea.
CONSENT AGENDA
APPROVAL OF THE AUGUST 21, 2012 CITY COUNCIL REGULAR MEETING MINUTES
ADOPTION OF A RESOLUTION AWARDING A UNIT SUPPLY BID FOR EMS SUPPLIES, RFB NO.
FD-01-12, TO ZOLL MEDICAL CORPORATION, AND AUTHORIZATION FOR THE INTERIM CITY
MANAGER OR HIS DESIGNEE TO NEGOTIATE AND EXECUTE A CONTRACT THEREFORE AND
RELATED PURCHASING DOCUMENTS ON BEHALF OF THE CITY OF SAN ANGELO FIRE
DEPARTMENT, AND PROVIDING FOR AN EFFECTIVE DATE (Page 711, #2012-09-121)
CONSIDERATION OF AUTHORIZING THE SALE OF THE PROPERTY LOCATED AT 2202 JOY ROAD
(HIRSCHFELD) FOR THE APPRAISED VALUE OF $49,300.00 AND AUTHORIZATION FOR THE
MAYOR, INTERIM CITY MANAGER, OR WATER UTILITIES DIRECTOR TO EXECUTE ALL
NECESSARY LEGAL DOCUMENTS PERTAINING TO THE SALE OF SUBJECT PROPERTIES, SUBJECT
TO COMPLETION OF ALL CURATIVE REQUIREMENTS (Discussed in Regular Session)
Page 702                                                                    Minutes
Vol. 103                                                           September 4, 2012

ADOPTION OF A RESOLUTION APPROVING PARTICIPATION OF THE CITY OF SAN ANGELO IN
THE TEXAS EVENTS TRUST FUND FOR THE LUCAS OIL 2013 FIRST ANNUAL OFF ROAD RACING
EVENT AND AUTHORIZATION FOR THE INTERIM CITY MANAGER TO APPLY FOR A TEXAS
EVENTS TRUST FUND GRANT THEREFORE (Page 713, #2012-09-122)
ADOPTION OF A RESOLUTION ACCEPTING THE FY2013 PUBLIC HEALTH EMERGENCY
PREPAREDNESS GRANT FROM THE DEPARTMENT OF STATE HEALTH SERVICES IN THE
AMOUNT OF $110,166.00 WITH THE CITY PROVIDING A 10% MATCH OF $11,016.00 (Page 715,
#2012-09-123)
ADOPTION OF A RESOLUTION ACCEPTING THE FY2013 RLSS-LOCAL PUBLIC HEALTH SYSTEM
GRANT FROM THE DEPARTMENT OF STATE HEALTH SERVICES IN THE AMOUNT OF
$119,433.00 (Page 717, #2012-09-124)
CONSIDERATION OF APPROVING A COUNCILMEMBER HIRSCHFELD’S APPOINTMENT AS A
CITY REPRESENTATIVE TO THE CONCHO WATERMASTER ADVISORY COMMITTEE (Discussed in
Regular Session)
SECOND HEARING AND ADOPTION OF AN ORDINANCE TO DISSOLVE THE RIVER CORRIDOR
COMMISSION AND HISTORIC PRESERVATION COMMISSION AND TO CREATE A NEW
COMMISSION ENTITLED DESIGN AND HISTORIC REVIEW COMMISSION AND MATTERS
RELATED THERETO (Page 719, #2012-09-125)
AN ORDINANCE AMENDING CHAPTER 2 “ADMINISTRATION”, OF THE CODE OF ORDINANCES
OF THE CITY OF SAN ANGELO BY REPEALING ARTICLE 2.3000 ENTITLED “HISTORIC
PRESERVATION COMMISSION” IN ITS ENTIRETY; REPEALING ARTICLE 2.2800 ENTITLED
“RIVER CORRIDOR COMMISSION” IN ITS ENTIRETY AND ENACTING A NEW ARTICLE 2.2800
ENTITLED “DESIGN AND HISTORIC REVIEW COMMISSION”; PROVIDING FOR THE CREATION
OF THE COMMISSION; PROVIDING FOR THE QUALIFICATIONS AND TERMS OF
COMMISSIONERS; PROVIDING FOR DUTIES, OFFICERS, HISTORIC PRESERVATION OFFICER, EX-
OFFICIO MEMBERS, AND QUORUM OF THE COMMISSION; PROVIDING FOR BYLAWS;
PROVIDING FOR MEETINGS AND MINUTES; PROVIDING FOR ABSENT MEMBERS; AMENDING
CHAPTER 12, “PLANNING AND DEVELOPMENT”, ARTICLE 2 “DEVELOPMENT REVIEW, SECTION
215 “DECISION-MAKING BODIES AND OFFICIALS” BY AMENDING SUBPARAGRAPH “E”
SETTING FORTH POWERS OF THE DESIGN AND HISTORIC REVIEW COMMISSION; AMENDING
CHAPTER 12, “PLANNING AND DEVELOPMENT”, ARTICLE 2 “DEVELOPMENT REVIEW, SECTION
215 “DECISION-MAKING BODIES AND OFFICIALS” BY REPEALING SUBPARAGRAPH “F”;
AMENDING CHAPTER 12, “PLANNING AND DEVELOPMENT”, ARTICLE 12.700 “RIVER
CORRIDOR DEVELOPMENT”, BY REPEALING SECTIONS 12.704 AND 12.705 AND RESTATING
SECTION 12.702 ”DEFINITION OF RIVER CORRIDOR” AND 12.703 “ISSUANCE OF BUILDING
PERMITS; APPEALS”, PROVIDING FOR REVIEW OF CONSTRUCTION PLANS BY THE DESIGN
AND HISTORIC REVIEW COMMISSION; AMENDING CHAPTER 12, “PLANNING AND
DEVELOPMENT”, ARTICLE 12.800 “HISTORIC PRESERVATION TAX ABATEMENT”, BY
RESTATING SECTION 12.802 “HISTORIC OVERLAY ZONE TAX ABATEMENT”, AND SECTION
12.803 “HISTORIC PROJECT TAX ABATEMENT”, TO PROVIDE FOR HISTORIC OVERLAY TAX
ABATEMENT AND REVIEW BY THE DESIGN AND HISTORIC REVIEW COMMISSION, TO
PROVIDE FOR HISTORIC PROJECT TAX ABATEMENT ON APPLICATION TO THE DESIGN AND
HISTORIC REVIEW COMMISSION AND PROVIDING FOR APPEALS; AMENDING CHAPTER 12,
“PLANNING AND DEVELOPMENT”, EXHIBIT A, “ZONING ORDINANCE”, ARTICLE 2
“DEVELOPMENT REVIEW”, BY RESTATING SECTION 202 “SUMMARY OF DEVELOPMENT
REVIEW PROCEDURES”, TO PROVIDE A SUMMARY OF DEVELOPMENT REVIEW PROCEDURES;
AMENDING CHAPTER 12, “PLANNING AND DEVELOPMENT”, EXHIBIT A, “ZONING
Minutes                                                                                           Page 703
September 4, 2012                                                                                 Vol. 103

ORDINANCE”, ARTICLE 2, “DEVELOPMENT REVIEW”, BY RESTATING SECTION 211 “HISTORIC
OVERLAY ZONE”, PROVIDING FOR A HISTORIC OVERLAY ZONE AND PROCEDURES FOR
DESIGNATION OF LANDMARK OR DISTRICTS, FOR PUBLIC HEARING BEFORE THE DESIGN
AND HISTORIC REVIEW COMMISSION, AND FOR APPEAL; AMENDING CHAPTER 12, “PLANNING
AND DEVELOPMENT”, EXHIBIT A, “ZONING ORDINANCE”, BY REPEALING ARTICLE 3 “USE
REGULATIONS”, SECTION 308 “HO (HISTORIC OVERLAY ZONE)”, SUBCHAPTER F “DEMOLITION
BY NEGLECT”; AMENDING CHAPTER 12, “PLANNING AND DEVELOPMENT, EXHIBIT C, “LAND
DEVELOPMENT AND SUBDIVISION ORDINANCE”, CHAPTER 5 “PROCEDURAL REQUIREMENTS
FOR PROCESSING SUBDIVISIONS” BY REPEALING SECTION VII “RIVER CORRIDOR
DEVELOPMENT; PROVIDING FOR SEVERABILITY OF TERMS AND PROVISIONS; AND,
PROVIDING FOR AN EFFECTIVE DATE.
Councilmember Hirschfeld requested the sale of the property located at 2202 Joy Road (Hirschfeld) be
considered in the Regular Agenda and further recused himself from voting on the item. Council concurred
Councilmember Farmer requested the item regarding Hirschfeld’s appointment as a city representative to the
Concho Watermaster Advisory Committee also be considered in the Regular Agenda. Council concurred.
Motion, to approve the Consent Agenda, as presented, with the exception of items regarding 2202 Joy Road and
the Concho Watermaster Advisory Committee, was made by Councilmember Farmer and seconded by
Councilmember Silvas. Motion carried unanimously.
REGULAR AGENDA: PUBLIC HEARING AND COMMENT
AUTHORIZATION FOR THE SALE OF THE PROPERTY LOCATED AT 2202 JOY ROAD
(HIRSCHFELD) FOR THE APPRAISED VALUE OF $49,300.00 AND AUTHORIZATION FOR THE
MAYOR, INTERIM CITY MANAGER, OR WATER UTILITIES DIRECTOR TO EXECUTE ALL
NECESSARY LEGAL DOCUMENTS PERTAINING TO THE SALE OF SUBJECT PROPERTIES, SUBJECT
TO COMPLETION OF ALL CURATIVE REQUIREMENTS (Discussed in Regular Session)
Motion, to authorize the sale, as presented, was made by and seconded by . Motion carried unanimously.
APPROVAL OF COUNCILMEMBER HIRSCHFELD’S APPOINTMENT AS A CITY REPRESENTATIVE
TO THE CONCHO WATERMASTER ADVISORY COMMITTEE (Discussed in Regular Session)
Motion, to approve the appointment, as presented, was made by and seconded by . Motion carried unanimously.
Councilmember Hirschfeld rejoined the meeting.
CONSIDERATION OF MATTERS RELATED TO THE NAMING OF A PRIVATE DRIVE WITHIN THE
CITY OF SAN ANGELO:
·   FIRST PUBLIC HEARING AND INTRODUCTION OF AN ORDINANCE REPEALING IN ITS
    ENTIRETY THE ORDINANCE INTRODUCED, PASSED, APPROVED AND ADOPTED ON THE 5TH
    DAY OF APRIL, 2005 NAMING A PRIVATE DRIVE ON LOT 1 IN SOUTHLAND PARK ADDITION,
    SECTION FIFTEEN, TIME CLOCK DRIVE; AND PROVIDING AN EFFECTIVE DATE
·   FIRST PUBLIC HEARING AND INTRODUCTION OF AN ORDINANCE NAMING A PRIVATE
    DRIVE WITHIN THE CITY OF SAN ANGELO LOCATED ON A 3.757 ACRE TRACT IN BLOCK
    CC, SECTION 30 COLLEGE HILLS SOUTH ADDITION, TIME CLOCK DRIVE; AND PROVIDING
    AN EFFECTIVE DATE
Development Coordinator Bob Schneeman presented background information. A copy of the presentation is
part of the Permanent Supplemental Minute record.
Motion, to introduce the Ordinance repealing and Ordinance designating Time Clock Drive, as presented, was
made by Councilmember Silvas and seconded by Councilmember Morrison.
Page 704                                                                                           Minutes
Vol. 103                                                                                  September 4, 2012

Fire Chief Brian Dunn expressed his concerns regarding public safety response time as a result of changing
names of streets and related 911 issues.
A vote was taken on the motion on the floor. Motion carried unanimously.
Councilmember Adams arrived to the meeting at 9:39 A.M.
FIRST PUBLIC HEARING AND INTRODUCTION OF AN ORDINANCE AUTHORIZING
ABANDONMENT OF PUBLIC RIGHT-OF-WAY FOR SMITH BOULEVARD EXTENDING
APPROXIMATELY 1000 FEET NORTHWARD FROM THE INTERSECTION OF SMITH BOULEVARD
AND MCGILL BOULEVARD IN NORTHEASTERN SAN ANGELO
AN ORDINANCE PROVIDING FOR THE ABANDONMENT AND CLOSING OF THE FOLLOWING
STREET SEGMENT, TO WIT: An approximately 80’ wide portion of the unimproved public right-of-way for
Smith Boulevard, extending approximately 1000’ northward from McGill Boulevard, immediately adjacent to
property owned by Howard College in northeast San Angelo; AUTHORIZING THE CONVEYANCE
THEREOF TO THE ABUTTING PROPERTY OWNERS; PROVIDING FOR THE TERMS AND
CONDITIONS OF ABANDONMENT AND CONVEYANCE; AND PROVIDING FOR THE MAYOR TO
EXECUTE AND DELIVER A QUIT CLAIM DEED TO THE ABUTTING PROPERTY OWNERS
Planning Manager AJ Fawver presented background information. A copy of the presentation is part of the
Permanent Supplemental Minute record.
Motion, to introduce the Ordinance, as presented, was made by Councilmember Morrison and seconded by
Councilmember Adams. Motion carried unanimously.
FIRST PUBLIC HEARING AND INTRODUCTION OF AN ORDINANCE AMENDING CHAPTER 12,
EXHIBIT “A” (ZONING ORDINANCE) OF THE CODE OF ORDINANCES, CITY OF SAN ANGELO
Z 12-03: Howard College Campus
AN ORDINANCE AMENDING CHAPTER 12, EXHIBIT “A” OF THE CODE OF ORDINANCES, CITY
OF SAN ANGELO, TEXAS, WHICH SAID EXHIBIT “A” OF CHAPTER 12 ADOPTS ZONING
REGULATIONS, USE DISTRICTS AND A ZONING MAP, IN ACCORDANCE WITH A
COMPREHENSIVE PLAN, BY CHANGING THE ZONING AND CLASSIFICATION OF THE
FOLLOWING PROPERTY, TO WIT: 3501 North US Highway 67, encompassing the area known as the
Howard College, more specifically, being 33.802 acres out of the J. Pointevent Survey 1113, Abstract 4873, and
Paulann Park Addition, Section 3, Tract H, being 0.76 acre, and Paulann Park Addition, Section 3, Tract G,
being the northwestern 0.145 acre, in northeast San Angelo, a zone change from a combination of General
Commercial (CG) and Light Manufacturing (ML) to Planned Development (PD) District; PROVIDING FOR
SEVERABILITY AND PROVIDING A PENALTY
Planning Manager AJ Fawver presented background information. A copy of the presentation is part of the
Permanent Supplemental Minute record.
Motion, to introduce the Ordinance, as presented, was made by Councilmember Morrison and seconded by
Councilmember Hirschfeld. Motion carried unanimously.
FIRST PUBLIC HEARING AND INTRODUCTION OF AN ORDINANCE AMENDING CHAPTER 12,
EXHIBIT “A” (ZONING ORDINANCE) OF THE CODE OF ORDINANCES, CITY OF SAN ANGELO
Z 12-10: GBT Realty
AN ORDINANCE AMENDING CHAPTER 12, EXHIBIT “A” OF THE CODE OF ORDINANCES, CITY
OF SAN ANGELO, TEXAS, WHICH SAID EXHIBIT “A” OF CHAPTER 12 ADOPTS ZONING
REGULATIONS, USE DISTRICTS AND A ZONING MAP, IN ACCORDANCE WITH A
COMPREHENSIVE PLAN, BY CHANGING THE ZONING AND CLASSIFICATION OF THE
Minutes                                                                                                Page 705
September 4, 2012                                                                                      Vol. 103

FOLLOWING PROPERTY, TO WIT: An unaddressed 1.36 acre tract, at the southwest corner of the
intersection of Glenna Street and Howard Street, and just north of the Jefferson Heights Addition, Block 25,
Lots 34-40; more specifically, occupying 1.36 acres of the J Moehl Survey, in northwest San Angelo, changing
the zoning classification from Two Family Residential (RS-2) to Neighborhood Commercial (CN) District;
PROVIDING FOR SEVERABILITY AND PROVIDING A PENALTY
Planning Manager AJ Fawver presented background information. A copy of the presentation is part of the
Permanent Supplemental Minute record.
Motion, to deny the introduction of the Ordinance, as presented, was made by Councilmember Adams and
seconded by Councilmember Morrison.
General discussion was held on the potential increase in traffic, other potential uses for this area, and whether
alcoholic beverages would be sold at this location. City Clerk Alicia Ramirez confirmed the local Dollar
General stores sale alcoholic beverages.
Public comments were made by West Texas Organizing Strategy representative Craig Meyers and Proponent
Terry Cowan.
A vote was taken on the motion on the floor. AYE: Silvas, Morrison, Adams, and Farmer. NAY: New,
Alexander, Hirschfeld. Motion carried 4-3.
RECESS
At 10:14 P.M., Mayor New called a recess.
RECONVENE
At 10:28 P.M., Council reconvened, and the following business was transacted:
FIRST PUBLIC HEARING AND INTRODUCTION OF AN ORDINANCE AMENDING CHAPTER 12,
EXHIBIT “A” (ZONING ORDINANCE) OF THE CODE OF ORDINANCES, CITY OF SAN ANGELO
SU 12-01: Daryl Presley
AN ORDINANCE AMENDING CHAPTER 12, EXHIBIT “A” OF THE CODE OF ORDINANCES, CITY
OF SAN ANGELO, TEXAS, WHICH SAID EXHIBIT “A” OF CHAPTER 12 ADOPTS ZONING
REGULATIONS, USE DISTRICTS AND A ZONING MAP, IN ACCORDANCE WITH A
COMPREHENSIVE PLAN, BY CHANGING THE ZONING AND CLASSIFICATION OF THE
FOLLOWING PROPERTY, TO WIT: 2229 W Beauregard, located at the intersection of W Beauregard
Avenue and South Pierce Street; more specifically occupying the Village Shopping Center Condo Subdivision,
Block 25, Lots 5-8, in western San Angelo, to allow for a "Firearms Range" on property in a General
Commercial/ Heavy Commercial (CG/CH) district; PROVIDING FOR SEVERABILITY AND PROVIDING A
PENALTY
Planning Manager AJ Fawver presented background information. A copy of the presentation is part of the
Permanent Supplemental Minute record.
Motion, to introduce the Ordinance, as presented, was made by Councilmember Adams and seconded by
Councilmember Hirschfeld.
General discussion was held on the type of firearms that would be discharged, sound abatement material, state
regulations pertaining to indoor ranges, and future retail use.
A vote was taken on the motion on the floor. Motion carried unanimously.
FIRST PUBLIC HEARING AND APPROVAL OF THE PLANNING COMMISSION’S
RECOMMENDATION MODIFYING A REQUEST FOR A ZONE CHANGE FROM TWO FAMILY
RESIDENTIAL (RS-2) TO GENERAL COMMERCIAL (CG), ALTERNATIVELY RECOMMENDING A
Page 706                                                                                                Minutes
Vol. 103                                                                                       September 4, 2012

ZONE CHANGE FROM TWO FAMILY RESIDENTIAL (RS-2) TO NEIGHBORHOOD COMMERCIAL
(CN) WITH AN INTRODUCTION OF AN ORDINANCE AMENDING CHAPTER 12, EXHIBIT “A”
(ZONING ORDINANCE) OF THE CODE OF ORDINANCES, CITY OF SAN ANGELO
Z 12-09: Donald Spradley
AN ORDINANCE AMENDING CHAPTER 12, EXHIBIT “A” OF THE CODE OF ORDINANCES, CITY
OF SAN ANGELO, TEXAS, WHICH SAID EXHIBIT “A” OF CHAPTER 12 ADOPTS ZONING
REGULATIONS, USE DISTRICTS AND A ZONING MAP, IN ACCORDANCE WITH A
COMPREHENSIVE PLAN, BY CHANGING THE ZONING AND CLASSIFICATION OF THE
FOLLOWING PROPERTY, TO WIT: 13 W 11th Street, located approximately 160 feet from the intersection
of North Chadbourne Street and W 11th Street; more specifically occupying the Miles Addition, Block 52, Lot
4, in central San Angelo, changing the zoning classification from Two Family Residential (RS-2) to
Neighborhood Commercial (CN) District; PROVIDING FOR SEVERABILITY AND PROVIDING A
PENALTY
Planning Manager AJ Fawver presented background information. A copy of the presentation is part of the
Permanent Supplemental Minute record.
Motion, to introduce the Ordinance, as presented, was made by Councilmember Morrison and seconded by
Councilmember Hirschfeld. Motion carried unanimously.
FIRST PUBLIC HEARING AND INTRODUCTION OF AN ORDINANCE AUTHORIZING
ABANDONMENT OF PUBLIC RIGHT-OF-WAY IN LAKE VIEW ADDITION BLOCK 40 AND THE
JACOBY ADDITION, BLOCK 1 IN NORTHERN SAN ANGELO
AN ORDINANCE PROVIDING FOR THE ABANDONMENT AND CLOSING OF THE FOLLOWING
STREET SEGMENT, TO WIT: An approximately 10’ x 123’ portion of alley running east to west,
perpendicular to Travis Street, between The Jacoby Addition, Block 1, Lot 1 and Lake View Addition, Block
40, Lots 5-7 in northern San Angelo; AUTHORIZING THE CONVEYANCE THEREOF TO THE
ABUTTING PROPERTY OWNERS; PROVIDING FOR THE TERMS AND CONDITIONS OF
ABANDONMENT AND CONVEYANCE; AND PROVIDING FOR THE MAYOR TO EXECUTE AND
DELIVER A QUIT CLAIM DEED TO THE ABUTTING PROPERTY OWNERS
Planning Manager AJ Fawver presented background information. A copy of the presentation is part of the
Permanent Supplemental Minute record.
Motion, to introduce the Ordinance, as presented, was made by Councilmember Morrison and seconded by
Councilmember Silvas. Motion carried unanimously.
DISCUSSION ON MATTERS RELATED TO THE ADOPTION OF A RESOLUTION IMPLEMENTING
DROUGHT LEVEL III OF THE CITY’S WATER CONSERVATION AND DROUGHT CONTINGENCY
PLAN
Water Utilities Director Will Wilde presented background information and informed to date, the City does not
meet the trigger points for Drought Level III (DLIII). City Attorney Lysia H. Bowling explained the Water
Utilities Director must determine the City’s water level has meet the trigger point as outlined in the Ordinance
before Council can declare DLIII. Therefore, entering the DLIII in advance is not permissible under the current
Ordinance language.
General discussion was held on the calculation of the water levels which does not include the Hickory project,
DLIII criteria, further establishing variances and amending the exemption policy; recommended applying
exemptions by group or type of business as opposed to individual request as currently outlined in the ordinance;
residential users abusing the restrictions of the ordinance; the City’s efforts to begin minimizing water use in
various department activities; actively participating in water conservation efforts; approaching the restrictions in
phases for next 2 to 3 months and continuously reviewing those impacts; issues related to golf courses, pools,
Minutes                                                                                              Page 707
September 4, 2012                                                                                    Vol. 103

and car washed.
Public comments were made by Robert Banskter, Tobin Abbott of Southwest Pools, Craig Hill of Hill Pools,
and Bobby Lewallen of Auto Paradise.
Council directed staff to present their recommendations to amend the ordinance at the September 18, 2012
meeting.
FIRST PUBLIC HEARING AND INTRODUCTION OF AN ORDINANCE AMENDING APPENDIX A OF
THE CODE OF ORDINANCES, CITY OF SAN ANGELO REGARDING UTILITY RELATED FEES
AN ORDINANCE AMENDING APPENDIX A, “FEE SCHEDULE”, ARTICLE 8.000 “UTILITY RELATED
FEES”, OF THE CODE OF ORDINANCES, CITY OF SAN ANGELO, TEXAS, AMENDING SECTION
8.1500 “CHARGE FOR COLLECTION OF GARBAGE AND TRASH”, BY RESTATING SUBPART (a)
RESIDENTIAL SERVICES”, (1) “RESIDENCE SERVICE CHARGES”, ADJUSTING RESIDENCE
SERVICE CHARGES; AMENDING SECTION 8.1500 “CHARGE FOR COLLECTION OF GARBAGE
AND TRASH”, BY RESTATING SUBPART (b) “COMMERCIAL SERVICE”, (2) “COMMERCIAL
SERVICE CHARGES”, ADJUSTING COMMERCIAL SERVICE CHARGES; AMENDING SECTION
8.1700 “LANDFILL CHARGES”, BY RESTATING SUBPARTS (a), (f) AND (G), ADJUSTING LANDFILL
CHARGES FOR LICENSED COLLECTORS, CITY RESIDENTS, NON-RESIDENTS, AND FOR
GARBAGE DUMPED BY OR FOR CERTAIN GOVERNMENT ENTITIES; PROVIDING FOR
SEVERABILITY; AND PROVIDING AN EFFECTIVE DATE
Due to time constraints, Budget Manager Morgan Trainer suggested postponing this item until the September
18, 2012 meeting. Council concurred.
SECOND PUBLIC HEARING AND ADOPTION OF AN ORDINANCE OF THE CITY OF SAN ANGELO
APPROVING AND ADOPTING THE FY 2013 BUDGET AND RELATED MATTERS (Page 747, #2012-
09-126)
AN ORDINANCE OF THE CITY OF SAN ANGELO APPROVING AND ADOPTING THE BUDGET FOR
THE FISCAL YEAR BEGINNING OCTOBER 1, 2012, AND ENDING SEPTEMBER 30, 2013; ADOPTING
EMPLOYEE COMPENSATION SCHEDULES; PROVIDING FOR THE GENERAL APPROPRIATION OF
FUNDS; RESERVING UNTO THE CITY COUNCIL THE AUTHORITY TO TRANSFER APPROPRIATIONS
BUDGETED; RATIFYING TRANSFERS OF APPROPRIATIONS OCCURRING IN THE 2011-2012 FISCAL
YEAR AND AMENDING THAT BUDGET ORDINANCE ACCORDINGLY; RESERVING UNTO THE CITY
COUNCIL THE POWER, ONLY AS PERMITTED BY LAW, TO AMEND OR MAKE CHANGES IN THE
BUDGET FOR MUNICIPAL PURPOSES; PROVIDING AUTHORITY FOR THE CITY MANAGER OR HIS
DESIGNEE TO MAKE CERTAIN ADJUSTMENTS FROM TIME TO TIME IN OR BETWEEN BUDGETED
ALLOCATIONS; AND, PROVIDING FOR FILING OF THE BUDGET
Interim City Manager Michael Dane and Budget Manager Morgan Trainer presented background information. A
copy of the presentation is part of the Permanent Supplemental Minute record.
General discussion was held Council prior directive to replenish the $44,633.00 to continue senior nutrition
program, Line Item 310 $1M decrease in the City’s Health benefit due to positive impacts of the plan’s changes,
and the pay plan distribution methodology and the option to determine such at a later date.
Motion, to adopt the Ordinance, as presented, including replenishing the $44,633.00 to continue the Senior
Nutrition Program, was made by Councilmember Morrison and seconded by Councilmember Adams.
Further discussion was held and concern expressed on the various Council directives to staff regarding
requested budget adjustments from prior budget discussions.
A vote was taken on the motion on the floor. AYE: New, Alexander, Morrison, and Adams. NAY: Silvas,
Hirschfeld, and Farmer. Motion carried 4-3.
Page 708                                                                                       Minutes
Vol. 103                                                                              September 4, 2012

FIRST PUBLIC HEARING AND INTRODUCTION OF AN ORDINANCE LEVYING PROPERTY TAXES
FOR THE CITY OF SAN ANGELO FOR THE 2012 TAX YEAR
AN ORDINANCE FIXING AND LEVYING AD VALOREM TAXES FOR THE USE AND SUPPORT OF
THE MUNICIPAL GOVERNMENT OF THE CITY OF SAN ANGELO, TEXAS, FOR THE 2012-2013
BUDGET YEAR; PROVIDING FOR THE ASSESSMENT AND COLLECTION THEREOF; PROVIDING
WHEN THE TAX SHALL BECOME DUE; PROVIDING WHEN THE TAX SHALL BECOME
DELINQUENT; PROVIDING FOR EXEMPTIONS; PROVIDING FOR SEVERABILITY; PROVIDING
FOR PUBLICATION ON THE CITY OPERATED WEB SITE; AND, PROVIDING FOR AN EFFECTIVE
DATE.
Budget Manager Morgan Trainer presented background information.
Motion, to introduce the Ordinance, as presented, was made by Councilmember Morrison and seconded by
Councilmember Alexander. Motion carried unanimously.
RECESS
At 12:24 P.M., Mayor New called a recess.
RECONVENE
At 1:20 P.M., Council reconvened, and the following business was transacted:
EXECUTIVE/CLOSED SESSION
At 1:20 P.M., Council convened in Executive Session under the provision of Government Code, Title 5 Open
Government, Ethics; Subtitle A Open Government; Chapter 551 Open Meetings; Subchapter D, Exceptions to
Requirement that Meetings be Open, Section 551.074 Personnel Matters to interview candidates for the City
Manager position.
OPEN SESSION (continued)
At 4:55 P.M. City Council concluded the Executive/Closed Session whereupon the following business was
transacted:
FOLLOW UP AND ADMINISTRATIVE ISSUES
CONSIDERATION OF MATTERS DISCUSSED IN EXECUTIVE/CLOSED SESSION
No action was taken on matters discussed in Executive/Closed Session.
CONSIDERATION OF FUTURE AGENDA ITEMS
Interim City Manager Michael Dane distributed the proposed September 4, 2012 Agenda and solicited Council
comments and suggestions.
The following items were requested:
Introduction of the Utility Related Fee Ordinance
Options and methodology for pay increases
Exemptions under the Water Conservation Ordinance
Downtown Development Commission update
TriCity efforts
Board and Commission uniform term policy
Minutes                                                                                               Page 709
September 4, 2012                                                                                     Vol. 103

ADJOURNMENT
Motion, to adjourn, was made by Councilmember Adams and seconded by Councilmember Morrison. Motion
carried unanimously.
The meeting adjourned at 5:09 P.M.

                                                           THE CITY OF SAN ANGELO


                                                           ___________________________________
                                                           Alvin New, Mayor

ATTEST:


_______________________________
Alicia Ramirez, City Clerk

In accordance with Chapter 2, Article 2.300, of the Official Code of the City of San Angelo, the minutes of this
meeting consist of the preceding Minute Record and the Supplemental Minute Record. Details on Council
meetings may be obtained from the City Clerk’s Office or a video of the entire meeting may be purchased from
the Public Information Officer at 481-2727. (Portions of the Supplemental Minute Record video tape recording
may be distorted due to equipment malfunction or other uncontrollable factors.)
Page 710                                                  Minutes
Vol. 103                                         September 4, 2012




           THIS PAGE INTENTIONALLY LEFT BLANK.
CITY COUNCIL MINUTE RECORD
The City of San Angelo                                                                              Page 755
Tuesday, September 5, 2012                                                                          Vol. 103

                                             OPEN SESSION

BE IT REMEMBERED City Council convened in a special meeting at 9:06 A.M., Tuesday, September 5, 2012,
in the San Angelo McNease Convention Center, 500 Rio Concho Drive, San Angelo, Texas. All duly
authorized members of the Council, to-wit:

        Mayor, Alvin New
        Councilmember Paul Alexander
        Councilmember Dwain Morrison
        Councilmember Johnny Silvas
        Councilmember Fredd B. Adams, II
        Councilmember Kendall Hirschfeld
        Councilmember Charlotte Farmer
were present and acting, with the exception of Councilmember Adams, thus constituting a quorum.
Whereupon, the following business was transacted:
An invocation was given by and pledge was led by Councilmember Silvas.
SPECIAL AGENDA
EXECUTIVE/CLOSED SESSION
At 9:09 A.M., Council convened in Executive Session under the provision of Government Code, Title 5.
Open Government; Ethics, Subtitle A. Open Government, Chapter 551. Open Meetings, Subchapter D.
Exceptions to Requirement that Meetings be Open, Section 551.074 Personnel Matters to discuss the
appointment, employment, and duties of the City Manager.
Councilmember Adams arrived to the meeting at 9:28 A.M.
OPEN SESSION (continued)
At 5:06 P.M. City Council concluded the Executive/Closed Session whereupon the following business was
transacted:
Mayor New left the meeting at 5:06 P.M. and did not return.
PUBLIC HEARING AND COMMENT
CONSIDERATION OF MATTERS DISCUSSED IN EXECUTIVE/CLOSED SESSION
Motion, to appointment Mr. Daniel Valenzuela, was made by Councilmember Adams and seconded by
Councilmember Morrison.
Although absent upon the announcement, Council members informed the Mayor also supported the selection
and appointment of Mr. Valenzuela.
A vote was taken on the motion on the floor. Motion carried unanimously.
Mr. Valenzuela accepted the offer for the position of City Manager and thanked the Council for the opportunity
to work for the City of San Angelo.
Human Resources Director Lisa Marley informed his employment may begin on or about October 16, 2012.
Page 756                                                                                             Minutes
Vol. 103                                                                                    September 5, 2012

ADJOURNMENT
Motion, to adjourn, was made by Councilmember Adams and seconded by Councilmember Farmer. Motion
carried unanimously.
The meeting adjourned at 5:14 P.M.

                                                           THE CITY OF SAN ANGELO


                                                           ___________________________________
                                                           Alvin New, Mayor

ATTEST:


_______________________________
Alicia Ramirez, City Clerk


In accordance with Chapter 2, Article 2.300, of the Official Code of the City of San Angelo, the minutes of this
meeting consist of the preceding Minute Record and the Supplemental Minute Record. Details on Council
meetings may be obtained from the City Clerk’s Office or a video of the entire meeting may be purchased from
the Public Information Officer at 481-2727. (Portions of the Supplemental Minute Record video tape recording
may be distorted due to equipment malfunction or other uncontrollable factors.)
PROCLAMATION


WHEREAS,             Fire is a serious public safety concern both locally and nationally, and
                     homes are the locations where people are at the greatest risk from
                     fire; and

WHEREAS,             Fire departments in the United States responded to nearly 400,000
                     home fires in a single year; and

WHEREAS,             San Angelo residents are responsive to public education measures
                     and are able to take personal steps to increase their safety from fire,
                     especially in their homes; and

WHEREAS,             The fire service of San Angelo is dedicated to the safety of life and
                     property from the devastating effects of fire, and they are joined by
                     other emergency service providers, businesses, safety advocates,
                     schools, and service clubs,

NOW, THEREFORE, I, Alvin New, Mayor of the City of San Angelo, Texas, on behalf of
the City Council, do hereby proclaim the week of October 7-13, 2012 as

                                FIRE PREVENTION WEEK

and call upon the people of San Angelo to participate in fire prevention activities at home,
work, and school, and practice home fire safety especially this week which commemorates
the great Chicago Fire of 1871 which killed 250 persons, left 100,000 homeless, and
destroyed 17,400 buildings.

                                          IN WITNESS WHEREOF, I have hereunto set
                                          my hand and caused the Seal of the City to be
                                          affixed this 2nd day of October, 2012.
                                          THE CITY OF SAN ANGELO

                                          _________________________________
                                          ALVIN NEW, MAYOR
AICP is the American Planning Association's professional institute, providing recognized leadership
nationwide in the certification of professional planners, ethics, professional development, planning
education, and the standards of planning practice. To become a certified planner, APA members
must meet certain education and experience requirements and pass a written examination. AICP
certified planners carry a high mark of distinction because they are required to meet rigorous
standards, maintain their expertise through continuing education, and serve community interests.
Memo
           Date:         August 3, 2012

           To:           Mayor and City Council members

           From:         Doray Hill, Jr., Director, San Angelo Metropolitan Planning Organization

           Subject:      Consent Agenda Item for September 18, 2012 City Council Meeting

           Contact:      Doray Hill, Jr.,
                         San Angelo Metropolitan Planning Organization
                         325-481-2800

                         Marc Williams, P.E. Interim Director
                         Texas Department of Transportation
                         512-486-5003

           Caption:      A resolution of the city of San Angelo authorizing the interim city manager of
                         his designee to negotiate and execute a planning agreement by and between
                         the Texas Department of Transportation, the San Angelo metropolitan
                         planning organization policy board, and the city of San Angelo, providing for
                         the urban district transportation planning and superseding prior agreements
                         between the parties


           Summary: This contract is a requirement by the Texas Department of Transportation.
           All Metropolitan Planning Organizations in the State of Texas are required to have a
           Planning Contract.

History:

The San Angelo Metropolitan Planning Organization (SA-MPO) currently has a contract in place
between the City of San Angelo and the Texas Department of Transportation. This Agreement
was approved by City Council on December 6, 2011 and will expire September 30, 2012.

A new Agreement that has slight language changes and more updated references to legislation
was given to the Texas MPOs to replace the existing Planning Contract.




                                                                                              Page 1 of 2
As the fiscal agent for SA-MPO, the City of San Angelo is being asked to sign this new Planning
Agreement. This Agreement is similar to previous Planning Contracts, however, it does not change
any of the responsibilities of the fiscal agent; rather it includes new responsibilities for MPOs and
TxDOT.

The City of San Angelo Legal staff approved this Agreement on April 2, 2012 and the San Angelo
Metropolitan Planning Organization Policy Board approved this Agreement at their September
13, 2012 meeting. After Council approval, this document will be sent to the Texas Department
of Transportation for the State of Texas for execution. This Agreement expires September 30,
2018.

Financial Impact: n/a

Related Vision Item (if applicable): n/a

Notification: n/a

Attachments: Agreement with Metropolitan Planning Organization

                Resolution

Presentation: n/a

Publication: n/a




                                                                                           Page 2 of 2
Contract #_________________
                                                    Federal Highway Administration
                                                    CFDA #___________________
                                                    Not Research and Development



STATE OF TEXAS         §

COUNTY OF TRAVIS       §


          AGREEMENT WITH METROPOLITAN PLANNING ORGANIZATION

THIS AGREEMENT is made by and between the State of Texas, acting through the Texas
Department of Transportation, called the “Department,” the San Angelo Metropolitan
Planning Organization (MPO) Policy Committee, called the “MPO”, which has been
designated as the MPO of the San Angelo urbanized area, and the City of San Angelo,
which serves as the Fiscal Agent for the MPO.

                                  WITNESSETH

WHEREAS, 23 United States Code (USC) §134 and 49 USC §5301 et seq. require that
MPOs, in cooperation with the Department and transit agencies, develop transportation
plans and programs for urbanized areas of the State; and

WHEREAS, 23 USC §104(f) authorizes Metropolitan Planning funds and 49 USC §5301 et
seq. authorizes funds to be made available to MPOs designated by the Governor to
support the urban transportation planning process; and

WHEREAS, the federal share payable for authorized activities using 49 USC §5303 and
Metropolitan Planning funds is eighty percent (80%) of allowable costs; and

WHEREAS, Texas Transportation Code §221.003 authorizes the Department to expend
federal and state funds for improvements to the state highway system; and

WHEREAS, Texas Transportation Code §201.703 authorizes the Department to expend
federal funds and to provide state matching funds for allowable costs necessary for the
improvement of roads not in the state highway system; and

WHEREAS, Metropolitan Planning funds, and other federal transportation funds that may
be used for planning (e.g., Surface Transportation Program, National Highway System,
Congestion Mitigation and Air Quality, etc.) and 49 USC §5303 funds are to be used in
conjunction with work conducted under the terms of this Agreement; and

WHEREAS, the Governor of the State of Texas has designated the San Angelo MPO as
the MPO for the above-mentioned urbanized area; and




TPP & MPO Agreement                  Page 1 of 18                     Revised 02/15/2012
Contract #_________________
                                                       Federal Highway Administration
                                                       CFDA #___________________
                                                       Not Research and Development

WHEREAS, the Governor of the State of Texas and the City of San Angelo have executed
an agreement pursuant to the MPO designation; and

WHEREAS, an area equal to or larger than the above-mentioned urbanized area has been
delineated in accordance with federal and state guidelines where required metropolitan
transportation planning activities may take place; and

WHEREAS, 23 Code of Federal Regulations (CFR) §420.117(a) requires that in
accordance with 49 CFR §18.40, the Department shall monitor all activities performed by
its staff or by sub-recipients with Federal Highway Administration (FHWA) planning and
research funds to assure that the work is being managed and performed satisfactorily and
that time schedules are being met; and

NOW THEREFORE, it is agreed as follows:

                                    AGREEMENT

Article 1. Agreement Period
A. This Agreement becomes effective when signed by the last party whose signing makes
   this Agreement fully executed. The Department shall not continue its obligation to the
   MPO under this Agreement if the Governor's designation of the MPO is withdrawn; if
   federal funds cease to become available; or if this Agreement is terminated as provided
   below.
B. This Agreement expires on ______________, 20__. No fewer than one hundred and
   twenty (120) days before the expiration date, the Department may, at its sole discretion,
   exercise in writing an option to extend this Agreement by a period of no more than ____
   years. The Department may exercise this option no more than ____ times. If all terms
   and conditions of this Agreement remain viable and no amendment to the existing
   agreement or new agreement is required, a letter from the Department to the MPO shall
   constitute renewal of this Agreement subject to all terms and conditions specified in this
   Agreement. However, an amendment or a new agreement may be executed, if
   necessary.

Article 2. Responsibilities of the Department
The responsibilities of the Department are as follows:
A. Assist in the development of the Unified Planning Work Program (UPWP), approve the
   format of work programs submitted by the MPO, and, where required by federal law or
   regulation, monitor the MPO's performance of activities and expenditure of funds under
   a UPWP. Where monitoring is not required, the Department is responsible for
   reviewing the MPO's activities and expenditure of funds, and will comment on and
   make suggestions relating to those activities and expenditures.
B. Develop a time line for development of the UPWP by the MPO; and in consultation with
   the MPOs, shall develop a standard UPWP format to be used by all MPOs.




TPP & MPO Agreement                   Page 2 of 18                       Revised 02/15/2012
Contract #_________________
                                                     Federal Highway Administration
                                                     CFDA #___________________
                                                     Not Research and Development

C. Make available to the MPO its share of all federal metropolitan planning funds and
   provide the required non-federal match as authorized by the Texas Transportation
   Commission. The Department will distribute federal transportation planning funds to
   the MPO based on a formula developed by the Department, in consultation with the
   MPOs, and approved by FHWA, the Federal Transit Administration (FTA), and other
   applicable federal agencies.
D. Provide to the MPO, as appropriate, technical assistance and guidance for the
   collection, processing, and forecasting of socio-economic data needed for the
   development of traffic forecasts, plans, programs, and planning proposals within the
   metropolitan area, including collecting, processing, and forecasting vehicular travel
   volume data in cooperation with the MPO, as appropriate.
E. Jointly promote the development of the intermodal transportation system within the
   metropolitan area by identifying points in the system where access, connectivity, and
   coordination between the modes and inter-urban facilities would benefit the entire
   system.
F. Share with the MPO, information and information sources concerning transportation
   planning issues that relate to this Agreement.

Article 3. Responsibilities of the MPO
The MPO is an organization created to ensure that existing and future expenditures on
transportation projects and programs are based on a continuing, cooperative, and
comprehensive planning process. The responsibilities of the MPO are as follows:
A. Document planning activities in a UPWP to indicate who will perform the work, the
    schedule for completing it, and all products that will be produced. In cooperation with
    the Department and public transportation operators as defined by 23 CFR Part 450, the
    MPO must annually or bi-annually develop a UPWP that meets federal requirements.
B. Prepare and submit to the Department an annual performance and expenditure report
    of progress no later than December 31 of each year. A uniform format for the annual
    report will be established by the Department, in consultation with the MPOs.
C. Use funds provided in accordance with 43 Texas Administrative Code (TAC) §16.52
    and Article 2 (Responsibilities of the Department) of this Agreement to develop and
    maintain a comprehensive regional transportation planning program in conformity with
    the requirements of 23 USC §134, 49 USC §5303, and the State’s Uniform Grant
    Management            Standards       (UGMS)        at       the       web     address
    www.governor.state.tx.us/files/state-grants/UGMS062004.doc.
D. Develop a Metropolitan Transportation Plan (MTP), a Transportation Improvement
    Program (TIP), and a UPWP for the Metropolitan Planning Area (MPA), all of which are
    consistent with the Statewide Long-Range Transportation Plan (SLRTP), as required by
    state and federal law. At a minimum, the MPO shall consider in their planning process
    the applicable factors outlined in 23 USC §134.
E. Assemble and maintain an adequate, competent staff with the knowledge and
    experience that will enable them to perform all appropriate MPO activities required by
    law.




TPP & MPO Agreement                  Page 3 of 18                       Revised 02/15/2012
Contract #_________________
                                                       Federal Highway Administration
                                                       CFDA #___________________
                                                       Not Research and Development

F. Forecast, collect, and maintain appropriate socio-economic, roadway, and travel data
   on a timely basis, in cooperation with the Department.
G. Prepare all required plans, programs, reports, data, and obtain required certifications in
   a timely manner.
H. Share information and information sources concerning transportation planning issues.

Article 4. Responsibilities of the MPO Policy Committee
The MPO Policy Committee is the policy body that is the forum designated under 23 USC
§134 with the responsibility for establishing overall transportation policy for the MPO and
for making required approvals. The MPO Policy Committee is comprised of those
governmental agencies identified in the original designation agreement and those agencies
or organizations subsequently added to the membership of the committee.                 The
responsibilities of the MPO, acting through its Policy Committee, are as follows:
A. Ensure that requirements of 23 USC §§134 and 135 and 49 USC, Chapter 53, are
   carried out.
B. Use funds provided in accordance with Article 2 (Responsibilities of the Department) of
   this Agreement to develop and maintain a comprehensive regional transportation
   planning program in accordance with requirements of 23 USC §134 and 49 USC
   §5303.
C. Develop and adopt an MTP for the MPA that is consistent with the SLRTP required by
   state and federal laws; a TIP and a UPWP; and other planning documents and reports
   that may be required by state or federal laws or regulations.
D. Exercise sole responsibility to hire, supervise, evaluate, and terminate the MPO
   Transportation Planning Director.
E. Provide planning policy direction to the MPO Transportation Planning Director.

Article 5. Responsibilities of the Fiscal Agent
The Fiscal Agent for the MPO is the entity responsible for providing fiscal, human resource,
and staff support services to the MPO. The responsibilities of the Fiscal Agent are as
follows:
A. Maintain required accounting records for state and federal funds consistent with current
    federal and state requirements.
B. Provide all appropriate funding, as identified by fiscal year in the UPWP, to allow the
    MPO staff to effectively and efficiently operate the program.
C. Provide human resource services to the MPO.
D. Provide benefits for the MPO staff that shall be the same as the Fiscal Agent normally
    provides its own employees; or as determined through an agreement between the MPO
    and the Fiscal Agent. Costs incurred by the Fiscal Agent for these benefits may be
    reimbursed by the MPO.
E. Establish procedures and policies for procurement and purchasing, when necessary, in
    cooperation with the MPO.

Article 6. Responsibilities of the MPO Transportation Planning Director
The responsibilities of the MPO Transportation Planning Director are as follows:


TPP & MPO Agreement                   Page 4 of 18                       Revised 02/15/2012
Contract #_________________
                                                        Federal Highway Administration
                                                        CFDA #___________________
                                                        Not Research and Development

A. Administer the MPO’s UPWP. The Director shall serve in a full-time capacity and shall
   take planning policy direction from and be responsible to the designated MPO Policy
   Committee.
B. Act as a liaison to the Department, relevant to the Department’s transportation planning
   activities.
C. Oversee and direct all MPO transportation planning staff work performed using MPO
   funds.
D. Prepare and submit all required plans, programs, reports, data, and certifications in a
   timely manner.
E. Develop and present to the MPO Policy Committee an MTP for the MPA that is
   consistent with the SLRTP required by state and federal laws; a TIP and a UPWP; and
   other planning documents and reports that may be required by state or federal laws or
   regulations.
F. Share information and information resources concerning transportation planning issues.

Article 7. Unified Planning Work Program
A. Each year the MPO shall submit to the Department a program of work that includes
   goals, objectives, and tasks required by each of the several agencies involved in the
   metropolitan transportation planning process. This program of work is to be called the
   Unified Planning Work Program (UPWP), or any successor name. The UPWP shall be
   approved by the MPO Policy Committee, in accordance with 23 CFR §450.314.
B. The UPWP will be prepared for a period of one (1) year or two (2) years unless
   otherwise agreed to by the Department and the MPO. The UPWP shall reflect only that
   work that can be accomplished during the time period of the UPWP, in accordance with
   TAC §16.52.
C. The UPWP shall reflect transportation planning work tasks to be funded by federal,
   state, or local transportation, or transportation related (e.g. air quality) planning funds.
   The budget and statement of work will be included in the UPWP. The MPO may not
   incur costs until final approval of the UPWP is granted. The maximum amount payable
   will not exceed the budget included in the UPWP.
D. The effective date of each UPWP will be October 1st of each year or the date of
   approval from the appropriate oversight agency, whichever occurs later. On that date,
   the UPWP shall constitute a new federal project and shall supersede the previous
   UPWP.
E. The UPWP shall comply with all applicable federal and state requirements and will
   describe metropolitan transportation and transportation-related planning activities
   anticipated in the area.
F. The use of federal metropolitan transportation planning funds shall be limited to
   transportation planning activities affecting the transportation system within the
   boundaries of a designated metropolitan planning area. If an MPO determines that
   data collection and analysis activities relating to land use, demographics, or traffic or
   travel information, conducted outside its boundaries, affects the transportation system
   within its boundaries, then those activities may be undertaken using federal planning
   funds, if the activities are specifically identified in an approved UPWP. Any other costs


TPP & MPO Agreement                    Page 5 of 18                        Revised 02/15/2012
Contract #_________________
                                                        Federal Highway Administration
                                                        CFDA #___________________
                                                        Not Research and Development

     incurred for transportation planning activities outside the boundaries of a designated
     metropolitan planning area are not eligible for reimbursement.
G.   Travel outside the State of Texas by MPO staff and other agencies participating in the
     MPO planning process must be approved by the Department if funded with federal
     transportation planning funds. The MPO must receive approval prior to incurring any
     costs associated with the actual travel (e.g., registration fee). This provision will not
     apply if the travel is at the request of the Department. Travel to the State of Arkansas
     by the Texarkana MPO staff and travel to the State of New Mexico by the El Paso MPO
     staff shall be considered in-state travel.
H.   The cost of travel incurred by elected officials serving on the MPO Policy Committee is
     eligible for reimbursement with federal transportation planning funds in accordance with
     43 TAC §16.52.
I.   The use of federal transportation planning funds is limited to corridor/subarea level
     planning or multimodal or system-wide transit planning studies. Major investment
     studies and environmental studies are considered corridor level planning. Unless
     otherwise authorized by federal law or regulation, the use of such funds beyond
     environmental document preparation or for specific project level planning and
     engineering (efforts directly related to a specific project instead of a corridor) is not
     allowed.
J.   Failure to adhere to the time line developed by the Department may result in a delay in
     the authorization to the MPOs to proceed in incurring costs.
K.    A UPWP will not be approved if it is submitted in a format other than the standard
     format developed by the Department. The UPWP and subsequent amendments may
     be submitted electronically.
L.   The MPO shall not incur any costs for work outlined in the UPWP or any subsequent
     amendments (i.e., adding new work tasks or changing the scope of existing work tasks)
     prior to receiving approval from the Department. Any costs incurred prior to receiving
     Department approval are not eligible for reimbursement from federal transportation
     planning funds.
M.   Costs incurred by the MPO shall not exceed the total budgeted amount of the UPWP
     without prior approval of the MPO Policy Committee and the Department. Costs
     incurred on individual work tasks shall not exceed that task budget by 25 percent
     without prior approval of the MPO Policy Committee and the Department. If the costs
     exceed 25 percent of the task budget, the UPWP shall be revised, approved by the
     MPO Policy Committee, and submitted to the Department for approval.
N.   The MPO Policy Committee must approve the UPWP and any subsequent revisions,
     and shall not delegate the approval authority, except for corrective actions. Corrective
     actions do not change the scope of work, result in an increase or decrease in the
     amount of task funding, or affect the overall budget. Examples include typographical,
     grammatical, or syntax corrections.
O.   Should any conflict be discovered between the terms of this Agreement and the UPWP,
     the terms of this Agreement shall prevail.
P.   The MPO is not authorized to request payment for any work it may perform that is not
     included in the current UPWP.


TPP & MPO Agreement                     Page 6 of 18                      Revised 02/15/2012
Contract #_________________
                                                      Federal Highway Administration
                                                      CFDA #___________________
                                                      Not Research and Development


Article 8. Compensation
The Department’s payment of any cost incurred under this Agreement is contingent upon
all of the following:
A. Federal funds are available to the Department in a sufficient amount for making
    payments.
B. The incurred cost is authorized in the UPWP. The maximum amount payable under
    this Agreement shall not exceed the total budgeted amount outlined in the UPWP in
    accordance with 43 TAC §16.52.
C. The cost has actually been incurred by the MPO and meets the following criteria:
    1. Is verifiable from MPO records;
    2. Is not included as match funds for any other federally-assisted program;
    3. Is necessary and reasonable for the proper and efficient accomplishment of
         program objectives;
    4. Is the type of charge that would be allowable under OMB Circular A-87 Revised,
         “Cost Principles for State, Local, and Indian Tribal Governments” and the State’s
         UGMS; and
    5. Is not paid by the Department or federal government under another assistance
         program unless authorized to be used as match under the other federal or state
         agreement and the laws and regulations to which it is subject.
D. After October 1st of each year, the Department will issue a work order to the MPO
    establishing the effective date of work and the total funds authorized. If the UPWP is
    subsequently revised, necessitating a revision to the original work order, or the
    Department deems a revision necessary; a revised work order may be issued at any
    time throughout the fiscal year. If the amount in the UPWP differs from the amount in
    the work order, the amount in the work order prevails.
E. The MPO is authorized to submit requests for payment of authorized costs incurred
    under this Agreement on a semi-monthly basis, but no more than twenty four (24) times
    a year and no less than monthly as expenses occur. Each request for payment shall be
    submitted in a manner acceptable to the Department, which includes, at a minimum,
    the following information:
    1. UPWP budget category or line item;
    2. Description of the cost;
    3. Quantity;
    4. Price;
    5. Cost extension; and
    6. Total costs
F. The MPO shall submit the final bill from the previous fiscal year to the Department no
    later than December 31st of the calendar year in which that fiscal year ended. Any bills
    submitted after December 31 for a fiscal year in which the funds have been de-
    obligated will be processed against the current year’s UPWP.
G. Payment of costs is contingent upon compliance with the terms of Article 3
    (Responsibilities of the MPO) of this Agreement. Noncompliance may result in




TPP & MPO Agreement                   Page 7 of 18                      Revised 02/15/2012
Contract #_________________
                                                        Federal Highway Administration
                                                        CFDA #___________________
                                                        Not Research and Development

   cancellation of authorized work and suspension of payments after a thirty (30) day
   notification by the Department to the MPO.

Article 9. Reporting
To permit program monitoring and reporting, the MPO shall submit reports as required in
Article 3 (Responsibilities of the MPO) of this Agreement. If task expenditures overrun or
underrun a budgeted task amount by twenty-five percent (25%) or more, the annual
performance and expenditure report must include an explanation for the overrun or
underrun.

Article 10. Indemnification
A. The MPO shall save harmless the Department and its officers and employees from all
   claims and liability that are due to activities of the MPO, its agents, or its employees
   performed under this Agreement and that are caused by or result from error, omission,
   or negligent act of the MPO or of any person employed by the MPO.
B. To the extent possible under state law, the MPO shall also save harmless the
   Department from any and all expense, including but not limited to, attorney fees that
   may be incurred by the Department in litigation or otherwise resisting claims or liabilities
   that may be imposed on the Department as a result of the activities of the MPO, its
   agents, or its employees.

Article 11. Inspection of Work and Retention of Documents
A. The Department and, when federal funds are involved, the U.S. Department of
   Transportation (USDOT), and their authorized representatives shall have the right at all
   reasonable times to inspect or otherwise evaluate the work performed or being
   performed under this Agreement and the premises on which it is being performed.
B. If any inspection or evaluation is made on the premises of the MPO or a subcontractor,
   the MPO shall provide or require its subcontractor to provide all reasonable facilities
   and assistance for the safety and convenience of the inspectors in the performance of
   their duties. All inspections and evaluations shall be performed in a manner that will not
   unduly delay the work.
C. The MPO agrees to maintain all books, documents, papers, computer generated files,
   accounting records, and other evidence pertaining to costs incurred and work
   performed under this Agreement, and shall make those materials available at its office
   during the time period covered and for four (4) years from the date of final payment
   under the UPWP. Those materials shall be made available during the specified period
   for inspection by the Department, the USDOT, and the Office of the Inspector General
   of the USDOT and any of their authorized representatives for the purpose of making
   audits, examinations, excerpts, and transcriptions.
D. The state auditor may conduct an audit or investigation of any entity receiving funds
   from the Department directly under this Agreement or indirectly through a subcontract
   under this Agreement. Acceptance of funds directly under this Agreement or indirectly
   through a subcontract under this Agreement acts as acceptance of the authority of the
   state auditor, under the direction of the legislative audit committee, to conduct an audit


TPP & MPO Agreement                    Page 8 of 18                        Revised 02/15/2012
Contract #_________________
                                                      Federal Highway Administration
                                                      CFDA #___________________
                                                      Not Research and Development

   or investigation in connection with those funds. An entity that is the subject of an audit
   or investigation must provide the state auditor with access to any information the state
   auditor considers relevant to the investigation or audit under the State’s UGMS.

Article 12. Work Performance
All work performed under this Agreement shall be carried out in a professional and orderly
manner, and the products authorized in the UPWP shall be accurate and exhibit high
standards of workmanship.

Article 13. Disputes
The MPO shall be responsible for the settlement of all contractual and administrative
issues arising out of procurement entered into in support of work under this Agreement. In
the event of a dispute between the Department and the MPO concerning the work
performed under this Agreement in support of the urban transportation planning process,
the dispute shall be resolved through binding arbitration. Furthermore, the arbiter shall be
mutually acceptable to the Department and the MPO.

Article 14. Non-collusion
The MPO shall warrant that it has not employed or retained any company or person, other
than a bona fide employee working for the MPO, to solicit or secure this Agreement, and
that it has not paid or agreed to pay any company or person, other than a bona fide
employee, any fee, commission, percentage, brokerage fee, gift, or any other consideration
contingent upon or resulting from the award or making of this Agreement. If the MPO
breaches or violates this warranty, the Department shall have the right to annul this
Agreement without liability or, in its discretion, to deduct from the agreement price or
consideration, or otherwise recover the full amount of the fee, commission, brokerage fee,
gift, or contingent fee.

Article 15. Subcontracts
A. Any subcontract for services rendered by individuals or organizations not a part of the
   MPO’s organization shall not be executed without prior authorization and approval of
   the subcontract by the Department and, when federal funds are involved, the USDOT.
   All work in the subcontract is subject to the State’s UGMS. If the work for the
   subcontract is authorized in the current approved UPWP, and if the MPO’s procurement
   procedures for negotiated contracts have been approved by the Department either
   directly or through self-certification by the MPO, the subcontract shall be deemed to be
   authorized and approved, provided that the subcontract includes all provisions required
   by the Department and the USDOT.
B. Subcontracts in excess of $25,000 shall contain all required provisions of this
   Agreement.
C. No subcontract will relieve the MPO of its responsibility under this Agreement.




TPP & MPO Agreement                   Page 9 of 18                       Revised 02/15/2012
Contract #_________________
                                                       Federal Highway Administration
                                                       CFDA #___________________
                                                       Not Research and Development

Article 16. Termination
A. The Department may terminate this Agreement at any time before the date of
   completion if the Governor withdraws his designation of the MPO. The Department or
   the MPO may seek termination of this Agreement pursuant to Article 13 (Disputes) if
   either party fails to comply with the conditions of this Agreement. The Department or
   the MPO shall give written notice to all parties at least ninety (90) days prior to the
   effective date of termination and specify the effective date of termination.
B. The Department may terminate this Agreement for reasons of its own, subject to
   agreement by the MPO.
C. The parties to this Agreement may terminate this Agreement when its continuation
   would not produce beneficial results commensurate with the further expenditure of
   funds. In this event, the parties shall agree upon the termination conditions.
D. Upon termination of this Agreement, whether for cause or at the convenience of the
   parties, all finished or unfinished documents, data, studies, surveys, reports, maps,
   drawings, models, photographs, etc., prepared by the MPO shall, at the option of the
   Department, be delivered to the Department.
E. The Department shall reimburse the MPO for those eligible expenses incurred during
   this Agreement period that are directly attributable to the completed portion of the work
   covered by this Agreement, provided that the work has been completed in a manner
   satisfactory and acceptable to the Department. The MPO shall not incur new
   obligations for the terminated portion after the effective date of termination.

Article 17. Force Majeure
Except with respect to defaults of subcontractors, the MPO shall not be in default by
reason of failure in performance of this Agreement in accordance with its terms (including
any failure by the MPO to progress in the performance of the work) if that failure arises out
of causes beyond the control and without the default or negligence of the MPO. Those
causes may include but are not limited to acts of God or of the public enemy, fires, floods,
epidemics, quarantine restrictions, strikes, freight embargoes, and unusually severe
weather. In every case, however, the failure to perform must be beyond the control and
without the fault or negligence of the MPO.

Article 18. Remedies
A. Violation or breach of agreement terms by the MPO shall be grounds for termination of
   this Agreement. Any costs incurred by the Department arising from the termination of
   this Agreement shall be paid by the MPO.
B. This Agreement shall not be considered as specifying the exclusive remedy for any
   dispute, but all remedies existing at law and in equity may be availed of by either party
   and shall be cumulative.

Article 19. Gratuities
A. Employees of the Department or the MPO shall not accept any benefits, gifts, or favors
   from any person doing business with, or who may do business with the Department or
   the MPO under this Agreement.


TPP & MPO Agreement                   Page 10 of 18                      Revised 02/15/2012
Contract #_________________
                                                        Federal Highway Administration
                                                        CFDA #___________________
                                                        Not Research and Development

B. Any person doing business with, or who may do business with the Department or the
   MPO under this Agreement, may not make any offer of benefits, gifts, or favors to
   Department or the MPO employees. Failure on the part of the Department or the MPO
   to adhere to this policy may result in termination of this Agreement.

Article 20. Compliance with Laws
The parties to this Agreement shall comply with all federal and state laws, statutes, rules,
and regulations, and the orders and decrees of any courts or administrative bodies or
tribunals in any matter affecting the performance of this Agreement, including without
limitation, workers’ compensation laws, minimum and maximum salary and wage statutes
and regulations, and licensing laws and regulations. When required, the MPO shall furnish
the Department with satisfactory proof of its compliance.

Article 21. Successors and Assigns
No party shall assign or transfer its interest in this Agreement without written consent of the
other parties.

Article 22. Debarment Certifications
The MPO is prohibited from making any award or permitting any award at any tier to any
party that is debarred or suspended or otherwise excluded from or ineligible for
participation in federal assistance programs under Executive Order 12549, Debarment and
Suspension. By executing this Agreement, the MPO certifies that it is not currently
debarred, suspended, or otherwise excluded from or ineligible for participation in Federal
Assistance Programs under Executive Order 12549 and further certifies that it will not do
business with any party that is currently debarred, suspended, or otherwise excluded from
or ineligible for participation in Federal Assistance Programs under Executive Order 12549.
The MPO shall require any party to a subcontract or purchase order awarded under this
Agreement as specified in 49 CFR Part 29 (Debarment and Suspension) to certify its
eligibility to receive federal funds and, when requested by the Department, to furnish a
copy of the certification.

Article 23. Equal Employment Opportunity
The parties to this Agreement agree to comply with Executive Order 11246 entitled “Equal
Employment Opportunity” as amended by Executive Order 11375 and as supplemented in
Department of Labor Regulations (41 CFR §60).

Article 24. Nondiscrimination
During the performance of this Agreement, the MPO, its assigns and successors in
interest, agree to the following:
A. Compliance with Regulations: The MPO shall comply with the regulations relative to
    nondiscrimination in federally-assisted programs of the USDOT, 49 CFR Part 21 and 23
    CFR Part 200, as they may be amended from time to time (the “Regulations”), which
    are incorporated by reference and made a part of this Agreement.




TPP & MPO Agreement                    Page 11 of 18                       Revised 02/15/2012
Contract #_________________
                                                       Federal Highway Administration
                                                       CFDA #___________________
                                                       Not Research and Development

B. Nondiscrimination:       The MPO, with regard to the work performed during this
   Agreement, shall not discriminate on the grounds of race, color, sex, national origin,
   age, or disability in the selection and retention of subcontractors, including
   procurements of materials and leases of equipment. The MPO shall not participate
   either directly or indirectly in the discrimination prohibited by 49 CFR Part 21, including
   employment practices when the agreement covers a program set forth in Appendix B of
   the Regulations.
C. Solicitations for Subcontracts, Including Procurements of Materials and Equipment: In
   all solicitations either by competitive bidding or negotiation made by the MPO for work
   to be performed under a subcontract, including procurements of materials or leases of
   equipment, each potential subcontractor or supplier shall be notified by the MPO of the
   MPO’s obligations under this Agreement and the Regulations relative to
   nondiscrimination on the grounds of race, color, sex, national origin, age or disability.
D. Information and Reports: The MPO shall provide all information and reports required
   by the Regulations, or directives issued pursuant to the Regulations, and shall permit
   access to its books, records, accounts, other sources of information, and its facilities as
   may be determined to be pertinent by the Department or the USDOT to be pertinent to
   ascertain compliance with those Regulations or directives. Where any information
   required of the MPO is in the exclusive possession of another who fails or refuses to
   furnish this information, the MPO shall so certify to the Department or the USDOT as
   appropriate, and shall set forth what efforts it has made to obtain the information.
E. Sanctions for Noncompliance: In the event of the MPO’s noncompliance with the
   nondiscrimination provisions of this Agreement, the Department shall impose sanctions
   that it or the USDOT may determine to be appropriate, including, but not limited to:
   1. Withholding of payments to the MPO under this Agreement until the MPO complies;
       and
   2. Cancellation, termination, or suspension of this Agreement in whole or in part.
F. Incorporation of Provisions: The MPO shall include the provisions of subsections A-E
   of this article in every subcontract, including procurements of materials and leases of
   equipment, unless exempt by the Regulations or directives issued pursuant those
   Regulations.      The MPO shall take action with respect to any subcontract or
   procurement as the Department may direct as a means of enforcing these provisions
   including sanctions for noncompliance; provided, however, in that event, the MPO may
   request the United States to enter into litigation to protect the interests of the United
   States.

Article 25. Nondiscrimination on the Basis of Disability
The MPO agrees that no otherwise qualified disabled person shall, solely by reason of his
disability, be excluded from participation in, be denied the benefits of, or otherwise be
subject to discrimination under this Agreement. The MPO shall ensure that all fixed facility
construction or alteration and all new equipment included in the project comply with
applicable regulations regarding Nondiscrimination on the Basis of Disability in Programs
and Activities Receiving or Benefiting from Federal Financial Assistance, set forth in 49
CFR Part 27, and any amendments to it.



TPP & MPO Agreement                   Page 12 of 18                       Revised 02/15/2012
Contract #_________________
                                                       Federal Highway Administration
                                                       CFDA #___________________
                                                       Not Research and Development


Article 26. Disadvantaged Business Enterprise (DBE) Program Requirements
A. The parties shall comply with the DBE Program requirements established in 49 CFR
   Part 26.
B. The MPO shall adopt, in its totality, the State’s federally approved DBE program.
C. The MPO shall set an appropriate DBE goal consistent with the State’s DBE guidelines
   and in consideration of the local market, project size, and nature of the goods or
   services to be acquired. The MPO shall have final decision-making authority regarding
   the DBE goal and shall be responsible for documenting its actions.
D. The MPO shall follow all other parts of the State’s DBE program referenced in TxDOT
   Form 2395, Memorandum of Understanding Regarding the Adoption of the Texas
   Department of Transportation's Federally-Approved Disadvantaged Business Enterprise
   by        Entity      and       attachments         found        at    web       address
   http://txdot.gov/business/business_outreach/mou.htm.
E. The MPO shall not discriminate on the basis of race, color, national origin, or sex in the
   award and performance of any USDOT-assisted contract or in the administration of its
   DBE program or the requirements of 49 CFR Part 26. The MPO shall take all
   necessary and reasonable steps under 49 CFR Part 26 to ensure non-discrimination in
   award and administration of USDOT-assisted contracts. The State’s DBE program, as
   required by 49 CFR Part 26 and as approved by the USDOT, is incorporated by
   reference in this Agreement. Implementation of this program is a legal obligation and
   failure to carry out its terms shall be treated as a violation of this Agreement. Upon
   notification to the MPO of its failure to carry out its approved program, the State may
   impose sanctions as provided for under 49 CFR Part 26 and may, in appropriate cases,
   refer the matter for enforcement under 18 USC §1001 and the Program Fraud Civil
   Remedies Act of 1986 (31 USC §3801 et seq.).
F. Each contract the MPO signs with a contractor (and each subcontract the prime
   contractor signs with a sub-contractor) must include the following assurance: The
   contractor, sub-recipient, or sub-contractor shall not discriminate on the basis of race,
   color, national origin, or sex in the performance of this contract. The contractor shall
   carry out applicable requirements of 49 CFR Part 26 in the award and administration of
   DOT-assisted contracts. Failure by the contractor to carry out these requirements is a
   material breach of this Agreement, which may result in the termination of this
   Agreement or such other remedy as the recipient deems appropriate.

Article 27. Procurement
A. The MPO shall maintain approved written procurement procedures that meet or exceed
   the requirements of 49 CFR Part 18, “Uniform Administrative Requirements for Grants
   and Cooperative Agreements to State and Local Governments,” and the State’s UGMS
   as either may be revised or superseded. These procedures shall be used for all
   acquisitions authorized in any UPWP.
B. The MPO agrees to comply with applicable Buy America requirements set forth in the
   Surface Transportation Assistance Act of 1978 (Pub. L. 95-599) §401 and the FTA’s
   Buy America regulations in 49 CFR Part 661.


TPP & MPO Agreement                   Page 13 of 18                      Revised 02/15/2012
Contract #_________________
                                                       Federal Highway Administration
                                                       CFDA #___________________
                                                       Not Research and Development

C. The MPO agrees to comply with the cargo preference requirements set forth in 46 USC
   §55305 and Maritime Administration regulations set forth in 46 CFR Part 381.

Article 28. Environmental Protection and Energy Efficiency
A. The MPO agrees to comply with all applicable standards, orders, or requirements
   issued under Section 306 of the Clean Air Act, 42 USC §7602; Section 508 of the
   Clean Water Act 33 USC §1368; Executive Order 11738 and Title 40 CFR, “Protection
   of Environment.” The MPO further agrees to report violations to the Department.
B. The MPO agrees to recognize standards and policies relating to energy efficiency that
   are contained in the State energy conservation plan issued in compliance with the
   Energy Policy and Conservation Act (Pub. L. 94-163).

Article 29. Property Management
The MPO shall maintain written property management procedures that meet or exceed the
requirements of 49 CFR Part 18, “Uniform Administrative Requirements for Grants and
Agreements to State and Local Governments,” and the State’s UGMS as either may be
revised or superseded. These procedures shall be used for any property acquired in whole
or in part with federal and state funds provided through this Agreement.

Article 30. Federal Reimbursement
The MPO shall be responsible for any funds determined to be ineligible for federal
reimbursement, and shall reimburse the Department the amount of those funds previously
provided to it by the Department.

Article 31. Control of Drug Use
The MPO agrees to comply with the terms of the FTA regulation, “Prevention of Alcohol
Misuse and Prohibited Drug Use in Mass Transit Operations,” set forth in 49 CFR Part 655.

Article 32. Lobbying Certification
In executing this Agreement, each signatory certifies to the best of that signatory’s
knowledge and belief, that:
A. No federal appropriated funds have been paid or will be paid by or on behalf of the
    parties to any person for influencing or attempting to influence an officer or employee of
    any federal agency, a Member of Congress, an officer or employee of Congress, or an
    employee of a Member of Congress in connection with the awarding of any federal
    contract, the making of any federal grant, the making of any federal loan, the entering
    into of any cooperative agreement, and the extension, continuation, renewal,
    amendment, or modification of any federal contract, grant, loan, or cooperative
    agreement.
B. If any funds other than federal appropriated funds have been paid or will be paid to any
    person for influencing or attempting to influence an officer or employee of any agency,
    a Member of Congress, an officer or employee of Congress, or an employee of a
    Member of Congress in connection with federal contracts, grants, loans, or cooperative




TPP & MPO Agreement                   Page 14 of 18                       Revised 02/15/2012
Contract #_________________
                                                        Federal Highway Administration
                                                        CFDA #___________________
                                                        Not Research and Development

   agreements, the signatory for the MPO shall complete and submit the Federal Standard
   Form-LLL, “Disclosure Form to Report Lobbying,” in accordance with its instructions.
C. The parties shall require that the language of this certification shall be included in the
   award documents for all sub-awards at all tiers (including subcontracts, sub-grants, and
   contracts under grants, loans, and cooperative agreements) and all sub-recipients shall
   certify and disclose accordingly. Submission of this certification is a prerequisite for
   making or entering into this transaction imposed by 31 USC §1352. Any person who
   fails to file the required certification shall be subject to a civil penalty of not less than
   $10,000 and not more than $100,000 for each such failure.

Article 33. Amendments
Any change to one or more of the terms and conditions of this Agreement shall not be valid
unless made in writing and agreed to by the parties before the change is implemented.

Article 34. Distribution of Products
A. The MPO shall provide a number of copies to be specified by the Department of all
   information, reports, proposals, brochures, summaries, written conclusions, graphic
   presentations, and similar materials developed by the MPO and financed, in whole or in
   part, as provided in this Agreement. All reports published by the MPO shall contain the
   following prominent credit reference to the Department, USDOT, FHWA, and FTA:
   Prepared in cooperation with the Texas Department of Transportation and the U.S.
   Department of Transportation, Federal Highway Administration, and Federal Transit
   Administration.
B. Upon termination of this Agreement, all documents prepared by the MPO or furnished
   to the MPO by the Department, shall be delivered to the Department. All documents,
   photographs, calculations, programs, and other data prepared or used under this
   Agreement may be used by the Department without restriction or limitation of further
   use.

Article 35. Legal Construction
In case any one or more of the provisions contained in this Agreement shall for any reason
be held to be invalid, illegal, or unenforceable in any respect, that invalidity, illegality, or
unenforceability shall not affect any other provisions and this Agreement shall be construed
as if it did not contain the invalid, illegal, or unenforceable provision.

Article 36. Sole Agreement
This Agreement constitutes the sole and only agreement between the parties and
supersedes any prior understandings or written or oral agreements between the parties
respecting the subject matter of this Agreement.

Article 37. Copyrights
The Department and the USDOT shall, with regard to any reports or other products
produced under this Agreement, reserve a royalty-free, nonexclusive and irrevocable right




TPP & MPO Agreement                    Page 15 of 18                        Revised 02/15/2012
Contract #_________________
                                                     Federal Highway Administration
                                                     CFDA #___________________
                                                     Not Research and Development

to reproduce, publish, or otherwise use, and to authorize others to use the work for
government purposes.

Article 38. Federal Funding Accountability and Transparency Act Requirements
A. Any recipient of funds under this Agreement agrees to comply with the Federal Funding
   Accountability and Transparency Act and implementing regulations at 2 CFR Part 170,
   including Appendix A. This Agreement is subject to the following award terms:
   http://edocket.access.gpo.gov/2010/pdf/2010-22705.pdf                               and
   http://edocket.access.gpo.gov/2010/pdf/2010-22706.pdf.
B. The MPO agrees that it shall:
   1. Obtain and provide to the Department a Central Contracting Registry (CCR) number
       (Federal Acquisition Regulation, Part 4, Sub-part 4.1100) if this award provides for
       more than $25,000 in Federal funding. The CCR number may be obtained by
       visiting the CCR web-site at https://www.bpn.gov/ccr/default.aspx;
   2. Obtain and provide to the Department a Data Universal Numbering System (DUNS)
       number, a unique nine-character number that allows the Federal government to
       track the distribution of federal money. The DUNS number may be requested free
       of charge for all businesses and entities required to do so by visiting the Dun &
       Bradstreet on-line registration website at http://fedgov.dnb.com/webform; and
   3. Report the total compensation and names of its top five (5) executives to the
       Department if:
       i. More than 80% of annual gross revenues are from the Federal government, and
           those revenues are greater than $25,000,000; and
       ii. The compensation information is not already available through reporting to the
           U.S. Securities and Exchange Commission.

Article 39. Single Audit Report
A. The parties shall comply with the requirements of the Single Audit Act of 1984, Pub. L.
   98-502, ensuring that the single audit report includes the coverage stipulated in OMB
   Circular A-133.
B. If threshold expenditures of $500,000 or more are met during the MPO's fiscal year, the
   MPO must submit a Single Audit Report and Management Letter (if applicable) to the
   Department's Audit Office, 125 East 11th Street, Austin, TX 78701 or contact the
   Department’s Audit Office at http://www.txdot.gov/contact_us/audit.htm.
C. If expenditures are less than $500,000 during the MPO's fiscal year, the MPO must
   submit a statement to the Department's Audit Office as follows: "We did not meet the
   $500,000 expenditure threshold and therefore, are not required to have a single audit
   performed for FY ______."
D. For each year the project remains open for federal funding expenditures, the MPO will
   be responsible for filing a report or statement as described above. The required annual
   filing shall extend throughout the life of this Agreement, unless otherwise amended or
   the project has been formally closed out and no charges have been incurred within the
   current fiscal year.




TPP & MPO Agreement                  Page 16 of 18                      Revised 02/15/2012
Contract #_________________
                                                       Federal Highway Administration
                                                       CFDA #___________________
                                                       Not Research and Development

Article 40. Notices
All notices to any party by the other parties required under this Agreement shall be
delivered personally or sent by certified or U.S. mail, postage prepaid, addressed to the
party at the following addresses:

                        ____________________________
        MPO:            ____________________________
                        ____________________________
                        ____________________________

                        ____________________________
   Fiscal Agent:        ____________________________
                        ____________________________
                        ____________________________

                        Director, Transportation Planning & Programming Division
    Department:         Texas Department of Transportation
                        125 E. 11th Street
                        Austin, Texas 78701


All notices shall be deemed given on the date delivered or deposited in the mail, unless
otherwise provided in this Agreement. Any party may change the above address by
sending written notice of the change to the other parties. Any party may request in writing
that notices shall be delivered personally or by certified U.S. mail and that request shall be
honored and carried out by the other parties.

Article 41. Signatory Warranty
Each signatory warrants that the signatory has necessary authority to execute this
Agreement on behalf of the entity represented.




TPP & MPO Agreement                   Page 17 of 18                       Revised 02/15/2012
Contract #_________________
                                                      Federal Highway Administration
                                                      CFDA #___________________
                                                      Not Research and Development

THIS AGREEMENT IS EXECUTED by the Department, the MPO, and the Fiscal Agent in
triplicate.


THE MPO                                             THE FISCAL AGENT

________________________________                    ________________________________
Signature                                           Signature

________________________________                    ________________________________
Typed or Printed Name                               Typed of Printed Name

________________________________                    ________________________________
Title                                               Title

________________________________                    ________________________________
Date                                                Date



THE DEPARTMENT

________________________________
Signature

________________________________
Typed or Printed Name

Director, Transportation Planning and Programming Division
Texas Department of Transportation

________________________________
Date




TPP & MPO Agreement                 Page 18 of 18                       Revised 02/15/2012
A RESOLUTION OF THE CITY OF SAN ANGELO AUTHORIZING THE INTERIM CITY
       MANAGER OF HIS DESIGNEE TO NEGOTIATE AND EXECUTE A PLANNING
       AGREEMENT BY AND BETWEEN THE TEXAS DEPARTMENT OF TRANSPORTATION,
       THE SAN ANGELO METROPOLITAN PLANNING ORGANIZATION POLICY BOARD,
       AND THE CITY OF SAN ANGELO, PROVIDING FOR THE URBAN DISTRICT
       TRANSPORTATION PLANNING AND SUPERSEDING PRIOR AGREEMENTS BETWEEN
       THE PARTIES

        WHEREAS, the Federal Aid Highway Act of 1962 required a continuing comprehensive
transportation planning process carried on cooperatively by the State and local communities of each
urban area with a population greater than 50, 000 in order to ensure quality transportation projects
in such area for federal aid; and

        WHEREAS, Sections 221.003 and 201.703, of the Texas Transportation Code authorize the
Texas Department of Transportation to expend federal and state funds for improvements to the
State Highway System, and for improvements to roads not on the system of the state highways, as
may be necessary for proper construction and prosecution of the work; and,

       WHEREAS, in the City of San Angelo the transportation study process was established by
agreement among the local governments and State of Texas for the purpose of developing suitable
transportation plans and programs for the San Angel urbanized area; and

       WHEREAS, the main functions of a Metropolitan Planning Organization Policy Board is to
provide guidance to the transportation planning process throughout the San Angelo region; approve
the Metropolitan Transportation Plan (MTP), Transportation Improvement Program (TIP); Unified
Planning Work Program (UPWP); and other applicable planning documents; and promote
implementation of the MTP, TIP, UPWP, and other planning documents; and

       WHEREAS, 23 U.S.C. 134 and 49 U.S.C. Section 5301 et seq. requires that a Metropolitan
Planning Organization, in cooperation with the State Department of Transportation and transit
agencies develop transportation plans and programs for urbanized areas of the State; and

       WHEREAS, 23 U.S.C. 104(f), authorizes Metropolitan Planning Funds and 49 U.S.C. Section
5301 et seq. authorizes funds to be available to Metropolitan Planning Organizations designated by
the Governor to support urban transportation planning process; and

       WHEREAS, the Governor of the State of Texas or his designee has designated the San Angelo
Metropolitan Planning Organization Policy Board as the Metropolitan Planning Organization for the
San Angelo urbanized area; and

        WHEREAS, the San Angelo Metropolitan Planning Organization Policy Board desires to enter
into a planning agreement with the Texas Department of Transportation to development
transportation plans and programs for the San Angelo urbanized area and to qualify for funding
relating thereto:
NOW, THEREFORE, BE IT RESOLVED BY THE CITY OF SAN ANGELO THAT:

       The Interim City Manager or his designee is hereby authorized to execute a Planning
Agreement with the Texas Department of Transportation and the San Angelo Metropolitan Planning
Organization Policy Board, effective through September 30, 2018, or for such period as the contract
may be extended by its terms

                PASSED and APPROVED THIS______ DAY OF______________, 2012
MEMORANDUM

Date:           August 30, 2012

To:             Mayor and Councilmembers

From:           Luis Elguezabal, A.A.E., Airport Director

Subject:        Consideration for 09-18-12 meeting

Contact:        Luis Elguezabal, A.A.E., Airport, 325-659-6409 or Extension-1010

Caption:        Consent Agenda:
                CONSIDERATION OF AUTHORIZING THE INTERIM CITY MANAGER EXECUTE AN
                GRANT AGREEMENT ACCEPTING THE FEDERAL AVIATION ADMINISTRATION’S
                FY-2012 MULTI YEAR GRANT (GRANT NO. 3-48-0191-033-2012) ESTIMATED AT
                $4,000,000.00 FOR WHICH $444,444.00 WILL BE CITY’S PORTION OF MATCHING
                FUNDS FOR IMPROVEMENTS AT SAN ANGELO REGIONAL AIRPORT.

Summary:        Each year the airport applies for a grant under the Federal Aviation Administration
                (FAA) Airport Improvement Program (AIP). The AIP is authorized by Title-49 of the
                United States Code. The AIP's objective is to provide funding for airport capital
                improvement projects.

                Grant No. 3-48-0191-033-2012 is for the rehabilitation and upgrades of the airport’s
                terminal building. This is a multi-year grant with amendments for each fiscal year:

                                      Federal Share         City Share                 TOTAL
                       FY-2012        $1,000,000            $111,111               $1,111,111
                       FY-2013        $1,000,000            $111,111               $1,111,111
                       FY-2014        $1,000,000            $111,111               $1,111,111
                       FY-2015        $1,000,000            $111,111               $1,111,111
                       Total          $4,000,000            $444,444               $4,444,444

                The federal share is $1,000,000. The City is obligated to pay 10% of the cost of all FAA
                funded projects, in this case that estimated sum is $111,111.00. The airport will fund
                this obligation, and all future amendments, through the Passenger Facility Charge
                (PFC) program.

                The FAA requests that the grant be accepted, attorney certified, and executed by
                September 18, 2012.

Financial Impact:      This Grant generates federal funds of $4,000,000 that are augmented by
                       $444,444 from the Passenger Facility Charges for a total of $4,444,444.

Related Vision Item: Adequately maintain infrastructure • Transportation

Other Information/Recommendation: Staff recommends approval.

Attachments:                   FAA Grant Agreement No. 3-48-0191-033-2012

Presentation:                  None
Publication:            None

Reviewed by Director:   Luis Elguezabal, Airport, 08-30-12
City of San Angelo



Memo
 Date:      September 14, 2012

 To:        Mayor and Council Members

 From:      David Knapp, Construction Manager

 Subject:   Agenda Item for September 18, 2012 Council Meeting

 Contact:   David Knapp, Construction Manager, 657-4279

 Caption:   Consent Agenda Item

            Consideration of authorizing a fourth amended Architectural and Consulting Services
            Agreement with Killis Almond Architects for the design of Auditorium roof and coping
            replacement and authorizing the Interim City Manager to execute said amendment

 Summary:   The City is currently in contract with Killis Almond Architects (KAA) for the
            Restoration & Rehabilitation of the City Hall and Old Library buildings and the
            renovation of the Auditorium. The Auditorium renovation focused primarily on
            upgrades within the building shell like new lights & sound equipment as well as
            new finishes and fixtures for restrooms and back of house spaces. The proposed
            new work includes the replacement of cast stone coping on all parapets, new
            roofing and insulation on both roof levels. There are a few items relating to roof
            penetrations for future auditorium work that can be properly addressed during this
            project Temporary measures have been taken to shore up damaged coping
            stones to prevent them from falling. KAA has an extensive knowledge of this
            building including information discovered during the City Hall renovation. Funding
            for this work was approved by council on July 17 under a budget amendment from
            Risk Management.


 History:   Killis Almond Architects have been under contract with the City since 2008 for the
            Master Plan of the City Hall Plaza area. Four phases of work were outlined for the
            renovation of the City Hall, Old Library, and Water Utility Building and a new
            Parking Garage. This contract was then extended for the Architect to provide
            professional services for Phase I - Renovation of the City Hall and Old Library
            buildings; Phase II -Design of the mechanical central plant that will serve all the
            buildings at the City Hall Plaza Area; Phase III – Restoration & renovation of the
            Auditorium, a Half-Cent Sales Tax Project. The Auditorium has always been
            considered an important element to the City Hall Plaza area and its renovation &
            expansion is key to the success of the Master Plan. The focus of Phase III was to
            improve the technical and aesthetic aspects within the shell of the auditorium
            structure. It was determined later that there was serious deficiencies in the roof
            and particularly the roof coping which posed a danger to the general public. The
            primary focus was to replace the damaged roof coping that posed a significant
danger to the general public as a safety issue. While there is some life left in the
                     existing roofs, it does not make sense to replace the coping and not address an
                     aging roof.
                     This work will strengthen the “Downtown Vision” as established by the City
                     Council.


Financial Impact:    The Professional Services fee for the Auditorium is $20,900. Funding comes from
                     Budget Amendment from Risk Management funds with $316,000 available for the
                     design & construction of the project.

Other Information/   Staff recommends the approval of extending the professional services contract
Recommendation:      with Killis Almond Architects for the Auditorium Roof replacement Project.

Attachments:         Proposal and Contract


Presentation:        None

Reviewed by:         Rick Weise, Assistant City Manager, September 2, 2012
FOURTH AMENDED ARCHITECTURAL AND
                   CONSULTING SERVICES AGREEMENT
     BETWEEN CITY OF SAN ANGELO AND KILLIS ALMOND ARCHITECTS, PC

       This Fourth Amendment is made and entered into this the _____ day of ___________, 2012,
between the CITY OF SAN ANGELO, TEXAS, a Texas home-rule municipality (“OWNER”) and
KILLIS ALMOND ARCHITECTS PC, a Texas corporation “(ARCHITECT”).

       WHEREAS,         OWNER and ARCHITECT originally executed an Architectural and Consulting
Services Agreement on July 24, 2008, as amended by that certain First Amended Architectural and
Consulting Services Agreement dated April 6, 2009, as amended by that certain Second Amended
Architectural and Consulting Services Agreement dated August 3, 2010, as amended by that Third Amended
Architectural and Consulting Services Agreement dated November 1, 2011; and

       WHEREAS, OWNER and ARCHITECT now desire to execute a Fourth Amended Architectural
and Consulting Services Agreement; and

       WHEREAS, all of the terms and conditions of the First Amended Architectural and Consulting
Services Agreement, Second Amended Architectural and Consulting Services Agreement and Third
Amended Architectural and Consulting Services Agreement shall be in full force and effect unless amended
and changed by this Fourth Amended Architectural and Consulting Services Agreement; and

       NOW THEREFORE, OWNER and ARCHITECT agree as follows:

The Fourth Amended Architectural and Consulting Services Agreement shall be amended as follows:

   1. ARTICLE 2 – STANDARDS OF PERFORMANCE, Section 2.2, shall be amended by adding
       an additional subsection after subsection d., to be entitled subsection e., which shall read as follows:

       e. ARCHITECT shall deliver Final Construction Documents to repair the Roofing and Flashing,
           and Roof Replacement for the San Angelo City Hall Auditorium and Stagehouse in
           accordance with the provisions set forth in ARTICLE 3 – SCOPE OF SERVICES, within
           sixty (60) days following the approval of the conditions report and notice to proceed.


   2. ARTICLE 4 – ARCHITECT FEES, 4.1 ARCHITECT FEES, Subsection 4.1.2, shall be
       amended by inserting “C-7” into the first sentence after “C-6” which shall read as follows:
4.1.2 A breakdown of the lump sum fees are included as the Contract Cost Estimate attached to
   this Agreement as Exhibits C-1, C-2, C-3, C-4, C-5, C-6 and C-7 attached hereto and
   incorporated herein for all purposes.



3. ARTICLE 4 – ARCHITECT FEES, 4.1 ARCHITECT FEES, Subsection 4.1.4, shall
   be amended by inserting “C-7” into the first sentence after “C-6” which shall read as
   follows:


   4.1.4 For Additional Services of Consultants, including additional structural, mechanical
   and electrical engineering services or those identified as part of Additional Services,
   OWNER, shall the amounts set forth for Additional Services under the Contract Cost
   Estimate in Exhibits C-1, C-2, C-3, C-4, C-5, C-6 and C-7.


4. Exhibit B, Work/Project Specifications, shall be amended by adding a paragraph
   entitled COMPLETION OF CONSTRUCTION DOCUMENTS TO REPAIR THE
   ROOFING AND FLASHING, AND ROOF REPLACEMENT FOR THE SAN
   ANGELO CITY HALL AUDITORIUM AND STAGEHOUSE, to be inserted after
   the last bulleted sentence under the paragraph entitled “PHASE III: AUDITORIUM
   RENOVATION AND EXPANSION CENTRAL ICE PLANT” (● The basement
   stage is not part of the annex work. Minimum work will be accomplished to keep this
   area functioning as currently designed.), and above the paragraph entitled “OTHER”,
   which shall read as follows:

   COMPLETION OF CONSTRUCTION DOCUMENTS TO REPAIR THE
   ROOFING AND FLASHING, AND ROOF REPLACEMENT FOR THE SAN
   ANGELO CITY HALL AUDITORIUM AND STAGEHOUSE

   ARCHITECT is required to follow the design phases and services as defined in the original
   contract including SCHEMATIC DESIGN, DESIGN DEVELOPMENT, CONSTRUCTION
   DOCUMENTS, BIDDING & CONSTRUCTION. The project scope involves completion of a
   detailed report on existing conditions and solution to water penetration into the roofing and
   parapets and the current dangerous conations relating to precast stone parapet caps that have
deteriorated and are falling from the surrounding walls.


  REPORT PHASE – City Hall Auditorium and Stagehouse roof and parapet repair –
   ARCHITECT shall provide complete investigation, design and engineering services for the
   completion of a report on the existing conditions of the roofing and parapets, including the
   parapet caps.

   •   Field document current conditions and report in written form the problems and selected
       options for repair based on the filed investigations.

   •   Present the field documentation information in a written report that will provide an
       understanding of the issues and the proposed solutions.

   •   Provide a Broadscope budget of probable construction costs for budgeting purposes.

   •   Provide one presentation to City as needed to present the findings and provide an
       understanding of the issues relating to the roof/waterproofing.

   DOCUMENTS AND CONSTRUCTION PHASE – City Hall Auditorium and Stagehouse roof
   and parapet repair – ARCHITECT shall provide complete design and engineering services for the
   contract documents including drawings and specifications to allow the City to bid the work on the
   Auditorium Roof, Stagehouse and Parapet Caps.

   •   Provide specification for the establishment of the material to be used in the repair of the
       roofing elements.

   •   Complete working drawings to a sufficient level to describe the intent of the architect’s
       design for waterproofing and replacing the damaged elements in the roofing system.

   •   Provide bid documents for the pricing of the project by the contractor.

   •   Provide Construction Administration Services during the construction phase.

   •   The Architect shall complete final construction documents within Sixty (60) days following
       the approval of the conditions report and notice to proceed by the City Architect.


5. EXHIBIT C – shall be amended by adding a new exhibit, EXHIBIT C-7,
  containing a Fee Breakdown for Architectural, Rehabilitation and Engineering
  Services, to be placed following EXHIBIT C-6, which is attached to this Fourth
Amended Architectural and Consulting Services Agreement as Attachment A, and
       shall read as follows:

                                            EXHIBIT “C-7”

                                                                              Fee
        Project - Auditorium and Stage                                      Amount
               House Investigation                   Deliverable           Fixed Fee        Fee Type
       Divisions of work

       Investigation and Schematic Design      Report and Presentation      $8,100          Fixed Fee
       Design Development and                 Drawings and
       Construction Documents                 specifications                $4,000          Fixed Fee
                                              Bidding assistance and
                                              Field trips for
                                              Construction
       Bidding/Construction                   Administration                $4,000          Fixed Fee
                                                                                        Billed at Cost of
                                                                                       Travel Expense – 7
                                              Printing, Travel costs and               man trips included in
       Reimbursable Expenses                  fees as required              $4,800           fixed fee
                          Total A/E Fees                                   $20,900




      IN WITNESS WHEREOF, the parties hereto have made and executed in duplicate this
Fourth Amended Architectural and Consulting Services Agreement, this ____ day of
___________________, 2012.




OWNER:                                                     ARCHITECT:
CITY OF SAN ANGELO                                         KILLIS ALMOND ARCHITECTS, PC


By:__________________________                              By:____________________________
Michael Dane, Interim City Manager                            Killis Almond, FAIA Director



Date Signed:                                               Date Signed:


ATTEST:                                                    ATTEST:
By:   _____________________                               By:      _____________________
      Alicia Ramirez, City Clerk


                                           Attachment “A”

                                           EXHIBIT “C-7”

                                                                             Fee
       Project - Auditorium and Stage                                      Amount
              House Investigation                   Deliverable           Fixed Fee        Fee Type
      Divisions of work

      Investigation and Schematic Design      Report and Presentation      $8,100          Fixed Fee
      Design Development and                 Drawings and
      Construction Documents                 specifications                $4,000          Fixed Fee
                                             Bidding assistance and
                                             Field trips for
                                             Construction
      Bidding/Construction                   Administration                $4,000          Fixed Fee
                                                                                       Billed at Cost of
                                                                                      Travel Expense – 7
                                             Printing, Travel costs and               man trips included in
      Reimbursable Expenses                  fees as required              $4,800           fixed fee
                         Total A/E Fees                                   $20,900
FOURTH AMENDED ARCHITECTURAL AND
                  CONSULTING SERVICES AGREEMENT
    BETWEEN CITY OF SAN ANGELO AND KILLIS ALMOND ARCHITECTS, PC




APPROVED AS TO CONTENT:                  APPROVED AS TO FORM:



____________________       _             ____________________________
David Knapp, Construction Manager        Lysia H. Bowling, City Attorney
Proposal for Additional Services 
 
From:  Killis Almond Architects, P.C.                                                July 10, 2012 
        342 Wilkens Ave. 
        San Antonio, TX 78210 
        210‐532‐3212 
 
RE:  Proposal for Contract Amendment for the completion of Construction Documents to repair the 
Roofing and flashing, and Roof Replacement for the San Angelo City Hall Auditorium and Stagehouse.   

SCOPE OF WORK:  The architect is required to follow the design phases and services as defined in the 
original contract including SCHEMATIC DESIGN, DESIGN DEVELOPEMNT, CONSTRUCTION DOCUMENTS, 
BIDDING & CONSTRUCTION.  The project scope involves completion of a detailed report on existing 
conditions and solution to water penetration into the roofing and parapets and the current dangerous 
conations relating to precast stone parapet caps that have deteriorated and are falling from the 
surrounding walls. 

REPORT PHASE – City Hall Auditorium and Stagehouse roof and parapet repair ‐ Almond Architects shall 
provide complete investigation, design and engineering services for the completion of a report on the 
existing conditions of the roofing and parapets, including the parapet caps.   

               Field document current conditions and report in written form the problems and 
                selected options for repair based on the field investigations.  
               Present the field documentation information in a written report that will provide an 
                understanding of the issues and the proposed solutions. 
               Provide a Broadscope budget of probable construction costs for budgeting purposes. 
               Provide one presentation to the City as needed to present the findings and provide an 
                understanding of the issues relating to the roof/waterproofing. 

DOCUMENTS AND CONSTRUCTION PHASE– City Hall Auditorium and Stagehouse roof and parapet 
repair ‐ Almond Architects shall provide complete design and engineering services for the contract 
documents including drawings and specifications to allow the City of San Angelo to bid the work on the 
Auditorium Roof, Stagehouse and Parapet Caps. 

               Provide specification for the establishment of the material to be used in the repair of 
                the roofing elements. 
               Complete working drawings to a sufficient level to describe the intent of the architect’s 
                design for waterproofing and replacing the damaged elements in the roofing system. 
               Provide bid documents for the pricing of the project by the contractor. 
               Provide Construction Administration Services during the construction phase. 
                The Architect shall complete final construction documents within Sixty (60) days 
                following the approval of the conditions report and notice to proceed by the City 
                Architect.  

 




                                                                                                    Page 1 
Proposal for Additional Services 
                                                        



Project – Auditorium and Stage               Deliverable           Fee Amount              Fee Type 
House Investigation                                                 Fixed Fee 
Divisions of work                                                                                
                                                                                                 
Investigation and  Schematic Design          Report and              $8,100                Fixed Fee 
                                            presentation 
Design Development and                      Drawings and              $4,000               Fixed Fee 
Construction Documents                      specifications 
Bidding / Construction                   Bidding assistance           $4,000               Fixed Fee 
                                         and Field trips for 
                                            Construction 
                                           Administration 
Reimbursable Expenses                      Printing, Travel           $4,800            Billed at Cost of 
                                          costs and fees as                            Travel Expense – 
                                              required                                     7 man trips 
                                                                                       included in fixed 
                                                                                               fee 
                       Total A/E Fees                                $20,900                Fixed Fee 
                                                                                                  
 

Please feel free to contact me if you have any questions regarding this proposal.  Thank you for again 
considering our firm for Architectural Services.  We look forward to working on this important upgrade 
to the safety of the City Hall exterior. 

Respectfully, 




                                                

Killis Almond, FAIA 




                                                                                                  Page 2 
City of San Angelo



Memo
 Date:               August 22, 2012

 To:                 Mayor and Councilmembers

 From:               Robert Schneeman, Development Coordinator

 Subject:            Agenda Item for September 4, 2012 Council Meeting

 Contact:            Shawn Lewis, or Bob Schneeman 657-4210

 Caption:            Regular Agenda Item

                     First public hearing and consideration of introduction of an ordinance naming a private
                     drive within the City of San Angelo located on a 3.757 acre tract in Block CC, Section
                     30 College Hills South Addition, Time Clock Drive; and providing an effective date; and
                     first public hearing and consideration of an ordinance repealing in its entirety the
                                                                                         th
                     ordinance introduced passed, approved and adopted on the 5 day of April 2005
                     naming a private drive on Lot 1 in Southland Park Addition, Section Fifteen, Time
                     Clock Drive; and providing an effective date

                     At its regular meeting on April 5, 2005 approved the second reading of an
                     ordinance (Annex C, page 379, Ordinance) naming a heretofore unnamed private
 Summary:            drive on Lot 1, Section 15, Southland Park Addition “Time Clock Drive”, at the
                     request of the applicant Data Management, Inc. The applicant has subsequently
                     purchased a new property and would like to use the name for a private drive on
                     that property. No addresses were ever assigned to the former street.
 History:            Data management Inc, the applicant originally requested the naming of a private
                     lane on Lot 1, Section 15, Southland Park addition, with the intent of relocating its
                     operations to an existing building on that property. The company grew faster than
                     anticipated resulting in that building being too small for their operations.
                     Consequently the company purchased the property located at 3522 Loop 306 and
                     has requested that the name Time Clock Drive be removed from the private drive
                     on Lot 1, Section 15, Southland Park Addition and that the previously unnamed
                     drive located on the newly purchased property, a 3.757 acre tract in Block CC,
                     Section 30, College Hills South Addition be named Time Clock Drive. The
                     company believes having a mailing address located on a street with the same
                     name as their primary product “TimeClock Plus” provides a significant marketing
                     benefit. No addresses have been assigned to any properties on the formerly
                     named drive and the current occupant of the building into which the applicant
                     intended to move, Journey Bible Church, is using the address 2819 West Loop
                     306 and there are no other properties which would be affected by the name
                     change.



 Financial Impact:   None
Related Vision Item

(if applicable):

Other Information/    Staff recommends approval as presented
Recommendation:

Attachments:          2005 Ordinance, Ordinance Repealing 2005 Ordinance, Ordinance Naming
                      Private Drive, and Minute Excerpt 4/5/2005
Presentation:         Robert Schneeman, Development Coordinator

Publication:

Reviewed by           Shawn Lewis, ext 1541
Director:

Approved by Legal:
0LQXWHV                                                                                            3DJH 
$SULO                                                                                         9RO 

,QYHVWPHQW 2YHUVLJKW RPPLWWHH 6WHYH HFLO 281,/
IRU DQ XQOLPLWHG WHUP
3XEOLF $UW RPPLVVLRQ 1HYLH /DF 60'
5LFKDUG 6DOPRQ 60'
-XOLH 5DPRQG 60'
DQG
RXUWQH :DUGODZ 0$25
IRU IXOO WHUPV WR $SULO   DQG 6HDQ DUWHU 60'
DQG )UHG *ULIILQ
60'
IRU IXOO WHUPV WR $SULO  

0RWLRQ WR DSSURYH ERDUG DSSRLQWPHQW QRPLQDWLRQV DV VXEPLWWHG E GHVLJQDWHG RXQFLOPHPEHUV ZDV PDGH E
0DRU /RZQ DQG VHFRQGHG E RXQFLOPHPEHU %DWHV 0RWLRQ FDUULHG XQDQLPRXVO

3/$11,1* $*(1'$ 6(21' 5($',1*6

6(21' 38%/, +($5,1* $1' $'237,21 2) $1 25',1$1( $0(1',1* +$37(5 
(;+,%,7 ³$´ 2) 7+( 2'( 2) 25',1$1(6 ,7 2) 6$1 $1*(/2 7(;$6

68  (OLDV 0 )ORUHV

$1 25',1$1( $0(1',1* +$37(5  (;+,%,7 $ 2) 7+( 2'( 2) 25',1$1(6 ,7
2) 6$1 $1*(/2 7(;$6 :+,+ 6$,' (;+,%,7 $ 2) +$37(5  $'2376 =21,1*
5(*8/$7,216 86( ',675,76 $1' $ =21,1* 0$3 ,1 $25'$1( :,7+ $
2035(+(16,9( 3/$1 % +$1*,1* 7+( =21,1* $1' /$66,),$7,21 2) 7+(
)2//2:,1* '(65,%(' 3523(57 72 :,7  :(67 $9(18( 5 $7 7+( 6287+:(67
251(5 2) 6287+ %5$17 %28/(9$5' $1' :(67 $9(18( 5 63(,),$// 283,1*
/27  ,1 %/2.  2) /$ 9,//,7$ +(,*+76 $'',7,21 ,1 6287+ (175$/ 6$1 $1*(/2
7(;$6 $33529,1* $ 63(,$/ 86( 72 $//2: 6$/( 2) 0(5+$1',6( 287'2256 21
3523(57 ,1 $ 6,1*/()$0,/ 5(6,'(1( 56
',675,7 68%-(7 72 21',7,216
63(,),(' +(5(,1 3529,',1* )25 6(9(5$%,/,7 $1' 3529,',1* )25 $ 3(1$/7

3ODQQHU ,, 0DUWLQ =LPPHUPDQQ SUHVHQWHG EDFNJURXQG LQIRUPDWLRQ

0RWLRQ WR DGRSW DQ 2UGLQDQFH DPHQGLQJ KDSWHU  ([KLELW ³$´ RI WKH RGH RI 2UGLQDQFHV LW RI 6DQ
$QJHOR 7H[DV 68  (OLDV 0 )ORUHV DV SUHVHQWHG RQ VHFRQG UHDGLQJ ZDV PDGH E RXQFLOPHPEHU
+ROJXLQ DQG VHFRQGHG E RXQFLOPHPEHU 0RUULVRQ 0RWLRQ FDUULHG XQDQLPRXVO

$QQH[ % 3DJH  ³2UGLQDQFH´

6(21' 38%/, +($5,1* $1' $'237,21 2) $1 25',1$1( $66,*1,1* $ 675((7 1$0(
72 $ 35,9$7( '5,9(

$1 25',1$1( 1$0,1* $ +(5(72)25( 811$0(' 35,9$7( '5,9( 21 /27  ,1
6287+/$1' 3$5. $'',7,21 6(7,21 ),)7((1
72 %( 7,0( /2. '5,9( $1'
3529,',1* $1 ())(7,9( '$7(

6HQLRU 3ODQQHU %UDG 6WRQH SUHVHQWHG EDFNJURXQG LQIRUPDWLRQ

0RWLRQ WR DGRSW DQ 2UGLQDQFH DVVLJQLQJ D VWUHHW QDPH WR D SULYDWH GULYH DV SUHVHQWHG RQ VHFRQG UHDGLQJ ZDV
PDGH E 0DRU /RZQ
AN ORDINANCE NAMING A PRIVATE DRIVE WITHIN
               THE CITY OF SAN ANGELO LOCATED ON A 3.757
               ACRE TRACT IN BLOCK CC, SECTION 30 COLLEGE
               HILLS SOUTH ADDITION TIME CLOCK DRIVE; AND
               PROVIDING AN EFFECTIVE DATE



WHEREAS, an existing business is expanding on the subject property; and

WHEREAS, there is a private drive through the property shown and described in
         Exhibit A, the private drive being located within the easterly 1/3rd of the
         property and connecting Wildewood Drive on the north and Loop 306
         West on the south; and

WHEREAS, the City Council for the City of San Angelo, Texas is of the opinion that
         naming the private drive will promote economic development and promote
         job creation in connection with the expansion business;

NOW, THEREFORE, BE IT ORDAINED BY THE CITY OF SAN ANGELO:

       THAT, the private drive depicted in Exhibit “A” shall be and is hereby designated
as “Time Clock Drive”; and,

      THAT, as a consequence of this ordinance, the City of San Angelo assumes no
responsibility for maintenance or repair of the driving surface on this private drive.

This ordinance shall be effective from and after the date of its adoption.

INTRODUCED on the 4th day of September 2012 and finally PASSED, APPROVED
AND ADOPTED on this the 18th day of September, 2012.

                                                 THE CITY OF SAN ANGELO, TEXAS


                                                 Alvin New, Mayor

Attest:


Alicia Ramirez, City Clerk


Approved As to Form:                             Approved As to Content:


Shawn Lewis                                      Lysia H. Bowling
Community and Economic Development Director   City Attorney
AN ORDINANCE REPEALING IN ITS ENTIRETY THE
                 ORDINANCE INTRODUCED PASSED, APPROVED AND
                 ADOPTED ON THE 5TH DAY OF APRIL, 2005 NAMING A
                 PRIVATE DRIVE ON LOT 1 IN SOUTHLAND PARK
                 ADDITION, SECTION FIFTEEN TIME CLOCK DRIVE; AND
                 PROVIDING AN EFFECTIVE DATE



WHEREAS the City Council for the City of San Angelo, Texas is of the opinion that the
best interest and welfare of the public will be served by removing the name Time Clock
Drive from the private drive located on Lot 1, in Southland Park Addition, Section
Fifteen;

NOW, THEREFORE, BE IT ORDAINED BY THE CITY OF SAN ANGELO:

        THAT, the Ordinance naming a private drive on Lot 1 in Southland Park Addition,
Section Fifteen Time Clock Drive; and providing and effective date, introduced on the
22nd day of March 2005 and finally passed, approved and adopted on the 5th day of
April, 2005 IS HEREBY REPEALED IN ITS ENTIRETY.

          This ordinance shall be effective from and after the date of its adoption.

INTRODUCED on the 4th day of September 2012 and finally PASSED, APPROVED
AND ADOPTED on this the 18th day of September, 2012.



                                                    THE CITY OF SAN ANGELO, TEXAS


                                                    Alvin New, Mayor

Attest:


Alicia Ramirez, City Clerk


Approved As to Form:                                Approved As to Content:




Shawn Lewis                                         Lysia H. Bowling
Community and Economic Development Director         City Attorney
City of San Angelo



Memo
 Meeting Date:   September 4, 2012

 To:             City Council members

 From:           Jeff Hintz, Planner

 Subject:        Smith Boulevard, Partial Street Abandonment Request: Howard
                 College requesting abandonment on the following property:

 Location:       an 80’ wide portion of the unimproved public right-of-way for
                 Smith Boulevard, extending approximately 1000’ northward from
                 McGill Boulevard, immediately adjacent to property owned by
                 Howard College in northeastern San Angelo.

 Contacts:       LeAnne Byrd                              325-481-8300
                 Jeff Hintz, Planner                      325-657-4210

 Caption:        First Public Hearing and consideration of introduction of an
                 Ordinance authorizing abandonment of public right-of-way for
                 Smith Boulevard extending approximately 1000 feet northward
                 from the intersection of Smith Boulevard and McGill Boulevard
                 in northeastern San Angelo,

                 AN ORDINANCE PROVIDING FOR THE ABANDONMENT
                 AND CLOSING OF THE FOLLOWING STREET SEGMENT,
                 TO WIT: An approximately 80’ wide portion of the
                 unimproved public right-of-way for Smith Boulevard,
                 extending approximately 1000’ northward from McGill
                 Boulevard, immediately adjacent to property owned by
                 Howard College in northeast San Angelo; AUTHORIZING
                 THE CONVEYANCE THEREOF TO THE ABUTTING
                 PROPERTY OWNERS; PROVIDING FOR THE TERMS AND
                 CONDITIONS OF ABANDONMENT AND CONVEYANCE;
                 AND PROVIDING FOR THE MAYOR TO EXECUTE AND
                 DELIVER A QUIT CLAIM DEED TO THE ABUTTING
                 PROPERTY OWNERS
Summary: The City Council may:

   1. Approve the proposed abandonment; or

   2. Approve the proposed abandonment subject to conditions; or

   3. Deny the proposed abandonment.


Recommendation: City staff recommends approving, subject to conditions as
listed below, the proposed alley abandonment for the reasons mentioned in this report.

On August 20, Planning Commission recommended approval of this request subject
to conditions by a vote of 4-0.


History and Background:

In May of 2012 a Planned Development was presented to the Planning Commission
and approved. After some discussion at City Council, Council discussed their concerns
about having Smith Boulevard bisect the campus, similar to that of Johnson Street at
Angelo State. As a result, staff worked with Howard College, Parkhill Smith  Cooper,
TxDOT, and other parties to identify alternative ways to route traffic in this area.
COSADC, and later, City Council, approved the proposal of improving a segment of
Smith Boulevard from PaulAnn Boulevard to the edge of the campus, at which point it
would terminate into internal parking lots that are planned for the area.           A
corresponding amendment to the Thoroughfare Plan was then drafted and approved by
both Planning Commission and the MPO Policy Board. This amendment eliminated
Smith Boulevard between McGill Boulevard and Howard College's northern most
property boundary. As a result, Howard College now seeks to encompass this property
into its master plan.

General Information

       Existing Zoning:            Light Manufacturing (ML)  General Commercial
                                   (CG)

       Existing Land Use:          Howard College/West Texas Training Center and
                                   vacant land

       Surrounding Zoning/Land Use:

        North:                 ML, CH          Wall  Stewart Trucking, AEP Substation
        West:                 RM-1, PD         Residences, Mobile Homes
        South:              RS-1, RM-1,CG      Residences, County Facility, Vacant Land
        East:                     ML           Howard College  Highway 67
Storm Water/Drainage:      Abandoning the street segment is not expected to
                                create any storm water or drainage changes for
                                the area so long as what was proposed at a
                                development review meeting with city staff is
                                followed through.

     Topography:                Abandoning the street is not expected to change
                                the topography of the area.

     Water/Sewer Utilities:     A water easement needs to be retained until an
                                alternate route/easement is dedicated to ensure
                                main(s) can be installed to connect McGill and
                                Paulann Boulevards then continue northward.

     Fire Protection:           A dedicated, unobstructed easement to provide
                                fire apparatus and emergency vehicle access will
                                be necessary to properly protect future expansion
                                of the college.

     Access Management:         Abandoning the street is not anticipated to cause
                                any issues regarding property access as the
                                college is the owner of property on both sides
                                along the proposed abandonment.

     Notification required:     Yes

     Notifications Sent:        9

     Received In favor          0

     Received in opposition     0

Special Information

     Private Utilities:         Atmos energy has a gas line along the eastern
                                portion of this proposed abandonment and needs
                                to retain a 20' open and unobstructed easement
                                for future access.


Basis for Recommendation

      This property will be much more valuable to the college than to the city
     as an unimproved street. There is no longer a collector street planned to
     run through the campus and the property will be best used as a portion of
     campus. The elimination of this street running through campus will be
     beneficial to the surrounding neighborhoods and to the campus. The
     safety of students on campus will certainly be improved as a result of this
     collector street being stopped at McGill Boulevard.
The master plan for Howard College encompasses this former street as a
     parking lot and free space for the campus. By abandoning this right-of-
     way, the property owner will be able to achieve a cohesive campus feel
     without the interruption of a collector street. This cohesion will help give
     the area a campus feel, which is indeed the intent of the applicant. Since
     the property is no longer necessary as a through street, staff has no
     objections to this right-of-way being abandoned. The city has no need for
     this property any longer as the Thoroughfare Plan for this area recently
     changed; as a result, staff is confident this property would be better for
     everyone as private property, even if there were two different owners
     adjacent to the abandonment area.

     It is important to note that there are some utilities present in this
     abandonment area. The open and unobstructed easements,
     recommended as staff conditions, alongside and through this proposed
     abandonment are necessary so that growth to the north of the property is
     not hindered in the future and so that adequate fire protection may be
     provided. Gas and water are essential portions of any development on
     the commercial or residential side and discontinuing their progress
     northward will have serious implications on future development. Open
     and unobstructed easements across this former street will need to be
     maintained so the facilities can be accessed, upgraded, and repaired in
     the future. The easements can be paved and parked over without any
     problem, however they do need to be kept free from buildings, fences,
     and structures so that future access can occur.


Proposed Conditions

     1. Submission and approval of a site utility plan to the Water Utilities
        Department including conveyance of easements for water utilities.

     2. Maintain at least a 20' open and unobstructed temporary easement for
        emergency vehicle access from McGill Boulevard northward throughout
        the entire abandonment. Upon completion of a permanent, paved fire
        lane extending through an approved route by the Fire Marshall for the
        City of San Angelo, in accordance with the International Fire Code, this
        temporary easement shall automatically cease to exist.

     3. Access to the temporary fire access easement shall be blocked through
        the use of removable bollards to limit traffic to emergency vehicles only
        and shall be signed accordingly. The location of the bollards shall be
        approved by the Fire Marshall for the City of San Angelo.
Attachments:    detailed survey of the area to be abandoned;

                excerpt from       zoning   map,   highlighting   subject
                property;

                aerial photo, highlighting subject property;

                draft minutes from Planning Commission; and

                draft ordinance.

Presentation:   AJ Fawver, Planning Manager

Reviewed by:    AJ Fawver, AICP, Planning Manager 08/09/12
B. Smith Boulevard, northward approximately 1000 feet northward from McGill
   Boulevard: Howard College

   A request to abandon a street right-of-way on the following property:

   an 80’ wide portion of the unimproved public right-of-way for Smith Boulevard,
   extending approximately 1000’ northward from McGill Boulevard, immediately
   adjacent to property owned by Howard College in northeastern San Angelo.

Jeff Hintz, Planner, came forward to present this item, consistent with the
recommendation of approval, subject to conditions. Nine notifications were sent out
on this request, with zero returned in favor or in opposition. As a result of the recent
Thoroughfare Plan change, which eliminated the requirement for Smith Boulevard to
act as an arterial street bisecting the campus, Howard College has requested this
abandonment in order to continue their campus expansion over and across this
area. Mr. Hintz showed some photos of the area and reviewed the options for the
Commission. Mr. Hintz reviewed the chronological timeline of events that have
transpired, leading up to this request, and including the involvement of COSADC,
MPO, TxDOT, and City Council. Mr. Hintz reviewed the conditions staff is
recommending for approval. These include an open and unobstructed easement for
an existing gas line, submission and approval of a site utility plan by Water Utilities
staff, and a 20' open  unobstructed easement for emergency vehicle access
northward from McGill to the end of the section proposed for abandonment.

There were no questions from the Commission.

Leanne Byrd, Provost from Howard College, came forward to speak in favor of this
request. She indicated that they are pleased with the direction this new campus
expansion has taken. The Chairman asked if there were issues with the conditions
proposed, and she stated her belief that they could work with those conditions.

No one else came forward to speak on this item.

Motion, to approve as presented, was made by Joe Grimes, and seconded by
Sebastian Guerrero. The motion passed unanimously, 4-0.
AN ORDINANCE PROVIDING FOR THE ABANDONMENT AND CLOSING
       OF THE FOLLOWING ALLEY, TO WIT: An approximately 80’ wide portion
       of the unimproved public right-of-way for Smith Boulevard, extending
       approximately 1000’ northward from McGill Boulevard, immediately
       adjacent to property owned by Howard College in northeast San Angelo;
       AUTHORIZING THE CONVEYANCE THEREOF TO THE ABUTTING
       PROPERTY OWNERS; PROVIDING FOR THE TERMS AND CONDITIONS
       OF ABANDONMENT AND CONVEYANCE; AND PROVIDING FOR THE
       MAYOR TO EXECUTE AND DELIEVER A QUIT CLAIM DEED TO THE
       ABUTTING PROPERTY OWNERS

RE:    abandonment of a public right-of-way being an unimproved street segment for Smith
       Boulevard extending approximately 1000 feet northward from the intersection of Smith
       Boulevard and McGill Boulevard in northeastern San Angelo .

WHEREAS, the City Council of the City of San Angelo, Texas, acting pursuant to law,
deems it advisable to abandon and convey the hereinafter described tract of land to the
abutting property owner and is of the opinion that said land is not needed for public use, and
that same should be abandoned and quit claimed to the abutting property owner as
hereinafter provided; and

WHEREAS, the City Council of the City of San Angelo, Texas is of the opinion that the best
interest and welfare of the public will be served by abandoning and conveying same to the
abutting property owner, subject to conditions and restrictions contained herein; NOW,
THEREFORE,

BE IT ORDAINED BY CITY COUNCIL OF THE CITY OF SAN ANGELO:

1.     That the following described tract in the City of San Angelo, Tom Green County,
       Texas be and the same is hereby abandoned, vacated and closed insofar as the
       right, title and easement of the public are concerned; subject, however, to the
       conditions and restrictions hereinafter more fully set out:

       BEING the entire 76,092 square feet of publicly dedicated right-of-way shown
       graphically in Exhibit A of this ordinance and fully descried in Exhibit B of this
       ordinance.

2.     That the abandonment and conveyance provided for herein is made and accepted
       subject to all present zoning and deed restrictions, if the latter exist, and all existing
       easements, if any, whether apparent or non-apparent, aerial, surface, underground
       or otherwise.

3.     That the abandonment and conveyance provided for herein shall extend only to the
       public right, title, easement and interest and shall be construed to extend only to the
       interest which the governing body for the City of San Angelo may legally and lawfully
       abandon and vacate.

4.     That the Mayor of the City of San Angelo is hereby authorized to execute and deliver
a quit claim deed conveying the above-described tract to the abutting property
      owner.

5.    That the terms and conditions contained in this ordinance shall be binding upon
      Grantees and assigns.

6.    That the Grantees shall pay all reasonable costs associated with procedures
      necessitated by the request to abandon this public right-of-way.

7.    That the Grantees meet all conditions set below, identified as A, B and C before the
      Quit Claim Deed is recorded with the County Clerk of Tom Green County, Texas.

      A. Submission and approval of a site utility plan to the Water Utilities Department
      including conveyance of easements for water utilities.

      B. Maintain at least a 20' open and unobstructed temporary easement for emergency
      vehicle access from McGill Boulevard northward throughout the entire abandonment.
      Upon completion of a permanent, paved fire lane extending through an approved
      route by the Fire Marshall for the City of San Angelo, in accordance with the
      International Fire Code, this temporary easement shall automatically cease to exist.

      C. Access to the temporary fire access easement shall be blocked through the use
      of removable bollards to limit traffic to emergency vehicles only and shall be signed
      accordingly. The location of the bollards shall be approved by the Fire Marshall for
      the City of San Angelo.



INTRODUCED on the 4th day of September 2012 and finally PASSED, APPROVED AND
ADOPTED ON this the 18th day of September, 2012.


CITY OF SAN ANGELO, TEXAS                       ATTEST:



by: ______________________________              by: ______________________________
                    Alvin New, Mayor                          Alicia Ramirez, City Clerk




Approved As To Content:                   Approved As To Form:


_________________________                 ________________________
AJ Fawver, Planning Manager               Lysia H. Bowling, City Attorney
Exhibit A
Exhibit B
City of San Angelo



Memo
 Meeting Date:   August 20, 2012

 To:             City Council members

 From:           Kevin Boyd, Planner

 Subject:        SU 12-01 Daryl Presley, a request for a Special Use to allow
                 for a Firearms Range and Meeting Room in a General
                 Commercial/ Heavy Commercial (CG/CH) zone on the
                 following property:

 Location:       2229 West Beauregard Avenue, located at the intersection of
                 West Beauregard Avenue and South Pierce Street; more
                 specifically occupying the Village Shopping Center Condo
                 Subdivision, Block 25, Lots 5-8, in western San Angelo.

 Purpose:        Approval of this request would allow for a “Firearms Range”
                 on the subject property.

 Contacts:       Daryl Presley                                        325-212-3703

                 Kevin Boyd, Planner                                  325-657-4210

 Caption:        First Public Hearing and consideration of introduction of an Ordinance
                 amending Chapter 12, Exhibit “A” (Zoning Ordinance) of the Code of
                 Ordinances, City of San Angelo

                 SU 12-01: Daryl Presley

                 AN ORDINANCE AMENDING CHAPTER 12, EXHIBIT “A” OF
                 THE CODE OF ORDINANCES, CITY OF SAN ANGELO, TEXAS,
                 WHICH SAID EXHIBIT “A” OF CHAPTER 12 ADOPTS ZONING
                 REGULATIONS, USE DISTRICTS AND A ZONING MAP, IN
                 ACCORDANCE WITH A COMPREHENSIVE PLAN, BY
                 CHANGING THE ZONING AND CLASSIFICATION OF THE
                 FOLLOWING PROPERTY, TO WIT: 2229 W Beauregard,
                 located at the intersection of W Beauregard Avenue and
South Pierce Street; more specifically occupying the Village
                         Shopping Center Condo Subdivision, Block 25, Lots 5-8, in
                         western San Angelo, to allow for a Firearms Range on
                         property in a General Commercial/ Heavy Commercial
                         (CG/CH) district; PROVIDING FOR SEVERABILITY AND
                         PROVIDING A PENALTY


     Summary: The City Council may:

     (1) Approve a Special Use allowing for a Firearms Range on this subject
         property, as requested; or

     (2) Approve a Special Use allowing for a Firearms Range on this subject
         property, subject to conditions believed necessary and appropriate to
         mitigate any adverse effects of such use; or

     (3) Deny the requested Special Use allowing for a Firearms Range on this
         subject property.

     (1) Modify the application to some alternative zoning classification believed to be
         more appropriate, in which case another public hearing will need to be
         scheduled.

     Recommendation:            Planning staff recommends approving the proposed
     special use.

History and Background:

     General Information

           Existing Zoning:      General Commercial/Heavy Commercial (CG/CH)

           Existing Land Use:    Commercial plaza

           Surrounding Zoning/Land Use:

            North:            General Commercial/         Commercial plaza
                              Heavy Commercial
                              (CG/CH)
            West:             Single-Family Residential   Parking and residential dwelling
                              (RS-1)                      (The Salvation Army's Family Store
                                                          within the plaza)
            South:            Low Rise Multi-Family       Apartment complex
                              Residential (RM-1)
            East:             Low Rise Multi-Family       Apartment complex
                              Residential (RM-1)          (The Outdoorsman within the plaza)
Thoroughfares/Streets:        W Beauregard Avenue is defined as
                              an “arterial street,” which is designed
                              to connect collector streets to
                              freeways and carries large volumes of
                              traffic at high speeds. Access is
                              secondary and mobility is the prime
                              function of these streets.

                              N Pierce Street is defined as a “local
                              street,”   which      carries     light
                              neighborhood traffic at lower speeds
                              and generally connects to collector
                              streets.

Zoning History:               In 1964, the property was zoned
                              Heavy Business (C-2), which is an
                              equivalent to the current zoning.

Applicable Regulations:       Section 408: Firearms Range
                              In all except ML and MH Districts, the
                              following limitations shall apply to
                              operation of firearms ranges; (1)
                              Firearms ranges shall be completely
                              enclosed within a building. (2) Any
                              noise emanating from discharge of
                              firearms shall not be audible beyond
                              the boundaries of the lot or tract of
                              land where the firearms range is
                              located.

Development Standards:        All required off-street parking and the
                              connection(s) to a public right-of-way
                              are required to be paved.

Vision Plan Map:              Neighborhood Center

Related Comp Plan Excerpts:   “Commercial properties tend to be
                              organized in      a      single      use,
                              isolated pattern of development. This
                              form    generates      little   synergy
                              between businesses and land
                              uses     and      often      results   in
                                incompatibility.”

                              “Promote better transition between
                              nearby commercial and residential
                              use of land and buildings.”

                              “Require    a       buffer    separating
                              commercial,       industrial,         or
agricultural zoned      lands    from
                                             neighborhoods.”

                                             “Establish transition areas between
                                             commercial areas and nearby
                                             neighborhoods.”

                                             “Organize commercial uses in nodes
                                             to avoid deteriorating corridors.”

                                             Establish transition areas to better
                                             scale-down intensity of use from
                                             commercial centers to neighborhoods.

     Special Information

            Traffic Concerns:                Bringing new use to an existing
                                             structure has the potential to bring
                                             additional traffic. W     Beauregard
                                             Avenue is designed to accommodate
                                             appropriate commercial traffic.

            Parking Requirements:            Varies depending upon the use of the
                                             property, there is sufficient parking
                                             available for this site.

            Parking Provided:                Parking for the proposed site is
                                             designated for the parking lot in front
                                             of the building.

            Density:                         Medium density commercial and
                                             residential development surrounds the
                                             subject property.


            Notification Required:           Yes

            Notifications Sent:              43

            Responses in Favor:              3

            Responses in Opposition:         1

Analysis:

     In order to approve this request, the City Council members are first required to find
     that:
1. Impacts Minimized. Whether and the extent to which the site plan minimizes
   adverse effects, including adverse visual impacts, on adjacent properties.

2. Consistent with Zoning Ordinance. Whether and the extent to which the
   proposed special use would conflict with any portion of this Zoning Ordinance,
   including the applicable zoning district intent statement.

3. Compatible with Surrounding Area. Whether and the extent to which the
   proposed special use is compatible with existing and anticipated uses
   surrounding the subject land.

4. Traffic Circulation. Whether and the extent to which the proposed special use is
   likely to result in extraordinarily prolonged or recurrent congestion of surrounding
   streets, especially minor residential streets.

5. Effect on Natural Environment. Whether and the extent to which the proposed
   special use would result in significant adverse impacts on the natural
   environment, including but not limited to water or air quality, noise, stormwater
   management, wildlife, vegetation, wetlands and the practical functioning of the
   natural environment.

6. Community Need. Whether and the extent to which the proposed special use
   addresses a demonstrated community need.

7. Development Patterns. Whether and the extent to which the proposed special
   use would result in a logical and orderly pattern of urban development in the
   community.


The staff recommendation is based upon the statements listed below.

The proposed site is located in a commercial plaza at the corner of West
Beauregard Avenue and South Pierce Street. The proponent wants to open a
firearms range and meeting room. A meeting room would be allowed under the
current zoning, and as such, the intent for a firearms range is the subject of this
request. The proponent seeks to provide a shooting range for long guns and
hand guns. The proponent would replace a vacant movie theater, located just
east of The Outdoorsman (which primarily sells hunting gear and supplies) which
complements with this firearms range proposal.

A “Firearms Range”, as defined by the Zoning Ordinance, is an indoor facility
used for discharging firearms, per Section 310. The use is not allowed by right in
any zoning district; instead, it is only permissible with the approval of a Special
Use, and even then, limited to the following districts: CG, CH, CBD, OW, ML,
MH, CG/CH, and RE.
In an effort to mitigate factors that may affect the surrounding properties, firearm
ranges placed outside of Light Manufacturing (ML) and Heavy Manufacturing
(MH) zoning districts must comply with certain regulations, as outlined in Section
408. Such regulations require that the range be completely enclosed within a
building and that the sound from the discharges must not emanate beyond the
boundaries of the lot. The surrounding walls, insulated by the adjoining stores,
will act as a natural barrier to sound. The proponent will focus on sound
abatement technology to provide further sound reduction for the site. With these
safeguards, facilities of this nature will be able to blend well and in harmony with
surrounding uses.

The property is situated along West Beauregard Avenue, as part of an expansive
commercial corridor that extends for many blocks, roughly from the site to the
Concho River. Positioned along the western edge of the corridor, the plaza
serves as a gateway to commerce in the area. North of the subject property is a
similar plaza. Residences border the subject property to the west, characterized
by an established residential neighborhood zoned Single-Family Residential (RS-
1) and to south and east as apartments zoned Low Rise Multi-Family Residential
(RM-1).

The Vision Plan calls for the area to be designated as “Neighborhood Center”.
The intent for this category is to take on a more pedestrian-friendly character,
where uses are integrated with and connected to their surroundings. Another key
component is to cluster buildings to generate synergies between complementary
uses, this proposal fits both of these principles. The proposal will be an amenity
which will serve as entertainment in the area. The proposal replaces a vacant
movie theater and would adjoin The Outdoorsman, an outdoor specialty store.
The synergy between the related uses would enable cross-shopping and
generate activity that will promote an area that is more interesting, safe and
sustainable, reflective of the Vision Plan.

With regards to traffic circulation, West Beauregard Avenue is as an arterial,
designed to carry large volumes of traffic at high speeds. The proposal, similar to
The Outdoorsman and the hair salon at the opposite end of the plaza, is
considered a specialty venue where the focus is limited to small groups of people
or selective clientele. Therefore, with that principle in mind, the expectation is that
the site will be less trafficked and the roadway would be able to accommodate
traffic generated from the site.

Proposed Conditions

    1. The proposed range must meet all requirements outlined in Section 408
       of the Zoning Ordinance.
Attachments:    excerpt from zoning map, showing the general location
                within the City of San Angelo;

                excerpt from the comprehensive plan vision map
                highlighting the subject property;

                excerpt from       zoning    map,    highlighting    subject
                property;

                aerial photo, highlighting subject property;

                draft minutes      from     August   20,   2012     Planning
                Commission;

                citizen responses; and

                draft ordinance.

Presentation:   Kevin Boyd, Planner

Reviewed by:    AJ Fawver, AICP, Planning Manager (8/15/2012)
VII.   Requests for approval of a special use. [Planning Commission makes
       recommendation; City Council has final authority for approval.]

       A. SU 12-01: Daryl Presley

          a request for a Special Use to allow for a Firearms Range and Meeting Room in
          a General Commercial/ Heavy Commercial (CG/CH) zone on the following
          property:

          2229 West Beauregard Avenue, located at the intersection of West Beauregard
          Avenue and North Pierce Street; more specifically occupying the Village
          Shopping Center Condo Subdivision, Block 25, Lots 5-8, in western San
          Angelo.

       Kevin Boyd, Planner, came forward to present this request, consistent with the
       staff recommendation of approval.

       43 notifications were sent out, with 3 received in favor and 0 received in
       opposition to the request. Mr. Boyd described and reviewed the uses in and
       around the area. The Vision Plan map calls for neighborhood center at this
       location, which is consistent with this Special Use, due to the mitigating factors
       planned, in staff's view. The proposed site is part of a larger strip center along
       an aging commercial corridor, in which there is some sizable vacant space. This
       proposal would occupy one of the now-vacant areas within this strip center, right
       next to the Outdoorsman, a business owned by the applicant. The current
       zoning of CG/CH allows uses much more intensive uses than the one proposed.
       The proponent also wants to have a meeting area in the facility, which is not
       the subject of this request since it is already allowed by right. The applicant
       intends to use sound abatement features to meet the requirement that noise not
       be audible outside the boundaries of the site. Mr. Boyd also reviewed the
       specific use standards already required in the Zoning Ordinance for firearms
       ranges. Traffic that would be generated is provided for adequately by the
       parking and street network in place.

       Darryl Presley, the applicant, came forward to speak in favor of the request. He
       wanted to add that retail sales will also be part of the request. He intends to
       build this range and believes that it will be a beneficial addition to the community.
       Joe Grimes asked if the building would be bulletproof. All the lead will be kept
       inside and the modifications necessary to do so will be done in the current
       space, originally a movie theater. He has purchased the unit from the previous
       owner and he thinks it is a good fit for a firearms range. The chairman asked if
       he felt he was getting what he needed for the business, and he stated that he
       felt he was. Mr. Wynne asked what would be done in order to properly house
       the use. He will be using a commercial bullet trap that is an angled steel plate
       that contains 2-1/2' to 3' of material that will minimize lead dust and stops the
       bullets without much destructions. After 80,000 rounds, the lead will be removed
       and the backstop can be reused. He will be consulting with a company that
       provides commercial-grade equipment. Mr. Presley was fine with the conditions
       as outlined.
No one else came forward to speak in favor. No one came forward to speak in
opposition to the request.

Motion, to approve as presented, was made by Bill Wynne and seconded by
Joe Grimes. The motion passed unanimously, 4-0.
AN ORDINANCE AMENDING CHAPTER 12, EXHIBIT A OF THE CODE OF
       ORDINANCES, CITY OF SAN ANGELO, TEXAS, NHICH SAID EXHIBIT A
       OF CHAPTER 12 ADOPTS ZONING REGULATIONS, USE DISTRICTS AND
       A ZONING MAP, IN ACCORDANCE WITH A COMPREHENSIVE PLAN, BY
       CHANGING THE ZONING AND CLASSIFICATION OF THE FOLLOWING
       DESCRIBED PROPERTY, TO WIT: 2229 W Beauregard, located at the
       intersection of West Beauregard Avenue and South Pierce Street; more
       specifically occupying the Village Shopping Center Condo Subdivision,
       Block 25, Lots 5-8, in western San Angelo, approving a Special Use to
       allow for a Firearms Range and Meeting Room on this property in a
       General Commercial / Heavy Commercial (CG/ CH) district; PROVIDING
       FOR SEVERABILITY AND PROVIDING A PENALTY

RE:    SU 12-01:       Daryl Presley

        WHEREAS, the Planning Commission for the City of San Angelo and the governing
body for the City of San Angelo, in compliance with the charter and the state law with reference
to zoning regulations and a zoning map, have given requisite notice by publication and
otherwise, and after holding hearings and affording a full and fair hearing to all property owners
and persons interested, generally, and to persons situated in the affected area and in the vicinity
thereof, is of the opinion that zoning changes should be made as set out herein; NOW,
THEREFORE,

BE IT ORDAINED BY THE CITY OF SAN ANGELO:

        SECTION 1: That the basic zoning ordinance for the City of San Angelo, as enacted by
the governing body for the City of San Angelo on January 4, 2000 and included within Chapter
12 of the Code of Ordinances for the City of San Angelo, be and the same is hereby amended
insofar as the property hereinafter set forth, and said ordinance generally and the zoning map
shall be amended insofar as the property hereinafter described: 2229 W Beauregard, located
at the intersection of West Beauregard Avenue and South Pierce Street; more specifically
occupying the Village Shopping Center Condo Subdivision, Block 25, Lots 5-8, in western
San Angelo, shall have a Special Use allowing a Firearms Range and Meeting Room in a
commercial zoning district on the property. Said special uses shall have no fundamental
effect upon its underlying or base zoning classification.

The Director of Planning is hereby directed to correct the zoning district maps in the office of the
Director of Planning, to reflect the herein described changes in zoning.

       SECTION 2: That in all other respects, the use of the hereinabove
described property shall be subject to all applicable regulations contained in
Chapter 12 of the Code of Ordinances for the City of San Angelo, as amended.

     SECTION 3: That the following severability clause is adopted with this
amendment:
SEVERABILITY:
       The terms and provisions of this Ordinance shall be deemed to be
       severable in that, if any portion of this Ordinance shall be declared to be invalid, the same
       shall not affect the validity of the other provisions of this Ordinance.

       SECTION 4: That the following penalty clause is adopted with this
       amendment:

       PENALTY:
       Any person who violates any provisions of this article shall be guilty of a misdemeanor
       and, upon conviction, shall be subject to a fine as provided for in Section 1.106 of the
       Code of Ordinances for the City of San Angelo. Each day of such violation shall
       constitute a separate offense

       SECTION 5: That the use of this subject property allowed under this Special Use
       approval shall be limited to the following conditions:

              (1) The proposed range must meet all requirements outlined in Section 408 of
                  the Zoning Ordinance.


INTRODUCED on the 4th day of September, 2012 and finally PASSED, APPROVED
AND ADOPTED on this the 18th day of September, 2012.


                                             THE CITY OF SAN ANGELO



                                                 by:____________________________________
                                                                          Alvin New, Mayor

ATTEST:




by:________________________________
                Alicia Ramirez, City Clerk
City of San Angelo



Memo
 Meeting Date:   September 4, 2012

 To:             City Council members

 From:           Kari LeBoeuf, Planner

 Subject:        PD 12-03, a request for a zone change from a combination of Light
                 Manufacturing (ML) and General Commercial (CG) to Planned
                 Development (PD) District to allow for the expansion of the Howard
                 College Campus.

 Location:       3501 North US Highway 67 encompassing the area known as the
                 Howard College, more specifically 2 tracts being 33.802 acres out of
                 the J. Pointevent Survey 1113, Abstract 4873, and Paulann Park
                 Addition, Section 3, Tract H, being 0.76 acre, and Paulann Park
                 Addition, Section 3, Tract G, being the northwestern 0.145 acre, in
                 northeast San Angelo.

 Purpose:        To allow for the expansion of the Howard College campus and
                 associated accessory uses.

 Contacts:       LeAnne Byrd                                           325-481-8300
                 Jeff Hintz, Planner                                   325-657-4210

 Caption:        First Public Hearing and consideration of introduction of an Ordinance
                 amending Chapter 12, Exhibit “A” (Zoning Ordinance) of the Code of
                 Ordinances, City of San Angelo

                 Z 12-03: Howard College Campus

                 AN ORDINANCE AMENDING CHAPTER 12, EXHIBIT “A” OF THE CODE
                 OF ORDINANCES, CITY OF SAN ANGELO, TEXAS, WHICH SAID
                 EXHIBIT “A” OF CHAPTER 12 ADOPTS ZONING REGULATIONS, USE
                 DISTRICTS AND A ZONING MAP, IN ACCORDANCE WITH A
                 COMPREHENSIVE PLAN, BY CHANGING THE ZONING AND
                 CLASSIFICATION OF THE FOLLOWING PROPERTY, TO WIT: 3501
                 North US Highway 67, encompassing the area known as the
Howard College, more specifically, being 33.802 acres out of the
                   J. Pointevent Survey 1113, Abstract 4873, and Paulann Park
                   Addition, Section 3, Tract H, being 0.76 acre, and Paulann Park
                   Addition, Section 3, Tract G, being the northwestern 0.145 acre, in
                   northeast San Angelo, a zone change from a combination of
                   General Commercial (CG) and Light Manufacturing (ML) to
                   Planned Development (PD) District; PROVIDING FOR SEVERABILITY
                   AND PROVIDING A PENALTY




Summary: The City Council may:

  (1) approve the proposed planned development as presented; or

  (2) modify the proposed planned development with changes believed to be more
      appropriate; or

  (3) deny the proposed planned development.


Recommendation: Planning staff recommends approving the proposed zone
change to a Planned Development (PD).

On August 20, 2012 Planning Commission recommended approving the Planned
Development as presented by a vote of 4-0.


History and Background:

General Information

     Existing Zoning:           a combination of Light Manufacturing (ML) and
                                General Commercial (CG)

     Existing Land Use:         Howard College/West Texas Training Center and
                                vacant land

     Surrounding Zoning/Land Use:

      North:                 ML, CH        Wall  Stewart Trucking, AEP Substation
      West:                 RM-1, PD       Residences, Mobile Homes
      South:              RS-1, RM-1,CG    Residences, County Facility, Vacant Land
      East:                     ML         Highway 67
Thoroughfares/Streets:    Highway 67 is a freeway designed to carry heavy
                          traffic at high speeds.

                          McGill Blvd is classified as a “collector” street
                          which is designed to carry moderate traffic at
                          moderate speeds.

                          Voight Blvd is classified as a “local” street which is
                          designed to carry light neighborhood traffic at
                          lower speeds.

                          Smith Blvd is as yet unimproved in this area. The
                          Thoroughfare Plan for futures road improvements
                          classifies Smith Blvd as a “collector” street. When
                          it is completed it will carry moderate traffic at
                          moderate speeds.

Zoning History:           This property for the proposed campus was
                          annexed into the city and zoned in separate
                          phases.
                          The property north of McGill Blvd between Voight
                          Blvd and Smith Blvd was annexed into the city in
                          1984 and was temporarily zoned Single-Family
                          Residential. In February 1985, case ZC1499
                          rezoned the lot Heavy Commercial. Then, in
                          March 1985 case ZC1504 rezoned it again to
                          General Commercial and it has been zoned that
                          way ever since.
                          The property north of McGill Blvd between Smith
                          Blvd and Hwy 67 that is home to the current
                          Howard College/WTTC building was annexed into
                          the city in December 1997 and was zoned Light
                          Manufacturing (case ZC97-44). It has remained
                          that way ever since.

Applicable Regulations:   Zoning Ordinance
                          Section 306.A.1.
                          “The purposes of the Planned Development District
                          include…allow diversification of uses, structures, and
                          open spaces and to promote flexibility of design in a
                          manner compatible with existing and allowed uses of
                          land on adjacent properties.”

                          Section 306.A.4.
                          “The purposes of the Planned Development District
                          include…promote the efficient use of land to facilitate
                          a more economic arrangement of buildings, uses of
                          land and utilities.”
Section 306.A.5.
                      “The purposes of the Planned Development District
                      include… promote the development of vacant
                      property within the presently developed urban area.”

                      Section 306.B.1.
                      Allowed uses include “Any use or combination of
                      uses otherwise authorized by these zoning
                      regulations…if such use or uses is consistent with,
                      and meets the standards for, the concept plan and
                      PD District approved by the City Council. Allowable
                      uses shall be listed in a use schedule in the specific
                      ordinance establishing each PD District.”

                      Section 306.B.2.
                      “It is intended that PD Districts conform as closely as
                      possible to established zoning and subdivision
                      regulations while still allowing maximum flexibility of
                      design to make planned developments as desirable
                      as possible.”

                      Section 306.B.3.
                      “Conditions specified for the development of a PD
                      District shall be construed as conditions precedent to
                      the granting of a Certificate of Occupancy by the
                      Building Official and compliance as required by the
                      City of San Angelo.”
                      Section 505.A.1.
                      “If a Planned Development District ordinance does
                      not establish specific guidelines for land uses,
                      landscaping, facade treatment, screening, setbacks,
                      signage, parking, etc., then the minimum standards
                      of the most similar district shall apply, based on an
                      interpretation by the Planning Director.”

Vision Plan Map:      Campus/Institutional and Commercial

Comp Plan Excerpts:   Comprehensive Plan 2009 Update
                      Discovery, The Place, Institutional Campuses
                      “institutions in cities the size of San Angelo are
                      typically the sole identity driver for the districts and
                      neighborhoods where they are located. As such, the
                      area immediately in and around the anchor assumes
                      that identity as their theme.”

                      Discovery, The Place, Institutional Campuses
                      “institutions are largely ignoring the community
                      around them and effectively operating as islands.
                      Significant opportunities exist to reach out and create
                      districts with complementary and auxiliary uses that
lend themselves to more attractive, pedestrian-
friendly, walkable environments.”

Vision       Plan,    Vision    Plan      Summary,
Campus/Institutional, College/University Campus,
Goal 1: Purpose: “To improve the standing of
community centers and public facilities as pillars of
their local neighborhoods and central features of the
community as a whole.”

Vision     Plan,     Vision      Plan      Summary,
Campus/Institutional, College/University Campus,
Goal 1: “Increase the value of these facilities to
their respective neighborhoods through public
investment in street improvements, sidewalk
construction, and similar infrastructure.”

Vision    Plan,     Vision      Plan      Summary,
Campus/Institutional, College/University Campus,
Goal 3: Purpose: “To better utilize existing parcels
and provide increased services and amenities as
growth occurs.”

Vision     Plan,    Vision    Plan      Summary,
Campus/Institutional, College/University Campus,
Goal 3: “create and encourage public-private
partnerships to drive appropriate development
types.”
Vision     Plan,    Vision    Plan      Summary,
Campus/Institutional, College/University Campus,
Goal 3: “Increase communication and combine
efforts to support redevelopment of [college]-
purchased parcels to ensure compatibility with
surrounding neighborhoods and the City’s plans
for the area.”

Visioning, Sub-District Concepts, Concept 3-
Isolated Institutional Campuses:
“institutions, both academic and health care, have
historically focused on, and master planned, entirely
within their own boundaries…a select few cutting-
edge       institutions  have     re-oriented   their
consciousness, seeking out opportunities to be a
“good neighbor,” to plan beyond their walls, and
facilitate development of mixed-use environments
within and adjacent to their boundaries.”

Visioning, Sub-District Concepts, Concept 3-
Isolated Institutional Campuses:
“The City of San Angelo, together with…(key
institutions), could plan…campus environments
beyond the “institutional walls,” allowing for a
                                         seamless and essential transition to adjacent
                                         neighborhoods”

     Special Information

            Traffic Concerns:            While there is likely to be an increase in traffic as
                                         the campus expands, this will be quite some time
                                         in coming. In the interim, Smith Blvd will be
                                         improved from Gordon Blvd to Paulann Blvd. The
                                         campus is surrounded by “collector” streets and a
                                         freeway, all of which are appropriate to handle
                                         traffic generated by a college campus.

            Parking Requirements:        Please see Section 8 of the draft ordinance

            Notification Required:       Yes

            Notifications Sent:          28

            Responses in Favor:          0

            Responses in Opposition:     0




Analysis:

     In order to approve this request, the City Council members are first required to find that:

     1. Compatible with Plans and Policies. Whether the proposed amendment is compatible
        with the Comprehensive Plan and any other land use policies adopted by the Planning
        Commission or City Council.

     2. Consistent with Zoning Ordinance. Whether and the extent to which the proposed
        amendment would conflict with any portion of this Zoning Ordinance.

     3. Compatible with Surrounding Area. Whether and the extent to which the proposed
        amendment is compatible with existing and proposed uses surrounding the subject land
        and is the appropriate zoning district for the land.

     4. Changed Conditions. Whether and the extent to which there are changed conditions
        that require an amendment.

     5. Effect on Natural Environment. Whether and the extent to which the proposed
        amendment would result in significant adverse impacts on the natural environment,
including but not limited to water and air quality, noise, storm water management,
   wildlife, vegetation, wetlands and the practical functioning of the natural environment.

6. Community Need. Whether and the extent to which the proposed amendment
   addresses a demonstrated community need.

7. Development Patterns. Whether and the extent to which the proposed amendment
   would result in a logical and orderly pattern of urban development in the community.

The staff recommendation is based upon the statements listed below.

   Planning staff is recommending approval of this Planned Development (PD) District
   for several reasons. This proposed PD is compatible with the plans and policies of
   the City of San Angelo, is consistent with the City’s Zoning Ordinance, and will be
   compatible with the surrounding residential area in that it provides a needed
   transition from major highway traffic to single- and two-family living. This proposed
   PD will also fit in well with the development patterns the city desires in this area as
   called for and illustrated in the Comprehensive Plan and the Vision Map.

   Section 306.A. of the Zoning Ordinance speaks to the several purposes of a
   Planned Development (PD) District, specifically stating that such districts should,
   “promote the efficient use of land to facilitate a more economic arrangement of buildings,
   uses of land, and utilities…promote the development of vacant property within the
   presently developed urban area…allow diversification of uses, structures, and open
   spaces and to promote flexibility of design in a manner compatible with existing and
   allowed uses of land on adjacent properties.” This proposed PD will accomplish these
   purposes by providing consistent standards that offer the flexibility a campus needs to
   effectively and efficiently utilize its property, while ensuring that it is developed
   cohesively, thus creating a true sense of place. The campus will responsibly develop the
   large commercially zoned tract of vacant land nearest the residential neighborhood in a
   manner much more compatible than a large commercial development could be. It also
   provides known standards and a sense of security for the nearby residential
   development in knowing specifically what can occur on the property; alternatively, the ML
   zoning currently in place allows by right processing of building materials, metal
   fabrication, galvanizing and enameling, welding shops, heavy truck servicing, and paving
   contractors, among other things. Also, the CG zoning currently in place allows by right
   landscaping services, appliance repair, lube service facilities, vet clinics, and auto and
   boat dealers, in addition to other things. Creating a PD for the Howard College campus
   will ensure that standards are in place that will benefit not only Howard College but also
   the community as a whole. It significantly limits and dictates what activities can occur on
   the site. While it does specify material types for facades and signage, it does so in a way
   that allows changes and customization that will give enough flexibility to the college to
   accommodate branding changes, wayfinding plans, and the like.

   Zoning Ordinance section 306.B.1. states that allowed uses for a PD include, “Any use
   or combination of uses otherwise authorized by these zoning regulations…if such use or
uses is consistent with, and meets the standards for, the concept plan and PD District
  approved by the City Council.” The Comprehensive Plan calls for facilities like Howard
  College to strive “to improve the standing of community centers and public facilities
  as pillars of their local neighborhoods and central features of the community as a
  whole.” One of the most prominent strategies outlined in the Comprehensive Plan to
  accomplish these goals is “Increase the value of these facilities to their respective
  neighborhoods through public investment in street improvements, sidewalk construction,
  and similar infrastructure.” Another very important strategy is to plan “campus
  environments beyond the “institutional walls,” which will, “Increase communication and
  combine efforts to support redevelopment of [college]-purchased parcels to ensure
  compatibility with surrounding neighborhoods and the City’s plans for the area” and
  “encourage public-private partnerships.”

  This proposed PD is an attempt to create a cohesive, distinctive, attractive campus
  environment that complements the adjacent residential area, while moving toward full
  utilization of the vacant commercial property that Howard College owns. The draft
  ordinance’s Section 5 lists several primary and accessory uses that Planning staff has
  determined are appropriate for a college campus near a residential neighborhood. The
  draft ordinance also includes standards for the building facades, signage, landscaping,
  parking and loading space, and other development standards that will transition well into
  the adjacent residential neighborhood and help to buffer that neighborhood from the
  highway as well as the heavier commercial and industrial types of uses to the north.

  This proposed PD will result in changed conditions that will benefit the community as
  Howard College provides quality educational experiences to not only the San Angelo
  community but also the whole of Tom Green County. As Howard College expands so
  too do the educational opportunities for the community. The lots within the proposed PD
  boundaries currently have two different zoning classifications and, therefore, two different
  sets of regulations to follow which makes cohesive development of Howard College
  difficult. Additionally, the lot on which the current Howard facility is located is actually
  zoned Light Manufacturing (ML) which will prevent any expansion even on that one lot.
  A PD for the campus will benefit those who work at and attend Howard as well as those
  within the adjacent neighborhood as Howard College will provide an attractive buffer with
  many amenities. This proposed PD could also have a positive impact on the natural
  environment as extensive landscaping is proposed throughout the campus. It will also
  have a positive impact on the pedestrian environment as a walkable, easily navigable
  campus with landscaping and other pedestrian amenities will make for a pleasant
  pedestrian experience.

  For all of the reasons stated above, Planning staff is recommending approval of the
  proposed Planned Development District for the Howard College Campus.


Proposed Conditions

  Please see draft ordinance.
Attachments:    excerpt from zoning map, showing the general location within
                the City of San Angelo;

                excerpt from zoning map, highlighting subject property;

                aerial photo, highlighting subject property;

                draft Planning Commission minutes; and

                draft ordinance;

Presentation:   AJ Fawver, Planning Manager

Reviewed by:    AJ Fawver, Planning Manager (04/11/12)
A. PD 12-03: Howard College

         A request for a zone change from a combination of Light Manufacturing
         (ML) and General Commercial (CG) to Planned Development (PD) District
         to allow for the expansion of the Howard College Campus:

         3501 North US Highway 67 encompassing the area known as the Howard
         College, more specifically two tracts being 33.802 acres out of the J.
         Pointevent Survey 1113, Abstract 4873, and Paulann Park Addition, Section
         3, Tract H, being 0.76 acre, and Paulann Park Addition, Section 3, Tract G,
         being the northwestern 0.145 acre, in northeast San Angelo.

      Jeff Hintz, Planner, came forward to present this request, consistent with the staff
      recommendation of approval. 29 notifications were sent out on this request, with
      zero returned in favor or in opposition. Mr. Hintz explained that this PD was never
      finalized earlier in the year, and is being represented to the Commission with an
      updated concept plan (a required part of any application for Planned Development
      District). Mr. Hintz outlined the variety of zoning in the immediate area. Mr. Hintz
      also reviewed the options for the Commission. He reminded the Commission that
      they had previously approved the PD application unanimously by a vote of 6-0. Mr.
      Hintz reviewed the history of zoning changes in the area.

      Mr. Hintz explained that one zoning district would not be suitable for the wide variety
      of different uses, needs, and standards that the continued development of this
      campus would entail. This will provide a single, consistent zoning district for the
      college, with one set of standards to consult as they continue to grow; it also
      provides added mitigation features to minimize the effect of this expansion on
      adjacent properties and provide a set of expectations upon which they can
      reasonably rely. Mr. Hintz quickly summarized the subjects addressed within the PD
      ordinance. Mr. Hintz explained the difference between the intended immediate
      expansion as opposed to long-term expansion plans.

      There were no questions for staff.

      Leanne Byrd, Provost for Howard College, came forward to speak in favor of this
      request. They are very pleased with the modifications that have been made within
      the concept plan and emphasized the moving of the main entrance to the north
      rather than the south, next to the residences. She did state that the buildings in the
      immediate phase are planned to be built very quickly, along with a pedestrian
      access. Joe Grimes spoke to the roundabout and asked how the road would be
      constructed. Mrs. Byrd explained that COSADC has approved the street extension
      of both PaulAnn Boulevard and Smith Boulevard, to the edge of the campus. Mrs.
      Byrd responded to the Chairman's question about traffic issues along the eastern
      side of the campus, along Highway 277. TxDOT has agreed to extend the frontage
      road as far north as PaulAnn Blvd. There were no further questions for Mrs. Byrd.

      No one else came forward to speak on this request. No one came forward to speak
      in opposition to the request.
Motion, to approve as presented, was made by Bill Wynne and seconded by
Sebastian Guerrero. The motion passed unanimously, 4-0.
AN ORDINANCE AMENDING CHAPTER 12, EXHIBIT “A” OF THE CODE OF
       ORDINANCES, CITY OF SAN ANGELO, TEXAS, WHICH SAID EXHIBIT “A” OF
       CHAPTER 12 ADOPTS ZONING REGULATIONS, USE DISTRICTS AND A
       ZONING MAP, IN ACCORDANCE WITH A COMPREHENSIVE PLAN, BY
       CHANGING THE ZONING AND CLASSIFICATION OF THE FOLLOWING
       PROPERTY, TO WIT: 3501 North US Highway 67, encompassing the area
       known as the Howard College, more specifically, being 33.802 acres out
       of the J. Pointevent Survey 1113, Abstract 4873, and Paulann Park
       Addition, Section 3, Tract H, being 0.76 acre, and Paulann Park Addition,
       Section 3, Tract G, being the northwestern 0.145 acre, in northeast San
       Angelo, a zone change from a combination of General Commercial (CG)
       and Light Manufacturing (ML) to Planned Development (PD) District;
       PROVIDING FOR SEVERABILITY AND PROVIDING A PENALTY

RE:    PD 12-03: Howard College  City of San Angelo

        WHEREAS, the Planning Commission for the City of San Angelo and the governing
body for the City of San Angelo, in compliance with the charter and the state law with
reference to zoning regulations and a zoning map, have given requisite notice by publication
and otherwise, and after holding hearings and affording a full and fair hearing to all property
owners and persons interested, generally, and to persons situated in the affected area and
in the vicinity thereof, is of the opinion that zoning changes should be made as set out
herein; NOW THEREFORE,

BE IT ORDAINED BY THE CITY OF SAN ANGELO:

       SECTION 1: That the basic Zoning Ordinance for the City of San Angelo, as
       enacted by the governing body for the City of San Angelo on January 4, 2000 and
       included within Chapter 12 of the Code of Ordinances for the City of San Angelo, be
       and the same is hereby amended insofar as the property hereinafter set forth, and
       said ordinance generally and the zoning map shall be amended insofar as the
       property hereinafter described: 3501 North US Highway 67, encompassing the
       area known as the Howard College, more specifically, being 33.802 acres out
       of the J. Pointevent Survey 1113, Abstract 4873, and Paulann Park Addition,
       Section 3, Tract H, being 0.76 acre, and Paulann Park Addition, Section 3, Tract
       G, being the northwestern 0.145 acre, in northeast San Angelo, a zone change
       from a combination of General Commercial (CG) and Light Manufacturing (ML)
       to Planned Development (PD) District; shall henceforth be permanently zoned as
       follows: Planned Development (PD) District for a college campus.

       The Director of Planning is hereby directed to correct zoning district maps in the
       office of the Director of Planning, to reflect the herein described changes in zoning.
SECTION 2: That in all other respects, the use of the hereinabove described
property shall be subject to all applicable regulations contained in Chapter 12 of the
Code of Ordinances for the City of San Angelo, as amended.

SECTION 3: That the following severability clause is adopted with this amendment:

SEVERABILITY:
The terms and provisions of this Ordinance shall be deemed to be severable in that,
if any portion of this Ordinance shall be declared to be invalid, the same shall not
affect the validity of the other provisions of this Ordinance.

SECTION 4: That the following penalty clause is adopted with this amendment:

PENALTY:
Any person who violates any provisions of this article shall be guilty of a
misdemeanor and, upon conviction, shall be subject to a fine as provided for in
Section 1.106 of the Code of Ordinances for the City of San Angelo. Each day of
such violation shall constitute a separate offense.

SECTION 5: That the following are approved as allowed uses, supplementing the
primary use type of “college,” for the property previously described:

A.     Classroom buildings. Such use provides space for general and/or specialized
       study leading to a certificate and/or degree.

B.     Office buildings. Such use provides offices for college staff and trainees.

C.     Parking garages. Such use provides for a multi-story structure for parking for
       the exclusive use of staff, trainees, students, and campus visitors.

D.     Housing facilities for students. Such use shall provide living quarters for the
       exclusive use of students.

E.     Passenger bus terminal. Such use shall provide bus stops and bus loading
       spaces for local and regional bus systems.

F.     Library. Such use shall provide space for collections of books, periodicals,
       digital media, etc. for the use of staff, trainees, and students.

G.     Sports facilities. Such use shall provide for structures used to play and watch
       sporting events for the exclusive use of staff, trainees, students, and campus
       visitors.
H.   Firearms range. Such use shall provide a fully enclosed firearms range for
     the exclusive use of staff and students.

I.   Accessory uses. Such uses shall be functionally connected with the operation
     of a college campus and therefore are approved for the property previously
     described, so long as they remain “accessory” as defined in SECTION 7 of
     this ordinance:

     I.      offices to serve the allowed uses of the college campus for the
             exclusive use of staff, trainees, and students;

     II.     maintenance facilities to service the college campus for the exclusive
             use of staff and/or trainees;

     III.    medical facilities to service staff, trainees, and students;

     IV.     game halls to exclusively serve staff, trainees, students, and campus
             visitors;

     V.      food and beverage sales to exclusively serve staff, trainees, students,
             and campus visitors;

     VI.     retail goods sales to exclusively serve staff, trainees, students, and
             campus visitors;

     VII.    personal service and retail sales open to the public that offers services
             directly related to Howard College curriculum;

     VIII.   repair service sales (including vehicle repair and service) open to the
             public that offers services directly related to Howard College
             curriculum;

     IX.     religious institutions and services to exclusively serve staff, trainees,
             students, and campus visitors;

     X.      day care to provide care, protection, and supervision for children
             and/or adults to exclusively serve staff, trainees, and students;

     XI.     meeting areas;

     XII.    community services meeting areas open to the public;

     XIII.   laboratories for the exclusive use of staff, trainees, and students;
SECTION 6: Building façade standards for the Howard College campus
shall include the following:

A.    Building facades shall be consistent and unified in architectural style,
      color palette, materials, and detailed ornamental features.

B.    Building entrances shall be clearly defined through architectural
      details, materials, and/or ornamental features, and highly visible.

C.    Exterior materials shall be limited to the following:
         1. Brick;
         2. Stucco (cementitous finish only);
         3. Architectural concrete masonry;
         4. Hardiplank or similar cementitious siding;
         5. Field stone, ledge stone, or other native veneer;
         6. Cast stone (for lintels, trim elements, and ornamentation); and
         7. Metal (for beams, lintels, trim elements, and ornamentation).

D.    Additional building façade and/or roofing material types may be
      approved at the discretion of the Planning Director.

SECTION 7: Development standards for the Howard College Campus shall include
the following:

A.    Maximum floor area ratio for each lot shall not exceed 2.5.

B.    No structure may be placed closer than 15 feet from any right-of-way fronting
      lot line.

C.    Outdoor storage shall not exceed 5 percent of the total area of each lot.

D.    Outdoor storage and mechanical equipment shall be fully screened from
      public view.

E.    The following features shall be at least partially screened from public right-of-
      way view by landscaping as detailed in SECTION 11, by benches and other
      street furniture, and/or by the use of landscaping along with berms, walls, or
      decorative fences, as approved by the Planning Director:
          1. Water quality control facilities;
          2. Stormwater drainage facilities;
          3. Metal buildings; and
          4. Areas where vehicles are moved, loaded, parked, or stored.
F.    Screening shall consist of fencing, landscaping, masonry, berming, or a
      combination thereof, that coordinates with building facade materials as
      detailed in SECTION 6 of this ordinance or landscaping materials as detailed
      in SECTION 11 of this ordinance.

G.    Metal buildings shall only be allowed on the northwestern approximately
      137,000 square feet as detailed in Exhibit A and Exhibit B.

H.    Opaque metal fences shall not be allowed.

I.    Accessory uses listed in SECTION 5 of this ordinance may not exceed 25
      percent of the total floor area of structures encompassed within the
      boundaries of this Planned Development.

J.    Fencing of any kind shall not be constructed to the south of the proposed
      traffic circle that would block vehicular access to the parking lot immediately
      south of the parking circle as identified in Exhibit C of this ordinance.

SECTION 8: Off-street parking standards for the campus shall include the following,
consistent with these standards as outlined in Chapter 9 of the Zoning Ordinance:

A.    Classroom buildings: 9 parking spaces per classroom;

B.    Office buildings: 1 parking space per 300 square feet of office space;

C.    Housing facilities for students: 1 parking space per residential unit;

D.    Library and sports facilities: 1 parking space per 400 square feet or 1 parking
      space per 10 patron seats, whichever is greater;

E.    Accessory uses for the exclusive use of staff, trainees, and students shall not
      require additional off-street parking.

SECTION 9: Loading space standards for the campus shall be as follows:

A.    Every nonresidential building with less than 65% of the floor area devoted to
      classrooms and/or offices, and which have at least 20,000 square feet of
      gross floor area, shall have a minimum of one off-street loading space with
      one additional off-street loading space for each additional 60,000 square feet
      of gross floor area or major fraction thereof.

B.    Each required off-street loading space shall be not less than 10’ in width, 45’
      in length, and 14’ in height.
C.    Each required off-street loading space shall be located entirely outside of
      public rights-of-way for streets and alleys and entirely on the same lot as the
      building to which it is accessory.
D.    No open area in a required off-street loading area shall be consistently
      encroached upon by any other use.

E.    In no case shall off-street parking spaces be used to satisfy off-street loading
      space requirements.

SECTION 10: All signage for the Howard College campus shall conform to the
following:

A.    Off-site signage shall not be permitted.

B.    Freestanding pole signs shall not be permitted.

C.    All signage shall be of materials and colors coordinating with building façade
      materials detailed in SECTION 6 of this ordinance.

D.    Electronic signs shall be placed no closer than 200 feet from any residential
      zoning district or use.

E.    Freestanding monument signs:

      I.     maximum signage area shall not exceed 1.5 square feet per 1 linear
             foot of street frontage per lot;

      II.    may be placed at any angle;

      III.   must be set back at least 5 feet from any internal side lot line;

      IV.    may have a setback of 0 feet from any lot line fronting a right-of-way;

      V.     shall not exceed 3 feet in height if placed within 10 feet of any lot line
             fronting a right-of-way; and

      VI.    shall not exceed 3 feet in height if placed within the 30 foot sight
             triangle of the intersection of two converging lot lines fronting a right-of-
             way;

F.    Attached signs (canopy, awning, fascia, projecting, sloping roof signs):
I.     maximum signage area may be up to 25 percent of the area of the wall
             to which the sign(s) is(are) attached;

      II.    shall not extend more than 3 feet above the roofline of the structure to
             which it is attached; and
      III.   shall not extend more than 3 feet above the top of the wall to which it is
             attached;

SECTION 11: Landscaping standards for the campus shall be as follows:

A.    Xeriscaping and water use reduction strategies shall be incorporated
      into overall landscape design through the use of drought tolerant plant
      species native and well suited to West Texas.

B.    Landscaped areas may include planters, brick, stone, natural forms,
      or other landscape features that provide a park-like setting.

C.    Landscaped areas, or plants, adjacent to pavement must be
      protected with a concrete curb or equivalent barrier such as:
         1. Asphalt curbs;
         2. Railroad ties (anchored);
         3. Rock or stone curbs (anchored); or
         4. Wheel stops (anchored).

D.    Landscaping plant material shall be of healthy stock, be native and
      naturalized, and have low water requirements.

E.    Dying or diseased landscaping plant material shall be replaced with
      an equivalent plant material.

F.    Adequate soil depth and width to encourage healthy growth shall be
      provided.

G.    The campus shall be responsible for the irrigation of all required
      landscape areas and plant materials, utilizing one or a combination of
      the following methods:
          1. An automatic or manual underground irrigation system;
          2. A drip irrigation system;
          3. A rainwater capture system or equivalent; or
          4. Any other comparable method.

H.    Landscaped areas planted with native grasses and wildflowers may
      use a temporary and above ground irrigation system and shall be
      required to provide irrigation only for the first 2 growing seasons.
I.     Irrigation methods used shall:
            1. Provide a moisture level in an amount and frequency
                adequate to sustain growth of the plant material on a
                permanent basis; and
            2. Be maintained and kept operational at all times to provide for
                efficient water distribution.

J.     No irrigation shall be required for undisturbed natural areas or
       undisturbed existing trees.

K.     On-ground parking lots shall have no less than 10 percent of the
       square footage landscaped.

L.     Parking lot landscaping shall be located entirely within the boundaries
       of the parking lot as follows:
           1. Landscaping boundaries;
           2. Landscaping medians;
           3. Landscaping islands; or
           4. Landscaping peninsulas.

M.     All landscaping plants located in or immediately adjacent to vehicular
       use areas shall, at maturity, be as follows:
            1. Shrubs and other plant material shall be a maximum of 48
               inches in height.
            2. Shrubs and other plant material shall be a maximum of 36
               inches in height if within the 30 foot sight triangle.
            3. Trees shall have a minimum 72 inch clearance from grade to
               the lowest branches.

SECTION 12: Except as otherwise specified or limited elsewhere in this ordinance,
the use and development of the Howard College campus shall generally conform to
General Commercial (CG) District zoning standards. All activities shall be limited to
those associated with the operation of a college campus as determined by the
Planning Director for the City of San Angelo.

SECTION 13: Buildings and campus shall generally conform to the master plan
provided within this ordinance identified as Exhibit C.
INTRODUCED on the 4th day of September, 2012 and finally PASSED, APPROVED AND
ADOPTED on this the 18th day of September, 2012.


                                        THE CITY OF SAN ANGELO




                                       by:____________________________________
                                             Alvin New, Mayor

ATTEST:




by:________________________________
               Alicia Ramirez, City Clerk




Approved As To Content:                 Approved As To Form:


_________________________               ________________________
AJ Fawver, Planning Manager             Lysia H. Bowling, City Attorney
Exhibit C- College Master Plan
City of San Angelo



Memo
 Meeting Date:   September 4, 2012

 To:             City Council members

 From:           Kevin Boyd, Planner

 Subject:        Z 12-09: Donald Spradley, a request for approval of a zone
                 change from Two Family Residential (RS-2) to
                 Neighborhood Commercial (CN) to allow for accessory
                 parking on the following property:

 Location:       13 West 11th Street, located approximately 160 feet west of
                 the intersection of North Chadbourne Street and West 11th
                 Street; more specifically occupying the Miles Addition, Block
                 52, Lot 4, in central San Angelo.

 Purpose:        Approval of this request would             zone    the   property
                 Neighborhood Commercial (CN).

 Contacts:       Donald A Spradley                                 325-655-5506

                 Kevin Boyd, Planner                               325-657-4210

 Caption:        First Public Hearing and consideration of the Planning Commission’s
                 recommendation modifying a request for a zone change from Two
                 Family Residential (RS-2) to General Commercial (CG), alternatively
                 recommending a zone change from Two Family Residential (RS-2) to
                 Neighborhood Commercial (CN) with an introduction of an Ordinance
                 amending Chapter 12, Exhibit “A” (Zoning Ordinance) of the Code of
                 Ordinances, City of San Angelo

                 Z 12-09: Donald Spradley

                 AN ORDINANCE AMENDING CHAPTER 12, EXHIBIT “A” OF THE
                 CODE OF ORDINANCES, CITY OF SAN ANGELO, TEXAS, WHICH
                 SAID EXHIBIT “A” OF CHAPTER 12 ADOPTS ZONING
                 REGULATIONS, USE DISTRICTS AND A ZONING MAP, IN
                 ACCORDANCE WITH A COMPREHENSIVE PLAN, BY CHANGING
THE ZONING AND CLASSIFICATION OF THE FOLLOWING
                         PROPERTY, TO WIT: 13 W 11th Street, located approximately
                         160 feet from the intersection of North Chadbourne Street and W
                         11th Street; more specifically occupying the Miles Addition,
                         Block 52, Lot 4, in central San Angelo, changing the zoning
                         classification from Two Family Residential (RS-2) to General
                         Commercial (CG) District; PROVIDING FOR SEVERABILITY AND
                         PROVIDING A PENALTY




     Summary: The City Council may:

        (1) Approve the proposed zone change; or

        (2) Modify the application to some alternative zoning classification believed to
            be more appropriate; or

        (3) Deny the proposed zone change.


     Recommendation: Planning staff recommends modifying the proposed
     zone change to Neighborhood Commercial (CN).

     On August 20, 2012, the Planning Commission recommended modification of the
     original request of Two-Family Residential (RS-2) to Neighborhood Commercial
     (CN) by a vote of 4-0.

History and Background:

     General Information

           Existing Zoning:            Two-Family Residential (RS-2)

           Existing Land Use:          Mostly vacant property, occupied by a
                                       shed

           Surrounding Zoning/Land Use:

            North:    Two-Family Residential (RS-2)     Residential dwelling
            West:     Two-Family Residential (RS-2)     Vacant residential property
            South:    General Commercial / Heavy        Culligan and Angelo Water
                      Commercial (CG/CH)                Service Co.
            East:     General Commercial / Heavy        Vacant commercial property
                      Commercial (CG/CH)
Thoroughfares/Streets:    W 11th Street is defined as a “local street,”
                          which carries light neighborhood traffic at
                          lower speeds and generally connects to
                          collector streets.

                          North Chadbourne Street is defined as an
                          arterial street, which is designed to
                          connect collector streets to freeways and
                          carries large volumes of traffic at high
                          speeds. Access is secondary and mobility
                          is the prime function of these streets.

Zoning History:           As far back as 1964, the property was
                          zoned Two-Family Residential (R-2), an
                          equivalent to the current zoning.

Applicable Regulations:   Refer to off-street parking standards, per
                          Section 511.

Development Standards:    General Commercial (CG) requires a 25
                          feet front setback for commercial
                          structures. No side or rear setback are
                          required in commercial districts unless the
                          lot abuts a residential district or use, where
                          a minimum of 10 feet is required, per
                          Section 502.

                          The maximum floor area or gross floor
                          area of all buildings on the lot divided by
                          the total area of the lot in an area zoned
                          CG is 2, twice the area of the lot, per
                          Section 502.

Vision Plan Map:          Commercial

Related Comp Plan
Excerpts:                 “Promote better transition between
                          nearby commercial and residential use of
                          land and buildings.”

                          Require a buffer separating commercial,
                          industrial, or agricultural zoned lands from
                          neighborhoods.

                          “Establish transition      areas    between
                          commercial      areas       and      nearby
                          neighborhoods.”

                          Create new physical connections to
                          neighborhoods lined with transitional and
                          intermediate uses.
Establish transition areas to better scale-
                                       down intensity of use from commercial
                                       centers to neighborhoods.

            Special Information

            Traffic Concerns:          Changing the zoning to commercial will
                                       increase the volume of traffic than if the
                                       property remained as-is. Since the lot is
                                       proposed to become a parking area, there
                                       will be an increase of traffic generated by
                                       the site.

            Parking Requirements:      This proposal would allow for parking
                                       accessory to the proponent’s business; the
                                       business follows under the occupancy
                                       category of a furniture store and equates
                                       to 1 space per 400 gross square feet. See
                                       Section 511.

            Parking Provided:          Currently the lot stands mostly vacant, the
                                       proposal is to create surface parking lot on
                                       the site in question, which would provide
                                       additional spaces for the proponent’s
                                       business located at the corner of North
                                       Chadbourne and 11th Streets.

            Density:                   Surrounding uses are predominately
                                       medium-density       commercial,        and
                                       residential. The plan complies with the
                                       Vision Plan, which calls for a continuation
                                       of the future development of this area
                                       as a “Commercial.

            Notification Required:     Yes

            Notifications Sent:        19

            Responses in Favor:        3

            Responses in Opposition:   0

Analysis:

     In order to approve this zone change request, the City Council members are first
     required to consider the following criteria:
1. Compatible with Plans and Policies. Whether the proposed amendment is
   compatible with the Comprehensive Plan and any other land use policies
   adopted by the Planning Commission or City Council.

2. Consistent with Zoning Ordinance. Whether and the extent to which the
   proposed amendment would conflict with any portion of this Zoning
   Ordinance.

3. Compatible with Surrounding Area. Whether and the extent to which the
   proposed amendment is compatible with existing and proposed uses
   surrounding the subject land and is the appropriate zoning district for the land.

4. Changed Conditions. Whether and the extent to which there are changed
   conditions that require an amendment.

5. Effect on Natural Environment. Whether and the extent to which the
   proposed amendment would result in significant adverse impacts on the
   natural environment, including but not limited to water and air quality, noise,
   storm water management, wildlife, vegetation, wetlands and the practical
   functioning of the natural environment.

6. Community Need. Whether and the extent to which the proposed
   amendment addresses a demonstrated community need.

7. Development Patterns. Whether and the extent to which the proposed
   amendment would result in a logical and orderly pattern of urban
   development in the community.


The staff recommendation is based upon the statements listed below.

In the initial request, the proponent asked for a zone change to a district that
would allow “commercial parking”; however, after analyzing the site as well as
surrounding uses, staff learned that the proponent owned the subject property
and the vacant lot adjacent to his business. In this case, “commercial parking”, a
category allowing for fee-based parking, would not be the appropriate use.
Rather, it would simply need a change of zoning as similar to the zoning of the
business as possible; thus, to allow a continuation of the business. Since CG/CH
is a zoning type which is no longer utilized, CG is the most closely-matching
zoning classification.

Located in the Miles addition, the subject property is situated less than a couple
hundred feet west of the intersection of West 11th and North Chadbourne Streets.
The property is currently zoned residential and the existing use includes a shed
which serves as an accessory structure. The request is a zone change from Two-
Family Residential (RS-2) to General Commercial (CG) to allow for parking
accessory to the retail use - the proponent's business, Spradley's Custom
Designs, is located at the corner of West 11th and North Chadbourne Streets.

While North Chadbourne is clearly defined as a major commercial corridor, much
of the 0 Block of West 11th Street is zoned for residential use. While lots to the
north and west of the property are currently zoned residential, this portion of the
block displays a lower density of housing units, characterized by vacant and
partially vacant lots. There has been a transition of uses along the block. As a
result, the boundary between the zones has become blurred, meaning that it is
becoming more difficult to decipher residential properties from those that are
commercial. A prime example of this transition was brought forth by the
proponent.

Prior to the case, the proponent and owner of the property, mentioned he had
demolished a house that stood deteriorating on the lot for some time. Vacant and
abandoned homes left unmaintained is a dangerous combination and serves as
potential blight in the community, as demolition of such structures can generate
an improved quality of living for residents of surrounding properties. The
proponent’s decision to transform the deteriorating lot into something more useful
and practical is a conscious step in revitalizing that section of the block. With
processing the zone change, the proponent hopes to maintain the shed, which
was located behind the house, on the lot as it currently stands. It is important that
the proponent understands that, if the lot remains in a residential zoning district,
the accessory structure must be removed; in residential districts, accessory
structures are only allowed if they are accessory to a primary structure.

While the proponent seeks to change the zoning to allow for parking accessory to
the business, it is important to realize that General Commercial zoning allows for
a wide range of commercial uses - any of which would be allowed on this site if
the parking were not created, or if a different owner wished to do so in the future.
It would also allow for a potential expansion of the commercial structure in which
the proponent’s business currently exists. The allowed uses for the zoning district
include business offices, retail sales, vehicle services (performed while the
customer waits), small animal veterinary clinics, entertainment-oriented
businesses and restaurants. For example, if the zone change requested is
approved, placement of car wash would be an allowed with CG zoning. The Floor
Area Ratio (FAR), or total area of buildable space for lots zoned General
Commercial (CG), is 2, or twice the area of the lot, per Section 502 of the Zoning
Ordinance. Immediately to the south of the subject property is zoned General
Commercial/ Heavy Commercial (CG/ CH) and the existing uses are Culligan and
Angelo Water Service Company, water and treatment facilities, not the ideal
setting for nearby residential uses.

The proponent’s business, Spradley’s Custom Designs, is located on North
Chadbourne, in an area notorious for limited parking. The building is an older
building that was built to the property lines at a time during which it was allowed.
It is located in an area in which infill development is desired and needed, in order
to reverse the aging decline of this corridor and associated blight that can occur.
This causes problems for potential tenants, who are required to provide the
mandatory amount of off-street parking in order to open a business. While there
are opportunities for shared parking arrangements along this corridor, they exist
either outside of the required 400’ distance, or are along the opposite side of
Chadbourne. The traffic is also heavy along North Chadbourne, being an arterial
street, that it would not be a safe situation to encourage pedestrian crossing
where there is not a designated traffic mechanism or crosswalk. For these
reasons, having a designated parking area immediately adjacent to the business
is the best solution.

Regarding parking: in order to receive a Certificate of Occupancy for a new
business, an applicant must provide adequate off-street parking, based on the
occupancy category or use, per Section 511. The off-street parking mentioned in
the section represents the minimum parking standards, and given that the
proponent has an upholstery/furniture shop, his business would follow under
furniture store which equates to 1 space per 400 gross square feet, per Section
511.

The Vision Plan calls for the property to be zoned for “Commercial”, consistent
with current developmental patterns and the proponent’s request. Residential
properties along West 11th Street, closest to North Chadbourne, are at a point of
transition and the residential appearance of some of lots is no longer clearly
defined. Current developmental trends, echoed by the Comprehensive Plan,
denote that the residential blocks nearest to North Chadbourne to be dedicated
for commercial use. Staff feels that a zone change to General Commercial (CG)
would be an appropriate zone type as the block transitions. This zoning is not the
most intensive of the commercial zones, yet would allow for some flexibility that
zoning at lower tiers do not provide (refer to examples of allowed uses in
paragraph that describes zoning).

Considering the nature of this request, staff sees the obvious area of concern,
the placement of commercial usage immediately adjacent to residential usage.
This type of configuration can clearly create undesirable consequences on the
residential inhabitants. However, staff would be remiss if it did not also consider
the ill effects of having an opportunity to bolster and create more solid
opportunities for the residential strip along North Chadbourne to once again grow
and flourish. Staff would contend that the Comprehensive Plan also recognized
this opportunity, and that this is why it calls for “commercial” at this and other
similar locations; to create a solidified boundary between neighborhood and
commercial uses, and to provide opportunities to supplement the aging buildings,
making occupancy of them a possibility - augmenting and enhancing the
possibilities for this corridor. As investment continues in the Chadbourne Street
corridor just south of Houston Harte Expressway, and again at the far northern
end of the corridor, where public facilities exist, possibilities to revitalize older
commercial structures in this area should be considered.


Proposed Conditions

       N/A



Attachments:                excerpt from zoning map, showing the general location
                            within the City of San Angelo;

                            excerpt from the comprehensive plan vision map
                            highlighting the subject property;

                            excerpt from       zoning    map,    highlighting    subject
                            property;

                            aerial photo, highlighting subject property;

                            draft minutes      from     August   20,   2012     Planning
                            Commission;

                            citizen responses; and

                            draft ordinance.

Presentation:               Kevin Boyd, Planner

Reviewed by:                AJ Fawver, AICP, Planning Manager (08/14/12)
ordinance.
D. Z 12-09: Donald Spradley

   A request for approval of a zone change from Two Family Residential (RS-
   2) to General Commercial (CG) to allow for accessory parking on the
   following property:

   13 West 11th Street, located approximately 160 feet west of the intersection
   of North Chadbourne Street and West 11th Street; more specifically
   occupying the Miles Addition, Block 52, Lot 4, in central San Angelo.

Kevin Boyd, Planner, came forward to present this request, consistent with the
staff recommendation of denial. There were 19 notifications sent out, with 2
received in favor of the request, and 0 received in opposition of the request.
This property is located in central San Angelo, just north of the downtown area.
There is CG/CH zoning to the south and east of the subject property. The
nearby residences have seen deterioration, and the line between neighborhood
and commercial has blurred. Mr. Boyd also showed a map indicating the
property owners who responded in favor of this request. He also showed an
excerpt from the Vision Plan map, calling for this property to be zoned as
commercial. The zoning has remained the same for the subject property
since at least 1964. Mr. Boyd explained that the original request on the
application was for commercial parking, which is a fee-based system.
However, this parking is intended for the existing business, which would make it
accessory to and allowed under retail sales  service. He reviewed CG
zoning and what it offers at the site. Approval of this request is supported by
staff in part because it helps to promote infill development of the existing
commercial structures nearby along Chadbourne. The area is an area of
transition, and designating this lot for commercial development would promote
improvement of the commercial buildings nearby.

Joe Grimes asked about the commercial type of use being requested and
whether or not it was considered intensive and noted his concern about the
intensive nature of it abutting the residential zoning. There was some
discussion of the initial application category commercial parking versus the
intention parking accessory to a commercial business.

Don Spradley, the owner of the property, came forward to speak in favor of this
request. He explained that his business has the required parking; however, to
expand and use the rest of the building, or to sell the building for a retail use,
off-street parking is necessary. He also explained that he purchased the
adjacent lot and tore down the house on the site with the intention of using that
for parking in the future to serve this facility. He doesn't intend to build anything
on that property.

No one else came forward to speak in favor of the request. No one came
forward to speak in opposition of this item.
Motion, to approve to CN or Neighborhood Commercial zoning instead of CG or
General Commercial zoning, was made by Joe Grimes and seconded by
Sebastian Guerrero. The motion passed unanimously, 4-0.
AN ORDINANCE AMENDING CHAPTER 12, EXHIBIT “A” OF THE CODE OF
       ORDINANCES, CITY OF SAN ANGELO, TEXAS, WHICH SAID EXHIBIT “A” OF
       CHAPTER 12 ADOPTS ZONING REGULATIONS, USE DISTRICTS AND A
       ZONING MAP, IN ACCORDANCE WITH A COMPREHENSIVE PLAN, BY
       CHANGING THE ZONING AND CLASSIFICATION OF THE FOLLOWING
       PROPERTY, TO WIT: 13 West 11th Street, located approximately 160 feet
       west of the intersection of North Chadbourne Street and West 11th Street;
       more specifically occupying the Miles Addition, Block 52, Lot 4, in central
       San Angelo, changing the zoning classification from Two Family Residential
       (RS-2) to Neighborhood Commercial (CN) District; PROVIDING FOR
       SEVERABILITY AND PROVIDING A PENALTY

RE:    Z 12-09:       Donald Spradley

        WHEREAS, the Planning Commission for the City of San Angelo and the governing
body for the City of San Angelo, in compliance with the charter and the state law with
reference to zoning regulations and a zoning map, have given requisite notice by publication
and otherwise, and after holding hearings and affording a full and fair hearing to all property
owners and persons interested, generally, and to persons situated in the affected area and
in the vicinity thereof, is of the opinion that zoning changes should be made as set out
herein; NOW THEREFORE,

BE IT ORDAINED BY THE CITY OF SAN ANGELO:

       SECTION 1: That the basic zoning ordinance for the City of San Angelo, as enacted
by the governing body for the City of San Angelo on January 4, 2000 and included within
Chapter 12 of the Code of Ordinances for the City of San Angelo, be and the same is
hereby amended insofar as the property hereinafter set forth, and said ordinance generally
and the zoning map shall be amended insofar as the property hereinafter described: 13
West 11th Street, located approximately 160 feet west of the intersection of North
Chadbourne Street and West 11th Street; more specifically occupying the Miles
Addition, Block 52, Lot 4, in central San Angelo shall henceforth be permanently zoned as
follows: Neighborhood Commercial (CN) District.

The Director of Planning is hereby directed to correct zoning district maps in the office of the
Director of Planning, to reflect the herein described changes in zoning.

       SECTION 2: That in all other respects, the use of the hereinabove described
property shall be subject to all applicable regulations contained in Chapter 12 of the Code of
Ordinances for the City of San Angelo, as amended.

       SECTION 3: That the following severability clause is adopted with this amendment:
SEVERABILITY:
      The terms and provisions of this Ordinance shall be deemed to be severable in that,
      if any portion of this Ordinance shall be declared to be invalid, the same shall not
      affect the validity of the other provisions of this Ordinance.

      SECTION 4: That the following penalty clause is adopted with this amendment:

      PENALTY:
      Any person who violates any provisions of this article shall be guilty of a
      misdemeanor and, upon conviction, shall be subject to a fine as provided for in
      Section 1.106 of the Code of Ordinances for the City of San Angelo. Each day of
      such violation shall constitute a separate offense.


INTRODUCED on the 4th day of September, 2012 and finally PASSED, APPROVED AND
ADOPTED on this the 18th day of September, 2012.


                                         THE CITY OF SAN ANGELO




                                          by:____________________________________
                                                                   Alvin New, Mayor

ATTEST:




by:________________________________
               Alicia Ramirez, City Clerk




Approved As To Form:                     Approved As To Content:



_________________________                ________________________
AJ Fawver, Planning Manager              Lysia H. Bowling, City Attorney
City of San Angelo



Memo
 Meeting Date:    September 4, 2012

 To:              City Council members

 From:            Jeff Hintz, Planner

 Subject:         Alley abandonment request on the following property:

 Location:        An approximately 10’ x 123’ portion of alley running east to west,
                  perpendicular to Travis Street, between The Jacoby Addition,
                  Block 1, Lot 1 and Lake View Addition, Block 40, Lots 5-7 in
                  northern San Angelo.

 Contacts:        Karen Coates                               325-653-7194
                  Jeff Hintz, Planner                        325-657-4210

 Caption:         First Public Hearing and consideration of introduction of an
                  Ordinance authorizing abandonment of public right-of-way in
                  Lake View Addition Block 40 and the Jacoby Addition, Block 1
                  in northern San Angelo,

                  AN ORDINANCE PROVIDING FOR THE ABANDONMENT
                  AND CLOSING OF THE FOLLOWING STREET SEGMENT,
                  TO WIT: An approximately 10’ x 123’ portion of alley
                  running east to west, perpendicular to Travis Street,
                  between The Jacoby Addition, Block 1, Lot 1 and Lake
                  View Addition, Block 40, Lots 5-7 in northern San Angelo;
                  AUTHORIZING THE CONVEYANCE THEREOF TO THE
                  ABUTTING PROPERTY OWNERS; PROVIDING FOR THE
                  TERMS AND CONDITIONS OF ABANDONMENT AND
                  CONVEYANCE; AND PROVIDING FOR THE MAYOR TO
                  EXECUTE AND DELIVER A QUIT CLAIM DEED TO THE
                  ABUTTING PROPERTY         OWNERS


 Summary: The City Council may:

   1. Approve the proposed abandonment; or

   2. Approve the proposed abandonment subject to conditions; or
3. Deny the proposed abandonment.


Recommendation:         City staff recommends approving the proposed alley
abandonment for the reasons mentioned in this report.

On August 20, 2012 the Planning Commission recommended approving this request
by a vote of 4-0.

History and Background:

The applicant came to staff in May of 2012 regarding the possibility of selling the
property to a neighbor; as part of that transaction, there was a desire to for the
purpose of building onto a house and      fencing in this property. City records
seemed to indicate the alley was abandoned and that the applicant owned
property on both sides of the alley. Through the real estate transaction process,
however, the applicant and city staff discovered no quit claim deed formally
abandoning was ever recorded with the county. Subsequent and exhaustive
searches of city planning records and the City Clerk's records did not result in
the discovery of information showing this abandonment had taken place. A 1982
plat of the Jacoby Addition includes the southern five feet of the alley in Lot One
of Block One in this plat. The tax records and ownership deed records also
indicate the property to the north of the alleyway includes the north five feet of
the alley. These legal descriptions of property (the plat) and tax records indicate
what is actually owned. As a result of the plat and tax records, city staff is under
the impression that the alley was likely abandoned, but had no formal quit claim
document indicating that it indeed was. As a result, the abandonment process
needs to take place to legally close the alley. When asking for the Mayor's
signature on any quit claim deed, as is City policy, a copy of the action
authorizing such a signature is also provided. Because of the circumstances on
this matter, staff could produce no documentation of action by the City that
would authorize this signature on its behalf. Finalizing this process now,
however, will produce just that.

General Information

       Existing Zoning:            Single-Family Residential (RS-1)

       Existing Land Use:          Vacant property

       Surrounding Zoning/Land Use:

        North:                  RS-1           single-family residences
        West:                   RS-1           single-family residences
        South:                  RS-1           single-family residences
        East:                   RS-1           low lying drainage capture area

       Storm Water/Drainage:       Abandoning the alley is not expected to create
                                   any storm water or drainage changes for the area.
Topography:                Abandoning the alley is not expected to change
                                the topography of the area.

     Water/Sewer Utilities:     Abandoning the alley would pose no problems as
                                there are no utilities for water or sewer in the alley.

     Fire Protection:           Abandoning the alley would pose no problems for
                                fire safety accessibility to the homes.

     Access Management:         Abandoning the alley is not expected to create
                                problems regarding rear access to the residences
                                in the area.

     Notification required:     Yes

     Notifications Sent:        7

     Received In favor          0

     Received in opposition     0

Special Information

     Private Utilities:         There are no private utilities located within this
                                alleyway. Abandoning this alley will not create a
                                lack of service or availability of service for
                                neighboring properties.

Basis for Recommendation

     Given that this alley appears to be abandoned and there is no formal
     record of it, staff recommends having this recorded using today's
     procedures and processes to formally abandon the alley and document
     the process to prevent future problems with title runs or property
     transactions. While staff does not doubt the intent was to abandon this
     alley segment, there is no official record of it and the formal
     abandonment procedures need to occur. This process will provide the
     applicant the legal documentation necessary to complete the real estate
     transaction that is at hand. The applicant owns property on both sides of
     this alleyway and as such, can encompass the alley in its entirety into
     future plans.

     The alley runs into what was designed to be a lake with a circle drive and
     boulevards running up to it on all sides. The original concept of the plat
     was never fulfilled and as such, the proposed street surrounding the lake
     was abandoned, as was the additional right-of-way property for the
     boulevards. At the present moment, the lots have been divided up so that
     the alleyway does not give access to the rear of any property, but rather
     bisects one property owner's land. Even if this alley was not believed to
     have been considered for abandonment in the past, staff would still be
     recommending approval of this request as the alley is devoid of any
utilities and is not being utilized, nor does it benefit the public in any way.
     Staff believes this alleyway will be much more practical for the applicant
     and city as a portion of a lot than an alley. In examining these types of
     requests, the underlying concern for staff's recommendation is whether
     or not the maintaining of the alley in City hands is in the best interests of
     the public as a whole.

     Even if there were different property owners on either side of the
     unimproved alley, staff's recommendation would not change. The alley is
     un-used and provides no rear access to properties. The alley will be
     much more beneficial to private owners since it provides no rear access
     to property and is void of all utilities. There is one additional alley to the
     south of this circle configuration in Block 45 of the Lakeview Addition, it is
     also believed to be abandoned. The blocks to the east of the lake did not
     include platted alleyways as they were much smaller in size and number
     of lots created. The attached plat of the Lakeview Addition focuses on
     this general area and shows what the master plan at one time was. As
     time changed, the plan that was platted was never fulfilled. As a result,
     the unused alleyways, boulevards, and circular street area around the
     lake have been abandoned over time as the additional public property
     was no longer necessary for the city to maintain.

Proposed Conditions

     N/A

Attachments:              excerpt from zoning map, showing the general location within
                          the City of San Angelo;

                          excerpt from zoning map, highlighting subject property;

                          aerial photo, highlighting subject property;

                          original plat of the Lakeview Addition from 1908;

                          draft minutes from Planning Commission; and

                          draft ordinance.

Presentation:             AJ Fawver, Planning Manager

Reviewed by:              AJ Fawver, AICP, Planning Manager (08/09/12)
IV.   Requests for Right-of-Way Abandonment. [Planning Commission makes
      recommendation; City Council has final authority for approval.]

      A. Lakeview Addition, Block 40 and Jacoby Addition, Block 1: Karen Coates

         A request to abandon an alley on the following property:

         An approximately 10’ x 123’ portion of alley running east to west, perpendicular
         to Travis Street, between The Jacoby Addition, Block 1, Lot 1 and Lake View
         Addition, Block 40, Lots 5-7 in northern San Angelo.

      Jeff Hintz, Planner, came forward to present this case, subject to the staff
      recommendation of approval. Seven notifications were sent out on this request, with
      zero returned either in favor or in opposition. Mr. Hintz showed photos of the
      property, including the area which is the subject of the abandonment request. It is
      believed that the intent many years ago was to formally abandon it; however, there
      are no records of said abandonment. This will provide a legal basis for which to
      conduct a property transaction without problems with title and corresponding
      documents.

      Sebastian Guerrero asked if the proponent owned property on both sides of the
      alley. Mr. Hintz explained that it did. He also verified that no notifications were
      responded to and that private utility companies had no issue with the abandonment.

      Joe Grimes asked if there were any drainage issues created by a closure of this
      alley. There are not - this was reviewed by the Stormwater Engineer and found to
      be of no issue.

      Karen Coates, the owner of the adjacent property and the proponent of the request,
      came forward to speak in favor of the request. They have owned that property for
      some time and received a title opinion at that time. While the title company was able
      to find a plat document that indicated that the abandonment had been completed,
      they were unable to turn up any documentation regarding this alley segment.
      Joe Grimes asked Ms. Coates to clarify which property she owns. Bill Wynne asked
      about who owned Lot 4. Staff confirmed that the City of San Angelo owns Lot 4.
      Joe Grimes asked if the size of the abandonment could be increased; however, Ms.
      Fawver clarified that the Commission may only proceed with the property that was
      included in the notification.

      Betty Walker, who own lots on the other side of Travis, came forward to ask if a
      business could be put on the property. Staff explained that the zoning is residential.

      Motion, to approve as presented, was made by Bill Wynne and seconded by Joe
      Grimes. The motion passed unanimously, 4-0.
AN ORDINANCE PROVIDING FOR THE ABANDONMENT AND CLOSING
       OF THE FOLLOWING ALLEY, TO WIT: An approximately 10’ x 123’
       portion of alley running east to west, perpendicular to Travis Street,
       between The Jacoby Addition, Block 1, Lot 1 and Lake View Addition,
       Block 40, Lots 5-7 in northern San Angelo; AUTHORIZING THE
       CONVEYANCE THEREOF TO THE ABUTTING PROPERTY OWNERS;
       PROVIDING FOR THE TERMS AND CONDITIONS OF ABANDONMENT
       AND CONVEYANCE; AND PROVIDING FOR THE MAYOR TO EXECUTE
       AND DELIEVER A QUIT CLAIM DEED TO THE ABUTTING PROPERTY
       OWNERS

RE:    abandonment of a public right-of-way being an alley between Block 40, of the Lake View
       Addition, south of Lots 5-7 and North of the Jacoby Addition, Block 1, Lot 1, running
       perpendicular to Travis Street in northern San Angelo .

WHEREAS, the City Council of the City of San Angelo, Texas, acting pursuant to law,
deems it advisable to abandon and convey the hereinafter described tract of land to the
abutting property owner and is of the opinion that said land is not needed for public use, and
that same should be abandoned and quit claimed to the abutting property owner as
hereinafter provided; and

WHEREAS, the City Council of the City of San Angelo, Texas is of the opinion that the best
interest and welfare of the public will be served by abandoning and conveying same to the
abutting property owner, subject to conditions and restrictions contained herein; NOW,
THEREFORE,

BE IT ORDAINED BY CITY COUNCIL OF THE CITY OF SAN ANGELO:

1.     That the following described tract in the City of San Angelo, Tom Green County,
       Texas be and the same is hereby abandoned, vacated and closed insofar as the
       right, title and easement of the public are concerned; subject, however, to the
       conditions and restrictions hereinafter more fully set out:

       BEING the entire 10-foot width and 123-foot length of right-of-way for a public alley
       dedicated immediately south of Lots 5-7 in Block 40, of the Lake View Addition,
       which said alley is described more particularly as follows:

       BEGINNING at a point on southwest corner of the Lake View Addition, Block 40, Lot
       7.

       THENCE in an easterly direction a distance of 123 feet;

       THENCE in a southerly direction a distance of 10 feet;

       THENCE in a westerly direction a distance of 123 feet;

       THENCE in a northerly direction a distance of 10 feet to the POINT OF BEGINNING.
2.    That the abandonment and conveyance provided for herein is made and accepted
      subject to all present zoning and deed restrictions, if the latter exist, and all existing
      easements, if any, whether apparent or non-apparent, aerial, surface, underground
      or otherwise.

3.    That the abandonment and conveyance provided for herein shall extend only to the
      public right, title, easement and interest and shall be construed to extend only to the
      interest which the governing body for the City of San Angelo may legally and lawfully
      abandon and vacate.

4.    That the Mayor of the City of San Angelo is hereby authorized to execute and deliver
      a quit claim deed conveying the above-described tract to the abutting property
      owner.

5.    That the terms and conditions contained in this ordinance shall be binding upon
      Grantees and assigns.

6.    That the Grantees shall pay all reasonable costs associated with procedures
      necessitated by the request to abandon this public right-of-way.




INTRODUCED on the 4th day of September 2012 and finally PASSED, APPROVED AND
ADOPTED ON this the 18th day of September, 2012.


CITY OF SAN ANGELO, TEXAS                          ATTEST:



by: ______________________________                 by: ______________________________
                     Alvin New, Mayor                             Alicia Ramirez, City Clerk




Approved As To Content:                     Approved As To Form:


_________________________                   ________________________
AJ Fawver, Planning Manager                 Lysia H. Bowling, City Attorney
Discharge Point for
                                                      underground storm drain




                                                    W. Avenue N



ASU                                               W. Avenue P
      Drainage Area to
      W. Avenue P at
      S. Bryant Blvd.



                                                          S. Chadbourne St.
                         Knickerbocker Rd.

                                             S. Bryant Blvd.
City of San Angelo
                                                         Engineering Services


Memo
 Date:      September 11, 2012

 To:        Mayor and Councilmembers

 From:      Clinton Bailey, City Engineer

 Subject:   Agenda Item for September 18 Council Meeting

 Contact:   Clinton Bailey, 657-4203

 Caption:   Regular
            Status Update and Discussion of Avenue P Drainage Remediation Project


 Summary:   The area around W. Avenue P has a history of severe flooding. In fact, the 2000
            Master Drainage Plan prepared by Freese  Nichols, Inc. ranks this project as the
            #2 most recommended drainage improvement project in San Angelo. The current
            drainage issues along Avenue P are caused by excessive street flow and limited
            channel capacity downstream. Stormwater runoff in this area flows from over 430
            acres and from as far away as Angelo State University.
            Damages caused by the deep, swift water include stalled/flooded vehicles,
            numerous flooded homes and other property, and possible drowning. In addition,
            the flooding causes blocked travel paths that are especially important in the event
            of an emergency.
            Options to mitigate this flooding include:
                  1. Purchasing all of the endangered homes in the vicinity and relocating
                     the residents;
                  2. Directing most of the stormwater runoff underground all the way to W.
                     Avenue R; and
                  3. Directing most of the stormwater runoff underground to and across S.
                     Chadbourne St., discharging directly into the Red Arroyo.
            Option 3 was selected due to cost savings while still providing a sensible solution
            to the problem. All of the runoff crossing under S. Bryant Blvd into W. Avenue P
            will be taken underground into a large storm drain running beneath W. Avenue P
            that will discharge on the east side of S. Chadbourne St. Inlets at most of the
            intersections along W. Avenue P will collect surface drainage from the
            neighborhood and route it into the main storm drain.

 History:   This project was ranked as the second-most recommended drainage improvement
            project in San Angelo by the City’s Master Drainage Plan prepared by Freese 
            Nichols, Inc. in 2000.
            On September 19, 2011, Clinton Bailey, along with then-City Manager Harold
Dominguez and City Councilman Johnny Silvas, hosted a neighborhood meeting.
                      Approximately 25 area residents were present to voice their concerns regarding
                      the flooding. Solutions were discussed to alleviate property damage and mitigate
                      health risks due to the area flooding.
                      At the City Council meeting on November 1, 2011, City Council approved funding
                      for this project at $1.7 million for design and construction. Of that total, $700,000
                      was appropriated from the 2011-2012 budget, and $1 million was budgeted for the
                      fiscal year 2012-2013.

Financial Impact:     $1,700,000.00

Related Vision Item   City Council Goal #8: Improve Drainage, Develop Plan.
(if applicable):

Other Information/    n/a
Recommendation:

Attachments:          Project location map

Presentation:         City Staff

Publication:          n/a

Reviewed by           Shawn Lewis, Director of Community and Economic Development
Director:

Approved by Legal:
City of San Angelo



Memo
      Meeting Date:          September 18, 2012

      To:                    City Council members

      From:                  AJ Fawver, Planning Manager

      Subject:               Amending standards for visual clearance on corner lots

      Contacts:              AJ Fawver, Planning Manager       (325) 657-4210



As staff continues to see redevelopment occur in the downtown district, a section of the
Zoning Ordinance pertaining to vision clearance at intersections has come under some
scrutiny. Article 5 of the Zoning Ordinance specifically exempts the Central Business District
(CBD) zoning from a minimum required front yard. In addition, it goes on to exempt CBD
zoning from minimum required side  rear yards if the lot does not adjoin or abut a residential
district or use. The rationale behind this exemption is based on the fact that historical
development was constructed in higher-density buildings that were often built to the property
edges. Driving through the downtown area, many of these types of buildings are very visible.
Traditionally, downtowns are also developed in such a way. This helps bring in new
development that meshes with and matches the historic fabric unique to a city's core.

Section 510 establishes requirements for visual clearance on corner lots, for the safety of
both vehicular and pedestrian traffic. This standard requires that any structure within 30 feet
of the intersection of the two street property lines be no taller than three feet in height. This
standard works well in most instances, especially since all other zoning districts have
minimum front and side yard requirements.

The problem lies in situations within the CBD where new construction is desired on corner
lots. Though the requirement for minimum front yards is waived in this district, currently, no
structure over three feet would be allowed to be built within this area; thus, the two
requirements somewhat contradict one another. It is also important to keep in mind that the
CBD is unique in terms of rather wide rights-of-way, and most intersections are signalized -
this provides a control for traffic that could, in some instances, help to mitigate the safety
issue enough to allow building within the vision clearance triangle. While this type of
development would not be appropriate in other zoning districts, where development has
occurred in an orderly fashion with an expectation of open space, in an area where the feel
and density levels are highest, it could be deemed appropriate. On corner lots with
sidewalks, these sidewalks are relatively permanent in nature and help hold and maintain the
swath of public right-of-way between the street edge and the property line - thus, keeping it
open for view by traffic; this, in combination with a signalized intersection, permits efficient
flow of traffic in a way that is safe.

As such, staff is recommending one change to the current requirements for vision clearance
at intersections: to grant an exception, (as has been done with required minimum front and
side yards) if the corner lot is at an intersection which is signalized and has unobstructed
sidewalk areas at least 4' in width between the street edge and the building, along the two
street property lines, for a distance of at least thirty feet from the intersection.

Attachments:         draft ordinance, as approved by Legal staff;

Presentation:        AJ Fawver, Planning Manager

Reviewed by:         Shawn Lewis, Director of Community  Economic Development ( )
AN ORDINANCE AMENDING CHAPTER 12, EXHIBIT “A” ENTITLED “ZONING
       ORDINANCE”, ARTICLE 5 ENTITLED “GENERAL DEVELOPMENT
       STANDARDS”, SECTION 510 ENTITLED “VISUAL CLEARANCE ON CORNER
       LOTS”, BY RESTATING SAID SECTION TO PROVIDE FOR AN EXCEPTION OF
       THE REQUIREMENT FOR MAINTENANCE OF A “SIGHT TRIANGLE” ON
       CERTAIN CORNER LOTS FOR THE CENTRAL BUSINESS DISTRICT; AND
       PROVIDING FOR AN EFFECTIVE DATE.



      WHEREAS, the City of San Angelo Zoning Ordinance regulates the preservation of visual
clearance by requiring minimum front yard setbacks and a “sight triangle” on corner lots
throughout the city; and,

     WHEREAS, the Central Business District (CBD) traditionally includes structures with
sidewalks extending to the curb and otherwise without front yard setbacks; and,

      WHEREAS, the CBD includes historical structures with sidewalks extending to the curb
and otherwise without front yard setbacks; and,

      WHEREAS, the CBD is exempt from the ordinance requirement for a minimum front yard
setbacks for structures and therefore corner lots may not comply with the requirement for
maintenance of a “sight triangle” on corner lots; and,

       WHEREAS, the implementation of a front yard setback in the CBD for new development
would be inconsistent with the development of the district in which the combination of wide
streets, traffic signals and sidewalks provide sufficient corner lot visual clearance;

     NOW, THEREFORE, BE IT ORDAINED BY THE CITY OF SAN ANGELO:

     Section 1.    THAT Chapter 12 “A” entitled “Zoning Ordinance”, Article 5 “entitled
                   “General Development Standards”, Section 510 entitled “Visual Clearance
                   on Corner Lots” is hereby restated to read as follows:

                   “Except for free-standing signs with appropriate visual clearance below the
                   display area, any fence, structure, sign, tree or landscaping on a corner lot
                   and situated within 30 feet of the intersection of the two street property
                   lines shall not exceed a height of three feet, including topography,
                   measured from the top of the street curb or, in the absence of a raised curb,
                   31/2 feet above elevation of the center of the pavement. For this purpose,
                   the restricted area for visual clearance shall be considered as a triangle
                   rather than an area bounded by an arc. Corner lots in the Central Business
                   District (CBD) situated at signalized intersections and having unobstructed
                   sidewalk areas similarly restricted for visual clearance and at least four feet
(4’) in width between the street edge and building along the two street
                    property lines for a distance of at least thirty feet (30’) from the intersection
                    are exempt from this restriction.”

      Section 2.    THAT this Ordinance shall be effective from and after the date of its
                    adoption.

       INTRODUCED on the ______ day of _______________, 2012, and finally PASSED,



APPROVED and ADOPTED on this the ________ day of __________________, 2012.



                                                     THE CITY OF SAN ANGELO, TEXAS




                                                     Alvin New, Mayor

ATTEST:




Alicia Ramirez, City Clerk




APPROVED AS TO CONTENT:                              APPROVED AS TO FORM:




_____________________________

AJ Fawver, Planning Manager                          Lysia H. Bowling, City Attorney
City of San Angelo



Memo
 Meeting Date:        September 18, 2012

 To:                  Mayor and City Council members


 From:                AJ Fawver, Planning Manager

 Subject:             Permission to enter into contract with Gateway
                      Planning Group for Lake Nasworthy plan

 Contacts:            AJ Fawver, Planning Manager                       657-
 4210

 Caption:             Consideration of authorizing the Interim City Manager or
                      designee to execute a contract between Gateway
                      Planning Group and the City of San Angelo to carry out
                      services outlined in CED 05-11.




 Summary: At the directive of City Council and the City Manager, the
 Planning Manager put together a RFQ (Request for Qualifications) and
 worked with the Purchasing Director to put this RFQ out to solicit responses
 from a variety of firms. Once a committee selected the most qualified firm to
 produce this plan, the Planning Manager asked the Council for permission to
 enter into negotiations with the firm, which was approved on February 21st.

 While the next step would technically be to approach the Council for
 permission to enter into a contract, staff believed there to be a legitimate
 benefit to first having a thorough presentation from the top ranked consulting
 group, discussing and identifying the costs, processes, services,
 expectations, and options for this project, to maintain a clear direction from
 the Council on how to move forward prior to entering into a contract.

 On May 14th, the consulting group presented this information to the selection
 committee, who ranked this group first, in order to obtain a recommendation
 for the Council to consider.
Background: Beginning in June of 2011, the City Council reviewed
several items related to Lake Nasworthy; these included:

   •   an annexation of a now-defunct power plant located in the area;
   •   amendments to ordinances regulating areas around Lake Nasworthy,
       specifically those recreational in nature;
   •   the entering into negotiations between the Parks Director and a firm
       slated to provide an update to the Parks and Recreation Master Plan;
   •   the hearing of zone changes in and around the Lake Nasworthy
       addition; and,
   •   discussions of investment in and around the Lake Nasworthy area to
       capitalize on this asset.

In response to these continued discussions of the area, staff put together an
RFQ that was published to solicit responses from firms with experience in
master planning for areas with value in tourism, recreation, and who
understood the unique characteristics of waterfront development.

Seven firms submitted packages outlining their qualifications to complete
and coordinate such a project. A selection committee consisting of the
members listed below reviewed these packages and, based on their scores,
narrowed down the list to three finalist groups.

   •   Paul Alexander, Council member, SMD 1;
   •   Alvin New, Mayor;
   •   AJ Fawver, Planning Manager;
   •   Shawn Lewis, Director of Community  Economic Development;
   •   Elizabeth Grindstaff, Assistant City Manager; and
   •   Will Wilde, Director of Water Utilities.

Once a “short list” was determined, the three finalist firms were invited for
interviews. As a requirement of the interview opportunity, the firms were
asked to attend the public meeting being held by the Parks Department to
solicit public input for their ongoing update to the Parks and Recreation
Master Plan, specifically a discussion of Lake Nasworthy. The following
day, interviews were held with each firm and a committee consisting of the
members listed below, whose scores were combined to assess the most
qualified of the firms.

   •   Paul Alexander, Council member, SMD 1;
   •   Alvin New, Mayor;
   •   Tad Logan, President, Lake Nasworthy Homeowners Association;
   •   Tony Villarreal, COSADC;
   •   Carl White, Parks Director;
•   Lauren Shrum, Texas Outdoor Consulting (currently conducting the
       update to the Parks and Recreation Master Plan); and
   •   AJ Fawver, Planning Manager;
   •   Shawn Lewis, Director of Community  Economic Development; and
   •   Elizabeth Grindstaff, Assistant City Manager.

Gateway Planning Group’s presentation garnered responses from the
committee regarding:
   • their data-driven approach;
   • their business “matchmaking” abilities (connections with over 100
       facilities);
   • their focus on public involvement;
   • their comprehension of the tourism component of the area paired
       with the neighborhood component;
   • their extensive experience in waterfront planning and projects;
   • their personalized, detailed approach; and
   • their urge to make recreational opportunities year-round to maintain
       flow of tourism; and,
   • their understanding of the market feasibility and market analysis.

On May 14th, Scott Polikov, from Gateway Planning Group, presented the
scope and figures which were formulated through negotiations with Planning
Manager AJ Fawver. The committee held discussion on the proposal and
ultimately recommended that the Council approve and move forward with
the approach, citing it as a worthwhile investment.

On May 15th, City Council listened to a presentation by Ms. Fawver and Mr.
Polikov, and ultimately gave direction to move forward with the proposed
approach, scope, and price. The discussion also outlined the intent for this
expenditure to come from the Lake Nasworthy fund, specifically.

After putting together a draft contract, this draft was submitted for review by
the City Attorney’s office. The City Attorney's office has worked with
Gateway and other staff to complete a contract that is ready for execution
once approval is given by Council.

Related Vision Item:         Provide adequate amenities for all neighborhoods.
                             Attract reinvestment.
                             Develop strategic plan for recruitment.
                             Examine liquidation of underutilized City properties.

Financial Impact:            $298,150, plus expenses (spread over a 12
                             month timeline, likely to coincide with two
                             separate fiscal years)
Attachments:   Excerpts from RFQ CED 05-11, outlining
               desired services and selection criteria

               Excerpt from May 15, 2012 City Council minute
               record

               Contract

Publication:   None required.

Reviewed by:   J. Shawn Lewis, Director of Community 
               Economic Development ()
The City is seeking to hire a qualified consultant firm or team to provide professional land use planning services, specifically to lead the
                                                                                                              th
City's efforts in preparing an addendum to the 2009 Comprehensive Plan; this addendum would create a 7 sub-district concept
specifically centered on Lake Nasworthy.

           A response to this RFQ shall include methodology and approach, including a timeline, for performing necessary
           research and preparing this addendum. The addendum should focus on the following:

                1.    Select and create boundaries for final study area (a “sub-district) surrounding Lake Nasworthy;

                2.    Collect data and prepare graphics illustrating the sub-district from a variety of perspectives, such as
                      current buildings and uses, tenant profiles, sale and lease points and other data that affect the area’s
                      competitive position in the market;

                3.    Provide analysis of the following:

                           a.    Ownership of property adjoining all edges of Lake Nasworthy;

                           b.    Tourism and recreational opportunities to maximize activity within the sub-district;

                           c.    Data collected from surveys previously distributed by Parks Department staff regarding
                                 activities and facilities around Lake Nasworthy;

                           d.    Land use, water, recreation and resource management issues;

                           e.    Accessibility of sub-district by multi-modal traffic;

                           f.    Relationship between local land use activities and the lake environment; and

                           g.    The role of the sub-district from a regional perspective.

                4.    Identify the following:

                           a.    Opportunities, constraints, and perceived issues relative to the study area;

                           b.    Environmental concerns and opportunities relative to the study area;

                           c.    Potential projects that could be pursued to attract and leverage investment in the subject
                                 area; and

                           d.    Action-oriented recommendations for land use policy and stewardship approaches for future
                                 needs.

                5.    Conduct public input process, to include:

                           a.    Identification of key stakeholders for a series of interviews, the results of which will be
                                 summarized and used to pinpoint problems and opportunities, as identified by local
                                 residents, property and business owners;

                           b.    Prepare for and conduct two (2) public meetings in the area to facilitate discussions aimed at
                                 identifying land use and growth management, sustainability, tourism, economic
                                 development, and related issues;

                6.    Draft a sub-district chapter for inclusion in the 2009 San Angelo Comprehensive Plan that mirrors the
                      style and layout of the attached example. This chapter should include, at a minimum, the following:

                           a.    Boundaries of the area;
                           b.    The concept challenge and solution;
c.     A concept label with a description and appropriate graphic showing area affected by this concept;
                      d.     Barriers which impede the success of the sub-district;
                      e.     Analysis of the market opportunities for the area, classified by short-term (1-5 years) or long-term (5-
                             10) years;
                      f.     Suggestions of urban design elements to contribute to and compliment the area;
                      g.     Public-private strategies that could help address the challenges, barriers, and solution described for the
                             area;
                      h.     Recommendations based on the completion of Items 1-5 above; and
                      i.     Selection of an area that could be used as a case study to illustrate the concept (a “catalyst”), and that is
                             part of the selected sub-district - include graphic(s) that demonstrate the concept;
REQUIREMENTS

     A qualified consultant should demonstrate the following minimum qualifications to be considered.

            1.   Applicable experience in and knowledge of basic legal issues related to land use planning.

            2.   A description of all services available to the City by the firm.

            3.   At least five (5) professional client references for the principal consultant, project manager, and the firm as a whole.

            4.   A consultant list of the proposed project team, if applicable.

            5.   Any and all conflicts of interest or potential conflicts of interest shall be disclosed, including any work being done for
                 any landowner or developer in the City.

            6.   Experience in giving presentations, moderating, and facilitating public meetings.

            7.   Applicable knowledge of integrating land use planning and market analysis.

            8.   Applicable experience in planning areas with an emphasis on tourism and/or recreation.
         SELECTION PROCESS


All responses will be evaluated by a Selection Committee and those respondents determined to be most qualified for a
short list may be invited to attend an interview, at the respondent’s own expense. The City shall not incur any costs for
response preparation and/or submittal of proposal.

The Committee will evaluate all responses based on the established criteria, to include professional qualifications,
background, training, experience, and project-assigned staff qualifications, etc. The City reserves the right to negotiate
the final fee schedule, prior to recommending professional services contract for award.

EVALUATION OF RESPONSES  SELECTION CRITERIA

    1.      The Selection Committee shall evaluate and score all of the responses that are submitted. Evaluation ratings will be
            based on 100-point scale.

                             1.   Experience in preparing plans for targeted areas ................................. 25 Points
                             2.   Previous Projects..................................................................................... 15 Points
                             3.   Ability ....................................................................................................... 10 Points
                             4.   Familiarity with the City .......................................................................... 05 Points
                             5.   Project Personnel .................................................................................... 05 Points
                             6.   Information from references.................................................................. 15 Points
                             7.   Knowledge/Experience in Planning for Tourism
                                  and Recreation Venues........................................................................... 25 Points
2.   The Selection Committee will determine the most qualified Respondent(s) and may invite them for an interview with
     members of the Selection Committee.

3.   The City reserves the right to request clarification or additional information specific to any submission after all
     submissions have been received.

4.   Should an interview be requested, respondents should be prepared for 20 minutes of presentation and 15 minutes of
     questions and answers.

5.   City staff shall recommend the most qualified firm to the City Council and request authority to enter into contract
     negotiations.

6.   When services and fees are agreed upon, the selected Respondent shall be offered a professional services contract
     subject to City Council approval.

7.   Should negotiations be unsuccessful with the Respondent receiving the top score, the City shall enter into negotiations
     with the next highest ranked Respondent. The process shall continue until an agreement is reached a qualified
     Respondent.

8.   This RFQ does not commit the City to pay for any direct and/or indirect costs incurred in the preparation and
     presentation of a response. All finalist(s) shall pay their own costs incurred in preparing for, traveling to and attending
     the interviews.
DISCUSSION AND DIRECTION TO STAFF TO NEGOTIATE A CONTRACT FOR THE SUB-
DISTRICT PLANNING DOCUMENT AS OUTLINED IN CED 05-11 FOR LAKE NASWORTHY

Planning Manager AJ Fawver and Scott Polikov, AICP, CNU, and Dan Martin, Management 
Marketing Feasibility Advisor, with Gateway Planning Group, presented background information. A copy
of the presentation is part of the Permanent Supplemental Minute record.

General discussion was held on the time frame for return on investment, opportunities, gateways, insuring
plan is in line with the City’s current vision, example of current and past projects, and potential strong
development plans. Council recognized the planning document was an expensive project and would be
completed over a two year period. Discussion was held on marketing the city, implementing ways to
attract people, showcasing the local water resources by truly developing and increasing the economic
development; and investing in the process similar to the downtown area investments.

Interim City Manager Michael Dane explained the project cost was $298K and the funding source would
be allocated from the sale of lake properties. He stated the Lake Nasworthy trust fund and City are
allowed to use 90% of the investment for improvements in and around the lake. Mr. Dane informed
$840K remains in the investment income and these monies provide the least impact to the tax payers.

Council directed staff to move forward and negotiate a contract.

Public comments were made by former San Angelo resident Reed Donaldson.

Minutes Page 479
May 15, 2012 Vol. 103
City of San Angelo



Memo
 Meeting Date:        September 18, 2012

 To:                  Mayor and City Council members


 From:                AJ Fawver, Planning Manager

 Subject:             Update on Master Developer

 Contacts:            A J Fawver, Planning Manager                        657-4210

 Caption:             Discussion regarding status of PL-01-12, an RFQ seeking to retain a
                      Master Developer for the purposes of overseeing development
                      within the Downtown Development District




 Summary: At the directive of the Downtown Development Commission, and
 following the requirements of the establishing ordinance for this group, City staff put
 together a RFQ (Request for Qualifications) and worked with the Purchasing
 Director to put this RFQ out to solicit responses from a variety of firms. Now that
 the Downtown Development Commission has interviewed and scored this
 submission/firm, and made a formal recommendation to Council to select Catalyst
 Urban Development as the candidate for this project, staff will be working with the
 DDC to develop a scope of service that can then lead to negotiations with the firm.

 Background: Beginning in early 2011, discussion of the master developer
 concept began among City Council and City management. In October of 2011, an
 ordinance establishing the Downtown Development Commission (DDC) was
 approved.     Following the compilation and approval of a draft downtown
 development plan in December of 2011, the DDC then began discussion of the next
 two duties assigned to them.

 The next task was to develop a scope of service for a downtown master developer;
 following that, the assignment was to solicit proposals for the selection of a master
developer and make a recommendation to the City Council regarding the final
selection.

On January 31, 2012, the DDC instructed City staff to draft a scope of services for
publishing and solicitation of applicants. In February, the DDC reviewed the
package prepared by staff and directed staff to have the RFQ open for a period of
60 days. The following month, on April 13, the RFQ was published, with a deadline
of June 7th. The package was published on the City website as well as two other
websites which cater to planning and development consulting firms. The package
was also sent to 26 firms with experience in a master developer arrangement. The
week of June 7th, only one submission had been received, so the deadline was
extended to June 21st. At the June 26th meeting of the DDC, staff distributed the
submission packets to the Commission members. The Commission set their next
meeting date for August 28th, and asked staff to make arrangements to have the
consulting group attend for a presentation and interview.

On August 28th, a representative from Catalyst Urban Development, Gateway
Planning Group, and NE Development provided a presentation and interviewed
with the DDC members. At the close of this meeting, the DDC members prepared
score sheets and made a recommendation to be forward to the City Council that
this group be selected for the task.

At the next DDC meeting on September 25th, staff will begin discussion with the
commission members to propose and refine a final scope of services and also
begin a discussion regarding pricing of these services.

Related Vision Item:        Provide adequate amenities for all neighborhoods.
                            Attract reinvestment.
                            Develop strategic plan for recruitment.
                            Examine liquidation of underutilized City properties.

Financial Impact:           None at this time; expenditures will be part of the
                            contract process.

Recommendation:             City staff recommends approval of this request.

Attachments:                None.

Presentation:               AJ Fawver, Planning Manager

Reviewed by:                Shawn Lewis, Director of Community  Economic
                            Development ( )
City of San Angelo



Memo
 Date:           September 13, 2012
 To:             Mayor and Councilmembers
 From:           Lisa Marley, Director of Human Resources and Risk Management
 Subject:        Agenda Item for September 18, 2012 Council Meeting
 Caption:        Regular Item
                 Update on the Self-Insurance Fund and consideration of authorizing the health
                 insurance premiums for calendar year 2013.
 _________________________________________________________________________________
 Summary:             Staff will provide an update of the self-insurance fund performance during
                      calendar year 2012. Projections for 2013 indicate an increase in health
                      insurance premiums would be required. Staff is recommending the use of
                      $142,000 from the $343,288 Early Retiree Reinsurance Program (ERRP) to
                      offset the projected increases for 2013.

 History:             Indications are that the efforts of the wellness program coupled with the single
                      plan provider option with San Angelo Community Medical Center have indeed
                      delivered a savings to the self-insurance fund so far this calendar year. Per
                      the ERRP federal statute 42 U.S.C. §18002(c)(4), the use of ERRP payments
                      may be used to reduce premium costs for an employer and/or plan
                      participants.

 Financial Impact:    None, as existing ERRP funds are being recommended to offset premium
                      increases.

 Attachments:             None.

 Presented and
 Reviewed by:         Lisa Marley, Director of Human Resources and Risk Management,
                      September 13, 2012.
City of San Angelo



Memo
 Date:           September 14, 2012
 To:             Mayor and Councilmembers
 From:           Lisa Marley, Director of Human Resources and Risk Management
 Subject:        Agenda Item for September 18, 2012 Council Meeting
 Caption:        Regular Item
                 Pay  Classification Study update and discussion of methodology and approval of pay
                 increases for City employees.
 _________________________________________________________________________________
 Summary:             Staff will provide an update of the pay  classification study and will present
                      various options for Council consideration regarding pay ranges and employee
                      salaries.

 History:             During the budget presentations in 2011, City Council directed staff to update
                      the compensation plan by re-surveying the benchmark data. In June and July
                      2012, thirteen cities were invited to participate in the study. Nine cities
                      participated in the survey which reviewed the same 223 job classifications that
                      were surveyed in 2008.

 Financial Impact:    To be determined.

 Attachments:         None.

 Presented by:        Lisa Marley, Director of Human Resources  Risk Management, Michael
                      Dane, Interim City Manager and Morgan Trainer, Budget Manager.

 Reviewed by:         Lisa Marley, Director of Human Resources and Risk Management,
                      September 14, 2012.
2012 Property Tax Rates in CITY OF SAN ANGELO
This notice concerns the 2012 property tax rates for CITY OF SAN ANGELO. It presents information about
three tax rates. Last year's tax rate is the actual tax rate the taxing unit used to determine property taxes last
year. This year's effective tax rate would impose the same total taxes as last year if you compare properties
taxed in both years. This year's rollback tax rate is the highest tax rate the taxing unit can set before
taxpayers start rollback procedures. In each case these rates are found by dividing the total amount of taxes
by the tax base (the total value of taxable property) with adjustments as required by state law. The rates are
given per $100 of property value.

Last year's tax rate:
   Last year's operating taxes                                           $24,453,012
   Last year's debt taxes                                                $2,770,880
   Last year's total taxes                                               $27,223,892
   Last year's tax base                                                  $3,463,599,491
   Last year's total tax rate                                            $0.78600/$100
This year's effective tax rate:
   Last year's adjusted taxes                                            $26,913,399
  (after subtracting taxes on lost property)
  ÷ This year's adjusted tax base                                        $3,173,450,000
  (after subtracting value of new property)
  =This year's effective tax rate                                        $0.84808/$100
(Maximum rate unless unit publishes notices and holds hearings.)
This year's rollback tax rate:
    Last year's adjusted operating taxes                                 $24,150,075
   (after subtracting taxes on lost property and adjusting for any
transferred function, tax increment financing, state criminal justice
mandate, and/or enhanced indigent healthcare expenditures)
  ÷ This year's adjusted tax base                                        $3,173,450,000
  =This year's effective operating rate                                  $0.76100/$100
   x 1.08=this year's maximum operating rate                             $0.82188/$100
   + This year's debt rate                                               $0.08510/$100
   = This year's total rollback rate                                    $0.90698/$100
                                     Statement of Increase/Decrease
 If CITY OF SAN ANGELO adopts a 2012 tax rate equal to the effective tax rate of $0.84808 per $100 of
                      value, taxes would increase compared to 2011 taxes by $63,632.
                                Schedule A - Unencumbered Fund Balance
The following estimated balances will be left in the unit's property tax accounts at the end of the fiscal year.
These balances are not encumbered by a corresponding debt obligation.
Type of Property Tax Fund                                    Balance
Maintenance  Operating                                      5,319,249
Interest  Sinking                                           192,748
                                      Schedule B - 2012 Debt Service
The unit plans to pay the following amounts for long-term debts that are secured by property taxes. These
amounts will be paid from property tax revenues (or additional sales tax revenues, if applicable).
                            Principal or Contract Interest to be
                                                                         Other Amounts
Description of Debt         Payment to be Paid       Paid from                              Total Payment
                                                                         to be Paid
                            from Property Taxes Property Taxes
2005 Tax/Rev C.O.            1,100,000                 460,787              0                  1,560,787
(19,750,000 Sales Tax
2006 Tax/Rev C.O,            290,000                   52,837               0                  342,837
(2,500,000) Landfill
2007 Tax/Rev C.O,            1,385,000                 34,625               0                  1,419,625
(6,970,000)
2008 Tax/Rev C.O.            100,000                   444,825              0                  544,825
(10,15,000) Sales Tax
2009 Tax/Rev C.O,            95,000                    631,063              0                  726,063
(14,600,000)
2009 Tax/Rev G.O.            860,000                   60,200               0                  920,200
Refunding (4,605,000)
2011 Rev/Rev C.O.            155,000                   587,575              0                  742,575
(13,780,000)


  Total required for 2012 debt service                                                $6,256,912
- Amount (if any) paid from Schedule A                                                         $0
- Amount (if any) paid from other resources                                           $3,540,528
- Excess collections last year                                                           $32,890
= Total to be paid from taxes in 2012                                                 $2,683,494
+ Amount added in anticipation that the unit will
                                                                                         $54,765
collect only 98.00% of its taxes in 2012
= Total debt levy                                                                     $2,738,259

This notice contains a summary of actual effective and rollback tax rates' calculations. You can inspect a
copy of the full calculations at 2302 Pulliam St, San Angelo, TX 76905.
      Name of person preparing this notice: Jan Bruce
      Title: Appraiser, Tom Green County Appraisal District
      Date Prepared: 07/31/2012
City of San Angelo
                                                                Finance Department




Memo
 Date:           August 15, 2012
 To:             Mayor and Councilmembers
 From:           Laura Brooks, Budget Analyst, Sr.
 Subject:        Agenda Item for September 4, 2012 Council Meeting
 Contact:        Morgan Trainer, Budget Manager, 653-6291
 Caption:        Regular Item
                 FIRST PUBLIC HEARING AND INTRODUCTION OF AN ORDINANCE
                 LEVYING PROPERTY TAXES FOR THE CITY OF SAN ANGELO FOR THE
                 2012 TAX YEAR:
                 AN ORDINANCE LEVYING TAXES AND PROVIDING FOR THE
                 ASSESSMENT AND COLLECTION THEREOF AND PROVIDING FOR
                 EXEMPTIONS, IN AND FOR THE CITY OF SAN ANGELO, TEXAS, FOR
                 THE 2012-2013 BUDGET YEAR


 Summary:        The proposed property tax rate will decrease from the prior year’s tax
 rate. The projected tax revenue will be more than the revenue received in the prior year
 by $976,900. Upon each one hundred dollar ($100) valuation of property subject to
 taxation in the City of San Angelo for the 2012-2013 fiscal year, the property tax will be
 applied as follows:

         (a)      To pay annual interest and maturities and create a sinking fund
                  to discharge outstanding bonded indebtedness of the City of
                  San Angelo                                                         $0.08000
         (b)      For the purposes of maintenance and operations in the
                  General Fund                                                       $0.70100
         The total tax rate for the aforementioned purposes is:                      $0.78100

 History: On August 7, 2012, City Council took a Record Vote to propose a tax levy of $0.7860/$100
 valuation of property.

 Financial Impact:     The tax rate as proposed above will generate the following revenues:
                 Interest  Sink portion:                   $ 2,892,555
                 Maintenance  Operations portion:          $25,346,010
                 Total:                                     $28,238,565

 Related Vision Item (if applicable): Financial Vision.




 l Page 1
Other Information/Recommendation: Staff recommends introduction of the ordinance.

Attachments: Tax Levy Ordinance

Presentation: No

Publication:   August 3, 2012 – Notice of Effective Tax Rate

Reviewed by Service Area Director:      Michael Dane, Finance




l Page 2
AN ORDINANCE FIXING AND LEVYING AD
               VALOREM TAXES FOR THE USE AND SUPPORT OF
               THE MUNICIPAL GOVERNMENT OF THE CITY OF
               SAN ANGELO, TEXAS, FOR THE 2012-2013 BUDGET
               YEAR; PROVIDING FOR THE ASSESSMENT AND
               COLLECTION THEREOF; PROVIDING WHEN THE
               TAX SHALL BECOME DUE; PROVIDING WHEN THE
               TAX SHALL BECOME DELINQUENT; PROVIDING
               FOR     EXEMPTIONS;      PROVIDING      FOR
               SEVERABILITY; PROVIDING FOR PUBLICATION;
               AND, PROVIDING FOR AN EFFECTIVE DATE.


        WHEREAS, the City Charter for the City of San Angelo provides that the City
Council at its first meeting in September of each year, or as soon thereafter as practicable,
shall levy the annual tax for such year; and,

      WHEREAS, Section 26.05 of the Texas Tax Code requires that the City of San
Angelo, Texas, adopt a tax rate for the next fiscal year by September 30, 2012; and,

       WHEREAS, the City Council finds that all public notices have been given and
published as required by law for fixing and levying the ad valorem taxes; and,

       WHEREAS, the City Council further finds that the taxes for the fiscal year
beginning October 1, 2012, and ending September 30, 2013, hereinafter levied therefore
are necessary to pay interest and maturities and create a sinking fund to discharge
outstanding bonded indebtedness of the City; and,

       WHEREAS, the City Council further finds that the tax for the fiscal year
beginning October 1, 2012, and ending September 30, 2013, hereinafter levied for
purposes of maintenance and operations must be levied to provide for the revenue
requirements of the budget for the ensuing fiscal year:

      NOW THEREFORE, BE IT ORDAINED BY THE CITY COUNCIL OF THE
CITY OF SAN ANGELO, TEXAS THAT:

Section One: The following taxes be and are hereby levied for the fiscal year 2012-2013,
upon each One Hundred Dollar ($100) valuation of property subject to taxation in the
City of San Angelo for said year:

       To pay annual interest and maturities
       and create a sinking fund to discharge outstanding
       bonded indebtedness of the City of San Angelo                 $0.080

       For the purposes of maintenance and operations in the
       General Fund                                                  $0.701

   The total tax rate for the aforementioned purposes is:            $0.781
Section Two: The taxes levied herein shall be assessed and proper record made thereof,
as required by law by the officers performing the duties of assessor and collector of taxes
for the City of San Angelo and their successors in office and said officers shall collect
such taxes and remit the same required by law and this ordinance.

Section Three: All taxes levied and due under this ordinance, plus penalties and interest
thereon, shall become a lien upon the property against which the tax is assessed, as
provided by City Charter and State law, and the officers performing the duties of assessor
and collector of taxes for the City of San Angelo and their successors in office, or their
designee, are hereby authorized and empowered to enforce the collection of such taxes,
penalties and interest according to the Constitution and laws of the State of Texas and the
Charter and Ordinances of the City of San Angelo. Penalties and interest collected shall
be paid to and credited to the General Fund of the City of San Angelo.

Section Four: Taxes levied under this ordinance shall be due on October 1, 2012, and if
not paid as provided by law, shall immediately become delinquent on February 1, 2013.

Section Five: The City hereby affirms the adoption of the following exemptions from
taxation of real property:

       An individual may claim an exemption from taxation equal to twenty
       percent (20%) of the appraised value of his/her residence homestead, but
       not less than five thousand dollars ($5,000) or the value of the homestead
       if said value is less than $5,000.

Section Six: Should any part, portion, or section of this ordinance be declared invalid,
inoperative, or void for any reason by a court of competent jurisdiction, such decision,
opinion or judgment shall in no way affect the remaining parts, portions or sections of
this ordinance, which provisions shall be, remain and continue in full force and effect.

Section Seven: The City Manager or his designee shall cause a copy of this Ordinance,
in its entirety, as passed, to be published on the web site operated by the City of San
Angelo

Section Eight: This ordinance shall become effective on the date Approved and Adopted.




                                    Signature page to follow.
INTRODUCED on the 21st day of August, 2012, and APPROVED and
ADOPTED on this the 4th day of September, 2012.


         YES             NO          CITY OF SAN ANGELO, TEXAS


                                     Alvin New, Mayor



                                     Paul Alexander, SMD #1



                                     Dwain Morrison, SMD #2



                                     Johnny Silvas, SMD #3



                                     Fredd B. Adams II, SMD #4



                                     Kendall Hirschfeld, SMD #5



                                     Charlotte Farmer, SMD #6

ATTEST:



Alicia Ramirez, City Clerk


Approved as to Content               Approved as to Form



Michael T. Dane, Finance Director    Lysia H. Bowling, City Attorney
City of San Angelo



Memo
 Date:                 September 13, 2012

 To:                   Mayor and Councilmembers

 From:                 Laura Brooks, Budget Analyst, Sr

 Subject:              Agenda Item for September 18, 2012 Meeting

 Contact:              Morgan Trainer, 653-6291

 Caption:              Regular Item

                       First Public Hearing and consideration of introduction of Ordinances amending
                       Appendix A “Fee Schedule” related to the FY 2012-2013 Budget regarding:
                       Planning Related Fees; Restaurant Permit Fees; Office of the City Attorney’s
                       Fees; Administrative Abatement Service Fees; Taxicab Permit Fees; Alarm Fees


 Summary:              First Public Hearing and introduction of ordinances amending Appendix A “Fee
                       Schedule” User Fees to execute Council direction from the FY2012-2013 Budget
                       discussions.

 History:              Staff has discussed with Council during June, July, and August 2012, the increase
                       of user fees in order to more closely cover the costs of services provided.

 Financial Impact:     Increased Revenue of $248,485

 Related Vision Item   Financial Vision
 (if applicable):

 Other Information/    Staff recommends approval as presented.
 Recommendation:

 Attachments:          Planning Fee  ROW Ordinance; Restaurant Permit Fee Ordinance; Office of the
                       City Attorney Fees Ordinance; Administrative Abatement Services Fees
                       Ordinance; Taxicab Permit Fees Ordinance; and Alarm Fees Ordinance
 Presentation:         PowerPoint

 Publication:          None

 Reviewed by           Michael Dane, Finance
 Director:

 Approved by Legal:    All Ordinances reviewed and approved by Legal Department.
AN ORDINANCE AMENDING APPENDIX A, “FEE SCHEDULE”,
       ARTICLE 4.000 “FEES FOR THE ABATEMENT OF JUNK AND THE
       IMPOUNDMENT AND SALE OF PROPERTY”, OF THE CODE OF
       ORDINANCES, CITY OF SAN ANGELO, TEXAS, BY ADDING A NEW
       SECTION 4.300 “JUNK, TRASH, WEEDS AND UNSANITARY
       CONDITIONS ADMINISTRATIVE ABATEMENT SERVICE FEE” TO
       PROVIDE FOR AN ADMINISTRATIVE ABATEMENT SERVICE FEE
       FOR THE ABATEMENT BY THE CITY OF UNSANITARY
       CONDITIONS; PROVIDING FOR SEVERABILITY; AND PROVIDING
       AN EFFECTIVE DATE

        WHEREAS, the City Council for the City of San Angelo has directed that the
implementation of user fees be examined, including user fees relating to the administrative cost
to the City of abating junk, trash, weeds and unsanitary conditions; and,

        WHEREAS, the City Council for the City of San Angelo has examined the administrative
user fee for the abatement of junk, trash, weeds and unsanitary conditions as proposed by City
staff, and finds that the fee appropriately reflects actual costs to the City for the respective
service;

NOW THEREFORE BE IT ORDAINED BY THE CITY OF SAN ANGELO:

Section 1)    THAT Appendix “A”, “Fee Schedule”, Article 4.000 “Fees for the Abatement of
              Junk and the Impoundment and Sale of Property”, of the Code of Ordinances of
              the City of San Angelo, Texas, is amended by adding a new Section 4.300 “Junk,
              Trash, Weeds and Unsanitary Conditions Administrative Abatement Service Fee”
              to read as follows:

              “Section 4.300     Junk, Trash, Weeds and Unsanitary Conditions
                                 Administrative Abatement Service Fee

                      A Junk, Trash, Weeds and Unsanitary Conditions Administrative
                      Abatement Service Fee of one hundred dollars ($100.00) shall be
                      charged and assessed for the abatement of conditions prohibited
                      under Chapter 7, Article 7.300 “Garbage, Weeds, Junk and
                      Unsanitary Conditions” of this Code of Ordinances.

Section 3)    THAT the terms and provisions of this Ordinance shall be deemed to be severable
              in that, if any provision of this Ordinance shall be declared to be invalid, the same
              shall not affect the validity of the other provisions of this Ordinance.
Section 4)   THAT this Ordinance shall be effective from and after October 1, 2012.


INTRODUCED on the           day of                                     , 2012, and finally

PASSED, APPROVED and ADOPTED on this the                 day of                       , 2012.



                                                 CITY OF SAN ANGELO


                                                 ____________________________________
                                                 Alvin New, Mayor

ATTEST:


_________________________________
Alicia Ramirez, City Clerk




APPROVED AS TO CONTENT:                          APPROVED AS TO FORM:


___________________________                      ___________________________
James Flores, Code Compliance                    Lysia H. Bowling, City Attorney
AN ORDINANCE AMENDING APPENDIX A, “FEE SCHEDULE”,
       ARTICLE 3.000 “BUSINESS RELATED FEES”, OF THE CODE OF
       ORDINANCES, CITY OF SAN ANGELO, TEXAS, SECTION 3.300
       “TAXICAB PERMIT FEE”, SUBPARAGRAPH (a), BY RESTATING SAID
       SUBPARAGRAPH (a) TO PROVIDE FOR THE ADJUSTMENT OF
       TAXICAB PERMIT FEES; PROVIDING FOR SEVERABILITY; AND
       PROVIDING AN EFFECTIVE DATE



        WHEREAS, the City Council for the City of San Angelo has directed the examination of
user fees, including the cost of processing applications for taxicab permit fees, and determined
that the permit fees do not reflect the actual costs of processing applications for taxicab permits;
and,

        WHEREAS, the City Council for the City of San Angelo has examined the revised
taxicab permit fees proposed by City staff, and finds them to more appropriately reflect actual
costs to the City for processing those applications;

NOW THEREFORE BE IT ORDAINED BY THE CITY OF SAN ANGELO:

Section 1)     THAT Appendix “A”, “Fee Schedule”, Article 3.000 “Business Related Fees”,
               Section 3.300 “Taxicab Permit Fees”, subparagraph (a), of the Code of
               Ordinances of the City of San Angelo, Texas, is hereby restated to read as
               follows:

       “(a)    A holder of an annual permit shall pay the City a nonrefundable permit fee of five
               hundred dollars ($500.00) a year for each vehicle authorized by the permit,
               provided however; if the vehicle used for the transportation of persons is drawn
               by animals, the holder shall pay the City a nonrefundable permit fee of fifty
               dollars ($50.00) a year for each vehicle authorized by the permit. The permit fee
               is payable at the time the annual permit is issued or renewed. Where a holder
               wishes to add vehicles to his fleet, the holder shall pay the City five hundred
               dollars ($500.00) for each additional vehicle or fifty dollars ($50.00) for each
               additional animal drawn vehicle, provided, however, said fee shall be prorated if
               such additions are made after the annual permit fee is due.”

Section 3)     THAT the terms and provisions of this Ordinance shall be deemed to be severable
               in that, if any provision of this Ordinance shall be declared to be invalid, the same
               shall not affect the validity of the other provisions of this Ordinance.
Section 4)   THAT this Ordinance shall be effective from and after October 1, 2012.


INTRODUCED on the           day of                                     , 2012, and finally

PASSED, APPROVED and ADOPTED on this the                 day of                       , 2012.



                                                 CITY OF SAN ANGELO



                                                 ____________________________________
                                                 Alvin New, Mayor

ATTEST:


_________________________________
Alicia Ramirez, City Clerk



APPROVED AS TO CONTENT:                          APPROVED AS TO FORM:


___________________________                      ___________________________
James Flores                                     Lysia Bowling
Code Compliance Manager                          City Attorney
AN ORDINANCE AMENDING CHAPTER 7 “HEALTH 
       SANITATION”, ARTICLE      7.200  “REGULATION OF FOOD
       ESTABLISHMENTS”, SECTION 7.201 “DEFINITIONS” OF THE CODE
       OF ORDINANCES OF THE CITY OF SAN ANGELO, TEXAS, BY
       ADDING A DEFINITION FOR “SEASONAL”; AMENDING APPENDIX
       A, “FEE SCHEDULE”, ARTICLE 13.000 “HEALTH AND SANITATION
       RELATED FEES”, OF THE CODE OF ORDINANCES, CITY OF SAN
       ANGELO, TEXAS, SECTION 13.001 “RESTAURANT PERMIT FEES” BY
       RESTATING SAID SECTION TO PROVIDE FOR THE ADJUSTMENT
       OF RESTAURANT PERMIT FEES AND LATE FEE; PROVIDING FOR
       SEVERABILITY; AND PROVIDING AN EFFECTIVE DATE

        WHEREAS, the City Council for the City of San Angelo has directed the examination of
the cost of conducting each type of application for restaurant permit fees, and determined that the
restaurant establishment permit fees and late fee do not reflect the actual costs of processing
applications; and,

        WHEREAS, the City Council for the City of San Angelo has examined the revised
restaurant establishment permit fees and late fee as proposed by City staff, and finds them to
more appropriately reflect actual costs incurred by the City for the respective services;

NOW THEREFORE BE IT ORDAINED BY THE CITY OF SAN ANGELO:

Section 1)     THAT Chapter 7 “Health  Sanitation”, Article 7.200 “Regulation of Food
               Establishments”, Section 7.201 “Definitions” is amended by adding the
               following:

                      “The word ‘seasonal’ means more than fourteen (14) consecutive days up
                      to but not exceeding six (6) consecutive months.”

Section 2)     THAT Appendix “A”, “Fee Schedule”, Article 13.000 “Health and Sanitation
               Related Fees”, Section 13.001 “Restaurant Permit Fees”, of the Code of
               Ordinances of the City of San Angelo, Texas, is hereby restated to read as
               follows:

“Section 13.001         Restaurant Permit Fee

               The following permit fees and late fee shall be applicable for profit and non-profit
               food establishment permits:

                      (a)     Food establishment:

                              1. Annual Permit Fee:                                 $150.00
2. Seasonal Permit Fee:                               $100.00

                    (b)     Additional Annual Service Area
                            Food Establishment Permit Fee:                        $ 35.00
                    (c)     Three (3) Day Temporary Food
                            Establishment Permit Fee:                             $ 50.00
                    (d)     Fourteen (14) Day Temporary Food
                            Establishment Permit Fee:                             $ 70.00
                    (e)     Late Fee (per month):                                 $ 50.00”

Section 3)   THAT the terms and provisions of this Ordinance shall be deemed to be severable
             in that, if any provision of this Ordinance shall be declared to be invalid, the same
             shall not affect the validity of the other provisions of this Ordinance.

Section 4)   THAT this Ordinance shall be effective from and after October 1, 2012.


INTRODUCED on the            day of                                        , 2012, and finally

PASSED, APPROVED and ADOPTED on this the                    day of                        , 2012.



                                                   CITY OF SAN ANGELO



                                                   ____________________________________
                                                   Alvin New, Mayor
ATTEST:


_________________________________
Alicia Ramirez, City Clerk



APPROVED AS TO CONTENT:                            APPROVED AS TO FORM:


___________________________                        ___________________________
Sandra Villarreal                                  Lysia Bowling
Health Services Manager                            City Attorney
AN ORDINANCE AMENDING APPENDIX A, ENTITLED “FEE
       SCHEDULE,” OF THE CODE OF ORDINANCES OF THE CITY OF SAN
       ANGELO, TEXAS BY ADDING A NEW ARTICLE 15.000
       ESTABLISHING A FEE SCHEDULE OF ADMINISTRATIVE FEES TO
       BE CHARGED BY THE OFFICE OF THE CITY ATTORNEY FOR
       ADMINISTRATIVE EXPENSES AND COSTS INCURRED IN
       ENGAGING IN THE COLLECTION OF MONIES OWED THE CITY OF
       SAN ANGELO, TEXAS, PROVIDING FOR SEVERABILITY; AND
       PROVIDING FOR AN EFFECTIVE DATE

       WHEREAS, pursuant to Article 2.400 of the City Code of Ordinances, the City Attorney
renders legal services on behalf of the City, including pursuing legal remedies to collect monies
owed to the City; and

        WHEREAS, the City Attorney’s Office has determined that certain administrative
expenses and costs directly related to collection activities are required to be assessed and
collected as part of the cost of collecting monies owed to the City; and

      WHEREAS, the City Attorney’s Office has set out a schedule of administrative costs and
expenses related to the collection activities; and

       WHEREAS, City Council determines that it is in the best interest of the City for this
scheduled of fees be adopted; and

       NOW THEREFORE, BE IT ORDAINED BY THE CITY OF SAN ANGELO, TEXAS:

Section 1.         THAT, Appendix A “Fee Schedule” of the Code of Ordinances of the City of San
                   Angelo be amended by adding the following Article 15.000 “Office of the City
                   Attorney Fees” to read as follows:

       “Article 15.000 Office of the City Attorney Fees

       Sec. 15.001       Administrative and Lien Filing and Release Fees:

              The following fees shall be charged and collected for the described services of the
       City Attorney’s Office:

             (a)      Administrative Collection Fee applicable to each collection
                      matter referred to the City Attorney’s Office for collection,
                      due when collection action is taken:                            $100.00

             (b)      Administrative fee for lien filing and release of lien due
                      upon filing of lien:                                            $100.00

             (c)      Duplicate Lien Release Fee due upon delivery of
                      duplicate release:                                              $10.00”
Section 2.    THAT the terms and provisions of this Ordinance shall be deemed to be severable
              in that, if any portion of this Ordinance shall be declared to be invalid, the same
              shall not affect the validity of the other provisions of this Ordinance
   .
Section 3.    THAT, this Ordinance shall be effective from and after the date of its adoption.


       INTRODUCED on the ___ day of September, 2012, and finally PASSED, APPROVED

AND ADOPTED on this the ___ day of October, 2012.



                                                   THE CITY OF SAN ANGELO




                                                   Alvin New, Mayor


ATTEST:



Alicia Ramirez, City Clerk



APPROVED AS TO CONTENT AND FORM



Lysia H. Bowling, City Attorney
AN ORDINANCE AMENDING APPENDIX A, “FEE SCHEDULE”, ARTICLE
        8.000 “UTILITY RELATED FEES”, OF THE CODE OF ORDINANCES, CITY OF
        SAN ANGELO, TEXAS, AMENDING SECTION 8.1500 “CHARGE FOR
        COLLECTION OF GARBAGE AND TRASH”, BY RESTATING SUBPART (a)
        RESIDENTIAL SERVICES”, (1) “RESIDENCE SERVICE CHARGES”,
        ADJUSTING RESIDENCE SERVICE CHARGES; AMENDING SECTION 8.1500
        “CHARGE FOR COLLECTION OF GARBAGE AND TRASH”, BY RESTATING
        SUBPART (b) “COMMERCIAL SERVICE”, (2) “COMMERCIAL SERVICE
        CHARGES”, ADJUSTING COMMERCIAL SERVICE CHARGES; AMENDING
        SECTION 8.1700 “LANDFILL CHARGES”, BY RESTATING SUBPARTS (a), (f)
        AND (g), ADJUSTING LANDFILL CHARGES FOR LICENSED COLLECTORS,
        CITY RESIDENTS, NON-RESIDENTS, AND FOR GARBAGE DUMPED BY OR
        FOR     CERTAIN    GOVERNMENT       ENTITIES;  PROVIDING    FOR
        SEVERABILITY; AND PROVIDING AN EFFECTIVE DATE

       WHEREAS, the City Council has reviewed the projected revenues and expenses of the
municipal landfill during the budget process; and,

       WHEREAS, operation of the landfill has required certain capital improvements related to the
development of additional cells and development of facilities required for gas disposal; and,

       WHEREAS, operation of the municipal landfill requires that provision be made to fund
ongoing operation and expansion of the landfill as required, including maintenance of debt service;
and,

        WHEREAS, the City Council for the City of San Angelo has examined the cost of residential
and commercial garbage collection, and determined that the established fees do not reflect the actual
costs for the services; and,

        WHEREAS, the City Council for the City of San Angelo has examined the revised fees for
residential and commercial service charges, and landfill charges, for the municipal landfill as proposed
by City staff, and finds them to appropriately reflect actual costs incurred by the City for the respective
services;

        NOW THEREFORE BE IT ORDAINED BY THE CITY OF SAN ANGELO:

Section 1) THAT Appendix “A”, “Fee Schedule”, Article 8 “Utility Related Fees”, Section 8.1500
           “Charge for Collection of Garbage and Trash”, of the Code of Ordinances of the City of
           San Angelo, Texas, is hereby amended by restating subpart (a) “Residential Services”, (1)
           “Residence Service Charges” to read as follows:


            “(1) Residence Service Charges: The residences of the city and small professional
            and business firms who receive twice a week regular service have been divided into
            fair and reasonable types according to their structure and uses, for the purposes of
            collection of garbage and trash. Fair and reasonable charges for service where pick-
            ups are made from alleys or from front or side line street curbs shall be and are herein
shown in terms of dollars and cents opposite each type, along with the other charges
        that are more fully explained in subsection (a)(2) below, for a calendar month as

                                                  November 1, 2012   October 1, 2013
                                                     Rates               Rates

     (A)     One-family residence                     $8.80              $9.01
             Inspection charge                        $0.10              $0.10
             City landfill charge                     $0.20              $0.20
             State landfill charge                    $0.50              $0.50
                                     Total:           $9.60              $9.81

     (B)     Apartment house                          $8.80              $9.01
             (where large containers
             are not used) per unit
             Inspection charge                        $0.10              $0.10
             City landfill charge                     $0.20              $0.20
              State landfill charge                   $0.50              $0.50
                                    Total:            $9.60              $9.81

     (C)     Small business, using                  $17.40              $17.82
             residential-type service
             Inspection charge                       $0.20               $0.20
             City landfill charge                    $0.40               $0.40
             State landfill charge                   $1.00               $1.00
                                    Total:          $19.00              $19.42

     (D)     Two-family duplex residence            $17.40              $17.82
             Inspection charge (per duplex)          $0.20               $0.20
             City landfill charge (per duplex)       $0.40               $0.40
             State landfill charge (per duplex)      $1.00               $1.00
                                    Total:          $19.00              $19.42

      (E)    One-family residence for those
             residents receiving “supplemental security
             income” payments from the
             Social Security Administration”        $5.71                $5.85

Section 2) THAT Appendix “A”, “Fee Schedule”, Article 8.000 “Utility Related Fees”, Section
           8.1500 “Charge for Collection of Garbage and Trash”, of the Code of Ordinances of
           the City of San Angelo, Texas, is hereby amended by restating subpart (b)
           “Commercial Service”, (2) “Commercial Service Charges” to read as follows:
“(2)    Commercial Service Charges. Rates for commercial service shall be as set forth in the
           following tables:

                       2012 Commercial Rates Effective November 1, 2012

       COMMERCIAL HANDLOAD

       SIZE DIMEN        NO. DAYS RATE             FUEL          FRANCHISE
                         PER WEEK                 SURCHG           FEE

                              2           19.45   No Change            4%

       STEEL BINS

       SIZE DIMEN        NO. DAYS RATE             FUEL          FRANCHISE        EXTRA
                         PER WEEK                 SURCHG           FEE             PU

       2 YD 6x3x3             1           41.18   No Change            4%         20.60
       2 YD                   2           67.78                                   20.60
       2 YD                   3           86.08                                   20.60
       2 YD                   4          105.54                                   20.60
       2 YD                   5          122.40                                   20.60
       2 YD                   6          142.71                                   20.60
       4 YD 6x4x41/2          1           66.06                                   33.04
       4 YD                   2          101.24                                   33.04
       4 YD                   3          138.42                                   33.04
       4 YD                   4          177.88                                   33.04
       4 YD                   5          213.36                                   33.04
       4 YD                   6          242.24                                   33.04
       8 YD 6x6x6             1           98.95                                   49.48
       8 YD                   2          177.88                                   49.48
       8 YD                   3          242.24                                   49.48
       8 YD                   4          321.74                                   49.48
       8 YD                   5          393.54                                   49.48
       8 YD                   6          469.61                                   49.48


       CONSTRUCTION BOXES

       SIZE DIMEN        NO. DAYS RATE            FUEL           FRANCHISE        EXTRA
                         PER WEEK                 SURCHG           FEE             PU

       2 YD 6x3x3             1           54.91   No Change            4%         27.46
       2 YD                   2           90.96                                   27.46
       2 YD                   3          115.54                                   27.46
       2 YD                   4          141.85                                   27.46
       2 YD                   5          164.74                                   27.46
2 YD                  6         192.19                             27.46
4 YD 6x4x41/2         1          88.67                             44.34
4 YD                  2         136.13                             44.34
4 YD                  3         186.47                             44.34
4 YD                  4         239.68                             44.34
4 YD                  5         287.44                             44.34
4 YD                  6         335.20                             44.34
8 YD 6x6x6            1         132.99                             66.50
8 YD                  2         239.68                             66.50
8 YD                  3         326.62                             66.50
8 YD                  4         433.86                             66.50
8 YD                  5         530.82                             66.50
8 YD                  6         633.49                             66.50


INDUSTRIAL ROLL OFF

SIZE DIMEN        RATE PER      RATE      FUEL         FRANCHISE
                  DAY                    SURCHG           FEE

20 YD 4'6x8x22      3.38        101.51                      4%
30 YD 5'9x8x22      3.38        101.51
40 YD 5'9x8x22      4.15        124.49


HAUL FEE

PER                FUEL         FRANCHISE
LOAD              SURCHG          FEE

 88.44            No Change        4%
107.50
132.75



                 2013 Commercial Rates Effective October 1, 2013

COMMERCIAL HANDLOAD

SIZE     DIMEN    NO. DAYS RATE           FUEL         FRANCHISE
                  PER WEEK               SURCHG           FEE

                      2          20.09   No Change          4%


STEEL BINS
SIZE   DIMEN      NO. DAYS RATE      FUEL       FRANCHISE   EXTRA
                  PER WEEK          SURCHG        FEE        PU

2 YD   6x3x3        1       42.54   No Change      4%       22.43
2 YD                2       70.01                           22.43
2 YD                3       88.91                           22.43
2 YD                4      109.01                           22.43
2 YD                5      126.43                           22.43
2 YD                6      147.41                           22.43
4 YD   6x4x41/2     1       68.24                           35.97
4 YD                2      104.57                           35.97
4 YD                3      142.98                           35.97
4 YD                4      183.74                           35.97
4 YD                5      220.38                           35.97
4 YD                6      250.21                           35.97
8 YD   6x6x6        1      102.20                           53.88
8 YD                2      183.74                           53.88
8 YD                3      250.21                           53.88
8 YD                4      332.32                           53.88
8 YD                5      406.49                           53.88
8 YD                6      485.06                           53.88


CONSTRUCTION BOXES

SIZE   DIMEN      NO. DAYS RATE      FUEL       FRANCHISE   EXTRA
                  PER WEEK          SURCHG        FEE        PU

2 YD   6x3x3        1       56.72   No Change      4%       29.90
2 YD                2       93.95                           29.90
2 YD                3      119.34                           29.90
2 YD                4      146.52                           29.90
2 YD                5      170.16                           29.90
2 YD                6      198.51                           29.90
4 YD   6x4x41/2     1       91.59                           48.28
4 YD                2      140.61                           48.28
4 YD                3      192.61                           48.28
4 YD                4      247.56                           48.28
4 YD                5      296.89                           48.28
4 YD                6      346.22                           48.28
8 YD   6x6x6        1      137.36                           72.41
8 YD                2      247.56                           72.41
8 YD                3      337.36                           72.41
8 YD                4      448.14                           72.41
8 YD                5      548.28                           72.41
8 YD                6      654.33                           72.41
INDUSTRIAL ROLL OFF

       SIZE      DIMEN       RATE PER RATE              FUEL            FRANCHISE
                             DAY                       SURCHG              FEE

       20 YD     4'6x8x22    3.40            101.99                           4%
       30 YD     5'9x8x22    3.40            101.99
       40 YD     5'9x8x22    4.17            125.09


       HAUL FEE

       PER                    FUEL          FRANCHISE
       LOAD                  SURCHG           FEE

         88.86               No Change          4%
        108.02
        133.38



Section 3)     THAT Appendix “A”, “Fee Schedule”, Article 8.000 “Utility Related Fees”, Section
               8.1700 “Landfill Charges”, of the Code of Ordinances of the City of San Angelo,
               Texas, is hereby amended by restating subparts (a), (f) and (g) to read as follows:


        “(a) Each person or licensed collector who desires to dispose of waste, garbage,
        trash and refuse at any city landfill or dump shall pay the following charges for the
        privilege of using such areas:

                                    NOVEMBER 1, 2012 RATES

                                                      City Residents          Non-Residents

       (1)     Flat Rate for Municipal                 $27.40 per ton          $29.40 per ton

               Solid Waste                                (minimum)                (minimum)

       (2)     Car, Pickup and/or Trailer
               Load, hauled by homeowner
               from residence, which contains
               brush, rubbish, garbage                $12.41 per load         $29.40 per load

       (3)     Car, Pickup and/or Trailer Load,
               from business or institution or
               residence where it is hauled by
               a person other than the homeowner
               for a fee ton                           $27.40 per ton          $29.40 per ton
(4)    Car, Pickup and/or Trailer Load,
       from business or institution or
       residence where it is hauled by
       a person other than the homeowner
       for a fee                            $27.40 per ton    $29.40 per ton

(5)    Animal Waste                              $3.90 per         $5.85 per
                                                cubic yard        cubic yard

(6)    Asbestos (non-friable)                  $26.00 per        $39.00 per
                                               cubic yard        cubic yard

(7)    Biomedical (“red bag”) Wastes           $39.00 per        $58.50 per
                                               cubic yard        cubic yard

(8)    Tires:
       Car, Motorcycle                         $3.25 each        $4.88 each
       Truck                                   $6.50 each        $9.75 each
       Off Road                               $18.20 each       $27.30 each


(9)    Class II Waste                           $15.60 per        $24.05 per
                                                cubic yard        cubic yard
                                               Plus $65.00       Plus $65.00
                                                  per hour          per hour
                                           processing time   processing time


(10)   Appliances, Furniture and            $5.20 per item    $7.80 per item
       other Bulky Items


                           OCTOBER 1, 2013 RATES

                                            City Residents   Non-Residents

(1)    Flat Rate for Municipal              $29.40 per ton    $31.40 per ton

       Solid Waste                             (minimum)         (minimum)

(2)    Car, Pickup and/or Trailer
       Load, hauled by homeowner
       from residence, which contains
       brush, rubbish, garbage             $13.32 per load   $31.55 per load

(3)    Car, Pickup and/or Trailer Load,
       from business or institution or
residence where it is hauled
        by a person other than the homeowner
        for a fee                            $29.40 per ton                 $31.40 per ton

(4)     Car, Pickup and/or Trailer Load,
        from business or institution or residence
        where it is hauled by a person other
        than the homeowner for a fee              $29.40 per ton            $31.40 per ton

(5)     Animal Waste                                    $4.18 per                $6.28 per
                                                       cubic yard               cubic yard

(6)     Asbestos (non-friable)                         $27.90 per               $41.85 per
                                                       cubic yard               cubic yard

(7)     Biomedical (“red bag”) Wastes                  $41.85 per               $62.77 per
                                                       cubic yard               cubic yard

(8)     Tires:
        Car, Motorcycle                               $3.49 each               $5.24 each
        Truck                                         $6.97 each              $10.46 each
        Off Road                                     $19.53 each              $29.29 each

(9)     Class II Waste                                $16.74 per               $25.81 per
                                                      cubic yard               cubic yard
                                                     Plus $65.00              Plus $65.00
                                                        per hour                 per hour
                                                 processing time          processing time

(10)    Appliances, Furniture and                  $5.78 per item           $8.37 per item
        other Bulky Items

(11) Each vehicle entering the landfill with an unsecured load or loose load not covered by
a tarp will be charged an additional $5.00 per load. Said fee will be reimbursed to the City of
San Angelo.

(12) For the period of April 1, 2003 through March 31, 2005, the disposal fee for hauled
liquid waste from septic tanks, grease traps, grit traps, sand traps, etc. shall be $0.18 per gallon
for waste deposited by or for city residents and $0.21 per gallon for waste deposited by or for
non-city residents. Beginning April 1, 2005, the disposal fee shall be $0.22 per gallon for
hauled liquid waste deposited by or for city residents and $0.25 per gallon for hauled liquid
waste deposited by or for non-city residents.”

“(f) Any solid waste collected by, or under contract with, a governmental entity outside
     the city limits but within Tom Green County, shall be authorized to dump at the city
     landfill only under special contract arrangements with the City of San Angelo at the
     rate of $29.40 per ton effective November 1, 2012 and $31.40 per ton effective
     October 1, 2013, plus the state landfill surcharge fees specified above.”
“(g) Any solid waste collected by, or under contract with, the following counties or a
            governmental entity within the following counties: Sterling, Coke, Runnels,
            Concho, Menard, Schleicher, Sutton, Irion and Crockett, shall be authorized to
            dump at the city landfill only with prior approval of the city council at the rate of
            $32.35 per ton effective November 1, 2012, and $34.35 per ton effective October 1,
            2013, plus the state landfill surcharge fees specified above.”

Section 4)    THAT the terms and provisions of this Ordinance shall be deemed to be severable in
              that, if any provision of this Ordinance shall be declared to be invalid, the same shall
              not affect the validity of the other provisions of this Ordinance.

Section 5)    THAT this Ordinance shall be effective from and after the date of its adoption.


INTRODUCED on the                     day of                                 , 2012, and finally

PASSED, APPROVED and ADOPTED on this the                      day of                            , 2012.


                                                     CITY OF SAN ANGELO



                                                     _____________________________________
                                                     Alvin New, Mayor

ATTEST:



_________________________________
Alicia Ramirez, City Clerk



APPROVED AS TO CONTENT:                              APPROVED AS TO FORM:



Ricky Dickson,                                       Lysia Bowling
Operations Department Director                       City Attor ney
City of San Angelo



Memo
 Date:                 August 7, 2012

 To:                   Mayor and Councilmembers

 From:                 Morgan Trainer, Budget Manager

 Subject:              Agenda Item for September 4, 2012 Work Session

 Contact:              Morgan Trainer, 653-6291 and Ricky Dickson, 657-4206

 Caption:              Regular Item

                       First public hearing and introduction of an ordinance amending the landfill rates.


                       As discussed with City Council on June 5, 2012, it is necessary to raise rates at
                       the landfill. This includes rates for residential garbage collection, commercial
 Summary:              garbage collection, and landfill gate fees.
                       As directed by City Council, staff is now presenting an incremental plan setting the
                       first year at $6.32 and providing phased in rates until the necessary adjusted rates
                       are met.

 History:              Discussed and approved by consensus June 5, 2012

 Financial Impact:     None at this time

 Related Vision Item   Financial Vision
 (if applicable):

 Other Information/    None
 Recommendation:

 Attachments:          Ordinance

 Presentation:         None

 Publication:          None

 Reviewed by           Ricky Dickson, Operations
 Director:

 Approved by Legal:    Yes
AN ORDINANCE AMENDING APPENDIX A, “FEE SCHEDULE”, ARTICLE
        3.000 “BUSINESS RELATED FEES”, SECTION 3.900 “ALARM PERMIT FEES”
        OF THE CODE OF ORDINANCES, CITY OF SAN ANGELO, TEXAS, BY
        RESTATING SAID SECTION TO ADJUST ALARM PERMIT FEES FOR
        BURGLARY AND ROBBERY ALARM SYSTEMS, FALSE BURGLARY AND
        ROBBERY ALARM FEES, AND REINSTATEMENT FEE, AND PROVIDING
        FOR AN ANNUAL BURGLARY AND ROBBERY ALARM SYSTEM PERMIT
        LATE FEE; PROVIDING FOR SEVERABILITY; AND PROVIDING AN
        EFFECTIVE DATE

        WHEREAS, the City Council for the City of San Angelo has directed that the implementation of
user fees be examined, including San Angelo Police Department fees relating to burglary and robbery
alarms; and,

        WHEREAS, the City Council has provided for fees by ordinance relating to the regulation of
burglary and robbery alarms for purposes that include defraying the costs of administering said
regulations; and,

        WHEREAS, the City Council has examined the administrative user fees relating to burglary and
robbery alarms and determined that the fees do not reflect the actual costs of administering said
regulations; and,

        WHEREAS, the City Council has examined the revised fees regulating burglary and robbery
alarms as proposed by the San Angelo Police Department, and finds them to more appropriately reflect
actual costs to the City for administering those regulations;

        NOW THEREFORE BE IT ORDAINED BY THE CITY OF SAN ANGELO:

Section 1.)     THAT Appendix “A”, “Fee Schedule”, Article 3.000 “Business Related Fees”, Section
                3.900 “Alarm Permit Fees”, of the Code of Ordinances of the City of San Angelo, Texas,
                is amended by restating said section to read as follows:

“Sec. 3.900 Annual Alarm Permit Fees and False Burglary and Robbery Alarm Fees

    (a) Annual Permit Fees.    An annual permit fee shall be assessed against the applicant for an annual
        burglary and robbery Alarm System Permit

                (1)     Residential alarm permit fee:   $30.00

                (2)     Commercial alarm permit fee:    $60.00

                (3)     Exempt Alarm Permit Fee:        $ 0.00

    (b) Annual Permit Late Fee.        A late fee of $50 shall be assessed against a burglary and robbery
        Alarm System Permit holder failing to renew the Alarm System Permit for more than thirty (30)
        days after its expiration.
(c) Burglary and Robbery False Alarm Fee. A false alarm fee shall be assessed against a burglary
        and robbery Alarm System Permit holder for each false burglary and robbery alarm occurring
        during any consecutive twelve (12) month period for the sum indicated in the following schedule:

                         Number of False Alarms                    Applicable Fee

                         (a)     1–3                                        $ 0
                         (b)     4–5                                        $ 50
                         (c)     6–7                                        $ 75
                         (d)     8 and above                                $ 100


    (d) Burglary and Robbery False Alarm Late Fee.      A late fee of $50 shall be assessed against a
        burglary and robbery Alarm System Permit holder failing to pay an assessed burglary and robbery
        False Alarm Fee for more than 30 days after written notice of assessment of the fee is postmarked
        to the permit holder.

    (d) Fee for Reinstatement of Revoked Burglary and Robbery Alarm System Permit. A reinstatement
        fee of $100 shall be assessed against a burglary and robbery Alarm System Permit holder on
        application to reinstate a revoked permit. The Reinstatement Fee shall be due and payable in
        addition to any other fees assessed under regulations relating to burglary and robbery alarm
        systems.

Section 2.)      THAT the terms and provisions of this Ordinance shall be deemed to be severable in that,
if any provision of this Ordinance shall be declared to be invalid, the same shall not affect the validity of
the other provisions of this Ordinance.

Section 4.)     THAT this Ordinance shall be effective from and after the date of its adoption.

INTRODUCED on the day of                                           , 2012, and finally

PASSED, APPROVED and ADOPTED on this the                           day of                   , 2012.


                                                          CITY OF SAN ANGELO



                                                          ______________________________________
                                                          Alvin New, Mayor
ATTEST:


_________________________________
Alicia Ramirez, City Clerk


APPROVED AS TO CONTENT:                                   APPROVED AS TO FORM:

___________________________                               ___________________________
Tim Vasquez, Chief of Police                              Lysia Bowling, City Attorney
AN ORDINANCE AMENDING APPENDIX A, “FEE SCHEDULE”,
       ARTICLE 9.000 “PLANNING RELATED FEES”, SECTION 9.500.5
       “CONVEYANCE OF PROPERTY INTEREST,” BY RESTATING SAID
       SECTION TO PROVIDE FOR AN ADMINISTRATIVE PROCESSING FEE
       IN ADDITION TO THE REQUIRED FEE FOR VALUE ON THE
       CONVEYANCE OF CITY’S INTEREST IN RIGHTS-OF-WAY

        WHEREAS, the City Council for the City of San Angelo, after a public hearing at a properly
called regular meeting of the City Council on June 5, 2012, has recommended amendment to the text
of Appendix A “Fee Schedule”, Article 9.000 “Planning Related Fees”, Section 9.500.5 “Conveyance
of Property Interests”, of the Code of Ordinances, City of San Angelo, Texas, to provide for
administrative processing fees and

        WHEREAS, the City Council for the City of San Angelo has examined the administrative
cost of processing conveyances of City interests in abandoned rights-of-way; and

        WHEREAS, the City Council for the City of San Angelo has examined the administrative
processing fees proposed by City staff and finds them to appropriately reflect the actual costs incurred
by the City for the respective services;

BE IT ORDAINED BY THE CITY OF SAN ANGELO:

1)     THAT Article 9, Section 9.500.5 of the Code of Ordinances of the City of San Angelo, Texas
       shall be and is hereby amended by restating said section to read as follows:

         “The following fees shall be required for conveyance (by quit-claim deed) of
         interest in rights-of-way abandoned by the City Council:

         (1) For Improved Streets and Alleys. Three quarters (3/4) of the average assessed
         value of abutting land, by square foot, according to the most recently approved
         property tax roll compiled by the Tom Green County Appraisal District, multiplied
         by the number of square feet of land in the right-of-way abandoned and to be
         conveyed to the applicant as an abutting owner of property, plus an administrative
         processing fee of $434.00.

         (2) For Unimproved Streets and Alleys. One half (1/2) of the average assessed
         value of abutting land, by square foot, according to the most recently approved
         property tax roll compiled by the Tom Green County Appraisal District, multiplied
         by the number of square feet of land in the right of way abandoned and to be
         conveyed to the applicant as an owner of abutting property, plus an administrative
         processing fee of $434.00.

         (3) For Streets and Alleys Where Significant Easements for Access by the Public
         and/or Utilities Are Reserved. One half (1/2) of the cost applicable to either
         circumstance described in items (1) or (2) above, plus an administrative processing
         fee of $434.00.
2)    THAT the terms and provisions of this Ordinance shall be deemed to be severable in that, if
      any portion of this Ordinance shall be declared to be invalid, the same shall not affect the
      validity of the other provisions of this Ordinance.

3)    THAT this Ordinance shall be effective from and after the date of its adoption.

      INTRODUCED on the                       day of                                    , 2012, and

finally PASSED, APPROVED and ADOPTED on this                  , day of                         , 2012.


                                                       CITY OF SAN ANGELO


                                                       _____________________________________
                                                       Alvin New, Mayor
ATTEST:


_________________________________
Alicia Ramirez, City Clerk




APPROVED AS TO CONTENT:                                APPROVED AS TO FORM:


___________________________                            ___________________________
AJ Fawver, Planning Manager                            Lysia H. Bowling, City Attorney
AN ORDINANCE AMENDING APPENDIX A, “FEE SCHEDULE”,
       ARTICLE 9.000 “PLANNING RELATED FEES”, OF THE CODE OF
       ORDINANCES, CITY OF SAN ANGELO, TEXAS, AMENDING SECTION
       9.200 “PLANNING AND DEVELOPMENT FEES”, RESTATING SAID
       SECTION TO CREATE A SINGLE APPLICATION FEE FOR CHANGES
       OF ZONING CLASSIFICATION BY CREATING AN APPLICATION FEE
       FOR A SPECIAL USE, BY CREATING AN APPLICATION FEE FOR A
       CONDITIONAL USE, BY CREATING A FEE FOR ALL APPLICATIONS
       FOR ZONE CHANGE TO PD DISTRICT, BY PROVIDING FOR ZONE
       CHANGE SIGN DEPOSIT AND REFUND OF SIGN DEPOSIT, AND BY
       CREATING A FEE FOR FILING OF AN APPEAL; REPEALING SECTION
       9.200.5 “PLANNED DEVELOPMENT FEES; AMENDING SECTION 9.300
       “ZONING BOARD APPLICATION FEES”, RESTATING SAID SECTION
       TO ADJUST THE FEES FOR A REQUEST FOR VARIANCE FROM
       ZONING REGULATIONS AND THE FEE FOR APPEAL; AMENDING
       SECTION 9.400 “PRELIMINARY PLATS/FINAL PLATS/REPLATS
       (EXCEPT ADMINISTRATIVE SUBDIVISIONS)”, RESTATING SAID
       SECTION TO PROVIDE FEES FOR APPLICATIONS FOR PRELIMINARY
       PLAT, FINAL PLAT AND REPLAT, AND A SUPPLEMENTAL FEE FOR
       REPLATS THAT REQUIRE RENOTIFICATION; AMENDING SECTION
       9.400.5    “FINAL   PLATS/REPLATS   OF     ADMINISTRATIVE
       SUBDIVISIONS”, RESTATING SAID SECTION TO PROVIDE FEES FOR
       APPLICATIONS FOR FINAL AND REPLATS OF ADMINISTRATIVELY
       ELIGIBLE SUBDIVISIONS, AND SUPPLEMENTAL FEE FOR FINAL
       PLAT OR REPLAT REQUIRING NOTIFICATION; AMENDING SECTION
       9.500 “MISCELLANEOUS PLANNING FEES”, RESTATING SAID
       SECTION TO UPDATE FEES FOR MISCELLANEOUS REQUESTS;
       PROVIDING FOR SEVERABILITY; AND PROVIDING AN EFFECTIVE
       DATE

        WHEREAS, the City Council for the City of San Angelo, after a public hearing at a meeting
on July 19th, has recommended the following amendments to the text of Appendix A “Fee Schedule”,
Article 9.000 “Planning Related Fees”, of the Code of Ordinances, City of San Angelo, Texas; and

        WHEREAS, the City Council for the City of San Angelo has examined the cost of
conducting each type of application process, and determined that the established fees do not reflect the
actual costs of processing applications; and

        WHEREAS, the City Council for the City of San Angelo has examined the revised fees as
proposed by City staff and found them to appropriately reflect actual costs incurred by the City for the
respective services;

NOW THEREFORE BE IT ORDAINED BY THE CITY OF SAN ANGELO:
Section 1)     THAT Appendix “A”, “Fee Schedule”, Article 9 “Planning Related Fees”, Section
               9.200 “Planning and Development Fees”, of the Code of Ordinances of the City of
               San Angelo, Texas, is hereby restated to read as follows:


               Application for zoning change                       $460.50
               Application for special use                          $378.00
               Application for conditional use                      $353.00
               Filing of appeal of decision on zoning change, special use,
               or conditional use                                   $150.00
               Application for zone change to a PD District,
               requiring an area of 1.0 acre or more:               $547.50

               Request for amendment to existing PD District,
               requiring an area of 1.0 acre or more:               $225.00

               Zone change sign deposit (per sign):                 $37.50

               Refund from sign deposit (per sign):                 $25.00

             During a period beginning January 1 of 2013, and ending on December 31 of 2013, no
             fee shall be required for property owners to submit an application for approval of a
             Historic Overlay Zone (Landmark).

Section 2)      THAT Appendix “A”, “Fee Schedule”, Article 9 “Planning Related Fees”, Section
        9.200.5 “Planned Development Fees”, of the Code of Ordinances of the City of San Angelo,
        Texas, is hereby repealed in its entirety.

Section 3)      THAT Appendix “A”, “Fee Schedule”, Article 9 “Planning Related Fees”, Section
        9.300 “Zoning Board Application Fees”, of the Code of Ordinances of the City of San Angelo,
        Texas, is hereby restated to read as follows:

               Request for variance
               from zoning regulations                                $225.00

               Request for administrative adjustment
               from zoning regulations                                $ 50.00

               Request for appeal of decision made
               by an administrative official                          $150.00
4)     THAT Appendix “A”, “Fee Schedule”, Article 9 “Planning Related Fees”, Section 9.400
       “Preliminary Plats/Final Plats/Replats (except for administrative subdivisions)”, of the Code
       of Ordinances of the City of San Angelo, Texas, is hereby restated to read as follows:

              Application for preliminary plat                      $337.00
              Application for final plat                             $312.00
              Application for replat                                 $312.00
              Supplemental fee for replats requiring
              renotification                                         $106.25

5)     THAT Appendix “A”, “Fee Schedule”, Article 9 “Planning Related Fees”, Section 9.400.5
       “Final Plats/Replats of Administrative Subdivisions”, of the Code of Ordinances of the City of
       San Angelo, Texas, is hereby restated to read as follows:

              Application for final plat of administratively-
              eligible subdivision                                   $212.50

              Application for replat of administratively-
              eligible subdivision                                   $212.50

              Supplemental fee for final plat or replat
              requiring notification                                 $106.25

6)     THAT Appendix “A”, “Fee Schedule”, Article 9 “Planning Related Fees”, Section 9.500
       “Miscellaneous Planning Fees”, of the Code of Ordinances of the City of San Angelo, is
       hereby restated to read as follows:

              Request for expansion of non-conforming use           $163.75

              Request for consideration of sign variance             $168.75

              Request for temporary permit for mobile/
              manufactured home                                      $118.75

              Request for street name change                         $208.75 plus costs of
                                                                     official COSA signage

              Request for release of easement                        $37.50


Section 7)    THAT the terms and provisions of this Ordinance shall be deemed to be severable in
              that, if any provision of this Ordinance shall be declared to be invalid, the same shall
              not affect the validity of the other provisions of this Ordinance.
Section 8)   THAT this Ordinance shall be effective from and after the date of its adoption.


INTRODUCED on the                    day of                                 , 2012, and finally

PASSED, APPROVED and ADOPTED on this the                     day of                            , 2012.


                                                    CITY OF SAN ANGELO



                                                    _____________________________________
                                                    Alvin New, Mayor

ATTEST:



_________________________________
Alicia Ramirez, City Clerk




APPROVED AS TO CONTENT:                             APPROVED AS TO FORM:


___________________________                         ___________________________
AJ Fawver, Planning Manager                         Lysia H. Bowling, City Attorney
City of San Angelo



Memo
 Date:           September 6, 2012

 To:             Mayor and Councilmembers

 From:           Will Wilde, Water Utilities Director

 Subject:        Agenda Item for September 18 and October 2, 2012 Council Meetings

 Contact:        Will Wilde, Water Utilities Director, 657-4209

 Caption:         Consideration of amending Article 11.200 “Water Conservation and Drought
 Contingency Plan” by amending Section 11.204 “Exception and Variance” to establish City Council
 authority to grant exceptions.


 Summary:       The proposed revision to the ordinance would allow the Council to grant
 exceptions to any of the provisions in the ordinance.

 History:    The Water Conservation and Drought Contingency Plan provides guidelines for
 managing water supply shortages and establishes practices that encourage the wise use of
 water.

 Financial Impact: N/A

 Other Information/Recommendation: Under the proposed amendment, the Council would have
 the authority to grant exceptions to any provisions in the ordinance. The Council would have the ability
 to specify that the exception could apply to an individual or a group of individuals, businesses or similar
 water users. The Council could also specify conditions, such as the time period that the exception
 would be applicable.

 It is recommended the amendment be adopted.

 Attachments: Amendment

 Presentation: None.

 Publication: N/A

 Reviewed by Service Area Director: Will Wilde, Water Utilities Director, September 6, 2012
AN ORDINANCE AMENDING CHAPTER 11, ARTICLE 11.200,
       SECTION 11.204 OF THE CODE OF ORDINANCES, CITY OF SAN
       ANGELO, TEXAS, ENTITLED “WATER CONSERVATION AND
       DROUGHT CONTINGENCY PLAN”, BY AMENDING SUBSECTION
       11.204(a) “EXCEPTIONS”; PROVIDING FOR SEVERABILITY;
       PROVIDING FOR A PENALTY; AND PROVIDING FOR AN
       EFFECTIVE DATE.


BE IT ORDAINED BY THE CITY OF SAN ANGELO:

       1) THAT, Chapter 11, Article 11.200, Subsection 11.204(a) of the Code of Ordinances
          of the City of San Angelo, Texas is hereby amended to read as follows:

Sec. 11.204   Exception and Variance

              (a) Exceptions. The City Council may allow exceptions to any of the provisions
                  of this article. The Council may place conditions on any exception.

                  There shall be an exception to the prohibitions of this article regarding
                  watering restrictions, as follows:

                  (1) Use of water for installing, testing and repairing sprinkler systems.

                  (2) Watering frequency and schedules for public parks, athletic facilities,
                      schools, colleges and cemeteries shall be as approved by the City Council.

       2) THAT, the following severability clause is adopted with this amendment:

          SEVERABILITY:

          That the terms and provisions of this Ordinance shall be deemed to be severable in
          that if any portion of this Ordinance shall be declared to be invalid, the same shall not
          affect the validity of the other provisions of this Ordinance.

       3) THAT, the following penalty clause is adopted with this amendment:

          PENALTY:

          Any person who violates any provisions of this Article shall be guilty of a
          Misdemeanor and upon conviction shall be subject to a fine as provided for in Section
          1.106 of this Code. Each day of such violation shall constitute a separate offense.

       4) THAT, this Ordinance shall be effective on, from and after the 2nd day of October
          2012.
INTRODUCED on the 18th day of September 2012, and finally PASSED, APPROVED
and ADOPTED on this 2nd day of October, 2012.




                                                 CITY OF SAN ANGELO


                                                 _________________________
                                                 Alvin New, Mayor

ATTEST:

_____________________________
Alicia Ramirez, City Clerk




APPROVED AS TO CONTENT                           APPROVED AS TO FORM

______________________________                   _____________________________
Will Wilde                                       Lysia H. Bowling
Water Utilities Department Director              City Attorney
City of San Angelo



Memo
 Date:          August 31, 2012

 To:            Mayor and Councilmembers

 From:          Will Wilde, Water Utilities Director

 Subject:       Agenda Item for September 4, 2012 Council Meeting

 Contact:       Will Wilde, Water Utilities Director, 657-4209

 Caption:        Discussion and possible action to adopt a Resolution implementing Drought Level III
 of the City’s Water Conservation and Drought Contingency Plan


 Summary:        The City’s Water Conservation Plan establishes criteria for management of the
 municipal water supply sources. Trigger points based upon of available water supply are set in
 the plan to define various drought levels.

 In June of 2012, the criteria for entering Water Supply Stage, Drought Level II were met.
 Projections on available supply indicate that the trigger point for Drought Level III will be met in
 October 2012.

 History: The City’s Water Conservation/Drought Contingency Plan establishes practices the
 City will pursue to encourage the wise use of water. The drought management portion of the
 plan provides criteria that will be implemented to reduce water usage during a water supply
 shortage.

 Financial Impact:      Under Drought Level III, usage surcharges are assessed on all water
 customers.

 Other Information/Recommendation: Implementation of Drought Level III is dependent upon
 reaching the water supply trigger point for entering the stage and adoption of a Resolution by the
 Council.

 It is recommended the Council adopt the Resolution implementing Drought Level III when the
 available supply is less than one year.

 Attachments: Resolution; Drought Level III Ordinance, Ord-Landscape Meters, and Ord-Hand
            watering
Presentation: None.

Publication: None.

Reviewed by Service Area Director: Will Wilde, Water Utilities Director, August 31, 2012.
AN ORDINANCE AMENDING CHAPTER 11, ARTICLE
              11.200 OF THE CODE OF ORDINANCES, CITY OF SAN
              ANGELO, TEXAS, ENTITLED “WATER CONSERVATION
              AND DROUGHT CONTINGENCY PLAN”, BY REPEALING
              ARTICLE 11.200 IN ITS ENTIRETY, AND ADOPTING A
              NEW ARTICLE 11.200, PROVIDING FOR A DROUGHT
              CONTINGENCY PLAN, PROVIDING FOR SEVERABILITY,
              PROVIDING FOR A PENALTY AND PROVIDING FOR AN
              EFFECTIVE DATE

BE IT ORDAINED BY THE CITY OF SAN ANGELO:

      1) THAT, Chapter 11, Article 11.200 of the Code of Ordinances of the City of San
Angelo, Texas is hereby repealed in its entirety and replaced with the following:

Sec. 11.201     Purpose

The purpose of the water conservation and drought contingency plan is to encourage
water conservation at all times and to establish a procedure for identifying, classifying
and handling a water supply and/or a water demand emergency effectively and
efficiently.

Sec. 11.202     Water Conservation Measures

The city will utilize the following strategies to encourage, promote and require citizens to
conserve water at all times.

          (1) Conservation Plan. The “City of San Angelo Water Conservation
          Plan,” dated March 2, 2009, which is on file in the office of the city
          clerk, and available for public inspection, is adopted and incorporated
          herein.

               (A) Implementation. The director of water utilities will act as the
               administrator of the water conservation plan. The administrator
               will oversee the execution and implementation of all elements of
               the program and will be responsible for supervising the
               promulgation and retention of records for program verification.

          (2) Plumbing Code. The city plumbing code has provision for water
          conserving plumbing devices. The city will enforce the requirements of
          the code to ensure the use of water saving devices.

          (3) Universal Metering. All users of municipal treated water, except
          for fire sprinkler lines, will be metered.
(4) Water Supply Meters. The city metering devices will record water
use with an accuracy of plus or minus 5.0% in order to measure and
account for the amount of raw water diverted from the source of
supply.

(5) Restaurants. Restaurants shall not serve water to their
customers except when specifically requested by the customer.

(6)   Waste of Water. As defined below shall be prohibited.

      (A) Allowing treated or raw city water, greywater, reclaimed
      water or well water to run off property to a gutter, street, alley,
      ditch or drainage facility and drain for more than 150 feet
      downgrade of the point of entry into such gutter, street, alley, ditch
      or drainage facility.

      (B)   Failure to repair a controllable leak.

(7) Prohibited Watering Hours. The use of treated or raw city water,
greywater or reclaimed water for watering lawns, gardens, landscape
areas, trees, golf courses, shrubs or other plants being grown outdoors
(not in a nursery) shall be prohibited between the hours of 12:00 noon
and 6:00 p.m. daily from April 1 through October 31.

(8) Watering Frequency. The use of treated or raw city water,
greywater or reclaimed water for watering lawns, landscape areas,
trees, gardens, golf courses (except greens), shrubs or other plants
being grown outdoors (not in a nursery) shall be allowed at a frequency
of twice every seven days during the period of April 1 through October
31 and once every seven days during the period of November 1
through March 31. Golf course greens may be watered once per day
year round.

(9) New Landscape. Watering of newly seeded or sodded lawns or
newly planted trees, shrubs or landscape plants will be allowed at the
following frequency provided written notification is given to the city
code compliance division or water conservation division of the watering
schedule:

      (A) Days 1-14 from planting; three times per day every day of
      such period at any time of day.

      (B) Days 15-28 from planting; twice per day every day of such
      period at any time of day.

(10) Allowable Application Rates. The maximum amount of treated or
raw city water, greywater or reclaimed water applied to established
lawns, landscape plants, golf courses (except greens) or shrubs shall
not exceed 1 inch per week.

(11) Drip Irrigation. Landscape watering with a drip irrigation system
shall be permitted on any day and at any time of day provided that the
total amount of water applied shall not exceed 1 inch per week. For the
purpose of this article, drip irrigation shall mean a water saving
irrigation system that uses buried drip pipe or tape.

(12) Excessive Usage of Water. Excessive usage of water as
defined below shall be prohibited and shall be a violation of the water
conservation and drought contingency plan:

     (A) Any use of water by a customer in excess of the maximum
     allowable application rates under Section 11.202(10).

     (B) Usage of water in amounts such that an “Excessive Usage
     Fee” as set out in this article is assessed.

(13) Excessive Usage Fee: A fee shall be charged for excessive
water usage in the amounts set forth below. This fee shall be in
addition to the standard fee charged for water usage.

     (A) For single-family residential accounts, an additional fee of
     $1.50 per 1,000 gallons shall be charged for all usage from
     40,000 thru 49,000 gallons during a billing period, an additional
     fee of $2.50 per 1,000 gallons shall be charged for all usage from
     50,000 thru 59,000 gallons during a billing period, and an
     additional fee of $5.00 per 1,000 gallons shall be charged for all
     usage over 59,000 gallons during a billing period. Usage on a
     single-family residential account shall be the total usage at the
     address which is determined by adding together the usage on the
     meter supplying the residence and the usage on the meter(s)
     supplying water to the landscape watering system.

     (B) For all landscape meters, except those at single family
     residences, schools, colleges, parks, cemeteries, golf courses or
     athletic facilities, an additional fee of $1.50 per 1,000 gallons shall
     be charged for all usage from 90,000 thru 109,000 gallons during
     a billing period, an additional fee of $2.50 per 1,000 gallons shall
     be charged for all usage from 110,000 thru 129,000 gallons
     during a billing period, and an additional fee of $5.00 per 1,000
     gallons shall be charged for all usage over 129,000 gallons during
     a billing period.

(14) Contracts with Other Political Subdivisions, Water Supply
Corporations or Water Suppliers. Any political subdivision, water
supply corporation, or water supplier that contracts with the city for the
purchase of water shall adopt applicable provisions of the city’s water
conservation and drought contingency plan. Contracts for the sale of
water that are already in effect will be revised to reflect the applicable
provisions of the city’s most current water conservation and drought
contingency plan when the contracts are renewed or extended. To the
extent of the city’s legal authority, the city shall require the city’s
wholesale customers to issue a public notice advising their water
customers of required drought management measures declared in the
city as follows in Section 11.203.

     (A) In the event that the triggering criteria specified in Section
     11.203(f) of the Plan for Water Supply Stage – Drought Level III –
     have been met, the city manager is hereby authorized to initiate
     allocation of water supplies on a pro rata basis in accordance with
     Texas Water Code Section 11.039 and according to the following
     water allocation policies and procedures.

     (B) A wholesale customer’s monthly allocation shall be a
     percentage of the customer’s water usage baseline. The
     percentage will be set by resolution of the San Angelo City
     Council based on the administrator’s assessment of the severity
     of the water shortage condition and the need to curtail water
     diversions and/or deliveries and may be adjusted periodically by
     resolution of the city council as conditions warrant. Once pro rata
     allocation is in effect, water diversions by or deliveries to each
     wholesale customer shall be limited to the allocation established
     for each month.

     (C) Upon initiation of pro rata water allocation, water utility
     director shall provide notice, by certified mail, to each wholesale
     customer informing them of their monthly water usage allocations
     and shall notify the news media and the executive director of the
     Texas Commission on Environmental Quality.

(15) Water Demand Emergency. In the event the quantity of water
usage from the city’s water distribution system reaches a level that
exceeds the amount which may be treated or safely delivered through
the system, the water utilities director shall notify the city manager and
the city council of such an occurrence. The city council shall be
authorized to limit the use of water by passage of a resolution outlining
such limitations which shall remain in effect until the water demand
emergency can be met. Upon initiation of a water demand emergency,
the water utility director shall provide notice, by certified mail, to the
executive director of the Texas Commission on Environmental Quality
and shall notify the news media.
(16) Water Supply Emergency. In the event of a water system failure
          or emergency (i.e. pressure zone deficiencies, chemical spills, broken
          water mains, power outages, failures of storage tanks or other
          equipment, treatment plant breakdown and/or water contamination)
          which limits the amount of water which may be treated or safely
          delivered through the system, the water utilities director shall notify the
          city manager and city council of such occurrence. The city council shall
          be authorized to limit the use of water by passage of a resolution
          outlining such limitations which shall remain in effect until the water
          supply emergency can be met. Upon initiation of a water supply
          emergency, the water utility director shall provide notice, by certified
          mail, to the executive director of the Texas Commission on
          Environmental Quality and shall notify the news media.

          (17) Public Information. The water utilities director will provide
          regular public education and information about the importance of year-
          round water efficiency as delineated in the plan, and will provide
          general information about water supply conditions and drought plan
          provisions on at least an annual basis. The purpose of this effort shall
          be to keep the citizenry informed about the drought and conservation
          plans and their importance to the city’s water supply.

Sec. 11.203    Drought Stages and Water Management Measures

(a) Water Supply Sources. The city has several water supply sources that it can draw
upon to meet its needs. Local surface water sources include Lake Nasworthy, Twin
Buttes Reservoir, O.C. Fisher Reservoir and the South Concho River. Nonlocal surface
water supplies are available to the city from O.H. Ivie Reservoir and Spence Reservoir.
The city has a groundwater source in the Hickory Aquifer.

When local reservoirs are full, the city’s primary water supply will be from these
reservoirs along with nonlocal or groundwater sources as needed. When local
reservoirs are below full but above drought trigger points, the local sources may be
utilized along with water brought in from nonlocal sources or groundwater sources.
During drought conditions, the primary source of supply will be nonlocal sources,
subject to the maximum amount available from each source, with the remaining amount
of water coming from the local sources or groundwater sources that the city may
develop.

(b) Drought Trigger Point. Whenever the total amount of water available to the city
falls below the minimum criteria established for each water supply stage level, the city
shall be deemed to have entered a drought stage for management of its water supplies.

The water utilities director shall notify the city manager and city council upon entering
the threshold of a drought stage. The council shall implement each stage by resolution.
A notice of such resolution shall be published one time in the local newspaper. The
criteria for each stage and the water management measures which shall be enforced
are as follows in subsections (d) to (f).

(c) Public Information. The water utilities director will provide reports to the news
media with information regarding current water supply conditions, projected water
supply and demand conditions if the current drought conditions continue, and consumer
information on water conservation measures and practices. Information describing each
water supply stage trigger point and drought level restrictions on water use shall be
prepared and published on the city’s website.

(d)   Water Supply Stage – Drought Level I.

          (1)   The minimum criteria for this drought stage shall be the following.

               The total amount of water available, as determined by the water
          utilities director, to the city from its developed water sources is less
          than a 24-month supply.

          (2) In addition to the conservation measures stated in Section
          11.202 of this article, the following additional water conservation
          measures shall be in force during Water Supply Stage – Drought Level
          I.

                (A) The use of treated or raw city water for watering lawns,
                gardens, landscape areas, trees, shrubs, golf courses (except
                greens) or other plants being grown outdoors (not in a nursery)
                shall be prohibited at all times provided however a person may do
                such watering which shall be twice every seven days during the
                period of April 1 through October 31 and once every 14 days
                during the period of November 1 through March 31 except during
                the “prohibited watering hours” as stated in Section 11.202.

                (B) Golf courses greens may be watered daily except during
                the “prohibited watering hours” as stated in Section 11.202.

                (C) Watering of “new landscape” shall be allowed in
                accordance with the provisions as stated in Section 11.202 for
                “new landscape.”

          (3) A fee shall be charged for water usage in the amounts as set
          forth below.

             This fee shall be in addition to the standard fee charged for water
          usage and shall be in lieu of the “excessive usage fee” as defined in
          Section 11.202.
(A) For single-family residential accounts, an additional fee of
                $2.00 per 1,000 gallons shall be charged for all usage from
                25,000 thru 34,000 gallons during a billing period, an additional
                fee of $3.50 per 1,000 gallons shall be charged for all usage from
                35,000 thru 44,000 gallons during a billing period, and an
                additional fee of $6.00 per 1,000 gallons shall be charged for all
                usage over 44,000 gallons during a billing period. Usage on a
                single-family residential account shall be the total usage at the
                address which is determined by adding together the usage on the
                meter supplying the residence and the usage on the meter(s)
                supplying water to the landscape watering system.

                (B) For all landscape meters, except those at single family
                residences, schools, colleges, parks, cemeteries, golf courses or
                athletic facilities; an additional fee of $2.00 per 1,000 gallons shall
                be charged for all usage from 75,000 thru 94,000 gallons during a
                billing period, an additional fee of $3.50 per 1,000 gallons shall be
                charged for all usage from 95,000 thru 114,000 gallons during a
                billing period, and an additional fee of $6.00 per 1,000 gallons
                shall be charged for all usage over 114,000 gallons during a
                billing period.

(e)   Water Supply Stage – Drought Level II.

          (1)   The minimum criteria for this drought stage shall be the following.

               The total amount of water available, as determined by the water
          utilities director, to the city from its developed water sources is less
          than an 18-month supply.

          (2) In addition to the conservation measures stated in Section
          11.202 of this article, the following additional water conservation
          measures shall be in force during Water Supply Stage – Drought Level
          II.

                (A) The use of treated or raw city water for watering lawns,
                gardens, landscape areas, trees, shrubs, golf courses (except
                greens) or other plants being grown outdoors (not in a nursery)
                shall be prohibited at all times provided however a person may do
                such watering which shall be once every seven days during the
                period of April 1 through October 31 and once every 14 days
                during the period of November 1 through March 31 except during
                the “prohibited watering hours” as stated in Section 11.202.

                (B) Golf courses greens may be watered daily except during
                the “prohibited watering hours” as stated in Section 11.202.
(C) Watering of “new landscape” shall not be allowed as stated in
                Section 11.202 for “new landscape.”

          (3) A fee shall be charged for water usage in the amounts as set
          forth below.

             This fee shall be in addition to the standard fee charged for water
          usage and in lieu of the water usage fee set out in Section 11.203(d)(3)
          the “excessive usage fee” as defined in Section 11.202.

                (A) For single-family residential accounts, an additional fee of
                $3.50 per 1,000 gallons shall be charged for all usage from
                10,000 thru 19,000 gallons during a billing period, an additional
                fee of $5.00 per 1,000 gallons shall be charged for all usage from
                20,000 thru 29,000 gallons during a billing period, and an
                additional fee of $8.00 per 1,000 gallons shall be charged for all
                usage over 29,000 gallons during a billing period. Usage on a
                single-family residential account shall be the total usage at the
                address which is determined by adding together the usage on the
                meter supplying the residence and the usage on the meter(s)
                supplying water to the landscape watering system.

                (B) For all landscape meters except those at single family
                residences, an additional fee of $3.50 per 1,000 gallons shall be
                charged for all usage from 60,000 thru 79,000 gallons during a
                billing period, an additional fee of $5.00 per 1,000 gallons shall be
                charged for all usage from

                 80,000 thru 99,000 gallons during a billing period, and an
                additional fee of $8.00` per 1,000 gallons shall be charged for all
                usage over 99,000 gallons during a billing period.

(f)   Water Supply Stage – Drought Level III.

          (1)   The minimum criteria for this drought stage shall be the following.

               The total amount of water available, as determined by the water
          utilities director, to the city from its developed water sources is less
          than a 12-month supply.

          (2) In addition to the water conservation measures stated in Section
          11.202 of this article, the following water conservation measures shall
          be in force during Water Supply Stage - Drought Level III.

                (A) The use of treated or raw city water for watering of lawns,
                gardens, landscape areas, trees, golf courses (including greens),
                shrubs or other plants being grown outdoors is prohibited.
(B) The use of treated or raw city water to fill, refill or maintain
               the level of any fountain or swimming pool is prohibited.

               (C) Washing of automobiles, trucks, trailers, boats, or other
               types of vehicles or mobile equipment is prohibited except if the
               health, safety and welfare of the public is contingent upon vehicle
               cleaning, as determined by the director of city health services;
               then the washing of such vehicles shall be allowed.

          (3) A fee shall be charged for water usage in the amounts as set
          forth below. This fee shall be in addition to the standard fee charged
          for water usage and shall be in lieu of the water usage fee set out in
          Sections 11.203(d)(3) and 11.203(e)(3) and the “excessive usage fee”
          as defined in Section 11.202.

               (A) For single-family residential accounts, an additional fee of
               $6.00 per 1,000 gallons shall be charged for all usage over
               10,000 gallons during a billing period.

               (B) For apartment unit accounts, an additional fee of $5.00 per
               1,000 gallons shall be charged for all usage over an amount equal
               to the number of units in the apartment times 3,000 gallons during
               a billing period.

               (C) For all other water users, an additional fee of $2.50 per
               1,000 gallons shall be charged for all usage.

Sec. 11.204    Exception and Variance

(a) Exceptions. There shall be an exception to the prohibitions of this article regarding
watering restrictions, as follows:

          (1) Use of water for installing, testing and repairing sprinkler
          systems.

          (2) Watering frequency and schedules for public parks, athletic
          facilities, schools, colleges and cemeteries shall be as approved by the
          City Council.

(b)   Variance.

          (1) A person desiring an exemption from any provision of this article
          shall file a petition for variance with the city manager. All petitions for
          variances shall be reviewed and acted upon by the city council. The
          petition shall include at a minimum the following information:

               (A)   Name and address of the petitioner(s).
(B)   Purpose and estimated amount of water use.

     (C) Specific provision(s) of the article from which the petitioner
     is requesting an exemption.

     (D) Detailed statement as to how the specific provision of the
     article adversely affects the petitioner or what damage or harm
     will occur to the petitioner or others if petitioner complies with this
     article.

     (E)   Description of the relief requested.

     (F)   Period of time for which the variance is sought.

     (G) Alternative water use restrictions or other measures the
     petitioner is taking or proposes to take to meet the intent of this
     article and the effective date of such other measures.

     (H)   Other pertinent information.

     (I) Statement that petitioner has not within the last six months
     intentionally violated the current ordinance for which a variance is
     sought or, if such violations have occurred, a statement setting
     out all reasons why such ordinance was violated.

(2) The city council may grant a variance from the requirements of
this article after determining that because of special circumstances
applicable to the applicant, compliance with this article:

     (A) Cannot be technically accomplished during the expected
     duration of the water supply shortage or other condition for which
     the article is in effect; or

     (B) Will cause undue hardship on a program or service offered
     by a public entity; or

     (C) Substantially threatens the applicant’s primary source of
     income.

(3) Additionally, the city council may grant a variance from the
requirements of this article if it determines that the applicant can
implement alternative water use restrictions which meet or exceed the
intent of this article. The city council shall approve specific alternative
water use restrictions.

(4) Any variance granted by the city council may be revoked after a
determination by the city council that revocation is necessary for the
public health and safety or upon a finding that the holder of a variance
             allowing alternative water use restrictions has not complied with such
             alternative restrictions.

Sec. 11.205       Implementation and Service Restrictions

(a)   Implementation:

             (1) The water utilities director for the city will act as the administrator
             of the water conservation drought contingency plan. The administrator
             will oversee the execution and implementation of all elements of the
             program. The administrator will be responsible for supervising the
             promulgation and retention of adequate records for program
             verification.

             (2) The water conservation plan will be maintained for the duration
             of the city’s financial obligation to the state under the State Revolving
             Loan Fund program.

(b) Contracts With Other Political Subdivisions, Water Supply Corporations or Water
Suppliers: Any political subdivision, water supply corporation, or water supplier that
contracts with the city for the purchase of water shall adopt applicable provisions of the
city’s water conservation and drought contingency plan. Contracts for the sale of water
that are already in effect will be revised to reflect the applicable provisions of the city’s
most current water conservation and drought contingency plan when the contracts are
renewed.

(c)   Service Restrictions: The water conservation and drought contingency plan shall
be enforced by the following service restrictions:

       (1)      Water service taps will not be provided to customers not meeting
                the plan requirements.

       (2)      The inclining block water rate structure should encourage
                retrofitting of old plumbing fixtures which use large quantities of
                water.

       (3)      Customers who do not pay their water bills shall be subject to
                discontinuance or disconnection of service.

       (4)      The building inspection department will not certify new construction
                which fails to meet the plan requirements.

Sec. 11.206 Enforcement

(a)   Violations of any provisions of the water conservation and drought contingency
plan may be enforced as follows:
(1)   First violation. Any person or entity as defined under this Chapter
      may be given a verbal or written warning.

(2)   Second and subsequent violations.

      (i)     Violation of any provision of the water conservation and
drought contingency plan constitutes a Class C misdemeanor offense for
which a citation may be issued.

        (ii) Second and subsequent violations shall be punishable by a
maximum fine of up to two thousand dollars ($2,000.00) per day per
violation as provided by Article 1.100, Section 1.106 of the Code of
Ordinances of the City of San Angelo.

        (iii) Proof of a culpable mental state is not required for a
conviction of an offense under this section. Each day any person or entity
fails to comply with the water conservation and drought contingency plan
is a separate violation.

(3)   Third and subsequent violations.

      For third and subsequent violations of the water conservation and
      drought contingency plan, the water utilities director shall, upon due
      notice to the customer, be authorized to discontinue water service
      to the premises where such violations occur. Services discontinued
      or disconnected under such circumstances shall be restored only
      upon payment of charges as provided for in Chapter 11, Article
      11.300.

(4)    Compliance with any provision of the water conservation and
drought contingency plan may be enforced by civil court action as
provided by state and federal law.

2) THAT, the following severability clause is adopted with this amendment:

SEVERABILITY:

That the terms and provisions of this Ordinance shall be deemed to be severable
in that if any portion of this Ordinance shall be declared to be invalid, the same
shall not affect the validity of the other provisions of this Ordinance.

3) THAT, the following penalty clause is adopted with this amendment:

PENALTY:

Any person who violates any provisions of this Article shall be guilty of a
Misdemeanor and upon conviction shall be subject to a fine as provided for in
Section 1.106 of this Code. Each day of such violation shall constitute a separate
        offense.

        4) THAT, this Ordinance shall be effective on, from and after the 1st day of March
2012.

        INTRODUCED on the            day of                  , 2012, and finally PASSED,
APPROVED and ADOPTED on this the                   day of           , 2012.

                                                 CITY OF SAN ANGELO, TEXAS


ATTEST:
                                                 Alvin New, Mayor

Alicia Ramirez, City Clerk




Approved as to Content:                          Approved as to Form:


Will Wilde                                       Lysia H. Bowling
Water Utilities Director                         City Attorney
AN ORDINANCE AMENDING APPENDIX A, ARTICLE 8.000 OF
                   THE CODE OF ORDINANCES, CITY OF SAN ANGELO TEXAS,
                   BY AMENDING SECTION 8.200 ENTITLED “MONTHLY WATER
                   RATES” BY REPEALING SUBSECTION 8.200(a)(1) IN ITS
                   ENTIRETY; AND ADOPTING A NEW SUBSECTION 8.200(a)(1)
                   ESTABLISHING NEW USAGE RATES FOR RESIDENTIAL
                   BUILDING AND LANDSCAPE METERS AND FIRE HYDRANT
                   METERS, PROVIDING FOR SEVERABILITY, PROVIDING FOR
                   A PENALTY AND PROVIDING FOR AN EFFECTIVE DATE


BE IT ORDAINED BY THE CITY OF SAN ANGELO:

       1) THAT, Appendix A, Article 8.000 of the Code of Ordinances, City of San Angelo,
Texas, Section 8.200, Monthly Water Rates, is hereby amended by repealing Subsection
8.200(a)(1) in its entirety and adopting a new Subsection 8.200(a)(1) to read as follows:

Sec. 8.200         Monthly Water Rates

(a) All persons supplied with water by the city shall be billed for water at the following monthly
rates for water supplied on or after March 1, 2012.

             (1)     Meter Size                               Base Rate


                     5/8                                     $19.12
                     1                                       $23.14
                     1-1/2                                   $27.19
                     2                                       $35.86
                     3                                       $104.71
                     4                                       $130.73
                     6                                       $190.31
                     8                                       $257.97
                     Residential Untreated Water              $23.14


             Classifications                            Rate per 1,000 Gallons


             RESIDENTIAL (single-family residence, duplex, or other individually
             metered residential unit). Residential usage shall be the combined
             usage of the building meter and any landscape meter(s) serving the
             tract.


             0-2,000 gallons                            $2.32
Next 3,000 gallons                    $3.46
Next 10,000 gallons                   $4.07
Next 50,000 gallons                   $4.37
Next 35,000 gallons                   $4.52
Over 100,000 gallons                  $4.82
COMMERCIAL, APARTMENT AND MOBILE HOME PARK
Building Meter


1,000 gallons and up                  $3.83


Landscape Meter


1,000 gallons and up
Winter*                               $3.87
Summer**                              $4.12


INDUSTRIAL, HOTEL,        MOTEL,   HOSPITAL,   SCHOOL   AND
GOVERNMENT


Building Meter


1,000 gallons and up                  $3.95


Landscape Meter


1,000 gallons and up
Winter*                               $3.92
Summer**                              $4.17


Millersview-Doole


1,000 gallons and up
Winter*                               $5.62
Summer**                              $6.32


Producers Lamb and Goat
1,000 gallons and up                          $3.95


          Fire Hydrants


          1,000 gallons and up                          $3.95


          UNTREATED WATER

          Residential

          0-5,000 gallons                               $1.81

          Next 5,000 gallons                            $2.31

          Over 10,000 gallons                           $3.02
          Commercial, Apartment and Mobile Home
          Parks, Industrial, Hotel, Motel, Hospital,
          School and Government

          1,000 gallons and up                          $3.02


          *Winter is the billing period of October through April.
          **Summer is the billing period of May through September.

       2) THAT all remaining subsections of Section 8.200 not amended by this ordinance
remain in full force and effect.

      3) THAT, the following severability clause is hereby adopted with this amendment:

      SEVERABILITY:

      That the terms and provisions of this Ordinance shall be deemed to be severable in that
      if any portion of this Ordinance shall be declared to be invalid, the same shall not affect
      the validity of the other provisions of this Ordinance.

      4) THAT, the following penalty clause is adopted with this amendment:

      PENALTY:

      Any person who violates any provisions of this article shall be guilty of a misdemeanor
      and upon conviction shall be subject to a fine as provided for in Section 1.106 of this
      Code. Each day of such violation shall constitute a separate offense.

      5) THAT, this Ordinance shall be effective on, from and after the 1st day of March 2012.
INTRODUCED on the    17th    day of   January                 , 2012, and finally
PASSED, APPROVED and ADOPTED on this the   7th   day of February      , 2012.
AN ORDINANCE AMENDING CHAPTER 11, ARTICLE 11.200,
       SECTIONS 11.202 AND 11.203 OF THE CODE OF ORDINANCES, CITY
       OF SAN ANGELO, TEXAS, ENTITLED “WATER CONSERVATION
       AND DROUGHT CONTINGENCY PLAN”, BY REVISING SUBSECTION
       11.202 (11) “DRIP IRRIGATION”; ADDING A NEW SUBSECTION 11.202
       (12) ENTITLED “HAND WATERING” AND RENUMBERING THE
       CURRENT SUBSECTIONS 11.202 (12) THROUGH (17) TO
       SUBSECTIONS 11.202 (13) THROUGH (18); BY REVISING
       SUBSECTION 11.203 (f) WATER SUPPLY STAGE – DROUGHT LEVEL
       III, (2)(A) PROVIDING FOR SEVERABILITY, PROVIDING FOR A
       PENALTY AND PROVIDING FOR AN EFFECTIVE DATE.

BE IT ORDAINED BY THE CITY OF SAN ANGELO:

       1) THAT, Chapter 11, Article 11.200, Section 11.202 of the Code of Ordinances of the
City of San Angelo, Texas is hereby amended by revising subsection (11); adding a new
subsection (12) and renumbering the current subsections (12) through (17) to subsections (13)
through (18) to read as follows:

Sec. 11.202   Water Conservation Measures

          (11) Drip Irrigation. Landscape or foundation watering with a drip irrigation system
          such as a soaker hose, deep root watering system, drip pipe or tape, or bubbler shall
          be permitted on any day and at any time of day provided that the total amount of
          water applied shall not exceed 1 inch per week. For the purpose of this article, drip
          irrigation shall mean a water saving irrigation system designed to emit water at low
          volumes and low pressures directly onto or below the soil surface without airborne
          streams or droplets.

           (12) Hand Watering. Hand watering of lawns, gardens, landscape areas, trees,
          shrubs or other plants being grown outdoors or foundations may be done on any day,
          except during the prohibited watering hours, provided the allowable application rate
          is not exceeded. Hand watering shall be watering with a hose that is hand held for the
          duration of the irrigation event, or watering with a container of five gallons or less.

       2) THAT, Chapter 11, Article 11.200, Section 11.203 (f) of the Code of Ordinances of
the City of San Angelo, Texas is hereby amended by revising subsection (2)(A) to read as
follows:

Sec. 11.203   Drought Stages and Water Management Measures

       (f) Water Supply Stage – Drought Level III

              (2)(A) The use of treated or raw city water for watering of lawns, gardens,
              landscape areas, golf courses (including greens), shrubs or other plants being
grown outdoors is prohibited. Hand Watering or Drip Irrigation of trees and
            foundations may be done on days and at times as established by the City Council.

     3) THAT, the following severability clause is adopted with this amendment:

     SEVERABILITY:

     That the terms and provisions of this Ordinance shall be deemed to be severable in that if
     any portion of this Ordinance shall be declared to be invalid, the same shall not affect the
     validity of the other provisions of this Ordinance.

     4) THAT, the following penalty clause is adopted with this amendment:

     PENALTY:

     Any person who violates any provisions of this Article shall be guilty of a Misdemeanor
     and upon conviction shall be subject to a fine as provided for in Section 1.106 of this
     Code. Each day of such violation shall constitute a separate offense.

     5) THAT, this Ordinance shall be effective on, from and after the 1st day of March 2012.

     INTRODUCED on the 7th          day of February        , 2012, and finally PASSED,
APPROVED and ADOPTED on this the          21st    day of February         , 2012.
A RESOLUTION OF THE CITY OF SAN ANGELO
                       IMPLEMENTING DROUGHT LEVEL II OF THE
                       CITY’S WATER CONSERVATION AND DROUGHT
                       CONTINGENCY PLAN

       WHEREAS, the City Council of the City of San Angelo has passed an ordinance entitled “Water
Conservation and Drought Contingency Plan”; and

       WHEREAS, said ordinance defines drought stages and water management measures that will be
followed for each stage; and

       WHEREAS, under said ordinance the City Council shall determine the drought stage; and

        WHEREAS, on August 14, 2012, the water supply available to the City of San Angelo was less
than that needed to meet City demands for the next twelve months; and,

         WHEREAS, the minimum criteria for Drought Level III is that the total amount of water
available to the City from its developed water sources is less than an 12-month supply (the “trigger
point”):

     NOW, THEREFORE, BE IT RESOLVED BY THE CITY COUNCIL OF THE CITY OF SAN
ANGELO, TEXAS THAT:

       1) The amount of water available to the City from its developed water sources being less than an
          12-month supply, the criteria for entering “Drought Level III” stage is met and the City
          Council hereby declares that the City is in such Drought Level III stage; and

       2) All water conservation measures as detailed under the Drought Level III stage of the City’s
          Water Conservation and Drought Contingency Plan shall be applicable and enforced;
          effective September 1, 2012; and

       3) All water rate adjustments enacted with the implementation of the Drought Level III stage
          shall become effective with the beginning of the regular water billing cycle in October 2012;
          and

       4) When the available water supply rises above the trigger point for Drought Level III stage, the
          Director of Water Utilities may recommend to the City Council termination of Drought Level
          III stage status and a return to Drought Level II stage status or other recommendation.

       PASSED and APPROVED THIS 21st DAY OF AUGUST, 2012.


                                                       CITY OF SAN ANGELO, TEXAS

ATTEST:                                                _____________________________
                                                       Alvin New, Mayor
___________________________
Alicia Ramirez, City Clerk


APPROVED AS TO CONTENT                                 APPROVED AS TO FORM
__________________________             ______________________________
Will Wilde, Water Utilities Director   Lysia H. Bowling, City Attorney
City of San Angelo



Memo
 Date:               July 20, 2012

 To:                 Mayor and Councilmembers

 From:               Alicia Ramirez

 Subject:            Agenda Item for August 21, 2012 Council Meeting

 Contact:            Alicia Ramirez

 Caption:            Regular Item

                     Discussion and possible action to adopt a Resolution establishing a uniform policy
                     for the City of San Angelo’s Boards and Commissions


 Summary:            The City of San Angelo offers a number of ways for its citizens to become actively
                     involved in government business. In addition to the opportunity citizens have to
                     express their thoughts at City Council meetings and public hearings, San Angelo
                     citizens also may apply to serve on one or many boards and commissions (some
                     restriction apply). Unless otherwise stated, all vacancies are by appointment and
                     approved by the City Council.

                     Since 2008, several discussions have been held on number of City boards 
                     Commissions (BC), the overlapping interests and approval authority of the
                     boards, and establishing ways to reformulate the appointment structure, including
                     the vetting process, appointments as an individual elected official or as a
                     governmental body, board member terms and whether to coincide the board
                     terms with an elected official’s term, and conducting a formal orientation
                     procedure for existing and new board members. To date, several boards have
                     been consolidated and are outlined in the Executive Summary.

                     The Board Misc. Info. report provides the individual term limit and the month in
                     which a board member’s term expires. Term limits vary from 2 to 4 years and are
                     outlined in the respective board’s ordinance.

                     The intent of this uniform policy is to establish a process for newly elected City
                     Council members to review and declare the various BC seats as vacated since
                     the members of the advisory BC serve at the pleasure of the Council under each
                     of the ordinances establishing the respective board. The effect would be to link
                     the BC member terms to the City Council member’s term.

 History:            See Executive Summary

 Financial Impact:   Reduction in liaison and related staff time in coordinating and conducting meetings
                     as well as the customer’
s time in presenting their issues and concerns to more than one board with
                      overlapping functions.

Related Vision Item   N/A
(if applicable):

Other Information/    Staff seeks direction from Council.
Recommendation:

Attachments:          Report, Executive Summary, and Resolution

Presentation:         Interim City Manager Michael Dane and City Clerk Alicia Ramirez

Publication:          N/A

Reviewed by
Director:

Approved by Legal:    City Attorney Lysia H. Bowling
Executive Summary:

Staff continues to work on the changes as directed by Council on 3/22/11 (see section below). Since
that discussion, no interest has been expressed by the CVB or Civic Event board to consolidate. To date,
joint meetings have not been held based on the pending consolidations of the various proposed boards.

LAST DIRECTION GIVEN TO STAFF: 3/22/11; see further highlighted updates

                •   Parks and Recreation Commission will include the Parks Commission and Recreation
                    Advisory Board. Senior Advisory will remain a separate board.
                    o Staff has presented another recommendation to include Senior Advisory due to
                        the pending vacancies and direction of the department. Council in agreement.
                    o Staff researched the Park Commission matter in relation to the deed
                        restrictions. The consolidation included retaining oversight of the Santa Fe
                        Parks.
                    PENDING ACTION TO DATE: City Council adopted the Ordinance on 8/7/12
                    repealing the Recreation and Senior Boards and authorizing the newly created Park
                    and Recreation Advisory Board.

                •   Planning and Design Commission will include the Planning Commission, River
                    Corridor, Historic Preservation, and Public Art Commission.
                    PENDING ACTION TO DATE: Staff submitted the introduction of an Ordinance for
                    consideration on 8/21/12.

                •   Civic Events and Visitors Commission. Council approved the concept; however, the
                    consolidation will require further discussion and coordination between the Chamber
                    of Commerce, Convention and Visitors Bureau Board, and the Civic Events Board.
                    PENDING ACTION TO DATE: No action.

                •   Keep San Angelo Beautiful. Council approved the concept to model the Keep
                    America Beautiful organization and formulate the board as a non-profit
                    organization.
                    PENDING ACTION TO DATE: Board has not authorized 501(c) status due to lack of
                    quorum. Goal is to establish by September 2012 (June  July meetings canceled due
                    to lack of quorum)

                •   Hotel Occupancy Tax Oversight Board: Council suggested coinciding or partnering
                    this function with an existing board, possibly the Audit and/or Investment Oversight
                    Committee with the City Council as the final authority.
                    PENDING ACTION TO DATE: No action.
1/8/08        Initial discussion: BC member composition, appointment, and selection process
              Action: Member composition changed for:
              • Civic Events Board (Ord 11/3/09)
              • Historic Preservation
              • Planning Commission (Ord 9/21/10)
              • River Corridor Commission (Ord 11/9/09)
PENDING ACTION TO DATE: Since this action, HPC and RC will be combined and renamed as Planning 
Design Commission. Staff working with Legal and will soon be submitted for approval.

2/5/08       Action: Member composition changed for:
             • Zoning Board of Adjustment
PENDING ACTION TO DATE: Ordinance revision

8/19/08      Board composition reduced from 9 to 7 members for:
             • Recreation (Ord 11/3/09)
             • Senior (Ord 11/3/09)
PENDING ACTION TO DATE: None.

3/8/10 Established and adopted the work session criteria related to joint meetings between the City
Council and boards and commissions
PENDING ACTION TO DATE: Joint meetings have not occurred.

10/19/10     Direction to reformulate an appointment structure, including:
             • Vetting process
             • Appointment as an individual or as a governmental body
             • Board member terms
             • Orientation
PENDING ACTION TO DATE: See below.

3/1/11 Direction to staff:
                • Coincide Board member terms with City Council terms
                • Formal New board member orientation procedure
                • Recruitment Advisory Committee
                • Board Consolidation (see 3/22/11)
PENDING ACTION TO DATE: City Attorney currently formulating a Good Government Handbook. No
action on terms or recruitment committee.

September 18, 2012 Agenda packet

  • 1.
    NOTICE OF APUBLIC MEETING AN AGENDA OF A REGULAR MEETING OF THE CITY COUNCIL THE CITY OF SAN ANGELO, TEXAS 9:00 A.M. - Tuesday, September 18, 2012 McNease Convention Center, South Meeting Room 500 Rio Concho Drive THE MCNEASE CONVENTION CENTER IS ACCESSIBLE TO PERSONS WITH DISABILITIES. ACCESSIBLE ENTRIES AND SPECIALLY MARKED PARKING SPACES ARE AVAILABLE AT BOTH MAIN ENTRANCES AT SURBER DRIVE AND RIO CONCHO DRIVE. IF ADDITIONAL ASSISTANCE IS NEEDED TO OBSERVE OR COMMENT, PLEASE NOTIFY THE OFFICE OF THE CITY CLERK, ROOM 202, CITY HALL, 657-4405, AT LEAST 24 HOURS PRIOR TO THE MEETING. City Council meetings are broadcast on Channel 17-Government Access at 10:30 A.M. and 7:00 P.M. every day for two weeks beginning on the Thursday after each meeting. As a courtesy to those in attendance, please place your cell phone on “Silent” or “Vibrate” Thank You! I. OPEN SESSION (9:00 A.M.) A. Call to Order B. Prayer and Pledge "Honor the Texas flag; I pledge allegiance to thee, Texas, one state under God, one and indivisible.” C. Proclamation “Fire Prevention Week”, October 7-13, 2012, to be accepted by Thomas Truett, Fire Inspector for the City of San Angelo D. Recognition AJ Fawver, Planning Manager, for being named to the American Institute of Certified Planners E. Public Comment The Council takes public comment on all items in the Regular Agenda. Public input on a Regular Agenda item will be taken at its appropriate discussion. Public input on an item not on the Agenda or Consent Agenda may be identified and requested for consideration by the Council at this time. The Council may request an item to be placed on a future agenda, or for a Consent Agenda item, to be moved to the Regular Agenda for public comment. II. CONSENT AGENDA 1. Consideration of approving the following City Council meeting minutes: August 30, 2012, September 4, 2012, and September 5, 2012 2. Consideration of adopting a Resolution authorizing the Interim City Manager of his designee to execute a Planning Agreement by and between the Texas Department of Transportation, the San Angelo Metropolitan Planning Organization Policy Board, and the City of San Angelo, providing for the Urban District Transportation Planning and superseding prior agreements between the parties 3. Consideration of authorizing the Interim City Manager execute an grant agreement accepting the Federal Aviation Administration’s FY-2012 Multi Year Grant (Grant No. 3-48-0191-033-2012) estimated at $4,000,000.00 for which $444,444.00 will be City’s portion in matching funds for improvements a San Angelo Regional Airport City Council Agenda Page 1 of 7 September 18, 2012
  • 2.
    4. Consideration ofauthorizing a fourth amended Architectural and Consulting Services Agreement with Killis Almond Architects, PC for the design of Auditorium roof and coping replacement and authorizing the Interim City Manager to execute said amendment 5. Second Hearing and consideration of adoption of an Ordinance repealing in its entirety the Ordinance introduced, passed, approved and adopted on the 5th day of April, 2005 naming a private drive on Lot 1 in Southland Park Addition, Section Fifteen, Time Clock Drive; and providing an effective date 6. Second Hearing and consideration of adoption of an Ordinance naming a private drive within the City of San Angelo located on a 3.757 acre tract in Block CC, Section 30 College Hills South Addition, Time Clock Drive; and providing an effective date 7. Second Hearing and consideration of adoption of an Ordinance authorizing abandonment of public right-of-way for Smith Boulevard extending approximately 1000 feet northward from the intersection of Smith Boulevard and McGill Boulevard in northeastern San Angelo AN ORDINANCE PROVIDING FOR THE ABANDONMENT AND CLOSING OF THE FOLLOWING STREET SEGMENT, TO WIT: An approximately 80’ wide portion of the unimproved public right-of-way for Smith Boulevard, extending approximately 1000’ northward from McGill Boulevard, immediately adjacent to property owned by Howard College in northeast San Angelo; AUTHORIZING THE CONVEYANCE THEREOF TO THE ABUTTING PROPERTY OWNERS; PROVIDING FOR THE TERMS AND CONDITIONS OF ABANDONMENT AND CONVEYANCE; AND PROVIDING FOR THE MAYOR TO EXECUTE AND DELIVER A QUIT CLAIM DEED TO THE ABUTTING PROPERTY OWNERS 8. Second Hearing and consideration of adoption of an Ordinance amending Chapter 12, Exhibit “A” (Zoning Ordinance) of the Code of Ordinances, City of San Angelo Z 12-03: Howard College Campus AN ORDINANCE AMENDING CHAPTER 12, EXHIBIT “A” OF THE CODE OF ORDINANCES, CITY OF SAN ANGELO, TEXAS, WHICH SAID EXHIBIT “A” OF CHAPTER 12 ADOPTS ZONING REGULATIONS, USE DISTRICTS AND A ZONING MAP, IN ACCORDANCE WITH A COMPREHENSIVE PLAN, BY CHANGING THE ZONING AND CLASSIFICATION OF THE FOLLOWING PROPERTY, TO WIT: 3501 North US Highway 67, encompassing the area known as the Howard College, more specifically, being 33.802 acres out of the J. Pointevent Survey 1113, Abstract 4873, and Paulann Park Addition, Section 3, Tract H, being 0.76 acre, and Paulann Park Addition, Section 3, Tract G, being the northwestern 0.145 acre, in northeast San Angelo, a zone change from a combination of General Commercial (CG) and Light Manufacturing (ML) to Planned Development (PD) District; PROVIDING FOR SEVERABILITY AND PROVIDING A PENALTY 9. Second Hearing and consideration of adoption of an Ordinance amending Chapter 12, Exhibit “A” (Zoning Ordinance) of the Code of Ordinances, City of San Angelo SU 12-01: Daryl Presley AN ORDINANCE AMENDING CHAPTER 12, EXHIBIT “A” OF THE CODE OF ORDINANCES, CITY OF SAN ANGELO, TEXAS, WHICH SAID EXHIBIT “A” OF CHAPTER 12 ADOPTS ZONING REGULATIONS, USE DISTRICTS AND A ZONING MAP, IN ACCORDANCE WITH A COMPREHENSIVE PLAN, BY CHANGING THE ZONING AND CLASSIFICATION OF THE FOLLOWING PROPERTY, TO WIT: 2229 W Beauregard, located at the intersection of W Beauregard Avenue and South Pierce Street; more specifically occupying the Village Shopping Center Condo Subdivision, Block 25, Lots 5-8, in western San Angelo, to allow for a "Firearms Range" on property in a General Commercial/ Heavy Commercial (CG/CH) district; PROVIDING FOR SEVERABILITY AND PROVIDING A PENALTY City Council Agenda Page 2 of 7 September 18, 2012
  • 3.
    10. Second Hearingand consideration of adoption of an Ordinance amending Chapter 12, Exhibit “A” (Zoning Ordinance) of the Code of Ordinances, City of San Angelo Z 12-09: Donald Spradley AN ORDINANCE AMENDING CHAPTER 12, EXHIBIT “A” OF THE CODE OF ORDINANCES, CITY OF SAN ANGELO, TEXAS, WHICH SAID EXHIBIT “A” OF CHAPTER 12 ADOPTS ZONING REGULATIONS, USE DISTRICTS AND A ZONING MAP, IN ACCORDANCE WITH A COMPREHENSIVE PLAN, BY CHANGING THE ZONING AND CLASSIFICATION OF THE FOLLOWING PROPERTY, TO WIT: 13 W 11th Street, located approximately 160 feet from the intersection of North Chadbourne Street and W 11th Street; more specifically occupying the Miles Addition, Block 52, Lot 4, in central San Angelo, changing the zoning classification from Two Family Residential (RS-2) to General Commercial (CG) District; PROVIDING FOR SEVERABILITY AND PROVIDING A PENALTY 11. Second Hearing and consideration of adoption of an Ordinance authorizing abandonment of public right-of-way in Lake View Addition Block 40 and the Jacoby Addition, Block 1 in northern San Angelo AN ORDINANCE PROVIDING FOR THE ABANDONMENT AND CLOSING OF THE FOLLOWING STREET SEGMENT, TO WIT: An approximately 10’ x 123’ portion of alley running east to west, perpendicular to Travis Street, between The Jacoby Addition, Block 1, Lot 1 and Lake View Addition, Block 40, Lots 5-7 in northern San Angelo; AUTHORIZING THE CONVEYANCE THEREOF TO THE ABUTTING PROPERTY OWNERS; PROVIDING FOR THE TERMS AND CONDITIONS OF ABANDONMENT AND CONVEYANCE; AND PROVIDING FOR THE MAYOR TO EXECUTE AND DELIVER A QUIT CLAIM DEED TO THE ABUTTING PROPERTY OWNERS III. REGULAR AGENDA: F. EXECUTIVE/CLOSED SESSION Executive Session under the provision of Government Code, Title 5. Open Government; Ethics, Subtitle A. Open Government, Chapter 551. Open Meetings, Subchapter D. Exceptions to Requirement that Meetings be Open, Section 551.072 to deliberate the purchase, exchange, lease, or value of real property Executive Session under the provision of Government Code, Title 5. Open Government; Ethics, Subtitle A. Open Government, Chapter 551. Open Meetings, Subchapter D. Exceptions to Requirement that Meetings be Open, Section 551.071 to consult with attorney on matters related to the TriCity Water initiatives and other legal matters pertaining to water acquisition rights Executive Session under the provision of Government Code, Title 5. Open Government; Ethics, Subtitle A. Open Government, Chapter 551. Open Meetings, Subchapter D. Exceptions to Requirement that Meetings be Open, Section 551.087 to discuss an offer of financial or other incentive to a company or companies with whom the City of San Angelo is conducting economic development negotiations and which the City of San Angelo seeks to have, locate, stay or expand in San Angelo G. PUBLIC HEARING AND COMMENT 12. Presentation and update from Downtown San Angelo Main Street Program (Presentation by DSA President Brenda Gunter) 13. Status update and discussion of Avenue P Drainage Remediation Project (Presentation by City Engineer Clinton Bailey) 14. First Public Hearing and consideration of introduction of an Ordinance amending the standards for visual clearance on corner lots AN ORDINANCE AMENDING CHAPTER 12, EXHIBIT “A” ENTITLED “ZONING ORDINANCE”, ARTICLE 5 ENTITLED “GENERAL DEVELOPMENT STANDARDS”, City Council Agenda Page 3 of 7 September 18, 2012
  • 4.
    SECTION 510 ENTITLED“VISUAL CLEARANCE ON CORNER LOTS”, BY RESTATING SAID SECTION TO PROVIDE FOR AN EXCEPTION OF THE REQUIREMENT FOR MAINTENANCE OF A “SIGHT TRIANGLE” ON CERTAIN CORNER LOTS FOR THE CENTRAL BUSINESS DISTRICT; AND PROVIDING FOR AN EFFECTIVE DATE (Presentation by Planning Manager AJ Fawver) 15. Consideration of authorizing the Interim City Manager or designee to execute a Professional Services Agreement between the City of San Angelo and Gateway Planning Group to carry out services outlined in CED 05-11 in preparing a Small Area Plan for Lake Nasworthy to provide professional land use planning services in a targeted area of Lake Nasworthy (Presentation by Planning Manager AJ Fawver) 16. Discussion, update, and presentation regarding status of PL-01-12 Downtown Master Developer (Presentation by Planning Manager AJ Fawver) 17. Update on the Self-Insurance Fund and consideration of authorizing the health insurance premiums for calendar year 2013 (Presentation by Human Resources Director Lisa Marley) 18. Discussion regarding dental benefits for retirees and Cost of Living Adjustments for retirees (Requested by Councilmember Farmer) 19. Pay and Classification Study update; and discussion of methodology and approval of pay increases for City employees (Presentation by Human Resources Director Lisa Marley, Interim City Manager Michael Dane, and Budget Manager Morgan Trainer) 20. Second Public Hearing and consideration of adoption of an Ordinance levying property taxes for the City of San Angelo for the 2012 tax year AN ORDINANCE FIXING AND LEVYING AD VALOREM TAXES FOR THE USE AND SUPPORT OF THE MUNICIPAL GOVERNMENT OF THE CITY OF SAN ANGELO, TEXAS, FOR THE 2012-2013 BUDGET YEAR; PROVIDING FOR THE ASSESSMENT AND COLLECTION THEREOF; PROVIDING WHEN THE TAX SHALL BECOME DUE; PROVIDING WHEN THE TAX SHALL BECOME DELINQUENT; PROVIDING FOR EXEMPTIONS; PROVIDING FOR SEVERABILITY; PROVIDING FOR PUBLICATION ON THE CITY OPERATED WEB SITE; AND, PROVIDING FOR AN EFFECTIVE DATE. (Presentation by Budget Manager Morgan Trainer) 21. First Public Hearing and consideration of introduction of an Ordinance amending Appendix A of the Code of Ordinances, City of San Angelo regarding utility related fees AN ORDINANCE AMENDING APPENDIX A, “FEE SCHEDULE”, ARTICLE 8.000 “UTILITY RELATED FEES”, OF THE CODE OF ORDINANCES, CITY OF SAN ANGELO, TEXAS, AMENDING SECTION 8.1500 “CHARGE FOR COLLECTION OF GARBAGE AND TRASH”, BY RESTATING SUBPART (a) RESIDENTIAL SERVICES”, (1) “RESIDENCE SERVICE CHARGES”, ADJUSTING RESIDENCE SERVICE CHARGES; AMENDING SECTION 8.1500 “CHARGE FOR COLLECTION OF GARBAGE AND TRASH”, BY RESTATING SUBPART (b) “COMMERCIAL SERVICE”, (2) “COMMERCIAL SERVICE CHARGES”, ADJUSTING COMMERCIAL SERVICE CHARGES; AMENDING SECTION 8.1700 “LANDFILL CHARGES”, BY RESTATING SUBPARTS (a), (f) AND (g), ADJUSTING LANDFILL CHARGES FOR LICENSED COLLECTORS, CITY RESIDENTS, NON-RESIDENTS, AND FOR GARBAGE DUMPED BY OR FOR CERTAIN GOVERNMENT ENTITIES; PROVIDING FOR SEVERABILITY; AND PROVIDING AN EFFECTIVE DATE (Presentation by Budget Manager Morgan Trainer and Operations Director Ricky Dickson) City Council Agenda Page 4 of 7 September 18, 2012
  • 5.
    BUDGET RELATED ITEMS#22 THROUGH #28 WILL BE PRESENTED BY BUDGET MANAGER MORGAN TRAINER AND RELATED STAFF 22. First Public Hearing and consideration of introduction of Ordinance amending Appendix A “Fee Schedule” related to the FY 2012-2013 Budget regarding Alarm Permit Fees AN ORDINANCE AMENDING APPENDIX A, “FEE SCHEDULE”, ARTICLE 3.000 “BUSINESS RELATED FEES”, SECTION 3.900 “ALARM PERMIT FEES” OF THE CODE OF ORDINANCES, CITY OF SAN ANGELO, TEXAS, BY RESTATING SAID SECTION TO ADJUST ALARM PERMIT FEES FOR BURGLARY AND ROBBERY ALARM SYSTEMS, FALSE BURGLARY AND ROBBERY ALARM FEES, AND REINSTATEMENT FEE, AND PROVIDING FOR AN ANNUAL BURGLARY AND ROBBERY ALARM SYSTEM PERMIT LATE FEE; PROVIDING FOR SEVERABILITY; AND PROVIDING AN EFFECTIVE DATE 23. First Public Hearing and consideration of introduction of Ordinance amending Appendix A “Fee Schedule” related to the FY 2012-2013 Budget regarding abandoning of rights-of-ways AN ORDINANCE AMENDING APPENDIX A, “FEE SCHEDULE”, ARTICLE 9.000 “PLANNING RELATED FEES”, SECTION 9.500.5 “CONVEYANCE OF PROPERTY INTEREST,” BY RESTATING SAID SECTION TO PROVIDE FOR AN ADMINISTRATIVE PROCESSING FEE IN ADDITION TO THE REQUIRED FEE FOR VALUE ON THE CONVEYANCE OF CITY’S INTEREST IN RIGHTS-OF-WAY 24. First Public Hearing and consideration of introduction of Ordinance amending Appendix A “Fee Schedule” related to the FY 2012-2013 Budget regarding planning related fees AN ORDINANCE AMENDING APPENDIX A, “FEE SCHEDULE”, ARTICLE 9.000 “PLANNING RELATED FEES”, OF THE CODE OF ORDINANCES, CITY OF SAN ANGELO, TEXAS, AMENDING SECTION 9.200 “PLANNING AND DEVELOPMENT FEES”, RESTATING SAID SECTION TO CREATE A SINGLE APPLICATION FEE FOR CHANGES OF ZONING CLASSIFICATION BY CREATING AN APPLICATION FEE FOR A SPECIAL USE, BY CREATING AN APPLICATION FEE FOR A CONDITIONAL USE, BY CREATING A FEE FOR ALL APPLICATIONS FOR ZONE CHANGE TO PD DISTRICT, BY PROVIDING FOR ZONE CHANGE SIGN DEPOSIT AND REFUND OF SIGN DEPOSIT, AND BY CREATING A FEE FOR FILING OF AN APPEAL; REPEALING SECTION 9.200.5 “PLANNED DEVELOPMENT FEES; AMENDING SECTION 9.300 “ZONING BOARD APPLICATION FEES”, RESTATING SAID SECTION TO ADJUST THE FEES FOR A REQUEST FOR VARIANCE FROM ZONING REGULATIONS AND THE FEE FOR APPEAL; AMENDING SECTION 9.400 “PRELIMINARY PLATS/FINAL PLATS/REPLATS (EXCEPT ADMINISTRATIVE SUBDIVISIONS)”, RESTATING SAID SECTION TO PROVIDE FEES FOR APPLICATIONS FOR PRELIMINARY PLAT, FINAL PLAT AND REPLAT, AND A SUPPLEMENTAL FEE FOR REPLATS THAT REQUIRE RENOTIFICATION; AMENDING SECTION 9.400.5 “FINAL PLATS/REPLATS OF ADMINISTRATIVE SUBDIVISIONS”, RESTATING SAID SECTION TO PROVIDE FEES FOR APPLICATIONS FOR FINAL AND REPLATS OF ADMINISTRATIVELY ELIGIBLE SUBDIVISIONS, AND SUPPLEMENTAL FEE FOR FINAL PLAT OR REPLAT REQUIRING NOTIFICATION; AMENDING SECTION 9.500 “MISCELLANEOUS PLANNING FEES”, RESTATING SAID SECTION TO UPDATE FEES FOR MISCELLANEOUS REQUESTS; PROVIDING FOR SEVERABILITY; AND PROVIDING AN EFFECTIVE DATE 25. First Public Hearing and consideration of introduction of Ordinance amending Chapter 7 regarding restaurant permit fees AN ORDINANCE AMENDING CHAPTER 7 “HEALTH & SANITATION”, ARTICLE 7.200 “REGULATION OF FOOD ESTABLISHMENTS”, SECTION 7.201 “DEFINITIONS” OF THE CODE OF ORDINANCES OF THE CITY OF SAN ANGELO, TEXAS, BY ADDING A DEFINITION FOR “SEASONAL”; AMENDING APPENDIX A, “FEE SCHEDULE”, ARTICLE 13.000 “HEALTH AND SANITATION RELATED FEES”, OF THE CODE OF ORDINANCES, CITY OF SAN ANGELO, TEXAS, SECTION 13.001 “RESTAURANT PERMIT FEES” BY City Council Agenda Page 5 of 7 September 18, 2012
  • 6.
    RESTATING SAID SECTIONTO PROVIDE FOR THE ADJUSTMENT OF RESTAURANT PERMIT FEES AND LATE FEE; PROVIDING FOR SEVERABILITY; AND PROVIDING AN EFFECTIVE DATE 26. First Public Hearing and consideration of introduction of Ordinance amending Appendix A “Fee Schedule” related to the FY 2012-2013 Budget regarding the Office of the City Attorney’s fees AN ORDINANCE AMENDING APPENDIX A, ENTITLED “FEE SCHEDULE,” OF THE CODE OF ORDINANCES OF THE CITY OF SAN ANGELO, TEXAS BY ADDING A NEW ARTICLE 15.000 ESTABLISHING A FEE SCHEDULE OF ADMINISTRATIVE FEES TO BE CHARGED BY THE OFFICE OF THE CITY ATTORNEY FOR ADMINISTRATIVE EXPENSES AND COSTS INCURRED IN ENGAGING IN THE COLLECTION OF MONIES OWED THE CITY OF SAN ANGELO, TEXAS, PROVIDING FOR SEVERABILITY; AND PROVIDING FOR AN EFFECTIVE DATE 27. First Public Hearing and consideration of introduction of Ordinance amending Appendix A “Fee Schedule” related to the FY 2012-2013 Budget regarding administrative abatement service fees AN ORDINANCE AMENDING APPENDIX A, “FEE SCHEDULE”, ARTICLE 4.000 “FEES FOR THE ABATEMENT OF JUNK AND THE IMPOUNDMENT AND SALE OF PROPERTY”, OF THE CODE OF ORDINANCES, CITY OF SAN ANGELO, TEXAS, BY ADDING A NEW SECTION 4.300 “JUNK, TRASH, WEEDS AND UNSANITARY CONDITIONS ADMINISTRATIVE ABATEMENT SERVICE FEE” TO PROVIDE FOR AN ADMINISTRATIVE ABATEMENT SERVICE FEE FOR THE ABATEMENT BY THE CITY OF UNSANITARY CONDITIONS; PROVIDING FOR SEVERABILITY; AND PROVIDING AN EFFECTIVE DATE 28. First Public Hearing and consideration of introduction of Ordinance amending Appendix A “Fee Schedule” related to the FY 2012-2013 Budget regarding taxicab permit fees AN ORDINANCE AMENDING APPENDIX A, “FEE SCHEDULE”, ARTICLE 3.000 “BUSINESS RELATED FEES”, OF THE CODE OF ORDINANCES, CITY OF SAN ANGELO, TEXAS, SECTION 3.300 “TAXICAB PERMIT FEE”, SUBPARAGRAPH (a), BY RESTATING SAID SUBPARAGRAPH (a) TO PROVIDE FOR THE ADJUSTMENT OF TAXICAB PERMIT FEES; PROVIDING FOR SEVERABILITY; AND PROVIDING AN EFFECTIVE DATE 29. First Public Hearing and consideration of introduction of Ordinance amending Article 11.200 of the Water Conservation and Drought Contingency Ordinance by adding a new subsection to the Exception and Variance Section AN ORDINANCE AMENDING CHAPTER 11, ARTICLE 11.200, SECTION 11.204 OF THE CODE OF ORDINANCES, CITY OF SAN ANGELO, TEXAS, ENTITLED “WATER CONSERVATION AND DROUGHT CONTINGENCY PLAN”, BY AMENDING SUBSECTION 11.204(a) “EXCEPTIONS”; PROVIDING FOR SEVERABILITY; PROVIDING FOR A PENALTY; AND PROVIDING FOR AN EFFECTIVE DATE (Presentation by Water Utilities Director Will Wilde) 30. Consideration of adopting a Resolution implementing Drought Level III of the City’s Water Conservation and Drought Contingency Plan (Presentation by Water Utilities Director Will Wilde) 31. Consideration of matters related to the filling and operation of city fountains, water lily basins and Love Municipal Pool during Drought Stage III (Presentation by Parks and Recreation Director Carl White) 32. Discussion and possible action to adopt a Resolution establishing a uniform policy for the City of San Angelo’s Boards and Commissions (Requested by Councilmember Hirschfeld) City Council Agenda Page 6 of 7 September 18, 2012
  • 7.
    H. FOLLOW UPAND ADMINISTRATIVE ISSUES 33. Consideration of matters discussed in Executive/Session, if needed 34. Consideration of various Board nominations by Council and designated Councilmembers: a. Design and Historic Review Commission:  To a first full term September 2014: Bill Carter (SMD2), Benjamin Villarreal (SMD3), Hal Noelke (SMD5), and Gary Donaldson (SMD6)  To a first full term September 2013: Margaret Mallard (SMD4) b. Development Corporation: Pedro Ramirez (SMD3) to an unexpired term February 2013 35. Announcements and consideration of Future Agenda Items The City of San Angelo will host a Grand Opening event for the newly renovated City Hall, 72 W. College, and Community Development Building, 52 W. College, on Thursday, October 18, 2012, from 5:00 P.M. to 8:00 P.M. 36. Adjournment Given by order of the City Council and posted in accordance with Title 5, Texas Government Code, Chapter 551, Friday, September 14, 2012, at 5:00 P.M. /x/________________________ Alicia Ramirez, City Clerk City Council Agenda Page 7 of 7 September 18, 2012
  • 8.
    CITY COUNCIL MINUTERECORD The City of San Angelo Page 699 Tuesday, August 30, 2012 Vol. 103 OPEN SESSION BE IT REMEMBERED City Council convened in a special meeting at 1:34 P.M., Tuesday, August 30, 2012, in the San Angelo McNease Convention Center, 500 Rio Concho Drive, San Angelo, Texas. All duly authorized members of the Council, to-wit: Mayor, Alvin New Councilmember Paul Alexander Councilmember Dwain Morrison Councilmember Johnny Silvas Councilmember Fredd B. Adams, II Councilmember Kendall Hirschfeld Councilmember Charlotte Farmer were present and acting, with the exception of Councilmember Adams, thus constituting a quorum. Whereupon, the following business was transacted: An invocation was given by and pledge was led by Mayor New. SPECIAL AGENDA EXECUTIVE/CLOSED SESSION At 1:36 P.M., Council convened in Executive Session under the provision of Government Code, Title 5. Open Government; Ethics, Subtitle A. Open Government, Chapter 551. Open Meetings, Subchapter D. Exceptions to Requirement that Meetings be Open, Section 551.074 Personnel Matters to discuss the appointment, employment, and duties of the City Manager. OPEN SESSION (continued) At 3:20 P.M. City Council concluded the Executive/Closed Session whereupon the following business was transacted: RECESS At AP.M., Mayor New called a recess. RECONVENE At AP.M., Council reconvened, and the following business was transacted: PUBLIC HEARING AND COMMENT FOLLOW UP AND ADMINISTRATIVE ISSUES CONSIDERATION OF MATTERS DISCUSSED IN EXECUTIVE/CLOSED SESSION Motion, to select the following candidates as finalist for the position of City Manager: Christopher D. Coffman, Jared H. Miller, Susan K. Thorpe, Daniel H. Valenzuela, and Melissa Byrne Vossmer, was made by Councilmember Hirschfeld and seconded by Councilmember Silvas. Motion carried unanimously.
  • 9.
    Page 700 Minutes Vol. 103 August 30, 2012 ADJOURNMENT Motion, to adjourn, was made by Councilmember Adams and seconded by Councilmember Farmer. Motion carried unanimously. The meeting adjourned at 3:24 P.M. THE CITY OF SAN ANGELO ___________________________________ Alvin New, Mayor ATTEST: _______________________________ Alicia Ramirez, City Clerk In accordance with Chapter 2, Article 2.300, of the Official Code of the City of San Angelo, the minutes of this meeting consist of the preceding Minute Record and the Supplemental Minute Record. Details on Council meetings may be obtained from the City Clerk’s Office or a video of the entire meeting may be purchased from the Public Information Officer at 481-2727. (Portions of the Supplemental Minute Record video tape recording may be distorted due to equipment malfunction or other uncontrollable factors.)
  • 10.
    CITY COUNCIL MINUTERECORD The City of San Angelo Page 701 Tuesday, September 4, 2012 Vol. 103 OPEN SESSION BE IT REMEMBERED City Council convened in a regular meeting at 9:09 A.M., Tuesday, September 4, 2012, in the San Angelo McNease Convention Center, 500 Rio Concho Drive, San Angelo, Texas. All duly authorized members of the Council, to-wit: Mayor, Alvin New Councilmember Paul Alexander Councilmember Dwain Morrison Councilmember Johnny Silvas Councilmember Fredd B. Adams, II Councilmember Kendall Hirschfeld Councilmember Charlotte Farmer were present and acting, with the exception of Councilmember Adams, thus constituting a quorum. Whereupon, the following business was transacted: An invocation was given by Bishop Michael Pfeiffer, OMI and pledge was led by Colby Grafa, 5th Grader, Bowie Elementary, son of Steven Grafa, Parks Facilities Crew Leader. PROCLAMATIONS “Day of Community Prayer for the success of this year’s United Way Campaign in the Concho Valley”, September 4, 2012, was accepted by Patti Breitreiter, President & CEO of the United Way of the Concho Valley, Donna Brosh, Campaign Director, and Bishop Michael Pfeiffer, OMI. “United Way of the Concho Valley's Children's Day”, September 15, 2012, was accepted by Patti Breitreiter, President & CEO of the United Way of the Concho Valley, Donna Brosh, Campaign Director, and Bishop Michael Pfeiffer, OMI. “Constitution Week”, September 17th through 24th, 2012, was accepted by Shirley Dobson, Texas Society Daughters of the American Revolution, District X Director. PUBLIC COMMENT Public comments were made by WTOS member Jerry Sea. CONSENT AGENDA APPROVAL OF THE AUGUST 21, 2012 CITY COUNCIL REGULAR MEETING MINUTES ADOPTION OF A RESOLUTION AWARDING A UNIT SUPPLY BID FOR EMS SUPPLIES, RFB NO. FD-01-12, TO ZOLL MEDICAL CORPORATION, AND AUTHORIZATION FOR THE INTERIM CITY MANAGER OR HIS DESIGNEE TO NEGOTIATE AND EXECUTE A CONTRACT THEREFORE AND RELATED PURCHASING DOCUMENTS ON BEHALF OF THE CITY OF SAN ANGELO FIRE DEPARTMENT, AND PROVIDING FOR AN EFFECTIVE DATE (Page 711, #2012-09-121) CONSIDERATION OF AUTHORIZING THE SALE OF THE PROPERTY LOCATED AT 2202 JOY ROAD (HIRSCHFELD) FOR THE APPRAISED VALUE OF $49,300.00 AND AUTHORIZATION FOR THE MAYOR, INTERIM CITY MANAGER, OR WATER UTILITIES DIRECTOR TO EXECUTE ALL NECESSARY LEGAL DOCUMENTS PERTAINING TO THE SALE OF SUBJECT PROPERTIES, SUBJECT TO COMPLETION OF ALL CURATIVE REQUIREMENTS (Discussed in Regular Session)
  • 11.
    Page 702 Minutes Vol. 103 September 4, 2012 ADOPTION OF A RESOLUTION APPROVING PARTICIPATION OF THE CITY OF SAN ANGELO IN THE TEXAS EVENTS TRUST FUND FOR THE LUCAS OIL 2013 FIRST ANNUAL OFF ROAD RACING EVENT AND AUTHORIZATION FOR THE INTERIM CITY MANAGER TO APPLY FOR A TEXAS EVENTS TRUST FUND GRANT THEREFORE (Page 713, #2012-09-122) ADOPTION OF A RESOLUTION ACCEPTING THE FY2013 PUBLIC HEALTH EMERGENCY PREPAREDNESS GRANT FROM THE DEPARTMENT OF STATE HEALTH SERVICES IN THE AMOUNT OF $110,166.00 WITH THE CITY PROVIDING A 10% MATCH OF $11,016.00 (Page 715, #2012-09-123) ADOPTION OF A RESOLUTION ACCEPTING THE FY2013 RLSS-LOCAL PUBLIC HEALTH SYSTEM GRANT FROM THE DEPARTMENT OF STATE HEALTH SERVICES IN THE AMOUNT OF $119,433.00 (Page 717, #2012-09-124) CONSIDERATION OF APPROVING A COUNCILMEMBER HIRSCHFELD’S APPOINTMENT AS A CITY REPRESENTATIVE TO THE CONCHO WATERMASTER ADVISORY COMMITTEE (Discussed in Regular Session) SECOND HEARING AND ADOPTION OF AN ORDINANCE TO DISSOLVE THE RIVER CORRIDOR COMMISSION AND HISTORIC PRESERVATION COMMISSION AND TO CREATE A NEW COMMISSION ENTITLED DESIGN AND HISTORIC REVIEW COMMISSION AND MATTERS RELATED THERETO (Page 719, #2012-09-125) AN ORDINANCE AMENDING CHAPTER 2 “ADMINISTRATION”, OF THE CODE OF ORDINANCES OF THE CITY OF SAN ANGELO BY REPEALING ARTICLE 2.3000 ENTITLED “HISTORIC PRESERVATION COMMISSION” IN ITS ENTIRETY; REPEALING ARTICLE 2.2800 ENTITLED “RIVER CORRIDOR COMMISSION” IN ITS ENTIRETY AND ENACTING A NEW ARTICLE 2.2800 ENTITLED “DESIGN AND HISTORIC REVIEW COMMISSION”; PROVIDING FOR THE CREATION OF THE COMMISSION; PROVIDING FOR THE QUALIFICATIONS AND TERMS OF COMMISSIONERS; PROVIDING FOR DUTIES, OFFICERS, HISTORIC PRESERVATION OFFICER, EX- OFFICIO MEMBERS, AND QUORUM OF THE COMMISSION; PROVIDING FOR BYLAWS; PROVIDING FOR MEETINGS AND MINUTES; PROVIDING FOR ABSENT MEMBERS; AMENDING CHAPTER 12, “PLANNING AND DEVELOPMENT”, ARTICLE 2 “DEVELOPMENT REVIEW, SECTION 215 “DECISION-MAKING BODIES AND OFFICIALS” BY AMENDING SUBPARAGRAPH “E” SETTING FORTH POWERS OF THE DESIGN AND HISTORIC REVIEW COMMISSION; AMENDING CHAPTER 12, “PLANNING AND DEVELOPMENT”, ARTICLE 2 “DEVELOPMENT REVIEW, SECTION 215 “DECISION-MAKING BODIES AND OFFICIALS” BY REPEALING SUBPARAGRAPH “F”; AMENDING CHAPTER 12, “PLANNING AND DEVELOPMENT”, ARTICLE 12.700 “RIVER CORRIDOR DEVELOPMENT”, BY REPEALING SECTIONS 12.704 AND 12.705 AND RESTATING SECTION 12.702 ”DEFINITION OF RIVER CORRIDOR” AND 12.703 “ISSUANCE OF BUILDING PERMITS; APPEALS”, PROVIDING FOR REVIEW OF CONSTRUCTION PLANS BY THE DESIGN AND HISTORIC REVIEW COMMISSION; AMENDING CHAPTER 12, “PLANNING AND DEVELOPMENT”, ARTICLE 12.800 “HISTORIC PRESERVATION TAX ABATEMENT”, BY RESTATING SECTION 12.802 “HISTORIC OVERLAY ZONE TAX ABATEMENT”, AND SECTION 12.803 “HISTORIC PROJECT TAX ABATEMENT”, TO PROVIDE FOR HISTORIC OVERLAY TAX ABATEMENT AND REVIEW BY THE DESIGN AND HISTORIC REVIEW COMMISSION, TO PROVIDE FOR HISTORIC PROJECT TAX ABATEMENT ON APPLICATION TO THE DESIGN AND HISTORIC REVIEW COMMISSION AND PROVIDING FOR APPEALS; AMENDING CHAPTER 12, “PLANNING AND DEVELOPMENT”, EXHIBIT A, “ZONING ORDINANCE”, ARTICLE 2 “DEVELOPMENT REVIEW”, BY RESTATING SECTION 202 “SUMMARY OF DEVELOPMENT REVIEW PROCEDURES”, TO PROVIDE A SUMMARY OF DEVELOPMENT REVIEW PROCEDURES; AMENDING CHAPTER 12, “PLANNING AND DEVELOPMENT”, EXHIBIT A, “ZONING
  • 12.
    Minutes Page 703 September 4, 2012 Vol. 103 ORDINANCE”, ARTICLE 2, “DEVELOPMENT REVIEW”, BY RESTATING SECTION 211 “HISTORIC OVERLAY ZONE”, PROVIDING FOR A HISTORIC OVERLAY ZONE AND PROCEDURES FOR DESIGNATION OF LANDMARK OR DISTRICTS, FOR PUBLIC HEARING BEFORE THE DESIGN AND HISTORIC REVIEW COMMISSION, AND FOR APPEAL; AMENDING CHAPTER 12, “PLANNING AND DEVELOPMENT”, EXHIBIT A, “ZONING ORDINANCE”, BY REPEALING ARTICLE 3 “USE REGULATIONS”, SECTION 308 “HO (HISTORIC OVERLAY ZONE)”, SUBCHAPTER F “DEMOLITION BY NEGLECT”; AMENDING CHAPTER 12, “PLANNING AND DEVELOPMENT, EXHIBIT C, “LAND DEVELOPMENT AND SUBDIVISION ORDINANCE”, CHAPTER 5 “PROCEDURAL REQUIREMENTS FOR PROCESSING SUBDIVISIONS” BY REPEALING SECTION VII “RIVER CORRIDOR DEVELOPMENT; PROVIDING FOR SEVERABILITY OF TERMS AND PROVISIONS; AND, PROVIDING FOR AN EFFECTIVE DATE. Councilmember Hirschfeld requested the sale of the property located at 2202 Joy Road (Hirschfeld) be considered in the Regular Agenda and further recused himself from voting on the item. Council concurred Councilmember Farmer requested the item regarding Hirschfeld’s appointment as a city representative to the Concho Watermaster Advisory Committee also be considered in the Regular Agenda. Council concurred. Motion, to approve the Consent Agenda, as presented, with the exception of items regarding 2202 Joy Road and the Concho Watermaster Advisory Committee, was made by Councilmember Farmer and seconded by Councilmember Silvas. Motion carried unanimously. REGULAR AGENDA: PUBLIC HEARING AND COMMENT AUTHORIZATION FOR THE SALE OF THE PROPERTY LOCATED AT 2202 JOY ROAD (HIRSCHFELD) FOR THE APPRAISED VALUE OF $49,300.00 AND AUTHORIZATION FOR THE MAYOR, INTERIM CITY MANAGER, OR WATER UTILITIES DIRECTOR TO EXECUTE ALL NECESSARY LEGAL DOCUMENTS PERTAINING TO THE SALE OF SUBJECT PROPERTIES, SUBJECT TO COMPLETION OF ALL CURATIVE REQUIREMENTS (Discussed in Regular Session) Motion, to authorize the sale, as presented, was made by and seconded by . Motion carried unanimously. APPROVAL OF COUNCILMEMBER HIRSCHFELD’S APPOINTMENT AS A CITY REPRESENTATIVE TO THE CONCHO WATERMASTER ADVISORY COMMITTEE (Discussed in Regular Session) Motion, to approve the appointment, as presented, was made by and seconded by . Motion carried unanimously. Councilmember Hirschfeld rejoined the meeting. CONSIDERATION OF MATTERS RELATED TO THE NAMING OF A PRIVATE DRIVE WITHIN THE CITY OF SAN ANGELO: · FIRST PUBLIC HEARING AND INTRODUCTION OF AN ORDINANCE REPEALING IN ITS ENTIRETY THE ORDINANCE INTRODUCED, PASSED, APPROVED AND ADOPTED ON THE 5TH DAY OF APRIL, 2005 NAMING A PRIVATE DRIVE ON LOT 1 IN SOUTHLAND PARK ADDITION, SECTION FIFTEEN, TIME CLOCK DRIVE; AND PROVIDING AN EFFECTIVE DATE · FIRST PUBLIC HEARING AND INTRODUCTION OF AN ORDINANCE NAMING A PRIVATE DRIVE WITHIN THE CITY OF SAN ANGELO LOCATED ON A 3.757 ACRE TRACT IN BLOCK CC, SECTION 30 COLLEGE HILLS SOUTH ADDITION, TIME CLOCK DRIVE; AND PROVIDING AN EFFECTIVE DATE Development Coordinator Bob Schneeman presented background information. A copy of the presentation is part of the Permanent Supplemental Minute record. Motion, to introduce the Ordinance repealing and Ordinance designating Time Clock Drive, as presented, was made by Councilmember Silvas and seconded by Councilmember Morrison.
  • 13.
    Page 704 Minutes Vol. 103 September 4, 2012 Fire Chief Brian Dunn expressed his concerns regarding public safety response time as a result of changing names of streets and related 911 issues. A vote was taken on the motion on the floor. Motion carried unanimously. Councilmember Adams arrived to the meeting at 9:39 A.M. FIRST PUBLIC HEARING AND INTRODUCTION OF AN ORDINANCE AUTHORIZING ABANDONMENT OF PUBLIC RIGHT-OF-WAY FOR SMITH BOULEVARD EXTENDING APPROXIMATELY 1000 FEET NORTHWARD FROM THE INTERSECTION OF SMITH BOULEVARD AND MCGILL BOULEVARD IN NORTHEASTERN SAN ANGELO AN ORDINANCE PROVIDING FOR THE ABANDONMENT AND CLOSING OF THE FOLLOWING STREET SEGMENT, TO WIT: An approximately 80’ wide portion of the unimproved public right-of-way for Smith Boulevard, extending approximately 1000’ northward from McGill Boulevard, immediately adjacent to property owned by Howard College in northeast San Angelo; AUTHORIZING THE CONVEYANCE THEREOF TO THE ABUTTING PROPERTY OWNERS; PROVIDING FOR THE TERMS AND CONDITIONS OF ABANDONMENT AND CONVEYANCE; AND PROVIDING FOR THE MAYOR TO EXECUTE AND DELIVER A QUIT CLAIM DEED TO THE ABUTTING PROPERTY OWNERS Planning Manager AJ Fawver presented background information. A copy of the presentation is part of the Permanent Supplemental Minute record. Motion, to introduce the Ordinance, as presented, was made by Councilmember Morrison and seconded by Councilmember Adams. Motion carried unanimously. FIRST PUBLIC HEARING AND INTRODUCTION OF AN ORDINANCE AMENDING CHAPTER 12, EXHIBIT “A” (ZONING ORDINANCE) OF THE CODE OF ORDINANCES, CITY OF SAN ANGELO Z 12-03: Howard College Campus AN ORDINANCE AMENDING CHAPTER 12, EXHIBIT “A” OF THE CODE OF ORDINANCES, CITY OF SAN ANGELO, TEXAS, WHICH SAID EXHIBIT “A” OF CHAPTER 12 ADOPTS ZONING REGULATIONS, USE DISTRICTS AND A ZONING MAP, IN ACCORDANCE WITH A COMPREHENSIVE PLAN, BY CHANGING THE ZONING AND CLASSIFICATION OF THE FOLLOWING PROPERTY, TO WIT: 3501 North US Highway 67, encompassing the area known as the Howard College, more specifically, being 33.802 acres out of the J. Pointevent Survey 1113, Abstract 4873, and Paulann Park Addition, Section 3, Tract H, being 0.76 acre, and Paulann Park Addition, Section 3, Tract G, being the northwestern 0.145 acre, in northeast San Angelo, a zone change from a combination of General Commercial (CG) and Light Manufacturing (ML) to Planned Development (PD) District; PROVIDING FOR SEVERABILITY AND PROVIDING A PENALTY Planning Manager AJ Fawver presented background information. A copy of the presentation is part of the Permanent Supplemental Minute record. Motion, to introduce the Ordinance, as presented, was made by Councilmember Morrison and seconded by Councilmember Hirschfeld. Motion carried unanimously. FIRST PUBLIC HEARING AND INTRODUCTION OF AN ORDINANCE AMENDING CHAPTER 12, EXHIBIT “A” (ZONING ORDINANCE) OF THE CODE OF ORDINANCES, CITY OF SAN ANGELO Z 12-10: GBT Realty AN ORDINANCE AMENDING CHAPTER 12, EXHIBIT “A” OF THE CODE OF ORDINANCES, CITY OF SAN ANGELO, TEXAS, WHICH SAID EXHIBIT “A” OF CHAPTER 12 ADOPTS ZONING REGULATIONS, USE DISTRICTS AND A ZONING MAP, IN ACCORDANCE WITH A COMPREHENSIVE PLAN, BY CHANGING THE ZONING AND CLASSIFICATION OF THE
  • 14.
    Minutes Page 705 September 4, 2012 Vol. 103 FOLLOWING PROPERTY, TO WIT: An unaddressed 1.36 acre tract, at the southwest corner of the intersection of Glenna Street and Howard Street, and just north of the Jefferson Heights Addition, Block 25, Lots 34-40; more specifically, occupying 1.36 acres of the J Moehl Survey, in northwest San Angelo, changing the zoning classification from Two Family Residential (RS-2) to Neighborhood Commercial (CN) District; PROVIDING FOR SEVERABILITY AND PROVIDING A PENALTY Planning Manager AJ Fawver presented background information. A copy of the presentation is part of the Permanent Supplemental Minute record. Motion, to deny the introduction of the Ordinance, as presented, was made by Councilmember Adams and seconded by Councilmember Morrison. General discussion was held on the potential increase in traffic, other potential uses for this area, and whether alcoholic beverages would be sold at this location. City Clerk Alicia Ramirez confirmed the local Dollar General stores sale alcoholic beverages. Public comments were made by West Texas Organizing Strategy representative Craig Meyers and Proponent Terry Cowan. A vote was taken on the motion on the floor. AYE: Silvas, Morrison, Adams, and Farmer. NAY: New, Alexander, Hirschfeld. Motion carried 4-3. RECESS At 10:14 P.M., Mayor New called a recess. RECONVENE At 10:28 P.M., Council reconvened, and the following business was transacted: FIRST PUBLIC HEARING AND INTRODUCTION OF AN ORDINANCE AMENDING CHAPTER 12, EXHIBIT “A” (ZONING ORDINANCE) OF THE CODE OF ORDINANCES, CITY OF SAN ANGELO SU 12-01: Daryl Presley AN ORDINANCE AMENDING CHAPTER 12, EXHIBIT “A” OF THE CODE OF ORDINANCES, CITY OF SAN ANGELO, TEXAS, WHICH SAID EXHIBIT “A” OF CHAPTER 12 ADOPTS ZONING REGULATIONS, USE DISTRICTS AND A ZONING MAP, IN ACCORDANCE WITH A COMPREHENSIVE PLAN, BY CHANGING THE ZONING AND CLASSIFICATION OF THE FOLLOWING PROPERTY, TO WIT: 2229 W Beauregard, located at the intersection of W Beauregard Avenue and South Pierce Street; more specifically occupying the Village Shopping Center Condo Subdivision, Block 25, Lots 5-8, in western San Angelo, to allow for a "Firearms Range" on property in a General Commercial/ Heavy Commercial (CG/CH) district; PROVIDING FOR SEVERABILITY AND PROVIDING A PENALTY Planning Manager AJ Fawver presented background information. A copy of the presentation is part of the Permanent Supplemental Minute record. Motion, to introduce the Ordinance, as presented, was made by Councilmember Adams and seconded by Councilmember Hirschfeld. General discussion was held on the type of firearms that would be discharged, sound abatement material, state regulations pertaining to indoor ranges, and future retail use. A vote was taken on the motion on the floor. Motion carried unanimously. FIRST PUBLIC HEARING AND APPROVAL OF THE PLANNING COMMISSION’S RECOMMENDATION MODIFYING A REQUEST FOR A ZONE CHANGE FROM TWO FAMILY RESIDENTIAL (RS-2) TO GENERAL COMMERCIAL (CG), ALTERNATIVELY RECOMMENDING A
  • 15.
    Page 706 Minutes Vol. 103 September 4, 2012 ZONE CHANGE FROM TWO FAMILY RESIDENTIAL (RS-2) TO NEIGHBORHOOD COMMERCIAL (CN) WITH AN INTRODUCTION OF AN ORDINANCE AMENDING CHAPTER 12, EXHIBIT “A” (ZONING ORDINANCE) OF THE CODE OF ORDINANCES, CITY OF SAN ANGELO Z 12-09: Donald Spradley AN ORDINANCE AMENDING CHAPTER 12, EXHIBIT “A” OF THE CODE OF ORDINANCES, CITY OF SAN ANGELO, TEXAS, WHICH SAID EXHIBIT “A” OF CHAPTER 12 ADOPTS ZONING REGULATIONS, USE DISTRICTS AND A ZONING MAP, IN ACCORDANCE WITH A COMPREHENSIVE PLAN, BY CHANGING THE ZONING AND CLASSIFICATION OF THE FOLLOWING PROPERTY, TO WIT: 13 W 11th Street, located approximately 160 feet from the intersection of North Chadbourne Street and W 11th Street; more specifically occupying the Miles Addition, Block 52, Lot 4, in central San Angelo, changing the zoning classification from Two Family Residential (RS-2) to Neighborhood Commercial (CN) District; PROVIDING FOR SEVERABILITY AND PROVIDING A PENALTY Planning Manager AJ Fawver presented background information. A copy of the presentation is part of the Permanent Supplemental Minute record. Motion, to introduce the Ordinance, as presented, was made by Councilmember Morrison and seconded by Councilmember Hirschfeld. Motion carried unanimously. FIRST PUBLIC HEARING AND INTRODUCTION OF AN ORDINANCE AUTHORIZING ABANDONMENT OF PUBLIC RIGHT-OF-WAY IN LAKE VIEW ADDITION BLOCK 40 AND THE JACOBY ADDITION, BLOCK 1 IN NORTHERN SAN ANGELO AN ORDINANCE PROVIDING FOR THE ABANDONMENT AND CLOSING OF THE FOLLOWING STREET SEGMENT, TO WIT: An approximately 10’ x 123’ portion of alley running east to west, perpendicular to Travis Street, between The Jacoby Addition, Block 1, Lot 1 and Lake View Addition, Block 40, Lots 5-7 in northern San Angelo; AUTHORIZING THE CONVEYANCE THEREOF TO THE ABUTTING PROPERTY OWNERS; PROVIDING FOR THE TERMS AND CONDITIONS OF ABANDONMENT AND CONVEYANCE; AND PROVIDING FOR THE MAYOR TO EXECUTE AND DELIVER A QUIT CLAIM DEED TO THE ABUTTING PROPERTY OWNERS Planning Manager AJ Fawver presented background information. A copy of the presentation is part of the Permanent Supplemental Minute record. Motion, to introduce the Ordinance, as presented, was made by Councilmember Morrison and seconded by Councilmember Silvas. Motion carried unanimously. DISCUSSION ON MATTERS RELATED TO THE ADOPTION OF A RESOLUTION IMPLEMENTING DROUGHT LEVEL III OF THE CITY’S WATER CONSERVATION AND DROUGHT CONTINGENCY PLAN Water Utilities Director Will Wilde presented background information and informed to date, the City does not meet the trigger points for Drought Level III (DLIII). City Attorney Lysia H. Bowling explained the Water Utilities Director must determine the City’s water level has meet the trigger point as outlined in the Ordinance before Council can declare DLIII. Therefore, entering the DLIII in advance is not permissible under the current Ordinance language. General discussion was held on the calculation of the water levels which does not include the Hickory project, DLIII criteria, further establishing variances and amending the exemption policy; recommended applying exemptions by group or type of business as opposed to individual request as currently outlined in the ordinance; residential users abusing the restrictions of the ordinance; the City’s efforts to begin minimizing water use in various department activities; actively participating in water conservation efforts; approaching the restrictions in phases for next 2 to 3 months and continuously reviewing those impacts; issues related to golf courses, pools,
  • 16.
    Minutes Page 707 September 4, 2012 Vol. 103 and car washed. Public comments were made by Robert Banskter, Tobin Abbott of Southwest Pools, Craig Hill of Hill Pools, and Bobby Lewallen of Auto Paradise. Council directed staff to present their recommendations to amend the ordinance at the September 18, 2012 meeting. FIRST PUBLIC HEARING AND INTRODUCTION OF AN ORDINANCE AMENDING APPENDIX A OF THE CODE OF ORDINANCES, CITY OF SAN ANGELO REGARDING UTILITY RELATED FEES AN ORDINANCE AMENDING APPENDIX A, “FEE SCHEDULE”, ARTICLE 8.000 “UTILITY RELATED FEES”, OF THE CODE OF ORDINANCES, CITY OF SAN ANGELO, TEXAS, AMENDING SECTION 8.1500 “CHARGE FOR COLLECTION OF GARBAGE AND TRASH”, BY RESTATING SUBPART (a) RESIDENTIAL SERVICES”, (1) “RESIDENCE SERVICE CHARGES”, ADJUSTING RESIDENCE SERVICE CHARGES; AMENDING SECTION 8.1500 “CHARGE FOR COLLECTION OF GARBAGE AND TRASH”, BY RESTATING SUBPART (b) “COMMERCIAL SERVICE”, (2) “COMMERCIAL SERVICE CHARGES”, ADJUSTING COMMERCIAL SERVICE CHARGES; AMENDING SECTION 8.1700 “LANDFILL CHARGES”, BY RESTATING SUBPARTS (a), (f) AND (G), ADJUSTING LANDFILL CHARGES FOR LICENSED COLLECTORS, CITY RESIDENTS, NON-RESIDENTS, AND FOR GARBAGE DUMPED BY OR FOR CERTAIN GOVERNMENT ENTITIES; PROVIDING FOR SEVERABILITY; AND PROVIDING AN EFFECTIVE DATE Due to time constraints, Budget Manager Morgan Trainer suggested postponing this item until the September 18, 2012 meeting. Council concurred. SECOND PUBLIC HEARING AND ADOPTION OF AN ORDINANCE OF THE CITY OF SAN ANGELO APPROVING AND ADOPTING THE FY 2013 BUDGET AND RELATED MATTERS (Page 747, #2012- 09-126) AN ORDINANCE OF THE CITY OF SAN ANGELO APPROVING AND ADOPTING THE BUDGET FOR THE FISCAL YEAR BEGINNING OCTOBER 1, 2012, AND ENDING SEPTEMBER 30, 2013; ADOPTING EMPLOYEE COMPENSATION SCHEDULES; PROVIDING FOR THE GENERAL APPROPRIATION OF FUNDS; RESERVING UNTO THE CITY COUNCIL THE AUTHORITY TO TRANSFER APPROPRIATIONS BUDGETED; RATIFYING TRANSFERS OF APPROPRIATIONS OCCURRING IN THE 2011-2012 FISCAL YEAR AND AMENDING THAT BUDGET ORDINANCE ACCORDINGLY; RESERVING UNTO THE CITY COUNCIL THE POWER, ONLY AS PERMITTED BY LAW, TO AMEND OR MAKE CHANGES IN THE BUDGET FOR MUNICIPAL PURPOSES; PROVIDING AUTHORITY FOR THE CITY MANAGER OR HIS DESIGNEE TO MAKE CERTAIN ADJUSTMENTS FROM TIME TO TIME IN OR BETWEEN BUDGETED ALLOCATIONS; AND, PROVIDING FOR FILING OF THE BUDGET Interim City Manager Michael Dane and Budget Manager Morgan Trainer presented background information. A copy of the presentation is part of the Permanent Supplemental Minute record. General discussion was held Council prior directive to replenish the $44,633.00 to continue senior nutrition program, Line Item 310 $1M decrease in the City’s Health benefit due to positive impacts of the plan’s changes, and the pay plan distribution methodology and the option to determine such at a later date. Motion, to adopt the Ordinance, as presented, including replenishing the $44,633.00 to continue the Senior Nutrition Program, was made by Councilmember Morrison and seconded by Councilmember Adams. Further discussion was held and concern expressed on the various Council directives to staff regarding requested budget adjustments from prior budget discussions. A vote was taken on the motion on the floor. AYE: New, Alexander, Morrison, and Adams. NAY: Silvas, Hirschfeld, and Farmer. Motion carried 4-3.
  • 17.
    Page 708 Minutes Vol. 103 September 4, 2012 FIRST PUBLIC HEARING AND INTRODUCTION OF AN ORDINANCE LEVYING PROPERTY TAXES FOR THE CITY OF SAN ANGELO FOR THE 2012 TAX YEAR AN ORDINANCE FIXING AND LEVYING AD VALOREM TAXES FOR THE USE AND SUPPORT OF THE MUNICIPAL GOVERNMENT OF THE CITY OF SAN ANGELO, TEXAS, FOR THE 2012-2013 BUDGET YEAR; PROVIDING FOR THE ASSESSMENT AND COLLECTION THEREOF; PROVIDING WHEN THE TAX SHALL BECOME DUE; PROVIDING WHEN THE TAX SHALL BECOME DELINQUENT; PROVIDING FOR EXEMPTIONS; PROVIDING FOR SEVERABILITY; PROVIDING FOR PUBLICATION ON THE CITY OPERATED WEB SITE; AND, PROVIDING FOR AN EFFECTIVE DATE. Budget Manager Morgan Trainer presented background information. Motion, to introduce the Ordinance, as presented, was made by Councilmember Morrison and seconded by Councilmember Alexander. Motion carried unanimously. RECESS At 12:24 P.M., Mayor New called a recess. RECONVENE At 1:20 P.M., Council reconvened, and the following business was transacted: EXECUTIVE/CLOSED SESSION At 1:20 P.M., Council convened in Executive Session under the provision of Government Code, Title 5 Open Government, Ethics; Subtitle A Open Government; Chapter 551 Open Meetings; Subchapter D, Exceptions to Requirement that Meetings be Open, Section 551.074 Personnel Matters to interview candidates for the City Manager position. OPEN SESSION (continued) At 4:55 P.M. City Council concluded the Executive/Closed Session whereupon the following business was transacted: FOLLOW UP AND ADMINISTRATIVE ISSUES CONSIDERATION OF MATTERS DISCUSSED IN EXECUTIVE/CLOSED SESSION No action was taken on matters discussed in Executive/Closed Session. CONSIDERATION OF FUTURE AGENDA ITEMS Interim City Manager Michael Dane distributed the proposed September 4, 2012 Agenda and solicited Council comments and suggestions. The following items were requested: Introduction of the Utility Related Fee Ordinance Options and methodology for pay increases Exemptions under the Water Conservation Ordinance Downtown Development Commission update TriCity efforts Board and Commission uniform term policy
  • 18.
    Minutes Page 709 September 4, 2012 Vol. 103 ADJOURNMENT Motion, to adjourn, was made by Councilmember Adams and seconded by Councilmember Morrison. Motion carried unanimously. The meeting adjourned at 5:09 P.M. THE CITY OF SAN ANGELO ___________________________________ Alvin New, Mayor ATTEST: _______________________________ Alicia Ramirez, City Clerk In accordance with Chapter 2, Article 2.300, of the Official Code of the City of San Angelo, the minutes of this meeting consist of the preceding Minute Record and the Supplemental Minute Record. Details on Council meetings may be obtained from the City Clerk’s Office or a video of the entire meeting may be purchased from the Public Information Officer at 481-2727. (Portions of the Supplemental Minute Record video tape recording may be distorted due to equipment malfunction or other uncontrollable factors.)
  • 19.
    Page 710 Minutes Vol. 103 September 4, 2012 THIS PAGE INTENTIONALLY LEFT BLANK.
  • 20.
    CITY COUNCIL MINUTERECORD The City of San Angelo Page 755 Tuesday, September 5, 2012 Vol. 103 OPEN SESSION BE IT REMEMBERED City Council convened in a special meeting at 9:06 A.M., Tuesday, September 5, 2012, in the San Angelo McNease Convention Center, 500 Rio Concho Drive, San Angelo, Texas. All duly authorized members of the Council, to-wit: Mayor, Alvin New Councilmember Paul Alexander Councilmember Dwain Morrison Councilmember Johnny Silvas Councilmember Fredd B. Adams, II Councilmember Kendall Hirschfeld Councilmember Charlotte Farmer were present and acting, with the exception of Councilmember Adams, thus constituting a quorum. Whereupon, the following business was transacted: An invocation was given by and pledge was led by Councilmember Silvas. SPECIAL AGENDA EXECUTIVE/CLOSED SESSION At 9:09 A.M., Council convened in Executive Session under the provision of Government Code, Title 5. Open Government; Ethics, Subtitle A. Open Government, Chapter 551. Open Meetings, Subchapter D. Exceptions to Requirement that Meetings be Open, Section 551.074 Personnel Matters to discuss the appointment, employment, and duties of the City Manager. Councilmember Adams arrived to the meeting at 9:28 A.M. OPEN SESSION (continued) At 5:06 P.M. City Council concluded the Executive/Closed Session whereupon the following business was transacted: Mayor New left the meeting at 5:06 P.M. and did not return. PUBLIC HEARING AND COMMENT CONSIDERATION OF MATTERS DISCUSSED IN EXECUTIVE/CLOSED SESSION Motion, to appointment Mr. Daniel Valenzuela, was made by Councilmember Adams and seconded by Councilmember Morrison. Although absent upon the announcement, Council members informed the Mayor also supported the selection and appointment of Mr. Valenzuela. A vote was taken on the motion on the floor. Motion carried unanimously. Mr. Valenzuela accepted the offer for the position of City Manager and thanked the Council for the opportunity to work for the City of San Angelo. Human Resources Director Lisa Marley informed his employment may begin on or about October 16, 2012.
  • 21.
    Page 756 Minutes Vol. 103 September 5, 2012 ADJOURNMENT Motion, to adjourn, was made by Councilmember Adams and seconded by Councilmember Farmer. Motion carried unanimously. The meeting adjourned at 5:14 P.M. THE CITY OF SAN ANGELO ___________________________________ Alvin New, Mayor ATTEST: _______________________________ Alicia Ramirez, City Clerk In accordance with Chapter 2, Article 2.300, of the Official Code of the City of San Angelo, the minutes of this meeting consist of the preceding Minute Record and the Supplemental Minute Record. Details on Council meetings may be obtained from the City Clerk’s Office or a video of the entire meeting may be purchased from the Public Information Officer at 481-2727. (Portions of the Supplemental Minute Record video tape recording may be distorted due to equipment malfunction or other uncontrollable factors.)
  • 22.
    PROCLAMATION WHEREAS, Fire is a serious public safety concern both locally and nationally, and homes are the locations where people are at the greatest risk from fire; and WHEREAS, Fire departments in the United States responded to nearly 400,000 home fires in a single year; and WHEREAS, San Angelo residents are responsive to public education measures and are able to take personal steps to increase their safety from fire, especially in their homes; and WHEREAS, The fire service of San Angelo is dedicated to the safety of life and property from the devastating effects of fire, and they are joined by other emergency service providers, businesses, safety advocates, schools, and service clubs, NOW, THEREFORE, I, Alvin New, Mayor of the City of San Angelo, Texas, on behalf of the City Council, do hereby proclaim the week of October 7-13, 2012 as FIRE PREVENTION WEEK and call upon the people of San Angelo to participate in fire prevention activities at home, work, and school, and practice home fire safety especially this week which commemorates the great Chicago Fire of 1871 which killed 250 persons, left 100,000 homeless, and destroyed 17,400 buildings. IN WITNESS WHEREOF, I have hereunto set my hand and caused the Seal of the City to be affixed this 2nd day of October, 2012. THE CITY OF SAN ANGELO _________________________________ ALVIN NEW, MAYOR
  • 23.
    AICP is theAmerican Planning Association's professional institute, providing recognized leadership nationwide in the certification of professional planners, ethics, professional development, planning education, and the standards of planning practice. To become a certified planner, APA members must meet certain education and experience requirements and pass a written examination. AICP certified planners carry a high mark of distinction because they are required to meet rigorous standards, maintain their expertise through continuing education, and serve community interests.
  • 24.
    Memo Date: August 3, 2012 To: Mayor and City Council members From: Doray Hill, Jr., Director, San Angelo Metropolitan Planning Organization Subject: Consent Agenda Item for September 18, 2012 City Council Meeting Contact: Doray Hill, Jr., San Angelo Metropolitan Planning Organization 325-481-2800 Marc Williams, P.E. Interim Director Texas Department of Transportation 512-486-5003 Caption: A resolution of the city of San Angelo authorizing the interim city manager of his designee to negotiate and execute a planning agreement by and between the Texas Department of Transportation, the San Angelo metropolitan planning organization policy board, and the city of San Angelo, providing for the urban district transportation planning and superseding prior agreements between the parties Summary: This contract is a requirement by the Texas Department of Transportation. All Metropolitan Planning Organizations in the State of Texas are required to have a Planning Contract. History: The San Angelo Metropolitan Planning Organization (SA-MPO) currently has a contract in place between the City of San Angelo and the Texas Department of Transportation. This Agreement was approved by City Council on December 6, 2011 and will expire September 30, 2012. A new Agreement that has slight language changes and more updated references to legislation was given to the Texas MPOs to replace the existing Planning Contract. Page 1 of 2
  • 25.
    As the fiscalagent for SA-MPO, the City of San Angelo is being asked to sign this new Planning Agreement. This Agreement is similar to previous Planning Contracts, however, it does not change any of the responsibilities of the fiscal agent; rather it includes new responsibilities for MPOs and TxDOT. The City of San Angelo Legal staff approved this Agreement on April 2, 2012 and the San Angelo Metropolitan Planning Organization Policy Board approved this Agreement at their September 13, 2012 meeting. After Council approval, this document will be sent to the Texas Department of Transportation for the State of Texas for execution. This Agreement expires September 30, 2018. Financial Impact: n/a Related Vision Item (if applicable): n/a Notification: n/a Attachments: Agreement with Metropolitan Planning Organization Resolution Presentation: n/a Publication: n/a Page 2 of 2
  • 26.
    Contract #_________________ Federal Highway Administration CFDA #___________________ Not Research and Development STATE OF TEXAS § COUNTY OF TRAVIS § AGREEMENT WITH METROPOLITAN PLANNING ORGANIZATION THIS AGREEMENT is made by and between the State of Texas, acting through the Texas Department of Transportation, called the “Department,” the San Angelo Metropolitan Planning Organization (MPO) Policy Committee, called the “MPO”, which has been designated as the MPO of the San Angelo urbanized area, and the City of San Angelo, which serves as the Fiscal Agent for the MPO. WITNESSETH WHEREAS, 23 United States Code (USC) §134 and 49 USC §5301 et seq. require that MPOs, in cooperation with the Department and transit agencies, develop transportation plans and programs for urbanized areas of the State; and WHEREAS, 23 USC §104(f) authorizes Metropolitan Planning funds and 49 USC §5301 et seq. authorizes funds to be made available to MPOs designated by the Governor to support the urban transportation planning process; and WHEREAS, the federal share payable for authorized activities using 49 USC §5303 and Metropolitan Planning funds is eighty percent (80%) of allowable costs; and WHEREAS, Texas Transportation Code §221.003 authorizes the Department to expend federal and state funds for improvements to the state highway system; and WHEREAS, Texas Transportation Code §201.703 authorizes the Department to expend federal funds and to provide state matching funds for allowable costs necessary for the improvement of roads not in the state highway system; and WHEREAS, Metropolitan Planning funds, and other federal transportation funds that may be used for planning (e.g., Surface Transportation Program, National Highway System, Congestion Mitigation and Air Quality, etc.) and 49 USC §5303 funds are to be used in conjunction with work conducted under the terms of this Agreement; and WHEREAS, the Governor of the State of Texas has designated the San Angelo MPO as the MPO for the above-mentioned urbanized area; and TPP & MPO Agreement Page 1 of 18 Revised 02/15/2012
  • 27.
    Contract #_________________ Federal Highway Administration CFDA #___________________ Not Research and Development WHEREAS, the Governor of the State of Texas and the City of San Angelo have executed an agreement pursuant to the MPO designation; and WHEREAS, an area equal to or larger than the above-mentioned urbanized area has been delineated in accordance with federal and state guidelines where required metropolitan transportation planning activities may take place; and WHEREAS, 23 Code of Federal Regulations (CFR) §420.117(a) requires that in accordance with 49 CFR §18.40, the Department shall monitor all activities performed by its staff or by sub-recipients with Federal Highway Administration (FHWA) planning and research funds to assure that the work is being managed and performed satisfactorily and that time schedules are being met; and NOW THEREFORE, it is agreed as follows: AGREEMENT Article 1. Agreement Period A. This Agreement becomes effective when signed by the last party whose signing makes this Agreement fully executed. The Department shall not continue its obligation to the MPO under this Agreement if the Governor's designation of the MPO is withdrawn; if federal funds cease to become available; or if this Agreement is terminated as provided below. B. This Agreement expires on ______________, 20__. No fewer than one hundred and twenty (120) days before the expiration date, the Department may, at its sole discretion, exercise in writing an option to extend this Agreement by a period of no more than ____ years. The Department may exercise this option no more than ____ times. If all terms and conditions of this Agreement remain viable and no amendment to the existing agreement or new agreement is required, a letter from the Department to the MPO shall constitute renewal of this Agreement subject to all terms and conditions specified in this Agreement. However, an amendment or a new agreement may be executed, if necessary. Article 2. Responsibilities of the Department The responsibilities of the Department are as follows: A. Assist in the development of the Unified Planning Work Program (UPWP), approve the format of work programs submitted by the MPO, and, where required by federal law or regulation, monitor the MPO's performance of activities and expenditure of funds under a UPWP. Where monitoring is not required, the Department is responsible for reviewing the MPO's activities and expenditure of funds, and will comment on and make suggestions relating to those activities and expenditures. B. Develop a time line for development of the UPWP by the MPO; and in consultation with the MPOs, shall develop a standard UPWP format to be used by all MPOs. TPP & MPO Agreement Page 2 of 18 Revised 02/15/2012
  • 28.
    Contract #_________________ Federal Highway Administration CFDA #___________________ Not Research and Development C. Make available to the MPO its share of all federal metropolitan planning funds and provide the required non-federal match as authorized by the Texas Transportation Commission. The Department will distribute federal transportation planning funds to the MPO based on a formula developed by the Department, in consultation with the MPOs, and approved by FHWA, the Federal Transit Administration (FTA), and other applicable federal agencies. D. Provide to the MPO, as appropriate, technical assistance and guidance for the collection, processing, and forecasting of socio-economic data needed for the development of traffic forecasts, plans, programs, and planning proposals within the metropolitan area, including collecting, processing, and forecasting vehicular travel volume data in cooperation with the MPO, as appropriate. E. Jointly promote the development of the intermodal transportation system within the metropolitan area by identifying points in the system where access, connectivity, and coordination between the modes and inter-urban facilities would benefit the entire system. F. Share with the MPO, information and information sources concerning transportation planning issues that relate to this Agreement. Article 3. Responsibilities of the MPO The MPO is an organization created to ensure that existing and future expenditures on transportation projects and programs are based on a continuing, cooperative, and comprehensive planning process. The responsibilities of the MPO are as follows: A. Document planning activities in a UPWP to indicate who will perform the work, the schedule for completing it, and all products that will be produced. In cooperation with the Department and public transportation operators as defined by 23 CFR Part 450, the MPO must annually or bi-annually develop a UPWP that meets federal requirements. B. Prepare and submit to the Department an annual performance and expenditure report of progress no later than December 31 of each year. A uniform format for the annual report will be established by the Department, in consultation with the MPOs. C. Use funds provided in accordance with 43 Texas Administrative Code (TAC) §16.52 and Article 2 (Responsibilities of the Department) of this Agreement to develop and maintain a comprehensive regional transportation planning program in conformity with the requirements of 23 USC §134, 49 USC §5303, and the State’s Uniform Grant Management Standards (UGMS) at the web address www.governor.state.tx.us/files/state-grants/UGMS062004.doc. D. Develop a Metropolitan Transportation Plan (MTP), a Transportation Improvement Program (TIP), and a UPWP for the Metropolitan Planning Area (MPA), all of which are consistent with the Statewide Long-Range Transportation Plan (SLRTP), as required by state and federal law. At a minimum, the MPO shall consider in their planning process the applicable factors outlined in 23 USC §134. E. Assemble and maintain an adequate, competent staff with the knowledge and experience that will enable them to perform all appropriate MPO activities required by law. TPP & MPO Agreement Page 3 of 18 Revised 02/15/2012
  • 29.
    Contract #_________________ Federal Highway Administration CFDA #___________________ Not Research and Development F. Forecast, collect, and maintain appropriate socio-economic, roadway, and travel data on a timely basis, in cooperation with the Department. G. Prepare all required plans, programs, reports, data, and obtain required certifications in a timely manner. H. Share information and information sources concerning transportation planning issues. Article 4. Responsibilities of the MPO Policy Committee The MPO Policy Committee is the policy body that is the forum designated under 23 USC §134 with the responsibility for establishing overall transportation policy for the MPO and for making required approvals. The MPO Policy Committee is comprised of those governmental agencies identified in the original designation agreement and those agencies or organizations subsequently added to the membership of the committee. The responsibilities of the MPO, acting through its Policy Committee, are as follows: A. Ensure that requirements of 23 USC §§134 and 135 and 49 USC, Chapter 53, are carried out. B. Use funds provided in accordance with Article 2 (Responsibilities of the Department) of this Agreement to develop and maintain a comprehensive regional transportation planning program in accordance with requirements of 23 USC §134 and 49 USC §5303. C. Develop and adopt an MTP for the MPA that is consistent with the SLRTP required by state and federal laws; a TIP and a UPWP; and other planning documents and reports that may be required by state or federal laws or regulations. D. Exercise sole responsibility to hire, supervise, evaluate, and terminate the MPO Transportation Planning Director. E. Provide planning policy direction to the MPO Transportation Planning Director. Article 5. Responsibilities of the Fiscal Agent The Fiscal Agent for the MPO is the entity responsible for providing fiscal, human resource, and staff support services to the MPO. The responsibilities of the Fiscal Agent are as follows: A. Maintain required accounting records for state and federal funds consistent with current federal and state requirements. B. Provide all appropriate funding, as identified by fiscal year in the UPWP, to allow the MPO staff to effectively and efficiently operate the program. C. Provide human resource services to the MPO. D. Provide benefits for the MPO staff that shall be the same as the Fiscal Agent normally provides its own employees; or as determined through an agreement between the MPO and the Fiscal Agent. Costs incurred by the Fiscal Agent for these benefits may be reimbursed by the MPO. E. Establish procedures and policies for procurement and purchasing, when necessary, in cooperation with the MPO. Article 6. Responsibilities of the MPO Transportation Planning Director The responsibilities of the MPO Transportation Planning Director are as follows: TPP & MPO Agreement Page 4 of 18 Revised 02/15/2012
  • 30.
    Contract #_________________ Federal Highway Administration CFDA #___________________ Not Research and Development A. Administer the MPO’s UPWP. The Director shall serve in a full-time capacity and shall take planning policy direction from and be responsible to the designated MPO Policy Committee. B. Act as a liaison to the Department, relevant to the Department’s transportation planning activities. C. Oversee and direct all MPO transportation planning staff work performed using MPO funds. D. Prepare and submit all required plans, programs, reports, data, and certifications in a timely manner. E. Develop and present to the MPO Policy Committee an MTP for the MPA that is consistent with the SLRTP required by state and federal laws; a TIP and a UPWP; and other planning documents and reports that may be required by state or federal laws or regulations. F. Share information and information resources concerning transportation planning issues. Article 7. Unified Planning Work Program A. Each year the MPO shall submit to the Department a program of work that includes goals, objectives, and tasks required by each of the several agencies involved in the metropolitan transportation planning process. This program of work is to be called the Unified Planning Work Program (UPWP), or any successor name. The UPWP shall be approved by the MPO Policy Committee, in accordance with 23 CFR §450.314. B. The UPWP will be prepared for a period of one (1) year or two (2) years unless otherwise agreed to by the Department and the MPO. The UPWP shall reflect only that work that can be accomplished during the time period of the UPWP, in accordance with TAC §16.52. C. The UPWP shall reflect transportation planning work tasks to be funded by federal, state, or local transportation, or transportation related (e.g. air quality) planning funds. The budget and statement of work will be included in the UPWP. The MPO may not incur costs until final approval of the UPWP is granted. The maximum amount payable will not exceed the budget included in the UPWP. D. The effective date of each UPWP will be October 1st of each year or the date of approval from the appropriate oversight agency, whichever occurs later. On that date, the UPWP shall constitute a new federal project and shall supersede the previous UPWP. E. The UPWP shall comply with all applicable federal and state requirements and will describe metropolitan transportation and transportation-related planning activities anticipated in the area. F. The use of federal metropolitan transportation planning funds shall be limited to transportation planning activities affecting the transportation system within the boundaries of a designated metropolitan planning area. If an MPO determines that data collection and analysis activities relating to land use, demographics, or traffic or travel information, conducted outside its boundaries, affects the transportation system within its boundaries, then those activities may be undertaken using federal planning funds, if the activities are specifically identified in an approved UPWP. Any other costs TPP & MPO Agreement Page 5 of 18 Revised 02/15/2012
  • 31.
    Contract #_________________ Federal Highway Administration CFDA #___________________ Not Research and Development incurred for transportation planning activities outside the boundaries of a designated metropolitan planning area are not eligible for reimbursement. G. Travel outside the State of Texas by MPO staff and other agencies participating in the MPO planning process must be approved by the Department if funded with federal transportation planning funds. The MPO must receive approval prior to incurring any costs associated with the actual travel (e.g., registration fee). This provision will not apply if the travel is at the request of the Department. Travel to the State of Arkansas by the Texarkana MPO staff and travel to the State of New Mexico by the El Paso MPO staff shall be considered in-state travel. H. The cost of travel incurred by elected officials serving on the MPO Policy Committee is eligible for reimbursement with federal transportation planning funds in accordance with 43 TAC §16.52. I. The use of federal transportation planning funds is limited to corridor/subarea level planning or multimodal or system-wide transit planning studies. Major investment studies and environmental studies are considered corridor level planning. Unless otherwise authorized by federal law or regulation, the use of such funds beyond environmental document preparation or for specific project level planning and engineering (efforts directly related to a specific project instead of a corridor) is not allowed. J. Failure to adhere to the time line developed by the Department may result in a delay in the authorization to the MPOs to proceed in incurring costs. K. A UPWP will not be approved if it is submitted in a format other than the standard format developed by the Department. The UPWP and subsequent amendments may be submitted electronically. L. The MPO shall not incur any costs for work outlined in the UPWP or any subsequent amendments (i.e., adding new work tasks or changing the scope of existing work tasks) prior to receiving approval from the Department. Any costs incurred prior to receiving Department approval are not eligible for reimbursement from federal transportation planning funds. M. Costs incurred by the MPO shall not exceed the total budgeted amount of the UPWP without prior approval of the MPO Policy Committee and the Department. Costs incurred on individual work tasks shall not exceed that task budget by 25 percent without prior approval of the MPO Policy Committee and the Department. If the costs exceed 25 percent of the task budget, the UPWP shall be revised, approved by the MPO Policy Committee, and submitted to the Department for approval. N. The MPO Policy Committee must approve the UPWP and any subsequent revisions, and shall not delegate the approval authority, except for corrective actions. Corrective actions do not change the scope of work, result in an increase or decrease in the amount of task funding, or affect the overall budget. Examples include typographical, grammatical, or syntax corrections. O. Should any conflict be discovered between the terms of this Agreement and the UPWP, the terms of this Agreement shall prevail. P. The MPO is not authorized to request payment for any work it may perform that is not included in the current UPWP. TPP & MPO Agreement Page 6 of 18 Revised 02/15/2012
  • 32.
    Contract #_________________ Federal Highway Administration CFDA #___________________ Not Research and Development Article 8. Compensation The Department’s payment of any cost incurred under this Agreement is contingent upon all of the following: A. Federal funds are available to the Department in a sufficient amount for making payments. B. The incurred cost is authorized in the UPWP. The maximum amount payable under this Agreement shall not exceed the total budgeted amount outlined in the UPWP in accordance with 43 TAC §16.52. C. The cost has actually been incurred by the MPO and meets the following criteria: 1. Is verifiable from MPO records; 2. Is not included as match funds for any other federally-assisted program; 3. Is necessary and reasonable for the proper and efficient accomplishment of program objectives; 4. Is the type of charge that would be allowable under OMB Circular A-87 Revised, “Cost Principles for State, Local, and Indian Tribal Governments” and the State’s UGMS; and 5. Is not paid by the Department or federal government under another assistance program unless authorized to be used as match under the other federal or state agreement and the laws and regulations to which it is subject. D. After October 1st of each year, the Department will issue a work order to the MPO establishing the effective date of work and the total funds authorized. If the UPWP is subsequently revised, necessitating a revision to the original work order, or the Department deems a revision necessary; a revised work order may be issued at any time throughout the fiscal year. If the amount in the UPWP differs from the amount in the work order, the amount in the work order prevails. E. The MPO is authorized to submit requests for payment of authorized costs incurred under this Agreement on a semi-monthly basis, but no more than twenty four (24) times a year and no less than monthly as expenses occur. Each request for payment shall be submitted in a manner acceptable to the Department, which includes, at a minimum, the following information: 1. UPWP budget category or line item; 2. Description of the cost; 3. Quantity; 4. Price; 5. Cost extension; and 6. Total costs F. The MPO shall submit the final bill from the previous fiscal year to the Department no later than December 31st of the calendar year in which that fiscal year ended. Any bills submitted after December 31 for a fiscal year in which the funds have been de- obligated will be processed against the current year’s UPWP. G. Payment of costs is contingent upon compliance with the terms of Article 3 (Responsibilities of the MPO) of this Agreement. Noncompliance may result in TPP & MPO Agreement Page 7 of 18 Revised 02/15/2012
  • 33.
    Contract #_________________ Federal Highway Administration CFDA #___________________ Not Research and Development cancellation of authorized work and suspension of payments after a thirty (30) day notification by the Department to the MPO. Article 9. Reporting To permit program monitoring and reporting, the MPO shall submit reports as required in Article 3 (Responsibilities of the MPO) of this Agreement. If task expenditures overrun or underrun a budgeted task amount by twenty-five percent (25%) or more, the annual performance and expenditure report must include an explanation for the overrun or underrun. Article 10. Indemnification A. The MPO shall save harmless the Department and its officers and employees from all claims and liability that are due to activities of the MPO, its agents, or its employees performed under this Agreement and that are caused by or result from error, omission, or negligent act of the MPO or of any person employed by the MPO. B. To the extent possible under state law, the MPO shall also save harmless the Department from any and all expense, including but not limited to, attorney fees that may be incurred by the Department in litigation or otherwise resisting claims or liabilities that may be imposed on the Department as a result of the activities of the MPO, its agents, or its employees. Article 11. Inspection of Work and Retention of Documents A. The Department and, when federal funds are involved, the U.S. Department of Transportation (USDOT), and their authorized representatives shall have the right at all reasonable times to inspect or otherwise evaluate the work performed or being performed under this Agreement and the premises on which it is being performed. B. If any inspection or evaluation is made on the premises of the MPO or a subcontractor, the MPO shall provide or require its subcontractor to provide all reasonable facilities and assistance for the safety and convenience of the inspectors in the performance of their duties. All inspections and evaluations shall be performed in a manner that will not unduly delay the work. C. The MPO agrees to maintain all books, documents, papers, computer generated files, accounting records, and other evidence pertaining to costs incurred and work performed under this Agreement, and shall make those materials available at its office during the time period covered and for four (4) years from the date of final payment under the UPWP. Those materials shall be made available during the specified period for inspection by the Department, the USDOT, and the Office of the Inspector General of the USDOT and any of their authorized representatives for the purpose of making audits, examinations, excerpts, and transcriptions. D. The state auditor may conduct an audit or investigation of any entity receiving funds from the Department directly under this Agreement or indirectly through a subcontract under this Agreement. Acceptance of funds directly under this Agreement or indirectly through a subcontract under this Agreement acts as acceptance of the authority of the state auditor, under the direction of the legislative audit committee, to conduct an audit TPP & MPO Agreement Page 8 of 18 Revised 02/15/2012
  • 34.
    Contract #_________________ Federal Highway Administration CFDA #___________________ Not Research and Development or investigation in connection with those funds. An entity that is the subject of an audit or investigation must provide the state auditor with access to any information the state auditor considers relevant to the investigation or audit under the State’s UGMS. Article 12. Work Performance All work performed under this Agreement shall be carried out in a professional and orderly manner, and the products authorized in the UPWP shall be accurate and exhibit high standards of workmanship. Article 13. Disputes The MPO shall be responsible for the settlement of all contractual and administrative issues arising out of procurement entered into in support of work under this Agreement. In the event of a dispute between the Department and the MPO concerning the work performed under this Agreement in support of the urban transportation planning process, the dispute shall be resolved through binding arbitration. Furthermore, the arbiter shall be mutually acceptable to the Department and the MPO. Article 14. Non-collusion The MPO shall warrant that it has not employed or retained any company or person, other than a bona fide employee working for the MPO, to solicit or secure this Agreement, and that it has not paid or agreed to pay any company or person, other than a bona fide employee, any fee, commission, percentage, brokerage fee, gift, or any other consideration contingent upon or resulting from the award or making of this Agreement. If the MPO breaches or violates this warranty, the Department shall have the right to annul this Agreement without liability or, in its discretion, to deduct from the agreement price or consideration, or otherwise recover the full amount of the fee, commission, brokerage fee, gift, or contingent fee. Article 15. Subcontracts A. Any subcontract for services rendered by individuals or organizations not a part of the MPO’s organization shall not be executed without prior authorization and approval of the subcontract by the Department and, when federal funds are involved, the USDOT. All work in the subcontract is subject to the State’s UGMS. If the work for the subcontract is authorized in the current approved UPWP, and if the MPO’s procurement procedures for negotiated contracts have been approved by the Department either directly or through self-certification by the MPO, the subcontract shall be deemed to be authorized and approved, provided that the subcontract includes all provisions required by the Department and the USDOT. B. Subcontracts in excess of $25,000 shall contain all required provisions of this Agreement. C. No subcontract will relieve the MPO of its responsibility under this Agreement. TPP & MPO Agreement Page 9 of 18 Revised 02/15/2012
  • 35.
    Contract #_________________ Federal Highway Administration CFDA #___________________ Not Research and Development Article 16. Termination A. The Department may terminate this Agreement at any time before the date of completion if the Governor withdraws his designation of the MPO. The Department or the MPO may seek termination of this Agreement pursuant to Article 13 (Disputes) if either party fails to comply with the conditions of this Agreement. The Department or the MPO shall give written notice to all parties at least ninety (90) days prior to the effective date of termination and specify the effective date of termination. B. The Department may terminate this Agreement for reasons of its own, subject to agreement by the MPO. C. The parties to this Agreement may terminate this Agreement when its continuation would not produce beneficial results commensurate with the further expenditure of funds. In this event, the parties shall agree upon the termination conditions. D. Upon termination of this Agreement, whether for cause or at the convenience of the parties, all finished or unfinished documents, data, studies, surveys, reports, maps, drawings, models, photographs, etc., prepared by the MPO shall, at the option of the Department, be delivered to the Department. E. The Department shall reimburse the MPO for those eligible expenses incurred during this Agreement period that are directly attributable to the completed portion of the work covered by this Agreement, provided that the work has been completed in a manner satisfactory and acceptable to the Department. The MPO shall not incur new obligations for the terminated portion after the effective date of termination. Article 17. Force Majeure Except with respect to defaults of subcontractors, the MPO shall not be in default by reason of failure in performance of this Agreement in accordance with its terms (including any failure by the MPO to progress in the performance of the work) if that failure arises out of causes beyond the control and without the default or negligence of the MPO. Those causes may include but are not limited to acts of God or of the public enemy, fires, floods, epidemics, quarantine restrictions, strikes, freight embargoes, and unusually severe weather. In every case, however, the failure to perform must be beyond the control and without the fault or negligence of the MPO. Article 18. Remedies A. Violation or breach of agreement terms by the MPO shall be grounds for termination of this Agreement. Any costs incurred by the Department arising from the termination of this Agreement shall be paid by the MPO. B. This Agreement shall not be considered as specifying the exclusive remedy for any dispute, but all remedies existing at law and in equity may be availed of by either party and shall be cumulative. Article 19. Gratuities A. Employees of the Department or the MPO shall not accept any benefits, gifts, or favors from any person doing business with, or who may do business with the Department or the MPO under this Agreement. TPP & MPO Agreement Page 10 of 18 Revised 02/15/2012
  • 36.
    Contract #_________________ Federal Highway Administration CFDA #___________________ Not Research and Development B. Any person doing business with, or who may do business with the Department or the MPO under this Agreement, may not make any offer of benefits, gifts, or favors to Department or the MPO employees. Failure on the part of the Department or the MPO to adhere to this policy may result in termination of this Agreement. Article 20. Compliance with Laws The parties to this Agreement shall comply with all federal and state laws, statutes, rules, and regulations, and the orders and decrees of any courts or administrative bodies or tribunals in any matter affecting the performance of this Agreement, including without limitation, workers’ compensation laws, minimum and maximum salary and wage statutes and regulations, and licensing laws and regulations. When required, the MPO shall furnish the Department with satisfactory proof of its compliance. Article 21. Successors and Assigns No party shall assign or transfer its interest in this Agreement without written consent of the other parties. Article 22. Debarment Certifications The MPO is prohibited from making any award or permitting any award at any tier to any party that is debarred or suspended or otherwise excluded from or ineligible for participation in federal assistance programs under Executive Order 12549, Debarment and Suspension. By executing this Agreement, the MPO certifies that it is not currently debarred, suspended, or otherwise excluded from or ineligible for participation in Federal Assistance Programs under Executive Order 12549 and further certifies that it will not do business with any party that is currently debarred, suspended, or otherwise excluded from or ineligible for participation in Federal Assistance Programs under Executive Order 12549. The MPO shall require any party to a subcontract or purchase order awarded under this Agreement as specified in 49 CFR Part 29 (Debarment and Suspension) to certify its eligibility to receive federal funds and, when requested by the Department, to furnish a copy of the certification. Article 23. Equal Employment Opportunity The parties to this Agreement agree to comply with Executive Order 11246 entitled “Equal Employment Opportunity” as amended by Executive Order 11375 and as supplemented in Department of Labor Regulations (41 CFR §60). Article 24. Nondiscrimination During the performance of this Agreement, the MPO, its assigns and successors in interest, agree to the following: A. Compliance with Regulations: The MPO shall comply with the regulations relative to nondiscrimination in federally-assisted programs of the USDOT, 49 CFR Part 21 and 23 CFR Part 200, as they may be amended from time to time (the “Regulations”), which are incorporated by reference and made a part of this Agreement. TPP & MPO Agreement Page 11 of 18 Revised 02/15/2012
  • 37.
    Contract #_________________ Federal Highway Administration CFDA #___________________ Not Research and Development B. Nondiscrimination: The MPO, with regard to the work performed during this Agreement, shall not discriminate on the grounds of race, color, sex, national origin, age, or disability in the selection and retention of subcontractors, including procurements of materials and leases of equipment. The MPO shall not participate either directly or indirectly in the discrimination prohibited by 49 CFR Part 21, including employment practices when the agreement covers a program set forth in Appendix B of the Regulations. C. Solicitations for Subcontracts, Including Procurements of Materials and Equipment: In all solicitations either by competitive bidding or negotiation made by the MPO for work to be performed under a subcontract, including procurements of materials or leases of equipment, each potential subcontractor or supplier shall be notified by the MPO of the MPO’s obligations under this Agreement and the Regulations relative to nondiscrimination on the grounds of race, color, sex, national origin, age or disability. D. Information and Reports: The MPO shall provide all information and reports required by the Regulations, or directives issued pursuant to the Regulations, and shall permit access to its books, records, accounts, other sources of information, and its facilities as may be determined to be pertinent by the Department or the USDOT to be pertinent to ascertain compliance with those Regulations or directives. Where any information required of the MPO is in the exclusive possession of another who fails or refuses to furnish this information, the MPO shall so certify to the Department or the USDOT as appropriate, and shall set forth what efforts it has made to obtain the information. E. Sanctions for Noncompliance: In the event of the MPO’s noncompliance with the nondiscrimination provisions of this Agreement, the Department shall impose sanctions that it or the USDOT may determine to be appropriate, including, but not limited to: 1. Withholding of payments to the MPO under this Agreement until the MPO complies; and 2. Cancellation, termination, or suspension of this Agreement in whole or in part. F. Incorporation of Provisions: The MPO shall include the provisions of subsections A-E of this article in every subcontract, including procurements of materials and leases of equipment, unless exempt by the Regulations or directives issued pursuant those Regulations. The MPO shall take action with respect to any subcontract or procurement as the Department may direct as a means of enforcing these provisions including sanctions for noncompliance; provided, however, in that event, the MPO may request the United States to enter into litigation to protect the interests of the United States. Article 25. Nondiscrimination on the Basis of Disability The MPO agrees that no otherwise qualified disabled person shall, solely by reason of his disability, be excluded from participation in, be denied the benefits of, or otherwise be subject to discrimination under this Agreement. The MPO shall ensure that all fixed facility construction or alteration and all new equipment included in the project comply with applicable regulations regarding Nondiscrimination on the Basis of Disability in Programs and Activities Receiving or Benefiting from Federal Financial Assistance, set forth in 49 CFR Part 27, and any amendments to it. TPP & MPO Agreement Page 12 of 18 Revised 02/15/2012
  • 38.
    Contract #_________________ Federal Highway Administration CFDA #___________________ Not Research and Development Article 26. Disadvantaged Business Enterprise (DBE) Program Requirements A. The parties shall comply with the DBE Program requirements established in 49 CFR Part 26. B. The MPO shall adopt, in its totality, the State’s federally approved DBE program. C. The MPO shall set an appropriate DBE goal consistent with the State’s DBE guidelines and in consideration of the local market, project size, and nature of the goods or services to be acquired. The MPO shall have final decision-making authority regarding the DBE goal and shall be responsible for documenting its actions. D. The MPO shall follow all other parts of the State’s DBE program referenced in TxDOT Form 2395, Memorandum of Understanding Regarding the Adoption of the Texas Department of Transportation's Federally-Approved Disadvantaged Business Enterprise by Entity and attachments found at web address http://txdot.gov/business/business_outreach/mou.htm. E. The MPO shall not discriminate on the basis of race, color, national origin, or sex in the award and performance of any USDOT-assisted contract or in the administration of its DBE program or the requirements of 49 CFR Part 26. The MPO shall take all necessary and reasonable steps under 49 CFR Part 26 to ensure non-discrimination in award and administration of USDOT-assisted contracts. The State’s DBE program, as required by 49 CFR Part 26 and as approved by the USDOT, is incorporated by reference in this Agreement. Implementation of this program is a legal obligation and failure to carry out its terms shall be treated as a violation of this Agreement. Upon notification to the MPO of its failure to carry out its approved program, the State may impose sanctions as provided for under 49 CFR Part 26 and may, in appropriate cases, refer the matter for enforcement under 18 USC §1001 and the Program Fraud Civil Remedies Act of 1986 (31 USC §3801 et seq.). F. Each contract the MPO signs with a contractor (and each subcontract the prime contractor signs with a sub-contractor) must include the following assurance: The contractor, sub-recipient, or sub-contractor shall not discriminate on the basis of race, color, national origin, or sex in the performance of this contract. The contractor shall carry out applicable requirements of 49 CFR Part 26 in the award and administration of DOT-assisted contracts. Failure by the contractor to carry out these requirements is a material breach of this Agreement, which may result in the termination of this Agreement or such other remedy as the recipient deems appropriate. Article 27. Procurement A. The MPO shall maintain approved written procurement procedures that meet or exceed the requirements of 49 CFR Part 18, “Uniform Administrative Requirements for Grants and Cooperative Agreements to State and Local Governments,” and the State’s UGMS as either may be revised or superseded. These procedures shall be used for all acquisitions authorized in any UPWP. B. The MPO agrees to comply with applicable Buy America requirements set forth in the Surface Transportation Assistance Act of 1978 (Pub. L. 95-599) §401 and the FTA’s Buy America regulations in 49 CFR Part 661. TPP & MPO Agreement Page 13 of 18 Revised 02/15/2012
  • 39.
    Contract #_________________ Federal Highway Administration CFDA #___________________ Not Research and Development C. The MPO agrees to comply with the cargo preference requirements set forth in 46 USC §55305 and Maritime Administration regulations set forth in 46 CFR Part 381. Article 28. Environmental Protection and Energy Efficiency A. The MPO agrees to comply with all applicable standards, orders, or requirements issued under Section 306 of the Clean Air Act, 42 USC §7602; Section 508 of the Clean Water Act 33 USC §1368; Executive Order 11738 and Title 40 CFR, “Protection of Environment.” The MPO further agrees to report violations to the Department. B. The MPO agrees to recognize standards and policies relating to energy efficiency that are contained in the State energy conservation plan issued in compliance with the Energy Policy and Conservation Act (Pub. L. 94-163). Article 29. Property Management The MPO shall maintain written property management procedures that meet or exceed the requirements of 49 CFR Part 18, “Uniform Administrative Requirements for Grants and Agreements to State and Local Governments,” and the State’s UGMS as either may be revised or superseded. These procedures shall be used for any property acquired in whole or in part with federal and state funds provided through this Agreement. Article 30. Federal Reimbursement The MPO shall be responsible for any funds determined to be ineligible for federal reimbursement, and shall reimburse the Department the amount of those funds previously provided to it by the Department. Article 31. Control of Drug Use The MPO agrees to comply with the terms of the FTA regulation, “Prevention of Alcohol Misuse and Prohibited Drug Use in Mass Transit Operations,” set forth in 49 CFR Part 655. Article 32. Lobbying Certification In executing this Agreement, each signatory certifies to the best of that signatory’s knowledge and belief, that: A. No federal appropriated funds have been paid or will be paid by or on behalf of the parties to any person for influencing or attempting to influence an officer or employee of any federal agency, a Member of Congress, an officer or employee of Congress, or an employee of a Member of Congress in connection with the awarding of any federal contract, the making of any federal grant, the making of any federal loan, the entering into of any cooperative agreement, and the extension, continuation, renewal, amendment, or modification of any federal contract, grant, loan, or cooperative agreement. B. If any funds other than federal appropriated funds have been paid or will be paid to any person for influencing or attempting to influence an officer or employee of any agency, a Member of Congress, an officer or employee of Congress, or an employee of a Member of Congress in connection with federal contracts, grants, loans, or cooperative TPP & MPO Agreement Page 14 of 18 Revised 02/15/2012
  • 40.
    Contract #_________________ Federal Highway Administration CFDA #___________________ Not Research and Development agreements, the signatory for the MPO shall complete and submit the Federal Standard Form-LLL, “Disclosure Form to Report Lobbying,” in accordance with its instructions. C. The parties shall require that the language of this certification shall be included in the award documents for all sub-awards at all tiers (including subcontracts, sub-grants, and contracts under grants, loans, and cooperative agreements) and all sub-recipients shall certify and disclose accordingly. Submission of this certification is a prerequisite for making or entering into this transaction imposed by 31 USC §1352. Any person who fails to file the required certification shall be subject to a civil penalty of not less than $10,000 and not more than $100,000 for each such failure. Article 33. Amendments Any change to one or more of the terms and conditions of this Agreement shall not be valid unless made in writing and agreed to by the parties before the change is implemented. Article 34. Distribution of Products A. The MPO shall provide a number of copies to be specified by the Department of all information, reports, proposals, brochures, summaries, written conclusions, graphic presentations, and similar materials developed by the MPO and financed, in whole or in part, as provided in this Agreement. All reports published by the MPO shall contain the following prominent credit reference to the Department, USDOT, FHWA, and FTA: Prepared in cooperation with the Texas Department of Transportation and the U.S. Department of Transportation, Federal Highway Administration, and Federal Transit Administration. B. Upon termination of this Agreement, all documents prepared by the MPO or furnished to the MPO by the Department, shall be delivered to the Department. All documents, photographs, calculations, programs, and other data prepared or used under this Agreement may be used by the Department without restriction or limitation of further use. Article 35. Legal Construction In case any one or more of the provisions contained in this Agreement shall for any reason be held to be invalid, illegal, or unenforceable in any respect, that invalidity, illegality, or unenforceability shall not affect any other provisions and this Agreement shall be construed as if it did not contain the invalid, illegal, or unenforceable provision. Article 36. Sole Agreement This Agreement constitutes the sole and only agreement between the parties and supersedes any prior understandings or written or oral agreements between the parties respecting the subject matter of this Agreement. Article 37. Copyrights The Department and the USDOT shall, with regard to any reports or other products produced under this Agreement, reserve a royalty-free, nonexclusive and irrevocable right TPP & MPO Agreement Page 15 of 18 Revised 02/15/2012
  • 41.
    Contract #_________________ Federal Highway Administration CFDA #___________________ Not Research and Development to reproduce, publish, or otherwise use, and to authorize others to use the work for government purposes. Article 38. Federal Funding Accountability and Transparency Act Requirements A. Any recipient of funds under this Agreement agrees to comply with the Federal Funding Accountability and Transparency Act and implementing regulations at 2 CFR Part 170, including Appendix A. This Agreement is subject to the following award terms: http://edocket.access.gpo.gov/2010/pdf/2010-22705.pdf and http://edocket.access.gpo.gov/2010/pdf/2010-22706.pdf. B. The MPO agrees that it shall: 1. Obtain and provide to the Department a Central Contracting Registry (CCR) number (Federal Acquisition Regulation, Part 4, Sub-part 4.1100) if this award provides for more than $25,000 in Federal funding. The CCR number may be obtained by visiting the CCR web-site at https://www.bpn.gov/ccr/default.aspx; 2. Obtain and provide to the Department a Data Universal Numbering System (DUNS) number, a unique nine-character number that allows the Federal government to track the distribution of federal money. The DUNS number may be requested free of charge for all businesses and entities required to do so by visiting the Dun & Bradstreet on-line registration website at http://fedgov.dnb.com/webform; and 3. Report the total compensation and names of its top five (5) executives to the Department if: i. More than 80% of annual gross revenues are from the Federal government, and those revenues are greater than $25,000,000; and ii. The compensation information is not already available through reporting to the U.S. Securities and Exchange Commission. Article 39. Single Audit Report A. The parties shall comply with the requirements of the Single Audit Act of 1984, Pub. L. 98-502, ensuring that the single audit report includes the coverage stipulated in OMB Circular A-133. B. If threshold expenditures of $500,000 or more are met during the MPO's fiscal year, the MPO must submit a Single Audit Report and Management Letter (if applicable) to the Department's Audit Office, 125 East 11th Street, Austin, TX 78701 or contact the Department’s Audit Office at http://www.txdot.gov/contact_us/audit.htm. C. If expenditures are less than $500,000 during the MPO's fiscal year, the MPO must submit a statement to the Department's Audit Office as follows: "We did not meet the $500,000 expenditure threshold and therefore, are not required to have a single audit performed for FY ______." D. For each year the project remains open for federal funding expenditures, the MPO will be responsible for filing a report or statement as described above. The required annual filing shall extend throughout the life of this Agreement, unless otherwise amended or the project has been formally closed out and no charges have been incurred within the current fiscal year. TPP & MPO Agreement Page 16 of 18 Revised 02/15/2012
  • 42.
    Contract #_________________ Federal Highway Administration CFDA #___________________ Not Research and Development Article 40. Notices All notices to any party by the other parties required under this Agreement shall be delivered personally or sent by certified or U.S. mail, postage prepaid, addressed to the party at the following addresses: ____________________________ MPO: ____________________________ ____________________________ ____________________________ ____________________________ Fiscal Agent: ____________________________ ____________________________ ____________________________ Director, Transportation Planning & Programming Division Department: Texas Department of Transportation 125 E. 11th Street Austin, Texas 78701 All notices shall be deemed given on the date delivered or deposited in the mail, unless otherwise provided in this Agreement. Any party may change the above address by sending written notice of the change to the other parties. Any party may request in writing that notices shall be delivered personally or by certified U.S. mail and that request shall be honored and carried out by the other parties. Article 41. Signatory Warranty Each signatory warrants that the signatory has necessary authority to execute this Agreement on behalf of the entity represented. TPP & MPO Agreement Page 17 of 18 Revised 02/15/2012
  • 43.
    Contract #_________________ Federal Highway Administration CFDA #___________________ Not Research and Development THIS AGREEMENT IS EXECUTED by the Department, the MPO, and the Fiscal Agent in triplicate. THE MPO THE FISCAL AGENT ________________________________ ________________________________ Signature Signature ________________________________ ________________________________ Typed or Printed Name Typed of Printed Name ________________________________ ________________________________ Title Title ________________________________ ________________________________ Date Date THE DEPARTMENT ________________________________ Signature ________________________________ Typed or Printed Name Director, Transportation Planning and Programming Division Texas Department of Transportation ________________________________ Date TPP & MPO Agreement Page 18 of 18 Revised 02/15/2012
  • 44.
    A RESOLUTION OFTHE CITY OF SAN ANGELO AUTHORIZING THE INTERIM CITY MANAGER OF HIS DESIGNEE TO NEGOTIATE AND EXECUTE A PLANNING AGREEMENT BY AND BETWEEN THE TEXAS DEPARTMENT OF TRANSPORTATION, THE SAN ANGELO METROPOLITAN PLANNING ORGANIZATION POLICY BOARD, AND THE CITY OF SAN ANGELO, PROVIDING FOR THE URBAN DISTRICT TRANSPORTATION PLANNING AND SUPERSEDING PRIOR AGREEMENTS BETWEEN THE PARTIES WHEREAS, the Federal Aid Highway Act of 1962 required a continuing comprehensive transportation planning process carried on cooperatively by the State and local communities of each urban area with a population greater than 50, 000 in order to ensure quality transportation projects in such area for federal aid; and WHEREAS, Sections 221.003 and 201.703, of the Texas Transportation Code authorize the Texas Department of Transportation to expend federal and state funds for improvements to the State Highway System, and for improvements to roads not on the system of the state highways, as may be necessary for proper construction and prosecution of the work; and, WHEREAS, in the City of San Angelo the transportation study process was established by agreement among the local governments and State of Texas for the purpose of developing suitable transportation plans and programs for the San Angel urbanized area; and WHEREAS, the main functions of a Metropolitan Planning Organization Policy Board is to provide guidance to the transportation planning process throughout the San Angelo region; approve the Metropolitan Transportation Plan (MTP), Transportation Improvement Program (TIP); Unified Planning Work Program (UPWP); and other applicable planning documents; and promote implementation of the MTP, TIP, UPWP, and other planning documents; and WHEREAS, 23 U.S.C. 134 and 49 U.S.C. Section 5301 et seq. requires that a Metropolitan Planning Organization, in cooperation with the State Department of Transportation and transit agencies develop transportation plans and programs for urbanized areas of the State; and WHEREAS, 23 U.S.C. 104(f), authorizes Metropolitan Planning Funds and 49 U.S.C. Section 5301 et seq. authorizes funds to be available to Metropolitan Planning Organizations designated by the Governor to support urban transportation planning process; and WHEREAS, the Governor of the State of Texas or his designee has designated the San Angelo Metropolitan Planning Organization Policy Board as the Metropolitan Planning Organization for the San Angelo urbanized area; and WHEREAS, the San Angelo Metropolitan Planning Organization Policy Board desires to enter into a planning agreement with the Texas Department of Transportation to development transportation plans and programs for the San Angelo urbanized area and to qualify for funding relating thereto:
  • 45.
    NOW, THEREFORE, BEIT RESOLVED BY THE CITY OF SAN ANGELO THAT: The Interim City Manager or his designee is hereby authorized to execute a Planning Agreement with the Texas Department of Transportation and the San Angelo Metropolitan Planning Organization Policy Board, effective through September 30, 2018, or for such period as the contract may be extended by its terms PASSED and APPROVED THIS______ DAY OF______________, 2012
  • 46.
    MEMORANDUM Date: August 30, 2012 To: Mayor and Councilmembers From: Luis Elguezabal, A.A.E., Airport Director Subject: Consideration for 09-18-12 meeting Contact: Luis Elguezabal, A.A.E., Airport, 325-659-6409 or Extension-1010 Caption: Consent Agenda: CONSIDERATION OF AUTHORIZING THE INTERIM CITY MANAGER EXECUTE AN GRANT AGREEMENT ACCEPTING THE FEDERAL AVIATION ADMINISTRATION’S FY-2012 MULTI YEAR GRANT (GRANT NO. 3-48-0191-033-2012) ESTIMATED AT $4,000,000.00 FOR WHICH $444,444.00 WILL BE CITY’S PORTION OF MATCHING FUNDS FOR IMPROVEMENTS AT SAN ANGELO REGIONAL AIRPORT. Summary: Each year the airport applies for a grant under the Federal Aviation Administration (FAA) Airport Improvement Program (AIP). The AIP is authorized by Title-49 of the United States Code. The AIP's objective is to provide funding for airport capital improvement projects. Grant No. 3-48-0191-033-2012 is for the rehabilitation and upgrades of the airport’s terminal building. This is a multi-year grant with amendments for each fiscal year: Federal Share City Share TOTAL FY-2012 $1,000,000 $111,111 $1,111,111 FY-2013 $1,000,000 $111,111 $1,111,111 FY-2014 $1,000,000 $111,111 $1,111,111 FY-2015 $1,000,000 $111,111 $1,111,111 Total $4,000,000 $444,444 $4,444,444 The federal share is $1,000,000. The City is obligated to pay 10% of the cost of all FAA funded projects, in this case that estimated sum is $111,111.00. The airport will fund this obligation, and all future amendments, through the Passenger Facility Charge (PFC) program. The FAA requests that the grant be accepted, attorney certified, and executed by September 18, 2012. Financial Impact: This Grant generates federal funds of $4,000,000 that are augmented by $444,444 from the Passenger Facility Charges for a total of $4,444,444. Related Vision Item: Adequately maintain infrastructure • Transportation Other Information/Recommendation: Staff recommends approval. Attachments: FAA Grant Agreement No. 3-48-0191-033-2012 Presentation: None
  • 47.
    Publication: None Reviewed by Director: Luis Elguezabal, Airport, 08-30-12
  • 97.
    City of SanAngelo Memo Date: September 14, 2012 To: Mayor and Council Members From: David Knapp, Construction Manager Subject: Agenda Item for September 18, 2012 Council Meeting Contact: David Knapp, Construction Manager, 657-4279 Caption: Consent Agenda Item Consideration of authorizing a fourth amended Architectural and Consulting Services Agreement with Killis Almond Architects for the design of Auditorium roof and coping replacement and authorizing the Interim City Manager to execute said amendment Summary: The City is currently in contract with Killis Almond Architects (KAA) for the Restoration & Rehabilitation of the City Hall and Old Library buildings and the renovation of the Auditorium. The Auditorium renovation focused primarily on upgrades within the building shell like new lights & sound equipment as well as new finishes and fixtures for restrooms and back of house spaces. The proposed new work includes the replacement of cast stone coping on all parapets, new roofing and insulation on both roof levels. There are a few items relating to roof penetrations for future auditorium work that can be properly addressed during this project Temporary measures have been taken to shore up damaged coping stones to prevent them from falling. KAA has an extensive knowledge of this building including information discovered during the City Hall renovation. Funding for this work was approved by council on July 17 under a budget amendment from Risk Management. History: Killis Almond Architects have been under contract with the City since 2008 for the Master Plan of the City Hall Plaza area. Four phases of work were outlined for the renovation of the City Hall, Old Library, and Water Utility Building and a new Parking Garage. This contract was then extended for the Architect to provide professional services for Phase I - Renovation of the City Hall and Old Library buildings; Phase II -Design of the mechanical central plant that will serve all the buildings at the City Hall Plaza Area; Phase III – Restoration & renovation of the Auditorium, a Half-Cent Sales Tax Project. The Auditorium has always been considered an important element to the City Hall Plaza area and its renovation & expansion is key to the success of the Master Plan. The focus of Phase III was to improve the technical and aesthetic aspects within the shell of the auditorium structure. It was determined later that there was serious deficiencies in the roof and particularly the roof coping which posed a danger to the general public. The primary focus was to replace the damaged roof coping that posed a significant
  • 98.
    danger to thegeneral public as a safety issue. While there is some life left in the existing roofs, it does not make sense to replace the coping and not address an aging roof. This work will strengthen the “Downtown Vision” as established by the City Council. Financial Impact: The Professional Services fee for the Auditorium is $20,900. Funding comes from Budget Amendment from Risk Management funds with $316,000 available for the design & construction of the project. Other Information/ Staff recommends the approval of extending the professional services contract Recommendation: with Killis Almond Architects for the Auditorium Roof replacement Project. Attachments: Proposal and Contract Presentation: None Reviewed by: Rick Weise, Assistant City Manager, September 2, 2012
  • 99.
    FOURTH AMENDED ARCHITECTURALAND CONSULTING SERVICES AGREEMENT BETWEEN CITY OF SAN ANGELO AND KILLIS ALMOND ARCHITECTS, PC This Fourth Amendment is made and entered into this the _____ day of ___________, 2012, between the CITY OF SAN ANGELO, TEXAS, a Texas home-rule municipality (“OWNER”) and KILLIS ALMOND ARCHITECTS PC, a Texas corporation “(ARCHITECT”). WHEREAS, OWNER and ARCHITECT originally executed an Architectural and Consulting Services Agreement on July 24, 2008, as amended by that certain First Amended Architectural and Consulting Services Agreement dated April 6, 2009, as amended by that certain Second Amended Architectural and Consulting Services Agreement dated August 3, 2010, as amended by that Third Amended Architectural and Consulting Services Agreement dated November 1, 2011; and WHEREAS, OWNER and ARCHITECT now desire to execute a Fourth Amended Architectural and Consulting Services Agreement; and WHEREAS, all of the terms and conditions of the First Amended Architectural and Consulting Services Agreement, Second Amended Architectural and Consulting Services Agreement and Third Amended Architectural and Consulting Services Agreement shall be in full force and effect unless amended and changed by this Fourth Amended Architectural and Consulting Services Agreement; and NOW THEREFORE, OWNER and ARCHITECT agree as follows: The Fourth Amended Architectural and Consulting Services Agreement shall be amended as follows: 1. ARTICLE 2 – STANDARDS OF PERFORMANCE, Section 2.2, shall be amended by adding an additional subsection after subsection d., to be entitled subsection e., which shall read as follows: e. ARCHITECT shall deliver Final Construction Documents to repair the Roofing and Flashing, and Roof Replacement for the San Angelo City Hall Auditorium and Stagehouse in accordance with the provisions set forth in ARTICLE 3 – SCOPE OF SERVICES, within sixty (60) days following the approval of the conditions report and notice to proceed. 2. ARTICLE 4 – ARCHITECT FEES, 4.1 ARCHITECT FEES, Subsection 4.1.2, shall be amended by inserting “C-7” into the first sentence after “C-6” which shall read as follows:
  • 100.
    4.1.2 A breakdownof the lump sum fees are included as the Contract Cost Estimate attached to this Agreement as Exhibits C-1, C-2, C-3, C-4, C-5, C-6 and C-7 attached hereto and incorporated herein for all purposes. 3. ARTICLE 4 – ARCHITECT FEES, 4.1 ARCHITECT FEES, Subsection 4.1.4, shall be amended by inserting “C-7” into the first sentence after “C-6” which shall read as follows: 4.1.4 For Additional Services of Consultants, including additional structural, mechanical and electrical engineering services or those identified as part of Additional Services, OWNER, shall the amounts set forth for Additional Services under the Contract Cost Estimate in Exhibits C-1, C-2, C-3, C-4, C-5, C-6 and C-7. 4. Exhibit B, Work/Project Specifications, shall be amended by adding a paragraph entitled COMPLETION OF CONSTRUCTION DOCUMENTS TO REPAIR THE ROOFING AND FLASHING, AND ROOF REPLACEMENT FOR THE SAN ANGELO CITY HALL AUDITORIUM AND STAGEHOUSE, to be inserted after the last bulleted sentence under the paragraph entitled “PHASE III: AUDITORIUM RENOVATION AND EXPANSION CENTRAL ICE PLANT” (● The basement stage is not part of the annex work. Minimum work will be accomplished to keep this area functioning as currently designed.), and above the paragraph entitled “OTHER”, which shall read as follows: COMPLETION OF CONSTRUCTION DOCUMENTS TO REPAIR THE ROOFING AND FLASHING, AND ROOF REPLACEMENT FOR THE SAN ANGELO CITY HALL AUDITORIUM AND STAGEHOUSE ARCHITECT is required to follow the design phases and services as defined in the original contract including SCHEMATIC DESIGN, DESIGN DEVELOPMENT, CONSTRUCTION DOCUMENTS, BIDDING & CONSTRUCTION. The project scope involves completion of a detailed report on existing conditions and solution to water penetration into the roofing and parapets and the current dangerous conations relating to precast stone parapet caps that have
  • 101.
    deteriorated and arefalling from the surrounding walls. REPORT PHASE – City Hall Auditorium and Stagehouse roof and parapet repair – ARCHITECT shall provide complete investigation, design and engineering services for the completion of a report on the existing conditions of the roofing and parapets, including the parapet caps. • Field document current conditions and report in written form the problems and selected options for repair based on the filed investigations. • Present the field documentation information in a written report that will provide an understanding of the issues and the proposed solutions. • Provide a Broadscope budget of probable construction costs for budgeting purposes. • Provide one presentation to City as needed to present the findings and provide an understanding of the issues relating to the roof/waterproofing. DOCUMENTS AND CONSTRUCTION PHASE – City Hall Auditorium and Stagehouse roof and parapet repair – ARCHITECT shall provide complete design and engineering services for the contract documents including drawings and specifications to allow the City to bid the work on the Auditorium Roof, Stagehouse and Parapet Caps. • Provide specification for the establishment of the material to be used in the repair of the roofing elements. • Complete working drawings to a sufficient level to describe the intent of the architect’s design for waterproofing and replacing the damaged elements in the roofing system. • Provide bid documents for the pricing of the project by the contractor. • Provide Construction Administration Services during the construction phase. • The Architect shall complete final construction documents within Sixty (60) days following the approval of the conditions report and notice to proceed by the City Architect. 5. EXHIBIT C – shall be amended by adding a new exhibit, EXHIBIT C-7, containing a Fee Breakdown for Architectural, Rehabilitation and Engineering Services, to be placed following EXHIBIT C-6, which is attached to this Fourth
  • 102.
    Amended Architectural andConsulting Services Agreement as Attachment A, and shall read as follows: EXHIBIT “C-7” Fee Project - Auditorium and Stage Amount House Investigation Deliverable Fixed Fee Fee Type Divisions of work Investigation and Schematic Design Report and Presentation $8,100 Fixed Fee Design Development and Drawings and Construction Documents specifications $4,000 Fixed Fee Bidding assistance and Field trips for Construction Bidding/Construction Administration $4,000 Fixed Fee Billed at Cost of Travel Expense – 7 Printing, Travel costs and man trips included in Reimbursable Expenses fees as required $4,800 fixed fee Total A/E Fees $20,900 IN WITNESS WHEREOF, the parties hereto have made and executed in duplicate this Fourth Amended Architectural and Consulting Services Agreement, this ____ day of ___________________, 2012. OWNER: ARCHITECT: CITY OF SAN ANGELO KILLIS ALMOND ARCHITECTS, PC By:__________________________ By:____________________________ Michael Dane, Interim City Manager Killis Almond, FAIA Director Date Signed: Date Signed: ATTEST: ATTEST:
  • 103.
    By: _____________________ By: _____________________ Alicia Ramirez, City Clerk Attachment “A” EXHIBIT “C-7” Fee Project - Auditorium and Stage Amount House Investigation Deliverable Fixed Fee Fee Type Divisions of work Investigation and Schematic Design Report and Presentation $8,100 Fixed Fee Design Development and Drawings and Construction Documents specifications $4,000 Fixed Fee Bidding assistance and Field trips for Construction Bidding/Construction Administration $4,000 Fixed Fee Billed at Cost of Travel Expense – 7 Printing, Travel costs and man trips included in Reimbursable Expenses fees as required $4,800 fixed fee Total A/E Fees $20,900
  • 104.
    FOURTH AMENDED ARCHITECTURALAND CONSULTING SERVICES AGREEMENT BETWEEN CITY OF SAN ANGELO AND KILLIS ALMOND ARCHITECTS, PC APPROVED AS TO CONTENT: APPROVED AS TO FORM: ____________________ _ ____________________________ David Knapp, Construction Manager Lysia H. Bowling, City Attorney
  • 105.
    Proposal for Additional Services    From:  Killis Almond Architects, P.C.  July 10, 2012  342 Wilkens Ave.  San Antonio, TX 78210  210‐532‐3212    RE:  Proposal for Contract Amendment for the completion of Construction Documents to repair the  Roofing and flashing, and Roof Replacement for the San Angelo City Hall Auditorium and Stagehouse.    SCOPE OF WORK:  The architect is required to follow the design phases and services as defined in the  original contract including SCHEMATIC DESIGN, DESIGN DEVELOPEMNT, CONSTRUCTION DOCUMENTS,  BIDDING & CONSTRUCTION.  The project scope involves completion of a detailed report on existing  conditions and solution to water penetration into the roofing and parapets and the current dangerous  conations relating to precast stone parapet caps that have deteriorated and are falling from the  surrounding walls.  REPORT PHASE – City Hall Auditorium and Stagehouse roof and parapet repair ‐ Almond Architects shall  provide complete investigation, design and engineering services for the completion of a report on the  existing conditions of the roofing and parapets, including the parapet caps.     Field document current conditions and report in written form the problems and  selected options for repair based on the field investigations.    Present the field documentation information in a written report that will provide an  understanding of the issues and the proposed solutions.   Provide a Broadscope budget of probable construction costs for budgeting purposes.   Provide one presentation to the City as needed to present the findings and provide an  understanding of the issues relating to the roof/waterproofing.  DOCUMENTS AND CONSTRUCTION PHASE– City Hall Auditorium and Stagehouse roof and parapet  repair ‐ Almond Architects shall provide complete design and engineering services for the contract  documents including drawings and specifications to allow the City of San Angelo to bid the work on the  Auditorium Roof, Stagehouse and Parapet Caps.   Provide specification for the establishment of the material to be used in the repair of  the roofing elements.   Complete working drawings to a sufficient level to describe the intent of the architect’s  design for waterproofing and replacing the damaged elements in the roofing system.   Provide bid documents for the pricing of the project by the contractor.   Provide Construction Administration Services during the construction phase.    The Architect shall complete final construction documents within Sixty (60) days  following the approval of the conditions report and notice to proceed by the City  Architect.         Page 1 
  • 106.
    Proposal for Additional Services    Project – Auditorium and Stage  Deliverable  Fee Amount  Fee Type  House Investigation  Fixed Fee  Divisions of work                Investigation and  Schematic Design  Report and  $8,100  Fixed Fee  presentation  Design Development and   Drawings and  $4,000  Fixed Fee  Construction Documents  specifications  Bidding / Construction  Bidding assistance  $4,000  Fixed Fee  and Field trips for  Construction  Administration  Reimbursable Expenses  Printing, Travel  $4,800  Billed at Cost of  costs and fees as  Travel Expense –  required  7 man trips  included in fixed  fee  Total A/E Fees    $20,900  Fixed Fee            Please feel free to contact me if you have any questions regarding this proposal.  Thank you for again  considering our firm for Architectural Services.  We look forward to working on this important upgrade  to the safety of the City Hall exterior.  Respectfully,    Killis Almond, FAIA      Page 2 
  • 107.
    City of SanAngelo Memo Date: August 22, 2012 To: Mayor and Councilmembers From: Robert Schneeman, Development Coordinator Subject: Agenda Item for September 4, 2012 Council Meeting Contact: Shawn Lewis, or Bob Schneeman 657-4210 Caption: Regular Agenda Item First public hearing and consideration of introduction of an ordinance naming a private drive within the City of San Angelo located on a 3.757 acre tract in Block CC, Section 30 College Hills South Addition, Time Clock Drive; and providing an effective date; and first public hearing and consideration of an ordinance repealing in its entirety the th ordinance introduced passed, approved and adopted on the 5 day of April 2005 naming a private drive on Lot 1 in Southland Park Addition, Section Fifteen, Time Clock Drive; and providing an effective date At its regular meeting on April 5, 2005 approved the second reading of an ordinance (Annex C, page 379, Ordinance) naming a heretofore unnamed private Summary: drive on Lot 1, Section 15, Southland Park Addition “Time Clock Drive”, at the request of the applicant Data Management, Inc. The applicant has subsequently purchased a new property and would like to use the name for a private drive on that property. No addresses were ever assigned to the former street. History: Data management Inc, the applicant originally requested the naming of a private lane on Lot 1, Section 15, Southland Park addition, with the intent of relocating its operations to an existing building on that property. The company grew faster than anticipated resulting in that building being too small for their operations. Consequently the company purchased the property located at 3522 Loop 306 and has requested that the name Time Clock Drive be removed from the private drive on Lot 1, Section 15, Southland Park Addition and that the previously unnamed drive located on the newly purchased property, a 3.757 acre tract in Block CC, Section 30, College Hills South Addition be named Time Clock Drive. The company believes having a mailing address located on a street with the same name as their primary product “TimeClock Plus” provides a significant marketing benefit. No addresses have been assigned to any properties on the formerly named drive and the current occupant of the building into which the applicant intended to move, Journey Bible Church, is using the address 2819 West Loop 306 and there are no other properties which would be affected by the name change. Financial Impact: None
  • 108.
    Related Vision Item (ifapplicable): Other Information/ Staff recommends approval as presented Recommendation: Attachments: 2005 Ordinance, Ordinance Repealing 2005 Ordinance, Ordinance Naming Private Drive, and Minute Excerpt 4/5/2005 Presentation: Robert Schneeman, Development Coordinator Publication: Reviewed by Shawn Lewis, ext 1541 Director: Approved by Legal:
  • 111.
    0LQXWHV 3DJH $SULO 9RO ,QYHVWPHQW 2YHUVLJKW RPPLWWHH 6WHYH HFLO 281,/
  • 112.
    IRU DQ XQOLPLWHGWHUP 3XEOLF $UW RPPLVVLRQ 1HYLH /DF 60'
  • 113.
  • 114.
  • 115.
  • 116.
    IRU IXOO WHUPVWR $SULO DQG 6HDQ DUWHU 60'
  • 117.
  • 118.
    IRU IXOO WHUPVWR $SULO 0RWLRQ WR DSSURYH ERDUG DSSRLQWPHQW QRPLQDWLRQV DV VXEPLWWHG E GHVLJQDWHG RXQFLOPHPEHUV ZDV PDGH E 0DRU /RZQ DQG VHFRQGHG E RXQFLOPHPEHU %DWHV 0RWLRQ FDUULHG XQDQLPRXVO 3/$11,1* $*(1'$ 6(21' 5($',1*6 6(21' 38%/, +($5,1* $1' $'237,21 2) $1 25',1$1( $0(1',1* +$37(5 (;+,%,7 ³$´ 2) 7+( 2'( 2) 25',1$1(6 ,7 2) 6$1 $1*(/2 7(;$6 68 (OLDV 0 )ORUHV $1 25',1$1( $0(1',1* +$37(5 (;+,%,7 $ 2) 7+( 2'( 2) 25',1$1(6 ,7 2) 6$1 $1*(/2 7(;$6 :+,+ 6$,' (;+,%,7 $ 2) +$37(5 $'2376 =21,1* 5(*8/$7,216 86( ',675,76 $1' $ =21,1* 0$3 ,1 $25'$1( :,7+ $ 2035(+(16,9( 3/$1 % +$1*,1* 7+( =21,1* $1' /$66,),$7,21 2) 7+( )2//2:,1* '(65,%(' 3523(57 72 :,7 :(67 $9(18( 5 $7 7+( 6287+:(67 251(5 2) 6287+ %5$17 %28/(9$5' $1' :(67 $9(18( 5 63(,),$// 283,1* /27 ,1 %/2. 2) /$ 9,//,7$ +(,*+76 $'',7,21 ,1 6287+ (175$/ 6$1 $1*(/2 7(;$6 $33529,1* $ 63(,$/ 86( 72 $//2: 6$/( 2) 0(5+$1',6( 287'2256 21 3523(57 ,1 $ 6,1*/()$0,/ 5(6,'(1( 56
  • 119.
    ',675,7 68%-(7 7221',7,216 63(,),(' +(5(,1 3529,',1* )25 6(9(5$%,/,7 $1' 3529,',1* )25 $ 3(1$/7 3ODQQHU ,, 0DUWLQ =LPPHUPDQQ SUHVHQWHG EDFNJURXQG LQIRUPDWLRQ 0RWLRQ WR DGRSW DQ 2UGLQDQFH DPHQGLQJ KDSWHU ([KLELW ³$´ RI WKH RGH RI 2UGLQDQFHV LW RI 6DQ $QJHOR 7H[DV 68 (OLDV 0 )ORUHV DV SUHVHQWHG RQ VHFRQG UHDGLQJ ZDV PDGH E RXQFLOPHPEHU +ROJXLQ DQG VHFRQGHG E RXQFLOPHPEHU 0RUULVRQ 0RWLRQ FDUULHG XQDQLPRXVO $QQH[ % 3DJH ³2UGLQDQFH´ 6(21' 38%/, +($5,1* $1' $'237,21 2) $1 25',1$1( $66,*1,1* $ 675((7 1$0( 72 $ 35,9$7( '5,9( $1 25',1$1( 1$0,1* $ +(5(72)25( 811$0(' 35,9$7( '5,9( 21 /27 ,1 6287+/$1' 3$5. $'',7,21 6(7,21 ),)7((1
  • 120.
    72 %( 7,0(/2. '5,9( $1' 3529,',1* $1 ())(7,9( '$7( 6HQLRU 3ODQQHU %UDG 6WRQH SUHVHQWHG EDFNJURXQG LQIRUPDWLRQ 0RWLRQ WR DGRSW DQ 2UGLQDQFH DVVLJQLQJ D VWUHHW QDPH WR D SULYDWH GULYH DV SUHVHQWHG RQ VHFRQG UHDGLQJ ZDV PDGH E 0DRU /RZQ
  • 121.
    AN ORDINANCE NAMINGA PRIVATE DRIVE WITHIN THE CITY OF SAN ANGELO LOCATED ON A 3.757 ACRE TRACT IN BLOCK CC, SECTION 30 COLLEGE HILLS SOUTH ADDITION TIME CLOCK DRIVE; AND PROVIDING AN EFFECTIVE DATE WHEREAS, an existing business is expanding on the subject property; and WHEREAS, there is a private drive through the property shown and described in Exhibit A, the private drive being located within the easterly 1/3rd of the property and connecting Wildewood Drive on the north and Loop 306 West on the south; and WHEREAS, the City Council for the City of San Angelo, Texas is of the opinion that naming the private drive will promote economic development and promote job creation in connection with the expansion business; NOW, THEREFORE, BE IT ORDAINED BY THE CITY OF SAN ANGELO: THAT, the private drive depicted in Exhibit “A” shall be and is hereby designated as “Time Clock Drive”; and, THAT, as a consequence of this ordinance, the City of San Angelo assumes no responsibility for maintenance or repair of the driving surface on this private drive. This ordinance shall be effective from and after the date of its adoption. INTRODUCED on the 4th day of September 2012 and finally PASSED, APPROVED AND ADOPTED on this the 18th day of September, 2012. THE CITY OF SAN ANGELO, TEXAS Alvin New, Mayor Attest: Alicia Ramirez, City Clerk Approved As to Form: Approved As to Content: Shawn Lewis Lysia H. Bowling
  • 122.
    Community and EconomicDevelopment Director City Attorney
  • 123.
    AN ORDINANCE REPEALINGIN ITS ENTIRETY THE ORDINANCE INTRODUCED PASSED, APPROVED AND ADOPTED ON THE 5TH DAY OF APRIL, 2005 NAMING A PRIVATE DRIVE ON LOT 1 IN SOUTHLAND PARK ADDITION, SECTION FIFTEEN TIME CLOCK DRIVE; AND PROVIDING AN EFFECTIVE DATE WHEREAS the City Council for the City of San Angelo, Texas is of the opinion that the best interest and welfare of the public will be served by removing the name Time Clock Drive from the private drive located on Lot 1, in Southland Park Addition, Section Fifteen; NOW, THEREFORE, BE IT ORDAINED BY THE CITY OF SAN ANGELO: THAT, the Ordinance naming a private drive on Lot 1 in Southland Park Addition, Section Fifteen Time Clock Drive; and providing and effective date, introduced on the 22nd day of March 2005 and finally passed, approved and adopted on the 5th day of April, 2005 IS HEREBY REPEALED IN ITS ENTIRETY. This ordinance shall be effective from and after the date of its adoption. INTRODUCED on the 4th day of September 2012 and finally PASSED, APPROVED AND ADOPTED on this the 18th day of September, 2012. THE CITY OF SAN ANGELO, TEXAS Alvin New, Mayor Attest: Alicia Ramirez, City Clerk Approved As to Form: Approved As to Content: Shawn Lewis Lysia H. Bowling Community and Economic Development Director City Attorney
  • 124.
    City of SanAngelo Memo Meeting Date: September 4, 2012 To: City Council members From: Jeff Hintz, Planner Subject: Smith Boulevard, Partial Street Abandonment Request: Howard College requesting abandonment on the following property: Location: an 80’ wide portion of the unimproved public right-of-way for Smith Boulevard, extending approximately 1000’ northward from McGill Boulevard, immediately adjacent to property owned by Howard College in northeastern San Angelo. Contacts: LeAnne Byrd 325-481-8300 Jeff Hintz, Planner 325-657-4210 Caption: First Public Hearing and consideration of introduction of an Ordinance authorizing abandonment of public right-of-way for Smith Boulevard extending approximately 1000 feet northward from the intersection of Smith Boulevard and McGill Boulevard in northeastern San Angelo, AN ORDINANCE PROVIDING FOR THE ABANDONMENT AND CLOSING OF THE FOLLOWING STREET SEGMENT, TO WIT: An approximately 80’ wide portion of the unimproved public right-of-way for Smith Boulevard, extending approximately 1000’ northward from McGill Boulevard, immediately adjacent to property owned by Howard College in northeast San Angelo; AUTHORIZING THE CONVEYANCE THEREOF TO THE ABUTTING PROPERTY OWNERS; PROVIDING FOR THE TERMS AND CONDITIONS OF ABANDONMENT AND CONVEYANCE; AND PROVIDING FOR THE MAYOR TO EXECUTE AND DELIVER A QUIT CLAIM DEED TO THE ABUTTING PROPERTY OWNERS
  • 125.
    Summary: The CityCouncil may: 1. Approve the proposed abandonment; or 2. Approve the proposed abandonment subject to conditions; or 3. Deny the proposed abandonment. Recommendation: City staff recommends approving, subject to conditions as listed below, the proposed alley abandonment for the reasons mentioned in this report. On August 20, Planning Commission recommended approval of this request subject to conditions by a vote of 4-0. History and Background: In May of 2012 a Planned Development was presented to the Planning Commission and approved. After some discussion at City Council, Council discussed their concerns about having Smith Boulevard bisect the campus, similar to that of Johnson Street at Angelo State. As a result, staff worked with Howard College, Parkhill Smith Cooper, TxDOT, and other parties to identify alternative ways to route traffic in this area. COSADC, and later, City Council, approved the proposal of improving a segment of Smith Boulevard from PaulAnn Boulevard to the edge of the campus, at which point it would terminate into internal parking lots that are planned for the area. A corresponding amendment to the Thoroughfare Plan was then drafted and approved by both Planning Commission and the MPO Policy Board. This amendment eliminated Smith Boulevard between McGill Boulevard and Howard College's northern most property boundary. As a result, Howard College now seeks to encompass this property into its master plan. General Information Existing Zoning: Light Manufacturing (ML) General Commercial (CG) Existing Land Use: Howard College/West Texas Training Center and vacant land Surrounding Zoning/Land Use: North: ML, CH Wall Stewart Trucking, AEP Substation West: RM-1, PD Residences, Mobile Homes South: RS-1, RM-1,CG Residences, County Facility, Vacant Land East: ML Howard College Highway 67
  • 126.
    Storm Water/Drainage: Abandoning the street segment is not expected to create any storm water or drainage changes for the area so long as what was proposed at a development review meeting with city staff is followed through. Topography: Abandoning the street is not expected to change the topography of the area. Water/Sewer Utilities: A water easement needs to be retained until an alternate route/easement is dedicated to ensure main(s) can be installed to connect McGill and Paulann Boulevards then continue northward. Fire Protection: A dedicated, unobstructed easement to provide fire apparatus and emergency vehicle access will be necessary to properly protect future expansion of the college. Access Management: Abandoning the street is not anticipated to cause any issues regarding property access as the college is the owner of property on both sides along the proposed abandonment. Notification required: Yes Notifications Sent: 9 Received In favor 0 Received in opposition 0 Special Information Private Utilities: Atmos energy has a gas line along the eastern portion of this proposed abandonment and needs to retain a 20' open and unobstructed easement for future access. Basis for Recommendation This property will be much more valuable to the college than to the city as an unimproved street. There is no longer a collector street planned to run through the campus and the property will be best used as a portion of campus. The elimination of this street running through campus will be beneficial to the surrounding neighborhoods and to the campus. The safety of students on campus will certainly be improved as a result of this collector street being stopped at McGill Boulevard.
  • 127.
    The master planfor Howard College encompasses this former street as a parking lot and free space for the campus. By abandoning this right-of- way, the property owner will be able to achieve a cohesive campus feel without the interruption of a collector street. This cohesion will help give the area a campus feel, which is indeed the intent of the applicant. Since the property is no longer necessary as a through street, staff has no objections to this right-of-way being abandoned. The city has no need for this property any longer as the Thoroughfare Plan for this area recently changed; as a result, staff is confident this property would be better for everyone as private property, even if there were two different owners adjacent to the abandonment area. It is important to note that there are some utilities present in this abandonment area. The open and unobstructed easements, recommended as staff conditions, alongside and through this proposed abandonment are necessary so that growth to the north of the property is not hindered in the future and so that adequate fire protection may be provided. Gas and water are essential portions of any development on the commercial or residential side and discontinuing their progress northward will have serious implications on future development. Open and unobstructed easements across this former street will need to be maintained so the facilities can be accessed, upgraded, and repaired in the future. The easements can be paved and parked over without any problem, however they do need to be kept free from buildings, fences, and structures so that future access can occur. Proposed Conditions 1. Submission and approval of a site utility plan to the Water Utilities Department including conveyance of easements for water utilities. 2. Maintain at least a 20' open and unobstructed temporary easement for emergency vehicle access from McGill Boulevard northward throughout the entire abandonment. Upon completion of a permanent, paved fire lane extending through an approved route by the Fire Marshall for the City of San Angelo, in accordance with the International Fire Code, this temporary easement shall automatically cease to exist. 3. Access to the temporary fire access easement shall be blocked through the use of removable bollards to limit traffic to emergency vehicles only and shall be signed accordingly. The location of the bollards shall be approved by the Fire Marshall for the City of San Angelo.
  • 128.
    Attachments: detailed survey of the area to be abandoned; excerpt from zoning map, highlighting subject property; aerial photo, highlighting subject property; draft minutes from Planning Commission; and draft ordinance. Presentation: AJ Fawver, Planning Manager Reviewed by: AJ Fawver, AICP, Planning Manager 08/09/12
  • 132.
    B. Smith Boulevard,northward approximately 1000 feet northward from McGill Boulevard: Howard College A request to abandon a street right-of-way on the following property: an 80’ wide portion of the unimproved public right-of-way for Smith Boulevard, extending approximately 1000’ northward from McGill Boulevard, immediately adjacent to property owned by Howard College in northeastern San Angelo. Jeff Hintz, Planner, came forward to present this item, consistent with the recommendation of approval, subject to conditions. Nine notifications were sent out on this request, with zero returned in favor or in opposition. As a result of the recent Thoroughfare Plan change, which eliminated the requirement for Smith Boulevard to act as an arterial street bisecting the campus, Howard College has requested this abandonment in order to continue their campus expansion over and across this area. Mr. Hintz showed some photos of the area and reviewed the options for the Commission. Mr. Hintz reviewed the chronological timeline of events that have transpired, leading up to this request, and including the involvement of COSADC, MPO, TxDOT, and City Council. Mr. Hintz reviewed the conditions staff is recommending for approval. These include an open and unobstructed easement for an existing gas line, submission and approval of a site utility plan by Water Utilities staff, and a 20' open unobstructed easement for emergency vehicle access northward from McGill to the end of the section proposed for abandonment. There were no questions from the Commission. Leanne Byrd, Provost from Howard College, came forward to speak in favor of this request. She indicated that they are pleased with the direction this new campus expansion has taken. The Chairman asked if there were issues with the conditions proposed, and she stated her belief that they could work with those conditions. No one else came forward to speak on this item. Motion, to approve as presented, was made by Joe Grimes, and seconded by Sebastian Guerrero. The motion passed unanimously, 4-0.
  • 133.
    AN ORDINANCE PROVIDINGFOR THE ABANDONMENT AND CLOSING OF THE FOLLOWING ALLEY, TO WIT: An approximately 80’ wide portion of the unimproved public right-of-way for Smith Boulevard, extending approximately 1000’ northward from McGill Boulevard, immediately adjacent to property owned by Howard College in northeast San Angelo; AUTHORIZING THE CONVEYANCE THEREOF TO THE ABUTTING PROPERTY OWNERS; PROVIDING FOR THE TERMS AND CONDITIONS OF ABANDONMENT AND CONVEYANCE; AND PROVIDING FOR THE MAYOR TO EXECUTE AND DELIEVER A QUIT CLAIM DEED TO THE ABUTTING PROPERTY OWNERS RE: abandonment of a public right-of-way being an unimproved street segment for Smith Boulevard extending approximately 1000 feet northward from the intersection of Smith Boulevard and McGill Boulevard in northeastern San Angelo . WHEREAS, the City Council of the City of San Angelo, Texas, acting pursuant to law, deems it advisable to abandon and convey the hereinafter described tract of land to the abutting property owner and is of the opinion that said land is not needed for public use, and that same should be abandoned and quit claimed to the abutting property owner as hereinafter provided; and WHEREAS, the City Council of the City of San Angelo, Texas is of the opinion that the best interest and welfare of the public will be served by abandoning and conveying same to the abutting property owner, subject to conditions and restrictions contained herein; NOW, THEREFORE, BE IT ORDAINED BY CITY COUNCIL OF THE CITY OF SAN ANGELO: 1. That the following described tract in the City of San Angelo, Tom Green County, Texas be and the same is hereby abandoned, vacated and closed insofar as the right, title and easement of the public are concerned; subject, however, to the conditions and restrictions hereinafter more fully set out: BEING the entire 76,092 square feet of publicly dedicated right-of-way shown graphically in Exhibit A of this ordinance and fully descried in Exhibit B of this ordinance. 2. That the abandonment and conveyance provided for herein is made and accepted subject to all present zoning and deed restrictions, if the latter exist, and all existing easements, if any, whether apparent or non-apparent, aerial, surface, underground or otherwise. 3. That the abandonment and conveyance provided for herein shall extend only to the public right, title, easement and interest and shall be construed to extend only to the interest which the governing body for the City of San Angelo may legally and lawfully abandon and vacate. 4. That the Mayor of the City of San Angelo is hereby authorized to execute and deliver
  • 134.
    a quit claimdeed conveying the above-described tract to the abutting property owner. 5. That the terms and conditions contained in this ordinance shall be binding upon Grantees and assigns. 6. That the Grantees shall pay all reasonable costs associated with procedures necessitated by the request to abandon this public right-of-way. 7. That the Grantees meet all conditions set below, identified as A, B and C before the Quit Claim Deed is recorded with the County Clerk of Tom Green County, Texas. A. Submission and approval of a site utility plan to the Water Utilities Department including conveyance of easements for water utilities. B. Maintain at least a 20' open and unobstructed temporary easement for emergency vehicle access from McGill Boulevard northward throughout the entire abandonment. Upon completion of a permanent, paved fire lane extending through an approved route by the Fire Marshall for the City of San Angelo, in accordance with the International Fire Code, this temporary easement shall automatically cease to exist. C. Access to the temporary fire access easement shall be blocked through the use of removable bollards to limit traffic to emergency vehicles only and shall be signed accordingly. The location of the bollards shall be approved by the Fire Marshall for the City of San Angelo. INTRODUCED on the 4th day of September 2012 and finally PASSED, APPROVED AND ADOPTED ON this the 18th day of September, 2012. CITY OF SAN ANGELO, TEXAS ATTEST: by: ______________________________ by: ______________________________ Alvin New, Mayor Alicia Ramirez, City Clerk Approved As To Content: Approved As To Form: _________________________ ________________________ AJ Fawver, Planning Manager Lysia H. Bowling, City Attorney
  • 135.
  • 136.
  • 137.
    City of SanAngelo Memo Meeting Date: August 20, 2012 To: City Council members From: Kevin Boyd, Planner Subject: SU 12-01 Daryl Presley, a request for a Special Use to allow for a Firearms Range and Meeting Room in a General Commercial/ Heavy Commercial (CG/CH) zone on the following property: Location: 2229 West Beauregard Avenue, located at the intersection of West Beauregard Avenue and South Pierce Street; more specifically occupying the Village Shopping Center Condo Subdivision, Block 25, Lots 5-8, in western San Angelo. Purpose: Approval of this request would allow for a “Firearms Range” on the subject property. Contacts: Daryl Presley 325-212-3703 Kevin Boyd, Planner 325-657-4210 Caption: First Public Hearing and consideration of introduction of an Ordinance amending Chapter 12, Exhibit “A” (Zoning Ordinance) of the Code of Ordinances, City of San Angelo SU 12-01: Daryl Presley AN ORDINANCE AMENDING CHAPTER 12, EXHIBIT “A” OF THE CODE OF ORDINANCES, CITY OF SAN ANGELO, TEXAS, WHICH SAID EXHIBIT “A” OF CHAPTER 12 ADOPTS ZONING REGULATIONS, USE DISTRICTS AND A ZONING MAP, IN ACCORDANCE WITH A COMPREHENSIVE PLAN, BY CHANGING THE ZONING AND CLASSIFICATION OF THE FOLLOWING PROPERTY, TO WIT: 2229 W Beauregard, located at the intersection of W Beauregard Avenue and
  • 138.
    South Pierce Street;more specifically occupying the Village Shopping Center Condo Subdivision, Block 25, Lots 5-8, in western San Angelo, to allow for a Firearms Range on property in a General Commercial/ Heavy Commercial (CG/CH) district; PROVIDING FOR SEVERABILITY AND PROVIDING A PENALTY Summary: The City Council may: (1) Approve a Special Use allowing for a Firearms Range on this subject property, as requested; or (2) Approve a Special Use allowing for a Firearms Range on this subject property, subject to conditions believed necessary and appropriate to mitigate any adverse effects of such use; or (3) Deny the requested Special Use allowing for a Firearms Range on this subject property. (1) Modify the application to some alternative zoning classification believed to be more appropriate, in which case another public hearing will need to be scheduled. Recommendation: Planning staff recommends approving the proposed special use. History and Background: General Information Existing Zoning: General Commercial/Heavy Commercial (CG/CH) Existing Land Use: Commercial plaza Surrounding Zoning/Land Use: North: General Commercial/ Commercial plaza Heavy Commercial (CG/CH) West: Single-Family Residential Parking and residential dwelling (RS-1) (The Salvation Army's Family Store within the plaza) South: Low Rise Multi-Family Apartment complex Residential (RM-1) East: Low Rise Multi-Family Apartment complex Residential (RM-1) (The Outdoorsman within the plaza)
  • 139.
    Thoroughfares/Streets: W Beauregard Avenue is defined as an “arterial street,” which is designed to connect collector streets to freeways and carries large volumes of traffic at high speeds. Access is secondary and mobility is the prime function of these streets. N Pierce Street is defined as a “local street,” which carries light neighborhood traffic at lower speeds and generally connects to collector streets. Zoning History: In 1964, the property was zoned Heavy Business (C-2), which is an equivalent to the current zoning. Applicable Regulations: Section 408: Firearms Range In all except ML and MH Districts, the following limitations shall apply to operation of firearms ranges; (1) Firearms ranges shall be completely enclosed within a building. (2) Any noise emanating from discharge of firearms shall not be audible beyond the boundaries of the lot or tract of land where the firearms range is located. Development Standards: All required off-street parking and the connection(s) to a public right-of-way are required to be paved. Vision Plan Map: Neighborhood Center Related Comp Plan Excerpts: “Commercial properties tend to be organized in a single use, isolated pattern of development. This form generates little synergy between businesses and land uses and often results in incompatibility.” “Promote better transition between nearby commercial and residential use of land and buildings.” “Require a buffer separating commercial, industrial, or
  • 140.
    agricultural zoned lands from neighborhoods.” “Establish transition areas between commercial areas and nearby neighborhoods.” “Organize commercial uses in nodes to avoid deteriorating corridors.” Establish transition areas to better scale-down intensity of use from commercial centers to neighborhoods. Special Information Traffic Concerns: Bringing new use to an existing structure has the potential to bring additional traffic. W Beauregard Avenue is designed to accommodate appropriate commercial traffic. Parking Requirements: Varies depending upon the use of the property, there is sufficient parking available for this site. Parking Provided: Parking for the proposed site is designated for the parking lot in front of the building. Density: Medium density commercial and residential development surrounds the subject property. Notification Required: Yes Notifications Sent: 43 Responses in Favor: 3 Responses in Opposition: 1 Analysis: In order to approve this request, the City Council members are first required to find that:
  • 141.
    1. Impacts Minimized.Whether and the extent to which the site plan minimizes adverse effects, including adverse visual impacts, on adjacent properties. 2. Consistent with Zoning Ordinance. Whether and the extent to which the proposed special use would conflict with any portion of this Zoning Ordinance, including the applicable zoning district intent statement. 3. Compatible with Surrounding Area. Whether and the extent to which the proposed special use is compatible with existing and anticipated uses surrounding the subject land. 4. Traffic Circulation. Whether and the extent to which the proposed special use is likely to result in extraordinarily prolonged or recurrent congestion of surrounding streets, especially minor residential streets. 5. Effect on Natural Environment. Whether and the extent to which the proposed special use would result in significant adverse impacts on the natural environment, including but not limited to water or air quality, noise, stormwater management, wildlife, vegetation, wetlands and the practical functioning of the natural environment. 6. Community Need. Whether and the extent to which the proposed special use addresses a demonstrated community need. 7. Development Patterns. Whether and the extent to which the proposed special use would result in a logical and orderly pattern of urban development in the community. The staff recommendation is based upon the statements listed below. The proposed site is located in a commercial plaza at the corner of West Beauregard Avenue and South Pierce Street. The proponent wants to open a firearms range and meeting room. A meeting room would be allowed under the current zoning, and as such, the intent for a firearms range is the subject of this request. The proponent seeks to provide a shooting range for long guns and hand guns. The proponent would replace a vacant movie theater, located just east of The Outdoorsman (which primarily sells hunting gear and supplies) which complements with this firearms range proposal. A “Firearms Range”, as defined by the Zoning Ordinance, is an indoor facility used for discharging firearms, per Section 310. The use is not allowed by right in any zoning district; instead, it is only permissible with the approval of a Special Use, and even then, limited to the following districts: CG, CH, CBD, OW, ML, MH, CG/CH, and RE.
  • 142.
    In an effortto mitigate factors that may affect the surrounding properties, firearm ranges placed outside of Light Manufacturing (ML) and Heavy Manufacturing (MH) zoning districts must comply with certain regulations, as outlined in Section 408. Such regulations require that the range be completely enclosed within a building and that the sound from the discharges must not emanate beyond the boundaries of the lot. The surrounding walls, insulated by the adjoining stores, will act as a natural barrier to sound. The proponent will focus on sound abatement technology to provide further sound reduction for the site. With these safeguards, facilities of this nature will be able to blend well and in harmony with surrounding uses. The property is situated along West Beauregard Avenue, as part of an expansive commercial corridor that extends for many blocks, roughly from the site to the Concho River. Positioned along the western edge of the corridor, the plaza serves as a gateway to commerce in the area. North of the subject property is a similar plaza. Residences border the subject property to the west, characterized by an established residential neighborhood zoned Single-Family Residential (RS- 1) and to south and east as apartments zoned Low Rise Multi-Family Residential (RM-1). The Vision Plan calls for the area to be designated as “Neighborhood Center”. The intent for this category is to take on a more pedestrian-friendly character, where uses are integrated with and connected to their surroundings. Another key component is to cluster buildings to generate synergies between complementary uses, this proposal fits both of these principles. The proposal will be an amenity which will serve as entertainment in the area. The proposal replaces a vacant movie theater and would adjoin The Outdoorsman, an outdoor specialty store. The synergy between the related uses would enable cross-shopping and generate activity that will promote an area that is more interesting, safe and sustainable, reflective of the Vision Plan. With regards to traffic circulation, West Beauregard Avenue is as an arterial, designed to carry large volumes of traffic at high speeds. The proposal, similar to The Outdoorsman and the hair salon at the opposite end of the plaza, is considered a specialty venue where the focus is limited to small groups of people or selective clientele. Therefore, with that principle in mind, the expectation is that the site will be less trafficked and the roadway would be able to accommodate traffic generated from the site. Proposed Conditions 1. The proposed range must meet all requirements outlined in Section 408 of the Zoning Ordinance.
  • 143.
    Attachments: excerpt from zoning map, showing the general location within the City of San Angelo; excerpt from the comprehensive plan vision map highlighting the subject property; excerpt from zoning map, highlighting subject property; aerial photo, highlighting subject property; draft minutes from August 20, 2012 Planning Commission; citizen responses; and draft ordinance. Presentation: Kevin Boyd, Planner Reviewed by: AJ Fawver, AICP, Planning Manager (8/15/2012)
  • 148.
    VII. Requests for approval of a special use. [Planning Commission makes recommendation; City Council has final authority for approval.] A. SU 12-01: Daryl Presley a request for a Special Use to allow for a Firearms Range and Meeting Room in a General Commercial/ Heavy Commercial (CG/CH) zone on the following property: 2229 West Beauregard Avenue, located at the intersection of West Beauregard Avenue and North Pierce Street; more specifically occupying the Village Shopping Center Condo Subdivision, Block 25, Lots 5-8, in western San Angelo. Kevin Boyd, Planner, came forward to present this request, consistent with the staff recommendation of approval. 43 notifications were sent out, with 3 received in favor and 0 received in opposition to the request. Mr. Boyd described and reviewed the uses in and around the area. The Vision Plan map calls for neighborhood center at this location, which is consistent with this Special Use, due to the mitigating factors planned, in staff's view. The proposed site is part of a larger strip center along an aging commercial corridor, in which there is some sizable vacant space. This proposal would occupy one of the now-vacant areas within this strip center, right next to the Outdoorsman, a business owned by the applicant. The current zoning of CG/CH allows uses much more intensive uses than the one proposed. The proponent also wants to have a meeting area in the facility, which is not the subject of this request since it is already allowed by right. The applicant intends to use sound abatement features to meet the requirement that noise not be audible outside the boundaries of the site. Mr. Boyd also reviewed the specific use standards already required in the Zoning Ordinance for firearms ranges. Traffic that would be generated is provided for adequately by the parking and street network in place. Darryl Presley, the applicant, came forward to speak in favor of the request. He wanted to add that retail sales will also be part of the request. He intends to build this range and believes that it will be a beneficial addition to the community. Joe Grimes asked if the building would be bulletproof. All the lead will be kept inside and the modifications necessary to do so will be done in the current space, originally a movie theater. He has purchased the unit from the previous owner and he thinks it is a good fit for a firearms range. The chairman asked if he felt he was getting what he needed for the business, and he stated that he felt he was. Mr. Wynne asked what would be done in order to properly house the use. He will be using a commercial bullet trap that is an angled steel plate that contains 2-1/2' to 3' of material that will minimize lead dust and stops the bullets without much destructions. After 80,000 rounds, the lead will be removed and the backstop can be reused. He will be consulting with a company that provides commercial-grade equipment. Mr. Presley was fine with the conditions as outlined.
  • 149.
    No one elsecame forward to speak in favor. No one came forward to speak in opposition to the request. Motion, to approve as presented, was made by Bill Wynne and seconded by Joe Grimes. The motion passed unanimously, 4-0.
  • 154.
    AN ORDINANCE AMENDINGCHAPTER 12, EXHIBIT A OF THE CODE OF ORDINANCES, CITY OF SAN ANGELO, TEXAS, NHICH SAID EXHIBIT A OF CHAPTER 12 ADOPTS ZONING REGULATIONS, USE DISTRICTS AND A ZONING MAP, IN ACCORDANCE WITH A COMPREHENSIVE PLAN, BY CHANGING THE ZONING AND CLASSIFICATION OF THE FOLLOWING DESCRIBED PROPERTY, TO WIT: 2229 W Beauregard, located at the intersection of West Beauregard Avenue and South Pierce Street; more specifically occupying the Village Shopping Center Condo Subdivision, Block 25, Lots 5-8, in western San Angelo, approving a Special Use to allow for a Firearms Range and Meeting Room on this property in a General Commercial / Heavy Commercial (CG/ CH) district; PROVIDING FOR SEVERABILITY AND PROVIDING A PENALTY RE: SU 12-01: Daryl Presley WHEREAS, the Planning Commission for the City of San Angelo and the governing body for the City of San Angelo, in compliance with the charter and the state law with reference to zoning regulations and a zoning map, have given requisite notice by publication and otherwise, and after holding hearings and affording a full and fair hearing to all property owners and persons interested, generally, and to persons situated in the affected area and in the vicinity thereof, is of the opinion that zoning changes should be made as set out herein; NOW, THEREFORE, BE IT ORDAINED BY THE CITY OF SAN ANGELO: SECTION 1: That the basic zoning ordinance for the City of San Angelo, as enacted by the governing body for the City of San Angelo on January 4, 2000 and included within Chapter 12 of the Code of Ordinances for the City of San Angelo, be and the same is hereby amended insofar as the property hereinafter set forth, and said ordinance generally and the zoning map shall be amended insofar as the property hereinafter described: 2229 W Beauregard, located at the intersection of West Beauregard Avenue and South Pierce Street; more specifically occupying the Village Shopping Center Condo Subdivision, Block 25, Lots 5-8, in western San Angelo, shall have a Special Use allowing a Firearms Range and Meeting Room in a commercial zoning district on the property. Said special uses shall have no fundamental effect upon its underlying or base zoning classification. The Director of Planning is hereby directed to correct the zoning district maps in the office of the Director of Planning, to reflect the herein described changes in zoning. SECTION 2: That in all other respects, the use of the hereinabove described property shall be subject to all applicable regulations contained in Chapter 12 of the Code of Ordinances for the City of San Angelo, as amended. SECTION 3: That the following severability clause is adopted with this amendment:
  • 155.
    SEVERABILITY: The terms and provisions of this Ordinance shall be deemed to be severable in that, if any portion of this Ordinance shall be declared to be invalid, the same shall not affect the validity of the other provisions of this Ordinance. SECTION 4: That the following penalty clause is adopted with this amendment: PENALTY: Any person who violates any provisions of this article shall be guilty of a misdemeanor and, upon conviction, shall be subject to a fine as provided for in Section 1.106 of the Code of Ordinances for the City of San Angelo. Each day of such violation shall constitute a separate offense SECTION 5: That the use of this subject property allowed under this Special Use approval shall be limited to the following conditions: (1) The proposed range must meet all requirements outlined in Section 408 of the Zoning Ordinance. INTRODUCED on the 4th day of September, 2012 and finally PASSED, APPROVED AND ADOPTED on this the 18th day of September, 2012. THE CITY OF SAN ANGELO by:____________________________________ Alvin New, Mayor ATTEST: by:________________________________ Alicia Ramirez, City Clerk
  • 156.
    City of SanAngelo Memo Meeting Date: September 4, 2012 To: City Council members From: Kari LeBoeuf, Planner Subject: PD 12-03, a request for a zone change from a combination of Light Manufacturing (ML) and General Commercial (CG) to Planned Development (PD) District to allow for the expansion of the Howard College Campus. Location: 3501 North US Highway 67 encompassing the area known as the Howard College, more specifically 2 tracts being 33.802 acres out of the J. Pointevent Survey 1113, Abstract 4873, and Paulann Park Addition, Section 3, Tract H, being 0.76 acre, and Paulann Park Addition, Section 3, Tract G, being the northwestern 0.145 acre, in northeast San Angelo. Purpose: To allow for the expansion of the Howard College campus and associated accessory uses. Contacts: LeAnne Byrd 325-481-8300 Jeff Hintz, Planner 325-657-4210 Caption: First Public Hearing and consideration of introduction of an Ordinance amending Chapter 12, Exhibit “A” (Zoning Ordinance) of the Code of Ordinances, City of San Angelo Z 12-03: Howard College Campus AN ORDINANCE AMENDING CHAPTER 12, EXHIBIT “A” OF THE CODE OF ORDINANCES, CITY OF SAN ANGELO, TEXAS, WHICH SAID EXHIBIT “A” OF CHAPTER 12 ADOPTS ZONING REGULATIONS, USE DISTRICTS AND A ZONING MAP, IN ACCORDANCE WITH A COMPREHENSIVE PLAN, BY CHANGING THE ZONING AND CLASSIFICATION OF THE FOLLOWING PROPERTY, TO WIT: 3501 North US Highway 67, encompassing the area known as the
  • 157.
    Howard College, morespecifically, being 33.802 acres out of the J. Pointevent Survey 1113, Abstract 4873, and Paulann Park Addition, Section 3, Tract H, being 0.76 acre, and Paulann Park Addition, Section 3, Tract G, being the northwestern 0.145 acre, in northeast San Angelo, a zone change from a combination of General Commercial (CG) and Light Manufacturing (ML) to Planned Development (PD) District; PROVIDING FOR SEVERABILITY AND PROVIDING A PENALTY Summary: The City Council may: (1) approve the proposed planned development as presented; or (2) modify the proposed planned development with changes believed to be more appropriate; or (3) deny the proposed planned development. Recommendation: Planning staff recommends approving the proposed zone change to a Planned Development (PD). On August 20, 2012 Planning Commission recommended approving the Planned Development as presented by a vote of 4-0. History and Background: General Information Existing Zoning: a combination of Light Manufacturing (ML) and General Commercial (CG) Existing Land Use: Howard College/West Texas Training Center and vacant land Surrounding Zoning/Land Use: North: ML, CH Wall Stewart Trucking, AEP Substation West: RM-1, PD Residences, Mobile Homes South: RS-1, RM-1,CG Residences, County Facility, Vacant Land East: ML Highway 67
  • 158.
    Thoroughfares/Streets: Highway 67 is a freeway designed to carry heavy traffic at high speeds. McGill Blvd is classified as a “collector” street which is designed to carry moderate traffic at moderate speeds. Voight Blvd is classified as a “local” street which is designed to carry light neighborhood traffic at lower speeds. Smith Blvd is as yet unimproved in this area. The Thoroughfare Plan for futures road improvements classifies Smith Blvd as a “collector” street. When it is completed it will carry moderate traffic at moderate speeds. Zoning History: This property for the proposed campus was annexed into the city and zoned in separate phases. The property north of McGill Blvd between Voight Blvd and Smith Blvd was annexed into the city in 1984 and was temporarily zoned Single-Family Residential. In February 1985, case ZC1499 rezoned the lot Heavy Commercial. Then, in March 1985 case ZC1504 rezoned it again to General Commercial and it has been zoned that way ever since. The property north of McGill Blvd between Smith Blvd and Hwy 67 that is home to the current Howard College/WTTC building was annexed into the city in December 1997 and was zoned Light Manufacturing (case ZC97-44). It has remained that way ever since. Applicable Regulations: Zoning Ordinance Section 306.A.1. “The purposes of the Planned Development District include…allow diversification of uses, structures, and open spaces and to promote flexibility of design in a manner compatible with existing and allowed uses of land on adjacent properties.” Section 306.A.4. “The purposes of the Planned Development District include…promote the efficient use of land to facilitate a more economic arrangement of buildings, uses of land and utilities.”
  • 159.
    Section 306.A.5. “The purposes of the Planned Development District include… promote the development of vacant property within the presently developed urban area.” Section 306.B.1. Allowed uses include “Any use or combination of uses otherwise authorized by these zoning regulations…if such use or uses is consistent with, and meets the standards for, the concept plan and PD District approved by the City Council. Allowable uses shall be listed in a use schedule in the specific ordinance establishing each PD District.” Section 306.B.2. “It is intended that PD Districts conform as closely as possible to established zoning and subdivision regulations while still allowing maximum flexibility of design to make planned developments as desirable as possible.” Section 306.B.3. “Conditions specified for the development of a PD District shall be construed as conditions precedent to the granting of a Certificate of Occupancy by the Building Official and compliance as required by the City of San Angelo.” Section 505.A.1. “If a Planned Development District ordinance does not establish specific guidelines for land uses, landscaping, facade treatment, screening, setbacks, signage, parking, etc., then the minimum standards of the most similar district shall apply, based on an interpretation by the Planning Director.” Vision Plan Map: Campus/Institutional and Commercial Comp Plan Excerpts: Comprehensive Plan 2009 Update Discovery, The Place, Institutional Campuses “institutions in cities the size of San Angelo are typically the sole identity driver for the districts and neighborhoods where they are located. As such, the area immediately in and around the anchor assumes that identity as their theme.” Discovery, The Place, Institutional Campuses “institutions are largely ignoring the community around them and effectively operating as islands. Significant opportunities exist to reach out and create districts with complementary and auxiliary uses that
  • 160.
    lend themselves tomore attractive, pedestrian- friendly, walkable environments.” Vision Plan, Vision Plan Summary, Campus/Institutional, College/University Campus, Goal 1: Purpose: “To improve the standing of community centers and public facilities as pillars of their local neighborhoods and central features of the community as a whole.” Vision Plan, Vision Plan Summary, Campus/Institutional, College/University Campus, Goal 1: “Increase the value of these facilities to their respective neighborhoods through public investment in street improvements, sidewalk construction, and similar infrastructure.” Vision Plan, Vision Plan Summary, Campus/Institutional, College/University Campus, Goal 3: Purpose: “To better utilize existing parcels and provide increased services and amenities as growth occurs.” Vision Plan, Vision Plan Summary, Campus/Institutional, College/University Campus, Goal 3: “create and encourage public-private partnerships to drive appropriate development types.” Vision Plan, Vision Plan Summary, Campus/Institutional, College/University Campus, Goal 3: “Increase communication and combine efforts to support redevelopment of [college]- purchased parcels to ensure compatibility with surrounding neighborhoods and the City’s plans for the area.” Visioning, Sub-District Concepts, Concept 3- Isolated Institutional Campuses: “institutions, both academic and health care, have historically focused on, and master planned, entirely within their own boundaries…a select few cutting- edge institutions have re-oriented their consciousness, seeking out opportunities to be a “good neighbor,” to plan beyond their walls, and facilitate development of mixed-use environments within and adjacent to their boundaries.” Visioning, Sub-District Concepts, Concept 3- Isolated Institutional Campuses: “The City of San Angelo, together with…(key institutions), could plan…campus environments
  • 161.
    beyond the “institutionalwalls,” allowing for a seamless and essential transition to adjacent neighborhoods” Special Information Traffic Concerns: While there is likely to be an increase in traffic as the campus expands, this will be quite some time in coming. In the interim, Smith Blvd will be improved from Gordon Blvd to Paulann Blvd. The campus is surrounded by “collector” streets and a freeway, all of which are appropriate to handle traffic generated by a college campus. Parking Requirements: Please see Section 8 of the draft ordinance Notification Required: Yes Notifications Sent: 28 Responses in Favor: 0 Responses in Opposition: 0 Analysis: In order to approve this request, the City Council members are first required to find that: 1. Compatible with Plans and Policies. Whether the proposed amendment is compatible with the Comprehensive Plan and any other land use policies adopted by the Planning Commission or City Council. 2. Consistent with Zoning Ordinance. Whether and the extent to which the proposed amendment would conflict with any portion of this Zoning Ordinance. 3. Compatible with Surrounding Area. Whether and the extent to which the proposed amendment is compatible with existing and proposed uses surrounding the subject land and is the appropriate zoning district for the land. 4. Changed Conditions. Whether and the extent to which there are changed conditions that require an amendment. 5. Effect on Natural Environment. Whether and the extent to which the proposed amendment would result in significant adverse impacts on the natural environment,
  • 162.
    including but notlimited to water and air quality, noise, storm water management, wildlife, vegetation, wetlands and the practical functioning of the natural environment. 6. Community Need. Whether and the extent to which the proposed amendment addresses a demonstrated community need. 7. Development Patterns. Whether and the extent to which the proposed amendment would result in a logical and orderly pattern of urban development in the community. The staff recommendation is based upon the statements listed below. Planning staff is recommending approval of this Planned Development (PD) District for several reasons. This proposed PD is compatible with the plans and policies of the City of San Angelo, is consistent with the City’s Zoning Ordinance, and will be compatible with the surrounding residential area in that it provides a needed transition from major highway traffic to single- and two-family living. This proposed PD will also fit in well with the development patterns the city desires in this area as called for and illustrated in the Comprehensive Plan and the Vision Map. Section 306.A. of the Zoning Ordinance speaks to the several purposes of a Planned Development (PD) District, specifically stating that such districts should, “promote the efficient use of land to facilitate a more economic arrangement of buildings, uses of land, and utilities…promote the development of vacant property within the presently developed urban area…allow diversification of uses, structures, and open spaces and to promote flexibility of design in a manner compatible with existing and allowed uses of land on adjacent properties.” This proposed PD will accomplish these purposes by providing consistent standards that offer the flexibility a campus needs to effectively and efficiently utilize its property, while ensuring that it is developed cohesively, thus creating a true sense of place. The campus will responsibly develop the large commercially zoned tract of vacant land nearest the residential neighborhood in a manner much more compatible than a large commercial development could be. It also provides known standards and a sense of security for the nearby residential development in knowing specifically what can occur on the property; alternatively, the ML zoning currently in place allows by right processing of building materials, metal fabrication, galvanizing and enameling, welding shops, heavy truck servicing, and paving contractors, among other things. Also, the CG zoning currently in place allows by right landscaping services, appliance repair, lube service facilities, vet clinics, and auto and boat dealers, in addition to other things. Creating a PD for the Howard College campus will ensure that standards are in place that will benefit not only Howard College but also the community as a whole. It significantly limits and dictates what activities can occur on the site. While it does specify material types for facades and signage, it does so in a way that allows changes and customization that will give enough flexibility to the college to accommodate branding changes, wayfinding plans, and the like. Zoning Ordinance section 306.B.1. states that allowed uses for a PD include, “Any use or combination of uses otherwise authorized by these zoning regulations…if such use or
  • 163.
    uses is consistentwith, and meets the standards for, the concept plan and PD District approved by the City Council.” The Comprehensive Plan calls for facilities like Howard College to strive “to improve the standing of community centers and public facilities as pillars of their local neighborhoods and central features of the community as a whole.” One of the most prominent strategies outlined in the Comprehensive Plan to accomplish these goals is “Increase the value of these facilities to their respective neighborhoods through public investment in street improvements, sidewalk construction, and similar infrastructure.” Another very important strategy is to plan “campus environments beyond the “institutional walls,” which will, “Increase communication and combine efforts to support redevelopment of [college]-purchased parcels to ensure compatibility with surrounding neighborhoods and the City’s plans for the area” and “encourage public-private partnerships.” This proposed PD is an attempt to create a cohesive, distinctive, attractive campus environment that complements the adjacent residential area, while moving toward full utilization of the vacant commercial property that Howard College owns. The draft ordinance’s Section 5 lists several primary and accessory uses that Planning staff has determined are appropriate for a college campus near a residential neighborhood. The draft ordinance also includes standards for the building facades, signage, landscaping, parking and loading space, and other development standards that will transition well into the adjacent residential neighborhood and help to buffer that neighborhood from the highway as well as the heavier commercial and industrial types of uses to the north. This proposed PD will result in changed conditions that will benefit the community as Howard College provides quality educational experiences to not only the San Angelo community but also the whole of Tom Green County. As Howard College expands so too do the educational opportunities for the community. The lots within the proposed PD boundaries currently have two different zoning classifications and, therefore, two different sets of regulations to follow which makes cohesive development of Howard College difficult. Additionally, the lot on which the current Howard facility is located is actually zoned Light Manufacturing (ML) which will prevent any expansion even on that one lot. A PD for the campus will benefit those who work at and attend Howard as well as those within the adjacent neighborhood as Howard College will provide an attractive buffer with many amenities. This proposed PD could also have a positive impact on the natural environment as extensive landscaping is proposed throughout the campus. It will also have a positive impact on the pedestrian environment as a walkable, easily navigable campus with landscaping and other pedestrian amenities will make for a pleasant pedestrian experience. For all of the reasons stated above, Planning staff is recommending approval of the proposed Planned Development District for the Howard College Campus. Proposed Conditions Please see draft ordinance.
  • 164.
    Attachments: excerpt from zoning map, showing the general location within the City of San Angelo; excerpt from zoning map, highlighting subject property; aerial photo, highlighting subject property; draft Planning Commission minutes; and draft ordinance; Presentation: AJ Fawver, Planning Manager Reviewed by: AJ Fawver, Planning Manager (04/11/12)
  • 168.
    A. PD 12-03:Howard College A request for a zone change from a combination of Light Manufacturing (ML) and General Commercial (CG) to Planned Development (PD) District to allow for the expansion of the Howard College Campus: 3501 North US Highway 67 encompassing the area known as the Howard College, more specifically two tracts being 33.802 acres out of the J. Pointevent Survey 1113, Abstract 4873, and Paulann Park Addition, Section 3, Tract H, being 0.76 acre, and Paulann Park Addition, Section 3, Tract G, being the northwestern 0.145 acre, in northeast San Angelo. Jeff Hintz, Planner, came forward to present this request, consistent with the staff recommendation of approval. 29 notifications were sent out on this request, with zero returned in favor or in opposition. Mr. Hintz explained that this PD was never finalized earlier in the year, and is being represented to the Commission with an updated concept plan (a required part of any application for Planned Development District). Mr. Hintz outlined the variety of zoning in the immediate area. Mr. Hintz also reviewed the options for the Commission. He reminded the Commission that they had previously approved the PD application unanimously by a vote of 6-0. Mr. Hintz reviewed the history of zoning changes in the area. Mr. Hintz explained that one zoning district would not be suitable for the wide variety of different uses, needs, and standards that the continued development of this campus would entail. This will provide a single, consistent zoning district for the college, with one set of standards to consult as they continue to grow; it also provides added mitigation features to minimize the effect of this expansion on adjacent properties and provide a set of expectations upon which they can reasonably rely. Mr. Hintz quickly summarized the subjects addressed within the PD ordinance. Mr. Hintz explained the difference between the intended immediate expansion as opposed to long-term expansion plans. There were no questions for staff. Leanne Byrd, Provost for Howard College, came forward to speak in favor of this request. They are very pleased with the modifications that have been made within the concept plan and emphasized the moving of the main entrance to the north rather than the south, next to the residences. She did state that the buildings in the immediate phase are planned to be built very quickly, along with a pedestrian access. Joe Grimes spoke to the roundabout and asked how the road would be constructed. Mrs. Byrd explained that COSADC has approved the street extension of both PaulAnn Boulevard and Smith Boulevard, to the edge of the campus. Mrs. Byrd responded to the Chairman's question about traffic issues along the eastern side of the campus, along Highway 277. TxDOT has agreed to extend the frontage road as far north as PaulAnn Blvd. There were no further questions for Mrs. Byrd. No one else came forward to speak on this request. No one came forward to speak in opposition to the request.
  • 169.
    Motion, to approveas presented, was made by Bill Wynne and seconded by Sebastian Guerrero. The motion passed unanimously, 4-0.
  • 170.
    AN ORDINANCE AMENDINGCHAPTER 12, EXHIBIT “A” OF THE CODE OF ORDINANCES, CITY OF SAN ANGELO, TEXAS, WHICH SAID EXHIBIT “A” OF CHAPTER 12 ADOPTS ZONING REGULATIONS, USE DISTRICTS AND A ZONING MAP, IN ACCORDANCE WITH A COMPREHENSIVE PLAN, BY CHANGING THE ZONING AND CLASSIFICATION OF THE FOLLOWING PROPERTY, TO WIT: 3501 North US Highway 67, encompassing the area known as the Howard College, more specifically, being 33.802 acres out of the J. Pointevent Survey 1113, Abstract 4873, and Paulann Park Addition, Section 3, Tract H, being 0.76 acre, and Paulann Park Addition, Section 3, Tract G, being the northwestern 0.145 acre, in northeast San Angelo, a zone change from a combination of General Commercial (CG) and Light Manufacturing (ML) to Planned Development (PD) District; PROVIDING FOR SEVERABILITY AND PROVIDING A PENALTY RE: PD 12-03: Howard College City of San Angelo WHEREAS, the Planning Commission for the City of San Angelo and the governing body for the City of San Angelo, in compliance with the charter and the state law with reference to zoning regulations and a zoning map, have given requisite notice by publication and otherwise, and after holding hearings and affording a full and fair hearing to all property owners and persons interested, generally, and to persons situated in the affected area and in the vicinity thereof, is of the opinion that zoning changes should be made as set out herein; NOW THEREFORE, BE IT ORDAINED BY THE CITY OF SAN ANGELO: SECTION 1: That the basic Zoning Ordinance for the City of San Angelo, as enacted by the governing body for the City of San Angelo on January 4, 2000 and included within Chapter 12 of the Code of Ordinances for the City of San Angelo, be and the same is hereby amended insofar as the property hereinafter set forth, and said ordinance generally and the zoning map shall be amended insofar as the property hereinafter described: 3501 North US Highway 67, encompassing the area known as the Howard College, more specifically, being 33.802 acres out of the J. Pointevent Survey 1113, Abstract 4873, and Paulann Park Addition, Section 3, Tract H, being 0.76 acre, and Paulann Park Addition, Section 3, Tract G, being the northwestern 0.145 acre, in northeast San Angelo, a zone change from a combination of General Commercial (CG) and Light Manufacturing (ML) to Planned Development (PD) District; shall henceforth be permanently zoned as follows: Planned Development (PD) District for a college campus. The Director of Planning is hereby directed to correct zoning district maps in the office of the Director of Planning, to reflect the herein described changes in zoning.
  • 171.
    SECTION 2: Thatin all other respects, the use of the hereinabove described property shall be subject to all applicable regulations contained in Chapter 12 of the Code of Ordinances for the City of San Angelo, as amended. SECTION 3: That the following severability clause is adopted with this amendment: SEVERABILITY: The terms and provisions of this Ordinance shall be deemed to be severable in that, if any portion of this Ordinance shall be declared to be invalid, the same shall not affect the validity of the other provisions of this Ordinance. SECTION 4: That the following penalty clause is adopted with this amendment: PENALTY: Any person who violates any provisions of this article shall be guilty of a misdemeanor and, upon conviction, shall be subject to a fine as provided for in Section 1.106 of the Code of Ordinances for the City of San Angelo. Each day of such violation shall constitute a separate offense. SECTION 5: That the following are approved as allowed uses, supplementing the primary use type of “college,” for the property previously described: A. Classroom buildings. Such use provides space for general and/or specialized study leading to a certificate and/or degree. B. Office buildings. Such use provides offices for college staff and trainees. C. Parking garages. Such use provides for a multi-story structure for parking for the exclusive use of staff, trainees, students, and campus visitors. D. Housing facilities for students. Such use shall provide living quarters for the exclusive use of students. E. Passenger bus terminal. Such use shall provide bus stops and bus loading spaces for local and regional bus systems. F. Library. Such use shall provide space for collections of books, periodicals, digital media, etc. for the use of staff, trainees, and students. G. Sports facilities. Such use shall provide for structures used to play and watch sporting events for the exclusive use of staff, trainees, students, and campus visitors.
  • 172.
    H. Firearms range. Such use shall provide a fully enclosed firearms range for the exclusive use of staff and students. I. Accessory uses. Such uses shall be functionally connected with the operation of a college campus and therefore are approved for the property previously described, so long as they remain “accessory” as defined in SECTION 7 of this ordinance: I. offices to serve the allowed uses of the college campus for the exclusive use of staff, trainees, and students; II. maintenance facilities to service the college campus for the exclusive use of staff and/or trainees; III. medical facilities to service staff, trainees, and students; IV. game halls to exclusively serve staff, trainees, students, and campus visitors; V. food and beverage sales to exclusively serve staff, trainees, students, and campus visitors; VI. retail goods sales to exclusively serve staff, trainees, students, and campus visitors; VII. personal service and retail sales open to the public that offers services directly related to Howard College curriculum; VIII. repair service sales (including vehicle repair and service) open to the public that offers services directly related to Howard College curriculum; IX. religious institutions and services to exclusively serve staff, trainees, students, and campus visitors; X. day care to provide care, protection, and supervision for children and/or adults to exclusively serve staff, trainees, and students; XI. meeting areas; XII. community services meeting areas open to the public; XIII. laboratories for the exclusive use of staff, trainees, and students;
  • 173.
    SECTION 6: Buildingfaçade standards for the Howard College campus shall include the following: A. Building facades shall be consistent and unified in architectural style, color palette, materials, and detailed ornamental features. B. Building entrances shall be clearly defined through architectural details, materials, and/or ornamental features, and highly visible. C. Exterior materials shall be limited to the following: 1. Brick; 2. Stucco (cementitous finish only); 3. Architectural concrete masonry; 4. Hardiplank or similar cementitious siding; 5. Field stone, ledge stone, or other native veneer; 6. Cast stone (for lintels, trim elements, and ornamentation); and 7. Metal (for beams, lintels, trim elements, and ornamentation). D. Additional building façade and/or roofing material types may be approved at the discretion of the Planning Director. SECTION 7: Development standards for the Howard College Campus shall include the following: A. Maximum floor area ratio for each lot shall not exceed 2.5. B. No structure may be placed closer than 15 feet from any right-of-way fronting lot line. C. Outdoor storage shall not exceed 5 percent of the total area of each lot. D. Outdoor storage and mechanical equipment shall be fully screened from public view. E. The following features shall be at least partially screened from public right-of- way view by landscaping as detailed in SECTION 11, by benches and other street furniture, and/or by the use of landscaping along with berms, walls, or decorative fences, as approved by the Planning Director: 1. Water quality control facilities; 2. Stormwater drainage facilities; 3. Metal buildings; and 4. Areas where vehicles are moved, loaded, parked, or stored.
  • 174.
    F. Screening shall consist of fencing, landscaping, masonry, berming, or a combination thereof, that coordinates with building facade materials as detailed in SECTION 6 of this ordinance or landscaping materials as detailed in SECTION 11 of this ordinance. G. Metal buildings shall only be allowed on the northwestern approximately 137,000 square feet as detailed in Exhibit A and Exhibit B. H. Opaque metal fences shall not be allowed. I. Accessory uses listed in SECTION 5 of this ordinance may not exceed 25 percent of the total floor area of structures encompassed within the boundaries of this Planned Development. J. Fencing of any kind shall not be constructed to the south of the proposed traffic circle that would block vehicular access to the parking lot immediately south of the parking circle as identified in Exhibit C of this ordinance. SECTION 8: Off-street parking standards for the campus shall include the following, consistent with these standards as outlined in Chapter 9 of the Zoning Ordinance: A. Classroom buildings: 9 parking spaces per classroom; B. Office buildings: 1 parking space per 300 square feet of office space; C. Housing facilities for students: 1 parking space per residential unit; D. Library and sports facilities: 1 parking space per 400 square feet or 1 parking space per 10 patron seats, whichever is greater; E. Accessory uses for the exclusive use of staff, trainees, and students shall not require additional off-street parking. SECTION 9: Loading space standards for the campus shall be as follows: A. Every nonresidential building with less than 65% of the floor area devoted to classrooms and/or offices, and which have at least 20,000 square feet of gross floor area, shall have a minimum of one off-street loading space with one additional off-street loading space for each additional 60,000 square feet of gross floor area or major fraction thereof. B. Each required off-street loading space shall be not less than 10’ in width, 45’ in length, and 14’ in height.
  • 175.
    C. Each required off-street loading space shall be located entirely outside of public rights-of-way for streets and alleys and entirely on the same lot as the building to which it is accessory. D. No open area in a required off-street loading area shall be consistently encroached upon by any other use. E. In no case shall off-street parking spaces be used to satisfy off-street loading space requirements. SECTION 10: All signage for the Howard College campus shall conform to the following: A. Off-site signage shall not be permitted. B. Freestanding pole signs shall not be permitted. C. All signage shall be of materials and colors coordinating with building façade materials detailed in SECTION 6 of this ordinance. D. Electronic signs shall be placed no closer than 200 feet from any residential zoning district or use. E. Freestanding monument signs: I. maximum signage area shall not exceed 1.5 square feet per 1 linear foot of street frontage per lot; II. may be placed at any angle; III. must be set back at least 5 feet from any internal side lot line; IV. may have a setback of 0 feet from any lot line fronting a right-of-way; V. shall not exceed 3 feet in height if placed within 10 feet of any lot line fronting a right-of-way; and VI. shall not exceed 3 feet in height if placed within the 30 foot sight triangle of the intersection of two converging lot lines fronting a right-of- way; F. Attached signs (canopy, awning, fascia, projecting, sloping roof signs):
  • 176.
    I. maximum signage area may be up to 25 percent of the area of the wall to which the sign(s) is(are) attached; II. shall not extend more than 3 feet above the roofline of the structure to which it is attached; and III. shall not extend more than 3 feet above the top of the wall to which it is attached; SECTION 11: Landscaping standards for the campus shall be as follows: A. Xeriscaping and water use reduction strategies shall be incorporated into overall landscape design through the use of drought tolerant plant species native and well suited to West Texas. B. Landscaped areas may include planters, brick, stone, natural forms, or other landscape features that provide a park-like setting. C. Landscaped areas, or plants, adjacent to pavement must be protected with a concrete curb or equivalent barrier such as: 1. Asphalt curbs; 2. Railroad ties (anchored); 3. Rock or stone curbs (anchored); or 4. Wheel stops (anchored). D. Landscaping plant material shall be of healthy stock, be native and naturalized, and have low water requirements. E. Dying or diseased landscaping plant material shall be replaced with an equivalent plant material. F. Adequate soil depth and width to encourage healthy growth shall be provided. G. The campus shall be responsible for the irrigation of all required landscape areas and plant materials, utilizing one or a combination of the following methods: 1. An automatic or manual underground irrigation system; 2. A drip irrigation system; 3. A rainwater capture system or equivalent; or 4. Any other comparable method. H. Landscaped areas planted with native grasses and wildflowers may use a temporary and above ground irrigation system and shall be required to provide irrigation only for the first 2 growing seasons.
  • 177.
    I. Irrigation methods used shall: 1. Provide a moisture level in an amount and frequency adequate to sustain growth of the plant material on a permanent basis; and 2. Be maintained and kept operational at all times to provide for efficient water distribution. J. No irrigation shall be required for undisturbed natural areas or undisturbed existing trees. K. On-ground parking lots shall have no less than 10 percent of the square footage landscaped. L. Parking lot landscaping shall be located entirely within the boundaries of the parking lot as follows: 1. Landscaping boundaries; 2. Landscaping medians; 3. Landscaping islands; or 4. Landscaping peninsulas. M. All landscaping plants located in or immediately adjacent to vehicular use areas shall, at maturity, be as follows: 1. Shrubs and other plant material shall be a maximum of 48 inches in height. 2. Shrubs and other plant material shall be a maximum of 36 inches in height if within the 30 foot sight triangle. 3. Trees shall have a minimum 72 inch clearance from grade to the lowest branches. SECTION 12: Except as otherwise specified or limited elsewhere in this ordinance, the use and development of the Howard College campus shall generally conform to General Commercial (CG) District zoning standards. All activities shall be limited to those associated with the operation of a college campus as determined by the Planning Director for the City of San Angelo. SECTION 13: Buildings and campus shall generally conform to the master plan provided within this ordinance identified as Exhibit C.
  • 178.
    INTRODUCED on the4th day of September, 2012 and finally PASSED, APPROVED AND ADOPTED on this the 18th day of September, 2012. THE CITY OF SAN ANGELO by:____________________________________ Alvin New, Mayor ATTEST: by:________________________________ Alicia Ramirez, City Clerk Approved As To Content: Approved As To Form: _________________________ ________________________ AJ Fawver, Planning Manager Lysia H. Bowling, City Attorney
  • 181.
    Exhibit C- CollegeMaster Plan
  • 182.
    City of SanAngelo Memo Meeting Date: September 4, 2012 To: City Council members From: Kevin Boyd, Planner Subject: Z 12-09: Donald Spradley, a request for approval of a zone change from Two Family Residential (RS-2) to Neighborhood Commercial (CN) to allow for accessory parking on the following property: Location: 13 West 11th Street, located approximately 160 feet west of the intersection of North Chadbourne Street and West 11th Street; more specifically occupying the Miles Addition, Block 52, Lot 4, in central San Angelo. Purpose: Approval of this request would zone the property Neighborhood Commercial (CN). Contacts: Donald A Spradley 325-655-5506 Kevin Boyd, Planner 325-657-4210 Caption: First Public Hearing and consideration of the Planning Commission’s recommendation modifying a request for a zone change from Two Family Residential (RS-2) to General Commercial (CG), alternatively recommending a zone change from Two Family Residential (RS-2) to Neighborhood Commercial (CN) with an introduction of an Ordinance amending Chapter 12, Exhibit “A” (Zoning Ordinance) of the Code of Ordinances, City of San Angelo Z 12-09: Donald Spradley AN ORDINANCE AMENDING CHAPTER 12, EXHIBIT “A” OF THE CODE OF ORDINANCES, CITY OF SAN ANGELO, TEXAS, WHICH SAID EXHIBIT “A” OF CHAPTER 12 ADOPTS ZONING REGULATIONS, USE DISTRICTS AND A ZONING MAP, IN ACCORDANCE WITH A COMPREHENSIVE PLAN, BY CHANGING
  • 183.
    THE ZONING ANDCLASSIFICATION OF THE FOLLOWING PROPERTY, TO WIT: 13 W 11th Street, located approximately 160 feet from the intersection of North Chadbourne Street and W 11th Street; more specifically occupying the Miles Addition, Block 52, Lot 4, in central San Angelo, changing the zoning classification from Two Family Residential (RS-2) to General Commercial (CG) District; PROVIDING FOR SEVERABILITY AND PROVIDING A PENALTY Summary: The City Council may: (1) Approve the proposed zone change; or (2) Modify the application to some alternative zoning classification believed to be more appropriate; or (3) Deny the proposed zone change. Recommendation: Planning staff recommends modifying the proposed zone change to Neighborhood Commercial (CN). On August 20, 2012, the Planning Commission recommended modification of the original request of Two-Family Residential (RS-2) to Neighborhood Commercial (CN) by a vote of 4-0. History and Background: General Information Existing Zoning: Two-Family Residential (RS-2) Existing Land Use: Mostly vacant property, occupied by a shed Surrounding Zoning/Land Use: North: Two-Family Residential (RS-2) Residential dwelling West: Two-Family Residential (RS-2) Vacant residential property South: General Commercial / Heavy Culligan and Angelo Water Commercial (CG/CH) Service Co. East: General Commercial / Heavy Vacant commercial property Commercial (CG/CH)
  • 184.
    Thoroughfares/Streets: W 11th Street is defined as a “local street,” which carries light neighborhood traffic at lower speeds and generally connects to collector streets. North Chadbourne Street is defined as an arterial street, which is designed to connect collector streets to freeways and carries large volumes of traffic at high speeds. Access is secondary and mobility is the prime function of these streets. Zoning History: As far back as 1964, the property was zoned Two-Family Residential (R-2), an equivalent to the current zoning. Applicable Regulations: Refer to off-street parking standards, per Section 511. Development Standards: General Commercial (CG) requires a 25 feet front setback for commercial structures. No side or rear setback are required in commercial districts unless the lot abuts a residential district or use, where a minimum of 10 feet is required, per Section 502. The maximum floor area or gross floor area of all buildings on the lot divided by the total area of the lot in an area zoned CG is 2, twice the area of the lot, per Section 502. Vision Plan Map: Commercial Related Comp Plan Excerpts: “Promote better transition between nearby commercial and residential use of land and buildings.” Require a buffer separating commercial, industrial, or agricultural zoned lands from neighborhoods. “Establish transition areas between commercial areas and nearby neighborhoods.” Create new physical connections to neighborhoods lined with transitional and intermediate uses.
  • 185.
    Establish transition areasto better scale- down intensity of use from commercial centers to neighborhoods. Special Information Traffic Concerns: Changing the zoning to commercial will increase the volume of traffic than if the property remained as-is. Since the lot is proposed to become a parking area, there will be an increase of traffic generated by the site. Parking Requirements: This proposal would allow for parking accessory to the proponent’s business; the business follows under the occupancy category of a furniture store and equates to 1 space per 400 gross square feet. See Section 511. Parking Provided: Currently the lot stands mostly vacant, the proposal is to create surface parking lot on the site in question, which would provide additional spaces for the proponent’s business located at the corner of North Chadbourne and 11th Streets. Density: Surrounding uses are predominately medium-density commercial, and residential. The plan complies with the Vision Plan, which calls for a continuation of the future development of this area as a “Commercial. Notification Required: Yes Notifications Sent: 19 Responses in Favor: 3 Responses in Opposition: 0 Analysis: In order to approve this zone change request, the City Council members are first required to consider the following criteria:
  • 186.
    1. Compatible withPlans and Policies. Whether the proposed amendment is compatible with the Comprehensive Plan and any other land use policies adopted by the Planning Commission or City Council. 2. Consistent with Zoning Ordinance. Whether and the extent to which the proposed amendment would conflict with any portion of this Zoning Ordinance. 3. Compatible with Surrounding Area. Whether and the extent to which the proposed amendment is compatible with existing and proposed uses surrounding the subject land and is the appropriate zoning district for the land. 4. Changed Conditions. Whether and the extent to which there are changed conditions that require an amendment. 5. Effect on Natural Environment. Whether and the extent to which the proposed amendment would result in significant adverse impacts on the natural environment, including but not limited to water and air quality, noise, storm water management, wildlife, vegetation, wetlands and the practical functioning of the natural environment. 6. Community Need. Whether and the extent to which the proposed amendment addresses a demonstrated community need. 7. Development Patterns. Whether and the extent to which the proposed amendment would result in a logical and orderly pattern of urban development in the community. The staff recommendation is based upon the statements listed below. In the initial request, the proponent asked for a zone change to a district that would allow “commercial parking”; however, after analyzing the site as well as surrounding uses, staff learned that the proponent owned the subject property and the vacant lot adjacent to his business. In this case, “commercial parking”, a category allowing for fee-based parking, would not be the appropriate use. Rather, it would simply need a change of zoning as similar to the zoning of the business as possible; thus, to allow a continuation of the business. Since CG/CH is a zoning type which is no longer utilized, CG is the most closely-matching zoning classification. Located in the Miles addition, the subject property is situated less than a couple hundred feet west of the intersection of West 11th and North Chadbourne Streets. The property is currently zoned residential and the existing use includes a shed which serves as an accessory structure. The request is a zone change from Two- Family Residential (RS-2) to General Commercial (CG) to allow for parking
  • 187.
    accessory to theretail use - the proponent's business, Spradley's Custom Designs, is located at the corner of West 11th and North Chadbourne Streets. While North Chadbourne is clearly defined as a major commercial corridor, much of the 0 Block of West 11th Street is zoned for residential use. While lots to the north and west of the property are currently zoned residential, this portion of the block displays a lower density of housing units, characterized by vacant and partially vacant lots. There has been a transition of uses along the block. As a result, the boundary between the zones has become blurred, meaning that it is becoming more difficult to decipher residential properties from those that are commercial. A prime example of this transition was brought forth by the proponent. Prior to the case, the proponent and owner of the property, mentioned he had demolished a house that stood deteriorating on the lot for some time. Vacant and abandoned homes left unmaintained is a dangerous combination and serves as potential blight in the community, as demolition of such structures can generate an improved quality of living for residents of surrounding properties. The proponent’s decision to transform the deteriorating lot into something more useful and practical is a conscious step in revitalizing that section of the block. With processing the zone change, the proponent hopes to maintain the shed, which was located behind the house, on the lot as it currently stands. It is important that the proponent understands that, if the lot remains in a residential zoning district, the accessory structure must be removed; in residential districts, accessory structures are only allowed if they are accessory to a primary structure. While the proponent seeks to change the zoning to allow for parking accessory to the business, it is important to realize that General Commercial zoning allows for a wide range of commercial uses - any of which would be allowed on this site if the parking were not created, or if a different owner wished to do so in the future. It would also allow for a potential expansion of the commercial structure in which the proponent’s business currently exists. The allowed uses for the zoning district include business offices, retail sales, vehicle services (performed while the customer waits), small animal veterinary clinics, entertainment-oriented businesses and restaurants. For example, if the zone change requested is approved, placement of car wash would be an allowed with CG zoning. The Floor Area Ratio (FAR), or total area of buildable space for lots zoned General Commercial (CG), is 2, or twice the area of the lot, per Section 502 of the Zoning Ordinance. Immediately to the south of the subject property is zoned General Commercial/ Heavy Commercial (CG/ CH) and the existing uses are Culligan and Angelo Water Service Company, water and treatment facilities, not the ideal setting for nearby residential uses. The proponent’s business, Spradley’s Custom Designs, is located on North Chadbourne, in an area notorious for limited parking. The building is an older building that was built to the property lines at a time during which it was allowed.
  • 188.
    It is locatedin an area in which infill development is desired and needed, in order to reverse the aging decline of this corridor and associated blight that can occur. This causes problems for potential tenants, who are required to provide the mandatory amount of off-street parking in order to open a business. While there are opportunities for shared parking arrangements along this corridor, they exist either outside of the required 400’ distance, or are along the opposite side of Chadbourne. The traffic is also heavy along North Chadbourne, being an arterial street, that it would not be a safe situation to encourage pedestrian crossing where there is not a designated traffic mechanism or crosswalk. For these reasons, having a designated parking area immediately adjacent to the business is the best solution. Regarding parking: in order to receive a Certificate of Occupancy for a new business, an applicant must provide adequate off-street parking, based on the occupancy category or use, per Section 511. The off-street parking mentioned in the section represents the minimum parking standards, and given that the proponent has an upholstery/furniture shop, his business would follow under furniture store which equates to 1 space per 400 gross square feet, per Section 511. The Vision Plan calls for the property to be zoned for “Commercial”, consistent with current developmental patterns and the proponent’s request. Residential properties along West 11th Street, closest to North Chadbourne, are at a point of transition and the residential appearance of some of lots is no longer clearly defined. Current developmental trends, echoed by the Comprehensive Plan, denote that the residential blocks nearest to North Chadbourne to be dedicated for commercial use. Staff feels that a zone change to General Commercial (CG) would be an appropriate zone type as the block transitions. This zoning is not the most intensive of the commercial zones, yet would allow for some flexibility that zoning at lower tiers do not provide (refer to examples of allowed uses in paragraph that describes zoning). Considering the nature of this request, staff sees the obvious area of concern, the placement of commercial usage immediately adjacent to residential usage. This type of configuration can clearly create undesirable consequences on the residential inhabitants. However, staff would be remiss if it did not also consider the ill effects of having an opportunity to bolster and create more solid opportunities for the residential strip along North Chadbourne to once again grow and flourish. Staff would contend that the Comprehensive Plan also recognized this opportunity, and that this is why it calls for “commercial” at this and other similar locations; to create a solidified boundary between neighborhood and commercial uses, and to provide opportunities to supplement the aging buildings, making occupancy of them a possibility - augmenting and enhancing the possibilities for this corridor. As investment continues in the Chadbourne Street corridor just south of Houston Harte Expressway, and again at the far northern
  • 189.
    end of thecorridor, where public facilities exist, possibilities to revitalize older commercial structures in this area should be considered. Proposed Conditions N/A Attachments: excerpt from zoning map, showing the general location within the City of San Angelo; excerpt from the comprehensive plan vision map highlighting the subject property; excerpt from zoning map, highlighting subject property; aerial photo, highlighting subject property; draft minutes from August 20, 2012 Planning Commission; citizen responses; and draft ordinance. Presentation: Kevin Boyd, Planner Reviewed by: AJ Fawver, AICP, Planning Manager (08/14/12)
  • 193.
  • 194.
    D. Z 12-09:Donald Spradley A request for approval of a zone change from Two Family Residential (RS- 2) to General Commercial (CG) to allow for accessory parking on the following property: 13 West 11th Street, located approximately 160 feet west of the intersection of North Chadbourne Street and West 11th Street; more specifically occupying the Miles Addition, Block 52, Lot 4, in central San Angelo. Kevin Boyd, Planner, came forward to present this request, consistent with the staff recommendation of denial. There were 19 notifications sent out, with 2 received in favor of the request, and 0 received in opposition of the request. This property is located in central San Angelo, just north of the downtown area. There is CG/CH zoning to the south and east of the subject property. The nearby residences have seen deterioration, and the line between neighborhood and commercial has blurred. Mr. Boyd also showed a map indicating the property owners who responded in favor of this request. He also showed an excerpt from the Vision Plan map, calling for this property to be zoned as commercial. The zoning has remained the same for the subject property since at least 1964. Mr. Boyd explained that the original request on the application was for commercial parking, which is a fee-based system. However, this parking is intended for the existing business, which would make it accessory to and allowed under retail sales service. He reviewed CG zoning and what it offers at the site. Approval of this request is supported by staff in part because it helps to promote infill development of the existing commercial structures nearby along Chadbourne. The area is an area of transition, and designating this lot for commercial development would promote improvement of the commercial buildings nearby. Joe Grimes asked about the commercial type of use being requested and whether or not it was considered intensive and noted his concern about the intensive nature of it abutting the residential zoning. There was some discussion of the initial application category commercial parking versus the intention parking accessory to a commercial business. Don Spradley, the owner of the property, came forward to speak in favor of this request. He explained that his business has the required parking; however, to expand and use the rest of the building, or to sell the building for a retail use, off-street parking is necessary. He also explained that he purchased the adjacent lot and tore down the house on the site with the intention of using that for parking in the future to serve this facility. He doesn't intend to build anything on that property. No one else came forward to speak in favor of the request. No one came forward to speak in opposition of this item.
  • 195.
    Motion, to approveto CN or Neighborhood Commercial zoning instead of CG or General Commercial zoning, was made by Joe Grimes and seconded by Sebastian Guerrero. The motion passed unanimously, 4-0.
  • 199.
    AN ORDINANCE AMENDINGCHAPTER 12, EXHIBIT “A” OF THE CODE OF ORDINANCES, CITY OF SAN ANGELO, TEXAS, WHICH SAID EXHIBIT “A” OF CHAPTER 12 ADOPTS ZONING REGULATIONS, USE DISTRICTS AND A ZONING MAP, IN ACCORDANCE WITH A COMPREHENSIVE PLAN, BY CHANGING THE ZONING AND CLASSIFICATION OF THE FOLLOWING PROPERTY, TO WIT: 13 West 11th Street, located approximately 160 feet west of the intersection of North Chadbourne Street and West 11th Street; more specifically occupying the Miles Addition, Block 52, Lot 4, in central San Angelo, changing the zoning classification from Two Family Residential (RS-2) to Neighborhood Commercial (CN) District; PROVIDING FOR SEVERABILITY AND PROVIDING A PENALTY RE: Z 12-09: Donald Spradley WHEREAS, the Planning Commission for the City of San Angelo and the governing body for the City of San Angelo, in compliance with the charter and the state law with reference to zoning regulations and a zoning map, have given requisite notice by publication and otherwise, and after holding hearings and affording a full and fair hearing to all property owners and persons interested, generally, and to persons situated in the affected area and in the vicinity thereof, is of the opinion that zoning changes should be made as set out herein; NOW THEREFORE, BE IT ORDAINED BY THE CITY OF SAN ANGELO: SECTION 1: That the basic zoning ordinance for the City of San Angelo, as enacted by the governing body for the City of San Angelo on January 4, 2000 and included within Chapter 12 of the Code of Ordinances for the City of San Angelo, be and the same is hereby amended insofar as the property hereinafter set forth, and said ordinance generally and the zoning map shall be amended insofar as the property hereinafter described: 13 West 11th Street, located approximately 160 feet west of the intersection of North Chadbourne Street and West 11th Street; more specifically occupying the Miles Addition, Block 52, Lot 4, in central San Angelo shall henceforth be permanently zoned as follows: Neighborhood Commercial (CN) District. The Director of Planning is hereby directed to correct zoning district maps in the office of the Director of Planning, to reflect the herein described changes in zoning. SECTION 2: That in all other respects, the use of the hereinabove described property shall be subject to all applicable regulations contained in Chapter 12 of the Code of Ordinances for the City of San Angelo, as amended. SECTION 3: That the following severability clause is adopted with this amendment:
  • 200.
    SEVERABILITY: The terms and provisions of this Ordinance shall be deemed to be severable in that, if any portion of this Ordinance shall be declared to be invalid, the same shall not affect the validity of the other provisions of this Ordinance. SECTION 4: That the following penalty clause is adopted with this amendment: PENALTY: Any person who violates any provisions of this article shall be guilty of a misdemeanor and, upon conviction, shall be subject to a fine as provided for in Section 1.106 of the Code of Ordinances for the City of San Angelo. Each day of such violation shall constitute a separate offense. INTRODUCED on the 4th day of September, 2012 and finally PASSED, APPROVED AND ADOPTED on this the 18th day of September, 2012. THE CITY OF SAN ANGELO by:____________________________________ Alvin New, Mayor ATTEST: by:________________________________ Alicia Ramirez, City Clerk Approved As To Form: Approved As To Content: _________________________ ________________________ AJ Fawver, Planning Manager Lysia H. Bowling, City Attorney
  • 201.
    City of SanAngelo Memo Meeting Date: September 4, 2012 To: City Council members From: Jeff Hintz, Planner Subject: Alley abandonment request on the following property: Location: An approximately 10’ x 123’ portion of alley running east to west, perpendicular to Travis Street, between The Jacoby Addition, Block 1, Lot 1 and Lake View Addition, Block 40, Lots 5-7 in northern San Angelo. Contacts: Karen Coates 325-653-7194 Jeff Hintz, Planner 325-657-4210 Caption: First Public Hearing and consideration of introduction of an Ordinance authorizing abandonment of public right-of-way in Lake View Addition Block 40 and the Jacoby Addition, Block 1 in northern San Angelo, AN ORDINANCE PROVIDING FOR THE ABANDONMENT AND CLOSING OF THE FOLLOWING STREET SEGMENT, TO WIT: An approximately 10’ x 123’ portion of alley running east to west, perpendicular to Travis Street, between The Jacoby Addition, Block 1, Lot 1 and Lake View Addition, Block 40, Lots 5-7 in northern San Angelo; AUTHORIZING THE CONVEYANCE THEREOF TO THE ABUTTING PROPERTY OWNERS; PROVIDING FOR THE TERMS AND CONDITIONS OF ABANDONMENT AND CONVEYANCE; AND PROVIDING FOR THE MAYOR TO EXECUTE AND DELIVER A QUIT CLAIM DEED TO THE ABUTTING PROPERTY OWNERS Summary: The City Council may: 1. Approve the proposed abandonment; or 2. Approve the proposed abandonment subject to conditions; or
  • 202.
    3. Deny theproposed abandonment. Recommendation: City staff recommends approving the proposed alley abandonment for the reasons mentioned in this report. On August 20, 2012 the Planning Commission recommended approving this request by a vote of 4-0. History and Background: The applicant came to staff in May of 2012 regarding the possibility of selling the property to a neighbor; as part of that transaction, there was a desire to for the purpose of building onto a house and fencing in this property. City records seemed to indicate the alley was abandoned and that the applicant owned property on both sides of the alley. Through the real estate transaction process, however, the applicant and city staff discovered no quit claim deed formally abandoning was ever recorded with the county. Subsequent and exhaustive searches of city planning records and the City Clerk's records did not result in the discovery of information showing this abandonment had taken place. A 1982 plat of the Jacoby Addition includes the southern five feet of the alley in Lot One of Block One in this plat. The tax records and ownership deed records also indicate the property to the north of the alleyway includes the north five feet of the alley. These legal descriptions of property (the plat) and tax records indicate what is actually owned. As a result of the plat and tax records, city staff is under the impression that the alley was likely abandoned, but had no formal quit claim document indicating that it indeed was. As a result, the abandonment process needs to take place to legally close the alley. When asking for the Mayor's signature on any quit claim deed, as is City policy, a copy of the action authorizing such a signature is also provided. Because of the circumstances on this matter, staff could produce no documentation of action by the City that would authorize this signature on its behalf. Finalizing this process now, however, will produce just that. General Information Existing Zoning: Single-Family Residential (RS-1) Existing Land Use: Vacant property Surrounding Zoning/Land Use: North: RS-1 single-family residences West: RS-1 single-family residences South: RS-1 single-family residences East: RS-1 low lying drainage capture area Storm Water/Drainage: Abandoning the alley is not expected to create any storm water or drainage changes for the area.
  • 203.
    Topography: Abandoning the alley is not expected to change the topography of the area. Water/Sewer Utilities: Abandoning the alley would pose no problems as there are no utilities for water or sewer in the alley. Fire Protection: Abandoning the alley would pose no problems for fire safety accessibility to the homes. Access Management: Abandoning the alley is not expected to create problems regarding rear access to the residences in the area. Notification required: Yes Notifications Sent: 7 Received In favor 0 Received in opposition 0 Special Information Private Utilities: There are no private utilities located within this alleyway. Abandoning this alley will not create a lack of service or availability of service for neighboring properties. Basis for Recommendation Given that this alley appears to be abandoned and there is no formal record of it, staff recommends having this recorded using today's procedures and processes to formally abandon the alley and document the process to prevent future problems with title runs or property transactions. While staff does not doubt the intent was to abandon this alley segment, there is no official record of it and the formal abandonment procedures need to occur. This process will provide the applicant the legal documentation necessary to complete the real estate transaction that is at hand. The applicant owns property on both sides of this alleyway and as such, can encompass the alley in its entirety into future plans. The alley runs into what was designed to be a lake with a circle drive and boulevards running up to it on all sides. The original concept of the plat was never fulfilled and as such, the proposed street surrounding the lake was abandoned, as was the additional right-of-way property for the boulevards. At the present moment, the lots have been divided up so that the alleyway does not give access to the rear of any property, but rather bisects one property owner's land. Even if this alley was not believed to have been considered for abandonment in the past, staff would still be recommending approval of this request as the alley is devoid of any
  • 204.
    utilities and isnot being utilized, nor does it benefit the public in any way. Staff believes this alleyway will be much more practical for the applicant and city as a portion of a lot than an alley. In examining these types of requests, the underlying concern for staff's recommendation is whether or not the maintaining of the alley in City hands is in the best interests of the public as a whole. Even if there were different property owners on either side of the unimproved alley, staff's recommendation would not change. The alley is un-used and provides no rear access to properties. The alley will be much more beneficial to private owners since it provides no rear access to property and is void of all utilities. There is one additional alley to the south of this circle configuration in Block 45 of the Lakeview Addition, it is also believed to be abandoned. The blocks to the east of the lake did not include platted alleyways as they were much smaller in size and number of lots created. The attached plat of the Lakeview Addition focuses on this general area and shows what the master plan at one time was. As time changed, the plan that was platted was never fulfilled. As a result, the unused alleyways, boulevards, and circular street area around the lake have been abandoned over time as the additional public property was no longer necessary for the city to maintain. Proposed Conditions N/A Attachments: excerpt from zoning map, showing the general location within the City of San Angelo; excerpt from zoning map, highlighting subject property; aerial photo, highlighting subject property; original plat of the Lakeview Addition from 1908; draft minutes from Planning Commission; and draft ordinance. Presentation: AJ Fawver, Planning Manager Reviewed by: AJ Fawver, AICP, Planning Manager (08/09/12)
  • 209.
    IV. Requests for Right-of-Way Abandonment. [Planning Commission makes recommendation; City Council has final authority for approval.] A. Lakeview Addition, Block 40 and Jacoby Addition, Block 1: Karen Coates A request to abandon an alley on the following property: An approximately 10’ x 123’ portion of alley running east to west, perpendicular to Travis Street, between The Jacoby Addition, Block 1, Lot 1 and Lake View Addition, Block 40, Lots 5-7 in northern San Angelo. Jeff Hintz, Planner, came forward to present this case, subject to the staff recommendation of approval. Seven notifications were sent out on this request, with zero returned either in favor or in opposition. Mr. Hintz showed photos of the property, including the area which is the subject of the abandonment request. It is believed that the intent many years ago was to formally abandon it; however, there are no records of said abandonment. This will provide a legal basis for which to conduct a property transaction without problems with title and corresponding documents. Sebastian Guerrero asked if the proponent owned property on both sides of the alley. Mr. Hintz explained that it did. He also verified that no notifications were responded to and that private utility companies had no issue with the abandonment. Joe Grimes asked if there were any drainage issues created by a closure of this alley. There are not - this was reviewed by the Stormwater Engineer and found to be of no issue. Karen Coates, the owner of the adjacent property and the proponent of the request, came forward to speak in favor of the request. They have owned that property for some time and received a title opinion at that time. While the title company was able to find a plat document that indicated that the abandonment had been completed, they were unable to turn up any documentation regarding this alley segment. Joe Grimes asked Ms. Coates to clarify which property she owns. Bill Wynne asked about who owned Lot 4. Staff confirmed that the City of San Angelo owns Lot 4. Joe Grimes asked if the size of the abandonment could be increased; however, Ms. Fawver clarified that the Commission may only proceed with the property that was included in the notification. Betty Walker, who own lots on the other side of Travis, came forward to ask if a business could be put on the property. Staff explained that the zoning is residential. Motion, to approve as presented, was made by Bill Wynne and seconded by Joe Grimes. The motion passed unanimously, 4-0.
  • 210.
    AN ORDINANCE PROVIDINGFOR THE ABANDONMENT AND CLOSING OF THE FOLLOWING ALLEY, TO WIT: An approximately 10’ x 123’ portion of alley running east to west, perpendicular to Travis Street, between The Jacoby Addition, Block 1, Lot 1 and Lake View Addition, Block 40, Lots 5-7 in northern San Angelo; AUTHORIZING THE CONVEYANCE THEREOF TO THE ABUTTING PROPERTY OWNERS; PROVIDING FOR THE TERMS AND CONDITIONS OF ABANDONMENT AND CONVEYANCE; AND PROVIDING FOR THE MAYOR TO EXECUTE AND DELIEVER A QUIT CLAIM DEED TO THE ABUTTING PROPERTY OWNERS RE: abandonment of a public right-of-way being an alley between Block 40, of the Lake View Addition, south of Lots 5-7 and North of the Jacoby Addition, Block 1, Lot 1, running perpendicular to Travis Street in northern San Angelo . WHEREAS, the City Council of the City of San Angelo, Texas, acting pursuant to law, deems it advisable to abandon and convey the hereinafter described tract of land to the abutting property owner and is of the opinion that said land is not needed for public use, and that same should be abandoned and quit claimed to the abutting property owner as hereinafter provided; and WHEREAS, the City Council of the City of San Angelo, Texas is of the opinion that the best interest and welfare of the public will be served by abandoning and conveying same to the abutting property owner, subject to conditions and restrictions contained herein; NOW, THEREFORE, BE IT ORDAINED BY CITY COUNCIL OF THE CITY OF SAN ANGELO: 1. That the following described tract in the City of San Angelo, Tom Green County, Texas be and the same is hereby abandoned, vacated and closed insofar as the right, title and easement of the public are concerned; subject, however, to the conditions and restrictions hereinafter more fully set out: BEING the entire 10-foot width and 123-foot length of right-of-way for a public alley dedicated immediately south of Lots 5-7 in Block 40, of the Lake View Addition, which said alley is described more particularly as follows: BEGINNING at a point on southwest corner of the Lake View Addition, Block 40, Lot 7. THENCE in an easterly direction a distance of 123 feet; THENCE in a southerly direction a distance of 10 feet; THENCE in a westerly direction a distance of 123 feet; THENCE in a northerly direction a distance of 10 feet to the POINT OF BEGINNING.
  • 211.
    2. That the abandonment and conveyance provided for herein is made and accepted subject to all present zoning and deed restrictions, if the latter exist, and all existing easements, if any, whether apparent or non-apparent, aerial, surface, underground or otherwise. 3. That the abandonment and conveyance provided for herein shall extend only to the public right, title, easement and interest and shall be construed to extend only to the interest which the governing body for the City of San Angelo may legally and lawfully abandon and vacate. 4. That the Mayor of the City of San Angelo is hereby authorized to execute and deliver a quit claim deed conveying the above-described tract to the abutting property owner. 5. That the terms and conditions contained in this ordinance shall be binding upon Grantees and assigns. 6. That the Grantees shall pay all reasonable costs associated with procedures necessitated by the request to abandon this public right-of-way. INTRODUCED on the 4th day of September 2012 and finally PASSED, APPROVED AND ADOPTED ON this the 18th day of September, 2012. CITY OF SAN ANGELO, TEXAS ATTEST: by: ______________________________ by: ______________________________ Alvin New, Mayor Alicia Ramirez, City Clerk Approved As To Content: Approved As To Form: _________________________ ________________________ AJ Fawver, Planning Manager Lysia H. Bowling, City Attorney
  • 237.
    Discharge Point for underground storm drain W. Avenue N ASU W. Avenue P Drainage Area to W. Avenue P at S. Bryant Blvd. S. Chadbourne St. Knickerbocker Rd. S. Bryant Blvd.
  • 238.
    City of SanAngelo Engineering Services Memo Date: September 11, 2012 To: Mayor and Councilmembers From: Clinton Bailey, City Engineer Subject: Agenda Item for September 18 Council Meeting Contact: Clinton Bailey, 657-4203 Caption: Regular Status Update and Discussion of Avenue P Drainage Remediation Project Summary: The area around W. Avenue P has a history of severe flooding. In fact, the 2000 Master Drainage Plan prepared by Freese Nichols, Inc. ranks this project as the #2 most recommended drainage improvement project in San Angelo. The current drainage issues along Avenue P are caused by excessive street flow and limited channel capacity downstream. Stormwater runoff in this area flows from over 430 acres and from as far away as Angelo State University. Damages caused by the deep, swift water include stalled/flooded vehicles, numerous flooded homes and other property, and possible drowning. In addition, the flooding causes blocked travel paths that are especially important in the event of an emergency. Options to mitigate this flooding include: 1. Purchasing all of the endangered homes in the vicinity and relocating the residents; 2. Directing most of the stormwater runoff underground all the way to W. Avenue R; and 3. Directing most of the stormwater runoff underground to and across S. Chadbourne St., discharging directly into the Red Arroyo. Option 3 was selected due to cost savings while still providing a sensible solution to the problem. All of the runoff crossing under S. Bryant Blvd into W. Avenue P will be taken underground into a large storm drain running beneath W. Avenue P that will discharge on the east side of S. Chadbourne St. Inlets at most of the intersections along W. Avenue P will collect surface drainage from the neighborhood and route it into the main storm drain. History: This project was ranked as the second-most recommended drainage improvement project in San Angelo by the City’s Master Drainage Plan prepared by Freese Nichols, Inc. in 2000. On September 19, 2011, Clinton Bailey, along with then-City Manager Harold
  • 239.
    Dominguez and CityCouncilman Johnny Silvas, hosted a neighborhood meeting. Approximately 25 area residents were present to voice their concerns regarding the flooding. Solutions were discussed to alleviate property damage and mitigate health risks due to the area flooding. At the City Council meeting on November 1, 2011, City Council approved funding for this project at $1.7 million for design and construction. Of that total, $700,000 was appropriated from the 2011-2012 budget, and $1 million was budgeted for the fiscal year 2012-2013. Financial Impact: $1,700,000.00 Related Vision Item City Council Goal #8: Improve Drainage, Develop Plan. (if applicable): Other Information/ n/a Recommendation: Attachments: Project location map Presentation: City Staff Publication: n/a Reviewed by Shawn Lewis, Director of Community and Economic Development Director: Approved by Legal:
  • 240.
    City of SanAngelo Memo Meeting Date: September 18, 2012 To: City Council members From: AJ Fawver, Planning Manager Subject: Amending standards for visual clearance on corner lots Contacts: AJ Fawver, Planning Manager (325) 657-4210 As staff continues to see redevelopment occur in the downtown district, a section of the Zoning Ordinance pertaining to vision clearance at intersections has come under some scrutiny. Article 5 of the Zoning Ordinance specifically exempts the Central Business District (CBD) zoning from a minimum required front yard. In addition, it goes on to exempt CBD zoning from minimum required side rear yards if the lot does not adjoin or abut a residential district or use. The rationale behind this exemption is based on the fact that historical development was constructed in higher-density buildings that were often built to the property edges. Driving through the downtown area, many of these types of buildings are very visible. Traditionally, downtowns are also developed in such a way. This helps bring in new development that meshes with and matches the historic fabric unique to a city's core. Section 510 establishes requirements for visual clearance on corner lots, for the safety of both vehicular and pedestrian traffic. This standard requires that any structure within 30 feet of the intersection of the two street property lines be no taller than three feet in height. This standard works well in most instances, especially since all other zoning districts have minimum front and side yard requirements. The problem lies in situations within the CBD where new construction is desired on corner lots. Though the requirement for minimum front yards is waived in this district, currently, no structure over three feet would be allowed to be built within this area; thus, the two requirements somewhat contradict one another. It is also important to keep in mind that the CBD is unique in terms of rather wide rights-of-way, and most intersections are signalized - this provides a control for traffic that could, in some instances, help to mitigate the safety issue enough to allow building within the vision clearance triangle. While this type of
  • 241.
    development would notbe appropriate in other zoning districts, where development has occurred in an orderly fashion with an expectation of open space, in an area where the feel and density levels are highest, it could be deemed appropriate. On corner lots with sidewalks, these sidewalks are relatively permanent in nature and help hold and maintain the swath of public right-of-way between the street edge and the property line - thus, keeping it open for view by traffic; this, in combination with a signalized intersection, permits efficient flow of traffic in a way that is safe. As such, staff is recommending one change to the current requirements for vision clearance at intersections: to grant an exception, (as has been done with required minimum front and side yards) if the corner lot is at an intersection which is signalized and has unobstructed sidewalk areas at least 4' in width between the street edge and the building, along the two street property lines, for a distance of at least thirty feet from the intersection. Attachments: draft ordinance, as approved by Legal staff; Presentation: AJ Fawver, Planning Manager Reviewed by: Shawn Lewis, Director of Community Economic Development ( )
  • 242.
    AN ORDINANCE AMENDINGCHAPTER 12, EXHIBIT “A” ENTITLED “ZONING ORDINANCE”, ARTICLE 5 ENTITLED “GENERAL DEVELOPMENT STANDARDS”, SECTION 510 ENTITLED “VISUAL CLEARANCE ON CORNER LOTS”, BY RESTATING SAID SECTION TO PROVIDE FOR AN EXCEPTION OF THE REQUIREMENT FOR MAINTENANCE OF A “SIGHT TRIANGLE” ON CERTAIN CORNER LOTS FOR THE CENTRAL BUSINESS DISTRICT; AND PROVIDING FOR AN EFFECTIVE DATE. WHEREAS, the City of San Angelo Zoning Ordinance regulates the preservation of visual clearance by requiring minimum front yard setbacks and a “sight triangle” on corner lots throughout the city; and, WHEREAS, the Central Business District (CBD) traditionally includes structures with sidewalks extending to the curb and otherwise without front yard setbacks; and, WHEREAS, the CBD includes historical structures with sidewalks extending to the curb and otherwise without front yard setbacks; and, WHEREAS, the CBD is exempt from the ordinance requirement for a minimum front yard setbacks for structures and therefore corner lots may not comply with the requirement for maintenance of a “sight triangle” on corner lots; and, WHEREAS, the implementation of a front yard setback in the CBD for new development would be inconsistent with the development of the district in which the combination of wide streets, traffic signals and sidewalks provide sufficient corner lot visual clearance; NOW, THEREFORE, BE IT ORDAINED BY THE CITY OF SAN ANGELO: Section 1. THAT Chapter 12 “A” entitled “Zoning Ordinance”, Article 5 “entitled “General Development Standards”, Section 510 entitled “Visual Clearance on Corner Lots” is hereby restated to read as follows: “Except for free-standing signs with appropriate visual clearance below the display area, any fence, structure, sign, tree or landscaping on a corner lot and situated within 30 feet of the intersection of the two street property lines shall not exceed a height of three feet, including topography, measured from the top of the street curb or, in the absence of a raised curb, 31/2 feet above elevation of the center of the pavement. For this purpose, the restricted area for visual clearance shall be considered as a triangle rather than an area bounded by an arc. Corner lots in the Central Business District (CBD) situated at signalized intersections and having unobstructed sidewalk areas similarly restricted for visual clearance and at least four feet
  • 243.
    (4’) in widthbetween the street edge and building along the two street property lines for a distance of at least thirty feet (30’) from the intersection are exempt from this restriction.” Section 2. THAT this Ordinance shall be effective from and after the date of its adoption. INTRODUCED on the ______ day of _______________, 2012, and finally PASSED, APPROVED and ADOPTED on this the ________ day of __________________, 2012. THE CITY OF SAN ANGELO, TEXAS Alvin New, Mayor ATTEST: Alicia Ramirez, City Clerk APPROVED AS TO CONTENT: APPROVED AS TO FORM: _____________________________ AJ Fawver, Planning Manager Lysia H. Bowling, City Attorney
  • 265.
    City of SanAngelo Memo Meeting Date: September 18, 2012 To: Mayor and City Council members From: AJ Fawver, Planning Manager Subject: Permission to enter into contract with Gateway Planning Group for Lake Nasworthy plan Contacts: AJ Fawver, Planning Manager 657- 4210 Caption: Consideration of authorizing the Interim City Manager or designee to execute a contract between Gateway Planning Group and the City of San Angelo to carry out services outlined in CED 05-11. Summary: At the directive of City Council and the City Manager, the Planning Manager put together a RFQ (Request for Qualifications) and worked with the Purchasing Director to put this RFQ out to solicit responses from a variety of firms. Once a committee selected the most qualified firm to produce this plan, the Planning Manager asked the Council for permission to enter into negotiations with the firm, which was approved on February 21st. While the next step would technically be to approach the Council for permission to enter into a contract, staff believed there to be a legitimate benefit to first having a thorough presentation from the top ranked consulting group, discussing and identifying the costs, processes, services, expectations, and options for this project, to maintain a clear direction from the Council on how to move forward prior to entering into a contract. On May 14th, the consulting group presented this information to the selection committee, who ranked this group first, in order to obtain a recommendation for the Council to consider.
  • 266.
    Background: Beginning inJune of 2011, the City Council reviewed several items related to Lake Nasworthy; these included: • an annexation of a now-defunct power plant located in the area; • amendments to ordinances regulating areas around Lake Nasworthy, specifically those recreational in nature; • the entering into negotiations between the Parks Director and a firm slated to provide an update to the Parks and Recreation Master Plan; • the hearing of zone changes in and around the Lake Nasworthy addition; and, • discussions of investment in and around the Lake Nasworthy area to capitalize on this asset. In response to these continued discussions of the area, staff put together an RFQ that was published to solicit responses from firms with experience in master planning for areas with value in tourism, recreation, and who understood the unique characteristics of waterfront development. Seven firms submitted packages outlining their qualifications to complete and coordinate such a project. A selection committee consisting of the members listed below reviewed these packages and, based on their scores, narrowed down the list to three finalist groups. • Paul Alexander, Council member, SMD 1; • Alvin New, Mayor; • AJ Fawver, Planning Manager; • Shawn Lewis, Director of Community Economic Development; • Elizabeth Grindstaff, Assistant City Manager; and • Will Wilde, Director of Water Utilities. Once a “short list” was determined, the three finalist firms were invited for interviews. As a requirement of the interview opportunity, the firms were asked to attend the public meeting being held by the Parks Department to solicit public input for their ongoing update to the Parks and Recreation Master Plan, specifically a discussion of Lake Nasworthy. The following day, interviews were held with each firm and a committee consisting of the members listed below, whose scores were combined to assess the most qualified of the firms. • Paul Alexander, Council member, SMD 1; • Alvin New, Mayor; • Tad Logan, President, Lake Nasworthy Homeowners Association; • Tony Villarreal, COSADC; • Carl White, Parks Director;
  • 267.
    Lauren Shrum, Texas Outdoor Consulting (currently conducting the update to the Parks and Recreation Master Plan); and • AJ Fawver, Planning Manager; • Shawn Lewis, Director of Community Economic Development; and • Elizabeth Grindstaff, Assistant City Manager. Gateway Planning Group’s presentation garnered responses from the committee regarding: • their data-driven approach; • their business “matchmaking” abilities (connections with over 100 facilities); • their focus on public involvement; • their comprehension of the tourism component of the area paired with the neighborhood component; • their extensive experience in waterfront planning and projects; • their personalized, detailed approach; and • their urge to make recreational opportunities year-round to maintain flow of tourism; and, • their understanding of the market feasibility and market analysis. On May 14th, Scott Polikov, from Gateway Planning Group, presented the scope and figures which were formulated through negotiations with Planning Manager AJ Fawver. The committee held discussion on the proposal and ultimately recommended that the Council approve and move forward with the approach, citing it as a worthwhile investment. On May 15th, City Council listened to a presentation by Ms. Fawver and Mr. Polikov, and ultimately gave direction to move forward with the proposed approach, scope, and price. The discussion also outlined the intent for this expenditure to come from the Lake Nasworthy fund, specifically. After putting together a draft contract, this draft was submitted for review by the City Attorney’s office. The City Attorney's office has worked with Gateway and other staff to complete a contract that is ready for execution once approval is given by Council. Related Vision Item: Provide adequate amenities for all neighborhoods. Attract reinvestment. Develop strategic plan for recruitment. Examine liquidation of underutilized City properties. Financial Impact: $298,150, plus expenses (spread over a 12 month timeline, likely to coincide with two separate fiscal years)
  • 268.
    Attachments: Excerpts from RFQ CED 05-11, outlining desired services and selection criteria Excerpt from May 15, 2012 City Council minute record Contract Publication: None required. Reviewed by: J. Shawn Lewis, Director of Community Economic Development ()
  • 269.
    The City isseeking to hire a qualified consultant firm or team to provide professional land use planning services, specifically to lead the th City's efforts in preparing an addendum to the 2009 Comprehensive Plan; this addendum would create a 7 sub-district concept specifically centered on Lake Nasworthy. A response to this RFQ shall include methodology and approach, including a timeline, for performing necessary research and preparing this addendum. The addendum should focus on the following: 1. Select and create boundaries for final study area (a “sub-district) surrounding Lake Nasworthy; 2. Collect data and prepare graphics illustrating the sub-district from a variety of perspectives, such as current buildings and uses, tenant profiles, sale and lease points and other data that affect the area’s competitive position in the market; 3. Provide analysis of the following: a. Ownership of property adjoining all edges of Lake Nasworthy; b. Tourism and recreational opportunities to maximize activity within the sub-district; c. Data collected from surveys previously distributed by Parks Department staff regarding activities and facilities around Lake Nasworthy; d. Land use, water, recreation and resource management issues; e. Accessibility of sub-district by multi-modal traffic; f. Relationship between local land use activities and the lake environment; and g. The role of the sub-district from a regional perspective. 4. Identify the following: a. Opportunities, constraints, and perceived issues relative to the study area; b. Environmental concerns and opportunities relative to the study area; c. Potential projects that could be pursued to attract and leverage investment in the subject area; and d. Action-oriented recommendations for land use policy and stewardship approaches for future needs. 5. Conduct public input process, to include: a. Identification of key stakeholders for a series of interviews, the results of which will be summarized and used to pinpoint problems and opportunities, as identified by local residents, property and business owners; b. Prepare for and conduct two (2) public meetings in the area to facilitate discussions aimed at identifying land use and growth management, sustainability, tourism, economic development, and related issues; 6. Draft a sub-district chapter for inclusion in the 2009 San Angelo Comprehensive Plan that mirrors the style and layout of the attached example. This chapter should include, at a minimum, the following: a. Boundaries of the area; b. The concept challenge and solution;
  • 270.
    c. A concept label with a description and appropriate graphic showing area affected by this concept; d. Barriers which impede the success of the sub-district; e. Analysis of the market opportunities for the area, classified by short-term (1-5 years) or long-term (5- 10) years; f. Suggestions of urban design elements to contribute to and compliment the area; g. Public-private strategies that could help address the challenges, barriers, and solution described for the area; h. Recommendations based on the completion of Items 1-5 above; and i. Selection of an area that could be used as a case study to illustrate the concept (a “catalyst”), and that is part of the selected sub-district - include graphic(s) that demonstrate the concept; REQUIREMENTS A qualified consultant should demonstrate the following minimum qualifications to be considered. 1. Applicable experience in and knowledge of basic legal issues related to land use planning. 2. A description of all services available to the City by the firm. 3. At least five (5) professional client references for the principal consultant, project manager, and the firm as a whole. 4. A consultant list of the proposed project team, if applicable. 5. Any and all conflicts of interest or potential conflicts of interest shall be disclosed, including any work being done for any landowner or developer in the City. 6. Experience in giving presentations, moderating, and facilitating public meetings. 7. Applicable knowledge of integrating land use planning and market analysis. 8. Applicable experience in planning areas with an emphasis on tourism and/or recreation. SELECTION PROCESS All responses will be evaluated by a Selection Committee and those respondents determined to be most qualified for a short list may be invited to attend an interview, at the respondent’s own expense. The City shall not incur any costs for response preparation and/or submittal of proposal. The Committee will evaluate all responses based on the established criteria, to include professional qualifications, background, training, experience, and project-assigned staff qualifications, etc. The City reserves the right to negotiate the final fee schedule, prior to recommending professional services contract for award. EVALUATION OF RESPONSES SELECTION CRITERIA 1. The Selection Committee shall evaluate and score all of the responses that are submitted. Evaluation ratings will be based on 100-point scale. 1. Experience in preparing plans for targeted areas ................................. 25 Points 2. Previous Projects..................................................................................... 15 Points 3. Ability ....................................................................................................... 10 Points 4. Familiarity with the City .......................................................................... 05 Points 5. Project Personnel .................................................................................... 05 Points 6. Information from references.................................................................. 15 Points 7. Knowledge/Experience in Planning for Tourism and Recreation Venues........................................................................... 25 Points
  • 271.
    2. The Selection Committee will determine the most qualified Respondent(s) and may invite them for an interview with members of the Selection Committee. 3. The City reserves the right to request clarification or additional information specific to any submission after all submissions have been received. 4. Should an interview be requested, respondents should be prepared for 20 minutes of presentation and 15 minutes of questions and answers. 5. City staff shall recommend the most qualified firm to the City Council and request authority to enter into contract negotiations. 6. When services and fees are agreed upon, the selected Respondent shall be offered a professional services contract subject to City Council approval. 7. Should negotiations be unsuccessful with the Respondent receiving the top score, the City shall enter into negotiations with the next highest ranked Respondent. The process shall continue until an agreement is reached a qualified Respondent. 8. This RFQ does not commit the City to pay for any direct and/or indirect costs incurred in the preparation and presentation of a response. All finalist(s) shall pay their own costs incurred in preparing for, traveling to and attending the interviews.
  • 272.
    DISCUSSION AND DIRECTIONTO STAFF TO NEGOTIATE A CONTRACT FOR THE SUB- DISTRICT PLANNING DOCUMENT AS OUTLINED IN CED 05-11 FOR LAKE NASWORTHY Planning Manager AJ Fawver and Scott Polikov, AICP, CNU, and Dan Martin, Management Marketing Feasibility Advisor, with Gateway Planning Group, presented background information. A copy of the presentation is part of the Permanent Supplemental Minute record. General discussion was held on the time frame for return on investment, opportunities, gateways, insuring plan is in line with the City’s current vision, example of current and past projects, and potential strong development plans. Council recognized the planning document was an expensive project and would be completed over a two year period. Discussion was held on marketing the city, implementing ways to attract people, showcasing the local water resources by truly developing and increasing the economic development; and investing in the process similar to the downtown area investments. Interim City Manager Michael Dane explained the project cost was $298K and the funding source would be allocated from the sale of lake properties. He stated the Lake Nasworthy trust fund and City are allowed to use 90% of the investment for improvements in and around the lake. Mr. Dane informed $840K remains in the investment income and these monies provide the least impact to the tax payers. Council directed staff to move forward and negotiate a contract. Public comments were made by former San Angelo resident Reed Donaldson. Minutes Page 479 May 15, 2012 Vol. 103
  • 273.
    City of SanAngelo Memo Meeting Date: September 18, 2012 To: Mayor and City Council members From: AJ Fawver, Planning Manager Subject: Update on Master Developer Contacts: A J Fawver, Planning Manager 657-4210 Caption: Discussion regarding status of PL-01-12, an RFQ seeking to retain a Master Developer for the purposes of overseeing development within the Downtown Development District Summary: At the directive of the Downtown Development Commission, and following the requirements of the establishing ordinance for this group, City staff put together a RFQ (Request for Qualifications) and worked with the Purchasing Director to put this RFQ out to solicit responses from a variety of firms. Now that the Downtown Development Commission has interviewed and scored this submission/firm, and made a formal recommendation to Council to select Catalyst Urban Development as the candidate for this project, staff will be working with the DDC to develop a scope of service that can then lead to negotiations with the firm. Background: Beginning in early 2011, discussion of the master developer concept began among City Council and City management. In October of 2011, an ordinance establishing the Downtown Development Commission (DDC) was approved. Following the compilation and approval of a draft downtown development plan in December of 2011, the DDC then began discussion of the next two duties assigned to them. The next task was to develop a scope of service for a downtown master developer; following that, the assignment was to solicit proposals for the selection of a master
  • 274.
    developer and makea recommendation to the City Council regarding the final selection. On January 31, 2012, the DDC instructed City staff to draft a scope of services for publishing and solicitation of applicants. In February, the DDC reviewed the package prepared by staff and directed staff to have the RFQ open for a period of 60 days. The following month, on April 13, the RFQ was published, with a deadline of June 7th. The package was published on the City website as well as two other websites which cater to planning and development consulting firms. The package was also sent to 26 firms with experience in a master developer arrangement. The week of June 7th, only one submission had been received, so the deadline was extended to June 21st. At the June 26th meeting of the DDC, staff distributed the submission packets to the Commission members. The Commission set their next meeting date for August 28th, and asked staff to make arrangements to have the consulting group attend for a presentation and interview. On August 28th, a representative from Catalyst Urban Development, Gateway Planning Group, and NE Development provided a presentation and interviewed with the DDC members. At the close of this meeting, the DDC members prepared score sheets and made a recommendation to be forward to the City Council that this group be selected for the task. At the next DDC meeting on September 25th, staff will begin discussion with the commission members to propose and refine a final scope of services and also begin a discussion regarding pricing of these services. Related Vision Item: Provide adequate amenities for all neighborhoods. Attract reinvestment. Develop strategic plan for recruitment. Examine liquidation of underutilized City properties. Financial Impact: None at this time; expenditures will be part of the contract process. Recommendation: City staff recommends approval of this request. Attachments: None. Presentation: AJ Fawver, Planning Manager Reviewed by: Shawn Lewis, Director of Community Economic Development ( )
  • 275.
    City of SanAngelo Memo Date: September 13, 2012 To: Mayor and Councilmembers From: Lisa Marley, Director of Human Resources and Risk Management Subject: Agenda Item for September 18, 2012 Council Meeting Caption: Regular Item Update on the Self-Insurance Fund and consideration of authorizing the health insurance premiums for calendar year 2013. _________________________________________________________________________________ Summary: Staff will provide an update of the self-insurance fund performance during calendar year 2012. Projections for 2013 indicate an increase in health insurance premiums would be required. Staff is recommending the use of $142,000 from the $343,288 Early Retiree Reinsurance Program (ERRP) to offset the projected increases for 2013. History: Indications are that the efforts of the wellness program coupled with the single plan provider option with San Angelo Community Medical Center have indeed delivered a savings to the self-insurance fund so far this calendar year. Per the ERRP federal statute 42 U.S.C. §18002(c)(4), the use of ERRP payments may be used to reduce premium costs for an employer and/or plan participants. Financial Impact: None, as existing ERRP funds are being recommended to offset premium increases. Attachments: None. Presented and Reviewed by: Lisa Marley, Director of Human Resources and Risk Management, September 13, 2012.
  • 276.
    City of SanAngelo Memo Date: September 14, 2012 To: Mayor and Councilmembers From: Lisa Marley, Director of Human Resources and Risk Management Subject: Agenda Item for September 18, 2012 Council Meeting Caption: Regular Item Pay Classification Study update and discussion of methodology and approval of pay increases for City employees. _________________________________________________________________________________ Summary: Staff will provide an update of the pay classification study and will present various options for Council consideration regarding pay ranges and employee salaries. History: During the budget presentations in 2011, City Council directed staff to update the compensation plan by re-surveying the benchmark data. In June and July 2012, thirteen cities were invited to participate in the study. Nine cities participated in the survey which reviewed the same 223 job classifications that were surveyed in 2008. Financial Impact: To be determined. Attachments: None. Presented by: Lisa Marley, Director of Human Resources Risk Management, Michael Dane, Interim City Manager and Morgan Trainer, Budget Manager. Reviewed by: Lisa Marley, Director of Human Resources and Risk Management, September 14, 2012.
  • 277.
    2012 Property TaxRates in CITY OF SAN ANGELO This notice concerns the 2012 property tax rates for CITY OF SAN ANGELO. It presents information about three tax rates. Last year's tax rate is the actual tax rate the taxing unit used to determine property taxes last year. This year's effective tax rate would impose the same total taxes as last year if you compare properties taxed in both years. This year's rollback tax rate is the highest tax rate the taxing unit can set before taxpayers start rollback procedures. In each case these rates are found by dividing the total amount of taxes by the tax base (the total value of taxable property) with adjustments as required by state law. The rates are given per $100 of property value. Last year's tax rate: Last year's operating taxes $24,453,012 Last year's debt taxes $2,770,880 Last year's total taxes $27,223,892 Last year's tax base $3,463,599,491 Last year's total tax rate $0.78600/$100 This year's effective tax rate: Last year's adjusted taxes $26,913,399 (after subtracting taxes on lost property) ÷ This year's adjusted tax base $3,173,450,000 (after subtracting value of new property) =This year's effective tax rate $0.84808/$100 (Maximum rate unless unit publishes notices and holds hearings.) This year's rollback tax rate: Last year's adjusted operating taxes $24,150,075 (after subtracting taxes on lost property and adjusting for any transferred function, tax increment financing, state criminal justice mandate, and/or enhanced indigent healthcare expenditures) ÷ This year's adjusted tax base $3,173,450,000 =This year's effective operating rate $0.76100/$100 x 1.08=this year's maximum operating rate $0.82188/$100 + This year's debt rate $0.08510/$100 = This year's total rollback rate $0.90698/$100 Statement of Increase/Decrease If CITY OF SAN ANGELO adopts a 2012 tax rate equal to the effective tax rate of $0.84808 per $100 of value, taxes would increase compared to 2011 taxes by $63,632. Schedule A - Unencumbered Fund Balance The following estimated balances will be left in the unit's property tax accounts at the end of the fiscal year. These balances are not encumbered by a corresponding debt obligation. Type of Property Tax Fund Balance Maintenance Operating 5,319,249 Interest Sinking 192,748 Schedule B - 2012 Debt Service The unit plans to pay the following amounts for long-term debts that are secured by property taxes. These amounts will be paid from property tax revenues (or additional sales tax revenues, if applicable). Principal or Contract Interest to be Other Amounts Description of Debt Payment to be Paid Paid from Total Payment to be Paid from Property Taxes Property Taxes 2005 Tax/Rev C.O. 1,100,000 460,787 0 1,560,787 (19,750,000 Sales Tax 2006 Tax/Rev C.O, 290,000 52,837 0 342,837 (2,500,000) Landfill 2007 Tax/Rev C.O, 1,385,000 34,625 0 1,419,625 (6,970,000) 2008 Tax/Rev C.O. 100,000 444,825 0 544,825 (10,15,000) Sales Tax 2009 Tax/Rev C.O, 95,000 631,063 0 726,063 (14,600,000) 2009 Tax/Rev G.O. 860,000 60,200 0 920,200 Refunding (4,605,000) 2011 Rev/Rev C.O. 155,000 587,575 0 742,575 (13,780,000) Total required for 2012 debt service $6,256,912 - Amount (if any) paid from Schedule A $0 - Amount (if any) paid from other resources $3,540,528 - Excess collections last year $32,890 = Total to be paid from taxes in 2012 $2,683,494 + Amount added in anticipation that the unit will $54,765 collect only 98.00% of its taxes in 2012 = Total debt levy $2,738,259 This notice contains a summary of actual effective and rollback tax rates' calculations. You can inspect a copy of the full calculations at 2302 Pulliam St, San Angelo, TX 76905. Name of person preparing this notice: Jan Bruce Title: Appraiser, Tom Green County Appraisal District Date Prepared: 07/31/2012
  • 278.
    City of SanAngelo Finance Department Memo Date: August 15, 2012 To: Mayor and Councilmembers From: Laura Brooks, Budget Analyst, Sr. Subject: Agenda Item for September 4, 2012 Council Meeting Contact: Morgan Trainer, Budget Manager, 653-6291 Caption: Regular Item FIRST PUBLIC HEARING AND INTRODUCTION OF AN ORDINANCE LEVYING PROPERTY TAXES FOR THE CITY OF SAN ANGELO FOR THE 2012 TAX YEAR: AN ORDINANCE LEVYING TAXES AND PROVIDING FOR THE ASSESSMENT AND COLLECTION THEREOF AND PROVIDING FOR EXEMPTIONS, IN AND FOR THE CITY OF SAN ANGELO, TEXAS, FOR THE 2012-2013 BUDGET YEAR Summary: The proposed property tax rate will decrease from the prior year’s tax rate. The projected tax revenue will be more than the revenue received in the prior year by $976,900. Upon each one hundred dollar ($100) valuation of property subject to taxation in the City of San Angelo for the 2012-2013 fiscal year, the property tax will be applied as follows: (a) To pay annual interest and maturities and create a sinking fund to discharge outstanding bonded indebtedness of the City of San Angelo $0.08000 (b) For the purposes of maintenance and operations in the General Fund $0.70100 The total tax rate for the aforementioned purposes is: $0.78100 History: On August 7, 2012, City Council took a Record Vote to propose a tax levy of $0.7860/$100 valuation of property. Financial Impact: The tax rate as proposed above will generate the following revenues: Interest Sink portion: $ 2,892,555 Maintenance Operations portion: $25,346,010 Total: $28,238,565 Related Vision Item (if applicable): Financial Vision. l Page 1
  • 279.
    Other Information/Recommendation: Staffrecommends introduction of the ordinance. Attachments: Tax Levy Ordinance Presentation: No Publication: August 3, 2012 – Notice of Effective Tax Rate Reviewed by Service Area Director: Michael Dane, Finance l Page 2
  • 280.
    AN ORDINANCE FIXINGAND LEVYING AD VALOREM TAXES FOR THE USE AND SUPPORT OF THE MUNICIPAL GOVERNMENT OF THE CITY OF SAN ANGELO, TEXAS, FOR THE 2012-2013 BUDGET YEAR; PROVIDING FOR THE ASSESSMENT AND COLLECTION THEREOF; PROVIDING WHEN THE TAX SHALL BECOME DUE; PROVIDING WHEN THE TAX SHALL BECOME DELINQUENT; PROVIDING FOR EXEMPTIONS; PROVIDING FOR SEVERABILITY; PROVIDING FOR PUBLICATION; AND, PROVIDING FOR AN EFFECTIVE DATE. WHEREAS, the City Charter for the City of San Angelo provides that the City Council at its first meeting in September of each year, or as soon thereafter as practicable, shall levy the annual tax for such year; and, WHEREAS, Section 26.05 of the Texas Tax Code requires that the City of San Angelo, Texas, adopt a tax rate for the next fiscal year by September 30, 2012; and, WHEREAS, the City Council finds that all public notices have been given and published as required by law for fixing and levying the ad valorem taxes; and, WHEREAS, the City Council further finds that the taxes for the fiscal year beginning October 1, 2012, and ending September 30, 2013, hereinafter levied therefore are necessary to pay interest and maturities and create a sinking fund to discharge outstanding bonded indebtedness of the City; and, WHEREAS, the City Council further finds that the tax for the fiscal year beginning October 1, 2012, and ending September 30, 2013, hereinafter levied for purposes of maintenance and operations must be levied to provide for the revenue requirements of the budget for the ensuing fiscal year: NOW THEREFORE, BE IT ORDAINED BY THE CITY COUNCIL OF THE CITY OF SAN ANGELO, TEXAS THAT: Section One: The following taxes be and are hereby levied for the fiscal year 2012-2013, upon each One Hundred Dollar ($100) valuation of property subject to taxation in the City of San Angelo for said year: To pay annual interest and maturities and create a sinking fund to discharge outstanding bonded indebtedness of the City of San Angelo $0.080 For the purposes of maintenance and operations in the General Fund $0.701 The total tax rate for the aforementioned purposes is: $0.781
  • 281.
    Section Two: Thetaxes levied herein shall be assessed and proper record made thereof, as required by law by the officers performing the duties of assessor and collector of taxes for the City of San Angelo and their successors in office and said officers shall collect such taxes and remit the same required by law and this ordinance. Section Three: All taxes levied and due under this ordinance, plus penalties and interest thereon, shall become a lien upon the property against which the tax is assessed, as provided by City Charter and State law, and the officers performing the duties of assessor and collector of taxes for the City of San Angelo and their successors in office, or their designee, are hereby authorized and empowered to enforce the collection of such taxes, penalties and interest according to the Constitution and laws of the State of Texas and the Charter and Ordinances of the City of San Angelo. Penalties and interest collected shall be paid to and credited to the General Fund of the City of San Angelo. Section Four: Taxes levied under this ordinance shall be due on October 1, 2012, and if not paid as provided by law, shall immediately become delinquent on February 1, 2013. Section Five: The City hereby affirms the adoption of the following exemptions from taxation of real property: An individual may claim an exemption from taxation equal to twenty percent (20%) of the appraised value of his/her residence homestead, but not less than five thousand dollars ($5,000) or the value of the homestead if said value is less than $5,000. Section Six: Should any part, portion, or section of this ordinance be declared invalid, inoperative, or void for any reason by a court of competent jurisdiction, such decision, opinion or judgment shall in no way affect the remaining parts, portions or sections of this ordinance, which provisions shall be, remain and continue in full force and effect. Section Seven: The City Manager or his designee shall cause a copy of this Ordinance, in its entirety, as passed, to be published on the web site operated by the City of San Angelo Section Eight: This ordinance shall become effective on the date Approved and Adopted. Signature page to follow.
  • 282.
    INTRODUCED on the21st day of August, 2012, and APPROVED and ADOPTED on this the 4th day of September, 2012. YES NO CITY OF SAN ANGELO, TEXAS Alvin New, Mayor Paul Alexander, SMD #1 Dwain Morrison, SMD #2 Johnny Silvas, SMD #3 Fredd B. Adams II, SMD #4 Kendall Hirschfeld, SMD #5 Charlotte Farmer, SMD #6 ATTEST: Alicia Ramirez, City Clerk Approved as to Content Approved as to Form Michael T. Dane, Finance Director Lysia H. Bowling, City Attorney
  • 283.
    City of SanAngelo Memo Date: September 13, 2012 To: Mayor and Councilmembers From: Laura Brooks, Budget Analyst, Sr Subject: Agenda Item for September 18, 2012 Meeting Contact: Morgan Trainer, 653-6291 Caption: Regular Item First Public Hearing and consideration of introduction of Ordinances amending Appendix A “Fee Schedule” related to the FY 2012-2013 Budget regarding: Planning Related Fees; Restaurant Permit Fees; Office of the City Attorney’s Fees; Administrative Abatement Service Fees; Taxicab Permit Fees; Alarm Fees Summary: First Public Hearing and introduction of ordinances amending Appendix A “Fee Schedule” User Fees to execute Council direction from the FY2012-2013 Budget discussions. History: Staff has discussed with Council during June, July, and August 2012, the increase of user fees in order to more closely cover the costs of services provided. Financial Impact: Increased Revenue of $248,485 Related Vision Item Financial Vision (if applicable): Other Information/ Staff recommends approval as presented. Recommendation: Attachments: Planning Fee ROW Ordinance; Restaurant Permit Fee Ordinance; Office of the City Attorney Fees Ordinance; Administrative Abatement Services Fees Ordinance; Taxicab Permit Fees Ordinance; and Alarm Fees Ordinance Presentation: PowerPoint Publication: None Reviewed by Michael Dane, Finance Director: Approved by Legal: All Ordinances reviewed and approved by Legal Department.
  • 284.
    AN ORDINANCE AMENDINGAPPENDIX A, “FEE SCHEDULE”, ARTICLE 4.000 “FEES FOR THE ABATEMENT OF JUNK AND THE IMPOUNDMENT AND SALE OF PROPERTY”, OF THE CODE OF ORDINANCES, CITY OF SAN ANGELO, TEXAS, BY ADDING A NEW SECTION 4.300 “JUNK, TRASH, WEEDS AND UNSANITARY CONDITIONS ADMINISTRATIVE ABATEMENT SERVICE FEE” TO PROVIDE FOR AN ADMINISTRATIVE ABATEMENT SERVICE FEE FOR THE ABATEMENT BY THE CITY OF UNSANITARY CONDITIONS; PROVIDING FOR SEVERABILITY; AND PROVIDING AN EFFECTIVE DATE WHEREAS, the City Council for the City of San Angelo has directed that the implementation of user fees be examined, including user fees relating to the administrative cost to the City of abating junk, trash, weeds and unsanitary conditions; and, WHEREAS, the City Council for the City of San Angelo has examined the administrative user fee for the abatement of junk, trash, weeds and unsanitary conditions as proposed by City staff, and finds that the fee appropriately reflects actual costs to the City for the respective service; NOW THEREFORE BE IT ORDAINED BY THE CITY OF SAN ANGELO: Section 1) THAT Appendix “A”, “Fee Schedule”, Article 4.000 “Fees for the Abatement of Junk and the Impoundment and Sale of Property”, of the Code of Ordinances of the City of San Angelo, Texas, is amended by adding a new Section 4.300 “Junk, Trash, Weeds and Unsanitary Conditions Administrative Abatement Service Fee” to read as follows: “Section 4.300 Junk, Trash, Weeds and Unsanitary Conditions Administrative Abatement Service Fee A Junk, Trash, Weeds and Unsanitary Conditions Administrative Abatement Service Fee of one hundred dollars ($100.00) shall be charged and assessed for the abatement of conditions prohibited under Chapter 7, Article 7.300 “Garbage, Weeds, Junk and Unsanitary Conditions” of this Code of Ordinances. Section 3) THAT the terms and provisions of this Ordinance shall be deemed to be severable in that, if any provision of this Ordinance shall be declared to be invalid, the same shall not affect the validity of the other provisions of this Ordinance.
  • 285.
    Section 4) THAT this Ordinance shall be effective from and after October 1, 2012. INTRODUCED on the day of , 2012, and finally PASSED, APPROVED and ADOPTED on this the day of , 2012. CITY OF SAN ANGELO ____________________________________ Alvin New, Mayor ATTEST: _________________________________ Alicia Ramirez, City Clerk APPROVED AS TO CONTENT: APPROVED AS TO FORM: ___________________________ ___________________________ James Flores, Code Compliance Lysia H. Bowling, City Attorney
  • 286.
    AN ORDINANCE AMENDINGAPPENDIX A, “FEE SCHEDULE”, ARTICLE 3.000 “BUSINESS RELATED FEES”, OF THE CODE OF ORDINANCES, CITY OF SAN ANGELO, TEXAS, SECTION 3.300 “TAXICAB PERMIT FEE”, SUBPARAGRAPH (a), BY RESTATING SAID SUBPARAGRAPH (a) TO PROVIDE FOR THE ADJUSTMENT OF TAXICAB PERMIT FEES; PROVIDING FOR SEVERABILITY; AND PROVIDING AN EFFECTIVE DATE WHEREAS, the City Council for the City of San Angelo has directed the examination of user fees, including the cost of processing applications for taxicab permit fees, and determined that the permit fees do not reflect the actual costs of processing applications for taxicab permits; and, WHEREAS, the City Council for the City of San Angelo has examined the revised taxicab permit fees proposed by City staff, and finds them to more appropriately reflect actual costs to the City for processing those applications; NOW THEREFORE BE IT ORDAINED BY THE CITY OF SAN ANGELO: Section 1) THAT Appendix “A”, “Fee Schedule”, Article 3.000 “Business Related Fees”, Section 3.300 “Taxicab Permit Fees”, subparagraph (a), of the Code of Ordinances of the City of San Angelo, Texas, is hereby restated to read as follows: “(a) A holder of an annual permit shall pay the City a nonrefundable permit fee of five hundred dollars ($500.00) a year for each vehicle authorized by the permit, provided however; if the vehicle used for the transportation of persons is drawn by animals, the holder shall pay the City a nonrefundable permit fee of fifty dollars ($50.00) a year for each vehicle authorized by the permit. The permit fee is payable at the time the annual permit is issued or renewed. Where a holder wishes to add vehicles to his fleet, the holder shall pay the City five hundred dollars ($500.00) for each additional vehicle or fifty dollars ($50.00) for each additional animal drawn vehicle, provided, however, said fee shall be prorated if such additions are made after the annual permit fee is due.” Section 3) THAT the terms and provisions of this Ordinance shall be deemed to be severable in that, if any provision of this Ordinance shall be declared to be invalid, the same shall not affect the validity of the other provisions of this Ordinance.
  • 287.
    Section 4) THAT this Ordinance shall be effective from and after October 1, 2012. INTRODUCED on the day of , 2012, and finally PASSED, APPROVED and ADOPTED on this the day of , 2012. CITY OF SAN ANGELO ____________________________________ Alvin New, Mayor ATTEST: _________________________________ Alicia Ramirez, City Clerk APPROVED AS TO CONTENT: APPROVED AS TO FORM: ___________________________ ___________________________ James Flores Lysia Bowling Code Compliance Manager City Attorney
  • 288.
    AN ORDINANCE AMENDINGCHAPTER 7 “HEALTH SANITATION”, ARTICLE 7.200 “REGULATION OF FOOD ESTABLISHMENTS”, SECTION 7.201 “DEFINITIONS” OF THE CODE OF ORDINANCES OF THE CITY OF SAN ANGELO, TEXAS, BY ADDING A DEFINITION FOR “SEASONAL”; AMENDING APPENDIX A, “FEE SCHEDULE”, ARTICLE 13.000 “HEALTH AND SANITATION RELATED FEES”, OF THE CODE OF ORDINANCES, CITY OF SAN ANGELO, TEXAS, SECTION 13.001 “RESTAURANT PERMIT FEES” BY RESTATING SAID SECTION TO PROVIDE FOR THE ADJUSTMENT OF RESTAURANT PERMIT FEES AND LATE FEE; PROVIDING FOR SEVERABILITY; AND PROVIDING AN EFFECTIVE DATE WHEREAS, the City Council for the City of San Angelo has directed the examination of the cost of conducting each type of application for restaurant permit fees, and determined that the restaurant establishment permit fees and late fee do not reflect the actual costs of processing applications; and, WHEREAS, the City Council for the City of San Angelo has examined the revised restaurant establishment permit fees and late fee as proposed by City staff, and finds them to more appropriately reflect actual costs incurred by the City for the respective services; NOW THEREFORE BE IT ORDAINED BY THE CITY OF SAN ANGELO: Section 1) THAT Chapter 7 “Health Sanitation”, Article 7.200 “Regulation of Food Establishments”, Section 7.201 “Definitions” is amended by adding the following: “The word ‘seasonal’ means more than fourteen (14) consecutive days up to but not exceeding six (6) consecutive months.” Section 2) THAT Appendix “A”, “Fee Schedule”, Article 13.000 “Health and Sanitation Related Fees”, Section 13.001 “Restaurant Permit Fees”, of the Code of Ordinances of the City of San Angelo, Texas, is hereby restated to read as follows: “Section 13.001 Restaurant Permit Fee The following permit fees and late fee shall be applicable for profit and non-profit food establishment permits: (a) Food establishment: 1. Annual Permit Fee: $150.00
  • 289.
    2. Seasonal PermitFee: $100.00 (b) Additional Annual Service Area Food Establishment Permit Fee: $ 35.00 (c) Three (3) Day Temporary Food Establishment Permit Fee: $ 50.00 (d) Fourteen (14) Day Temporary Food Establishment Permit Fee: $ 70.00 (e) Late Fee (per month): $ 50.00” Section 3) THAT the terms and provisions of this Ordinance shall be deemed to be severable in that, if any provision of this Ordinance shall be declared to be invalid, the same shall not affect the validity of the other provisions of this Ordinance. Section 4) THAT this Ordinance shall be effective from and after October 1, 2012. INTRODUCED on the day of , 2012, and finally PASSED, APPROVED and ADOPTED on this the day of , 2012. CITY OF SAN ANGELO ____________________________________ Alvin New, Mayor ATTEST: _________________________________ Alicia Ramirez, City Clerk APPROVED AS TO CONTENT: APPROVED AS TO FORM: ___________________________ ___________________________ Sandra Villarreal Lysia Bowling Health Services Manager City Attorney
  • 290.
    AN ORDINANCE AMENDINGAPPENDIX A, ENTITLED “FEE SCHEDULE,” OF THE CODE OF ORDINANCES OF THE CITY OF SAN ANGELO, TEXAS BY ADDING A NEW ARTICLE 15.000 ESTABLISHING A FEE SCHEDULE OF ADMINISTRATIVE FEES TO BE CHARGED BY THE OFFICE OF THE CITY ATTORNEY FOR ADMINISTRATIVE EXPENSES AND COSTS INCURRED IN ENGAGING IN THE COLLECTION OF MONIES OWED THE CITY OF SAN ANGELO, TEXAS, PROVIDING FOR SEVERABILITY; AND PROVIDING FOR AN EFFECTIVE DATE WHEREAS, pursuant to Article 2.400 of the City Code of Ordinances, the City Attorney renders legal services on behalf of the City, including pursuing legal remedies to collect monies owed to the City; and WHEREAS, the City Attorney’s Office has determined that certain administrative expenses and costs directly related to collection activities are required to be assessed and collected as part of the cost of collecting monies owed to the City; and WHEREAS, the City Attorney’s Office has set out a schedule of administrative costs and expenses related to the collection activities; and WHEREAS, City Council determines that it is in the best interest of the City for this scheduled of fees be adopted; and NOW THEREFORE, BE IT ORDAINED BY THE CITY OF SAN ANGELO, TEXAS: Section 1. THAT, Appendix A “Fee Schedule” of the Code of Ordinances of the City of San Angelo be amended by adding the following Article 15.000 “Office of the City Attorney Fees” to read as follows: “Article 15.000 Office of the City Attorney Fees Sec. 15.001 Administrative and Lien Filing and Release Fees: The following fees shall be charged and collected for the described services of the City Attorney’s Office: (a) Administrative Collection Fee applicable to each collection matter referred to the City Attorney’s Office for collection, due when collection action is taken: $100.00 (b) Administrative fee for lien filing and release of lien due upon filing of lien: $100.00 (c) Duplicate Lien Release Fee due upon delivery of duplicate release: $10.00”
  • 291.
    Section 2. THAT the terms and provisions of this Ordinance shall be deemed to be severable in that, if any portion of this Ordinance shall be declared to be invalid, the same shall not affect the validity of the other provisions of this Ordinance . Section 3. THAT, this Ordinance shall be effective from and after the date of its adoption. INTRODUCED on the ___ day of September, 2012, and finally PASSED, APPROVED AND ADOPTED on this the ___ day of October, 2012. THE CITY OF SAN ANGELO Alvin New, Mayor ATTEST: Alicia Ramirez, City Clerk APPROVED AS TO CONTENT AND FORM Lysia H. Bowling, City Attorney
  • 292.
    AN ORDINANCE AMENDINGAPPENDIX A, “FEE SCHEDULE”, ARTICLE 8.000 “UTILITY RELATED FEES”, OF THE CODE OF ORDINANCES, CITY OF SAN ANGELO, TEXAS, AMENDING SECTION 8.1500 “CHARGE FOR COLLECTION OF GARBAGE AND TRASH”, BY RESTATING SUBPART (a) RESIDENTIAL SERVICES”, (1) “RESIDENCE SERVICE CHARGES”, ADJUSTING RESIDENCE SERVICE CHARGES; AMENDING SECTION 8.1500 “CHARGE FOR COLLECTION OF GARBAGE AND TRASH”, BY RESTATING SUBPART (b) “COMMERCIAL SERVICE”, (2) “COMMERCIAL SERVICE CHARGES”, ADJUSTING COMMERCIAL SERVICE CHARGES; AMENDING SECTION 8.1700 “LANDFILL CHARGES”, BY RESTATING SUBPARTS (a), (f) AND (g), ADJUSTING LANDFILL CHARGES FOR LICENSED COLLECTORS, CITY RESIDENTS, NON-RESIDENTS, AND FOR GARBAGE DUMPED BY OR FOR CERTAIN GOVERNMENT ENTITIES; PROVIDING FOR SEVERABILITY; AND PROVIDING AN EFFECTIVE DATE WHEREAS, the City Council has reviewed the projected revenues and expenses of the municipal landfill during the budget process; and, WHEREAS, operation of the landfill has required certain capital improvements related to the development of additional cells and development of facilities required for gas disposal; and, WHEREAS, operation of the municipal landfill requires that provision be made to fund ongoing operation and expansion of the landfill as required, including maintenance of debt service; and, WHEREAS, the City Council for the City of San Angelo has examined the cost of residential and commercial garbage collection, and determined that the established fees do not reflect the actual costs for the services; and, WHEREAS, the City Council for the City of San Angelo has examined the revised fees for residential and commercial service charges, and landfill charges, for the municipal landfill as proposed by City staff, and finds them to appropriately reflect actual costs incurred by the City for the respective services; NOW THEREFORE BE IT ORDAINED BY THE CITY OF SAN ANGELO: Section 1) THAT Appendix “A”, “Fee Schedule”, Article 8 “Utility Related Fees”, Section 8.1500 “Charge for Collection of Garbage and Trash”, of the Code of Ordinances of the City of San Angelo, Texas, is hereby amended by restating subpart (a) “Residential Services”, (1) “Residence Service Charges” to read as follows: “(1) Residence Service Charges: The residences of the city and small professional and business firms who receive twice a week regular service have been divided into fair and reasonable types according to their structure and uses, for the purposes of collection of garbage and trash. Fair and reasonable charges for service where pick- ups are made from alleys or from front or side line street curbs shall be and are herein
  • 293.
    shown in termsof dollars and cents opposite each type, along with the other charges that are more fully explained in subsection (a)(2) below, for a calendar month as November 1, 2012 October 1, 2013 Rates Rates (A) One-family residence $8.80 $9.01 Inspection charge $0.10 $0.10 City landfill charge $0.20 $0.20 State landfill charge $0.50 $0.50 Total: $9.60 $9.81 (B) Apartment house $8.80 $9.01 (where large containers are not used) per unit Inspection charge $0.10 $0.10 City landfill charge $0.20 $0.20 State landfill charge $0.50 $0.50 Total: $9.60 $9.81 (C) Small business, using $17.40 $17.82 residential-type service Inspection charge $0.20 $0.20 City landfill charge $0.40 $0.40 State landfill charge $1.00 $1.00 Total: $19.00 $19.42 (D) Two-family duplex residence $17.40 $17.82 Inspection charge (per duplex) $0.20 $0.20 City landfill charge (per duplex) $0.40 $0.40 State landfill charge (per duplex) $1.00 $1.00 Total: $19.00 $19.42 (E) One-family residence for those residents receiving “supplemental security income” payments from the Social Security Administration” $5.71 $5.85 Section 2) THAT Appendix “A”, “Fee Schedule”, Article 8.000 “Utility Related Fees”, Section 8.1500 “Charge for Collection of Garbage and Trash”, of the Code of Ordinances of the City of San Angelo, Texas, is hereby amended by restating subpart (b) “Commercial Service”, (2) “Commercial Service Charges” to read as follows:
  • 294.
    “(2) Commercial Service Charges. Rates for commercial service shall be as set forth in the following tables: 2012 Commercial Rates Effective November 1, 2012 COMMERCIAL HANDLOAD SIZE DIMEN NO. DAYS RATE FUEL FRANCHISE PER WEEK SURCHG FEE 2 19.45 No Change 4% STEEL BINS SIZE DIMEN NO. DAYS RATE FUEL FRANCHISE EXTRA PER WEEK SURCHG FEE PU 2 YD 6x3x3 1 41.18 No Change 4% 20.60 2 YD 2 67.78 20.60 2 YD 3 86.08 20.60 2 YD 4 105.54 20.60 2 YD 5 122.40 20.60 2 YD 6 142.71 20.60 4 YD 6x4x41/2 1 66.06 33.04 4 YD 2 101.24 33.04 4 YD 3 138.42 33.04 4 YD 4 177.88 33.04 4 YD 5 213.36 33.04 4 YD 6 242.24 33.04 8 YD 6x6x6 1 98.95 49.48 8 YD 2 177.88 49.48 8 YD 3 242.24 49.48 8 YD 4 321.74 49.48 8 YD 5 393.54 49.48 8 YD 6 469.61 49.48 CONSTRUCTION BOXES SIZE DIMEN NO. DAYS RATE FUEL FRANCHISE EXTRA PER WEEK SURCHG FEE PU 2 YD 6x3x3 1 54.91 No Change 4% 27.46 2 YD 2 90.96 27.46 2 YD 3 115.54 27.46 2 YD 4 141.85 27.46 2 YD 5 164.74 27.46
  • 295.
    2 YD 6 192.19 27.46 4 YD 6x4x41/2 1 88.67 44.34 4 YD 2 136.13 44.34 4 YD 3 186.47 44.34 4 YD 4 239.68 44.34 4 YD 5 287.44 44.34 4 YD 6 335.20 44.34 8 YD 6x6x6 1 132.99 66.50 8 YD 2 239.68 66.50 8 YD 3 326.62 66.50 8 YD 4 433.86 66.50 8 YD 5 530.82 66.50 8 YD 6 633.49 66.50 INDUSTRIAL ROLL OFF SIZE DIMEN RATE PER RATE FUEL FRANCHISE DAY SURCHG FEE 20 YD 4'6x8x22 3.38 101.51 4% 30 YD 5'9x8x22 3.38 101.51 40 YD 5'9x8x22 4.15 124.49 HAUL FEE PER FUEL FRANCHISE LOAD SURCHG FEE 88.44 No Change 4% 107.50 132.75 2013 Commercial Rates Effective October 1, 2013 COMMERCIAL HANDLOAD SIZE DIMEN NO. DAYS RATE FUEL FRANCHISE PER WEEK SURCHG FEE 2 20.09 No Change 4% STEEL BINS
  • 296.
    SIZE DIMEN NO. DAYS RATE FUEL FRANCHISE EXTRA PER WEEK SURCHG FEE PU 2 YD 6x3x3 1 42.54 No Change 4% 22.43 2 YD 2 70.01 22.43 2 YD 3 88.91 22.43 2 YD 4 109.01 22.43 2 YD 5 126.43 22.43 2 YD 6 147.41 22.43 4 YD 6x4x41/2 1 68.24 35.97 4 YD 2 104.57 35.97 4 YD 3 142.98 35.97 4 YD 4 183.74 35.97 4 YD 5 220.38 35.97 4 YD 6 250.21 35.97 8 YD 6x6x6 1 102.20 53.88 8 YD 2 183.74 53.88 8 YD 3 250.21 53.88 8 YD 4 332.32 53.88 8 YD 5 406.49 53.88 8 YD 6 485.06 53.88 CONSTRUCTION BOXES SIZE DIMEN NO. DAYS RATE FUEL FRANCHISE EXTRA PER WEEK SURCHG FEE PU 2 YD 6x3x3 1 56.72 No Change 4% 29.90 2 YD 2 93.95 29.90 2 YD 3 119.34 29.90 2 YD 4 146.52 29.90 2 YD 5 170.16 29.90 2 YD 6 198.51 29.90 4 YD 6x4x41/2 1 91.59 48.28 4 YD 2 140.61 48.28 4 YD 3 192.61 48.28 4 YD 4 247.56 48.28 4 YD 5 296.89 48.28 4 YD 6 346.22 48.28 8 YD 6x6x6 1 137.36 72.41 8 YD 2 247.56 72.41 8 YD 3 337.36 72.41 8 YD 4 448.14 72.41 8 YD 5 548.28 72.41 8 YD 6 654.33 72.41
  • 297.
    INDUSTRIAL ROLL OFF SIZE DIMEN RATE PER RATE FUEL FRANCHISE DAY SURCHG FEE 20 YD 4'6x8x22 3.40 101.99 4% 30 YD 5'9x8x22 3.40 101.99 40 YD 5'9x8x22 4.17 125.09 HAUL FEE PER FUEL FRANCHISE LOAD SURCHG FEE 88.86 No Change 4% 108.02 133.38 Section 3) THAT Appendix “A”, “Fee Schedule”, Article 8.000 “Utility Related Fees”, Section 8.1700 “Landfill Charges”, of the Code of Ordinances of the City of San Angelo, Texas, is hereby amended by restating subparts (a), (f) and (g) to read as follows: “(a) Each person or licensed collector who desires to dispose of waste, garbage, trash and refuse at any city landfill or dump shall pay the following charges for the privilege of using such areas: NOVEMBER 1, 2012 RATES City Residents Non-Residents (1) Flat Rate for Municipal $27.40 per ton $29.40 per ton Solid Waste (minimum) (minimum) (2) Car, Pickup and/or Trailer Load, hauled by homeowner from residence, which contains brush, rubbish, garbage $12.41 per load $29.40 per load (3) Car, Pickup and/or Trailer Load, from business or institution or residence where it is hauled by a person other than the homeowner for a fee ton $27.40 per ton $29.40 per ton
  • 298.
    (4) Car, Pickup and/or Trailer Load, from business or institution or residence where it is hauled by a person other than the homeowner for a fee $27.40 per ton $29.40 per ton (5) Animal Waste $3.90 per $5.85 per cubic yard cubic yard (6) Asbestos (non-friable) $26.00 per $39.00 per cubic yard cubic yard (7) Biomedical (“red bag”) Wastes $39.00 per $58.50 per cubic yard cubic yard (8) Tires: Car, Motorcycle $3.25 each $4.88 each Truck $6.50 each $9.75 each Off Road $18.20 each $27.30 each (9) Class II Waste $15.60 per $24.05 per cubic yard cubic yard Plus $65.00 Plus $65.00 per hour per hour processing time processing time (10) Appliances, Furniture and $5.20 per item $7.80 per item other Bulky Items OCTOBER 1, 2013 RATES City Residents Non-Residents (1) Flat Rate for Municipal $29.40 per ton $31.40 per ton Solid Waste (minimum) (minimum) (2) Car, Pickup and/or Trailer Load, hauled by homeowner from residence, which contains brush, rubbish, garbage $13.32 per load $31.55 per load (3) Car, Pickup and/or Trailer Load, from business or institution or
  • 299.
    residence where itis hauled by a person other than the homeowner for a fee $29.40 per ton $31.40 per ton (4) Car, Pickup and/or Trailer Load, from business or institution or residence where it is hauled by a person other than the homeowner for a fee $29.40 per ton $31.40 per ton (5) Animal Waste $4.18 per $6.28 per cubic yard cubic yard (6) Asbestos (non-friable) $27.90 per $41.85 per cubic yard cubic yard (7) Biomedical (“red bag”) Wastes $41.85 per $62.77 per cubic yard cubic yard (8) Tires: Car, Motorcycle $3.49 each $5.24 each Truck $6.97 each $10.46 each Off Road $19.53 each $29.29 each (9) Class II Waste $16.74 per $25.81 per cubic yard cubic yard Plus $65.00 Plus $65.00 per hour per hour processing time processing time (10) Appliances, Furniture and $5.78 per item $8.37 per item other Bulky Items (11) Each vehicle entering the landfill with an unsecured load or loose load not covered by a tarp will be charged an additional $5.00 per load. Said fee will be reimbursed to the City of San Angelo. (12) For the period of April 1, 2003 through March 31, 2005, the disposal fee for hauled liquid waste from septic tanks, grease traps, grit traps, sand traps, etc. shall be $0.18 per gallon for waste deposited by or for city residents and $0.21 per gallon for waste deposited by or for non-city residents. Beginning April 1, 2005, the disposal fee shall be $0.22 per gallon for hauled liquid waste deposited by or for city residents and $0.25 per gallon for hauled liquid waste deposited by or for non-city residents.” “(f) Any solid waste collected by, or under contract with, a governmental entity outside the city limits but within Tom Green County, shall be authorized to dump at the city landfill only under special contract arrangements with the City of San Angelo at the rate of $29.40 per ton effective November 1, 2012 and $31.40 per ton effective October 1, 2013, plus the state landfill surcharge fees specified above.”
  • 300.
    “(g) Any solidwaste collected by, or under contract with, the following counties or a governmental entity within the following counties: Sterling, Coke, Runnels, Concho, Menard, Schleicher, Sutton, Irion and Crockett, shall be authorized to dump at the city landfill only with prior approval of the city council at the rate of $32.35 per ton effective November 1, 2012, and $34.35 per ton effective October 1, 2013, plus the state landfill surcharge fees specified above.” Section 4) THAT the terms and provisions of this Ordinance shall be deemed to be severable in that, if any provision of this Ordinance shall be declared to be invalid, the same shall not affect the validity of the other provisions of this Ordinance. Section 5) THAT this Ordinance shall be effective from and after the date of its adoption. INTRODUCED on the day of , 2012, and finally PASSED, APPROVED and ADOPTED on this the day of , 2012. CITY OF SAN ANGELO _____________________________________ Alvin New, Mayor ATTEST: _________________________________ Alicia Ramirez, City Clerk APPROVED AS TO CONTENT: APPROVED AS TO FORM: Ricky Dickson, Lysia Bowling Operations Department Director City Attor ney
  • 301.
    City of SanAngelo Memo Date: August 7, 2012 To: Mayor and Councilmembers From: Morgan Trainer, Budget Manager Subject: Agenda Item for September 4, 2012 Work Session Contact: Morgan Trainer, 653-6291 and Ricky Dickson, 657-4206 Caption: Regular Item First public hearing and introduction of an ordinance amending the landfill rates. As discussed with City Council on June 5, 2012, it is necessary to raise rates at the landfill. This includes rates for residential garbage collection, commercial Summary: garbage collection, and landfill gate fees. As directed by City Council, staff is now presenting an incremental plan setting the first year at $6.32 and providing phased in rates until the necessary adjusted rates are met. History: Discussed and approved by consensus June 5, 2012 Financial Impact: None at this time Related Vision Item Financial Vision (if applicable): Other Information/ None Recommendation: Attachments: Ordinance Presentation: None Publication: None Reviewed by Ricky Dickson, Operations Director: Approved by Legal: Yes
  • 302.
    AN ORDINANCE AMENDINGAPPENDIX A, “FEE SCHEDULE”, ARTICLE 3.000 “BUSINESS RELATED FEES”, SECTION 3.900 “ALARM PERMIT FEES” OF THE CODE OF ORDINANCES, CITY OF SAN ANGELO, TEXAS, BY RESTATING SAID SECTION TO ADJUST ALARM PERMIT FEES FOR BURGLARY AND ROBBERY ALARM SYSTEMS, FALSE BURGLARY AND ROBBERY ALARM FEES, AND REINSTATEMENT FEE, AND PROVIDING FOR AN ANNUAL BURGLARY AND ROBBERY ALARM SYSTEM PERMIT LATE FEE; PROVIDING FOR SEVERABILITY; AND PROVIDING AN EFFECTIVE DATE WHEREAS, the City Council for the City of San Angelo has directed that the implementation of user fees be examined, including San Angelo Police Department fees relating to burglary and robbery alarms; and, WHEREAS, the City Council has provided for fees by ordinance relating to the regulation of burglary and robbery alarms for purposes that include defraying the costs of administering said regulations; and, WHEREAS, the City Council has examined the administrative user fees relating to burglary and robbery alarms and determined that the fees do not reflect the actual costs of administering said regulations; and, WHEREAS, the City Council has examined the revised fees regulating burglary and robbery alarms as proposed by the San Angelo Police Department, and finds them to more appropriately reflect actual costs to the City for administering those regulations; NOW THEREFORE BE IT ORDAINED BY THE CITY OF SAN ANGELO: Section 1.) THAT Appendix “A”, “Fee Schedule”, Article 3.000 “Business Related Fees”, Section 3.900 “Alarm Permit Fees”, of the Code of Ordinances of the City of San Angelo, Texas, is amended by restating said section to read as follows: “Sec. 3.900 Annual Alarm Permit Fees and False Burglary and Robbery Alarm Fees (a) Annual Permit Fees. An annual permit fee shall be assessed against the applicant for an annual burglary and robbery Alarm System Permit (1) Residential alarm permit fee: $30.00 (2) Commercial alarm permit fee: $60.00 (3) Exempt Alarm Permit Fee: $ 0.00 (b) Annual Permit Late Fee. A late fee of $50 shall be assessed against a burglary and robbery Alarm System Permit holder failing to renew the Alarm System Permit for more than thirty (30) days after its expiration.
  • 303.
    (c) Burglary andRobbery False Alarm Fee. A false alarm fee shall be assessed against a burglary and robbery Alarm System Permit holder for each false burglary and robbery alarm occurring during any consecutive twelve (12) month period for the sum indicated in the following schedule: Number of False Alarms Applicable Fee (a) 1–3 $ 0 (b) 4–5 $ 50 (c) 6–7 $ 75 (d) 8 and above $ 100 (d) Burglary and Robbery False Alarm Late Fee. A late fee of $50 shall be assessed against a burglary and robbery Alarm System Permit holder failing to pay an assessed burglary and robbery False Alarm Fee for more than 30 days after written notice of assessment of the fee is postmarked to the permit holder. (d) Fee for Reinstatement of Revoked Burglary and Robbery Alarm System Permit. A reinstatement fee of $100 shall be assessed against a burglary and robbery Alarm System Permit holder on application to reinstate a revoked permit. The Reinstatement Fee shall be due and payable in addition to any other fees assessed under regulations relating to burglary and robbery alarm systems. Section 2.) THAT the terms and provisions of this Ordinance shall be deemed to be severable in that, if any provision of this Ordinance shall be declared to be invalid, the same shall not affect the validity of the other provisions of this Ordinance. Section 4.) THAT this Ordinance shall be effective from and after the date of its adoption. INTRODUCED on the day of , 2012, and finally PASSED, APPROVED and ADOPTED on this the day of , 2012. CITY OF SAN ANGELO ______________________________________ Alvin New, Mayor ATTEST: _________________________________ Alicia Ramirez, City Clerk APPROVED AS TO CONTENT: APPROVED AS TO FORM: ___________________________ ___________________________ Tim Vasquez, Chief of Police Lysia Bowling, City Attorney
  • 304.
    AN ORDINANCE AMENDINGAPPENDIX A, “FEE SCHEDULE”, ARTICLE 9.000 “PLANNING RELATED FEES”, SECTION 9.500.5 “CONVEYANCE OF PROPERTY INTEREST,” BY RESTATING SAID SECTION TO PROVIDE FOR AN ADMINISTRATIVE PROCESSING FEE IN ADDITION TO THE REQUIRED FEE FOR VALUE ON THE CONVEYANCE OF CITY’S INTEREST IN RIGHTS-OF-WAY WHEREAS, the City Council for the City of San Angelo, after a public hearing at a properly called regular meeting of the City Council on June 5, 2012, has recommended amendment to the text of Appendix A “Fee Schedule”, Article 9.000 “Planning Related Fees”, Section 9.500.5 “Conveyance of Property Interests”, of the Code of Ordinances, City of San Angelo, Texas, to provide for administrative processing fees and WHEREAS, the City Council for the City of San Angelo has examined the administrative cost of processing conveyances of City interests in abandoned rights-of-way; and WHEREAS, the City Council for the City of San Angelo has examined the administrative processing fees proposed by City staff and finds them to appropriately reflect the actual costs incurred by the City for the respective services; BE IT ORDAINED BY THE CITY OF SAN ANGELO: 1) THAT Article 9, Section 9.500.5 of the Code of Ordinances of the City of San Angelo, Texas shall be and is hereby amended by restating said section to read as follows: “The following fees shall be required for conveyance (by quit-claim deed) of interest in rights-of-way abandoned by the City Council: (1) For Improved Streets and Alleys. Three quarters (3/4) of the average assessed value of abutting land, by square foot, according to the most recently approved property tax roll compiled by the Tom Green County Appraisal District, multiplied by the number of square feet of land in the right-of-way abandoned and to be conveyed to the applicant as an abutting owner of property, plus an administrative processing fee of $434.00. (2) For Unimproved Streets and Alleys. One half (1/2) of the average assessed value of abutting land, by square foot, according to the most recently approved property tax roll compiled by the Tom Green County Appraisal District, multiplied by the number of square feet of land in the right of way abandoned and to be conveyed to the applicant as an owner of abutting property, plus an administrative processing fee of $434.00. (3) For Streets and Alleys Where Significant Easements for Access by the Public and/or Utilities Are Reserved. One half (1/2) of the cost applicable to either circumstance described in items (1) or (2) above, plus an administrative processing fee of $434.00.
  • 305.
    2) THAT the terms and provisions of this Ordinance shall be deemed to be severable in that, if any portion of this Ordinance shall be declared to be invalid, the same shall not affect the validity of the other provisions of this Ordinance. 3) THAT this Ordinance shall be effective from and after the date of its adoption. INTRODUCED on the day of , 2012, and finally PASSED, APPROVED and ADOPTED on this , day of , 2012. CITY OF SAN ANGELO _____________________________________ Alvin New, Mayor ATTEST: _________________________________ Alicia Ramirez, City Clerk APPROVED AS TO CONTENT: APPROVED AS TO FORM: ___________________________ ___________________________ AJ Fawver, Planning Manager Lysia H. Bowling, City Attorney
  • 306.
    AN ORDINANCE AMENDINGAPPENDIX A, “FEE SCHEDULE”, ARTICLE 9.000 “PLANNING RELATED FEES”, OF THE CODE OF ORDINANCES, CITY OF SAN ANGELO, TEXAS, AMENDING SECTION 9.200 “PLANNING AND DEVELOPMENT FEES”, RESTATING SAID SECTION TO CREATE A SINGLE APPLICATION FEE FOR CHANGES OF ZONING CLASSIFICATION BY CREATING AN APPLICATION FEE FOR A SPECIAL USE, BY CREATING AN APPLICATION FEE FOR A CONDITIONAL USE, BY CREATING A FEE FOR ALL APPLICATIONS FOR ZONE CHANGE TO PD DISTRICT, BY PROVIDING FOR ZONE CHANGE SIGN DEPOSIT AND REFUND OF SIGN DEPOSIT, AND BY CREATING A FEE FOR FILING OF AN APPEAL; REPEALING SECTION 9.200.5 “PLANNED DEVELOPMENT FEES; AMENDING SECTION 9.300 “ZONING BOARD APPLICATION FEES”, RESTATING SAID SECTION TO ADJUST THE FEES FOR A REQUEST FOR VARIANCE FROM ZONING REGULATIONS AND THE FEE FOR APPEAL; AMENDING SECTION 9.400 “PRELIMINARY PLATS/FINAL PLATS/REPLATS (EXCEPT ADMINISTRATIVE SUBDIVISIONS)”, RESTATING SAID SECTION TO PROVIDE FEES FOR APPLICATIONS FOR PRELIMINARY PLAT, FINAL PLAT AND REPLAT, AND A SUPPLEMENTAL FEE FOR REPLATS THAT REQUIRE RENOTIFICATION; AMENDING SECTION 9.400.5 “FINAL PLATS/REPLATS OF ADMINISTRATIVE SUBDIVISIONS”, RESTATING SAID SECTION TO PROVIDE FEES FOR APPLICATIONS FOR FINAL AND REPLATS OF ADMINISTRATIVELY ELIGIBLE SUBDIVISIONS, AND SUPPLEMENTAL FEE FOR FINAL PLAT OR REPLAT REQUIRING NOTIFICATION; AMENDING SECTION 9.500 “MISCELLANEOUS PLANNING FEES”, RESTATING SAID SECTION TO UPDATE FEES FOR MISCELLANEOUS REQUESTS; PROVIDING FOR SEVERABILITY; AND PROVIDING AN EFFECTIVE DATE WHEREAS, the City Council for the City of San Angelo, after a public hearing at a meeting on July 19th, has recommended the following amendments to the text of Appendix A “Fee Schedule”, Article 9.000 “Planning Related Fees”, of the Code of Ordinances, City of San Angelo, Texas; and WHEREAS, the City Council for the City of San Angelo has examined the cost of conducting each type of application process, and determined that the established fees do not reflect the actual costs of processing applications; and WHEREAS, the City Council for the City of San Angelo has examined the revised fees as proposed by City staff and found them to appropriately reflect actual costs incurred by the City for the respective services; NOW THEREFORE BE IT ORDAINED BY THE CITY OF SAN ANGELO:
  • 307.
    Section 1) THAT Appendix “A”, “Fee Schedule”, Article 9 “Planning Related Fees”, Section 9.200 “Planning and Development Fees”, of the Code of Ordinances of the City of San Angelo, Texas, is hereby restated to read as follows: Application for zoning change $460.50 Application for special use $378.00 Application for conditional use $353.00 Filing of appeal of decision on zoning change, special use, or conditional use $150.00 Application for zone change to a PD District, requiring an area of 1.0 acre or more: $547.50 Request for amendment to existing PD District, requiring an area of 1.0 acre or more: $225.00 Zone change sign deposit (per sign): $37.50 Refund from sign deposit (per sign): $25.00 During a period beginning January 1 of 2013, and ending on December 31 of 2013, no fee shall be required for property owners to submit an application for approval of a Historic Overlay Zone (Landmark). Section 2) THAT Appendix “A”, “Fee Schedule”, Article 9 “Planning Related Fees”, Section 9.200.5 “Planned Development Fees”, of the Code of Ordinances of the City of San Angelo, Texas, is hereby repealed in its entirety. Section 3) THAT Appendix “A”, “Fee Schedule”, Article 9 “Planning Related Fees”, Section 9.300 “Zoning Board Application Fees”, of the Code of Ordinances of the City of San Angelo, Texas, is hereby restated to read as follows: Request for variance from zoning regulations $225.00 Request for administrative adjustment from zoning regulations $ 50.00 Request for appeal of decision made by an administrative official $150.00
  • 308.
    4) THAT Appendix “A”, “Fee Schedule”, Article 9 “Planning Related Fees”, Section 9.400 “Preliminary Plats/Final Plats/Replats (except for administrative subdivisions)”, of the Code of Ordinances of the City of San Angelo, Texas, is hereby restated to read as follows: Application for preliminary plat $337.00 Application for final plat $312.00 Application for replat $312.00 Supplemental fee for replats requiring renotification $106.25 5) THAT Appendix “A”, “Fee Schedule”, Article 9 “Planning Related Fees”, Section 9.400.5 “Final Plats/Replats of Administrative Subdivisions”, of the Code of Ordinances of the City of San Angelo, Texas, is hereby restated to read as follows: Application for final plat of administratively- eligible subdivision $212.50 Application for replat of administratively- eligible subdivision $212.50 Supplemental fee for final plat or replat requiring notification $106.25 6) THAT Appendix “A”, “Fee Schedule”, Article 9 “Planning Related Fees”, Section 9.500 “Miscellaneous Planning Fees”, of the Code of Ordinances of the City of San Angelo, is hereby restated to read as follows: Request for expansion of non-conforming use $163.75 Request for consideration of sign variance $168.75 Request for temporary permit for mobile/ manufactured home $118.75 Request for street name change $208.75 plus costs of official COSA signage Request for release of easement $37.50 Section 7) THAT the terms and provisions of this Ordinance shall be deemed to be severable in that, if any provision of this Ordinance shall be declared to be invalid, the same shall not affect the validity of the other provisions of this Ordinance.
  • 309.
    Section 8) THAT this Ordinance shall be effective from and after the date of its adoption. INTRODUCED on the day of , 2012, and finally PASSED, APPROVED and ADOPTED on this the day of , 2012. CITY OF SAN ANGELO _____________________________________ Alvin New, Mayor ATTEST: _________________________________ Alicia Ramirez, City Clerk APPROVED AS TO CONTENT: APPROVED AS TO FORM: ___________________________ ___________________________ AJ Fawver, Planning Manager Lysia H. Bowling, City Attorney
  • 310.
    City of SanAngelo Memo Date: September 6, 2012 To: Mayor and Councilmembers From: Will Wilde, Water Utilities Director Subject: Agenda Item for September 18 and October 2, 2012 Council Meetings Contact: Will Wilde, Water Utilities Director, 657-4209 Caption: Consideration of amending Article 11.200 “Water Conservation and Drought Contingency Plan” by amending Section 11.204 “Exception and Variance” to establish City Council authority to grant exceptions. Summary: The proposed revision to the ordinance would allow the Council to grant exceptions to any of the provisions in the ordinance. History: The Water Conservation and Drought Contingency Plan provides guidelines for managing water supply shortages and establishes practices that encourage the wise use of water. Financial Impact: N/A Other Information/Recommendation: Under the proposed amendment, the Council would have the authority to grant exceptions to any provisions in the ordinance. The Council would have the ability to specify that the exception could apply to an individual or a group of individuals, businesses or similar water users. The Council could also specify conditions, such as the time period that the exception would be applicable. It is recommended the amendment be adopted. Attachments: Amendment Presentation: None. Publication: N/A Reviewed by Service Area Director: Will Wilde, Water Utilities Director, September 6, 2012
  • 311.
    AN ORDINANCE AMENDINGCHAPTER 11, ARTICLE 11.200, SECTION 11.204 OF THE CODE OF ORDINANCES, CITY OF SAN ANGELO, TEXAS, ENTITLED “WATER CONSERVATION AND DROUGHT CONTINGENCY PLAN”, BY AMENDING SUBSECTION 11.204(a) “EXCEPTIONS”; PROVIDING FOR SEVERABILITY; PROVIDING FOR A PENALTY; AND PROVIDING FOR AN EFFECTIVE DATE. BE IT ORDAINED BY THE CITY OF SAN ANGELO: 1) THAT, Chapter 11, Article 11.200, Subsection 11.204(a) of the Code of Ordinances of the City of San Angelo, Texas is hereby amended to read as follows: Sec. 11.204 Exception and Variance (a) Exceptions. The City Council may allow exceptions to any of the provisions of this article. The Council may place conditions on any exception. There shall be an exception to the prohibitions of this article regarding watering restrictions, as follows: (1) Use of water for installing, testing and repairing sprinkler systems. (2) Watering frequency and schedules for public parks, athletic facilities, schools, colleges and cemeteries shall be as approved by the City Council. 2) THAT, the following severability clause is adopted with this amendment: SEVERABILITY: That the terms and provisions of this Ordinance shall be deemed to be severable in that if any portion of this Ordinance shall be declared to be invalid, the same shall not affect the validity of the other provisions of this Ordinance. 3) THAT, the following penalty clause is adopted with this amendment: PENALTY: Any person who violates any provisions of this Article shall be guilty of a Misdemeanor and upon conviction shall be subject to a fine as provided for in Section 1.106 of this Code. Each day of such violation shall constitute a separate offense. 4) THAT, this Ordinance shall be effective on, from and after the 2nd day of October 2012.
  • 312.
    INTRODUCED on the18th day of September 2012, and finally PASSED, APPROVED and ADOPTED on this 2nd day of October, 2012. CITY OF SAN ANGELO _________________________ Alvin New, Mayor ATTEST: _____________________________ Alicia Ramirez, City Clerk APPROVED AS TO CONTENT APPROVED AS TO FORM ______________________________ _____________________________ Will Wilde Lysia H. Bowling Water Utilities Department Director City Attorney
  • 313.
    City of SanAngelo Memo Date: August 31, 2012 To: Mayor and Councilmembers From: Will Wilde, Water Utilities Director Subject: Agenda Item for September 4, 2012 Council Meeting Contact: Will Wilde, Water Utilities Director, 657-4209 Caption: Discussion and possible action to adopt a Resolution implementing Drought Level III of the City’s Water Conservation and Drought Contingency Plan Summary: The City’s Water Conservation Plan establishes criteria for management of the municipal water supply sources. Trigger points based upon of available water supply are set in the plan to define various drought levels. In June of 2012, the criteria for entering Water Supply Stage, Drought Level II were met. Projections on available supply indicate that the trigger point for Drought Level III will be met in October 2012. History: The City’s Water Conservation/Drought Contingency Plan establishes practices the City will pursue to encourage the wise use of water. The drought management portion of the plan provides criteria that will be implemented to reduce water usage during a water supply shortage. Financial Impact: Under Drought Level III, usage surcharges are assessed on all water customers. Other Information/Recommendation: Implementation of Drought Level III is dependent upon reaching the water supply trigger point for entering the stage and adoption of a Resolution by the Council. It is recommended the Council adopt the Resolution implementing Drought Level III when the available supply is less than one year. Attachments: Resolution; Drought Level III Ordinance, Ord-Landscape Meters, and Ord-Hand watering
  • 314.
    Presentation: None. Publication: None. Reviewedby Service Area Director: Will Wilde, Water Utilities Director, August 31, 2012.
  • 315.
    AN ORDINANCE AMENDINGCHAPTER 11, ARTICLE 11.200 OF THE CODE OF ORDINANCES, CITY OF SAN ANGELO, TEXAS, ENTITLED “WATER CONSERVATION AND DROUGHT CONTINGENCY PLAN”, BY REPEALING ARTICLE 11.200 IN ITS ENTIRETY, AND ADOPTING A NEW ARTICLE 11.200, PROVIDING FOR A DROUGHT CONTINGENCY PLAN, PROVIDING FOR SEVERABILITY, PROVIDING FOR A PENALTY AND PROVIDING FOR AN EFFECTIVE DATE BE IT ORDAINED BY THE CITY OF SAN ANGELO: 1) THAT, Chapter 11, Article 11.200 of the Code of Ordinances of the City of San Angelo, Texas is hereby repealed in its entirety and replaced with the following: Sec. 11.201 Purpose The purpose of the water conservation and drought contingency plan is to encourage water conservation at all times and to establish a procedure for identifying, classifying and handling a water supply and/or a water demand emergency effectively and efficiently. Sec. 11.202 Water Conservation Measures The city will utilize the following strategies to encourage, promote and require citizens to conserve water at all times. (1) Conservation Plan. The “City of San Angelo Water Conservation Plan,” dated March 2, 2009, which is on file in the office of the city clerk, and available for public inspection, is adopted and incorporated herein. (A) Implementation. The director of water utilities will act as the administrator of the water conservation plan. The administrator will oversee the execution and implementation of all elements of the program and will be responsible for supervising the promulgation and retention of records for program verification. (2) Plumbing Code. The city plumbing code has provision for water conserving plumbing devices. The city will enforce the requirements of the code to ensure the use of water saving devices. (3) Universal Metering. All users of municipal treated water, except for fire sprinkler lines, will be metered.
  • 316.
    (4) Water SupplyMeters. The city metering devices will record water use with an accuracy of plus or minus 5.0% in order to measure and account for the amount of raw water diverted from the source of supply. (5) Restaurants. Restaurants shall not serve water to their customers except when specifically requested by the customer. (6) Waste of Water. As defined below shall be prohibited. (A) Allowing treated or raw city water, greywater, reclaimed water or well water to run off property to a gutter, street, alley, ditch or drainage facility and drain for more than 150 feet downgrade of the point of entry into such gutter, street, alley, ditch or drainage facility. (B) Failure to repair a controllable leak. (7) Prohibited Watering Hours. The use of treated or raw city water, greywater or reclaimed water for watering lawns, gardens, landscape areas, trees, golf courses, shrubs or other plants being grown outdoors (not in a nursery) shall be prohibited between the hours of 12:00 noon and 6:00 p.m. daily from April 1 through October 31. (8) Watering Frequency. The use of treated or raw city water, greywater or reclaimed water for watering lawns, landscape areas, trees, gardens, golf courses (except greens), shrubs or other plants being grown outdoors (not in a nursery) shall be allowed at a frequency of twice every seven days during the period of April 1 through October 31 and once every seven days during the period of November 1 through March 31. Golf course greens may be watered once per day year round. (9) New Landscape. Watering of newly seeded or sodded lawns or newly planted trees, shrubs or landscape plants will be allowed at the following frequency provided written notification is given to the city code compliance division or water conservation division of the watering schedule: (A) Days 1-14 from planting; three times per day every day of such period at any time of day. (B) Days 15-28 from planting; twice per day every day of such period at any time of day. (10) Allowable Application Rates. The maximum amount of treated or raw city water, greywater or reclaimed water applied to established
  • 317.
    lawns, landscape plants,golf courses (except greens) or shrubs shall not exceed 1 inch per week. (11) Drip Irrigation. Landscape watering with a drip irrigation system shall be permitted on any day and at any time of day provided that the total amount of water applied shall not exceed 1 inch per week. For the purpose of this article, drip irrigation shall mean a water saving irrigation system that uses buried drip pipe or tape. (12) Excessive Usage of Water. Excessive usage of water as defined below shall be prohibited and shall be a violation of the water conservation and drought contingency plan: (A) Any use of water by a customer in excess of the maximum allowable application rates under Section 11.202(10). (B) Usage of water in amounts such that an “Excessive Usage Fee” as set out in this article is assessed. (13) Excessive Usage Fee: A fee shall be charged for excessive water usage in the amounts set forth below. This fee shall be in addition to the standard fee charged for water usage. (A) For single-family residential accounts, an additional fee of $1.50 per 1,000 gallons shall be charged for all usage from 40,000 thru 49,000 gallons during a billing period, an additional fee of $2.50 per 1,000 gallons shall be charged for all usage from 50,000 thru 59,000 gallons during a billing period, and an additional fee of $5.00 per 1,000 gallons shall be charged for all usage over 59,000 gallons during a billing period. Usage on a single-family residential account shall be the total usage at the address which is determined by adding together the usage on the meter supplying the residence and the usage on the meter(s) supplying water to the landscape watering system. (B) For all landscape meters, except those at single family residences, schools, colleges, parks, cemeteries, golf courses or athletic facilities, an additional fee of $1.50 per 1,000 gallons shall be charged for all usage from 90,000 thru 109,000 gallons during a billing period, an additional fee of $2.50 per 1,000 gallons shall be charged for all usage from 110,000 thru 129,000 gallons during a billing period, and an additional fee of $5.00 per 1,000 gallons shall be charged for all usage over 129,000 gallons during a billing period. (14) Contracts with Other Political Subdivisions, Water Supply Corporations or Water Suppliers. Any political subdivision, water
  • 318.
    supply corporation, orwater supplier that contracts with the city for the purchase of water shall adopt applicable provisions of the city’s water conservation and drought contingency plan. Contracts for the sale of water that are already in effect will be revised to reflect the applicable provisions of the city’s most current water conservation and drought contingency plan when the contracts are renewed or extended. To the extent of the city’s legal authority, the city shall require the city’s wholesale customers to issue a public notice advising their water customers of required drought management measures declared in the city as follows in Section 11.203. (A) In the event that the triggering criteria specified in Section 11.203(f) of the Plan for Water Supply Stage – Drought Level III – have been met, the city manager is hereby authorized to initiate allocation of water supplies on a pro rata basis in accordance with Texas Water Code Section 11.039 and according to the following water allocation policies and procedures. (B) A wholesale customer’s monthly allocation shall be a percentage of the customer’s water usage baseline. The percentage will be set by resolution of the San Angelo City Council based on the administrator’s assessment of the severity of the water shortage condition and the need to curtail water diversions and/or deliveries and may be adjusted periodically by resolution of the city council as conditions warrant. Once pro rata allocation is in effect, water diversions by or deliveries to each wholesale customer shall be limited to the allocation established for each month. (C) Upon initiation of pro rata water allocation, water utility director shall provide notice, by certified mail, to each wholesale customer informing them of their monthly water usage allocations and shall notify the news media and the executive director of the Texas Commission on Environmental Quality. (15) Water Demand Emergency. In the event the quantity of water usage from the city’s water distribution system reaches a level that exceeds the amount which may be treated or safely delivered through the system, the water utilities director shall notify the city manager and the city council of such an occurrence. The city council shall be authorized to limit the use of water by passage of a resolution outlining such limitations which shall remain in effect until the water demand emergency can be met. Upon initiation of a water demand emergency, the water utility director shall provide notice, by certified mail, to the executive director of the Texas Commission on Environmental Quality and shall notify the news media.
  • 319.
    (16) Water SupplyEmergency. In the event of a water system failure or emergency (i.e. pressure zone deficiencies, chemical spills, broken water mains, power outages, failures of storage tanks or other equipment, treatment plant breakdown and/or water contamination) which limits the amount of water which may be treated or safely delivered through the system, the water utilities director shall notify the city manager and city council of such occurrence. The city council shall be authorized to limit the use of water by passage of a resolution outlining such limitations which shall remain in effect until the water supply emergency can be met. Upon initiation of a water supply emergency, the water utility director shall provide notice, by certified mail, to the executive director of the Texas Commission on Environmental Quality and shall notify the news media. (17) Public Information. The water utilities director will provide regular public education and information about the importance of year- round water efficiency as delineated in the plan, and will provide general information about water supply conditions and drought plan provisions on at least an annual basis. The purpose of this effort shall be to keep the citizenry informed about the drought and conservation plans and their importance to the city’s water supply. Sec. 11.203 Drought Stages and Water Management Measures (a) Water Supply Sources. The city has several water supply sources that it can draw upon to meet its needs. Local surface water sources include Lake Nasworthy, Twin Buttes Reservoir, O.C. Fisher Reservoir and the South Concho River. Nonlocal surface water supplies are available to the city from O.H. Ivie Reservoir and Spence Reservoir. The city has a groundwater source in the Hickory Aquifer. When local reservoirs are full, the city’s primary water supply will be from these reservoirs along with nonlocal or groundwater sources as needed. When local reservoirs are below full but above drought trigger points, the local sources may be utilized along with water brought in from nonlocal sources or groundwater sources. During drought conditions, the primary source of supply will be nonlocal sources, subject to the maximum amount available from each source, with the remaining amount of water coming from the local sources or groundwater sources that the city may develop. (b) Drought Trigger Point. Whenever the total amount of water available to the city falls below the minimum criteria established for each water supply stage level, the city shall be deemed to have entered a drought stage for management of its water supplies. The water utilities director shall notify the city manager and city council upon entering the threshold of a drought stage. The council shall implement each stage by resolution. A notice of such resolution shall be published one time in the local newspaper. The
  • 320.
    criteria for eachstage and the water management measures which shall be enforced are as follows in subsections (d) to (f). (c) Public Information. The water utilities director will provide reports to the news media with information regarding current water supply conditions, projected water supply and demand conditions if the current drought conditions continue, and consumer information on water conservation measures and practices. Information describing each water supply stage trigger point and drought level restrictions on water use shall be prepared and published on the city’s website. (d) Water Supply Stage – Drought Level I. (1) The minimum criteria for this drought stage shall be the following. The total amount of water available, as determined by the water utilities director, to the city from its developed water sources is less than a 24-month supply. (2) In addition to the conservation measures stated in Section 11.202 of this article, the following additional water conservation measures shall be in force during Water Supply Stage – Drought Level I. (A) The use of treated or raw city water for watering lawns, gardens, landscape areas, trees, shrubs, golf courses (except greens) or other plants being grown outdoors (not in a nursery) shall be prohibited at all times provided however a person may do such watering which shall be twice every seven days during the period of April 1 through October 31 and once every 14 days during the period of November 1 through March 31 except during the “prohibited watering hours” as stated in Section 11.202. (B) Golf courses greens may be watered daily except during the “prohibited watering hours” as stated in Section 11.202. (C) Watering of “new landscape” shall be allowed in accordance with the provisions as stated in Section 11.202 for “new landscape.” (3) A fee shall be charged for water usage in the amounts as set forth below. This fee shall be in addition to the standard fee charged for water usage and shall be in lieu of the “excessive usage fee” as defined in Section 11.202.
  • 321.
    (A) For single-familyresidential accounts, an additional fee of $2.00 per 1,000 gallons shall be charged for all usage from 25,000 thru 34,000 gallons during a billing period, an additional fee of $3.50 per 1,000 gallons shall be charged for all usage from 35,000 thru 44,000 gallons during a billing period, and an additional fee of $6.00 per 1,000 gallons shall be charged for all usage over 44,000 gallons during a billing period. Usage on a single-family residential account shall be the total usage at the address which is determined by adding together the usage on the meter supplying the residence and the usage on the meter(s) supplying water to the landscape watering system. (B) For all landscape meters, except those at single family residences, schools, colleges, parks, cemeteries, golf courses or athletic facilities; an additional fee of $2.00 per 1,000 gallons shall be charged for all usage from 75,000 thru 94,000 gallons during a billing period, an additional fee of $3.50 per 1,000 gallons shall be charged for all usage from 95,000 thru 114,000 gallons during a billing period, and an additional fee of $6.00 per 1,000 gallons shall be charged for all usage over 114,000 gallons during a billing period. (e) Water Supply Stage – Drought Level II. (1) The minimum criteria for this drought stage shall be the following. The total amount of water available, as determined by the water utilities director, to the city from its developed water sources is less than an 18-month supply. (2) In addition to the conservation measures stated in Section 11.202 of this article, the following additional water conservation measures shall be in force during Water Supply Stage – Drought Level II. (A) The use of treated or raw city water for watering lawns, gardens, landscape areas, trees, shrubs, golf courses (except greens) or other plants being grown outdoors (not in a nursery) shall be prohibited at all times provided however a person may do such watering which shall be once every seven days during the period of April 1 through October 31 and once every 14 days during the period of November 1 through March 31 except during the “prohibited watering hours” as stated in Section 11.202. (B) Golf courses greens may be watered daily except during the “prohibited watering hours” as stated in Section 11.202.
  • 322.
    (C) Watering of“new landscape” shall not be allowed as stated in Section 11.202 for “new landscape.” (3) A fee shall be charged for water usage in the amounts as set forth below. This fee shall be in addition to the standard fee charged for water usage and in lieu of the water usage fee set out in Section 11.203(d)(3) the “excessive usage fee” as defined in Section 11.202. (A) For single-family residential accounts, an additional fee of $3.50 per 1,000 gallons shall be charged for all usage from 10,000 thru 19,000 gallons during a billing period, an additional fee of $5.00 per 1,000 gallons shall be charged for all usage from 20,000 thru 29,000 gallons during a billing period, and an additional fee of $8.00 per 1,000 gallons shall be charged for all usage over 29,000 gallons during a billing period. Usage on a single-family residential account shall be the total usage at the address which is determined by adding together the usage on the meter supplying the residence and the usage on the meter(s) supplying water to the landscape watering system. (B) For all landscape meters except those at single family residences, an additional fee of $3.50 per 1,000 gallons shall be charged for all usage from 60,000 thru 79,000 gallons during a billing period, an additional fee of $5.00 per 1,000 gallons shall be charged for all usage from 80,000 thru 99,000 gallons during a billing period, and an additional fee of $8.00` per 1,000 gallons shall be charged for all usage over 99,000 gallons during a billing period. (f) Water Supply Stage – Drought Level III. (1) The minimum criteria for this drought stage shall be the following. The total amount of water available, as determined by the water utilities director, to the city from its developed water sources is less than a 12-month supply. (2) In addition to the water conservation measures stated in Section 11.202 of this article, the following water conservation measures shall be in force during Water Supply Stage - Drought Level III. (A) The use of treated or raw city water for watering of lawns, gardens, landscape areas, trees, golf courses (including greens), shrubs or other plants being grown outdoors is prohibited.
  • 323.
    (B) The useof treated or raw city water to fill, refill or maintain the level of any fountain or swimming pool is prohibited. (C) Washing of automobiles, trucks, trailers, boats, or other types of vehicles or mobile equipment is prohibited except if the health, safety and welfare of the public is contingent upon vehicle cleaning, as determined by the director of city health services; then the washing of such vehicles shall be allowed. (3) A fee shall be charged for water usage in the amounts as set forth below. This fee shall be in addition to the standard fee charged for water usage and shall be in lieu of the water usage fee set out in Sections 11.203(d)(3) and 11.203(e)(3) and the “excessive usage fee” as defined in Section 11.202. (A) For single-family residential accounts, an additional fee of $6.00 per 1,000 gallons shall be charged for all usage over 10,000 gallons during a billing period. (B) For apartment unit accounts, an additional fee of $5.00 per 1,000 gallons shall be charged for all usage over an amount equal to the number of units in the apartment times 3,000 gallons during a billing period. (C) For all other water users, an additional fee of $2.50 per 1,000 gallons shall be charged for all usage. Sec. 11.204 Exception and Variance (a) Exceptions. There shall be an exception to the prohibitions of this article regarding watering restrictions, as follows: (1) Use of water for installing, testing and repairing sprinkler systems. (2) Watering frequency and schedules for public parks, athletic facilities, schools, colleges and cemeteries shall be as approved by the City Council. (b) Variance. (1) A person desiring an exemption from any provision of this article shall file a petition for variance with the city manager. All petitions for variances shall be reviewed and acted upon by the city council. The petition shall include at a minimum the following information: (A) Name and address of the petitioner(s).
  • 324.
    (B) Purpose and estimated amount of water use. (C) Specific provision(s) of the article from which the petitioner is requesting an exemption. (D) Detailed statement as to how the specific provision of the article adversely affects the petitioner or what damage or harm will occur to the petitioner or others if petitioner complies with this article. (E) Description of the relief requested. (F) Period of time for which the variance is sought. (G) Alternative water use restrictions or other measures the petitioner is taking or proposes to take to meet the intent of this article and the effective date of such other measures. (H) Other pertinent information. (I) Statement that petitioner has not within the last six months intentionally violated the current ordinance for which a variance is sought or, if such violations have occurred, a statement setting out all reasons why such ordinance was violated. (2) The city council may grant a variance from the requirements of this article after determining that because of special circumstances applicable to the applicant, compliance with this article: (A) Cannot be technically accomplished during the expected duration of the water supply shortage or other condition for which the article is in effect; or (B) Will cause undue hardship on a program or service offered by a public entity; or (C) Substantially threatens the applicant’s primary source of income. (3) Additionally, the city council may grant a variance from the requirements of this article if it determines that the applicant can implement alternative water use restrictions which meet or exceed the intent of this article. The city council shall approve specific alternative water use restrictions. (4) Any variance granted by the city council may be revoked after a determination by the city council that revocation is necessary for the
  • 325.
    public health andsafety or upon a finding that the holder of a variance allowing alternative water use restrictions has not complied with such alternative restrictions. Sec. 11.205 Implementation and Service Restrictions (a) Implementation: (1) The water utilities director for the city will act as the administrator of the water conservation drought contingency plan. The administrator will oversee the execution and implementation of all elements of the program. The administrator will be responsible for supervising the promulgation and retention of adequate records for program verification. (2) The water conservation plan will be maintained for the duration of the city’s financial obligation to the state under the State Revolving Loan Fund program. (b) Contracts With Other Political Subdivisions, Water Supply Corporations or Water Suppliers: Any political subdivision, water supply corporation, or water supplier that contracts with the city for the purchase of water shall adopt applicable provisions of the city’s water conservation and drought contingency plan. Contracts for the sale of water that are already in effect will be revised to reflect the applicable provisions of the city’s most current water conservation and drought contingency plan when the contracts are renewed. (c) Service Restrictions: The water conservation and drought contingency plan shall be enforced by the following service restrictions: (1) Water service taps will not be provided to customers not meeting the plan requirements. (2) The inclining block water rate structure should encourage retrofitting of old plumbing fixtures which use large quantities of water. (3) Customers who do not pay their water bills shall be subject to discontinuance or disconnection of service. (4) The building inspection department will not certify new construction which fails to meet the plan requirements. Sec. 11.206 Enforcement (a) Violations of any provisions of the water conservation and drought contingency plan may be enforced as follows:
  • 326.
    (1) First violation. Any person or entity as defined under this Chapter may be given a verbal or written warning. (2) Second and subsequent violations. (i) Violation of any provision of the water conservation and drought contingency plan constitutes a Class C misdemeanor offense for which a citation may be issued. (ii) Second and subsequent violations shall be punishable by a maximum fine of up to two thousand dollars ($2,000.00) per day per violation as provided by Article 1.100, Section 1.106 of the Code of Ordinances of the City of San Angelo. (iii) Proof of a culpable mental state is not required for a conviction of an offense under this section. Each day any person or entity fails to comply with the water conservation and drought contingency plan is a separate violation. (3) Third and subsequent violations. For third and subsequent violations of the water conservation and drought contingency plan, the water utilities director shall, upon due notice to the customer, be authorized to discontinue water service to the premises where such violations occur. Services discontinued or disconnected under such circumstances shall be restored only upon payment of charges as provided for in Chapter 11, Article 11.300. (4) Compliance with any provision of the water conservation and drought contingency plan may be enforced by civil court action as provided by state and federal law. 2) THAT, the following severability clause is adopted with this amendment: SEVERABILITY: That the terms and provisions of this Ordinance shall be deemed to be severable in that if any portion of this Ordinance shall be declared to be invalid, the same shall not affect the validity of the other provisions of this Ordinance. 3) THAT, the following penalty clause is adopted with this amendment: PENALTY: Any person who violates any provisions of this Article shall be guilty of a Misdemeanor and upon conviction shall be subject to a fine as provided for in
  • 327.
    Section 1.106 ofthis Code. Each day of such violation shall constitute a separate offense. 4) THAT, this Ordinance shall be effective on, from and after the 1st day of March 2012. INTRODUCED on the day of , 2012, and finally PASSED, APPROVED and ADOPTED on this the day of , 2012. CITY OF SAN ANGELO, TEXAS ATTEST: Alvin New, Mayor Alicia Ramirez, City Clerk Approved as to Content: Approved as to Form: Will Wilde Lysia H. Bowling Water Utilities Director City Attorney
  • 328.
    AN ORDINANCE AMENDINGAPPENDIX A, ARTICLE 8.000 OF THE CODE OF ORDINANCES, CITY OF SAN ANGELO TEXAS, BY AMENDING SECTION 8.200 ENTITLED “MONTHLY WATER RATES” BY REPEALING SUBSECTION 8.200(a)(1) IN ITS ENTIRETY; AND ADOPTING A NEW SUBSECTION 8.200(a)(1) ESTABLISHING NEW USAGE RATES FOR RESIDENTIAL BUILDING AND LANDSCAPE METERS AND FIRE HYDRANT METERS, PROVIDING FOR SEVERABILITY, PROVIDING FOR A PENALTY AND PROVIDING FOR AN EFFECTIVE DATE BE IT ORDAINED BY THE CITY OF SAN ANGELO: 1) THAT, Appendix A, Article 8.000 of the Code of Ordinances, City of San Angelo, Texas, Section 8.200, Monthly Water Rates, is hereby amended by repealing Subsection 8.200(a)(1) in its entirety and adopting a new Subsection 8.200(a)(1) to read as follows: Sec. 8.200 Monthly Water Rates (a) All persons supplied with water by the city shall be billed for water at the following monthly rates for water supplied on or after March 1, 2012. (1) Meter Size Base Rate 5/8 $19.12 1 $23.14 1-1/2 $27.19 2 $35.86 3 $104.71 4 $130.73 6 $190.31 8 $257.97 Residential Untreated Water $23.14 Classifications Rate per 1,000 Gallons RESIDENTIAL (single-family residence, duplex, or other individually metered residential unit). Residential usage shall be the combined usage of the building meter and any landscape meter(s) serving the tract. 0-2,000 gallons $2.32
  • 329.
    Next 3,000 gallons $3.46 Next 10,000 gallons $4.07 Next 50,000 gallons $4.37 Next 35,000 gallons $4.52 Over 100,000 gallons $4.82 COMMERCIAL, APARTMENT AND MOBILE HOME PARK Building Meter 1,000 gallons and up $3.83 Landscape Meter 1,000 gallons and up Winter* $3.87 Summer** $4.12 INDUSTRIAL, HOTEL, MOTEL, HOSPITAL, SCHOOL AND GOVERNMENT Building Meter 1,000 gallons and up $3.95 Landscape Meter 1,000 gallons and up Winter* $3.92 Summer** $4.17 Millersview-Doole 1,000 gallons and up Winter* $5.62 Summer** $6.32 Producers Lamb and Goat
  • 330.
    1,000 gallons andup $3.95 Fire Hydrants 1,000 gallons and up $3.95 UNTREATED WATER Residential 0-5,000 gallons $1.81 Next 5,000 gallons $2.31 Over 10,000 gallons $3.02 Commercial, Apartment and Mobile Home Parks, Industrial, Hotel, Motel, Hospital, School and Government 1,000 gallons and up $3.02 *Winter is the billing period of October through April. **Summer is the billing period of May through September. 2) THAT all remaining subsections of Section 8.200 not amended by this ordinance remain in full force and effect. 3) THAT, the following severability clause is hereby adopted with this amendment: SEVERABILITY: That the terms and provisions of this Ordinance shall be deemed to be severable in that if any portion of this Ordinance shall be declared to be invalid, the same shall not affect the validity of the other provisions of this Ordinance. 4) THAT, the following penalty clause is adopted with this amendment: PENALTY: Any person who violates any provisions of this article shall be guilty of a misdemeanor and upon conviction shall be subject to a fine as provided for in Section 1.106 of this Code. Each day of such violation shall constitute a separate offense. 5) THAT, this Ordinance shall be effective on, from and after the 1st day of March 2012.
  • 331.
    INTRODUCED on the 17th day of January , 2012, and finally PASSED, APPROVED and ADOPTED on this the 7th day of February , 2012.
  • 332.
    AN ORDINANCE AMENDINGCHAPTER 11, ARTICLE 11.200, SECTIONS 11.202 AND 11.203 OF THE CODE OF ORDINANCES, CITY OF SAN ANGELO, TEXAS, ENTITLED “WATER CONSERVATION AND DROUGHT CONTINGENCY PLAN”, BY REVISING SUBSECTION 11.202 (11) “DRIP IRRIGATION”; ADDING A NEW SUBSECTION 11.202 (12) ENTITLED “HAND WATERING” AND RENUMBERING THE CURRENT SUBSECTIONS 11.202 (12) THROUGH (17) TO SUBSECTIONS 11.202 (13) THROUGH (18); BY REVISING SUBSECTION 11.203 (f) WATER SUPPLY STAGE – DROUGHT LEVEL III, (2)(A) PROVIDING FOR SEVERABILITY, PROVIDING FOR A PENALTY AND PROVIDING FOR AN EFFECTIVE DATE. BE IT ORDAINED BY THE CITY OF SAN ANGELO: 1) THAT, Chapter 11, Article 11.200, Section 11.202 of the Code of Ordinances of the City of San Angelo, Texas is hereby amended by revising subsection (11); adding a new subsection (12) and renumbering the current subsections (12) through (17) to subsections (13) through (18) to read as follows: Sec. 11.202 Water Conservation Measures (11) Drip Irrigation. Landscape or foundation watering with a drip irrigation system such as a soaker hose, deep root watering system, drip pipe or tape, or bubbler shall be permitted on any day and at any time of day provided that the total amount of water applied shall not exceed 1 inch per week. For the purpose of this article, drip irrigation shall mean a water saving irrigation system designed to emit water at low volumes and low pressures directly onto or below the soil surface without airborne streams or droplets. (12) Hand Watering. Hand watering of lawns, gardens, landscape areas, trees, shrubs or other plants being grown outdoors or foundations may be done on any day, except during the prohibited watering hours, provided the allowable application rate is not exceeded. Hand watering shall be watering with a hose that is hand held for the duration of the irrigation event, or watering with a container of five gallons or less. 2) THAT, Chapter 11, Article 11.200, Section 11.203 (f) of the Code of Ordinances of the City of San Angelo, Texas is hereby amended by revising subsection (2)(A) to read as follows: Sec. 11.203 Drought Stages and Water Management Measures (f) Water Supply Stage – Drought Level III (2)(A) The use of treated or raw city water for watering of lawns, gardens, landscape areas, golf courses (including greens), shrubs or other plants being
  • 333.
    grown outdoors isprohibited. Hand Watering or Drip Irrigation of trees and foundations may be done on days and at times as established by the City Council. 3) THAT, the following severability clause is adopted with this amendment: SEVERABILITY: That the terms and provisions of this Ordinance shall be deemed to be severable in that if any portion of this Ordinance shall be declared to be invalid, the same shall not affect the validity of the other provisions of this Ordinance. 4) THAT, the following penalty clause is adopted with this amendment: PENALTY: Any person who violates any provisions of this Article shall be guilty of a Misdemeanor and upon conviction shall be subject to a fine as provided for in Section 1.106 of this Code. Each day of such violation shall constitute a separate offense. 5) THAT, this Ordinance shall be effective on, from and after the 1st day of March 2012. INTRODUCED on the 7th day of February , 2012, and finally PASSED, APPROVED and ADOPTED on this the 21st day of February , 2012.
  • 334.
    A RESOLUTION OFTHE CITY OF SAN ANGELO IMPLEMENTING DROUGHT LEVEL II OF THE CITY’S WATER CONSERVATION AND DROUGHT CONTINGENCY PLAN WHEREAS, the City Council of the City of San Angelo has passed an ordinance entitled “Water Conservation and Drought Contingency Plan”; and WHEREAS, said ordinance defines drought stages and water management measures that will be followed for each stage; and WHEREAS, under said ordinance the City Council shall determine the drought stage; and WHEREAS, on August 14, 2012, the water supply available to the City of San Angelo was less than that needed to meet City demands for the next twelve months; and, WHEREAS, the minimum criteria for Drought Level III is that the total amount of water available to the City from its developed water sources is less than an 12-month supply (the “trigger point”): NOW, THEREFORE, BE IT RESOLVED BY THE CITY COUNCIL OF THE CITY OF SAN ANGELO, TEXAS THAT: 1) The amount of water available to the City from its developed water sources being less than an 12-month supply, the criteria for entering “Drought Level III” stage is met and the City Council hereby declares that the City is in such Drought Level III stage; and 2) All water conservation measures as detailed under the Drought Level III stage of the City’s Water Conservation and Drought Contingency Plan shall be applicable and enforced; effective September 1, 2012; and 3) All water rate adjustments enacted with the implementation of the Drought Level III stage shall become effective with the beginning of the regular water billing cycle in October 2012; and 4) When the available water supply rises above the trigger point for Drought Level III stage, the Director of Water Utilities may recommend to the City Council termination of Drought Level III stage status and a return to Drought Level II stage status or other recommendation. PASSED and APPROVED THIS 21st DAY OF AUGUST, 2012. CITY OF SAN ANGELO, TEXAS ATTEST: _____________________________ Alvin New, Mayor ___________________________ Alicia Ramirez, City Clerk APPROVED AS TO CONTENT APPROVED AS TO FORM
  • 335.
    __________________________ ______________________________ Will Wilde, Water Utilities Director Lysia H. Bowling, City Attorney
  • 336.
    City of SanAngelo Memo Date: July 20, 2012 To: Mayor and Councilmembers From: Alicia Ramirez Subject: Agenda Item for August 21, 2012 Council Meeting Contact: Alicia Ramirez Caption: Regular Item Discussion and possible action to adopt a Resolution establishing a uniform policy for the City of San Angelo’s Boards and Commissions Summary: The City of San Angelo offers a number of ways for its citizens to become actively involved in government business. In addition to the opportunity citizens have to express their thoughts at City Council meetings and public hearings, San Angelo citizens also may apply to serve on one or many boards and commissions (some restriction apply). Unless otherwise stated, all vacancies are by appointment and approved by the City Council. Since 2008, several discussions have been held on number of City boards Commissions (BC), the overlapping interests and approval authority of the boards, and establishing ways to reformulate the appointment structure, including the vetting process, appointments as an individual elected official or as a governmental body, board member terms and whether to coincide the board terms with an elected official’s term, and conducting a formal orientation procedure for existing and new board members. To date, several boards have been consolidated and are outlined in the Executive Summary. The Board Misc. Info. report provides the individual term limit and the month in which a board member’s term expires. Term limits vary from 2 to 4 years and are outlined in the respective board’s ordinance. The intent of this uniform policy is to establish a process for newly elected City Council members to review and declare the various BC seats as vacated since the members of the advisory BC serve at the pleasure of the Council under each of the ordinances establishing the respective board. The effect would be to link the BC member terms to the City Council member’s term. History: See Executive Summary Financial Impact: Reduction in liaison and related staff time in coordinating and conducting meetings as well as the customer’
  • 337.
    s time inpresenting their issues and concerns to more than one board with overlapping functions. Related Vision Item N/A (if applicable): Other Information/ Staff seeks direction from Council. Recommendation: Attachments: Report, Executive Summary, and Resolution Presentation: Interim City Manager Michael Dane and City Clerk Alicia Ramirez Publication: N/A Reviewed by Director: Approved by Legal: City Attorney Lysia H. Bowling
  • 338.
    Executive Summary: Staff continuesto work on the changes as directed by Council on 3/22/11 (see section below). Since that discussion, no interest has been expressed by the CVB or Civic Event board to consolidate. To date, joint meetings have not been held based on the pending consolidations of the various proposed boards. LAST DIRECTION GIVEN TO STAFF: 3/22/11; see further highlighted updates • Parks and Recreation Commission will include the Parks Commission and Recreation Advisory Board. Senior Advisory will remain a separate board. o Staff has presented another recommendation to include Senior Advisory due to the pending vacancies and direction of the department. Council in agreement. o Staff researched the Park Commission matter in relation to the deed restrictions. The consolidation included retaining oversight of the Santa Fe Parks. PENDING ACTION TO DATE: City Council adopted the Ordinance on 8/7/12 repealing the Recreation and Senior Boards and authorizing the newly created Park and Recreation Advisory Board. • Planning and Design Commission will include the Planning Commission, River Corridor, Historic Preservation, and Public Art Commission. PENDING ACTION TO DATE: Staff submitted the introduction of an Ordinance for consideration on 8/21/12. • Civic Events and Visitors Commission. Council approved the concept; however, the consolidation will require further discussion and coordination between the Chamber of Commerce, Convention and Visitors Bureau Board, and the Civic Events Board. PENDING ACTION TO DATE: No action. • Keep San Angelo Beautiful. Council approved the concept to model the Keep America Beautiful organization and formulate the board as a non-profit organization. PENDING ACTION TO DATE: Board has not authorized 501(c) status due to lack of quorum. Goal is to establish by September 2012 (June July meetings canceled due to lack of quorum) • Hotel Occupancy Tax Oversight Board: Council suggested coinciding or partnering this function with an existing board, possibly the Audit and/or Investment Oversight Committee with the City Council as the final authority. PENDING ACTION TO DATE: No action.
  • 339.
    1/8/08 Initial discussion: BC member composition, appointment, and selection process Action: Member composition changed for: • Civic Events Board (Ord 11/3/09) • Historic Preservation • Planning Commission (Ord 9/21/10) • River Corridor Commission (Ord 11/9/09) PENDING ACTION TO DATE: Since this action, HPC and RC will be combined and renamed as Planning Design Commission. Staff working with Legal and will soon be submitted for approval. 2/5/08 Action: Member composition changed for: • Zoning Board of Adjustment PENDING ACTION TO DATE: Ordinance revision 8/19/08 Board composition reduced from 9 to 7 members for: • Recreation (Ord 11/3/09) • Senior (Ord 11/3/09) PENDING ACTION TO DATE: None. 3/8/10 Established and adopted the work session criteria related to joint meetings between the City Council and boards and commissions PENDING ACTION TO DATE: Joint meetings have not occurred. 10/19/10 Direction to reformulate an appointment structure, including: • Vetting process • Appointment as an individual or as a governmental body • Board member terms • Orientation PENDING ACTION TO DATE: See below. 3/1/11 Direction to staff: • Coincide Board member terms with City Council terms • Formal New board member orientation procedure • Recruitment Advisory Committee • Board Consolidation (see 3/22/11) PENDING ACTION TO DATE: City Attorney currently formulating a Good Government Handbook. No action on terms or recruitment committee.