Conformational Analysis
Carey & Sundberg: Part A; Chapter 3
• The different arrangements of the atoms in space that result from rotations of
groups about single bonds are called conformations of the molecule.
CO2H
Me
H
CO2H
Me
H
CO2H
Me
H
Me
H
HO2C
HO
Et
Me
OH
Me
Et
Conformational analysis
CO2H
Me
H
CO2H
Me
H
CO2H
Me
H
Me
CO2H
H
HO
Et
Me
OH Et
Me
Different conformations Different configurations
•An analysis of the energy changes that a molecule undergoes as groups rotate
about single bonds is called conformational analysis.
Conformations of ethane
C C
H
H
H
H
H
600
C C
H
H
H
H
H
H
600
600
Staggered conformation Eclipsed conformation
Wedge-and-dash
structures
Sawhorse
projections
Newman
projections H
H
H
H
H
H
H
H H
H
H
H
H
H H
H
H H
H
H H
H
H
H
H
The single parameter differentiating such conformers is an angle between two
planes that contain atoms ABC and BCD in themselves. This dihedral angle is
called a "torsion" angle and is most frequently used for specification of the type
of conformations.
Torsion or Dihedral angle
Potential energy of ethane as function of torsion angles
•staggered conformation has potential energy minimum
•eclipsed conformation has potential energy maximum
• staggered conformation is lower in energy than the eclipsed by
2.9 kcal/mole (12 kJ/mole)
Torsional strain
Caused by repulsion of the bonding electrons of one substituent with the bonding
electrons of a nearby substituent
filled orbitals repel
 Stabilizing interaction between filled
C-H  bond and empty C-H  *
antibonding bonding orbital
• The rotational barrier is (12 kJ/mol) small enough to allow the conformational isomers
to interconvert million of times per second
Conformations of butane
Potential energy of butane as a function of torsion angle
C
D
B
A
A  “synclinal” or “gauche”
B  “anticlinal”
C  “anti-periplanar” or “anti”
D  “syn-periplanar” or “fully eclipsed
No torsional strain as the groups are staggered and CH3 groups
are par apart
van der Waals forces between two CH3 groups are repulsive: the
electron clouds repel each other which accounts for 0.9
Kcal/mole more energy compared to anti conformer
Highest energy due to torsional strain and large van der
waals repulsive force between the CH3 groups
D  “syn-periplanar” or “fully eclipsed
C  “anti-periplanar” or “anti”
A  “synclinal” or “gauche”
B  “anticlinal”
torsional strain and large van der waals repulsive forces
between the H and CH3 groups
• Calculations reveal that at room temperature ~72% of the molecules of
butane are in the “anti” conformation, 28% are in “gauche”
conformation
n-Butane Torsional Energy Profile
+3.6
+5.1
+0.88
Ref = 0
G
E1
E2
H
C
Me
H
H
H
Me
C
Me
H H
H
Me
H
Me
C
Me
H
C
H
H
H
H
H
H
H
Me
Me
e
n
e
r
g
y
A
gauche
conformation
staggered
conformation
 E = +0.88 kcal/mol
C
H
H Me
Me
H
H
C
H
Me H
Me
H
H
H
H
H
H
CH3
H
H
H
H
H
H
H
H
CH3
H
H
staggered
conformation
gauche
conformation
Butane in “Chair” Form
H
H
H
H
CH3
H
H
H
H
H
H
H
H
CH3
H
H
staggered
conformation
gauche
conformation
H
H
H
H
CH3
H
H
H
gauche
conformation
CH3
H
H
H
H
H
CH3
H
H
H
H
H
H
H
H
H
H
CH3
H
H
staggered
conformation
H
H
H
H
H
CH3
H
H
H
H
H
CH3
CH3
H
1,3-diaxial
A 1,3-diaxial interaction is the same as a gauche
conformation!!
CH3
An equatorial substituent is more stable because it is in the staggered conformation.
The Syn-Pentane Conformation
 G = –5.5 kcal/mol
syn-pentane = G– 2 gauche = 5.5 –2(0.88) = + 3.7 kca/ mol
CH3
CH3 H
CH3
CH3 H
CH3
CH3 H
CH3
CH3
CH3
CH3
CH3
CH3
H3C
H3C
fully staggered
2 gauche and 1 syn-pentane
gauche gauche syn-pentane
Conformations and Conformers
Butane can exit in an infinite number of conformations (6 most important have
been considered), but has only 3 conformers (potential energy minima)-the two
“gauche”conformations and the “anti” conformations
• The preference for a staggered conformation causes carbon chains to
orient themselves in a zig zag fashion, see structure of decane
Conformation and hydrogen bonding
Conformation of butane-2,3-diols
Intramolecular H-bond is always stronger in the active forms,
they are more stable than the meso isomers
Conformation of 2,3 dibromobutane
Meso is more stable than active form
Saturated Cyclic Compounds
Cyclohexane
Cyclopropane
Angle and Torsional Strain
Cyclic compounds twist and bend to minimize the 3 different kinds of strain
1. Angle strain 2. Torsional strain 3. Steric strain
• banana bonds
poor orbital overlap
•Torsional strain
Good overlap
Strong bond
Poor overlap
Weak bond
Cyclopropane
External orbitals: 33% S & 67% p  sp2
Internal orbitals: 17% S & 83% p  sp5
For sp3: 25% s & 75% p charector
Here the four hybrid orbitals of C are far from
equivalent
HCH 115°
Angle strain = Normal valency angle as
required by hybridization
- actual angle
= (109.5-60)/2 = 49.5/2 = 24.75
2
As per Bayer’s strain theory
Cyclobutane
eq
ax ax
eq
ax
eq
eq
ax

Eclipsing torsional strain overrides
increased bond angle strain by puckering.

Ring barrier to inversion is 1.45 kcal/mol.
n G = 1 kcal/mol favoring R = Me equatorial
n 1,3 Disubstitution prefers cis diequatorial to trans
by only 0.58 kcal/mol for di-bromo compound.
n 1,2 Disubstitution prefers trans diequatorial to cis
by 1.3 kcal/mol for diacid (roughly equivalent to the
cyclohexyl analogue.)
•one carbon atom is bent upwards
•The molecule is flexible and shifts conformation constantly
•Hence each of the carbons assume the pivotal position in rapid
succession .
•The additional bond angle strain in this structure is more than
compensated by the reduction in eclipsed hydrogens.
•With little torsional strain and angle strain, cyclopentane is as stable
as cyclohexane.
H H
H
H
H
H
H
H
H
H
H
H
H
H
H
H H
H
H H
Envelope Half chair
Cyclopentane
The energy difference is little
Cyclopentane
 Two lowest energy conformations of cyclopentane (10 envelope and 10 half chair conformations)
differ by only 0.5 kcal/mol. They are in rapid conformational flux (pseudorotation) which causes the
molecule to appear to have a single out-of-plane atom "bulge" which rotates about the ring.
Since there is no "natural" conformation of cyclopentane, the ring conforms to minimize
interactions of any substituents present.
H
A single substituent strongly prefers the
equatorial position of the flap of the envelope
(barrier ca. 3.4 kcal/mol, R = CH3).
H
H H
H
H
H
H
H
H
H H
H
H
H
H
H
H
H
H
H
H
H H
H
H
H
H
H
H
Half-Chair
Envelope
1,2 Disubstitution prefers
trans for steric/torsional
reasons (alkyl groups) and
dipole reasons (polar groups).
Me
Me
1,3 Disubstitution: Cis-1,3-dimethyl cyclopentane
only 0.5 kcal/mol more stable than trans.
H
A carbonyl or methylene prefers the planar
position of the half-chair (barrier 1.15
kcal/mol for cyclopentanone).
H H
H
H
H
H
H
H
O
Chair conformation
Sum of the van der Waals radii = 2.4 A0
Boat conformation
H
H
H
H
H
H
H
H
Newman projection of the
boat conformation
HA
HB
HB
HA
ring-flip
1.8 A0
H H
flagpole hydrogens
Cyclohexane
How to Draw a
Chair Conformation
all opposite bonds
are parallel
Ha
Ha
Ha
Ha
Ha
Ha
He He
He
He
He
He
He
He He
He
He He
Ha Ha
Ha
Ha Ha
Ha
Ring flipping or
inversion
Chair Half boat Twist boat boat
Half boat Opposite sense Chair
Twist boat
Opposite sense
Erel=10
Erel=0.0 kcal/mol Erel=5.5 Erel=6.5
Planar Erel= very large >20 kcal/mol
Interconversions of Cyclohexane
axial up
eq. up
Axial-up becomes Equatorial-up
X
X
Monosubstituted cyclohexane
This conformation is lower in energy
Why?
X
H
H When X=CH3, conformer with Me in axial is higher in
energy by 7.3 kJ/mol than the corresponding equatorial
conformer.
Result: 20:1 ratio of equatorial:axial conformer at 200 C
1,3-diaxial interaction
The black bonds are anti-
periplanar
(only one pair shown)
The black bonds are synclinal
(gauche)
(only one pair shown)
X
H
H
H
H
X
H
H
H
X
H
H
H
H
H
H
H
X
X
X
K=
Conc. of equatorial conformer
Conc. of axial conformer
X Equilibrium
constant
Energy diff. between
axial and equatorial
conformers
kJ/mol
% with
substitutent
equatorial
H 1 0 50
Me 19 7.3 95
Et 20 7.5 95
i-Pr 42 9.3 98
tBu >3000 >20 >99
OMe 2.7 2.5 73
Ph 110 11.7 99
1,1
Conformational equilibrium in 1-phenyl-1-methyl cyclohaxane
It exists as a dl-pair, but since barrier to rotation is low to allow separation.
Therefore the ()- pair is inseparable and hence the compound is optically inactive.
CH3
CH3
CH3
CH3
CH3
CH3
1 gauche-butane interaction
0.9 kcal/mol
4 gauche-butane interaction
4 x 0.9 kcal/mol = 3.6 kcal/mol
Difference in stability between
the conformational isomers
3.6 - 0.9 = 2.7 kcal/mol
Diastereomeric, chiral and therefore resolvable
Enantiomeric, chiral and not resolvable
1,2
cis-isomer is more stable than trans isomer
Diastereomers, achiral
Identical, chiral
1,3
2-gauche-butane interaction, 2 x 0.9 = 1.8 kcal/mol
CH3
CH3
CH3
CH3
H3C
CH3
Both have plane of symmetry, achiral
Trans is stable than cis
Identical, achiral
Diastereomers, achiral
1-tert-Butyl-3-Methylcyclohexane
OH
OH
OH
OH
H H
Disfavoured
Twist boat
t-butyl group
a locking group
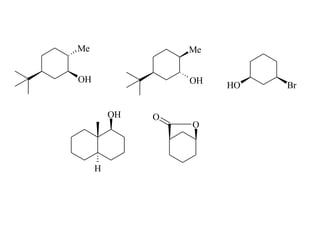
Preferred Conformations
Most Stable Conformations?
Me
i-Pr
OH
OH
Me
Me
OH
favoured
Write preferred conformation for
Rigid molecules from cyclohexane conformers
Me
OH
Me
OH
OH
H
O
O
O
H Br
OH
But But
OH
H
OH O
O
O
H
Br
O
H
CO2H
OH CO2H O
O
CO2H
HO2C
CO2H
CO2H O
O
O
OH
O
H
OH
OH
O
O
H H
Cyclic anhydride formation from 1,3-cyclohexanedicarboxylic acid
Intramolecular H-bonding in 1,3cyclohexanediol
Lactonization of 3-hydroxy cyclohexane carboxylic acid
Bicyclic Systems
H
H
H
H
1
2
3
4
Gauche-butane interactions
C1 C2
C1 C3
C4 C3
G°(est) = 3(0.88) = 2.64 kcal/mol
Can you estimate the energy difference between the two methyl-decalins shown below?
Me
H
Me
H
Rigid structure and no ring inversion
due to formation of highly strained
a,a ring fusion
Me
Me
Me
Me
How many GB interactions are there in the following molecules?
END

RS_conformational_analysisL4-L5lllll.pdf

  • 1.
    Conformational Analysis Carey &Sundberg: Part A; Chapter 3
  • 2.
    • The differentarrangements of the atoms in space that result from rotations of groups about single bonds are called conformations of the molecule. CO2H Me H CO2H Me H CO2H Me H Me H HO2C HO Et Me OH Me Et Conformational analysis CO2H Me H CO2H Me H CO2H Me H Me CO2H H HO Et Me OH Et Me Different conformations Different configurations •An analysis of the energy changes that a molecule undergoes as groups rotate about single bonds is called conformational analysis.
  • 3.
    Conformations of ethane CC H H H H H 600 C C H H H H H H 600 600 Staggered conformation Eclipsed conformation Wedge-and-dash structures Sawhorse projections Newman projections H H H H H H H H H H H H H H H H H H H H H H H H H
  • 4.
    The single parameterdifferentiating such conformers is an angle between two planes that contain atoms ABC and BCD in themselves. This dihedral angle is called a "torsion" angle and is most frequently used for specification of the type of conformations. Torsion or Dihedral angle
  • 5.
    Potential energy ofethane as function of torsion angles •staggered conformation has potential energy minimum •eclipsed conformation has potential energy maximum • staggered conformation is lower in energy than the eclipsed by 2.9 kcal/mole (12 kJ/mole)
  • 6.
    Torsional strain Caused byrepulsion of the bonding electrons of one substituent with the bonding electrons of a nearby substituent filled orbitals repel  Stabilizing interaction between filled C-H  bond and empty C-H  * antibonding bonding orbital • The rotational barrier is (12 kJ/mol) small enough to allow the conformational isomers to interconvert million of times per second
  • 7.
    Conformations of butane Potentialenergy of butane as a function of torsion angle C D B A A  “synclinal” or “gauche” B  “anticlinal” C  “anti-periplanar” or “anti” D  “syn-periplanar” or “fully eclipsed
  • 8.
    No torsional strainas the groups are staggered and CH3 groups are par apart van der Waals forces between two CH3 groups are repulsive: the electron clouds repel each other which accounts for 0.9 Kcal/mole more energy compared to anti conformer Highest energy due to torsional strain and large van der waals repulsive force between the CH3 groups D  “syn-periplanar” or “fully eclipsed C  “anti-periplanar” or “anti” A  “synclinal” or “gauche” B  “anticlinal” torsional strain and large van der waals repulsive forces between the H and CH3 groups • Calculations reveal that at room temperature ~72% of the molecules of butane are in the “anti” conformation, 28% are in “gauche” conformation
  • 9.
    n-Butane Torsional EnergyProfile +3.6 +5.1 +0.88 Ref = 0 G E1 E2 H C Me H H H Me C Me H H H Me H Me C Me H C H H H H H H H Me Me e n e r g y A gauche conformation staggered conformation  E = +0.88 kcal/mol C H H Me Me H H C H Me H Me H H H H H H CH3 H H H H H H H H CH3 H H staggered conformation gauche conformation
  • 10.
    Butane in “Chair”Form H H H H CH3 H H H H H H H H CH3 H H staggered conformation gauche conformation H H H H CH3 H H H gauche conformation CH3 H H H H H CH3 H H H H H H H H H H CH3 H H staggered conformation H H H H H CH3 H H H H H CH3 CH3 H 1,3-diaxial A 1,3-diaxial interaction is the same as a gauche conformation!! CH3 An equatorial substituent is more stable because it is in the staggered conformation.
  • 11.
    The Syn-Pentane Conformation G = –5.5 kcal/mol syn-pentane = G– 2 gauche = 5.5 –2(0.88) = + 3.7 kca/ mol CH3 CH3 H CH3 CH3 H CH3 CH3 H CH3 CH3 CH3 CH3 CH3 CH3 H3C H3C fully staggered 2 gauche and 1 syn-pentane gauche gauche syn-pentane
  • 12.
    Conformations and Conformers Butanecan exit in an infinite number of conformations (6 most important have been considered), but has only 3 conformers (potential energy minima)-the two “gauche”conformations and the “anti” conformations • The preference for a staggered conformation causes carbon chains to orient themselves in a zig zag fashion, see structure of decane
  • 13.
  • 14.
    Conformation of butane-2,3-diols IntramolecularH-bond is always stronger in the active forms, they are more stable than the meso isomers
  • 15.
    Conformation of 2,3dibromobutane Meso is more stable than active form
  • 16.
  • 17.
  • 18.
  • 19.
    Cyclic compounds twistand bend to minimize the 3 different kinds of strain 1. Angle strain 2. Torsional strain 3. Steric strain • banana bonds poor orbital overlap •Torsional strain Good overlap Strong bond Poor overlap Weak bond Cyclopropane External orbitals: 33% S & 67% p  sp2 Internal orbitals: 17% S & 83% p  sp5 For sp3: 25% s & 75% p charector Here the four hybrid orbitals of C are far from equivalent HCH 115° Angle strain = Normal valency angle as required by hybridization - actual angle = (109.5-60)/2 = 49.5/2 = 24.75 2 As per Bayer’s strain theory
  • 20.
    Cyclobutane eq ax ax eq ax eq eq ax  Eclipsing torsionalstrain overrides increased bond angle strain by puckering.  Ring barrier to inversion is 1.45 kcal/mol. n G = 1 kcal/mol favoring R = Me equatorial n 1,3 Disubstitution prefers cis diequatorial to trans by only 0.58 kcal/mol for di-bromo compound. n 1,2 Disubstitution prefers trans diequatorial to cis by 1.3 kcal/mol for diacid (roughly equivalent to the cyclohexyl analogue.)
  • 21.
    •one carbon atomis bent upwards •The molecule is flexible and shifts conformation constantly •Hence each of the carbons assume the pivotal position in rapid succession . •The additional bond angle strain in this structure is more than compensated by the reduction in eclipsed hydrogens. •With little torsional strain and angle strain, cyclopentane is as stable as cyclohexane. H H H H H H H H H H H H H H H H H H H H Envelope Half chair Cyclopentane The energy difference is little
  • 22.
    Cyclopentane  Two lowestenergy conformations of cyclopentane (10 envelope and 10 half chair conformations) differ by only 0.5 kcal/mol. They are in rapid conformational flux (pseudorotation) which causes the molecule to appear to have a single out-of-plane atom "bulge" which rotates about the ring. Since there is no "natural" conformation of cyclopentane, the ring conforms to minimize interactions of any substituents present. H A single substituent strongly prefers the equatorial position of the flap of the envelope (barrier ca. 3.4 kcal/mol, R = CH3). H H H H H H H H H H H H H H H H H H H H H H H H H H H H H Half-Chair Envelope 1,2 Disubstitution prefers trans for steric/torsional reasons (alkyl groups) and dipole reasons (polar groups). Me Me 1,3 Disubstitution: Cis-1,3-dimethyl cyclopentane only 0.5 kcal/mol more stable than trans. H A carbonyl or methylene prefers the planar position of the half-chair (barrier 1.15 kcal/mol for cyclopentanone). H H H H H H H H O
  • 23.
    Chair conformation Sum ofthe van der Waals radii = 2.4 A0 Boat conformation H H H H H H H H Newman projection of the boat conformation HA HB HB HA ring-flip 1.8 A0 H H flagpole hydrogens Cyclohexane
  • 24.
    How to Drawa Chair Conformation all opposite bonds are parallel
  • 27.
    Ha Ha Ha Ha Ha Ha He He He He He He He He He He HeHe Ha Ha Ha Ha Ha Ha Ring flipping or inversion
  • 28.
    Chair Half boatTwist boat boat Half boat Opposite sense Chair Twist boat Opposite sense Erel=10 Erel=0.0 kcal/mol Erel=5.5 Erel=6.5 Planar Erel= very large >20 kcal/mol Interconversions of Cyclohexane
  • 31.
  • 32.
  • 33.
    X X Monosubstituted cyclohexane This conformationis lower in energy Why? X H H When X=CH3, conformer with Me in axial is higher in energy by 7.3 kJ/mol than the corresponding equatorial conformer. Result: 20:1 ratio of equatorial:axial conformer at 200 C 1,3-diaxial interaction The black bonds are anti- periplanar (only one pair shown) The black bonds are synclinal (gauche) (only one pair shown) X H H H H X H H H X H H H H H H H X
  • 34.
    X X K= Conc. of equatorialconformer Conc. of axial conformer X Equilibrium constant Energy diff. between axial and equatorial conformers kJ/mol % with substitutent equatorial H 1 0 50 Me 19 7.3 95 Et 20 7.5 95 i-Pr 42 9.3 98 tBu >3000 >20 >99 OMe 2.7 2.5 73 Ph 110 11.7 99
  • 36.
  • 37.
    Conformational equilibrium in1-phenyl-1-methyl cyclohaxane
  • 38.
    It exists asa dl-pair, but since barrier to rotation is low to allow separation. Therefore the ()- pair is inseparable and hence the compound is optically inactive. CH3 CH3 CH3 CH3 CH3 CH3 1 gauche-butane interaction 0.9 kcal/mol 4 gauche-butane interaction 4 x 0.9 kcal/mol = 3.6 kcal/mol Difference in stability between the conformational isomers 3.6 - 0.9 = 2.7 kcal/mol Diastereomeric, chiral and therefore resolvable Enantiomeric, chiral and not resolvable 1,2
  • 39.
    cis-isomer is morestable than trans isomer Diastereomers, achiral Identical, chiral 1,3
  • 40.
    2-gauche-butane interaction, 2x 0.9 = 1.8 kcal/mol CH3 CH3 CH3 CH3 H3C CH3 Both have plane of symmetry, achiral Trans is stable than cis Identical, achiral Diastereomers, achiral
  • 41.
  • 42.
    OH OH OH OH H H Disfavoured Twist boat t-butylgroup a locking group Preferred Conformations
  • 43.
  • 44.
  • 45.
    Rigid molecules fromcyclohexane conformers
  • 46.
  • 47.
  • 48.
    O H CO2H OH CO2H O O CO2H HO2C CO2H CO2HO O O OH O H OH OH O O H H Cyclic anhydride formation from 1,3-cyclohexanedicarboxylic acid Intramolecular H-bonding in 1,3cyclohexanediol Lactonization of 3-hydroxy cyclohexane carboxylic acid
  • 49.
    Bicyclic Systems H H H H 1 2 3 4 Gauche-butane interactions C1C2 C1 C3 C4 C3 G°(est) = 3(0.88) = 2.64 kcal/mol Can you estimate the energy difference between the two methyl-decalins shown below? Me H Me H Rigid structure and no ring inversion due to formation of highly strained a,a ring fusion
  • 51.
    Me Me Me Me How many GBinteractions are there in the following molecules?
  • 53.