Embed presentation
Download as PDF, PPTX







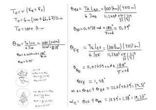
Three identical circular disks are welded to the ends of three identical circular bars arranged in a common plane with the disks perpendicular to the bars. The bars are welded together at their intersection to form a rigid connection. Forces acting on each disk subject the bars to torsion. If one force is 28 lbs, the maximum shear stress in any bar is 4840 psi.






