Embed presentation
Downloaded 80 times




















































































































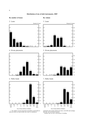
The document summarizes a study examining the private placement market for corporate debt. Some key points: 1) The private placement market is a significant source of long-term corporate financing, with issuance volumes over 60% of the public bond market in recent years. However, it has received little academic attention due to its private nature. 2) The market differs from common misperceptions that it is mainly a substitute for public bonds or identical to bank loans. It is information-intensive, serving smaller/less well-known firms through extensive due diligence. 3) The study analyzes terms of private placements, characteristics of issuers and lenders, and explains the market structure through theories of financial


















































































































