0
Muhammad Muneeb
Muhammad Muneeb
Punjab University College of Pharmacy,
Lahore, Pakistan (Session 2016-2021)
PHARMACEUTICS-I
(PHYSICAL PHARMACY)
Doctor of Pharmacy
1st
Professional
1
Muhammad Muneeb
Table of Contents
Ch. No. Chapter Page No.
01 Pharmacy Orientation 03
02 History and Literature of Pharmacy 20
03
Physicochemical Principles
38
A. Solutions
B. Solubility
C. Adsorption
D. Ionization
E. Hydrolysis
F. Micromeritics
04
Dispersions
104
A. Colloids
B. Emulsions
C. Suspensions
05 Rheology 146
06
Physicochemical Processes
167
A. Precipitation
B. Crystallization
C. Distillation
D. Miscellaneous Processes
07 Extraction Processes 215
08 Rate and Order of Reactions 229
09 Kinetic Principles and Stability Testing 235
Past Papers 246
References 250
2
Muhammad Muneeb
Introduction to the Notes
The purpose of these notes is to compile the syllabus of Pharmaceutics – I (Physical
Pharmacy) in one place. The handouts correspond to the lecture references of university
professors and books. In case of any suggestion, the readers are suggested to contact at
mmuneeb558@gmail.com. These notes are meant for only understanding of the concept and
the preparation of exams and not for uploading on any personal or other webpage or media.
Thankyou!
Good Luck for exams.
Muhammad Muneeb
Pharm. D (Session 2016-2021)
University College of Pharmacy, University of the Punjab,
Lahore, Pakistan.
Chapter 1. Pharmacy Orientation
3
Muhammad Muneeb
Unit 1.
PHARMACY ORIENTATION
Outline:
Introduction and orientation to the Professional of Pharmacy in relation to:
 Hospital Pharmacy
 Retail Pharmacy
 Industrial Pharmacy
 Forensic Pharmacy
 Pharmaceutical Education and research etc.
_______________________________________________________________________________________
PHARMACY – Introduction:
The word “Pharmacy” is derived from the Greek word “Pharmakon” means medicine or drug.
Pharmacy is the science and technique of preparing, dispensing, and reviewing drugs and providing additional
clinical services. It is a health profession that links health sciences with pharmaceutical sciences and aims
to ensure the safe, effective, and affordable use of drugs. The professional practice is becoming more clinically
oriented as most of the drugs are now manufactured by pharmaceutical industries.
Definition:
 Pharmacy can be defined as the knowledge of identification, selection, pharmaceutical action,
preservation, combination, analysis and standardization of drugs and medicines.
 Pharmacy is the art and science of preparing, dispensing and proper utilization of drugs and
medicines.
 Pharmacy is the clinical health science that links medical sciences with chemistry and it is charged
with the discovery, production, disposal, safe and effective use, and control of medications and drugs.
Drug:
A substance intended for the use in diagnosis, cure, mitigation, treatment or prevention of disease.
(FDA)
The material may be:
 Natural
o Plant
o Animal
o Mineral
 Synthetic (aspirin)
 Semi-synthetic (ampicillins)
Scope:
1. Interpretation of prescription orders
Chapter 1. Pharmacy Orientation
4
Muhammad Muneeb
2. Compounding
3. Labeling
4. Dispensing of drugs and devices
5. Drug product selection and DURs
6. Patient monitoring and interventions
7. Provision of information of medicines and devices
DIFFERENCE BETWEEN DRUG AND MEDICINE:
Drug Medicine
Definition Substances which act on the body and
are used for prevention, diagnosis and
treatment
Substances that have definite form and
therapeutic use for treatment
Potency APIs / active potent compound Palatable form of drug
Amount Do not have definite form or dose Has definite form and dose
Compare All drugs are not medicines All medicines are drugs
Dosage form No appropriate dosage form / vehicle Have appropriate dosage form
Effects May have positive / negative effects Usually have positive effects
Connotations Associated with negative connotations Associated with positive connotations
Source Natural, synthetic, semi-synthetic API + excipient
Example PCM Panadol (PCM 500 mg)
Naming of a Drug:
Description Example
Chemical Name Indicate chemical structure of drug N-acetyl-para-aminophenol
Generic Name Given to compound during early investigation Paracetamol
Official Name Given to drug in official monograph Paracetamol (B.P. 1998),
Acetaminophen (USP XXII)
Brand Name Name of drug in market Panadol (GSK), Paramol (Misr)
From Drug Substance to Pharmaceutical Preparation:
 Active drug substance (active pharmaceutical ingredient - API)
 Excipients (inactive pharmaceutical ingredients)
o Technological, biopharmaceutical and / or stability reasons
o Diluents / fillers, binders, lubricants, disintegrant, coatings, preservatives and stabilizers,
colorants and flavorings
o Should always be stated in SPC (important in the case of allergies)
 Pharmaceutical dosage form:
o Determines the physical form of the final pharmaceutical preparation
o Is a drug delivery system which is formed by technological processing (drug formulation)
o Must reflect therapeutic intentions, route of administrations, dosing etc.
 Pharmaceutical Preparation (PP)
Chapter 1. Pharmacy Orientation
5
Muhammad Muneeb
o Particular pharmaceutical product containing active and inactive pharmaceutical ingredients
formulated into the particular dosage form.
o Packed and labelled appropriately
o Two major types of PP according the origin:
 Manufactured in large scales by pharmaceutical industry (original and generic preparations)
 Compounded individually in compounding pharmacies
Pharmacist:
A Pharmacist holds a Graduation in Doctor of Pharmacy (Pharm. D). Pharmacist is a person who
is Expert in medicines and a sole custodian of Medicines, right from manufacturing, testing, Clinical
administration & dispensing it safely to the patients. A Pharmacist cherish roles of different kinds, from
working in clinical pharmacy with direct interaction with patients alongside other medical staff to serving in
community pharmacy, he supervises Manufacturing units or Laboratories. A Drug expert aka Pharmacist can
review prescriptions and can suggest necessary dosage for the patients. In some developed countries, only a
pharmacist is at liberty to write prescriptions. Right man for the right job, obviously.
Pharmacist might persue specialization in almost every major disease management, like Cardiac
Pharmacist, Oncology Pharmacist, Pediatric, Ambulatory Care Pharmacist, Neuro Pharmacist, Pain
management, Diabetes, Hypertension or simply can work as a hospital Pharmacist to keep check on smooth
flow of Right medicines in Hospital.
Pharmacist provides counselling about Drug -Drug interactions, Drug-Food interactions, Drug-Body
interactions, he can work best to reduce possible side effects of medicines.
PHARMACIST - IMPORTANT PILLAR OF HEALTHCARE:
One may ask why presence of Qualified Pharmacist is so important? According to WHO & research
concluded by John Hopkins university, there are recorded average 2,50,000 Deaths only in USA annually due
to medication errors or due to misuse of Medicines. And God knows how many are sacrificing their lives in
developing countries like Pakistan due to Medication errors. As I said earlier, Pharmacist is a sole custodian
of Medicines and only he can overcome these errors with his expertise. The role of a pharmacist in health care
system must be taken into consideration and implemented strongly. At the end of the day we all in healthcare
sector works for the betterment of our patients.
Pharmacy Education:
There are two types of courses studied in pharmacy. The courses include:
1. Pre-requisite courses – Courses other than professional courses (Important for background
knowledge for professional pharmacy courses)
I. Physical sciences
II. Biological sciences
III. Mathematics, statistics, computer sciences etc.
2. Professional courses
I. Pharmaceutics
i. Physical Pharmacy
ii. Dosage Form Science
iii. Pharmaceutical Microbiology and Immunology
Chapter 1. Pharmacy Orientation
6
Muhammad Muneeb
iv. Industrial Pharmacy
v. Biopharmaceutics and Pharmacokinetics
vi. Pharmaceutical Quality Control
vii. Pharmaceutical Technology
II. Pharmaceutical Chemistry
i. Organic Chemistry
ii. Biochemistry
iii. Analytical Chemistry
iv. Medicinal Chemistry
III. Pharmacognosy
IV. Pharmacology and Toxicology
V. Microbiology and Public Health
VI. Pharmacy Practice
i. Mathematics and Biostatistics
ii. Community, Social and Administrative Pharmacy
iii. Dispensing Pharmacy
iv. Computer and Its Applications in Pharmacy
v. Hospital Pharmacy
vi. Clinical Pharmacy
vii. Forensic Pharmacy
viii. Pharmaceutical Marketing and Management
VII. Physiology, Anatomy and Histology, Pathology
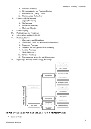
TYPES OF EDUCATION NECESSARY FOR A PHARMACIST:
 Basic sciences
Pharmacy
Profession
Patient Services
Direct Activities
Hospital Pharmcy
Clinical Pharmacy
community Pharmacy
Biochemical Analysis
Microbiological Analysis
Immunological Analysis
Indirect Activities
Drug Promotion
Family Planning
National Screening
Prevention Measures
Drug Services
Safety Analysis
Formulation Development
IPQC, Production,
Distribution
Chapter 1. Pharmacy Orientation
7
Muhammad Muneeb
 Clinical studies
 Technical studies
 Drug information and scientific knowledge
 Economic knowledge
 Psychological and sociological understanding
AIMS OF MODERN PHARMACEUTICAL EDUCATION:
 Provide scientific background
 Provide professional skills and knowledge
 Provide business training
 Provide broad general education
Code of Ethics:
 Pharmacists are health professional who assist individuals in making the best use of medications
 This code states the principles fundamental roles and responsibilities of pharmacists
 The principles are:
o Pharmacists respect relationship between the patient and pharmacist and this occur by:
 Pharmacist has to maintain knowledge
 Pharmacist asks for the consultation of colleagues
o Pharmacist promotes the good of every patient in a confidential manner by considering:
 Needs stated by the patient
 Needs defined by the health science
o Pharmacist respect autonomy and dignity of each patient
 Autonomy: A pharmacist promotes the rights of self-determination by encouraging
patient to participate in decisions about their health
 Dignity: The pharmacist respects personal and cultural differences among patients.
Some Definitions:
 Pharmaceutics is the discipline of pharmacy that deals with all facets of the process of turning a new
chemical entity (NCE) into a safe and effective medication. Pharmaceutics is the science of dosage
form design. Pharmaceutics deals with the formulation of a pure drug substance into a dosage form.
 Pharmaceutical formulation, in pharmaceutics, is the process in which different chemical
substances, including the active drug, are combined to produce a final medicinal product. The word
formulation is often used in a way that includes dosage form.
 Pharmaceutical manufacturing is the process of industrial-scale synthesis of pharmaceutical
drugs as part of the pharmaceutical industry. The process of drug manufacturing can be broken down
into a series of unit operations, such as milling, granulation, coating, tablet pressing, and others.
 Physical Pharmacy: This subject deals with application of physical chemical principles to problems
in the pharmaceutical sciences. Physical pharmacy is a fundamental course that leads to proper
understanding of subsequent courses in Pharmaceutics and pharmaceutical technology.
o ‘Physicochemical principles of pharmacy’ (physical pharmacy or pharmaceutics) comprises
the study of drug formulations and their design, manufacture, and delivery to the body. The
definition now extends to the targeting of drugs and delivery systems to specific sites in the
body, the fabrication of nanoparticles and the design of delivery devices.
Chapter 1. Pharmacy Orientation
8
Muhammad Muneeb
o Physical pharmacy integrates knowledge of mathematics, physics and chemistry and applies
them to the pharmaceutical dosage form development.
o It focuses on the theories behind the phenomena needed for dosage form design.
o Enable the pharmacist to make rational decisions on scientific basis concerning the art and
technology of solutions, suspensions, emulsions, etc.
o Physical pharmacy provides the basis for understanding the chemical and physical phenomena
that govern the in vivo and in vitro actions of pharmaceutical products.
Dosage Form:
Dosage forms are the means by which drug molecules are delivered into site of action within the body.
The need for dosage forms:
1. Accurate dose
2. Protection e.g. coated tablets, sealed ampules
3. Protection from gastric juice
4. Masking taste and odor
5. Placement of drugs within body tissues
6. Sustained release medication
7. Controlled release medication
8. Optimal drug action
9. Insertion of drugs into body cavities (rectal, vaginal)
10. Use of desired vehicle for insoluble drugs
BRANCHES OF PHARMACY:
Chapter 1. Pharmacy Orientation
9
Muhammad Muneeb
 Industrial Pharmacy
 Drug Wholesales
 Journalism
 Marketing
 Nuclear Pharmacy
 Medical Communications
 Retail Pharmacy
 Drug Sales and Marketing
 Hospital Pharmacy
 Clinical Pharmacy
 Forensic Pharmacy
 Government Services
 Community Pharmacy
 Other Services
1. INDUSTRIAL PHARMACY:
Introduction:
 The pharmaceutical industry is responsible for the production of drugs, ensuring that they are safe,
effective and of high quality.
 Pharmacist applies all the scientific knowledge & skill during production, storage and distribution
operations.
 Services provided by the pharmacist in different departments of the industry are research, medical
information & monitoring products safety, regularity affairs, medical script writing, manufacturing &
quality control, supplies, management and many other departments.
Definition:
 The branch of pharmacy, which deals with formulation, manufacturers, analysis, storage and control
of pharmaceutical dosage forms, is called industrial pharmacy.
 In brief industrial pharmacy can be defined as, “It is the processing of drugs from the source up-to the
finished product and to provide quality assure product to the professionals as well as the consumer”.
Operations Include:
Chapter 1. Pharmacy Orientation
10
Muhammad Muneeb
It includes basic unit operation like mixing, milling, drying, lyophilization. Filtration & compression,
which leads to the preparation of liquid, solid, semi-solid dosage form and also injectable.
Industrial Pharmacist:
Pharmacist who is related to industry is called industrial pharmacist. He has various jobs in industry,
some are executive i.e.:
1. Production Incharge
2. Factory Incharge
3. Production Manager
4. Sales Manager
And some junior executive is also working there i.e.
1. Production Pharmacist
2. Analyst (QC)
3. Assistant Pharmacist
4. Documentary Pharmacist
5. Research Pharmacist
Research & Development (R & D):
 Formulation
 Reformulation
 Drug-excipient Compatibility
 Testing
 Determine proper route of administration of drug
 Product’s stability including the proper packaging material
 Innovations
Production:
 Conversion of raw materials to finished products
 Supervises the operation, GMP must be observed, involved in planning production.
𝑅𝑎𝑤 𝑀𝑎𝑡𝑒𝑟𝑖𝑎𝑙 → 𝑃𝑟𝑜𝑑𝑢𝑐𝑡𝑖𝑜𝑛 𝑃𝑟𝑜𝑐𝑒𝑑𝑢𝑟𝑒 → 𝐹𝑖𝑛𝑖𝑠ℎ𝑒𝑑 𝑃𝑟𝑜𝑑𝑢𝑐𝑡𝑠
 With manufacturing facilities, engaged in production operations
Quality Control:
 Qualitative / quantitative checks of RM, intermediate and finished products
Sale
Storage /
Distribution
Labelling
Packing /
Repacking
Filling
Finishing
Compounding
Propagation &
Processing
Chapter 1. Pharmacy Orientation
11
Muhammad Muneeb
 Tests are performed on products
 Assay – determine the % purity of active ingredient
2. HOSPITAL PHARMACY:
Introduction:
The function of a hospital is to provide health care to the patient. In its organizational structure, it
consists of many departments which are coordinated in their work and their common task is to provide health
care facilities to the patient. In these departments, one is Hospital Pharmacy.
Hospital pharmacy can be defined in two ways on the basis of its services i.e. Departmental Services
and Professional Services.
A department or service in hospital under the direction of competent pharmacist. Pharmacists work
with physicians, nurses, patient and other hospital personnel. From hospital pharmacy all medications are
supplied to nursing units. Pharmacist is an important part of the health care team.
Professional Services:
1. Participation in educational programs for patient, nurse & medical staff
2. Poison control center activities
3. Drug information centre
4. Preparation of patient drug use profile
5. Parenteral nutrition program
6. Communicating new drug information to hospital personnel
7. Dispensing and research of radiopharmaceuticals
Activities / Responsibilities:
 Compounding, provides stock medication, performs moderate scale manufacturing (dermatological,
TPN)
 Responsibility to inspect the pharmaceutical supply
 The filling and labeling of all drug containers used in various wards
 Responsible for Drug control system in hospital
 Responsible for the professional care of the patient regarding drug use
 Manager of hospital pharmacy
 Part of PTC, managing Drug Information Service
 Monitoring of drug therapy
Knowledge Required:
 Hospital pharmacist must be knowledgeable on:
o Drugs and their action
o Pharmaceutical Manufacturing Program
o Control procedure regarding
 QC (prep of TPN / admixtures)
 Drug distribution throughout the hospital
o Research activities both medical and pharmaceutical
o Teaching Techniques (in-service training programs)
Chapter 1. Pharmacy Orientation
12
Muhammad Muneeb
o Pharmacy administration in hospital
ROUTINE SERVICES SPECIAL SERVICES
Stocking of drugs and allied substances Participation in education, poison control activity, drug
information center, research activity
Dispensing to in- and out- Patients on prescription Preparation of parenteral nutrition and
radiopharmaceuticals
Supply of the drugs to nursing station Dispensing of parenteral nutrition and
radiopharmaceuticals
Bulk manufacturing / compounding Preparation of patient drug use profiles
3. CLINICAL PHARMACY:
 Recent innovation in Pharmacy Practice (1970)
 Patient – oriented profession
Definition:
The branch of pharmacy which deals with patient care with particular emphasis (special practice) on
drug therapy is called clinical pharmacy.
It is also called “Patient-oriented Pharmacy”, so it includes not only the dispensing or administration of
required medications but also advice the patient on the proper use of all medications. Clinical pharmacy can
also be practiced in community as well as in hospital.
Activities:
 Makes rounds with doctor, maintains patient histories, monitors drug therapy, advises patient on drug
use, side effects, and drug interactions, ADR’s
 Direct patient involvement (conducting admissions, discharge, interviews)
 Drug Utilization Reviews, education to improve drug’s use
 US: Doctors write Rx; pharmacists prescribe the medicine
 Important that clinical Pharmacist is familiar with different lab tests and interpretation of results
 Associated with decreased hospital mortality rates, decreased drug cost, decreased length of stay of
patient
 Pharmaceutical care – optimal use of medications to achieve specific outcomes that improve a patient’s
quality of life
 Counseling and Guidance to Patient
 Drug Monitoring Evaluation
Patient-Oriented Pharmacist Considers:
 Knowledge of Drugs
 Drug Information skills
 Communication Skills
Previously: 𝑃ℎ𝑦𝑠𝑖𝑐𝑖𝑎𝑛
𝑅𝑥
→ 𝑃𝑎𝑡𝑖𝑒𝑛𝑡 ⟷ 𝑃ℎ𝑎𝑟𝑚𝑎𝑐𝑖𝑠𝑡
Chapter 1. Pharmacy Orientation
13
Muhammad Muneeb
Now: 𝑃ℎ𝑦𝑠𝑖𝑐𝑖𝑎𝑛
𝐼𝑛𝑡𝑒𝑟𝑎𝑐𝑡𝑖𝑜𝑛
↔
𝑅𝑥
𝑃ℎ𝑎𝑟𝑚𝑎𝑐𝑖𝑠𝑡 (𝐷𝑈𝑅)
𝐷𝑖𝑠𝑝𝑒𝑛𝑠𝑖𝑛𝑔
→ 𝑃𝑎𝑡𝑖𝑒𝑛𝑡
Barriers to Clinical Pharmacy Practice:
 Lack of interest of top management
 Higher costs
 Other professionals are unhappy
 Lack of incentive for pharmacist
 Lack of training / specializing areas to develop expertise
4. DRUG SALES AND MARKETING:
Marketing:
 Product managers
 Set policies / targets for the sales team
Sales:
 Contact prescribers regarding company’s products
 Explain products in detail
Drug Establishment:
 Manufactures, imports, repacks, distributes pharmaceuticals
Drug Trader:
 Registered owner of drug product
 Procures the RM and packaging components
 Provides production monograph, QC standard, procedures
Chapter 1. Pharmacy Orientation
14
Muhammad Muneeb
 Subcontracts a manufacturing lab
Drug Distributor / Importer:
 Imports RM, active ingredients, finished product for its own use or for wholesale distribution
Drug Distributor / Exporter:
 Exports RM, active ingredients, finished product to other countries
Drug Distributor / Wholesale:
 Procures RM, active ingredients, finished product from local establishment for local distribution on
whole sale basis
 Important part of distributive scheme, provides mechanism to obtain various products manufactured
by different labs from single agency
 Less hazards in stock handling, record keeping and bill paying for the retailer
5. PHARMACY EDUCATION:
 Most important segment of pharmacy
 Represented by colleges of pharmacy
 Responsible for the nature and quality of pharmaceutical education
 Knowledge of different physical, biological sciences qualifies a pharmacist to teach
 Masteral / Doctoral degree
Research & Development:
 Discovery / isolation of new drugs for treating diseases
 The development of better drugs through chemical modification
 Examples:
o Amoxicillin → Co-amoxiclav
o Diuretics → K sparing diuretics
6. PHARMACEUTICAL JOURNALISM:
 Gifted with writing and editing talents
 Magazines, brochures, newsletter about different drugs for marketing purposes
7. ORGANIZATION MANAGEMENT:
 Pharmacist can work as manager in different departments of Industry, Hospital, Pharmacy and many
other Govt. or Private institutions.
 Pharmacists are working as officers of different recognized associations
 Pharmacist can organize different workshops and seminars to keep pharmacists abreast with latest
information in drug treatment and technology
8. GOVERNMENT SERVICES:
Drug Manufacturers Wholesaler Retailer
Chapter 1. Pharmacy Orientation
15
Muhammad Muneeb
 Officer in Army, Navy, Air force
 Hospital pharmacist
 Ministry of Health (licensing, inspection, registration)
 Drug Regulatory Authority and drug registration
 Drug testing laboratory (analyst, microbiologist)
 Consultant (mental health, family planning, pollution, poisons, self-medication, immunization)
9. FORENSIC PHARMACY:
Definition:
The branch of pharmacy that is responsible to frame rules & regulations about formulation,
manufacturing, sale and distribution of drugs is said to be as forensic pharmacy.
OR
It is the branch of pharmacy that concerns with the laws and acts related to profession of pharmacy.
Explanation:
All these rules & regulations are provided in a book called “Manual of Drug Laws”. The profession of
pharmacy is controlled & protected by the “Pharmacy Act 1967”. Following authorities are responsible to
regulate the regulations of drug act:
1. Divisional Drug Inspector
2. Drug Inspector
Ministry of Health is also responsible to issue license for launching of pharmaceutical industry &
process of manufacturing.
Drug controller, Deputy Drug Controller & assistant drug controller are the responsible authorities
in Ministry of Health.
There is a Quality Control Court (QCC) work in coordination with Ministry of Health and is
responsible to maintain the quality of drugs. There is a Drug Court in each province of the country and is
responsible to deal matter related to drug.
Types of Pharmacy Council:
 Central Pharmacy Council – It regulates the pharmacy education courses. The central council
arranges the committees e.g. pharmacopoeia committee, education committee.
 Provincial Pharmacy Council – Its function is to register the pharmacists.
Other Perspective:
It is related to the pharmacist’s skills used to help the medico legal problems such as DNA test, Semen
test or legal emergencies.
10. NUCLEAR PHARMACY:
 Nuclear pharmacy focuses on preparing radioactive isotopes for diagnostic tests & for treating certain
diseases.
Chapter 1. Pharmacy Orientation
16
Muhammad Muneeb
 Nuclear pharmacists undergo additional training specifically to handle the radioactive isotopes, unlike
in community & hospital pharmacies.
11. MEDICAL COMMUNICATION:
 Newest / rapidly developing field
 Computer handling of medical data
12. COMMUNITY / RETAIL PHARMACY:
Introduction:
Retail pharmacy is the branch of pharmacy which deals with the sales and distribution of medicines
and other products to the customer according to the prescription of physician, dentist and veteran. It is the
most familiar branch of pharmacy, its main task is the distribution, dispensing of medicines and related
products. Retail pharmacy can be sub-divided into two groups.
1. Community pharmacy
2. Whole sale pharmacy
Other Names:
Community pharmacy was also named as:
 Apothecary
 Druggist
 Chemist
 Pharmaceutical Chemist
 Retail Pharmacist
 Community Pharmacist (1993)
Definition:
 Community pharmacy symbolizes the adoption of a new degree of professionalism by street
pharmacist.
 This will arouse community expectations which demand care, commitment and excellence.
 It is not just a title acquired by passing the exam; it demands dedication and highest degree of
professionalism.
Introduction:
 Community pharmacist is the professional who would be in direct access to the public and whose
duties are widely sought after by the public and patients
 A community / retail pharmacist works according to legal and ethical guidelines to ensure the correct
and safe supply of medical products to the general public
 As we are the person who will be in direct contact with the public we have to play an important role
in decreasing the mortality and morbidity in the public.
Type of Pharmacy:
 CHAIN - E.g. GUARDIAN, WATSON, CLINIX, FAZAL DIN & SONS
Chapter 1. Pharmacy Orientation
17
Muhammad Muneeb
 INDEPENDENT - E.g. Green Pharmacy, Decent Pharmacy etc.
 NATURE OF BUSINESS
o RETAIL
 Sell direct to end user / customer
 Pharmacy license from Ministry of Health
o WHOLESALE
 Supply to other retailers, General Practitioners (Clinics), Hospitals etc.
 Wholesale License from Ministry of Health
Layout of the Community Pharmacy:
 Prescription Counter & Consulting Area
o The prescription processing area → Pharmacist use to prepare prescriptions
o Consultation area → Strictly for the pharmacist’s use
 Front Area – e.g. OTC Area
o OTC drugs like Panadol, Zentel.
o Cosmetics, toiletries, rehabilitation products & other merchandises
o Vitamins and supplements
 Controlled Substances
o Kept in a locked storage cabinet
 Under supervision of pharmacist
o Psychotropic Drugs
 Require prescriptions and must record
 Repeated checking of the products, labeling, packaging
o Cough Mixture
 Contain Dextromethorphan
 Store
o To keep the excess stocks
o General store or Drug store (must lock)
o Dry, cool place
 Refrigeration
o A refrigerator to store drugs
o Required to be kept at temp between 2 & 8o
C
o Exclusively for medications
o No food or beverages
 Computer systems – Point-Of-Sale, Inventory, Accounting etc.
o Familiar with computer hardware & software
o Hardware - Monitor, CPU, keyboard, mouse, scanner, modem, printer
o Software - Point of Sales, Accounting, Inventory e.g. UNIX
o Most chain pharmacies are linked together - Facilitate the sharing of information between
pharmacies
 Equipment-display
 Purchasing & Inventory Control
o Must complete a purchase order (PO)
 Product name
 Amount & price
Chapter 1. Pharmacy Orientation
18
Muhammad Muneeb
o Order transmitted directly to the manufacturer
o During receiving
o Carefully check the product against the PO
o Damaged products must be reported without delay & returned to the manufacturers
o Must check all products for expiration dates
Community Pharmacist Must Show:
 Good communication skills
o Be able to listen carefully to what patients says Be able to explain complex and sometimes
sensitive information to the general public & other healthcare professionals
 Concern for the welfare of the general public
 An understanding of business principles
 A professional and confident manner
 The ability to inspire the trust of others
 A willingness to take on a high level of responsibility
Roles of Community Pharmacist:
 RETAILER - Makes goods and services available
 MANAGER - Uses limited resources efficiently and effectively
 PROFESSIONAL
o Provide valued services through trust, commitment and competence
o Pharmacies are required to have a pharmacist on duty all the time
o Most pharmacies have experienced support staff who work under the personal supervision of
the pharmacist
o Therefore, community pharmacists, by far the largest segment of the profession, require
scientific, administrative, supervisory, counseling and pharmaceutical skills of a very high
standard
 Dispensing prescription medicines to the public on a prescription or without prescription– check
dosage, ensure the medicine are correct and safe and label it
 Liaising with doctors about prescriptions
 Supervising the preparation of any medicines (not all are supplied as ready made-up by the
manufacturer)
 Keeping a register of controlled drugs for legal and stock control purposes selling over-the-counter
medicines
 Counseling and advising the public on the treatment of minor ailments and any adverse side-effects of
medicines or potential interactions with other medicines / treatments
o Providing specialist health check services, such as monitoring blood pressure and cholesterol
levels, diabetes screening and pregnancy testing
o Preparing dosette and cassette boxes, usually or the elderly but also for those with memory/
learning difficulties, where tablets are placed in compartments for specified days of the week
o Overseeing the ordering and safe storage of medical products and, in some cases, arranging the
delivery of prescription medicines to patients
o Keeping up-to-date with current pharmacy practice, new drugs and their uses
o Maintaining computerized records
o Managing, supervising and training pharmacy support staff
Chapter 1. Pharmacy Orientation
19
Muhammad Muneeb
o Budgeting and financial management
o Promoting sales and developing the business
o Selling healthcare and other products, such as toiletries, cosmetics and rehabilitations product
e.g. wheel chair.
13. OTHER IMPORTANT ROLES
 Rationale use of drugs
 Nutritional counseling
 Alcohol, drug abuse and smoking cessation
 Individualization of drug therapy
 Family planning
 Poisoning prevention
 Control of communicable diseases
 Pregnancy and infant care
 Sexually transmitted diseases
 Health promotion
 Environmental hazards
_______________________________________________________________________________________
Chapter 2. History and Literature of Pharmacy
20
Muhammad Muneeb
Unit 2.
HISTORY AND LITERATURE OF PHARMACY
Outline:
 A survey of the history of pharmacy through ancient, Greek and Arab periods with special reference
to contribution of Muslim scientists to pharmacy and allied sciences.
 An introduction of various official books.
_______________________________________________________________________________________
Disease is not an old as life itself as evidence exist that it can be traced back to around 350 million –
280 million years (Carboniferous Period). It has been desire of mankind since times immemorial to be healthy
and cure sickness and disease. The quest for health has paved way for stimulating the element of search for
cure. Pharmacy is the art of healing and treatment exists from the time illness was recognized.
Before The Dawn of History:
 From beginnings as remote and simple as these came the proud profession of pharmacy. It’s
development parallels that of man.
 Among the several characteristics unique to Homo Sapiens is our propensity to treat ailments, physical
and mental with medicines.
 Ancient man learned from instinct, from observation of birds and beasts. Cool water, a leaf, dirt or
mud was his first soothing application.
 By trial, he learned which served him best. Eventually he applied his knowledge for the benefit of
others.
Pharmacy Roots:
 The study of pharmacy can be tracked back to 700 years.
 It was evolved between stone age and down of history (Proto History) systems existed that were later
discovered by Archeologists.
 Peasant civilizations (5000 B.C.) – excavations in Tigris and Euphrates valley.
 Around 2000 B.C. some documents of Assyrio were revealed.
 This art has evolved over centuries. It passes through religion, magic, incantation and now it is evolved
highly special profession of Pharmacy.
Pre-Historic Pharmacy:
 Since humanities earliest past, Pharmacy has been a part of everyday life. Some of mankind’s oldest
settlements such as Shanidar support the contention that pre-historic people gathered plants for
medicinal purposes. By trial and error, the knowledge of the healing properties of certain natural
substances grew.
 When healers at shanidar or other prehistoric settlements approached disease, they placed it within
the context of their general understanding of the world around them, which was alive with good and
evil spirits. The magical portions for curing were part of the duty of the Shaman (usually incharge of
all or most things supernatural in tribe).
Chapter 2. History and Literature of Pharmacy
21
Muhammad Muneeb
 The Shaman diagnosed and treated most serious illnesses. He compounded the remedies needed to
keep away the influences of evil spells or spirits.
Eras in History of Pharmacy:
I. Ancient Era - Beginning of time to 1600 A.D.
II. Empiric Era - 1600 to 1940 A.D.
III. Industrialization Era - 1940 to 1970 A.D.
IV. Patient Care Era - 1970 to Present
V. Biotechnology and Genetic Engineering
I. ANCIENT ERA:
 It started from beginning of time to 1600 A.D.
 Early man used material in his surroundings; leaves, mud and cool water were used to stop bleeding
and heal wounds.
 Dry clay was used to splint broken bones.
 They copied animal behavior.
 The signs of pre-historic and primitive times diseases exist as it is evident from:
o Skeleton with deformed joints
o Tumors in dinosaurs
o Exhumed bones indicated performance of operation after injury
DOCUMENTATION:
 At some point man began to document healing practices on clay tablets 2600 B.C.
 One of the earliest known records written around 1500 B.C. was the Ebers Papyrus named by George
Ebers.
EGYPTIAN TIMES:
 When organized settlements aroused in the great fertile valley of Nile and the Indus River, changes
occurred that gradually influenced the concepts of disease and healing.
BABYLONIANS:
They were 5th
millennium BC peasants and they were the civilization of Western Asia. Excavations of
Tigris and Euphrates valleys revealed Medical tablets originating from 3000 B.C. to 2000 B.C. Babylonians
had a detailed medical system and used a pharmacopoeia containing 250 plants, sulphur, animal products like
cow or goat milk, honey, wax, lion fat, castor oil etc. For the Babylonians, medical care was provided by two
classes of practioners:
 The asipu (magical healer)
o The asipu relied more heavily on spells and magical stones far more than plant materials.
 The asu (empirical healer)
o The asu drew upon a large collection of drugs and manipulated them into several dosage forms
that are still basic today such as suppositories, pills and ointments.
The asipu and asu were not in direct competition and sometimes cooperated on difficult cases.
Chapter 2. History and Literature of Pharmacy
22
Muhammad Muneeb
DAYS OF PAPYRUS EBERS:
 Though Egyptian medicine dates from about 2900 B.C, best known and most important
Pharmaceutical record is the “Papyrus Ebers” (1600 B.C), a collection of 800 prescriptions
mentioning 700 drugs. The drugs are chiefly botanical although mineral and animal drugs are also
noted.
 Such botanical substances as acacia, castor bean and fennel are mentioned along with apparent
references to such minerals as iron oxide, sodium carbonate, sodium chloride and sulfur.
GREEK CIVILIZATION:
 During the millennium that followed the roots of modern medical profession in the west arouse from
Greek civilization.
 Around 600 B.C. the Greeks integrated science into mythological thinking.
 They began thinking logically about disease rather than believing spiritual explanation.
 The Romans conquered the Greeks and the medical and pharmaceutical cultures mixed, it is known as
Greco-Roman Era.
GREECE AND ROMAN ERA:
 The poems of Homer (Great poet of ancient Greece – 8th
century B.C.) and mythological tales provide
information on the existence of the art of pharmacy.
o Bitter root powder used to treat heal wounds.
o Use of sulphur as disinfectant.
 Peony is attributed to Paion, doctor to the Gods.
 Hyoscyamus albus or Heraklion are medical plants, named after Hercules.
 Chiron organized the cultivation of plants.
 Around 5th
century B.C. – Asclepius, the king of Thessaly and God of medicine, treated patients with
herbs. In this temple, medicine was practiced by priests.
 More than 40 medical books exist in the name of Hippocrates (460 B.C.) who is considered father of
medicines. He used simple remedies consisting of barley, honey, vinegar, anethole, corrdiander,
colocynth, fennel etc.
 Diocles, son of Archidamos wrote an herbalist manual “Rhizotomikon” which contains prescriptions
made from plants like fenugreek, linseed and honey.
 Existence of plants in Greek therapeutics is documented in:
o De Historia Plantanum and Dr Causis Plamtanum by Theophrastus (340 B.C.). He wrote 200
books, from which 20 are available 9 on history of plants and 6 on their growth.
o De Materia Media of Dioscorides (78 A.D.) which contains 500 medicinal plants.
o Natural history by Pliny (60 A.D.), a compilation of 1000 plants from the Roman times.
Roman Pharmacy Titles:
 PHARMACOPOEIA - Maker of remedies
 PHARMACOTRITAE - Drug grinder
 UNGUENTARI - Maker of ointments
 PIGMENTARI - Maker of cosmetics
 PHARMACOPOLAE - Seller of drugs
Chapter 2. History and Literature of Pharmacy
23
Muhammad Muneeb
 AROMATARII - Dealers of spices
ASKLEPIOUS (GOD OF HEALING):
 Beginning in the 7th century BC, the wise and kind Asklepios gradually superseded Apollo as the
greatest of the healing gods.
 At the touch of his hands or of the tongue of his sacred serpent, miraculous things happened.
 The staff of Asklepios entwined by a Sacred serpent gradually emerged as the official symbol of
medicine around the world.
 On the right hand of Asklepious stood Hygeia, one of his daughter.
 Her arm entwined by a serpent and holding a bowl thought to have contained a healing poison.
 And in the earliest records one finds a similar mixed concept of drug or Pharmakon, a Greek word that
meant “magic spells’’ or “poison”.
HIPPOCRATES:
 From another period in Greek history the greatest name That is still with us today is that of Physician
Hippocrates known as the “father of medicine”.
 He is one of the most important name in the development of Pharmacy as a profession based on
scientific knowledge rather than a mixture of medicine and spiritual acts.
 During this period the word Pharmakon came to mean “a purifying remedy”.
 He mentioned around 200 – 400 drugs as well as methods of carrying out various Pharmaceutical
processes.
DIOSCORIDES:
 He was a Greek Physician and botanist (first century A.D). He was the first scientist to deal botany as
an applied science of Pharmacy.
 His work “De Materia Medica”, is considered a milestone in the development of Pharmaceutical
botany and in the study of naturally occurring medicinal materials. This area of study is today known
as “Pharmacognosy”.
 He explained methods of preparing crude drugs from opium and many other botanical drugs. He
developed the art of identification, collection, purification and proper storage of botanical drugs.
CLAUDIUS GALEN:
 He was a renowned Greek Pharmacist and Physician. He practiced and taught both medicine and
pharmacy in Rome, his Principles of Preparing and compounding medicines ruled in the western world
for 1500 years.
 He aimed to create a perfect system of Physiology, Pathology and treatment of illness.
 He wrote 500 books on medicine including numerous drugs of natural origin, formulae and methods
of compounding.
 It was his tremendous work in the field of crude natural origin drugs that still today his name is
associated with that class of pharmaceuticals compounded by mechanical means – “Galenical
Preparations”.
 The most famous of his formulas is one for a cold cream called Galen’s cerate, essentially similar to
that known today.
Chapter 2. History and Literature of Pharmacy
24
Muhammad Muneeb
PERSIA:
 Persia, at crossroads between East and West, was the cradle of very old and brilliant civilization.
 Their knowledge of plants and phototherapy still reflects in the Greco-Arab therapeutics.
 Ancient Iranian therapeutics available in their holybook, “Avesta” (700 B.C.) is based on medicinal
plants, surgery and magic.
 Avesta’s 9th
century compilation the “Denkart” contains a chapter on 4333 diseases caused by evil
spirit. Cure is 70 categories of remedies, all from plants.
II. MIDDLE AGES:
With the advent of Christianity, the healing temples of Asklepios eventually fell into disease. During
the medieval millennium, however, religious medicines within Christian concepts gave the healing power of
faith and divine intervention new scope.
LATIN ERA:
As a guide to preparing compound drugs, two traditional types of Latin compilations, which evolved
into modern counterparts, were “Receptaria” (more modest formularies) and the “Antidotria” (similar to
dispensatories). It was a particular literature for both medicine and pharmacy, copied by scribes who added,
omitted and revised to suit local needs.
ARABIAN INFLUENCE:
For pharmacy, the Arabic influence was important also because we can discern the rise of the qualified
pharmacist (al-Saidalani) as a separate functionary, beginning around Baghdad (729 A.D.) They also had
different drug forms which are now used such as syrups, conserves, confections and juleps. Hospitals,
however, were being secularized under municipal authority by the 13th
century.
THE RENAISSANCE:
 It lasts from 1350 to 1650 A.D.
 It is the end of ancient era and middle ages.
 Pharmacy became separated from medicine.
 Pharmacy regulations was begun.
 University education for pharmacists was now required.
 More and new drugs were imported from orient.
 New chemicals were introduced.
 Pharmacy achieved professional status.
 Guilds were formed for the profession of pharmacy.
SAINTS COSMAS AND DAMIAN:
 Twinship of health professions, Pharmacy and medicine is nowhere more strikingly portrayed than by:
o Damian, the apothecary and
o Cosmas, the Physician
 They were the twin brothers of Arabian descent. Their twin careers were cut short in the year 303 by
martyrdom.
 They were the pattern saints of Pharmacy and medicine and many miracles are attributed to them
Chapter 2. History and Literature of Pharmacy
25
Muhammad Muneeb
FREDERICK-II - SEPARATION OF PHARMACY AND MEDICINE:
 In European countries exposed to Arabian Influence, public pharmacies began to Appear in the 17th
century.
 However, it was not until about 1240 A.D. That, in southern Italy, Pharmacy was separated from
Medicine.
 Frederick II, was Emperor of Germany. At his palace, he presented subject Pharmacists with the first
European edict completely separating their responsibilities from those of Medicine, and prescribing
regulations for their professional practice
PARACELSUS - BORNBASTUS VON HOHENHEIM (1493-1541):
Perhaps no person in history exercised such a revolutionary influence on Pharmacy and Medicine as
did Aureolus Theophrastus. Bornbastus Von Hohenheim (1493-1541), A Swiss Physician and chemist who
called himself Paracelsus. He influenced the transformation of Pharmacy from a profession based primarily
on botanical science to one based on chemical science.
EDWARD JENNER:
Remarkable advance in medicine and Pharmacy took place in the year 1796 when Edward Jenner
performed the first vaccination on a human patient.
FRIEDRICK SERTURNER:
He was a German Pharmacist and isolated Morphine from opium.
JOSEPH PELLETIER & JOSEPH CAVENTOU:
They were French and isolated several alkaloids like strychnine and brucine from Nux vomica and
quinine and cinchonine from cinchona. Pelletier together with Pierre Robiquet isolated caffeine and Robiquet
independently separated codeine from opium.
MODERN EUROPE:
 A movement in Western Europe that aimed at reforming some doctrines and practices of the Roman
Catholic Church that resulted in the establishment of the Protestant Churches.
 Medicine, like art before 1600, was essentially integrated into religion.
 At the beginning of 17th
century, medical practice was divided into three phases.
o The Physician
o The Surgeons
o The Apothecaries (Drug sellers)
 A medical reform movement was started in Europe as a reaction against heroic medicine.
 Pharmacopoeias were used to protect public health.
 Roots, barks, herbs, flowers etc. were used and controlled by government.
 The questioned the toxological effects on human body.
 In 1751, Benjamin Franklin started the FIRST HOSPITAL.
 The first hospital pharmacist to work in that hospital was Jonathan Roberts.
 William Proctor was the father of American Pharmacy who spent most of his life to the advancement
of pharmacy.
Chapter 2. History and Literature of Pharmacy
26
Muhammad Muneeb
 Science grew in the 17th
and 18th
centuries. Many new drugs and chemicals were identified e.g.
nitrogen, atropine, quinine, caffeine, morphine, codeine and testosterone etc.
AMERICAN PHARMACY:
 As soon as Columbus started his explorations of the Americas in the late 15th century, some European
efforts to find valuable medicinal plants among the flora of the New World to add to the medical canon
got underway.
 The first drugstore in North America appeared in Boston, Newyork.
 The 19th century (1800s) birthed “pharmacy as we know it” and again, pharmacy’s development in
mainland Europe continued to fuel its growth in the young American republic.
MEDICAL SOCIETIES AND EDUCATION OF PHARMACY:
In 19th century, many medical societies were established to increase the quality of medicines and to
promote the profession of pharmacy such as American Pharmaceutical Association whose slogan is to
produce better pharmacists.
University Education regarding pharmacy was started in 1829 when New York College of
Pharmacy was established. These colleges were acting as professional associations, or at least promoted
pharmacist education and the distinct profession of pharmacist with a guild-like zeast.
With the rise of mechanization and mass production, new modern ways of making tablets (1884), the
enteric-coated pill (1884) and gelatin capsule (1875) became practicable.
By 1900, most pharmacies stocked the shelves, partially or pre-dominantly, with medicines growing
industries to train pharmacist to produce medicines increasingly eroded.
III. INDUSTRIALIZATION ERA:
 During civil war and World War – I, more people needed drugs for injuries and illness from the wars,
so mass production of medications were made through industrial machines.
 Scientific research was also growing in the industrial era. Investigations into medicines and their
effects were studied.
 Due to all the researches many new drugs and uses of old drugs were being used which caused more
reactions and interactions with medications, which is why the patient care era is called that.
IV. PATIENT CARE ERA:
 In 19th
and 20th
century new problems were seen like allergic reactions, multiple drug interactions with
other drugs and foods.
 It increases the therapeutic duties of patient care in pharmacies and hospitals.
V. BIOTECHNOLOGY ERA:
 In 21st
century gene therapy is being conducted. Some diseases are linked to genetic defects.
Pharmacists are trying to modify the genetic makeup of people that may prevent or cure diseases.
 Recombinant DNA technology is a form of synthetic DNA that is engineered through the
combination or insertion of one or more DNA strands, thereby combining DNA sequences that would
not normally cure together.
Chapter 2. History and Literature of Pharmacy
27
Muhammad Muneeb
Importance of Profession:
 Impact on individual patient(s):
o State of health
o Better health of individual
 Pharmacy services results in:
o Improved health
o Economic outcomes
o Reduction in adverse effects of medicines
o Improved quality of life
o Reduced morbidity and mortality
 Pharmaceuticals:
o Formulation / manufacturing
o Quality assurance / monitoring
o Licensing / registration
o Marketing
o Dispensing
o Distribution / supply / storage
o Education, research & development
THE SEVEN-STAR PHARMACIST:
It is a concept developed by WHO in 2000.
 Care-giver
 Decision-maker
 Communicator
 Manager
 Life-long-learner
 Teacher
 Leader and researcher
Role of Muslim Scientist in Pharmacy:
Among the Muslim scientist, the Arabs were the greatest doctors, the first chemists, the best
pharmacists. They played a major role in history of therapeutics. They preserved and built the knowledge of
Greco-Roman period. They followed the teachings of Muhammad (P.B.U.H). The formerly nomadic people
who united into the nations of Islam conquered huge areas of middle east and Africa and eventually expanding
into Spain and eastern Europe.
Abbasid Caliphate:
In Baghdad, the first Pharmacy was established in 754 under the Abbasid caliphate during the Islamic
golden age. The clear-cut separation of the two professions, physicians and Pharmacist was done in 800 A.D
in Abbasid caliphate.
Yahanna Bin Masawayh (777 to 857 A.D.):
Chapter 2. History and Literature of Pharmacy
28
Muhammad Muneeb
He was one of the contributors to Arabic Pharmacy. He Wrote a book “Ibn-e-Masawayh” which
includes 30 aromatics, their Physical properties, method of detecting adulteration (spoil) and Pharmacological
effects. Ibn-e-Masawayh recommended saffron for liver and stomach ailments.
Abu- Hassan Ali Bin Sahl Rabban at Tabari:
He wrote a famous book “paradise of wisdom”. It contains discussions on the nature of man,
cosmology (study of stars), embryology, diet and diseases.
Abu Bakr Muhammad ar Razi (841 to 926 A.D.):
He was one of the greatest Physician in Islam but at the same time he was supporter of the art of Al-
Chemy. To a great extent, he influenced the development of Pharmacy and medical therapy throughout the
middle ages. He wrote two books named Ar-Asrar and Sirr Al Asrar.
Ali Ibn-Al-Abbas Al-Majusi (994 A.D.):
He was a Persian physician and psychologist, most famous for the Kitab al-Maliki (Complete Book of
the Medical Art). In this book he concluded that, “joy and contentment can bring a better living status to many
who would otherwise be sick and miserable due to unnecessary sadness, fear, worry and anxiety”.
Al Ghafiqi:
He was the highly respected Physician in cordova (muslim spain) an that he was also interested in
Pharmacy as well.
Abu Al Qasim Al Zahrawi (Abulcasis) (936 – 1013 A.D.):
He was Pioneer in the preparation of medicines by sublimation and distillation. Also he worked on the
extraction or urinary bladder stones. He is known as the doctor of / father of surgery. He wrote “Kitab-al-
Tasrif”, a thirty volume encyclopedia of medical practices. The 28th
book consists of simple medicines of
vegetables, animals or mineral origin.
Sabur Bin Sahl (940 to 1000 A.D.):
The first medical formulary to be written in Arabic is “al-Aqrabadin”. In it, he gave medical recipes
stating the methods and techniques of compounding these remedies, their Pharmacological actions, the
dosages and the means of administration.
Ibn-e-Sina (Avicenna) (980 – 1037 A.D.):
Among the brilliant contributors to the sciences of Pharmacy and Medicine during the Arabian era was
one genius who seems to stand for his time – the Persian, Ibn-e-Sina (about 980-1037 A.D.), called Avicenna
by the Western world. Pharmacist, poet, physician, philosopher and diplomat. Avicenna was an intellectual
giant, a favorite of Persian princes and rulers. He wrote in Arabic. He wrote the famous book “ Kitab Al Shifa
( the book of healing ). He also described 700 preparations, their properties, mode of action and their
indications.
Al –Beruni (973 – 1050):
Chapter 2. History and Literature of Pharmacy
29
Muhammad Muneeb
He wrote one of the most valuable Islamic works entitled “Kitab-ul-Saydalah” (the book of drugs)
where he gave detailed knowledge of the properties of drugs and outlined the role of Pharmacy and the
functions and duties of the Pharmacist. He was known as father of Arabic Pharmacy.
Ibn Al-Wafid (997 – 1074):
He was a pharmacologist and physician from Toledo. His main work is Kitab al-adwiya al-mufrada
which include 520 different kinds of medicines from various plants and herbs.
Saladin de Asculo:
He is one of the greatest influence on practice of pharmacy among early Italian works was the
Compendium written by him in middle of 15th
century for information of pharmacist. This book is called as
“the first real treatise on pharmacy in a modern sense… which became the model for all later textbooks of
pharmacy”.
Al-Ghafiqi:
He is famous for controlling plants from Spain and Africa and documented them with names in Arabic,
Latin and Berber.
Abdullah Ibn Ahmad ibn Al-Baytar:
He was a pharmacist and botanist and was author of two books “Al-Mughanifi al-Adwiyal-al-
Mufaradah” (Medicines) and “Al-Jami Jilah Adwiyah al-Mufradah” (contains simple remedies). This
collection is claimed to contain more than 2000 plants.
Jabir Bin Hayyan:
He recommended:
 Psyllium mucilage, gourds, whey for biliary troubles
 Bamboo, vinegar, pomegranates for blood diseases
 Castor, asafetida for pituitary problems
Ar-Rafiqi (11th
Century):
He was a botanist who compiled information on medicines of plant and mineral origin.
Al-Harith:
He was the first amongst the Arabs as a during the period of Prophet (‫)ﷺ‬.
Shaikh Jalal-ud-Din Abu Suleiman Daud:
He was the writer of Tibb-e-Nabvi. This was translated by Dr. Perron.
Yaqub Ibn Ishaq Al-Kindi (800 – 873 A.D.):
In medicines, his chief contribution comprises the fact that he was the first to systematically determine
the doses to be administered of all the drugs known at his time. This resolved the conflicting views prevailing
among physicians on the dosage caused difficulties in writing recipes.
Ibn al-Nafis (1213 – 1288 A.D.):
Chapter 2. History and Literature of Pharmacy
30
Muhammad Muneeb
He was a doctor basically. He wrote “Al-Shamil fial-Tibb” comprising 300 volumes.
Abu Marwan ibn Zuhr (1091 – 1161 A.D.):
He was one of the greatest physicians of Muslim Golden era. He wrote “Kitab al-Taisir fi al-Mudawat
wu al-Tadbir (book of simplification concerning therapeutics and diet).
Ali Bin Sahl Rabban al-Tabari (d. 870):
He was a physician under rule of al-Mu’tasim. He wrote Firdaus al-Hikma (Paradise of Wisdom). He
urged that therapeutic value of each drug be reconciled with particular disease. For sorting drugs he
recommended glass or ceramic vessels for liquid drugs, small jars for eye liquid shelves and lead containers
for fatty substances.
Yahya ibn Jazla (d. 1100 A.D.):
He composed Taqwim al-Abdan fi Tadbir al-Insan, which consisted 44 tables, and 352 diseases.
Modern Age & Early Research:
THE AMERICAN PHARMACEUTICAL ASSOCIATION:
 Need for better intercommunication among pharmacists; standards for education and apprenticeship;
and quality control of imported drugs, led to calling of a convention of representative pharmacists in
the Hall of the Philadelphia College of Pharmacy, October 6 to 8, 1852.
 Under leadership of its first President, Daniel B. Smith, and first Secretary, William Procter, Jr., the
twenty delegates launched The American Pharmaceutical Association; mapped its objectives, and
opened membership to "All Pharmacists and Druggists”.
 The Association continues to serve Pharmacy today.
THE STANDARDIZATION OF PHARMACEUTICALS:
 Despite the professional skill and integrity of 19th-century pharmacists, seldom did two preparations
of vegetable drugs have the same strength, even though prepared by identical processes. Plant drugs
varied widely in active alkaloidal and glycosidal content.
 The first answer to this problem came when Parke, Davis & Company introduced standardized "Liquor
Ergotae Purificatus".
 Parke-Davis also pioneered in developing pharmacologic and physiologic standards for
pharmaceuticals.
THE PHARMACOPOEIA COMES OF AGE:
 As the scientific basis for drugs and drug products developed so did the need for uniform standards to
ensure quality.
 This need led to the development and publication of monographs and reference books. Organized sets
of monographs or books of these standards are called Pharmacopoeias and formularies.
 The "United States Pharmacopoeia" (1820) was the first book of drug standards from a professional
source which achieved a national acceptance.
THE ERA OF BIOLOGICALS:
Chapter 2. History and Literature of Pharmacy
31
Muhammad Muneeb
 When, in 1894, Behring and Roux announced the effectiveness of diphtheria antitoxin, pharmaceutical
scientists both in Europe and in the United States rushed to put the new discovery into production.
 Parke, Davis & Company was among the pioneers.
 The serum became available in 1895, and lives of thousands of children were saved.
THE DEVELOPMENT OF CHEMOTHERAPY:
 One of the successful researcher’s in the development of new chemical compounds specifically created
to fight disease-causing organisms in the body was the French pharmacist, Ernest Francois Auguste
Fourneau, who for 30 years headed chemical laboratories in the world-renowned Institute Pasteur, in
Paris.
 His early work with bismuth and arsenic compounds advanced the treatment of syphilis.
 He paved the way for the life-saving sulfonamide compounds, and from his laboratories came the
first group of chemicals having recognized antihistaminic properties.
 His work led other investigators to broaden the field of chemotherapeutic research.
PHARMACEUTICAL RESEARCH:
 Research in some form has gone hand in hand with the development of Pharmacy through the ages.
However, it was the chemical synthesis of antipyrine in 1883 that gave force and inspiration for
intensive search for therapeutically useful compounds.
 Begun by the Germans, who dominated the research field until World War-I, thereafter the lead
was transferred to the United States. Research in Pharmacy, came into its own in the late 1930's and
early 1940's, since than it has grown steadily, supported by pharmaceutical manufactures, universities,
and government.
 Today it is using techniques and trained personnel from every branch of science in the unending
search for new life-saving and life-giving drug products
PHARMACEUTICAL MANUFACTURING COMES OF AGE:
 Pharmaceutical manufacturing as an industry apart from retail Pharmacy had its beginnings about 1600, really
got under way in the middle 1700. It developed first in Germany, then in England and France.
 In America, it was the child of wars - born in the Revolution, grew rapidly during and following the Civil War,
became independent of Europe during World War-I, came of age during and following World War-II.
 Utilizing latest technical advances from every branch of science, manufacturing of
Pharmaceuticals is developing and producing the latest and greatest drugs prescribe them and
pharmacists dispense them for the benefit of all mankind.
THE ERA OF ANTIBIOTICS:
 Antibiotics are not new. Their actions probably were first observed by Pasteur in 1877. However, the
second quarter of the 20th century marked the flowering of the antibiotic era - a new and dramatic
production of disease-fighting drugs. Fleming's discovery of penicillin in 1929 went undeveloped and
Florey and Chain studied it in 1940.
 Under Pressure of World war-II the Pharmaceutical Manufacturers rapidly applied mass production
methods to penicillin.
 Antibiotic discoveries came rapidly in the '40's.
Chapter 2. History and Literature of Pharmacy
32
Muhammad Muneeb
 Intensive research continues to find antibiotics that will conquer more of men's microbial
enemies.
PHARMACY TODAY & TOMORROW:
 Pharmacy, with its heritage of 50 centuries of service to mankind, has come to be recognized as one
of the great profession.
 Like Medicine, it has come through many revolutions, has learned many things, has had to discard
many of its older ways.
 Pharmacists are among the community's finest educated people.
 Pharmacy's professional importance will continue to grow in the future as this great heritage
and tradition of service is passed on from preceptor to apprentice, from teacher to student, from
father to son.
Introduction to Official Books:
The word Pharmacopoeia is derived from Greek, Pharmakon and poieo. It indicates a book issued by
a recognized body or authority containing a list of drugs and formulas for medicinal preparations, together
with description of these substances and standards to which they must conform.
ORIGIN:
Prior to Pharmacopoeias apothecary have to look for guidance and knowledge to books written by
individuals who have achieved fame in medicines. These books may be divided into 2 classes:
 The Herbal
 The Formularies
THE HERBAL:
 These books contain information about medicinal plants, their properties and recipes for preparing
remedies. The most important book was “The Meteria Medica” by Dioscorides. It contains more than
600 plants and herbs having medicinal value and also animal and mineral substances.
 This book remained authority for more than 1500 years. Its complete edition was printed in 1529.
 Another important name is “Pliny the Elder” 23-79 A.D. reported 1000 plants of medicinal value.
THE FORMULARIES:
 These were the more authoritative books for physicians and consists chiefly of recipes and list of
medicinal substances and were variously styled as “Compendium, Dispensatorium or
Antidotarium”.
 These books based on ancient Greek, Roman and Arabian writers.
 The most widely known book was Antidotarium of Nicholas describing the preparation of
confectioneries, lozenges, ointments, pills, syrups and many other classes of preparations and also
prescribed apothecaries weight and measure system i.e., the grain and drachms still employed in
present day pharmacy.
PHARMACOPOEIA:
Chapter 2. History and Literature of Pharmacy
33
Muhammad Muneeb
An official publication containing a list of medicinal drugs with their effects and directions for their
use published by the pharmacopoeial commission or by the authority of a medicinal or pharmaceutical society.
The word pharmacopoeia is derived from two Greek words i.e. ‘pharmakon’ meaning ‘drug’ and ‘poeis’
meaning ‘make’ thus giving the meaning of drug making. In a broader sense it is a reference work for
pharmaceutical drug specifications.
SPELLINGS:
 Pharmacopoeia
 Pharmacopeia
 Pharmacopoea
MONOGRAPH:
The description of the preparation is called as monograph. It is a set of document given in the
pharmacopoeia which tells about test to perform for a specific compound or a dosage form or raw material.
APPENDICES:
An appendix contains supplementary material that is not an essential part of the test itself but which
may be helpful in providing a more comprehensive understanding of the research problem or it is information
that is too cumbersome to be included in body of a monograph. It includes apparatus, and its construction,
general procedures and tests for a particular drug.
TYPES OF PHARMACOPEIAS:
i. Brazilian Pharmacopeia
ii. British Pharmacopoeia (BP)
iii. British Pharmaceutical Codex (BPC) – Retired
iv. Chinese Pharmacopoeia (ChP)
v. Czeck Pharmacopoeia (Ph.Boh)
vi. European Pharmacopeia (EP)
vii. French Pharmacopeia (FP)
viii. German Pharmacopeia (GP)
ix. Pakistan Pharmacopeia (PP)
x. United State Pharmacopeia (USP)
DEVELOPMENT OF PHARMACOPOEIA:
 The development of Pharmacopoeia must be credited to the discovery of printing techniques in the
15th
century. It was felt that there should be some authoritative formulary, at least for some particular
community.
 1st
book published by College of Florence in 1498. It contains the important work of Nicholas.
 The city of Nuremberg was 1st community to process a Pharmacopoeia who was legally binding on
the apothecaries of that city in 1529. They adopted 100 years old book “Luminare Majus” published
in 1406.
 In 1546 it was replaced by Dispensatorium of Valerius Cordus.
 This action of Nuremberg stimulated others to publish their own pharmacopoeias.
Chapter 2. History and Literature of Pharmacy
34
Muhammad Muneeb
 In 16th century, pharmacopoeias of London, Augsburg, Antwerp, Lyons, Basle, Valencia, Cologne,
Paris and Amsterdam emerged.
LONDON PHARMACOPOEIA:
 It was published in 1618 by College of Physicians and contains more than 2000 drugs and
preparations. Mostly old work was gathered. It remained English pharmacopoeia for 3 centuries.
 Numerous editions were published.
FUSION OF NATIONAL PHARMACOPOEIAS:
 Medical Act of 1858 ordered the fusion of London, Edinburgh and Dublin pharmacopoeias to form
British Pharmacopoeia.
 The General Council of Medical Education and Registration of UK was given exclusive rights of
publishing, printing and selling the book.
 1st
edition with the collaboration of Pharmaceutical Society appeared in 1864. Subsequent editions in
1867, 1885, 1898, 1914 and sixth in 1932.
 A pharmacopoeia commission was established in 1914 to revive and make amendments in official
books.
FORMULARIES:
 These are supplementary to Pharmacopoeias. The scope of Pharmacopoeia is mainly restricted to drugs
and preparations which at the time of publication are of sufficient importance.
 Information regarding drugs and preparations which are widely used but are not official and also the
recently introduced substances which have not yet proved sufficiently important for inclusion in
pharmacopoeia must be sought elsewhere.
 Various books of this kind appeared from time to time, but the most important were.
o British Pharmaceutical Codex (B.P.C.)
o Extra Pharmacopoeia (E.P.)
o B.P.C. is published by Pharmaceutical Society. 1st edition was published in 1907, 2nd
in 1911
than in 1915, 1922 and 1923.
o E.P. was published in 1883 by W. Martindale and W. W. Westcott. In 1933 after the death of
W. H. Martindale (son of W. Martindale) the rights of this book were purchased by society.
INTERNATIONAL PHARMACOPOEIA:
 In 1951, WHO published the Pharmacopoeia Internationalis, a compilation in two volumes (volume 2
in 1955).
 It designed a collection of standards which could serve as reference for the establishment of
international standards.
 Its 2nd
edition was published in 1963 and 3rd
edition comprising 5 volumes in 1979.
EUROPEAN PHARMACOPOEIA:
 In 1964 a council of Europe was established and included 7 countries, whose council of ministers
adopted a resolution to establish an European Pharmacopoeia.
 The 7 countries were Belgium, France, Germany, Italy, Luxemburg, the Netherlands and UK. Latter
on Switzerland was accepted as 8th member.
Chapter 2. History and Literature of Pharmacy
35
Muhammad Muneeb
 These countries signed a document by which this Pharmacopoeia was made legal and binding for all.
o 1st
volume published in 1969
o 2nd
volume in 1971 and
o 3rd
volume in 1975
PAKISTAN PHARMACOPOEIA:
Introduction:
The government of Pakistan constituted Pakistan Pharmacopeia under assistance of Pakistan
Pharmacopoeial commission / committee in 1964, dated on August 08th
. The tenure of the office of memebers
was 5 years.
Applications:
It includes:
 Antibiotics, antiseptics, anti-epileptics
 Anti-histamines, anti-conversant, hypnotics, analgesics
 Hormones and vitamins
Among specifications, it includes:
 Standards for drugs
 Specifications except storage
 Uniformity
 Added substances
 Apparatus
 Procedure
 Biological assays
 Preservations
National Formulary of Pakistan:
First edition of Pakistan NF was published in 1973. The general scope of pharmacopoeia is to give
description and prescribe standards for identity, purity, strength, potency and dosage of substances used in the
practice of medicine and surgery.
BRITISH PHARMACOPOEIA:
Introduction:
BP is the pharmacopoeia of United Kingdom (UK). It is an annually published collection of quality
standards for UK medicinal substances.
Pharmacopoeia Commission:
BP is prepared by the pharmacopoeial commission, including pharmacopoeial secretaries, working in
collaboration with BP laboratory, BP commission and its expert advisory groups and panels.
History:
Chapter 2. History and Literature of Pharmacy
36
Muhammad Muneeb
BP was first published in 1864 and was one of the first attempts to harmonize the pharmaceutical
standards and was titled Pharmacopoeia Britannica. A commission was first appointed by general Medicine
Council for producing BP on national basis. In 1968, medicine act established the legal status of B.P.
commission and made it responsible for preparing new editions of BP.
Edition 2008:
It contains 300 monographs for drug substances.
Edition 2011:
BP 2011 contains approx. 3375 monographs, preparations and articles used in practice of medicine.
The BP 2011 comprises 6 volumes, which are as follows.
 Volume 1 and 2: Medicinal substances
 Volume 3: Formulated preparations (General and Specific monographs)
 Volume 4: Herbal, homeopathic, surgical, immunologic products
 Volume 5: IR reference, spectrum, appendices, supplementary chapters, Index
 Volume 6: BP veterinary
Electronic Edition:
BP is also available electronically in both online CO-ROM versions.
Applications of British Pharmacopoeia:
The BP contains:
 General notices (providing general information applicable to all tests)
 General monographs (apply to all dosage forms)
 Specific monographs providing mandatory standards for:
o API, excipients
o Formulated preparations (licensed and unlicensed products)
o Herbal drug products
o Blood-related products
o Immunologic products
o Radiopharmaceutical preparations
 IR reference standards
 Appendices (scattered information)
 Supplementary chapters
 Comprehensive index (separate raw and finished product monographs)
UNITED STATE PHARMACOPOEIA:
Introduction:
USP is for US and is published annually by US Pharmacopoeial commission. USP is published as a
combined volume with national formulary as USP-NF.
First Edition:
Chapter 2. History and Literature of Pharmacy
37
Muhammad Muneeb
It was published in 1820. It contained therapeutic products, their information and recipes of their
preparations.
USP30-NF25:
It contains specific standards of drug dietary substances, biological products used in dosage form.
USP31-NF26:
It contains official substances and preparations monographs. It contains approx. 4240 monographs,
more than 220 general tests and assays. It consists of 3 volumes:
 Volume 1: It contains preface, admissions, notices, general chapters, reagents, indicators, test papers,
solutions, reference tables, supplements, microbiological tests pf assays, chemical tests and assays.
 Volume 2: It has guide to general chapters, monograph (A – L) and index.
 Volume 3: It contains notices, monograph (M – Z) and index.
USP 39-NF34:
It is the current edition of USP-NF.
Drug Compendia:
The books containing the standards of drugs and related substances are known as pharmacopoeia.
Collectively, these books are known as drug compendia.
DIFFERENCE BETWEEN PHARMACOPOEIA AND FORMULARY:
Pharmacopoeia Formulary
Definition
An official book containing directions for the use of
drugs and their QC tests.
An official book giving details of predictable
medicine. It does not provide QC methods.
Information
It provides no indications, adverse effects or
contraindication of drugs.
It gives name, indication, DDIs and
contraindications of drug use.
Tests
It includes the procedures for the testing the quality
of drugs.
It does not include procedures to perform several
tests.
Quality or Region Drugs
It is used for information about QC testing. It is basically the list of drugs of a particular region.
_______________________________________________________________________________________
Chapter 3. Physicochemical Principles
38
Muhammad Muneeb
Unit 3.
PHYSICO-CHEMICAL PRINCIPLES
Outline:
a. Solutions: Introduction, types, concentration expressions, ideal and real solution, colligative
properties, their mathematical derivations and applications in pharmacy, molecular weight
determinations, distribution co-efficient and its applications in pharmacy.
b. Solubilization: Solubility, factors affecting solubility, surfactants, their properties and types. Micelles,
their formulation and types.
c. Adsorption: Techniques and processes of adsorption in detail.
d. Ionization: pH, pH indicators, pka, buffers, buffer’s equation, Isotonic solutions and their applications
in pharmacy.
e. Hydrolysis: Types and protection of drugs against hydrolysis.
f. Micromeritics: Particle size and shapes, distribution of particles methods of determination of particle
size and importance of particle size in Pharmacy.
_______________________________________________________________________________________
A. SOLUTIONS
Solutions:
A solution is a homogeneous mixture of two or more substances at molecular level. A solution may
exist in any phase.
OR
A homogeneous mixture of chemical substances, which has same physical properties and chemical
composition is called solution.
OR
A homogeneous mixture of solute and solvent which doesn’t interact chemically is called solution.
OR
A solution is a homogenous mixture of two substances but consisting of one phase.
PHARMACEUTICAL SOLUTIONS:
Solutions are dosage form prepared by dissolving the active ingredient(s) in aqueous or non-aqueous
solvent.
Definitions:
 SYSTEM: System is the bounded space which is under consideration.
 PHASE: Phase is a distinct homogeneous part of a system separated by definite boundaries from
other parts of the system.
 DISPERSION: Dispersion consists of at least two phases with one or more dispersed (internal) phase
contained in a single continuous (external) phase.
Chapter 3. Physicochemical Principles
39
Muhammad Muneeb
 DISSOLUTION: Two or more mix at the level of individual atoms, molecules or ions.
 BINARY SOLUTION: A solution consisting of only two substances is known as binary solution.
TYPE OF DISPERSION:
 True solution
 Colloidal dispersion
 Coarse dispersion
TRUE SOLUTION COLLOIDAL DISPERSION COARSE DISPERSION
Definitions
A true solution is defined as a
mixture of two or more
components that form a
homogeneous molecular
dispersion.
The colloidal dispersion can be
heterogeneous or homogeneous
(one-phase system).
Coarse dispersions are heterogeneous
dispersed systems, in which the
dispersed phase particles are larger
than 1000 nm (4×10-5
).
Particle Size
less than 1nm Greater than true solution but less
than coarse dispersion i.e. 1 to 500
nm
Greater than 500nm (0.5μm)
No. of Phases
One phase system Heterogeneous or homogeneous
(one-phase system)
Heterogeneous
Light Scattering
Cannot scatter light Show Tindall effect May or may not scatter light
Separation of Particles on Standing
Do not separate on standing Don’t separate on standing Particles settle down
Filtration
Can pass through ordinary
and ultra-filters
Only can pass through ordinary
filters
May or may not pass through
ordinary filters
Examples
Solution of NaCl in H2O  Starch
 Milk
Emulsions (liquid-liquid dispersion)
Suspension (solid-liquid dispersion)
Solute & Solvent:
A solution consists of two or more substances; the substance which is greater in amount is called the
solvent while the substance which is lesser in amount is referred as solute.
 Generally, in liquid and solid solution the liquid is taken as solvent while the solid substance is the
solute irrespective of material quantity.
 Similarly, in case of a solution consisting of water and any other solid or liquid substance, the water
is taken as solvent while the other substance is the solute irrespective of the material quantity.
Types of Solutions According to States:
Chapter 3. Physicochemical Principles
40
Muhammad Muneeb
Solute Solvent Types of solutions Examples
Solid Solid Solid in Solid Alloys
Liquid Solid Liquid in Solid Hydrated salts
Gas Solid Gas in Solid Dissolved gases in minerals
Solid Liquid Solid in Liquid Salt solution in water
Liquid Liquid Liquid in Liquid Alcohol in water
Gas Liquid Gas in Liquid Aerated drinks
Solid Gas Solid in Liquid Iodine vapors in air
Liquid Gas Liquid in Liquid Humidity in air
Gas Gas Gas in Liquid Air
Stages of Solution Process:
i. Separation of Solute:
 Must overcome intermolecular forces or non-ionic interactions in solute
 Requires energy, Endothermic (+∆H)
ii. Separation of Solvent
 Must overcome intermolecular forces of solvent particles
 Requires energy, Endothermic (+∆H)
iii. Interaction of Solute & Solvent
 Attractive bonds b/w solute particles and solvent particles
 “Solvation” or “Hydration” (where water = solvent)
 Release energy, exothermic (-∆H)
Types of Solute:
 NON-ELECTROLYTE: The substances that do not ionize when dissolved in water and do not
conduct electric current is called non-electrolyte, e.g. solution of sucrose, urea and glycerin.
 ELECTROLYTE: The substances that ionize when dissolved in water and conduct electric current
is called electrolyte. There are further divided into:
o Strong Electrolyte: Substance that completely ionized in water, e.g. HCl and Sodim Sulphate.
o Weak Electrolyte: Substances that partly ionized in water, e.g. Ephedrine and Phenobarbital.
Physical Properties of Substances:
 EXTENSIVE PROPERTIES: Properties which depend on the quantity of the matter in the system,
e.g. mass and volume.
 INTENSIVE PROPERTIES: Properties which are independent of the amount of the substances
in the system, e.g. temperature, pressure, density, surface tension, and viscosity of pure liquid.
The physical properties of the substance can be classified into following:
1. ADDITIVE PROPERTIES:
 The physical properties, which depend upon the sum of the properties of all the constituents of the
solution, are called additive properties. OR
Chapter 3. Physicochemical Principles
41
Muhammad Muneeb
 The physical properties which depend on the total contribution of the atoms in the molecule or the sum
of properties of the constituents in a solution.
 E.g. molecular weight.
2. CONSTITUTIVE PROPERTIES:
 The physical properties which depend on the arrangement and number or kind of atoms within a
molecule
 The constitutive properties mainly depend on the arrangement & to a lesser extent on kind and No of
atoms.
 E.g. refraction of light, electric properties and solubility (also are additive properties)
3. COLLIGATIVE PROPERTIES:
 Depend mainly on the number of particles in a solution
 E.g. osmotic pressure, vapor pressure lowering, freezing point depression and boiling point elevation
Concentration Expression:
The concentration of a solution can be defined as:
‘’The amount of solute present in a given amount of solution is called concentration of the solution.’’
A solution containing a relatively low concentration of solute is called dilute solution while a solution
containing relatively a high concentration of the solute is said to be concentrated solution.
There are several ways of expressing concentration of solution, some are as follows:
1. Percentage Expression
2. Molarity
3. Normality
4. Molality
5. Mole Fraction
6. Parts per million
BASIC DEFINITIONS:
 MOLES: Moles is the gram molecular weight of a substance.
 GRAM EQUIVALENT WEIGHT: It is the mass of a given substance which will:
o Supply or react with one mole of hydrogen cations H+
in an acid–base reaction; or
o Supply or react with one mole of electrons−in a redox reaction.
The Concentration of solution can be expressed in following terms:
1. MOLARITY (M):
Molarity can be defined as: “The number of moles of solute per litter of solution is called Molarity.”
𝑀𝑜𝑙𝑎𝑟𝑖𝑡𝑦 =
𝑁𝑜. 𝑜𝑓 𝑚𝑜𝑙𝑒𝑠 𝑜𝑓 𝑠𝑜𝑙𝑢𝑡𝑒𝑠
Volume of solution (in litters)
Chapter 3. Physicochemical Principles
42
Muhammad Muneeb
The Molarity of solution is represented by M and its units are mole /litter. Molarity is the general unit
that used in the most of chemistry calculation; we usually use this unit to define the concentration of the
solution in stoichiometry calculation.
2. NORMALITY (N):
Normality can be defined as: “The no. of gram equivalent of solute present per litter of the solution.”
Normality =
No. of gm equivalent of solute
Volume of solution in litters
Where,
𝑁𝑜. 𝑜𝑓 𝑔𝑚 𝑒𝑞𝑢𝑖𝑣𝑎𝑙𝑒𝑛𝑡 =
𝑊𝑒𝑖𝑔ℎ𝑡 𝑜𝑓 𝑠𝑢𝑏𝑠𝑡𝑎𝑛𝑐𝑒
Equivalent weight
And,
𝐸𝑞𝑢𝑖𝑣𝑎𝑙𝑒𝑛𝑡 𝑤𝑒𝑖𝑔ℎ𝑡 =
𝑀𝑜𝑙𝑒𝑐𝑢𝑙𝑎𝑟 𝑤𝑒𝑖𝑔ℎ𝑡
ACIDITY OR BASICITY
3. MOLALITY (M):
The Molality of solution can be defined as: “The no. of moles of solute per kilogram of solvent is
called Molality.”
𝑀𝑜𝑙𝑎𝑙𝑖𝑡𝑦 =
𝑀𝑜𝑙𝑒𝑠 𝑜𝑓 𝑠𝑜𝑙𝑢𝑡𝑒𝑠
𝑊𝑒𝑖𝑔ℎ𝑡 𝑜𝑓 𝑠𝑜𝑙𝑣𝑒𝑛𝑡 𝑖𝑛 𝑘𝑔
The Molality of solution is represented by “m” & its units are mole / kg. Molality usually uses to define
the physical properties of the solution like vapor pressure, boiling point elevation, and freezing point
depression of solution. We use normality in the volumetric calculation especially in the titration calculation.
4. MOLE FRACTION (X):
Ratio of moles of one constituent of a solution to the total moles of all constituent.
𝑥1 =
𝑛1
𝑛1 + 𝑛2
; 𝑥2 =
𝑛2
𝑛1 + 𝑛2
Where,
X1 is the mole fraction of constituent 1
X2 is the mole fraction of constituent 2
n1 and n2 are the numbers of moles of respective constituent in the solution
It is denoted by “X”. The Mole fraction is unit less & total mole fraction of a solution will always be
unity:
Xsolute + Xsolvent = 1
5. PERCENT EXPRESSION:
Chapter 3. Physicochemical Principles
43
Muhammad Muneeb
It can be defined as: “The specific amount of solute present in 100 gm of solution.” OR “It is the part
of the solute present in 100 parts of the solution.”
 PERCENT BY WEIGHT (%W/W): Gram of solute in 100g of solution. / It is the weight of
solute as a percent of total weight of solution.
% age of solute =
Weight of solute
Weight of solution
x 100
 PERCENT BY VOLUME (%V/V): Milliliters of solute in 100 mL of solution. / It is the volume
of solute as a present of total volume of the solution.
% age of solute =
Volume of solute
Volume of solution
x 100
 PERCENT WEIGHT-IN-VOLUME (% W/V): Grams of solute in 100 mL of solution. / It is
the no: of parts of the solute by weight in 100 parts by volume of solution. In this case, total weight or
volume of solution is not considered.
% age of solute =
Weight of solute
Volume of solution
x 100
 MILLIGRAM PERCENT: Milligram of solute in 100mL of solution.
6. PARTS PER MILLION:
Number of parts (by wt. or volume) of solute per million parts (by wt. or volume) of solution is called
parts per million.
𝑃𝑃𝑀 =
𝑀𝑎𝑠𝑠 𝑜𝑓 𝑠𝑜𝑙𝑢𝑡𝑒 (𝑔𝑚)
Mass of solution
× 106
Significance:
 It is used for very low conc. of solution.
 It is used to express the amount of impurities in H2O.
Ideal and Real Solution:
Ideal Solutions Real Solutions
Definition
A solution in which there is no change in the
properties of the components, other than dilution,
when they are mixed to form a solution; no heat is
evolved or absorbed during the process, and the final
volume represent the additive properties of the
individual constituent. It means complete uniformity
of attractive forces.
Solution which does not follow the Raoult’s Law is
called non-ideal solution or real solution. The real
solution show deviation from Raoult’s Law, which
are either positive or negative deviation.
Raoult’s Law
Follow Raoult’s law Doesn’t follow Raoult’s law
PROPERTIES OF IDEAL SOLUTIONS:
 During the formation of an ideal solution, only the dilution or change in concentration occurs.
 In mixing the components of an ideal solution, no heat is evolved / absorbed.
Chapter 3. Physicochemical Principles
44
Muhammad Muneeb
 The total volume of the solution is equal to the sum of the volumes of the components
V= V1 + V2 + V3
 There is no shrinkage or expansion of molecules or volumes because the size of the molecules of the
components remains same after mixing.
 The constitutive properties of the ideal solution are the arrange of the properties pure individual
components.
 For the formation of an ideal solution, the mixing substances should be with similar properties e.g.
methanol & Ethanol, benzene & Toluene, methanol & Water, etc.
 There is a complete uniformity of attractive forces b/w the constituents of an ideal solution.
 The osmotic pressure of an ideal solution can be determined by Vent Hoff’s Rule.
PROPERTIES OF REAL SOLUTION:
 Total volume of real solution is not equal to the sum of volumes of all the components, i.e.
V ≠ V1 + V2 + V3
 During the mixing of components of real solution, there is either evolution or absorption of heat, i.e.
∆H ≠ O.
 When the components of a real solution are mixed, there will be either shrinkage or expansion of the
molecules of the components.
 Real solutions can be obtained by mixing the components of different properties.
 The attractive forces b/w the components of the real solutions are not the same.
 There must be change in properties of the components of the real solution.
 The real solutions deviate from Raoult’s Law in two ways:
o If the cohesive forces are greater than adhesive forces. Then real solutions deviate positively
from Raoult’s Law. E.g. Acetone, water, Benzene & Ethyl Alcohol, Ethanol & Water.
o If the adhesive forces b/w the molecules of components are greater that cohesive forces, then
real solution deviate negatively from Raoult’s Law. E. g. H2O + HCl, Acetone + Chloroform.
Raoult’s Law:
Raoult’s law states that, any particular temperature, the partial pressure of one component of a binary
mixture is equal to the mole fraction of that component multiplied by its vapor pressure in the pure state at
this temperature.
According to Raoult’s law, in an ideal solution the partial pressure (P) of each volatile constituent is
equal to the vapour pressure of the pure constituent (Po) multiplied by its mole fraction (X).
Chapter 3. Physicochemical Principles
45
Muhammad Muneeb
P = Po × X
ESCAPING TENDENCY: The tendency to escape or expand is called escaping tendency. The escaping
tendency of hotter body is greater than the escaping tendency of colder one.
Colligative Properties:
A. LOWERING OF VAPOUR PRESSURE:
VAPOUR: The pressure exerted by the vapours of the liquids at equilibrium state with pure liquid, it self, at
a given temperature is called vapour pressure of the liquid.
LOWERING OF VAPOUR PRESSURE: When a non-volatile solute is combined with a volatile solvent,
the solute decreases the escaping tendency of solvent, which on the basis of Raoult’s Law lower the vapour
pressure of the solution.
METHOD USED: Manometric method is used to determine vapour pressure.
GRAPHICAL EXPLANATION:
When a nonvolatile solute is dissolved in a pure solvent, the solute molecules adjust themselves b/w
the intermolecular spaces and attractive forces are produced b/w the solute & solvent. Now, the solvent
molecules cannot easily escape from solution & with the result the Vp is lowered at constant temperature. If
the vapour pressure of solvent with dilute solute is P1, and pure solvent is P1
o
. X1 and X2 are the mole fraction
of solvent and solute then according to Raoult’s law,
𝑃1 = 𝑃1
𝑜
× 𝑋1
We know that,
𝑋1 + 𝑋2 = 1
𝑋1 = 1 − 𝑋2
Putting the value of X1 in first equation we get,
𝑃 = 𝑃1
𝑜
× (1 − 𝑋2)
𝑃 = 𝑃1
𝑜
−𝑃1
𝑜
𝑋2
𝑃1
𝑜
− 𝑃 = 𝑃1
𝑜
𝑋2
𝑃1
𝑜
− 𝑃
𝑃
1
𝑜 = 𝑋2
∆𝑃
𝑃
1
𝑜 = 𝑋2
The relative lowering of vapour pressure depend only on the mole fraction of solute.
As,
𝑥2 =
𝑛2
𝑛1 + 𝑛2
So,
Chapter 3. Physicochemical Principles
46
Muhammad Muneeb
As n2 is negligible in a very dilute solution so n1 + n2 ≈ n1
∆𝑷
𝑷𝟏
𝒐 =
𝒏𝟐
𝒏𝟏
Where
𝒏𝟐 =
𝑾𝟐
𝑴𝟐
𝑎𝑛𝑑 𝒏𝟏 =
𝑾𝟏
𝑴𝟏
and
If the weight of the solvent (W1) is 1000g then
∆𝑃
𝑃
1
𝑜 =
𝑊2
𝑀2
⁄
1000
𝑀1
⁄
We know that W2/M2= m
So,
∆𝑃
𝑃
1
𝑜 =
𝑚
1000
𝑀1
⁄
∆𝑃
𝑃
1
𝑜 =
𝑀1𝑚
1000
GRAPHICAL FORM:
B. ELEVATION OF BOILING POINT
BOLING POINT: The temperature at which the vapour pressure of a liquid becomes equal to the atmospheric
pressure is called boiling point.
Boiling Point ELEVATION: When a solute is added to a pure solvent, the boiling point of solution (solute
+ solvent) will be greater than the BP of the pure solvent. This difference b/w the boiling point of the solution
& pure solvent at constant pressure is called elevation in boiling point.
Chapter 3. Physicochemical Principles
47
Muhammad Muneeb
Whenever a nonvolatile solute is added to a pure solvent, the V.P. of the solvent is reduced. So < the
resulting solution will boil at a higher temperature is compared to that of pure solvent at. Some atmospheric
pressure. And this difference is said to be elevation in B.P.
APPARATUS: Cottrell apparatus is used for finding elevation of boiling point.
GRAPHIC REPRESENTATION:
From the above graph, it is shown that VP curve of solution lies below that of solvent, so to reach the
normal BP, the temperature: is elevated (i.e. increased) in this increase in temperature of solution is called
elevation in boiling point.
MATHEMATICAL FORM:
Elevation of boiling point: 𝑇 − 𝑇𝑜 = ∆𝑇𝑏
Lowering of vapour pressure: ∆𝑃 = 𝑃0
− 𝑃
The ratio of elevation of boiling point is proportional to the lowering of vapour pressure.
∆𝑇𝑏 ∝ ∆𝑃
∆𝑇𝑏 = 𝐾 ∆𝑃
As P0
is boiling point constant it can be considered proportional to ΔP/Po
.
∆𝑇𝑏 =
𝐾 ∆𝑃
𝑃𝑜
According to Raoult’s Law:
∆𝑃
𝑃
1
0 = 𝑋2
So,
∆𝑇𝑏 = 𝐾 𝑋2
∆𝑇𝑏 = 𝐾
𝑛2
𝑛1 + 𝑛2
As n1 + n2 ≈ n1
So,
Chapter 3. Physicochemical Principles
48
Muhammad Muneeb
∆𝑇𝑏 = 𝐾
𝑛2
𝑛1
Where
𝒏𝟐 =
𝑾𝟐
𝑴𝟐
𝑎𝑛𝑑 𝒏𝟏 =
𝑾𝟏
𝑴𝟏
And if the weight of the solvent (W1) is 1000g then:
∆𝑇𝑏 = 𝐾
𝑊2
𝑀2
⁄
1000
𝑀1
⁄
We know that W2/M2= m
∆𝑇𝑏 = 𝐾
𝑚
1000
𝑀1
⁄
∆𝑇𝑏 = 𝐾
𝑀1𝑚
1000
OR
∆𝑻𝒃 = 𝑲𝒃𝒎
Where Kb is the ebullioscopic constant, which can be defined boiling point elevation for an ideal 1m
solution.
C. DEPRESSION OF FREEZING POINT:
DEPRESSION OF FREEZING POINT: When a nonvolatile solute is dissolved in a pure solvent, then it
will freeze at a lower temperature than the temperature at which pure solvent freezes. And this difference in
freezing point b/w the pure solvent & solution is called freezing point depression.
METHOD USED: Beckmann’s Apparatus or Equilibrium Apparatus is used to determine depression of
freezing point.
EXPLANATION:
When a nonvolatile solute is added to a pure solvent at triple point, the lowering of vapour pressure of
solution takes place, so in order to again establish equilibrium b/w solid & liquid, the temperature is further
dropped & this leads to depression in freezing point of the solution as compared to FP of pure solvent and this
is called dispersion in freezing point.
This can also be explained by the following graph. As the F.P. of solvent in the temperature at which
solid and liquid forms are in equilibrium while the F.P. of the solution is the temperature at which the solid
solvent is at equilibrium with liquid solution.
Chapter 3. Physicochemical Principles
49
Muhammad Muneeb
MATHEMATICAL FORM:
As V.P. of solution is less that the V.P. of pure solvent, so solid solvent and liquid solutions cannot
coexist at freezing point of pure solvent and so the temperature is further reduced.
Depression of freezing point 𝑇 − 𝑇0 = ∆𝑇𝑓
Lowering of vapour pressure ∆𝑃 = 𝑃0
− 𝑃
The ratio of depression of freezing point is proportional to the lowering of vapour pressure.
∆𝑇𝑓 ∝ ∆𝑃
∆𝑇𝑓 = 𝐾 ∆𝑃
As P0
is freezing point constant it can be considered proportional to ΔP/Po
∆𝑇𝑓 =
𝐾 ∆𝑃
𝑃𝑜
According to Raoult’s Law,
∆𝑃
𝑃
1
0 = 𝑋2
So
∆𝑇𝑓 = 𝐾 𝑋2
∆𝑇𝑓 = 𝐾
𝑛2
𝑛1 + 𝑛2
As n1 + n2 ≈ n1
So
∆𝑇𝑓 = 𝐾
𝑛2
𝑛1
Where
𝒏𝟐 =
𝑾𝟐
𝑴𝟐
𝑎𝑛𝑑 𝒏𝟏 =
𝑾𝟏
𝑴𝟏
Chapter 3. Physicochemical Principles
50
Muhammad Muneeb
And if the weight of the solvent (w1) is 1000g then
∆𝑇𝑓 = 𝐾
𝑊2
𝑀2
⁄
1000
𝑀1
⁄
We know that W2/M2= m
∆𝑇𝑓 = 𝐾
𝑚
1000
𝑀1
⁄
∆𝑇𝑓 = 𝐾
𝑀1𝑚
1000
OR
∆𝑻𝒇 = 𝑲𝒇𝒎
Where Kf is the cryoscopic constant, which can be defined asfreezing point depression for an ideal
1m solution.
As we know
𝑚 =
𝑊2
𝑊1 × 𝑀2
× 1000
So the above equation can be written as
∆𝑻𝒇 = 𝑲𝒇
𝑾𝟐
𝑾𝟏 × 𝑴𝟐
× 𝟏𝟎𝟎𝟎
D. OSMOTIC PRESSURE:
Osmosis is defined as the passage of solvent into a solution through semi-permeable membrane (is
barrier which allow only the molecules of one component to pass through). This process tends to equalize the
escaping tendency of solvent on both sides of semi-permeable membrane. The escaping tendency can be
measured in term of vapour pressure or the closely related colligative property osmotic pressure.
Osmotic pressure is defined as the pressure greater than that above the pure solvent, that must be
applied to the solution to prevent the passage of the solvent through a perfect semipermeable membrane. The
phenomena of osmosis depend upon the fact that the chemical potential of a solvent molecule is less than that
exist in the pure solution. Solvent therefore passes spontaneously into the solution until the chemical potentials
of solvent and solution are equal.
EXPLANATION.
If a pure solvent is placed adjacent to a solution separated by a semipermeable & so dilute the solution
& also raise the volume of the solution. And with the result the hydrostatic pressure (Osmotic pressure) is set
up on the solution. This osmotic pressure can be measured by applying a known pressure, which stops any
movement.
Chapter 3. Physicochemical Principles
51
Muhammad Muneeb
This osmotic pressure obtained is therefore proportional to the reduction in VP brought about by the
concentration of solute present. And so, osmotic pressure is Colligative property.
Osmotic pressure osmometers are shown in the figure above. It works on the same phenomena. Once
equilibrium has been attained, the height of the solution in the capillary tube on the solution side of the
membrane is greater by the amount h than the height in the capillary tube on the solvent side, the osmotic
pressure can be measured by following formula.
𝑂𝑠𝑚𝑜𝑡𝑖𝑐 𝑃𝑟𝑒𝑠𝑠𝑢𝑟𝑒 𝜋 (𝑎𝑡𝑚) = 𝐻𝑒𝑖𝑔ℎ𝑡 (ℎ) × 𝑆𝑜𝑙𝑢𝑡𝑖𝑜𝑛 𝑑𝑒𝑛𝑠𝑖𝑡𝑦 (𝜌) × 𝐺𝑟𝑎𝑣𝑖𝑡𝑦 𝐴𝑐𝑐𝑒𝑙𝑒𝑟𝑎𝑡𝑖𝑜𝑛
Applications of Colligative Properties:
 Each colligative properties seems to have certain advantages and disadvantages for the determination
of molecular weights.
 The boiling point method can be used only when the solute is nonvolatile and when the substance is
not decomposed at boiling temperature.
 The freezing point method is satisfactory for solutions containing volatile solutes, such as alcohol,
since the freezing point of solution depends on the VP of the solvent alone. The freezing point method
is easily executed and yields results of high accuracy for solutions of small molecules.
 It is sometimes inconvenient to use freezing point or boiling point method, however, since they must
be carried out at definite temperatures. Osmotic pressure measurements do not have this disadvantage,
and yet the difficulties inherent in this method preclude its wide use.
 In summary, it can be said that the cryoscopic and newer techniques of VP are methods of choice,
except for very high polymers, in which instance the osmotic pressure method is used.
 Since the colligative properties are interrelated, it should be possible to determine the value of one
property from a knowledge of any other.
Molecular Weight Determination:
The four colligative properties discuss above can be used to determine the molecular weight of solvent
in the following way:
∆𝑃
𝑃
1
𝑜 =
𝑛2
𝑛1 + 𝑛2
As n2 is negligible in a very dilute solution so n1 + n2 ≈ n1
Chapter 3. Physicochemical Principles
52
Muhammad Muneeb
∆𝑃
𝑃
1
𝑜 =
𝑛2
𝑛1
Where,
𝒏𝟐 =
𝑾𝟐
𝑴𝟐
𝑎𝑛𝑑 𝒏𝟏 =
𝑾𝟏
𝑴𝟏
∆𝑃
𝑃
1
𝑜 =
𝑊2
𝑀2
⁄
𝑊1
𝑀1
⁄
By rearranging we get,
𝑴𝟐 =
𝑾𝟐𝑴𝟏𝑷𝟏
𝒐
𝑾𝟏∆𝑷𝟏
The molecular weight of a non-volatile solute can similarly determine from depression of freezing point as
shown:
∆𝑇𝑓 = 𝐾𝑓𝑚
As we know 1000W2/W1 is the weight of solute per kilogram of solvent, molality can be expressed as,
𝑚 =
𝑊2
𝑊1 × 𝑀2
× 1000
So the above equation can be written as,
∆𝑇𝑓 = 𝐾𝑓
𝑊2
𝑊1 × 𝑀2
× 1000
By rearranging we get,
𝑴𝟐 = 𝑲𝒇
𝑾𝟐
𝑾𝟏 × ∆𝑻𝒇
× 𝟏𝟎𝟎𝟎
Similarly, by boiling point elevation the equation will become,
𝑴𝟐 = 𝑲𝒃
𝑾𝟐
𝑾𝟏 × ∆𝑻𝒃
× 𝟏𝟎𝟎𝟎
DETERMINATION OF MOLECULAR WEIGHT:
Method Advantage Disadvantage
Boiling Point
Method
The solute must be nonvolatile and the substance is not
decomposed at boiling temperatures
Must be carried out at
definite temperature
Freezing Point
Method
The solute can be volatile as the freezing point only depends on
the vapour pressure of solvent. Freezing point method can be
easily carried out and yields high accuracy of result
Must be carried out at
definite temperature
Osmotic
Pressure
No need of definite temperature, so for high polymers osmotic
pressure is use, such as for proteins molecular weight.
-
Routes of Solution Formulation:
Chapter 3. Physicochemical Principles
53
Muhammad Muneeb
Solutions can be formulated for different routes of administration.
 Orally: syrups, elixirs, drops
 Mouth & Throat: mouth washes, gargles, throat syrups
 In Body Cavities: douches, enemas, ear drops, nasal syrups
 On Body Surface: collodions, lotions
Advantages of Solutions:
1. Easier to swallow
2. More quickly dissolution and effective than tablets and capsules
3. Homogeneous
4. Give uniform dose
5. Minimize adverse effects in GIT
6. Dilute irritant action of some drugs (aspirin, KI)
Disadvantages of Solutions:
1. Bulky, therefore difficult to transport
2. Unpleasant taste or odor are difficult to mask
3. Needs an accurate spoon to measure the dose
4. Less stable than solid dosage form
Major Signs of Instability:
1. Color changes
2. Precipitation
3. Microbial growth
4. Chemical gas formation
Applications of Solutions:
Solutions have a variety of use in pharmaceutical industry.
 They’re used therapeutically as vehicles for oral, parenteral, topical, otic, ophthalmic and nasal
products.
 They’re also used as flavoring, buffers, preservatives and suspending agents for a variety of liquid
dosage forms.
 Concentrated stock solutions serve as component of extemporaneously prepared products.
 Test solutions also play an important role in analysis of pharmaceutical products of all types.
_______________________________________________________________________________________
B. SOLUBILIZATION
Solubility:
 DEFINITION: Solubility is rate and extent of solute to go into solvent to get homogenize until
equilibria.
Chapter 3. Physicochemical Principles
54
Muhammad Muneeb
 QUALITATIVE DEFINITION: The spontaneous interaction of two or more substances to form
a homogeneous molecular dispersion.
 QUANTITATIVE DEFINITION: The concentration of solute in a saturated solution at a certain
temperature.
 MOLAR SOLUBILITY: Molar solubility is defined as the no. of moles of the substances per one
liter of the solution.
Types of Solutions:
 SATURATED SOLUTIONS are holding as much solute as possible at a given temperature. The
solution in which more amount of solute cannot be dissolved at room temperature is called saturated
solution.
 UNSATURATED SOLUTIONS will be able to dissolve more. The solution in which more amount
of solute can be dissolved at a certain temperature is called unsaturated solution. It is also called sub-
saturated solution.
 SUPERSATURATED SOLUTIONS are holding more than they should be able to at a given
temperature. When more amount of solute dissolved in saturated solution by increasing temperature,
then the resultant solution is called supersaturated solution.
Concepts of Solubility:
 Like dissolves like
 Polar dissolves polar
 Nonpolar dissolves Nonpolar
Expression for Approximate Solubility:
The solubility of different substances in solvents can be expressed in different ways. Basically the
solubility of substances is expressed as the no. of parts of solvent required for one part of solute. One the basis
of this statement the solubility of solute is classified into following types:
Chapter 3. Physicochemical Principles
55
Muhammad Muneeb
Descriptive Terms Relative amounts of solvents to dissolve 1 part of solute
Very soluble Less than 1
Freely soluble From 1 – 10
Soluble From 10 – 30
Sparingly soluble From 30 – 100
Slightly soluble From 100 – 1000
Very slightly soluble From 1000 – 10,000
Practically insoluble More than 10,000
THE BIOPHARMACEUTICS CLASSIFICATION SYSTEM:
Class Solubility Permeability Absorption Pattern Example
I High High Well absorbed Diltiazem
II Low High Variable Nifedepine
III High Low Variable Insulin
IV Low Low Poorly absorbed Taxol
Process of Solubilization:
The process of solubilization involves the breaking of inter-ionic or intermolecular bonds in the solute,
the separation of the molecules of the solvent to provide space in the solvent for the solute, interaction between
the solvent and the solute molecule or ion. Process is explained in three steps as follow:
STEP 1. Holes Open in the Solvent
STEP 2. Molecules of the solid breaks away from the bulk
STEP 3. The freed sold molecule is integrated into the hole in the solvent.
Chapter 3. Physicochemical Principles
56
Muhammad Muneeb
A mechanistic perspective of solubilization process for organic solute in water involves the following
steps:
1. Break up of solute-solute intermolecular bonds
2. Break up of solvent-solvent intermolecular bonds
3. Formation of cavity in solvent phase large enough to accommodate solute molecule
4. Vaporization of solute into cavity of solvent phase
5. Formation of solute-solvent intermolecular bonds
6. Reformation of solvent-solvent bonds with solvent restructuring
Factor Influencing Solubility:
A. Solubility of Gases in Liquid:
The concentration of the dissolved gas, when it is in equilibrium with some of the pure gas above the
solution, is called solubility of a gas in liquid. The solubility of gases in liquids depends upon the following
important factors:
i. Pressure
ii. Temperature
iii. Presence of salt
iv. Chemical reaction
EFFECT OF PRESSURE:
 The effect of pressure is observed only in the case of gases.
 An increase in pressure increases solubility of gas in liquid.
 At constant temperature, the solubility of a gas in a liquid is directly proportional to the applied
pressure by obeying Henry Law.
 For example, carbon dioxide is filled in cold drink bottles under pressure.
EFFECT OF TEMPERATURE:
 Generally, with the increase in temperature the solubility of gases in liquids decreases.
 Because, when temperature is increased, the K.E of the molecules is increased which result in the
evolution of gas from the solution & in this way solubility is decreased.
PRESENCE OF SALT:
 By the addition of salt (Electrolyte) the solubility of gas in liquid is decreased. And this phenomenon
is called salting out process
 E.g. addition of NaCl in carbonated water. Because, due to the addition of NaCl, the attractiveness of
H2O towards dissociated from the solution.
CHEMICAL REACTION:
If gases are reacted with water, they have greater solubility. For example, HCl gas reacts with water
& form HCl acid CO2 reacts with water form carbonic acid. So, by their chemical reactions, the solubility of
gases in liquid is increased.
APPLICATIONS:
Chapter 3. Physicochemical Principles
57
Muhammad Muneeb
In pharmacy, different solutions of gases in liquids are used, e.g.
 Hydrochloric Acid
 Ammonia Water
 Effervescent preparations with CO2
 Aerosol products.
B. Solubility of Liquids in Liquids:
Factors affecting are:
1. Attractive forces an Raoult’s law
2. Temperature
3. Influence of foreign substances
ATTRACTIVE FORCES & RAOULT’S LAW:
When two liquids are mixed, either Real or ideal solution is formed. If the adhesive forces are greater
than cohesive forces, then there will be negative deviation from Raoult’s Law, so the solubility (Miscibility)
is increased.
And if the cohesive forces are greater than adhesive forces then there will be positive deviation from
Raoult’s’ Law, leading to decreased solubility.
TEMPERATURE:
The mutual solubility’s of partially miscible liquids are greatly affected by temperature. So by this we
can obtain following three types of graphs (solubility curves).
 TYPE 1: In binary liquid system such as phenol-water: the solubility’s of two phases increases with
increase in temperature until a temperature is obtained at which a homogenous mixture is formed. And
this temperature is called upper critical temperature or upper consulate temperature (UCT). The
temperature at which two phases merge into a single phase is called critical solution temperature.
 TYPE 2: The binary liquid systems such as trimethylamine-water & paraldehyde water is completely
miscible by decreasing the temperature. So they have lower consulate temperature (LCT). Above this
temperature they are partially miscible with each other.
 TYPE 3: Few binary mixtures such as nicotine-water shows both UCT & LCT, with an intermediate
temperature peg ion. Such mixtures are soluble in all proportion above UCT & below LCT, while b/w
UCT & LCT they are partially miscible with each other.
INFLUENCE OF FOREIGN SUBSTANCES:
The addition of a foreign substance in a binary liquid system effect the critical solution temperature or
consulate temperature & in turn solubility. There will be two cases:
 Case 1: When the additional substance is soluble in one component, then the mutual solubility of
binary mixture is decreased. If binary mixture has UCT then it will be raised further & if mixture LCT
then the temperature will be further decreased.
 Case 2: If the third foreign substance is soluble in both the component, then it will increase the mutual
solubility’s by decreasing UCT & raising the LCT.
C. Solubility of Solids in Liquids:
Chapter 3. Physicochemical Principles
58
Muhammad Muneeb
From the experimental evidences it is concluded that solubility of solids in liquids are influenced by
following factors:
1. Temperature
2. Surface area of solute
3. Molecular structure
4. Effect of particle size
5. Hydrophobicity of solute
6. Nature of solute and solvent
EFFECT OF TEMPERATURE:
Generally, in many cases solubility increases with the rise in temperature and decreases with the fall
of temperature but it is not necessary in all cases. However, we must follow tow behaviors:
 In endothermic process solubility increases with the increase in temperature and vice versa. E.g.
solubility of potassium nitrate increases with the increase in temperature.
 In exothermic process solubility decreases with the increase in temperature. E.g. solubility of calcium
oxide decreases with the increase in temperature.
 Gases are more soluble in cold solvent than in hot solvent.
SURFACE AREA OF SOLUTE:
 The size and shape of small particles (those in the micrometer range) also affect solubility.
 Solubility increases with the decreasing particle size and hence increasing the surface area of solute.
MOLECULAR STRUCTURE:
The structure of solid has a great effect on solubility. For example:
a. Ephedrine is insoluble in water in its pure from but its salt ephedrine – HCL is soluble in water.
b. Same is the case of Phenobarbital converted into Phenobarbital Na.
c. Erythromycin is decomposed in gut, when it is in its pure from avoid this, it is converted into
erythromycin propionate.
HYDROPHOBICITY OF SOLUTE:
 Hydrophobicity (from the Greek hydro, meaning water, and phobos, meaning fear) is the physical
property of a molecules (known as a hydrophobe) that is repelled from a mass of water.
 Hydrophobic molecules tend to be nonpolar and, thus, prefer other neutral molecules and non-polar
solvents. Hydrophobic molecules in water often cluster together, forming micelles.
EFFECT OF PARTICLE SIZE:
Chapter 3. Physicochemical Principles
59
Muhammad Muneeb
NATURE OF SOLUTE AND SOLVENT:
 Solubility of a solute in a solvent purely depends on the nature of both solute and solvent.
 A polar solute dissolved in polar solvent.
 And a non-polar solute is freely soluble in a non-polar solvent.
 A polar solute has low solubility or insoluble in a non-polar solvent.
Techniques of Solubility Enhancement:
a) Physical Modifications
a. Particle size reduction
i. Micronization
ii. Nanosuspension
b. Modification of the crystal habit
i. Polymorphs
ii. Pseudopolymorphs
c. Drug dispersion in carriers
i. Eutectic mixtures
ii. Solid dispersions
iii. Solid solutions
b) Chemical Modification
a. Change of the pH
b. Use of buffer
c) Other Methods
a. Cosolvency
b. Complexation
Distribution Law:
The distribution Law / Nernst Distribution Law / partition Law can be defined as: “If a solute X
distributes itself b/w immiscible solvents A and B at constant temperature and X is in the same molecular
condition in both solvents.”
𝐾0 =
Concentration of X in A
Concentration of X in B
Chapter 3. Physicochemical Principles
60
Muhammad Muneeb
If C1 denotes the concentration of X in solvent A & C2 in solvent B, then the distribution law can be
expressed as:
𝐾0 =
𝐶1
𝐶2
Where K0 is called Distribution coefficient / partition, coefficient / Distribution Ratio.
APPLICATIONS OF DISTRIBUTION LAW:
There are numerous applications of distribution law in laboratory and in industry. Among these some
are given by:
1. EXTRACTION: This is the process used for the separations of active ingredients from the crude
substances, by using selective solvents & standard extractive procedure. So by the process of separation the
inert solvents are distilled off while leaving behind the active ingredients. This process is more efficient if the
solvent is used in a number of small portions than one whole lot.
2. PARTITION CHROMATOGRAPHY: This method is used to separate a mixture of small amount(s)
of active ingredients. This technique depends upon the difference in distribution coefficient b/w two
components.
1. The component with highest coefficient will first move down in the separating column while a
component with a lower distribution ratio comes down later.
3. ADSORPTION OF DRUG: The passage and extent of drug absorption through cell membrane depends
upon the distribution coefficient. When the drug comes in contact with cell membrane, it is absorbed due to
its distribution coefficient and enters into the cell.
4. PRESERVATION: The preservatives enter into the microorganisms due to distribution coefficient &
act on the DNA of the microorganism & so stop the growth of that microorganism. This process is called
preservation.
5. PRESERVATION OF EMULSION & CREAMS: In Emulsion & Creams, one component is
dispersed throughout the other. The preservation of such products (i.e. Emulsion & Cream) also follows the
distribution law.
6. RELEASE OF DRUG: When drugs are made available at the site of action, the active ingredient is
selectively absorbed from the dosage from due to its distribution coefficient.
SOLUBILIZATION:
Definition:
The process whereby water insoluble substances are brought into solution by incorporation into
micelles is termed as solubilization.
Factor Affecting Solubilization:
 NATURE OF SURFACTANT:
o In homologous series of Ionic surfactant solubilizing power increases with increase of
hydrocarbon chain length.
Chapter 3. Physicochemical Principles
61
Muhammad Muneeb
o In non-ionic surfactants an increase in oxyethylene chain length decreases the solubilizing
power.
 NATURE OF THE SOLUBILIZATE:
o No relation between the amount of solubilized and the physical properties of solubilized
molecule exists.
o An increase in alkylation Length of homologous series of solubilizate results into decrease in
solubility.
o Unsaturated compounds are relatively more soluble than their saturated counter parts
o Branching of solubilizate has no effect but cyclization generally increases the solubilization
 EFFECT OF TEMPERATURE:
o In most system the amount of solubilized increases with increase in temperature this is
particularly true in non-ionic surfactant as an increase in temperature gives / causes an increase
in micellar size.
Pharmaceutical Application of Solubilization:
A wide range of insoluble drugs have been formulated using the principle of solubilization.
 Phenobic Compounds (Cersol, Chlorocersol, Chlorokylenol, Thymol etc.) are solubilizing in water
exploiting the principle of solubilization. e.g. Dettol
 Solubilization of Iodine in Non-Ionic Surfactant - Such preparation is known as iodophores.
Iodophores are less corrosive when used for surgical sterilization than Iodide-Iodine System.
 Steroids for ophthalmic Preparation - Optical Clarity Requirement limits the use of oily solution so
non-ionic surfactants (polysorbate or polyethylene sorbitian, esters of fatty acids are used to prepare
solution of steroids in water.
 Essential / Volatile Oils are solubilized using the principle of solubilization.
 Water insoluble vitamins (A, D, E and K) - Fat soluble vitamins are made water soluble e.g.
multivitamin syrups / drops
 Problem of ‘Cloud Point’ is always there because it is decrease with added substances. Sucrose esters
are used though increase hemolytic properties.
Chapter 3. Physicochemical Principles
62
Muhammad Muneeb
 Many other drugs like:
o Analgesics
o Sedatives
o Sulfonamide
o Antibiotics etc.
These drugs are also solubilized using the solubilizing technique.
SURFACTANTS:
Surfactants:
 Surfactants are wetting agents that lower the surface tension of a liquid, allowing easier spreading, and
lower the interfacial tension between two liquids.
 A surfactant or surface active agent is a substance that, when dissolved in water, gives a product, the
ability to remove dirt from surfaces such as the human skin, textiles, and other solids.
 Each surfactant molecule has a hydrophilic (water-loving) head that is attracted to water molecules
and a hydrophobic (water-hating) tail that repels water and simultaneously attaches itself to oil and
grease in dirt.
 Surfactants are also referred to as wetting agents and foamers. Surfactants lower the surface tension of
the medium in which it is dissolved. By lowering this interfacial tension between two media or
interfaces (e.g. air/water, water/stain, stain/fabric)
Natural and Synthetic Origin Surfactants:
They can be either. Surfactants from natural origin (vegetable or animal) are known as oleo-chemicals
and are derived from sources such as palm oil or tallow. Surfactants from synthetic origin are known as petro-
chemicals and are derived from petroleum.
Classification of Surfactants:
1. Ionic surfactant
a. Anionic
b. Cationic
c. Zwitterionic (amphoteric)
2. Non-ionic surfactants
Ionic Surfactant:
Chapter 3. Physicochemical Principles
63
Muhammad Muneeb
ANIONIC:
 In aqueous solution these ionizes into a large anion, responsible for emulsifying ability, and a small
cation.
 In solution, the head is negatively charged. This is the most widely used type of surfactant for
laundering, dishwashing liquids and shampoos because of its excellent cleaning properties and high
(based on sulfate, sulfonate or carboxylate anions)
 An example: Sodium dodecyl sulfate (SDS)
 The most commonly used anionic surfactants are alkyl sulphates, alkyl ethoxylate sulphates and soaps.
Anionic surfactants have 5 Subgroups:
 ALKALI METALS AND AMMONIUM SOAPS: These are Na, K or NH4 slats of long chain fatty
acids, such as olive, stearic and recinoleic. They usually produce O/W which are stable at pH above
10. They are sensitive to even weak acids. These are incompatible with polyvalent such as Al+3
, Ca+2
,
Mg+2
, Zn+2
which causes phase inversion. They are not suitable for internal consumption or for broken
skin due to high pH.
 SOAPS OF DIVALENT AND TRIVALENT METALS: Ca+2
, Mg+2
, Zn+2
salts of fatty acids of
these elements produce W/O emulsions. They are also not used internally but are less sensitive to acids.
 AMINE SOAPS: A number of amines form salts with fatty acids. Most important is triethanolamine
(N(CH2.CH2OH)3).
 ALKYL SULPHATES: These are esters of fatty alcohols and H2SO4. The most important are Na-
Lauryl sulphate and Nacetostearyl sulphate. They alone produce O/W emulsions of low stability. But
produce stable emulsion in conjunction with fatty alcohols.
 ALKYL PHOSPHATES: These are similar to alkyl sulphates but the alcohols are phosphated instead
of sulphated. They are also used in combination with fatty alcohols.
CATIONIC:
 The quaternary ammonium compounds comprise the most important group of cationic surfactants.
 They have disinfectant and preservative qualities as well as emulsifying properties.
 In solution, the head is positively charged. (based on quaternary ammonium cations)
 An example: Benzethonium chloride (BZT)
Chapter 3. Physicochemical Principles
64
Muhammad Muneeb
ZWITTERIONIC (AMPHOTERIC):
These surfactants are very mild, making them particularly suited for use in personal care and household
cleaning products. They can be:
1. Anionic (negatively charged),
2. Cationic (positively charged) or
3. Non-ionic (no charge) in solution,
depending on the acidity or pH of the water.
An example of an amphoteric / zwitterionic surfactant is alkyl betaine.
e.g.: Cocamidopropyl betaine
Non-Ionic Surfactants:
 These surfactants do not have an electrical charge, which makes them resistant to water hardness
deactivation.
 They are excellent grease removers that are used in laundry products, household cleaners and hand
dishwashing liquids.
 All soluble surface active agents have:
o A hydrophobic group i.e. a long chain of hydrocarbon
o A hydorphilic group i.e. carboxy, hydroxy, amino group.
TYPES OF NON-IONIC SURFACTANTS:
1. Glyco and Glycerol Esters
2. Sorbitan Esters
3. Macrogol Esters (Polyethylene or Polyoxyethylene glycol esters)
4. Macrogol Ethers
5. Poly-sorbates
6. Poloxalkols
Chapter 3. Physicochemical Principles
65
Muhammad Muneeb
7. Polyvinyl alcohols
8. Higher fatty alcohols
The most commonly used non-ionic surfactants are ethers of fatty alcohols e.g. Cocamide MEA
Properties of Surfactants:
Surfactants have following have pharmaceutical applications as well as physiology effects
(A) PHYSIOLOGICAL EFFECTS.
1. On microorganisms: Surfactants such as quaternary ammonium compounds have useful anti-
bacterial properties and so used as disinfectants for the instruments and skin, anti-bacterial creams and
throat lozenges. They undergo adsorption at the cell surface followed by changes in cellular
permeability leading to the death due to loss of essential substances from the cell.
2. On removal of bronchial mucus from the respiratory treat. In various infections such as asthma,
bronchitis and tuberculosis bronchial mucus becomes viscous. So surfactants are used in the treatment
of such conditions b/c they promote wetting, so mucus becomes soft and its removal is facilitated.
Surfactants are given in the form of aerosols.
3. On human skin: The repeated contact b/w the skin and certain detergents may cause mild irritation
and dry skin leading to blisters and pustules. This lead to onset of infection.
Mechanism of Surfactant:
Surfactants can work in three different ways:
1. ROLL-UP MECHANISM: The surfactant lowers the oil/solution and fabric/solution interfacial
tensions and in this way lifts the stain of the fabric.
2. EMULSIFICATION: The surfactant lowers the oil-solution interfacial tension and makes easy
emulsification of the oily soils possible.
Chapter 3. Physicochemical Principles
66
Muhammad Muneeb
3. SOLUBILIZATION: Through interaction with the micelles of a surfactant in a solvent (water), a
substance spontaneously dissolves to form a stable and clear solution.
Applications of Surfactant:
Surfactants play an important role in many practical applications and products, including:
 DETERGENT: Detergent is a compound, or a mixture of compounds, intended to assist cleaning.
The term is often used to differentiate between soap and other chemical surfactants used for cleaning
purposes.
 FABRIC SOFTENER: Fabric softenr (also called Fabric Conditioner) is used to prevent static cling
and makes the fabric softer.
 EMULSIFIER: Emulsifier (also known as an emulgent or surfactant) is a substance which stabilizes
an emulsion.
 ADHESIVE: Adhesive is a compound that adheres or bonds two items together.
 INK: Ink is a liquid containing various pigments and / or dyes used for colouring a surface to render
an image or text. Ink is used for drawing or writing with a pen or brush.
 AS FLOCCULATING AGENTS: A controlled amount of the flocculation is often desirable in the
formulation of suspension in order to obtain the required rheological properties and optimum stability.
 LAXATIVE: Laxative is a preparation used for encouraging defecation, or the expulsion of feces.
Laxatives are most often taken to treat constipation.
 AS WETTING AGENTS: Hydrophobic powdered are difficult to wet and either float on the water
surface or form large floccules. So viscosity of the preparation is increased up to such an extent that it
is difficult to pour or with drawl of the correct dose from an inject able suspension is not possible so
surfactants are added which reduce the inter particle attractive forces and increase adsorption at the
solid / liquid interface.
 AS SOLUBILIZING AGENTS: Chloroxylenol, a phenolic compound is used as anti-septic agent.
Due to presence of surfactants Chloroxylenol is made solubilized. Similarly surfactants have been used
to increase water solubility of phenobarbitone, volatile oils, chloroform, iodine hormones, dyes and
sulphonamides.
 They are used as additives to ointment and suppository bases.
Chapter 3. Physicochemical Principles
67
Muhammad Muneeb
 OTHER APPLICATION OF SURFACTANTS:
o Wetting
o Ski Wax
o Snowboard Wax
o Foaming
o Defoaming
o Quantum dot coating
o Biocides (Sanitizers)
o Hair Conditioners (after shampoo)
o Spermicide (Nonoxynol 9)
MICELLIZATION:
Micelle:
 A micelle (rarely micella, plural micellae) is an aggregate of surfactant molecules dispersed in a liquid
colloid.
 A typical micelle in aqueous solution forms a roughly spherical or globular aggregate with the
hydrophilic "head" regions in contact with surrounding solvent, sequestering the hydrophobic tail
regions in the micelle center.
 At concentration of surfactants in bulk, phase become saturated. The surfactants molecules will begin
to aggregate known as micelles.
 As the concentration of monomer is increased, aggregation occurs over a narrow concentration range.
 These aggregates which may contain 50 or more monomers are called micelles. A micelles lie within
the size range of colloidal system.
IUPAC Definition:
 Micelle: Particles of colloidal dimensions that exists in equilibrium with the molecules or ions in
solution from which is formed.
 Micelle (polymers): Organized auto-assembly formed in a liquid and composed of amphiphilic
macromolecules, in general amphiphilic di- or tri- block copolymers made of solvophilic and
solvophobic blocks.
Note: During formation of micelles, free energy of system is reduced.
CMC:
 The concentration of monomer at which micelles form is termed as the critical micelle concentration.
Micellization:
Chapter 3. Physicochemical Principles
68
Muhammad Muneeb
 The process of micelle formation is known as micellization
 Compounds forming micelles are called surfactant, surface active agent or amphiphiles
 There are drugs which also from micelles and are known as micellar drugs e.g. cholorquine,
diphenhydramine, orphenadrine, chlorphenoramine etc.
Note: Since the diameter of each micelle is of order of 50 Å, micelle lie within the size range to be a colloid.
Types of Micelles:
According to MC Bains there are two types:
1. A small, spherical changed micelle which exist in all concentrations i.e. above and below CMC and is
responsible for electrical conductivity.
2. A large, lamellar, un-dissociated micelle and is responsible for low osmotic properties.
Micelle Shape as Per Type of Surfactant:
Chapter 3. Physicochemical Principles
69
Muhammad Muneeb
Surfactant Type Aggregate Structure
Simple surfactants with single chains and relatively
large head groups
Spherical or ellipsoidal micelles
Simple surfactants with relatively small head groups,
or ionic surfactants in the presence of large amounts
of electrolyte
Relatively large cylindrical or rod-shaped micelles
Double-chain surfactants with large head groups and
flexible chains
Vesicles and flexible bilayer structures
Double-chain surfactants with small head groups or
rigid, immobile chains
Planar extended bilayer structures
Double-chain surfactants with small head groups,
very large, bulky hydrophobic groups
Reversed or inverted micelles
Increasing and Decreasing Trend of Micelles:
Determination of CMC:
Below the CMC the concentration of amphiphiles undergoing adsorption at the air-water interface
increases as the total concentration of amphiphiles is raised. Eventually a point is reached at which both the
interface and the bulk phase become saturate with monomers. This is called CMC. Any further amphiphiles
added in excess of this concentration aggregates to form micelles in the bulk phase and in this manner the free
energy of the system is reduced.
It affects some physical properties of the system. Some properties show increasing trend while some
other shows decreasing trend.
E.g. the surface tension decreases up to the CMC and above the CMC, the surface tension remains
constant, this shows that the interface is saturated and micelle formation has taken place in the bulk phase.
Factors Affecting the CMC and Micelle Size:
1. NATURE OF THE HYDROPHOBIC GROUP:
Chapter 3. Physicochemical Principles
70
Muhammad Muneeb
 Hydrophobic group plays important role in determining type of association of group. Micellar
amphiphiles have hydrocarbon groups’ constracted from hydrocarbon chains. Increase in length of this
chain will decrease CMC and increase aggregation number.
 Many drugs are surface active agents and form micelles. For example, diphenyl methane drugs.
(diphenhydramine, orpheradrine, chlorphennoxamine etc.)
 Hydrophilicity/ Hydrophobicity and substitute on such drugs play very important role in the
determination of CMC and Aggregation number
 Some representative examples: Antiparkinoism Drugs are used to reduce muscular rigidity
neurological disorder marked by hypokinesia (abnormally diminished motor activity tremor and
muscular rigidity).
 Other Examples:
o PHENOTHIAZINE TRANQULIZER
 Priomazine
 Chlorpromazine
 Promethazine
o ANTIDEPRESSANTS
 Imipramine
 Amitriptyline
 Nor-triptyline
They have tricyclic hydrophilic moieties.
 Many aromatic and hetero aromatic ring structure (dyes, purines, pyrimidine) associate in nonmicellar
process.
2. NATURE OF HYDROPHILIC GROUP:
 Ionic hydrophilic groups of amphiphiles show different properties then Non- ionic hydrophilic groups
may be due to difference in charge.
 In general, non-ionic surfactants have “low CMC” and high aggregation numbers although they have
same length of hydrocarbon chain. This is because in non-ionic surfactant no electrical work during
the process of micellization.
3. EFFECT OF THE COUNTER-ION:
 In case of cationic surfactant as the counter ion is charged in series, Cl-
, Br-
, I-
, micelle size is an
increase in order for Cl-
< Br-
< I-
.
 In case of anionic surfactant as the counter ion is charged in series, Na+
, K+
, Cs+
, micelle size is an
increase in order for Na+
< K+
< Cs+
.
 More weakly hydrated a counter ion larger the micelle formed.
4. EFFECT OF HYDROPHOBIC GROUP:
 If hydrophobic group is aromatic, micelle does not form.
 Length of hydrocarbon chain is directly proportional to micelle size & inversely proportional to CMC.
We express this in mathematical term,
Log [CMC] = A – Bm
Where,
Chapter 3. Physicochemical Principles
71
Muhammad Muneeb
 A & B are homologous series constant.
 m is the no. of carbon atom in chain.
5. ADDITION OF ELECTROLYTES:
Electrolytes reduce the charges (force) on ionic surfactants so there is reduction in the magnitude of
the force of repulsion between the charges had groups on the micelles. Hence, there is reduction in CMC and
increase in aggregation number.
6. EFFECT OF TEMPERATURE:
 This effect in particularly seen in non-ionic surfactants.
 Solution of non-ionic surfactants when heated they turn turbid at a characteristic temperature known
as “cloud temperature”.
 Turbidity at “cloud point” is due to separation of the solution into “two” phases. i.e. dispersed phase
of dispersion medium.
 At temperature up to cloud point there is increase in Aggregation No. and decrease in CMC.
Temperature has no profound effect on CMC and aggregation No. of Ionic Surfactant.
Application:
 Micelle increases bioavailability of poorly soluble drugs.
 Polymeric micelle is used to target the tumor site by passive as well as active mechanism.
 Micelle is used in ophthalmic drug delivery system that effectively delivers the drug to posterior tissue
of eyeball.
 Micelle is used to encapsulate the antibiotic & anticancer drugs.
_______________________________________________________________________________________
C. ADSORPTION
Introduction:
 It is a surface phenomenon and refers to the uniform distribution of a substance through another at the
surface.
 It is the phenomenon in which a layer of ions, molecules or aggregates of molecules condense upon
the surface with which they come in contact.
Chapter 3. Physicochemical Principles
72
Muhammad Muneeb
Importance:
The term surface is customarily used when referring to a gas / solid or a gas / liquid interface. This
phenomenon is a significant factor as:
 Adjuncts in dosage forms
 Penetration of molecules through biological membranes
 Emulsion formation
 Stability and the dispersion of insoluble particles in liquid media to form suspension
Adsorption:
It is an accumulation of substance at the interface or boundary between two and heterogeneous phases.
For example, Solid-Gas, Oil- H2O, Gas-Liquid, or Solid-Liquid.
Absorption:
It implies the penetration one component throughout the body of a second. The distinction between
adsorption and absorption is not always clear.
Components of Adsorption:
Adsorption consists of two components:
 ADSORBENT: Adsorbant is the substance which adsorbs the other substance at its surface. E.g.
Kaolin, pectin, altpulgite, talc, Magnisum trisilicate, Al(OH)3, Simithicone, CaCO3 (Activated
Charcoal), Mg(OH)3 etc.
 ADSORBATE: Adsorbate is the substance which is adsorbs on the other substance’s. E.g. Toxins,
Strychnine HCl, Digoxin and many other drugs
Types of Adsorption:
PHYSICAL ADSORPTION CHEMICAL ADSORPTION
Other Names
Chapter 3. Physicochemical Principles
73
Muhammad Muneeb
Vander Walls or Physical Adsorption Chemisorption or Chemical Adsorption
Intermolecular forces
It is an adsorption at the surface through weak “van
der waal” forces.
It involves stronger valence forces; it is more potent
and usually involves “Ion Exchange Process”
Nature
Nature of gas: Easily liquefiable gases are adsorbed
readily.
Much more specific than physical adsorption.
Heat of Adsorption
Heat of adsorption is small (about 5 Kcal / mol) Heat of adsorption is large (20-100 Kcal /mol)
Reversibility
Reversible Irreversible
Effect of Temperature
Rapid at low temperature; decreases with increase in
temperature
Increase with increase of temperature
Activation Energy
No activation energy is involved May be involved
Effect of Pressure
Increase of pressure causes increased adsorption;
decrease of pressure causes desorption.
Change of pressure has no such effects.
Layers on Adsorbent Surface
Forms multimolecular layers on adsorbent surface Forms unimolecular layer.
 Frequently both physical and chemical adsorption may be involved.
 For example, in adsorption of “Toxins” in the stomach by “Attapulgite” and “Kaolin”
 Chemisorption involves cation exchange with the basic group of Toxins and physical adsorption of
the remainder of the molecule.
Example:
 Stychinine HCl onto Activated Charcoal (Solid – Liquid)
 Activated Charcoal used in Respirators for civilian and forces (Solid- Gas)
 Decrease in surface tension is due to surface active agent for example liquid-gas bonding.
 Emulsifying agent as emulsion stabilizers in case of liquid- liquid bonding.
Chapter 3. Physicochemical Principles
74
Muhammad Muneeb
Adsorption may be:
 Positive adsorption
 Negative adsorption
 Sorption
SORPTION:
When there is not any distinction between adsorption and Absorption, then a non-committal word
“Sorption” is used. OR when both adsorption and absorption are taking place simultaneously, the process is
termed as sorption.
POSITIVE ADSORPTION:
 Solution of Strychnine HCl shaken with activated charcoal resulted into different concentration of
strychnine HCl at surface of charcoal than in the bulk. (Volume Concentration)
 If surface concentration is greater than volume concentration adsorption is called positive adsorption
NEGATIVE ADSORPTION:
 If surface concentration is less than the bulk (volume concentration) the adsorption is called negative
adsorption.
Factor Affecting Adsorption:
 Solubility of adsorbate
 Nature of Adsorbate
 Nature of adsorbent
 Surface area of absorbant
 Affinity between adsorbent and adsorbate
 Concentration of both adsorbate and adsorbent
 Pressure
 Temperature
 pH
A. SOLUBILITY OF THE ADSORBATE:
𝐴𝑑𝑠𝑜𝑟𝑝𝑡𝑖𝑜𝑛 ∝
1
𝑆𝑜𝑙𝑢𝑏𝑖𝑙𝑖𝑡𝑦
 Highly soluble substance has poor/less adsorption on adsorbent surface due to more firm solute –
solvent bonds. This empirical rule is known as Lundeliu’s Rule.
 Phobic substances adsorb more than philic.
Chapter 3. Physicochemical Principles
75
Muhammad Muneeb
B. pH:
 Ionization is effected by pH which actually affects the solubility of drugs.
 In drugs with single molecules, adsorption increases when ionization is suppressed. It is maximum
when drug is completely unionized.
 Adsorption is maximum at isoelectric point.
C. NATURE OF ADSORBENT:
 Physio-chemical nature of adsorbent plays significant role on the rate and capacity of adsorption.
 Finely divided particles have more adsorption capacity because of more surface area.
 Adsorbents can be converted into activated form to increase the capacity of adsorption.
 Example: Activated Charcoal
o Special treatment to remove surface impurities
o To convert into small particles
o Activated charcoal is prepared from coco-nut shells.
 Dust particles removed by steam and air.
 Then converting into small particles.
D. TEMPERATURE:
 Adsorption is an exothermic process and an increase in temperature will decrease adsorption.
 Small variation may not have much influence.
E. PRESSURE:
 Pressure leads to increase of adsorption and decrease of pressure causes desorption.
F. CHROMATOGRAPHY:
 Separation of components solutes in a solution exploits the principle of adsorption. Smallest difference
in their absorbability or differences in their distribution/ partition between two phases.
 ADSORPTION CHROMATOGRAPHY: Adsorbents like Kreselgur, charcoal, cellulose, MgO,
CaO, PO4, CO3, etc. are packed in column (Stationary or Fixed Phase). Water, alcohol, chloroform etc
as mobile phase. E.g. Thin Layer Chromatography
 PARTITION CHROMATOGRAPHY: Two immiscible liquids are used H2O and CH3Cl (liquids)
with silica gel which acts support for liquid as fixed phase and CH3Cl or other liquids as mobile phase.
E.g. Paper Chromatography
G. SURFACE AREA:
 Adsorption being a surface phenomenon, the extent of adsorption depends on the surface area.
 Increase in the surface area of the adsorbent increases the total amount of the gas adsorbed.
H. NATURE OF GAS:
 The amount of gas adsorbed by a solid depends on the nature of the gas.
 In general, more Easily liquefiable gas is more readily adsorbed.
I. HEATS OF ADSORPTION:
Chapter 3. Physicochemical Principles
76
Muhammad Muneeb
 Heat of adsorption is defined as the energy liberated when 1gm mole of a gas is adsorbed on the solid
surface.
 In physical adsorption, gas molecules concentrate on the solid surface. Thus it is similar to the
condensation of a gas to liquid.
 Therefore, adsorption like condensation is an exothermic process
J. REVERSIBLE CHARACTER:
 Physical adsorption is reversible process.
 The gas adsorbed onto a solid can be removed under reverse conditions of temperature and pressure.
K. THICKNESS OF ADSORBED LAYER OF GAS:
 The physically adsorbed gas forms only one molecular thick layer.
 However, above a certain pressure, multimolecular thick layer is formed.
Measurement of Adsorption:
 The relationship between amounts of gas adsorbed and partial pressure gives the adsorption isotherm.
 Usually, N2 adsorption isotherms are taken.
 The partial pressure of gas is increased to form monolayer on the surface of adsorbent.
Type – I:
 Type I isotherms are given by microporous solids having relatively small external surfaces e.g.
activated carbons, molecular sieve zeolites, COFs/MOFs and certain porous oxides), the limiting
uptake being governed by the accessible micropore volume rather than by the internal surface area.
 The graph depicts Monolayer adsorption,
 This graph can be easily explained using Langmuir Adsorption Isotherm.
Chapter 3. Physicochemical Principles
77
Muhammad Muneeb
 If BET equation, when P/P0 <<1 and c>>1, then it leads to monolayer formation and Type I Adsorption
Isotherm is obtained.
Type – II:
 The reversible Type II isotherm is the normal form of isotherm obtained with a non-porous or
macroporous adsorbent.
 The Type II isotherm represents unrestricted monolayer multilayer adsorption.
 The arrow point, the beginning of the almost linear middle section of the isotherm, is often taken to
indicate the stage at which monolayer coverage is complete and multilayer adsorption about to begin.
Type – III:
 The reversible Type III isotherm is convex to the x axis over its entire range.
 It also indicates unrestricted multilayer formation process.
 It forms because lateral interactions between adsorbed molecules are strong in comparison to
interactions between the adsorbent surface and adsorbate.
Type – IV:
 Adsorption on mesoporous solids proceeds via multilayer adsorption followed by capillary
condensation resulting in Type IV and V isotherms.
 Characteristic features of the Type IV isotherm are its hysteresis loop, which is associated with
capillary condensation taking place in mesopores and the limiting uptake over a range of high P/P0.
Type – V:
 The initial part of the Type IV isotherm is attributed to monolayer multilayer adsorption since it follows
the same path as the corresponding part of a Type II isotherm obtained with the given adsorptive on
the same surface area of the adsorbent in a non-porous form.
 The distinction between Types IV and V is analogous to
 that between Types II and III.
Type – VI:
 The Type VI isotherm, in which the sharpness of the steps depends on the system and the temperature,
represents stepwise multilayer adsorption on a uniform non porous surface.
 The step height now represents the monolayer capacity for each adsorbed layer and, in the simplest
case, remains nearly constant for two or three adsorbed layers.
BET Equation:
The adsorbed amount can be calculated by applying Branauer – Emett – Teller (BET) gas adsorption
equation given by:
𝑝
𝑛𝑎. (𝑝0 − 𝑝)
=
1
𝑛𝑚. 𝑐
+
𝑐 − 1
𝑛𝑚. 𝑐
×
𝑝
𝑃0
 na
= amount of gas adsorbed at relative pressure p/po
 nm = monolayer capacity
 c = BET constant related exponentially to enthalpy of adsorption to first layer
Chapter 3. Physicochemical Principles
78
Muhammad Muneeb
NOTE: BET equation is only applied to Type – I and Type – II isotherms.
Types of Adsorbents:
 Oxygen containing compounds
o Typically, hydrophilic and polar
o E.g. silica gel, zeolites
 Carbon based compounds
o Typically, hydrophobic and non-polar
o E.g. activated carbon, graphite
 Polymer based compounds
o Polar or Non polar functional groups in a porous polymer matrix
o Examples: Polymers & Resins
Classification of Adsorbents Based on Pore Size:
 Microporous Adsorbents
o Pore Size Range - 2 Aº to 20 Aº
 Mesoporous Adsorbents
o Pore Size Range - 20 Aº to 500 Aº
 Macroporous Adsorbents
o Pore Size Range - > 500 Aº
Commercial Adsorbents:
 SILICA GEL
o Drying of refrigerants, organic solvents, transformer oils
o Desiccants in packing & double glazing
o Dew Point Control of natural Gas
 ACTIVATED ALUMINA
o Drying of gases, organic solvents, transformer oils
o Removal of HCl from Hydrogen
o Removal of fluorine in alkylation process
 ACTIVATED CARBON
o Removal of odors from gases
o Recovery of solvent vapours
o Nitrogen from air
o Water purification
o Purification of He
 POLYMERS & RESINS
o Water Purification
o Recovery & purification of steroids & amino acids
o Separation of fatty acids from water & toulene
o Recovery of proteins & enzymes
 CLAY
o Treatment of edible oils
o Removal of organic pigments
Chapter 3. Physicochemical Principles
79
Muhammad Muneeb
o Refining of mineral oils
o Removal of poly chlorinated biphenyls (PCBs)
 ZEOLITES
o Oxygen from air
o Drying of gases
o Drying of refrigerants & organic liquids
o Pollution control including removal of Hg
o Recovery of fructose from Corn Syrup
Application of Adsorption:
Adsorption has the application in:
1. Preparative and Analytical Chromatography
2. Heterogeneous catalysis
3. Water purification
4. Solvent recovery
Medical and Pharmaceutical Applications:
1. ADSORPTION OF NOXIOUS SUBSTANCE FROM ALIMENTARY CANAL: Universal and
antidote (activated charcoal, MgO and Tannic acid) when used orally, reduces toxic levels of poisoning.
2. REMOVAL OF TOXIC ELEMENTS FROM BLOOD: Some adsorbents are used to remove toxic
elements by subjecting its dialysis through “hemodialysis” membrane over charcoal and adsorbents
(chlorpheniramine, colchicine, Phenytoin, aspirin etc.)
3. TREATMENT OF SEVERE DRUG OVERDOSES:
 Extracorporeal method has been developed named “Haemoperfusion”.
 Microencapsulation of activated charcoal by Arcylic Hydrogel, a biocompatible material preventing
Embolism and removal of platelets.
 In vivo – In vitro relationship regarding adsorptive capacity of adsorbents.
 No relationship exists.
 Reason:
o GIT and biological system have many other things which alter the adsorption ratio.
 Example:
o In vitro – 5g activated charcoal bin 8g of Aspirin
o In vivo – 30g of activated charcoal inhibits the GIT adsorption of 3g of Aspirin by 50%.
4. ADSORPTION PROBLEMS IN DRUG FORMULATION: Drugs containing antacids and other drugs,
when given, the above problem results. Adsorbents are non-specific nutrients, drugs and enzymes when given
orally. Example: promazine given above or adsorbents.
Chapter 3. Physicochemical Principles
80
Muhammad Muneeb
Other Uses of Adsorption Phenomenon:
1. DECOLOURIZATION: During purification (by partitioning, crystallization and precipitation) chemical
is tinted so colour is removed by adding activated charcoal or other appropriate adsorbents. Precaution:
Adsorption active principle like alkaloid drugs on kieselguhr, adsorption is decreased.
2. ADSORPTION OF WATER VAPORS: Alumina and silica gel remain in solid forms even after 40%
adsorption of H2O. CaCl2 and P2O5 also adsorb H2O but liquefy after water adsorption. Alumina and silica
gel are preferred.
3. ADSORPTION OF PYROGENS: Pryrogen are low molecular weight drugs (glucose, sodium citrate,
calcium gluconate etc.) can be pyrogen free but high molecular weight drugs get adsorbs highly on adsorbents
so cannot be pyrogen free.
4. SURFACE AREA DETERMINATION: Properties of powders are highly influenced E.g. rate of soln.
rate of oxidation, hygroscopic, sedimentation behavior, resistance to gas flow, bulk density and associated
packing problems.
5. MONITORING OF PORE SIZE OF FILTER PAPERS: Membrane filtration for sterility pore size
decreases to 450 nm.
6. STABILITY OF COLLOIDS: Protective colloids (lyophilic colloids for lyophobic colloid’s stability)
7. STABILITY OF EMULSIONS: By using emulsifying agents of appropriate HLB no. (Hydrophilic –
lipophlic balance) Pharmacological Activity due to Adsorption at Receptor Sites.
8. RHEOLOGICAL PROPERTIES OF SUSPENSIONS: Heterogenous system behave differently than
homogenous system behaves differently than homogenous systems. Adsorption at walls of container also
adsorption into the container’s wall.
_______________________________________________________________________________________
D. IONIZATION
Theory of Ionization:
Ionization theory was presented by Arrhenius in 1887 which consist of following postulates:
 The substances called electrolytes are believed to contain electrically charged particles called ions.
 These charges are positive for H+
ion or ions derived from metals and negative for the ions derived
from non-metals. Number of electrical charges carried by an ion is equal to the valency of
corresponding atom.
 Molecules of electrolytes (acids, bases and salts) dissociate into oppositely charged ions on dissolution
in water, e.g.
𝑁𝑎𝐶𝑙 ⇌ 𝑁𝑎+
+ 𝐶𝑙−
𝐻𝐶𝑙 ⇌ 𝐻+
+ 𝐶𝑙−
𝑁𝑎𝑂𝐻 ⇌ 𝑁𝑎+
+ 𝑂𝐻−
 The number of positive and negative charges on the ions must be equal so that the solution as a whole
remains neutral.
 In solution, the ions are in a state of disorderly or random motion. Upon colliding they may combine
to give unionized molecules.
Chapter 3. Physicochemical Principles
81
Muhammad Muneeb
 Thus ionization is a reversible process in which the solution contains ions of electrolyte together with
unionized molecules.
𝐻2𝑆𝑂4(𝑎𝑞)
⇌ 2𝐻+
(𝑎𝑞) + 𝑆𝑂4
2−
(𝑎𝑞)
 The extent of ionization or the degree of ionization depends upon the nature of electrolyte. Strong
electrolytes such as HCl etc. ionize completely in water. Weak electrolytes such as acetic acid
(CH3COOH) ionize only slightly
 Ionization is not affected by electric current.
Types of Solvents:
On the basis of accepting or donating proton, solvents can be classified into four groups.
i. Protophillic
ii. Protogenic
iii. Amphiprotic
iv. Aprotic
1. PROTOPHILLIC:
 Any solvent that can accept proton (H+
) from solute is called Protophillic.
 For example, liquids like (acetones, ether & liquid ammonia) are Protophillic solvents.
 Also called basic solvents.
2. PROTOGENIC:
 Those solvents which can donate proton (H+
) are called Protogenic solvents.
 They are usually acids in nature.
 E.g. H2SO4, HCl, CH3COOH, etc.
3. AMPHIPROTIC:
 Those solvents which can donate or accept the proton are around into amphiphiprotic solvents.
 This group contains H2O, alcohols.
4. APROTIC:
 Those solvents which cannot donate or accept protons are said to Aprotic.
 They are used to study acidic and basic reactions of other compounds.
 Hydrocarbons are grouped in this class of solvents.
Law of Mass Action:
 Law of mass action is stated by Guldberg and Waage. It states about the influence of the concentration
of the reactants on the rate of reaction.
 Law of mass action states that the rate at which substance reacts is proportional to its active mass and
the rate of chemical reaction is proportional to the product of the active masses of the reactants.
 Active mass is the number of moles per liter.
 It is represented by placing the chemical formula of the substance in square brackets. For example,
HCl is represented as [HCl].
Chapter 3. Physicochemical Principles
82
Muhammad Muneeb
Equilibrium:
The state at which two opposing forces or actions are balancing each other is called equilibrium.
Chemical Equilibrium:
The state of reversible reaction when the two opposing reactions occur at the same rate and the
concentration of reactants and products do not change with time is called chemical equilibrium.
Law of Chemical Equilibrium:
 When the above stated law of mass action is applied to a reaction in equilibrium, the result is termed
as the law of chemical equilibrium.
 For example, the reaction,
𝑎𝐴 + 𝑏𝐵 ↔ 𝑐𝐶 + 𝑑𝐷
 The law of chemical equilibrium states the product of molar concentration of the products raised to the
power equal to its co-efficient, divided by the product of the molar concentration of the reactants raised
to its co-efficient, is constant at constant temperature and is termed as equilibrium constant.
𝐾𝑐 =
[𝐶]𝑐
[𝐷]𝑑
[𝐴]𝑎[𝐵]𝑏
Where “Kc” is called constant of law of mass action, and is equilibrium constant for a specific chemical
reaction.
Characteristics of Equilibrium Constant:
 Its value remains constant at a given temperature irrespective of the direction of approach.
 The value of the equilibrium constant remains constant at given temperature and pressure irrespective
of the concentration of the reactants and products.
 The value of equilibrium constant depends on the nature and temperature of the reaction but it remains
unaffected in the presence or absence of catalyst.
 It gives information about the reaction proceeding in a particular direction at a given temperature.
pH:
pH is a measure of the acidity or basicity of an aqueous solution. Solutions with a pH less than 7 are
said to be acidic and solutions with a pH greater than 7 are basic or alkaline. Pure water has a pH very close
to 7.
OR
It is defined as the decimal logarithm of the reciprocal of the H+
ion acidity; aH
+
in a solution.
𝑝𝐻 = − 𝑙𝑜𝑔10(𝑎𝐻
+) = 𝑙𝑜𝑔10 (
1
𝑎𝐻
+)
pH Scale:
Chapter 3. Physicochemical Principles
83
Muhammad Muneeb
pH Indicators:
 Indicators may be considered as weak acid or weak basis that act like buffers and also exhibit color
changes as heir degree of dissociation varies with pH. E.g. methyl red shows its fuel alkaline color
yellow at pH about 6 and full acid color red at pH 4.
 So indicator offers a convenient way of calorimetric method of determining the pH of solution.
 The dissociation of an acid indicator can be expressed as:
𝐾𝑖𝑛 =
[𝐻3𝑂+][𝑙𝑛−
]
[𝐻𝑙𝑛]
 HIn is unionized form and In-
is the ionize form, unionize form gives acid color and ionize form gives
basic colour. When an acid is added to the solution of indicator, the H+
ion concentration increases and
HIn predomination and give acid colour. When a base is added [H3O+
] is reduced and more ionized
form is produce so the color changes.
𝑝𝐻 = 𝑝𝐾𝑖𝑛 +
[𝐵𝑎𝑠𝑒]
[𝐴𝑐𝑖𝑑]
Sorensen’s pH Scale:
 Hydrogen ion concentration are typically very small number, it is b/w 1 (in one molar strong acidic
solution) and 1 × 10-14
(in one molar strong basic solution). So, it is very difficult to handle such small
calculations.
 A chemist Sorensen established a method to express hydrogen ion concentration of a solution. This
method is called Sorensen’s pH scale: and it is defined as:
“The logarithm of reciprocal of hydronium ion is called pH.”
𝑝𝐻 = − log[𝐻]+
 The pH has values b/w 0 & 14 with the help of pH value, the nature of solution (acidic or basic) can
be determined.
 If the solution has pH below 7 to 0, it will be acidic in nature. And the value at which hydrogen ion
concentration is equal to hydroxyl ion concentration, then the solution has pH 7.47 (at 0o
C) and 6.15
(at 100o
C) and will be neutral in nature.
o Neutral solution [H+
] = [OH-
]
o Acidic solution [H+
] > [OH-
]
o Basic solution [H+
] < [OH-
]
And
o pH + pOH = 14
pKa:
Chapter 3. Physicochemical Principles
84
Muhammad Muneeb
pKa of an acid is the –ve log of its acid dissociation constant. Just as pH that is used to find H+
of a
solution, pKa can be used to describe the dissociation constant of a weak acid. The higher the pKa, the weaker
is the acid. E.g.
o pKa of CH3COOH is 4.76.
o pKa of HNO3 is –1.45.
o pKa of (COOH)2 is 1.27.
o pKa of CF3COOH is 0.25.
Applications of pH in Pharmacy:
1. DRUG SOLUBILITY:
 As many drugs are either weak acids or bases, so their solubility is affected by the change in pH.
 The weakly acidic drugs (e.g. aspirin) are more soluble in alkaline solution because in alkaline solution
they are converted into salt form, which is more soluble than in acidic form conversely the weakly
basic drugs are more soluble in acidic solution.
 And if the pH is lowered then acidic drug will be precipitated. So for the solubility of acidic drug pH
should be higher than 7 & for basic drug lower than 7.
2. DRUG STABILITY:
 Drugs are only stable at a certain pH. So for this purpose the pH of drugs must be constant otherwise
the ionization of drug may take place, which decreases the therapeutic effect of the drug.
 For example, cocaine HCl (Salt) is for two months at P H 5.7. But during this period P H is decreased
to 4.2. So stability is decreased. If P H is increased from 5.7 to 6, its decomposition into its ions is
decreased & stability increased.
3. DRUG ACTIVITY:
 The activity of drug also depends upon their pH and its ionized or unionized form.
 For example, mandelic acid, benzoic acid etc. are acidic drugs. They are more effective in unionized
form than ionized form. So such acidic drugs need acidic medium (low pH) to get unionized form &
for better effectiveness.
4. DRUG ABSORPTION:
According to P H partition theory:
“The acidic drugs are absorbed by the stomach (with low pH) and basic drugs are absorbed by intestine
(having high pH).”
 On the basis of this theory, we can conclude that for the absorption of an acidic drug (e.g. aspirin) the
medium should have high concentration of hydrogen ions (low pH) & for the absorption of basic drug.
(e.g. paracetamol) the absorption medium should have low concentration of hydrogen ions (having
high pH).
5. ENZYME ACTIVITY:
The activity of enzymes present in our body is influenced by pH. Some enzymes are active in acidic
medium, some in alkaline and other in neutral medium. And beyond that limit enzymes become inactive and
may be destroyed. E.g. pepsin works at 1.5 – 1.6.
Chapter 3. Physicochemical Principles
85
Muhammad Muneeb
6. THERAPEUTIC EFFICACY:
Solutions to be applied to tissues or administrative parenterally are liable to cause irritation of their pH
is greater than the relevant body fluid e.g. pH of ophthalmic and nasal solution should be maintained.
7. PERMEABILITY OF THE DRUG THROUGH BIOLOGICAL MEMBRANES:
This depends on the extent of ionization of drugs. The pH of solution can affect the extent of ionization
of weakly acid / weakly basic drug. A drug in the non-ionized form is more permeable than its ionized form.
Why so difficult to maintain a healthy pH?
Our bodies are in constant state of metabolization. The process of metabolism creates acid, which is
needed for acid and other biochemical processes.
Buffer:
 Buffers are compounds or mixture of compounds that by their presence in their solution resists change
in pH upon the addition of small quantities of acid or alkali. The resistance to a change in pH is known
as buffer action.
 The substances used to produce buffer action are called buffers and usually consists of mixture of:
o Type “A”: A weak acid and its conjugate base that is a salt
o Type “B”: A weak base and a conjugate acid
Types of Buffer Solution:
On the basis of constituents of buffer solution, the buffer solution can be grouped into two types:
1. Acidic Buffers
2. Basic Buffers
1. ACIDIC BUFFER: Those buffer solutions, which are prepared by mixing a weak acid with its salt with
strong base e.g. CH3COOH / CH3COONa, H2CO3 / Na2CO3 etc.
2. BASIC BUFFER: These are buffer solution which are formed by mixing base with its salt with strong
acid e.g. NH4OH / NH4Cl & ephedrine / ephedrine HCl, etc.
Mechanism:
The resistance, which is offered to the change in pH of buffer solution is said to be buffer action or
mechanism of buffer solution.
As an acidic buffer has weak acid & salt of strong base, so buffer solution contains an acidic species
which react with base added to the solution & a basic species which react with incoming acid in order to
maintain pH of buffer solution. And this whole process reversed in case of basic buffer.
For example, buffer solution CH3COOH / CH3COONa has acidic species H3O+
& basic species
CH3COOH. When a basic species (e.g. OH-
) is added to this buffer solution. CH3COOH react with it &
neutralizes it. And in the same way if acidic species (e.g. H3O+
) is added to this buffer solution, the CH3COO-
react with it & neutralizes it.
𝐶𝐻3𝐶𝑂𝑂𝐻 → 𝐶𝐻3𝐶𝑂𝑂−
+ 𝐻+
𝐶𝐻3𝐶𝑂𝑂𝑁𝑎 → 𝐶𝐻3𝐶𝑂𝑂−
+ 𝑁𝑎+
Chapter 3. Physicochemical Principles
86
Muhammad Muneeb
On addition of OH-
𝐶𝐻3𝐶𝑂𝑂𝐻 + 𝑂𝐻−
→ 𝐶𝐻3𝐶𝑂𝑂−
+ 𝐻2𝑂
𝐶𝐻3𝐶𝑂𝑂−
+ 𝐻3𝑂 → 𝐶𝐻3𝐶𝑂𝑂𝐻 + 𝐻2𝑂
Common Ion Effect & Buffer Equation for A Weak Acid and Its Salt:
TYPE A:
 This expression is developed by considering the effect of a salt on the ionization of a weak acid when
the salt and acid has a common ion e.g. when sodium acetate is added to acetic acid, the dissociation
constant for a weak acid is:
𝐾𝑎 =
[𝐴𝑐−][𝐻3𝑂+
]
[𝐻𝐴𝑐]
= 1.75 × 10−5
distributed due to the acetate ion supplied by the salt. Hence in order to maintain the constant 1.75 ×
10-5
, the hydrogen ion in nominator will decrease and the HAc in demoniatior increases. So that the constant
Ka remains unaltered and the equilibrium is subjected towards the reactants. The ionization of acetic acid is
represented:
𝐻𝐴𝑐 + 𝐻2𝑂 ⟶ 𝐴𝑐−
+ 𝐻3𝑂+
by the addition of common ion Ac-
. This is an example of common ion effect.
The pH of the final solution is obtained by arranging the equilibrium equation of dissociation constant.
[𝐻3𝑂+] =
𝐾𝑎 [𝐻𝐴𝑐]
[𝐴𝑐−]
If the acid is weak and ionized only slightly then the expression HAc may be considered to represent
the total concentration and it may be simply written as acid in a slightly ionize acetic solution. The Ac-
ion
only comes from the salt that is sodium acetate since one mole of sodium acetate yields one mole of acetate
ion. The total concentration of Ac-
ion may be replaced by the term salt.
[𝐻3𝑂+] =
𝐾𝑎 [𝐴𝑐𝑖𝑑]
[𝑆𝑎𝑙𝑡]
Equation may be expressed in term of log,
− 𝑙𝑜𝑔 [𝐻3𝑂] = − 𝑙𝑜𝑔𝐾𝑎 – 𝑙𝑜𝑔 [𝐴𝑐𝑖𝑑] + 𝑙𝑜𝑔 [𝑆𝑎𝑙𝑡]
From this buffer equation is obtained for weak acid and its salt,
𝑝𝐻 = 𝑝𝐾𝑎 + 𝑙𝑜𝑔
[𝑆𝑎𝑙𝑡]
[𝐴𝑐𝑖𝑑]
This equation can give you calculation in range of 4 – 10 pH.
TYPE B:
Buffer solution of weak bases and their salts are ordinarily not prepared because of volatility and
instability of the base and secondly because of the dependence of pH on pKw which is often affected by
Chapter 3. Physicochemical Principles
87
Muhammad Muneeb
temperature change e.g. ephedrine and ephedrine HCl is often used in pharmaceutical solution as buffer. Their
buffer equation can also derive analogous to deserve weak acid buffer.
[𝑂𝐻−] =
𝐾𝑏 [𝐵𝑎𝑠𝑒]
[𝑆𝑎𝑙𝑡]
[𝑂𝐻−] =
𝐾𝑤
[𝐻3𝑂−]
Comparing both equations we get,
𝐾𝑤
[𝐻3𝑂−]
=
𝐾𝑏 [𝐵𝑎𝑠𝑒]
[𝑆𝑎𝑙𝑡]
𝑝𝐻 = 𝑝𝐾𝑤 – 𝑝𝐾𝑏 + log
[𝐵𝑎𝑠𝑒]
[𝑆𝑎𝑙𝑡]
CONCLUSIONS:
 The strength of an acid can be expressed in terms of either Ka or the Kb if its conjugate base is known.
 The Ka of an acid can be calculated if the Kb of its conjugate base is known.
 The stronger an acid is, the weaker is its conjugate base and vice versa.
Factors Effecting pH of a Buffer Solution:
There are some factors which influence the pH of buffer solution. Among these factors some are as
follows:
1. NEUTRAL SALT: By the addition of small quantity of neutral salt, there is no effect on the pH of the
buffer solution. But when the concentration of added neutral salt is increased, then pH of buffer solution
changes due to change in ionic strength.
2. DILUTION: Dilution of buffer solution i.e. the addition of H2O in moderate quantities may not change
pH but can cause small positive or negative deviation because it can act as weak acid or base.
3. TEMPERATURE: The pH of acetate buffers increases with temperature whereas pH of boric acid and
sodium borate buffer decreases with increase in temperature and basic buffers are more effected by change in
temperature.
Buffer Capacity:
 The magnitude of a resistance of a buffer to pH change is reffered as buffer capacity β.
 It is also called buffer efficiency, buffer index and buffer value.
 It is the ratio of the increment of strong base (or acid) to the small change in pH brought by this
addition.
𝛽 =
∆𝐵
∆𝑝𝐻
 Δ β is the small increment in gram equivalent per liter of strong base added to a buffer solution to
produce a pH change of ΔpH.
Chapter 3. Physicochemical Principles
88
Muhammad Muneeb
 According to equation, the buffer capacity has a value of one when one gram equivalent of base
produce a pH change of 1 in one-liter buffer solution.
MAXIMUM BUFFER CAPACITY:
The capacity of a solution will be maximum, when salt to acid ratio of buffer solution is one (i.e. pH
= pKa). According to buffer equation:
𝑝𝐻 = 𝑝𝐾𝑎 + 𝑙𝑜𝑔
[𝑆𝑎𝑙𝑡]
[𝐴𝑐𝑖𝑑]
If [salt] = [acid]
𝑝𝐻 = 𝑝𝐾𝑎 + log 1
𝑝𝐻 = 𝑝𝐾𝑎 + 0
𝑝𝐻 = 𝑝𝐾𝑎
Biological Buffers:
The buffer which are present in different biological systems are called Biological or In-vivo buffers.
Biological buffers are classified into two groups:
1. PRIMARY BUFFERS:
 These buffers help in maintaining the pH of the blood. The normal value blood pH is 7.4. If it exceeds
8 alkalosis & if lower than 7 acidosis is resulted.
 These are the buffers which are present in human blood plasma. Plasma has three types of buffer
systems.
o Carbonic acid & its salt i.e. H2CO3 / NaNCO3
o Phosphoric acid & its salt i.e. H3PO4 / Na3PO4
o Plasma protein in acts as acid & salt is formed. This resultant salt & uncombined protein forms
a system, which acts as buffer.
2. SECONDARY BUFFERS:
 The buffers are present in the RBC’s or erythrocytes are called secondary buffer. Following are some
examples of secondary buffers.
o Hemoglobin & oxy – hemoglobin (oxidizing buffer)
o Phosphoric acid & potassium salt of phosphoric acid.
Buffers in Pharmaceutical and in Biological System:
 Blood is maintained at a pH of about 7.4 by 8.0 called primary buffers in erythrocytes. The plasma
contains carbonic acid/ bicarbonates and acid/alkali Na salts of H3PO4 as buffers. Plasma proteins
which behave as acid in blood can combine with bases and so act as buffers. In erythrocytes two buffer
systems consist of hemoglobin / oxhemoglobin and acid/alkali K salts of H3PO4. When the pH of
blood goes 7 or above 7.8 Life is in serious danger. The pH of blood in diabetic coma is alleged to
drop as low as 6.8. Lacrimal fluids or tears have pH of 7.4. They have a high dilution value of 1:15
with neutral distilled water before an alternation in pH is noticed.
Chapter 3. Physicochemical Principles
89
Muhammad Muneeb
Drug as Buffer:
The solutions of drugs are usually weak electrolytes, so they act as buffers in their own fashion.
EXPLANATION:
When salicylic acid is kept in glass bottle, the ions (e.g. Na+
) reached out from walls & react with
salicylic acid to form the conjugate base or salt (e.g. sodium salicylate). The salicylic acid & resulting salt
from a buffer which resists the change in pH of the salicylic acid.
Another example is of ephedrine (base). When HCl is added to its solution, ephedrine HCl is formed
which is conjugate acid or salt of ephedrine. So both forming buffer and so stable the pH of the drug.
Pharmaceutical Buffers:
The buffer action of drugs is very small, which only maintains the pH drug by the addition of
atmospheric CO2 or ions of glass. So far the stability of drugs, same additional buffer is used known as
pharmaceutical Buffers. Some familiar examples of pharmaceutical buffers are as follows:
1. Gifford Buffer: [H3BO3 + NaCO3– H2O] → 9
This buffer solution is formed by mixing the solution of boric acid with solution of Monohydrated
sodium carbonate and it is used in pH b/w 5→ 9.
2. Sorensen Buffer: [Na3PO4] 6 → 9
This buffer solution is obtained by mixing salts of sodium phosphate (Na3PO4). It is used in the pH
range from 6 to 8. NaCl is also added in order to make the buffer isotonic with body fluid.
3. Palitzsch Buffer: [H3BO3 + Na3BO3] + NaCl; 7 →9
This buffer is obtained by mixing the solutions of boric acid & sodium borate. In this buffer, NaCl is
added in order to make the solution isotonic with body fluid. It is used for ophthalmic solutions in the pH
range of 7 to 9.
4. Clark-Lubs Buffers:
1. HCl and KCl pH; 1.2 – 2.2
2. HCl and K-Hydrogen Phthalate pH; 2.2 – 4.0
3. NaOH and K-Hydrogen Phthalate pH; 4.2 – 5.8
4. NaOH and KH2PO4 pH; 5.8 – 8.0
5. H3BO3, NaCl and KCl pH; 8.0 – 10.0
Preparation of Pharmaceutical Buffers:
In order to prepare a pharmaceutical buffer, following steps are very important & to be known by the
pharmacist.
1. For maximum buffer capacity, weak acid having PK a value equal to pH (of required solution) is used
in the formation of pharmaceutical buffers.
2. In order to get required pH for buffer, the ratio of salt & weak acid is determined by buffer equation.
It should be in the range of 4.0 → 10.0.
Chapter 3. Physicochemical Principles
90
Muhammad Muneeb
3. The acid and salt used for the preparation of buffer solution should be 0.05 → 0.5 molar & final buffer
solution with buffer capacity 0.01 → 0.1 is best.
4. Other important factors for the preparation of pharmaceutical buffer are:
a. Availability of chemicals
b. Sterility of final solution
c. Stability of drugs & buffer with time
d. Freedom from toxicity
e. Cost of materials
5. Final step is the determination of P H & buffer capacity of final product. It may be different from
calculated value because of activity coefficient of different chemicals used.
Buffered Isotonic Solution:
 In addition to pH adjustment pharmaceutical solution should also have same osmotic pressure so that
of the body fluids. Isotonic solutions cause no swelling or contraction of tissue with which they come
in contact. It can be demonstrated by mixing as small quantity of blood with aqueous sodium chloride
solution with different toxicity (NaCl → 0.9g/100 ml ) is considered to be isotonic and other solution
containing higher is considered hypertonic and less than 0.9g is considered hypertonic 2.0% boric acid
solution is iso-osmotic with blood but can also pass through cell membrane easily.
 Therefore, a solution containing a drug calculated to be isosmotic with blood is isotonic only when the
blood is isotonic only when the blood cells are impermeable to solvent only.
 Mucous lining of eye act as true semipermeable membrane which does not allow toxic acid to cross.
Measurement of Toxicity:
 The toxicity of solutions may be determined by one of two methods.
 First is the hemolytic method in which the effect of various solution of drug is observed on the
appearance of red blood cells suspended in the solution.
 Second approach used to measure toxicity is based on any of the methods that determine colligative
properties. The most important are:
o White Vincent Method
o The Sprowls Method
Applications of Pharmaceutical Buffers:
1. SHICK TEST TOXIN: It is an immune diagnostic test for diphtheria. A dilution of diphtheria toxin is a
dose of defined potency. A dilution prepared with isotonic buffer solution retains its potency for two months
at 250
C. A mixture of borax boric acid / NaCl is used in isotonic buffer solution.
2. IMPROVING PURITY: Proteins are purified depends on the fact that amphoteric compounds are slightly
soluble at their isoelectric point. For example, insulin precipitates from the aqueous solution in the pH range
of 5 to 6. This technique is used for insulin purification.
3. INCREASED STABILITY: Because of hydrolysis, many compounds are unstable in aqueous solutions.
These solutions can be stabilized by regulating the pH. For example, the stability of vitamins is within a narrow
range of pH only.
4. ENHANCED SOLUBILITY: If the pH of the solution is not properly maintained, then the drug
dissolution can precipitate. This principle applies in the dosage forms manufacturing, and some
Chapter 3. Physicochemical Principles
91
Muhammad Muneeb
pharmaceutical ingredients and drugs dissolve only at specific pH, hence, it is necessary to maintain the right
pH of the solution.
5. OPTIMIZING BIOLOGICAL ACTIVITY: Enzymes contain most activity only on certain pH values.
For example, at pH 1.5, there is a maximum activity of pepsin.
6. CULTURE MEDIA OF MICROORGANISMS: The preparation of microbial culture is of great
importance in modern drug manufacturing. Microorganisms can grow only in optimum conditions of a definite
pH range. So basic salts are used to maintain the pH of the culture at a specific range.
7. TISSUE CULTURE LABS: To keep the tissue cultures in-vitro, the pH of the system must be constant so
that tissues may not be spoiled.
_______________________________________________________________________________________
E. HYDROLYSIS
Stability of Drugs:
 Stability: is the capacity of a drug product to remain within specifications established to ensure its
identity, strength quality and purity.
 Instability may cause
o Undesired change in performance, i.e. dissolution/bioavailability
o Substantial changes in physical appearance of the dosage form
o Causing product failures
 In the rational design and evaluation of dosage forms for drugs, the stability of the active components
must be a major criterion in determining their suitability.
 Several forms of instability can lead to the rejection of a drug product.
Factors Affecting Stability:
 Environmental factors
o Temperature
o Light
o Oxygen
o Moisture
o Carbon dioxide
 Drugs or excipients in the dosage form
o Particle size of drug
o pH of the vehicle
 Microbial contamination
 Trace metal Contamination
 Leaching from containers
Types of Stability Studies:
1. PHYSICAL STABILITY:
 Physical stability implies that the formulation is totally unchanged throughout its shelf life and has not
suffered any changes by way of appearance, organoleptic properties, hardness, brittleness, particle size
etc.
Chapter 3. Physicochemical Principles
92
Muhammad Muneeb
 It is significant as it affects:
o Pharmaceutical elegance
o Drug content uniformity
o Drug release rate
2. CHEMICAL STABILITY:
 Chemical stability implies the lack of any decomposition in the chemical moiety that is incorporated
in the formulation as the drug, preservatives or any other excipients.
 This decomposition may influence the physical and chemical stability of the drug.
 Many drugs (e.g., digoxin and theophylline) have narrow therapeutic indices, and they need to be
carefully titrated in individual patients so that serum levels are neither so high that they are potentially
toxic nor so low that they are ineffective. For these drugs, it is of paramount importance that the dosage
form reproducibly delivers the same amount of drug.
 Second, although chemical degradation of the active drug may not be extensive, a toxic product may
be formed in the decomposition process. There are several examples in which the products of
degradation are significantly more toxic than the original therapeutic agent.
 For example, the conversions of tetracycline to epianhydrotetracycline, arsphenamine to
oxophenarsine, and p-aminosalicylic acid to m-aminophenol in dosage forms give rise to potentially
toxic agents that, when ingested, can cause undesirable effects.
 Third, instability of a drug product can lead to a decrease in its bioavailability, rather than to loss of
drug or to formation of toxic degradation products. This reduction in bioavailability can result in a
substantial lowering in the therapeutic efficacy of the dosage form. This phenomenon can be caused
by physical or chemical changes in the excipients in the dosage form, independent of whatever changes
the active drug may have undergone.
Hydrolysis:
 The decomposition of a substance by the addition of water molecule is called Hydrolysis.
 The degradation of pharmaceutical preparation by reacting with water is known as Hydrolysis.
 The reaction of an anion / cat ion with water accompanied by the cleavage of OH-
bond as called
Hydrolysis.
Hydrolysis and Condensation:
Hydrolysis can be the reverse of a condensation reaction in which two molecules join together into a
larger molecule and eject a water molecule. Thus hydrolysis adds water to breakdown, whereas condensation
builds up by removing water.
Example:
The Hydrolysis of acetylsalicylic acid (Aspirin) leads to the formation of acetic acid and salicylic acid.
Chapter 3. Physicochemical Principles
93
Muhammad Muneeb
And
Note:
The Hydrolysis may be:
 Ester hydrolysis
 Salt hydrolysis
 Starch hydrolysis
 Amide hydrolysis
 ATP
 Metal aqua ions
Types of Hydrolysis:
On the basis of substrate, the hydrolysis is classified into following two groups:
i. Ionic Hydrolysis
ii. Molecular Hydrolysis
1. IONIC HYDROLYSIS:
 That type of hydrolysis in which water reacts with the ions of salts (which are made up of weak acid
or base) is called ionic hydrolysis.
 This is amphotyric type of hydrolysis, in which water either acts as acid or base depending on the
provided ion. The water & ion react to form new acid & base.
 As in this process transfer of proton is involved so also called protplysis.
H2O + CH3COO-
→ CH3COOH + OH-
NH4
+
+ H2O → H3O+
+ NH3
2. MOLECULAR HYDROLYSIS:
 That type of hydrolysis in which water reacts with a molecule of a compound is called molecular
hydrolysis.
 Due to this hydrolysis, decomposition of molecule takes place. For example: when aspirin is
hydrolyzed it gives acetic acid & salicylic acid.
Chapter 3. Physicochemical Principles
94
Muhammad Muneeb
 Types:
o Ester hydrolysis
o Amide hydrolysis
o Ring hydrolysis
Some Functional Groups Subject to Hydrolysis:
Drug type Examples
Esters Aspirin, Alkaloids, Dexmethasne sodium phosphate, Nitroglycerin
Lactones Pilocarpine, Spironolactone
Amides Chloramphenicol
Lactams Penicillins, Cephalosporins
Imides Glutethimide
Malonic ureas Barbiturates
Effect of Hydrolysis on Drug Stability:
The process of hydrolysis has a great influence on the stability of the drug. As due to hydrolysis drug
is decomposed & new products are formed these new products may be toxic in nature & so decrease the
therapeutic effect of the drug. Moreover, the hydrolysis also decreases the attractiveness of the drug i.e.
inelegant take place.
Factors Affecting Hydrolysis:
 Moisture
 pH
 Temperature
 Solvent
Protection of Drugs from Hydrolysis:
To avoid the hydrolysis of drug, various methods are used. Among these methods, some important
ones are as follows.
Chapter 3. Physicochemical Principles
95
Muhammad Muneeb
1. SOLID DOSAGE FORM:
 To the hydrolysis and to retain the activity of solid dosage forms, they are kept in air tight vessels.
 And at the time of administration they are first dissolved in water & then used.
 This process is called reconstitution & the product is called reconstitute product is penicillin & its
derivatives are commonly used by this method.
2. LIQUID DOSAGE FORMS:
 The hydrolysis of liquid dosage forms is prevented by changing their pH with the addition of certain
buffers.
 By this not only an optimum pH of drug stability is obtained but the therapeutic activity of drug is also
retained.
3. COMPLEX FORMATION:
 Some drugs are prevented from hydrolysis by complex formation such complexes not only prevent the
process of hydrolysis but the therapeutic effect is also not effected.
 For example: when caffeine is added to Benzocaine, (caffeineBenzocaine complex) is formed, which
resist the hydrolysis of Benzocaine, in this way its therapeutic activity is retained.
4. PACKAGING & HYGROCOPIC MATERIALS:
 They drugs are provided in such packaging which do not allow the H2O molecules to pass for this
purpose; aluminium foils are used.
 Moreover, hydroscopic materials bags are placed in drugs which attract the water molecules or
moisture & in this way hydrolysis of drugs may not take place.
5. pH OF MEDIA:
 Some substances are more soluble in alkaline pH & basic drugs are more soluble in acidic pH.
 So by changing the pH, their solubility is decreased & hence the hydrolysis of drug is prevented.
6. TEMPERATURE:
 All the drug products are stored at suitable temperatures to avoid thermal acceleration of
decomposition. Three varieties of temperatures are suggested for storage of drug products.
 Room temperature, cool storage and cold storage.
7. LIGHT:
 Light sensitive materials are stored in ambered colour bottles.
8. ADDITION OF SURFACTANTS AND SOLVENT:
 Solubilization of a drug by surfactants in many cases protects against hydrolysis.
 By the addition of a suitable solvent hydrolysis rate may be decreased.
9. REMOVAL OF H2O:
 Hydrolytic decomposition may further be prevented by the removal of water.
Chapter 3. Physicochemical Principles
96
Muhammad Muneeb
 The drug may be stored in dry form and used as such or suspended as an insoluble powder in a suitable
vehicle.
 Even in the solid state, drug may decompose e.g. decomposition of solid aspirin due to temperature
and humidity.
Applications of Hydrolysis in Pharmacy:
1. Many substances of pharmaceutical importance hydrolyze in the solution and give alkaline and acidic
solution that become the problem for magnification of pharmaceutics.
2. Salts of many alkaloids like ephedrine chloride and hyoscine chloride are weak bases.
3. Zinc sulphate, amerine hydrochloride in Vitamin E yield acidic solution.
_______________________________________________________________________________________
F. MICROMERITICS
Definition:
 It is the science and technology of small particles.
 The unit of particle size used in the micrometer (µm), micron (µ) and equal to 10-6
m.
 As particle size decreases, area increases
MICROMETRICS DEALS WITH:
 Particle size and Size Distribution
 Methods of Determining particles size
 Particle shape and surface area
 Pore size
 Angle of repose
Importance of studying Micromeritics:
 Knowledge and control of the size and the size range of particles are of profound importance in
pharmacy.
 Size, and hence surface area, of a particle can be related in a significant way to the physical, chemical,
and pharmacologic properties of a drug
 Particle size of drug affects its release from dosage forms that are administered orally, parenterally,
rectally and topically.
 Physical stability and pharmacologic response of suspension, emulsion and tablets depend on particle
size of drug.
 It’s also important in flow properties and flowing of granules and powders in process of tablet
formation.
 Powders may differ from each other in having particles of different size ranges thus having different
flow and packaging properties which alter the volumes of such powders during encapsulation and
tableting processes.
 Rate of formation of solution or dissolution of drugs depends on several factors. One of these factors
is particle size of drugs. Thus particles having small dimensions tend to increase rate of dissolution.
For Example:
Chapter 3. Physicochemical Principles
97
Muhammad Muneeb
 Griseofulvin has low solubility by oral administration but after reaching in the gastrointestinal tract
(GIT) it gets absorbed very rapidly as its breaks down into smaller particles in GIT and passes
membrane pores easily.
 Reduction of particle size also increase rate of absorption in case of Tetracyclins, Aspirin and
Sulphonamides.
Particle Size and Size Distribution:
In a collection of particles of more than one size, two properties are important, namely:
1. The shape and surface are of the individual particles
2. The particle size and size distributions (The size range and number or weight of particles)
Types of Particles:
1. COLLOIDAL DISPERSION: Such types of particles are not seen by ordinary microscope and are
only observed by ultra-microscope.
2. EMULSION AND SUSPENSION: Particles of suspension and emulsion can be observed by light
microscope.
3. COARSE PARTICLES: These are observed on the basis of sieves. They are of three types:
a. Particles of coarse powder, larger than sieve number 20
b. Particles of intermediate size, in the range of sieve number 20 & 200
c. Particles of fine powders i.e., smaller than sieve number 200.
Particle Size:
Particle size is related to the shape and surface area of individual particles. According to their shape,
the particles are divided in to two groups.
1. SYMMETRICAL PARTICLES:
 The particles having specific crystal shape and cane be expressed in term of their diameter (for example
spherical) are known as symmetrical particles.
 Symmetrical particles are mainly found in spherical shape. So if we know the diameter of spherical
particles we can easily determine its surface area and volume by following expression.
𝑆𝑢𝑟𝑓𝑎𝑐𝑒 𝐴𝑟𝑒𝑎 = 𝜋𝑑2
𝑉𝑜𝑙𝑢𝑚𝑒 = 𝜋
𝑑3
6
2. ASYMMETRICAL PARTICLES.
 The particles which have no specific crystal shape are termed as asymmetrical particles.
 As the asymmetry of the particles increases then surface area and volume of the particles also become
complex to be determined.
 In order to determine their surface area and volume four different types so equivalent diameters are
used i.e.
o Surface diameter: The Surface diameter, ds, is the diameter of a sphere having the same
surface area as the particle:
Chapter 3. Physicochemical Principles
98
Muhammad Muneeb
o Volume diameter: The Volume diameter, dv, is the diameter of a sphere having the same
volume as the particle.
o Projected diameter: The Projected diameter, dp, is the projected diameter of a sphere having
the same observed area as the particle.
o Stokes diameter: The Stokes diameter, dst, is the diameter which describes an equivalent
sphere undergoing sedimentation at the same rate as the asymmetric particle.
 Any collection of particles is usually polydisperse. It is therefore necessary to know not only the size
of a certain particle, but also how many particles of the same size exist in the sample.
 Thus, we need an estimate of the size range present and the number or weight fraction of each particle
size.
 This is the particle-size distribution and from it we can calculate an average particle size for the sample.
PARTICLE SIZE DISTRIBUTION:
 When the number or weight of particles lying within a certain size range is plotted against the size
range or mean particle size, a so-called frequency distribution curve is obtained.
 This is important because it is possible to have two samples with the same average diameter but
different distributions.
Applications of Micromeritics:
1. RELEASE AND DISSOLUTION:
 Particle size and surface area influence the release of a drug from a dosage form.
 Higher surface area allows intimate contact of the drug with the dissolution fluids in vivo and increases
the drug solubility and dissolution.
2. ABSORPTION AND DRUG ACTION:
 Particle size and surface area influence the drug absorption and subsequently the therapeutic action.
 Higher the dissolution, faster the absorption and hence quicker and greater the drug action.
Chapter 3. Physicochemical Principles
99
Muhammad Muneeb
3. PHYSICAL STABILITY:
 The particle size in a formulation influences the physical stability of the suspensions and emulsions.
 Smaller the size of the particle, better the physical stability of the dosage form.
4. DOSE UNIFORMITY:
 Good flow properties of granules and powders are important in the manufacturing of tablets and
capsules.
Methods for Determining Particle Size:
Many methods available for determining particle size such as optical microscopy, sieving,
sedimentation and particle volume measurement.
1. Optical microscopy (range: 0.2-100 µm)
2. Sieving (range: 40-9500 µm)
3. Sedimentation (range: 0.08-300 µm)
4. Particle volume measurement (range: 0.5-300 µm)
(Approximate size ranges of methods used for particle-size and specific surface analysis)
RANGE OF PARTICLE SIZES:
Particle size Method
1 mm Electron microscope, ultracentrifuge, adsorption
1 – 100 mm Optical microscope, sedimentation, coulter counter, air permeability
>50 mm Sieving
1. Optical Microscopy (Range: 0.2-100 µm):
 The microscope eyepiece is fitted with a micrometer by which the size of the particles may be
estimated.
 According to the optical microscopic method, an emulsion or suspension is mounted on ruled slide on
a mechanical stage.
Chapter 3. Physicochemical Principles
100
Muhammad Muneeb
 The microscope eyepiece is fitted with a micrometer by which the size of the particles can be estimated.
 The ordinary microscope used for measurement the particle-size in the range of 0.2 to about 100 µm.
 The field can be projected onto a screen where the particles are measured more easily, or a photograph
can be taken from which a slide is prepared and projected on a screen for measurement.
 The particles are measured along an arbitrarily chosen fixed line, generally made horizontally across
the center of the particle
ADVANTAGES:
 The presence of agglomerates as well as particle of more than one component can be detected by this
method.
DISADVANTAGES:
 The diameter is obtained from dimensions of the particle.
 The number of particles that must be counted (300-500) to obtain a good estimation of the distribution
makes the method somewhat slow and tedious.
COMPOSITION OF MICROSCOPE FOR MICROMERITICS:
𝑺𝒊𝒛𝒆 𝒐𝒇 𝒑𝒂𝒓𝒕𝒊𝒄𝒍𝒆 = 𝑵𝒐. 𝒐𝒇 𝒅𝒊𝒗𝒊𝒔𝒊𝒐𝒏𝒔 𝒄𝒐𝒗𝒆𝒓𝒆𝒅 × 𝑽𝒂𝒍𝒖𝒆 𝒐𝒇 𝒐𝒏𝒆 𝒅𝒊𝒗𝒊𝒔𝒊𝒐𝒏 𝒂𝒕 𝒂𝒏𝒚 𝒔𝒑𝒆𝒄𝒊𝒇𝒊𝒄 𝒎𝒂𝒈𝒏𝒊𝒇𝒊𝒄𝒂𝒕𝒊𝒐𝒏
2. Sieving (Range: 40-9500 µm):
 Standard size sieves are available to cover a wide range of size.
 These sieves are designed to sit in a stack so that material falls through smaller and smaller meshes
until it reaches a meshwhich is too fine for it to pass through.
 The stack of sieves is mechanically shaken to promote the passage of the solids.
Chapter 3. Physicochemical Principles
101
Muhammad Muneeb
 The fraction of the material between pairs of sieve sizes is determined by weighing the residue on each
sieve.
 The result achieved will depend on the duration of the agitation and the manner of the agitation.
 Sieve Number: It is the no. of meshes in a length of 2.54 cm in each transverse direction parallel to
each wire.
 Mesh Size: It is the exact size of hole or mesh.
ADVANTAGES:
This method is generally useful for coarser particles b/c measurement of sizes smaller than 50µm is
difficult.
DISADVANTAGES:
 A particle tends to aggregate during the process due to electrostatic charges.
 Moisture can also lead to aggregation of powder the actual particle size may not be obtained.
 Attrition of particles during sieving lead to size reduction.
 Sieve loading and duration of shaking can influence the results.
 The sieving process is affected considerably by the particle size distribution. Smaller particle will pass
easily and larger size particle will block the mesh and even smaller particle will not pass.
3. Sedimentation (Range: 0.08-300 µm):
Chapter 3. Physicochemical Principles
102
Muhammad Muneeb
 By measuring the terminal settling velocity of particles through a liquid medium in a gravitational
centrifugal environment using Andreasen appartus (Pipette).
 Particles’ size is determined by implementing Stock’s law and hence diameter of particles determined is known
as stock’s diameter (dst).
 dst is referred to as equivalent diameter of a sphere when it is allowed to freely settle in capillary apparatus
(andreasen apparatus).
 In apparatus, liquid of known density is filled up and particles of known diameters (spherical) are allowed to
settle down, firstly. Then same experiment is run for test particles.
 A scale is present on the apparatus which is used to measure the distance (h) that particles cover while they
settle down.
𝑑𝑠𝑡 = √
18𝜂0ℎ
(𝜌𝑠 − 𝑝0)𝑔𝑡
 where v is the rate of settling, h is the distance of fall in time t, dst is the mean diameter of the particles based
on the velocity of sedimentation, ρs is the density of the particles and ρ0 that of the dispersion medium, g is the
acceleration due to gravity, and η0 is the viscosity of the medium
 Stock’s law is only applied when particles settle down freely without any hindrance. Also there must
be no aggregation or flocculation of settling particles.
 Particles tend to go down in laminar flow. But if particles move down in turbulant flow then stock’s
law will not be applied. In this situation Reynold’s equation is used.
𝑅𝑒 =
𝜐𝑑𝜌0
𝜂0
 When value of Re is greater than 0.2 then particle flow is turbulant and at this stage stock’s law can’t
be applied.
ADVANTAGES:
 The apparatus is inexpensive and technique is simple.
 The results obtained are precise provided the technique is adequately standardized.
DISADVANTAGES:
 This method is time consuming, since separate analysis is required for each experimental point on the
distribution curve.
 It is difficult to determined very small particles b/c their sedimentation is prolonged due to convection,
diffusion, and Brownian motion.
Advanced Methods to Determine Particle Size:
 Electron Microscopy
 Scanning Electron Microscopy (Sem) And Transmission Electron Microscopy (Tem)
 Dynamic Light Scattering
 Air-Jet Sieving
 Cascade Impactor
 Elutriation
 Acoustic Spectroscopy
Importance of Micromeritics in Pharmacy:
Chapter 3. Physicochemical Principles
103
Muhammad Muneeb
 The physical properties of powders such as bulk density and compressibility are dependent on particle
size and size distribution. For example, the bulk density of light and heavy magnesium carbonate
differs b/c of the difference in their particle size.
 The rate of dissolution of poorly soluble drug is directly related to the size of particles. Generally,
decrease in size of particle increases the dissolution rate.
 The chemical properties of particles such as the surface oxidation also depend on particle size.
 The rate of absorption of drug and hence pharmacological activity depends on particle size of the drug
material.
 Elegance of the pharmaceutical preparation such as emulsion, suspension ointments, often depends
upon particle size of the dispersed phase.
 The drug release properties are also particle size dependent for example cream, ointment,
suppositories.
 The stability of system such as colloids suspensions and emulsion depends on the particle size. Increase
in particle size decreases the stability of these systems.
 Texture and colour of certain drugs depends on the particle size for example, the difference in colour
of yellow and red mercuric oxide is due to difference in their particle size.
 Pharmaceutical processes like extraction and drying are accelerated following the reduction in particle
size of the material.
 The adsorption capacity of a material increases by decreasing the particle size.
_______________________________________________________________________________________
Chapter 4. Dispersions
104
Muhammad Muneeb
Unit 4.
DISPERSIONS
Outline:
 Colloids: Types, methods of preparation, properties (optional, kinetic, electrical). Dialysis and
artificial kidney, stability of colloids, protection and sensitization phenomenon and application of
colloids in Pharmacy
 Emulsions: Types, theories of emulsification, emulsifying agents their classification and stability of
emulsion.
 Suspensions: Type, Methods of Preparation, Properties, Suspending agents, their classification and
stability.
_______________________________________________________________________________________
A. COLLOIDS
Dispersed Systems:
 Dispersed systems consist of particulate matter (dispersed phase), distributed throughout a continuous
phase (dispersion medium).
 They are classified according to the particle diameter (size) of the dispersed material;
1- Molecular dispersions (less than 1 nm)
 Particles invisible in electron microscope
 Pass through semipermeable membranes and filter paper
 Particles do not settle down on standing or by centrifugation
 Undergo rapid diffusion (small sized particles)
 E.g. ordinary ions, glucose and nutrients and peptides in blood
Chapter 4. Dispersions
105
Muhammad Muneeb
2- Colloidal dispersions (1 nm - 0.5 μm)
 Particles not resolved by ordinary microscope, can be detected by electron microscope.
 Pass through filter paper but not pass through semipermeable membrane.
 Particles made to settle by centrifugation
 Diffuse very slowly e.g., natural and synthetic polymers
3- Coarse dispersions (> 0.5 μ m)
 Particles are visible under ordinary microscope
 Do not pass through filter paper or semipermeable membrane.
 Particles settle down under gravity
 Do not diffuse e.g., emulsions, suspensions, red blood cells
Colloids:
 When the diameter of particle of a substance dispersed in a solvent range from 10 Å (1 nm) to 5000 Å
(0.5 μm), the system is termed as colloidal solution or colloidal dispersion or simply a colloid.
 A system with at least one dimension (length, width or thickness) of dispersed particles in the range
of 10 Å to 5000 Å is known as colloidal dispersion or colloids.
PROPERTIES:
 The colloidal solutions or colloids are intermediate between true solution and suspension.
 The substance distributed as colloidal particles is called as dispersed phase.
 And the second phase in which it is dispersed is called as dispersion medium.
 The dispersed phase and dispersion medium can be in either of three states of matter.
 Surface area of colloidal particles is much larger as compared to equal volume of larger molecules.
Types of Sols or Colloids:
 Sols are special types of colloids in which dispersion medium is liquid and dispersed phase is solid.
There are three types of sols;
o Lyophilic sols or colloids
o Lyophobic sols or colloids
o Association sols or colloids
1. LYOPHILIC SOLS:
Chapter 4. Dispersions
106
Muhammad Muneeb
 Lyophilic sols are those in which the dispersed phase exhibits an affinity for the solvent or the
dispersion medium.
 If in the lyophilic colloids, dispersion medium is water, then it will be called as hydrophilic colloids.
 The best example of lyophilic (hydrophilic) colloids are dispersion of acacia, gelatin or proteins in
water.
Properties of Lyophilic Colloids:
 They can be obtained by direct mixing of dispersed phase into dispersion medium.
 There is no charge on the particles of hydrophilic colloids.
 The particles of dispersed phase of lyophilic sols are surrounded by dispersion medium particles and
solvation occurs.
 In hydrophilic colloids, dispersion medium is water, hence it is termed Hydration.
 Due to solvation, the lyophilic sols or colloids are viscous in nature.
 As lyophilic sols have smaller particles size so they don’t show Tyndall effect (scattering of light by
sol particles).
 They are reversible colloids, because when they coagulate, then they are again converted into colloidal
form.
 Acacia, insulin, albumin and gelatin are among those lyophilic colloids that bear organic molecules
and form colloidal solution in aqueous dispersion medium. (Hydrophilic)
 Rubber and polystyrene form lyophilic colloids in nonaqueous, organic solvents. (Lipophilic)
2. LYOPHOBIC COLLOIDS:
 Lyophobic colloids are solvent hating colloids.
 Those colloids in which the dispersed phase has no attraction for the medium or the solvent are called
as lyophobic sols or colloids.
 Examples of solvent hating (lyophobic colloids) are dispersion of gold, ferric hydroxide and sulphur
in water.
Properties of Lyophobic Colloids:
 They cannot be prepared by direct mixing of dispersed phase and dispersion medium.
 As there is no force of attraction between dispersed phase and dispersion medium, so solvation does
not occur in them.
 As there is no solvation in lyophobic colloids, so their viscosity is similar to dispersion medium.
 The particles of lyophobic colloids show tyndall effect.
 When the particles of hydrophobic sols are coagulated, they cannot again form colloidal solution. So
they are called as irreversible colloids.
3. ASSOSIATION OR AMPHIPHILLIC COLLOIDS:
 The substances whose molecules aggregate spontaneously in a given solvent to form particles of
colloidal dimensions at a particular concentration are called as association colloids.
 In dilute solution the molecules of some substances such as soaps and artificial detergents are smaller
than the colloidal particles. But when this concentration is increased their molecules form aggregates
of colloidal size known as micelles. And this concentration at which aggregation occurs is called as
critical micelle concentration (CMC).
Chapter 4. Dispersions
107
Muhammad Muneeb
 At low concentration: Amphiphiles exist separately (sub-colloidal size)
 At high concentration: Form aggregates or micelles (50 or more monomers) (colloidal size)
 As with lyophilic sols, formation of association colloids is spontaneous, provided that the
concentration of the amphiphile in solution exceeds the CMC.
Amphiphiles may be;
 Anionic (e.g., sodium lauryl sulfate or SLS)
 Cationic (e.g., cetyl triethylammonium bromide or CTAB)
 Nonionic (e.g., polyoxyethylene lauryl ether or POLE)
 Ampholytic (zwitterionic) e.g., dimethyl dodecyl ammonio propane sulfonate or DDAPS.
Preparation of Colloids:
 Due to attraction towards solvent molecules, lyophilic colloids can be prepared by simple mixing
method e.g. protein in water or gum in water are prepared by direct mixing of two substances
Chapter 4. Dispersions
108
Muhammad Muneeb
 On the other hand, lyophobic colloids due to lack of attraction towards solvent have specific methods
for their preparation
 Two important methods are
o Dispersion methods
o Aggregation or condensation methods
1. DISPERSION METHODS:
In this method, particle size is reduced by various methods to get particles of colloidal range. For this
purpose, various methods are used. Some are given below:
 Colloidal Mills:
o The solid along with dispersion medium is fed into a colloidal mill having two steel plates in
which one is at rest and other is moving or rotating at very high speed.
o Due to motion of moving steel plates the solid particles are ground to colloidal size and give
colloidal solution.
o By this method inks and colloidal graphite are formed
 Bredig’s Arc Method or Electro Dispersion:
o When electric arc is produced by two metal electrodes in water.
o The intense heat of spark vaporizes some metal and vapors condense under water and they
form colloidal range particles by aggregation.
o The water is kept cold by immersing the container in ice /water bath and trace of alkali (KOH)
is added. As it is present in water so hydrosols are formed. E.g., hydrophobic colloids of silver,
gold and platinum.
o “Purple of cassius” is a colloidal solution of gold and is formed by the reaction of gold salts
with tin(II) chloride
 Ultrasonic Method:
o Ultrasonic vibrations with frequency range of 20,000 to 2,00,000 cps are used to prepare
colloidal sols. Mercury sols are prepared by disintegrating a layer of mercury into sol particles
in water by this process.
o Lipid nanoparticles (emulsomes) for targeted drug delivery are also prepared by this method.
 Peptization (de-flocculation) method:
o The dispersal of precipitated material into colloidal solution by the action of an electrolyte in
solution is called peptization. OR
o Process of breaking up secondary particles (coagulates, aggregates or floccules) into primary
particles (colloids). OR
Chapter 4. Dispersions
109
Muhammad Muneeb
o Separation of particles from each other is called as peptization.
o It is a reverse process of coagulation.
o When powdered activated charcoal is added to water with stirring, the aggregated grains cannot
be completely broken up and the resulting suspension is gray and translucent.
o The addition of ≤0.1 percent sodium lauryl sulfate deflocculates the grains into finely dispersed
particles and results in a deep-black and opaque dispersion.
AgCl3 + H2O + AgNO3 → Ag sol. + HNO3
Fe(OH)3 + FeCl3 soln. → Fe sol. + 3HCl
2. CONDENSATION METHODS:
 Sols are prepared from aggregation of true solution or molecular range particles to colloidal range.
 These consists of:
o Change of solvent
o Chemical reaction
i. Change of solvent:
 Change in solvent to supersaturation leading to nuclei formation i.e. colloidal system formation
 Used to prepare colloidal dispersions of organic material like stearic acid and psudo-latex etc.
 Resin is present in molecular form in ethanol but in water these molecules precipitate out forming
colloidal range particles.
 Sulfur is insoluble in water but somewhat soluble in alcohol. When an alcoholic solution of sulfur is
mixed with water, a bluish white colloidal dispersion results.
 Weak basis and weak acids tend to solubilize in low and high pH, respectively, and likewise precipitate
(condense) above and below their respective pKa values.
 Depending upon the supersaturation of the nonionized bases or acids and the presence of stabilizing
agents, the resultant dispersions may be within the colloidal range.
ii. Chemical Reactions:
1. DOUBLE DECOMPOSITION:
 A reaction in which the positive ions and negative ions in two compounds switch partners to
form two new compounds.
 E.g., When hydrogen sulfide is passed through a solution of arsenic trioxide in distilled water,
we get a colloidal solution of Arsenic trisulfide.
As2O3 + 3H2S → As2S3 + 3H2O
 Process continues till yellow color of sol attains maximum intensity.
2. REDUCTION:
 Silver and gold sols are prepared by treating dilute solutions of AgNO3 and AuCl3 with organic
reducing agents.
AgNO3 + tannic Acid  Ag sol
AuCl3 + tannic acid  Au sol
AuCl3 + SnCl3  2Au + SnCl4
AuCl3 + HCOH + H2O  Au + HCOOH
 In addition, the reduction of copper, mercury, platinum, rhodium, and palladium salts with
formaldehyde, hydrazine, hydroxylamine, hydroquinone, or stannous chloride form hydrosols
of these metals, which are strongly colored (e.g., red or blue)
Chapter 4. Dispersions
110
Muhammad Muneeb
3. OXIDATION:
 When Hydrogen Sulfide gas is made to pass through an aqueous solution of sulphur dioxide,
aqueous solution of sulfur colloids is obtained. It can also be obtained by passing the gas
through a solution of an oxidization agent such as bromine water as well as nitric acid.
SO2 + 2H2S → 3S + 2H2O
SO2 + Br2 (aq.) → S + 2HBr
4. HYDROLYSIS:
 The chemical breakdown of a compound due to reaction with water.
FeCl3 (aq.) + 3H2O → Fe(OH)3 + 3HCl
Purification of Colloids:
 Sols or colloids prepared by various methods contain appreciable amount of electrolytes besides
colloidal particles
 These electrolytes tend to destabilize colloids so that’s why their purification is important
 These electrolytes can be removed by various methods to get pure sols
 Some of these methods are given below:
o Dialysis
o Ultrafiltration
o Electro-dialysis
1. DIALYSIS:
 The process of removing ions from a sol by diffusing through a permeable membrane is called dialysis
 In this process, sol containing dissolved ions molecules or electrolytes is placed in a bag of permeable
membrane and dipping in pure water, the ions diffuse through the membrane
 By using a continuous flow of water, the concentration of electrolytes inside the membrane becomes
zero. So after some time all the electrolytes present in sol can be removed easily.
Factors Affecting Dialysis:
The efficacy and speed of dialysis can be determined by the following factors;
 Increased surface of solution exposed to membrane
 Increased temperature
 Electric potential across the membrane
 Maximum concentration difference of dissolved substances across the membrane
2. ULTRAFILTRATION:
 Separation of sol particles from liquid medium and electrolyte by filtration through an ultra-filter is
called ultrafiltration
 It is a slow process which can be speeded up by increasing pressure (negative pressure). The colloidal
particles are left on the filter in the form of slime. The slime may be again added to fresh medium to
get back the pure sol.
 Ultra filter paper is a filter paper whose relatively larger pores are made small by using specialized
solvents e.g. nitrocellulose.
 It is also called as graded filter.
Chapter 4. Dispersions
111
Muhammad Muneeb
 Ultrafiltration is conducted under negative pressure (suction) through a dialysis membrane supported
in a Büchner funnel.
3. ELECTRODIALYSIS:
 When dialysis and ultrafiltration are used to remove charged impurities such as ionic contaminants,
the process can be hastened by the use of an electric potential across the membrane. This process is
called electrodialysis.
 An electric potential may be used to increase the rate of movement of ionic impurities through a
dialyzing membrane and so provide rapid purification.
 Electrodialysis is carried out in a three-compartment vessel with electrodes in the outer compartments
containing water and the sol in the center compartment.
 Application of electrical potential causes cations to migrate to the negative electrode compartment and
anions to move to the positive electrode compartment, in both of which running water ultimately
removes the electrolyte.
Properties of Sols (Colloids):
Following are some important physical properties of lyophobic colloids:
 Optical properties
 Kinetic properties
 Electric properties
Chapter 4. Dispersions
112
Muhammad Muneeb
1. OPTICAL PROPERTIES:
 Tyndall Effect:
o The phenomenon of scattering of light by the sol particles is called Tyndall effect & resulting
scattered became of light is called Tyndall became or Tyndall cone.
o Tyndall effect is very useful in determining the particle size of colloidal solution.
o True solutions do not show Tyndall effect because ionic or molecular sizes are very small &
so cannot scatter the light.
o Thus by using this phenomenon we can distinguish true solution & colloidal solution.
 Electron Microscopy:
o In electron microscopy when a focused became of electrons is allowed to pass through a
colloidal solution.
o The size & shape of colloidal parties can easily be determined individually.
o By this process size & shape of several sol particles like paint pigments, viruses and bacteria
are determined.
o The resolving power of an electron microscope is very high resolving power 1/𝜆.
o Thus by decreasing 𝜆 (wavelength), resolving power in increased.
 Light Scattering:
o This phenomenon can be explained on the basis of Tyndall EFFECT.
o When light is passed through colloidal system, it will be scattered & turbidity of system is
exulted.
o The fractional decrease in intensity due to scattering as the incident light passes through 1cm
of solution.
o By this we can calculate the size of particles & also their molecular weight, correlating with
turbidity, equation expressing this is
HC/T = 1/M +2BC
T = Turbidity C = Concentration of colloidal system
H = optical constant M = molecular weight of particle
B= interaction of the particles
2. KINETIC PROPERTIES:
The properties which are based on the motion of particles with respect to the dispersion medium are
called kinetic properties. Following are the same important kinetic properties of colloids:
 Brownian Movement:
o The continuous rapid zigzag movements executed by a colloidal particle in the dispersion
medium is called the Brownian movement or motion.
o At any instant a colloidal particle is struck by several molecules of dispersion medium from
various directions.
o When vapour molecules struck on one side than other the particles change its direction of
motion.
o This constant pushing of particles by dispersion medium does not permit the particles to settle
down.
 Diffusion:
o The movement of particles from their higher concentration to lower concentration is known as
diffusion. It is the direct action of Brownian movements.
Chapter 4. Dispersions
113
Muhammad Muneeb
o And the amount of substance (colloid) moved from one place to another can be determined by
FLICK’s first law:
Dq = – DA dc / dx. dt
Dq = rate of diffusing substance D = diffusion coefficient
A = area of diffusion Dc /dx = conc. Gradient
Dt = time of diffusion
 Osmosis:
o It is special type of diffusion in which the particle moves from region of its higher concentration
to lower concentration through semi permeable membrane.
o The external pressure applied on solution to stop the osmosis of the solvent into solution
separated by a semi permeable Membrane is called osmotic pressure and this can be determined
by vent Hoff equation:
Π = NRt n = W/M
Π = W/M RT = M = WRT / Π
Π = osmotic pressure T = absolute temperature
R = gas constant M = molecular weight
 Sedimentation:
o The process by which the colloidal particle settles down in the dispersion medium due to force
of gravity is known as sedimentation.
o The velocity of sedimentation can be determined by following equation called stokes Law.
o Most colloids do not show the process of sedimentation b/c the particles are very small
sedimentation is opposed by their Brownian motion.
o However, sedimentation can be achieved by placing the particle in a high speed centrifuge.
o Thus gravitational Forces are replaced by centrifugal forces as much as 100000 times greater.
 Viscosity:
o Viscosity is a measure of fractional resistance offered by a system towards applied force.
o And it mainly depends upon the shape & size of particles of the system. In colloidal system,
the Lyophobic colloids are more viscous than solvents.
o The equation of flow for a dilute colloidal system can be written as:
n = no (1+2.5 ǿ)
N= viscosity of the total dispersion no = viscosity of the dispersion medium
ǿ = volume fraction = volume of dispersed phase / volume of dispersion medium
3. ELECTRIC PROPERTIES:
The properties of colloids that depend upon the charge on colloids particles are called electric
properties of colloids.
 Electrical Double Layer: The combo nation of compact & diffused layer is called EDL. The
colloidal (sol) particles get a positive or negative charge by adsorbing positive or negative ion from
dispersion medium.
o For example: Fe(OH)3 sol are positively charged by adsorption of Fe 3 ions from Fecl3 use in
the preparation of sol.
 The force of repulsion between similar charges on colloidal particle prevents them to aggregate,
and to settle under the action of gravity.
Chapter 4. Dispersions
114
Muhammad Muneeb
o For example: the surface of colloids particle esquires’ positive charge by selective adsorption
of positive ion layer around it.
o The counter ions (which are negative in this case) form a layer around colloidal positively
charged particle & this is called stern layer or solvated layer or compact layer.
 The stern layer is surrounded by another layer of counter ions (positive in this case) this layer is called
diffused layer or Guy’s Chapman’s layer.
 The stern layer & diffused layer both are forming an electric double layer, which is very important for
stability of colloids by preventing them from coagulation.
 When different layers are formed on the charged colloidal particles, potential difference will also be
present between them. These are:
o Epsilon or Electro Kinetic Potential = sum of zeta potential & stern potential is called E.P.
o Zeta Potential: The potential difference between the compact layer diffused layer is called
zeta potential.
o Stern potential: The potential difference between compact layer & surface of the particle.
Electro-Kinetic Phenomenon:
The phenomenon associated with the movement of charged particles through a dispersion medium or
with the movement of dispersion medium over a charged surface is called E.K.P.
1. ELECTROPHORESIS:
 The movement of colloidal is applied across two platinum electrodes dipping in hydrophilic
colloids, the dispersed particles move towards one or the other electrode.
 If water is used as dispersion medium then by this process, we can determine the charge on sol
particles.
 E.g. metals, AS2S3, starch & clay are positively charged because they move towards positive
electrode while Fe(OH)3, Al(HO)3, basic dyes & haemoglobin are positively charged because
they move towards negative electrode.
2. ELECTRO OSMOSIS:
 The movement of the dispersion medium under the influence of an applied potential is known
as electro-osmosis.
Chapter 4. Dispersions
115
Muhammad Muneeb
 It occurs due to the existence of zeta potential between the sol particles & the diffused layer
moves & causes electro osmosis.
3. STREAMING POTENTIAL:
 When dispersion medium is made mobile between two electrodes, a potential difference is
produced between two electrodes & this is indicated by applying galvanometer in open circuit,
this type of potential is called streaming potential.
4. SEDIMENTATION POTENTIAL:
 When colloidal particles are settled down in the dispersion medium due to force of gravity (i.e.
sedimentation) a potential difference is created between top & bottom surfaces of colloidal
medium known as sedimentation potential.
DLVO Theory:
 When two uncharged hydrophobic particles are in close proximity they attract each other by Vander
walls forces and if the particles are positive or negatively charged, they cause repulsion to the particles
of the same charges.
 If dispersion medium contains both the positive & negative charges, then they attract each other and
coagulation will occur.
 This theory explains the stabilization of colloids by electrostatic repulsion. This theory was suggested
by four scientists namely Derjaguin, Landau, very & over beak that’s why called DLVO theory.
Graph:
Chapter 4. Dispersions
116
Muhammad Muneeb
 This theory is explained in the form of graph where VA AND Vr’’ represent the Vander walls attractive
energy & electrostatic repulsive energy respectively. Both of these energies decrease with the increase
of the distance of separation of the colloids.
 By the summation of attractive & repulsive forces between the colloidal particles, a net interaction
curve (ABCDEF) is resulted that explain the stability of colloids.
 The net curve indicates that as two particles approach each other (from d D to left side). The repulsive
potential predominates & will be called as energy barrier at point ‘’c’’ If K.E of particles exceeds the
potential energy barrier point ‘’C’’ then the distance between the particle decreases, the attractive
forces.
 Predominating & there will be irreversible flocculation at primary minimum & there will be un-
stability of colloids.
 On the other hand, if we go from pint C to right side, there is fall of repulsive forces & at a certain
distance de, there will also be flocculation of particles at secondary minimum but this type of
flocculation is called reversible flocculation.
Total energy:
VT = VA + VR
Where,
VA = Vander walls attractive forces, VR = electric repulsive forces.
Interaction of Colloids:
When two or more colloidal systems are mixed with each other, they interact and affect the properties
of each other. Some of such interactions are
1. Mutual precipitation or flocculation:
 When two hydrophobic colloids having opposite charge are mixed with each other.
 The opposite charged particles will attract each other leading to coagulation.
 This type of coagulation is known as mutual precipitation or flocculation
 For example, when sulphur colloid (having –ve charged particles) mixed with colloidal solution
of Fe(OH)3 having +ve charges, flocculation will occur.
2. Coaservation:
 When two hydrophillic colloids with opposite charges are mixed together, the charged particles
will interact forming two layers
 Upper one is called colloidal poor layer
 Lower one is colloidal rich layer
 This process of separating the colloidal layers into two layers is known as coaservation
 For example, colloidal solution of acacia (-ve charge) with colloidal solution of gelatin (+ve
charge) at pH=3
3. Sensitization:
 If a hydrophilic colloidal solution is added to hydrophobic colloidal solution in a very small
amount, the hydrophilic colloid will decrease the zeta potential of the hydrophobic colloid and
make them sensitive for instability and broken on the addition of electrolyte, this process is
called as sensitization.
4. Protection:
Chapter 4. Dispersions
117
Muhammad Muneeb
 If in a mixture of hydrophilic and hydrophobic colloid, the conc. of hydrophilic colloid is
greater, it will stabilize the hydrophobic colloid on the addition of electrolyte and protects it
from breaking.
 The hydrophilic colloid which protects the hydrophobic colloid is called as protective colloid.
 E.g. 20% soln. of acacia (hydrophilic) will increase stability of hydrophobic sulphur colloid.
Acacia will thus be called as protective colloid
Factors Affecting Stability of Colloids:
Following factor affect the stability of colloids
 Presence of charge
 Removal of charge
 Presence of solvent layer
 Addition of electrolyte
1. PRESENCE OF CHARGE:
 For stability of colloids the presence of charge on the surface of colloids is must
 In the absence of charge, the hydrophobic colloids will coagulate
 For this the dispersed particles of hydrophobic colloids contain a like electric charge +ve or –ve on
their surface
 Due to similar charges they will repel each other and system will be stable
2. REMOVAL OF CHARGE:
 In dialysis, when charges are present in colloidal solution they are removed to purify and to be stable
3. PRESENCE OF SOLVENT LAYER:
 The presence of solvent layer around the particles of lyophilic colloids make them stable and on
addition of electrolyte they have a layer of solvent bound on the layer
 This solvent layer prevents the electrolyte to react with charge on particles and so also form
aggregation
 For example, gelatin particles have +ve charge and a layer of water bound to it
 When electrolyte (NaCl) is added, the water layer prevents the Na ions to react with gelatin so
aggregation does not occur
 This can also be exemplified by considering EDL which prevents coagulation
4. ADDITION OF ELECTROLYTE:
 When a small amount of electrolyte is added to a hydrophobic colloid the energy barrier of colloid is
decreased which cause flocculation of colloid by reduction of EDL
 When sufficient amount of electrolyte is added to hydrophobic colloid it will further decrease EDL
and energy barrier resulting in coagulation and instability
5. SCHULZ HARDY RULE:
 Not only the amount of electrolyte but valency is also responsible for aggregation of particles.
Gold Number:
Chapter 4. Dispersions
118
Muhammad Muneeb
 Hydrophilic colloids are protective for hydrophobic colloids but the degree of protection varies and
determined by their Gold Number
 No. of milligrams of hydrophilic colloids that will just prevent the precipitation of 10mL of gold
solution on addition of 1ml of 10 % NaCl
 Onset of precipitation indicated by change in color from red to violet
Artificial Kidney Machine:
 Patient’s blood (arterial) pass through Cellophane coils (ideal semi permeable membrane for
haemodialysis).
 Cellophane pass urea, glucose, electrolytes but don’t pass plasma proteins & blood cells
 Pure dialyzed blood enters the body again through a vein.
 Success of the artificial kidney machine depends on its ability to reduce blood urea.
 Cellophane coils are supported on a drum rotating in electrolyte solution (rinsing fluid).
 Cellophane is an ideal smei-permiable membrane for haemodialysis as its pore size is such that
electrolytes, urea and glucose all can pass freely across it, while the larger molecules such as plasma
proteins, lipid fraction and blood cells cannot pass.
 Cellophane tube cannot allow bacteria to pass across it, so that only the inside surface need
sterilization.
 Artificial kidney machine is used for the haemodialysis
 The success of artificial kidney machine depends upon the reduction of blood urea by passage of the
patient’s blood through the coils of cellophane tubing which is immersed in a suitable rinsing fluid
 The molecular composition is designed to create a diffusion gradient from blood to rinsing fluid of
substances which are present in excess in the blood (urea) and from the rinsing fluid to blood of the
substances which are deficient in the body (bicarbonate)
 While the concentration of those diffusible substances which are present in the normal amounts in the
blood is kept unaltered by having them present in same concentration as in rinsing fluid.
 The length of cellophane tubing is about 60 m
Pharmaceutical Applications of Colloids:
 Colloidal silver iodide, silver chloride & silver protein are effective germicides or antiseptics & not
cause irritation as ionic silver salts do.
 Colloidal copper is used as anticancer.
Chapter 4. Dispersions
119
Muhammad Muneeb
 Colloidal gold is used as diagnostic (radioactive) agent.
 Colloidal mercury used in syphilis.
 Association colloids are used to increase solubility & stability of certain compounds in aqueous &
oily pharmaceutical preparations.
 Efficiency of certain substances is increased when used in colloidal form due to large surface area. E.g.
efficiency of kaolin in adsorbing toxins from GIT. and efficiency of aluminum hydroxide as antacid.
 Blood plasma substitutes like dextran, PVP & gelatin are hydrophilic colloids and are used to restore
or maintain blood volume.
 Iron - dextran complex form non-ionic hydrophilic sols used for treatment of anemia.
 Therapy: Colloidal system are used as therapeutic agents in different areas.
o E.g. Silver colloid – Germicidal
Copper colloid – Anticancer
Mercury colloid – Anti-syphilis
 Stability:
o Lyophobic colloids prevent flocculation in suspensions.
o Colloidal dispersion of gelatin is used in coating over tablets and granules which upon drying
leaves a uniform dry film over them and protect them from adverse conditions of the
atmosphere.
 Absorption:
o As colloidal dimensions are small enough, they have a huge surface area. Hence, the drug
constituted in colloidal form is released in large amount.
o E.g.- sulphur colloid gives a large quantity of sulphur and this often leads to sulphur toxicity
 Targeted Drug Delivery
o Liposomes are of colloidal dimensions and are preferentially taken up by the liver and spleen.
 Photography:
o A colloidal solution of silver bromide in gelatin is applied on glass plates or celluloid films to
form sensitive plates in photography.
 Clotting of blood:
o Blood is a colloidal solution and is negatively charged.
o On applying a solution of FeCl3 bleeding stops and blood clotting occurs as Fe+3
ions neutralize
the ion charges on the colloidal particles.
_______________________________________________________________________________________
B. EMULSIONS
Definition:
 An emulsion is a thermodynamically unstable system consisting of at least two immiscible liquid
phases one of which is dispersed as globules in the other liquid phase stabilized by a third substance
called emulsifying agent.
 An emulsion is an intimate mixture of two immiscible liquids that exhibits an acceptable shelf life near
room temperature.
 In emulsion, the component which is present in the form of small droplet is called internal /
discontinuous/dispersed phase and the other component present as liquid is called external phase or
continuous phase or dispersion medium.
Chapter 4. Dispersions
120
Muhammad Muneeb
 Most emulsion will have droplets with diameters of 0.1 to 100μm.
Internal Phase or External Phase in Emulsions:
 The dispersed liquid is known as the Internal or Discontinuous phase. The droplet phase is called the
dispersed phase or internal phase whereas the dispersion medium is known as the External or
Continuous phase.
 The liquid in which droplets are dispersed is called the external or continuous phase.
Composition of Emulsion:
1. AQUEOUS PHASE:
 Consists of purified or the ionized water which contains water soluble drug preservatives, coloring and
flavouring agents.
 If tap water or hard water is used in the formulation it has adverse effect on the stability of emulsions,
particularly those emulsion containing fatty acids and soap as emulsifying agents.
Chapter 4. Dispersions
121
Muhammad Muneeb
2. OILY PHASE:
 The oily phase of an emulsion consists of fixed, volatile or mineral oil which contains oil soluble
vitamins and antiseptics.
 The oil used in the formation of an emulsion should be auto-oxidation as well as from microbes.
3. EMULSIFYING AGENTS:
 It is the component of emulsion which bound the two immiscible liquids by forming a film around the
dispersed globules and makes the emulsion stable.
 So, it prevents the two liquids (water and oil) from separating as two distinct layers.
 The emulsifying agents are of great importance in any type of emulsion i.e. o/w, w/o, multiple or micro
emulsion.
 This process is called emulsification.
Advantages of Emulsions:
 A dose of an unpalatable drug may be administered in a palatable liquid Form (e.g. Cod liver oil, fish
oil emulsion).
 An oil-soluble drug can be dissolved in the disperse phase and be successfully administered to a
patient in a palatable form. (e.g. Propofol, diazepam)
 The aqueous phase can be easily flavoured.
 The texture/consistency of the product is improved as the ‘oily’ sensation in the mouth is successfully
masked by the emulsification process.
 Absorption may be enhanced by the diminished size of the internal phase.
 Emulsions offer potential in the design of systems capable of giving controlled rates of drug release
and affording protection to drugs susceptible to oxidation or hydrolysis.
 Emulsions have been used to deliver poorly water-soluble drugs, such as general anesthetics and anti-
cancer compounds, via the intravenous route
Disadvantages:
 Preparation needs to be shaken well before use
 Measuring device needed for administration
 Need a degree of technical accuracy to measure a dose
 Storage conditions may affect stability
 Bulky, difficult to transport and prone to container breakages
 Liable to microbial contamination which can lead to cracking
Classification of Emulsions:
1. BASED ON DISPERSED PHASE:
 Oil in Water (O/W): Oil droplets dispersed in water
 Water in Oil (W/O): Water droplets dispersed in oil
2. BASED ON DIAMETER OF LIQUID DROPLETS:
 Droplets may be 5,000 Å (0.5μm) in diameter
Chapter 4. Dispersions
122
Muhammad Muneeb
 Macro emulsions (thermo- Dynamically unstable)
 diameter of droplets is 100Å (0.01μm) - 1000 Å (0.1μm)
 Micro emulsions (thermo- Dynamically stable)
Multiple Emulsions:
 Multiple emulsions are complex poly-dispersed systems where both oil in water and water in oil
emulsion exists simultaneously which are stabilized by hydrophilic and lipophilic surfactants
respectively. In these types of emulsions three phases are present:
 In (water in oil in water) w/o/w emulsion an oil droplet enclosing a water droplet are suspended in
water.
 In (oil in water in oil) o/w/o emulsion a water droplet enclosing an oil droplet are suspended in oil.
 In these “emulsions within emulsions,” any drug present in the innermost phase must now cross two
phase boundaries to reach the external, continuous phase.
 Whether the aqueous or the oil phase becomes the dispersed phase depends primarily on the
emulsifying agent used and the relative amounts of the two liquid phases.
 Most pharmaceutical emulsions designed for oral administration are of the O/W type; emulsified
lotions and creams are either O/W or W/O, depending on their use.
General types of Pharmaceutical Emulsions:
Chapter 4. Dispersions
123
Muhammad Muneeb
 Lotions
 Vitamin oils
 Creams
 Ointments
Theories of Emulsification:
 Several theories have been proposed to explain how emulsifying agents act in producing the multi-
phase dispersion and in maintaining the stability of the resulting emulsion.
o Theory of viscosity
o Fischer theory
o Surface-tension theory
o Oriented-wedge theory
o Plastic or Interfacial film theory
 The most prevalent theories are the surface-tension theory, the oriented-wedge theory, and the
interfacial film theory.
1. SURFACE TENSION THEORY:
 According to the surface tension theory of emulsification, the use of surfactants results in a reduction
in the interfacial tension of the two immiscible liquids reducing the repellent force between the liquids
diminishing each liquid’s attraction for its own molecules.
 Thus, surfactants enable large globules to break into smaller globules, and prevent small globules from
coalescing into larger globules.
2. PLASTIC OR INTERFACIAL FILM THEORY:
 When two immiscible liquids come in contact, the force causing each liquid to resist breakage into
smaller particles is known as interfacial tension. When a high interfacial tension existed between two
liquids emulsification is difficult, and if the tension could be reduced emulsification facilitated.
 The interfacial film theory proposes that the emulsifier forms an interface between the oil and water,
surrounding the droplets of the internal phase as a thin layer of film adsorbed on the surface of the
drops.
 The film prevents the contact and coalescing of the dispersed phase; the tougher and more pliable the
film, the greater the stability of the emulsion
 Greater is the interfacial tension, less stable will be the emulsion as more attraction of the dispersed
globules experiences
Chapter 4. Dispersions
124
Muhammad Muneeb
 lowering of the interfacial tension is important in the initial formation of an emulsion, but the formation
of a protective wedge of molecules or film of emulsifier is important for continued stability.
3. HARKIN’S ORIENTED – WEDGE THEORY
 The oriented wedge theory proposes that the surfactant forms monomolecular layers around the
droplets of the internal phase of the emulsion. The theory is based on the assumption that emulsifying
agents orient themselves about and within a liquid relative to their solubility in that particular liquid.
 Because surfactants have a hydrophilic or water loving portion and a hydrophobic or water hating
portion (but usually lipophilic or oil-loving), the molecules position or orient themselves into each
phase
 Depending on the shape and size of the molecules, their solubility characteristics, and, thus, their
orientation, the wedge shape theory proposes that emulsifiers surround either oil globules or water
globules.
 An emulsifying agent, having a greater hydrophilic character than hydrophobic character, will
promote oil in water emulsions.
 Conversely, water in oil emulsions result with the use of an emulsifier that is more hydrophobic than
hydrophilic.
 In this theory the surfactant emulsifier molecules are assumed be shaped like wedges; therefore, it is
termed “Oriented wedge” theory.
4. THEORY OF VISCOSITY:
 It states that more viscous emulsion the greater is the stability. But it is not always true.
 This theory is holds good for emulsions prepared with gums as emulsifying agents
 Example:
o Milk has low viscosity but most stable, O/W emulsion.
o Cold Cream is an example of more viscous emulsion, O/W emulsion
5. FISCHER’S THEORY OF HYDRATES AND SOLVATES:
 Fischer’s observed that the use of specific ratios of emulsifying agent to continuous phase, he claimed
that the quantity of water in these specified ratios was all used up in forming a colloidal hydrate.
 It states that disperse phase form colloidal hydrate or colloidal complex.
 Example:
o O/W emulsion, oil form colloidal complex and in W/O emulsion water form colloidal complex
and known as solvate
Additives for Formulation of Emulsion:
 Antioxidants
Chapter 4. Dispersions
125
Muhammad Muneeb
 Antimicrobial Preservative
 Auxiliary Emulsifiers
 Emulsifying Agents
1. ANTI-OXIDANTS:
 Autoxidation occurs by free radical reaction
 Can be prevented by
o Absence of oxygen
o A free radical chain breaker
o By reducing agent
 Examples:
o Gallic acid, Propyl gallate - pharmaceuticals and cosmetics - Bitter taste
o Ascorbic acid – Suitable for oral use products
o Sulphites - Suitable for oral use products
o L-tocopherol - pharmaceuticals and cosmetics -Suitable for oral preparations
o e.g. those containing vitamin A
 The oxidative decomposition of certain excipients, the oil phase, and some pharmaceuticals is
possible in emulsions, not only due to the usual amount of air dissolved in the liquid and the possible
incorporation of air during the preparation of the product, but also the large interfacial area between
the oil and water phase.
 The selection of the appropriate antioxidant depends on such factors as:
o Stability
o Compatibility with the ingredients of the emulsion
o Toxicity
o Effectiveness in emulsions
o Odor
o Taste
o Distribution between the two phases
2. ANTI-MICROBIAL PRESERVATIVES:
The preservative must be:
 Less toxic
 Stable to heat and storage
 Chemically compatible
 Reasonable cost
 Acceptable taste, odor and color.
 Effective against fungus, yeast, bacteria.
 Available in oil and aqueous phase at effective level concentration.
 Preservative should be in unionized state to penetrate the bacterial membrane
 Preservative must no bind to other components of the emulsion, because the complexes are ineffective
as preservatives. Only the concentration of free, or unbound, preservative is effective
Examples:
 Acids and acid derivatives – Benzoic acid, Antifungal agent
Chapter 4. Dispersions
126
Muhammad Muneeb
 Aldehydes – Formaldehyde - Broad spectrum
 Phenolics – Phenol (Broad spectrum)
 Quaternaries – Chlorhexidine and salts (Broad spectrum)
 Benzalkonium chloride
 Cetyl trimethyl ammonium bromide
 Mercurials – Phenyl mercuric acetate (Broad spectrum)
3. VISCOSITY AGENTS:
 Viscosity agents are added in emulsion.
o Hydrophilic colloids (naturally occurring gums)
o Partially synthetic polymers, such as cellulose derivatives (e.g., Methylcellulose,
hydroxypropylmethylcellulose, sodium carboxymethylcellulose)
o Synthetic polymers (carbomer polymer).
 These materials are hydrophilic in nature and dissolve or disperse in water to give viscous solutions
and function as emulsion stabilizers.
 High molecular weight alcohols (stearyl alcohol, cetyl alcohol, and glyceryl monostearate) are
employed primarily as thickening agents and stabilizers for o/w emulsions of certain lotions and
ointments used externally.
 Cholesterol and cholesterol derivatives may also be employed in externally used emulsions and to
promote w/o emulsions
4. Emulsifying Agents:
 They are the substances added to an emulsion to prevent the coalescence of the globules of the
dispersed phase. They are also known as emulgents or emulsifiers.
 They help in formation of emulsion by three mechanisms.
o Reduction in interfacial tension – thermodynamic stabilization
o Formation of a rigid interfacial film – mechanical barrier to coalescence, it should possess
some degree of surface elasticity and should not thin out and rupture when sandwiched between
two droplets
o Formation of an electrical double layer – electrical barrier to approach of particles.
 Ideal properties of emulsifiers:
o Be stable
o Be compatible with other ingredients
o Be non – toxic
o Possess little odor , taste , or color
o Not interfere with the stability and efficacy of the active agent
o Promote emulsification to maintain the stability of the emulsion for the intended shelf life of
the product
 Desirable Properties:
o Some of the desirable properties of an emulsifying agent are that it should be surface active
and reduce surface tension to below 10 dynes/cm.
o Be adsorbed quickly around the dispersed drops as a condensed, non-adherent film that will
prevent coalescence.
o Impart to the droplets an adequate electrical potential so that mutual repulsion occurs.
Chapter 4. Dispersions
127
Muhammad Muneeb
o Increase the viscosity of the emulsion.
o Be effective in a reasonably low concentration
HLB System:
 HLB (Hydrophilic lipophilic balance) is the balance of strength of hydrophilic or lipophilic portion of
surfactant molecule.
 Hydrophilic lipophilic balance (HLB) of a surfactant is a measure of the degree to which it is
hydrophilic or lipophilic, determined by calculating values for the different regions of the molecule.
 Each emulsifying agent has a hydrophilic portion and a lipophilic portion, with one or the other being
more or less predominant and influencing the type of emulsion.
 As the emulsifier becomes more hydrophilic, its solubility in water increases and the formation of an
O/W emulsion is favored. Conversely, W/O emulsions are favored with the more lipophilic
emulsifiers.
 Griffin developed a scale based on the balance between these two opposing tendencies. This so-called
HLB scale is a numerical scale. The more hydrophilic surfactants have high HLB numbers (in excess
of 10), whereas surfactants with HLB numbers from 1 to 10 are considered to be lipophilic.
 HLB system usual range is between 1 and 20.
RELATIONSHIP BETWEEN HLB RANGE AND SURFACTANT APPLICATION:
HLB Range Use
0-3 Antifoaming agent
4-6 W/O emulsifying agent
7-9 Wetting agent
8-18 O/W emulsifying agent
13-15 Detergents
10-18 Solubilizing agent
CLASSIFICATION OF EMULSIFIERS:
 Emulsifying agents may be classified in accordance with the type of film they form at the interface
between the two phases
Chapter 4. Dispersions
128
Muhammad Muneeb
 The main purpose of this film—which can be a monolayer, a multilayer, or a collection of small
particles adsorbed at the interface—is to form a barrier that prevents the coalescence of droplets that
come into contact with one another.
 The ionic nature of a surfactant is an important consideration when selecting a surfactant for an
emulsion.
 Nonionic surfactants are effective over pH range 3–10; cationic surfactants are effective over pH range
3–7; and, anionic surfactants require a pH of greater than 8.
1. SYNTHETIC EMULSIFYING AGENTS (MONOMOLECULAR FILMS):
 Those surface-active agents that are capable of stabilizing an emulsion do so by forming a monolayer
of adsorbed molecules or ions at the oil–water interface
 Reduce interfacial tension and make the emulsion thermodynamically more stable. This results in a
more stable emulsion because of a proportional reduction in the surface free energy.
 Droplets are surrounded now by a coherent monolayer that prevents coalescence between approaching
droplets.
Chapter 4. Dispersions
129
Muhammad Muneeb
 If the emulsifier forming the monolayer is ionized, the presence of strongly charged and mutually
repelling droplets increases the stability of the system.
 With un-ionized, nonionic surface active agents, the particles may still carry a charge; this arises from
adsorption of a specific ion or ions from solution
 The majority of emulsifiers forming monomolecular films are synthetic, organic materials.
 The majority of emulsifiers forming monomolecular films are synthetic, organic materials.
 May be subdivided into anionic, cationic, and nonionic, depending on the charge possessed by the
surfactant.
o Anionics: In the anionic subgroup, the surfactant ion bears a negative charge.
 Example: The potassium, sodium, and ammonium salts of lauric acid (Potassium
laurate) and oleic acid are soluble in water and are good O/W emulsifying agents.
o Cationics: The surfactant ion bears a positively charged. These compounds have marked
bactericidal properties. This makes them desirable in emulsified anti-infective products such
as skin lotions and creams. The pH of an emulsion prepared with a cationic emulsifier lies in
the pH 4 to 6 ranges.
 Example: Quaternary ammonium compounds (Cetyltrimethyll ammonium bromide)
Cationic emulsifiers should not be used in the same formulation with anionic
emulsifiers because they will interact.
o Non-ionics: Have no charge, find widespread use as emulsifying agents when they possess
the proper balance of hydrophilic and lipophilic groups within the molecule.
 Example: Glyceryl esters, polyoxyethylene glycol esters and ethers, and the sorbitan
fatty acid esters and their polyoxyethylene derivatives.
2. NATURAL EMULSIFYING AGENT (MULTI-MOLECULAR FILMS):
 Emulsifying agents derived from natural (i.e., Plant and animal) sources
 Also known as Hydrocolloid Emulsifying agents
Chapter 4. Dispersions
130
Muhammad Muneeb
 These materials form hydrophilic colloids, when added to water, and produce o/w emulsions. Although
their surface activity is low, these materials achieve their emulsifying power by increasing the viscosity
of the aqueous phase.
 Hydrated lyophilic colloids form a protective sheath (Multi-molecular films) around the droplets
 Most of the emulsifiers that form multimolecular films are obtained from natural sources and are
organic
 They differ, however, from the synthetic surface-active agents in that:
o They do not cause an appreciable lowering of interfacial tension and
o They form a multi- rather than a monomolecular film at the interface
 Their action as emulsifying agents is due mainly to the multi-molecular film because the films thus
formed are strong and resist coalescence.
 These act as a coating around the droplets and render them highly resistant to coalescence, even in the
absence of a well-developed surface potential.
 Furthermore, any hydrocolloid not adsorbed at the interface increases the viscosity of the dispersion
medium; this enhances emulsion stability.
 Because the emulsifying agents that form multilayer films around the droplets are invariably
hydrophilic, they tend to promote the formation of o/w emulsions.
 Examples:
o Plant origin: Polysaccharides (Acacia, tragacanth, agar, pectin, lecithin)
o Animal origin: Gelatin, Lecithin (Egg yolk), Cholesterol (Wool fat)
3. FINELY DISPERSED SOLIDS (SOLID PARTICLE FILMS):
 Solid particle films also known as Particulate films
 Form a particulate "film” around dispersed particles.
 These particles rely on adsorption to interfaces and like the hydrophilic colloids, function by forming
a physical barrier to coalescence.
 Finely divided small solid particles that are wetted to some degree by both oil and water act as
emulsifying agents. If the particles are too hydrophilic, they remain in the aqueous phase; if too
hydrophobic, they are dispersed completely in the oil phase. This results from their being concentrated
at interface, where they produce a particulate film around the dispersed droplets to prevent coalescence.
Chapter 4. Dispersions
131
Muhammad Muneeb
 E.g.
o Colloidal clays:
 Bentonite, (Al2O3.4SiO2.H2O)
 Veegum (Magnesium Aluminium silicate) it is employed most extensively as stabilizer
in cosmetic lotions and creams.
 Magnesium trisilicate
o Metallic hydroxides:
 Magnesium hydroxide
4. AUXILIARY EMULSIFIERS:
 Auxiliary (Secondary) emulsifying agents include those compounds that are normally incapable
themselves of forming stable emulsion. Their main value lies in their ability to function as thickening
agents and thereby help stabilize the emulsion.
 Auxiliary emulsifying agents that are amphiphilic in nature are, in some cases, capable of forming gel
or liquid crystalline phases with the primary emulsifying agent when combined with water and oil.
 This type of behavior may help to stabilize emulsions due to an increased viscosity, as observed in
topical creams.
 Alternatively, gel or liquid crystalline phases may prevent coalescence by reducing van der Waals
forces between particles or by providing a physical barrier between approaching particles of the
internal phase.
Preparation of Emulsions:
 For small scale work emulsions can be prepared by the following methods:
o Dry gum method
o Wet gum method
o Bottle method
1. DRY GUM METHOD:
 This method is called as continental method
 This method is also known as 4 : 2: 1 method because these figures represent the proportions of oil,
water and gum acacia required for the preparation of primary emulsion.
Chapter 4. Dispersions
132
Muhammad Muneeb
 That is, for example, if there are 40 ml of fixed oil to be emulsified then 10 example, if there are 40ml
of fixed oil to be emulsified then 10 gm of gum acacia and 20 ml of water or vehicle will be required
for preparing the primary emulsion.
 Measure the given quantity of oil with a clean and dry measure and transfer it to a dry mortar. To this
add the calculated quantity of acacia and triturate rapidly so as to form a uniform mixture.
 Then add the required quantity of water for primary emulsion and triturate rapidly without ceasing till
a clicking sound is produced and the product becomes white or nearly white.
 At this stage the emulsion is known as primary emulsion. Then add more of water to produce the
required volume.
 If any soluble ingredient is also to be incorporated, that must be dissolved in the second portion of
water to be added after making the primary emulsion and to produce the final volume.
2. WET GUM METHOD:
 This method is also called English method.
 The proportions of oil, water and gum are some as for dry gum method. In this method the calculated
quantity of gum is triturated with water to form mucilage.
 Then the given amount of oil is incorporated in small portions with rapid titration until a clicking sound
is produced and the product becomes white or nearly so.
 When the primary emulsion is formed, the titration in continued for few minutes more and then more
of water is incorporated in successive small portions to produce the required volume.
3. BOTTLE METHOD:
 Bottle method is used for the preparation of emulsions of volatile and other non-viscous oils.
 The emulsions can be prepared by both the dry gum and wet gum methods.
 Because of low viscosity the volatile oils require greater amount of gum for emulsification therefore
the proportions for oil, water and gum for primary emulsion are 4 : 4 : 2.
 In this method the oil is put in a large bottle and then the powdered dry gum is added. The bottle is
shaken vigorously until the oil and gum are mixed thoroughly.
 Then the calculated amount of water is added all at once and the mixture is shaken vigorously until
primary emulsion is formed.
 More of water is added in small portions with constant agitation after each addition, to produce the
final volume.
Physical Stability of Emulsions:
 A stable emulsion may be defined as a system in which the globules retain their initial character and
remain uniformly distributed throughout the continuous phase.
 The stability of pharmaceutical emulsion is characterized by the:
o Absence coalescence of the internal phase
o Absence of creaming
o Maintenance of elegance with respect to appearance, order colour and other physical properties
 The instability of pharmaceutical emulsions may be classified follows:
o Flocculation and creaming
o Coalescence and breaking
o Some physical and chemical changes and
Chapter 4. Dispersions
133
Muhammad Muneeb
o Phase inversion
A. FLOCCULATION AND CREAMING:
 Creaming is a phenomenon characterized by the accumulation of droplets of the dispersed phase on
the top of the emulsion.
B. COALESCENCE AND BREAKING OR CRACKING:
 Cracking involves coalescence of the dispersed globules and provides eventual separation of the
emulsion in to two phases. Some of the factors that cause cracking are:
o The addition of a substance that is incompatible with the emulsifier may destroy its emulsifier
ability.
o An increase in temperature may coagulate certain types of emulsifying agents (proteins)
o Freezing of aqueous phase will produce ice crystals that may exert unusual pressure on the oil
globules.
o Attempts to incorporate excessive amount of dispersed phase may cause cracking of an
emulsion.
 Those factors which reduce the chances of coalescence & breaking include:
o Uniformity of particle size of the dispersed phase.
o Increase in viscosity of the emulsion to optimum level since this hinders flocculation
coalescence.
o Phase volume ratio: the dispersed phase should be less than 74% otherwise the oil globules
may coalescence and emulsion may break.
C. PHYSICAL AND CHEMICAL CHANGES:
 Natural gums, starches etc. used as emulsifiers may contain excessive amount of bacterial load.
Bacterial growth may cause change in PH and consequent breakdown of emulsion.
 Synthetic emulsifiers are comparatively more stable.
 Some emulsifiers such as soaps carry electric changes. Neutralization of the charge by on added
substance may cause breakdown of the emulsion.
D. PHASE INVERSION:
 In phase inversion the o/w type emulsion changes into w/o type and vice versa.
 It may be brought about by the addition of an electrolyte or by changing the phase volume ratio or by
temperature change.
Pharmaceutical Applications of Emulsions:
 Emulsions can be used to administer orally unpleasant tasting drugs such as liquid paraffin, cod liver
oil, and castor oil in a palatable formulation.
 Oil soluble as well as water soluble materials can be formulated in to a single dosage form as an
emulsion. For example, oil soluble vitamins, A, D, E, and water soluble ones like B & C can be
formulated as a palatable fine emulsion. Such formulation also leads to better absorption of vitamins.
 Radio-opaque emulsions are used for diagnostic applications such as X-ray examination.
 O/w type emulsions are used for i/v administration of oil and fats with high caloritic value patients
who are to ingest food orally.
Chapter 4. Dispersions
134
Muhammad Muneeb
 Emulsions of both o/w &w/o types have extensively been used to prepare pharmaceutical preparation
for external used and cosmetic preparation such as cream and lotion.
 Emulsification has also been used aerosol products to prepare foams.
 Drugs sensitive to oxidation or hydrolysis can be stabilized by formulating them in form of emulsion.
 Bioavailability of certain poorly soluble drugs can be improved by dissolving them in oil and
emulsifying agents
_______________________________________________________________________________________
C. SUSPENSIONS
Disperse System:
 The term "Disperse System" refers to a system in which one substance (The Dispersed Phase) is
distributed, in discrete units, throughout a second substance (the continuous Phase).
 Each phase can exist in solid, liquid, or gaseous state.
 Suspensions are heterogeneous system consisting of 2 phases.
Definition
A Pharmaceutical suspension is a coarse dispersion in which internal phase/insoluble solids
(therapeutically active ingredient) is dispersed uniformly throughout the external phase with the help of
suspending agents.
OR
A coarse dispersion containing finely divided insoluble material suspended in a liquid medium or
available as dry powder to be distributed in the liquid medium when desired is known as suspension.
OR
A biphasic system containing a solid phase (dispersed medium) uniformly dispersed in a liquid phase
(dispersion medium) is called suspension.
Properties:
 The particles in the suspension have diameter greater than 0.1μ.
Chapter 4. Dispersions
135
Muhammad Muneeb
 The internal phase consists of insoluble solid particles having a size range of 0.5 to 5 microns which
is maintained uniformly throughout the suspending vehicle with aid of single or combination of
suspending agent.
 The external phase (suspending medium) is generally aqueous in some instance, may be an organic
or oily liquid for non-oral use.
 Nearly all the suspensions must be shaken Before use to ensure the uniformity of the Preparation and
proper administration of dosage form.
 A solid in liquid dispersion in which the particles are of colloidal size.
Qualities of Good Suspension:
 The dispersion of particles in the suspension must be adequate (uniform).
 The settling of the dispersed particles should be minimum.
 The particle should not form a cake on sedimentation.
 The viscosity should be such that the preparation can be easily poured.
 It should be physically and chemically stable.
 It should have resistance to microbial contamination.
 It must have smooth elegant appearance.
 The main characteristic of an ideal suspension is that it should be thixotropic i.e. becomes viscous on
standing and thin readily on shearing.
The reasons for the Formulation of a Pharmaceutical Suspension:
 If patient has a difficulty of swallowing solid dosage forms (a need for oral liquid dosage form).
 Faster rate of dissolution and oral absorption than solid dosage forms, yet slower than solutions.
 Bulky insoluble powders as kaolin or chalk are better formulated as suspensions so that they are easier
to take.
 Drugs that have very low solubility are usefully formulated as suspensions.
 Drugs that have an unpleasant taste in their soluble forms (e.g., chloramphenicol (soluble) vs.
chloramphenicol palmitate (insoluble).
 Prolongation of effect (e.g. I.M and S.C. suspensions).
 Stability and instability issues:
o Insoluble forms of drugs may prolong the action of a drug by preventing rapid degradation of
the drug in the presence of water (e.g., Oxytetracycline hydrochloride (soluble, hydrolyses
rapidly) vs oxytetracycline calcium salt (insoluble, stable).
Some Pharmaceutical Suspensions:
 Antacid oral suspensions
 Antibacterial oral suspension
 Dry powders for oral suspension (antibiotic)
Chapter 4. Dispersions
136
Muhammad Muneeb
 Analgesic oral suspension
 Anthelmentic oral suspension
 Anticonvulsant oral suspension
 Antifungal oral suspension
Classification:
A. Based On General Classes
 Oral suspension
o eg: Paracetamol suspension, antacids, Tetracycline HCl.
 Externally applied suspension
o eg :Calamine lotion.
 Parenteral suspension
o eg: Procaine penicillin G, Insulin Zinc Suspension
B. Based on Proportion of Solid Particles
 Dilute suspension (2 to10%w/v solid)
o Eg: cortisone acetate, predinisolone acetate
 Concentrated suspension (50%w/v solid)
o Eg: zinc oxide suspension
C. Based on Nature of Solid Particles:
 Flocculated suspension
 Deflocculated suspension
D. Based on Size of Solid Particles:
 Colloidal suspensions (< 1 micron):
o Suspensions having particle sizes of suspended solid less than about 1micron in size are called
as colloidal suspensions.
 Coarse suspensions (>1 micron):
o Suspensions having particle sizes of greater than about 1micron in diameter are called as coarse
suspensions.
 Nano suspensions (10 ng):
o Suspensions are the biphasic colloidal dispersions of nanosized drug particles stabilized by
surfactants.
o Size of the drug particles is less than 1mm.
Flocculated and Non-Flocculated Suspensions:
 In flocculated suspension the individual particles are in contact with each other to form loose
aggregates and create a network like structure.
 Although the rate of sedimentation is high but the sediment is loosely packed which can re dispersed
easily on shaking so as to reform the original suspension.
Chapter 4. Dispersions
137
Muhammad Muneeb
 However; the flocculated suspensions meant for oral, Parenteral ophthalmic or external use may not
be elegant because they are difficult to remove from bottles or vials and on transferring from the bottle
the floccules remain sticking to the sides of the bottle.
 These properties can be improved by adding protective colloids.
 In nonflocculated or deflocculated suspensions all individual particles exist as sediment is
formed slowly but the sediment is closely packed due to weight of upper layers of sediment is closely
packed due to weight of upper layers of sediment materials.
 A hard cake is formed which is difficult to re disperse to get original suspension.
 The nonflocculated suspensions have pleasing appearance as compared to flocculated suspensions
because the substances remain suspended for a sufficiently long time.
Flocculated Non-Flocculated
Particles form loose aggregates and form a network
like structure.
Particles exist as separate entities.
Rate of sedimentation is high Rate of sedimentation is low
Sediment is rapidly formed Sediment is slowly formed
Sediment is loosely packed and does not form a hard
cake.
Sediment is very closely packed and a hard cake is
formed
Sediment is easy to re disperse. Sediment is difficult to redisperse.
Suspension is not pleasing in appearance. Suspension is pleasing in appearance.
Chapter 4. Dispersions
138
Muhammad Muneeb
The floccules stick to the sides of the bottle. They do not stick to the sides of the bottle.
Formulation of Suspension:
 The proper formulation is a key in the proper functioning, physical and chemical state of an ideal
suspension.
 In addition to functional and organoleptic additives (for example, vehicles, stabilizers, colorants,
flavourants and sweetening agents etc.).
 Suspension has also another group of additives, among these following are important.
1. SUSPENDING AND THICKENING AGENTS:
 These are pharmaceutical additives which increase the apparent viscosity of continuous phase and so
preventing the rapid sedimentation of dispersed particles for example, gum acacia, gum tragacanth,
sodiumcar boxy methylcellulose.
 Methyl cellulose, hydroxyl propyl cellulose, hydroxyl methyl cellulose, betonies etc.
2. WETTING AGENTS:
 In some cases, dispersed particles have affinity towards vehicle and so easily wetted by it.
 And when they have very little or no affinity towards the vehicle then wetting agents are used.
 They remove the air film b/w vehicle and solid particles and so vehicle can easily penetrate in to solid
particles. For example, surfactants, hydrophilic polymers (Acacia, colloidal SiO 2etc ) and hydrophilic
liquid (alcohol, glycerol etc).
3. DISPERSING AGENTS:
 These are pharmaceutical additives which are used to get the uniform distribution and dispersion of
solid particles of dispersed phase.
 And they are usually used when the suspension are deflocculated in nature.
 For example, surfactants.
4. FLOCCULATING AGENTS:
 These are the substances which are added to the suspension to cause controlled aggregation of particles
of dispersed phase.
 They include surfactants, electrolytes and hydrophilic polymers (tragacanth) cellulose derivatives etc.
5. ANTIOXIDANTS:
 These are the pharmaceuticals additives which are added to the suspension in order to prevent the
oxidative degradation of labile substances of the products.
 For example, ascorbic acid, tocopherol, butylated hydroxyl toluene etc.
6. ANTI-MICROBIAL PRESERVATIVES:
 These are the pharmaceutical additives which are used in to formulation of suspension in order to
prevent the growth of microorganisms.
 They include chloroform, benzoic acid, ethanol etc.
7. FLAVOURING AGENTS:
Chapter 4. Dispersions
139
Muhammad Muneeb
 These are the substances which are added to the pharmaceutical preparations to mask the unpleasant
taste and odour of medicaments.
 That make the medication more acceptable to the patient. For example: cinema butter scotch, chocolate
and various fruit syrups.
8. COLOURING AGENTS:
 They are added to the formulation to mask the unpleasant appearance and chlorophyll, riboflavin,
saffron, xanthophylls etc.
Formation of Suspension:
The preparation of suspension is somewhat easy to other pharmaceutical dosage forms. During the
preparation of suspension following are the mask factors:
1. Particle size
2. Addition of additives
3. Method of mixing.
1. PARTICLE SIZE:
 The basic step in the preparation of an ideal suspension is to obtain the particle size of proper range.
 The solid particle size of an oral suspension is such that it should not feel gritty to the skin.
 For topical suspension the particle size in the range that preparation should feel smooth to touch
whereas for inject able suspension should not case tissue irritation.
 On the other hand, the particle must not be so small that which again cause problems during the
formation of an ideal suspension.
2. ADDITION OF ADDITIVES:
 In addition to principal and organoleptic additives. Some additional additives are also added to increase
viscosity.
 Wetting agents to reduce interfacial tension and facilitate the wetting of the dispersed particles.
3. PRINCIPLE OF MIXING:
 After achieving uniform particle size and addition of additives, the other main factor is the proper
dispersion of the solid particles. Depends upon:
o Proper flow of vehicle
o Sufficient shear
 The proper flow of the vehicle must be attained so that the solid particles uniformly dispersed in the
vehicle. In both cases, that vehicle is less viscous or more viscous.
 It does not favour the ideal suspension. A sufficient shear must be given to the system to achieve the
dispersion of individual particle rather than floccules.
 Along with these two factors, size and location of impeller, speed of impeller, presence or absence in
the container also effect the mixing of the systems.
Chapter 4. Dispersions
140
Muhammad Muneeb
Small Scale Processing:
 On small scale processing of suspensions, pestle and mortar are used following steps are involved in
this process.
 The insoluble drug is triturated in pestle and mortar to fine size particle.
 The suspending agent is added with small amount of water to form mucilage.
 The mucilage and powdered drug is levigated to form paste. the suspending agents helps the uniform
dispersion of particles.
 The paste is mixed with remaining vehicle (containing soluble drugs, colorants, flavourants)
 The vehicle is added in portions to get the desired volume.
 Sometimes, the dispersion of final product is improved by passing suspension through a homogenizer
or colloidal mill.
Large Scale Processing:
 The drug particles are treated with small portion of water (containing wetting agents) and allowed to
stand for several hours. During this period the entrapped air is released and drug is uniformly wetted
by vehicle.
 The suspending agents is dispersed in the external phase and allowed to stand until complete hydration
takes place.
 The wetted drug is added portion wise in the dissolved suspending agents.
 Other excipients such as electrolytes and buffer should be added with care to prevent variation in
particle charge.
 The other pharmaceutical additives such as flavouring, colouring, sweetening agents are also added.
 After complete mixing different ingredients of suspension, the product is subjected to suspension
equipments (either colloidal mill or homogenizer) in order to reduce the particle size and to form a
suitable preparation.
Theoretical Consideration of Suspensions:
 A knowledge of the theoretic considerations pertaining to suspension s technology ultimately help
formulator to select ingredients that are
o Appropriate for suspension preparation
o That are available for milling
o Mixing equipment
 Some theoretic considerations are:
o Particle size control
o Wetting
o Sedimentation
o Brownian movement
o Electokinetic
o Aggregation
1. PARTICLE SIZE CONTROL:
 Particle size of any suspension is critical and must be reduced within the range
 Too large or too small particles should be avoided.
Chapter 4. Dispersions
141
Muhammad Muneeb
 Larger particles will:
o Settle faster at the bottom of the container
o Particles > 5 µm impart a gritty texture to the product and also cause irritation if injected or
instilled to the eye
o Particles > 25 µm may block the needle
 Too fine particles will easily form hard cake at the bottom of the container.
2. WETTING OF THE PARTICLES:
 Hydrophilic materials (talc, ZnO, Mg2CO3) are easily wetted by water while hydrophobic materials
(sulphur, charcoal) are not due to the layer of adsorbed air on the surface.
 Thus, the particles, even high density, float on the surface of the liquid until the layer of air is displaced
completely.
 The use of wetting agent allows removing this air from the surface and to easy penetration of the
vehicle into the pores.
 However hydrophobic materials are easily wetted by non-polar liquids.
 The insoluble medicament may be:
o Diffusible solids (dispersible solids): These are insoluble solids that are light and easily wetted
by water. They mix readily with water, and stay dispersed long enough for an adequate dose to
be measured. After settling they redisperse easily.
 Examples include magnesium trisilicate, light magnesium carbonate, bismuth
carbonate and light kaolin
o In-diffusible solids: Most insoluble solids are not easily wetted, and some particles may form
large porous clumps in the liquid, whereas others may remain on the surface. These solids will
not remain evenly distributed in the vehicle long enough for an adequate dose to be measured.
They may not redisperse easily.
 Examples for internal use includes aspirin, phenobarbital and sulfadirnidine, and for
external use calamine, hydrocortisone, sulphur and zinc oxide.
 Because of the high interfacial tension between indiffusible solids and water; air may be trapped in
these poorly wetted particles which causes them to float to the surface of the preparation and prevents
them from being readily dispersed throughout the vehicle.
 Wetting of the particles can be encouraged by reducing the interfacial tension between the solid and
the vehicle, so that adsorbed air is displaced from solid surfaces by liquid.
WETTING AGENTS:
 Hydrophilic colloids such as acacia and tragacanth can act as wetting agents.
 Intermediate HLB (hydrophilic-lipophilic balance) surfactants such as polysorbates (tweens) and
sorbitan esters (spans) are used for internal preparations. While Sodium lauryl sulphate is used in
external preparations.
 Solvents such as ethanol, glycerol and the glycols also facilitate wetting.
Chapter 4. Dispersions
142
Muhammad Muneeb
3. SEDIMENTATION:
Sedimentation means settling of particle (or) floccules occur under gravitational force in liquid dosage
form. Velocity of sedimentation is expressed by Stoke’s equation:
𝑣𝑠𝑒𝑑. =
𝑑2(𝜌𝑠 − 𝜌𝑜)𝑔
18𝜂0
=
2𝑟2(𝜌𝑠 − 𝜌𝑜)𝑔
9𝜂0
Where,
 d = Diameterof particle
 r = radius of particle
 vsed.= sedimentation velocity in cm / sec
 ρ s= density of disperse phase
 ρ o= density of dispersion media
 g = acceleration due to gravity
 η o = viscosity of disperse medium in poise
Limitation of Stoke’s Equation:
Stoke's equation applies only to:
 Spherical particles in a very dilute suspension (0.5 to 2 gm per 100 ml)
 Particles which freely settle without collision
 Particles with no physical or chemical attraction.
Sedimentation Parameters:
Sedimentation volume (F) or height (H) for flocculated suspensions:
Chapter 4. Dispersions
143
Muhammad Muneeb
Definition:
Sedimentation volume is a ratio of the ultimate volume of sediment (Vu) to the original volume of
sediment (VO) before settling.
F = V u / VO
Where,
 Vu = final or ultimate volume of sediment
 VO = original volume of suspension before settling
Physical Properties of Dispersed Particles:
 Uniform dispersion of particles is the main factor in the formation of an ideal suspension.
 Uniform dispersion of particles depends on the physical stability of particles which in turn depends on
the following three important factors.
o Particles vehicles interaction
o Particle – particle interaction
o Rheology of suspension
1. PARTICLE – VEHICLE INTERACTION:
 The particle vehicle interaction is responsible for wetting of particles with vehicle and the uniform
dispersion of particles. So if particle vehicle interaction is good, then there will be formation of a good
suspension.
 As we increase the surface area by reducing the particle size, the interfacial tension and surface free
energy of particles are also increased.
 Due to this reason the particles with increased surface free energy tends to agglomerate in order to get
low surface free energy.
 This agglomeration is commonly known as flocculation. And this process does not favour an ideal
suspension.
 A suspension will thermodynamically stable if interfacial tension or surface free energy is zero. The
interfacial tension is reduced by using surfactants.
 As these surfactants cannot exactly make the interfacial tension zero, and promote the dispersion of
particles in vehicle by removing air film between particles and vehicle. So they are called wetting
agents.
 There are certain particles, with are not wetted easily by vehicle. Such particles are known as
hydrophobic particles. For example, sulphur or magnesium stearate in water.
 There wet ability may be increased by passing them through colloidal mill in the presence of wetting
agents (alcohol glycerine etc.).
 On the other hand, there are certain types of particles which are easily wetted by vehicle and such
particles are called lyophilic particles. For example, Talc and magnesium carbonate in water.
2. PARTICLE – PARTICLE INTERACTION:
 Attraction or repulsion b/w particles of suspension are due to the presence of charge (forces) present
on the surface of the particles or due to the distribution of ions around them.
 This interaction b/w the particles lead to flocculation or de flocculation.
Chapter 4. Dispersions
144
Muhammad Muneeb
 If the particles of suspension have some charges i.e. either negative or particles have opposite charges
i.e. some have positive and some have negative, then there will be flocculation.
 In some cases, the surface of the particles may adsorb the ion of oppose charge. This adsorption of
opposite charges is called salvation. This effect also prevents flocculation.
 Flocculation results from the collision and combination of particles suspension.
 If they are protected by a barrier of electric charge on adsorbed molecule then all collision will not
result in combination of particles (& thus flocculation).
 Greater the protective barrier slower will be the rate combination of particles.
3. RHEOLOGY OF SUSPENSION:
 The rheological properties are of particular importance in formulating ideal suspension.
 The rheological property of a suspension mainly depends the degree of flocculation in the suspension.
 If there is flocculation in to product, there will be decrease in the apparent viscosity flocculated
suspension, there types of non-Newtonian flows are observed. If the forces responsible for flocculation
with stand weak external stress then it will have some yield value, below which it will have some
characteristics of solid when the liquid stress with increase in the stresses, thus flocculated suspension
will tend to exhibit plastic or pseudo plastic behavior.
 If the breakdown or reformation of floccules is time dependent, then to thixotropy will be observed.
 On the other hand, deflocculated suspensions (having low dispersion particle concentration i.e. 10%)
show the Newtonian flow. So they are easily poured and spread on the skin.
Stability of Suspensions:
 One aspect of physically stability I pharmaceutical suspensions is concerned with keeping the particles
uniformly distributed throughout the dispersion.
 While it is seldom possible to prevent settling completely over a prolonged period of time, it is
necessary to consider the factors which influence the velocity of sedimentation.
Advantages of Suspension:
 The drugs which are unstable in aqueous medium can be formulated in suspension forms in
nonaqueous solvents.
 Drugs with unpleasant taste in solution form can easily be formulated as
 suspension to provide palatable medication.
 Suspension is an ideal dosage form to those patients who cannot swallow tablets or capsules.
 They prolong the action of drugs by using their derivatives in suspension form.
 Suspension for external use have fine particles size and so avoid the gritty feelings to the skin.
 Sterile suspensions are injected hypodermically to produce sustained action.
 Example:
o Suspension are given by oral route, external applications, and Parenteral use inhaled to lungs
& used for ophthalmic purposes in the eyes.
o The drugs which are available in the form of suspensions include analgesics, antipyretics,
antibiotics, antifungal, antacids etc.
 For example:
o Calpol suspension
o Ponstan suspension
Chapter 4. Dispersions
145
Muhammad Muneeb
o Vermox suspension
o Amoxil suspension
o Erythrocin suspension
Pharmaceutical Applications:
(1) SUSPENSIO FOR (ORAL ADMINISTRATION):
 These suspensions are administrated when there is a difficulty in the swallowing of other solid dosage
forms (such as tablets or capsule) or the drug has unpleasant taste or odour.
 For example, chloramphenical etc as these are orally administered, so colouring, flavouring, and
sweetening agents are also added to the formulation.
 Examples of orally administered drugs are antacid (e.g. aluminium hydroxide, magnesium hydroxide)
paracetamol suspension, Ponstan suspension etc.
(2) SUSPENSION FOR (INJECTTION):
 Such suspensions have particle size such that they can easily pass through syringe needle and for this
purpose their crystal should be of needle type.
 Such preparations are of particular importance in the field of depot therapy.
 For example, kenokortA, Depo provera, solucortif etc.
(3) SUSPENSION FOR (TOPICAL USE):
 In such type of suspensions, the particle size should be in the range that they cannot produce gritty
feeling on the skin. Such suspensions are of prime importance in pharmacy.
 Their best examples are lotions (for example calamine) paste (zinc and salicylic acid paste and
magnesium sulphate paste) etc.
_______________________________________________________________________________________
Chapter 5. Rheology
146
Muhammad Muneeb
Unit 5.
RHEOLOGY
Outline:
 Definition and Fundamental concept
 Properties contributing to Rheological behaviour
 Graphic presentation of Rheological data.
_______________________________________________________________________________________
Introduction:
Pharmaceutical fluid preparations are recognized as materials that pour and flow, having no ability to
retain their original flow shape when not confined. The semi-solids are more nebulous grouping. They
essentially retain their shape when unconfined but flow or deform when an external force is applied. Those
materials that readily pour from bottles and form a puddle are clearly fluids. Ointments or pastes that clearly
retain their shape after extrusion from a tube characteristically are associated with pharmaceutical semi-solids.
Definition:
 The term rheology has been derived from the two Greek words “Rheo” which means “to flow” and
“Logos” means “science”.
 This term was first used by two scientists whose names were Bingham and Crawford and it is described
as, “the flow of the liquids and deformation of solids”.
Rheology may be defined as, “the science concerned with the deformation of the matter under the
influence of stress which may be applied perpendicularly to the surface of a body (tensile stress) or it may
be applied tangentially to the surface of a body (shearing stress) or at any other angle to the surface of a
body”.
Types of Deformation:
The deformation that results from the application of a stress may be divided into two types:
i. Elastic deformation
ii. Plastic deformation
ELASTIC DEFORMATION:
 It is a spontaneous and reversible deformation.
 The work spent for this deformation is recoverable when the body returns to its original position.
PLASTIC DEFORMATION:
 It is a permanent or irreversible deformation.
 The work spent for this deformation is dissipated as heat.
 The plastic deformation is also referred as the flow which is exhibited by the viscous bodies.
Chapter 5. Rheology
147
Muhammad Muneeb
Applications of Rheology:
Following are some important applications of rheology in biology as well as pharmaceutical systems.
A. CIRCULATION OF THE FLUIDS:
The rheology of blood is important for physiologists because it helps in circulation of blood and lymph
in blood vessels and in between intracellular space.
B. THE FLOW OF THE MUCUS / MUCOUS RHEOLOGY:
The rheology of mucous has a central role in various systems. The nasal mucous helps in protection
from foreign particles, gastric mucous helps in the lubrication of the food and the micellization of fats and the
mucous of genital organs helps in transfer of germs. So rheology of mucous helps in migration, protection,
digestion, lubrication in various systems of body.
C. SYNOVIAL FLUIDS:
The rheology of synovial fluids present in joints helps in the movement of joints freely and also
responsible for the absorption of shocks.
D. FOR PHYSICIANS:
For physicians the rheology is very important and governs the fluidity of solutions to be injected with
hypodermic syringe or infused intravenously.
E. FOR CONSUMERS:
Rheological properties of substance e.g. squeezing of tooth paste from collapsible tube spreading of
lotion on skin, butter on slice of bread, and spraying liquid from atomizer is helpful.
F. EMULSION RHEOLOGY:
Emulsion rheology is very important for pharmacists in their flow through colloid mills in the
formation of paints inks, cosmetics and dairy products.
G. RHEOLOGY OF DOSAGE FORM:
This rheology is very important in the administration of various dosage forms. For example, rheology
in the shaking of suspensions, elixirs, and pouring them from bottles etc.
H. POWDER RHEOLOGY:
The rheology of powder is also very helpful in transferring it from hopper into dye cavities of tableting
machine or to capsule during encapsulation.
I. OINTMENT AND SUSPENSION:
Rheology is important in the working of ointments on slabs, triturating of suspension in pestle and
mortar.
J. IN INDUSTRY:
In petroleum industry where one can extract four different types of products, depending on the
rheological properties.
Chapter 5. Rheology
148
Muhammad Muneeb
K. PROCESSING:
During processing the rheological properties of materials help in the production capacity of the
equipments and processing efficiency.
Other Applications of Rheology:
Rheology is important in many fields e.g. in:
i. Bending of the bones
ii. Contraction of the muscles
iii. Flow of suspensions, emulsions, syrups, paints, inks, road building material, cosmetics, dairy products,
lotions, creams and pastes etc.
iv. The flow characteristics of semi-fluid formulations highly affect the mixing and the flow of the
materials.
Role of Rheology in Pharmaceutics:
Rheology plays an important role in the various pharmaceutical products and procedures e.g.
i. Flow of the materials
ii. Mixing
iii. Packaging into containers and their transfer prior (before) to use i.e. when these substances are
transferred by pouring from a bottle or passage through syringe needle or extrusion from a tube.
Rheology can affect many parameters e.g.
i. Patient acceptability
ii. Physical stability
iii. Biological availability
iv. Syringe ability
v. Pour ability
vi. Flow ability
Viscosity:
 Viscosity is a property of a liquid that is closely related to the resistance to flow and reciprocal of the
viscosity is fluidity.
 It is defined in terms of “the force required moving one plane surface past another under the
specified conditions when the space between them is filled by the liquid in question”.
Newtonian and Non-Newtonian Flow:
 Liquids which follow Newton’s law of viscous flow are known as Newtonian’s liquids and those
which don’t follow it are known as Non-Newtonian fluids.
Chapter 5. Rheology
149
Muhammad Muneeb
 According to this law, “the rate of shear is directly proportional to the shearing stress”.
THE FLOW CHARACTERISTICS OF THE NEWTONIAN’S FLUIDS:
1. The Newton’s Law of the Flow:
 Let us consider a block of a liquid consisting of the parallel plates of the molecules as shown in
figure:
 If the bottom layer is considered to be fixed in place, the top plane of the liquid is moved at constant
velocity.
 If the top plane of the liquid is moved at a constant velocity, each lower layer will move with a velocity
which is directly proportional to the distance from the distance from the stationary bottom layer.
OR
“The rate of shear is directly proportional to the distance from the stationary bottom layer”.
 The velocity gradient or rate of shear is equal to
𝒅𝒗
𝒅𝒓
⁄ . Where dv is the velocity difference between
two planes and dr is very small distance between two planes.
 The force per unit area 𝑭′
𝑨
⁄ requires to bring about flow, is called as the shearing stress.
𝑺𝒉𝒆𝒂𝒓𝒊𝒏𝒈 𝑺𝒕𝒓𝒆𝒔𝒔 =
𝑭′
𝑨
=
𝑭𝒐𝒓𝒄𝒆
𝑨𝒓𝒆𝒂
 According to the Newtonian’s law, the rate of shear should be directly proportional to the shearing
stress. Mathematically it can be written as follows:
𝑆ℎ𝑒𝑎𝑟𝑖𝑛𝑔 𝑆𝑡𝑟𝑒𝑠𝑠 ∝ 𝑅𝑎𝑡𝑒 𝑜𝑓 𝑆ℎ𝑒𝑎𝑟
𝐹′
𝐴
∝
𝑑𝑣
𝑑𝑟
𝑭′
𝑨
= 𝜼
𝒅𝒗
𝒅𝒓
Where 𝜂 is a constant and it is called as co-efficient of the viscosity or it is generally represented in
terms of viscosity.
Chapter 5. Rheology
150
Muhammad Muneeb
𝜼 =
𝐹′
𝐴
𝑑𝑣
𝑑𝑟
⁄ =
𝑭
𝑮
Here F is the shearing stress (𝐹′/𝐴) and G is the rate of shear (𝑑𝑣/𝑑𝑟).
 The basic unit of the viscosity is poise (P) named after Jean Marie Poiseullie or it is also called as
dynes.sec.cm-2.
 Poise is defined as, “The shearing force required to maintain a relative velocity of 1 cm.s-1
between
two parallel planes of 1cm2
in area and 1 cm apart.”
 A more convenient unit of the viscosity is the Centipoise or cp.
 The Centipoise is commonly used because water has a viscosity of 1.0020 cp at 200C.
1 𝑝𝑜𝑖𝑠𝑒 = 100 𝑐𝑝
1 𝑐𝑝 = 0.01 𝑃𝑜𝑖𝑠𝑒 = 1 𝑑𝑦𝑛𝑒. 𝑠𝑒𝑐. 𝑐𝑚−2
= 1 𝑔𝑐𝑚−1
𝑠𝑒𝑐−1
= 0.1 𝑃𝑎 – 𝑆
2. Rheograms:
The rheological properties of the liquids are usually expressed in the form of flow diagrams or
Rheograms which consist of the graphs showing the variation of shear rate with the shear stress.
RHEOGRAMS FOR NEWTONIAN’S LIQUIDS:
 The plot of the Newtonian liquids e.g. water, simple organic liquids, true solutions and dilute
suspensions and emulsions is a straight line.
 The slop of which (Rheogram) is equal to the reciprocal of the viscosity – a value which is referred
to as fluidity. Mathematically i.e.
𝜑 =
1
𝜂
(Rheograms for Newtonian Fluids)
CHARACTERISTICS OF THIS RHEOGRAMS:
 The linear curve for the Newtonian liquids passes through the origin indicating that even a mild force
can induce the flow in these systems.
 Also, the linear nature of the curve shows that the viscosity of the Newtonian liquids is a constant
Chapter 5. Rheology
151
Muhammad Muneeb
unaffected by the value of the rate of shear.
3. Viscosities:
A. Kinematic Viscosity:
The kinematic viscosity of a liquid is its absolute viscosity divided by the density at a definite
temperature.
𝑲𝒊𝒏𝒆𝒎𝒂𝒕𝒊𝒄 𝑽𝒊𝒔𝒄𝒐𝒔𝒊𝒕𝒚 =
𝜼
𝝆
The cgs unit for kinematic viscosity is stokes (S), named after George Gabriel Stokes. It is also
sometimes expressed in terms of centistokes (cS). The S.I. unit of kinematic viscosity is m2/s.
1 𝑠𝑡𝑜𝑘𝑒 = 100 𝑐𝑒𝑛𝑡𝑖𝑠𝑡𝑜𝑘𝑒𝑠 = 1𝑐𝑚2
𝑠−1
= 0.0001𝑚2
𝑠−1
B. Relative Viscosity:
Relative viscosity (𝜂𝑟) also known as viscosity ratio is the ratio of a solution (𝜂) to the viscosity of the
solvent used.
𝑹𝒆𝒍𝒂𝒕𝒊𝒗𝒆 𝑽𝒊𝒔𝒄𝒐𝒔𝒊𝒕 = 𝜼𝒓 =
𝜼
𝜼𝒔
C. Specific Viscosity:
Specific viscosity (𝜂𝑠𝑝) may be defined as the relative increase in the viscosity of the dispersion over
that of the solvent alone.
𝑺𝒑𝒆𝒄𝒊𝒇𝒊𝒄 𝒗𝒊𝒔𝒄𝒐𝒔𝒊𝒕𝒚 = 𝜼𝒔𝒑 =
𝜼 − 𝜼𝒔
𝜼𝒔
D. Reduced Viscosity (of a polymer):
Reduced viscosity (of a polymer) or viscosity number is defined as the ratio of the specific viscosity
to the mass concentration of the polymer (c).
𝑹𝒆𝒅𝒖𝒄𝒆𝒅 𝑽𝒊𝒔𝒄𝒐𝒔𝒊𝒕𝒚 =
𝜼𝒔𝒑
𝒄
E. Intrinsic Viscosity (of a polymer):
The limiting value of the reduced viscosity or the inherent viscosity at infinite dilution of the polymer
is intrinsic viscosity. It is obtained by plotting the values of viscosity number or reduced viscosity determined
for various polymer concentrations against polymer concentration and extrapolating the resulting linear
relationship to obtain the intercept. It is also called as limiting viscosity number or Staudinger index.
F. Effect of Temperature on Viscosity:
The viscosity of a gas increases with temperature, that of a liquid decreases as the temperature is raised.
4. The Flow Characteristics of the Non-Newtonian’s Fluids:
 The flow of the material such as colloidal dispersions, emulsions, suspensions and ointments does not
follow the simple Newtonian’s relationship and is therefore these materials are known as Non-
Chapter 5. Rheology
152
Muhammad Muneeb
Newtonians.
 Their viscosity changes.
 When these materials are analyzed in a rotational viscometer and the results are plotted various
consistency curves representing three classes of flow are obtained.
i. Plastic flow
ii. Pseudo plastic flow
iii. The dilatant flow
A. PLASTIC FLOW:
 The characteristic properties of the materials which exhibit plastic flow are shown in the following
Rheogram.
 Such materials are called as Bingham bodies in honor of the scientist E. C. Bingham who first studied
their properties.
 The curve is linear over most of its length corresponding to that of Newtonian fluid.
 However, the curve doesn’t pass through the origin but it intersects the shearing stress axis at a
particular point referred to as yield value or Bingham yield value “FB”.
(Rheogram of a Plastic Flow)
 Yield Value: The certain or definite shearing stress used to produce the flow of plastic material.
 It is often more satisfactory to use the lower yield value or “Fl” in the practical application of plastic
materials because this indicates when actual floe begins.
 In addition, a higher yield value or “Fh” is sometimes used. This corresponds to shearing stress beyond
which the flow curve becomes linear.
 A Bingham body doesn’t begin to flow until a shearing stress corresponding to the yield value is
exceeded.
 If the stress is below the yield value, the substance acts as an elastic material.
 Yield value is an important property of the certain dispersions.
 The slope of Rheogram is termed as mobility similar to the fluidity as in case of Newtonian system
and its reciprocal is known as plastic viscosity or “U”.
Chapter 5. Rheology
153
Muhammad Muneeb
U =
F − FB
G
Where:
FB = Yield value in dynes/cm2
F = Shearing stress
G = Rate of shear
 Plastic viscosity or “U” is defined as, “the shearing force in excess of the yield value required to
induce a unit rate of shear (G)”.
 The yield value is related with the pressure of flocculated particles in concentrated suspensions.
 Yield value exhibits because of the contacts between the adjacent particles and it also slows the force
of flocculation.
 If the suspension is more flocculated, then the yield value is also higher.
 Examples of Plastic Material:
o A suspension of zinc oxide in mineral oil
o Certain paints
o Printing inks
o Jellies or Gel
2. PSEUDOPLASTIC FLOW:
 Unlike the plastic material, the Pseudoplastic material exhibits no yield value but these materials are
characterized by a rheological curve which passes through the origin of the graph as in the case of
Newtonian liquids.
 Unlike the curve of Newtonian material, the pseudoplastic flow curve is non-linear.
(Rheogram for a Pseudoplastic material)
 The shear stress (F) doesn’t increase linearly with the shearing rate (G) and therefore the viscosity
doesn’t remain constant at different rate of shear.
 These systems are also known as the shear thinning system.
 The decrease in the viscosity with the increasing rate of shear is also exhibited in the pseudoplastic
system.
Chapter 5. Rheology
154
Muhammad Muneeb
(Effect of rate of shear on the viscosity of pseudoplastic and plastic material)
 Examples of Pseudoplastic Material Systems:
o Gums (e.g. agar, algrnate)
o Solutions of the suspending agents e.g. tragacanth, gelatin, carboxymethyl cellulose (CMC)
o Other water soluble Mucilages
Representation of Pseudoplastic Flow:
A number of expressions have been derived to represent pseudoplastic flow. The most frequently used
expression is an exponential equation.
FN = η’ G
Where,
F = Shearing stress
G = Rate of shear
Exponent N = An indicative of the Non-Newtonian behaviour
When N assumes a value of unity, we will have a simple Newtonian equation of flow.
Further the value of N rises above the unity, the greater the pseudoplastic character of the material.
3. DILATANT FLOW:
 Dilatancy is a phenomenon in which the material exhibits an increase in the resistance to flow with
increasing rate of shear.
 The material returns to a state of fluidity when the shear is removed, all the agitation is stopped.
 This phenomenon is sometimes referred to as shear thickening system.
(Rheogram for a Dilatant Flow)
Chapter 5. Rheology
155
Muhammad Muneeb
 As in the case of pseudoplasticity flow, the dilatant flow may also be expressed by the exponential
expression.
FN = η’ G
 Whereas in case of pseudoplasticity then N takes a value greater than 1, but in Dilatancy N is always
less than 1.
 As the N approaches the unity, the material approaches the Newtonian behaviour and the curve line
becomes linear.
 The dilatant flow is exhibited by:
o Suspension containing high concentration of very fine particles
o The particles in suspensions are enclosed packed arrangement and they are in state of
deflocculation in suspension
o The flocculated suspensions on the other hand tend to show the plastic flow rather than
dilatancy.
THIXOTROPY:
 The Non-Newtonian system such as plastic, pseudoplastic and dilatant system at a given temperature
show the time dependent changes in the viscosity and then various shearing stresses. This behaviour
is called as thixotropy.
 Slow and isothermal recovery of the materials, when shearing stress is removed at certain temperature
is known as thixotropy.
It may be explained in the following manners.
Thixotropy in Plastic and Pseudoplastic Material:
 In the plastic and pseudoplastic system the viscosity gradually decreases on increasing the shearing
stress at any given temperature.
 On removing the shearing stress, the viscosity is regained not immediately but after some lag time.
 The term thixotropy is given to this phenomenon means “to change by touch” and it may be described
(for example toothpaste) as reversible isothermal transformation from gel to sol.
𝐺𝑒𝑙
𝐴𝑝𝑝𝑙𝑖𝑐𝑎𝑡𝑖𝑜𝑛 𝑜𝑓 𝑆ℎ𝑒𝑎𝑟𝑖𝑛𝑔 𝑆𝑡𝑟𝑒𝑠𝑠
→ 𝑆𝑜𝑙
𝑅𝑒𝑚𝑜𝑣𝑎𝑙 𝑜𝑓 𝑆ℎ𝑒𝑎𝑟𝑖𝑛𝑔 𝑆𝑡𝑟𝑒𝑠𝑠
→ 𝐺𝑒𝑙
 If a Rheogram is obtained for such a system by plotting the rate of shear at various shearing stresses,
a hysteresis loop which is shown in figure is obtained.
 As the shearing stress is increased, an up-curve is obtained. On reducing the shearing stress gradually,
a down-curve is obtained.
 Unlike the Newtonian system, the up-curve and down-curve are not super impossible.
Chapter 5. Rheology
156
Muhammad Muneeb
(Thixotropy in Plastic and Pseudoplastic System)
 The down-curve is shifted to left side means that, the viscosity is of the down curve is lower than that
of up-curve.
 This implies that the gel structure of the system is not reformed immediately but only after a lag time.
 Thixotropic system contains asymmetric particles which setup a loose three dimensional structure.
This structure exerts certain rigidity on the system and it resembles a gel.
 As shear is applied to the system, the structure breaks down and the material changes from gel to a sol
structure.
 Upon the removal of the stress, the structure begins to reform slowly and the initial structure is regained
after a time lag.
(Explanation of thixotropy in Bentonite Gel)
Thixotropy in Dilatant System:
 In the dilatant system as increase in the shearing stress causes an apparent increase viscosity at the
given temperature.
 On removal of shearing stress, viscosity decreases but after a lag time.
 This phenomenon is called as thixotropy in dilatant system and it may be described as a reversible
isothermal transformation from sol to gel.
𝐺𝑒𝑙
𝐴𝑝𝑝𝑙𝑖𝑐𝑎𝑡𝑖𝑜𝑛 𝑜𝑓 𝑆ℎ𝑒𝑎𝑟𝑖𝑛𝑔 𝑆𝑡𝑟𝑒𝑠𝑠
→ 𝑆𝑜𝑙
𝑅𝑒𝑚𝑜𝑣𝑎𝑙 𝑜𝑓 𝑆ℎ𝑒𝑎𝑟𝑖𝑛𝑔 𝑆𝑡𝑟𝑒𝑠𝑠
→ 𝐺𝑒𝑙
Chapter 5. Rheology
157
Muhammad Muneeb
(Thixotropy in Dilatant Systems)
The above rheographs of thixotropic material show that they are highly dependent on:
 The rate at which shear rate is increased or decreased.
 The time at which a sample is subjected to any one rate of shear.
 The previous history of the materials.
Thixotropy in Formulations:
In most of the pharmaceutical systems thixotropy is an ideal property having high consistency in the
container yet pour and spread easily. For example, if a suspension is thixotropic it will not settle easily and
will become fluid on shaking and will remain consistent for enough time until the drug is dispersed. Such
behaviour is likely to be shown by emulsions, creams, ointments, lotions and other types of suspensions.
In a suspension, thixotropy and rate of sedimentation are related. As when suspension shows greater
thixotropy settling rate is lower. For example, concentrating suspension of procaine penicillin G in water is
formed to have high thixotropy and is shear thinning. The breakdown of structure occurs when it is caused to
pass through a hypodermic needle.
At the site of injection in the muscle the consistency is recovered and formation of depot of drug occur
from which drug is slowly removed and is made available to the body.
Thixotropic systems are complex and different rheological changes are concerned with aging of
formulation.
Rheopexy:
Rheopecty or Rheopexy is the rare property of some non-Newtonian fluids to show a time-dependent
increase in viscosity (time-dependent viscosity); the longer the fluid undergoes shearing force, the higher its
viscosity. Rheopectic fluids, such as some lubricants, thicken or solidify when shaken.
𝑆𝑜𝑙 ====== 𝑔𝑒𝑙 ====== 𝑠𝑜𝑙
Anti-Thixotropy:
Anti-thixotropy is the process in which viscosity of the system increase by increasing the shear stress.
The difference b/w anti-thixotropy and dilatancy is that, in case of dilatancy the particles are deflocculated
and concentration of dispersed phase is high e.g. 50%, while in anti-thixotropy the particles are mainly
flocculated and containing 1 – 10% of dispersed phase. The difference b/w anti-thixotropy and Rheopexy
is that, sol is the equilibrium form in anti-thixotropy and gel in Rheopexy.
Chapter 5. Rheology
158
Muhammad Muneeb
RHEOLOGY OF SOME PHARMACEUTICAL PRODUCTS:
Rheology of Emulsions:
 Most of the emulsion systems such as lotions and creams are Non-Newtonian.
 Fluid emulsions such as lotions are usually pseudoplastic.
 Those with the semi-solid behaviour such as cosmetic creams are plastic and show marked yield value.
 Shear thinning emulsions are particularly preferred at creams because they have considerable
consistency when removed from pack or container and spread easily on application to the skin.
ADVANTAGES:
 Stability of emulsified system e.g. creaming, cracking or phase inversion can be avoided.
 Release of the drug from emulsified system may also depend upon their rheological characteristics.
Rheology of Suspensions:
 The suspension exhibit plastic or pseudoplastic characteristics along with thixotropic properties.
 Rheological properties of suspensions depend upon:
o Degree of flocculation of the dispersed phase
o The type and quantity of the suspending or thickening agent which are added to the system
 Preferred rheological behaviors for pharmaceutical suspension are pseudoplasticity along with
thixotropy.
 Thixotropic character of the products ensures recovery after shaking so that the product can be easily
dispersed.
ADVANTAGES:
 The physical stability of suspension e.g. setting or caking of the particles can be avoided.
Rheology of Gels and Ointments:
 The rheological characteristics of gels and ointments directly effect:
o The stability, elegance, extrudability from the tubes
o The capacity of the semi-solid base to take up the solids or liquids (medicines or drugs)
o Adherence and spreadability of the product on the skin
o Release of the drug from the base
 Most of the topical semi-solid preparations exhibit the plastic behaviour e.g. hydrocarbon bases (such
as petrolatum or petroleum exhibit the plastic flow) along with various degrees of the thixotropy.
 Some of the pastes exhibit dilatancy when the shear stress is applied whereas the other exhibit
pseudoplastic flow with thixotropy.
Chapter 5. Rheology
159
Muhammad Muneeb
 The pharmaceutical paste and tooth paste, ophthalmic exhibit different flow behaviour from plug flow
to complete stream line flow, when these are extruded from tubes.
DETERMINATION OF VISCOSITY:
The various viscometers used for determining the viscosity of different systems can be broadly divided
into following types:
A. Capillary Instruments
a. The Ostwald’s U-tube Viscometer
b. The Ubbelohde Suspended Level Viscometer
B. Falling and Rising Body Apparatus
a. Falling Sphere Viscometer
b. Rising Sphere Viscometer (Rheometer)
C. Rotational Viscometers
a. Cup and bob Viscometer
i. Couette type viscometer
1. MacMicheal Viscometer
ii. Searle type viscometer
1. The Stormer Viscometer
2. The Brookfield Viscometer
b. Cone and Plate Viscometer
VISCOMETER:
 A viscometer (also called viscosimeter) is an instrument used to measure the viscosity of a fluid.
 For liquids with viscosities which vary with flow conditions, an instrument called a rheometer is used.
 Viscometer only measure under one flow condition.
VISCOSITY:
 “The viscosity of a fluid is a measure of its resistance to gradual deformation by shear stress or tensile
stress.”
 For liquids it corresponds to the informal concept of thickness.
 E.g. honey has a much greater viscosity than water.
 Common symbols used for viscosity are etta (η) or mho (μ).
RHEOMETER:
 It is a laboratory device used to measure the way in which a liquid suspension or slurry flows in
response to applied forces.
Chapter 5. Rheology
160
Muhammad Muneeb
 It is used for those fluids which cannot be defined by a single value of viscometer.
 Required more parameters to be set.
FLOW CONDITIONS:
 In general, either the fluid remains stationary and an object moves through it, or the object is stationary
and the fluid moves past it.
 The drag caused by relative motion of the fluid and a surface is a measure of the viscosity.
 The flow conditions must have a sufficient small value of Reynolds number (dimensionless quantity
in fluid mechanics that is used to help predict flow patterns in different fluid flow situations) for there
to be laminar flow.
CALIBRATION OF VISCOMETERS:
 At 200
C, the dynamic viscosity (kinetic viscosity * density) of water is 1.0038 mPa.s and its kinematic
viscosity (product of flow time * factor) is 1.0022 mm2/s.
 These values are used for calibrating certain types of viscometer.
Types of Viscometers:
1. Standard laboratory viscometers for liquids
i. U-tube viscometers
ii. Falling sphere viscometers
2. Falling ball viscometer
3. Falling piston viscometer
4. Oscillating piston viscometer
5. Vibrational viscometers
i. Quartz viscometer
Chapter 5. Rheology
161
Muhammad Muneeb
6. Rotational Viscometers
i. EMS
ii. Stabinger
7. Bubble viscometer
1. Standard Laboratory Viscometers for Liquids:
1. U-TUBE VISCOMETERS:
 Ostwald viscometer or Capillary viscometer
 Measure viscosity of substances with a known density
 Named after the German scientist Wilhelm Ostwald (1853 – 1932)
 Method consists of measuring the time for known volume of liquid (mark between A and B) to flow
through the capillary under influence of gravity
 Instrument must be calibrated with materials of known viscosity such as pure (deionized) water.
2. FALLING SPHERE VISCOMETER:
 Stock’s law is the basis of this viscometer
 Fluid is stationary in a vertical glass tube
 In 1851, George Gabriel derived an expression for the frictional forces exerted on spherical objects
with a very small Reynolds numbers.
F = 6πηrv
 If particle is falling in viscous fluid is reached when this frictional force combined with the buoyant
force (up thrust force) exactly balance the gravitational force.
 Modification: Rolling ball viscometer
Chapter 5. Rheology
162
Muhammad Muneeb
ADVANTAGES AND DISADVANTAGES OF LABORATORY USED
VISCOMETERS:
Advantages:
 Measure precise viscosities for many diverse fluids
 Small and portable
 Can use a wide variety of capillary tubes on the same viscometer
Disadvantages:
 No single tube is suitable for all viscosities
 Basic models can only be used for translucent (semi-transparent) fluids
 Difficult to clean the capillary tubes
2. Falling Ball Viscometers:
 In 1932, Fritz Hoppler got a patent for the falling ball viscometer, named after him – the first
viscometer to measure viscosity
 Viscosity of Newtonian liquid by measuring the time required for a ball to fall under gravity through
a sample-filled tube that is inclined at an angle
 The average time is taken for atleast three tests and then it is converted into viscosity.
 Two models of falling ball viscometer are available.
o KF30 has a fixed angle of 80 degree
o KF40 can be inclined at 50, 60, 70, 80 degree.
Advantages:
 Small and portable
 Easy operation
Disadvantages:
 Limited to Newtonian fluids
 Restricted to translucent fluids (need to be able to see the object's movement)
3. Falling Piston Viscometer:
 Comprised of a tube with a measured liquid, piston or ball inside the tube, an electrical magnet and
a magnet switch
 Also known as Nocross viscometer –named after its inventor Austin Nocross
 Piston is made up of ferromagnetic material, first lifted to the top by magnet and then is allowed to
Chapter 5. Rheology
163
Muhammad Muneeb
move freely under gravity.
 Time required to pass the length of tube is proportional to the viscosity.
4. Oscillating Piston Viscometer:
 Sometimes referred to as electro-magnetic viscometer (EMV)
 Invented at Cambridge Viscosity in 1986
 Sensor comprises a measurement chamber and magnetically influenced piston
 Sample is introduced into the thermally controlled measurements chamber where the piston resides
 Shear stress is imposed on the liquid
 Time travel to move piston is used to calculate the viscosity
 Technology is adapted for small viscosity and micro-sample viscosity testing in laboratory uses
Advantages:
 Can measure viscosities of opaque, settling, or non-Newtonian fluids
 Useful for characterizing shear-thinning and time-dependent behavior
 Speed of the rotating part easily adjusted
 Often linked to computers for semi-automated measurement
Disadvantages:
 Can be relatively expensive
 Often large and not portable
Chapter 5. Rheology
164
Muhammad Muneeb
5. Vibrational Viscometers:
 Invented in 1950
 Measure viscosity by measuring the damping of an oscillating electromagnetic resonator immersed in
a liquid whose viscosity is to be measured.
 The resonator's damping may be measured by one of several methods:
o Measuring the Power Input
o Measuring the decay time
o Measuring the frequency of the resonator
QUARTZ VISCOMETER:
 Special type of vibrational viscometer.
 An oscillating quartz crystal is immersed into a specific influence on the oscillating behavior defines
the viscosity.
 Idea of W. P. Mason - the application of piezoelectric crystal for determining the viscosity.
Advantages and Disadvantages:
 This instrument lacks shear field so it is un-suitable for those liquids whose flow behaviour is not
known before-hand.
 This is the most efficient system with which the viscosities are measured at wide range.
 They’ve no moving parts, no weaker parts and the sensitive part is very small. Even acidic or basic
fluids can be measured by adding protective coatings such as enamels.
6. Rotational Viscometers:
 Torque required to turn an object in a fluid is a function of viscosity of that fluid. They measure the
torque required to rotate a disk or bob in a known speed.
o Cup and bob
o Cone and plate
Chapter 5. Rheology
165
Muhammad Muneeb
TYPES OF ROTATIONAL VISCOMETERS:
Advantages:
 Can measure viscosities of opaque, settling, or non-Newtonian fluids
 Useful for characterizing shear-thinning and time-dependent behavior
 Speed of the rotating part easily adjusted
 Often linked to computers for semi-automated measurement
Disadvantages:
 Can be relatively expensive
 Often large and not portable
7. Bubble Viscometer:
 Determine kinematic viscosity
 The time required for an air bubble to rise is directly proportional to the viscosity of the fluid, so the
Chapter 5. Rheology
166
Muhammad Muneeb
faster the bubble rises, the lower is the viscosity.
 The direct time method uses a single 3-line times table for determining the bubble second, which is
then converted into viscosity.
Advantages and Disadvantages:
This method is considerably accurate, but the measurements can vary due to the variances in
buoyancy because of the changing in shape of the bubble in tube. However, this doesn’t cause any sort of
miscalculations.
Other Types of Viscometers:
 Rectangular-slit Viscometer
 Miscellaneous Viscometer Types
 The Ubbelohde Suspended Level Viscometer
 Falling Sphere Viscometer
 Rising Square Viscometer (Rotational Viscometer)
 The Stormer Viscometer
_______________________________________________________________________________________
Chapter 6. Physicochemical Processes
167
Muhammad Muneeb
Unit 6.
PHYSICOCHEMICAL PROCESSES
Outline:
a. Precipitation: Process of precipitation and its applications in Pharmacy.
b. Crystallization: Types of crystals, Mechanism and methods of crystallization and its applications in
Pharmacy.
c. Distillation: Simple, fractional, steam distillation, vacuum distillation, destructive distillation and their
applications in Pharmacy.
d. Miscellaneous Processes: Efflorescence, deliquescence, lyophillization, elutrition, exiccation,
ignition, sublimation, fusion, calcination, adsorption, decantation, evaporation, vaporization,
centrifugation, dessication, levigation and trituration.
_______________________________________________________________________________________
1. PRECIPITATION
Definition:
 ‘‘Precipitation is the process of separating the solid particles from the solution by physical and or
chemical changes”.
 The formation of an insoluble component from solution either by interaction of two salts (i.e. by
chemical changes) or by temperature changes ((i.e. physical change) effecting stability is called
precipitation. The solid formed in this process is called precipitate.
CRYSTALLIZATION AND PRECIPITATION:
 Crystallization and precipitation are two similar concepts, which are used as separation techniques.
 In both the methods, the end product is a solid and its nature can be controlled by manipulating
different variables throughout the process.
 Precipitation is a unit process in which a settleable and / or filterable solid is formed by the chemical
joining of two or more inorganic dissolved chemical species, the objective of which is to remove one
of the chemical species.
TERMS:
 The separated solid particles are called precipitate, while the remaining clear liquid above the
precipitates are called as ''supernatant”.
 The separated solid is termed a precipitate; the cause of precipitation is the precipitant; and the liquid
that remains in the vessel above the precipitate is called the supernatant liquid.
Chapter 6. Physicochemical Processes
168
Muhammad Muneeb
Methods of Precipitations:
There are three different method of Precipitation as follows:
 Organic solvent method
 pH change method
 Double decomposition method
1. ORGANIC SOLVENT METHOD:
 In this method the water insoluble substances or (drugs) are dissolved in water miscible organic
solvents.
 Now the dissolved drug can be easily precipitated by adding water (distilled water) into the mixture.
 The general organic solvents are Ethanol, Methanol, Glycol, Propylene glycol, polyethylene glycol.
 When (prednisolone) suspension is dissolved in methanol, it is very easily precipitated by adding
distilled water.
 Only physical changes occur in this process.
Summary:
 Take drug
 Dissolve in organic solvent
 Add water
 Drug separate as precipitate
2. pH CHANGE METHOD:
 This method is applicable only to those substances (drugs) in which solubility are dependent upon
pH.
 (Esterdiol suspension) is prepared by changing the pH of the aqueous solution. Esterdiol drug is
readily soluble in alkaline media (NaOH and KOH) solution. However, this drug is insoluble in acidic
media. So when this drug is added to an acidic media (HCI, acetic acid or citric acid) with proper
agitation. Esterdiol is easily precipitated out in a form of fine particles.
 Insulin solution can also be prepared by pH change method. The PH change method is again a physical
change. (Not a chemical change)
3. DOUBLE DECOMPOSITION METHOD:
 Precipitations are formed in this method only by simple chemistry.
 MgCO3 and CaCO3 are the common substances prepared by this method
CaCl2 + Na2CO3 → CaCO3 + 2NaCl
MgCl2 + Na2CO3 → MgCO3 + 2NaCl
 High concentration solution produce coarse precipitates, from which impurities can be removed by
washing, but precipitates formed by dilute solution are much finer and it is much difficult to remove
impurities from them. In many case the order of mixing solutions can also effect the PPT formation,
e.g.
 Similarly, (white lotion) is formed by precipitation
 i.e. by mixing aqueous solution of ZnSO4 and Sulphurated Potash to form insoluble PPT, which finally
divided into Zinc sulphide plus free sulphur and various polysulphides e.g.
Chapter 6. Physicochemical Processes
169
Muhammad Muneeb
ZnSO4 + sulphurated potash → ZnS + S
 Many other organic and inorganic compounds are formed by precipitation methods e.g. Mg stearate is
formed by treating diluted solution of sodium stearate and MgSO4. Precipitates of Mg stearate are
formed and are formed and are washed with water
Sodium stearate + MgSO4 → Mg sterate
Applications:
 The precipitation method is used to produce very fine solid particles, about 0-1µm.
 It is also used to purify the solids. (Drugs)
 It provides a convenient method of obtaining solid substances in the form of fine particles, such as the
precipitation of calcium carbonate (precipitated chalk).
 In preparation of pharmaceuticals, dyes, paints, printing inks.
 Many consumer products are produced via precipitation processes, such as magnetic recording media,
which contain ferric or chromic oxides, and photographic materials.
 Precipitation has also played an important role in wastewater treatment (e.g., removal of calcium salts).
 In metallurgy, precipitation from a solid solution is also a useful way to strengthen alloys; this process
is known as solid solution strengthening.
_______________________________________________________________________________________
2. CRYSTALLIZATION
Definition:
 Crystallization is the spontaneous arrangement of the particles into a repetitive orderly, i.e., regular
geometric patterns.
 Crystallization is also a chemical solid-liquid separation technique in which mass transfer of a solute
from the liquid solution to a pure solid crystalline phase occurs.
 Crystallization is a process of formation of large crystals in pure state from their solution.
General Process:
 Take china dish add water
 Heat it
 Add impure salt
 Continue stirring and adding more salt until no more salt dissolve
 Filter it
 Allow to cool it
 After some time, crystal forms
Crystal:
 A crystal can be defined as a solid particle, which is formed by the solidification (crystallization)
process (under suitable environment) in which structural units are arranged by a fixed geometric
pattern or lattice.
 Homogenous solids which possess a definite geometrical shape is called crystal.
Chapter 6. Physicochemical Processes
170
Muhammad Muneeb
 A discrete solid particle bounded by definite faces intersecting at definite angels, and showing certain
symmetry characteristics is called crystals. The building block of the crystal is called unit cell. It is the
basic structural unit of crystal and possessing all the properties of its pattern (solid).
CRYSTAL LATTICE:
 Crystal lattice is defined as an orderly arrangement of particles in three – dimensional space. The
Three dimensional arrangement of particle in a crystal is also known as space lattice
 The smallest geometric portion, which repeat to build up the whole Crystal, is called a unit cell.
 All crystals are constructed from repeating units called unit cells.
 A crystal is bounded by plane surface called faces
 The angle between the two perpendicular to the intersecting faces is termed as the axial angle
 Axial length can be defined as the distance between the centre of two atoms.
Crystal System:
 All crystals are constructed from repeating units called unit cells. All unit cells in a specific crystal are
the same size and contain the same number of molecules or ions arranged in the same way.
 There are seven primitive unit cells;
Chapter 6. Physicochemical Processes
171
Muhammad Muneeb
 cubic, hexagonal, trigonal(rhombohedral), tetragonal, orthorhombic, monoclinic and triclinic.
Process of Crystallization:
 In chemical engineering crystallization occurs in a crystallizer. Crystallization is therefore an aspect
of precipitation, obtained through a variation of the solubility conditions of the solute in the solvent,
as compared to precipitation due to chemical reaction.
 There are three major events in the process of crystallization
o Formation of Solution
o Nucleation
o Crystal growth
Chapter 6. Physicochemical Processes
172
Muhammad Muneeb
1. SUPER-SATURATION OF SOLUTION:
 During the process of crystallization, the first step is the super saturation of the solution i.e. the
concentration: of the solute in the solution must be greater than its solubility.
 There are various methods for this purpose depending upon that how the solubility of solute varies
with temp: for example, sodium chloride solution is super saturated only by the evaporation of water,
while in case of KNO3 either evaporation or cooling is used.
2. NUCLEATION:
 A step where the solute molecules dispersed in the solvent start to form clusters together.
 These clusters become stable under the current operating conditions.
 Aggregation of molecules builds larger and larger molecules – becomes a nucleus at some point.
 These stable clusters constitute the nuclei.
 However, when the clusters are not stable they redissolve. Therefore, the clusters need to reach a
critical size in order to become stable nuclei.
 It is at the stage of nucleation that the atoms arrange in a defined and periodic manner that defines the
crystal growth.
 Nucleation is the initiation of a phase change in a small region, such as the formation of a solid crystal
from a liquid solution.
 Total nucleation is the sum effect of two categories of nucleation – primary and secondary.
Types of Nucleation:
1. Primary nucleation is the initial formation of a crystal where there are no other crystals present or
where, if there are crystals present in the system, they do not have any influence on the process.
a. Homogeneous nucleation: It is not influenced in any way by solids. These solids include the
walls of the crystallizer vessel and particles of any foreign substance
b. Heterogeneous nucleation: This occurs when solid particles of foreign substances cause an
increase in the rate of nucleation that would otherwise not be seen without
2. Secondary Nucleation is the formation of nuclei attributable to the influence of the existing
microscopic crystals in the magma. It is attributable to fluid shear, the other due to collisions between
already existing crystals with either a solid surface of the crystallizer or with other crystals themselves.
Chapter 6. Physicochemical Processes
173
Muhammad Muneeb
3. CRYSTAL GROWTH:
 Once the first small crystal, the nucleus, forms it acts as a convergence point for molecules of solute
touching – or adjacent to – the crystal so that it increases its own dimension in successive layers.
 The pattern of growth resembles the rings of an onion, as shown in the picture, where each colour
indicates the same mass of solute; this mass creates increasingly thin layers due to the increasing
surface area of the growing crystal.
 In crystallization Processes nuclei formation should be under control, since the number of nuclei will
control the size of the crystal.
 Large crystals may be obtained as a result of slow cooling of solutions.
 Nucleation may be inhibited by the presence of impurities, especially if of high molecular weight in
the solution.
COLLECTION OF CRYSTALS:
 After crystallization, the solution is filtered under reduced pressure.
 When whole of the mother liquor is drained out, the crystals are washed with pure cold solvent to
remove adhering impurities and then they are dried in an oven or in vacuum desiccators.
 Crystal size also depend upon solvent used, for example Grisionfulvin (antifungal)
 When crystallize out from benzene, chloroform and acetone, three different size of crystals are formed.
Methods of Preventing Crystal Formation:
1. Use of narrow size range.
2. Grinding the solid in the presence of dispersing fluid.
3. Use of surface active agents which are adsorbed on the surface of crystals.
E.g., a simple suspensions of cortisone acetate powder for use as eye drop is liable to crystal growth.
It can be avoided by grinding with hydrated Aluminium hydroxide and inclusion of methyl cellulose.
Applications:
 The applications of the crystallization technique in the pharmaceutical industry as a purification and
separation process for the isolation and synthesis of pure active pharmaceutical ingredients (API)
 Crystallization is practiced on all scales: from the isolation of the first milligrams of a newly
synthesized substance in the research laboratory to isolating products on the mulit-million tone scale
in industry.
_______________________________________________________________________________________
Chapter 6. Physicochemical Processes
174
Muhammad Muneeb
3. DISTILLATION
Definition:
 Distillation is the process in which a liquid is vaporized, re-condensed (turned back into a liquid) and
collected in a container.
 Distillation may be defined as the separation of the constituents of a mixture including a liquid by
partial vaporization of the mixture and separate collection of the vapors.
General Apparatus:
01 Heat Source 09 Vacuum / Gas Inlet
02 Still Pot 10 Still Receiver
03 Still Head 11 Heat Control
04 Thermometer / Boiling Point Temperature 12 Stirrer Speed Control
05 Condenser 13 Stirrer / Heat Plate
06 Cooling Water In 14 Heating (Oil/Sand) Bath
07 Cooling Water Out 15 Stirrer Bar/Anti-bumping Granules
08 Distillate / Receiving Flask 16 Cooling Bath
The separations may include;
 Separation of a liquid from non-volatile impurities
 The separation of a liquid from one or more other liquids, with which it may be miscible, partially
miscible or immiscible.
 The process of vaporizing a liquid mixture in one vessel and condensing the vapors into another vessel
is called distillation.
 The liquid being distilled is heated in a flask, which is sometimes called a distillation flask or
distillation pot or Still.
 The vapors are condensed on a cool surface, usually a water-cooled condenser.
 The resulting liquid is called the distillate and is collected in a receiving flask or Receiver.
 The boiling point of mixtures depends upon mole fraction of the component present i.e.:
o In pure substances the temperature remains constant during distillation process so long as both
vapor and liquid are present.
o In miscible liquid mixture the temperature increases throughout process because composition of
vapor changes continuously.
Types of Distillation:
Some types of distillation are as follows.
Chapter 6. Physicochemical Processes
175
Muhammad Muneeb
 Simple Distillation
 Fractional Distillation
 Steam Distillation
 Vacuum Distillation
 Destructive Distillation
1. Simple Distillation:
 Simple distillation is a process of converting a liquid into its vapors, transferring the vapors to another
place, and recovering the liquid by condensing the vapors, usually by leading contact with a cold
surface. The apparatus used consists of three parts:
o Still in which volatile material is vaporized
o Condenser in which vapors are condensed
o Receiver in which distillate is collected
 Simple distillation can produce partial separation of components with different boiling points in a liquid
mixture.
 The process is generally used for separation of liquids from non-volatile solids, e.g., preparation of
distilled water and recovery of alcohol in the preparation of dry extracts.
 Simple distillation is practiced for a mixture in which the boiling points of the components differ by at
least 70°C.
 It is also followed for the mixtures contaminated with nonvolatile particles (solid or oil) and those that
are nearly pure with less than 10 percent contamination.
Double Distillation:
Double distillation is the process of repeating distillation on the collected liquid in order to enhance
the purity of the separated compounds.
Process of Simple Distillation:
 For simple distillation on laboratory scale, a distillation flask with side arm slopping downwards is
used.
 The temperature at which the vapors distil is observed on a thermometer.
 Thermometer is inserted through a cork and having its bulb just below the level of the side arm.
 The size of the flask should be good enough to hold the volume double than the required volume.
 Bumping, due to heating is avoided by adding a small chip of porous pot before the start of distillation
in the flask.
 If the process is interrupted, a fresh chip should be added. They will prevent superheating of the
liquid being distilled and they will cause a more controlled boil, eliminating the possibility that the
liquid in the distillation flask will bump into the condenser.
 Chips should not be added to the superheated liquid; otherwise an instantaneous evolution of a large
volume of vapors will occur.
Condenser:
A condenser is a heat exchanger; its surface is kept cold by a stream of cold water. It should have the
following properties:
 Construction of condenser should be such that it can be easily cleaned.
Chapter 6. Physicochemical Processes
176
Muhammad Muneeb
 The broken parts may be easily replaced so that the cost of new one is saved.
 Provide maximum cooling surface because the rate of condensation is directly proportional to the
cooling area.
 Condensing surface should be good conductor of heat, therefore where practicable metal condensers
are preferred over glass.
 Water used for cooling must leave the condenser quickly so as to provide space for water to get in
and provide cold surface.
 Water must flow in opposite direction to vapors so that the condensed liquid should leave the
condenser in as cool a condition as possible.
Limitations of Simple Distillation:
 It produces a distillate that is always impure at any temperature range between the ranges of boiling
points of the components. Therefore, it is impossible to completely separate the components in a
mixture with Simple Distillation.
 Relatively pure substances can be obtained from a mixture with Simple Distillation if the boiling points
of the components differ by a large amount (>70ºC).
 This may be a very tedious process involving a large number of distillations.
Properties of Simple Distillation:
 Simple set up
 Fast process
 Consumes less energy
 Poor separation
 Best for relatively pure liquids
Applications of Simple Distillation:
 For purification of organic liquids.
 Separation of liquids from non-volatile solids – recovery of alcohol in the preparation of dry extracts.
 Preparation of different substances – ether amyl nitrate etc.
 Preparation of distilled water.
 Identification.
2. Fractional Distillation:
Introduction:
Chapter 6. Physicochemical Processes
177
Muhammad Muneeb
 Simple Distillation separates components of a mixture based on the differences in boiling points of
the pure components.
 The closer the boiling points are to each other, the more difficult the separation; hence Fractional
Distillation is used instead of simple distillation.
 The boiling point of a substance determined by distillation is a useful physical property for the
characterization of pure compounds
 Fractional Distillation is one of the most common separation method used when purifying liquid
organic samples.
 Especially, to separate miscible volatile liquids having different boiling points e.g., mixture of
Alcohol and water.
 It is quite easy to separate a liquid from non-volatile solids by simple distillation but it is very difficult
to separate two volatile liquids completely from each other by simple distillation.
 The fractional Distillation accomplishes the same Condensation Cycles, by inserting a Fractionating
Column between the Distillation Flask and the Distillation Head.
 The Fractionating Column subjects the mixture to many Condensation Cycles as the material moves
up the column toward the Distillation Head. With each cycle within the column, the composition of
the vapor is progressively enriched in the lower boiling liquid. This process continues until most of
the lower boiling compound is removed from the original mixture and condensed in the receiving
flask.
Process:
 Distillation is one of the oldest and still most common methods for both the purification and the
identification of organic liquids. It is a physical process used to separate chemicals from a mixture by
the difference in how easily they vaporize. As the mixture is heated, the temperature rises until it
reaches the temperature of the lowest boiling substance in the mixture, while the other components
of the mixture remain in their original phase in the mixture. The resultant hot vapor passes into a
condenser and is converted to the liquid, which is then collected in a receiver flask.
 When the lower boiling liquid is effectively removed from the original mixture, the temperature rises
and a second fraction containing some of both compounds is produced. As the temperature approaches
the boiling point of the higher boiling point compound, the distillate condensing into the third
receiving flask is increasingly pure in the higher boiling point compound
Principle:
 The principle of fractional distillation is based on the establishment of a large number of theoretical
vaporization-condensation cycles.
 The apparatus of a simple distillation is modified by inserting a fractionating column between the
distillation flask and the distillation head.
 The fractionating column provides a large surface area in which the initial distillate is redistilled and
condensed again.
 This process continues as the vapors rise up the column until the vapors finally make it into the
condenser.
 These vapors and the final distillate will contain a greater percentage of the lower boiling liquid.
 Continuous repetition of re distillation process in fractional distillation gives good separation of the
volatile liquid components.
Chapter 6. Physicochemical Processes
178
Muhammad Muneeb
Azeotropic Mixtures:
 Azeotropic mixture or constant boiling mixture is one in which the composition of the liquid and the
vapor in equilibrium with it, is the same.
 Their proportions cannot be altered by simple distillation.
 The mixture behaves like a pure liquid and distils without change in composition or boiling point.
Such mixtures cannot be separated into their pure components by simple distillation, e.g., alcohol and
water, alcohol and benzene, alcohol and chloroform.
Ternary mixtures:
Mixtures of three components, which do not form azeotropes may be separated by fractional
distillation in the same way as the binary mixtures.
Properties of Fractional Distillation:
 Complicated
 Slow
 Consumes more energy
 Better separation
 Best for mixtures with close B.P
Applications of Fractional Distillation:
 Separation of two immiscible liquids having different boiling points.
 Separation of ternary mixtures.
 Manufacture of Alcohol
3. Steam Distillation:
Introduction:
 Steam distillation is a special type of distillation for temperature sensitive materials like natural
aromatic compounds.
 Many organic compounds tend to decompose at high sustained temperatures. Separation by normal
distillation would then not be an option, so water or steam is introduced into the distillation apparatus
Chapter 6. Physicochemical Processes
179
Muhammad Muneeb
 By adding water or steam, the boiling points of the compounds are depressed, allowing them to
evaporate at lower temperatures, preferably below the temperatures at which the deterioration of the
material becomes appreciable
 Steam distillation is used for the distillation of water-immiscible liquids of high boiling points, e.g.,
turpentine, aniline.
 By bubbling steam through the liquid, the mixture boils at below the normal boiling point of the either
component.
 The distillate consists of the two liquids in the same proportions as in the vapor E.g. Turpentine has
a boiling point of 160 C, when mixed with water it can be distilled at about 95.6C.
Steam Distillation Principle:
 This method is based on the fact that, total vapor pressure above a mixture of two immiscible liquids
is equal to the sum of the vapor pressures of the individual liquids i.e.,
Ptotal = P1 + P2 Hence, P2 = Ptotal - P1
 A liquid boils at the temperature when its vapor pressure becomes equal to the atmospheric pressure.
 Steam is continuously passed over the impure organic liquid; the steam heats the liquid and gets
condensed into water itself.
 The resulting mixture of liquid and water begins to boil when the vapor pressure above the mixture
becomes equal to the atmospheric pressure.
 Hence the mixture of the two immiscible liquids will boil at a temperature lower than the normal
boiling points of both the liquids.
 The mixture will continue to boil at the same temperature until one of the liquids is completely
distilled out.
 The distillate, which contains water and the liquid, separates out into two layers as both are immiscible
with each other.
 The two layers can be separated using a separating funnel.
Steam Distillation Process:
 The impure compound and water are placed in a distillation flask kept at a slight slant position and
heated on a sand bath.
 Steam is then bubbled through this mixture.
 The vapors of the compound, along with steam, leave the flask from the outlet and get condensed in
the water condenser.
 The condensate collected in the receiver is transferred to a separating funnel.
 The liquid compound being immiscible with water forms a separate layer and can be separated.
Solid Drying Agents:
 Final traces of water are removed by treating the organic solution with a drying agent.
 A drying agent is an inorganic salt which readily takes up water to become hydrated.
 Several such salts are used routinely in labs. Magnesium sulphate is a good general choice as it is fast
and not very soluble in water.
 There is no set “rule” as to how much drying agent needs to be added. The amount required depends
on the amount of water in the liquid or solvent solution which you are drying. This amount varies
from experiment to experiment.
Chapter 6. Physicochemical Processes
180
Muhammad Muneeb
 Use as much as it takes to dry the solution. In most cases, drying is complete in 20 minutes.
 When drying is complete, you need to remove the dried organic solution from the drying agent. There
are several methods by which it can be done.
 If the powder is quite fine (as when using magnesium sulphate) or if the volume is large, gravity
filtration is the method of choice.
 In case the drying agent is of larger particle size (as when using sodium sulphate or calcium chloride,
decanting is the method of choice.
Small Scale Steam Distillation:
 On laboratory scale the apparatus consists of a steam generator fitted with a rubber bung/plug having
two holes.
 Through one hole a long safety tube is passed which permits the expulsion of some water if excessive
pressure is generated inside the steam generator.
 Through the second hole, a bent tube is passed which carries the steam to the flask containing the
liquids to be distilled (immicible liquid + water).
 The bent tube must dip almost to the bottom of the flask.
 The steam must touch below the surface of the liquid, and heat it up. So that a rapid current of steam
passes through the boiling mixture in the flask.
 The vapors are allowed to pass through the condenser and the condensed liquid is collected in the
Florentine receiver.
Florentine Flasks:
The distillate which forms in two layers – one aqueous and the other non-aqueous, are separated from
each other as completely as possible. For separation Florentine receivers or separating funnel is used.
Florentine receiver is a specialized receiver for collecting the oil and water in the same receiver.
Applications:
 For distillation of water immiscible liquids of high boiling points – turpentine, aniline, phenylalanine
etc.
 For extraction of volatile oils from their crude drugs – clove oil, anise oil and Eucalyptus oil from
clove, anise and Eucalyptus.
Chapter 6. Physicochemical Processes
181
Muhammad Muneeb
 For purification of volatile substances.
 In the manufacture of essential oils, for use in perfumes.
 To separate intermediate or final products during the synthesis of complex organic compounds.
4. Vacuum Distillation:
 Vacuum distillation is also known as distillation under reduced pressure.
 It works on the principle that a liquid boils when its vapor pressure is equal to the atmospheric pressure
or the external pressure.
 This technique is used for purifying or separating thermally unstable liquid compounds that decompose
at their normal boiling points.
 Liquids which are unstable at their boiling points can be distilled at a much lower temperature than
their boiling points, under reduced pressure with less likelihood of decomposition.
 Boiling under reduced pressure also increases the rate of distillation.
 Under this condition, the compounds boil below their normal boiling temperature. Hence, vacuum
distillation is best suited for separation of compounds with higher boiling points (more than 200°C),
which tend to decompose at their boiling temperature.
Vacuum Distillation Principle:
The lowering of pressure on the surface of a liquid lowers its boiling point. As a result of this, a liquid
can be boiled and distilled, without any decomposition, at temperature much below its normal boiling point.
Distillation under reduced pressure or vacuum is carried out in a specially designed glass apparatus. A two
necked 'Claisen's flask' is used.
Process:
 Distillation under reduced pressure is very commonly used for the evaporation of the menstrum in the
preparation of the extracts.
 Vacuum distillation is most conveniently carried out in a specially designed flask, known as Claisen
flask
 This special flask has two necks. Through one neck, a thermometer is inserted and is attached to the
condenser. Through the other neck a very fine capillary tube is introduced which completely dips in the
boiling liquid.
Chapter 6. Physicochemical Processes
182
Muhammad Muneeb
 Bumping readily occurs during the distillation under reduced pressure, but it can be easily prevented
by introducing stream of air bubbles passing into the liquid, through the fine capillary tube
 The capillary tube should be sufficiently fine to permit only a slow stream of bubbles to be blown into
the tube.
 The side tube of the receiver is connected to a vacuum pump to provide the suitable vacuum
 In all vacuum distillations, a small pressure gauge (manometer) should be inserted between the receiver
and the vacuum pump
 In carrying out the distillation, heating is not commenced until the required vacuum has been attained
above the surface of the liquid, otherwise frothing of the hot liquid will result in the receiver.
 Heating of the flask should be done on a water bath or oil bath maintained at about 20ºC higher than
the boiling point of the liquid under reduced pressure.
 Thin walled glass apparatuses, such as ordinary flat bottomed flasks and conical flasks should never be
used for vacuum distillation; otherwise collapsing of such apparatus may result.
 In some cases, persistent foaming occurs during the process of vacuum distillation. This may be
overcome by adding capryl alcohol to the liquid to be distilled, or by inserting a second air capillary
tube in the thermometer neck of the claisen flask. The stream of air drawn through the tube breaks the
rising foam.
Vacuum Distillation Advantages:
 The compounds that decompose on heating to their boiling points can be purified by distillation under
reduced pressure. This is because at the reduced pressure, a liquid would boil at a temperature much
below its normal boiling point.
 Distillation under reduced pressure is more fuel-economical as it makes the liquid boil at temperatures
well below the normal boiling point.
 Vacuum distillation is used to safely recover higher boiling point solvents.
 It is used to safely recover solvents with boiling points over 300º Fahrenheit.
 Vacuum distillation should not be used on solvents with boiling points below 200º Fahrenheit.
Applications:
 For distillation of thermo labile substances.
 For concentration and drying of extracts which get destroyed at high temperature.
 For purification of vitamins
5. Destructive Distillation:
 Destructive distillation is the term used to describe the decomposition of a substance, usually a natural
product, by heat followed by the condensation and collection of the volatile products of decomposition.
 It is not a pharmaceutical process but is used in the manufacture of some substances used in medicines.
_______________________________________________________________________________________
4. EFFLORESCENCE
Introduction:
 Efflorescence is the loss of water of crystallization from a hydrated salt to the atmosphere on exposure
to air.
Chapter 6. Physicochemical Processes
183
Muhammad Muneeb
 The substance itself give up water.
 The spontaneous dehydration of a compound is called efflorescence.
 The loss of water of crystallization by hydrated crystalline substance with water of crystallization) to
form anhydrous salts or hydrate with less molecules of water of crystallization is called efflorescence.
Hydrates:
 Solids that contain water molecules as part of their crystalline structure.
 The water in the hydrate is known as the water of hydration or the water of crystallization.
 The combination of water molecules with molecules of a compound results in a hydrate.
 A large number of compounds crystallize in hydrated form. e.g.,
CuSO4 combines with 5 molecules of water
Na2SO4 combines with 10 molecules of water
MgSO4 combines with 7 molecules of water
FeSO4 combines with 7 molecules of water
 Presence of water of crystallization is not essential for crystal structure, as Sodium chloride, potassium
nitrate and many other compounds have definite crystal structures without water of crystallization.
Principle:
 If the vapor pressure of a hydrated salt is greater than the pressure exerted by the water vapors in the
surrounding atmosphere then the salt will tempt to attain equilibrium with its surroundings, and will
therefore tend to lose water to form a lower hydrate or an anhydrous salt.
 This phenomenon is called as Efflorescence.
 For example, the vapor pressure of washing soda (Na2CO3.10H2O) normally exceeds that of the water
vapor in the atmosphere, these salts effloresce (i.e., lose all or part of their water of hydration), and
their surfaces assume a powdery appearance.
 Hydrated cupric sulfate, or blue vitriol (CuSO4.5H2O), the aqueous vapor pressure of which is lower,
undergoes efflorescence only if the air in contact with it is relatively dry.
 A salt such as copper sulfate may form more than one hydrate, each of which possesses its own definite
vapor pressure at a given temperature. The following hydrates of copper sulfate are known:
CuSO4.5H2O, CuSO4.3H2O and CuSO4.H2O
 When certain substances of low vapor pressure, such as CaCl2. H2O, are exposed to air, they form
higher hydrates. Such salts may be used in the removal of moisture from air or other gases.
Example:
 Pressure of water vapor in the atmosphere is about 13.3X10² N/m² at 293 k.
 Therefore, the hydrates with vapor pressure greater than this will show efflorescence and will be
unstable, provided that the lower hydrate formed still exert a vapor pressure greater than the
surrounding atmosphere.
 If this is not so, the water will be taken up from the atmosphere by the lower hydrate as fast as it is
formed and the final equilibrium will depend on the rates at which water is lost or taken up by the two
hydrates.
 E.g.
o The behavior of various forms of sodium carbonate.
o Sodium Sulphate
Chapter 6. Physicochemical Processes
184
Muhammad Muneeb
o Certain salts of quinine
 The Vapor pressure exerted by the Dehydrate is much greater than that of normal atmosphere and it
loses water by efflorescence and is converted to monohydrate.
 The vapor pressure of it is still above that of atmosphere, but further apparent loss of water does not
occur because the anhydrous salt is rehydrated at a faster rate than dehydration of the monohydrate.
 The vapor pressure of hydrated salts, and therefore the rate of efflorescence increases with rise in
temperature.
Applications:
 Hydrated drug on weight basis is less potent but when it is converted by efflorescence to its
corresponding lower hydrates, or anhydrous form then its potency can be increased.
 Anhydrous form is easy to handle during manufacturing process.
Precautions:
 The container that prevents the loss of water vapors should be used to avoid the instability.
 Store is a cool place because greater is the temperature greater is the release of water of crystallization.
_______________________________________________________________________________________
5. DELIQUESCENCE
Introduction:
 It is derived from the Latin word “deliquescere” literally “to start melting away”, from “liquere” that
is “to be liquid”. So it means, to dissolve gradually by absorbing moisture from the air.
 HYGROSCOPIC: A substance is hygroscopic if it readily absorbs water from the atmosphere and
forms a hydrate.
 DELIQUESCENT: A substance is deliquescent if it absorbs water from the air until it forms a
solution.
 This process is reverse of efflorescence.
 Both these terms are used to indicate that a material takes up water vapors from the atmosphere and is
converted to a more hydrated form. In case of hygroscopic substance, the more hydrated state is till a
solid but in deliquescence there is eventual formation of a liquid phase i.e., a solution.
 Such substances are said to be DELIQUESCENT, and the process is termed DELIQUESCENCE.
 Many pharmaceutical crystalline solids absorb water vapor readily from the environment and are
considered to be hygroscopic
 Uptake of unacceptable amount of water can cause adverse effects on physical and chemical stability of the
product
o Phase transformations
Chapter 6. Physicochemical Processes
185
Muhammad Muneeb
o Chemical degradation
o Variation in disintegration
o Dissolution rate
Definition:
It is a phenomenon of taking up water vapor from the atmosphere when exposed to an atmosphere with
higher partial pressure than the partial pressure of the substance to form a more hydrated liquid phase.
Deliquescent Materials:
 Deliquescent materials are substances that have a strong affinity for moisture and will absorb relatively
large amounts of water from the atmosphere if exposed to it forming a liquid solution.
 calcium chloride
o magnesium chloride
o sodium hydroxide
o Potassium hydroxide
o Sodium lactate
o Ferric ammonium citrate
o Potassium bicarbonate
Process:
 Water vapor from the air condenses on the surface of the solid and forms a very concentrated solution
which has a vapor pressure much lower than the average vapor pressure of the water vapor in the air.
 The solution therefore continues to take up water until its vapor pressure equals the pressure of the
water vapor in the air.
 CRH the deliquescent point is often termed as the critical relative humidity
 The critical relative humidity (CRH) of a salt is defined as the relative humidity of the surrounding
atmosphere (at a certain temperature) at which the material begins to absorb moisture from the
atmosphere and below which it will not absorb atmospheric moisture.
 below CRH, solids absorb minimal amounts of moisture at the surface
 above CRH, the solid starts dissolving in the condensate film
 The absorption process stops when vapor pressure of the resultant solution is equal to the vapor
pressure of the atmosphere.
 If the vapor pressure is further increased, complete dissolution of the solid and solution dilution will
ultimately occur.
Disadvantages:
 As in deliquescence water is picked up by the sample, unacceptable changes in appearance and
performance occur.
Chapter 6. Physicochemical Processes
186
Muhammad Muneeb
 Chemical stability often changes dramatically.
 Physical implications such as decrease in dissolution, variation in water content in the final product,
crystallization of the formulation components and powder caking can occur.
 Chemical reactions such as hydrolysis and oxidation could also be accelerated by water sorption.
 In systems containing more than one deliquescent component, the RH will be lowered, leading to
dissolution at unexpectedly low RH conditions.
 When excipients having relatively low CRH values are used they can affect the chemical and physical
stability of a solid dosage form, even if the API’s CRH is not exceeded.
 The liquid water can dissolve the API, making stability much worse.
 Deliquescence lowering is independent of the ratio of the deliquescent components and therefore is of
concern for any formulation containing two or more deliquescent compounds
 RH fluctuation will lead to cycles of deliquescence and efflorescence, which will lead to particle
agglomeration and caking.
Methods of Prevention:
 Tight containers protect the contents from contamination by extraneous liquids, solids or vapors, from
loss, from efflorescence, deliquescence or evaporation under ordinary and customary conditions of
handling, shipment, storage and distribution.
 Solid compounded formulations, an inert, powdered ingredient that will preferentially absorb water,
maybe added to the formulation. E.g. Light MgO.
 In most cases it is found unnecessary to add any inert powder in prescriptions for capsules containing
deliquescent drugs, it is imperative to use an air tight container, such as a screw-top glass capsule vial.
Storage Precautions:
 Store the product in low humidity environment.
 Well closed containers should be used.
 Well filled container: Limits the volume of the atmosphere in the container and therefore further
reduces the uptake of moisture by the product.
 A Drying agent maybe placed inside the container e.g. Silica gel, often used in small packets.
Applications:
 Owing to their very high affinity for water, these substances are often used as desiccants; these
compounds are used in the chemical industry to remove the water produced by chemical reactions.
 As Desiccants Due to their very high affinity for water, these substances are often used as desiccants,
an application for concentrated sulfuric and phosphoric acids
 Commonly used to protect against moisture damage.
 Used in hygroscopic cargo such as cocoa, coffee and various nuts and grains, that are particularly
susceptible to mold and rot when exposed to condensation and humidity.
 These substances are used in the chemical industry to remove the water produced by chemical reactions
to increase the yields.
 The effectiveness of calcined CaCl2 in settling road dust is result of its deliquescence.
 When spread in form of a powder or flakes, it absorbs more than its own weight of water and forms a
liquid that keeps the road wet.
 Used in chemical industry to remove the water produced by chemical reactions to increase the yields.
Chapter 6. Physicochemical Processes
187
Muhammad Muneeb
 The property of deliquescence is utilized in the laboratory to dry substances; calcium chloride is often
employed for this purpose.
_______________________________________________________________________________________
6. LYOPHILIZATION (Freeze Drying)
Introduction:
 The process of isolation a solid substance from solution by freezing the solution and vaporizing the ice
away under vacuum conditions.
 It is the sublimation from frozen substance.
 It involves triple point of substance.
Triple Point:
It is the point having the definite temperature and pressure at which the solids, liquids and vapor phases
of a chemical entity are able to co-exist.
Steps Involved:
The process of lyophilization is completed in the following stages.
 Pre-treatment:
o Freezing of solids:
Before applying the vacuum, he liquid is firstly frozen, this process is called pre-freezing and is
done by following ways:
 Shell Freezing:
In this method he liquid is taken in a bottle and is rotated slowly, horizontally in a refrigerator
bath. So that material freezes as a thin shell (layer) along the walls of the bottle. In this way not
only the surface area for sublimation is increased but also heat transfer is increased.
 Vertical Freezing:
In this method, he bottles are first chilled and then rotated individually in vertical position in
the presence of stream of very cold air. So, by this process small crystals of ice are formed.
Moreover this process is very rapid.
o Drying:
After the pre-freezing, the substance is dried there are two types of freezing:
 Primary drying:
Chapter 6. Physicochemical Processes
188
Muhammad Muneeb
It means to supply the latent heat of vaporization. The apparatus used for this process is
“vacuum oven” or container attached to individual outlet. The latent heat of sublimation of
substance is provided and so vapors formed are removed. By this process 99.5% moisture is
removed.
 Secondary drying:
After primary drying the substance is subjected to vacuum drying to remaining 0.5% moisture.
And this is called as secondary drying. Temperature during this drying is raised to 500
C to
600
C.
 Annealing
Increasing temperature but below melting and then holding to allow crystal growth is called as
annealing. Some amorphous products (such as mannitol or glycine) form a metastable glass with
incomplete crystallization when first frozen. These products can benefit from a thermal treatment
process, which is also called annealing. During annealing, the product temperature is cycled (for
example: from -40C to -20C for a few hours and then back to -40C) to obtain more complete
crystallization. Annealing has the added advantage of larger crystal growth and corresponding shorter
drying times.
Packaging:
The packaging of freeze dried product is very important b/c the freeze dried products must be protected
from moisture. For this purpose the product is packed in vacuum container or the closing is carried out under
controlled conditions of atmosphere to avoid contact with moisture.
Properties of FD Material:
 Amorphous and highly porous
 Takes moisture immediately and tends to crystallize
 Enormous Surface area
Advantages of Freeze-Dried Products:
 Product is dried without any elevated temperature.
 This process is also good for oxygen and sensitive drugs.
 The product is in porous form, that’s why it can be reconstituted rapidly.
 Constitutes of the dried materials remained homogenously dispersed.
 Sterility of the product can be achieved and maintained.
 Due to low temperature enzyme activity and decomposition (hydrolysis) is stopped.
Chapter 6. Physicochemical Processes
189
Muhammad Muneeb
Disadvantages of Freeze-Dried Products:
 Volatile compounds may be removed
 Single operation is very expensive
 The process is slow
 Stability problem associated with individual drugs
Desired Characteristics of Freeze-Dried Product:
The freeze-dried product should have:
 Sufficient strength
 Uniform colour
 Sufficient dryness
 Sufficient porosity
 Sterility
 Free of pyrogens
 Free of particulates
 Chemically stability
Applications:
 Drug prevention method as
o Lowers water activity
o Reduces potential for microbial growth
 Dry the heat sensitive products
o Biotechnology products
o Biological drugs (proteins, seras etc)
 Long shelf life of drugs
 Enzymes (hylauranidase) and hormones (insulin) are also dried by this process.
 Amorphous and possesses enormous surface area
 This process is used for the drying of proteins and peptides.
 This process is used in recombinant DNA technology. Hence, used for the manufacturing of various
pharmaceuticals and biological products which are thermolyophils.
Difference between Sublimation and Lyophilization:
In sublimation the K.E. of the molecule is very high and so molecules are directly converted into
vapors. In lyophilization is carried out in controlled temperature and pressure. The K.E. of the molecule is not
sufficient to convert it in to vapors, so in this process the substance is first converted into liquid and then to
vapors.
_______________________________________________________________________________________
7. ELUTRITION
Definition:
 Elutriation is the process in which the particles of the fluid move in a direction opposite to that of the
sedimentation. (Downward movement)
Chapter 6. Physicochemical Processes
190
Muhammad Muneeb
 Process of separation of a substance into powder of different degree of fineness by stirring the
substance with large volume of liquid in which it is insoluble and withdrawing the liquids at different
heights
Explanation:
 In gravitational sedimentation the particles will move vertically downward while the fluid travels
vertically upward.
 If the velocity of the fluid is less than the setting velocity of the particles, then the particles will move
downward against the stream of fluid. If the setting velocity of particles is less than the velocity fluid,
the particles will move upward.
 In other words, small size particles will move upward while the large size particles will move
downward.
 So, Elutriation is the process of separation of fine particles from course particles. The particles size
can also be measured by this process. The air Elutriation usually give sharper fractions of small and
large particles then water Elutriation.
Apparatus Used:
The apparatus used for Elutriation process is called as Elutriator. They are of two types:
 Gravitational Elutriation
o In gravitational Elutriation the fluid particles move downward due to sedimentation (force of
gravity) while the lighter particles remain upward.
 Centrifugal Elutriation
o Centrifugal Elutriation causes the fluid stream to rotate under high centrifugal force to suspend
the particles.
o These particles which are too large to rotate with direction of flow of fluid, separates out on
the wall of the elutriator. However, the fine particles move easily with the stream of fluid.
o Centrifugal Elutriator is again of two types:
 Darrclone classifier
 Sharp less super classifier
o The sharp less super classifier is useful for high speed separation of fine particles. It has a
capacity of 250lb/hr and operates on air flow of about 100 cubic feet/min at maximum speed
of about 50,000 rpm.
Uses:
Chapter 6. Physicochemical Processes
191
Muhammad Muneeb
 Heavy and light Kaolin can be separated by this process, because the particles of heavy Kaolin move
downward and those of the light Kaolin move upward.
 It is usually used following a size reduction process with the objective of separating oversize particles
which may be returned for further grinding.
_______________________________________________________________________________________
8. EXSICCATION
Definition:
 It is the process of accelerating the rate of efflorescence by increasing the temperature in order to
remove the water of crystallization from a hydrated salt.
 The process of removing water of crystallization that is combined water from substance and
temperature is required to remove water from different compounds.
 It may be regarded as process of Efflorescence, controlled and accelerated, but is applied in cases
where water is not normally lost by efflorescence.
Process:
 Exsiccation may be carried out by taking a weighed amount of the substance in a tarred dish (weight
of dish is subtracted from the weight of substance, or dish is auto-zeroed)
 It is then heated on a water bath, sand bath or in an oven with continuous stirring until a constant
weight is obtained and there is no further loss in weight.
 No further loss in weight indicates that exsiccation has been completed and no further water loss can
take place
 Mostly a sand-bath or air oven is used for this process.
Principle:
 The principle involved in the process of exsiccation are the same as those in the process of
efflorescence.
Objectives:
 To reduce the bulk of substance.
 Preparing pills which may contain any of the substance (having water of crystallization) e.g. Ferrous
sulphate, Potassium alum etc.
Chapter 6. Physicochemical Processes
192
Muhammad Muneeb
 So by this process of exsiccation we dry the chemicals by removing their water of crystallization and
then by using dried salts we reduce the difficulty of making our medicine, as well as the size of pill.
 This process is particularly performed to expel the water of crystallization and to increase the
comparative strength of the exsiccated chemical to the crystalline chemical.
Example:
 The temperature required to remove the water of crystallization is very important and varies widely.
o For example, in CuSO4.5H2O, when heated at 30°C loses two molecules of water of
crystallization forming CuSO4.3H2O
o At 100°C it loses two more water molecules resulting in CuSO4.H2O
o The last water molecule is removed at 200°C thus forming anhydrous CuSO4.
 Some exsiccated substances are not necessarily anhydrous.
o For example, ferrous sulphate (FeSO4.7H2O) when heated at about 100-105°C loses 6
molecules of water of crystallization.
o When further heated to remove the last water molecule, its decomposition takes place.
o Hence, FeSO4.H2O is called exsiccated ferrous sulphate.
 If its exsiccation is carried out under vacuum, then anhydrous FeSO4 can be obtained below 100°C.
o The examples of exsiccated salts used in pharmacy are exsiccated ferrous sulphate, exsiccated
copper sulphate, exsiccated sodium sulphate, exsiccated magnesium sulphate, exsiccated
sodium carbonate, exsiccated sodium phosphate and exsiccated alum etc.
o As the exsiccated salts are very hygroscopic, they must be stored in air-tight containers.
Methods:
There are general two methods of exsiccation or drying moist bodies.
1. In one their humid parts are exhaled by heating
2. In other water is absorbed by different substances
Exsiccation is generally performed by means of heat by:
 Coction / Boiling:
o This is a process of drying by heating also named as process of boiling. During this process it
is important to take care of the heat level, at the close of the operation (process) the fire should
be gradually suppressed otherwise the matter being left dry will be heated beyond the adjusted
degrees and then the exsiccated substance can be damaged.
o This method is Used for Fluids only.
 Isolation:
o Insolation or properly exhalation is effected by exposing the substance to the sun, till it is
sufficiently dried. There is nothing particularly necessary to be observed, except to increase the
surface of the matter to be much exposed to the sun.
o For in proportion the process of exsiccation will be completed in greater or lesser time.
o This Method is useful for both solids and liquids.
 Torrificcation:
o Torrification (or sometimes called Toasting) is a process of exposing solid substance to the
heat of the fire at such distance that it will not be endangered. They are being burnt in order to
make them of sufficient dryness to make them in powdered form.
Chapter 6. Physicochemical Processes
193
Muhammad Muneeb
o Only for Solids.
Conditions Required for Exsiccation:
1. Temperature:
 Temperature is very important to be controlled in the process of exsiccation because as we
increase or decrease the temperature the molecules of water are evaporated from the crystals.
Specific temperature for specific crystal remove specific amount of water molecule.
2. Moisture:
 It is very important to control the environmental conditions when we are about to exsiccate a
crystal to remove the water of crystallization.
 If the environment is not moisture free then after exsiccating the crystal the exsiccated
produced might again react with the water contents of the environment and again become
hydrated.
 As we know that our aim is to exsiccate a crystal and to remove the water contents so to achieve
this aim we need to keep our environment moisture free.
 After exsiccating a crystal, we should immediately transfer the exsiccated product in a close
air tight containers or bottles.
Applications:
 Exsiccation is carried out to get an anhydrous product required in the formulation of pharmaceuticals.
 After the removal of water, the bulk and weight of the drug is reduced and they can be easily
administered/used in manufacturing.
 Potency of drug is increased after the removal of water.
 After exsiccation fine powder is obtained which is easy to handle.
 These exsiccated chemicals are use in the formation of inhalations, sprays, syrups, mouth washes.
 These exsiccated chemicals are used to prepare medicines to treat microbial, malarial, fungal and algal
infections.
 Some of these exsiccated chemicals are used to treat constipation.
_______________________________________________________________________________________
9. IGNITION
General Introduction:
 It is also called as incineration.
 It is the process by which an organic substance is strongly heated until whole of the carbonaceous
matter burns and an inorganic residue known as Ash is left behind.
OR
The process in which a synthetic compound or drug is burnt at high temperature on electric furnace to
remove organic substance (carbon) and left behind he inorganic substance and residue as ash is called
as ignition.
 This is a process of heating the organic substances in excess of air, until all the Carbon atoms have
burnt as CO2 and residue of inorganic matter (Ash) is left behind. The residue is called as Ash and the
process as Ashing.
 On laboratory scale ignition is carried out in silica or platinum crucibles.
Chapter 6. Physicochemical Processes
194
Muhammad Muneeb
 It consists of strongly heating ("igniting") a sample of the material at a specified temperature, allowing
volatile substances to escape, until its mass ceases to change. This may be done in air, or in some other
reactive or inert atmosphere.
Principle:
 The simple test typically consists of placing a few grams of the material in a tarred, pre-ignited crucible
and determining its mass, placing it in a temperature-controlled furnace for a set time, cooling it in a
controlled (e.g. water-free, CO2-free) atmosphere, and re determining the mass.
Explanation:
 Ignition is a simplest type of gravimetric analysis which is used for the separation of organic and
inorganic compounds.
 In this process, weighed quantity of the solid substance is ignited in glass crucible in electric furnace.
The substance is ignited on specific temperature for definite time.
 After ignition a desiccator containing a suitable desiccant and allow to cool for 25-30 minutes and then
the contents are weighed.
 The crucible and the contents are again ignited at the same temperature for 30 minutes.
 The ignition is continued until a constant weight of inorganic ash is obtained.
Applications:
 This process is mainly used for the standardization of organic substances and crude drugs by means of
gravimetric analysis.
 Used to determine impurities of organic salts of alkali metals such as tartarates, citrates, Benzoates and
many drugs.
 Purity of a drug is determined by its ash content.
 Zinc ointment on ignition leaves only zinc oxide.
_______________________________________________________________________________________
10. SUBLIMATION
Definition:
The process of converting solid substances in to vapours by heating and then condensing it back to the
solid state, without passing it through the intermediate liquid state, is called sublimation.
Explanation:
 The condensed solid is called sublime.
 Usually the solid first coverts in to liquid state before being converted in to vapour state but in
sublimation liquid phase do not exist.
 Thus,
Chapter 6. Physicochemical Processes
195
Muhammad Muneeb
Triple point:
 The point having a different pressure and temperature at which the solid, liquid, and vapour phases of
a chemical entity are able to co-exist indefinitely is called triple point.
Principle:
A solid sublime only when the pressure of its vapour is below that of the triple point for that substance.
This principle can be explained by following graph.
 The line OA indicates the melting point of the substance and along this line solid and liquid is at
equilibrium. On right side of this line only liquid exists while on left side only solid exists.
 The line OB indicates the vapour pressure of the solids vapours and this curve is called vapour pressure
curve. Above this line only liquid exists and below this only vapour present.
 The line CO is called sublimation curve and represents the conditions of temperature and pressure for
the co-existence of solid and vapour phase.
 To right side of this line only vapour exists and on left side of line only solid exists.
 The point O the intersection of three lines is called triple point. And the graph shows if the vapour
pressures of vapour, formed by the solid, less than the triple point, it will directly pass from solid to
vapour and vapour to solid.
Procedure:
 The impure substance is placed in the china dish which is then gently heated on the stand bath. The
dish is covered with the perforated filter paper over which is placed an inverted funnel.
 The surface of which may be kept wet by covering it with wet filter paper or cotton plug. The vapour
rising from, the solid pass through the holes in the filter paper and are deposited as pure solid on the
wall of the funnel. The filter paper performs two functions
Chapter 6. Physicochemical Processes
196
Muhammad Muneeb
 It does not permit the sublime substance to drop back in to the dish.
 It keeps the funnel cool by cutting off the direct heat from the dish.
Pharmaceutical Applications:
 Sublimation is very helpful in separating volatile substances from nonvolatile solids. In this way pure
substance are obtained which are used in various processes.
 Some valuable chemical substances such as naphthalene, camphor, and benzoic acid etc are purified
by this process.
_______________________________________________________________________________________
11. FUSION
Definition:
 It is the process by which the solids get converted into liquids without the addition of any solvent.
 The process of liquefying a substance by heat without the aid of a solvent is called fusion.
 In other words, it is defined as the process of heating the solids until they melt.
Explanation:
 In a pure crystalline solid, this process occurs at a fixed temperature called the melting point
 An impure solid generally melts over a range of temperatures below the melting point of the principal
component.
 Amorphous (non-crystalline) substances such as glass melt by gradually decreasing in viscosity as
temperature is raised, with no sharp transition from solid to liquid.
 The structure of a liquid is always less ordered than that of the crystalline solid and, therefore, the
liquid commonly occupies a larger volume
 Thermal fusion of a given mass of a solid requires the addition of a characteristic amount of heat, the
heat of fusion
 In the reverse process, the freezing of the liquid to form the solid, the same quantity of heat must be
removed.
 The heat of fusion of ice, the heat required to melt one gram, is about 80 calories; this amount of heat
would raise the temperature of a gram of liquid water from the freezing point (0° C, or 32° F) to 80°C
(176° F).
Chapter 6. Physicochemical Processes
197
Muhammad Muneeb
Applications:
 Fusion is done to purify certain solid and semisolid substances e.g., substances like Bees wax, hard
paraffin, soft paraffin and wool fat are heated to melt and filtered while hot to remove the dissolved
impurities. Then cooling is done to obtain a product free from dissolved impurities.
 This method is also applied for the preparation of ointments when they contain solids and semisolids
in the formulation. All the substances are first molted and then cooled slowly with constant stirring
until a uniform product is obtained. To avoid overheating, the substances with higher melting points
are melted first to which substances with lower melting points are added.
_______________________________________________________________________________________
12. CALCINATION
Origin:
 The process of “calcination” derives its name from the Latin “calcinare” (to burn lime).
 The name is given due to its most common application, the decomposition of calcium carbonate
(limestone) to calcium oxide (lime) and carbon dioxide, in order to produce cement.
Definition:
 Calcination is the process in which the inorganic substances are strongly heated so as to remove their
volatile contents and a fixed residue are obtained.
 The IUPAC defines it as: “Heating to high temperatures in air or oxygen”.
 The calcination process normally takes place at temperatures below the melting point of the product
materials.
Examples:
Few examples of calcination processes are given below:
 Decomposition of carbonate minerals, as in Calcination of Limestone to drive off Carbon dioxide to
produce cement.
 Decomposition of hydrated minerals, as in Calcination of Bauxite and Gypsum to remove crystalline
water as water vapor.
 Removal of Ammonium ions in the synthesis of Zeolites.
Types:
 Actual Calcination
o Actual calcination is that brought about by actual fire, from wood, coals, or other fuel, raised
to a certain temperature.
 Potential Calcination
o Potential calcination is that brought about by potential fire, such as corrosive chemicals; for
example, gold was calcined in a reverberatory furnace with mercury and sal ammoniac; silver
with common salt and alkali salt; copper with salt and sulfur.
Calcination Reaction:
Chapter 6. Physicochemical Processes
198
Muhammad Muneeb
 Calcination reactions usually take place at the thermal decomposition temperature (for decomposition).
 For example: In limestone calcination, a decomposition process, the chemical reaction is
CaCO3 → CaO + CO2 (g)
Apparatus:
 Shaft furnaces
 Calcining kilns
 Multiple hearth furnaces
 Fluidized bed reactors
1. SHAFT FURNACES:
 A vertical, refractory-lined cylinder in which a fixed bed (or descending column) of solids is
maintained, and through which an ascending stream of hot gas is forced.
2. CALCINING KILNS:
 This process is done in kilns.
 Calcining kilns basically comes in two categories.
o Rotary kilns
o Vertical kilns
2.1. Rotary Kilns:
 Rotary kilns can be long kilns with rotatory coolers while verticals kilns can be several types. Calcining
kilns need lime stone with decrepitation index.
 Decrepitation index of limestone is a measure of its susceptibility to disintegrate during calcination.
 Low value of decrepitation decreases the porosity of the lime thus impeding the flow of the gases and
reducing the kiln efficiency.
 The smaller size limestone is more suitable for calcination in rotary kilns.
2.2. Vertical Kilns:
 A kiln consisting of a steel shell with a vertical axis and a lining of firebrick.
 The most popular vertical kilns are PFR (Parallel Flow Regenerative) type.
Chapter 6. Physicochemical Processes
199
Muhammad Muneeb
3. MULTIPLE HEARTH FURNACE:
 For the decomposition of limestone, a large number of heat is requiring as we know calcination is an
endothermic process and it is done on industrial scale. This is done by multiple hearth furnaces.
4. FLUIDIZED BED REACTORS:
 A fluidized bed reactor (FBR) is a type of reactor device that can be used to carry out a variety of
multiphase chemical reactions. In this type of reactor, a fluid (gas or liquid) is passed through a
granular solid material at high enough velocities to suspend the solid and cause it to behave as though
it were a fluid. This process, known as fluidization.
Process:
 Calcination (also referred to as Calcining) is a thermal treatment process in presence of air or oxygen
applied to ores and other solid materials to bring about a thermal decomposition.
 Calcination of calcium carbonate is a highly endothermic reaction, requiring 755 M Cal of heat input
to produce a ton of lime. The reaction begins when the temperature is above the dissociation
temperature of the carbonates in the limestone.
 Once the reaction starts the temperature must be maintained above the dissociation temperature, and
carbon dioxide evolved in the reaction must be removed. Dissociation of the calcium carbonate
proceeds gradually from the outer surface of the particle inward, and a porous layer of calcium oxide,
the desired product, remains.
Chapter 6. Physicochemical Processes
200
Muhammad Muneeb
High Temperature:
 This calcination means higher agglomeration and more shrinkage. At this limestone becomes so dense
during calcination that it prevents the escape of CO2 and becomes non porous. The internal pressure
of limestone increases and it explodes, producing unwanted materials and reduces the quality of lime.
 Increasing the degree of calcination beyond the limited temperature makes formed lime crystallites to
grow larger, agglomerate. This results in a decrease in porosity and reactivity and an increase in bulk
density. This product is known as Dead burnt or Low reactive lime.
Low Temperature:
 This calcination allows less fuel consumption.
 At relatively low calcination temperatures, products formed in the kiln contain both unburnt carbonate
and lime and is called ‘under burnt’ lime. As the temperature increases ‘Soft burnt’ or ‘high reactive
lime’ is produced. At still higher temperature, `dead burnt` or low reactive lime is produced.
 Soft burnt lime is produced when the reaction front reaches the core of the charged limestone and
converts all carbonate present to lime. Such lime has the optimum properties of high reactivity, high
surface area and low bulk density.
 The production of good quality lime depends upon the type of kiln, conditions of calcination and the
nature of the raw material i.e. limestone.
Applications:
 Calcination is used in the preparation of certain inorganic substances such as calcium oxide, light
magnesium oxide, heavy magnesium oxide, zinc oxide and red mercuric oxide.
 These substances are prepared by heating their respective carbonates.
 It is used to remove water of crystallization as water vapors.
 Most of the mined magnesite is converted directly into magnesium oxide(magnesia) by burning
(calcining).
MgCO3 → MgO + CO2
_______________________________________________________________________________________
13. ADSORPTION
Introduction:
 It is a surface phenomenon and refers to the uniform distribution of a substance through another at the
surface.
 It is the phenomenon in which a layer of ions, molecules or aggregates of molecules condense upon
the surface with which they come in contact.
Chapter 6. Physicochemical Processes
201
Muhammad Muneeb
Importance:
The term surface is customarily used when referring to a gas / solid or a gas / liquid interface. This
phenomenon is a significant factor as:
 Adjuncts in dosage forms
 Penetration of molecules through biological membranes
 Emulsion formation
 Stability and the dispersion of insoluble particles in liquid media to form suspension
Adsorption:
It is an accumulation of substance at the interface or boundary between two and heterogeneous phases.
For example, Solid-Gas, Oil- H2O, Gas-Liquid, or Solid-Liquid.
Absorption:
It implies the penetration one component throughout the body of a second. The distinction between
adsorption and absorption is not always clear.
Components of Adsorption:
Adsorption consists of two components:
 ADSORBENT: Adsorbant is the substance which adsorbs the other substance at its surface. E.g.
Kaolin, pectin, altpulgite, talc, Magnisum trisilicate, Al(OH)3, Simithicone, CaCO3 (Activated
Charcoal), Mg(OH)3 etc.
 ADSORBATE: Adsorbate is the substance which is adsorbs on the other substance’s. E.g. Toxins,
Strychnine HCl, Digoxin and many other drugs
Example:
 Stychinine HCl onto Activated Charcoal (Solid – Liquid)
 Activated Charcoal used in Respirators for civilian and forces (Solid- Gas)
 Decrease in surface tension is due to surface active agent for example liquid-gas bonding.
 Emulsifying agent as emulsion stabilizers in case of liquid- liquid bonding.
Factor Affecting Adsorption:
 Solubility of adsorbate
 Nature of Adsorbate
 Nature of adsorbent
 Surface area of absorbant
Chapter 6. Physicochemical Processes
202
Muhammad Muneeb
 Affinity between adsorbent and adsorbate
 Concentration of both adsorbate and adsorbent
 Pressure
 Temperature
 pH
Types of Adsorbents:
 Oxygen containing compounds
o Typically, hydrophilic and polar
o E.g. silica gel, zeolites
 Carbon based compounds
o Typically, hydrophobic and non-polar
o E.g. activated carbon, graphite
 Polymer based compounds
o Polar or Non polar functional groups in a porous polymer matrix
o Examples: Polymers & Resins
Classification of Adsorbents Based on Pore Size:
 Microporous Adsorbents
o Pore Size Range - 2 Aº to 20 Aº
 Mesoporous Adsorbents
o Pore Size Range - 20 Aº to 500 Aº
 Macroporous Adsorbents
o Pore Size Range - > 500 Aº
Commercial Adsorbents:
 SILICA GEL
o Drying of refrigerants, organic solvents, transformer oils
o Desiccants in packing & double glazing
o Dew Point Control of natural Gas
 ACTIVATED ALUMINA
o Drying of gases, organic solvents, transformer oils
o Removal of HCl from Hydrogen
o Removal of fluorine in alkylation process
 ACTIVATED CARBON
o Removal of odors from gases
o Recovery of solvent vapours
o Nitrogen from air
o Water purification
o Purification of He
 POLYMERS & RESINS
o Water Purification
o Recovery & purification of steroids & amino acids
o Separation of fatty acids from water & toulene
Chapter 6. Physicochemical Processes
203
Muhammad Muneeb
o Recovery of proteins & enzymes
 CLAY
o Treatment of edible oils
o Removal of organic pigments
o Refining of mineral oils
o Removal of poly chlorinated biphenyls (PCBs)
 ZEOLITES
o Oxygen from air
o Drying of gases
o Drying of refrigerants & organic liquids
o Pollution control including removal of Hg
o Recovery of fructose from Corn Syrup
Application of Adsorption:
Adsorption has the application in:
5. Preparative and Analytical Chromatography
6. Heterogeneous catalysis
7. Water purification
8. Solvent recovery
Medical and Pharmaceutical Applications:
1. ADSORPTION OF NOXIOUS SUBSTANCE FROM ALIMENTARY CANAL: Universal and
antidote (activated charcoal, MgO and Tannic acid) when used orally, reduces toxic levels of poisoning.
2. REMOVAL OF TOXIC ELEMENTS FROM BLOOD: Some adsorbents are used to remove toxic
elements by subjecting its dialysis through “hemodialysis” membrane over charcoal and adsorbents
(chlorpheniramine, colchicine, Phenytoin, aspirin etc.)
3. TREATMENT OF SEVERE DRUG OVERDOSES:
 Extracorporeal method has been developed named “Haemoperfusion”.
 Microencapsulation of activated charcoal by Arcylic Hydrogel, a biocompatible material preventing
Embolism and removal of platelets.
 In vivo – In vitro relationship regarding adsorptive capacity of adsorbents.
 No relationship exists.
 Reason:
o GIT and biological system have many other things which alter the adsorption ratio.
 Example:
o In vitro – 5g activated charcoal bin 8g of Aspirin
o In vivo – 30g of activated charcoal inhibits the GIT adsorption of 3g of Aspirin by 50%.
4. ADSORPTION PROBLEMS IN DRUG FORMULATION: Drugs containing antacids and other drugs,
when given, the above problem results. Adsorbents are non-specific nutrients, drugs and enzymes when given
orally. Example: promazine given above or adsorbents.
Chapter 6. Physicochemical Processes
204
Muhammad Muneeb
_______________________________________________________________________________________
14. DECANTATION
Introduction:
Decantation is a process by which a liquid is separated from a solid. The solid is allowed to settle
and liquid is poured off carefully leaving the settled solid undisturbed.
Definition:
 “Decantation is a process for the separation of mixtures, by removing a layer of liquid, generally one
from which a precipitate has settled”.
 Decanting is a process to separate mixtures. Decanting is just allowing a mixture of solid and liquid or
two immiscible liquids to settle and separate by gravity.
 This process can be slow and tedious without the aid of a centrifuge. Once the mixture components
have separated, the lighter liquid is poured off leaving the heavier liquid or solid behind.
 Decantation is a process to separate mixtures by removing a liquid layer that is free of a precipitate, or
the solids deposited from a solution. The purpose may be to obtain a decant (liquid free from
particulates) or to recover the precipitate.
Process:
 In laboratory conditions, small volumes of mixtures are decanted in test tubes. If time is not a concern,
the test tube is kept at a 45° angle in a test tube rack.
 This allows the heavier particles to slide down the side of the test tube while allowing the lighter liquid
a path to rise to the top. If the test tube were held vertically, the heavier mixture component could
block the test tube and not allow the lighter liquid to pass as it rises.
Chapter 6. Physicochemical Processes
205
Muhammad Muneeb
Purpose / Aim:
 The purpose of decantation is to separate insoluble liquids from solids.
 The purpose may be either to produce a clean decant, or to remove undesired liquid from the precipitate
(or other layers).
 DECANTER: A decanter is a vessel used to hold the decantation of a liquid which may contains
sediments.
Principles:
The principles of decantation are:
 Sedimentation
 Centrifugation
Decantation is a “pouring off” of a liquid from a solid/liquid mixture. The mixture is allowed to settle,
and the liquid is removed while preventing the solid from escaping.
When it is used?
Decantation is used when one is separating part of a mixture from another and when the particles or
sediments are too fine to be filtered from a liquid.
Procedure:
The steps of decantation are given below:
1. Mixture in the container is allowed to stand for sometime
2. The solid particles will settle in time
3. The upper layer of the liquid gets cleaner
Chapter 6. Physicochemical Processes
206
Muhammad Muneeb
4. Separate the course particles of a solid from a liquid by pouring the liquid to a new container by the
process of decantation
Examples:
1. Oil & Water: Oil floats on the top of the water. Decanting the mixture allows the oil to be poured off
the water.
2. Dirt and water: Muddy water can be cleared up by decanting. The soil will sink to the bottom of the
tube allowing the clear water to be poured off.
3. Cream & Milk: Cream is separated from milk by decantation. Cream rises to the top of the milk
mixture and easily skimmed off.
4. Blood & plasma: A centrifuge is necessary for this decantation. Plasma can be removed from the
blood by decantation.
Disadvantages:
 It cannot be used to separate a mixture of a liquid and a light solid, such as chalk in water. The particles
of chalk are suspended I the water. They are so light that they do not sink down to the bottom for a
long time.
Applications:
1. It is employed in washing precipitates by adding the wash solution, allowing the solid to settle, and
pouring off, continuing the process until free from impurities. If the solid to be separated settles rather
rapidly, decantation may be employed to the advantage.
2. In order to separate an insoluble solid from a liquid.
_______________________________________________________________________________________
15. EVAPORATION
Definition:
 Evaporation is a type of vaporization of a liquid that occurs only on the surface of a liquid.
 The other type of vaporization is boiling, which instead occurs on the entire mass of the liquid.
Introduction:
Chapter 6. Physicochemical Processes
207
Muhammad Muneeb
 Theoretically evaporation means free escape of vapours from the surface of a liquid below its boiling
point.
 As evaporation is a very slow process, therefore a liquid is usually boiled / heated to speed up this
process.
 So, practically evaporation may be defined as the removal of liquid from a solution, by boiling the
solution in a suitable vessel from where the vapors are withdrawn and a concentrated liquid is left
behind.
 The Evaporation is maximum at the boiling point of a substance.
 For molecules of a liquid to evaporate, they must:
o Be located near the surface
o Be moving in the proper direction
o Have sufficient kinetic energy to overcome liquid-phase intermolecular forces
 Only a small proportion of the molecules meet these criteria, so the rate of evaporation is limited.
 Since the kinetic energy of a molecule is proportional to its temperature, evaporation proceeds more
quickly at higher temperatures.
 As the faster-moving molecules escape, the remaining molecules have lower average kinetic energy,
and the temperature of the liquid, thus, decreases.
Factors Effecting Evaporation:
 Temperature
 Surface Area
 Agitation
 Atmospheric Aq Vapor Pressure
 Type of Product required
 Economic Factors
1. Temperature:
The rate of evaporation is directly proportional to the temperature. The higher the temperature, the
higher will be evaporation but evaporation is maximum at the boiling point of the liquid.
2. Surface Area:
The rate of evaporation is directly proportional to the surface area of the vessel exposed to evaporation.
Greater the surface exposed to evaporation, the higher will be the rate of evaporation.
3. Agitation:
During evaporation a layer or scum is formed at the surface. Therefore it is necessary to agitate and
stir the solution during evaporation. Agitation also increases the rate of evaporation.
4. Atmospheric Aqueous Vapor Pressure:
If atmospheric moisture contents in air are high, rate of evaporation will be slow but if less then
evaporation will be fast. Rate of evaporation can be increased by circulation of warm air over the evaporating
pan.
5. Atmospheric Pressure:
Chapter 6. Physicochemical Processes
208
Muhammad Muneeb
Rate of evaporation is inversely proportional to the atmospheric pressure on the surface of the liquid.
Rate of evaporation become doubled by reducing the atmospheric pressure on the liquid to one half. Due to
this reason, in many cases evaporation is done under reduced pressure.
6. Type of the Product Required:
Selection of method and apparatus depends on the type of the product required.
7. Economic Factors:
They contribute significantly in selecting the method and the type of apparatus to be used for
evaporation.
Types of Evaporators:
1. Small Scale Evaporators
2. Large Scale Methods
a) Evaporating Pans
b) Evaporating Stills
1. SMALL SCALE EVAPORATORS (LAB SCALE):
 Small quantity of liquids may be evaporated in porcelain or glass dish.
 Direct heat by Bunsen burner or electric hot plate may be applied, but direct heat leads to
decomposition of the substances towards the end of the evaporation
 A fixed maximum temperature can easily be attained by employing different types of baths as a source
of indirect heating
 Water bath is most suitable when liquids are to be heated up to 100ºC. These are simple and cheap
 Sand bath or oil bath containing liquid paraffin or soft paraffin may be used when higher temperatures
upto 300ºC are required.
 Glycerin bath is used to attain a temperature upto 150ºC
 To prevent decomposition, whole of the liquid should not be evaporated to dryness; instead the last
traces of the solvent from the concentrated liquid should be removed under controlled temperature.
 In case of large quantities of liquids or solutions having costly solvents, the evaporation should be
carried out by distillation under reduced pressure.
2. LARGE SCALE METHODS:
A. Evaporating Pans:
 On large scale, liquid extracts containing water as a menstruum are evaporated in large open pans
called evaporating pans.
 They consist of hemispherical or shallow pans, made of copper, stainless steel, aluminum, enameled
iron or other metal and surrounded by a steam jacket.
 The hemispherical shape is most suitable because it gives the best surface/volume ratio for heating and
the largest area for disengagement of vapours.
 The pans may be fixed, or have a mounting, permitting it to be tilted to remove the product.
Advantages:
a) They are simple, easy and cheap to construct.
Chapter 6. Physicochemical Processes
209
Muhammad Muneeb
b) Easy to use, clean and maintain.
c) Stirring of the evaporating liquid can easily be done.
Disadvantages:
a) On the evaporating surface a scum is rapidly formed which decreases rate of evaporation.
b) Solids may be deposited at the bottom, which makes stirring necessary.
c) Cannot be used for extracts containing organic solvents like alcohol etc.
d) The rooms, in which the evaporating pans are used, must have an efficient exhaust system. Otherwise
the room will be filled with dense fog of condensed vapors and water will start falling from the roof
and along the sides of the wall
B. Evaporating Stills:
 These are similar to pans, and consist of a vessel made of copper or stainless steel.
 They are used in large scale pharmaceutical manufacturing
Applications of Evaporation:
1. One of the most important methods in manufacture of pharmaceuticals.
2. Used for preparation of different type of extracts.
3. In the manufacture of drugs containing antibiotics, hormones, enzymes etc.
_______________________________________________________________________________________
16. VAPORIZATION
Introduction:
 Vaporization of an element or compound is a phase transition from the liquid to gas phase
 There are two types of vaporization:
o Evaporation
o Boiling
 Evaporation is a phase transition from the liquid phase to gas phase that occurs at temperatures below
the boiling temperature at a given pressure.
 Evaporation usually occurs on the surface.
Chapter 6. Physicochemical Processes
210
Muhammad Muneeb
 Boiling is a phase transition from the liquid phase to gas phase that occurs at or above the boiling
temperature.
 Boiling, as opposed to evaporation, does not occur only at the surface.
 Sublimation on the other hand is a direct phase transition from the solid phase to the gas phase,
skipping the intermediate liquid phase.
 Heat must be supplied to a solid or liquid to effect vaporization.
 If the surroundings do not supply enough heat, it may come from the system itself as a reduction in
temperature.
 The atoms or molecules of a liquid are held together by cohesive forces, and these forces must be
overcome in separating the atoms or molecules to form the vapour.
 The heat of vaporization is a direct measure of these cohesive forces
 Condensation of a vapour to form a liquid or a solid is the reverse of vaporization
 In condensation heat must be transferred from the condensing vapour to the surroundings. The amount
of this heat is the same as the heat of vaporization.
Applications:
 Coating of Tablets
 Control of Moisture Content of Powders
 Drying of wet granules, to be used in compression of tablets
_______________________________________________________________________________________
17. CENTRIFUGATION
It is the process that involves the use of centrifugal force for the separation of two immiscible liquids
or separation of solid from liquids.
Principle:
The centrifuge works using the sedimentation principle, where the centripetal acceleration causes
denser substances and particles to move outward in the radial direction. At the same time, objects that are less
dense are displaced and move to the center.
Process:
This process is used to separate two miscible substances, but also to analyze
the hydrodynamic properties of macromolecules. More-dense components of the mixture migrate away from
the axis of the centrifuge, while less-dense components of the mixture migrate towards the axis. Chemists and
biologists may increase the effective gravitational force on a test tube so as to more rapidly and completely
cause the precipitate (pellet) to gather on the bottom of the tube. The remaining solution (supernatant) may be
discarded with a pipette.
Chapter 6. Physicochemical Processes
211
Muhammad Muneeb
Unit:
Rev/min
Factors Affecting:
The particle setting velocity in centrifugation is in function of following things.
 Centrifugation acceleration
 Volume fraction of solids
 Density difference between solids and liquids
 Viscosity of liquids
Applications:
 It is used in the purification of oil.
 It is used to purify enzymes.
 Blood plasma is separated from blood cells by centrifugation.
 Other organic and inorganic compounds are purified by this method.
 It is used in separating the chalk powder from water.
 It is used to removing fat from milk to produce skimmed milk.
 It is used in drug manufacturing and processes.
 Used in the sugar industry to separate the sugar crystals from the mother liquor.
 Pharmaceutically used for:
o Determination of molecular weight of colloids.
o Evaluation of suspensions and emulsions.
o Production of biological products.
o Production of bulk drugs.
o Determination of blood components
_______________________________________________________________________________________
18. DESICCATION
Definition:
 The word desiccation is derived from Latin word “desiccare” means to dry completely.
 The process of desiccating a thing is called desiccation.
 Desiccation is a dehydration process for removing moisture from solid or liquid substances.
 The moisture thus driven off is called hygroscopic moisture as distinguished from moisture that is
chemically combined as in water of crystallization.
General Introduction:
 Desiccation is the state of extreme dryness, or the process of extreme drying.
 A desiccant is a hygroscopic substance that induces or sustains such a state (Dryness) in its local
vicinity, in a moderately sealed container.
 A desiccator is a heavy glass or plastic container used for making or keeping small amounts of material
very dry.
Chapter 6. Physicochemical Processes
212
Muhammad Muneeb
 The material is placed on a shelf, and a drying agent or desiccant, such as dry silica gel or anhydrous
sodium hydroxide, is placed below the shelf.
 Desiccation is the process of removing adhered moisture from liquid or solid substances.
 The term desiccated is used for those substances from which the water or moisture has been completely
removed.
Purpose:
 To remove the moisture from a thing that normally contains moisture, such as plant; to dry out
completely; to preserve by drying.
 Manufacture of dietary supplements and medicines desiccate some product to extend their shelf life
and maintain purity.
 The object of the process is to preserve medicinal value of the substance.
 To reduce the bulk and weight and facilitate powdering of chemicals and crude drug.
Process:
 On small scale, desiccation can be carried out in a desiccator which consists of a tightly closed glass
or plastic vessel, containing a drying agent at its bottom, which absorbs the moisture from the substance
being desiccated.
 Commonly used desiccants are, conc. Sulphuric acid, phosphorus pentoxide, exsiccated (anhydrous),
phosphoric anhydride, calcium chloride and silica gel.
 The drug or substance to be dried is taken in a china dish and placed inside the desiccator above the
surface of drying agent.
 For continuous operation the desiccator may sometimes be connected to a vacuum pump.
 The moisture sensitive substances formulated in tablets and capsules are protected by enclosing them
in sealed vials, on bottom of which a small cloth bag containing silica gel is placed which acts as a
desiccant.
 In case of organic solvents, the traces of moisture are removed by passing them through a column of
alumina or silica gel.
Examples:
 Desiccated beef liver is a dietary supplement marketed in the form of powders and tablets.
 Synthetic desiccated thyroid hormone is a medicine marketed in the form of pills to treat thyroid
conditions such as myxedema, which can cause drowsiness, tissue swelling, tongue enlargement and
other symptoms because of insufficient hormone output by the thyroid gland.
Applications:
 In preservation of vegetable and animal drugs that are destroyed in presence of moisture.
o Dry drug contains 12% moisture
Chapter 6. Physicochemical Processes
213
Muhammad Muneeb
o Desiccant drugs contain 0% moisture
 Comminution of drugs is difficult when they are wet, but it becomes easy when they are dried.
 To decrease the bulk and weight of substances containing moisture to facilitate their easy handling.
 To increase shelf life of drugs
 To increase the stability of drugs
 To avoid hydrolysis, oxidation etc.
 To keep the compound intact
 Pharmaceutical companies often use freeze drying as a desiccation tool to increase the shelf life of
product
 Microorganism cannot grow and divide when desiccated, but can survive for certain period of time,
depending medicine and facilitate powdering
 Reduced bulk weight of and facilitate powdering
_______________________________________________________________________________________
19. LEVIGATION (Wet Grinding)
General Introduction:
 The process of particle size reduction by first forming a paste of solid by adding the minimum amount
of suitable non-solvent (levigating agent) and then triturating the paste in the mortar or on the slab by
using the pestle or spatula.
 Levigation is commonly used in small scale preparation of ointments to reduce the particle size and
grittiness of the added powders.
 A mortar and pestle or an ointment tile is used for this purpose.
 A paste is formed by combining the powder and a small amount of liquid (the levigating agent) in
which the powder is insoluble
 The paste is then triturated in the mortar by the pestle or on the ointment tile by a spatula to reduce the
particle size.
 The levigated paste is then added to the ointment base and the mixture is made uniform and smooth
by rubbing it together with a spatula on the ointment tile.
 The most common levigating agents are mineral oil, water, alcohol and glycerin.
 The process of levigation is also known as wet grinding and is used to reduce the particle size of a
substance to finer state of subdivision
 This process is often used to incorporate solid substances into dermatological and ophthalmic
ointments and suspensions.
Applications:
 Size reduction
 Preparation of ointments and pastes.
 Commonly used levigating agents are mineral oil and glycerin.
 This process is used in making suspensions.
_______________________________________________________________________________________
20. TRITURATION
Chapter 6. Physicochemical Processes
214
Muhammad Muneeb
Introduction:
 It is also called as dry grinding.
 Trituration may be used both to comminute and to mix powders.
 By trituration the grinding of a solid substance is done to fine powder by continuous striking or rubbing
the particles in a mortar with a pestle.
 If simple admixture is required without special need for comminution, the glass mortar is usually
preferred.
 When a small amount of a potent substance is to be mixed with a large amount of diluent, geometric
dilution method is used to ensure the uniform distribution of the potent drug.
 This method is specially indicated when the potent and other ingredients are of the same color and a
visible sign of mixing is lacking. By this method the potent drug is placed on an approximately equal
volume of the diluent in the mortar and mixed thoroughly by trituration. Then a second portion of
diluent equal in volume to the mixture is added and the trituration repeated and so on. This process is
repeated until all the diluent is incorporated.
Trituration Using Tile and Spatula:
 Small quantities of finely powdered solids may be mixed on a tile by means of a spatula.
 Tiles are usually made of glass and should be large enough for the quantity of powder to be mixed or
ointment to be prepared.
 Usually for small scale work 300mm square is a useful size for a tile.
 Spatula is made of stainless steel except for the few medicaments those react with stainless steel
(iodine), should be flexible and long blade (25mm by200mm) to provide a large rubbing surface.
 Powders for Trituration are placed on the tile and gently mixed until the mixture is smooth and
homogeneous, but in the case of ointment if base is very soft it may be helpful to warm the tile but
overheating should be avoided because the base will become too fluid for efficient levigation and may
run off the edge of the tile. The dispersion is then diluted with increasing amount of base, doubling the
quantity each on the tile of each dilution. Finally, any liquid ingredient is incorporated.
Trituration Using Mortar and Pestle:
 A mortar should be used when the quantities are too large to be conveniently dealt with tile.
 A mortar with a fairly flat base and a pestle with a flat head will give best results.
 It is impossible to ensure intimate dispersion of one powder in another by mixing the two substances
all at once. The purpose is to add a substance that is present in greater amount to the whole of the
substance present in lesser amount.
 Substance present in greater amount is introduced into the mixture in very small quantities at first, but
gradually increasing the quantities, until the whole of the substance has been added. In the case of
ointments, the sequence of mixing is same as in the tile method, powders are mixed and then gradually
incorporated into the base and finally any liquid ingredients are added.
Applications:
 Size reduction.
 Geometric mixing of powders.
_______________________________________________________________________________________
Chapter 7. Extraction
215
Muhammad Muneeb
Unit 7.
EXTRACTION
Outline:
a. Maceration: Purpose & process.
b. Percolation: Purpose and Process.
c. Liquid-Liquid extraction: Purpose and Process.
d. Large scale extraction: Purpose and Process.
_______________________________________________________________________________________
Definition:
 Removal of soluble material (liquid or solid) from an insoluble residue by treatment with a liquid
solvent is called as extraction.
 The treatment of the plant or animal tissues with appropriate solvent, which would dissolve the
medicinally active constituents, is called extraction.
 For example, boiling tea has:
o Tannins
o Theobromine
o Caffeine
Purpose:
 Active constituents of natural or vegetable origin are separated by extraction.
 The purposes of standardized extraction procedures for crude drugs are to attain the therapeutically
desired portion and to eliminate the inert material by treatment with a selective solvent known as
menstruum.
 The extract thus obtained may be ready for use as a medicinal agent in the form of tinctures and fluid
extracts, it may be further processed to be incorporated in any dosage form such as tablets or capsules.
Principle:
It is a solution process based on mass transfer.
Purpose of Extraction of Vegetable Drugs:
Vegetable drugs are extracted to:
Chapter 7. Extraction
216
Muhammad Muneeb
 Reduce bulk, easy storage and transport
 Standardization of content
 Deterioration can be minimized
 Palatable formulation
 Injection of crude material not feasible
THEORY OF EXTRACTION:
1. SIZE REDUCTION:
 In order to achieve proper extraction maximum surface area of contact would be desirable.
 If the size of drug is reduced to individual cell size, then it would be the best option.
 It is not feasible to reduce the size of material to cellular level as:
o It may cause decomposition of constituents or may lead to loss of volatile materials.
o Very fine particles may not form good suspension as they wouldn’t sediment at the desired rate
and particle size if reduced to cellular level be form sticky mass
o Dilution of extracts may occur as breakage of cell may result in release of all cellular content
 The appropriate degree of size reduction will comply with the following requirements
o Increased surface area by distortion or breakage of cells which facilitates penetration of solvent
and escape the soluble matter.
o Decrease in radial distance will help in setting up the concentration gradient
 Disadvantages of size reduction:
o Slow down the rate of percolation
o Difficulty in the separation of the insoluble solid fraction after extraction
o Poor quality of extract by extracting undesirable constituents due to breakage of cell wall which
exposes other cellular materials to solvent action
 Degree of size reduction:
o Depends upon botanical structure of drugs
o Sliced (for soft drugs like gentian)
o Coarse to Moderately coarse (for cascara, belladona)
o Moderately fine (for hard and woody drugs like ipecacuanha)
o Coarse powder for leafy structure
 Appropriate degree of size reduction will result:
o Cause some cells to be cracked or distorted
o Particle size that will not result in a very long path for solvent.
o Particle with large surface area for adequate mass transfer.
2. PENETRATION OF SOLVENT INTO THE DRUG:
 A drug in dry state is porous due to shrinkage and pores contain air that must be displaced as the
solvent enters into the pores and penetrates into the cells.
o When drug is dried, micellae (cellulose in cell wall) loses its film of water.
o When the drug is moistened the micellae take up a liquid film and tissue swell
o Swelling continues until the pressure caused by liquid layer is equal to the cohesive forces
between micellae
o Swelling may occur due to:
Chapter 7. Extraction
217
Muhammad Muneeb
 Distension of cell wall
 Bursting of thin walled cell
 The solvent must displace air from pores in the drug.
3. SOLUBILIZATION OF CONSTITUENTS:
 When the solvent penetrates in the cells, dissolution of the constituents takes place and is governed by
surface area, temperature, viscosity.
 The most important factors which will increase the rate of extraction is elevation of temperature.
 Dissolution: Dissolution of a solid in a liquid involves transfer of molecules or ions (mass) from a
solid state into solution.
4. ESCAPE OF SOLUTION FROM THE CELLS:
 The dissolved material reaching the surface of the particle must pass through the boundary layer at the
solid liquid interface.
 The rate of diffusion will depend on the:
o Presence of suitable concentration gradient from the centre of the particle, outwards and
through the boundary layer
o Thickness of boundary layer
o Diffusion coefficient of the solute in the solvent
5. SEPARATION OF SOLUTION AND EXHAUSTED DRUG:
 In the process of immersion of drug in a bulk of solvent, the solid material has to be strained off, as
the drug absorbs solvent there is a residue of soluble constituents in this solvent.
 In this case the drug is subjected to pressure to expel as much of the solution as possible.
 Even though the extraction process uses solvent flowing through the drug, separation of solution is
essential.
Terms:
 Extractives: Concentrated preparations of vegetable or animal drugs obtained by removal of the
active constituents of the respective drug with suitable menstruum, evaporation of all or nearly all
solvent.
 Tinctures: are alcoholic or hydroalcoholic solutions prepared from vegetable material or from
chemical substances. E.g. belladonna tincture
 Menstruum: Solvent used for extraction (ex. water, alcohol, ether, acetone, ethyl acetate)
o Polar: Water, Methanol, Acetone
o Non-Polar: Chloroform, Hexane, Benzene, toluene, diethyl-ether
o Solvents with a dielectric constant of less than 15 are generally considered to be non-polar
 Marc: The inert fibrous and other insoluble materials remaining after extraction.
 Fluid Extract: Are liquid preparations of vegetable drugs containing alcohol as a solvent or as
preservative or both. They’re made in such a way that 1ml of extract contains the therapeutic
constituents of 1g of standard drug. E.g. Cascara sagrada Fluid extract.
 Expression: Is a method of fragrance extraction where raw materials are pressed, squeezed or
compressed and the oils are collected.
Chapter 7. Extraction
218
Muhammad Muneeb
 Gelanical: The extract initially obtained by leaching the vegetable or animal tissue with the suitable
solvent, is converted into concentrated and converted into a dry extract, a viscous extract, liquid
extracts. These crude extracts, when standardized, are known as gelanical.
Applications:
Some of the products that are obtained after extraction process may be summarized as:
 Extraction of fixed oils from seeds.
 Preparation of alkaloid as strychnine from nux-vomica, quinine from chincona bark.
 Isolation of enzymes as renin and hormones as insulin from animal sources.
 Extraction of morphine from opium.
 Reserpine from Rauwolfia serpentina
 Gelatin that is used for making capsule shell is produced by conversion of skin and bone collagen by
treatment with lime or dilutes acid and is further extracted with warm water.
Types of Extraction:
 Solid-solid extraction (Leaching)
o Maceration
o Percolation
o Continuous extraction
 Liquid-liquid extraction (counter current extraction)
Main Processes Used for Extraction:
SOLID-SOLID EXTRACTION (LEACHING):
DEFINITION:
It is the extraction of soluble constituents from solid crude drug by suitable solvent.
PRINCIPAL:
 Suitable size reduction
Chapter 7. Extraction
219
Muhammad Muneeb
 Contact and penetration of solvent
 Solution of soluble matters in cells
 Leaching of solution out
 Separation of solution from exhausted drug
CHOICE OF LEACHING PROCESS:
Following factors are considered:
 Character of drug
o For hard or tough material percolation is used
o For un-powderable materials maceration is preferred
o To enhance the therapeutical value of drug
o When the drug has high therapeutic value, maximum extraction is required, so percolation
process is used e.g. Belladona
 Stability of drug
o Thermolabile drugs-maceration or percolation should be done.
o No hot extraction process should be carried out
 Cost of drug
o Costly drugs are extracted by percolation process, whereas cheap drugs are extracted by
maceration process
 Solvent
o Maceration process recommended-if water is used as solvent.
o Percolation process non-aqueous solvents
 Concentration of products
o The dilute products such as tinctures can be made by using maceration or percolation process,
depending on other factors.
o For semi-concentrated preparations, such as concentrated infusions, double or triple maceration
process can be used.
o The liquid extracts or dry extracts or dry extracts which are concentrated preparations are
prepared by using percolation process.
FACTORS AFFECTING LEACHING PROCESS:
Following are the factors that affect the leaching process.
 Pre-treatment of crude drugs
 Particle size distribution
 Nature of solvent
 Temperature
1. Maceration:
 The term maceration comes from the Latin macerare, meaning to soak.
 This simple widely used procedure involves leaving the pulverized plant to soak in a suitable solvent
in a closed container.
 Drug is soaked with menstruum (solvent of maceration) for longer period of time (till equilibrium).
Chapter 7. Extraction
220
Muhammad Muneeb
DEFINITION:
 It is a process in which the properly comminuted drug is permitted to soak in the menstruum until the
cellular structure is softened and penetrated by the menstruum and the soluble constituents are
dissolved.
DEFINITIONS:
 Marc is the solid residue left after the action of menstruum.
 Simple Maceration: A process for tinctures made from organized drug e.g. roots, stems, leaves etc.
 Maceration with Adjustment: A process for tinctures made from unorganized drugs such as oleo
resins and gum resins.
 Maceration can be done one, two or three times for effective result.
APPLICATIONS:
 The method is suitable for both initial and bulk extraction.
 It is used to prepare:
o Tinctures
o Concentrated products
DISADVANTAGES:
The main disadvantage of maceration is that the process can be quite time-consuming, taking from a
few hours up to several weeks.
MULTIPLE MACERATION:
Chapter 7. Extraction
221
Muhammad Muneeb
Multiple maceration is aimed at achieving maximum extraction by using portions of total volume of
men strum for successive maceration. The drug: menstruum ratio is low.
 Double Maceration = Volume divided into 2 equal portions
 Triple Maceration = Volume divided into 3 equal portions
2. Percolation:
INTRODUCTION:
 Percolation is derived from the Latin word “per” meaning through and “colare” meaning to strain.
 Comminuted (crushed) drug is packed in a column and the solvent is allowed to percolate through it
till complete exhaustion.
 This process ensures maximum extraction.
 Simple percolation or percolation process for tinctures.
 Percolation processes for concentrated preparations such as:
o Reserve percolation process
o Modified percolation process
APPARATUS USED FOR PERCOLATION:
 Conical percolator
 Cylindrical percolator
 Steam jacketed percolator
STEPS INVOLVED:
The steps involved in this process are:
 Size reduction
 Imbibition with solvent
 Packing in percolator
 Macerating the packed drug
 Collection of solution
 Fresh solvent is added
Chapter 7. Extraction
222
Muhammad Muneeb
PROCESS:
There are three stages in the official method for preparation of tinctures by percolation process.
 Size Reduction:
o The drug to be extracted is subjected to suitable degree of size reduction, usually from coarse
powder to fine powder
o To increase the surface area of the drug exposed to the menstruum
o For uniform packing of the percolator
o To ensure complete exhaustion of the drug
o
 Imbibition:
o Powdered drug is moistened with a sufficient quantity of menstruum and allowed to stand for
4 hours in a closed vessel.
o It is done in order to allow swelling of the tissues before packing into the percolator.
o Dry powder if packed into percolator may cause blockage of the percolator.
o It allows entrapped air to escape, dry powder drug would have air entrapped within them, and
this may resist the flow of menstruum and will disturb the packing of the powdered drug.
o Prior to packing of the imbibed drug into percolator uniformity of particle size is ensured by
passing the moistened mass through a sieve of coarse aperture.
o Glass wool moistened with solvent is kept at the bottom to avoid blockage of outlet or tap.
Cotton wool may not be used as after getting soaked it would also create a impermeable mass.
o The imbibed drug is packed in the percolator up to 2/3rd or 3/4th of the volume of percolator.
o Filter paper is placed above this layer and above this a layer of sand is placed in order to prevent
disturbance of top layer when the menstruum is added into the percolator.
o Sufficient quantity of menstruum needs to be added to saturate the material.
o When the liquid starts coming out of the percolator outlet is closed and add menstruum forming
a layer of solvent above the imbibed mass.
 Packaging:
o After imbibition the moistened drug is evenly packed into the percolator.
o The packing should not be too tight; it will lead to slow extraction rate. Similarly, loose packing
will allow the menstruum to pass through quickly resulting in incomplete contact with the drug.
o The drug should occupy 2/3rd capacity of the percolator.
 Maceration:
o The moistened drug is left in contact with menstruum for 24 hrs.
o During this period, menstruum dissolves the active constituent of the drug and becomes almost
saturated with it.
 Percolation:
o It consists of the downward displacement of the saturated solution formed in maceration and
extraction of the remaining active constituents present in the drug by the slow passage of the
menstruum through the column of the drug.
o After collecting 3/4th of the required volume of the finished product or when the drug is
completely exhausted, the marc is pressed.
o Mix the expressed liquid with percolate.
o Add sufficient quantity of menstruum to produce the required volume and then filter.
o E.g. tincture of belladonna, compound tincture of cardamom, strong tincture of ginger.
Chapter 7. Extraction
223
Muhammad Muneeb
ADVANTAGES:
 More complete extraction of constituents
 Shorter processing time
 Increased flexibility in processing
DISADVANTAGES:
 Fine powders and materials such as resins and plants that swell excessively (e.g., those containing
mucilages) can clog the percolator.
 If the material is not distributed homogenously in the container, the solvent may not reach all areas
and the extraction will be incomplete.
 Incompatibility of percolation with certain herbs
 Additional complexity in processing
COMPLETE EXTRACTION TEST:
Tests to check complete exhaustion of the drug:
 Take a few ml of the last percolate and evaporate to dryness, it no residue remains - it shows that the
drug is completely exhausted.
 Specific chemical tests may be performed on the percolate for the drugs containing alkaloids,
glycosides, tannins, resins or bitter constituents.
3. Continuous Extraction:
 It is the type of extraction during which solution of drug, immediately after contact with drug, is
evaporated and vapors are condensed and returned to the drug again.
 Some amount of liquid (solvent) is again and again used to obtain maximum extraction of the drug.
 It is performed by Soxhlet apparatus.
APPARATUS:
 This apparatus consists of:
o Flask
o Soxhlet extractor
o Reflex condenser
Chapter 7. Extraction
224
Muhammad Muneeb
For example, continuous process is applicable on fixed oils from seeds using light petroleum.
PROCESS OF SOXHLET APPARATUS:
 Raw material is placed in a thimble in a central tube of extractor.
 Solvent (extraction agent) is placed in the flask and is heated to reflux in the distillation flask, the
vapors are condensed in the reflux condenser and drop into the chamber containing the thimble with
the material to be extracted.
 The chamber slowly fills with the warm solvent and some of the material is dissolved in the solvent.
 When the Soxhlet chamber is almost full it is automatically emptied by a siphon side arm, with the
solvent running back down to the distillation flask.
 This cycle is repeated several times to enrich the solvent in the distillation flask with the extracted
material.
 A limited amount of hot solvent is made to percolate the drug is order to get concentrated solution.
ADVANTAGES:
 Small amount of solvent is used.
 Pure solvent is used to treat the drug ensuring maximum exhaustion.
 Continued extraction can be done to exhaust the complete drug.
LIQUID-LIQUID EXTRACTION (COUNTER-CURRENT PROCESS):
 It is also called as solvent extraction and partitioning.
 In this process solution of substance is brought into contact with first solvent.
 Portioning of drug between two immiscible solvents (aqueous and organic) is the principal of liquid-
liquid extraction.
 This distribution depends upon the hydrophilicity or hydrophobicity of the material.
 pH also plays an important role when the polar group is ionized.
 Usually two, three, or four extractions of the aqueous layer with an organic solvent are carried out in
sequence in order to remove as much of the desired product from the aqueous layer as possible.
 The greater the number of small extractions, the greater the quantity of solute removed.
 However, for maximum efficiency the rule of thumb is to extract three times with 1/3 volume.
FACTORS:
 Higher the partition coefficient higher will be the extraction efficiency.
 Lower interfacial tension will increase extraction rates.
 Adsorbed impurities on interface retard the transfer of solute.
PROCESS:
There are many processed used for counter-current extraction but mainly two processes are common.
1. Dispersive Liquid–Liquid Microextraction (DLLME):
 A process used to extract small amounts of organic compounds from water samples.
 This process is done by injecting small amounts of an appropriate extraction solvent (C2Cl4) and a
disperser solvent (acetone) into the aqueous solution.
Chapter 7. Extraction
225
Muhammad Muneeb
 The resulting solution is then centrifuged to separate the organic and aqueous layers.
 This process is useful in extraction organic compounds such as organochloride and organophsophorus
pesticides, as well as substituted benzene compounds from water samples.
2. Direct organic extraction:
 This process is done by mixing partially organic soluble samples in organic solvent (toluene, benzene
and xylene), the organic soluble compounds will dissolve into the solvent and can be separated using
a separatory funnel.
 This process is valuable in the extraction of proteins and specifically phosphoprotein and
phosphopeptide phosphatases.
APPLICATIONS:
 Major applications exist in the biochemical or pharmaceutical industry, where emphasis is on the
separation of antibiotics and protein recovery.
 In the inorganic chemical industry, they are used to recover high-boiling components such as
phosphoric acid, boric acid, and sodium hydroxide from aqueous solutions.
LARGE SCALE EXTRACTION PROCESS:
Circulatory Extraction:
 The efficiency of extraction in a maceration process can be improved by arranging for the solvent to
be continuously circulated through the drug, as indicated in the figure below.
 Solvent is pumped from the bottom of the vessel to the inlet where it is distributed through spray
nozzles over the surface of the drug.
Chapter 7. Extraction
226
Muhammad Muneeb
 The movement of the solvent reduces boundary layers, and the uniform distribution minimizes local
concentration in a shorter time.
PROCEDURE:
 Fill extractor with drug, add solvent and circulate. Run off to receiver 1.
 Refill extractor with solvent and circulate. Run off to receiver 2.
 Refill extractor with solvent and circulate. Run off to extractor 3.
 Remove drug from extractor and recharge. Return solvent from 1 to extractor. Remove for evaporation.
 Return solution from 2 to extracture and circulate. Run off to receiver 1.
 Return solution from 3 to extractor and circulate .
 Run off to receiver 2.
 Add fresh solvent to extractor and circulate.
 Run off to receiver 3.
 Remove drug from extractor and recharge.
 Repeat cycle.
FACTORS INFLUENCING EXTRACTION:
The rate of extraction can be affected in the following ways:
I. WHERE DRUG IMMERSED IN A SOLVENT:
 By agitating the mixture occasionally, local concentration of the solution is dispersed increasing the
concentration gradient.
 By agitating the drug and solvent continuously increases the concentration gradient by dispersion of
local concentration as well as reduces the thickness of the boundary layer.
 By suspending the drug in a cloth or above a perforated plate near the surface of the liquid. As the drug
dissolves, the density of the solution increases leading to the convection of the solution, increasing the
concentration gradient through the boundary layers
II. IF THE DRUG IS POSITIONED SO THAT THE SOLVENT FLOWS PAST THE
PARTICLES:
 The flow replaces the solution by pure solvent causing the increase in the concentration gradient
Chapter 7. Extraction
227
Muhammad Muneeb
 Flow of the solvent between the particles reduces the boundary layer increasing the concentration
gradient.
 This can be achieved by suspending drug in a cloth bag or above a perforated plate
III. ELEVATED TEMPERATURE’S ADVANTAGES:
 Solubility of most of the material is higher at higher temperature.
 Viscosity of the solvent gets reduced decreasing boundary layer thickness
 Diffusion coefficient is proportional to the absolute temperature and inversely proportional to the
viscosity, so raising the temperature influences the rate of diffusion considerably.
 By setting convection current
SOLVENTS USED FOR EXTRACTION PROCESS:
The ideal solvent for a certain pharmacologically active constituent should:
 Be highly selective for the compound to be extracted.
 Have a high capacity for extraction.
 Not react with the extracted compound or with other compounds in the plant material.
 Have a low price.
 Be harmless to man and to the environment.
 Be completely volatile.
 The generally used solvents includes: Water, ether, alcohol, chloroform.
WATER AS SOLVENT:
Disadvantages Advantages
Most active plant constituents are complex organic chemical which are
less soluble in water.
Readily available
Plant constituents such as sugars, gums, starches, coloring agents,
tannins are easily extracted by water, however are not desirable
component sometimes and may interfere with clarity of the
preparation.
Cheapness
Aqueous preparations serve as excellent growth for molds, yeasts and
bacteria. Preservatives should be added such as alcohol.
Good solvent action for many
plant constituents
Water causes hydrolysis of many substances. Used with other solvents
Maximum amount of heat is needed to concentrate the extraction than
non-aqueous solvent.
ALCOHOL AS SOLVENT:
 Solvent of alkaloids, alkaloidal salts, glycosides, volatile oils and resins
 Also dissolves many forms of coloring matter, tannins, many organic acids and salts.
 Alcohol does not dissolve albuminous matter, gums, waxes, fats, fixed oils and sugars.
Disadvantages Advantages
Costly No microbial contamination in alcohol solution containing 20% or more
alcohol concentration.
Chapter 7. Extraction
228
Muhammad Muneeb
Flammable A small amount of heat needed to concentrate the alcoholic preparations.
Non-toxic
Dissolves selected active constituents of drugs
ACETONE AS SOLVENT:
 Acetone and chlorinated hydrocarbons may also be used for leaching purpose.
 More selective solvents used for extraction of alkaloid are petroleum ether and benzene.
 Potassium hydroxide may be used to extract eugenol from clove.
IMPORTANCE OF EXTRACTION:
1. Quantitative Description: Potency of drug can be controlled in extract than in crude drug and can
be used accordingly.
2. More Stable form: Deterioration by enzyme action is diminished due to separation from bulk.
3. Enhanced Organoleptic Characteristics: More palatable, and more elegant
4. Easy formulation: Tableting of crude material may not be possible; Preparation of the drug is more
easily formulated, more stable, palatable and elegant after extraction
5. Different route of drug administration: Injection of crude material may be undesirable and
dangerous
6. Storage and transport feasibility: Extracts are less bulky and covers less space and smaller bulk
facilitates storage and transport.
_______________________________________________________________________________________
Chapter 8. Rate and Order of Reaction
229
Muhammad Muneeb
Unit 8.
RATE AND ORDER OF REACTION
_______________________________________________________________________________________
 Each one contains a time unit and the word “per”.
 “Per” means divide!
𝑅𝑎𝑡𝑒 =
∆ 𝐴𝑚𝑜𝑢𝑛𝑡
∆ 𝑇𝑖𝑚𝑒
Reaction Rate:
 In chemistry, the amount unit may vary but is often in moles, moles per liter (molarity) grams or even
liters.
 Rates of chemical reactions are most often measured as moles per second, molarity per second.
Mathematically,
𝑅𝑎𝑡𝑒 𝑜𝑓 𝑅𝑒𝑎𝑐𝑡𝑖𝑜𝑛 =
𝐷𝑒𝑐𝑟𝑒𝑎𝑠𝑒 𝑖𝑛 𝑐𝑜𝑛𝑐. 𝑜𝑓 𝑅𝑒𝑎𝑐𝑡𝑎𝑛𝑡𝑠
𝑇𝑖𝑚𝑒 𝑖𝑛 𝑡ℎ𝑖𝑠 𝑐ℎ𝑎𝑛𝑔𝑒 𝑡𝑎𝑘𝑒𝑠 𝑝𝑙𝑎𝑐𝑒
𝑅𝑎𝑡𝑒 𝑜𝑓 𝑅𝑒𝑎𝑐𝑡𝑖𝑜𝑛 =
𝐷𝑒𝑐𝑟𝑒𝑎𝑠𝑒 𝑖𝑛 𝑐𝑜𝑛𝑐. 𝑜𝑓 𝑃𝑟𝑜𝑑𝑢𝑐𝑡𝑠
𝑇𝑖𝑚𝑒 𝑖𝑛 𝑡ℎ𝑖𝑠 𝑐ℎ𝑎𝑛𝑔𝑒 𝑡𝑎𝑘𝑒𝑠 𝑝𝑙𝑎𝑐𝑒
𝑅𝑎𝑡𝑒 𝑜𝑓 𝑅𝑒𝑎𝑐𝑡𝑖𝑜𝑛 =
𝐶ℎ𝑎𝑛𝑔𝑒 𝑖𝑛 𝑐𝑜𝑛𝑐𝑒𝑛𝑡𝑟𝑎𝑡𝑖𝑜𝑛
𝑇𝑖𝑚𝑒 𝑇𝑎𝑘𝑒𝑛
=
∆ (𝑐𝑜𝑛𝑐. )
∆ 𝑇𝑖𝑚𝑒
 Reaction rate is the speed at which a reaction takes place.
 It is “how quickly” a product is formed in a chemical reaction.
 Example:
𝑀𝑔 + 𝐶𝑙2 → 𝑀𝑔𝐶𝑙2
 In the case of multiple step reactions, the slowest step determines the rate of reaction.
Collision Theory:
 Reactions take place when reactants bump to make products.
𝑀𝑔 + 𝐶𝑙2 → 𝑀𝑔𝐶𝑙2
 Reaction Rate is how quickly you create a new substance in a chemical reaction.
 Faster reactions have more collisions.
 Slower reactions have less collisions.
Chapter 8. Rate and Order of Reaction
230
Muhammad Muneeb
Factors Affecting Rate of Reaction:
 Concentration of reactants
 Pressure (for gases only)
 Particle size
 Catalyst
 Temperature
 Light
 Effect of concentration
 Solvent
 Ionic strength
 Dielectric constant
 Moisture
1. TEMPERATURE:
 Generally, the speed of many reactions can be increased 2 to 3 times with each increase of 10o
C in
temperature.
 The effect of temperature on reaction rate is given by Arrhenius equation:
𝐾 = 𝐴𝑒−𝑬𝒂/𝑹𝑻
 The frequency factor A is the measure of frequency expected between the reacting molecules.
 In Logarithm it may be expressed as follow:
𝐿𝑜𝑔 𝐾 = 𝑙𝑜𝑔 𝐴 –
𝐸𝑎
2.303 𝑅𝑇
 The Arrhenius equation is useful when Ea is in the range of 10 to 30 Kcal/mole.
 If Ea is only 2 to 3 Kcal/mole as in the case of photolytic reactions little advantage is gain from the
equation.
2. EFFECT OF CONCENTRATION:
 As the concentration of reacting molecules is increased the no of collisions between the molecules also
increased. Consequently, the rate of reaction is increased.
3. LIGHT:
 Light energy may be absorbed by certain molecules which become activated to undergo reaction.
 Most visible light and UV light cause photochemical reaction. These reactions do not depend on
temperature.
 However, once a molecule has absorbed energy, it may collide with other molecules raising their
kinetic energy resulting in increase in temperature.
 Examples: Pharmaceutical compounds which undergo photo chemical decomposition include
Riboflavin and Phenothiazines etc.
4. SOLVENT:
Chapter 8. Rate and Order of Reaction
231
Muhammad Muneeb
 The quantitative relationship between the reaction rate and the solubility of reactants and products is
given by equation.
𝐿𝑜𝑔 𝑘 = 𝑙𝑜𝑔 𝐾0 + 𝑉/2.303 𝑅 . 1/𝑇 (∆𝑆𝐴 + ∆𝑆𝐵 − ∆𝑆 ∗)
 In other terms a polar solvent tends to increase the rate of those reactions in which product formed is
more polar than reactants.
 If the products are less polar then it tends to decrease the rate of such reactions.
 Commonly used non aqueous solvents for drugs include Ethanol, Glycerol and vegetable oil etc.
5. IONIC STRENGTH:
 The effect of ionic strength of a solution and its rate of degradation may be expressed as follows:
Log K= log K0 + 1.02 ZAZBѴµ
 According to the above equation an increase in the ionic strength of solution would tend to decrease
the rate of reaction i.e. the inverse relation.
6. DIELECTRIC CONSTANT OF SOLVENT:
 The dielectric constant (or relative permittivity) of solvent has a significant effect on the rate of
reaction.
 Dielectric constant of an ionic reaction is given by:
Log K= log K ε=∞ - K ZA ZB/ε
 If the reacting ions are of opposite charges, then it will result in increased rate of reaction.
 If ions of similar charges involve in reaction it will decrease rate of reaction.
7. CATALYSIS:
 A catalyst is defined as a substance which increase or decrease the rate of reaction without itself being
altered chemically.
 Most of the chemical reactions are catalyzed in the presence of catalyst.
 These enhanced the rate of reaction by providing an alternative course for chemical reaction.
Order of Reaction:
Chapter 8. Rate and Order of Reaction
232
Muhammad Muneeb
 The order of reaction is defined as the manner in which the rate of a reaction varies with the
concentration of the reactants.
Types of Reactions w.r.t. their Orders:
 Zero-Order Reaction
 First -Order Reaction
 Second-Order Reaction
 Pseudo-Zero-Order Reaction
 Pseudo-First-Order Reaction
1. ZERO ORDER REACTION:
 In Zero-Order reaction the reaction rate is independent of the concentration of the reacting substance
or reaction rate depends on the zero power of the reactant.
 Example (Degradation of solution): When solubility is the factor, only that amount of drug that is in
solution undergoes degradation.
2. FIRST-ORDER REACTION:
 A reaction is said to be first-order if the reaction rate depends on the first power of concentration of a
single reactant.
 Example: Decomposition of H2O2 catalyzed by iodine ions.
3. SECOND-ORDER REACTION:
 A reaction is said to be second-order if the reaction rate depends on the concentration of two reactant
species.
 Example: Saponification of Ethyl acetate.
Chapter 8. Rate and Order of Reaction
233
Muhammad Muneeb
4. PSEUDO-ZERO ORDER REACTION:
 Many drugs, in the solid state, decompose according to pseudo-zero- order rates as reactions occur
between the drug and moisture in the solid dosage form. The system behaves as a suspension, and
because of the presence of excess solid drug, the first-order reaction rate becomes a pseudo-zero-order
rate, and loss rate is linear with time.
𝑟 =
𝑑𝐶𝑎
𝑑𝑡
𝑘1𝐶𝑎
 In suspension formulations, the concentration of the drug, the aqueous phase remains constant (i.e.
saturated) until the suspended drug particles are completely exhausted.
5. PSEUDO-FIRST-ORDER REACTIONS:
 A pseudo-first-order reaction can be defined as a second-order or bimolecular reaction that is made to
behave like first-order reaction. This happens when one reacting material is present in great excess or
is maintained at a constant concentration compared with the other substance. Under such
circumstances the reaction does not exhibit a significant change in concentration during the degrative
reaction.
 Example: Hydrolysis of an Ester.
 The drug that obeys pseudo-first-order kinetics is Cefotaxime sodium.
Pharmaceutical Applications of Reaction Kinetics:
1. KINETICS:
 Chemical reactions such as decomposition of medicinal compounds
 Processes of drug absorption, distribution, elimination from the body
 Shelf life determination
2. ORDER OF REACTION:
 Manner in which the rate of reaction varies with the concentration of the reactants
 Most processes involving ADME can be treated as first- order processes
 Some drug degradation processes can be treated as either First or zero order processes
 Some drug substances obey Michaelis-Menten kinetic process
3. APPARENT ZERO ORDER REACTION KINETICS:
 Suspensions are a special case of zero order kinetics, in which the concentration of drug in solution
depends on its solubility.
 As the drug in solution decomposes, more of it is released from a reservoir of suspended particles
thereby making the concentration in solution constant.
 The effective concentration is the drug equilibrium solubility in the solvent of formulation at given
temperatures
4. CHEMICAL INSTABILITY:
 Can present as:
Chapter 8. Rate and Order of Reaction
234
Muhammad Muneeb
o Loss of potency
o Accumulation of toxic degradative products
o Degradation of excipient responsible for product stability e.g. emulsifying agents,
preservatives
o Conspicuous colour change e.g. marked discoloration of adrenaline although very slight change
in adrenaline content, is unacceptable to patients, pharmacists, physicians and the nurses.
5. SOLID STATE VERSUS SOLUTION STABILITY:
 Generally, chemical reactions proceed more readily in liquid state than in solid state
 Serious stability problems are more commonly encountered in liquid medicines e.g. order of dosage
form stability is generally: solution < suspension < tablet.
6. DETERMINATION OF ORDER OF REACTION:
 Use of rate equation – The data collected in a kinetic reaction should be substituted into the integrated
form of equations of various orders.
 The process under test should be considered to be of that order where the calculated k value remains
constant within limits of experimental error.
 Half-life method – For a zero order or pseudo first order reaction, t½ is proportional to initial
concentration of reactant (Co),
o t½ for a first order reaction is independent of Co,
 Graphical method – For a zero order or pseudo first order reaction, plot of C vs. t is linear; for first
order reaction, plot of log (Co – Ct) vs. t is linear.
_______________________________________________________________________________________
Chapter 9. Drug Stability
235
Muhammad Muneeb
Unit 9.
DRUG STABILITY
Outline:
Kinetic principles and stability testing: theoretic considerations (degradation):
 Physical Factors: Influence of pH, temperature, ionic strength, acid-base catalysis, U.V. light.
 Chemical Factors: Complex chemical reactions, Oxidation-reduction reactions, Hydrolysis.
_______________________________________________________________________________________
Definition:
 Drug stability is defined as, “the capacity or capability of a particular formulation in a specific
container to remain within a particular physical, chemical, microbiological, therapeutical and
toxicological specifications.”
 Drug stability refers to the time from the date of manufacture and packing of the formulation until its
physical, chemical and biological activity is not less than a pre-determined level of the potency and
physical characteristics.
Importance of Drug Stability Study:
The study of stability of pharmaceutical products and stability testing techniques is important for three
main reasons.
 Patient Safety
 Legal Requirement
 Financial Repercussion (an unintended consequences of an event or an action)
1. PATIENT SAFETY:
 Safety of patient is very important issue.
 The present trend of pharmaceutical industry is the production of highly specific chemically complex
and potent drug.
 It is important that the patient receives a uniform dose of the drug throughout the whole shelf life of
the drug.
 It is the duty of manufacturer to minimize or if possible prevent the decomposition of the product
especially of parenteral solutions injections.
2. LEGAL REQUIREMENTS:
 The considerations must be given to the legal requirement concerned with the identity, strength, purity
and the quality of the drug.
3. FINANCIAL REPERCUSSION:
 The sale of unstable product is difficult for the manufacturer and therefore subsequent withdraw and
reformation of the drug may lead to considerable financial loss.
Factors Affecting Product / Drug Stability:
Chapter 9. Drug Stability
236
Muhammad Muneeb
The product stability is affected by:
 The stability of active ingredients
 Interaction between active ingredients and excipients or container or closure
 Environmental conditions
Expiry Date:
It is the date which is fixed by the manufacturer for a certain product after which the harmful events
may result into:
I. Loss of potency
II. Development of toxic products
In classic terms, the drugs stability refers to:
I. Physical stability
II. Chemical stability
III. Biochemical Stability
The stability studies data may have one of the two errors.
I. Type I Error: Expiry date is set too early.
II. Type II Error: Expiry date is set too late.
Degradation of Pharmaceutical Products:
DEGRADATION:
 It is the condition or process of degrading or being degraded.
 Decline to a lower quality, condition or level is called as degradation.
PHARMACEUTICAL DEGRADATION:
The incapacity or incapability of a particular formulation in a specific container to remain within a
particular chemical, microbiological, therapeutical, physical & toxicological specification is called as
pharmaceutical degradation.
TYPES OF PHARMACEUTICAL DEGRADATION:
There are two types of pharmaceutical degradation.
 Physical degradation
 Chemical degradation
Physical Degradation:
It is the degradation which results into the change of physical nature of drug. The formulation is totally
changed by way of appearance, organoleptic properties, hardness, brittleness, particle size. Physical
degradation includes:
 Loss of volatile components
 Loss of water
 Absorption of water
Chapter 9. Drug Stability
237
Muhammad Muneeb
 Crystal growth
 Polymorphic changes
 Colour changes
1. LOSS OF VOLATILE COMPONENTS:
Volatile components such as alcohol, ether, camphor, iodine, volatile oil etc. escape from the
formulation e.g. Nitroglycerine from drugs evaporates.
Measures to Prevent Loss of Volatile Components:
 Such products should be placed in well closed container.
 To decrease temperature as increase in temperature will increase volatility, product should be placed
in a cool place.
2. LOSS OF WATER:
 Loss of water from o/w emulsions thus the stability changes.
 Water evaporates from efflorescent salts such as Borax and sodium bisulphate etc.
 Water evaporates causing crystal growth.
Measures to Prevent Loss of Water:
 Water loss may be prevented by storing the product in well closed container.
3. CRYSTAL GROWTH:
 In solutions after super saturation of solvent crystal growth occurs e.g. injection of calcium gluconate
 In suspension crystals settle down and caking occurs and suspension becomes unstable e.g. ophthalmic
preparations.
Prevention of Crystal Growth:
 In case of solutions stabilizers are employed.
 In case of suspension minimum temperature flocculation should be managed.
 Incorporation of surface active agents.
 By increasing viscosity of suspending medium.
4. ABSORPTION OF WATER:
 Hygroscopic drugs such as glycerin suppositories absorb
 Water from atmosphere causing physical degradation.
Preventive measure for absorption of water:
 Product should be placed in well closed container.
5. POLYMORPHIC CHANGES:
 In polymorphic changes crystals form change. A stable crystal form is lost.
Measures to prevent polymorphic changes:
Chapter 9. Drug Stability
238
Muhammad Muneeb
 Formulated product should contain a stable crystalline form of the drug.
6. COLOUR CHANGES:
 Colour changes are of two types:
o Loss of color
o Development of color
 Loss of color is due to pH changes.
 Development of color is due to reducing agents, water and U.V rays
Prevention of Colour Changes:
 pH should not be changed.
 Exposure to light should be avoided.
Formulation Likely physical instability Problems Effects
Oral Solutions 1. Loss of flavor
2. Change in taste
3. Presence of off flavors due to
interaction with plastic bottle
4. Loss of dye
5. Precipitation
6. Discolorization
Change in smell or feel or taste
Suspensions 1. Setting
2. Caking
3. Crystal Growth
1. Loss of drug content uniformity in different
doses from the bottle
2. Loss of Elegance
Emulsions 1. Creaming
2. Coalescence
1. Loss of drug content uniformity in different
doses from the bottle
2. Loss of Elegance
Tablet Change in
1. Disintegration time
2. Dissolution profile
3. Hardness
4. Appearance
Change in drug release
Capsule Change in:
1. Appearance
2. Dissolution
3. Strength
Change in drug release
Chemical Degradation:
It is the separation of chemical compound into elements or simpler compounds. Change in the chemical
nature of the drug is called as chemical degradation. Chemical degradation includes:
 Hydrolysis
 Oxidation
 Decarboxylation
 Isomerization
 Polymerization
Chapter 9. Drug Stability
239
Muhammad Muneeb
1. HYDROLYSIS:
 Hydrolysis means splitting of pharmaceutical product by the action of water.
 It is the main problem with the pharmaceutical systems such as emulsions, suspensions, solutions etc.
 This is carried out by water vapours from atmosphere.
 Hydrolysis is catalyzed by hydrogen ions or hydroxyl ions and also by acidic or basic species
commonly encountered as components of buffers.
 The main classes of drugs that undergo hydrolysis are the:
o Esters
o Amides
o Lactams
A. Esters Hydrolysis:
Upon hydrolysis of esters acyl-oxygen is cleaved and acid and alcohol is produced.
Examples of drugs undergo hydrolysis are:
 Procaine
 Tetracaine
 Atropine
 Physostigmine
 Aspirin
B. Amide Hydrolysis:
 Although amides are relatively stable than esters but these are susceptible to specific and general acid-
base hydrolysis.
 Amide hydrolysis usually involves the cleavage of the amide linkage to give an amide giving alcohol
and amine as hydrolyzed products.
Examples of drugs undergo amide hydrolysis are:
 Dibucaine
 Ergometrine
 Chloramphenicol
 Niacinamide
 Barbiturates
Chapter 9. Drug Stability
240
Muhammad Muneeb
C. Ring Hydrolysis:
 Compounds containing ring undergo hydrolysis to make hydrolyzed products.
 For example, β-lactam antibiotics such as penicillins which are cyclic amides or lactams undergo rapid
ring opening due to hydrolysis.
Drugs that undergo ring cleavage are:
 Nitrazepam
 Chlorodiazepoxide
 Cephalosporin
Protection against Hydrolysis:
Hydrolysis or solvolytic reactions may be retarded:
1. By packing drugs into controlled humidity containers
2. By incorporating a suitable desiccant in the pack
3. By addition of buffers in liquid dosage forms
4. By minimizing buffer concentration to the minimum required for maintaining pH
5. By altering dielectric constant of system by using non-aqueous solvents such as alcohol, glycerin and
propylene glycol
6. By adding complexing agents like caffeine to the drug solutions like procaine and benzocaine
7. By converting drugs into suspensions
8. By formulating drugs (like penicillin and its derivatives) in form of dry syrups, dry powders, injections
or dispersed tablets instead of a liquid dosage form (solutions or suspensions) etc.
9. By refrigerating the drugs
2. OXIDATION:
 Instabilities in a number of pharmaceutical preparations are due to oxidative degradation of the active
ingredients of these preparations when exposed to atmospheric oxygen.
 Removal of an electropositive atom, radical or electron, or the addition of an electronegative atom or
radical is called as oxidation.
 Oxidation is of two types:
o Auto-oxidation
o Photo-oxidation
A. Auto-Oxidation:
 It is the most common form of oxidative degradation that occurs in many pharmaceutical preparations
and involves a free radical chain process.
Chapter 9. Drug Stability
241
Muhammad Muneeb
 In an auto-oxidative degradation, only a small amount of oxygen is required to initiate the reaction and
thereafter oxygen concentration is relatively important.
 The free radicals produced during the initial reaction are highly reactive and further catalyze the
reaction to produce additional free radicals and causing a chain reaction.
 Heavy metals such as copper, iron, cobalt and nickel catalyze the oxidative degradation. Some solvents
like water, and heat and light influence this process.
 Drugs that undergo oxidative decomposition are:
o Ascorbic acid
o Morphine
o Epinephrine
o Heparin
o Paraldehyde
o Tetracycline
o Vitamin A
o Vitamin D
o Vitamin K
B. Photo-Oxidation / Photolysis:
 Exposure to light may produce oxidation-reduction, ring rearrangement or modification and
polymerization.
 The shorter the wave-length of light, the greater is the effect of light in initiating the chemical reaction
because of higher energy.
 The thermal (induced by light) reaction may continue even after the light source has been withdrawn.
𝐶𝑦𝑎𝑛𝑜𝑐𝑜𝑏𝑎𝑙𝑎𝑚𝑖𝑛𝑒
𝐿𝑖𝑔ℎ𝑡 𝐻+
↔
𝐷𝑎𝑟𝑘 𝐶𝑛−
𝐻𝑦𝑑𝑟𝑜𝑥𝑦𝑐𝑜𝑏𝑎𝑙𝑎𝑚𝑖𝑛 + 𝐶𝑁−
𝑂𝑥𝑖𝑑𝑎𝑡𝑖𝑜𝑛
→ 𝐵𝑖𝑜𝑙𝑜𝑔𝑖𝑐𝑎𝑙𝑙𝑦 𝐴𝑐𝑡𝑖𝑣𝑒 𝑃𝑟𝑜𝑑𝑢𝑐𝑡𝑠
 Pharmaceutical products undergo photolysis are:
o Ascorbic acid
o Riboflavin
o Cyanocobalamin folic acid
o Hydrocortisone
o Prednisolone
o Nifedipine
Protection against Oxidation:
Oxidative degradation in a number of drug preparations can be retarded by:
1. Including anti-oxidant in the preparation
a. Anti-Oxidants for aqueous System
Chapter 9. Drug Stability
242
Muhammad Muneeb
i. Sodium sulphite
ii. Sodium metabisulphite
iii. Ascorbic acid
iv. Sodium thiosulphate
b. Anti-Oxidants for Oily System
i. Tocopherol
ii. Ascorbyl palmitate
iii. Hydroquinone
iv. Propyl gallate
v. Butylated hydroxy anisole (BHA)
vi. Butylated hydroxy toluene (BHT)
2. By increasing effectiveness of anti-oxidants by:
a. Citric acid
b. Tartaric acid
3. By insuring pH
4. By replacement of air from the container by an inert gas such as nitrogen
5. By retarding hydrogenation of fats and oils
6. By protecting drugs from light
7. By using amber colored chambers
8. By storing the product in dark
9. By coating of tablets with polymer films containing UV absorbers
3. ISOMERIZATION:
 It is the process by which one molecule is transformed into another molecule which has exactly the
same atoms, but the atoms are rearranged e.g. A-B-C → B-A-C
 Conversion of an active drug into a less active or inactive isomer having same structural formula but
different Stereochemical configuration
 This is done to increase therapeutic effects of drugs or sometimes resulting in loss of therapeutic
activity.
Types of Isomerization:
 Optical Isomerization
 Geometrical Isomerization
A. Optical Isomerization:
 A change in the optical activity of a drug may result as a change in its biological activity.
 It is further divided into:
o Racemization: It involves the optically active form of a drug into its enantiomorph. E.g.
adrenaline solutions at low pH due to conversion of its therapeutically active levorotatory form
to the less active dextrorotatory form, epinephrine shows the same effect.
o Epimerization: It occurs with the compound having more than one asymmetric carbon atom
in the molecule. E.g. epimerization of tetracycline in acidic conditions to form less active epi-
tetracycline.
Chapter 9. Drug Stability
243
Muhammad Muneeb
B. Geometric Isomerization:
 Loss of activity due to the difference in potency exhibited by Cis and Trans isomers of some organic
compounds.
 For example, Active form of VITAMIN A molecule has all Trans configuration. In aqueous solution
as a component of multivitamin preparation, in addition to oxidation vitamin A Palmitate isomerizes
and form 6-mono cis and 2, 6 di-cis isomers, both have low potency.
4. POLYMERIZATION:
 Combination of two or more identical molecules to form a much larger and more complex molecule
is called as polymerization.
 E.g. Degradation of antiseptic formulations and aldehydes is due to polymerization. Formaldehyde
solution may result into formation of white deposit when stand in cold.
5. DECARBOXYLATION:
 Elimination of CO2 from a compound is called as Decarboxylation.
 Drug substances having a carboxylic acid group are sometimes susceptible to Decarboxylation.
Microbial Degradation:
 Contamination of a product may sometimes cause a lot of damage and sometimes may not be anything
at all. Thus it is dependent on the type of microbe and its level of toxicity it may produce.
 If parenteral or ophthalmic formulations are contaminated, it may cause serious harm.
 Pyrogens which are the metabolic products of bacterial growth are usually lipo polysaccharides and
they represent a particularly hazardous product released by gram negative bacteria. If administered
inadvertently to a patient, they may cause chills and fever.
Prevention of Microbial Degradation:
 Suitably designing the containers
 Usually using single dose containers
 Sticking to proper storage conditions
 Adding an antimicrobial substance as preservative.
Physical Factors Influencing Chemical Degradation:
Chapter 9. Drug Stability
244
Muhammad Muneeb
1. TEMPERATURE:
 Rate of chemical reaction increased by 2 to 3 folds for every 100
C rise in temperature.
 So while formulating a product at elevated temperature, storing a product at high temperature or
sterilizing a product by heating temperature effects should be in view.
 Thermolabile drugs while heating for sterilization can decompose, as dextrose injections,
sulfonamides.
 So as the temperature increases the number of effective collisions with sufficient energy to react
chemically increases and hence chemical degradation increases.
 In some cases, low temperature may increase chemical degradation e.g. Rate of polymerization of
formaldehyde increases at temperature below 15.
 Rate of decomposition of thermo labile drugs may be decreased by storing them in a cool place e.g.
Biological products i.e. insulin, oxytocin, vasopressin inj. and penicillin.
2. LIGHT (PHOTOLYSIS):
 Exposure of drug to light of particular wave length can result into:
o Oxidation reduction reactions
o Ring rearrangements
o Polymerization
 As far as photolysis is concerned there are two types of molecules on the basis of mechanism of
degradation which they undergo:
o Photosensitive/Photo labile molecule which absorb energy from light and undergo a chemical
reaction themselves and the degradation is photochemical.
o Photosensitizes molecules which absorb light but don’t themselves undergo a chemical
reaction directly, but pass on their energy to other molecules that undergo a reaction. Such
degradation is not a photochemical but a thermal chemical reaction.
 A photochemical reaction is independent of temperature and continues even after the illumination is
stopped.
Preventive Measures:
 Store the product in a clear glass container and then enclose in opaque rapper.
 Use light resistant containers e.g., ambered colour glass.
 Use stabilizer
 Use anti-oxident
3. RADIATION:
 Radiation, mostly gamma rays are used for sterilization of thermo labile compounds
 Following products are sterilized by using radiation may show degradation after irradiation
o Antibiotics ------- Streptomycin
o Alkaloids ---------- Atropine
o Steriods ----------- Progesteron
o Biological Products-------Insulin
 Decomposition is due ionization and formation of free radicals
 Drugs in solution form show more decomposition than pure solids on exposure to radiation
Chapter 9. Drug Stability
245
Muhammad Muneeb
4. MOISTURE:
 Moisture absorbed on to the surface of a solid drug increase the rate of decomposition
 Mostly this type of decomposition is due to hydrolysis e.g. Aspirin, Penicillin, and Streptomycin.
Preventive Measures:
 Such drugs should be stored in dry conditions
 Formulation process should be carried out in controlled humidity conditions e.g. formulation of sodium
ampicillin.
 Excipients chose must have low moisture contents so that transfer of moisture from excipients to drug
is less.
_______________________________________________________________________________________
Past Papers
246
Muhammad Muneeb
PHARMACEUTICS-I (PHYSICAL PHARMACY)
PAST PAPERS
(2015 – 2020)
_______________________________________________________________________________________
Chapter 1. PHARMACY ORIENTATION:
 Write a note on retail pharmacy.
 Write a note on hospital pharmacy.
 Write a note on industrial pharmacy.
 Write a note on the role of pharmacist in community pharmacy.
 Give brief introduction of pharmacy profession.
 Shortly discuss different careers available for a registered pharmacist in Pakistan.
Chapter 2. HISTORY AND LITERATURE OF PHARMACY:
 Define pharmacy profession. Describe the role of Muslim scientists in the field of pharmacy.
 Define physical pharmacy. Describe the role of Muslim scientists in the field of pharmacy.
 Define pharmaceutics. Describe various Era in the history and development of Pharmacy.
 Describe the antique records in the history of pharmacy.
 Name some official and non-official compendia in the field of pharmacy. Also give content of official
compendia.
 What is Bowl of Hygeia. Describe the role of Muslim scientists in the field of pharmacy.
Chapter 3. PHYSICO-CHEMICAL PRINCIPLES:
 What are the colligative properties of the solutions? Explain it with reference to depression in freezing
point and osmotic pressure?
 Discuss a colligative property to prepare an isotonic solution for non-electrolyte as well as electrolytes.
 What are the colligative properties of the solutions? Explain it with reference to osmolarity and osmotic
pressure also discuss their applications in pharmacy?
 Explain the term molarity and normality.
 Differentiate between molarity and molality.
 Define Raoult’s law for ideal and non-ideal solutions. What are applications of solution in pharmacy?
 What are solutions? Describe properties of an ideal solution.
 Write a note on percentage expression and parts.
 Discuss in detail the particle size and size distribution and their methods of determination of powders.
 Define Micromeritics. Discuss in detail different methods to determine particle size.
 Define Micromeritics. Discuss its importance in pharmacy.
 Define Micromeritics. Explain various methods of size reduction.
 Describe sedimentation with diagram and equation as method of particle size determination.
 What is buffer action? Explain Henderson-Hasselbalch equation of acidic buffers.
 Write a note on buffer.
Past Papers
247
Muhammad Muneeb
 What is pH curve? Explain titration curves for strong acid VS strong base and weak acid VS weak
base.
 Explain briefly the surface active agents. What are their applications in pharmacy?
 Describe HLB briefly and discuss Griffin HLB calculations of fatty acid esters.
 Write a note on micellar solubilization.
 Define micelles. Describe shape of micelles based on the type of surfactant used.
 Write a note on solubilization and micelle formation.
 Write a note on types of adsorption isotherms.
 Define solubility. Differentiate between kinetic and equilibrium solubility. How will you determine
the solubility of a solid in liquid solvent?
 Differentiate between solubility and miscibility.
 What are solubility curves? Describe various factors affecting the solubility of a compound.
 Explain surface tension and adsorption.
 Define hydrolysis. Explain its various types with relevant examples.
Chapter 4. DISPERSIONS:
 What is Stoke’s equation, explain different factors affecting the rate of sedimentation of particles of
internal phase in a disperse system?
 Define colloids. Enlist various types of colloidal dispersion citing example.
 Explain preparation and stability of colloids.
 What are different methods of preparation of lyophobic colloids.
 Explain kinetic and optical properties of colloids.
 Differentiate different types of colloids.
 Explain purification and applications of colloids.
 Define colloids. Differentiate between lyophilic and lyophobic colloids.
 Define emulsion and describe difference tests for the identification of an emulsion system.
 Define emulsion. Give various types of emulsion. What are applications of emulsions in pharmacy?
 Define emulsion. Give various types of emulsion. How will you determine the emulsion type?
 Explain different theories of emulsification.
 Describe phase inversion and method of preparation of emulsions.
 Describe DVLO theory and zeta potential measurement of electrical double layer.
 What is creaming and caking?
 Define suspensions and emulsions. Enlist types of emulsions.
 Define suspension and differentiate between flocculated and non-flocculated suspensions.
 What are the ideal properties of a suspension? Explain instability in suspension.
 Define suspension and explain flocculated systems in detail.
Chapter 5. RHEOLOGY:
 What is rheology? How the rheology is important in pharmacy?
 Explain the Newton’s law of flow with the help of diagram and equation.
 Discuss in detail the rheology of non-Newtonian systems.
 Define the term Thixotropy. Explain its importance in non-Newtonian systems.
 Describe dilatant flow with rheograms and equations.
Past Papers
248
Muhammad Muneeb
 Describe Poiseuille law for the calculation of viscosity of capillary viscometer.
 Define rheology. Give its examples.
Chapter 6. PHYSICOCHEMICAL PROCESSES:
 Differentiate between crystallization and precipitation. Write down common steps of crystallization
process.
 What are methods of crystallization and discuss applications of crystallization in pharmacy.
 What are different types of crystals based on their types.
 Define crystalline and amorphous system. What is crystalline phase; explain with reference to lattice
parameter and crystal symmetry.
 What are crystal systems? Describe the crystals on the basis of crystal habits.
 Define simple distillation. Explain its basic principle and theory with its applications in pharmacy.
 Differentiate between steam distillation and distillation under reduced pressure.
 Explain the principle and applications of vacuum distillation.
 Describe the principle, process and applications of fractional distillation.
 Describe the principle, process and applications of steam distillation.
 Define and discuss basic principle of distillation.
 Write a note on simple and fractional distillation.
 Write a note on types of distillation.
 Describe distillation of ternary azeotropic mixtures with examples.
 Describe fractional distillation using boiling point diagram of two miscible liquids.
 Write a note on deliquescence and efflorescence.
 Write a note on, (a) desiccation, (b) sublimation, (c) Levigation.
 Write a note on trituration and Levigation.
 Differentiate between efflorescence and deliquescence.
 Explain lyophilization. What are advantages and disadvantages of lyophilization?
 Write a note on triple point and lyophilization.
 Write a note on desiccation and drying.
 Define sublimation. Briefly explain the process by citing phase diagram.
 Write short notes on any four of the following, (a) precipitation, (b) efflorescence, (c) desiccation, (d)
lyophilization, (e) crystallization.
 Describe exsiccation of CuSO4.5H2O.
Chapter 7. EXTRACTION PROCESSES:
 Define extraction. Name its various types. Discuss the principle of continuous extraction.
 Why extraction of vegetable drugs is important? Discuss the principal of percolation process.
 Write a short note on extraction processes.
 Write a note on working and apparatus of soxhlet apparatus.
 Differentiate between digestion, decoction and infusion.
Chapter 8. RATE AND ORDER OF REACTIONS:
 Describe Arrhenius theory of temperature dependent rate constant.
 Describe half-life method for the determination of order of reaction.
Past Papers
249
Muhammad Muneeb
 Calculate half-life and shelf life at 250
Cfor paracetamol solution having rate constant of 4.5×10-6
sec-1
.
Chapter 9. KINETIC PRINCIPLES AND STABILITY TESTING:
 Define and classify the drug stability. Discuss in detail physical degradation and its preventive
measures.
 Define the expiry date. Discuss various types of chemical degradation along with its preventive
measures.
 Define and classify drug stability. Write its importance in pharmacy.
 Write a short note on drug stability.
 Discuss the factors affecting on drug stability and explain each reason of drug stability with examples.
 Describe oxidative degradation with examples and agents used to retard such degradation.
_______________________________________________________________________________________
250
Muhammad Muneeb
References
_______________________________________________________________________________________
 Lecture Notes
o Dr. Atif Raza
o Dr. Amjad Hussain
o Dr. Misbah Sultana
o Dr. Nasir Abbas
o Dr. Fatima Rasool
 Books
o Martin’s physical pharmacy and pharmaceutical sciences
o Remington’s pharmaceutics
o Physicochemical Principles of Pharmacy by Alexander T. Florence; David Attwood
o Physical pharmacy by Agarwal Khanna
o Applied Physical Pharmacy by Mansoor Amiji
Good Luck! 😊

Pharmaceutics I (Physical Pharmacy) complete notes by Muhammad Muneeb

  • 1.
    0 Muhammad Muneeb Muhammad Muneeb PunjabUniversity College of Pharmacy, Lahore, Pakistan (Session 2016-2021) PHARMACEUTICS-I (PHYSICAL PHARMACY) Doctor of Pharmacy 1st Professional
  • 2.
    1 Muhammad Muneeb Table ofContents Ch. No. Chapter Page No. 01 Pharmacy Orientation 03 02 History and Literature of Pharmacy 20 03 Physicochemical Principles 38 A. Solutions B. Solubility C. Adsorption D. Ionization E. Hydrolysis F. Micromeritics 04 Dispersions 104 A. Colloids B. Emulsions C. Suspensions 05 Rheology 146 06 Physicochemical Processes 167 A. Precipitation B. Crystallization C. Distillation D. Miscellaneous Processes 07 Extraction Processes 215 08 Rate and Order of Reactions 229 09 Kinetic Principles and Stability Testing 235 Past Papers 246 References 250
  • 3.
    2 Muhammad Muneeb Introduction tothe Notes The purpose of these notes is to compile the syllabus of Pharmaceutics – I (Physical Pharmacy) in one place. The handouts correspond to the lecture references of university professors and books. In case of any suggestion, the readers are suggested to contact at mmuneeb558@gmail.com. These notes are meant for only understanding of the concept and the preparation of exams and not for uploading on any personal or other webpage or media. Thankyou! Good Luck for exams. Muhammad Muneeb Pharm. D (Session 2016-2021) University College of Pharmacy, University of the Punjab, Lahore, Pakistan.
  • 4.
    Chapter 1. PharmacyOrientation 3 Muhammad Muneeb Unit 1. PHARMACY ORIENTATION Outline: Introduction and orientation to the Professional of Pharmacy in relation to:  Hospital Pharmacy  Retail Pharmacy  Industrial Pharmacy  Forensic Pharmacy  Pharmaceutical Education and research etc. _______________________________________________________________________________________ PHARMACY – Introduction: The word “Pharmacy” is derived from the Greek word “Pharmakon” means medicine or drug. Pharmacy is the science and technique of preparing, dispensing, and reviewing drugs and providing additional clinical services. It is a health profession that links health sciences with pharmaceutical sciences and aims to ensure the safe, effective, and affordable use of drugs. The professional practice is becoming more clinically oriented as most of the drugs are now manufactured by pharmaceutical industries. Definition:  Pharmacy can be defined as the knowledge of identification, selection, pharmaceutical action, preservation, combination, analysis and standardization of drugs and medicines.  Pharmacy is the art and science of preparing, dispensing and proper utilization of drugs and medicines.  Pharmacy is the clinical health science that links medical sciences with chemistry and it is charged with the discovery, production, disposal, safe and effective use, and control of medications and drugs. Drug: A substance intended for the use in diagnosis, cure, mitigation, treatment or prevention of disease. (FDA) The material may be:  Natural o Plant o Animal o Mineral  Synthetic (aspirin)  Semi-synthetic (ampicillins) Scope: 1. Interpretation of prescription orders
  • 5.
    Chapter 1. PharmacyOrientation 4 Muhammad Muneeb 2. Compounding 3. Labeling 4. Dispensing of drugs and devices 5. Drug product selection and DURs 6. Patient monitoring and interventions 7. Provision of information of medicines and devices DIFFERENCE BETWEEN DRUG AND MEDICINE: Drug Medicine Definition Substances which act on the body and are used for prevention, diagnosis and treatment Substances that have definite form and therapeutic use for treatment Potency APIs / active potent compound Palatable form of drug Amount Do not have definite form or dose Has definite form and dose Compare All drugs are not medicines All medicines are drugs Dosage form No appropriate dosage form / vehicle Have appropriate dosage form Effects May have positive / negative effects Usually have positive effects Connotations Associated with negative connotations Associated with positive connotations Source Natural, synthetic, semi-synthetic API + excipient Example PCM Panadol (PCM 500 mg) Naming of a Drug: Description Example Chemical Name Indicate chemical structure of drug N-acetyl-para-aminophenol Generic Name Given to compound during early investigation Paracetamol Official Name Given to drug in official monograph Paracetamol (B.P. 1998), Acetaminophen (USP XXII) Brand Name Name of drug in market Panadol (GSK), Paramol (Misr) From Drug Substance to Pharmaceutical Preparation:  Active drug substance (active pharmaceutical ingredient - API)  Excipients (inactive pharmaceutical ingredients) o Technological, biopharmaceutical and / or stability reasons o Diluents / fillers, binders, lubricants, disintegrant, coatings, preservatives and stabilizers, colorants and flavorings o Should always be stated in SPC (important in the case of allergies)  Pharmaceutical dosage form: o Determines the physical form of the final pharmaceutical preparation o Is a drug delivery system which is formed by technological processing (drug formulation) o Must reflect therapeutic intentions, route of administrations, dosing etc.  Pharmaceutical Preparation (PP)
  • 6.
    Chapter 1. PharmacyOrientation 5 Muhammad Muneeb o Particular pharmaceutical product containing active and inactive pharmaceutical ingredients formulated into the particular dosage form. o Packed and labelled appropriately o Two major types of PP according the origin:  Manufactured in large scales by pharmaceutical industry (original and generic preparations)  Compounded individually in compounding pharmacies Pharmacist: A Pharmacist holds a Graduation in Doctor of Pharmacy (Pharm. D). Pharmacist is a person who is Expert in medicines and a sole custodian of Medicines, right from manufacturing, testing, Clinical administration & dispensing it safely to the patients. A Pharmacist cherish roles of different kinds, from working in clinical pharmacy with direct interaction with patients alongside other medical staff to serving in community pharmacy, he supervises Manufacturing units or Laboratories. A Drug expert aka Pharmacist can review prescriptions and can suggest necessary dosage for the patients. In some developed countries, only a pharmacist is at liberty to write prescriptions. Right man for the right job, obviously. Pharmacist might persue specialization in almost every major disease management, like Cardiac Pharmacist, Oncology Pharmacist, Pediatric, Ambulatory Care Pharmacist, Neuro Pharmacist, Pain management, Diabetes, Hypertension or simply can work as a hospital Pharmacist to keep check on smooth flow of Right medicines in Hospital. Pharmacist provides counselling about Drug -Drug interactions, Drug-Food interactions, Drug-Body interactions, he can work best to reduce possible side effects of medicines. PHARMACIST - IMPORTANT PILLAR OF HEALTHCARE: One may ask why presence of Qualified Pharmacist is so important? According to WHO & research concluded by John Hopkins university, there are recorded average 2,50,000 Deaths only in USA annually due to medication errors or due to misuse of Medicines. And God knows how many are sacrificing their lives in developing countries like Pakistan due to Medication errors. As I said earlier, Pharmacist is a sole custodian of Medicines and only he can overcome these errors with his expertise. The role of a pharmacist in health care system must be taken into consideration and implemented strongly. At the end of the day we all in healthcare sector works for the betterment of our patients. Pharmacy Education: There are two types of courses studied in pharmacy. The courses include: 1. Pre-requisite courses – Courses other than professional courses (Important for background knowledge for professional pharmacy courses) I. Physical sciences II. Biological sciences III. Mathematics, statistics, computer sciences etc. 2. Professional courses I. Pharmaceutics i. Physical Pharmacy ii. Dosage Form Science iii. Pharmaceutical Microbiology and Immunology
  • 7.
    Chapter 1. PharmacyOrientation 6 Muhammad Muneeb iv. Industrial Pharmacy v. Biopharmaceutics and Pharmacokinetics vi. Pharmaceutical Quality Control vii. Pharmaceutical Technology II. Pharmaceutical Chemistry i. Organic Chemistry ii. Biochemistry iii. Analytical Chemistry iv. Medicinal Chemistry III. Pharmacognosy IV. Pharmacology and Toxicology V. Microbiology and Public Health VI. Pharmacy Practice i. Mathematics and Biostatistics ii. Community, Social and Administrative Pharmacy iii. Dispensing Pharmacy iv. Computer and Its Applications in Pharmacy v. Hospital Pharmacy vi. Clinical Pharmacy vii. Forensic Pharmacy viii. Pharmaceutical Marketing and Management VII. Physiology, Anatomy and Histology, Pathology TYPES OF EDUCATION NECESSARY FOR A PHARMACIST:  Basic sciences Pharmacy Profession Patient Services Direct Activities Hospital Pharmcy Clinical Pharmacy community Pharmacy Biochemical Analysis Microbiological Analysis Immunological Analysis Indirect Activities Drug Promotion Family Planning National Screening Prevention Measures Drug Services Safety Analysis Formulation Development IPQC, Production, Distribution
  • 8.
    Chapter 1. PharmacyOrientation 7 Muhammad Muneeb  Clinical studies  Technical studies  Drug information and scientific knowledge  Economic knowledge  Psychological and sociological understanding AIMS OF MODERN PHARMACEUTICAL EDUCATION:  Provide scientific background  Provide professional skills and knowledge  Provide business training  Provide broad general education Code of Ethics:  Pharmacists are health professional who assist individuals in making the best use of medications  This code states the principles fundamental roles and responsibilities of pharmacists  The principles are: o Pharmacists respect relationship between the patient and pharmacist and this occur by:  Pharmacist has to maintain knowledge  Pharmacist asks for the consultation of colleagues o Pharmacist promotes the good of every patient in a confidential manner by considering:  Needs stated by the patient  Needs defined by the health science o Pharmacist respect autonomy and dignity of each patient  Autonomy: A pharmacist promotes the rights of self-determination by encouraging patient to participate in decisions about their health  Dignity: The pharmacist respects personal and cultural differences among patients. Some Definitions:  Pharmaceutics is the discipline of pharmacy that deals with all facets of the process of turning a new chemical entity (NCE) into a safe and effective medication. Pharmaceutics is the science of dosage form design. Pharmaceutics deals with the formulation of a pure drug substance into a dosage form.  Pharmaceutical formulation, in pharmaceutics, is the process in which different chemical substances, including the active drug, are combined to produce a final medicinal product. The word formulation is often used in a way that includes dosage form.  Pharmaceutical manufacturing is the process of industrial-scale synthesis of pharmaceutical drugs as part of the pharmaceutical industry. The process of drug manufacturing can be broken down into a series of unit operations, such as milling, granulation, coating, tablet pressing, and others.  Physical Pharmacy: This subject deals with application of physical chemical principles to problems in the pharmaceutical sciences. Physical pharmacy is a fundamental course that leads to proper understanding of subsequent courses in Pharmaceutics and pharmaceutical technology. o ‘Physicochemical principles of pharmacy’ (physical pharmacy or pharmaceutics) comprises the study of drug formulations and their design, manufacture, and delivery to the body. The definition now extends to the targeting of drugs and delivery systems to specific sites in the body, the fabrication of nanoparticles and the design of delivery devices.
  • 9.
    Chapter 1. PharmacyOrientation 8 Muhammad Muneeb o Physical pharmacy integrates knowledge of mathematics, physics and chemistry and applies them to the pharmaceutical dosage form development. o It focuses on the theories behind the phenomena needed for dosage form design. o Enable the pharmacist to make rational decisions on scientific basis concerning the art and technology of solutions, suspensions, emulsions, etc. o Physical pharmacy provides the basis for understanding the chemical and physical phenomena that govern the in vivo and in vitro actions of pharmaceutical products. Dosage Form: Dosage forms are the means by which drug molecules are delivered into site of action within the body. The need for dosage forms: 1. Accurate dose 2. Protection e.g. coated tablets, sealed ampules 3. Protection from gastric juice 4. Masking taste and odor 5. Placement of drugs within body tissues 6. Sustained release medication 7. Controlled release medication 8. Optimal drug action 9. Insertion of drugs into body cavities (rectal, vaginal) 10. Use of desired vehicle for insoluble drugs BRANCHES OF PHARMACY:
  • 10.
    Chapter 1. PharmacyOrientation 9 Muhammad Muneeb  Industrial Pharmacy  Drug Wholesales  Journalism  Marketing  Nuclear Pharmacy  Medical Communications  Retail Pharmacy  Drug Sales and Marketing  Hospital Pharmacy  Clinical Pharmacy  Forensic Pharmacy  Government Services  Community Pharmacy  Other Services 1. INDUSTRIAL PHARMACY: Introduction:  The pharmaceutical industry is responsible for the production of drugs, ensuring that they are safe, effective and of high quality.  Pharmacist applies all the scientific knowledge & skill during production, storage and distribution operations.  Services provided by the pharmacist in different departments of the industry are research, medical information & monitoring products safety, regularity affairs, medical script writing, manufacturing & quality control, supplies, management and many other departments. Definition:  The branch of pharmacy, which deals with formulation, manufacturers, analysis, storage and control of pharmaceutical dosage forms, is called industrial pharmacy.  In brief industrial pharmacy can be defined as, “It is the processing of drugs from the source up-to the finished product and to provide quality assure product to the professionals as well as the consumer”. Operations Include:
  • 11.
    Chapter 1. PharmacyOrientation 10 Muhammad Muneeb It includes basic unit operation like mixing, milling, drying, lyophilization. Filtration & compression, which leads to the preparation of liquid, solid, semi-solid dosage form and also injectable. Industrial Pharmacist: Pharmacist who is related to industry is called industrial pharmacist. He has various jobs in industry, some are executive i.e.: 1. Production Incharge 2. Factory Incharge 3. Production Manager 4. Sales Manager And some junior executive is also working there i.e. 1. Production Pharmacist 2. Analyst (QC) 3. Assistant Pharmacist 4. Documentary Pharmacist 5. Research Pharmacist Research & Development (R & D):  Formulation  Reformulation  Drug-excipient Compatibility  Testing  Determine proper route of administration of drug  Product’s stability including the proper packaging material  Innovations Production:  Conversion of raw materials to finished products  Supervises the operation, GMP must be observed, involved in planning production. 𝑅𝑎𝑤 𝑀𝑎𝑡𝑒𝑟𝑖𝑎𝑙 → 𝑃𝑟𝑜𝑑𝑢𝑐𝑡𝑖𝑜𝑛 𝑃𝑟𝑜𝑐𝑒𝑑𝑢𝑟𝑒 → 𝐹𝑖𝑛𝑖𝑠ℎ𝑒𝑑 𝑃𝑟𝑜𝑑𝑢𝑐𝑡𝑠  With manufacturing facilities, engaged in production operations Quality Control:  Qualitative / quantitative checks of RM, intermediate and finished products Sale Storage / Distribution Labelling Packing / Repacking Filling Finishing Compounding Propagation & Processing
  • 12.
    Chapter 1. PharmacyOrientation 11 Muhammad Muneeb  Tests are performed on products  Assay – determine the % purity of active ingredient 2. HOSPITAL PHARMACY: Introduction: The function of a hospital is to provide health care to the patient. In its organizational structure, it consists of many departments which are coordinated in their work and their common task is to provide health care facilities to the patient. In these departments, one is Hospital Pharmacy. Hospital pharmacy can be defined in two ways on the basis of its services i.e. Departmental Services and Professional Services. A department or service in hospital under the direction of competent pharmacist. Pharmacists work with physicians, nurses, patient and other hospital personnel. From hospital pharmacy all medications are supplied to nursing units. Pharmacist is an important part of the health care team. Professional Services: 1. Participation in educational programs for patient, nurse & medical staff 2. Poison control center activities 3. Drug information centre 4. Preparation of patient drug use profile 5. Parenteral nutrition program 6. Communicating new drug information to hospital personnel 7. Dispensing and research of radiopharmaceuticals Activities / Responsibilities:  Compounding, provides stock medication, performs moderate scale manufacturing (dermatological, TPN)  Responsibility to inspect the pharmaceutical supply  The filling and labeling of all drug containers used in various wards  Responsible for Drug control system in hospital  Responsible for the professional care of the patient regarding drug use  Manager of hospital pharmacy  Part of PTC, managing Drug Information Service  Monitoring of drug therapy Knowledge Required:  Hospital pharmacist must be knowledgeable on: o Drugs and their action o Pharmaceutical Manufacturing Program o Control procedure regarding  QC (prep of TPN / admixtures)  Drug distribution throughout the hospital o Research activities both medical and pharmaceutical o Teaching Techniques (in-service training programs)
  • 13.
    Chapter 1. PharmacyOrientation 12 Muhammad Muneeb o Pharmacy administration in hospital ROUTINE SERVICES SPECIAL SERVICES Stocking of drugs and allied substances Participation in education, poison control activity, drug information center, research activity Dispensing to in- and out- Patients on prescription Preparation of parenteral nutrition and radiopharmaceuticals Supply of the drugs to nursing station Dispensing of parenteral nutrition and radiopharmaceuticals Bulk manufacturing / compounding Preparation of patient drug use profiles 3. CLINICAL PHARMACY:  Recent innovation in Pharmacy Practice (1970)  Patient – oriented profession Definition: The branch of pharmacy which deals with patient care with particular emphasis (special practice) on drug therapy is called clinical pharmacy. It is also called “Patient-oriented Pharmacy”, so it includes not only the dispensing or administration of required medications but also advice the patient on the proper use of all medications. Clinical pharmacy can also be practiced in community as well as in hospital. Activities:  Makes rounds with doctor, maintains patient histories, monitors drug therapy, advises patient on drug use, side effects, and drug interactions, ADR’s  Direct patient involvement (conducting admissions, discharge, interviews)  Drug Utilization Reviews, education to improve drug’s use  US: Doctors write Rx; pharmacists prescribe the medicine  Important that clinical Pharmacist is familiar with different lab tests and interpretation of results  Associated with decreased hospital mortality rates, decreased drug cost, decreased length of stay of patient  Pharmaceutical care – optimal use of medications to achieve specific outcomes that improve a patient’s quality of life  Counseling and Guidance to Patient  Drug Monitoring Evaluation Patient-Oriented Pharmacist Considers:  Knowledge of Drugs  Drug Information skills  Communication Skills Previously: 𝑃ℎ𝑦𝑠𝑖𝑐𝑖𝑎𝑛 𝑅𝑥 → 𝑃𝑎𝑡𝑖𝑒𝑛𝑡 ⟷ 𝑃ℎ𝑎𝑟𝑚𝑎𝑐𝑖𝑠𝑡
  • 14.
    Chapter 1. PharmacyOrientation 13 Muhammad Muneeb Now: 𝑃ℎ𝑦𝑠𝑖𝑐𝑖𝑎𝑛 𝐼𝑛𝑡𝑒𝑟𝑎𝑐𝑡𝑖𝑜𝑛 ↔ 𝑅𝑥 𝑃ℎ𝑎𝑟𝑚𝑎𝑐𝑖𝑠𝑡 (𝐷𝑈𝑅) 𝐷𝑖𝑠𝑝𝑒𝑛𝑠𝑖𝑛𝑔 → 𝑃𝑎𝑡𝑖𝑒𝑛𝑡 Barriers to Clinical Pharmacy Practice:  Lack of interest of top management  Higher costs  Other professionals are unhappy  Lack of incentive for pharmacist  Lack of training / specializing areas to develop expertise 4. DRUG SALES AND MARKETING: Marketing:  Product managers  Set policies / targets for the sales team Sales:  Contact prescribers regarding company’s products  Explain products in detail Drug Establishment:  Manufactures, imports, repacks, distributes pharmaceuticals Drug Trader:  Registered owner of drug product  Procures the RM and packaging components  Provides production monograph, QC standard, procedures
  • 15.
    Chapter 1. PharmacyOrientation 14 Muhammad Muneeb  Subcontracts a manufacturing lab Drug Distributor / Importer:  Imports RM, active ingredients, finished product for its own use or for wholesale distribution Drug Distributor / Exporter:  Exports RM, active ingredients, finished product to other countries Drug Distributor / Wholesale:  Procures RM, active ingredients, finished product from local establishment for local distribution on whole sale basis  Important part of distributive scheme, provides mechanism to obtain various products manufactured by different labs from single agency  Less hazards in stock handling, record keeping and bill paying for the retailer 5. PHARMACY EDUCATION:  Most important segment of pharmacy  Represented by colleges of pharmacy  Responsible for the nature and quality of pharmaceutical education  Knowledge of different physical, biological sciences qualifies a pharmacist to teach  Masteral / Doctoral degree Research & Development:  Discovery / isolation of new drugs for treating diseases  The development of better drugs through chemical modification  Examples: o Amoxicillin → Co-amoxiclav o Diuretics → K sparing diuretics 6. PHARMACEUTICAL JOURNALISM:  Gifted with writing and editing talents  Magazines, brochures, newsletter about different drugs for marketing purposes 7. ORGANIZATION MANAGEMENT:  Pharmacist can work as manager in different departments of Industry, Hospital, Pharmacy and many other Govt. or Private institutions.  Pharmacists are working as officers of different recognized associations  Pharmacist can organize different workshops and seminars to keep pharmacists abreast with latest information in drug treatment and technology 8. GOVERNMENT SERVICES: Drug Manufacturers Wholesaler Retailer
  • 16.
    Chapter 1. PharmacyOrientation 15 Muhammad Muneeb  Officer in Army, Navy, Air force  Hospital pharmacist  Ministry of Health (licensing, inspection, registration)  Drug Regulatory Authority and drug registration  Drug testing laboratory (analyst, microbiologist)  Consultant (mental health, family planning, pollution, poisons, self-medication, immunization) 9. FORENSIC PHARMACY: Definition: The branch of pharmacy that is responsible to frame rules & regulations about formulation, manufacturing, sale and distribution of drugs is said to be as forensic pharmacy. OR It is the branch of pharmacy that concerns with the laws and acts related to profession of pharmacy. Explanation: All these rules & regulations are provided in a book called “Manual of Drug Laws”. The profession of pharmacy is controlled & protected by the “Pharmacy Act 1967”. Following authorities are responsible to regulate the regulations of drug act: 1. Divisional Drug Inspector 2. Drug Inspector Ministry of Health is also responsible to issue license for launching of pharmaceutical industry & process of manufacturing. Drug controller, Deputy Drug Controller & assistant drug controller are the responsible authorities in Ministry of Health. There is a Quality Control Court (QCC) work in coordination with Ministry of Health and is responsible to maintain the quality of drugs. There is a Drug Court in each province of the country and is responsible to deal matter related to drug. Types of Pharmacy Council:  Central Pharmacy Council – It regulates the pharmacy education courses. The central council arranges the committees e.g. pharmacopoeia committee, education committee.  Provincial Pharmacy Council – Its function is to register the pharmacists. Other Perspective: It is related to the pharmacist’s skills used to help the medico legal problems such as DNA test, Semen test or legal emergencies. 10. NUCLEAR PHARMACY:  Nuclear pharmacy focuses on preparing radioactive isotopes for diagnostic tests & for treating certain diseases.
  • 17.
    Chapter 1. PharmacyOrientation 16 Muhammad Muneeb  Nuclear pharmacists undergo additional training specifically to handle the radioactive isotopes, unlike in community & hospital pharmacies. 11. MEDICAL COMMUNICATION:  Newest / rapidly developing field  Computer handling of medical data 12. COMMUNITY / RETAIL PHARMACY: Introduction: Retail pharmacy is the branch of pharmacy which deals with the sales and distribution of medicines and other products to the customer according to the prescription of physician, dentist and veteran. It is the most familiar branch of pharmacy, its main task is the distribution, dispensing of medicines and related products. Retail pharmacy can be sub-divided into two groups. 1. Community pharmacy 2. Whole sale pharmacy Other Names: Community pharmacy was also named as:  Apothecary  Druggist  Chemist  Pharmaceutical Chemist  Retail Pharmacist  Community Pharmacist (1993) Definition:  Community pharmacy symbolizes the adoption of a new degree of professionalism by street pharmacist.  This will arouse community expectations which demand care, commitment and excellence.  It is not just a title acquired by passing the exam; it demands dedication and highest degree of professionalism. Introduction:  Community pharmacist is the professional who would be in direct access to the public and whose duties are widely sought after by the public and patients  A community / retail pharmacist works according to legal and ethical guidelines to ensure the correct and safe supply of medical products to the general public  As we are the person who will be in direct contact with the public we have to play an important role in decreasing the mortality and morbidity in the public. Type of Pharmacy:  CHAIN - E.g. GUARDIAN, WATSON, CLINIX, FAZAL DIN & SONS
  • 18.
    Chapter 1. PharmacyOrientation 17 Muhammad Muneeb  INDEPENDENT - E.g. Green Pharmacy, Decent Pharmacy etc.  NATURE OF BUSINESS o RETAIL  Sell direct to end user / customer  Pharmacy license from Ministry of Health o WHOLESALE  Supply to other retailers, General Practitioners (Clinics), Hospitals etc.  Wholesale License from Ministry of Health Layout of the Community Pharmacy:  Prescription Counter & Consulting Area o The prescription processing area → Pharmacist use to prepare prescriptions o Consultation area → Strictly for the pharmacist’s use  Front Area – e.g. OTC Area o OTC drugs like Panadol, Zentel. o Cosmetics, toiletries, rehabilitation products & other merchandises o Vitamins and supplements  Controlled Substances o Kept in a locked storage cabinet  Under supervision of pharmacist o Psychotropic Drugs  Require prescriptions and must record  Repeated checking of the products, labeling, packaging o Cough Mixture  Contain Dextromethorphan  Store o To keep the excess stocks o General store or Drug store (must lock) o Dry, cool place  Refrigeration o A refrigerator to store drugs o Required to be kept at temp between 2 & 8o C o Exclusively for medications o No food or beverages  Computer systems – Point-Of-Sale, Inventory, Accounting etc. o Familiar with computer hardware & software o Hardware - Monitor, CPU, keyboard, mouse, scanner, modem, printer o Software - Point of Sales, Accounting, Inventory e.g. UNIX o Most chain pharmacies are linked together - Facilitate the sharing of information between pharmacies  Equipment-display  Purchasing & Inventory Control o Must complete a purchase order (PO)  Product name  Amount & price
  • 19.
    Chapter 1. PharmacyOrientation 18 Muhammad Muneeb o Order transmitted directly to the manufacturer o During receiving o Carefully check the product against the PO o Damaged products must be reported without delay & returned to the manufacturers o Must check all products for expiration dates Community Pharmacist Must Show:  Good communication skills o Be able to listen carefully to what patients says Be able to explain complex and sometimes sensitive information to the general public & other healthcare professionals  Concern for the welfare of the general public  An understanding of business principles  A professional and confident manner  The ability to inspire the trust of others  A willingness to take on a high level of responsibility Roles of Community Pharmacist:  RETAILER - Makes goods and services available  MANAGER - Uses limited resources efficiently and effectively  PROFESSIONAL o Provide valued services through trust, commitment and competence o Pharmacies are required to have a pharmacist on duty all the time o Most pharmacies have experienced support staff who work under the personal supervision of the pharmacist o Therefore, community pharmacists, by far the largest segment of the profession, require scientific, administrative, supervisory, counseling and pharmaceutical skills of a very high standard  Dispensing prescription medicines to the public on a prescription or without prescription– check dosage, ensure the medicine are correct and safe and label it  Liaising with doctors about prescriptions  Supervising the preparation of any medicines (not all are supplied as ready made-up by the manufacturer)  Keeping a register of controlled drugs for legal and stock control purposes selling over-the-counter medicines  Counseling and advising the public on the treatment of minor ailments and any adverse side-effects of medicines or potential interactions with other medicines / treatments o Providing specialist health check services, such as monitoring blood pressure and cholesterol levels, diabetes screening and pregnancy testing o Preparing dosette and cassette boxes, usually or the elderly but also for those with memory/ learning difficulties, where tablets are placed in compartments for specified days of the week o Overseeing the ordering and safe storage of medical products and, in some cases, arranging the delivery of prescription medicines to patients o Keeping up-to-date with current pharmacy practice, new drugs and their uses o Maintaining computerized records o Managing, supervising and training pharmacy support staff
  • 20.
    Chapter 1. PharmacyOrientation 19 Muhammad Muneeb o Budgeting and financial management o Promoting sales and developing the business o Selling healthcare and other products, such as toiletries, cosmetics and rehabilitations product e.g. wheel chair. 13. OTHER IMPORTANT ROLES  Rationale use of drugs  Nutritional counseling  Alcohol, drug abuse and smoking cessation  Individualization of drug therapy  Family planning  Poisoning prevention  Control of communicable diseases  Pregnancy and infant care  Sexually transmitted diseases  Health promotion  Environmental hazards _______________________________________________________________________________________
  • 21.
    Chapter 2. Historyand Literature of Pharmacy 20 Muhammad Muneeb Unit 2. HISTORY AND LITERATURE OF PHARMACY Outline:  A survey of the history of pharmacy through ancient, Greek and Arab periods with special reference to contribution of Muslim scientists to pharmacy and allied sciences.  An introduction of various official books. _______________________________________________________________________________________ Disease is not an old as life itself as evidence exist that it can be traced back to around 350 million – 280 million years (Carboniferous Period). It has been desire of mankind since times immemorial to be healthy and cure sickness and disease. The quest for health has paved way for stimulating the element of search for cure. Pharmacy is the art of healing and treatment exists from the time illness was recognized. Before The Dawn of History:  From beginnings as remote and simple as these came the proud profession of pharmacy. It’s development parallels that of man.  Among the several characteristics unique to Homo Sapiens is our propensity to treat ailments, physical and mental with medicines.  Ancient man learned from instinct, from observation of birds and beasts. Cool water, a leaf, dirt or mud was his first soothing application.  By trial, he learned which served him best. Eventually he applied his knowledge for the benefit of others. Pharmacy Roots:  The study of pharmacy can be tracked back to 700 years.  It was evolved between stone age and down of history (Proto History) systems existed that were later discovered by Archeologists.  Peasant civilizations (5000 B.C.) – excavations in Tigris and Euphrates valley.  Around 2000 B.C. some documents of Assyrio were revealed.  This art has evolved over centuries. It passes through religion, magic, incantation and now it is evolved highly special profession of Pharmacy. Pre-Historic Pharmacy:  Since humanities earliest past, Pharmacy has been a part of everyday life. Some of mankind’s oldest settlements such as Shanidar support the contention that pre-historic people gathered plants for medicinal purposes. By trial and error, the knowledge of the healing properties of certain natural substances grew.  When healers at shanidar or other prehistoric settlements approached disease, they placed it within the context of their general understanding of the world around them, which was alive with good and evil spirits. The magical portions for curing were part of the duty of the Shaman (usually incharge of all or most things supernatural in tribe).
  • 22.
    Chapter 2. Historyand Literature of Pharmacy 21 Muhammad Muneeb  The Shaman diagnosed and treated most serious illnesses. He compounded the remedies needed to keep away the influences of evil spells or spirits. Eras in History of Pharmacy: I. Ancient Era - Beginning of time to 1600 A.D. II. Empiric Era - 1600 to 1940 A.D. III. Industrialization Era - 1940 to 1970 A.D. IV. Patient Care Era - 1970 to Present V. Biotechnology and Genetic Engineering I. ANCIENT ERA:  It started from beginning of time to 1600 A.D.  Early man used material in his surroundings; leaves, mud and cool water were used to stop bleeding and heal wounds.  Dry clay was used to splint broken bones.  They copied animal behavior.  The signs of pre-historic and primitive times diseases exist as it is evident from: o Skeleton with deformed joints o Tumors in dinosaurs o Exhumed bones indicated performance of operation after injury DOCUMENTATION:  At some point man began to document healing practices on clay tablets 2600 B.C.  One of the earliest known records written around 1500 B.C. was the Ebers Papyrus named by George Ebers. EGYPTIAN TIMES:  When organized settlements aroused in the great fertile valley of Nile and the Indus River, changes occurred that gradually influenced the concepts of disease and healing. BABYLONIANS: They were 5th millennium BC peasants and they were the civilization of Western Asia. Excavations of Tigris and Euphrates valleys revealed Medical tablets originating from 3000 B.C. to 2000 B.C. Babylonians had a detailed medical system and used a pharmacopoeia containing 250 plants, sulphur, animal products like cow or goat milk, honey, wax, lion fat, castor oil etc. For the Babylonians, medical care was provided by two classes of practioners:  The asipu (magical healer) o The asipu relied more heavily on spells and magical stones far more than plant materials.  The asu (empirical healer) o The asu drew upon a large collection of drugs and manipulated them into several dosage forms that are still basic today such as suppositories, pills and ointments. The asipu and asu were not in direct competition and sometimes cooperated on difficult cases.
  • 23.
    Chapter 2. Historyand Literature of Pharmacy 22 Muhammad Muneeb DAYS OF PAPYRUS EBERS:  Though Egyptian medicine dates from about 2900 B.C, best known and most important Pharmaceutical record is the “Papyrus Ebers” (1600 B.C), a collection of 800 prescriptions mentioning 700 drugs. The drugs are chiefly botanical although mineral and animal drugs are also noted.  Such botanical substances as acacia, castor bean and fennel are mentioned along with apparent references to such minerals as iron oxide, sodium carbonate, sodium chloride and sulfur. GREEK CIVILIZATION:  During the millennium that followed the roots of modern medical profession in the west arouse from Greek civilization.  Around 600 B.C. the Greeks integrated science into mythological thinking.  They began thinking logically about disease rather than believing spiritual explanation.  The Romans conquered the Greeks and the medical and pharmaceutical cultures mixed, it is known as Greco-Roman Era. GREECE AND ROMAN ERA:  The poems of Homer (Great poet of ancient Greece – 8th century B.C.) and mythological tales provide information on the existence of the art of pharmacy. o Bitter root powder used to treat heal wounds. o Use of sulphur as disinfectant.  Peony is attributed to Paion, doctor to the Gods.  Hyoscyamus albus or Heraklion are medical plants, named after Hercules.  Chiron organized the cultivation of plants.  Around 5th century B.C. – Asclepius, the king of Thessaly and God of medicine, treated patients with herbs. In this temple, medicine was practiced by priests.  More than 40 medical books exist in the name of Hippocrates (460 B.C.) who is considered father of medicines. He used simple remedies consisting of barley, honey, vinegar, anethole, corrdiander, colocynth, fennel etc.  Diocles, son of Archidamos wrote an herbalist manual “Rhizotomikon” which contains prescriptions made from plants like fenugreek, linseed and honey.  Existence of plants in Greek therapeutics is documented in: o De Historia Plantanum and Dr Causis Plamtanum by Theophrastus (340 B.C.). He wrote 200 books, from which 20 are available 9 on history of plants and 6 on their growth. o De Materia Media of Dioscorides (78 A.D.) which contains 500 medicinal plants. o Natural history by Pliny (60 A.D.), a compilation of 1000 plants from the Roman times. Roman Pharmacy Titles:  PHARMACOPOEIA - Maker of remedies  PHARMACOTRITAE - Drug grinder  UNGUENTARI - Maker of ointments  PIGMENTARI - Maker of cosmetics  PHARMACOPOLAE - Seller of drugs
  • 24.
    Chapter 2. Historyand Literature of Pharmacy 23 Muhammad Muneeb  AROMATARII - Dealers of spices ASKLEPIOUS (GOD OF HEALING):  Beginning in the 7th century BC, the wise and kind Asklepios gradually superseded Apollo as the greatest of the healing gods.  At the touch of his hands or of the tongue of his sacred serpent, miraculous things happened.  The staff of Asklepios entwined by a Sacred serpent gradually emerged as the official symbol of medicine around the world.  On the right hand of Asklepious stood Hygeia, one of his daughter.  Her arm entwined by a serpent and holding a bowl thought to have contained a healing poison.  And in the earliest records one finds a similar mixed concept of drug or Pharmakon, a Greek word that meant “magic spells’’ or “poison”. HIPPOCRATES:  From another period in Greek history the greatest name That is still with us today is that of Physician Hippocrates known as the “father of medicine”.  He is one of the most important name in the development of Pharmacy as a profession based on scientific knowledge rather than a mixture of medicine and spiritual acts.  During this period the word Pharmakon came to mean “a purifying remedy”.  He mentioned around 200 – 400 drugs as well as methods of carrying out various Pharmaceutical processes. DIOSCORIDES:  He was a Greek Physician and botanist (first century A.D). He was the first scientist to deal botany as an applied science of Pharmacy.  His work “De Materia Medica”, is considered a milestone in the development of Pharmaceutical botany and in the study of naturally occurring medicinal materials. This area of study is today known as “Pharmacognosy”.  He explained methods of preparing crude drugs from opium and many other botanical drugs. He developed the art of identification, collection, purification and proper storage of botanical drugs. CLAUDIUS GALEN:  He was a renowned Greek Pharmacist and Physician. He practiced and taught both medicine and pharmacy in Rome, his Principles of Preparing and compounding medicines ruled in the western world for 1500 years.  He aimed to create a perfect system of Physiology, Pathology and treatment of illness.  He wrote 500 books on medicine including numerous drugs of natural origin, formulae and methods of compounding.  It was his tremendous work in the field of crude natural origin drugs that still today his name is associated with that class of pharmaceuticals compounded by mechanical means – “Galenical Preparations”.  The most famous of his formulas is one for a cold cream called Galen’s cerate, essentially similar to that known today.
  • 25.
    Chapter 2. Historyand Literature of Pharmacy 24 Muhammad Muneeb PERSIA:  Persia, at crossroads between East and West, was the cradle of very old and brilliant civilization.  Their knowledge of plants and phototherapy still reflects in the Greco-Arab therapeutics.  Ancient Iranian therapeutics available in their holybook, “Avesta” (700 B.C.) is based on medicinal plants, surgery and magic.  Avesta’s 9th century compilation the “Denkart” contains a chapter on 4333 diseases caused by evil spirit. Cure is 70 categories of remedies, all from plants. II. MIDDLE AGES: With the advent of Christianity, the healing temples of Asklepios eventually fell into disease. During the medieval millennium, however, religious medicines within Christian concepts gave the healing power of faith and divine intervention new scope. LATIN ERA: As a guide to preparing compound drugs, two traditional types of Latin compilations, which evolved into modern counterparts, were “Receptaria” (more modest formularies) and the “Antidotria” (similar to dispensatories). It was a particular literature for both medicine and pharmacy, copied by scribes who added, omitted and revised to suit local needs. ARABIAN INFLUENCE: For pharmacy, the Arabic influence was important also because we can discern the rise of the qualified pharmacist (al-Saidalani) as a separate functionary, beginning around Baghdad (729 A.D.) They also had different drug forms which are now used such as syrups, conserves, confections and juleps. Hospitals, however, were being secularized under municipal authority by the 13th century. THE RENAISSANCE:  It lasts from 1350 to 1650 A.D.  It is the end of ancient era and middle ages.  Pharmacy became separated from medicine.  Pharmacy regulations was begun.  University education for pharmacists was now required.  More and new drugs were imported from orient.  New chemicals were introduced.  Pharmacy achieved professional status.  Guilds were formed for the profession of pharmacy. SAINTS COSMAS AND DAMIAN:  Twinship of health professions, Pharmacy and medicine is nowhere more strikingly portrayed than by: o Damian, the apothecary and o Cosmas, the Physician  They were the twin brothers of Arabian descent. Their twin careers were cut short in the year 303 by martyrdom.  They were the pattern saints of Pharmacy and medicine and many miracles are attributed to them
  • 26.
    Chapter 2. Historyand Literature of Pharmacy 25 Muhammad Muneeb FREDERICK-II - SEPARATION OF PHARMACY AND MEDICINE:  In European countries exposed to Arabian Influence, public pharmacies began to Appear in the 17th century.  However, it was not until about 1240 A.D. That, in southern Italy, Pharmacy was separated from Medicine.  Frederick II, was Emperor of Germany. At his palace, he presented subject Pharmacists with the first European edict completely separating their responsibilities from those of Medicine, and prescribing regulations for their professional practice PARACELSUS - BORNBASTUS VON HOHENHEIM (1493-1541): Perhaps no person in history exercised such a revolutionary influence on Pharmacy and Medicine as did Aureolus Theophrastus. Bornbastus Von Hohenheim (1493-1541), A Swiss Physician and chemist who called himself Paracelsus. He influenced the transformation of Pharmacy from a profession based primarily on botanical science to one based on chemical science. EDWARD JENNER: Remarkable advance in medicine and Pharmacy took place in the year 1796 when Edward Jenner performed the first vaccination on a human patient. FRIEDRICK SERTURNER: He was a German Pharmacist and isolated Morphine from opium. JOSEPH PELLETIER & JOSEPH CAVENTOU: They were French and isolated several alkaloids like strychnine and brucine from Nux vomica and quinine and cinchonine from cinchona. Pelletier together with Pierre Robiquet isolated caffeine and Robiquet independently separated codeine from opium. MODERN EUROPE:  A movement in Western Europe that aimed at reforming some doctrines and practices of the Roman Catholic Church that resulted in the establishment of the Protestant Churches.  Medicine, like art before 1600, was essentially integrated into religion.  At the beginning of 17th century, medical practice was divided into three phases. o The Physician o The Surgeons o The Apothecaries (Drug sellers)  A medical reform movement was started in Europe as a reaction against heroic medicine.  Pharmacopoeias were used to protect public health.  Roots, barks, herbs, flowers etc. were used and controlled by government.  The questioned the toxological effects on human body.  In 1751, Benjamin Franklin started the FIRST HOSPITAL.  The first hospital pharmacist to work in that hospital was Jonathan Roberts.  William Proctor was the father of American Pharmacy who spent most of his life to the advancement of pharmacy.
  • 27.
    Chapter 2. Historyand Literature of Pharmacy 26 Muhammad Muneeb  Science grew in the 17th and 18th centuries. Many new drugs and chemicals were identified e.g. nitrogen, atropine, quinine, caffeine, morphine, codeine and testosterone etc. AMERICAN PHARMACY:  As soon as Columbus started his explorations of the Americas in the late 15th century, some European efforts to find valuable medicinal plants among the flora of the New World to add to the medical canon got underway.  The first drugstore in North America appeared in Boston, Newyork.  The 19th century (1800s) birthed “pharmacy as we know it” and again, pharmacy’s development in mainland Europe continued to fuel its growth in the young American republic. MEDICAL SOCIETIES AND EDUCATION OF PHARMACY: In 19th century, many medical societies were established to increase the quality of medicines and to promote the profession of pharmacy such as American Pharmaceutical Association whose slogan is to produce better pharmacists. University Education regarding pharmacy was started in 1829 when New York College of Pharmacy was established. These colleges were acting as professional associations, or at least promoted pharmacist education and the distinct profession of pharmacist with a guild-like zeast. With the rise of mechanization and mass production, new modern ways of making tablets (1884), the enteric-coated pill (1884) and gelatin capsule (1875) became practicable. By 1900, most pharmacies stocked the shelves, partially or pre-dominantly, with medicines growing industries to train pharmacist to produce medicines increasingly eroded. III. INDUSTRIALIZATION ERA:  During civil war and World War – I, more people needed drugs for injuries and illness from the wars, so mass production of medications were made through industrial machines.  Scientific research was also growing in the industrial era. Investigations into medicines and their effects were studied.  Due to all the researches many new drugs and uses of old drugs were being used which caused more reactions and interactions with medications, which is why the patient care era is called that. IV. PATIENT CARE ERA:  In 19th and 20th century new problems were seen like allergic reactions, multiple drug interactions with other drugs and foods.  It increases the therapeutic duties of patient care in pharmacies and hospitals. V. BIOTECHNOLOGY ERA:  In 21st century gene therapy is being conducted. Some diseases are linked to genetic defects. Pharmacists are trying to modify the genetic makeup of people that may prevent or cure diseases.  Recombinant DNA technology is a form of synthetic DNA that is engineered through the combination or insertion of one or more DNA strands, thereby combining DNA sequences that would not normally cure together.
  • 28.
    Chapter 2. Historyand Literature of Pharmacy 27 Muhammad Muneeb Importance of Profession:  Impact on individual patient(s): o State of health o Better health of individual  Pharmacy services results in: o Improved health o Economic outcomes o Reduction in adverse effects of medicines o Improved quality of life o Reduced morbidity and mortality  Pharmaceuticals: o Formulation / manufacturing o Quality assurance / monitoring o Licensing / registration o Marketing o Dispensing o Distribution / supply / storage o Education, research & development THE SEVEN-STAR PHARMACIST: It is a concept developed by WHO in 2000.  Care-giver  Decision-maker  Communicator  Manager  Life-long-learner  Teacher  Leader and researcher Role of Muslim Scientist in Pharmacy: Among the Muslim scientist, the Arabs were the greatest doctors, the first chemists, the best pharmacists. They played a major role in history of therapeutics. They preserved and built the knowledge of Greco-Roman period. They followed the teachings of Muhammad (P.B.U.H). The formerly nomadic people who united into the nations of Islam conquered huge areas of middle east and Africa and eventually expanding into Spain and eastern Europe. Abbasid Caliphate: In Baghdad, the first Pharmacy was established in 754 under the Abbasid caliphate during the Islamic golden age. The clear-cut separation of the two professions, physicians and Pharmacist was done in 800 A.D in Abbasid caliphate. Yahanna Bin Masawayh (777 to 857 A.D.):
  • 29.
    Chapter 2. Historyand Literature of Pharmacy 28 Muhammad Muneeb He was one of the contributors to Arabic Pharmacy. He Wrote a book “Ibn-e-Masawayh” which includes 30 aromatics, their Physical properties, method of detecting adulteration (spoil) and Pharmacological effects. Ibn-e-Masawayh recommended saffron for liver and stomach ailments. Abu- Hassan Ali Bin Sahl Rabban at Tabari: He wrote a famous book “paradise of wisdom”. It contains discussions on the nature of man, cosmology (study of stars), embryology, diet and diseases. Abu Bakr Muhammad ar Razi (841 to 926 A.D.): He was one of the greatest Physician in Islam but at the same time he was supporter of the art of Al- Chemy. To a great extent, he influenced the development of Pharmacy and medical therapy throughout the middle ages. He wrote two books named Ar-Asrar and Sirr Al Asrar. Ali Ibn-Al-Abbas Al-Majusi (994 A.D.): He was a Persian physician and psychologist, most famous for the Kitab al-Maliki (Complete Book of the Medical Art). In this book he concluded that, “joy and contentment can bring a better living status to many who would otherwise be sick and miserable due to unnecessary sadness, fear, worry and anxiety”. Al Ghafiqi: He was the highly respected Physician in cordova (muslim spain) an that he was also interested in Pharmacy as well. Abu Al Qasim Al Zahrawi (Abulcasis) (936 – 1013 A.D.): He was Pioneer in the preparation of medicines by sublimation and distillation. Also he worked on the extraction or urinary bladder stones. He is known as the doctor of / father of surgery. He wrote “Kitab-al- Tasrif”, a thirty volume encyclopedia of medical practices. The 28th book consists of simple medicines of vegetables, animals or mineral origin. Sabur Bin Sahl (940 to 1000 A.D.): The first medical formulary to be written in Arabic is “al-Aqrabadin”. In it, he gave medical recipes stating the methods and techniques of compounding these remedies, their Pharmacological actions, the dosages and the means of administration. Ibn-e-Sina (Avicenna) (980 – 1037 A.D.): Among the brilliant contributors to the sciences of Pharmacy and Medicine during the Arabian era was one genius who seems to stand for his time – the Persian, Ibn-e-Sina (about 980-1037 A.D.), called Avicenna by the Western world. Pharmacist, poet, physician, philosopher and diplomat. Avicenna was an intellectual giant, a favorite of Persian princes and rulers. He wrote in Arabic. He wrote the famous book “ Kitab Al Shifa ( the book of healing ). He also described 700 preparations, their properties, mode of action and their indications. Al –Beruni (973 – 1050):
  • 30.
    Chapter 2. Historyand Literature of Pharmacy 29 Muhammad Muneeb He wrote one of the most valuable Islamic works entitled “Kitab-ul-Saydalah” (the book of drugs) where he gave detailed knowledge of the properties of drugs and outlined the role of Pharmacy and the functions and duties of the Pharmacist. He was known as father of Arabic Pharmacy. Ibn Al-Wafid (997 – 1074): He was a pharmacologist and physician from Toledo. His main work is Kitab al-adwiya al-mufrada which include 520 different kinds of medicines from various plants and herbs. Saladin de Asculo: He is one of the greatest influence on practice of pharmacy among early Italian works was the Compendium written by him in middle of 15th century for information of pharmacist. This book is called as “the first real treatise on pharmacy in a modern sense… which became the model for all later textbooks of pharmacy”. Al-Ghafiqi: He is famous for controlling plants from Spain and Africa and documented them with names in Arabic, Latin and Berber. Abdullah Ibn Ahmad ibn Al-Baytar: He was a pharmacist and botanist and was author of two books “Al-Mughanifi al-Adwiyal-al- Mufaradah” (Medicines) and “Al-Jami Jilah Adwiyah al-Mufradah” (contains simple remedies). This collection is claimed to contain more than 2000 plants. Jabir Bin Hayyan: He recommended:  Psyllium mucilage, gourds, whey for biliary troubles  Bamboo, vinegar, pomegranates for blood diseases  Castor, asafetida for pituitary problems Ar-Rafiqi (11th Century): He was a botanist who compiled information on medicines of plant and mineral origin. Al-Harith: He was the first amongst the Arabs as a during the period of Prophet (‫)ﷺ‬. Shaikh Jalal-ud-Din Abu Suleiman Daud: He was the writer of Tibb-e-Nabvi. This was translated by Dr. Perron. Yaqub Ibn Ishaq Al-Kindi (800 – 873 A.D.): In medicines, his chief contribution comprises the fact that he was the first to systematically determine the doses to be administered of all the drugs known at his time. This resolved the conflicting views prevailing among physicians on the dosage caused difficulties in writing recipes. Ibn al-Nafis (1213 – 1288 A.D.):
  • 31.
    Chapter 2. Historyand Literature of Pharmacy 30 Muhammad Muneeb He was a doctor basically. He wrote “Al-Shamil fial-Tibb” comprising 300 volumes. Abu Marwan ibn Zuhr (1091 – 1161 A.D.): He was one of the greatest physicians of Muslim Golden era. He wrote “Kitab al-Taisir fi al-Mudawat wu al-Tadbir (book of simplification concerning therapeutics and diet). Ali Bin Sahl Rabban al-Tabari (d. 870): He was a physician under rule of al-Mu’tasim. He wrote Firdaus al-Hikma (Paradise of Wisdom). He urged that therapeutic value of each drug be reconciled with particular disease. For sorting drugs he recommended glass or ceramic vessels for liquid drugs, small jars for eye liquid shelves and lead containers for fatty substances. Yahya ibn Jazla (d. 1100 A.D.): He composed Taqwim al-Abdan fi Tadbir al-Insan, which consisted 44 tables, and 352 diseases. Modern Age & Early Research: THE AMERICAN PHARMACEUTICAL ASSOCIATION:  Need for better intercommunication among pharmacists; standards for education and apprenticeship; and quality control of imported drugs, led to calling of a convention of representative pharmacists in the Hall of the Philadelphia College of Pharmacy, October 6 to 8, 1852.  Under leadership of its first President, Daniel B. Smith, and first Secretary, William Procter, Jr., the twenty delegates launched The American Pharmaceutical Association; mapped its objectives, and opened membership to "All Pharmacists and Druggists”.  The Association continues to serve Pharmacy today. THE STANDARDIZATION OF PHARMACEUTICALS:  Despite the professional skill and integrity of 19th-century pharmacists, seldom did two preparations of vegetable drugs have the same strength, even though prepared by identical processes. Plant drugs varied widely in active alkaloidal and glycosidal content.  The first answer to this problem came when Parke, Davis & Company introduced standardized "Liquor Ergotae Purificatus".  Parke-Davis also pioneered in developing pharmacologic and physiologic standards for pharmaceuticals. THE PHARMACOPOEIA COMES OF AGE:  As the scientific basis for drugs and drug products developed so did the need for uniform standards to ensure quality.  This need led to the development and publication of monographs and reference books. Organized sets of monographs or books of these standards are called Pharmacopoeias and formularies.  The "United States Pharmacopoeia" (1820) was the first book of drug standards from a professional source which achieved a national acceptance. THE ERA OF BIOLOGICALS:
  • 32.
    Chapter 2. Historyand Literature of Pharmacy 31 Muhammad Muneeb  When, in 1894, Behring and Roux announced the effectiveness of diphtheria antitoxin, pharmaceutical scientists both in Europe and in the United States rushed to put the new discovery into production.  Parke, Davis & Company was among the pioneers.  The serum became available in 1895, and lives of thousands of children were saved. THE DEVELOPMENT OF CHEMOTHERAPY:  One of the successful researcher’s in the development of new chemical compounds specifically created to fight disease-causing organisms in the body was the French pharmacist, Ernest Francois Auguste Fourneau, who for 30 years headed chemical laboratories in the world-renowned Institute Pasteur, in Paris.  His early work with bismuth and arsenic compounds advanced the treatment of syphilis.  He paved the way for the life-saving sulfonamide compounds, and from his laboratories came the first group of chemicals having recognized antihistaminic properties.  His work led other investigators to broaden the field of chemotherapeutic research. PHARMACEUTICAL RESEARCH:  Research in some form has gone hand in hand with the development of Pharmacy through the ages. However, it was the chemical synthesis of antipyrine in 1883 that gave force and inspiration for intensive search for therapeutically useful compounds.  Begun by the Germans, who dominated the research field until World War-I, thereafter the lead was transferred to the United States. Research in Pharmacy, came into its own in the late 1930's and early 1940's, since than it has grown steadily, supported by pharmaceutical manufactures, universities, and government.  Today it is using techniques and trained personnel from every branch of science in the unending search for new life-saving and life-giving drug products PHARMACEUTICAL MANUFACTURING COMES OF AGE:  Pharmaceutical manufacturing as an industry apart from retail Pharmacy had its beginnings about 1600, really got under way in the middle 1700. It developed first in Germany, then in England and France.  In America, it was the child of wars - born in the Revolution, grew rapidly during and following the Civil War, became independent of Europe during World War-I, came of age during and following World War-II.  Utilizing latest technical advances from every branch of science, manufacturing of Pharmaceuticals is developing and producing the latest and greatest drugs prescribe them and pharmacists dispense them for the benefit of all mankind. THE ERA OF ANTIBIOTICS:  Antibiotics are not new. Their actions probably were first observed by Pasteur in 1877. However, the second quarter of the 20th century marked the flowering of the antibiotic era - a new and dramatic production of disease-fighting drugs. Fleming's discovery of penicillin in 1929 went undeveloped and Florey and Chain studied it in 1940.  Under Pressure of World war-II the Pharmaceutical Manufacturers rapidly applied mass production methods to penicillin.  Antibiotic discoveries came rapidly in the '40's.
  • 33.
    Chapter 2. Historyand Literature of Pharmacy 32 Muhammad Muneeb  Intensive research continues to find antibiotics that will conquer more of men's microbial enemies. PHARMACY TODAY & TOMORROW:  Pharmacy, with its heritage of 50 centuries of service to mankind, has come to be recognized as one of the great profession.  Like Medicine, it has come through many revolutions, has learned many things, has had to discard many of its older ways.  Pharmacists are among the community's finest educated people.  Pharmacy's professional importance will continue to grow in the future as this great heritage and tradition of service is passed on from preceptor to apprentice, from teacher to student, from father to son. Introduction to Official Books: The word Pharmacopoeia is derived from Greek, Pharmakon and poieo. It indicates a book issued by a recognized body or authority containing a list of drugs and formulas for medicinal preparations, together with description of these substances and standards to which they must conform. ORIGIN: Prior to Pharmacopoeias apothecary have to look for guidance and knowledge to books written by individuals who have achieved fame in medicines. These books may be divided into 2 classes:  The Herbal  The Formularies THE HERBAL:  These books contain information about medicinal plants, their properties and recipes for preparing remedies. The most important book was “The Meteria Medica” by Dioscorides. It contains more than 600 plants and herbs having medicinal value and also animal and mineral substances.  This book remained authority for more than 1500 years. Its complete edition was printed in 1529.  Another important name is “Pliny the Elder” 23-79 A.D. reported 1000 plants of medicinal value. THE FORMULARIES:  These were the more authoritative books for physicians and consists chiefly of recipes and list of medicinal substances and were variously styled as “Compendium, Dispensatorium or Antidotarium”.  These books based on ancient Greek, Roman and Arabian writers.  The most widely known book was Antidotarium of Nicholas describing the preparation of confectioneries, lozenges, ointments, pills, syrups and many other classes of preparations and also prescribed apothecaries weight and measure system i.e., the grain and drachms still employed in present day pharmacy. PHARMACOPOEIA:
  • 34.
    Chapter 2. Historyand Literature of Pharmacy 33 Muhammad Muneeb An official publication containing a list of medicinal drugs with their effects and directions for their use published by the pharmacopoeial commission or by the authority of a medicinal or pharmaceutical society. The word pharmacopoeia is derived from two Greek words i.e. ‘pharmakon’ meaning ‘drug’ and ‘poeis’ meaning ‘make’ thus giving the meaning of drug making. In a broader sense it is a reference work for pharmaceutical drug specifications. SPELLINGS:  Pharmacopoeia  Pharmacopeia  Pharmacopoea MONOGRAPH: The description of the preparation is called as monograph. It is a set of document given in the pharmacopoeia which tells about test to perform for a specific compound or a dosage form or raw material. APPENDICES: An appendix contains supplementary material that is not an essential part of the test itself but which may be helpful in providing a more comprehensive understanding of the research problem or it is information that is too cumbersome to be included in body of a monograph. It includes apparatus, and its construction, general procedures and tests for a particular drug. TYPES OF PHARMACOPEIAS: i. Brazilian Pharmacopeia ii. British Pharmacopoeia (BP) iii. British Pharmaceutical Codex (BPC) – Retired iv. Chinese Pharmacopoeia (ChP) v. Czeck Pharmacopoeia (Ph.Boh) vi. European Pharmacopeia (EP) vii. French Pharmacopeia (FP) viii. German Pharmacopeia (GP) ix. Pakistan Pharmacopeia (PP) x. United State Pharmacopeia (USP) DEVELOPMENT OF PHARMACOPOEIA:  The development of Pharmacopoeia must be credited to the discovery of printing techniques in the 15th century. It was felt that there should be some authoritative formulary, at least for some particular community.  1st book published by College of Florence in 1498. It contains the important work of Nicholas.  The city of Nuremberg was 1st community to process a Pharmacopoeia who was legally binding on the apothecaries of that city in 1529. They adopted 100 years old book “Luminare Majus” published in 1406.  In 1546 it was replaced by Dispensatorium of Valerius Cordus.  This action of Nuremberg stimulated others to publish their own pharmacopoeias.
  • 35.
    Chapter 2. Historyand Literature of Pharmacy 34 Muhammad Muneeb  In 16th century, pharmacopoeias of London, Augsburg, Antwerp, Lyons, Basle, Valencia, Cologne, Paris and Amsterdam emerged. LONDON PHARMACOPOEIA:  It was published in 1618 by College of Physicians and contains more than 2000 drugs and preparations. Mostly old work was gathered. It remained English pharmacopoeia for 3 centuries.  Numerous editions were published. FUSION OF NATIONAL PHARMACOPOEIAS:  Medical Act of 1858 ordered the fusion of London, Edinburgh and Dublin pharmacopoeias to form British Pharmacopoeia.  The General Council of Medical Education and Registration of UK was given exclusive rights of publishing, printing and selling the book.  1st edition with the collaboration of Pharmaceutical Society appeared in 1864. Subsequent editions in 1867, 1885, 1898, 1914 and sixth in 1932.  A pharmacopoeia commission was established in 1914 to revive and make amendments in official books. FORMULARIES:  These are supplementary to Pharmacopoeias. The scope of Pharmacopoeia is mainly restricted to drugs and preparations which at the time of publication are of sufficient importance.  Information regarding drugs and preparations which are widely used but are not official and also the recently introduced substances which have not yet proved sufficiently important for inclusion in pharmacopoeia must be sought elsewhere.  Various books of this kind appeared from time to time, but the most important were. o British Pharmaceutical Codex (B.P.C.) o Extra Pharmacopoeia (E.P.) o B.P.C. is published by Pharmaceutical Society. 1st edition was published in 1907, 2nd in 1911 than in 1915, 1922 and 1923. o E.P. was published in 1883 by W. Martindale and W. W. Westcott. In 1933 after the death of W. H. Martindale (son of W. Martindale) the rights of this book were purchased by society. INTERNATIONAL PHARMACOPOEIA:  In 1951, WHO published the Pharmacopoeia Internationalis, a compilation in two volumes (volume 2 in 1955).  It designed a collection of standards which could serve as reference for the establishment of international standards.  Its 2nd edition was published in 1963 and 3rd edition comprising 5 volumes in 1979. EUROPEAN PHARMACOPOEIA:  In 1964 a council of Europe was established and included 7 countries, whose council of ministers adopted a resolution to establish an European Pharmacopoeia.  The 7 countries were Belgium, France, Germany, Italy, Luxemburg, the Netherlands and UK. Latter on Switzerland was accepted as 8th member.
  • 36.
    Chapter 2. Historyand Literature of Pharmacy 35 Muhammad Muneeb  These countries signed a document by which this Pharmacopoeia was made legal and binding for all. o 1st volume published in 1969 o 2nd volume in 1971 and o 3rd volume in 1975 PAKISTAN PHARMACOPOEIA: Introduction: The government of Pakistan constituted Pakistan Pharmacopeia under assistance of Pakistan Pharmacopoeial commission / committee in 1964, dated on August 08th . The tenure of the office of memebers was 5 years. Applications: It includes:  Antibiotics, antiseptics, anti-epileptics  Anti-histamines, anti-conversant, hypnotics, analgesics  Hormones and vitamins Among specifications, it includes:  Standards for drugs  Specifications except storage  Uniformity  Added substances  Apparatus  Procedure  Biological assays  Preservations National Formulary of Pakistan: First edition of Pakistan NF was published in 1973. The general scope of pharmacopoeia is to give description and prescribe standards for identity, purity, strength, potency and dosage of substances used in the practice of medicine and surgery. BRITISH PHARMACOPOEIA: Introduction: BP is the pharmacopoeia of United Kingdom (UK). It is an annually published collection of quality standards for UK medicinal substances. Pharmacopoeia Commission: BP is prepared by the pharmacopoeial commission, including pharmacopoeial secretaries, working in collaboration with BP laboratory, BP commission and its expert advisory groups and panels. History:
  • 37.
    Chapter 2. Historyand Literature of Pharmacy 36 Muhammad Muneeb BP was first published in 1864 and was one of the first attempts to harmonize the pharmaceutical standards and was titled Pharmacopoeia Britannica. A commission was first appointed by general Medicine Council for producing BP on national basis. In 1968, medicine act established the legal status of B.P. commission and made it responsible for preparing new editions of BP. Edition 2008: It contains 300 monographs for drug substances. Edition 2011: BP 2011 contains approx. 3375 monographs, preparations and articles used in practice of medicine. The BP 2011 comprises 6 volumes, which are as follows.  Volume 1 and 2: Medicinal substances  Volume 3: Formulated preparations (General and Specific monographs)  Volume 4: Herbal, homeopathic, surgical, immunologic products  Volume 5: IR reference, spectrum, appendices, supplementary chapters, Index  Volume 6: BP veterinary Electronic Edition: BP is also available electronically in both online CO-ROM versions. Applications of British Pharmacopoeia: The BP contains:  General notices (providing general information applicable to all tests)  General monographs (apply to all dosage forms)  Specific monographs providing mandatory standards for: o API, excipients o Formulated preparations (licensed and unlicensed products) o Herbal drug products o Blood-related products o Immunologic products o Radiopharmaceutical preparations  IR reference standards  Appendices (scattered information)  Supplementary chapters  Comprehensive index (separate raw and finished product monographs) UNITED STATE PHARMACOPOEIA: Introduction: USP is for US and is published annually by US Pharmacopoeial commission. USP is published as a combined volume with national formulary as USP-NF. First Edition:
  • 38.
    Chapter 2. Historyand Literature of Pharmacy 37 Muhammad Muneeb It was published in 1820. It contained therapeutic products, their information and recipes of their preparations. USP30-NF25: It contains specific standards of drug dietary substances, biological products used in dosage form. USP31-NF26: It contains official substances and preparations monographs. It contains approx. 4240 monographs, more than 220 general tests and assays. It consists of 3 volumes:  Volume 1: It contains preface, admissions, notices, general chapters, reagents, indicators, test papers, solutions, reference tables, supplements, microbiological tests pf assays, chemical tests and assays.  Volume 2: It has guide to general chapters, monograph (A – L) and index.  Volume 3: It contains notices, monograph (M – Z) and index. USP 39-NF34: It is the current edition of USP-NF. Drug Compendia: The books containing the standards of drugs and related substances are known as pharmacopoeia. Collectively, these books are known as drug compendia. DIFFERENCE BETWEEN PHARMACOPOEIA AND FORMULARY: Pharmacopoeia Formulary Definition An official book containing directions for the use of drugs and their QC tests. An official book giving details of predictable medicine. It does not provide QC methods. Information It provides no indications, adverse effects or contraindication of drugs. It gives name, indication, DDIs and contraindications of drug use. Tests It includes the procedures for the testing the quality of drugs. It does not include procedures to perform several tests. Quality or Region Drugs It is used for information about QC testing. It is basically the list of drugs of a particular region. _______________________________________________________________________________________
  • 39.
    Chapter 3. PhysicochemicalPrinciples 38 Muhammad Muneeb Unit 3. PHYSICO-CHEMICAL PRINCIPLES Outline: a. Solutions: Introduction, types, concentration expressions, ideal and real solution, colligative properties, their mathematical derivations and applications in pharmacy, molecular weight determinations, distribution co-efficient and its applications in pharmacy. b. Solubilization: Solubility, factors affecting solubility, surfactants, their properties and types. Micelles, their formulation and types. c. Adsorption: Techniques and processes of adsorption in detail. d. Ionization: pH, pH indicators, pka, buffers, buffer’s equation, Isotonic solutions and their applications in pharmacy. e. Hydrolysis: Types and protection of drugs against hydrolysis. f. Micromeritics: Particle size and shapes, distribution of particles methods of determination of particle size and importance of particle size in Pharmacy. _______________________________________________________________________________________ A. SOLUTIONS Solutions: A solution is a homogeneous mixture of two or more substances at molecular level. A solution may exist in any phase. OR A homogeneous mixture of chemical substances, which has same physical properties and chemical composition is called solution. OR A homogeneous mixture of solute and solvent which doesn’t interact chemically is called solution. OR A solution is a homogenous mixture of two substances but consisting of one phase. PHARMACEUTICAL SOLUTIONS: Solutions are dosage form prepared by dissolving the active ingredient(s) in aqueous or non-aqueous solvent. Definitions:  SYSTEM: System is the bounded space which is under consideration.  PHASE: Phase is a distinct homogeneous part of a system separated by definite boundaries from other parts of the system.  DISPERSION: Dispersion consists of at least two phases with one or more dispersed (internal) phase contained in a single continuous (external) phase.
  • 40.
    Chapter 3. PhysicochemicalPrinciples 39 Muhammad Muneeb  DISSOLUTION: Two or more mix at the level of individual atoms, molecules or ions.  BINARY SOLUTION: A solution consisting of only two substances is known as binary solution. TYPE OF DISPERSION:  True solution  Colloidal dispersion  Coarse dispersion TRUE SOLUTION COLLOIDAL DISPERSION COARSE DISPERSION Definitions A true solution is defined as a mixture of two or more components that form a homogeneous molecular dispersion. The colloidal dispersion can be heterogeneous or homogeneous (one-phase system). Coarse dispersions are heterogeneous dispersed systems, in which the dispersed phase particles are larger than 1000 nm (4×10-5 ). Particle Size less than 1nm Greater than true solution but less than coarse dispersion i.e. 1 to 500 nm Greater than 500nm (0.5μm) No. of Phases One phase system Heterogeneous or homogeneous (one-phase system) Heterogeneous Light Scattering Cannot scatter light Show Tindall effect May or may not scatter light Separation of Particles on Standing Do not separate on standing Don’t separate on standing Particles settle down Filtration Can pass through ordinary and ultra-filters Only can pass through ordinary filters May or may not pass through ordinary filters Examples Solution of NaCl in H2O  Starch  Milk Emulsions (liquid-liquid dispersion) Suspension (solid-liquid dispersion) Solute & Solvent: A solution consists of two or more substances; the substance which is greater in amount is called the solvent while the substance which is lesser in amount is referred as solute.  Generally, in liquid and solid solution the liquid is taken as solvent while the solid substance is the solute irrespective of material quantity.  Similarly, in case of a solution consisting of water and any other solid or liquid substance, the water is taken as solvent while the other substance is the solute irrespective of the material quantity. Types of Solutions According to States:
  • 41.
    Chapter 3. PhysicochemicalPrinciples 40 Muhammad Muneeb Solute Solvent Types of solutions Examples Solid Solid Solid in Solid Alloys Liquid Solid Liquid in Solid Hydrated salts Gas Solid Gas in Solid Dissolved gases in minerals Solid Liquid Solid in Liquid Salt solution in water Liquid Liquid Liquid in Liquid Alcohol in water Gas Liquid Gas in Liquid Aerated drinks Solid Gas Solid in Liquid Iodine vapors in air Liquid Gas Liquid in Liquid Humidity in air Gas Gas Gas in Liquid Air Stages of Solution Process: i. Separation of Solute:  Must overcome intermolecular forces or non-ionic interactions in solute  Requires energy, Endothermic (+∆H) ii. Separation of Solvent  Must overcome intermolecular forces of solvent particles  Requires energy, Endothermic (+∆H) iii. Interaction of Solute & Solvent  Attractive bonds b/w solute particles and solvent particles  “Solvation” or “Hydration” (where water = solvent)  Release energy, exothermic (-∆H) Types of Solute:  NON-ELECTROLYTE: The substances that do not ionize when dissolved in water and do not conduct electric current is called non-electrolyte, e.g. solution of sucrose, urea and glycerin.  ELECTROLYTE: The substances that ionize when dissolved in water and conduct electric current is called electrolyte. There are further divided into: o Strong Electrolyte: Substance that completely ionized in water, e.g. HCl and Sodim Sulphate. o Weak Electrolyte: Substances that partly ionized in water, e.g. Ephedrine and Phenobarbital. Physical Properties of Substances:  EXTENSIVE PROPERTIES: Properties which depend on the quantity of the matter in the system, e.g. mass and volume.  INTENSIVE PROPERTIES: Properties which are independent of the amount of the substances in the system, e.g. temperature, pressure, density, surface tension, and viscosity of pure liquid. The physical properties of the substance can be classified into following: 1. ADDITIVE PROPERTIES:  The physical properties, which depend upon the sum of the properties of all the constituents of the solution, are called additive properties. OR
  • 42.
    Chapter 3. PhysicochemicalPrinciples 41 Muhammad Muneeb  The physical properties which depend on the total contribution of the atoms in the molecule or the sum of properties of the constituents in a solution.  E.g. molecular weight. 2. CONSTITUTIVE PROPERTIES:  The physical properties which depend on the arrangement and number or kind of atoms within a molecule  The constitutive properties mainly depend on the arrangement & to a lesser extent on kind and No of atoms.  E.g. refraction of light, electric properties and solubility (also are additive properties) 3. COLLIGATIVE PROPERTIES:  Depend mainly on the number of particles in a solution  E.g. osmotic pressure, vapor pressure lowering, freezing point depression and boiling point elevation Concentration Expression: The concentration of a solution can be defined as: ‘’The amount of solute present in a given amount of solution is called concentration of the solution.’’ A solution containing a relatively low concentration of solute is called dilute solution while a solution containing relatively a high concentration of the solute is said to be concentrated solution. There are several ways of expressing concentration of solution, some are as follows: 1. Percentage Expression 2. Molarity 3. Normality 4. Molality 5. Mole Fraction 6. Parts per million BASIC DEFINITIONS:  MOLES: Moles is the gram molecular weight of a substance.  GRAM EQUIVALENT WEIGHT: It is the mass of a given substance which will: o Supply or react with one mole of hydrogen cations H+ in an acid–base reaction; or o Supply or react with one mole of electrons−in a redox reaction. The Concentration of solution can be expressed in following terms: 1. MOLARITY (M): Molarity can be defined as: “The number of moles of solute per litter of solution is called Molarity.” 𝑀𝑜𝑙𝑎𝑟𝑖𝑡𝑦 = 𝑁𝑜. 𝑜𝑓 𝑚𝑜𝑙𝑒𝑠 𝑜𝑓 𝑠𝑜𝑙𝑢𝑡𝑒𝑠 Volume of solution (in litters)
  • 43.
    Chapter 3. PhysicochemicalPrinciples 42 Muhammad Muneeb The Molarity of solution is represented by M and its units are mole /litter. Molarity is the general unit that used in the most of chemistry calculation; we usually use this unit to define the concentration of the solution in stoichiometry calculation. 2. NORMALITY (N): Normality can be defined as: “The no. of gram equivalent of solute present per litter of the solution.” Normality = No. of gm equivalent of solute Volume of solution in litters Where, 𝑁𝑜. 𝑜𝑓 𝑔𝑚 𝑒𝑞𝑢𝑖𝑣𝑎𝑙𝑒𝑛𝑡 = 𝑊𝑒𝑖𝑔ℎ𝑡 𝑜𝑓 𝑠𝑢𝑏𝑠𝑡𝑎𝑛𝑐𝑒 Equivalent weight And, 𝐸𝑞𝑢𝑖𝑣𝑎𝑙𝑒𝑛𝑡 𝑤𝑒𝑖𝑔ℎ𝑡 = 𝑀𝑜𝑙𝑒𝑐𝑢𝑙𝑎𝑟 𝑤𝑒𝑖𝑔ℎ𝑡 ACIDITY OR BASICITY 3. MOLALITY (M): The Molality of solution can be defined as: “The no. of moles of solute per kilogram of solvent is called Molality.” 𝑀𝑜𝑙𝑎𝑙𝑖𝑡𝑦 = 𝑀𝑜𝑙𝑒𝑠 𝑜𝑓 𝑠𝑜𝑙𝑢𝑡𝑒𝑠 𝑊𝑒𝑖𝑔ℎ𝑡 𝑜𝑓 𝑠𝑜𝑙𝑣𝑒𝑛𝑡 𝑖𝑛 𝑘𝑔 The Molality of solution is represented by “m” & its units are mole / kg. Molality usually uses to define the physical properties of the solution like vapor pressure, boiling point elevation, and freezing point depression of solution. We use normality in the volumetric calculation especially in the titration calculation. 4. MOLE FRACTION (X): Ratio of moles of one constituent of a solution to the total moles of all constituent. 𝑥1 = 𝑛1 𝑛1 + 𝑛2 ; 𝑥2 = 𝑛2 𝑛1 + 𝑛2 Where, X1 is the mole fraction of constituent 1 X2 is the mole fraction of constituent 2 n1 and n2 are the numbers of moles of respective constituent in the solution It is denoted by “X”. The Mole fraction is unit less & total mole fraction of a solution will always be unity: Xsolute + Xsolvent = 1 5. PERCENT EXPRESSION:
  • 44.
    Chapter 3. PhysicochemicalPrinciples 43 Muhammad Muneeb It can be defined as: “The specific amount of solute present in 100 gm of solution.” OR “It is the part of the solute present in 100 parts of the solution.”  PERCENT BY WEIGHT (%W/W): Gram of solute in 100g of solution. / It is the weight of solute as a percent of total weight of solution. % age of solute = Weight of solute Weight of solution x 100  PERCENT BY VOLUME (%V/V): Milliliters of solute in 100 mL of solution. / It is the volume of solute as a present of total volume of the solution. % age of solute = Volume of solute Volume of solution x 100  PERCENT WEIGHT-IN-VOLUME (% W/V): Grams of solute in 100 mL of solution. / It is the no: of parts of the solute by weight in 100 parts by volume of solution. In this case, total weight or volume of solution is not considered. % age of solute = Weight of solute Volume of solution x 100  MILLIGRAM PERCENT: Milligram of solute in 100mL of solution. 6. PARTS PER MILLION: Number of parts (by wt. or volume) of solute per million parts (by wt. or volume) of solution is called parts per million. 𝑃𝑃𝑀 = 𝑀𝑎𝑠𝑠 𝑜𝑓 𝑠𝑜𝑙𝑢𝑡𝑒 (𝑔𝑚) Mass of solution × 106 Significance:  It is used for very low conc. of solution.  It is used to express the amount of impurities in H2O. Ideal and Real Solution: Ideal Solutions Real Solutions Definition A solution in which there is no change in the properties of the components, other than dilution, when they are mixed to form a solution; no heat is evolved or absorbed during the process, and the final volume represent the additive properties of the individual constituent. It means complete uniformity of attractive forces. Solution which does not follow the Raoult’s Law is called non-ideal solution or real solution. The real solution show deviation from Raoult’s Law, which are either positive or negative deviation. Raoult’s Law Follow Raoult’s law Doesn’t follow Raoult’s law PROPERTIES OF IDEAL SOLUTIONS:  During the formation of an ideal solution, only the dilution or change in concentration occurs.  In mixing the components of an ideal solution, no heat is evolved / absorbed.
  • 45.
    Chapter 3. PhysicochemicalPrinciples 44 Muhammad Muneeb  The total volume of the solution is equal to the sum of the volumes of the components V= V1 + V2 + V3  There is no shrinkage or expansion of molecules or volumes because the size of the molecules of the components remains same after mixing.  The constitutive properties of the ideal solution are the arrange of the properties pure individual components.  For the formation of an ideal solution, the mixing substances should be with similar properties e.g. methanol & Ethanol, benzene & Toluene, methanol & Water, etc.  There is a complete uniformity of attractive forces b/w the constituents of an ideal solution.  The osmotic pressure of an ideal solution can be determined by Vent Hoff’s Rule. PROPERTIES OF REAL SOLUTION:  Total volume of real solution is not equal to the sum of volumes of all the components, i.e. V ≠ V1 + V2 + V3  During the mixing of components of real solution, there is either evolution or absorption of heat, i.e. ∆H ≠ O.  When the components of a real solution are mixed, there will be either shrinkage or expansion of the molecules of the components.  Real solutions can be obtained by mixing the components of different properties.  The attractive forces b/w the components of the real solutions are not the same.  There must be change in properties of the components of the real solution.  The real solutions deviate from Raoult’s Law in two ways: o If the cohesive forces are greater than adhesive forces. Then real solutions deviate positively from Raoult’s Law. E.g. Acetone, water, Benzene & Ethyl Alcohol, Ethanol & Water. o If the adhesive forces b/w the molecules of components are greater that cohesive forces, then real solution deviate negatively from Raoult’s Law. E. g. H2O + HCl, Acetone + Chloroform. Raoult’s Law: Raoult’s law states that, any particular temperature, the partial pressure of one component of a binary mixture is equal to the mole fraction of that component multiplied by its vapor pressure in the pure state at this temperature. According to Raoult’s law, in an ideal solution the partial pressure (P) of each volatile constituent is equal to the vapour pressure of the pure constituent (Po) multiplied by its mole fraction (X).
  • 46.
    Chapter 3. PhysicochemicalPrinciples 45 Muhammad Muneeb P = Po × X ESCAPING TENDENCY: The tendency to escape or expand is called escaping tendency. The escaping tendency of hotter body is greater than the escaping tendency of colder one. Colligative Properties: A. LOWERING OF VAPOUR PRESSURE: VAPOUR: The pressure exerted by the vapours of the liquids at equilibrium state with pure liquid, it self, at a given temperature is called vapour pressure of the liquid. LOWERING OF VAPOUR PRESSURE: When a non-volatile solute is combined with a volatile solvent, the solute decreases the escaping tendency of solvent, which on the basis of Raoult’s Law lower the vapour pressure of the solution. METHOD USED: Manometric method is used to determine vapour pressure. GRAPHICAL EXPLANATION: When a nonvolatile solute is dissolved in a pure solvent, the solute molecules adjust themselves b/w the intermolecular spaces and attractive forces are produced b/w the solute & solvent. Now, the solvent molecules cannot easily escape from solution & with the result the Vp is lowered at constant temperature. If the vapour pressure of solvent with dilute solute is P1, and pure solvent is P1 o . X1 and X2 are the mole fraction of solvent and solute then according to Raoult’s law, 𝑃1 = 𝑃1 𝑜 × 𝑋1 We know that, 𝑋1 + 𝑋2 = 1 𝑋1 = 1 − 𝑋2 Putting the value of X1 in first equation we get, 𝑃 = 𝑃1 𝑜 × (1 − 𝑋2) 𝑃 = 𝑃1 𝑜 −𝑃1 𝑜 𝑋2 𝑃1 𝑜 − 𝑃 = 𝑃1 𝑜 𝑋2 𝑃1 𝑜 − 𝑃 𝑃 1 𝑜 = 𝑋2 ∆𝑃 𝑃 1 𝑜 = 𝑋2 The relative lowering of vapour pressure depend only on the mole fraction of solute. As, 𝑥2 = 𝑛2 𝑛1 + 𝑛2 So,
  • 47.
    Chapter 3. PhysicochemicalPrinciples 46 Muhammad Muneeb As n2 is negligible in a very dilute solution so n1 + n2 ≈ n1 ∆𝑷 𝑷𝟏 𝒐 = 𝒏𝟐 𝒏𝟏 Where 𝒏𝟐 = 𝑾𝟐 𝑴𝟐 𝑎𝑛𝑑 𝒏𝟏 = 𝑾𝟏 𝑴𝟏 and If the weight of the solvent (W1) is 1000g then ∆𝑃 𝑃 1 𝑜 = 𝑊2 𝑀2 ⁄ 1000 𝑀1 ⁄ We know that W2/M2= m So, ∆𝑃 𝑃 1 𝑜 = 𝑚 1000 𝑀1 ⁄ ∆𝑃 𝑃 1 𝑜 = 𝑀1𝑚 1000 GRAPHICAL FORM: B. ELEVATION OF BOILING POINT BOLING POINT: The temperature at which the vapour pressure of a liquid becomes equal to the atmospheric pressure is called boiling point. Boiling Point ELEVATION: When a solute is added to a pure solvent, the boiling point of solution (solute + solvent) will be greater than the BP of the pure solvent. This difference b/w the boiling point of the solution & pure solvent at constant pressure is called elevation in boiling point.
  • 48.
    Chapter 3. PhysicochemicalPrinciples 47 Muhammad Muneeb Whenever a nonvolatile solute is added to a pure solvent, the V.P. of the solvent is reduced. So < the resulting solution will boil at a higher temperature is compared to that of pure solvent at. Some atmospheric pressure. And this difference is said to be elevation in B.P. APPARATUS: Cottrell apparatus is used for finding elevation of boiling point. GRAPHIC REPRESENTATION: From the above graph, it is shown that VP curve of solution lies below that of solvent, so to reach the normal BP, the temperature: is elevated (i.e. increased) in this increase in temperature of solution is called elevation in boiling point. MATHEMATICAL FORM: Elevation of boiling point: 𝑇 − 𝑇𝑜 = ∆𝑇𝑏 Lowering of vapour pressure: ∆𝑃 = 𝑃0 − 𝑃 The ratio of elevation of boiling point is proportional to the lowering of vapour pressure. ∆𝑇𝑏 ∝ ∆𝑃 ∆𝑇𝑏 = 𝐾 ∆𝑃 As P0 is boiling point constant it can be considered proportional to ΔP/Po . ∆𝑇𝑏 = 𝐾 ∆𝑃 𝑃𝑜 According to Raoult’s Law: ∆𝑃 𝑃 1 0 = 𝑋2 So, ∆𝑇𝑏 = 𝐾 𝑋2 ∆𝑇𝑏 = 𝐾 𝑛2 𝑛1 + 𝑛2 As n1 + n2 ≈ n1 So,
  • 49.
    Chapter 3. PhysicochemicalPrinciples 48 Muhammad Muneeb ∆𝑇𝑏 = 𝐾 𝑛2 𝑛1 Where 𝒏𝟐 = 𝑾𝟐 𝑴𝟐 𝑎𝑛𝑑 𝒏𝟏 = 𝑾𝟏 𝑴𝟏 And if the weight of the solvent (W1) is 1000g then: ∆𝑇𝑏 = 𝐾 𝑊2 𝑀2 ⁄ 1000 𝑀1 ⁄ We know that W2/M2= m ∆𝑇𝑏 = 𝐾 𝑚 1000 𝑀1 ⁄ ∆𝑇𝑏 = 𝐾 𝑀1𝑚 1000 OR ∆𝑻𝒃 = 𝑲𝒃𝒎 Where Kb is the ebullioscopic constant, which can be defined boiling point elevation for an ideal 1m solution. C. DEPRESSION OF FREEZING POINT: DEPRESSION OF FREEZING POINT: When a nonvolatile solute is dissolved in a pure solvent, then it will freeze at a lower temperature than the temperature at which pure solvent freezes. And this difference in freezing point b/w the pure solvent & solution is called freezing point depression. METHOD USED: Beckmann’s Apparatus or Equilibrium Apparatus is used to determine depression of freezing point. EXPLANATION: When a nonvolatile solute is added to a pure solvent at triple point, the lowering of vapour pressure of solution takes place, so in order to again establish equilibrium b/w solid & liquid, the temperature is further dropped & this leads to depression in freezing point of the solution as compared to FP of pure solvent and this is called dispersion in freezing point. This can also be explained by the following graph. As the F.P. of solvent in the temperature at which solid and liquid forms are in equilibrium while the F.P. of the solution is the temperature at which the solid solvent is at equilibrium with liquid solution.
  • 50.
    Chapter 3. PhysicochemicalPrinciples 49 Muhammad Muneeb MATHEMATICAL FORM: As V.P. of solution is less that the V.P. of pure solvent, so solid solvent and liquid solutions cannot coexist at freezing point of pure solvent and so the temperature is further reduced. Depression of freezing point 𝑇 − 𝑇0 = ∆𝑇𝑓 Lowering of vapour pressure ∆𝑃 = 𝑃0 − 𝑃 The ratio of depression of freezing point is proportional to the lowering of vapour pressure. ∆𝑇𝑓 ∝ ∆𝑃 ∆𝑇𝑓 = 𝐾 ∆𝑃 As P0 is freezing point constant it can be considered proportional to ΔP/Po ∆𝑇𝑓 = 𝐾 ∆𝑃 𝑃𝑜 According to Raoult’s Law, ∆𝑃 𝑃 1 0 = 𝑋2 So ∆𝑇𝑓 = 𝐾 𝑋2 ∆𝑇𝑓 = 𝐾 𝑛2 𝑛1 + 𝑛2 As n1 + n2 ≈ n1 So ∆𝑇𝑓 = 𝐾 𝑛2 𝑛1 Where 𝒏𝟐 = 𝑾𝟐 𝑴𝟐 𝑎𝑛𝑑 𝒏𝟏 = 𝑾𝟏 𝑴𝟏
  • 51.
    Chapter 3. PhysicochemicalPrinciples 50 Muhammad Muneeb And if the weight of the solvent (w1) is 1000g then ∆𝑇𝑓 = 𝐾 𝑊2 𝑀2 ⁄ 1000 𝑀1 ⁄ We know that W2/M2= m ∆𝑇𝑓 = 𝐾 𝑚 1000 𝑀1 ⁄ ∆𝑇𝑓 = 𝐾 𝑀1𝑚 1000 OR ∆𝑻𝒇 = 𝑲𝒇𝒎 Where Kf is the cryoscopic constant, which can be defined asfreezing point depression for an ideal 1m solution. As we know 𝑚 = 𝑊2 𝑊1 × 𝑀2 × 1000 So the above equation can be written as ∆𝑻𝒇 = 𝑲𝒇 𝑾𝟐 𝑾𝟏 × 𝑴𝟐 × 𝟏𝟎𝟎𝟎 D. OSMOTIC PRESSURE: Osmosis is defined as the passage of solvent into a solution through semi-permeable membrane (is barrier which allow only the molecules of one component to pass through). This process tends to equalize the escaping tendency of solvent on both sides of semi-permeable membrane. The escaping tendency can be measured in term of vapour pressure or the closely related colligative property osmotic pressure. Osmotic pressure is defined as the pressure greater than that above the pure solvent, that must be applied to the solution to prevent the passage of the solvent through a perfect semipermeable membrane. The phenomena of osmosis depend upon the fact that the chemical potential of a solvent molecule is less than that exist in the pure solution. Solvent therefore passes spontaneously into the solution until the chemical potentials of solvent and solution are equal. EXPLANATION. If a pure solvent is placed adjacent to a solution separated by a semipermeable & so dilute the solution & also raise the volume of the solution. And with the result the hydrostatic pressure (Osmotic pressure) is set up on the solution. This osmotic pressure can be measured by applying a known pressure, which stops any movement.
  • 52.
    Chapter 3. PhysicochemicalPrinciples 51 Muhammad Muneeb This osmotic pressure obtained is therefore proportional to the reduction in VP brought about by the concentration of solute present. And so, osmotic pressure is Colligative property. Osmotic pressure osmometers are shown in the figure above. It works on the same phenomena. Once equilibrium has been attained, the height of the solution in the capillary tube on the solution side of the membrane is greater by the amount h than the height in the capillary tube on the solvent side, the osmotic pressure can be measured by following formula. 𝑂𝑠𝑚𝑜𝑡𝑖𝑐 𝑃𝑟𝑒𝑠𝑠𝑢𝑟𝑒 𝜋 (𝑎𝑡𝑚) = 𝐻𝑒𝑖𝑔ℎ𝑡 (ℎ) × 𝑆𝑜𝑙𝑢𝑡𝑖𝑜𝑛 𝑑𝑒𝑛𝑠𝑖𝑡𝑦 (𝜌) × 𝐺𝑟𝑎𝑣𝑖𝑡𝑦 𝐴𝑐𝑐𝑒𝑙𝑒𝑟𝑎𝑡𝑖𝑜𝑛 Applications of Colligative Properties:  Each colligative properties seems to have certain advantages and disadvantages for the determination of molecular weights.  The boiling point method can be used only when the solute is nonvolatile and when the substance is not decomposed at boiling temperature.  The freezing point method is satisfactory for solutions containing volatile solutes, such as alcohol, since the freezing point of solution depends on the VP of the solvent alone. The freezing point method is easily executed and yields results of high accuracy for solutions of small molecules.  It is sometimes inconvenient to use freezing point or boiling point method, however, since they must be carried out at definite temperatures. Osmotic pressure measurements do not have this disadvantage, and yet the difficulties inherent in this method preclude its wide use.  In summary, it can be said that the cryoscopic and newer techniques of VP are methods of choice, except for very high polymers, in which instance the osmotic pressure method is used.  Since the colligative properties are interrelated, it should be possible to determine the value of one property from a knowledge of any other. Molecular Weight Determination: The four colligative properties discuss above can be used to determine the molecular weight of solvent in the following way: ∆𝑃 𝑃 1 𝑜 = 𝑛2 𝑛1 + 𝑛2 As n2 is negligible in a very dilute solution so n1 + n2 ≈ n1
  • 53.
    Chapter 3. PhysicochemicalPrinciples 52 Muhammad Muneeb ∆𝑃 𝑃 1 𝑜 = 𝑛2 𝑛1 Where, 𝒏𝟐 = 𝑾𝟐 𝑴𝟐 𝑎𝑛𝑑 𝒏𝟏 = 𝑾𝟏 𝑴𝟏 ∆𝑃 𝑃 1 𝑜 = 𝑊2 𝑀2 ⁄ 𝑊1 𝑀1 ⁄ By rearranging we get, 𝑴𝟐 = 𝑾𝟐𝑴𝟏𝑷𝟏 𝒐 𝑾𝟏∆𝑷𝟏 The molecular weight of a non-volatile solute can similarly determine from depression of freezing point as shown: ∆𝑇𝑓 = 𝐾𝑓𝑚 As we know 1000W2/W1 is the weight of solute per kilogram of solvent, molality can be expressed as, 𝑚 = 𝑊2 𝑊1 × 𝑀2 × 1000 So the above equation can be written as, ∆𝑇𝑓 = 𝐾𝑓 𝑊2 𝑊1 × 𝑀2 × 1000 By rearranging we get, 𝑴𝟐 = 𝑲𝒇 𝑾𝟐 𝑾𝟏 × ∆𝑻𝒇 × 𝟏𝟎𝟎𝟎 Similarly, by boiling point elevation the equation will become, 𝑴𝟐 = 𝑲𝒃 𝑾𝟐 𝑾𝟏 × ∆𝑻𝒃 × 𝟏𝟎𝟎𝟎 DETERMINATION OF MOLECULAR WEIGHT: Method Advantage Disadvantage Boiling Point Method The solute must be nonvolatile and the substance is not decomposed at boiling temperatures Must be carried out at definite temperature Freezing Point Method The solute can be volatile as the freezing point only depends on the vapour pressure of solvent. Freezing point method can be easily carried out and yields high accuracy of result Must be carried out at definite temperature Osmotic Pressure No need of definite temperature, so for high polymers osmotic pressure is use, such as for proteins molecular weight. - Routes of Solution Formulation:
  • 54.
    Chapter 3. PhysicochemicalPrinciples 53 Muhammad Muneeb Solutions can be formulated for different routes of administration.  Orally: syrups, elixirs, drops  Mouth & Throat: mouth washes, gargles, throat syrups  In Body Cavities: douches, enemas, ear drops, nasal syrups  On Body Surface: collodions, lotions Advantages of Solutions: 1. Easier to swallow 2. More quickly dissolution and effective than tablets and capsules 3. Homogeneous 4. Give uniform dose 5. Minimize adverse effects in GIT 6. Dilute irritant action of some drugs (aspirin, KI) Disadvantages of Solutions: 1. Bulky, therefore difficult to transport 2. Unpleasant taste or odor are difficult to mask 3. Needs an accurate spoon to measure the dose 4. Less stable than solid dosage form Major Signs of Instability: 1. Color changes 2. Precipitation 3. Microbial growth 4. Chemical gas formation Applications of Solutions: Solutions have a variety of use in pharmaceutical industry.  They’re used therapeutically as vehicles for oral, parenteral, topical, otic, ophthalmic and nasal products.  They’re also used as flavoring, buffers, preservatives and suspending agents for a variety of liquid dosage forms.  Concentrated stock solutions serve as component of extemporaneously prepared products.  Test solutions also play an important role in analysis of pharmaceutical products of all types. _______________________________________________________________________________________ B. SOLUBILIZATION Solubility:  DEFINITION: Solubility is rate and extent of solute to go into solvent to get homogenize until equilibria.
  • 55.
    Chapter 3. PhysicochemicalPrinciples 54 Muhammad Muneeb  QUALITATIVE DEFINITION: The spontaneous interaction of two or more substances to form a homogeneous molecular dispersion.  QUANTITATIVE DEFINITION: The concentration of solute in a saturated solution at a certain temperature.  MOLAR SOLUBILITY: Molar solubility is defined as the no. of moles of the substances per one liter of the solution. Types of Solutions:  SATURATED SOLUTIONS are holding as much solute as possible at a given temperature. The solution in which more amount of solute cannot be dissolved at room temperature is called saturated solution.  UNSATURATED SOLUTIONS will be able to dissolve more. The solution in which more amount of solute can be dissolved at a certain temperature is called unsaturated solution. It is also called sub- saturated solution.  SUPERSATURATED SOLUTIONS are holding more than they should be able to at a given temperature. When more amount of solute dissolved in saturated solution by increasing temperature, then the resultant solution is called supersaturated solution. Concepts of Solubility:  Like dissolves like  Polar dissolves polar  Nonpolar dissolves Nonpolar Expression for Approximate Solubility: The solubility of different substances in solvents can be expressed in different ways. Basically the solubility of substances is expressed as the no. of parts of solvent required for one part of solute. One the basis of this statement the solubility of solute is classified into following types:
  • 56.
    Chapter 3. PhysicochemicalPrinciples 55 Muhammad Muneeb Descriptive Terms Relative amounts of solvents to dissolve 1 part of solute Very soluble Less than 1 Freely soluble From 1 – 10 Soluble From 10 – 30 Sparingly soluble From 30 – 100 Slightly soluble From 100 – 1000 Very slightly soluble From 1000 – 10,000 Practically insoluble More than 10,000 THE BIOPHARMACEUTICS CLASSIFICATION SYSTEM: Class Solubility Permeability Absorption Pattern Example I High High Well absorbed Diltiazem II Low High Variable Nifedepine III High Low Variable Insulin IV Low Low Poorly absorbed Taxol Process of Solubilization: The process of solubilization involves the breaking of inter-ionic or intermolecular bonds in the solute, the separation of the molecules of the solvent to provide space in the solvent for the solute, interaction between the solvent and the solute molecule or ion. Process is explained in three steps as follow: STEP 1. Holes Open in the Solvent STEP 2. Molecules of the solid breaks away from the bulk STEP 3. The freed sold molecule is integrated into the hole in the solvent.
  • 57.
    Chapter 3. PhysicochemicalPrinciples 56 Muhammad Muneeb A mechanistic perspective of solubilization process for organic solute in water involves the following steps: 1. Break up of solute-solute intermolecular bonds 2. Break up of solvent-solvent intermolecular bonds 3. Formation of cavity in solvent phase large enough to accommodate solute molecule 4. Vaporization of solute into cavity of solvent phase 5. Formation of solute-solvent intermolecular bonds 6. Reformation of solvent-solvent bonds with solvent restructuring Factor Influencing Solubility: A. Solubility of Gases in Liquid: The concentration of the dissolved gas, when it is in equilibrium with some of the pure gas above the solution, is called solubility of a gas in liquid. The solubility of gases in liquids depends upon the following important factors: i. Pressure ii. Temperature iii. Presence of salt iv. Chemical reaction EFFECT OF PRESSURE:  The effect of pressure is observed only in the case of gases.  An increase in pressure increases solubility of gas in liquid.  At constant temperature, the solubility of a gas in a liquid is directly proportional to the applied pressure by obeying Henry Law.  For example, carbon dioxide is filled in cold drink bottles under pressure. EFFECT OF TEMPERATURE:  Generally, with the increase in temperature the solubility of gases in liquids decreases.  Because, when temperature is increased, the K.E of the molecules is increased which result in the evolution of gas from the solution & in this way solubility is decreased. PRESENCE OF SALT:  By the addition of salt (Electrolyte) the solubility of gas in liquid is decreased. And this phenomenon is called salting out process  E.g. addition of NaCl in carbonated water. Because, due to the addition of NaCl, the attractiveness of H2O towards dissociated from the solution. CHEMICAL REACTION: If gases are reacted with water, they have greater solubility. For example, HCl gas reacts with water & form HCl acid CO2 reacts with water form carbonic acid. So, by their chemical reactions, the solubility of gases in liquid is increased. APPLICATIONS:
  • 58.
    Chapter 3. PhysicochemicalPrinciples 57 Muhammad Muneeb In pharmacy, different solutions of gases in liquids are used, e.g.  Hydrochloric Acid  Ammonia Water  Effervescent preparations with CO2  Aerosol products. B. Solubility of Liquids in Liquids: Factors affecting are: 1. Attractive forces an Raoult’s law 2. Temperature 3. Influence of foreign substances ATTRACTIVE FORCES & RAOULT’S LAW: When two liquids are mixed, either Real or ideal solution is formed. If the adhesive forces are greater than cohesive forces, then there will be negative deviation from Raoult’s Law, so the solubility (Miscibility) is increased. And if the cohesive forces are greater than adhesive forces then there will be positive deviation from Raoult’s’ Law, leading to decreased solubility. TEMPERATURE: The mutual solubility’s of partially miscible liquids are greatly affected by temperature. So by this we can obtain following three types of graphs (solubility curves).  TYPE 1: In binary liquid system such as phenol-water: the solubility’s of two phases increases with increase in temperature until a temperature is obtained at which a homogenous mixture is formed. And this temperature is called upper critical temperature or upper consulate temperature (UCT). The temperature at which two phases merge into a single phase is called critical solution temperature.  TYPE 2: The binary liquid systems such as trimethylamine-water & paraldehyde water is completely miscible by decreasing the temperature. So they have lower consulate temperature (LCT). Above this temperature they are partially miscible with each other.  TYPE 3: Few binary mixtures such as nicotine-water shows both UCT & LCT, with an intermediate temperature peg ion. Such mixtures are soluble in all proportion above UCT & below LCT, while b/w UCT & LCT they are partially miscible with each other. INFLUENCE OF FOREIGN SUBSTANCES: The addition of a foreign substance in a binary liquid system effect the critical solution temperature or consulate temperature & in turn solubility. There will be two cases:  Case 1: When the additional substance is soluble in one component, then the mutual solubility of binary mixture is decreased. If binary mixture has UCT then it will be raised further & if mixture LCT then the temperature will be further decreased.  Case 2: If the third foreign substance is soluble in both the component, then it will increase the mutual solubility’s by decreasing UCT & raising the LCT. C. Solubility of Solids in Liquids:
  • 59.
    Chapter 3. PhysicochemicalPrinciples 58 Muhammad Muneeb From the experimental evidences it is concluded that solubility of solids in liquids are influenced by following factors: 1. Temperature 2. Surface area of solute 3. Molecular structure 4. Effect of particle size 5. Hydrophobicity of solute 6. Nature of solute and solvent EFFECT OF TEMPERATURE: Generally, in many cases solubility increases with the rise in temperature and decreases with the fall of temperature but it is not necessary in all cases. However, we must follow tow behaviors:  In endothermic process solubility increases with the increase in temperature and vice versa. E.g. solubility of potassium nitrate increases with the increase in temperature.  In exothermic process solubility decreases with the increase in temperature. E.g. solubility of calcium oxide decreases with the increase in temperature.  Gases are more soluble in cold solvent than in hot solvent. SURFACE AREA OF SOLUTE:  The size and shape of small particles (those in the micrometer range) also affect solubility.  Solubility increases with the decreasing particle size and hence increasing the surface area of solute. MOLECULAR STRUCTURE: The structure of solid has a great effect on solubility. For example: a. Ephedrine is insoluble in water in its pure from but its salt ephedrine – HCL is soluble in water. b. Same is the case of Phenobarbital converted into Phenobarbital Na. c. Erythromycin is decomposed in gut, when it is in its pure from avoid this, it is converted into erythromycin propionate. HYDROPHOBICITY OF SOLUTE:  Hydrophobicity (from the Greek hydro, meaning water, and phobos, meaning fear) is the physical property of a molecules (known as a hydrophobe) that is repelled from a mass of water.  Hydrophobic molecules tend to be nonpolar and, thus, prefer other neutral molecules and non-polar solvents. Hydrophobic molecules in water often cluster together, forming micelles. EFFECT OF PARTICLE SIZE:
  • 60.
    Chapter 3. PhysicochemicalPrinciples 59 Muhammad Muneeb NATURE OF SOLUTE AND SOLVENT:  Solubility of a solute in a solvent purely depends on the nature of both solute and solvent.  A polar solute dissolved in polar solvent.  And a non-polar solute is freely soluble in a non-polar solvent.  A polar solute has low solubility or insoluble in a non-polar solvent. Techniques of Solubility Enhancement: a) Physical Modifications a. Particle size reduction i. Micronization ii. Nanosuspension b. Modification of the crystal habit i. Polymorphs ii. Pseudopolymorphs c. Drug dispersion in carriers i. Eutectic mixtures ii. Solid dispersions iii. Solid solutions b) Chemical Modification a. Change of the pH b. Use of buffer c) Other Methods a. Cosolvency b. Complexation Distribution Law: The distribution Law / Nernst Distribution Law / partition Law can be defined as: “If a solute X distributes itself b/w immiscible solvents A and B at constant temperature and X is in the same molecular condition in both solvents.” 𝐾0 = Concentration of X in A Concentration of X in B
  • 61.
    Chapter 3. PhysicochemicalPrinciples 60 Muhammad Muneeb If C1 denotes the concentration of X in solvent A & C2 in solvent B, then the distribution law can be expressed as: 𝐾0 = 𝐶1 𝐶2 Where K0 is called Distribution coefficient / partition, coefficient / Distribution Ratio. APPLICATIONS OF DISTRIBUTION LAW: There are numerous applications of distribution law in laboratory and in industry. Among these some are given by: 1. EXTRACTION: This is the process used for the separations of active ingredients from the crude substances, by using selective solvents & standard extractive procedure. So by the process of separation the inert solvents are distilled off while leaving behind the active ingredients. This process is more efficient if the solvent is used in a number of small portions than one whole lot. 2. PARTITION CHROMATOGRAPHY: This method is used to separate a mixture of small amount(s) of active ingredients. This technique depends upon the difference in distribution coefficient b/w two components. 1. The component with highest coefficient will first move down in the separating column while a component with a lower distribution ratio comes down later. 3. ADSORPTION OF DRUG: The passage and extent of drug absorption through cell membrane depends upon the distribution coefficient. When the drug comes in contact with cell membrane, it is absorbed due to its distribution coefficient and enters into the cell. 4. PRESERVATION: The preservatives enter into the microorganisms due to distribution coefficient & act on the DNA of the microorganism & so stop the growth of that microorganism. This process is called preservation. 5. PRESERVATION OF EMULSION & CREAMS: In Emulsion & Creams, one component is dispersed throughout the other. The preservation of such products (i.e. Emulsion & Cream) also follows the distribution law. 6. RELEASE OF DRUG: When drugs are made available at the site of action, the active ingredient is selectively absorbed from the dosage from due to its distribution coefficient. SOLUBILIZATION: Definition: The process whereby water insoluble substances are brought into solution by incorporation into micelles is termed as solubilization. Factor Affecting Solubilization:  NATURE OF SURFACTANT: o In homologous series of Ionic surfactant solubilizing power increases with increase of hydrocarbon chain length.
  • 62.
    Chapter 3. PhysicochemicalPrinciples 61 Muhammad Muneeb o In non-ionic surfactants an increase in oxyethylene chain length decreases the solubilizing power.  NATURE OF THE SOLUBILIZATE: o No relation between the amount of solubilized and the physical properties of solubilized molecule exists. o An increase in alkylation Length of homologous series of solubilizate results into decrease in solubility. o Unsaturated compounds are relatively more soluble than their saturated counter parts o Branching of solubilizate has no effect but cyclization generally increases the solubilization  EFFECT OF TEMPERATURE: o In most system the amount of solubilized increases with increase in temperature this is particularly true in non-ionic surfactant as an increase in temperature gives / causes an increase in micellar size. Pharmaceutical Application of Solubilization: A wide range of insoluble drugs have been formulated using the principle of solubilization.  Phenobic Compounds (Cersol, Chlorocersol, Chlorokylenol, Thymol etc.) are solubilizing in water exploiting the principle of solubilization. e.g. Dettol  Solubilization of Iodine in Non-Ionic Surfactant - Such preparation is known as iodophores. Iodophores are less corrosive when used for surgical sterilization than Iodide-Iodine System.  Steroids for ophthalmic Preparation - Optical Clarity Requirement limits the use of oily solution so non-ionic surfactants (polysorbate or polyethylene sorbitian, esters of fatty acids are used to prepare solution of steroids in water.  Essential / Volatile Oils are solubilized using the principle of solubilization.  Water insoluble vitamins (A, D, E and K) - Fat soluble vitamins are made water soluble e.g. multivitamin syrups / drops  Problem of ‘Cloud Point’ is always there because it is decrease with added substances. Sucrose esters are used though increase hemolytic properties.
  • 63.
    Chapter 3. PhysicochemicalPrinciples 62 Muhammad Muneeb  Many other drugs like: o Analgesics o Sedatives o Sulfonamide o Antibiotics etc. These drugs are also solubilized using the solubilizing technique. SURFACTANTS: Surfactants:  Surfactants are wetting agents that lower the surface tension of a liquid, allowing easier spreading, and lower the interfacial tension between two liquids.  A surfactant or surface active agent is a substance that, when dissolved in water, gives a product, the ability to remove dirt from surfaces such as the human skin, textiles, and other solids.  Each surfactant molecule has a hydrophilic (water-loving) head that is attracted to water molecules and a hydrophobic (water-hating) tail that repels water and simultaneously attaches itself to oil and grease in dirt.  Surfactants are also referred to as wetting agents and foamers. Surfactants lower the surface tension of the medium in which it is dissolved. By lowering this interfacial tension between two media or interfaces (e.g. air/water, water/stain, stain/fabric) Natural and Synthetic Origin Surfactants: They can be either. Surfactants from natural origin (vegetable or animal) are known as oleo-chemicals and are derived from sources such as palm oil or tallow. Surfactants from synthetic origin are known as petro- chemicals and are derived from petroleum. Classification of Surfactants: 1. Ionic surfactant a. Anionic b. Cationic c. Zwitterionic (amphoteric) 2. Non-ionic surfactants Ionic Surfactant:
  • 64.
    Chapter 3. PhysicochemicalPrinciples 63 Muhammad Muneeb ANIONIC:  In aqueous solution these ionizes into a large anion, responsible for emulsifying ability, and a small cation.  In solution, the head is negatively charged. This is the most widely used type of surfactant for laundering, dishwashing liquids and shampoos because of its excellent cleaning properties and high (based on sulfate, sulfonate or carboxylate anions)  An example: Sodium dodecyl sulfate (SDS)  The most commonly used anionic surfactants are alkyl sulphates, alkyl ethoxylate sulphates and soaps. Anionic surfactants have 5 Subgroups:  ALKALI METALS AND AMMONIUM SOAPS: These are Na, K or NH4 slats of long chain fatty acids, such as olive, stearic and recinoleic. They usually produce O/W which are stable at pH above 10. They are sensitive to even weak acids. These are incompatible with polyvalent such as Al+3 , Ca+2 , Mg+2 , Zn+2 which causes phase inversion. They are not suitable for internal consumption or for broken skin due to high pH.  SOAPS OF DIVALENT AND TRIVALENT METALS: Ca+2 , Mg+2 , Zn+2 salts of fatty acids of these elements produce W/O emulsions. They are also not used internally but are less sensitive to acids.  AMINE SOAPS: A number of amines form salts with fatty acids. Most important is triethanolamine (N(CH2.CH2OH)3).  ALKYL SULPHATES: These are esters of fatty alcohols and H2SO4. The most important are Na- Lauryl sulphate and Nacetostearyl sulphate. They alone produce O/W emulsions of low stability. But produce stable emulsion in conjunction with fatty alcohols.  ALKYL PHOSPHATES: These are similar to alkyl sulphates but the alcohols are phosphated instead of sulphated. They are also used in combination with fatty alcohols. CATIONIC:  The quaternary ammonium compounds comprise the most important group of cationic surfactants.  They have disinfectant and preservative qualities as well as emulsifying properties.  In solution, the head is positively charged. (based on quaternary ammonium cations)  An example: Benzethonium chloride (BZT)
  • 65.
    Chapter 3. PhysicochemicalPrinciples 64 Muhammad Muneeb ZWITTERIONIC (AMPHOTERIC): These surfactants are very mild, making them particularly suited for use in personal care and household cleaning products. They can be: 1. Anionic (negatively charged), 2. Cationic (positively charged) or 3. Non-ionic (no charge) in solution, depending on the acidity or pH of the water. An example of an amphoteric / zwitterionic surfactant is alkyl betaine. e.g.: Cocamidopropyl betaine Non-Ionic Surfactants:  These surfactants do not have an electrical charge, which makes them resistant to water hardness deactivation.  They are excellent grease removers that are used in laundry products, household cleaners and hand dishwashing liquids.  All soluble surface active agents have: o A hydrophobic group i.e. a long chain of hydrocarbon o A hydorphilic group i.e. carboxy, hydroxy, amino group. TYPES OF NON-IONIC SURFACTANTS: 1. Glyco and Glycerol Esters 2. Sorbitan Esters 3. Macrogol Esters (Polyethylene or Polyoxyethylene glycol esters) 4. Macrogol Ethers 5. Poly-sorbates 6. Poloxalkols
  • 66.
    Chapter 3. PhysicochemicalPrinciples 65 Muhammad Muneeb 7. Polyvinyl alcohols 8. Higher fatty alcohols The most commonly used non-ionic surfactants are ethers of fatty alcohols e.g. Cocamide MEA Properties of Surfactants: Surfactants have following have pharmaceutical applications as well as physiology effects (A) PHYSIOLOGICAL EFFECTS. 1. On microorganisms: Surfactants such as quaternary ammonium compounds have useful anti- bacterial properties and so used as disinfectants for the instruments and skin, anti-bacterial creams and throat lozenges. They undergo adsorption at the cell surface followed by changes in cellular permeability leading to the death due to loss of essential substances from the cell. 2. On removal of bronchial mucus from the respiratory treat. In various infections such as asthma, bronchitis and tuberculosis bronchial mucus becomes viscous. So surfactants are used in the treatment of such conditions b/c they promote wetting, so mucus becomes soft and its removal is facilitated. Surfactants are given in the form of aerosols. 3. On human skin: The repeated contact b/w the skin and certain detergents may cause mild irritation and dry skin leading to blisters and pustules. This lead to onset of infection. Mechanism of Surfactant: Surfactants can work in three different ways: 1. ROLL-UP MECHANISM: The surfactant lowers the oil/solution and fabric/solution interfacial tensions and in this way lifts the stain of the fabric. 2. EMULSIFICATION: The surfactant lowers the oil-solution interfacial tension and makes easy emulsification of the oily soils possible.
  • 67.
    Chapter 3. PhysicochemicalPrinciples 66 Muhammad Muneeb 3. SOLUBILIZATION: Through interaction with the micelles of a surfactant in a solvent (water), a substance spontaneously dissolves to form a stable and clear solution. Applications of Surfactant: Surfactants play an important role in many practical applications and products, including:  DETERGENT: Detergent is a compound, or a mixture of compounds, intended to assist cleaning. The term is often used to differentiate between soap and other chemical surfactants used for cleaning purposes.  FABRIC SOFTENER: Fabric softenr (also called Fabric Conditioner) is used to prevent static cling and makes the fabric softer.  EMULSIFIER: Emulsifier (also known as an emulgent or surfactant) is a substance which stabilizes an emulsion.  ADHESIVE: Adhesive is a compound that adheres or bonds two items together.  INK: Ink is a liquid containing various pigments and / or dyes used for colouring a surface to render an image or text. Ink is used for drawing or writing with a pen or brush.  AS FLOCCULATING AGENTS: A controlled amount of the flocculation is often desirable in the formulation of suspension in order to obtain the required rheological properties and optimum stability.  LAXATIVE: Laxative is a preparation used for encouraging defecation, or the expulsion of feces. Laxatives are most often taken to treat constipation.  AS WETTING AGENTS: Hydrophobic powdered are difficult to wet and either float on the water surface or form large floccules. So viscosity of the preparation is increased up to such an extent that it is difficult to pour or with drawl of the correct dose from an inject able suspension is not possible so surfactants are added which reduce the inter particle attractive forces and increase adsorption at the solid / liquid interface.  AS SOLUBILIZING AGENTS: Chloroxylenol, a phenolic compound is used as anti-septic agent. Due to presence of surfactants Chloroxylenol is made solubilized. Similarly surfactants have been used to increase water solubility of phenobarbitone, volatile oils, chloroform, iodine hormones, dyes and sulphonamides.  They are used as additives to ointment and suppository bases.
  • 68.
    Chapter 3. PhysicochemicalPrinciples 67 Muhammad Muneeb  OTHER APPLICATION OF SURFACTANTS: o Wetting o Ski Wax o Snowboard Wax o Foaming o Defoaming o Quantum dot coating o Biocides (Sanitizers) o Hair Conditioners (after shampoo) o Spermicide (Nonoxynol 9) MICELLIZATION: Micelle:  A micelle (rarely micella, plural micellae) is an aggregate of surfactant molecules dispersed in a liquid colloid.  A typical micelle in aqueous solution forms a roughly spherical or globular aggregate with the hydrophilic "head" regions in contact with surrounding solvent, sequestering the hydrophobic tail regions in the micelle center.  At concentration of surfactants in bulk, phase become saturated. The surfactants molecules will begin to aggregate known as micelles.  As the concentration of monomer is increased, aggregation occurs over a narrow concentration range.  These aggregates which may contain 50 or more monomers are called micelles. A micelles lie within the size range of colloidal system. IUPAC Definition:  Micelle: Particles of colloidal dimensions that exists in equilibrium with the molecules or ions in solution from which is formed.  Micelle (polymers): Organized auto-assembly formed in a liquid and composed of amphiphilic macromolecules, in general amphiphilic di- or tri- block copolymers made of solvophilic and solvophobic blocks. Note: During formation of micelles, free energy of system is reduced. CMC:  The concentration of monomer at which micelles form is termed as the critical micelle concentration. Micellization:
  • 69.
    Chapter 3. PhysicochemicalPrinciples 68 Muhammad Muneeb  The process of micelle formation is known as micellization  Compounds forming micelles are called surfactant, surface active agent or amphiphiles  There are drugs which also from micelles and are known as micellar drugs e.g. cholorquine, diphenhydramine, orphenadrine, chlorphenoramine etc. Note: Since the diameter of each micelle is of order of 50 Å, micelle lie within the size range to be a colloid. Types of Micelles: According to MC Bains there are two types: 1. A small, spherical changed micelle which exist in all concentrations i.e. above and below CMC and is responsible for electrical conductivity. 2. A large, lamellar, un-dissociated micelle and is responsible for low osmotic properties. Micelle Shape as Per Type of Surfactant:
  • 70.
    Chapter 3. PhysicochemicalPrinciples 69 Muhammad Muneeb Surfactant Type Aggregate Structure Simple surfactants with single chains and relatively large head groups Spherical or ellipsoidal micelles Simple surfactants with relatively small head groups, or ionic surfactants in the presence of large amounts of electrolyte Relatively large cylindrical or rod-shaped micelles Double-chain surfactants with large head groups and flexible chains Vesicles and flexible bilayer structures Double-chain surfactants with small head groups or rigid, immobile chains Planar extended bilayer structures Double-chain surfactants with small head groups, very large, bulky hydrophobic groups Reversed or inverted micelles Increasing and Decreasing Trend of Micelles: Determination of CMC: Below the CMC the concentration of amphiphiles undergoing adsorption at the air-water interface increases as the total concentration of amphiphiles is raised. Eventually a point is reached at which both the interface and the bulk phase become saturate with monomers. This is called CMC. Any further amphiphiles added in excess of this concentration aggregates to form micelles in the bulk phase and in this manner the free energy of the system is reduced. It affects some physical properties of the system. Some properties show increasing trend while some other shows decreasing trend. E.g. the surface tension decreases up to the CMC and above the CMC, the surface tension remains constant, this shows that the interface is saturated and micelle formation has taken place in the bulk phase. Factors Affecting the CMC and Micelle Size: 1. NATURE OF THE HYDROPHOBIC GROUP:
  • 71.
    Chapter 3. PhysicochemicalPrinciples 70 Muhammad Muneeb  Hydrophobic group plays important role in determining type of association of group. Micellar amphiphiles have hydrocarbon groups’ constracted from hydrocarbon chains. Increase in length of this chain will decrease CMC and increase aggregation number.  Many drugs are surface active agents and form micelles. For example, diphenyl methane drugs. (diphenhydramine, orpheradrine, chlorphennoxamine etc.)  Hydrophilicity/ Hydrophobicity and substitute on such drugs play very important role in the determination of CMC and Aggregation number  Some representative examples: Antiparkinoism Drugs are used to reduce muscular rigidity neurological disorder marked by hypokinesia (abnormally diminished motor activity tremor and muscular rigidity).  Other Examples: o PHENOTHIAZINE TRANQULIZER  Priomazine  Chlorpromazine  Promethazine o ANTIDEPRESSANTS  Imipramine  Amitriptyline  Nor-triptyline They have tricyclic hydrophilic moieties.  Many aromatic and hetero aromatic ring structure (dyes, purines, pyrimidine) associate in nonmicellar process. 2. NATURE OF HYDROPHILIC GROUP:  Ionic hydrophilic groups of amphiphiles show different properties then Non- ionic hydrophilic groups may be due to difference in charge.  In general, non-ionic surfactants have “low CMC” and high aggregation numbers although they have same length of hydrocarbon chain. This is because in non-ionic surfactant no electrical work during the process of micellization. 3. EFFECT OF THE COUNTER-ION:  In case of cationic surfactant as the counter ion is charged in series, Cl- , Br- , I- , micelle size is an increase in order for Cl- < Br- < I- .  In case of anionic surfactant as the counter ion is charged in series, Na+ , K+ , Cs+ , micelle size is an increase in order for Na+ < K+ < Cs+ .  More weakly hydrated a counter ion larger the micelle formed. 4. EFFECT OF HYDROPHOBIC GROUP:  If hydrophobic group is aromatic, micelle does not form.  Length of hydrocarbon chain is directly proportional to micelle size & inversely proportional to CMC. We express this in mathematical term, Log [CMC] = A – Bm Where,
  • 72.
    Chapter 3. PhysicochemicalPrinciples 71 Muhammad Muneeb  A & B are homologous series constant.  m is the no. of carbon atom in chain. 5. ADDITION OF ELECTROLYTES: Electrolytes reduce the charges (force) on ionic surfactants so there is reduction in the magnitude of the force of repulsion between the charges had groups on the micelles. Hence, there is reduction in CMC and increase in aggregation number. 6. EFFECT OF TEMPERATURE:  This effect in particularly seen in non-ionic surfactants.  Solution of non-ionic surfactants when heated they turn turbid at a characteristic temperature known as “cloud temperature”.  Turbidity at “cloud point” is due to separation of the solution into “two” phases. i.e. dispersed phase of dispersion medium.  At temperature up to cloud point there is increase in Aggregation No. and decrease in CMC. Temperature has no profound effect on CMC and aggregation No. of Ionic Surfactant. Application:  Micelle increases bioavailability of poorly soluble drugs.  Polymeric micelle is used to target the tumor site by passive as well as active mechanism.  Micelle is used in ophthalmic drug delivery system that effectively delivers the drug to posterior tissue of eyeball.  Micelle is used to encapsulate the antibiotic & anticancer drugs. _______________________________________________________________________________________ C. ADSORPTION Introduction:  It is a surface phenomenon and refers to the uniform distribution of a substance through another at the surface.  It is the phenomenon in which a layer of ions, molecules or aggregates of molecules condense upon the surface with which they come in contact.
  • 73.
    Chapter 3. PhysicochemicalPrinciples 72 Muhammad Muneeb Importance: The term surface is customarily used when referring to a gas / solid or a gas / liquid interface. This phenomenon is a significant factor as:  Adjuncts in dosage forms  Penetration of molecules through biological membranes  Emulsion formation  Stability and the dispersion of insoluble particles in liquid media to form suspension Adsorption: It is an accumulation of substance at the interface or boundary between two and heterogeneous phases. For example, Solid-Gas, Oil- H2O, Gas-Liquid, or Solid-Liquid. Absorption: It implies the penetration one component throughout the body of a second. The distinction between adsorption and absorption is not always clear. Components of Adsorption: Adsorption consists of two components:  ADSORBENT: Adsorbant is the substance which adsorbs the other substance at its surface. E.g. Kaolin, pectin, altpulgite, talc, Magnisum trisilicate, Al(OH)3, Simithicone, CaCO3 (Activated Charcoal), Mg(OH)3 etc.  ADSORBATE: Adsorbate is the substance which is adsorbs on the other substance’s. E.g. Toxins, Strychnine HCl, Digoxin and many other drugs Types of Adsorption: PHYSICAL ADSORPTION CHEMICAL ADSORPTION Other Names
  • 74.
    Chapter 3. PhysicochemicalPrinciples 73 Muhammad Muneeb Vander Walls or Physical Adsorption Chemisorption or Chemical Adsorption Intermolecular forces It is an adsorption at the surface through weak “van der waal” forces. It involves stronger valence forces; it is more potent and usually involves “Ion Exchange Process” Nature Nature of gas: Easily liquefiable gases are adsorbed readily. Much more specific than physical adsorption. Heat of Adsorption Heat of adsorption is small (about 5 Kcal / mol) Heat of adsorption is large (20-100 Kcal /mol) Reversibility Reversible Irreversible Effect of Temperature Rapid at low temperature; decreases with increase in temperature Increase with increase of temperature Activation Energy No activation energy is involved May be involved Effect of Pressure Increase of pressure causes increased adsorption; decrease of pressure causes desorption. Change of pressure has no such effects. Layers on Adsorbent Surface Forms multimolecular layers on adsorbent surface Forms unimolecular layer.  Frequently both physical and chemical adsorption may be involved.  For example, in adsorption of “Toxins” in the stomach by “Attapulgite” and “Kaolin”  Chemisorption involves cation exchange with the basic group of Toxins and physical adsorption of the remainder of the molecule. Example:  Stychinine HCl onto Activated Charcoal (Solid – Liquid)  Activated Charcoal used in Respirators for civilian and forces (Solid- Gas)  Decrease in surface tension is due to surface active agent for example liquid-gas bonding.  Emulsifying agent as emulsion stabilizers in case of liquid- liquid bonding.
  • 75.
    Chapter 3. PhysicochemicalPrinciples 74 Muhammad Muneeb Adsorption may be:  Positive adsorption  Negative adsorption  Sorption SORPTION: When there is not any distinction between adsorption and Absorption, then a non-committal word “Sorption” is used. OR when both adsorption and absorption are taking place simultaneously, the process is termed as sorption. POSITIVE ADSORPTION:  Solution of Strychnine HCl shaken with activated charcoal resulted into different concentration of strychnine HCl at surface of charcoal than in the bulk. (Volume Concentration)  If surface concentration is greater than volume concentration adsorption is called positive adsorption NEGATIVE ADSORPTION:  If surface concentration is less than the bulk (volume concentration) the adsorption is called negative adsorption. Factor Affecting Adsorption:  Solubility of adsorbate  Nature of Adsorbate  Nature of adsorbent  Surface area of absorbant  Affinity between adsorbent and adsorbate  Concentration of both adsorbate and adsorbent  Pressure  Temperature  pH A. SOLUBILITY OF THE ADSORBATE: 𝐴𝑑𝑠𝑜𝑟𝑝𝑡𝑖𝑜𝑛 ∝ 1 𝑆𝑜𝑙𝑢𝑏𝑖𝑙𝑖𝑡𝑦  Highly soluble substance has poor/less adsorption on adsorbent surface due to more firm solute – solvent bonds. This empirical rule is known as Lundeliu’s Rule.  Phobic substances adsorb more than philic.
  • 76.
    Chapter 3. PhysicochemicalPrinciples 75 Muhammad Muneeb B. pH:  Ionization is effected by pH which actually affects the solubility of drugs.  In drugs with single molecules, adsorption increases when ionization is suppressed. It is maximum when drug is completely unionized.  Adsorption is maximum at isoelectric point. C. NATURE OF ADSORBENT:  Physio-chemical nature of adsorbent plays significant role on the rate and capacity of adsorption.  Finely divided particles have more adsorption capacity because of more surface area.  Adsorbents can be converted into activated form to increase the capacity of adsorption.  Example: Activated Charcoal o Special treatment to remove surface impurities o To convert into small particles o Activated charcoal is prepared from coco-nut shells.  Dust particles removed by steam and air.  Then converting into small particles. D. TEMPERATURE:  Adsorption is an exothermic process and an increase in temperature will decrease adsorption.  Small variation may not have much influence. E. PRESSURE:  Pressure leads to increase of adsorption and decrease of pressure causes desorption. F. CHROMATOGRAPHY:  Separation of components solutes in a solution exploits the principle of adsorption. Smallest difference in their absorbability or differences in their distribution/ partition between two phases.  ADSORPTION CHROMATOGRAPHY: Adsorbents like Kreselgur, charcoal, cellulose, MgO, CaO, PO4, CO3, etc. are packed in column (Stationary or Fixed Phase). Water, alcohol, chloroform etc as mobile phase. E.g. Thin Layer Chromatography  PARTITION CHROMATOGRAPHY: Two immiscible liquids are used H2O and CH3Cl (liquids) with silica gel which acts support for liquid as fixed phase and CH3Cl or other liquids as mobile phase. E.g. Paper Chromatography G. SURFACE AREA:  Adsorption being a surface phenomenon, the extent of adsorption depends on the surface area.  Increase in the surface area of the adsorbent increases the total amount of the gas adsorbed. H. NATURE OF GAS:  The amount of gas adsorbed by a solid depends on the nature of the gas.  In general, more Easily liquefiable gas is more readily adsorbed. I. HEATS OF ADSORPTION:
  • 77.
    Chapter 3. PhysicochemicalPrinciples 76 Muhammad Muneeb  Heat of adsorption is defined as the energy liberated when 1gm mole of a gas is adsorbed on the solid surface.  In physical adsorption, gas molecules concentrate on the solid surface. Thus it is similar to the condensation of a gas to liquid.  Therefore, adsorption like condensation is an exothermic process J. REVERSIBLE CHARACTER:  Physical adsorption is reversible process.  The gas adsorbed onto a solid can be removed under reverse conditions of temperature and pressure. K. THICKNESS OF ADSORBED LAYER OF GAS:  The physically adsorbed gas forms only one molecular thick layer.  However, above a certain pressure, multimolecular thick layer is formed. Measurement of Adsorption:  The relationship between amounts of gas adsorbed and partial pressure gives the adsorption isotherm.  Usually, N2 adsorption isotherms are taken.  The partial pressure of gas is increased to form monolayer on the surface of adsorbent. Type – I:  Type I isotherms are given by microporous solids having relatively small external surfaces e.g. activated carbons, molecular sieve zeolites, COFs/MOFs and certain porous oxides), the limiting uptake being governed by the accessible micropore volume rather than by the internal surface area.  The graph depicts Monolayer adsorption,  This graph can be easily explained using Langmuir Adsorption Isotherm.
  • 78.
    Chapter 3. PhysicochemicalPrinciples 77 Muhammad Muneeb  If BET equation, when P/P0 <<1 and c>>1, then it leads to monolayer formation and Type I Adsorption Isotherm is obtained. Type – II:  The reversible Type II isotherm is the normal form of isotherm obtained with a non-porous or macroporous adsorbent.  The Type II isotherm represents unrestricted monolayer multilayer adsorption.  The arrow point, the beginning of the almost linear middle section of the isotherm, is often taken to indicate the stage at which monolayer coverage is complete and multilayer adsorption about to begin. Type – III:  The reversible Type III isotherm is convex to the x axis over its entire range.  It also indicates unrestricted multilayer formation process.  It forms because lateral interactions between adsorbed molecules are strong in comparison to interactions between the adsorbent surface and adsorbate. Type – IV:  Adsorption on mesoporous solids proceeds via multilayer adsorption followed by capillary condensation resulting in Type IV and V isotherms.  Characteristic features of the Type IV isotherm are its hysteresis loop, which is associated with capillary condensation taking place in mesopores and the limiting uptake over a range of high P/P0. Type – V:  The initial part of the Type IV isotherm is attributed to monolayer multilayer adsorption since it follows the same path as the corresponding part of a Type II isotherm obtained with the given adsorptive on the same surface area of the adsorbent in a non-porous form.  The distinction between Types IV and V is analogous to  that between Types II and III. Type – VI:  The Type VI isotherm, in which the sharpness of the steps depends on the system and the temperature, represents stepwise multilayer adsorption on a uniform non porous surface.  The step height now represents the monolayer capacity for each adsorbed layer and, in the simplest case, remains nearly constant for two or three adsorbed layers. BET Equation: The adsorbed amount can be calculated by applying Branauer – Emett – Teller (BET) gas adsorption equation given by: 𝑝 𝑛𝑎. (𝑝0 − 𝑝) = 1 𝑛𝑚. 𝑐 + 𝑐 − 1 𝑛𝑚. 𝑐 × 𝑝 𝑃0  na = amount of gas adsorbed at relative pressure p/po  nm = monolayer capacity  c = BET constant related exponentially to enthalpy of adsorption to first layer
  • 79.
    Chapter 3. PhysicochemicalPrinciples 78 Muhammad Muneeb NOTE: BET equation is only applied to Type – I and Type – II isotherms. Types of Adsorbents:  Oxygen containing compounds o Typically, hydrophilic and polar o E.g. silica gel, zeolites  Carbon based compounds o Typically, hydrophobic and non-polar o E.g. activated carbon, graphite  Polymer based compounds o Polar or Non polar functional groups in a porous polymer matrix o Examples: Polymers & Resins Classification of Adsorbents Based on Pore Size:  Microporous Adsorbents o Pore Size Range - 2 Aº to 20 Aº  Mesoporous Adsorbents o Pore Size Range - 20 Aº to 500 Aº  Macroporous Adsorbents o Pore Size Range - > 500 Aº Commercial Adsorbents:  SILICA GEL o Drying of refrigerants, organic solvents, transformer oils o Desiccants in packing & double glazing o Dew Point Control of natural Gas  ACTIVATED ALUMINA o Drying of gases, organic solvents, transformer oils o Removal of HCl from Hydrogen o Removal of fluorine in alkylation process  ACTIVATED CARBON o Removal of odors from gases o Recovery of solvent vapours o Nitrogen from air o Water purification o Purification of He  POLYMERS & RESINS o Water Purification o Recovery & purification of steroids & amino acids o Separation of fatty acids from water & toulene o Recovery of proteins & enzymes  CLAY o Treatment of edible oils o Removal of organic pigments
  • 80.
    Chapter 3. PhysicochemicalPrinciples 79 Muhammad Muneeb o Refining of mineral oils o Removal of poly chlorinated biphenyls (PCBs)  ZEOLITES o Oxygen from air o Drying of gases o Drying of refrigerants & organic liquids o Pollution control including removal of Hg o Recovery of fructose from Corn Syrup Application of Adsorption: Adsorption has the application in: 1. Preparative and Analytical Chromatography 2. Heterogeneous catalysis 3. Water purification 4. Solvent recovery Medical and Pharmaceutical Applications: 1. ADSORPTION OF NOXIOUS SUBSTANCE FROM ALIMENTARY CANAL: Universal and antidote (activated charcoal, MgO and Tannic acid) when used orally, reduces toxic levels of poisoning. 2. REMOVAL OF TOXIC ELEMENTS FROM BLOOD: Some adsorbents are used to remove toxic elements by subjecting its dialysis through “hemodialysis” membrane over charcoal and adsorbents (chlorpheniramine, colchicine, Phenytoin, aspirin etc.) 3. TREATMENT OF SEVERE DRUG OVERDOSES:  Extracorporeal method has been developed named “Haemoperfusion”.  Microencapsulation of activated charcoal by Arcylic Hydrogel, a biocompatible material preventing Embolism and removal of platelets.  In vivo – In vitro relationship regarding adsorptive capacity of adsorbents.  No relationship exists.  Reason: o GIT and biological system have many other things which alter the adsorption ratio.  Example: o In vitro – 5g activated charcoal bin 8g of Aspirin o In vivo – 30g of activated charcoal inhibits the GIT adsorption of 3g of Aspirin by 50%. 4. ADSORPTION PROBLEMS IN DRUG FORMULATION: Drugs containing antacids and other drugs, when given, the above problem results. Adsorbents are non-specific nutrients, drugs and enzymes when given orally. Example: promazine given above or adsorbents.
  • 81.
    Chapter 3. PhysicochemicalPrinciples 80 Muhammad Muneeb Other Uses of Adsorption Phenomenon: 1. DECOLOURIZATION: During purification (by partitioning, crystallization and precipitation) chemical is tinted so colour is removed by adding activated charcoal or other appropriate adsorbents. Precaution: Adsorption active principle like alkaloid drugs on kieselguhr, adsorption is decreased. 2. ADSORPTION OF WATER VAPORS: Alumina and silica gel remain in solid forms even after 40% adsorption of H2O. CaCl2 and P2O5 also adsorb H2O but liquefy after water adsorption. Alumina and silica gel are preferred. 3. ADSORPTION OF PYROGENS: Pryrogen are low molecular weight drugs (glucose, sodium citrate, calcium gluconate etc.) can be pyrogen free but high molecular weight drugs get adsorbs highly on adsorbents so cannot be pyrogen free. 4. SURFACE AREA DETERMINATION: Properties of powders are highly influenced E.g. rate of soln. rate of oxidation, hygroscopic, sedimentation behavior, resistance to gas flow, bulk density and associated packing problems. 5. MONITORING OF PORE SIZE OF FILTER PAPERS: Membrane filtration for sterility pore size decreases to 450 nm. 6. STABILITY OF COLLOIDS: Protective colloids (lyophilic colloids for lyophobic colloid’s stability) 7. STABILITY OF EMULSIONS: By using emulsifying agents of appropriate HLB no. (Hydrophilic – lipophlic balance) Pharmacological Activity due to Adsorption at Receptor Sites. 8. RHEOLOGICAL PROPERTIES OF SUSPENSIONS: Heterogenous system behave differently than homogenous system behaves differently than homogenous systems. Adsorption at walls of container also adsorption into the container’s wall. _______________________________________________________________________________________ D. IONIZATION Theory of Ionization: Ionization theory was presented by Arrhenius in 1887 which consist of following postulates:  The substances called electrolytes are believed to contain electrically charged particles called ions.  These charges are positive for H+ ion or ions derived from metals and negative for the ions derived from non-metals. Number of electrical charges carried by an ion is equal to the valency of corresponding atom.  Molecules of electrolytes (acids, bases and salts) dissociate into oppositely charged ions on dissolution in water, e.g. 𝑁𝑎𝐶𝑙 ⇌ 𝑁𝑎+ + 𝐶𝑙− 𝐻𝐶𝑙 ⇌ 𝐻+ + 𝐶𝑙− 𝑁𝑎𝑂𝐻 ⇌ 𝑁𝑎+ + 𝑂𝐻−  The number of positive and negative charges on the ions must be equal so that the solution as a whole remains neutral.  In solution, the ions are in a state of disorderly or random motion. Upon colliding they may combine to give unionized molecules.
  • 82.
    Chapter 3. PhysicochemicalPrinciples 81 Muhammad Muneeb  Thus ionization is a reversible process in which the solution contains ions of electrolyte together with unionized molecules. 𝐻2𝑆𝑂4(𝑎𝑞) ⇌ 2𝐻+ (𝑎𝑞) + 𝑆𝑂4 2− (𝑎𝑞)  The extent of ionization or the degree of ionization depends upon the nature of electrolyte. Strong electrolytes such as HCl etc. ionize completely in water. Weak electrolytes such as acetic acid (CH3COOH) ionize only slightly  Ionization is not affected by electric current. Types of Solvents: On the basis of accepting or donating proton, solvents can be classified into four groups. i. Protophillic ii. Protogenic iii. Amphiprotic iv. Aprotic 1. PROTOPHILLIC:  Any solvent that can accept proton (H+ ) from solute is called Protophillic.  For example, liquids like (acetones, ether & liquid ammonia) are Protophillic solvents.  Also called basic solvents. 2. PROTOGENIC:  Those solvents which can donate proton (H+ ) are called Protogenic solvents.  They are usually acids in nature.  E.g. H2SO4, HCl, CH3COOH, etc. 3. AMPHIPROTIC:  Those solvents which can donate or accept the proton are around into amphiphiprotic solvents.  This group contains H2O, alcohols. 4. APROTIC:  Those solvents which cannot donate or accept protons are said to Aprotic.  They are used to study acidic and basic reactions of other compounds.  Hydrocarbons are grouped in this class of solvents. Law of Mass Action:  Law of mass action is stated by Guldberg and Waage. It states about the influence of the concentration of the reactants on the rate of reaction.  Law of mass action states that the rate at which substance reacts is proportional to its active mass and the rate of chemical reaction is proportional to the product of the active masses of the reactants.  Active mass is the number of moles per liter.  It is represented by placing the chemical formula of the substance in square brackets. For example, HCl is represented as [HCl].
  • 83.
    Chapter 3. PhysicochemicalPrinciples 82 Muhammad Muneeb Equilibrium: The state at which two opposing forces or actions are balancing each other is called equilibrium. Chemical Equilibrium: The state of reversible reaction when the two opposing reactions occur at the same rate and the concentration of reactants and products do not change with time is called chemical equilibrium. Law of Chemical Equilibrium:  When the above stated law of mass action is applied to a reaction in equilibrium, the result is termed as the law of chemical equilibrium.  For example, the reaction, 𝑎𝐴 + 𝑏𝐵 ↔ 𝑐𝐶 + 𝑑𝐷  The law of chemical equilibrium states the product of molar concentration of the products raised to the power equal to its co-efficient, divided by the product of the molar concentration of the reactants raised to its co-efficient, is constant at constant temperature and is termed as equilibrium constant. 𝐾𝑐 = [𝐶]𝑐 [𝐷]𝑑 [𝐴]𝑎[𝐵]𝑏 Where “Kc” is called constant of law of mass action, and is equilibrium constant for a specific chemical reaction. Characteristics of Equilibrium Constant:  Its value remains constant at a given temperature irrespective of the direction of approach.  The value of the equilibrium constant remains constant at given temperature and pressure irrespective of the concentration of the reactants and products.  The value of equilibrium constant depends on the nature and temperature of the reaction but it remains unaffected in the presence or absence of catalyst.  It gives information about the reaction proceeding in a particular direction at a given temperature. pH: pH is a measure of the acidity or basicity of an aqueous solution. Solutions with a pH less than 7 are said to be acidic and solutions with a pH greater than 7 are basic or alkaline. Pure water has a pH very close to 7. OR It is defined as the decimal logarithm of the reciprocal of the H+ ion acidity; aH + in a solution. 𝑝𝐻 = − 𝑙𝑜𝑔10(𝑎𝐻 +) = 𝑙𝑜𝑔10 ( 1 𝑎𝐻 +) pH Scale:
  • 84.
    Chapter 3. PhysicochemicalPrinciples 83 Muhammad Muneeb pH Indicators:  Indicators may be considered as weak acid or weak basis that act like buffers and also exhibit color changes as heir degree of dissociation varies with pH. E.g. methyl red shows its fuel alkaline color yellow at pH about 6 and full acid color red at pH 4.  So indicator offers a convenient way of calorimetric method of determining the pH of solution.  The dissociation of an acid indicator can be expressed as: 𝐾𝑖𝑛 = [𝐻3𝑂+][𝑙𝑛− ] [𝐻𝑙𝑛]  HIn is unionized form and In- is the ionize form, unionize form gives acid color and ionize form gives basic colour. When an acid is added to the solution of indicator, the H+ ion concentration increases and HIn predomination and give acid colour. When a base is added [H3O+ ] is reduced and more ionized form is produce so the color changes. 𝑝𝐻 = 𝑝𝐾𝑖𝑛 + [𝐵𝑎𝑠𝑒] [𝐴𝑐𝑖𝑑] Sorensen’s pH Scale:  Hydrogen ion concentration are typically very small number, it is b/w 1 (in one molar strong acidic solution) and 1 × 10-14 (in one molar strong basic solution). So, it is very difficult to handle such small calculations.  A chemist Sorensen established a method to express hydrogen ion concentration of a solution. This method is called Sorensen’s pH scale: and it is defined as: “The logarithm of reciprocal of hydronium ion is called pH.” 𝑝𝐻 = − log[𝐻]+  The pH has values b/w 0 & 14 with the help of pH value, the nature of solution (acidic or basic) can be determined.  If the solution has pH below 7 to 0, it will be acidic in nature. And the value at which hydrogen ion concentration is equal to hydroxyl ion concentration, then the solution has pH 7.47 (at 0o C) and 6.15 (at 100o C) and will be neutral in nature. o Neutral solution [H+ ] = [OH- ] o Acidic solution [H+ ] > [OH- ] o Basic solution [H+ ] < [OH- ] And o pH + pOH = 14 pKa:
  • 85.
    Chapter 3. PhysicochemicalPrinciples 84 Muhammad Muneeb pKa of an acid is the –ve log of its acid dissociation constant. Just as pH that is used to find H+ of a solution, pKa can be used to describe the dissociation constant of a weak acid. The higher the pKa, the weaker is the acid. E.g. o pKa of CH3COOH is 4.76. o pKa of HNO3 is –1.45. o pKa of (COOH)2 is 1.27. o pKa of CF3COOH is 0.25. Applications of pH in Pharmacy: 1. DRUG SOLUBILITY:  As many drugs are either weak acids or bases, so their solubility is affected by the change in pH.  The weakly acidic drugs (e.g. aspirin) are more soluble in alkaline solution because in alkaline solution they are converted into salt form, which is more soluble than in acidic form conversely the weakly basic drugs are more soluble in acidic solution.  And if the pH is lowered then acidic drug will be precipitated. So for the solubility of acidic drug pH should be higher than 7 & for basic drug lower than 7. 2. DRUG STABILITY:  Drugs are only stable at a certain pH. So for this purpose the pH of drugs must be constant otherwise the ionization of drug may take place, which decreases the therapeutic effect of the drug.  For example, cocaine HCl (Salt) is for two months at P H 5.7. But during this period P H is decreased to 4.2. So stability is decreased. If P H is increased from 5.7 to 6, its decomposition into its ions is decreased & stability increased. 3. DRUG ACTIVITY:  The activity of drug also depends upon their pH and its ionized or unionized form.  For example, mandelic acid, benzoic acid etc. are acidic drugs. They are more effective in unionized form than ionized form. So such acidic drugs need acidic medium (low pH) to get unionized form & for better effectiveness. 4. DRUG ABSORPTION: According to P H partition theory: “The acidic drugs are absorbed by the stomach (with low pH) and basic drugs are absorbed by intestine (having high pH).”  On the basis of this theory, we can conclude that for the absorption of an acidic drug (e.g. aspirin) the medium should have high concentration of hydrogen ions (low pH) & for the absorption of basic drug. (e.g. paracetamol) the absorption medium should have low concentration of hydrogen ions (having high pH). 5. ENZYME ACTIVITY: The activity of enzymes present in our body is influenced by pH. Some enzymes are active in acidic medium, some in alkaline and other in neutral medium. And beyond that limit enzymes become inactive and may be destroyed. E.g. pepsin works at 1.5 – 1.6.
  • 86.
    Chapter 3. PhysicochemicalPrinciples 85 Muhammad Muneeb 6. THERAPEUTIC EFFICACY: Solutions to be applied to tissues or administrative parenterally are liable to cause irritation of their pH is greater than the relevant body fluid e.g. pH of ophthalmic and nasal solution should be maintained. 7. PERMEABILITY OF THE DRUG THROUGH BIOLOGICAL MEMBRANES: This depends on the extent of ionization of drugs. The pH of solution can affect the extent of ionization of weakly acid / weakly basic drug. A drug in the non-ionized form is more permeable than its ionized form. Why so difficult to maintain a healthy pH? Our bodies are in constant state of metabolization. The process of metabolism creates acid, which is needed for acid and other biochemical processes. Buffer:  Buffers are compounds or mixture of compounds that by their presence in their solution resists change in pH upon the addition of small quantities of acid or alkali. The resistance to a change in pH is known as buffer action.  The substances used to produce buffer action are called buffers and usually consists of mixture of: o Type “A”: A weak acid and its conjugate base that is a salt o Type “B”: A weak base and a conjugate acid Types of Buffer Solution: On the basis of constituents of buffer solution, the buffer solution can be grouped into two types: 1. Acidic Buffers 2. Basic Buffers 1. ACIDIC BUFFER: Those buffer solutions, which are prepared by mixing a weak acid with its salt with strong base e.g. CH3COOH / CH3COONa, H2CO3 / Na2CO3 etc. 2. BASIC BUFFER: These are buffer solution which are formed by mixing base with its salt with strong acid e.g. NH4OH / NH4Cl & ephedrine / ephedrine HCl, etc. Mechanism: The resistance, which is offered to the change in pH of buffer solution is said to be buffer action or mechanism of buffer solution. As an acidic buffer has weak acid & salt of strong base, so buffer solution contains an acidic species which react with base added to the solution & a basic species which react with incoming acid in order to maintain pH of buffer solution. And this whole process reversed in case of basic buffer. For example, buffer solution CH3COOH / CH3COONa has acidic species H3O+ & basic species CH3COOH. When a basic species (e.g. OH- ) is added to this buffer solution. CH3COOH react with it & neutralizes it. And in the same way if acidic species (e.g. H3O+ ) is added to this buffer solution, the CH3COO- react with it & neutralizes it. 𝐶𝐻3𝐶𝑂𝑂𝐻 → 𝐶𝐻3𝐶𝑂𝑂− + 𝐻+ 𝐶𝐻3𝐶𝑂𝑂𝑁𝑎 → 𝐶𝐻3𝐶𝑂𝑂− + 𝑁𝑎+
  • 87.
    Chapter 3. PhysicochemicalPrinciples 86 Muhammad Muneeb On addition of OH- 𝐶𝐻3𝐶𝑂𝑂𝐻 + 𝑂𝐻− → 𝐶𝐻3𝐶𝑂𝑂− + 𝐻2𝑂 𝐶𝐻3𝐶𝑂𝑂− + 𝐻3𝑂 → 𝐶𝐻3𝐶𝑂𝑂𝐻 + 𝐻2𝑂 Common Ion Effect & Buffer Equation for A Weak Acid and Its Salt: TYPE A:  This expression is developed by considering the effect of a salt on the ionization of a weak acid when the salt and acid has a common ion e.g. when sodium acetate is added to acetic acid, the dissociation constant for a weak acid is: 𝐾𝑎 = [𝐴𝑐−][𝐻3𝑂+ ] [𝐻𝐴𝑐] = 1.75 × 10−5 distributed due to the acetate ion supplied by the salt. Hence in order to maintain the constant 1.75 × 10-5 , the hydrogen ion in nominator will decrease and the HAc in demoniatior increases. So that the constant Ka remains unaltered and the equilibrium is subjected towards the reactants. The ionization of acetic acid is represented: 𝐻𝐴𝑐 + 𝐻2𝑂 ⟶ 𝐴𝑐− + 𝐻3𝑂+ by the addition of common ion Ac- . This is an example of common ion effect. The pH of the final solution is obtained by arranging the equilibrium equation of dissociation constant. [𝐻3𝑂+] = 𝐾𝑎 [𝐻𝐴𝑐] [𝐴𝑐−] If the acid is weak and ionized only slightly then the expression HAc may be considered to represent the total concentration and it may be simply written as acid in a slightly ionize acetic solution. The Ac- ion only comes from the salt that is sodium acetate since one mole of sodium acetate yields one mole of acetate ion. The total concentration of Ac- ion may be replaced by the term salt. [𝐻3𝑂+] = 𝐾𝑎 [𝐴𝑐𝑖𝑑] [𝑆𝑎𝑙𝑡] Equation may be expressed in term of log, − 𝑙𝑜𝑔 [𝐻3𝑂] = − 𝑙𝑜𝑔𝐾𝑎 – 𝑙𝑜𝑔 [𝐴𝑐𝑖𝑑] + 𝑙𝑜𝑔 [𝑆𝑎𝑙𝑡] From this buffer equation is obtained for weak acid and its salt, 𝑝𝐻 = 𝑝𝐾𝑎 + 𝑙𝑜𝑔 [𝑆𝑎𝑙𝑡] [𝐴𝑐𝑖𝑑] This equation can give you calculation in range of 4 – 10 pH. TYPE B: Buffer solution of weak bases and their salts are ordinarily not prepared because of volatility and instability of the base and secondly because of the dependence of pH on pKw which is often affected by
  • 88.
    Chapter 3. PhysicochemicalPrinciples 87 Muhammad Muneeb temperature change e.g. ephedrine and ephedrine HCl is often used in pharmaceutical solution as buffer. Their buffer equation can also derive analogous to deserve weak acid buffer. [𝑂𝐻−] = 𝐾𝑏 [𝐵𝑎𝑠𝑒] [𝑆𝑎𝑙𝑡] [𝑂𝐻−] = 𝐾𝑤 [𝐻3𝑂−] Comparing both equations we get, 𝐾𝑤 [𝐻3𝑂−] = 𝐾𝑏 [𝐵𝑎𝑠𝑒] [𝑆𝑎𝑙𝑡] 𝑝𝐻 = 𝑝𝐾𝑤 – 𝑝𝐾𝑏 + log [𝐵𝑎𝑠𝑒] [𝑆𝑎𝑙𝑡] CONCLUSIONS:  The strength of an acid can be expressed in terms of either Ka or the Kb if its conjugate base is known.  The Ka of an acid can be calculated if the Kb of its conjugate base is known.  The stronger an acid is, the weaker is its conjugate base and vice versa. Factors Effecting pH of a Buffer Solution: There are some factors which influence the pH of buffer solution. Among these factors some are as follows: 1. NEUTRAL SALT: By the addition of small quantity of neutral salt, there is no effect on the pH of the buffer solution. But when the concentration of added neutral salt is increased, then pH of buffer solution changes due to change in ionic strength. 2. DILUTION: Dilution of buffer solution i.e. the addition of H2O in moderate quantities may not change pH but can cause small positive or negative deviation because it can act as weak acid or base. 3. TEMPERATURE: The pH of acetate buffers increases with temperature whereas pH of boric acid and sodium borate buffer decreases with increase in temperature and basic buffers are more effected by change in temperature. Buffer Capacity:  The magnitude of a resistance of a buffer to pH change is reffered as buffer capacity β.  It is also called buffer efficiency, buffer index and buffer value.  It is the ratio of the increment of strong base (or acid) to the small change in pH brought by this addition. 𝛽 = ∆𝐵 ∆𝑝𝐻  Δ β is the small increment in gram equivalent per liter of strong base added to a buffer solution to produce a pH change of ΔpH.
  • 89.
    Chapter 3. PhysicochemicalPrinciples 88 Muhammad Muneeb  According to equation, the buffer capacity has a value of one when one gram equivalent of base produce a pH change of 1 in one-liter buffer solution. MAXIMUM BUFFER CAPACITY: The capacity of a solution will be maximum, when salt to acid ratio of buffer solution is one (i.e. pH = pKa). According to buffer equation: 𝑝𝐻 = 𝑝𝐾𝑎 + 𝑙𝑜𝑔 [𝑆𝑎𝑙𝑡] [𝐴𝑐𝑖𝑑] If [salt] = [acid] 𝑝𝐻 = 𝑝𝐾𝑎 + log 1 𝑝𝐻 = 𝑝𝐾𝑎 + 0 𝑝𝐻 = 𝑝𝐾𝑎 Biological Buffers: The buffer which are present in different biological systems are called Biological or In-vivo buffers. Biological buffers are classified into two groups: 1. PRIMARY BUFFERS:  These buffers help in maintaining the pH of the blood. The normal value blood pH is 7.4. If it exceeds 8 alkalosis & if lower than 7 acidosis is resulted.  These are the buffers which are present in human blood plasma. Plasma has three types of buffer systems. o Carbonic acid & its salt i.e. H2CO3 / NaNCO3 o Phosphoric acid & its salt i.e. H3PO4 / Na3PO4 o Plasma protein in acts as acid & salt is formed. This resultant salt & uncombined protein forms a system, which acts as buffer. 2. SECONDARY BUFFERS:  The buffers are present in the RBC’s or erythrocytes are called secondary buffer. Following are some examples of secondary buffers. o Hemoglobin & oxy – hemoglobin (oxidizing buffer) o Phosphoric acid & potassium salt of phosphoric acid. Buffers in Pharmaceutical and in Biological System:  Blood is maintained at a pH of about 7.4 by 8.0 called primary buffers in erythrocytes. The plasma contains carbonic acid/ bicarbonates and acid/alkali Na salts of H3PO4 as buffers. Plasma proteins which behave as acid in blood can combine with bases and so act as buffers. In erythrocytes two buffer systems consist of hemoglobin / oxhemoglobin and acid/alkali K salts of H3PO4. When the pH of blood goes 7 or above 7.8 Life is in serious danger. The pH of blood in diabetic coma is alleged to drop as low as 6.8. Lacrimal fluids or tears have pH of 7.4. They have a high dilution value of 1:15 with neutral distilled water before an alternation in pH is noticed.
  • 90.
    Chapter 3. PhysicochemicalPrinciples 89 Muhammad Muneeb Drug as Buffer: The solutions of drugs are usually weak electrolytes, so they act as buffers in their own fashion. EXPLANATION: When salicylic acid is kept in glass bottle, the ions (e.g. Na+ ) reached out from walls & react with salicylic acid to form the conjugate base or salt (e.g. sodium salicylate). The salicylic acid & resulting salt from a buffer which resists the change in pH of the salicylic acid. Another example is of ephedrine (base). When HCl is added to its solution, ephedrine HCl is formed which is conjugate acid or salt of ephedrine. So both forming buffer and so stable the pH of the drug. Pharmaceutical Buffers: The buffer action of drugs is very small, which only maintains the pH drug by the addition of atmospheric CO2 or ions of glass. So far the stability of drugs, same additional buffer is used known as pharmaceutical Buffers. Some familiar examples of pharmaceutical buffers are as follows: 1. Gifford Buffer: [H3BO3 + NaCO3– H2O] → 9 This buffer solution is formed by mixing the solution of boric acid with solution of Monohydrated sodium carbonate and it is used in pH b/w 5→ 9. 2. Sorensen Buffer: [Na3PO4] 6 → 9 This buffer solution is obtained by mixing salts of sodium phosphate (Na3PO4). It is used in the pH range from 6 to 8. NaCl is also added in order to make the buffer isotonic with body fluid. 3. Palitzsch Buffer: [H3BO3 + Na3BO3] + NaCl; 7 →9 This buffer is obtained by mixing the solutions of boric acid & sodium borate. In this buffer, NaCl is added in order to make the solution isotonic with body fluid. It is used for ophthalmic solutions in the pH range of 7 to 9. 4. Clark-Lubs Buffers: 1. HCl and KCl pH; 1.2 – 2.2 2. HCl and K-Hydrogen Phthalate pH; 2.2 – 4.0 3. NaOH and K-Hydrogen Phthalate pH; 4.2 – 5.8 4. NaOH and KH2PO4 pH; 5.8 – 8.0 5. H3BO3, NaCl and KCl pH; 8.0 – 10.0 Preparation of Pharmaceutical Buffers: In order to prepare a pharmaceutical buffer, following steps are very important & to be known by the pharmacist. 1. For maximum buffer capacity, weak acid having PK a value equal to pH (of required solution) is used in the formation of pharmaceutical buffers. 2. In order to get required pH for buffer, the ratio of salt & weak acid is determined by buffer equation. It should be in the range of 4.0 → 10.0.
  • 91.
    Chapter 3. PhysicochemicalPrinciples 90 Muhammad Muneeb 3. The acid and salt used for the preparation of buffer solution should be 0.05 → 0.5 molar & final buffer solution with buffer capacity 0.01 → 0.1 is best. 4. Other important factors for the preparation of pharmaceutical buffer are: a. Availability of chemicals b. Sterility of final solution c. Stability of drugs & buffer with time d. Freedom from toxicity e. Cost of materials 5. Final step is the determination of P H & buffer capacity of final product. It may be different from calculated value because of activity coefficient of different chemicals used. Buffered Isotonic Solution:  In addition to pH adjustment pharmaceutical solution should also have same osmotic pressure so that of the body fluids. Isotonic solutions cause no swelling or contraction of tissue with which they come in contact. It can be demonstrated by mixing as small quantity of blood with aqueous sodium chloride solution with different toxicity (NaCl → 0.9g/100 ml ) is considered to be isotonic and other solution containing higher is considered hypertonic and less than 0.9g is considered hypertonic 2.0% boric acid solution is iso-osmotic with blood but can also pass through cell membrane easily.  Therefore, a solution containing a drug calculated to be isosmotic with blood is isotonic only when the blood is isotonic only when the blood cells are impermeable to solvent only.  Mucous lining of eye act as true semipermeable membrane which does not allow toxic acid to cross. Measurement of Toxicity:  The toxicity of solutions may be determined by one of two methods.  First is the hemolytic method in which the effect of various solution of drug is observed on the appearance of red blood cells suspended in the solution.  Second approach used to measure toxicity is based on any of the methods that determine colligative properties. The most important are: o White Vincent Method o The Sprowls Method Applications of Pharmaceutical Buffers: 1. SHICK TEST TOXIN: It is an immune diagnostic test for diphtheria. A dilution of diphtheria toxin is a dose of defined potency. A dilution prepared with isotonic buffer solution retains its potency for two months at 250 C. A mixture of borax boric acid / NaCl is used in isotonic buffer solution. 2. IMPROVING PURITY: Proteins are purified depends on the fact that amphoteric compounds are slightly soluble at their isoelectric point. For example, insulin precipitates from the aqueous solution in the pH range of 5 to 6. This technique is used for insulin purification. 3. INCREASED STABILITY: Because of hydrolysis, many compounds are unstable in aqueous solutions. These solutions can be stabilized by regulating the pH. For example, the stability of vitamins is within a narrow range of pH only. 4. ENHANCED SOLUBILITY: If the pH of the solution is not properly maintained, then the drug dissolution can precipitate. This principle applies in the dosage forms manufacturing, and some
  • 92.
    Chapter 3. PhysicochemicalPrinciples 91 Muhammad Muneeb pharmaceutical ingredients and drugs dissolve only at specific pH, hence, it is necessary to maintain the right pH of the solution. 5. OPTIMIZING BIOLOGICAL ACTIVITY: Enzymes contain most activity only on certain pH values. For example, at pH 1.5, there is a maximum activity of pepsin. 6. CULTURE MEDIA OF MICROORGANISMS: The preparation of microbial culture is of great importance in modern drug manufacturing. Microorganisms can grow only in optimum conditions of a definite pH range. So basic salts are used to maintain the pH of the culture at a specific range. 7. TISSUE CULTURE LABS: To keep the tissue cultures in-vitro, the pH of the system must be constant so that tissues may not be spoiled. _______________________________________________________________________________________ E. HYDROLYSIS Stability of Drugs:  Stability: is the capacity of a drug product to remain within specifications established to ensure its identity, strength quality and purity.  Instability may cause o Undesired change in performance, i.e. dissolution/bioavailability o Substantial changes in physical appearance of the dosage form o Causing product failures  In the rational design and evaluation of dosage forms for drugs, the stability of the active components must be a major criterion in determining their suitability.  Several forms of instability can lead to the rejection of a drug product. Factors Affecting Stability:  Environmental factors o Temperature o Light o Oxygen o Moisture o Carbon dioxide  Drugs or excipients in the dosage form o Particle size of drug o pH of the vehicle  Microbial contamination  Trace metal Contamination  Leaching from containers Types of Stability Studies: 1. PHYSICAL STABILITY:  Physical stability implies that the formulation is totally unchanged throughout its shelf life and has not suffered any changes by way of appearance, organoleptic properties, hardness, brittleness, particle size etc.
  • 93.
    Chapter 3. PhysicochemicalPrinciples 92 Muhammad Muneeb  It is significant as it affects: o Pharmaceutical elegance o Drug content uniformity o Drug release rate 2. CHEMICAL STABILITY:  Chemical stability implies the lack of any decomposition in the chemical moiety that is incorporated in the formulation as the drug, preservatives or any other excipients.  This decomposition may influence the physical and chemical stability of the drug.  Many drugs (e.g., digoxin and theophylline) have narrow therapeutic indices, and they need to be carefully titrated in individual patients so that serum levels are neither so high that they are potentially toxic nor so low that they are ineffective. For these drugs, it is of paramount importance that the dosage form reproducibly delivers the same amount of drug.  Second, although chemical degradation of the active drug may not be extensive, a toxic product may be formed in the decomposition process. There are several examples in which the products of degradation are significantly more toxic than the original therapeutic agent.  For example, the conversions of tetracycline to epianhydrotetracycline, arsphenamine to oxophenarsine, and p-aminosalicylic acid to m-aminophenol in dosage forms give rise to potentially toxic agents that, when ingested, can cause undesirable effects.  Third, instability of a drug product can lead to a decrease in its bioavailability, rather than to loss of drug or to formation of toxic degradation products. This reduction in bioavailability can result in a substantial lowering in the therapeutic efficacy of the dosage form. This phenomenon can be caused by physical or chemical changes in the excipients in the dosage form, independent of whatever changes the active drug may have undergone. Hydrolysis:  The decomposition of a substance by the addition of water molecule is called Hydrolysis.  The degradation of pharmaceutical preparation by reacting with water is known as Hydrolysis.  The reaction of an anion / cat ion with water accompanied by the cleavage of OH- bond as called Hydrolysis. Hydrolysis and Condensation: Hydrolysis can be the reverse of a condensation reaction in which two molecules join together into a larger molecule and eject a water molecule. Thus hydrolysis adds water to breakdown, whereas condensation builds up by removing water. Example: The Hydrolysis of acetylsalicylic acid (Aspirin) leads to the formation of acetic acid and salicylic acid.
  • 94.
    Chapter 3. PhysicochemicalPrinciples 93 Muhammad Muneeb And Note: The Hydrolysis may be:  Ester hydrolysis  Salt hydrolysis  Starch hydrolysis  Amide hydrolysis  ATP  Metal aqua ions Types of Hydrolysis: On the basis of substrate, the hydrolysis is classified into following two groups: i. Ionic Hydrolysis ii. Molecular Hydrolysis 1. IONIC HYDROLYSIS:  That type of hydrolysis in which water reacts with the ions of salts (which are made up of weak acid or base) is called ionic hydrolysis.  This is amphotyric type of hydrolysis, in which water either acts as acid or base depending on the provided ion. The water & ion react to form new acid & base.  As in this process transfer of proton is involved so also called protplysis. H2O + CH3COO- → CH3COOH + OH- NH4 + + H2O → H3O+ + NH3 2. MOLECULAR HYDROLYSIS:  That type of hydrolysis in which water reacts with a molecule of a compound is called molecular hydrolysis.  Due to this hydrolysis, decomposition of molecule takes place. For example: when aspirin is hydrolyzed it gives acetic acid & salicylic acid.
  • 95.
    Chapter 3. PhysicochemicalPrinciples 94 Muhammad Muneeb  Types: o Ester hydrolysis o Amide hydrolysis o Ring hydrolysis Some Functional Groups Subject to Hydrolysis: Drug type Examples Esters Aspirin, Alkaloids, Dexmethasne sodium phosphate, Nitroglycerin Lactones Pilocarpine, Spironolactone Amides Chloramphenicol Lactams Penicillins, Cephalosporins Imides Glutethimide Malonic ureas Barbiturates Effect of Hydrolysis on Drug Stability: The process of hydrolysis has a great influence on the stability of the drug. As due to hydrolysis drug is decomposed & new products are formed these new products may be toxic in nature & so decrease the therapeutic effect of the drug. Moreover, the hydrolysis also decreases the attractiveness of the drug i.e. inelegant take place. Factors Affecting Hydrolysis:  Moisture  pH  Temperature  Solvent Protection of Drugs from Hydrolysis: To avoid the hydrolysis of drug, various methods are used. Among these methods, some important ones are as follows.
  • 96.
    Chapter 3. PhysicochemicalPrinciples 95 Muhammad Muneeb 1. SOLID DOSAGE FORM:  To the hydrolysis and to retain the activity of solid dosage forms, they are kept in air tight vessels.  And at the time of administration they are first dissolved in water & then used.  This process is called reconstitution & the product is called reconstitute product is penicillin & its derivatives are commonly used by this method. 2. LIQUID DOSAGE FORMS:  The hydrolysis of liquid dosage forms is prevented by changing their pH with the addition of certain buffers.  By this not only an optimum pH of drug stability is obtained but the therapeutic activity of drug is also retained. 3. COMPLEX FORMATION:  Some drugs are prevented from hydrolysis by complex formation such complexes not only prevent the process of hydrolysis but the therapeutic effect is also not effected.  For example: when caffeine is added to Benzocaine, (caffeineBenzocaine complex) is formed, which resist the hydrolysis of Benzocaine, in this way its therapeutic activity is retained. 4. PACKAGING & HYGROCOPIC MATERIALS:  They drugs are provided in such packaging which do not allow the H2O molecules to pass for this purpose; aluminium foils are used.  Moreover, hydroscopic materials bags are placed in drugs which attract the water molecules or moisture & in this way hydrolysis of drugs may not take place. 5. pH OF MEDIA:  Some substances are more soluble in alkaline pH & basic drugs are more soluble in acidic pH.  So by changing the pH, their solubility is decreased & hence the hydrolysis of drug is prevented. 6. TEMPERATURE:  All the drug products are stored at suitable temperatures to avoid thermal acceleration of decomposition. Three varieties of temperatures are suggested for storage of drug products.  Room temperature, cool storage and cold storage. 7. LIGHT:  Light sensitive materials are stored in ambered colour bottles. 8. ADDITION OF SURFACTANTS AND SOLVENT:  Solubilization of a drug by surfactants in many cases protects against hydrolysis.  By the addition of a suitable solvent hydrolysis rate may be decreased. 9. REMOVAL OF H2O:  Hydrolytic decomposition may further be prevented by the removal of water.
  • 97.
    Chapter 3. PhysicochemicalPrinciples 96 Muhammad Muneeb  The drug may be stored in dry form and used as such or suspended as an insoluble powder in a suitable vehicle.  Even in the solid state, drug may decompose e.g. decomposition of solid aspirin due to temperature and humidity. Applications of Hydrolysis in Pharmacy: 1. Many substances of pharmaceutical importance hydrolyze in the solution and give alkaline and acidic solution that become the problem for magnification of pharmaceutics. 2. Salts of many alkaloids like ephedrine chloride and hyoscine chloride are weak bases. 3. Zinc sulphate, amerine hydrochloride in Vitamin E yield acidic solution. _______________________________________________________________________________________ F. MICROMERITICS Definition:  It is the science and technology of small particles.  The unit of particle size used in the micrometer (µm), micron (µ) and equal to 10-6 m.  As particle size decreases, area increases MICROMETRICS DEALS WITH:  Particle size and Size Distribution  Methods of Determining particles size  Particle shape and surface area  Pore size  Angle of repose Importance of studying Micromeritics:  Knowledge and control of the size and the size range of particles are of profound importance in pharmacy.  Size, and hence surface area, of a particle can be related in a significant way to the physical, chemical, and pharmacologic properties of a drug  Particle size of drug affects its release from dosage forms that are administered orally, parenterally, rectally and topically.  Physical stability and pharmacologic response of suspension, emulsion and tablets depend on particle size of drug.  It’s also important in flow properties and flowing of granules and powders in process of tablet formation.  Powders may differ from each other in having particles of different size ranges thus having different flow and packaging properties which alter the volumes of such powders during encapsulation and tableting processes.  Rate of formation of solution or dissolution of drugs depends on several factors. One of these factors is particle size of drugs. Thus particles having small dimensions tend to increase rate of dissolution. For Example:
  • 98.
    Chapter 3. PhysicochemicalPrinciples 97 Muhammad Muneeb  Griseofulvin has low solubility by oral administration but after reaching in the gastrointestinal tract (GIT) it gets absorbed very rapidly as its breaks down into smaller particles in GIT and passes membrane pores easily.  Reduction of particle size also increase rate of absorption in case of Tetracyclins, Aspirin and Sulphonamides. Particle Size and Size Distribution: In a collection of particles of more than one size, two properties are important, namely: 1. The shape and surface are of the individual particles 2. The particle size and size distributions (The size range and number or weight of particles) Types of Particles: 1. COLLOIDAL DISPERSION: Such types of particles are not seen by ordinary microscope and are only observed by ultra-microscope. 2. EMULSION AND SUSPENSION: Particles of suspension and emulsion can be observed by light microscope. 3. COARSE PARTICLES: These are observed on the basis of sieves. They are of three types: a. Particles of coarse powder, larger than sieve number 20 b. Particles of intermediate size, in the range of sieve number 20 & 200 c. Particles of fine powders i.e., smaller than sieve number 200. Particle Size: Particle size is related to the shape and surface area of individual particles. According to their shape, the particles are divided in to two groups. 1. SYMMETRICAL PARTICLES:  The particles having specific crystal shape and cane be expressed in term of their diameter (for example spherical) are known as symmetrical particles.  Symmetrical particles are mainly found in spherical shape. So if we know the diameter of spherical particles we can easily determine its surface area and volume by following expression. 𝑆𝑢𝑟𝑓𝑎𝑐𝑒 𝐴𝑟𝑒𝑎 = 𝜋𝑑2 𝑉𝑜𝑙𝑢𝑚𝑒 = 𝜋 𝑑3 6 2. ASYMMETRICAL PARTICLES.  The particles which have no specific crystal shape are termed as asymmetrical particles.  As the asymmetry of the particles increases then surface area and volume of the particles also become complex to be determined.  In order to determine their surface area and volume four different types so equivalent diameters are used i.e. o Surface diameter: The Surface diameter, ds, is the diameter of a sphere having the same surface area as the particle:
  • 99.
    Chapter 3. PhysicochemicalPrinciples 98 Muhammad Muneeb o Volume diameter: The Volume diameter, dv, is the diameter of a sphere having the same volume as the particle. o Projected diameter: The Projected diameter, dp, is the projected diameter of a sphere having the same observed area as the particle. o Stokes diameter: The Stokes diameter, dst, is the diameter which describes an equivalent sphere undergoing sedimentation at the same rate as the asymmetric particle.  Any collection of particles is usually polydisperse. It is therefore necessary to know not only the size of a certain particle, but also how many particles of the same size exist in the sample.  Thus, we need an estimate of the size range present and the number or weight fraction of each particle size.  This is the particle-size distribution and from it we can calculate an average particle size for the sample. PARTICLE SIZE DISTRIBUTION:  When the number or weight of particles lying within a certain size range is plotted against the size range or mean particle size, a so-called frequency distribution curve is obtained.  This is important because it is possible to have two samples with the same average diameter but different distributions. Applications of Micromeritics: 1. RELEASE AND DISSOLUTION:  Particle size and surface area influence the release of a drug from a dosage form.  Higher surface area allows intimate contact of the drug with the dissolution fluids in vivo and increases the drug solubility and dissolution. 2. ABSORPTION AND DRUG ACTION:  Particle size and surface area influence the drug absorption and subsequently the therapeutic action.  Higher the dissolution, faster the absorption and hence quicker and greater the drug action.
  • 100.
    Chapter 3. PhysicochemicalPrinciples 99 Muhammad Muneeb 3. PHYSICAL STABILITY:  The particle size in a formulation influences the physical stability of the suspensions and emulsions.  Smaller the size of the particle, better the physical stability of the dosage form. 4. DOSE UNIFORMITY:  Good flow properties of granules and powders are important in the manufacturing of tablets and capsules. Methods for Determining Particle Size: Many methods available for determining particle size such as optical microscopy, sieving, sedimentation and particle volume measurement. 1. Optical microscopy (range: 0.2-100 µm) 2. Sieving (range: 40-9500 µm) 3. Sedimentation (range: 0.08-300 µm) 4. Particle volume measurement (range: 0.5-300 µm) (Approximate size ranges of methods used for particle-size and specific surface analysis) RANGE OF PARTICLE SIZES: Particle size Method 1 mm Electron microscope, ultracentrifuge, adsorption 1 – 100 mm Optical microscope, sedimentation, coulter counter, air permeability >50 mm Sieving 1. Optical Microscopy (Range: 0.2-100 µm):  The microscope eyepiece is fitted with a micrometer by which the size of the particles may be estimated.  According to the optical microscopic method, an emulsion or suspension is mounted on ruled slide on a mechanical stage.
  • 101.
    Chapter 3. PhysicochemicalPrinciples 100 Muhammad Muneeb  The microscope eyepiece is fitted with a micrometer by which the size of the particles can be estimated.  The ordinary microscope used for measurement the particle-size in the range of 0.2 to about 100 µm.  The field can be projected onto a screen where the particles are measured more easily, or a photograph can be taken from which a slide is prepared and projected on a screen for measurement.  The particles are measured along an arbitrarily chosen fixed line, generally made horizontally across the center of the particle ADVANTAGES:  The presence of agglomerates as well as particle of more than one component can be detected by this method. DISADVANTAGES:  The diameter is obtained from dimensions of the particle.  The number of particles that must be counted (300-500) to obtain a good estimation of the distribution makes the method somewhat slow and tedious. COMPOSITION OF MICROSCOPE FOR MICROMERITICS: 𝑺𝒊𝒛𝒆 𝒐𝒇 𝒑𝒂𝒓𝒕𝒊𝒄𝒍𝒆 = 𝑵𝒐. 𝒐𝒇 𝒅𝒊𝒗𝒊𝒔𝒊𝒐𝒏𝒔 𝒄𝒐𝒗𝒆𝒓𝒆𝒅 × 𝑽𝒂𝒍𝒖𝒆 𝒐𝒇 𝒐𝒏𝒆 𝒅𝒊𝒗𝒊𝒔𝒊𝒐𝒏 𝒂𝒕 𝒂𝒏𝒚 𝒔𝒑𝒆𝒄𝒊𝒇𝒊𝒄 𝒎𝒂𝒈𝒏𝒊𝒇𝒊𝒄𝒂𝒕𝒊𝒐𝒏 2. Sieving (Range: 40-9500 µm):  Standard size sieves are available to cover a wide range of size.  These sieves are designed to sit in a stack so that material falls through smaller and smaller meshes until it reaches a meshwhich is too fine for it to pass through.  The stack of sieves is mechanically shaken to promote the passage of the solids.
  • 102.
    Chapter 3. PhysicochemicalPrinciples 101 Muhammad Muneeb  The fraction of the material between pairs of sieve sizes is determined by weighing the residue on each sieve.  The result achieved will depend on the duration of the agitation and the manner of the agitation.  Sieve Number: It is the no. of meshes in a length of 2.54 cm in each transverse direction parallel to each wire.  Mesh Size: It is the exact size of hole or mesh. ADVANTAGES: This method is generally useful for coarser particles b/c measurement of sizes smaller than 50µm is difficult. DISADVANTAGES:  A particle tends to aggregate during the process due to electrostatic charges.  Moisture can also lead to aggregation of powder the actual particle size may not be obtained.  Attrition of particles during sieving lead to size reduction.  Sieve loading and duration of shaking can influence the results.  The sieving process is affected considerably by the particle size distribution. Smaller particle will pass easily and larger size particle will block the mesh and even smaller particle will not pass. 3. Sedimentation (Range: 0.08-300 µm):
  • 103.
    Chapter 3. PhysicochemicalPrinciples 102 Muhammad Muneeb  By measuring the terminal settling velocity of particles through a liquid medium in a gravitational centrifugal environment using Andreasen appartus (Pipette).  Particles’ size is determined by implementing Stock’s law and hence diameter of particles determined is known as stock’s diameter (dst).  dst is referred to as equivalent diameter of a sphere when it is allowed to freely settle in capillary apparatus (andreasen apparatus).  In apparatus, liquid of known density is filled up and particles of known diameters (spherical) are allowed to settle down, firstly. Then same experiment is run for test particles.  A scale is present on the apparatus which is used to measure the distance (h) that particles cover while they settle down. 𝑑𝑠𝑡 = √ 18𝜂0ℎ (𝜌𝑠 − 𝑝0)𝑔𝑡  where v is the rate of settling, h is the distance of fall in time t, dst is the mean diameter of the particles based on the velocity of sedimentation, ρs is the density of the particles and ρ0 that of the dispersion medium, g is the acceleration due to gravity, and η0 is the viscosity of the medium  Stock’s law is only applied when particles settle down freely without any hindrance. Also there must be no aggregation or flocculation of settling particles.  Particles tend to go down in laminar flow. But if particles move down in turbulant flow then stock’s law will not be applied. In this situation Reynold’s equation is used. 𝑅𝑒 = 𝜐𝑑𝜌0 𝜂0  When value of Re is greater than 0.2 then particle flow is turbulant and at this stage stock’s law can’t be applied. ADVANTAGES:  The apparatus is inexpensive and technique is simple.  The results obtained are precise provided the technique is adequately standardized. DISADVANTAGES:  This method is time consuming, since separate analysis is required for each experimental point on the distribution curve.  It is difficult to determined very small particles b/c their sedimentation is prolonged due to convection, diffusion, and Brownian motion. Advanced Methods to Determine Particle Size:  Electron Microscopy  Scanning Electron Microscopy (Sem) And Transmission Electron Microscopy (Tem)  Dynamic Light Scattering  Air-Jet Sieving  Cascade Impactor  Elutriation  Acoustic Spectroscopy Importance of Micromeritics in Pharmacy:
  • 104.
    Chapter 3. PhysicochemicalPrinciples 103 Muhammad Muneeb  The physical properties of powders such as bulk density and compressibility are dependent on particle size and size distribution. For example, the bulk density of light and heavy magnesium carbonate differs b/c of the difference in their particle size.  The rate of dissolution of poorly soluble drug is directly related to the size of particles. Generally, decrease in size of particle increases the dissolution rate.  The chemical properties of particles such as the surface oxidation also depend on particle size.  The rate of absorption of drug and hence pharmacological activity depends on particle size of the drug material.  Elegance of the pharmaceutical preparation such as emulsion, suspension ointments, often depends upon particle size of the dispersed phase.  The drug release properties are also particle size dependent for example cream, ointment, suppositories.  The stability of system such as colloids suspensions and emulsion depends on the particle size. Increase in particle size decreases the stability of these systems.  Texture and colour of certain drugs depends on the particle size for example, the difference in colour of yellow and red mercuric oxide is due to difference in their particle size.  Pharmaceutical processes like extraction and drying are accelerated following the reduction in particle size of the material.  The adsorption capacity of a material increases by decreasing the particle size. _______________________________________________________________________________________
  • 105.
    Chapter 4. Dispersions 104 MuhammadMuneeb Unit 4. DISPERSIONS Outline:  Colloids: Types, methods of preparation, properties (optional, kinetic, electrical). Dialysis and artificial kidney, stability of colloids, protection and sensitization phenomenon and application of colloids in Pharmacy  Emulsions: Types, theories of emulsification, emulsifying agents their classification and stability of emulsion.  Suspensions: Type, Methods of Preparation, Properties, Suspending agents, their classification and stability. _______________________________________________________________________________________ A. COLLOIDS Dispersed Systems:  Dispersed systems consist of particulate matter (dispersed phase), distributed throughout a continuous phase (dispersion medium).  They are classified according to the particle diameter (size) of the dispersed material; 1- Molecular dispersions (less than 1 nm)  Particles invisible in electron microscope  Pass through semipermeable membranes and filter paper  Particles do not settle down on standing or by centrifugation  Undergo rapid diffusion (small sized particles)  E.g. ordinary ions, glucose and nutrients and peptides in blood
  • 106.
    Chapter 4. Dispersions 105 MuhammadMuneeb 2- Colloidal dispersions (1 nm - 0.5 μm)  Particles not resolved by ordinary microscope, can be detected by electron microscope.  Pass through filter paper but not pass through semipermeable membrane.  Particles made to settle by centrifugation  Diffuse very slowly e.g., natural and synthetic polymers 3- Coarse dispersions (> 0.5 μ m)  Particles are visible under ordinary microscope  Do not pass through filter paper or semipermeable membrane.  Particles settle down under gravity  Do not diffuse e.g., emulsions, suspensions, red blood cells Colloids:  When the diameter of particle of a substance dispersed in a solvent range from 10 Å (1 nm) to 5000 Å (0.5 μm), the system is termed as colloidal solution or colloidal dispersion or simply a colloid.  A system with at least one dimension (length, width or thickness) of dispersed particles in the range of 10 Å to 5000 Å is known as colloidal dispersion or colloids. PROPERTIES:  The colloidal solutions or colloids are intermediate between true solution and suspension.  The substance distributed as colloidal particles is called as dispersed phase.  And the second phase in which it is dispersed is called as dispersion medium.  The dispersed phase and dispersion medium can be in either of three states of matter.  Surface area of colloidal particles is much larger as compared to equal volume of larger molecules. Types of Sols or Colloids:  Sols are special types of colloids in which dispersion medium is liquid and dispersed phase is solid. There are three types of sols; o Lyophilic sols or colloids o Lyophobic sols or colloids o Association sols or colloids 1. LYOPHILIC SOLS:
  • 107.
    Chapter 4. Dispersions 106 MuhammadMuneeb  Lyophilic sols are those in which the dispersed phase exhibits an affinity for the solvent or the dispersion medium.  If in the lyophilic colloids, dispersion medium is water, then it will be called as hydrophilic colloids.  The best example of lyophilic (hydrophilic) colloids are dispersion of acacia, gelatin or proteins in water. Properties of Lyophilic Colloids:  They can be obtained by direct mixing of dispersed phase into dispersion medium.  There is no charge on the particles of hydrophilic colloids.  The particles of dispersed phase of lyophilic sols are surrounded by dispersion medium particles and solvation occurs.  In hydrophilic colloids, dispersion medium is water, hence it is termed Hydration.  Due to solvation, the lyophilic sols or colloids are viscous in nature.  As lyophilic sols have smaller particles size so they don’t show Tyndall effect (scattering of light by sol particles).  They are reversible colloids, because when they coagulate, then they are again converted into colloidal form.  Acacia, insulin, albumin and gelatin are among those lyophilic colloids that bear organic molecules and form colloidal solution in aqueous dispersion medium. (Hydrophilic)  Rubber and polystyrene form lyophilic colloids in nonaqueous, organic solvents. (Lipophilic) 2. LYOPHOBIC COLLOIDS:  Lyophobic colloids are solvent hating colloids.  Those colloids in which the dispersed phase has no attraction for the medium or the solvent are called as lyophobic sols or colloids.  Examples of solvent hating (lyophobic colloids) are dispersion of gold, ferric hydroxide and sulphur in water. Properties of Lyophobic Colloids:  They cannot be prepared by direct mixing of dispersed phase and dispersion medium.  As there is no force of attraction between dispersed phase and dispersion medium, so solvation does not occur in them.  As there is no solvation in lyophobic colloids, so their viscosity is similar to dispersion medium.  The particles of lyophobic colloids show tyndall effect.  When the particles of hydrophobic sols are coagulated, they cannot again form colloidal solution. So they are called as irreversible colloids. 3. ASSOSIATION OR AMPHIPHILLIC COLLOIDS:  The substances whose molecules aggregate spontaneously in a given solvent to form particles of colloidal dimensions at a particular concentration are called as association colloids.  In dilute solution the molecules of some substances such as soaps and artificial detergents are smaller than the colloidal particles. But when this concentration is increased their molecules form aggregates of colloidal size known as micelles. And this concentration at which aggregation occurs is called as critical micelle concentration (CMC).
  • 108.
    Chapter 4. Dispersions 107 MuhammadMuneeb  At low concentration: Amphiphiles exist separately (sub-colloidal size)  At high concentration: Form aggregates or micelles (50 or more monomers) (colloidal size)  As with lyophilic sols, formation of association colloids is spontaneous, provided that the concentration of the amphiphile in solution exceeds the CMC. Amphiphiles may be;  Anionic (e.g., sodium lauryl sulfate or SLS)  Cationic (e.g., cetyl triethylammonium bromide or CTAB)  Nonionic (e.g., polyoxyethylene lauryl ether or POLE)  Ampholytic (zwitterionic) e.g., dimethyl dodecyl ammonio propane sulfonate or DDAPS. Preparation of Colloids:  Due to attraction towards solvent molecules, lyophilic colloids can be prepared by simple mixing method e.g. protein in water or gum in water are prepared by direct mixing of two substances
  • 109.
    Chapter 4. Dispersions 108 MuhammadMuneeb  On the other hand, lyophobic colloids due to lack of attraction towards solvent have specific methods for their preparation  Two important methods are o Dispersion methods o Aggregation or condensation methods 1. DISPERSION METHODS: In this method, particle size is reduced by various methods to get particles of colloidal range. For this purpose, various methods are used. Some are given below:  Colloidal Mills: o The solid along with dispersion medium is fed into a colloidal mill having two steel plates in which one is at rest and other is moving or rotating at very high speed. o Due to motion of moving steel plates the solid particles are ground to colloidal size and give colloidal solution. o By this method inks and colloidal graphite are formed  Bredig’s Arc Method or Electro Dispersion: o When electric arc is produced by two metal electrodes in water. o The intense heat of spark vaporizes some metal and vapors condense under water and they form colloidal range particles by aggregation. o The water is kept cold by immersing the container in ice /water bath and trace of alkali (KOH) is added. As it is present in water so hydrosols are formed. E.g., hydrophobic colloids of silver, gold and platinum. o “Purple of cassius” is a colloidal solution of gold and is formed by the reaction of gold salts with tin(II) chloride  Ultrasonic Method: o Ultrasonic vibrations with frequency range of 20,000 to 2,00,000 cps are used to prepare colloidal sols. Mercury sols are prepared by disintegrating a layer of mercury into sol particles in water by this process. o Lipid nanoparticles (emulsomes) for targeted drug delivery are also prepared by this method.  Peptization (de-flocculation) method: o The dispersal of precipitated material into colloidal solution by the action of an electrolyte in solution is called peptization. OR o Process of breaking up secondary particles (coagulates, aggregates or floccules) into primary particles (colloids). OR
  • 110.
    Chapter 4. Dispersions 109 MuhammadMuneeb o Separation of particles from each other is called as peptization. o It is a reverse process of coagulation. o When powdered activated charcoal is added to water with stirring, the aggregated grains cannot be completely broken up and the resulting suspension is gray and translucent. o The addition of ≤0.1 percent sodium lauryl sulfate deflocculates the grains into finely dispersed particles and results in a deep-black and opaque dispersion. AgCl3 + H2O + AgNO3 → Ag sol. + HNO3 Fe(OH)3 + FeCl3 soln. → Fe sol. + 3HCl 2. CONDENSATION METHODS:  Sols are prepared from aggregation of true solution or molecular range particles to colloidal range.  These consists of: o Change of solvent o Chemical reaction i. Change of solvent:  Change in solvent to supersaturation leading to nuclei formation i.e. colloidal system formation  Used to prepare colloidal dispersions of organic material like stearic acid and psudo-latex etc.  Resin is present in molecular form in ethanol but in water these molecules precipitate out forming colloidal range particles.  Sulfur is insoluble in water but somewhat soluble in alcohol. When an alcoholic solution of sulfur is mixed with water, a bluish white colloidal dispersion results.  Weak basis and weak acids tend to solubilize in low and high pH, respectively, and likewise precipitate (condense) above and below their respective pKa values.  Depending upon the supersaturation of the nonionized bases or acids and the presence of stabilizing agents, the resultant dispersions may be within the colloidal range. ii. Chemical Reactions: 1. DOUBLE DECOMPOSITION:  A reaction in which the positive ions and negative ions in two compounds switch partners to form two new compounds.  E.g., When hydrogen sulfide is passed through a solution of arsenic trioxide in distilled water, we get a colloidal solution of Arsenic trisulfide. As2O3 + 3H2S → As2S3 + 3H2O  Process continues till yellow color of sol attains maximum intensity. 2. REDUCTION:  Silver and gold sols are prepared by treating dilute solutions of AgNO3 and AuCl3 with organic reducing agents. AgNO3 + tannic Acid  Ag sol AuCl3 + tannic acid  Au sol AuCl3 + SnCl3  2Au + SnCl4 AuCl3 + HCOH + H2O  Au + HCOOH  In addition, the reduction of copper, mercury, platinum, rhodium, and palladium salts with formaldehyde, hydrazine, hydroxylamine, hydroquinone, or stannous chloride form hydrosols of these metals, which are strongly colored (e.g., red or blue)
  • 111.
    Chapter 4. Dispersions 110 MuhammadMuneeb 3. OXIDATION:  When Hydrogen Sulfide gas is made to pass through an aqueous solution of sulphur dioxide, aqueous solution of sulfur colloids is obtained. It can also be obtained by passing the gas through a solution of an oxidization agent such as bromine water as well as nitric acid. SO2 + 2H2S → 3S + 2H2O SO2 + Br2 (aq.) → S + 2HBr 4. HYDROLYSIS:  The chemical breakdown of a compound due to reaction with water. FeCl3 (aq.) + 3H2O → Fe(OH)3 + 3HCl Purification of Colloids:  Sols or colloids prepared by various methods contain appreciable amount of electrolytes besides colloidal particles  These electrolytes tend to destabilize colloids so that’s why their purification is important  These electrolytes can be removed by various methods to get pure sols  Some of these methods are given below: o Dialysis o Ultrafiltration o Electro-dialysis 1. DIALYSIS:  The process of removing ions from a sol by diffusing through a permeable membrane is called dialysis  In this process, sol containing dissolved ions molecules or electrolytes is placed in a bag of permeable membrane and dipping in pure water, the ions diffuse through the membrane  By using a continuous flow of water, the concentration of electrolytes inside the membrane becomes zero. So after some time all the electrolytes present in sol can be removed easily. Factors Affecting Dialysis: The efficacy and speed of dialysis can be determined by the following factors;  Increased surface of solution exposed to membrane  Increased temperature  Electric potential across the membrane  Maximum concentration difference of dissolved substances across the membrane 2. ULTRAFILTRATION:  Separation of sol particles from liquid medium and electrolyte by filtration through an ultra-filter is called ultrafiltration  It is a slow process which can be speeded up by increasing pressure (negative pressure). The colloidal particles are left on the filter in the form of slime. The slime may be again added to fresh medium to get back the pure sol.  Ultra filter paper is a filter paper whose relatively larger pores are made small by using specialized solvents e.g. nitrocellulose.  It is also called as graded filter.
  • 112.
    Chapter 4. Dispersions 111 MuhammadMuneeb  Ultrafiltration is conducted under negative pressure (suction) through a dialysis membrane supported in a Büchner funnel. 3. ELECTRODIALYSIS:  When dialysis and ultrafiltration are used to remove charged impurities such as ionic contaminants, the process can be hastened by the use of an electric potential across the membrane. This process is called electrodialysis.  An electric potential may be used to increase the rate of movement of ionic impurities through a dialyzing membrane and so provide rapid purification.  Electrodialysis is carried out in a three-compartment vessel with electrodes in the outer compartments containing water and the sol in the center compartment.  Application of electrical potential causes cations to migrate to the negative electrode compartment and anions to move to the positive electrode compartment, in both of which running water ultimately removes the electrolyte. Properties of Sols (Colloids): Following are some important physical properties of lyophobic colloids:  Optical properties  Kinetic properties  Electric properties
  • 113.
    Chapter 4. Dispersions 112 MuhammadMuneeb 1. OPTICAL PROPERTIES:  Tyndall Effect: o The phenomenon of scattering of light by the sol particles is called Tyndall effect & resulting scattered became of light is called Tyndall became or Tyndall cone. o Tyndall effect is very useful in determining the particle size of colloidal solution. o True solutions do not show Tyndall effect because ionic or molecular sizes are very small & so cannot scatter the light. o Thus by using this phenomenon we can distinguish true solution & colloidal solution.  Electron Microscopy: o In electron microscopy when a focused became of electrons is allowed to pass through a colloidal solution. o The size & shape of colloidal parties can easily be determined individually. o By this process size & shape of several sol particles like paint pigments, viruses and bacteria are determined. o The resolving power of an electron microscope is very high resolving power 1/𝜆. o Thus by decreasing 𝜆 (wavelength), resolving power in increased.  Light Scattering: o This phenomenon can be explained on the basis of Tyndall EFFECT. o When light is passed through colloidal system, it will be scattered & turbidity of system is exulted. o The fractional decrease in intensity due to scattering as the incident light passes through 1cm of solution. o By this we can calculate the size of particles & also their molecular weight, correlating with turbidity, equation expressing this is HC/T = 1/M +2BC T = Turbidity C = Concentration of colloidal system H = optical constant M = molecular weight of particle B= interaction of the particles 2. KINETIC PROPERTIES: The properties which are based on the motion of particles with respect to the dispersion medium are called kinetic properties. Following are the same important kinetic properties of colloids:  Brownian Movement: o The continuous rapid zigzag movements executed by a colloidal particle in the dispersion medium is called the Brownian movement or motion. o At any instant a colloidal particle is struck by several molecules of dispersion medium from various directions. o When vapour molecules struck on one side than other the particles change its direction of motion. o This constant pushing of particles by dispersion medium does not permit the particles to settle down.  Diffusion: o The movement of particles from their higher concentration to lower concentration is known as diffusion. It is the direct action of Brownian movements.
  • 114.
    Chapter 4. Dispersions 113 MuhammadMuneeb o And the amount of substance (colloid) moved from one place to another can be determined by FLICK’s first law: Dq = – DA dc / dx. dt Dq = rate of diffusing substance D = diffusion coefficient A = area of diffusion Dc /dx = conc. Gradient Dt = time of diffusion  Osmosis: o It is special type of diffusion in which the particle moves from region of its higher concentration to lower concentration through semi permeable membrane. o The external pressure applied on solution to stop the osmosis of the solvent into solution separated by a semi permeable Membrane is called osmotic pressure and this can be determined by vent Hoff equation: Π = NRt n = W/M Π = W/M RT = M = WRT / Π Π = osmotic pressure T = absolute temperature R = gas constant M = molecular weight  Sedimentation: o The process by which the colloidal particle settles down in the dispersion medium due to force of gravity is known as sedimentation. o The velocity of sedimentation can be determined by following equation called stokes Law. o Most colloids do not show the process of sedimentation b/c the particles are very small sedimentation is opposed by their Brownian motion. o However, sedimentation can be achieved by placing the particle in a high speed centrifuge. o Thus gravitational Forces are replaced by centrifugal forces as much as 100000 times greater.  Viscosity: o Viscosity is a measure of fractional resistance offered by a system towards applied force. o And it mainly depends upon the shape & size of particles of the system. In colloidal system, the Lyophobic colloids are more viscous than solvents. o The equation of flow for a dilute colloidal system can be written as: n = no (1+2.5 ǿ) N= viscosity of the total dispersion no = viscosity of the dispersion medium ǿ = volume fraction = volume of dispersed phase / volume of dispersion medium 3. ELECTRIC PROPERTIES: The properties of colloids that depend upon the charge on colloids particles are called electric properties of colloids.  Electrical Double Layer: The combo nation of compact & diffused layer is called EDL. The colloidal (sol) particles get a positive or negative charge by adsorbing positive or negative ion from dispersion medium. o For example: Fe(OH)3 sol are positively charged by adsorption of Fe 3 ions from Fecl3 use in the preparation of sol.  The force of repulsion between similar charges on colloidal particle prevents them to aggregate, and to settle under the action of gravity.
  • 115.
    Chapter 4. Dispersions 114 MuhammadMuneeb o For example: the surface of colloids particle esquires’ positive charge by selective adsorption of positive ion layer around it. o The counter ions (which are negative in this case) form a layer around colloidal positively charged particle & this is called stern layer or solvated layer or compact layer.  The stern layer is surrounded by another layer of counter ions (positive in this case) this layer is called diffused layer or Guy’s Chapman’s layer.  The stern layer & diffused layer both are forming an electric double layer, which is very important for stability of colloids by preventing them from coagulation.  When different layers are formed on the charged colloidal particles, potential difference will also be present between them. These are: o Epsilon or Electro Kinetic Potential = sum of zeta potential & stern potential is called E.P. o Zeta Potential: The potential difference between the compact layer diffused layer is called zeta potential. o Stern potential: The potential difference between compact layer & surface of the particle. Electro-Kinetic Phenomenon: The phenomenon associated with the movement of charged particles through a dispersion medium or with the movement of dispersion medium over a charged surface is called E.K.P. 1. ELECTROPHORESIS:  The movement of colloidal is applied across two platinum electrodes dipping in hydrophilic colloids, the dispersed particles move towards one or the other electrode.  If water is used as dispersion medium then by this process, we can determine the charge on sol particles.  E.g. metals, AS2S3, starch & clay are positively charged because they move towards positive electrode while Fe(OH)3, Al(HO)3, basic dyes & haemoglobin are positively charged because they move towards negative electrode. 2. ELECTRO OSMOSIS:  The movement of the dispersion medium under the influence of an applied potential is known as electro-osmosis.
  • 116.
    Chapter 4. Dispersions 115 MuhammadMuneeb  It occurs due to the existence of zeta potential between the sol particles & the diffused layer moves & causes electro osmosis. 3. STREAMING POTENTIAL:  When dispersion medium is made mobile between two electrodes, a potential difference is produced between two electrodes & this is indicated by applying galvanometer in open circuit, this type of potential is called streaming potential. 4. SEDIMENTATION POTENTIAL:  When colloidal particles are settled down in the dispersion medium due to force of gravity (i.e. sedimentation) a potential difference is created between top & bottom surfaces of colloidal medium known as sedimentation potential. DLVO Theory:  When two uncharged hydrophobic particles are in close proximity they attract each other by Vander walls forces and if the particles are positive or negatively charged, they cause repulsion to the particles of the same charges.  If dispersion medium contains both the positive & negative charges, then they attract each other and coagulation will occur.  This theory explains the stabilization of colloids by electrostatic repulsion. This theory was suggested by four scientists namely Derjaguin, Landau, very & over beak that’s why called DLVO theory. Graph:
  • 117.
    Chapter 4. Dispersions 116 MuhammadMuneeb  This theory is explained in the form of graph where VA AND Vr’’ represent the Vander walls attractive energy & electrostatic repulsive energy respectively. Both of these energies decrease with the increase of the distance of separation of the colloids.  By the summation of attractive & repulsive forces between the colloidal particles, a net interaction curve (ABCDEF) is resulted that explain the stability of colloids.  The net curve indicates that as two particles approach each other (from d D to left side). The repulsive potential predominates & will be called as energy barrier at point ‘’c’’ If K.E of particles exceeds the potential energy barrier point ‘’C’’ then the distance between the particle decreases, the attractive forces.  Predominating & there will be irreversible flocculation at primary minimum & there will be un- stability of colloids.  On the other hand, if we go from pint C to right side, there is fall of repulsive forces & at a certain distance de, there will also be flocculation of particles at secondary minimum but this type of flocculation is called reversible flocculation. Total energy: VT = VA + VR Where, VA = Vander walls attractive forces, VR = electric repulsive forces. Interaction of Colloids: When two or more colloidal systems are mixed with each other, they interact and affect the properties of each other. Some of such interactions are 1. Mutual precipitation or flocculation:  When two hydrophobic colloids having opposite charge are mixed with each other.  The opposite charged particles will attract each other leading to coagulation.  This type of coagulation is known as mutual precipitation or flocculation  For example, when sulphur colloid (having –ve charged particles) mixed with colloidal solution of Fe(OH)3 having +ve charges, flocculation will occur. 2. Coaservation:  When two hydrophillic colloids with opposite charges are mixed together, the charged particles will interact forming two layers  Upper one is called colloidal poor layer  Lower one is colloidal rich layer  This process of separating the colloidal layers into two layers is known as coaservation  For example, colloidal solution of acacia (-ve charge) with colloidal solution of gelatin (+ve charge) at pH=3 3. Sensitization:  If a hydrophilic colloidal solution is added to hydrophobic colloidal solution in a very small amount, the hydrophilic colloid will decrease the zeta potential of the hydrophobic colloid and make them sensitive for instability and broken on the addition of electrolyte, this process is called as sensitization. 4. Protection:
  • 118.
    Chapter 4. Dispersions 117 MuhammadMuneeb  If in a mixture of hydrophilic and hydrophobic colloid, the conc. of hydrophilic colloid is greater, it will stabilize the hydrophobic colloid on the addition of electrolyte and protects it from breaking.  The hydrophilic colloid which protects the hydrophobic colloid is called as protective colloid.  E.g. 20% soln. of acacia (hydrophilic) will increase stability of hydrophobic sulphur colloid. Acacia will thus be called as protective colloid Factors Affecting Stability of Colloids: Following factor affect the stability of colloids  Presence of charge  Removal of charge  Presence of solvent layer  Addition of electrolyte 1. PRESENCE OF CHARGE:  For stability of colloids the presence of charge on the surface of colloids is must  In the absence of charge, the hydrophobic colloids will coagulate  For this the dispersed particles of hydrophobic colloids contain a like electric charge +ve or –ve on their surface  Due to similar charges they will repel each other and system will be stable 2. REMOVAL OF CHARGE:  In dialysis, when charges are present in colloidal solution they are removed to purify and to be stable 3. PRESENCE OF SOLVENT LAYER:  The presence of solvent layer around the particles of lyophilic colloids make them stable and on addition of electrolyte they have a layer of solvent bound on the layer  This solvent layer prevents the electrolyte to react with charge on particles and so also form aggregation  For example, gelatin particles have +ve charge and a layer of water bound to it  When electrolyte (NaCl) is added, the water layer prevents the Na ions to react with gelatin so aggregation does not occur  This can also be exemplified by considering EDL which prevents coagulation 4. ADDITION OF ELECTROLYTE:  When a small amount of electrolyte is added to a hydrophobic colloid the energy barrier of colloid is decreased which cause flocculation of colloid by reduction of EDL  When sufficient amount of electrolyte is added to hydrophobic colloid it will further decrease EDL and energy barrier resulting in coagulation and instability 5. SCHULZ HARDY RULE:  Not only the amount of electrolyte but valency is also responsible for aggregation of particles. Gold Number:
  • 119.
    Chapter 4. Dispersions 118 MuhammadMuneeb  Hydrophilic colloids are protective for hydrophobic colloids but the degree of protection varies and determined by their Gold Number  No. of milligrams of hydrophilic colloids that will just prevent the precipitation of 10mL of gold solution on addition of 1ml of 10 % NaCl  Onset of precipitation indicated by change in color from red to violet Artificial Kidney Machine:  Patient’s blood (arterial) pass through Cellophane coils (ideal semi permeable membrane for haemodialysis).  Cellophane pass urea, glucose, electrolytes but don’t pass plasma proteins & blood cells  Pure dialyzed blood enters the body again through a vein.  Success of the artificial kidney machine depends on its ability to reduce blood urea.  Cellophane coils are supported on a drum rotating in electrolyte solution (rinsing fluid).  Cellophane is an ideal smei-permiable membrane for haemodialysis as its pore size is such that electrolytes, urea and glucose all can pass freely across it, while the larger molecules such as plasma proteins, lipid fraction and blood cells cannot pass.  Cellophane tube cannot allow bacteria to pass across it, so that only the inside surface need sterilization.  Artificial kidney machine is used for the haemodialysis  The success of artificial kidney machine depends upon the reduction of blood urea by passage of the patient’s blood through the coils of cellophane tubing which is immersed in a suitable rinsing fluid  The molecular composition is designed to create a diffusion gradient from blood to rinsing fluid of substances which are present in excess in the blood (urea) and from the rinsing fluid to blood of the substances which are deficient in the body (bicarbonate)  While the concentration of those diffusible substances which are present in the normal amounts in the blood is kept unaltered by having them present in same concentration as in rinsing fluid.  The length of cellophane tubing is about 60 m Pharmaceutical Applications of Colloids:  Colloidal silver iodide, silver chloride & silver protein are effective germicides or antiseptics & not cause irritation as ionic silver salts do.  Colloidal copper is used as anticancer.
  • 120.
    Chapter 4. Dispersions 119 MuhammadMuneeb  Colloidal gold is used as diagnostic (radioactive) agent.  Colloidal mercury used in syphilis.  Association colloids are used to increase solubility & stability of certain compounds in aqueous & oily pharmaceutical preparations.  Efficiency of certain substances is increased when used in colloidal form due to large surface area. E.g. efficiency of kaolin in adsorbing toxins from GIT. and efficiency of aluminum hydroxide as antacid.  Blood plasma substitutes like dextran, PVP & gelatin are hydrophilic colloids and are used to restore or maintain blood volume.  Iron - dextran complex form non-ionic hydrophilic sols used for treatment of anemia.  Therapy: Colloidal system are used as therapeutic agents in different areas. o E.g. Silver colloid – Germicidal Copper colloid – Anticancer Mercury colloid – Anti-syphilis  Stability: o Lyophobic colloids prevent flocculation in suspensions. o Colloidal dispersion of gelatin is used in coating over tablets and granules which upon drying leaves a uniform dry film over them and protect them from adverse conditions of the atmosphere.  Absorption: o As colloidal dimensions are small enough, they have a huge surface area. Hence, the drug constituted in colloidal form is released in large amount. o E.g.- sulphur colloid gives a large quantity of sulphur and this often leads to sulphur toxicity  Targeted Drug Delivery o Liposomes are of colloidal dimensions and are preferentially taken up by the liver and spleen.  Photography: o A colloidal solution of silver bromide in gelatin is applied on glass plates or celluloid films to form sensitive plates in photography.  Clotting of blood: o Blood is a colloidal solution and is negatively charged. o On applying a solution of FeCl3 bleeding stops and blood clotting occurs as Fe+3 ions neutralize the ion charges on the colloidal particles. _______________________________________________________________________________________ B. EMULSIONS Definition:  An emulsion is a thermodynamically unstable system consisting of at least two immiscible liquid phases one of which is dispersed as globules in the other liquid phase stabilized by a third substance called emulsifying agent.  An emulsion is an intimate mixture of two immiscible liquids that exhibits an acceptable shelf life near room temperature.  In emulsion, the component which is present in the form of small droplet is called internal / discontinuous/dispersed phase and the other component present as liquid is called external phase or continuous phase or dispersion medium.
  • 121.
    Chapter 4. Dispersions 120 MuhammadMuneeb  Most emulsion will have droplets with diameters of 0.1 to 100μm. Internal Phase or External Phase in Emulsions:  The dispersed liquid is known as the Internal or Discontinuous phase. The droplet phase is called the dispersed phase or internal phase whereas the dispersion medium is known as the External or Continuous phase.  The liquid in which droplets are dispersed is called the external or continuous phase. Composition of Emulsion: 1. AQUEOUS PHASE:  Consists of purified or the ionized water which contains water soluble drug preservatives, coloring and flavouring agents.  If tap water or hard water is used in the formulation it has adverse effect on the stability of emulsions, particularly those emulsion containing fatty acids and soap as emulsifying agents.
  • 122.
    Chapter 4. Dispersions 121 MuhammadMuneeb 2. OILY PHASE:  The oily phase of an emulsion consists of fixed, volatile or mineral oil which contains oil soluble vitamins and antiseptics.  The oil used in the formation of an emulsion should be auto-oxidation as well as from microbes. 3. EMULSIFYING AGENTS:  It is the component of emulsion which bound the two immiscible liquids by forming a film around the dispersed globules and makes the emulsion stable.  So, it prevents the two liquids (water and oil) from separating as two distinct layers.  The emulsifying agents are of great importance in any type of emulsion i.e. o/w, w/o, multiple or micro emulsion.  This process is called emulsification. Advantages of Emulsions:  A dose of an unpalatable drug may be administered in a palatable liquid Form (e.g. Cod liver oil, fish oil emulsion).  An oil-soluble drug can be dissolved in the disperse phase and be successfully administered to a patient in a palatable form. (e.g. Propofol, diazepam)  The aqueous phase can be easily flavoured.  The texture/consistency of the product is improved as the ‘oily’ sensation in the mouth is successfully masked by the emulsification process.  Absorption may be enhanced by the diminished size of the internal phase.  Emulsions offer potential in the design of systems capable of giving controlled rates of drug release and affording protection to drugs susceptible to oxidation or hydrolysis.  Emulsions have been used to deliver poorly water-soluble drugs, such as general anesthetics and anti- cancer compounds, via the intravenous route Disadvantages:  Preparation needs to be shaken well before use  Measuring device needed for administration  Need a degree of technical accuracy to measure a dose  Storage conditions may affect stability  Bulky, difficult to transport and prone to container breakages  Liable to microbial contamination which can lead to cracking Classification of Emulsions: 1. BASED ON DISPERSED PHASE:  Oil in Water (O/W): Oil droplets dispersed in water  Water in Oil (W/O): Water droplets dispersed in oil 2. BASED ON DIAMETER OF LIQUID DROPLETS:  Droplets may be 5,000 Å (0.5μm) in diameter
  • 123.
    Chapter 4. Dispersions 122 MuhammadMuneeb  Macro emulsions (thermo- Dynamically unstable)  diameter of droplets is 100Å (0.01μm) - 1000 Å (0.1μm)  Micro emulsions (thermo- Dynamically stable) Multiple Emulsions:  Multiple emulsions are complex poly-dispersed systems where both oil in water and water in oil emulsion exists simultaneously which are stabilized by hydrophilic and lipophilic surfactants respectively. In these types of emulsions three phases are present:  In (water in oil in water) w/o/w emulsion an oil droplet enclosing a water droplet are suspended in water.  In (oil in water in oil) o/w/o emulsion a water droplet enclosing an oil droplet are suspended in oil.  In these “emulsions within emulsions,” any drug present in the innermost phase must now cross two phase boundaries to reach the external, continuous phase.  Whether the aqueous or the oil phase becomes the dispersed phase depends primarily on the emulsifying agent used and the relative amounts of the two liquid phases.  Most pharmaceutical emulsions designed for oral administration are of the O/W type; emulsified lotions and creams are either O/W or W/O, depending on their use. General types of Pharmaceutical Emulsions:
  • 124.
    Chapter 4. Dispersions 123 MuhammadMuneeb  Lotions  Vitamin oils  Creams  Ointments Theories of Emulsification:  Several theories have been proposed to explain how emulsifying agents act in producing the multi- phase dispersion and in maintaining the stability of the resulting emulsion. o Theory of viscosity o Fischer theory o Surface-tension theory o Oriented-wedge theory o Plastic or Interfacial film theory  The most prevalent theories are the surface-tension theory, the oriented-wedge theory, and the interfacial film theory. 1. SURFACE TENSION THEORY:  According to the surface tension theory of emulsification, the use of surfactants results in a reduction in the interfacial tension of the two immiscible liquids reducing the repellent force between the liquids diminishing each liquid’s attraction for its own molecules.  Thus, surfactants enable large globules to break into smaller globules, and prevent small globules from coalescing into larger globules. 2. PLASTIC OR INTERFACIAL FILM THEORY:  When two immiscible liquids come in contact, the force causing each liquid to resist breakage into smaller particles is known as interfacial tension. When a high interfacial tension existed between two liquids emulsification is difficult, and if the tension could be reduced emulsification facilitated.  The interfacial film theory proposes that the emulsifier forms an interface between the oil and water, surrounding the droplets of the internal phase as a thin layer of film adsorbed on the surface of the drops.  The film prevents the contact and coalescing of the dispersed phase; the tougher and more pliable the film, the greater the stability of the emulsion  Greater is the interfacial tension, less stable will be the emulsion as more attraction of the dispersed globules experiences
  • 125.
    Chapter 4. Dispersions 124 MuhammadMuneeb  lowering of the interfacial tension is important in the initial formation of an emulsion, but the formation of a protective wedge of molecules or film of emulsifier is important for continued stability. 3. HARKIN’S ORIENTED – WEDGE THEORY  The oriented wedge theory proposes that the surfactant forms monomolecular layers around the droplets of the internal phase of the emulsion. The theory is based on the assumption that emulsifying agents orient themselves about and within a liquid relative to their solubility in that particular liquid.  Because surfactants have a hydrophilic or water loving portion and a hydrophobic or water hating portion (but usually lipophilic or oil-loving), the molecules position or orient themselves into each phase  Depending on the shape and size of the molecules, their solubility characteristics, and, thus, their orientation, the wedge shape theory proposes that emulsifiers surround either oil globules or water globules.  An emulsifying agent, having a greater hydrophilic character than hydrophobic character, will promote oil in water emulsions.  Conversely, water in oil emulsions result with the use of an emulsifier that is more hydrophobic than hydrophilic.  In this theory the surfactant emulsifier molecules are assumed be shaped like wedges; therefore, it is termed “Oriented wedge” theory. 4. THEORY OF VISCOSITY:  It states that more viscous emulsion the greater is the stability. But it is not always true.  This theory is holds good for emulsions prepared with gums as emulsifying agents  Example: o Milk has low viscosity but most stable, O/W emulsion. o Cold Cream is an example of more viscous emulsion, O/W emulsion 5. FISCHER’S THEORY OF HYDRATES AND SOLVATES:  Fischer’s observed that the use of specific ratios of emulsifying agent to continuous phase, he claimed that the quantity of water in these specified ratios was all used up in forming a colloidal hydrate.  It states that disperse phase form colloidal hydrate or colloidal complex.  Example: o O/W emulsion, oil form colloidal complex and in W/O emulsion water form colloidal complex and known as solvate Additives for Formulation of Emulsion:  Antioxidants
  • 126.
    Chapter 4. Dispersions 125 MuhammadMuneeb  Antimicrobial Preservative  Auxiliary Emulsifiers  Emulsifying Agents 1. ANTI-OXIDANTS:  Autoxidation occurs by free radical reaction  Can be prevented by o Absence of oxygen o A free radical chain breaker o By reducing agent  Examples: o Gallic acid, Propyl gallate - pharmaceuticals and cosmetics - Bitter taste o Ascorbic acid – Suitable for oral use products o Sulphites - Suitable for oral use products o L-tocopherol - pharmaceuticals and cosmetics -Suitable for oral preparations o e.g. those containing vitamin A  The oxidative decomposition of certain excipients, the oil phase, and some pharmaceuticals is possible in emulsions, not only due to the usual amount of air dissolved in the liquid and the possible incorporation of air during the preparation of the product, but also the large interfacial area between the oil and water phase.  The selection of the appropriate antioxidant depends on such factors as: o Stability o Compatibility with the ingredients of the emulsion o Toxicity o Effectiveness in emulsions o Odor o Taste o Distribution between the two phases 2. ANTI-MICROBIAL PRESERVATIVES: The preservative must be:  Less toxic  Stable to heat and storage  Chemically compatible  Reasonable cost  Acceptable taste, odor and color.  Effective against fungus, yeast, bacteria.  Available in oil and aqueous phase at effective level concentration.  Preservative should be in unionized state to penetrate the bacterial membrane  Preservative must no bind to other components of the emulsion, because the complexes are ineffective as preservatives. Only the concentration of free, or unbound, preservative is effective Examples:  Acids and acid derivatives – Benzoic acid, Antifungal agent
  • 127.
    Chapter 4. Dispersions 126 MuhammadMuneeb  Aldehydes – Formaldehyde - Broad spectrum  Phenolics – Phenol (Broad spectrum)  Quaternaries – Chlorhexidine and salts (Broad spectrum)  Benzalkonium chloride  Cetyl trimethyl ammonium bromide  Mercurials – Phenyl mercuric acetate (Broad spectrum) 3. VISCOSITY AGENTS:  Viscosity agents are added in emulsion. o Hydrophilic colloids (naturally occurring gums) o Partially synthetic polymers, such as cellulose derivatives (e.g., Methylcellulose, hydroxypropylmethylcellulose, sodium carboxymethylcellulose) o Synthetic polymers (carbomer polymer).  These materials are hydrophilic in nature and dissolve or disperse in water to give viscous solutions and function as emulsion stabilizers.  High molecular weight alcohols (stearyl alcohol, cetyl alcohol, and glyceryl monostearate) are employed primarily as thickening agents and stabilizers for o/w emulsions of certain lotions and ointments used externally.  Cholesterol and cholesterol derivatives may also be employed in externally used emulsions and to promote w/o emulsions 4. Emulsifying Agents:  They are the substances added to an emulsion to prevent the coalescence of the globules of the dispersed phase. They are also known as emulgents or emulsifiers.  They help in formation of emulsion by three mechanisms. o Reduction in interfacial tension – thermodynamic stabilization o Formation of a rigid interfacial film – mechanical barrier to coalescence, it should possess some degree of surface elasticity and should not thin out and rupture when sandwiched between two droplets o Formation of an electrical double layer – electrical barrier to approach of particles.  Ideal properties of emulsifiers: o Be stable o Be compatible with other ingredients o Be non – toxic o Possess little odor , taste , or color o Not interfere with the stability and efficacy of the active agent o Promote emulsification to maintain the stability of the emulsion for the intended shelf life of the product  Desirable Properties: o Some of the desirable properties of an emulsifying agent are that it should be surface active and reduce surface tension to below 10 dynes/cm. o Be adsorbed quickly around the dispersed drops as a condensed, non-adherent film that will prevent coalescence. o Impart to the droplets an adequate electrical potential so that mutual repulsion occurs.
  • 128.
    Chapter 4. Dispersions 127 MuhammadMuneeb o Increase the viscosity of the emulsion. o Be effective in a reasonably low concentration HLB System:  HLB (Hydrophilic lipophilic balance) is the balance of strength of hydrophilic or lipophilic portion of surfactant molecule.  Hydrophilic lipophilic balance (HLB) of a surfactant is a measure of the degree to which it is hydrophilic or lipophilic, determined by calculating values for the different regions of the molecule.  Each emulsifying agent has a hydrophilic portion and a lipophilic portion, with one or the other being more or less predominant and influencing the type of emulsion.  As the emulsifier becomes more hydrophilic, its solubility in water increases and the formation of an O/W emulsion is favored. Conversely, W/O emulsions are favored with the more lipophilic emulsifiers.  Griffin developed a scale based on the balance between these two opposing tendencies. This so-called HLB scale is a numerical scale. The more hydrophilic surfactants have high HLB numbers (in excess of 10), whereas surfactants with HLB numbers from 1 to 10 are considered to be lipophilic.  HLB system usual range is between 1 and 20. RELATIONSHIP BETWEEN HLB RANGE AND SURFACTANT APPLICATION: HLB Range Use 0-3 Antifoaming agent 4-6 W/O emulsifying agent 7-9 Wetting agent 8-18 O/W emulsifying agent 13-15 Detergents 10-18 Solubilizing agent CLASSIFICATION OF EMULSIFIERS:  Emulsifying agents may be classified in accordance with the type of film they form at the interface between the two phases
  • 129.
    Chapter 4. Dispersions 128 MuhammadMuneeb  The main purpose of this film—which can be a monolayer, a multilayer, or a collection of small particles adsorbed at the interface—is to form a barrier that prevents the coalescence of droplets that come into contact with one another.  The ionic nature of a surfactant is an important consideration when selecting a surfactant for an emulsion.  Nonionic surfactants are effective over pH range 3–10; cationic surfactants are effective over pH range 3–7; and, anionic surfactants require a pH of greater than 8. 1. SYNTHETIC EMULSIFYING AGENTS (MONOMOLECULAR FILMS):  Those surface-active agents that are capable of stabilizing an emulsion do so by forming a monolayer of adsorbed molecules or ions at the oil–water interface  Reduce interfacial tension and make the emulsion thermodynamically more stable. This results in a more stable emulsion because of a proportional reduction in the surface free energy.  Droplets are surrounded now by a coherent monolayer that prevents coalescence between approaching droplets.
  • 130.
    Chapter 4. Dispersions 129 MuhammadMuneeb  If the emulsifier forming the monolayer is ionized, the presence of strongly charged and mutually repelling droplets increases the stability of the system.  With un-ionized, nonionic surface active agents, the particles may still carry a charge; this arises from adsorption of a specific ion or ions from solution  The majority of emulsifiers forming monomolecular films are synthetic, organic materials.  The majority of emulsifiers forming monomolecular films are synthetic, organic materials.  May be subdivided into anionic, cationic, and nonionic, depending on the charge possessed by the surfactant. o Anionics: In the anionic subgroup, the surfactant ion bears a negative charge.  Example: The potassium, sodium, and ammonium salts of lauric acid (Potassium laurate) and oleic acid are soluble in water and are good O/W emulsifying agents. o Cationics: The surfactant ion bears a positively charged. These compounds have marked bactericidal properties. This makes them desirable in emulsified anti-infective products such as skin lotions and creams. The pH of an emulsion prepared with a cationic emulsifier lies in the pH 4 to 6 ranges.  Example: Quaternary ammonium compounds (Cetyltrimethyll ammonium bromide) Cationic emulsifiers should not be used in the same formulation with anionic emulsifiers because they will interact. o Non-ionics: Have no charge, find widespread use as emulsifying agents when they possess the proper balance of hydrophilic and lipophilic groups within the molecule.  Example: Glyceryl esters, polyoxyethylene glycol esters and ethers, and the sorbitan fatty acid esters and their polyoxyethylene derivatives. 2. NATURAL EMULSIFYING AGENT (MULTI-MOLECULAR FILMS):  Emulsifying agents derived from natural (i.e., Plant and animal) sources  Also known as Hydrocolloid Emulsifying agents
  • 131.
    Chapter 4. Dispersions 130 MuhammadMuneeb  These materials form hydrophilic colloids, when added to water, and produce o/w emulsions. Although their surface activity is low, these materials achieve their emulsifying power by increasing the viscosity of the aqueous phase.  Hydrated lyophilic colloids form a protective sheath (Multi-molecular films) around the droplets  Most of the emulsifiers that form multimolecular films are obtained from natural sources and are organic  They differ, however, from the synthetic surface-active agents in that: o They do not cause an appreciable lowering of interfacial tension and o They form a multi- rather than a monomolecular film at the interface  Their action as emulsifying agents is due mainly to the multi-molecular film because the films thus formed are strong and resist coalescence.  These act as a coating around the droplets and render them highly resistant to coalescence, even in the absence of a well-developed surface potential.  Furthermore, any hydrocolloid not adsorbed at the interface increases the viscosity of the dispersion medium; this enhances emulsion stability.  Because the emulsifying agents that form multilayer films around the droplets are invariably hydrophilic, they tend to promote the formation of o/w emulsions.  Examples: o Plant origin: Polysaccharides (Acacia, tragacanth, agar, pectin, lecithin) o Animal origin: Gelatin, Lecithin (Egg yolk), Cholesterol (Wool fat) 3. FINELY DISPERSED SOLIDS (SOLID PARTICLE FILMS):  Solid particle films also known as Particulate films  Form a particulate "film” around dispersed particles.  These particles rely on adsorption to interfaces and like the hydrophilic colloids, function by forming a physical barrier to coalescence.  Finely divided small solid particles that are wetted to some degree by both oil and water act as emulsifying agents. If the particles are too hydrophilic, they remain in the aqueous phase; if too hydrophobic, they are dispersed completely in the oil phase. This results from their being concentrated at interface, where they produce a particulate film around the dispersed droplets to prevent coalescence.
  • 132.
    Chapter 4. Dispersions 131 MuhammadMuneeb  E.g. o Colloidal clays:  Bentonite, (Al2O3.4SiO2.H2O)  Veegum (Magnesium Aluminium silicate) it is employed most extensively as stabilizer in cosmetic lotions and creams.  Magnesium trisilicate o Metallic hydroxides:  Magnesium hydroxide 4. AUXILIARY EMULSIFIERS:  Auxiliary (Secondary) emulsifying agents include those compounds that are normally incapable themselves of forming stable emulsion. Their main value lies in their ability to function as thickening agents and thereby help stabilize the emulsion.  Auxiliary emulsifying agents that are amphiphilic in nature are, in some cases, capable of forming gel or liquid crystalline phases with the primary emulsifying agent when combined with water and oil.  This type of behavior may help to stabilize emulsions due to an increased viscosity, as observed in topical creams.  Alternatively, gel or liquid crystalline phases may prevent coalescence by reducing van der Waals forces between particles or by providing a physical barrier between approaching particles of the internal phase. Preparation of Emulsions:  For small scale work emulsions can be prepared by the following methods: o Dry gum method o Wet gum method o Bottle method 1. DRY GUM METHOD:  This method is called as continental method  This method is also known as 4 : 2: 1 method because these figures represent the proportions of oil, water and gum acacia required for the preparation of primary emulsion.
  • 133.
    Chapter 4. Dispersions 132 MuhammadMuneeb  That is, for example, if there are 40 ml of fixed oil to be emulsified then 10 example, if there are 40ml of fixed oil to be emulsified then 10 gm of gum acacia and 20 ml of water or vehicle will be required for preparing the primary emulsion.  Measure the given quantity of oil with a clean and dry measure and transfer it to a dry mortar. To this add the calculated quantity of acacia and triturate rapidly so as to form a uniform mixture.  Then add the required quantity of water for primary emulsion and triturate rapidly without ceasing till a clicking sound is produced and the product becomes white or nearly white.  At this stage the emulsion is known as primary emulsion. Then add more of water to produce the required volume.  If any soluble ingredient is also to be incorporated, that must be dissolved in the second portion of water to be added after making the primary emulsion and to produce the final volume. 2. WET GUM METHOD:  This method is also called English method.  The proportions of oil, water and gum are some as for dry gum method. In this method the calculated quantity of gum is triturated with water to form mucilage.  Then the given amount of oil is incorporated in small portions with rapid titration until a clicking sound is produced and the product becomes white or nearly so.  When the primary emulsion is formed, the titration in continued for few minutes more and then more of water is incorporated in successive small portions to produce the required volume. 3. BOTTLE METHOD:  Bottle method is used for the preparation of emulsions of volatile and other non-viscous oils.  The emulsions can be prepared by both the dry gum and wet gum methods.  Because of low viscosity the volatile oils require greater amount of gum for emulsification therefore the proportions for oil, water and gum for primary emulsion are 4 : 4 : 2.  In this method the oil is put in a large bottle and then the powdered dry gum is added. The bottle is shaken vigorously until the oil and gum are mixed thoroughly.  Then the calculated amount of water is added all at once and the mixture is shaken vigorously until primary emulsion is formed.  More of water is added in small portions with constant agitation after each addition, to produce the final volume. Physical Stability of Emulsions:  A stable emulsion may be defined as a system in which the globules retain their initial character and remain uniformly distributed throughout the continuous phase.  The stability of pharmaceutical emulsion is characterized by the: o Absence coalescence of the internal phase o Absence of creaming o Maintenance of elegance with respect to appearance, order colour and other physical properties  The instability of pharmaceutical emulsions may be classified follows: o Flocculation and creaming o Coalescence and breaking o Some physical and chemical changes and
  • 134.
    Chapter 4. Dispersions 133 MuhammadMuneeb o Phase inversion A. FLOCCULATION AND CREAMING:  Creaming is a phenomenon characterized by the accumulation of droplets of the dispersed phase on the top of the emulsion. B. COALESCENCE AND BREAKING OR CRACKING:  Cracking involves coalescence of the dispersed globules and provides eventual separation of the emulsion in to two phases. Some of the factors that cause cracking are: o The addition of a substance that is incompatible with the emulsifier may destroy its emulsifier ability. o An increase in temperature may coagulate certain types of emulsifying agents (proteins) o Freezing of aqueous phase will produce ice crystals that may exert unusual pressure on the oil globules. o Attempts to incorporate excessive amount of dispersed phase may cause cracking of an emulsion.  Those factors which reduce the chances of coalescence & breaking include: o Uniformity of particle size of the dispersed phase. o Increase in viscosity of the emulsion to optimum level since this hinders flocculation coalescence. o Phase volume ratio: the dispersed phase should be less than 74% otherwise the oil globules may coalescence and emulsion may break. C. PHYSICAL AND CHEMICAL CHANGES:  Natural gums, starches etc. used as emulsifiers may contain excessive amount of bacterial load. Bacterial growth may cause change in PH and consequent breakdown of emulsion.  Synthetic emulsifiers are comparatively more stable.  Some emulsifiers such as soaps carry electric changes. Neutralization of the charge by on added substance may cause breakdown of the emulsion. D. PHASE INVERSION:  In phase inversion the o/w type emulsion changes into w/o type and vice versa.  It may be brought about by the addition of an electrolyte or by changing the phase volume ratio or by temperature change. Pharmaceutical Applications of Emulsions:  Emulsions can be used to administer orally unpleasant tasting drugs such as liquid paraffin, cod liver oil, and castor oil in a palatable formulation.  Oil soluble as well as water soluble materials can be formulated in to a single dosage form as an emulsion. For example, oil soluble vitamins, A, D, E, and water soluble ones like B & C can be formulated as a palatable fine emulsion. Such formulation also leads to better absorption of vitamins.  Radio-opaque emulsions are used for diagnostic applications such as X-ray examination.  O/w type emulsions are used for i/v administration of oil and fats with high caloritic value patients who are to ingest food orally.
  • 135.
    Chapter 4. Dispersions 134 MuhammadMuneeb  Emulsions of both o/w &w/o types have extensively been used to prepare pharmaceutical preparation for external used and cosmetic preparation such as cream and lotion.  Emulsification has also been used aerosol products to prepare foams.  Drugs sensitive to oxidation or hydrolysis can be stabilized by formulating them in form of emulsion.  Bioavailability of certain poorly soluble drugs can be improved by dissolving them in oil and emulsifying agents _______________________________________________________________________________________ C. SUSPENSIONS Disperse System:  The term "Disperse System" refers to a system in which one substance (The Dispersed Phase) is distributed, in discrete units, throughout a second substance (the continuous Phase).  Each phase can exist in solid, liquid, or gaseous state.  Suspensions are heterogeneous system consisting of 2 phases. Definition A Pharmaceutical suspension is a coarse dispersion in which internal phase/insoluble solids (therapeutically active ingredient) is dispersed uniformly throughout the external phase with the help of suspending agents. OR A coarse dispersion containing finely divided insoluble material suspended in a liquid medium or available as dry powder to be distributed in the liquid medium when desired is known as suspension. OR A biphasic system containing a solid phase (dispersed medium) uniformly dispersed in a liquid phase (dispersion medium) is called suspension. Properties:  The particles in the suspension have diameter greater than 0.1μ.
  • 136.
    Chapter 4. Dispersions 135 MuhammadMuneeb  The internal phase consists of insoluble solid particles having a size range of 0.5 to 5 microns which is maintained uniformly throughout the suspending vehicle with aid of single or combination of suspending agent.  The external phase (suspending medium) is generally aqueous in some instance, may be an organic or oily liquid for non-oral use.  Nearly all the suspensions must be shaken Before use to ensure the uniformity of the Preparation and proper administration of dosage form.  A solid in liquid dispersion in which the particles are of colloidal size. Qualities of Good Suspension:  The dispersion of particles in the suspension must be adequate (uniform).  The settling of the dispersed particles should be minimum.  The particle should not form a cake on sedimentation.  The viscosity should be such that the preparation can be easily poured.  It should be physically and chemically stable.  It should have resistance to microbial contamination.  It must have smooth elegant appearance.  The main characteristic of an ideal suspension is that it should be thixotropic i.e. becomes viscous on standing and thin readily on shearing. The reasons for the Formulation of a Pharmaceutical Suspension:  If patient has a difficulty of swallowing solid dosage forms (a need for oral liquid dosage form).  Faster rate of dissolution and oral absorption than solid dosage forms, yet slower than solutions.  Bulky insoluble powders as kaolin or chalk are better formulated as suspensions so that they are easier to take.  Drugs that have very low solubility are usefully formulated as suspensions.  Drugs that have an unpleasant taste in their soluble forms (e.g., chloramphenicol (soluble) vs. chloramphenicol palmitate (insoluble).  Prolongation of effect (e.g. I.M and S.C. suspensions).  Stability and instability issues: o Insoluble forms of drugs may prolong the action of a drug by preventing rapid degradation of the drug in the presence of water (e.g., Oxytetracycline hydrochloride (soluble, hydrolyses rapidly) vs oxytetracycline calcium salt (insoluble, stable). Some Pharmaceutical Suspensions:  Antacid oral suspensions  Antibacterial oral suspension  Dry powders for oral suspension (antibiotic)
  • 137.
    Chapter 4. Dispersions 136 MuhammadMuneeb  Analgesic oral suspension  Anthelmentic oral suspension  Anticonvulsant oral suspension  Antifungal oral suspension Classification: A. Based On General Classes  Oral suspension o eg: Paracetamol suspension, antacids, Tetracycline HCl.  Externally applied suspension o eg :Calamine lotion.  Parenteral suspension o eg: Procaine penicillin G, Insulin Zinc Suspension B. Based on Proportion of Solid Particles  Dilute suspension (2 to10%w/v solid) o Eg: cortisone acetate, predinisolone acetate  Concentrated suspension (50%w/v solid) o Eg: zinc oxide suspension C. Based on Nature of Solid Particles:  Flocculated suspension  Deflocculated suspension D. Based on Size of Solid Particles:  Colloidal suspensions (< 1 micron): o Suspensions having particle sizes of suspended solid less than about 1micron in size are called as colloidal suspensions.  Coarse suspensions (>1 micron): o Suspensions having particle sizes of greater than about 1micron in diameter are called as coarse suspensions.  Nano suspensions (10 ng): o Suspensions are the biphasic colloidal dispersions of nanosized drug particles stabilized by surfactants. o Size of the drug particles is less than 1mm. Flocculated and Non-Flocculated Suspensions:  In flocculated suspension the individual particles are in contact with each other to form loose aggregates and create a network like structure.  Although the rate of sedimentation is high but the sediment is loosely packed which can re dispersed easily on shaking so as to reform the original suspension.
  • 138.
    Chapter 4. Dispersions 137 MuhammadMuneeb  However; the flocculated suspensions meant for oral, Parenteral ophthalmic or external use may not be elegant because they are difficult to remove from bottles or vials and on transferring from the bottle the floccules remain sticking to the sides of the bottle.  These properties can be improved by adding protective colloids.  In nonflocculated or deflocculated suspensions all individual particles exist as sediment is formed slowly but the sediment is closely packed due to weight of upper layers of sediment is closely packed due to weight of upper layers of sediment materials.  A hard cake is formed which is difficult to re disperse to get original suspension.  The nonflocculated suspensions have pleasing appearance as compared to flocculated suspensions because the substances remain suspended for a sufficiently long time. Flocculated Non-Flocculated Particles form loose aggregates and form a network like structure. Particles exist as separate entities. Rate of sedimentation is high Rate of sedimentation is low Sediment is rapidly formed Sediment is slowly formed Sediment is loosely packed and does not form a hard cake. Sediment is very closely packed and a hard cake is formed Sediment is easy to re disperse. Sediment is difficult to redisperse. Suspension is not pleasing in appearance. Suspension is pleasing in appearance.
  • 139.
    Chapter 4. Dispersions 138 MuhammadMuneeb The floccules stick to the sides of the bottle. They do not stick to the sides of the bottle. Formulation of Suspension:  The proper formulation is a key in the proper functioning, physical and chemical state of an ideal suspension.  In addition to functional and organoleptic additives (for example, vehicles, stabilizers, colorants, flavourants and sweetening agents etc.).  Suspension has also another group of additives, among these following are important. 1. SUSPENDING AND THICKENING AGENTS:  These are pharmaceutical additives which increase the apparent viscosity of continuous phase and so preventing the rapid sedimentation of dispersed particles for example, gum acacia, gum tragacanth, sodiumcar boxy methylcellulose.  Methyl cellulose, hydroxyl propyl cellulose, hydroxyl methyl cellulose, betonies etc. 2. WETTING AGENTS:  In some cases, dispersed particles have affinity towards vehicle and so easily wetted by it.  And when they have very little or no affinity towards the vehicle then wetting agents are used.  They remove the air film b/w vehicle and solid particles and so vehicle can easily penetrate in to solid particles. For example, surfactants, hydrophilic polymers (Acacia, colloidal SiO 2etc ) and hydrophilic liquid (alcohol, glycerol etc). 3. DISPERSING AGENTS:  These are pharmaceutical additives which are used to get the uniform distribution and dispersion of solid particles of dispersed phase.  And they are usually used when the suspension are deflocculated in nature.  For example, surfactants. 4. FLOCCULATING AGENTS:  These are the substances which are added to the suspension to cause controlled aggregation of particles of dispersed phase.  They include surfactants, electrolytes and hydrophilic polymers (tragacanth) cellulose derivatives etc. 5. ANTIOXIDANTS:  These are the pharmaceuticals additives which are added to the suspension in order to prevent the oxidative degradation of labile substances of the products.  For example, ascorbic acid, tocopherol, butylated hydroxyl toluene etc. 6. ANTI-MICROBIAL PRESERVATIVES:  These are the pharmaceutical additives which are used in to formulation of suspension in order to prevent the growth of microorganisms.  They include chloroform, benzoic acid, ethanol etc. 7. FLAVOURING AGENTS:
  • 140.
    Chapter 4. Dispersions 139 MuhammadMuneeb  These are the substances which are added to the pharmaceutical preparations to mask the unpleasant taste and odour of medicaments.  That make the medication more acceptable to the patient. For example: cinema butter scotch, chocolate and various fruit syrups. 8. COLOURING AGENTS:  They are added to the formulation to mask the unpleasant appearance and chlorophyll, riboflavin, saffron, xanthophylls etc. Formation of Suspension: The preparation of suspension is somewhat easy to other pharmaceutical dosage forms. During the preparation of suspension following are the mask factors: 1. Particle size 2. Addition of additives 3. Method of mixing. 1. PARTICLE SIZE:  The basic step in the preparation of an ideal suspension is to obtain the particle size of proper range.  The solid particle size of an oral suspension is such that it should not feel gritty to the skin.  For topical suspension the particle size in the range that preparation should feel smooth to touch whereas for inject able suspension should not case tissue irritation.  On the other hand, the particle must not be so small that which again cause problems during the formation of an ideal suspension. 2. ADDITION OF ADDITIVES:  In addition to principal and organoleptic additives. Some additional additives are also added to increase viscosity.  Wetting agents to reduce interfacial tension and facilitate the wetting of the dispersed particles. 3. PRINCIPLE OF MIXING:  After achieving uniform particle size and addition of additives, the other main factor is the proper dispersion of the solid particles. Depends upon: o Proper flow of vehicle o Sufficient shear  The proper flow of the vehicle must be attained so that the solid particles uniformly dispersed in the vehicle. In both cases, that vehicle is less viscous or more viscous.  It does not favour the ideal suspension. A sufficient shear must be given to the system to achieve the dispersion of individual particle rather than floccules.  Along with these two factors, size and location of impeller, speed of impeller, presence or absence in the container also effect the mixing of the systems.
  • 141.
    Chapter 4. Dispersions 140 MuhammadMuneeb Small Scale Processing:  On small scale processing of suspensions, pestle and mortar are used following steps are involved in this process.  The insoluble drug is triturated in pestle and mortar to fine size particle.  The suspending agent is added with small amount of water to form mucilage.  The mucilage and powdered drug is levigated to form paste. the suspending agents helps the uniform dispersion of particles.  The paste is mixed with remaining vehicle (containing soluble drugs, colorants, flavourants)  The vehicle is added in portions to get the desired volume.  Sometimes, the dispersion of final product is improved by passing suspension through a homogenizer or colloidal mill. Large Scale Processing:  The drug particles are treated with small portion of water (containing wetting agents) and allowed to stand for several hours. During this period the entrapped air is released and drug is uniformly wetted by vehicle.  The suspending agents is dispersed in the external phase and allowed to stand until complete hydration takes place.  The wetted drug is added portion wise in the dissolved suspending agents.  Other excipients such as electrolytes and buffer should be added with care to prevent variation in particle charge.  The other pharmaceutical additives such as flavouring, colouring, sweetening agents are also added.  After complete mixing different ingredients of suspension, the product is subjected to suspension equipments (either colloidal mill or homogenizer) in order to reduce the particle size and to form a suitable preparation. Theoretical Consideration of Suspensions:  A knowledge of the theoretic considerations pertaining to suspension s technology ultimately help formulator to select ingredients that are o Appropriate for suspension preparation o That are available for milling o Mixing equipment  Some theoretic considerations are: o Particle size control o Wetting o Sedimentation o Brownian movement o Electokinetic o Aggregation 1. PARTICLE SIZE CONTROL:  Particle size of any suspension is critical and must be reduced within the range  Too large or too small particles should be avoided.
  • 142.
    Chapter 4. Dispersions 141 MuhammadMuneeb  Larger particles will: o Settle faster at the bottom of the container o Particles > 5 µm impart a gritty texture to the product and also cause irritation if injected or instilled to the eye o Particles > 25 µm may block the needle  Too fine particles will easily form hard cake at the bottom of the container. 2. WETTING OF THE PARTICLES:  Hydrophilic materials (talc, ZnO, Mg2CO3) are easily wetted by water while hydrophobic materials (sulphur, charcoal) are not due to the layer of adsorbed air on the surface.  Thus, the particles, even high density, float on the surface of the liquid until the layer of air is displaced completely.  The use of wetting agent allows removing this air from the surface and to easy penetration of the vehicle into the pores.  However hydrophobic materials are easily wetted by non-polar liquids.  The insoluble medicament may be: o Diffusible solids (dispersible solids): These are insoluble solids that are light and easily wetted by water. They mix readily with water, and stay dispersed long enough for an adequate dose to be measured. After settling they redisperse easily.  Examples include magnesium trisilicate, light magnesium carbonate, bismuth carbonate and light kaolin o In-diffusible solids: Most insoluble solids are not easily wetted, and some particles may form large porous clumps in the liquid, whereas others may remain on the surface. These solids will not remain evenly distributed in the vehicle long enough for an adequate dose to be measured. They may not redisperse easily.  Examples for internal use includes aspirin, phenobarbital and sulfadirnidine, and for external use calamine, hydrocortisone, sulphur and zinc oxide.  Because of the high interfacial tension between indiffusible solids and water; air may be trapped in these poorly wetted particles which causes them to float to the surface of the preparation and prevents them from being readily dispersed throughout the vehicle.  Wetting of the particles can be encouraged by reducing the interfacial tension between the solid and the vehicle, so that adsorbed air is displaced from solid surfaces by liquid. WETTING AGENTS:  Hydrophilic colloids such as acacia and tragacanth can act as wetting agents.  Intermediate HLB (hydrophilic-lipophilic balance) surfactants such as polysorbates (tweens) and sorbitan esters (spans) are used for internal preparations. While Sodium lauryl sulphate is used in external preparations.  Solvents such as ethanol, glycerol and the glycols also facilitate wetting.
  • 143.
    Chapter 4. Dispersions 142 MuhammadMuneeb 3. SEDIMENTATION: Sedimentation means settling of particle (or) floccules occur under gravitational force in liquid dosage form. Velocity of sedimentation is expressed by Stoke’s equation: 𝑣𝑠𝑒𝑑. = 𝑑2(𝜌𝑠 − 𝜌𝑜)𝑔 18𝜂0 = 2𝑟2(𝜌𝑠 − 𝜌𝑜)𝑔 9𝜂0 Where,  d = Diameterof particle  r = radius of particle  vsed.= sedimentation velocity in cm / sec  ρ s= density of disperse phase  ρ o= density of dispersion media  g = acceleration due to gravity  η o = viscosity of disperse medium in poise Limitation of Stoke’s Equation: Stoke's equation applies only to:  Spherical particles in a very dilute suspension (0.5 to 2 gm per 100 ml)  Particles which freely settle without collision  Particles with no physical or chemical attraction. Sedimentation Parameters: Sedimentation volume (F) or height (H) for flocculated suspensions:
  • 144.
    Chapter 4. Dispersions 143 MuhammadMuneeb Definition: Sedimentation volume is a ratio of the ultimate volume of sediment (Vu) to the original volume of sediment (VO) before settling. F = V u / VO Where,  Vu = final or ultimate volume of sediment  VO = original volume of suspension before settling Physical Properties of Dispersed Particles:  Uniform dispersion of particles is the main factor in the formation of an ideal suspension.  Uniform dispersion of particles depends on the physical stability of particles which in turn depends on the following three important factors. o Particles vehicles interaction o Particle – particle interaction o Rheology of suspension 1. PARTICLE – VEHICLE INTERACTION:  The particle vehicle interaction is responsible for wetting of particles with vehicle and the uniform dispersion of particles. So if particle vehicle interaction is good, then there will be formation of a good suspension.  As we increase the surface area by reducing the particle size, the interfacial tension and surface free energy of particles are also increased.  Due to this reason the particles with increased surface free energy tends to agglomerate in order to get low surface free energy.  This agglomeration is commonly known as flocculation. And this process does not favour an ideal suspension.  A suspension will thermodynamically stable if interfacial tension or surface free energy is zero. The interfacial tension is reduced by using surfactants.  As these surfactants cannot exactly make the interfacial tension zero, and promote the dispersion of particles in vehicle by removing air film between particles and vehicle. So they are called wetting agents.  There are certain particles, with are not wetted easily by vehicle. Such particles are known as hydrophobic particles. For example, sulphur or magnesium stearate in water.  There wet ability may be increased by passing them through colloidal mill in the presence of wetting agents (alcohol glycerine etc.).  On the other hand, there are certain types of particles which are easily wetted by vehicle and such particles are called lyophilic particles. For example, Talc and magnesium carbonate in water. 2. PARTICLE – PARTICLE INTERACTION:  Attraction or repulsion b/w particles of suspension are due to the presence of charge (forces) present on the surface of the particles or due to the distribution of ions around them.  This interaction b/w the particles lead to flocculation or de flocculation.
  • 145.
    Chapter 4. Dispersions 144 MuhammadMuneeb  If the particles of suspension have some charges i.e. either negative or particles have opposite charges i.e. some have positive and some have negative, then there will be flocculation.  In some cases, the surface of the particles may adsorb the ion of oppose charge. This adsorption of opposite charges is called salvation. This effect also prevents flocculation.  Flocculation results from the collision and combination of particles suspension.  If they are protected by a barrier of electric charge on adsorbed molecule then all collision will not result in combination of particles (& thus flocculation).  Greater the protective barrier slower will be the rate combination of particles. 3. RHEOLOGY OF SUSPENSION:  The rheological properties are of particular importance in formulating ideal suspension.  The rheological property of a suspension mainly depends the degree of flocculation in the suspension.  If there is flocculation in to product, there will be decrease in the apparent viscosity flocculated suspension, there types of non-Newtonian flows are observed. If the forces responsible for flocculation with stand weak external stress then it will have some yield value, below which it will have some characteristics of solid when the liquid stress with increase in the stresses, thus flocculated suspension will tend to exhibit plastic or pseudo plastic behavior.  If the breakdown or reformation of floccules is time dependent, then to thixotropy will be observed.  On the other hand, deflocculated suspensions (having low dispersion particle concentration i.e. 10%) show the Newtonian flow. So they are easily poured and spread on the skin. Stability of Suspensions:  One aspect of physically stability I pharmaceutical suspensions is concerned with keeping the particles uniformly distributed throughout the dispersion.  While it is seldom possible to prevent settling completely over a prolonged period of time, it is necessary to consider the factors which influence the velocity of sedimentation. Advantages of Suspension:  The drugs which are unstable in aqueous medium can be formulated in suspension forms in nonaqueous solvents.  Drugs with unpleasant taste in solution form can easily be formulated as  suspension to provide palatable medication.  Suspension is an ideal dosage form to those patients who cannot swallow tablets or capsules.  They prolong the action of drugs by using their derivatives in suspension form.  Suspension for external use have fine particles size and so avoid the gritty feelings to the skin.  Sterile suspensions are injected hypodermically to produce sustained action.  Example: o Suspension are given by oral route, external applications, and Parenteral use inhaled to lungs & used for ophthalmic purposes in the eyes. o The drugs which are available in the form of suspensions include analgesics, antipyretics, antibiotics, antifungal, antacids etc.  For example: o Calpol suspension o Ponstan suspension
  • 146.
    Chapter 4. Dispersions 145 MuhammadMuneeb o Vermox suspension o Amoxil suspension o Erythrocin suspension Pharmaceutical Applications: (1) SUSPENSIO FOR (ORAL ADMINISTRATION):  These suspensions are administrated when there is a difficulty in the swallowing of other solid dosage forms (such as tablets or capsule) or the drug has unpleasant taste or odour.  For example, chloramphenical etc as these are orally administered, so colouring, flavouring, and sweetening agents are also added to the formulation.  Examples of orally administered drugs are antacid (e.g. aluminium hydroxide, magnesium hydroxide) paracetamol suspension, Ponstan suspension etc. (2) SUSPENSION FOR (INJECTTION):  Such suspensions have particle size such that they can easily pass through syringe needle and for this purpose their crystal should be of needle type.  Such preparations are of particular importance in the field of depot therapy.  For example, kenokortA, Depo provera, solucortif etc. (3) SUSPENSION FOR (TOPICAL USE):  In such type of suspensions, the particle size should be in the range that they cannot produce gritty feeling on the skin. Such suspensions are of prime importance in pharmacy.  Their best examples are lotions (for example calamine) paste (zinc and salicylic acid paste and magnesium sulphate paste) etc. _______________________________________________________________________________________
  • 147.
    Chapter 5. Rheology 146 MuhammadMuneeb Unit 5. RHEOLOGY Outline:  Definition and Fundamental concept  Properties contributing to Rheological behaviour  Graphic presentation of Rheological data. _______________________________________________________________________________________ Introduction: Pharmaceutical fluid preparations are recognized as materials that pour and flow, having no ability to retain their original flow shape when not confined. The semi-solids are more nebulous grouping. They essentially retain their shape when unconfined but flow or deform when an external force is applied. Those materials that readily pour from bottles and form a puddle are clearly fluids. Ointments or pastes that clearly retain their shape after extrusion from a tube characteristically are associated with pharmaceutical semi-solids. Definition:  The term rheology has been derived from the two Greek words “Rheo” which means “to flow” and “Logos” means “science”.  This term was first used by two scientists whose names were Bingham and Crawford and it is described as, “the flow of the liquids and deformation of solids”. Rheology may be defined as, “the science concerned with the deformation of the matter under the influence of stress which may be applied perpendicularly to the surface of a body (tensile stress) or it may be applied tangentially to the surface of a body (shearing stress) or at any other angle to the surface of a body”. Types of Deformation: The deformation that results from the application of a stress may be divided into two types: i. Elastic deformation ii. Plastic deformation ELASTIC DEFORMATION:  It is a spontaneous and reversible deformation.  The work spent for this deformation is recoverable when the body returns to its original position. PLASTIC DEFORMATION:  It is a permanent or irreversible deformation.  The work spent for this deformation is dissipated as heat.  The plastic deformation is also referred as the flow which is exhibited by the viscous bodies.
  • 148.
    Chapter 5. Rheology 147 MuhammadMuneeb Applications of Rheology: Following are some important applications of rheology in biology as well as pharmaceutical systems. A. CIRCULATION OF THE FLUIDS: The rheology of blood is important for physiologists because it helps in circulation of blood and lymph in blood vessels and in between intracellular space. B. THE FLOW OF THE MUCUS / MUCOUS RHEOLOGY: The rheology of mucous has a central role in various systems. The nasal mucous helps in protection from foreign particles, gastric mucous helps in the lubrication of the food and the micellization of fats and the mucous of genital organs helps in transfer of germs. So rheology of mucous helps in migration, protection, digestion, lubrication in various systems of body. C. SYNOVIAL FLUIDS: The rheology of synovial fluids present in joints helps in the movement of joints freely and also responsible for the absorption of shocks. D. FOR PHYSICIANS: For physicians the rheology is very important and governs the fluidity of solutions to be injected with hypodermic syringe or infused intravenously. E. FOR CONSUMERS: Rheological properties of substance e.g. squeezing of tooth paste from collapsible tube spreading of lotion on skin, butter on slice of bread, and spraying liquid from atomizer is helpful. F. EMULSION RHEOLOGY: Emulsion rheology is very important for pharmacists in their flow through colloid mills in the formation of paints inks, cosmetics and dairy products. G. RHEOLOGY OF DOSAGE FORM: This rheology is very important in the administration of various dosage forms. For example, rheology in the shaking of suspensions, elixirs, and pouring them from bottles etc. H. POWDER RHEOLOGY: The rheology of powder is also very helpful in transferring it from hopper into dye cavities of tableting machine or to capsule during encapsulation. I. OINTMENT AND SUSPENSION: Rheology is important in the working of ointments on slabs, triturating of suspension in pestle and mortar. J. IN INDUSTRY: In petroleum industry where one can extract four different types of products, depending on the rheological properties.
  • 149.
    Chapter 5. Rheology 148 MuhammadMuneeb K. PROCESSING: During processing the rheological properties of materials help in the production capacity of the equipments and processing efficiency. Other Applications of Rheology: Rheology is important in many fields e.g. in: i. Bending of the bones ii. Contraction of the muscles iii. Flow of suspensions, emulsions, syrups, paints, inks, road building material, cosmetics, dairy products, lotions, creams and pastes etc. iv. The flow characteristics of semi-fluid formulations highly affect the mixing and the flow of the materials. Role of Rheology in Pharmaceutics: Rheology plays an important role in the various pharmaceutical products and procedures e.g. i. Flow of the materials ii. Mixing iii. Packaging into containers and their transfer prior (before) to use i.e. when these substances are transferred by pouring from a bottle or passage through syringe needle or extrusion from a tube. Rheology can affect many parameters e.g. i. Patient acceptability ii. Physical stability iii. Biological availability iv. Syringe ability v. Pour ability vi. Flow ability Viscosity:  Viscosity is a property of a liquid that is closely related to the resistance to flow and reciprocal of the viscosity is fluidity.  It is defined in terms of “the force required moving one plane surface past another under the specified conditions when the space between them is filled by the liquid in question”. Newtonian and Non-Newtonian Flow:  Liquids which follow Newton’s law of viscous flow are known as Newtonian’s liquids and those which don’t follow it are known as Non-Newtonian fluids.
  • 150.
    Chapter 5. Rheology 149 MuhammadMuneeb  According to this law, “the rate of shear is directly proportional to the shearing stress”. THE FLOW CHARACTERISTICS OF THE NEWTONIAN’S FLUIDS: 1. The Newton’s Law of the Flow:  Let us consider a block of a liquid consisting of the parallel plates of the molecules as shown in figure:  If the bottom layer is considered to be fixed in place, the top plane of the liquid is moved at constant velocity.  If the top plane of the liquid is moved at a constant velocity, each lower layer will move with a velocity which is directly proportional to the distance from the distance from the stationary bottom layer. OR “The rate of shear is directly proportional to the distance from the stationary bottom layer”.  The velocity gradient or rate of shear is equal to 𝒅𝒗 𝒅𝒓 ⁄ . Where dv is the velocity difference between two planes and dr is very small distance between two planes.  The force per unit area 𝑭′ 𝑨 ⁄ requires to bring about flow, is called as the shearing stress. 𝑺𝒉𝒆𝒂𝒓𝒊𝒏𝒈 𝑺𝒕𝒓𝒆𝒔𝒔 = 𝑭′ 𝑨 = 𝑭𝒐𝒓𝒄𝒆 𝑨𝒓𝒆𝒂  According to the Newtonian’s law, the rate of shear should be directly proportional to the shearing stress. Mathematically it can be written as follows: 𝑆ℎ𝑒𝑎𝑟𝑖𝑛𝑔 𝑆𝑡𝑟𝑒𝑠𝑠 ∝ 𝑅𝑎𝑡𝑒 𝑜𝑓 𝑆ℎ𝑒𝑎𝑟 𝐹′ 𝐴 ∝ 𝑑𝑣 𝑑𝑟 𝑭′ 𝑨 = 𝜼 𝒅𝒗 𝒅𝒓 Where 𝜂 is a constant and it is called as co-efficient of the viscosity or it is generally represented in terms of viscosity.
  • 151.
    Chapter 5. Rheology 150 MuhammadMuneeb 𝜼 = 𝐹′ 𝐴 𝑑𝑣 𝑑𝑟 ⁄ = 𝑭 𝑮 Here F is the shearing stress (𝐹′/𝐴) and G is the rate of shear (𝑑𝑣/𝑑𝑟).  The basic unit of the viscosity is poise (P) named after Jean Marie Poiseullie or it is also called as dynes.sec.cm-2.  Poise is defined as, “The shearing force required to maintain a relative velocity of 1 cm.s-1 between two parallel planes of 1cm2 in area and 1 cm apart.”  A more convenient unit of the viscosity is the Centipoise or cp.  The Centipoise is commonly used because water has a viscosity of 1.0020 cp at 200C. 1 𝑝𝑜𝑖𝑠𝑒 = 100 𝑐𝑝 1 𝑐𝑝 = 0.01 𝑃𝑜𝑖𝑠𝑒 = 1 𝑑𝑦𝑛𝑒. 𝑠𝑒𝑐. 𝑐𝑚−2 = 1 𝑔𝑐𝑚−1 𝑠𝑒𝑐−1 = 0.1 𝑃𝑎 – 𝑆 2. Rheograms: The rheological properties of the liquids are usually expressed in the form of flow diagrams or Rheograms which consist of the graphs showing the variation of shear rate with the shear stress. RHEOGRAMS FOR NEWTONIAN’S LIQUIDS:  The plot of the Newtonian liquids e.g. water, simple organic liquids, true solutions and dilute suspensions and emulsions is a straight line.  The slop of which (Rheogram) is equal to the reciprocal of the viscosity – a value which is referred to as fluidity. Mathematically i.e. 𝜑 = 1 𝜂 (Rheograms for Newtonian Fluids) CHARACTERISTICS OF THIS RHEOGRAMS:  The linear curve for the Newtonian liquids passes through the origin indicating that even a mild force can induce the flow in these systems.  Also, the linear nature of the curve shows that the viscosity of the Newtonian liquids is a constant
  • 152.
    Chapter 5. Rheology 151 MuhammadMuneeb unaffected by the value of the rate of shear. 3. Viscosities: A. Kinematic Viscosity: The kinematic viscosity of a liquid is its absolute viscosity divided by the density at a definite temperature. 𝑲𝒊𝒏𝒆𝒎𝒂𝒕𝒊𝒄 𝑽𝒊𝒔𝒄𝒐𝒔𝒊𝒕𝒚 = 𝜼 𝝆 The cgs unit for kinematic viscosity is stokes (S), named after George Gabriel Stokes. It is also sometimes expressed in terms of centistokes (cS). The S.I. unit of kinematic viscosity is m2/s. 1 𝑠𝑡𝑜𝑘𝑒 = 100 𝑐𝑒𝑛𝑡𝑖𝑠𝑡𝑜𝑘𝑒𝑠 = 1𝑐𝑚2 𝑠−1 = 0.0001𝑚2 𝑠−1 B. Relative Viscosity: Relative viscosity (𝜂𝑟) also known as viscosity ratio is the ratio of a solution (𝜂) to the viscosity of the solvent used. 𝑹𝒆𝒍𝒂𝒕𝒊𝒗𝒆 𝑽𝒊𝒔𝒄𝒐𝒔𝒊𝒕 = 𝜼𝒓 = 𝜼 𝜼𝒔 C. Specific Viscosity: Specific viscosity (𝜂𝑠𝑝) may be defined as the relative increase in the viscosity of the dispersion over that of the solvent alone. 𝑺𝒑𝒆𝒄𝒊𝒇𝒊𝒄 𝒗𝒊𝒔𝒄𝒐𝒔𝒊𝒕𝒚 = 𝜼𝒔𝒑 = 𝜼 − 𝜼𝒔 𝜼𝒔 D. Reduced Viscosity (of a polymer): Reduced viscosity (of a polymer) or viscosity number is defined as the ratio of the specific viscosity to the mass concentration of the polymer (c). 𝑹𝒆𝒅𝒖𝒄𝒆𝒅 𝑽𝒊𝒔𝒄𝒐𝒔𝒊𝒕𝒚 = 𝜼𝒔𝒑 𝒄 E. Intrinsic Viscosity (of a polymer): The limiting value of the reduced viscosity or the inherent viscosity at infinite dilution of the polymer is intrinsic viscosity. It is obtained by plotting the values of viscosity number or reduced viscosity determined for various polymer concentrations against polymer concentration and extrapolating the resulting linear relationship to obtain the intercept. It is also called as limiting viscosity number or Staudinger index. F. Effect of Temperature on Viscosity: The viscosity of a gas increases with temperature, that of a liquid decreases as the temperature is raised. 4. The Flow Characteristics of the Non-Newtonian’s Fluids:  The flow of the material such as colloidal dispersions, emulsions, suspensions and ointments does not follow the simple Newtonian’s relationship and is therefore these materials are known as Non-
  • 153.
    Chapter 5. Rheology 152 MuhammadMuneeb Newtonians.  Their viscosity changes.  When these materials are analyzed in a rotational viscometer and the results are plotted various consistency curves representing three classes of flow are obtained. i. Plastic flow ii. Pseudo plastic flow iii. The dilatant flow A. PLASTIC FLOW:  The characteristic properties of the materials which exhibit plastic flow are shown in the following Rheogram.  Such materials are called as Bingham bodies in honor of the scientist E. C. Bingham who first studied their properties.  The curve is linear over most of its length corresponding to that of Newtonian fluid.  However, the curve doesn’t pass through the origin but it intersects the shearing stress axis at a particular point referred to as yield value or Bingham yield value “FB”. (Rheogram of a Plastic Flow)  Yield Value: The certain or definite shearing stress used to produce the flow of plastic material.  It is often more satisfactory to use the lower yield value or “Fl” in the practical application of plastic materials because this indicates when actual floe begins.  In addition, a higher yield value or “Fh” is sometimes used. This corresponds to shearing stress beyond which the flow curve becomes linear.  A Bingham body doesn’t begin to flow until a shearing stress corresponding to the yield value is exceeded.  If the stress is below the yield value, the substance acts as an elastic material.  Yield value is an important property of the certain dispersions.  The slope of Rheogram is termed as mobility similar to the fluidity as in case of Newtonian system and its reciprocal is known as plastic viscosity or “U”.
  • 154.
    Chapter 5. Rheology 153 MuhammadMuneeb U = F − FB G Where: FB = Yield value in dynes/cm2 F = Shearing stress G = Rate of shear  Plastic viscosity or “U” is defined as, “the shearing force in excess of the yield value required to induce a unit rate of shear (G)”.  The yield value is related with the pressure of flocculated particles in concentrated suspensions.  Yield value exhibits because of the contacts between the adjacent particles and it also slows the force of flocculation.  If the suspension is more flocculated, then the yield value is also higher.  Examples of Plastic Material: o A suspension of zinc oxide in mineral oil o Certain paints o Printing inks o Jellies or Gel 2. PSEUDOPLASTIC FLOW:  Unlike the plastic material, the Pseudoplastic material exhibits no yield value but these materials are characterized by a rheological curve which passes through the origin of the graph as in the case of Newtonian liquids.  Unlike the curve of Newtonian material, the pseudoplastic flow curve is non-linear. (Rheogram for a Pseudoplastic material)  The shear stress (F) doesn’t increase linearly with the shearing rate (G) and therefore the viscosity doesn’t remain constant at different rate of shear.  These systems are also known as the shear thinning system.  The decrease in the viscosity with the increasing rate of shear is also exhibited in the pseudoplastic system.
  • 155.
    Chapter 5. Rheology 154 MuhammadMuneeb (Effect of rate of shear on the viscosity of pseudoplastic and plastic material)  Examples of Pseudoplastic Material Systems: o Gums (e.g. agar, algrnate) o Solutions of the suspending agents e.g. tragacanth, gelatin, carboxymethyl cellulose (CMC) o Other water soluble Mucilages Representation of Pseudoplastic Flow: A number of expressions have been derived to represent pseudoplastic flow. The most frequently used expression is an exponential equation. FN = η’ G Where, F = Shearing stress G = Rate of shear Exponent N = An indicative of the Non-Newtonian behaviour When N assumes a value of unity, we will have a simple Newtonian equation of flow. Further the value of N rises above the unity, the greater the pseudoplastic character of the material. 3. DILATANT FLOW:  Dilatancy is a phenomenon in which the material exhibits an increase in the resistance to flow with increasing rate of shear.  The material returns to a state of fluidity when the shear is removed, all the agitation is stopped.  This phenomenon is sometimes referred to as shear thickening system. (Rheogram for a Dilatant Flow)
  • 156.
    Chapter 5. Rheology 155 MuhammadMuneeb  As in the case of pseudoplasticity flow, the dilatant flow may also be expressed by the exponential expression. FN = η’ G  Whereas in case of pseudoplasticity then N takes a value greater than 1, but in Dilatancy N is always less than 1.  As the N approaches the unity, the material approaches the Newtonian behaviour and the curve line becomes linear.  The dilatant flow is exhibited by: o Suspension containing high concentration of very fine particles o The particles in suspensions are enclosed packed arrangement and they are in state of deflocculation in suspension o The flocculated suspensions on the other hand tend to show the plastic flow rather than dilatancy. THIXOTROPY:  The Non-Newtonian system such as plastic, pseudoplastic and dilatant system at a given temperature show the time dependent changes in the viscosity and then various shearing stresses. This behaviour is called as thixotropy.  Slow and isothermal recovery of the materials, when shearing stress is removed at certain temperature is known as thixotropy. It may be explained in the following manners. Thixotropy in Plastic and Pseudoplastic Material:  In the plastic and pseudoplastic system the viscosity gradually decreases on increasing the shearing stress at any given temperature.  On removing the shearing stress, the viscosity is regained not immediately but after some lag time.  The term thixotropy is given to this phenomenon means “to change by touch” and it may be described (for example toothpaste) as reversible isothermal transformation from gel to sol. 𝐺𝑒𝑙 𝐴𝑝𝑝𝑙𝑖𝑐𝑎𝑡𝑖𝑜𝑛 𝑜𝑓 𝑆ℎ𝑒𝑎𝑟𝑖𝑛𝑔 𝑆𝑡𝑟𝑒𝑠𝑠 → 𝑆𝑜𝑙 𝑅𝑒𝑚𝑜𝑣𝑎𝑙 𝑜𝑓 𝑆ℎ𝑒𝑎𝑟𝑖𝑛𝑔 𝑆𝑡𝑟𝑒𝑠𝑠 → 𝐺𝑒𝑙  If a Rheogram is obtained for such a system by plotting the rate of shear at various shearing stresses, a hysteresis loop which is shown in figure is obtained.  As the shearing stress is increased, an up-curve is obtained. On reducing the shearing stress gradually, a down-curve is obtained.  Unlike the Newtonian system, the up-curve and down-curve are not super impossible.
  • 157.
    Chapter 5. Rheology 156 MuhammadMuneeb (Thixotropy in Plastic and Pseudoplastic System)  The down-curve is shifted to left side means that, the viscosity is of the down curve is lower than that of up-curve.  This implies that the gel structure of the system is not reformed immediately but only after a lag time.  Thixotropic system contains asymmetric particles which setup a loose three dimensional structure. This structure exerts certain rigidity on the system and it resembles a gel.  As shear is applied to the system, the structure breaks down and the material changes from gel to a sol structure.  Upon the removal of the stress, the structure begins to reform slowly and the initial structure is regained after a time lag. (Explanation of thixotropy in Bentonite Gel) Thixotropy in Dilatant System:  In the dilatant system as increase in the shearing stress causes an apparent increase viscosity at the given temperature.  On removal of shearing stress, viscosity decreases but after a lag time.  This phenomenon is called as thixotropy in dilatant system and it may be described as a reversible isothermal transformation from sol to gel. 𝐺𝑒𝑙 𝐴𝑝𝑝𝑙𝑖𝑐𝑎𝑡𝑖𝑜𝑛 𝑜𝑓 𝑆ℎ𝑒𝑎𝑟𝑖𝑛𝑔 𝑆𝑡𝑟𝑒𝑠𝑠 → 𝑆𝑜𝑙 𝑅𝑒𝑚𝑜𝑣𝑎𝑙 𝑜𝑓 𝑆ℎ𝑒𝑎𝑟𝑖𝑛𝑔 𝑆𝑡𝑟𝑒𝑠𝑠 → 𝐺𝑒𝑙
  • 158.
    Chapter 5. Rheology 157 MuhammadMuneeb (Thixotropy in Dilatant Systems) The above rheographs of thixotropic material show that they are highly dependent on:  The rate at which shear rate is increased or decreased.  The time at which a sample is subjected to any one rate of shear.  The previous history of the materials. Thixotropy in Formulations: In most of the pharmaceutical systems thixotropy is an ideal property having high consistency in the container yet pour and spread easily. For example, if a suspension is thixotropic it will not settle easily and will become fluid on shaking and will remain consistent for enough time until the drug is dispersed. Such behaviour is likely to be shown by emulsions, creams, ointments, lotions and other types of suspensions. In a suspension, thixotropy and rate of sedimentation are related. As when suspension shows greater thixotropy settling rate is lower. For example, concentrating suspension of procaine penicillin G in water is formed to have high thixotropy and is shear thinning. The breakdown of structure occurs when it is caused to pass through a hypodermic needle. At the site of injection in the muscle the consistency is recovered and formation of depot of drug occur from which drug is slowly removed and is made available to the body. Thixotropic systems are complex and different rheological changes are concerned with aging of formulation. Rheopexy: Rheopecty or Rheopexy is the rare property of some non-Newtonian fluids to show a time-dependent increase in viscosity (time-dependent viscosity); the longer the fluid undergoes shearing force, the higher its viscosity. Rheopectic fluids, such as some lubricants, thicken or solidify when shaken. 𝑆𝑜𝑙 ====== 𝑔𝑒𝑙 ====== 𝑠𝑜𝑙 Anti-Thixotropy: Anti-thixotropy is the process in which viscosity of the system increase by increasing the shear stress. The difference b/w anti-thixotropy and dilatancy is that, in case of dilatancy the particles are deflocculated and concentration of dispersed phase is high e.g. 50%, while in anti-thixotropy the particles are mainly flocculated and containing 1 – 10% of dispersed phase. The difference b/w anti-thixotropy and Rheopexy is that, sol is the equilibrium form in anti-thixotropy and gel in Rheopexy.
  • 159.
    Chapter 5. Rheology 158 MuhammadMuneeb RHEOLOGY OF SOME PHARMACEUTICAL PRODUCTS: Rheology of Emulsions:  Most of the emulsion systems such as lotions and creams are Non-Newtonian.  Fluid emulsions such as lotions are usually pseudoplastic.  Those with the semi-solid behaviour such as cosmetic creams are plastic and show marked yield value.  Shear thinning emulsions are particularly preferred at creams because they have considerable consistency when removed from pack or container and spread easily on application to the skin. ADVANTAGES:  Stability of emulsified system e.g. creaming, cracking or phase inversion can be avoided.  Release of the drug from emulsified system may also depend upon their rheological characteristics. Rheology of Suspensions:  The suspension exhibit plastic or pseudoplastic characteristics along with thixotropic properties.  Rheological properties of suspensions depend upon: o Degree of flocculation of the dispersed phase o The type and quantity of the suspending or thickening agent which are added to the system  Preferred rheological behaviors for pharmaceutical suspension are pseudoplasticity along with thixotropy.  Thixotropic character of the products ensures recovery after shaking so that the product can be easily dispersed. ADVANTAGES:  The physical stability of suspension e.g. setting or caking of the particles can be avoided. Rheology of Gels and Ointments:  The rheological characteristics of gels and ointments directly effect: o The stability, elegance, extrudability from the tubes o The capacity of the semi-solid base to take up the solids or liquids (medicines or drugs) o Adherence and spreadability of the product on the skin o Release of the drug from the base  Most of the topical semi-solid preparations exhibit the plastic behaviour e.g. hydrocarbon bases (such as petrolatum or petroleum exhibit the plastic flow) along with various degrees of the thixotropy.  Some of the pastes exhibit dilatancy when the shear stress is applied whereas the other exhibit pseudoplastic flow with thixotropy.
  • 160.
    Chapter 5. Rheology 159 MuhammadMuneeb  The pharmaceutical paste and tooth paste, ophthalmic exhibit different flow behaviour from plug flow to complete stream line flow, when these are extruded from tubes. DETERMINATION OF VISCOSITY: The various viscometers used for determining the viscosity of different systems can be broadly divided into following types: A. Capillary Instruments a. The Ostwald’s U-tube Viscometer b. The Ubbelohde Suspended Level Viscometer B. Falling and Rising Body Apparatus a. Falling Sphere Viscometer b. Rising Sphere Viscometer (Rheometer) C. Rotational Viscometers a. Cup and bob Viscometer i. Couette type viscometer 1. MacMicheal Viscometer ii. Searle type viscometer 1. The Stormer Viscometer 2. The Brookfield Viscometer b. Cone and Plate Viscometer VISCOMETER:  A viscometer (also called viscosimeter) is an instrument used to measure the viscosity of a fluid.  For liquids with viscosities which vary with flow conditions, an instrument called a rheometer is used.  Viscometer only measure under one flow condition. VISCOSITY:  “The viscosity of a fluid is a measure of its resistance to gradual deformation by shear stress or tensile stress.”  For liquids it corresponds to the informal concept of thickness.  E.g. honey has a much greater viscosity than water.  Common symbols used for viscosity are etta (η) or mho (μ). RHEOMETER:  It is a laboratory device used to measure the way in which a liquid suspension or slurry flows in response to applied forces.
  • 161.
    Chapter 5. Rheology 160 MuhammadMuneeb  It is used for those fluids which cannot be defined by a single value of viscometer.  Required more parameters to be set. FLOW CONDITIONS:  In general, either the fluid remains stationary and an object moves through it, or the object is stationary and the fluid moves past it.  The drag caused by relative motion of the fluid and a surface is a measure of the viscosity.  The flow conditions must have a sufficient small value of Reynolds number (dimensionless quantity in fluid mechanics that is used to help predict flow patterns in different fluid flow situations) for there to be laminar flow. CALIBRATION OF VISCOMETERS:  At 200 C, the dynamic viscosity (kinetic viscosity * density) of water is 1.0038 mPa.s and its kinematic viscosity (product of flow time * factor) is 1.0022 mm2/s.  These values are used for calibrating certain types of viscometer. Types of Viscometers: 1. Standard laboratory viscometers for liquids i. U-tube viscometers ii. Falling sphere viscometers 2. Falling ball viscometer 3. Falling piston viscometer 4. Oscillating piston viscometer 5. Vibrational viscometers i. Quartz viscometer
  • 162.
    Chapter 5. Rheology 161 MuhammadMuneeb 6. Rotational Viscometers i. EMS ii. Stabinger 7. Bubble viscometer 1. Standard Laboratory Viscometers for Liquids: 1. U-TUBE VISCOMETERS:  Ostwald viscometer or Capillary viscometer  Measure viscosity of substances with a known density  Named after the German scientist Wilhelm Ostwald (1853 – 1932)  Method consists of measuring the time for known volume of liquid (mark between A and B) to flow through the capillary under influence of gravity  Instrument must be calibrated with materials of known viscosity such as pure (deionized) water. 2. FALLING SPHERE VISCOMETER:  Stock’s law is the basis of this viscometer  Fluid is stationary in a vertical glass tube  In 1851, George Gabriel derived an expression for the frictional forces exerted on spherical objects with a very small Reynolds numbers. F = 6πηrv  If particle is falling in viscous fluid is reached when this frictional force combined with the buoyant force (up thrust force) exactly balance the gravitational force.  Modification: Rolling ball viscometer
  • 163.
    Chapter 5. Rheology 162 MuhammadMuneeb ADVANTAGES AND DISADVANTAGES OF LABORATORY USED VISCOMETERS: Advantages:  Measure precise viscosities for many diverse fluids  Small and portable  Can use a wide variety of capillary tubes on the same viscometer Disadvantages:  No single tube is suitable for all viscosities  Basic models can only be used for translucent (semi-transparent) fluids  Difficult to clean the capillary tubes 2. Falling Ball Viscometers:  In 1932, Fritz Hoppler got a patent for the falling ball viscometer, named after him – the first viscometer to measure viscosity  Viscosity of Newtonian liquid by measuring the time required for a ball to fall under gravity through a sample-filled tube that is inclined at an angle  The average time is taken for atleast three tests and then it is converted into viscosity.  Two models of falling ball viscometer are available. o KF30 has a fixed angle of 80 degree o KF40 can be inclined at 50, 60, 70, 80 degree. Advantages:  Small and portable  Easy operation Disadvantages:  Limited to Newtonian fluids  Restricted to translucent fluids (need to be able to see the object's movement) 3. Falling Piston Viscometer:  Comprised of a tube with a measured liquid, piston or ball inside the tube, an electrical magnet and a magnet switch  Also known as Nocross viscometer –named after its inventor Austin Nocross  Piston is made up of ferromagnetic material, first lifted to the top by magnet and then is allowed to
  • 164.
    Chapter 5. Rheology 163 MuhammadMuneeb move freely under gravity.  Time required to pass the length of tube is proportional to the viscosity. 4. Oscillating Piston Viscometer:  Sometimes referred to as electro-magnetic viscometer (EMV)  Invented at Cambridge Viscosity in 1986  Sensor comprises a measurement chamber and magnetically influenced piston  Sample is introduced into the thermally controlled measurements chamber where the piston resides  Shear stress is imposed on the liquid  Time travel to move piston is used to calculate the viscosity  Technology is adapted for small viscosity and micro-sample viscosity testing in laboratory uses Advantages:  Can measure viscosities of opaque, settling, or non-Newtonian fluids  Useful for characterizing shear-thinning and time-dependent behavior  Speed of the rotating part easily adjusted  Often linked to computers for semi-automated measurement Disadvantages:  Can be relatively expensive  Often large and not portable
  • 165.
    Chapter 5. Rheology 164 MuhammadMuneeb 5. Vibrational Viscometers:  Invented in 1950  Measure viscosity by measuring the damping of an oscillating electromagnetic resonator immersed in a liquid whose viscosity is to be measured.  The resonator's damping may be measured by one of several methods: o Measuring the Power Input o Measuring the decay time o Measuring the frequency of the resonator QUARTZ VISCOMETER:  Special type of vibrational viscometer.  An oscillating quartz crystal is immersed into a specific influence on the oscillating behavior defines the viscosity.  Idea of W. P. Mason - the application of piezoelectric crystal for determining the viscosity. Advantages and Disadvantages:  This instrument lacks shear field so it is un-suitable for those liquids whose flow behaviour is not known before-hand.  This is the most efficient system with which the viscosities are measured at wide range.  They’ve no moving parts, no weaker parts and the sensitive part is very small. Even acidic or basic fluids can be measured by adding protective coatings such as enamels. 6. Rotational Viscometers:  Torque required to turn an object in a fluid is a function of viscosity of that fluid. They measure the torque required to rotate a disk or bob in a known speed. o Cup and bob o Cone and plate
  • 166.
    Chapter 5. Rheology 165 MuhammadMuneeb TYPES OF ROTATIONAL VISCOMETERS: Advantages:  Can measure viscosities of opaque, settling, or non-Newtonian fluids  Useful for characterizing shear-thinning and time-dependent behavior  Speed of the rotating part easily adjusted  Often linked to computers for semi-automated measurement Disadvantages:  Can be relatively expensive  Often large and not portable 7. Bubble Viscometer:  Determine kinematic viscosity  The time required for an air bubble to rise is directly proportional to the viscosity of the fluid, so the
  • 167.
    Chapter 5. Rheology 166 MuhammadMuneeb faster the bubble rises, the lower is the viscosity.  The direct time method uses a single 3-line times table for determining the bubble second, which is then converted into viscosity. Advantages and Disadvantages: This method is considerably accurate, but the measurements can vary due to the variances in buoyancy because of the changing in shape of the bubble in tube. However, this doesn’t cause any sort of miscalculations. Other Types of Viscometers:  Rectangular-slit Viscometer  Miscellaneous Viscometer Types  The Ubbelohde Suspended Level Viscometer  Falling Sphere Viscometer  Rising Square Viscometer (Rotational Viscometer)  The Stormer Viscometer _______________________________________________________________________________________
  • 168.
    Chapter 6. PhysicochemicalProcesses 167 Muhammad Muneeb Unit 6. PHYSICOCHEMICAL PROCESSES Outline: a. Precipitation: Process of precipitation and its applications in Pharmacy. b. Crystallization: Types of crystals, Mechanism and methods of crystallization and its applications in Pharmacy. c. Distillation: Simple, fractional, steam distillation, vacuum distillation, destructive distillation and their applications in Pharmacy. d. Miscellaneous Processes: Efflorescence, deliquescence, lyophillization, elutrition, exiccation, ignition, sublimation, fusion, calcination, adsorption, decantation, evaporation, vaporization, centrifugation, dessication, levigation and trituration. _______________________________________________________________________________________ 1. PRECIPITATION Definition:  ‘‘Precipitation is the process of separating the solid particles from the solution by physical and or chemical changes”.  The formation of an insoluble component from solution either by interaction of two salts (i.e. by chemical changes) or by temperature changes ((i.e. physical change) effecting stability is called precipitation. The solid formed in this process is called precipitate. CRYSTALLIZATION AND PRECIPITATION:  Crystallization and precipitation are two similar concepts, which are used as separation techniques.  In both the methods, the end product is a solid and its nature can be controlled by manipulating different variables throughout the process.  Precipitation is a unit process in which a settleable and / or filterable solid is formed by the chemical joining of two or more inorganic dissolved chemical species, the objective of which is to remove one of the chemical species. TERMS:  The separated solid particles are called precipitate, while the remaining clear liquid above the precipitates are called as ''supernatant”.  The separated solid is termed a precipitate; the cause of precipitation is the precipitant; and the liquid that remains in the vessel above the precipitate is called the supernatant liquid.
  • 169.
    Chapter 6. PhysicochemicalProcesses 168 Muhammad Muneeb Methods of Precipitations: There are three different method of Precipitation as follows:  Organic solvent method  pH change method  Double decomposition method 1. ORGANIC SOLVENT METHOD:  In this method the water insoluble substances or (drugs) are dissolved in water miscible organic solvents.  Now the dissolved drug can be easily precipitated by adding water (distilled water) into the mixture.  The general organic solvents are Ethanol, Methanol, Glycol, Propylene glycol, polyethylene glycol.  When (prednisolone) suspension is dissolved in methanol, it is very easily precipitated by adding distilled water.  Only physical changes occur in this process. Summary:  Take drug  Dissolve in organic solvent  Add water  Drug separate as precipitate 2. pH CHANGE METHOD:  This method is applicable only to those substances (drugs) in which solubility are dependent upon pH.  (Esterdiol suspension) is prepared by changing the pH of the aqueous solution. Esterdiol drug is readily soluble in alkaline media (NaOH and KOH) solution. However, this drug is insoluble in acidic media. So when this drug is added to an acidic media (HCI, acetic acid or citric acid) with proper agitation. Esterdiol is easily precipitated out in a form of fine particles.  Insulin solution can also be prepared by pH change method. The PH change method is again a physical change. (Not a chemical change) 3. DOUBLE DECOMPOSITION METHOD:  Precipitations are formed in this method only by simple chemistry.  MgCO3 and CaCO3 are the common substances prepared by this method CaCl2 + Na2CO3 → CaCO3 + 2NaCl MgCl2 + Na2CO3 → MgCO3 + 2NaCl  High concentration solution produce coarse precipitates, from which impurities can be removed by washing, but precipitates formed by dilute solution are much finer and it is much difficult to remove impurities from them. In many case the order of mixing solutions can also effect the PPT formation, e.g.  Similarly, (white lotion) is formed by precipitation  i.e. by mixing aqueous solution of ZnSO4 and Sulphurated Potash to form insoluble PPT, which finally divided into Zinc sulphide plus free sulphur and various polysulphides e.g.
  • 170.
    Chapter 6. PhysicochemicalProcesses 169 Muhammad Muneeb ZnSO4 + sulphurated potash → ZnS + S  Many other organic and inorganic compounds are formed by precipitation methods e.g. Mg stearate is formed by treating diluted solution of sodium stearate and MgSO4. Precipitates of Mg stearate are formed and are formed and are washed with water Sodium stearate + MgSO4 → Mg sterate Applications:  The precipitation method is used to produce very fine solid particles, about 0-1µm.  It is also used to purify the solids. (Drugs)  It provides a convenient method of obtaining solid substances in the form of fine particles, such as the precipitation of calcium carbonate (precipitated chalk).  In preparation of pharmaceuticals, dyes, paints, printing inks.  Many consumer products are produced via precipitation processes, such as magnetic recording media, which contain ferric or chromic oxides, and photographic materials.  Precipitation has also played an important role in wastewater treatment (e.g., removal of calcium salts).  In metallurgy, precipitation from a solid solution is also a useful way to strengthen alloys; this process is known as solid solution strengthening. _______________________________________________________________________________________ 2. CRYSTALLIZATION Definition:  Crystallization is the spontaneous arrangement of the particles into a repetitive orderly, i.e., regular geometric patterns.  Crystallization is also a chemical solid-liquid separation technique in which mass transfer of a solute from the liquid solution to a pure solid crystalline phase occurs.  Crystallization is a process of formation of large crystals in pure state from their solution. General Process:  Take china dish add water  Heat it  Add impure salt  Continue stirring and adding more salt until no more salt dissolve  Filter it  Allow to cool it  After some time, crystal forms Crystal:  A crystal can be defined as a solid particle, which is formed by the solidification (crystallization) process (under suitable environment) in which structural units are arranged by a fixed geometric pattern or lattice.  Homogenous solids which possess a definite geometrical shape is called crystal.
  • 171.
    Chapter 6. PhysicochemicalProcesses 170 Muhammad Muneeb  A discrete solid particle bounded by definite faces intersecting at definite angels, and showing certain symmetry characteristics is called crystals. The building block of the crystal is called unit cell. It is the basic structural unit of crystal and possessing all the properties of its pattern (solid). CRYSTAL LATTICE:  Crystal lattice is defined as an orderly arrangement of particles in three – dimensional space. The Three dimensional arrangement of particle in a crystal is also known as space lattice  The smallest geometric portion, which repeat to build up the whole Crystal, is called a unit cell.  All crystals are constructed from repeating units called unit cells.  A crystal is bounded by plane surface called faces  The angle between the two perpendicular to the intersecting faces is termed as the axial angle  Axial length can be defined as the distance between the centre of two atoms. Crystal System:  All crystals are constructed from repeating units called unit cells. All unit cells in a specific crystal are the same size and contain the same number of molecules or ions arranged in the same way.  There are seven primitive unit cells;
  • 172.
    Chapter 6. PhysicochemicalProcesses 171 Muhammad Muneeb  cubic, hexagonal, trigonal(rhombohedral), tetragonal, orthorhombic, monoclinic and triclinic. Process of Crystallization:  In chemical engineering crystallization occurs in a crystallizer. Crystallization is therefore an aspect of precipitation, obtained through a variation of the solubility conditions of the solute in the solvent, as compared to precipitation due to chemical reaction.  There are three major events in the process of crystallization o Formation of Solution o Nucleation o Crystal growth
  • 173.
    Chapter 6. PhysicochemicalProcesses 172 Muhammad Muneeb 1. SUPER-SATURATION OF SOLUTION:  During the process of crystallization, the first step is the super saturation of the solution i.e. the concentration: of the solute in the solution must be greater than its solubility.  There are various methods for this purpose depending upon that how the solubility of solute varies with temp: for example, sodium chloride solution is super saturated only by the evaporation of water, while in case of KNO3 either evaporation or cooling is used. 2. NUCLEATION:  A step where the solute molecules dispersed in the solvent start to form clusters together.  These clusters become stable under the current operating conditions.  Aggregation of molecules builds larger and larger molecules – becomes a nucleus at some point.  These stable clusters constitute the nuclei.  However, when the clusters are not stable they redissolve. Therefore, the clusters need to reach a critical size in order to become stable nuclei.  It is at the stage of nucleation that the atoms arrange in a defined and periodic manner that defines the crystal growth.  Nucleation is the initiation of a phase change in a small region, such as the formation of a solid crystal from a liquid solution.  Total nucleation is the sum effect of two categories of nucleation – primary and secondary. Types of Nucleation: 1. Primary nucleation is the initial formation of a crystal where there are no other crystals present or where, if there are crystals present in the system, they do not have any influence on the process. a. Homogeneous nucleation: It is not influenced in any way by solids. These solids include the walls of the crystallizer vessel and particles of any foreign substance b. Heterogeneous nucleation: This occurs when solid particles of foreign substances cause an increase in the rate of nucleation that would otherwise not be seen without 2. Secondary Nucleation is the formation of nuclei attributable to the influence of the existing microscopic crystals in the magma. It is attributable to fluid shear, the other due to collisions between already existing crystals with either a solid surface of the crystallizer or with other crystals themselves.
  • 174.
    Chapter 6. PhysicochemicalProcesses 173 Muhammad Muneeb 3. CRYSTAL GROWTH:  Once the first small crystal, the nucleus, forms it acts as a convergence point for molecules of solute touching – or adjacent to – the crystal so that it increases its own dimension in successive layers.  The pattern of growth resembles the rings of an onion, as shown in the picture, where each colour indicates the same mass of solute; this mass creates increasingly thin layers due to the increasing surface area of the growing crystal.  In crystallization Processes nuclei formation should be under control, since the number of nuclei will control the size of the crystal.  Large crystals may be obtained as a result of slow cooling of solutions.  Nucleation may be inhibited by the presence of impurities, especially if of high molecular weight in the solution. COLLECTION OF CRYSTALS:  After crystallization, the solution is filtered under reduced pressure.  When whole of the mother liquor is drained out, the crystals are washed with pure cold solvent to remove adhering impurities and then they are dried in an oven or in vacuum desiccators.  Crystal size also depend upon solvent used, for example Grisionfulvin (antifungal)  When crystallize out from benzene, chloroform and acetone, three different size of crystals are formed. Methods of Preventing Crystal Formation: 1. Use of narrow size range. 2. Grinding the solid in the presence of dispersing fluid. 3. Use of surface active agents which are adsorbed on the surface of crystals. E.g., a simple suspensions of cortisone acetate powder for use as eye drop is liable to crystal growth. It can be avoided by grinding with hydrated Aluminium hydroxide and inclusion of methyl cellulose. Applications:  The applications of the crystallization technique in the pharmaceutical industry as a purification and separation process for the isolation and synthesis of pure active pharmaceutical ingredients (API)  Crystallization is practiced on all scales: from the isolation of the first milligrams of a newly synthesized substance in the research laboratory to isolating products on the mulit-million tone scale in industry. _______________________________________________________________________________________
  • 175.
    Chapter 6. PhysicochemicalProcesses 174 Muhammad Muneeb 3. DISTILLATION Definition:  Distillation is the process in which a liquid is vaporized, re-condensed (turned back into a liquid) and collected in a container.  Distillation may be defined as the separation of the constituents of a mixture including a liquid by partial vaporization of the mixture and separate collection of the vapors. General Apparatus: 01 Heat Source 09 Vacuum / Gas Inlet 02 Still Pot 10 Still Receiver 03 Still Head 11 Heat Control 04 Thermometer / Boiling Point Temperature 12 Stirrer Speed Control 05 Condenser 13 Stirrer / Heat Plate 06 Cooling Water In 14 Heating (Oil/Sand) Bath 07 Cooling Water Out 15 Stirrer Bar/Anti-bumping Granules 08 Distillate / Receiving Flask 16 Cooling Bath The separations may include;  Separation of a liquid from non-volatile impurities  The separation of a liquid from one or more other liquids, with which it may be miscible, partially miscible or immiscible.  The process of vaporizing a liquid mixture in one vessel and condensing the vapors into another vessel is called distillation.  The liquid being distilled is heated in a flask, which is sometimes called a distillation flask or distillation pot or Still.  The vapors are condensed on a cool surface, usually a water-cooled condenser.  The resulting liquid is called the distillate and is collected in a receiving flask or Receiver.  The boiling point of mixtures depends upon mole fraction of the component present i.e.: o In pure substances the temperature remains constant during distillation process so long as both vapor and liquid are present. o In miscible liquid mixture the temperature increases throughout process because composition of vapor changes continuously. Types of Distillation: Some types of distillation are as follows.
  • 176.
    Chapter 6. PhysicochemicalProcesses 175 Muhammad Muneeb  Simple Distillation  Fractional Distillation  Steam Distillation  Vacuum Distillation  Destructive Distillation 1. Simple Distillation:  Simple distillation is a process of converting a liquid into its vapors, transferring the vapors to another place, and recovering the liquid by condensing the vapors, usually by leading contact with a cold surface. The apparatus used consists of three parts: o Still in which volatile material is vaporized o Condenser in which vapors are condensed o Receiver in which distillate is collected  Simple distillation can produce partial separation of components with different boiling points in a liquid mixture.  The process is generally used for separation of liquids from non-volatile solids, e.g., preparation of distilled water and recovery of alcohol in the preparation of dry extracts.  Simple distillation is practiced for a mixture in which the boiling points of the components differ by at least 70°C.  It is also followed for the mixtures contaminated with nonvolatile particles (solid or oil) and those that are nearly pure with less than 10 percent contamination. Double Distillation: Double distillation is the process of repeating distillation on the collected liquid in order to enhance the purity of the separated compounds. Process of Simple Distillation:  For simple distillation on laboratory scale, a distillation flask with side arm slopping downwards is used.  The temperature at which the vapors distil is observed on a thermometer.  Thermometer is inserted through a cork and having its bulb just below the level of the side arm.  The size of the flask should be good enough to hold the volume double than the required volume.  Bumping, due to heating is avoided by adding a small chip of porous pot before the start of distillation in the flask.  If the process is interrupted, a fresh chip should be added. They will prevent superheating of the liquid being distilled and they will cause a more controlled boil, eliminating the possibility that the liquid in the distillation flask will bump into the condenser.  Chips should not be added to the superheated liquid; otherwise an instantaneous evolution of a large volume of vapors will occur. Condenser: A condenser is a heat exchanger; its surface is kept cold by a stream of cold water. It should have the following properties:  Construction of condenser should be such that it can be easily cleaned.
  • 177.
    Chapter 6. PhysicochemicalProcesses 176 Muhammad Muneeb  The broken parts may be easily replaced so that the cost of new one is saved.  Provide maximum cooling surface because the rate of condensation is directly proportional to the cooling area.  Condensing surface should be good conductor of heat, therefore where practicable metal condensers are preferred over glass.  Water used for cooling must leave the condenser quickly so as to provide space for water to get in and provide cold surface.  Water must flow in opposite direction to vapors so that the condensed liquid should leave the condenser in as cool a condition as possible. Limitations of Simple Distillation:  It produces a distillate that is always impure at any temperature range between the ranges of boiling points of the components. Therefore, it is impossible to completely separate the components in a mixture with Simple Distillation.  Relatively pure substances can be obtained from a mixture with Simple Distillation if the boiling points of the components differ by a large amount (>70ºC).  This may be a very tedious process involving a large number of distillations. Properties of Simple Distillation:  Simple set up  Fast process  Consumes less energy  Poor separation  Best for relatively pure liquids Applications of Simple Distillation:  For purification of organic liquids.  Separation of liquids from non-volatile solids – recovery of alcohol in the preparation of dry extracts.  Preparation of different substances – ether amyl nitrate etc.  Preparation of distilled water.  Identification. 2. Fractional Distillation: Introduction:
  • 178.
    Chapter 6. PhysicochemicalProcesses 177 Muhammad Muneeb  Simple Distillation separates components of a mixture based on the differences in boiling points of the pure components.  The closer the boiling points are to each other, the more difficult the separation; hence Fractional Distillation is used instead of simple distillation.  The boiling point of a substance determined by distillation is a useful physical property for the characterization of pure compounds  Fractional Distillation is one of the most common separation method used when purifying liquid organic samples.  Especially, to separate miscible volatile liquids having different boiling points e.g., mixture of Alcohol and water.  It is quite easy to separate a liquid from non-volatile solids by simple distillation but it is very difficult to separate two volatile liquids completely from each other by simple distillation.  The fractional Distillation accomplishes the same Condensation Cycles, by inserting a Fractionating Column between the Distillation Flask and the Distillation Head.  The Fractionating Column subjects the mixture to many Condensation Cycles as the material moves up the column toward the Distillation Head. With each cycle within the column, the composition of the vapor is progressively enriched in the lower boiling liquid. This process continues until most of the lower boiling compound is removed from the original mixture and condensed in the receiving flask. Process:  Distillation is one of the oldest and still most common methods for both the purification and the identification of organic liquids. It is a physical process used to separate chemicals from a mixture by the difference in how easily they vaporize. As the mixture is heated, the temperature rises until it reaches the temperature of the lowest boiling substance in the mixture, while the other components of the mixture remain in their original phase in the mixture. The resultant hot vapor passes into a condenser and is converted to the liquid, which is then collected in a receiver flask.  When the lower boiling liquid is effectively removed from the original mixture, the temperature rises and a second fraction containing some of both compounds is produced. As the temperature approaches the boiling point of the higher boiling point compound, the distillate condensing into the third receiving flask is increasingly pure in the higher boiling point compound Principle:  The principle of fractional distillation is based on the establishment of a large number of theoretical vaporization-condensation cycles.  The apparatus of a simple distillation is modified by inserting a fractionating column between the distillation flask and the distillation head.  The fractionating column provides a large surface area in which the initial distillate is redistilled and condensed again.  This process continues as the vapors rise up the column until the vapors finally make it into the condenser.  These vapors and the final distillate will contain a greater percentage of the lower boiling liquid.  Continuous repetition of re distillation process in fractional distillation gives good separation of the volatile liquid components.
  • 179.
    Chapter 6. PhysicochemicalProcesses 178 Muhammad Muneeb Azeotropic Mixtures:  Azeotropic mixture or constant boiling mixture is one in which the composition of the liquid and the vapor in equilibrium with it, is the same.  Their proportions cannot be altered by simple distillation.  The mixture behaves like a pure liquid and distils without change in composition or boiling point. Such mixtures cannot be separated into their pure components by simple distillation, e.g., alcohol and water, alcohol and benzene, alcohol and chloroform. Ternary mixtures: Mixtures of three components, which do not form azeotropes may be separated by fractional distillation in the same way as the binary mixtures. Properties of Fractional Distillation:  Complicated  Slow  Consumes more energy  Better separation  Best for mixtures with close B.P Applications of Fractional Distillation:  Separation of two immiscible liquids having different boiling points.  Separation of ternary mixtures.  Manufacture of Alcohol 3. Steam Distillation: Introduction:  Steam distillation is a special type of distillation for temperature sensitive materials like natural aromatic compounds.  Many organic compounds tend to decompose at high sustained temperatures. Separation by normal distillation would then not be an option, so water or steam is introduced into the distillation apparatus
  • 180.
    Chapter 6. PhysicochemicalProcesses 179 Muhammad Muneeb  By adding water or steam, the boiling points of the compounds are depressed, allowing them to evaporate at lower temperatures, preferably below the temperatures at which the deterioration of the material becomes appreciable  Steam distillation is used for the distillation of water-immiscible liquids of high boiling points, e.g., turpentine, aniline.  By bubbling steam through the liquid, the mixture boils at below the normal boiling point of the either component.  The distillate consists of the two liquids in the same proportions as in the vapor E.g. Turpentine has a boiling point of 160 C, when mixed with water it can be distilled at about 95.6C. Steam Distillation Principle:  This method is based on the fact that, total vapor pressure above a mixture of two immiscible liquids is equal to the sum of the vapor pressures of the individual liquids i.e., Ptotal = P1 + P2 Hence, P2 = Ptotal - P1  A liquid boils at the temperature when its vapor pressure becomes equal to the atmospheric pressure.  Steam is continuously passed over the impure organic liquid; the steam heats the liquid and gets condensed into water itself.  The resulting mixture of liquid and water begins to boil when the vapor pressure above the mixture becomes equal to the atmospheric pressure.  Hence the mixture of the two immiscible liquids will boil at a temperature lower than the normal boiling points of both the liquids.  The mixture will continue to boil at the same temperature until one of the liquids is completely distilled out.  The distillate, which contains water and the liquid, separates out into two layers as both are immiscible with each other.  The two layers can be separated using a separating funnel. Steam Distillation Process:  The impure compound and water are placed in a distillation flask kept at a slight slant position and heated on a sand bath.  Steam is then bubbled through this mixture.  The vapors of the compound, along with steam, leave the flask from the outlet and get condensed in the water condenser.  The condensate collected in the receiver is transferred to a separating funnel.  The liquid compound being immiscible with water forms a separate layer and can be separated. Solid Drying Agents:  Final traces of water are removed by treating the organic solution with a drying agent.  A drying agent is an inorganic salt which readily takes up water to become hydrated.  Several such salts are used routinely in labs. Magnesium sulphate is a good general choice as it is fast and not very soluble in water.  There is no set “rule” as to how much drying agent needs to be added. The amount required depends on the amount of water in the liquid or solvent solution which you are drying. This amount varies from experiment to experiment.
  • 181.
    Chapter 6. PhysicochemicalProcesses 180 Muhammad Muneeb  Use as much as it takes to dry the solution. In most cases, drying is complete in 20 minutes.  When drying is complete, you need to remove the dried organic solution from the drying agent. There are several methods by which it can be done.  If the powder is quite fine (as when using magnesium sulphate) or if the volume is large, gravity filtration is the method of choice.  In case the drying agent is of larger particle size (as when using sodium sulphate or calcium chloride, decanting is the method of choice. Small Scale Steam Distillation:  On laboratory scale the apparatus consists of a steam generator fitted with a rubber bung/plug having two holes.  Through one hole a long safety tube is passed which permits the expulsion of some water if excessive pressure is generated inside the steam generator.  Through the second hole, a bent tube is passed which carries the steam to the flask containing the liquids to be distilled (immicible liquid + water).  The bent tube must dip almost to the bottom of the flask.  The steam must touch below the surface of the liquid, and heat it up. So that a rapid current of steam passes through the boiling mixture in the flask.  The vapors are allowed to pass through the condenser and the condensed liquid is collected in the Florentine receiver. Florentine Flasks: The distillate which forms in two layers – one aqueous and the other non-aqueous, are separated from each other as completely as possible. For separation Florentine receivers or separating funnel is used. Florentine receiver is a specialized receiver for collecting the oil and water in the same receiver. Applications:  For distillation of water immiscible liquids of high boiling points – turpentine, aniline, phenylalanine etc.  For extraction of volatile oils from their crude drugs – clove oil, anise oil and Eucalyptus oil from clove, anise and Eucalyptus.
  • 182.
    Chapter 6. PhysicochemicalProcesses 181 Muhammad Muneeb  For purification of volatile substances.  In the manufacture of essential oils, for use in perfumes.  To separate intermediate or final products during the synthesis of complex organic compounds. 4. Vacuum Distillation:  Vacuum distillation is also known as distillation under reduced pressure.  It works on the principle that a liquid boils when its vapor pressure is equal to the atmospheric pressure or the external pressure.  This technique is used for purifying or separating thermally unstable liquid compounds that decompose at their normal boiling points.  Liquids which are unstable at their boiling points can be distilled at a much lower temperature than their boiling points, under reduced pressure with less likelihood of decomposition.  Boiling under reduced pressure also increases the rate of distillation.  Under this condition, the compounds boil below their normal boiling temperature. Hence, vacuum distillation is best suited for separation of compounds with higher boiling points (more than 200°C), which tend to decompose at their boiling temperature. Vacuum Distillation Principle: The lowering of pressure on the surface of a liquid lowers its boiling point. As a result of this, a liquid can be boiled and distilled, without any decomposition, at temperature much below its normal boiling point. Distillation under reduced pressure or vacuum is carried out in a specially designed glass apparatus. A two necked 'Claisen's flask' is used. Process:  Distillation under reduced pressure is very commonly used for the evaporation of the menstrum in the preparation of the extracts.  Vacuum distillation is most conveniently carried out in a specially designed flask, known as Claisen flask  This special flask has two necks. Through one neck, a thermometer is inserted and is attached to the condenser. Through the other neck a very fine capillary tube is introduced which completely dips in the boiling liquid.
  • 183.
    Chapter 6. PhysicochemicalProcesses 182 Muhammad Muneeb  Bumping readily occurs during the distillation under reduced pressure, but it can be easily prevented by introducing stream of air bubbles passing into the liquid, through the fine capillary tube  The capillary tube should be sufficiently fine to permit only a slow stream of bubbles to be blown into the tube.  The side tube of the receiver is connected to a vacuum pump to provide the suitable vacuum  In all vacuum distillations, a small pressure gauge (manometer) should be inserted between the receiver and the vacuum pump  In carrying out the distillation, heating is not commenced until the required vacuum has been attained above the surface of the liquid, otherwise frothing of the hot liquid will result in the receiver.  Heating of the flask should be done on a water bath or oil bath maintained at about 20ºC higher than the boiling point of the liquid under reduced pressure.  Thin walled glass apparatuses, such as ordinary flat bottomed flasks and conical flasks should never be used for vacuum distillation; otherwise collapsing of such apparatus may result.  In some cases, persistent foaming occurs during the process of vacuum distillation. This may be overcome by adding capryl alcohol to the liquid to be distilled, or by inserting a second air capillary tube in the thermometer neck of the claisen flask. The stream of air drawn through the tube breaks the rising foam. Vacuum Distillation Advantages:  The compounds that decompose on heating to their boiling points can be purified by distillation under reduced pressure. This is because at the reduced pressure, a liquid would boil at a temperature much below its normal boiling point.  Distillation under reduced pressure is more fuel-economical as it makes the liquid boil at temperatures well below the normal boiling point.  Vacuum distillation is used to safely recover higher boiling point solvents.  It is used to safely recover solvents with boiling points over 300º Fahrenheit.  Vacuum distillation should not be used on solvents with boiling points below 200º Fahrenheit. Applications:  For distillation of thermo labile substances.  For concentration and drying of extracts which get destroyed at high temperature.  For purification of vitamins 5. Destructive Distillation:  Destructive distillation is the term used to describe the decomposition of a substance, usually a natural product, by heat followed by the condensation and collection of the volatile products of decomposition.  It is not a pharmaceutical process but is used in the manufacture of some substances used in medicines. _______________________________________________________________________________________ 4. EFFLORESCENCE Introduction:  Efflorescence is the loss of water of crystallization from a hydrated salt to the atmosphere on exposure to air.
  • 184.
    Chapter 6. PhysicochemicalProcesses 183 Muhammad Muneeb  The substance itself give up water.  The spontaneous dehydration of a compound is called efflorescence.  The loss of water of crystallization by hydrated crystalline substance with water of crystallization) to form anhydrous salts or hydrate with less molecules of water of crystallization is called efflorescence. Hydrates:  Solids that contain water molecules as part of their crystalline structure.  The water in the hydrate is known as the water of hydration or the water of crystallization.  The combination of water molecules with molecules of a compound results in a hydrate.  A large number of compounds crystallize in hydrated form. e.g., CuSO4 combines with 5 molecules of water Na2SO4 combines with 10 molecules of water MgSO4 combines with 7 molecules of water FeSO4 combines with 7 molecules of water  Presence of water of crystallization is not essential for crystal structure, as Sodium chloride, potassium nitrate and many other compounds have definite crystal structures without water of crystallization. Principle:  If the vapor pressure of a hydrated salt is greater than the pressure exerted by the water vapors in the surrounding atmosphere then the salt will tempt to attain equilibrium with its surroundings, and will therefore tend to lose water to form a lower hydrate or an anhydrous salt.  This phenomenon is called as Efflorescence.  For example, the vapor pressure of washing soda (Na2CO3.10H2O) normally exceeds that of the water vapor in the atmosphere, these salts effloresce (i.e., lose all or part of their water of hydration), and their surfaces assume a powdery appearance.  Hydrated cupric sulfate, or blue vitriol (CuSO4.5H2O), the aqueous vapor pressure of which is lower, undergoes efflorescence only if the air in contact with it is relatively dry.  A salt such as copper sulfate may form more than one hydrate, each of which possesses its own definite vapor pressure at a given temperature. The following hydrates of copper sulfate are known: CuSO4.5H2O, CuSO4.3H2O and CuSO4.H2O  When certain substances of low vapor pressure, such as CaCl2. H2O, are exposed to air, they form higher hydrates. Such salts may be used in the removal of moisture from air or other gases. Example:  Pressure of water vapor in the atmosphere is about 13.3X10² N/m² at 293 k.  Therefore, the hydrates with vapor pressure greater than this will show efflorescence and will be unstable, provided that the lower hydrate formed still exert a vapor pressure greater than the surrounding atmosphere.  If this is not so, the water will be taken up from the atmosphere by the lower hydrate as fast as it is formed and the final equilibrium will depend on the rates at which water is lost or taken up by the two hydrates.  E.g. o The behavior of various forms of sodium carbonate. o Sodium Sulphate
  • 185.
    Chapter 6. PhysicochemicalProcesses 184 Muhammad Muneeb o Certain salts of quinine  The Vapor pressure exerted by the Dehydrate is much greater than that of normal atmosphere and it loses water by efflorescence and is converted to monohydrate.  The vapor pressure of it is still above that of atmosphere, but further apparent loss of water does not occur because the anhydrous salt is rehydrated at a faster rate than dehydration of the monohydrate.  The vapor pressure of hydrated salts, and therefore the rate of efflorescence increases with rise in temperature. Applications:  Hydrated drug on weight basis is less potent but when it is converted by efflorescence to its corresponding lower hydrates, or anhydrous form then its potency can be increased.  Anhydrous form is easy to handle during manufacturing process. Precautions:  The container that prevents the loss of water vapors should be used to avoid the instability.  Store is a cool place because greater is the temperature greater is the release of water of crystallization. _______________________________________________________________________________________ 5. DELIQUESCENCE Introduction:  It is derived from the Latin word “deliquescere” literally “to start melting away”, from “liquere” that is “to be liquid”. So it means, to dissolve gradually by absorbing moisture from the air.  HYGROSCOPIC: A substance is hygroscopic if it readily absorbs water from the atmosphere and forms a hydrate.  DELIQUESCENT: A substance is deliquescent if it absorbs water from the air until it forms a solution.  This process is reverse of efflorescence.  Both these terms are used to indicate that a material takes up water vapors from the atmosphere and is converted to a more hydrated form. In case of hygroscopic substance, the more hydrated state is till a solid but in deliquescence there is eventual formation of a liquid phase i.e., a solution.  Such substances are said to be DELIQUESCENT, and the process is termed DELIQUESCENCE.  Many pharmaceutical crystalline solids absorb water vapor readily from the environment and are considered to be hygroscopic  Uptake of unacceptable amount of water can cause adverse effects on physical and chemical stability of the product o Phase transformations
  • 186.
    Chapter 6. PhysicochemicalProcesses 185 Muhammad Muneeb o Chemical degradation o Variation in disintegration o Dissolution rate Definition: It is a phenomenon of taking up water vapor from the atmosphere when exposed to an atmosphere with higher partial pressure than the partial pressure of the substance to form a more hydrated liquid phase. Deliquescent Materials:  Deliquescent materials are substances that have a strong affinity for moisture and will absorb relatively large amounts of water from the atmosphere if exposed to it forming a liquid solution.  calcium chloride o magnesium chloride o sodium hydroxide o Potassium hydroxide o Sodium lactate o Ferric ammonium citrate o Potassium bicarbonate Process:  Water vapor from the air condenses on the surface of the solid and forms a very concentrated solution which has a vapor pressure much lower than the average vapor pressure of the water vapor in the air.  The solution therefore continues to take up water until its vapor pressure equals the pressure of the water vapor in the air.  CRH the deliquescent point is often termed as the critical relative humidity  The critical relative humidity (CRH) of a salt is defined as the relative humidity of the surrounding atmosphere (at a certain temperature) at which the material begins to absorb moisture from the atmosphere and below which it will not absorb atmospheric moisture.  below CRH, solids absorb minimal amounts of moisture at the surface  above CRH, the solid starts dissolving in the condensate film  The absorption process stops when vapor pressure of the resultant solution is equal to the vapor pressure of the atmosphere.  If the vapor pressure is further increased, complete dissolution of the solid and solution dilution will ultimately occur. Disadvantages:  As in deliquescence water is picked up by the sample, unacceptable changes in appearance and performance occur.
  • 187.
    Chapter 6. PhysicochemicalProcesses 186 Muhammad Muneeb  Chemical stability often changes dramatically.  Physical implications such as decrease in dissolution, variation in water content in the final product, crystallization of the formulation components and powder caking can occur.  Chemical reactions such as hydrolysis and oxidation could also be accelerated by water sorption.  In systems containing more than one deliquescent component, the RH will be lowered, leading to dissolution at unexpectedly low RH conditions.  When excipients having relatively low CRH values are used they can affect the chemical and physical stability of a solid dosage form, even if the API’s CRH is not exceeded.  The liquid water can dissolve the API, making stability much worse.  Deliquescence lowering is independent of the ratio of the deliquescent components and therefore is of concern for any formulation containing two or more deliquescent compounds  RH fluctuation will lead to cycles of deliquescence and efflorescence, which will lead to particle agglomeration and caking. Methods of Prevention:  Tight containers protect the contents from contamination by extraneous liquids, solids or vapors, from loss, from efflorescence, deliquescence or evaporation under ordinary and customary conditions of handling, shipment, storage and distribution.  Solid compounded formulations, an inert, powdered ingredient that will preferentially absorb water, maybe added to the formulation. E.g. Light MgO.  In most cases it is found unnecessary to add any inert powder in prescriptions for capsules containing deliquescent drugs, it is imperative to use an air tight container, such as a screw-top glass capsule vial. Storage Precautions:  Store the product in low humidity environment.  Well closed containers should be used.  Well filled container: Limits the volume of the atmosphere in the container and therefore further reduces the uptake of moisture by the product.  A Drying agent maybe placed inside the container e.g. Silica gel, often used in small packets. Applications:  Owing to their very high affinity for water, these substances are often used as desiccants; these compounds are used in the chemical industry to remove the water produced by chemical reactions.  As Desiccants Due to their very high affinity for water, these substances are often used as desiccants, an application for concentrated sulfuric and phosphoric acids  Commonly used to protect against moisture damage.  Used in hygroscopic cargo such as cocoa, coffee and various nuts and grains, that are particularly susceptible to mold and rot when exposed to condensation and humidity.  These substances are used in the chemical industry to remove the water produced by chemical reactions to increase the yields.  The effectiveness of calcined CaCl2 in settling road dust is result of its deliquescence.  When spread in form of a powder or flakes, it absorbs more than its own weight of water and forms a liquid that keeps the road wet.  Used in chemical industry to remove the water produced by chemical reactions to increase the yields.
  • 188.
    Chapter 6. PhysicochemicalProcesses 187 Muhammad Muneeb  The property of deliquescence is utilized in the laboratory to dry substances; calcium chloride is often employed for this purpose. _______________________________________________________________________________________ 6. LYOPHILIZATION (Freeze Drying) Introduction:  The process of isolation a solid substance from solution by freezing the solution and vaporizing the ice away under vacuum conditions.  It is the sublimation from frozen substance.  It involves triple point of substance. Triple Point: It is the point having the definite temperature and pressure at which the solids, liquids and vapor phases of a chemical entity are able to co-exist. Steps Involved: The process of lyophilization is completed in the following stages.  Pre-treatment: o Freezing of solids: Before applying the vacuum, he liquid is firstly frozen, this process is called pre-freezing and is done by following ways:  Shell Freezing: In this method he liquid is taken in a bottle and is rotated slowly, horizontally in a refrigerator bath. So that material freezes as a thin shell (layer) along the walls of the bottle. In this way not only the surface area for sublimation is increased but also heat transfer is increased.  Vertical Freezing: In this method, he bottles are first chilled and then rotated individually in vertical position in the presence of stream of very cold air. So, by this process small crystals of ice are formed. Moreover this process is very rapid. o Drying: After the pre-freezing, the substance is dried there are two types of freezing:  Primary drying:
  • 189.
    Chapter 6. PhysicochemicalProcesses 188 Muhammad Muneeb It means to supply the latent heat of vaporization. The apparatus used for this process is “vacuum oven” or container attached to individual outlet. The latent heat of sublimation of substance is provided and so vapors formed are removed. By this process 99.5% moisture is removed.  Secondary drying: After primary drying the substance is subjected to vacuum drying to remaining 0.5% moisture. And this is called as secondary drying. Temperature during this drying is raised to 500 C to 600 C.  Annealing Increasing temperature but below melting and then holding to allow crystal growth is called as annealing. Some amorphous products (such as mannitol or glycine) form a metastable glass with incomplete crystallization when first frozen. These products can benefit from a thermal treatment process, which is also called annealing. During annealing, the product temperature is cycled (for example: from -40C to -20C for a few hours and then back to -40C) to obtain more complete crystallization. Annealing has the added advantage of larger crystal growth and corresponding shorter drying times. Packaging: The packaging of freeze dried product is very important b/c the freeze dried products must be protected from moisture. For this purpose the product is packed in vacuum container or the closing is carried out under controlled conditions of atmosphere to avoid contact with moisture. Properties of FD Material:  Amorphous and highly porous  Takes moisture immediately and tends to crystallize  Enormous Surface area Advantages of Freeze-Dried Products:  Product is dried without any elevated temperature.  This process is also good for oxygen and sensitive drugs.  The product is in porous form, that’s why it can be reconstituted rapidly.  Constitutes of the dried materials remained homogenously dispersed.  Sterility of the product can be achieved and maintained.  Due to low temperature enzyme activity and decomposition (hydrolysis) is stopped.
  • 190.
    Chapter 6. PhysicochemicalProcesses 189 Muhammad Muneeb Disadvantages of Freeze-Dried Products:  Volatile compounds may be removed  Single operation is very expensive  The process is slow  Stability problem associated with individual drugs Desired Characteristics of Freeze-Dried Product: The freeze-dried product should have:  Sufficient strength  Uniform colour  Sufficient dryness  Sufficient porosity  Sterility  Free of pyrogens  Free of particulates  Chemically stability Applications:  Drug prevention method as o Lowers water activity o Reduces potential for microbial growth  Dry the heat sensitive products o Biotechnology products o Biological drugs (proteins, seras etc)  Long shelf life of drugs  Enzymes (hylauranidase) and hormones (insulin) are also dried by this process.  Amorphous and possesses enormous surface area  This process is used for the drying of proteins and peptides.  This process is used in recombinant DNA technology. Hence, used for the manufacturing of various pharmaceuticals and biological products which are thermolyophils. Difference between Sublimation and Lyophilization: In sublimation the K.E. of the molecule is very high and so molecules are directly converted into vapors. In lyophilization is carried out in controlled temperature and pressure. The K.E. of the molecule is not sufficient to convert it in to vapors, so in this process the substance is first converted into liquid and then to vapors. _______________________________________________________________________________________ 7. ELUTRITION Definition:  Elutriation is the process in which the particles of the fluid move in a direction opposite to that of the sedimentation. (Downward movement)
  • 191.
    Chapter 6. PhysicochemicalProcesses 190 Muhammad Muneeb  Process of separation of a substance into powder of different degree of fineness by stirring the substance with large volume of liquid in which it is insoluble and withdrawing the liquids at different heights Explanation:  In gravitational sedimentation the particles will move vertically downward while the fluid travels vertically upward.  If the velocity of the fluid is less than the setting velocity of the particles, then the particles will move downward against the stream of fluid. If the setting velocity of particles is less than the velocity fluid, the particles will move upward.  In other words, small size particles will move upward while the large size particles will move downward.  So, Elutriation is the process of separation of fine particles from course particles. The particles size can also be measured by this process. The air Elutriation usually give sharper fractions of small and large particles then water Elutriation. Apparatus Used: The apparatus used for Elutriation process is called as Elutriator. They are of two types:  Gravitational Elutriation o In gravitational Elutriation the fluid particles move downward due to sedimentation (force of gravity) while the lighter particles remain upward.  Centrifugal Elutriation o Centrifugal Elutriation causes the fluid stream to rotate under high centrifugal force to suspend the particles. o These particles which are too large to rotate with direction of flow of fluid, separates out on the wall of the elutriator. However, the fine particles move easily with the stream of fluid. o Centrifugal Elutriator is again of two types:  Darrclone classifier  Sharp less super classifier o The sharp less super classifier is useful for high speed separation of fine particles. It has a capacity of 250lb/hr and operates on air flow of about 100 cubic feet/min at maximum speed of about 50,000 rpm. Uses:
  • 192.
    Chapter 6. PhysicochemicalProcesses 191 Muhammad Muneeb  Heavy and light Kaolin can be separated by this process, because the particles of heavy Kaolin move downward and those of the light Kaolin move upward.  It is usually used following a size reduction process with the objective of separating oversize particles which may be returned for further grinding. _______________________________________________________________________________________ 8. EXSICCATION Definition:  It is the process of accelerating the rate of efflorescence by increasing the temperature in order to remove the water of crystallization from a hydrated salt.  The process of removing water of crystallization that is combined water from substance and temperature is required to remove water from different compounds.  It may be regarded as process of Efflorescence, controlled and accelerated, but is applied in cases where water is not normally lost by efflorescence. Process:  Exsiccation may be carried out by taking a weighed amount of the substance in a tarred dish (weight of dish is subtracted from the weight of substance, or dish is auto-zeroed)  It is then heated on a water bath, sand bath or in an oven with continuous stirring until a constant weight is obtained and there is no further loss in weight.  No further loss in weight indicates that exsiccation has been completed and no further water loss can take place  Mostly a sand-bath or air oven is used for this process. Principle:  The principle involved in the process of exsiccation are the same as those in the process of efflorescence. Objectives:  To reduce the bulk of substance.  Preparing pills which may contain any of the substance (having water of crystallization) e.g. Ferrous sulphate, Potassium alum etc.
  • 193.
    Chapter 6. PhysicochemicalProcesses 192 Muhammad Muneeb  So by this process of exsiccation we dry the chemicals by removing their water of crystallization and then by using dried salts we reduce the difficulty of making our medicine, as well as the size of pill.  This process is particularly performed to expel the water of crystallization and to increase the comparative strength of the exsiccated chemical to the crystalline chemical. Example:  The temperature required to remove the water of crystallization is very important and varies widely. o For example, in CuSO4.5H2O, when heated at 30°C loses two molecules of water of crystallization forming CuSO4.3H2O o At 100°C it loses two more water molecules resulting in CuSO4.H2O o The last water molecule is removed at 200°C thus forming anhydrous CuSO4.  Some exsiccated substances are not necessarily anhydrous. o For example, ferrous sulphate (FeSO4.7H2O) when heated at about 100-105°C loses 6 molecules of water of crystallization. o When further heated to remove the last water molecule, its decomposition takes place. o Hence, FeSO4.H2O is called exsiccated ferrous sulphate.  If its exsiccation is carried out under vacuum, then anhydrous FeSO4 can be obtained below 100°C. o The examples of exsiccated salts used in pharmacy are exsiccated ferrous sulphate, exsiccated copper sulphate, exsiccated sodium sulphate, exsiccated magnesium sulphate, exsiccated sodium carbonate, exsiccated sodium phosphate and exsiccated alum etc. o As the exsiccated salts are very hygroscopic, they must be stored in air-tight containers. Methods: There are general two methods of exsiccation or drying moist bodies. 1. In one their humid parts are exhaled by heating 2. In other water is absorbed by different substances Exsiccation is generally performed by means of heat by:  Coction / Boiling: o This is a process of drying by heating also named as process of boiling. During this process it is important to take care of the heat level, at the close of the operation (process) the fire should be gradually suppressed otherwise the matter being left dry will be heated beyond the adjusted degrees and then the exsiccated substance can be damaged. o This method is Used for Fluids only.  Isolation: o Insolation or properly exhalation is effected by exposing the substance to the sun, till it is sufficiently dried. There is nothing particularly necessary to be observed, except to increase the surface of the matter to be much exposed to the sun. o For in proportion the process of exsiccation will be completed in greater or lesser time. o This Method is useful for both solids and liquids.  Torrificcation: o Torrification (or sometimes called Toasting) is a process of exposing solid substance to the heat of the fire at such distance that it will not be endangered. They are being burnt in order to make them of sufficient dryness to make them in powdered form.
  • 194.
    Chapter 6. PhysicochemicalProcesses 193 Muhammad Muneeb o Only for Solids. Conditions Required for Exsiccation: 1. Temperature:  Temperature is very important to be controlled in the process of exsiccation because as we increase or decrease the temperature the molecules of water are evaporated from the crystals. Specific temperature for specific crystal remove specific amount of water molecule. 2. Moisture:  It is very important to control the environmental conditions when we are about to exsiccate a crystal to remove the water of crystallization.  If the environment is not moisture free then after exsiccating the crystal the exsiccated produced might again react with the water contents of the environment and again become hydrated.  As we know that our aim is to exsiccate a crystal and to remove the water contents so to achieve this aim we need to keep our environment moisture free.  After exsiccating a crystal, we should immediately transfer the exsiccated product in a close air tight containers or bottles. Applications:  Exsiccation is carried out to get an anhydrous product required in the formulation of pharmaceuticals.  After the removal of water, the bulk and weight of the drug is reduced and they can be easily administered/used in manufacturing.  Potency of drug is increased after the removal of water.  After exsiccation fine powder is obtained which is easy to handle.  These exsiccated chemicals are use in the formation of inhalations, sprays, syrups, mouth washes.  These exsiccated chemicals are used to prepare medicines to treat microbial, malarial, fungal and algal infections.  Some of these exsiccated chemicals are used to treat constipation. _______________________________________________________________________________________ 9. IGNITION General Introduction:  It is also called as incineration.  It is the process by which an organic substance is strongly heated until whole of the carbonaceous matter burns and an inorganic residue known as Ash is left behind. OR The process in which a synthetic compound or drug is burnt at high temperature on electric furnace to remove organic substance (carbon) and left behind he inorganic substance and residue as ash is called as ignition.  This is a process of heating the organic substances in excess of air, until all the Carbon atoms have burnt as CO2 and residue of inorganic matter (Ash) is left behind. The residue is called as Ash and the process as Ashing.  On laboratory scale ignition is carried out in silica or platinum crucibles.
  • 195.
    Chapter 6. PhysicochemicalProcesses 194 Muhammad Muneeb  It consists of strongly heating ("igniting") a sample of the material at a specified temperature, allowing volatile substances to escape, until its mass ceases to change. This may be done in air, or in some other reactive or inert atmosphere. Principle:  The simple test typically consists of placing a few grams of the material in a tarred, pre-ignited crucible and determining its mass, placing it in a temperature-controlled furnace for a set time, cooling it in a controlled (e.g. water-free, CO2-free) atmosphere, and re determining the mass. Explanation:  Ignition is a simplest type of gravimetric analysis which is used for the separation of organic and inorganic compounds.  In this process, weighed quantity of the solid substance is ignited in glass crucible in electric furnace. The substance is ignited on specific temperature for definite time.  After ignition a desiccator containing a suitable desiccant and allow to cool for 25-30 minutes and then the contents are weighed.  The crucible and the contents are again ignited at the same temperature for 30 minutes.  The ignition is continued until a constant weight of inorganic ash is obtained. Applications:  This process is mainly used for the standardization of organic substances and crude drugs by means of gravimetric analysis.  Used to determine impurities of organic salts of alkali metals such as tartarates, citrates, Benzoates and many drugs.  Purity of a drug is determined by its ash content.  Zinc ointment on ignition leaves only zinc oxide. _______________________________________________________________________________________ 10. SUBLIMATION Definition: The process of converting solid substances in to vapours by heating and then condensing it back to the solid state, without passing it through the intermediate liquid state, is called sublimation. Explanation:  The condensed solid is called sublime.  Usually the solid first coverts in to liquid state before being converted in to vapour state but in sublimation liquid phase do not exist.  Thus,
  • 196.
    Chapter 6. PhysicochemicalProcesses 195 Muhammad Muneeb Triple point:  The point having a different pressure and temperature at which the solid, liquid, and vapour phases of a chemical entity are able to co-exist indefinitely is called triple point. Principle: A solid sublime only when the pressure of its vapour is below that of the triple point for that substance. This principle can be explained by following graph.  The line OA indicates the melting point of the substance and along this line solid and liquid is at equilibrium. On right side of this line only liquid exists while on left side only solid exists.  The line OB indicates the vapour pressure of the solids vapours and this curve is called vapour pressure curve. Above this line only liquid exists and below this only vapour present.  The line CO is called sublimation curve and represents the conditions of temperature and pressure for the co-existence of solid and vapour phase.  To right side of this line only vapour exists and on left side of line only solid exists.  The point O the intersection of three lines is called triple point. And the graph shows if the vapour pressures of vapour, formed by the solid, less than the triple point, it will directly pass from solid to vapour and vapour to solid. Procedure:  The impure substance is placed in the china dish which is then gently heated on the stand bath. The dish is covered with the perforated filter paper over which is placed an inverted funnel.  The surface of which may be kept wet by covering it with wet filter paper or cotton plug. The vapour rising from, the solid pass through the holes in the filter paper and are deposited as pure solid on the wall of the funnel. The filter paper performs two functions
  • 197.
    Chapter 6. PhysicochemicalProcesses 196 Muhammad Muneeb  It does not permit the sublime substance to drop back in to the dish.  It keeps the funnel cool by cutting off the direct heat from the dish. Pharmaceutical Applications:  Sublimation is very helpful in separating volatile substances from nonvolatile solids. In this way pure substance are obtained which are used in various processes.  Some valuable chemical substances such as naphthalene, camphor, and benzoic acid etc are purified by this process. _______________________________________________________________________________________ 11. FUSION Definition:  It is the process by which the solids get converted into liquids without the addition of any solvent.  The process of liquefying a substance by heat without the aid of a solvent is called fusion.  In other words, it is defined as the process of heating the solids until they melt. Explanation:  In a pure crystalline solid, this process occurs at a fixed temperature called the melting point  An impure solid generally melts over a range of temperatures below the melting point of the principal component.  Amorphous (non-crystalline) substances such as glass melt by gradually decreasing in viscosity as temperature is raised, with no sharp transition from solid to liquid.  The structure of a liquid is always less ordered than that of the crystalline solid and, therefore, the liquid commonly occupies a larger volume  Thermal fusion of a given mass of a solid requires the addition of a characteristic amount of heat, the heat of fusion  In the reverse process, the freezing of the liquid to form the solid, the same quantity of heat must be removed.  The heat of fusion of ice, the heat required to melt one gram, is about 80 calories; this amount of heat would raise the temperature of a gram of liquid water from the freezing point (0° C, or 32° F) to 80°C (176° F).
  • 198.
    Chapter 6. PhysicochemicalProcesses 197 Muhammad Muneeb Applications:  Fusion is done to purify certain solid and semisolid substances e.g., substances like Bees wax, hard paraffin, soft paraffin and wool fat are heated to melt and filtered while hot to remove the dissolved impurities. Then cooling is done to obtain a product free from dissolved impurities.  This method is also applied for the preparation of ointments when they contain solids and semisolids in the formulation. All the substances are first molted and then cooled slowly with constant stirring until a uniform product is obtained. To avoid overheating, the substances with higher melting points are melted first to which substances with lower melting points are added. _______________________________________________________________________________________ 12. CALCINATION Origin:  The process of “calcination” derives its name from the Latin “calcinare” (to burn lime).  The name is given due to its most common application, the decomposition of calcium carbonate (limestone) to calcium oxide (lime) and carbon dioxide, in order to produce cement. Definition:  Calcination is the process in which the inorganic substances are strongly heated so as to remove their volatile contents and a fixed residue are obtained.  The IUPAC defines it as: “Heating to high temperatures in air or oxygen”.  The calcination process normally takes place at temperatures below the melting point of the product materials. Examples: Few examples of calcination processes are given below:  Decomposition of carbonate minerals, as in Calcination of Limestone to drive off Carbon dioxide to produce cement.  Decomposition of hydrated minerals, as in Calcination of Bauxite and Gypsum to remove crystalline water as water vapor.  Removal of Ammonium ions in the synthesis of Zeolites. Types:  Actual Calcination o Actual calcination is that brought about by actual fire, from wood, coals, or other fuel, raised to a certain temperature.  Potential Calcination o Potential calcination is that brought about by potential fire, such as corrosive chemicals; for example, gold was calcined in a reverberatory furnace with mercury and sal ammoniac; silver with common salt and alkali salt; copper with salt and sulfur. Calcination Reaction:
  • 199.
    Chapter 6. PhysicochemicalProcesses 198 Muhammad Muneeb  Calcination reactions usually take place at the thermal decomposition temperature (for decomposition).  For example: In limestone calcination, a decomposition process, the chemical reaction is CaCO3 → CaO + CO2 (g) Apparatus:  Shaft furnaces  Calcining kilns  Multiple hearth furnaces  Fluidized bed reactors 1. SHAFT FURNACES:  A vertical, refractory-lined cylinder in which a fixed bed (or descending column) of solids is maintained, and through which an ascending stream of hot gas is forced. 2. CALCINING KILNS:  This process is done in kilns.  Calcining kilns basically comes in two categories. o Rotary kilns o Vertical kilns 2.1. Rotary Kilns:  Rotary kilns can be long kilns with rotatory coolers while verticals kilns can be several types. Calcining kilns need lime stone with decrepitation index.  Decrepitation index of limestone is a measure of its susceptibility to disintegrate during calcination.  Low value of decrepitation decreases the porosity of the lime thus impeding the flow of the gases and reducing the kiln efficiency.  The smaller size limestone is more suitable for calcination in rotary kilns. 2.2. Vertical Kilns:  A kiln consisting of a steel shell with a vertical axis and a lining of firebrick.  The most popular vertical kilns are PFR (Parallel Flow Regenerative) type.
  • 200.
    Chapter 6. PhysicochemicalProcesses 199 Muhammad Muneeb 3. MULTIPLE HEARTH FURNACE:  For the decomposition of limestone, a large number of heat is requiring as we know calcination is an endothermic process and it is done on industrial scale. This is done by multiple hearth furnaces. 4. FLUIDIZED BED REACTORS:  A fluidized bed reactor (FBR) is a type of reactor device that can be used to carry out a variety of multiphase chemical reactions. In this type of reactor, a fluid (gas or liquid) is passed through a granular solid material at high enough velocities to suspend the solid and cause it to behave as though it were a fluid. This process, known as fluidization. Process:  Calcination (also referred to as Calcining) is a thermal treatment process in presence of air or oxygen applied to ores and other solid materials to bring about a thermal decomposition.  Calcination of calcium carbonate is a highly endothermic reaction, requiring 755 M Cal of heat input to produce a ton of lime. The reaction begins when the temperature is above the dissociation temperature of the carbonates in the limestone.  Once the reaction starts the temperature must be maintained above the dissociation temperature, and carbon dioxide evolved in the reaction must be removed. Dissociation of the calcium carbonate proceeds gradually from the outer surface of the particle inward, and a porous layer of calcium oxide, the desired product, remains.
  • 201.
    Chapter 6. PhysicochemicalProcesses 200 Muhammad Muneeb High Temperature:  This calcination means higher agglomeration and more shrinkage. At this limestone becomes so dense during calcination that it prevents the escape of CO2 and becomes non porous. The internal pressure of limestone increases and it explodes, producing unwanted materials and reduces the quality of lime.  Increasing the degree of calcination beyond the limited temperature makes formed lime crystallites to grow larger, agglomerate. This results in a decrease in porosity and reactivity and an increase in bulk density. This product is known as Dead burnt or Low reactive lime. Low Temperature:  This calcination allows less fuel consumption.  At relatively low calcination temperatures, products formed in the kiln contain both unburnt carbonate and lime and is called ‘under burnt’ lime. As the temperature increases ‘Soft burnt’ or ‘high reactive lime’ is produced. At still higher temperature, `dead burnt` or low reactive lime is produced.  Soft burnt lime is produced when the reaction front reaches the core of the charged limestone and converts all carbonate present to lime. Such lime has the optimum properties of high reactivity, high surface area and low bulk density.  The production of good quality lime depends upon the type of kiln, conditions of calcination and the nature of the raw material i.e. limestone. Applications:  Calcination is used in the preparation of certain inorganic substances such as calcium oxide, light magnesium oxide, heavy magnesium oxide, zinc oxide and red mercuric oxide.  These substances are prepared by heating their respective carbonates.  It is used to remove water of crystallization as water vapors.  Most of the mined magnesite is converted directly into magnesium oxide(magnesia) by burning (calcining). MgCO3 → MgO + CO2 _______________________________________________________________________________________ 13. ADSORPTION Introduction:  It is a surface phenomenon and refers to the uniform distribution of a substance through another at the surface.  It is the phenomenon in which a layer of ions, molecules or aggregates of molecules condense upon the surface with which they come in contact.
  • 202.
    Chapter 6. PhysicochemicalProcesses 201 Muhammad Muneeb Importance: The term surface is customarily used when referring to a gas / solid or a gas / liquid interface. This phenomenon is a significant factor as:  Adjuncts in dosage forms  Penetration of molecules through biological membranes  Emulsion formation  Stability and the dispersion of insoluble particles in liquid media to form suspension Adsorption: It is an accumulation of substance at the interface or boundary between two and heterogeneous phases. For example, Solid-Gas, Oil- H2O, Gas-Liquid, or Solid-Liquid. Absorption: It implies the penetration one component throughout the body of a second. The distinction between adsorption and absorption is not always clear. Components of Adsorption: Adsorption consists of two components:  ADSORBENT: Adsorbant is the substance which adsorbs the other substance at its surface. E.g. Kaolin, pectin, altpulgite, talc, Magnisum trisilicate, Al(OH)3, Simithicone, CaCO3 (Activated Charcoal), Mg(OH)3 etc.  ADSORBATE: Adsorbate is the substance which is adsorbs on the other substance’s. E.g. Toxins, Strychnine HCl, Digoxin and many other drugs Example:  Stychinine HCl onto Activated Charcoal (Solid – Liquid)  Activated Charcoal used in Respirators for civilian and forces (Solid- Gas)  Decrease in surface tension is due to surface active agent for example liquid-gas bonding.  Emulsifying agent as emulsion stabilizers in case of liquid- liquid bonding. Factor Affecting Adsorption:  Solubility of adsorbate  Nature of Adsorbate  Nature of adsorbent  Surface area of absorbant
  • 203.
    Chapter 6. PhysicochemicalProcesses 202 Muhammad Muneeb  Affinity between adsorbent and adsorbate  Concentration of both adsorbate and adsorbent  Pressure  Temperature  pH Types of Adsorbents:  Oxygen containing compounds o Typically, hydrophilic and polar o E.g. silica gel, zeolites  Carbon based compounds o Typically, hydrophobic and non-polar o E.g. activated carbon, graphite  Polymer based compounds o Polar or Non polar functional groups in a porous polymer matrix o Examples: Polymers & Resins Classification of Adsorbents Based on Pore Size:  Microporous Adsorbents o Pore Size Range - 2 Aº to 20 Aº  Mesoporous Adsorbents o Pore Size Range - 20 Aº to 500 Aº  Macroporous Adsorbents o Pore Size Range - > 500 Aº Commercial Adsorbents:  SILICA GEL o Drying of refrigerants, organic solvents, transformer oils o Desiccants in packing & double glazing o Dew Point Control of natural Gas  ACTIVATED ALUMINA o Drying of gases, organic solvents, transformer oils o Removal of HCl from Hydrogen o Removal of fluorine in alkylation process  ACTIVATED CARBON o Removal of odors from gases o Recovery of solvent vapours o Nitrogen from air o Water purification o Purification of He  POLYMERS & RESINS o Water Purification o Recovery & purification of steroids & amino acids o Separation of fatty acids from water & toulene
  • 204.
    Chapter 6. PhysicochemicalProcesses 203 Muhammad Muneeb o Recovery of proteins & enzymes  CLAY o Treatment of edible oils o Removal of organic pigments o Refining of mineral oils o Removal of poly chlorinated biphenyls (PCBs)  ZEOLITES o Oxygen from air o Drying of gases o Drying of refrigerants & organic liquids o Pollution control including removal of Hg o Recovery of fructose from Corn Syrup Application of Adsorption: Adsorption has the application in: 5. Preparative and Analytical Chromatography 6. Heterogeneous catalysis 7. Water purification 8. Solvent recovery Medical and Pharmaceutical Applications: 1. ADSORPTION OF NOXIOUS SUBSTANCE FROM ALIMENTARY CANAL: Universal and antidote (activated charcoal, MgO and Tannic acid) when used orally, reduces toxic levels of poisoning. 2. REMOVAL OF TOXIC ELEMENTS FROM BLOOD: Some adsorbents are used to remove toxic elements by subjecting its dialysis through “hemodialysis” membrane over charcoal and adsorbents (chlorpheniramine, colchicine, Phenytoin, aspirin etc.) 3. TREATMENT OF SEVERE DRUG OVERDOSES:  Extracorporeal method has been developed named “Haemoperfusion”.  Microencapsulation of activated charcoal by Arcylic Hydrogel, a biocompatible material preventing Embolism and removal of platelets.  In vivo – In vitro relationship regarding adsorptive capacity of adsorbents.  No relationship exists.  Reason: o GIT and biological system have many other things which alter the adsorption ratio.  Example: o In vitro – 5g activated charcoal bin 8g of Aspirin o In vivo – 30g of activated charcoal inhibits the GIT adsorption of 3g of Aspirin by 50%. 4. ADSORPTION PROBLEMS IN DRUG FORMULATION: Drugs containing antacids and other drugs, when given, the above problem results. Adsorbents are non-specific nutrients, drugs and enzymes when given orally. Example: promazine given above or adsorbents.
  • 205.
    Chapter 6. PhysicochemicalProcesses 204 Muhammad Muneeb _______________________________________________________________________________________ 14. DECANTATION Introduction: Decantation is a process by which a liquid is separated from a solid. The solid is allowed to settle and liquid is poured off carefully leaving the settled solid undisturbed. Definition:  “Decantation is a process for the separation of mixtures, by removing a layer of liquid, generally one from which a precipitate has settled”.  Decanting is a process to separate mixtures. Decanting is just allowing a mixture of solid and liquid or two immiscible liquids to settle and separate by gravity.  This process can be slow and tedious without the aid of a centrifuge. Once the mixture components have separated, the lighter liquid is poured off leaving the heavier liquid or solid behind.  Decantation is a process to separate mixtures by removing a liquid layer that is free of a precipitate, or the solids deposited from a solution. The purpose may be to obtain a decant (liquid free from particulates) or to recover the precipitate. Process:  In laboratory conditions, small volumes of mixtures are decanted in test tubes. If time is not a concern, the test tube is kept at a 45° angle in a test tube rack.  This allows the heavier particles to slide down the side of the test tube while allowing the lighter liquid a path to rise to the top. If the test tube were held vertically, the heavier mixture component could block the test tube and not allow the lighter liquid to pass as it rises.
  • 206.
    Chapter 6. PhysicochemicalProcesses 205 Muhammad Muneeb Purpose / Aim:  The purpose of decantation is to separate insoluble liquids from solids.  The purpose may be either to produce a clean decant, or to remove undesired liquid from the precipitate (or other layers).  DECANTER: A decanter is a vessel used to hold the decantation of a liquid which may contains sediments. Principles: The principles of decantation are:  Sedimentation  Centrifugation Decantation is a “pouring off” of a liquid from a solid/liquid mixture. The mixture is allowed to settle, and the liquid is removed while preventing the solid from escaping. When it is used? Decantation is used when one is separating part of a mixture from another and when the particles or sediments are too fine to be filtered from a liquid. Procedure: The steps of decantation are given below: 1. Mixture in the container is allowed to stand for sometime 2. The solid particles will settle in time 3. The upper layer of the liquid gets cleaner
  • 207.
    Chapter 6. PhysicochemicalProcesses 206 Muhammad Muneeb 4. Separate the course particles of a solid from a liquid by pouring the liquid to a new container by the process of decantation Examples: 1. Oil & Water: Oil floats on the top of the water. Decanting the mixture allows the oil to be poured off the water. 2. Dirt and water: Muddy water can be cleared up by decanting. The soil will sink to the bottom of the tube allowing the clear water to be poured off. 3. Cream & Milk: Cream is separated from milk by decantation. Cream rises to the top of the milk mixture and easily skimmed off. 4. Blood & plasma: A centrifuge is necessary for this decantation. Plasma can be removed from the blood by decantation. Disadvantages:  It cannot be used to separate a mixture of a liquid and a light solid, such as chalk in water. The particles of chalk are suspended I the water. They are so light that they do not sink down to the bottom for a long time. Applications: 1. It is employed in washing precipitates by adding the wash solution, allowing the solid to settle, and pouring off, continuing the process until free from impurities. If the solid to be separated settles rather rapidly, decantation may be employed to the advantage. 2. In order to separate an insoluble solid from a liquid. _______________________________________________________________________________________ 15. EVAPORATION Definition:  Evaporation is a type of vaporization of a liquid that occurs only on the surface of a liquid.  The other type of vaporization is boiling, which instead occurs on the entire mass of the liquid. Introduction:
  • 208.
    Chapter 6. PhysicochemicalProcesses 207 Muhammad Muneeb  Theoretically evaporation means free escape of vapours from the surface of a liquid below its boiling point.  As evaporation is a very slow process, therefore a liquid is usually boiled / heated to speed up this process.  So, practically evaporation may be defined as the removal of liquid from a solution, by boiling the solution in a suitable vessel from where the vapors are withdrawn and a concentrated liquid is left behind.  The Evaporation is maximum at the boiling point of a substance.  For molecules of a liquid to evaporate, they must: o Be located near the surface o Be moving in the proper direction o Have sufficient kinetic energy to overcome liquid-phase intermolecular forces  Only a small proportion of the molecules meet these criteria, so the rate of evaporation is limited.  Since the kinetic energy of a molecule is proportional to its temperature, evaporation proceeds more quickly at higher temperatures.  As the faster-moving molecules escape, the remaining molecules have lower average kinetic energy, and the temperature of the liquid, thus, decreases. Factors Effecting Evaporation:  Temperature  Surface Area  Agitation  Atmospheric Aq Vapor Pressure  Type of Product required  Economic Factors 1. Temperature: The rate of evaporation is directly proportional to the temperature. The higher the temperature, the higher will be evaporation but evaporation is maximum at the boiling point of the liquid. 2. Surface Area: The rate of evaporation is directly proportional to the surface area of the vessel exposed to evaporation. Greater the surface exposed to evaporation, the higher will be the rate of evaporation. 3. Agitation: During evaporation a layer or scum is formed at the surface. Therefore it is necessary to agitate and stir the solution during evaporation. Agitation also increases the rate of evaporation. 4. Atmospheric Aqueous Vapor Pressure: If atmospheric moisture contents in air are high, rate of evaporation will be slow but if less then evaporation will be fast. Rate of evaporation can be increased by circulation of warm air over the evaporating pan. 5. Atmospheric Pressure:
  • 209.
    Chapter 6. PhysicochemicalProcesses 208 Muhammad Muneeb Rate of evaporation is inversely proportional to the atmospheric pressure on the surface of the liquid. Rate of evaporation become doubled by reducing the atmospheric pressure on the liquid to one half. Due to this reason, in many cases evaporation is done under reduced pressure. 6. Type of the Product Required: Selection of method and apparatus depends on the type of the product required. 7. Economic Factors: They contribute significantly in selecting the method and the type of apparatus to be used for evaporation. Types of Evaporators: 1. Small Scale Evaporators 2. Large Scale Methods a) Evaporating Pans b) Evaporating Stills 1. SMALL SCALE EVAPORATORS (LAB SCALE):  Small quantity of liquids may be evaporated in porcelain or glass dish.  Direct heat by Bunsen burner or electric hot plate may be applied, but direct heat leads to decomposition of the substances towards the end of the evaporation  A fixed maximum temperature can easily be attained by employing different types of baths as a source of indirect heating  Water bath is most suitable when liquids are to be heated up to 100ºC. These are simple and cheap  Sand bath or oil bath containing liquid paraffin or soft paraffin may be used when higher temperatures upto 300ºC are required.  Glycerin bath is used to attain a temperature upto 150ºC  To prevent decomposition, whole of the liquid should not be evaporated to dryness; instead the last traces of the solvent from the concentrated liquid should be removed under controlled temperature.  In case of large quantities of liquids or solutions having costly solvents, the evaporation should be carried out by distillation under reduced pressure. 2. LARGE SCALE METHODS: A. Evaporating Pans:  On large scale, liquid extracts containing water as a menstruum are evaporated in large open pans called evaporating pans.  They consist of hemispherical or shallow pans, made of copper, stainless steel, aluminum, enameled iron or other metal and surrounded by a steam jacket.  The hemispherical shape is most suitable because it gives the best surface/volume ratio for heating and the largest area for disengagement of vapours.  The pans may be fixed, or have a mounting, permitting it to be tilted to remove the product. Advantages: a) They are simple, easy and cheap to construct.
  • 210.
    Chapter 6. PhysicochemicalProcesses 209 Muhammad Muneeb b) Easy to use, clean and maintain. c) Stirring of the evaporating liquid can easily be done. Disadvantages: a) On the evaporating surface a scum is rapidly formed which decreases rate of evaporation. b) Solids may be deposited at the bottom, which makes stirring necessary. c) Cannot be used for extracts containing organic solvents like alcohol etc. d) The rooms, in which the evaporating pans are used, must have an efficient exhaust system. Otherwise the room will be filled with dense fog of condensed vapors and water will start falling from the roof and along the sides of the wall B. Evaporating Stills:  These are similar to pans, and consist of a vessel made of copper or stainless steel.  They are used in large scale pharmaceutical manufacturing Applications of Evaporation: 1. One of the most important methods in manufacture of pharmaceuticals. 2. Used for preparation of different type of extracts. 3. In the manufacture of drugs containing antibiotics, hormones, enzymes etc. _______________________________________________________________________________________ 16. VAPORIZATION Introduction:  Vaporization of an element or compound is a phase transition from the liquid to gas phase  There are two types of vaporization: o Evaporation o Boiling  Evaporation is a phase transition from the liquid phase to gas phase that occurs at temperatures below the boiling temperature at a given pressure.  Evaporation usually occurs on the surface.
  • 211.
    Chapter 6. PhysicochemicalProcesses 210 Muhammad Muneeb  Boiling is a phase transition from the liquid phase to gas phase that occurs at or above the boiling temperature.  Boiling, as opposed to evaporation, does not occur only at the surface.  Sublimation on the other hand is a direct phase transition from the solid phase to the gas phase, skipping the intermediate liquid phase.  Heat must be supplied to a solid or liquid to effect vaporization.  If the surroundings do not supply enough heat, it may come from the system itself as a reduction in temperature.  The atoms or molecules of a liquid are held together by cohesive forces, and these forces must be overcome in separating the atoms or molecules to form the vapour.  The heat of vaporization is a direct measure of these cohesive forces  Condensation of a vapour to form a liquid or a solid is the reverse of vaporization  In condensation heat must be transferred from the condensing vapour to the surroundings. The amount of this heat is the same as the heat of vaporization. Applications:  Coating of Tablets  Control of Moisture Content of Powders  Drying of wet granules, to be used in compression of tablets _______________________________________________________________________________________ 17. CENTRIFUGATION It is the process that involves the use of centrifugal force for the separation of two immiscible liquids or separation of solid from liquids. Principle: The centrifuge works using the sedimentation principle, where the centripetal acceleration causes denser substances and particles to move outward in the radial direction. At the same time, objects that are less dense are displaced and move to the center. Process: This process is used to separate two miscible substances, but also to analyze the hydrodynamic properties of macromolecules. More-dense components of the mixture migrate away from the axis of the centrifuge, while less-dense components of the mixture migrate towards the axis. Chemists and biologists may increase the effective gravitational force on a test tube so as to more rapidly and completely cause the precipitate (pellet) to gather on the bottom of the tube. The remaining solution (supernatant) may be discarded with a pipette.
  • 212.
    Chapter 6. PhysicochemicalProcesses 211 Muhammad Muneeb Unit: Rev/min Factors Affecting: The particle setting velocity in centrifugation is in function of following things.  Centrifugation acceleration  Volume fraction of solids  Density difference between solids and liquids  Viscosity of liquids Applications:  It is used in the purification of oil.  It is used to purify enzymes.  Blood plasma is separated from blood cells by centrifugation.  Other organic and inorganic compounds are purified by this method.  It is used in separating the chalk powder from water.  It is used to removing fat from milk to produce skimmed milk.  It is used in drug manufacturing and processes.  Used in the sugar industry to separate the sugar crystals from the mother liquor.  Pharmaceutically used for: o Determination of molecular weight of colloids. o Evaluation of suspensions and emulsions. o Production of biological products. o Production of bulk drugs. o Determination of blood components _______________________________________________________________________________________ 18. DESICCATION Definition:  The word desiccation is derived from Latin word “desiccare” means to dry completely.  The process of desiccating a thing is called desiccation.  Desiccation is a dehydration process for removing moisture from solid or liquid substances.  The moisture thus driven off is called hygroscopic moisture as distinguished from moisture that is chemically combined as in water of crystallization. General Introduction:  Desiccation is the state of extreme dryness, or the process of extreme drying.  A desiccant is a hygroscopic substance that induces or sustains such a state (Dryness) in its local vicinity, in a moderately sealed container.  A desiccator is a heavy glass or plastic container used for making or keeping small amounts of material very dry.
  • 213.
    Chapter 6. PhysicochemicalProcesses 212 Muhammad Muneeb  The material is placed on a shelf, and a drying agent or desiccant, such as dry silica gel or anhydrous sodium hydroxide, is placed below the shelf.  Desiccation is the process of removing adhered moisture from liquid or solid substances.  The term desiccated is used for those substances from which the water or moisture has been completely removed. Purpose:  To remove the moisture from a thing that normally contains moisture, such as plant; to dry out completely; to preserve by drying.  Manufacture of dietary supplements and medicines desiccate some product to extend their shelf life and maintain purity.  The object of the process is to preserve medicinal value of the substance.  To reduce the bulk and weight and facilitate powdering of chemicals and crude drug. Process:  On small scale, desiccation can be carried out in a desiccator which consists of a tightly closed glass or plastic vessel, containing a drying agent at its bottom, which absorbs the moisture from the substance being desiccated.  Commonly used desiccants are, conc. Sulphuric acid, phosphorus pentoxide, exsiccated (anhydrous), phosphoric anhydride, calcium chloride and silica gel.  The drug or substance to be dried is taken in a china dish and placed inside the desiccator above the surface of drying agent.  For continuous operation the desiccator may sometimes be connected to a vacuum pump.  The moisture sensitive substances formulated in tablets and capsules are protected by enclosing them in sealed vials, on bottom of which a small cloth bag containing silica gel is placed which acts as a desiccant.  In case of organic solvents, the traces of moisture are removed by passing them through a column of alumina or silica gel. Examples:  Desiccated beef liver is a dietary supplement marketed in the form of powders and tablets.  Synthetic desiccated thyroid hormone is a medicine marketed in the form of pills to treat thyroid conditions such as myxedema, which can cause drowsiness, tissue swelling, tongue enlargement and other symptoms because of insufficient hormone output by the thyroid gland. Applications:  In preservation of vegetable and animal drugs that are destroyed in presence of moisture. o Dry drug contains 12% moisture
  • 214.
    Chapter 6. PhysicochemicalProcesses 213 Muhammad Muneeb o Desiccant drugs contain 0% moisture  Comminution of drugs is difficult when they are wet, but it becomes easy when they are dried.  To decrease the bulk and weight of substances containing moisture to facilitate their easy handling.  To increase shelf life of drugs  To increase the stability of drugs  To avoid hydrolysis, oxidation etc.  To keep the compound intact  Pharmaceutical companies often use freeze drying as a desiccation tool to increase the shelf life of product  Microorganism cannot grow and divide when desiccated, but can survive for certain period of time, depending medicine and facilitate powdering  Reduced bulk weight of and facilitate powdering _______________________________________________________________________________________ 19. LEVIGATION (Wet Grinding) General Introduction:  The process of particle size reduction by first forming a paste of solid by adding the minimum amount of suitable non-solvent (levigating agent) and then triturating the paste in the mortar or on the slab by using the pestle or spatula.  Levigation is commonly used in small scale preparation of ointments to reduce the particle size and grittiness of the added powders.  A mortar and pestle or an ointment tile is used for this purpose.  A paste is formed by combining the powder and a small amount of liquid (the levigating agent) in which the powder is insoluble  The paste is then triturated in the mortar by the pestle or on the ointment tile by a spatula to reduce the particle size.  The levigated paste is then added to the ointment base and the mixture is made uniform and smooth by rubbing it together with a spatula on the ointment tile.  The most common levigating agents are mineral oil, water, alcohol and glycerin.  The process of levigation is also known as wet grinding and is used to reduce the particle size of a substance to finer state of subdivision  This process is often used to incorporate solid substances into dermatological and ophthalmic ointments and suspensions. Applications:  Size reduction  Preparation of ointments and pastes.  Commonly used levigating agents are mineral oil and glycerin.  This process is used in making suspensions. _______________________________________________________________________________________ 20. TRITURATION
  • 215.
    Chapter 6. PhysicochemicalProcesses 214 Muhammad Muneeb Introduction:  It is also called as dry grinding.  Trituration may be used both to comminute and to mix powders.  By trituration the grinding of a solid substance is done to fine powder by continuous striking or rubbing the particles in a mortar with a pestle.  If simple admixture is required without special need for comminution, the glass mortar is usually preferred.  When a small amount of a potent substance is to be mixed with a large amount of diluent, geometric dilution method is used to ensure the uniform distribution of the potent drug.  This method is specially indicated when the potent and other ingredients are of the same color and a visible sign of mixing is lacking. By this method the potent drug is placed on an approximately equal volume of the diluent in the mortar and mixed thoroughly by trituration. Then a second portion of diluent equal in volume to the mixture is added and the trituration repeated and so on. This process is repeated until all the diluent is incorporated. Trituration Using Tile and Spatula:  Small quantities of finely powdered solids may be mixed on a tile by means of a spatula.  Tiles are usually made of glass and should be large enough for the quantity of powder to be mixed or ointment to be prepared.  Usually for small scale work 300mm square is a useful size for a tile.  Spatula is made of stainless steel except for the few medicaments those react with stainless steel (iodine), should be flexible and long blade (25mm by200mm) to provide a large rubbing surface.  Powders for Trituration are placed on the tile and gently mixed until the mixture is smooth and homogeneous, but in the case of ointment if base is very soft it may be helpful to warm the tile but overheating should be avoided because the base will become too fluid for efficient levigation and may run off the edge of the tile. The dispersion is then diluted with increasing amount of base, doubling the quantity each on the tile of each dilution. Finally, any liquid ingredient is incorporated. Trituration Using Mortar and Pestle:  A mortar should be used when the quantities are too large to be conveniently dealt with tile.  A mortar with a fairly flat base and a pestle with a flat head will give best results.  It is impossible to ensure intimate dispersion of one powder in another by mixing the two substances all at once. The purpose is to add a substance that is present in greater amount to the whole of the substance present in lesser amount.  Substance present in greater amount is introduced into the mixture in very small quantities at first, but gradually increasing the quantities, until the whole of the substance has been added. In the case of ointments, the sequence of mixing is same as in the tile method, powders are mixed and then gradually incorporated into the base and finally any liquid ingredients are added. Applications:  Size reduction.  Geometric mixing of powders. _______________________________________________________________________________________
  • 216.
    Chapter 7. Extraction 215 MuhammadMuneeb Unit 7. EXTRACTION Outline: a. Maceration: Purpose & process. b. Percolation: Purpose and Process. c. Liquid-Liquid extraction: Purpose and Process. d. Large scale extraction: Purpose and Process. _______________________________________________________________________________________ Definition:  Removal of soluble material (liquid or solid) from an insoluble residue by treatment with a liquid solvent is called as extraction.  The treatment of the plant or animal tissues with appropriate solvent, which would dissolve the medicinally active constituents, is called extraction.  For example, boiling tea has: o Tannins o Theobromine o Caffeine Purpose:  Active constituents of natural or vegetable origin are separated by extraction.  The purposes of standardized extraction procedures for crude drugs are to attain the therapeutically desired portion and to eliminate the inert material by treatment with a selective solvent known as menstruum.  The extract thus obtained may be ready for use as a medicinal agent in the form of tinctures and fluid extracts, it may be further processed to be incorporated in any dosage form such as tablets or capsules. Principle: It is a solution process based on mass transfer. Purpose of Extraction of Vegetable Drugs: Vegetable drugs are extracted to:
  • 217.
    Chapter 7. Extraction 216 MuhammadMuneeb  Reduce bulk, easy storage and transport  Standardization of content  Deterioration can be minimized  Palatable formulation  Injection of crude material not feasible THEORY OF EXTRACTION: 1. SIZE REDUCTION:  In order to achieve proper extraction maximum surface area of contact would be desirable.  If the size of drug is reduced to individual cell size, then it would be the best option.  It is not feasible to reduce the size of material to cellular level as: o It may cause decomposition of constituents or may lead to loss of volatile materials. o Very fine particles may not form good suspension as they wouldn’t sediment at the desired rate and particle size if reduced to cellular level be form sticky mass o Dilution of extracts may occur as breakage of cell may result in release of all cellular content  The appropriate degree of size reduction will comply with the following requirements o Increased surface area by distortion or breakage of cells which facilitates penetration of solvent and escape the soluble matter. o Decrease in radial distance will help in setting up the concentration gradient  Disadvantages of size reduction: o Slow down the rate of percolation o Difficulty in the separation of the insoluble solid fraction after extraction o Poor quality of extract by extracting undesirable constituents due to breakage of cell wall which exposes other cellular materials to solvent action  Degree of size reduction: o Depends upon botanical structure of drugs o Sliced (for soft drugs like gentian) o Coarse to Moderately coarse (for cascara, belladona) o Moderately fine (for hard and woody drugs like ipecacuanha) o Coarse powder for leafy structure  Appropriate degree of size reduction will result: o Cause some cells to be cracked or distorted o Particle size that will not result in a very long path for solvent. o Particle with large surface area for adequate mass transfer. 2. PENETRATION OF SOLVENT INTO THE DRUG:  A drug in dry state is porous due to shrinkage and pores contain air that must be displaced as the solvent enters into the pores and penetrates into the cells. o When drug is dried, micellae (cellulose in cell wall) loses its film of water. o When the drug is moistened the micellae take up a liquid film and tissue swell o Swelling continues until the pressure caused by liquid layer is equal to the cohesive forces between micellae o Swelling may occur due to:
  • 218.
    Chapter 7. Extraction 217 MuhammadMuneeb  Distension of cell wall  Bursting of thin walled cell  The solvent must displace air from pores in the drug. 3. SOLUBILIZATION OF CONSTITUENTS:  When the solvent penetrates in the cells, dissolution of the constituents takes place and is governed by surface area, temperature, viscosity.  The most important factors which will increase the rate of extraction is elevation of temperature.  Dissolution: Dissolution of a solid in a liquid involves transfer of molecules or ions (mass) from a solid state into solution. 4. ESCAPE OF SOLUTION FROM THE CELLS:  The dissolved material reaching the surface of the particle must pass through the boundary layer at the solid liquid interface.  The rate of diffusion will depend on the: o Presence of suitable concentration gradient from the centre of the particle, outwards and through the boundary layer o Thickness of boundary layer o Diffusion coefficient of the solute in the solvent 5. SEPARATION OF SOLUTION AND EXHAUSTED DRUG:  In the process of immersion of drug in a bulk of solvent, the solid material has to be strained off, as the drug absorbs solvent there is a residue of soluble constituents in this solvent.  In this case the drug is subjected to pressure to expel as much of the solution as possible.  Even though the extraction process uses solvent flowing through the drug, separation of solution is essential. Terms:  Extractives: Concentrated preparations of vegetable or animal drugs obtained by removal of the active constituents of the respective drug with suitable menstruum, evaporation of all or nearly all solvent.  Tinctures: are alcoholic or hydroalcoholic solutions prepared from vegetable material or from chemical substances. E.g. belladonna tincture  Menstruum: Solvent used for extraction (ex. water, alcohol, ether, acetone, ethyl acetate) o Polar: Water, Methanol, Acetone o Non-Polar: Chloroform, Hexane, Benzene, toluene, diethyl-ether o Solvents with a dielectric constant of less than 15 are generally considered to be non-polar  Marc: The inert fibrous and other insoluble materials remaining after extraction.  Fluid Extract: Are liquid preparations of vegetable drugs containing alcohol as a solvent or as preservative or both. They’re made in such a way that 1ml of extract contains the therapeutic constituents of 1g of standard drug. E.g. Cascara sagrada Fluid extract.  Expression: Is a method of fragrance extraction where raw materials are pressed, squeezed or compressed and the oils are collected.
  • 219.
    Chapter 7. Extraction 218 MuhammadMuneeb  Gelanical: The extract initially obtained by leaching the vegetable or animal tissue with the suitable solvent, is converted into concentrated and converted into a dry extract, a viscous extract, liquid extracts. These crude extracts, when standardized, are known as gelanical. Applications: Some of the products that are obtained after extraction process may be summarized as:  Extraction of fixed oils from seeds.  Preparation of alkaloid as strychnine from nux-vomica, quinine from chincona bark.  Isolation of enzymes as renin and hormones as insulin from animal sources.  Extraction of morphine from opium.  Reserpine from Rauwolfia serpentina  Gelatin that is used for making capsule shell is produced by conversion of skin and bone collagen by treatment with lime or dilutes acid and is further extracted with warm water. Types of Extraction:  Solid-solid extraction (Leaching) o Maceration o Percolation o Continuous extraction  Liquid-liquid extraction (counter current extraction) Main Processes Used for Extraction: SOLID-SOLID EXTRACTION (LEACHING): DEFINITION: It is the extraction of soluble constituents from solid crude drug by suitable solvent. PRINCIPAL:  Suitable size reduction
  • 220.
    Chapter 7. Extraction 219 MuhammadMuneeb  Contact and penetration of solvent  Solution of soluble matters in cells  Leaching of solution out  Separation of solution from exhausted drug CHOICE OF LEACHING PROCESS: Following factors are considered:  Character of drug o For hard or tough material percolation is used o For un-powderable materials maceration is preferred o To enhance the therapeutical value of drug o When the drug has high therapeutic value, maximum extraction is required, so percolation process is used e.g. Belladona  Stability of drug o Thermolabile drugs-maceration or percolation should be done. o No hot extraction process should be carried out  Cost of drug o Costly drugs are extracted by percolation process, whereas cheap drugs are extracted by maceration process  Solvent o Maceration process recommended-if water is used as solvent. o Percolation process non-aqueous solvents  Concentration of products o The dilute products such as tinctures can be made by using maceration or percolation process, depending on other factors. o For semi-concentrated preparations, such as concentrated infusions, double or triple maceration process can be used. o The liquid extracts or dry extracts or dry extracts which are concentrated preparations are prepared by using percolation process. FACTORS AFFECTING LEACHING PROCESS: Following are the factors that affect the leaching process.  Pre-treatment of crude drugs  Particle size distribution  Nature of solvent  Temperature 1. Maceration:  The term maceration comes from the Latin macerare, meaning to soak.  This simple widely used procedure involves leaving the pulverized plant to soak in a suitable solvent in a closed container.  Drug is soaked with menstruum (solvent of maceration) for longer period of time (till equilibrium).
  • 221.
    Chapter 7. Extraction 220 MuhammadMuneeb DEFINITION:  It is a process in which the properly comminuted drug is permitted to soak in the menstruum until the cellular structure is softened and penetrated by the menstruum and the soluble constituents are dissolved. DEFINITIONS:  Marc is the solid residue left after the action of menstruum.  Simple Maceration: A process for tinctures made from organized drug e.g. roots, stems, leaves etc.  Maceration with Adjustment: A process for tinctures made from unorganized drugs such as oleo resins and gum resins.  Maceration can be done one, two or three times for effective result. APPLICATIONS:  The method is suitable for both initial and bulk extraction.  It is used to prepare: o Tinctures o Concentrated products DISADVANTAGES: The main disadvantage of maceration is that the process can be quite time-consuming, taking from a few hours up to several weeks. MULTIPLE MACERATION:
  • 222.
    Chapter 7. Extraction 221 MuhammadMuneeb Multiple maceration is aimed at achieving maximum extraction by using portions of total volume of men strum for successive maceration. The drug: menstruum ratio is low.  Double Maceration = Volume divided into 2 equal portions  Triple Maceration = Volume divided into 3 equal portions 2. Percolation: INTRODUCTION:  Percolation is derived from the Latin word “per” meaning through and “colare” meaning to strain.  Comminuted (crushed) drug is packed in a column and the solvent is allowed to percolate through it till complete exhaustion.  This process ensures maximum extraction.  Simple percolation or percolation process for tinctures.  Percolation processes for concentrated preparations such as: o Reserve percolation process o Modified percolation process APPARATUS USED FOR PERCOLATION:  Conical percolator  Cylindrical percolator  Steam jacketed percolator STEPS INVOLVED: The steps involved in this process are:  Size reduction  Imbibition with solvent  Packing in percolator  Macerating the packed drug  Collection of solution  Fresh solvent is added
  • 223.
    Chapter 7. Extraction 222 MuhammadMuneeb PROCESS: There are three stages in the official method for preparation of tinctures by percolation process.  Size Reduction: o The drug to be extracted is subjected to suitable degree of size reduction, usually from coarse powder to fine powder o To increase the surface area of the drug exposed to the menstruum o For uniform packing of the percolator o To ensure complete exhaustion of the drug o  Imbibition: o Powdered drug is moistened with a sufficient quantity of menstruum and allowed to stand for 4 hours in a closed vessel. o It is done in order to allow swelling of the tissues before packing into the percolator. o Dry powder if packed into percolator may cause blockage of the percolator. o It allows entrapped air to escape, dry powder drug would have air entrapped within them, and this may resist the flow of menstruum and will disturb the packing of the powdered drug. o Prior to packing of the imbibed drug into percolator uniformity of particle size is ensured by passing the moistened mass through a sieve of coarse aperture. o Glass wool moistened with solvent is kept at the bottom to avoid blockage of outlet or tap. Cotton wool may not be used as after getting soaked it would also create a impermeable mass. o The imbibed drug is packed in the percolator up to 2/3rd or 3/4th of the volume of percolator. o Filter paper is placed above this layer and above this a layer of sand is placed in order to prevent disturbance of top layer when the menstruum is added into the percolator. o Sufficient quantity of menstruum needs to be added to saturate the material. o When the liquid starts coming out of the percolator outlet is closed and add menstruum forming a layer of solvent above the imbibed mass.  Packaging: o After imbibition the moistened drug is evenly packed into the percolator. o The packing should not be too tight; it will lead to slow extraction rate. Similarly, loose packing will allow the menstruum to pass through quickly resulting in incomplete contact with the drug. o The drug should occupy 2/3rd capacity of the percolator.  Maceration: o The moistened drug is left in contact with menstruum for 24 hrs. o During this period, menstruum dissolves the active constituent of the drug and becomes almost saturated with it.  Percolation: o It consists of the downward displacement of the saturated solution formed in maceration and extraction of the remaining active constituents present in the drug by the slow passage of the menstruum through the column of the drug. o After collecting 3/4th of the required volume of the finished product or when the drug is completely exhausted, the marc is pressed. o Mix the expressed liquid with percolate. o Add sufficient quantity of menstruum to produce the required volume and then filter. o E.g. tincture of belladonna, compound tincture of cardamom, strong tincture of ginger.
  • 224.
    Chapter 7. Extraction 223 MuhammadMuneeb ADVANTAGES:  More complete extraction of constituents  Shorter processing time  Increased flexibility in processing DISADVANTAGES:  Fine powders and materials such as resins and plants that swell excessively (e.g., those containing mucilages) can clog the percolator.  If the material is not distributed homogenously in the container, the solvent may not reach all areas and the extraction will be incomplete.  Incompatibility of percolation with certain herbs  Additional complexity in processing COMPLETE EXTRACTION TEST: Tests to check complete exhaustion of the drug:  Take a few ml of the last percolate and evaporate to dryness, it no residue remains - it shows that the drug is completely exhausted.  Specific chemical tests may be performed on the percolate for the drugs containing alkaloids, glycosides, tannins, resins or bitter constituents. 3. Continuous Extraction:  It is the type of extraction during which solution of drug, immediately after contact with drug, is evaporated and vapors are condensed and returned to the drug again.  Some amount of liquid (solvent) is again and again used to obtain maximum extraction of the drug.  It is performed by Soxhlet apparatus. APPARATUS:  This apparatus consists of: o Flask o Soxhlet extractor o Reflex condenser
  • 225.
    Chapter 7. Extraction 224 MuhammadMuneeb For example, continuous process is applicable on fixed oils from seeds using light petroleum. PROCESS OF SOXHLET APPARATUS:  Raw material is placed in a thimble in a central tube of extractor.  Solvent (extraction agent) is placed in the flask and is heated to reflux in the distillation flask, the vapors are condensed in the reflux condenser and drop into the chamber containing the thimble with the material to be extracted.  The chamber slowly fills with the warm solvent and some of the material is dissolved in the solvent.  When the Soxhlet chamber is almost full it is automatically emptied by a siphon side arm, with the solvent running back down to the distillation flask.  This cycle is repeated several times to enrich the solvent in the distillation flask with the extracted material.  A limited amount of hot solvent is made to percolate the drug is order to get concentrated solution. ADVANTAGES:  Small amount of solvent is used.  Pure solvent is used to treat the drug ensuring maximum exhaustion.  Continued extraction can be done to exhaust the complete drug. LIQUID-LIQUID EXTRACTION (COUNTER-CURRENT PROCESS):  It is also called as solvent extraction and partitioning.  In this process solution of substance is brought into contact with first solvent.  Portioning of drug between two immiscible solvents (aqueous and organic) is the principal of liquid- liquid extraction.  This distribution depends upon the hydrophilicity or hydrophobicity of the material.  pH also plays an important role when the polar group is ionized.  Usually two, three, or four extractions of the aqueous layer with an organic solvent are carried out in sequence in order to remove as much of the desired product from the aqueous layer as possible.  The greater the number of small extractions, the greater the quantity of solute removed.  However, for maximum efficiency the rule of thumb is to extract three times with 1/3 volume. FACTORS:  Higher the partition coefficient higher will be the extraction efficiency.  Lower interfacial tension will increase extraction rates.  Adsorbed impurities on interface retard the transfer of solute. PROCESS: There are many processed used for counter-current extraction but mainly two processes are common. 1. Dispersive Liquid–Liquid Microextraction (DLLME):  A process used to extract small amounts of organic compounds from water samples.  This process is done by injecting small amounts of an appropriate extraction solvent (C2Cl4) and a disperser solvent (acetone) into the aqueous solution.
  • 226.
    Chapter 7. Extraction 225 MuhammadMuneeb  The resulting solution is then centrifuged to separate the organic and aqueous layers.  This process is useful in extraction organic compounds such as organochloride and organophsophorus pesticides, as well as substituted benzene compounds from water samples. 2. Direct organic extraction:  This process is done by mixing partially organic soluble samples in organic solvent (toluene, benzene and xylene), the organic soluble compounds will dissolve into the solvent and can be separated using a separatory funnel.  This process is valuable in the extraction of proteins and specifically phosphoprotein and phosphopeptide phosphatases. APPLICATIONS:  Major applications exist in the biochemical or pharmaceutical industry, where emphasis is on the separation of antibiotics and protein recovery.  In the inorganic chemical industry, they are used to recover high-boiling components such as phosphoric acid, boric acid, and sodium hydroxide from aqueous solutions. LARGE SCALE EXTRACTION PROCESS: Circulatory Extraction:  The efficiency of extraction in a maceration process can be improved by arranging for the solvent to be continuously circulated through the drug, as indicated in the figure below.  Solvent is pumped from the bottom of the vessel to the inlet where it is distributed through spray nozzles over the surface of the drug.
  • 227.
    Chapter 7. Extraction 226 MuhammadMuneeb  The movement of the solvent reduces boundary layers, and the uniform distribution minimizes local concentration in a shorter time. PROCEDURE:  Fill extractor with drug, add solvent and circulate. Run off to receiver 1.  Refill extractor with solvent and circulate. Run off to receiver 2.  Refill extractor with solvent and circulate. Run off to extractor 3.  Remove drug from extractor and recharge. Return solvent from 1 to extractor. Remove for evaporation.  Return solution from 2 to extracture and circulate. Run off to receiver 1.  Return solution from 3 to extractor and circulate .  Run off to receiver 2.  Add fresh solvent to extractor and circulate.  Run off to receiver 3.  Remove drug from extractor and recharge.  Repeat cycle. FACTORS INFLUENCING EXTRACTION: The rate of extraction can be affected in the following ways: I. WHERE DRUG IMMERSED IN A SOLVENT:  By agitating the mixture occasionally, local concentration of the solution is dispersed increasing the concentration gradient.  By agitating the drug and solvent continuously increases the concentration gradient by dispersion of local concentration as well as reduces the thickness of the boundary layer.  By suspending the drug in a cloth or above a perforated plate near the surface of the liquid. As the drug dissolves, the density of the solution increases leading to the convection of the solution, increasing the concentration gradient through the boundary layers II. IF THE DRUG IS POSITIONED SO THAT THE SOLVENT FLOWS PAST THE PARTICLES:  The flow replaces the solution by pure solvent causing the increase in the concentration gradient
  • 228.
    Chapter 7. Extraction 227 MuhammadMuneeb  Flow of the solvent between the particles reduces the boundary layer increasing the concentration gradient.  This can be achieved by suspending drug in a cloth bag or above a perforated plate III. ELEVATED TEMPERATURE’S ADVANTAGES:  Solubility of most of the material is higher at higher temperature.  Viscosity of the solvent gets reduced decreasing boundary layer thickness  Diffusion coefficient is proportional to the absolute temperature and inversely proportional to the viscosity, so raising the temperature influences the rate of diffusion considerably.  By setting convection current SOLVENTS USED FOR EXTRACTION PROCESS: The ideal solvent for a certain pharmacologically active constituent should:  Be highly selective for the compound to be extracted.  Have a high capacity for extraction.  Not react with the extracted compound or with other compounds in the plant material.  Have a low price.  Be harmless to man and to the environment.  Be completely volatile.  The generally used solvents includes: Water, ether, alcohol, chloroform. WATER AS SOLVENT: Disadvantages Advantages Most active plant constituents are complex organic chemical which are less soluble in water. Readily available Plant constituents such as sugars, gums, starches, coloring agents, tannins are easily extracted by water, however are not desirable component sometimes and may interfere with clarity of the preparation. Cheapness Aqueous preparations serve as excellent growth for molds, yeasts and bacteria. Preservatives should be added such as alcohol. Good solvent action for many plant constituents Water causes hydrolysis of many substances. Used with other solvents Maximum amount of heat is needed to concentrate the extraction than non-aqueous solvent. ALCOHOL AS SOLVENT:  Solvent of alkaloids, alkaloidal salts, glycosides, volatile oils and resins  Also dissolves many forms of coloring matter, tannins, many organic acids and salts.  Alcohol does not dissolve albuminous matter, gums, waxes, fats, fixed oils and sugars. Disadvantages Advantages Costly No microbial contamination in alcohol solution containing 20% or more alcohol concentration.
  • 229.
    Chapter 7. Extraction 228 MuhammadMuneeb Flammable A small amount of heat needed to concentrate the alcoholic preparations. Non-toxic Dissolves selected active constituents of drugs ACETONE AS SOLVENT:  Acetone and chlorinated hydrocarbons may also be used for leaching purpose.  More selective solvents used for extraction of alkaloid are petroleum ether and benzene.  Potassium hydroxide may be used to extract eugenol from clove. IMPORTANCE OF EXTRACTION: 1. Quantitative Description: Potency of drug can be controlled in extract than in crude drug and can be used accordingly. 2. More Stable form: Deterioration by enzyme action is diminished due to separation from bulk. 3. Enhanced Organoleptic Characteristics: More palatable, and more elegant 4. Easy formulation: Tableting of crude material may not be possible; Preparation of the drug is more easily formulated, more stable, palatable and elegant after extraction 5. Different route of drug administration: Injection of crude material may be undesirable and dangerous 6. Storage and transport feasibility: Extracts are less bulky and covers less space and smaller bulk facilitates storage and transport. _______________________________________________________________________________________
  • 230.
    Chapter 8. Rateand Order of Reaction 229 Muhammad Muneeb Unit 8. RATE AND ORDER OF REACTION _______________________________________________________________________________________  Each one contains a time unit and the word “per”.  “Per” means divide! 𝑅𝑎𝑡𝑒 = ∆ 𝐴𝑚𝑜𝑢𝑛𝑡 ∆ 𝑇𝑖𝑚𝑒 Reaction Rate:  In chemistry, the amount unit may vary but is often in moles, moles per liter (molarity) grams or even liters.  Rates of chemical reactions are most often measured as moles per second, molarity per second. Mathematically, 𝑅𝑎𝑡𝑒 𝑜𝑓 𝑅𝑒𝑎𝑐𝑡𝑖𝑜𝑛 = 𝐷𝑒𝑐𝑟𝑒𝑎𝑠𝑒 𝑖𝑛 𝑐𝑜𝑛𝑐. 𝑜𝑓 𝑅𝑒𝑎𝑐𝑡𝑎𝑛𝑡𝑠 𝑇𝑖𝑚𝑒 𝑖𝑛 𝑡ℎ𝑖𝑠 𝑐ℎ𝑎𝑛𝑔𝑒 𝑡𝑎𝑘𝑒𝑠 𝑝𝑙𝑎𝑐𝑒 𝑅𝑎𝑡𝑒 𝑜𝑓 𝑅𝑒𝑎𝑐𝑡𝑖𝑜𝑛 = 𝐷𝑒𝑐𝑟𝑒𝑎𝑠𝑒 𝑖𝑛 𝑐𝑜𝑛𝑐. 𝑜𝑓 𝑃𝑟𝑜𝑑𝑢𝑐𝑡𝑠 𝑇𝑖𝑚𝑒 𝑖𝑛 𝑡ℎ𝑖𝑠 𝑐ℎ𝑎𝑛𝑔𝑒 𝑡𝑎𝑘𝑒𝑠 𝑝𝑙𝑎𝑐𝑒 𝑅𝑎𝑡𝑒 𝑜𝑓 𝑅𝑒𝑎𝑐𝑡𝑖𝑜𝑛 = 𝐶ℎ𝑎𝑛𝑔𝑒 𝑖𝑛 𝑐𝑜𝑛𝑐𝑒𝑛𝑡𝑟𝑎𝑡𝑖𝑜𝑛 𝑇𝑖𝑚𝑒 𝑇𝑎𝑘𝑒𝑛 = ∆ (𝑐𝑜𝑛𝑐. ) ∆ 𝑇𝑖𝑚𝑒  Reaction rate is the speed at which a reaction takes place.  It is “how quickly” a product is formed in a chemical reaction.  Example: 𝑀𝑔 + 𝐶𝑙2 → 𝑀𝑔𝐶𝑙2  In the case of multiple step reactions, the slowest step determines the rate of reaction. Collision Theory:  Reactions take place when reactants bump to make products. 𝑀𝑔 + 𝐶𝑙2 → 𝑀𝑔𝐶𝑙2  Reaction Rate is how quickly you create a new substance in a chemical reaction.  Faster reactions have more collisions.  Slower reactions have less collisions.
  • 231.
    Chapter 8. Rateand Order of Reaction 230 Muhammad Muneeb Factors Affecting Rate of Reaction:  Concentration of reactants  Pressure (for gases only)  Particle size  Catalyst  Temperature  Light  Effect of concentration  Solvent  Ionic strength  Dielectric constant  Moisture 1. TEMPERATURE:  Generally, the speed of many reactions can be increased 2 to 3 times with each increase of 10o C in temperature.  The effect of temperature on reaction rate is given by Arrhenius equation: 𝐾 = 𝐴𝑒−𝑬𝒂/𝑹𝑻  The frequency factor A is the measure of frequency expected between the reacting molecules.  In Logarithm it may be expressed as follow: 𝐿𝑜𝑔 𝐾 = 𝑙𝑜𝑔 𝐴 – 𝐸𝑎 2.303 𝑅𝑇  The Arrhenius equation is useful when Ea is in the range of 10 to 30 Kcal/mole.  If Ea is only 2 to 3 Kcal/mole as in the case of photolytic reactions little advantage is gain from the equation. 2. EFFECT OF CONCENTRATION:  As the concentration of reacting molecules is increased the no of collisions between the molecules also increased. Consequently, the rate of reaction is increased. 3. LIGHT:  Light energy may be absorbed by certain molecules which become activated to undergo reaction.  Most visible light and UV light cause photochemical reaction. These reactions do not depend on temperature.  However, once a molecule has absorbed energy, it may collide with other molecules raising their kinetic energy resulting in increase in temperature.  Examples: Pharmaceutical compounds which undergo photo chemical decomposition include Riboflavin and Phenothiazines etc. 4. SOLVENT:
  • 232.
    Chapter 8. Rateand Order of Reaction 231 Muhammad Muneeb  The quantitative relationship between the reaction rate and the solubility of reactants and products is given by equation. 𝐿𝑜𝑔 𝑘 = 𝑙𝑜𝑔 𝐾0 + 𝑉/2.303 𝑅 . 1/𝑇 (∆𝑆𝐴 + ∆𝑆𝐵 − ∆𝑆 ∗)  In other terms a polar solvent tends to increase the rate of those reactions in which product formed is more polar than reactants.  If the products are less polar then it tends to decrease the rate of such reactions.  Commonly used non aqueous solvents for drugs include Ethanol, Glycerol and vegetable oil etc. 5. IONIC STRENGTH:  The effect of ionic strength of a solution and its rate of degradation may be expressed as follows: Log K= log K0 + 1.02 ZAZBѴµ  According to the above equation an increase in the ionic strength of solution would tend to decrease the rate of reaction i.e. the inverse relation. 6. DIELECTRIC CONSTANT OF SOLVENT:  The dielectric constant (or relative permittivity) of solvent has a significant effect on the rate of reaction.  Dielectric constant of an ionic reaction is given by: Log K= log K ε=∞ - K ZA ZB/ε  If the reacting ions are of opposite charges, then it will result in increased rate of reaction.  If ions of similar charges involve in reaction it will decrease rate of reaction. 7. CATALYSIS:  A catalyst is defined as a substance which increase or decrease the rate of reaction without itself being altered chemically.  Most of the chemical reactions are catalyzed in the presence of catalyst.  These enhanced the rate of reaction by providing an alternative course for chemical reaction. Order of Reaction:
  • 233.
    Chapter 8. Rateand Order of Reaction 232 Muhammad Muneeb  The order of reaction is defined as the manner in which the rate of a reaction varies with the concentration of the reactants. Types of Reactions w.r.t. their Orders:  Zero-Order Reaction  First -Order Reaction  Second-Order Reaction  Pseudo-Zero-Order Reaction  Pseudo-First-Order Reaction 1. ZERO ORDER REACTION:  In Zero-Order reaction the reaction rate is independent of the concentration of the reacting substance or reaction rate depends on the zero power of the reactant.  Example (Degradation of solution): When solubility is the factor, only that amount of drug that is in solution undergoes degradation. 2. FIRST-ORDER REACTION:  A reaction is said to be first-order if the reaction rate depends on the first power of concentration of a single reactant.  Example: Decomposition of H2O2 catalyzed by iodine ions. 3. SECOND-ORDER REACTION:  A reaction is said to be second-order if the reaction rate depends on the concentration of two reactant species.  Example: Saponification of Ethyl acetate.
  • 234.
    Chapter 8. Rateand Order of Reaction 233 Muhammad Muneeb 4. PSEUDO-ZERO ORDER REACTION:  Many drugs, in the solid state, decompose according to pseudo-zero- order rates as reactions occur between the drug and moisture in the solid dosage form. The system behaves as a suspension, and because of the presence of excess solid drug, the first-order reaction rate becomes a pseudo-zero-order rate, and loss rate is linear with time. 𝑟 = 𝑑𝐶𝑎 𝑑𝑡 𝑘1𝐶𝑎  In suspension formulations, the concentration of the drug, the aqueous phase remains constant (i.e. saturated) until the suspended drug particles are completely exhausted. 5. PSEUDO-FIRST-ORDER REACTIONS:  A pseudo-first-order reaction can be defined as a second-order or bimolecular reaction that is made to behave like first-order reaction. This happens when one reacting material is present in great excess or is maintained at a constant concentration compared with the other substance. Under such circumstances the reaction does not exhibit a significant change in concentration during the degrative reaction.  Example: Hydrolysis of an Ester.  The drug that obeys pseudo-first-order kinetics is Cefotaxime sodium. Pharmaceutical Applications of Reaction Kinetics: 1. KINETICS:  Chemical reactions such as decomposition of medicinal compounds  Processes of drug absorption, distribution, elimination from the body  Shelf life determination 2. ORDER OF REACTION:  Manner in which the rate of reaction varies with the concentration of the reactants  Most processes involving ADME can be treated as first- order processes  Some drug degradation processes can be treated as either First or zero order processes  Some drug substances obey Michaelis-Menten kinetic process 3. APPARENT ZERO ORDER REACTION KINETICS:  Suspensions are a special case of zero order kinetics, in which the concentration of drug in solution depends on its solubility.  As the drug in solution decomposes, more of it is released from a reservoir of suspended particles thereby making the concentration in solution constant.  The effective concentration is the drug equilibrium solubility in the solvent of formulation at given temperatures 4. CHEMICAL INSTABILITY:  Can present as:
  • 235.
    Chapter 8. Rateand Order of Reaction 234 Muhammad Muneeb o Loss of potency o Accumulation of toxic degradative products o Degradation of excipient responsible for product stability e.g. emulsifying agents, preservatives o Conspicuous colour change e.g. marked discoloration of adrenaline although very slight change in adrenaline content, is unacceptable to patients, pharmacists, physicians and the nurses. 5. SOLID STATE VERSUS SOLUTION STABILITY:  Generally, chemical reactions proceed more readily in liquid state than in solid state  Serious stability problems are more commonly encountered in liquid medicines e.g. order of dosage form stability is generally: solution < suspension < tablet. 6. DETERMINATION OF ORDER OF REACTION:  Use of rate equation – The data collected in a kinetic reaction should be substituted into the integrated form of equations of various orders.  The process under test should be considered to be of that order where the calculated k value remains constant within limits of experimental error.  Half-life method – For a zero order or pseudo first order reaction, t½ is proportional to initial concentration of reactant (Co), o t½ for a first order reaction is independent of Co,  Graphical method – For a zero order or pseudo first order reaction, plot of C vs. t is linear; for first order reaction, plot of log (Co – Ct) vs. t is linear. _______________________________________________________________________________________
  • 236.
    Chapter 9. DrugStability 235 Muhammad Muneeb Unit 9. DRUG STABILITY Outline: Kinetic principles and stability testing: theoretic considerations (degradation):  Physical Factors: Influence of pH, temperature, ionic strength, acid-base catalysis, U.V. light.  Chemical Factors: Complex chemical reactions, Oxidation-reduction reactions, Hydrolysis. _______________________________________________________________________________________ Definition:  Drug stability is defined as, “the capacity or capability of a particular formulation in a specific container to remain within a particular physical, chemical, microbiological, therapeutical and toxicological specifications.”  Drug stability refers to the time from the date of manufacture and packing of the formulation until its physical, chemical and biological activity is not less than a pre-determined level of the potency and physical characteristics. Importance of Drug Stability Study: The study of stability of pharmaceutical products and stability testing techniques is important for three main reasons.  Patient Safety  Legal Requirement  Financial Repercussion (an unintended consequences of an event or an action) 1. PATIENT SAFETY:  Safety of patient is very important issue.  The present trend of pharmaceutical industry is the production of highly specific chemically complex and potent drug.  It is important that the patient receives a uniform dose of the drug throughout the whole shelf life of the drug.  It is the duty of manufacturer to minimize or if possible prevent the decomposition of the product especially of parenteral solutions injections. 2. LEGAL REQUIREMENTS:  The considerations must be given to the legal requirement concerned with the identity, strength, purity and the quality of the drug. 3. FINANCIAL REPERCUSSION:  The sale of unstable product is difficult for the manufacturer and therefore subsequent withdraw and reformation of the drug may lead to considerable financial loss. Factors Affecting Product / Drug Stability:
  • 237.
    Chapter 9. DrugStability 236 Muhammad Muneeb The product stability is affected by:  The stability of active ingredients  Interaction between active ingredients and excipients or container or closure  Environmental conditions Expiry Date: It is the date which is fixed by the manufacturer for a certain product after which the harmful events may result into: I. Loss of potency II. Development of toxic products In classic terms, the drugs stability refers to: I. Physical stability II. Chemical stability III. Biochemical Stability The stability studies data may have one of the two errors. I. Type I Error: Expiry date is set too early. II. Type II Error: Expiry date is set too late. Degradation of Pharmaceutical Products: DEGRADATION:  It is the condition or process of degrading or being degraded.  Decline to a lower quality, condition or level is called as degradation. PHARMACEUTICAL DEGRADATION: The incapacity or incapability of a particular formulation in a specific container to remain within a particular chemical, microbiological, therapeutical, physical & toxicological specification is called as pharmaceutical degradation. TYPES OF PHARMACEUTICAL DEGRADATION: There are two types of pharmaceutical degradation.  Physical degradation  Chemical degradation Physical Degradation: It is the degradation which results into the change of physical nature of drug. The formulation is totally changed by way of appearance, organoleptic properties, hardness, brittleness, particle size. Physical degradation includes:  Loss of volatile components  Loss of water  Absorption of water
  • 238.
    Chapter 9. DrugStability 237 Muhammad Muneeb  Crystal growth  Polymorphic changes  Colour changes 1. LOSS OF VOLATILE COMPONENTS: Volatile components such as alcohol, ether, camphor, iodine, volatile oil etc. escape from the formulation e.g. Nitroglycerine from drugs evaporates. Measures to Prevent Loss of Volatile Components:  Such products should be placed in well closed container.  To decrease temperature as increase in temperature will increase volatility, product should be placed in a cool place. 2. LOSS OF WATER:  Loss of water from o/w emulsions thus the stability changes.  Water evaporates from efflorescent salts such as Borax and sodium bisulphate etc.  Water evaporates causing crystal growth. Measures to Prevent Loss of Water:  Water loss may be prevented by storing the product in well closed container. 3. CRYSTAL GROWTH:  In solutions after super saturation of solvent crystal growth occurs e.g. injection of calcium gluconate  In suspension crystals settle down and caking occurs and suspension becomes unstable e.g. ophthalmic preparations. Prevention of Crystal Growth:  In case of solutions stabilizers are employed.  In case of suspension minimum temperature flocculation should be managed.  Incorporation of surface active agents.  By increasing viscosity of suspending medium. 4. ABSORPTION OF WATER:  Hygroscopic drugs such as glycerin suppositories absorb  Water from atmosphere causing physical degradation. Preventive measure for absorption of water:  Product should be placed in well closed container. 5. POLYMORPHIC CHANGES:  In polymorphic changes crystals form change. A stable crystal form is lost. Measures to prevent polymorphic changes:
  • 239.
    Chapter 9. DrugStability 238 Muhammad Muneeb  Formulated product should contain a stable crystalline form of the drug. 6. COLOUR CHANGES:  Colour changes are of two types: o Loss of color o Development of color  Loss of color is due to pH changes.  Development of color is due to reducing agents, water and U.V rays Prevention of Colour Changes:  pH should not be changed.  Exposure to light should be avoided. Formulation Likely physical instability Problems Effects Oral Solutions 1. Loss of flavor 2. Change in taste 3. Presence of off flavors due to interaction with plastic bottle 4. Loss of dye 5. Precipitation 6. Discolorization Change in smell or feel or taste Suspensions 1. Setting 2. Caking 3. Crystal Growth 1. Loss of drug content uniformity in different doses from the bottle 2. Loss of Elegance Emulsions 1. Creaming 2. Coalescence 1. Loss of drug content uniformity in different doses from the bottle 2. Loss of Elegance Tablet Change in 1. Disintegration time 2. Dissolution profile 3. Hardness 4. Appearance Change in drug release Capsule Change in: 1. Appearance 2. Dissolution 3. Strength Change in drug release Chemical Degradation: It is the separation of chemical compound into elements or simpler compounds. Change in the chemical nature of the drug is called as chemical degradation. Chemical degradation includes:  Hydrolysis  Oxidation  Decarboxylation  Isomerization  Polymerization
  • 240.
    Chapter 9. DrugStability 239 Muhammad Muneeb 1. HYDROLYSIS:  Hydrolysis means splitting of pharmaceutical product by the action of water.  It is the main problem with the pharmaceutical systems such as emulsions, suspensions, solutions etc.  This is carried out by water vapours from atmosphere.  Hydrolysis is catalyzed by hydrogen ions or hydroxyl ions and also by acidic or basic species commonly encountered as components of buffers.  The main classes of drugs that undergo hydrolysis are the: o Esters o Amides o Lactams A. Esters Hydrolysis: Upon hydrolysis of esters acyl-oxygen is cleaved and acid and alcohol is produced. Examples of drugs undergo hydrolysis are:  Procaine  Tetracaine  Atropine  Physostigmine  Aspirin B. Amide Hydrolysis:  Although amides are relatively stable than esters but these are susceptible to specific and general acid- base hydrolysis.  Amide hydrolysis usually involves the cleavage of the amide linkage to give an amide giving alcohol and amine as hydrolyzed products. Examples of drugs undergo amide hydrolysis are:  Dibucaine  Ergometrine  Chloramphenicol  Niacinamide  Barbiturates
  • 241.
    Chapter 9. DrugStability 240 Muhammad Muneeb C. Ring Hydrolysis:  Compounds containing ring undergo hydrolysis to make hydrolyzed products.  For example, β-lactam antibiotics such as penicillins which are cyclic amides or lactams undergo rapid ring opening due to hydrolysis. Drugs that undergo ring cleavage are:  Nitrazepam  Chlorodiazepoxide  Cephalosporin Protection against Hydrolysis: Hydrolysis or solvolytic reactions may be retarded: 1. By packing drugs into controlled humidity containers 2. By incorporating a suitable desiccant in the pack 3. By addition of buffers in liquid dosage forms 4. By minimizing buffer concentration to the minimum required for maintaining pH 5. By altering dielectric constant of system by using non-aqueous solvents such as alcohol, glycerin and propylene glycol 6. By adding complexing agents like caffeine to the drug solutions like procaine and benzocaine 7. By converting drugs into suspensions 8. By formulating drugs (like penicillin and its derivatives) in form of dry syrups, dry powders, injections or dispersed tablets instead of a liquid dosage form (solutions or suspensions) etc. 9. By refrigerating the drugs 2. OXIDATION:  Instabilities in a number of pharmaceutical preparations are due to oxidative degradation of the active ingredients of these preparations when exposed to atmospheric oxygen.  Removal of an electropositive atom, radical or electron, or the addition of an electronegative atom or radical is called as oxidation.  Oxidation is of two types: o Auto-oxidation o Photo-oxidation A. Auto-Oxidation:  It is the most common form of oxidative degradation that occurs in many pharmaceutical preparations and involves a free radical chain process.
  • 242.
    Chapter 9. DrugStability 241 Muhammad Muneeb  In an auto-oxidative degradation, only a small amount of oxygen is required to initiate the reaction and thereafter oxygen concentration is relatively important.  The free radicals produced during the initial reaction are highly reactive and further catalyze the reaction to produce additional free radicals and causing a chain reaction.  Heavy metals such as copper, iron, cobalt and nickel catalyze the oxidative degradation. Some solvents like water, and heat and light influence this process.  Drugs that undergo oxidative decomposition are: o Ascorbic acid o Morphine o Epinephrine o Heparin o Paraldehyde o Tetracycline o Vitamin A o Vitamin D o Vitamin K B. Photo-Oxidation / Photolysis:  Exposure to light may produce oxidation-reduction, ring rearrangement or modification and polymerization.  The shorter the wave-length of light, the greater is the effect of light in initiating the chemical reaction because of higher energy.  The thermal (induced by light) reaction may continue even after the light source has been withdrawn. 𝐶𝑦𝑎𝑛𝑜𝑐𝑜𝑏𝑎𝑙𝑎𝑚𝑖𝑛𝑒 𝐿𝑖𝑔ℎ𝑡 𝐻+ ↔ 𝐷𝑎𝑟𝑘 𝐶𝑛− 𝐻𝑦𝑑𝑟𝑜𝑥𝑦𝑐𝑜𝑏𝑎𝑙𝑎𝑚𝑖𝑛 + 𝐶𝑁− 𝑂𝑥𝑖𝑑𝑎𝑡𝑖𝑜𝑛 → 𝐵𝑖𝑜𝑙𝑜𝑔𝑖𝑐𝑎𝑙𝑙𝑦 𝐴𝑐𝑡𝑖𝑣𝑒 𝑃𝑟𝑜𝑑𝑢𝑐𝑡𝑠  Pharmaceutical products undergo photolysis are: o Ascorbic acid o Riboflavin o Cyanocobalamin folic acid o Hydrocortisone o Prednisolone o Nifedipine Protection against Oxidation: Oxidative degradation in a number of drug preparations can be retarded by: 1. Including anti-oxidant in the preparation a. Anti-Oxidants for aqueous System
  • 243.
    Chapter 9. DrugStability 242 Muhammad Muneeb i. Sodium sulphite ii. Sodium metabisulphite iii. Ascorbic acid iv. Sodium thiosulphate b. Anti-Oxidants for Oily System i. Tocopherol ii. Ascorbyl palmitate iii. Hydroquinone iv. Propyl gallate v. Butylated hydroxy anisole (BHA) vi. Butylated hydroxy toluene (BHT) 2. By increasing effectiveness of anti-oxidants by: a. Citric acid b. Tartaric acid 3. By insuring pH 4. By replacement of air from the container by an inert gas such as nitrogen 5. By retarding hydrogenation of fats and oils 6. By protecting drugs from light 7. By using amber colored chambers 8. By storing the product in dark 9. By coating of tablets with polymer films containing UV absorbers 3. ISOMERIZATION:  It is the process by which one molecule is transformed into another molecule which has exactly the same atoms, but the atoms are rearranged e.g. A-B-C → B-A-C  Conversion of an active drug into a less active or inactive isomer having same structural formula but different Stereochemical configuration  This is done to increase therapeutic effects of drugs or sometimes resulting in loss of therapeutic activity. Types of Isomerization:  Optical Isomerization  Geometrical Isomerization A. Optical Isomerization:  A change in the optical activity of a drug may result as a change in its biological activity.  It is further divided into: o Racemization: It involves the optically active form of a drug into its enantiomorph. E.g. adrenaline solutions at low pH due to conversion of its therapeutically active levorotatory form to the less active dextrorotatory form, epinephrine shows the same effect. o Epimerization: It occurs with the compound having more than one asymmetric carbon atom in the molecule. E.g. epimerization of tetracycline in acidic conditions to form less active epi- tetracycline.
  • 244.
    Chapter 9. DrugStability 243 Muhammad Muneeb B. Geometric Isomerization:  Loss of activity due to the difference in potency exhibited by Cis and Trans isomers of some organic compounds.  For example, Active form of VITAMIN A molecule has all Trans configuration. In aqueous solution as a component of multivitamin preparation, in addition to oxidation vitamin A Palmitate isomerizes and form 6-mono cis and 2, 6 di-cis isomers, both have low potency. 4. POLYMERIZATION:  Combination of two or more identical molecules to form a much larger and more complex molecule is called as polymerization.  E.g. Degradation of antiseptic formulations and aldehydes is due to polymerization. Formaldehyde solution may result into formation of white deposit when stand in cold. 5. DECARBOXYLATION:  Elimination of CO2 from a compound is called as Decarboxylation.  Drug substances having a carboxylic acid group are sometimes susceptible to Decarboxylation. Microbial Degradation:  Contamination of a product may sometimes cause a lot of damage and sometimes may not be anything at all. Thus it is dependent on the type of microbe and its level of toxicity it may produce.  If parenteral or ophthalmic formulations are contaminated, it may cause serious harm.  Pyrogens which are the metabolic products of bacterial growth are usually lipo polysaccharides and they represent a particularly hazardous product released by gram negative bacteria. If administered inadvertently to a patient, they may cause chills and fever. Prevention of Microbial Degradation:  Suitably designing the containers  Usually using single dose containers  Sticking to proper storage conditions  Adding an antimicrobial substance as preservative. Physical Factors Influencing Chemical Degradation:
  • 245.
    Chapter 9. DrugStability 244 Muhammad Muneeb 1. TEMPERATURE:  Rate of chemical reaction increased by 2 to 3 folds for every 100 C rise in temperature.  So while formulating a product at elevated temperature, storing a product at high temperature or sterilizing a product by heating temperature effects should be in view.  Thermolabile drugs while heating for sterilization can decompose, as dextrose injections, sulfonamides.  So as the temperature increases the number of effective collisions with sufficient energy to react chemically increases and hence chemical degradation increases.  In some cases, low temperature may increase chemical degradation e.g. Rate of polymerization of formaldehyde increases at temperature below 15.  Rate of decomposition of thermo labile drugs may be decreased by storing them in a cool place e.g. Biological products i.e. insulin, oxytocin, vasopressin inj. and penicillin. 2. LIGHT (PHOTOLYSIS):  Exposure of drug to light of particular wave length can result into: o Oxidation reduction reactions o Ring rearrangements o Polymerization  As far as photolysis is concerned there are two types of molecules on the basis of mechanism of degradation which they undergo: o Photosensitive/Photo labile molecule which absorb energy from light and undergo a chemical reaction themselves and the degradation is photochemical. o Photosensitizes molecules which absorb light but don’t themselves undergo a chemical reaction directly, but pass on their energy to other molecules that undergo a reaction. Such degradation is not a photochemical but a thermal chemical reaction.  A photochemical reaction is independent of temperature and continues even after the illumination is stopped. Preventive Measures:  Store the product in a clear glass container and then enclose in opaque rapper.  Use light resistant containers e.g., ambered colour glass.  Use stabilizer  Use anti-oxident 3. RADIATION:  Radiation, mostly gamma rays are used for sterilization of thermo labile compounds  Following products are sterilized by using radiation may show degradation after irradiation o Antibiotics ------- Streptomycin o Alkaloids ---------- Atropine o Steriods ----------- Progesteron o Biological Products-------Insulin  Decomposition is due ionization and formation of free radicals  Drugs in solution form show more decomposition than pure solids on exposure to radiation
  • 246.
    Chapter 9. DrugStability 245 Muhammad Muneeb 4. MOISTURE:  Moisture absorbed on to the surface of a solid drug increase the rate of decomposition  Mostly this type of decomposition is due to hydrolysis e.g. Aspirin, Penicillin, and Streptomycin. Preventive Measures:  Such drugs should be stored in dry conditions  Formulation process should be carried out in controlled humidity conditions e.g. formulation of sodium ampicillin.  Excipients chose must have low moisture contents so that transfer of moisture from excipients to drug is less. _______________________________________________________________________________________
  • 247.
    Past Papers 246 Muhammad Muneeb PHARMACEUTICS-I(PHYSICAL PHARMACY) PAST PAPERS (2015 – 2020) _______________________________________________________________________________________ Chapter 1. PHARMACY ORIENTATION:  Write a note on retail pharmacy.  Write a note on hospital pharmacy.  Write a note on industrial pharmacy.  Write a note on the role of pharmacist in community pharmacy.  Give brief introduction of pharmacy profession.  Shortly discuss different careers available for a registered pharmacist in Pakistan. Chapter 2. HISTORY AND LITERATURE OF PHARMACY:  Define pharmacy profession. Describe the role of Muslim scientists in the field of pharmacy.  Define physical pharmacy. Describe the role of Muslim scientists in the field of pharmacy.  Define pharmaceutics. Describe various Era in the history and development of Pharmacy.  Describe the antique records in the history of pharmacy.  Name some official and non-official compendia in the field of pharmacy. Also give content of official compendia.  What is Bowl of Hygeia. Describe the role of Muslim scientists in the field of pharmacy. Chapter 3. PHYSICO-CHEMICAL PRINCIPLES:  What are the colligative properties of the solutions? Explain it with reference to depression in freezing point and osmotic pressure?  Discuss a colligative property to prepare an isotonic solution for non-electrolyte as well as electrolytes.  What are the colligative properties of the solutions? Explain it with reference to osmolarity and osmotic pressure also discuss their applications in pharmacy?  Explain the term molarity and normality.  Differentiate between molarity and molality.  Define Raoult’s law for ideal and non-ideal solutions. What are applications of solution in pharmacy?  What are solutions? Describe properties of an ideal solution.  Write a note on percentage expression and parts.  Discuss in detail the particle size and size distribution and their methods of determination of powders.  Define Micromeritics. Discuss in detail different methods to determine particle size.  Define Micromeritics. Discuss its importance in pharmacy.  Define Micromeritics. Explain various methods of size reduction.  Describe sedimentation with diagram and equation as method of particle size determination.  What is buffer action? Explain Henderson-Hasselbalch equation of acidic buffers.  Write a note on buffer.
  • 248.
    Past Papers 247 Muhammad Muneeb What is pH curve? Explain titration curves for strong acid VS strong base and weak acid VS weak base.  Explain briefly the surface active agents. What are their applications in pharmacy?  Describe HLB briefly and discuss Griffin HLB calculations of fatty acid esters.  Write a note on micellar solubilization.  Define micelles. Describe shape of micelles based on the type of surfactant used.  Write a note on solubilization and micelle formation.  Write a note on types of adsorption isotherms.  Define solubility. Differentiate between kinetic and equilibrium solubility. How will you determine the solubility of a solid in liquid solvent?  Differentiate between solubility and miscibility.  What are solubility curves? Describe various factors affecting the solubility of a compound.  Explain surface tension and adsorption.  Define hydrolysis. Explain its various types with relevant examples. Chapter 4. DISPERSIONS:  What is Stoke’s equation, explain different factors affecting the rate of sedimentation of particles of internal phase in a disperse system?  Define colloids. Enlist various types of colloidal dispersion citing example.  Explain preparation and stability of colloids.  What are different methods of preparation of lyophobic colloids.  Explain kinetic and optical properties of colloids.  Differentiate different types of colloids.  Explain purification and applications of colloids.  Define colloids. Differentiate between lyophilic and lyophobic colloids.  Define emulsion and describe difference tests for the identification of an emulsion system.  Define emulsion. Give various types of emulsion. What are applications of emulsions in pharmacy?  Define emulsion. Give various types of emulsion. How will you determine the emulsion type?  Explain different theories of emulsification.  Describe phase inversion and method of preparation of emulsions.  Describe DVLO theory and zeta potential measurement of electrical double layer.  What is creaming and caking?  Define suspensions and emulsions. Enlist types of emulsions.  Define suspension and differentiate between flocculated and non-flocculated suspensions.  What are the ideal properties of a suspension? Explain instability in suspension.  Define suspension and explain flocculated systems in detail. Chapter 5. RHEOLOGY:  What is rheology? How the rheology is important in pharmacy?  Explain the Newton’s law of flow with the help of diagram and equation.  Discuss in detail the rheology of non-Newtonian systems.  Define the term Thixotropy. Explain its importance in non-Newtonian systems.  Describe dilatant flow with rheograms and equations.
  • 249.
    Past Papers 248 Muhammad Muneeb Describe Poiseuille law for the calculation of viscosity of capillary viscometer.  Define rheology. Give its examples. Chapter 6. PHYSICOCHEMICAL PROCESSES:  Differentiate between crystallization and precipitation. Write down common steps of crystallization process.  What are methods of crystallization and discuss applications of crystallization in pharmacy.  What are different types of crystals based on their types.  Define crystalline and amorphous system. What is crystalline phase; explain with reference to lattice parameter and crystal symmetry.  What are crystal systems? Describe the crystals on the basis of crystal habits.  Define simple distillation. Explain its basic principle and theory with its applications in pharmacy.  Differentiate between steam distillation and distillation under reduced pressure.  Explain the principle and applications of vacuum distillation.  Describe the principle, process and applications of fractional distillation.  Describe the principle, process and applications of steam distillation.  Define and discuss basic principle of distillation.  Write a note on simple and fractional distillation.  Write a note on types of distillation.  Describe distillation of ternary azeotropic mixtures with examples.  Describe fractional distillation using boiling point diagram of two miscible liquids.  Write a note on deliquescence and efflorescence.  Write a note on, (a) desiccation, (b) sublimation, (c) Levigation.  Write a note on trituration and Levigation.  Differentiate between efflorescence and deliquescence.  Explain lyophilization. What are advantages and disadvantages of lyophilization?  Write a note on triple point and lyophilization.  Write a note on desiccation and drying.  Define sublimation. Briefly explain the process by citing phase diagram.  Write short notes on any four of the following, (a) precipitation, (b) efflorescence, (c) desiccation, (d) lyophilization, (e) crystallization.  Describe exsiccation of CuSO4.5H2O. Chapter 7. EXTRACTION PROCESSES:  Define extraction. Name its various types. Discuss the principle of continuous extraction.  Why extraction of vegetable drugs is important? Discuss the principal of percolation process.  Write a short note on extraction processes.  Write a note on working and apparatus of soxhlet apparatus.  Differentiate between digestion, decoction and infusion. Chapter 8. RATE AND ORDER OF REACTIONS:  Describe Arrhenius theory of temperature dependent rate constant.  Describe half-life method for the determination of order of reaction.
  • 250.
    Past Papers 249 Muhammad Muneeb Calculate half-life and shelf life at 250 Cfor paracetamol solution having rate constant of 4.5×10-6 sec-1 . Chapter 9. KINETIC PRINCIPLES AND STABILITY TESTING:  Define and classify the drug stability. Discuss in detail physical degradation and its preventive measures.  Define the expiry date. Discuss various types of chemical degradation along with its preventive measures.  Define and classify drug stability. Write its importance in pharmacy.  Write a short note on drug stability.  Discuss the factors affecting on drug stability and explain each reason of drug stability with examples.  Describe oxidative degradation with examples and agents used to retard such degradation. _______________________________________________________________________________________
  • 251.
    250 Muhammad Muneeb References _______________________________________________________________________________________  LectureNotes o Dr. Atif Raza o Dr. Amjad Hussain o Dr. Misbah Sultana o Dr. Nasir Abbas o Dr. Fatima Rasool  Books o Martin’s physical pharmacy and pharmaceutical sciences o Remington’s pharmaceutics o Physicochemical Principles of Pharmacy by Alexander T. Florence; David Attwood o Physical pharmacy by Agarwal Khanna o Applied Physical Pharmacy by Mansoor Amiji Good Luck! 😊